BIOMOLÉCULAS 
Mblgo. Rubén Asalde Ramos
CARBOHIDRATOS 
• Compuestos ternarios: C, H y O 
• Son aldehídos o cetonas polihidroxilados. 
• Abundan en frutas, leche, cereales, tubérculos, 
hígado, carnes. 
• Nomenclatura: 
Sufijo “OSA”
Funciones 
• ENERGÉTICA. Un gramo de carbohidrato produce 
4,3 kcal o 17,2 kj. 
• RESERVA. Como almidón en las plantas o como 
glucógeno en los animales y el hombre. 
• ESTRUCTURAL. Ác. 
hialurónico, quitina, 
condroitina, son 
ejemplos de glúcidos 
estructurales en seres 
vivos.
Funciones 
• INFORMATIVA. Se unen a lípidos y proteínas en la 
membrana, representando una señal de superficie. 
Ej. ABO. 
• DETOXIFICACIÓN. Se combinan con metabolitos 
secundarios y xenobióticos para neutralizar su 
toxicidad. Ej. Ac. Glucurónico. 
• INTEGRACIÓN MOLECULAR. Con proteínas, en 
plegamiento, evitando digestión por proteasas.
Clasificación
Monosacáridos 
• Son sólidos, blancos o cristalinos, solubles en agua y 
tienen sabor dulce (poder edulcorante) 
• Se clasifican por el grupo funcional en: 
– Aldosas (-CHO) 
– Cetosas (-CO) 
• Por el número de carbonos, en: 
– Triosas (Gliceraldehído) 
– Tetrosas (Eritrosa) 
– Pentosas (Ribosa, desoxirribosa, ribulosa, arabinosa) 
– Hexosas (Glucosa, galactosa, manosa, gulosa)
Enlace glucosídico
Oligosacáridos: Disacáridos 
• Tienen propiedades semejantes a las de los 
monosacáridos: blancos, cristalinos, solubles en 
agua… 
• Pueden clasificarse en 
reductores (maltosa, 
lactosa) y no reductores 
(sacarosa), si les queda o 
no grupos cetonas o 
aldehídos libres, 
respectivamente.
Principales disacáridos
Oligosacáridos: Trisacáridos 
• Formados por tres monosacáridos. 
• Se encuentran distribuidos ampliamente en las 
plantas.
Principales Trisacáridos 
Rafinosa 
Melecitosa
Polisacáridos 
• Polímeros de monosacáridos lineales o ramificados. 
• Reserva. Amilosa, amilopectina, glucógeno. 
• Estructurales. Forman fibras. Ej. Celulosa. 
• Derivados. Condrointinsulfatos, heparina, 
peptidoglucanos.
Principales polisacáridos 
• Almidón
Principales polisacáridos 
• Glucógeno
Principales polisacáridos 
• Celulosa • Pectina
Principales polisacáridos 
• Inulina • Agar
Principales polisacáridos 
• Goma arábiga • Carragenina
Polisacáridos derivados
Polisacáridos derivados
Importancia médica 
• GLUCOSURIA. Diabetes mellitus. 
• HIPERGLUCEMIA O HIPERGLICEMIA. Diabetes mellitus 
• HIPOGLICEMIA. Niños prematuros, intoxicación 
alcohólica. 
• GLUCOGENOSIS. Enfermedades por almacenamiento 
de glucógeno. Enfermedad de Pompe. 
• GALACTOSEMIA. Incapacidad para transformar 
galactosa en glucosa. 
• HEPARINA. Anticoagulante.
LÍPIDOS 
• Compuestos orgánicos formados por alcohol y ácidos 
grasos (ésteres); insolubles en agua (hidrofóbicos) y 
solubles en solventes orgánicos (éter, cloroformo, 
etc.) 
Lípido 
Alcohol 
Ácido 
Graso
Funciones 
• ENERGÉTICA: 9,1 Kcal/g (38,9 kj) aprox. 
• ESTRUCTURAL: Membranas celulares. 
• REGULADORA: Hormonas. 
• ANTIGÉNICA: Grupos sanguíneos 
• AMORTIGUADORA: Protege órganos. 
• FOTOSENSIBLE: Pigmentos vegetales (precursores de 
vitaminas). 
• AISLANTE TÉRMICA: Contra bajas temperaturas
Clasificación
Clasificación 
• De acuerdo a su comportamiento frente a una 
reacción química denominada SAPONIFICACIÓN: 
– Saponificables: 
• Ceras 
• Triacilglicéridos 
• Fosfoglicéridos 
• Esfingolípidos 
CH2OH 
– No Saponificables: 
• Terpenos 
• Esteroides 
• Eicosanoides 
R CO O CH2 
R CO O CH + 3NaOH 
R CO O CH2 
3 R-COONa + HOCH 
CH2OH
Ácidos Grasos 
• Se diferencian entre sí por: 
– Longitud de la cadena 
– Número de dobles enlaces 
– Posición de los dobles enlaces 
• Los que no poseen dobles enlaces se 
denominan ácidos grasos saturados (“de 
hidrógeno”) y los que poseen uno o más dobles 
enlaces se denominan ácidos grasos 
insaturados.
Ácidos grasos saturados 
• C2 Acético Etanoico 
• C4 Butírico Butanoico 
• C6 Caproico Hexanoico 
• C8 Caprílico Octanoico 
• C10 Cáprico Decanoico 
• C12 Láurico Dodecanoico 
• C14 Mirístico Tetradecanoico 
• C16 Palmítico Hexadecanoico 
• C18 Esteárico Octadecanoico 
• C20 Araquídico Eicosanoico 
• C22 Behénico Docosanoico 
• C24 Lignocérico Tetraeicosanoico
Ácidos grasos Insaturados 
• C16:1 Palmitoleico (Ω7) 9-cis hexadecenoico 
• C18:1 Oleico (Ω9) 9-cis octadecenoico 
• C18:2 Linoleico (Ω6) 9,12 todo cis 
octadecadienoico 
• C18:3 Linolénico (Ω3) 9,12,15 todo cis 
octadecatrienoico 
• C20:4 Araquidónico (Ω6) 5,8,11,14 todo cis 
eicosatetraenoico
Dobles enlaces 
La presencia de 
dobles enlaces en 
los ácidos grasos 
insaturados, hace 
que la cadena 
hidrocarbonada se 
doble en el espacio 
y asegura que los 
lípidos que 
contienen estos 
ácidos grasos 
tengan bajos 
puntos de fusión. 
Saturado Insaturado
Ácidos grasos esenciales 
Ác. linoleico 
Ác. linolénico 
Ác. araquidónico 
(Ω3) 
(Ω6) 
(Ω6)
Ceras 
• Ésteres de ácidos grasos con un alcohol de cadena 
larga, con función protectora.
Triglicéridos 
• Triglicéridos. 
Formados por 3 
ácidos grasos y 
una molécula de 
propanotriol 
(glicerol).
Fosfoglicéridos 
• Lípidos importantes de 
las membranas 
biológicas.
Fosfolípidos en la membrana
Comportamiento de 
fosfolípidos en fluidos
Esfingolípidos 
• Les caracteriza un aminoalcohol (ESFINGOSINA): 
– Fosfoesfingolípidos: ceramida + ác. Fosfórico + base 
nitrogenada (colina o etanolamina). Cuando es colina, 
se llama esfingomielina. 
– Glucoesfingolípidos: ceramida + azúcares 
• Cerebrósidos: ceramida + hexosa 
• Gangliósidos: ceramida + hexosa + hexosamina + ácido 
siálico. 
CERAMIDA = ESFINGOSINA + ÁCIDO GRASO
Esteroides 
• Lípidos no saponificables, poseen un núcleo común: 
ciclo pentano perhidro fenantreno
Otros esteroides: 
• Ácidos y sales biliares 
• Vitamina D. 
• Hormonas esteroides: andrógenos, estrógenos.
Terpenos 
• Con olores o sabores característicos; componentes 
principales de aceites esenciales obtenidos de las 
plantas (limoneno, mentol, alcanfor, eucaliptol, 
vainillina). 
• El escualeno (triterpeno) encontrado en tiburones, es 
precursor de colesterol. 
• El ß-caroteno, responsable del color amarillo-anaranjado, 
precursor de la Vitamina A o retinol. 
• Además vitaminas E y K.
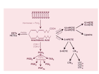
Eicosanoides 
• Lípidos formados a partir del ácido araquidónico 
(ácido graso de 20 carbonos): 
– Prostaglandinas. (PG) 
– Tromboxanos. (TX) 
– Leucotrienos. (LT) 
– Hidroxiácidos. (HPETE) 
– Lipoxinas. (LX)
Prostaglandinas. 
Derivados de ácidos grasos con propiedades 
hormonales: 
 Contracción del músculo liso (PGF) – Parto. 
 Vasoconstricción (PGF) y vasodilatación (PGE) 
 Citoprotección de la mucosa gástrica (PGE). 
 Regulación del ciclo sueño/vigilia (PGD)
PROTEÍNAS 
• Compuestos orgánicos formados principalmente por 
C, H, O y N. Algunas veces por S, Fe, P, Mg, Zn. 
• Proveen de energía cuando el cuerpo no dispone de 
glúcidos ni grasa. 
• Están formadas por aminoácidos.
Enlace peptídico
Enlace disulfuro
Funciones 
• Estructural. Queratina, 
• Reguladora. Insulina, 
• Enzimática. Ptialina (amilasa) 
• Motora. Actina, miosina 
• Inmunológica. Gammaglobulinas 
• Coagulante (Hemostásica). Fibrinógeno 
• Homeostásica. Hemoglobina 
• Transporte. Hemoglobina, albúmina. 
• Transducción de señales. Proteínas G.
Clasificación
Holoproteínas (Simples) 
• Globulares. 
– Prolaminas. Zeína, gliadina, hordeína 
– Glutelinas. Glutenina, orizaína 
– Albúminas. Ovo, sero, lactoalbúmina 
– Enzimas. Hidrolasas, oxidasas, ligasas… 
– Hormonas. Tirotropina, insulina 
• Fibrosas. 
– Queratina. En pelo, uñas. 
– Colágeno. En tejido conectivo. 
– Elastina. En tendones y vasos sanguíneos
Heteroproteínas (Conjugadas) 
• Glucoproteínas. Anticuerpos. 
• Lipoproteínas. Alta (HDL), baja (LDL) densidad 
• Nucleoproteínas. Cromatina 
• Cromoproteínas. Citocromos, hemoglobina.
Importancia Clínica 
• ORINA. Hasta 0,1 g/día (< 50 mg/dl de albúmina) 
En enfermedades renales, estados febriles, 
enfermedades cardíacas, LES, mieloma múltiple, pre 
eclampsia, envenenamientos. 
• SANGRE. Se agrupan en 5 tipos clásicos: albúminas, 
globulinas 1, 2, β y γ. Los valores normales están 
en el rango de 3,5 - 5,0 g/dL
Electroforesis en un laboratorio 
virtual 
http://biomodel.uah.es/lab/

BIOMOLECULAS

  • 1.
  • 2.
    CARBOHIDRATOS • Compuestosternarios: C, H y O • Son aldehídos o cetonas polihidroxilados. • Abundan en frutas, leche, cereales, tubérculos, hígado, carnes. • Nomenclatura: Sufijo “OSA”
  • 3.
    Funciones • ENERGÉTICA.Un gramo de carbohidrato produce 4,3 kcal o 17,2 kj. • RESERVA. Como almidón en las plantas o como glucógeno en los animales y el hombre. • ESTRUCTURAL. Ác. hialurónico, quitina, condroitina, son ejemplos de glúcidos estructurales en seres vivos.
  • 4.
    Funciones • INFORMATIVA.Se unen a lípidos y proteínas en la membrana, representando una señal de superficie. Ej. ABO. • DETOXIFICACIÓN. Se combinan con metabolitos secundarios y xenobióticos para neutralizar su toxicidad. Ej. Ac. Glucurónico. • INTEGRACIÓN MOLECULAR. Con proteínas, en plegamiento, evitando digestión por proteasas.
  • 5.
  • 6.
    Monosacáridos • Sonsólidos, blancos o cristalinos, solubles en agua y tienen sabor dulce (poder edulcorante) • Se clasifican por el grupo funcional en: – Aldosas (-CHO) – Cetosas (-CO) • Por el número de carbonos, en: – Triosas (Gliceraldehído) – Tetrosas (Eritrosa) – Pentosas (Ribosa, desoxirribosa, ribulosa, arabinosa) – Hexosas (Glucosa, galactosa, manosa, gulosa)
  • 10.
  • 11.
    Oligosacáridos: Disacáridos •Tienen propiedades semejantes a las de los monosacáridos: blancos, cristalinos, solubles en agua… • Pueden clasificarse en reductores (maltosa, lactosa) y no reductores (sacarosa), si les queda o no grupos cetonas o aldehídos libres, respectivamente.
  • 12.
  • 13.
    Oligosacáridos: Trisacáridos •Formados por tres monosacáridos. • Se encuentran distribuidos ampliamente en las plantas.
  • 14.
  • 15.
    Polisacáridos • Polímerosde monosacáridos lineales o ramificados. • Reserva. Amilosa, amilopectina, glucógeno. • Estructurales. Forman fibras. Ej. Celulosa. • Derivados. Condrointinsulfatos, heparina, peptidoglucanos.
  • 16.
  • 17.
  • 18.
    Principales polisacáridos •Celulosa • Pectina
  • 19.
  • 20.
    Principales polisacáridos •Goma arábiga • Carragenina
  • 21.
  • 22.
  • 23.
    Importancia médica •GLUCOSURIA. Diabetes mellitus. • HIPERGLUCEMIA O HIPERGLICEMIA. Diabetes mellitus • HIPOGLICEMIA. Niños prematuros, intoxicación alcohólica. • GLUCOGENOSIS. Enfermedades por almacenamiento de glucógeno. Enfermedad de Pompe. • GALACTOSEMIA. Incapacidad para transformar galactosa en glucosa. • HEPARINA. Anticoagulante.
  • 24.
    LÍPIDOS • Compuestosorgánicos formados por alcohol y ácidos grasos (ésteres); insolubles en agua (hidrofóbicos) y solubles en solventes orgánicos (éter, cloroformo, etc.) Lípido Alcohol Ácido Graso
  • 25.
    Funciones • ENERGÉTICA:9,1 Kcal/g (38,9 kj) aprox. • ESTRUCTURAL: Membranas celulares. • REGULADORA: Hormonas. • ANTIGÉNICA: Grupos sanguíneos • AMORTIGUADORA: Protege órganos. • FOTOSENSIBLE: Pigmentos vegetales (precursores de vitaminas). • AISLANTE TÉRMICA: Contra bajas temperaturas
  • 26.
  • 27.
    Clasificación • Deacuerdo a su comportamiento frente a una reacción química denominada SAPONIFICACIÓN: – Saponificables: • Ceras • Triacilglicéridos • Fosfoglicéridos • Esfingolípidos CH2OH – No Saponificables: • Terpenos • Esteroides • Eicosanoides R CO O CH2 R CO O CH + 3NaOH R CO O CH2 3 R-COONa + HOCH CH2OH
  • 28.
    Ácidos Grasos •Se diferencian entre sí por: – Longitud de la cadena – Número de dobles enlaces – Posición de los dobles enlaces • Los que no poseen dobles enlaces se denominan ácidos grasos saturados (“de hidrógeno”) y los que poseen uno o más dobles enlaces se denominan ácidos grasos insaturados.
  • 29.
    Ácidos grasos saturados • C2 Acético Etanoico • C4 Butírico Butanoico • C6 Caproico Hexanoico • C8 Caprílico Octanoico • C10 Cáprico Decanoico • C12 Láurico Dodecanoico • C14 Mirístico Tetradecanoico • C16 Palmítico Hexadecanoico • C18 Esteárico Octadecanoico • C20 Araquídico Eicosanoico • C22 Behénico Docosanoico • C24 Lignocérico Tetraeicosanoico
  • 30.
    Ácidos grasos Insaturados • C16:1 Palmitoleico (Ω7) 9-cis hexadecenoico • C18:1 Oleico (Ω9) 9-cis octadecenoico • C18:2 Linoleico (Ω6) 9,12 todo cis octadecadienoico • C18:3 Linolénico (Ω3) 9,12,15 todo cis octadecatrienoico • C20:4 Araquidónico (Ω6) 5,8,11,14 todo cis eicosatetraenoico
  • 31.
    Dobles enlaces Lapresencia de dobles enlaces en los ácidos grasos insaturados, hace que la cadena hidrocarbonada se doble en el espacio y asegura que los lípidos que contienen estos ácidos grasos tengan bajos puntos de fusión. Saturado Insaturado
  • 32.
    Ácidos grasos esenciales Ác. linoleico Ác. linolénico Ác. araquidónico (Ω3) (Ω6) (Ω6)
  • 33.
    Ceras • Ésteresde ácidos grasos con un alcohol de cadena larga, con función protectora.
  • 34.
    Triglicéridos • Triglicéridos. Formados por 3 ácidos grasos y una molécula de propanotriol (glicerol).
  • 35.
    Fosfoglicéridos • Lípidosimportantes de las membranas biológicas.
  • 36.
  • 37.
  • 38.
    Esfingolípidos • Lescaracteriza un aminoalcohol (ESFINGOSINA): – Fosfoesfingolípidos: ceramida + ác. Fosfórico + base nitrogenada (colina o etanolamina). Cuando es colina, se llama esfingomielina. – Glucoesfingolípidos: ceramida + azúcares • Cerebrósidos: ceramida + hexosa • Gangliósidos: ceramida + hexosa + hexosamina + ácido siálico. CERAMIDA = ESFINGOSINA + ÁCIDO GRASO
  • 39.
    Esteroides • Lípidosno saponificables, poseen un núcleo común: ciclo pentano perhidro fenantreno
  • 40.
    Otros esteroides: •Ácidos y sales biliares • Vitamina D. • Hormonas esteroides: andrógenos, estrógenos.
  • 41.
    Terpenos • Conolores o sabores característicos; componentes principales de aceites esenciales obtenidos de las plantas (limoneno, mentol, alcanfor, eucaliptol, vainillina). • El escualeno (triterpeno) encontrado en tiburones, es precursor de colesterol. • El ß-caroteno, responsable del color amarillo-anaranjado, precursor de la Vitamina A o retinol. • Además vitaminas E y K.
  • 42.
    Eicosanoides • Lípidosformados a partir del ácido araquidónico (ácido graso de 20 carbonos): – Prostaglandinas. (PG) – Tromboxanos. (TX) – Leucotrienos. (LT) – Hidroxiácidos. (HPETE) – Lipoxinas. (LX)
  • 44.
    Prostaglandinas. Derivados deácidos grasos con propiedades hormonales:  Contracción del músculo liso (PGF) – Parto.  Vasoconstricción (PGF) y vasodilatación (PGE)  Citoprotección de la mucosa gástrica (PGE).  Regulación del ciclo sueño/vigilia (PGD)
  • 46.
    PROTEÍNAS • Compuestosorgánicos formados principalmente por C, H, O y N. Algunas veces por S, Fe, P, Mg, Zn. • Proveen de energía cuando el cuerpo no dispone de glúcidos ni grasa. • Están formadas por aminoácidos.
  • 47.
  • 48.
  • 50.
    Funciones • Estructural.Queratina, • Reguladora. Insulina, • Enzimática. Ptialina (amilasa) • Motora. Actina, miosina • Inmunológica. Gammaglobulinas • Coagulante (Hemostásica). Fibrinógeno • Homeostásica. Hemoglobina • Transporte. Hemoglobina, albúmina. • Transducción de señales. Proteínas G.
  • 51.
  • 52.
    Holoproteínas (Simples) •Globulares. – Prolaminas. Zeína, gliadina, hordeína – Glutelinas. Glutenina, orizaína – Albúminas. Ovo, sero, lactoalbúmina – Enzimas. Hidrolasas, oxidasas, ligasas… – Hormonas. Tirotropina, insulina • Fibrosas. – Queratina. En pelo, uñas. – Colágeno. En tejido conectivo. – Elastina. En tendones y vasos sanguíneos
  • 53.
    Heteroproteínas (Conjugadas) •Glucoproteínas. Anticuerpos. • Lipoproteínas. Alta (HDL), baja (LDL) densidad • Nucleoproteínas. Cromatina • Cromoproteínas. Citocromos, hemoglobina.
  • 54.
    Importancia Clínica •ORINA. Hasta 0,1 g/día (< 50 mg/dl de albúmina) En enfermedades renales, estados febriles, enfermedades cardíacas, LES, mieloma múltiple, pre eclampsia, envenenamientos. • SANGRE. Se agrupan en 5 tipos clásicos: albúminas, globulinas 1, 2, β y γ. Los valores normales están en el rango de 3,5 - 5,0 g/dL
  • 57.
    Electroforesis en unlaboratorio virtual http://biomodel.uah.es/lab/