¿CÓMO ESTÁ FORMADO EL ECOSISTEMA?
O B S E R V A
Encuentra los seres vivos y
no vivos y luego completa
el cuadro.
¿Qué necesitan los seres vivos para vivir?
_________________________________________________
____________
¿Crees que si sólo hubiera seres vivos estos podrían vivir? ¿Por qué?
_________________________________________________
____________
LOS SERES VIVOS DE LOS ECOSISTEMAS
En todos los ecosistemas hay __________________ y
________________, un determinado clima, mucha o poco agua, un
tipo de suelo, luz de sol, etc. Además todos estos elementos se
relacionan para que pueda haber vida.
Así un Ecosistema es el ________________________ formado por
los ___________________ de un lugar, el
______________________ de ese lugar: suelo, agua, clima, etc. y
las ________________________________ que hay entre todos
los elementos.
EN LOS ECOSISTEMAS LLAMAMOS
COMPLETAR EL ESQUEMA
Elementos bióticos
Elementos abióticos
Carecen de vida
Seres con vida
Pinta de verde todo lo relacionado a elementosbióticos
yrojo lo relacionado a elementosabióticos.
Luz del sol
Aire
Animales
Agua
Plantas
Clima
Suelo
conjunto -seresvivos - animales -relaciones-plantas- medio ambiente
Se agrupan
LOS SERES VIVOS EN EL AMBIENTE
Uno se alimentan
de otros formando
Viven en
un lugar
Desempeñan
una función
y estos en
DEFINE BREVEMENTE
* POBLACIÓN :
_____________________________________________
__
_____________________________________________
__
* COMUNIDAD:
_____________________________________________
_
_____________________________________________
__
* HÁBITAT :
__________________________________________
____________________________________________
* NICHO ECOLÓGICO:
_________________________________________
_
__________________________________________
CADENAS ALIMENTICIAS
LOS SERES VIVOS SE RELACIONAN ENTRE Sí porque unos sirven
de alimentos para otros. De forma se consolidan las: CADENAS
ALIMENTICIAS.
Indica con flechas quién es el alimento de quién y
completa las oraciones.
* La planta sirve de alimento al ______________________.
* El grillo es el alimento de la ________________________.
* La rana es el alimento de la ________________________.
* La ______________________es el alimento del águila.
Completar:
O B S E R V A :
En un ecosistema imaginario encontramos los siguientes seres.
Con los datos del cuadro, forma en
la ilustración las cadenas
alimentarias señalando con una
flecha: es alimento de:
Conejo
Zorro
Lagartija
Águila
Pájaro
Mariposa
Saltamontes
Hierba
Arbusto
ALIMENTO ANIMAL
¿Cuántas cadenas alimentarias formaste?
____________________________________
________________________________________
¿De qué se podría alimentar el águila si desapa-
recieran los zorros?
______________________________________
¿Cuál es el ser vivo del que no se alimenta ningún
otro?
_________________________________
____________________________________
Observa la siguiente ilustración:
Anota el nombre de los elementos bióticos y abióticos de este
ecosistema
Forma cadenas alimentarias. Utiliza los seres del costal.
BIÓTICOS
ABIÓTICOS
A
Reflexiona y contesta:
¿Qué sucedería si no existieran insectos en la cadena A?
____________________________ ¿Por qué?
_________________________
¿Qué pasaría en la cadena B si no hubiese coyotes?
____________________________ ¿Por qué?
__________________________
¿Por qué son importantes todos los seres vivos que forman un
ecosistema?
_________________________________________________
____________
Completa los espacios de la pirámide con las siguientes
palabras:
* Productores
* Consumidores terciarios
* Consumidores primarios
* Consumidores secundarios
* Descomponedores
Observa los dibujos. Después marca con una X la
respuesta correcta.
Un desequilibrio natural. Bajar el consumo de
carne.
Un desequilibrio artificial. Evitar la
destrucción del ecosistema.
CADENA ALIMENTICIA
A. DESCUBRE las palabras en la SOPA DE LETRAS.
A. La construcción de la represa ha
producido ecosistema.
B. Este cartel será destinado a:
productores
consumidores
bióticos
cadena alimenticia
seres vivos
plantas
animales
abióticos
carnívoro
ecología
bacterias
carroñeros
herbívoro
hongos
desintegradores
A B I O T I C O S Y C P L A N T A S
D A S S E R O T C U D O R P S D N S
F C A D E N A A L I M E N T I C I A
F T D U I R G B N N M M P R O H M S
G E D T Y I E S S S D D D N S E A S
G R H D D S O S D X X X S S A R L O
H I F G G C P P V X S U S D I B E G
C A R N I V O R O I M S S D G I S N
H S D T I I O P P I V A S D O V S O
J H O K L L Ñ Ñ D S D O D S L O D H
J I H J J K K O D S A A S S O R S D
B J J K S O R E Ñ O R R A C C O D D
D F G H J E A S Z X A A S D E S S D
S D D E S I N T E G R A D O R E S S
B. COMPLETA el siguiente mapa conceptual con las siguientes palabras.
♦ Autótrofos
♦ Herbívoros
♦ Heterótrofos
♦ Hongos
♦ Saprófitos
♦ 2º orden
CADENA ALIMENTICIA
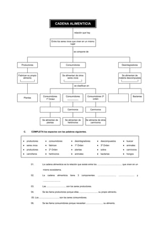
relación que hay
Entre los seres vivos que viven en un mismo
lugar
se compone de
Productores Consumidores Desintegradores
Fabrican su propio
alimento
(___________)
Se alimentan de otros
seres vivos
(______________)
Se alimentan de
materia descompuesta
(_____________)
se clasifican en
Plantas
Consumidores
1º Orden
Consumidores
_________
Consumidores 3º
orden
Bacterias
Carnívoros Carnívoros
Se alimentan de
plantas
Se alimentan de
herbívoros
Se alimenta de otros
carnívoros
C. COMPLETA los espacios con las palabras siguientes.
01. La cadena alimenticia es la relación que existe entre los ......................................... que viven en un
mismo ecosistema.
02. La cadena alimenticia tiene 3 componentes: ............................., .......................... y
.............................
03. Las ................................ son los seres productores.
04. Se les llama productores porque ellas ............................... su propio alimento.
05. Los ................................. son los seres consumidores.
06. Se les llama consumidores porque necesitan ............................ su alimento.
♦ productores
♦ seres vivos
♦ productores
♦ carroñeros
♦ consumidores
♦ fabrican
♦ 2º Orden
♦ herbívoros
♦ desintegradores
♦ 1º Orden
♦ plantas
♦ animales
♦ descompuestos
♦ 3º Orden
♦ sobra
♦ bacterias
♦ buscar
♦ animales
♦ carnívoros
♦ hongos
07. Los consumidores se clasifican en 3: consumidores de ...................................., consumidores de
.................................... y consumidores de .................................
08. Los consumidores de 1º Orden son animales .......................................
09. Los animales herbívoros se alimentan de ................................
10. Los consumidores de 2º Orden son animales ......................................
11. Los animales carnívoros se alimentan de otros ................................
12. Los consumidores de 3º Orden son animales son los .........................................
13. Los carroñeros se alimentan de la ........................ de otros animales.
14. Las ......................... y los .......................... son desintegradores.
15. Los desintegradores se alimentan de los animales y vegetales .........................
D. COLOREA las Cadenas Alimenticias y colocale su nombre correspondiente (Productor, Consumidor,
Desintegrador)
E. CRUCI-CADENAS ALIMENTICIAS.
1. C
2. A
3. D
4. E
5. N
6. A
7. A
8. L
9. I
10. M
11. E
12. N
13. T
14. I
15. C
16. I
17. A
1.- La .......................... alimenticia es la relación que tienen los seres vivos que viven en un mismo lugar.
2.- Son consumidores
3.- ¿Qué clase de seres son las plantas en la cadena alimenticia?
4.- Animal carnívoro conocido como el rey de la selva.
5.- Son productores.
6.- Son desintegradores.
7.- Las plantas son seres ...................... porque fabrican su propio alimento.
8.- Son productores que están en el mar.
9.- Animales que comen hierba.
10.- ¿Qué clase de seres son los animales en la cadena alimenticia?
11.- Se alimentan de otros seres vivos.
12.- Animales que comen carne.
13.- Se alimentan de animales y plantas descompuestas.
14.- Reptil, consumidor de segundo orden.
15.- Animales que comen la sobra de otros animales.
16.- Animal carroñero.
17.- Herbívoro que produce leche.
F. INDICA verdadero (V) o falso (F).
01. La vaca es un consumidor de 2do. orden. ( )
02. El cóndor es un consumidor de 3er. orden. ( )
03. Las personas vegetarianas son consumidores de 2do. orden. ( )
04. Las bacterias y hongos son descomponedores. ( )
05. Un ratón es un consumidor de 1er. orden. ( )
G. FORMA cadenas alimenticias con un ser de cada columna.
zanahoria ■
maíz ■
pasto ■
choclo ■
néctar de la flor ■
■ conejo ■
■ loro ■
■ abeja ■
■ pollo ■
■ oveja ■
■ rata ■
■ león ■
■ culebra ■
■ sapo ■
■ persona ■
■ hongos y bacterias
H. MARCA la respuesta correcta.
01. Los herbívoros son:
A) Productores
B) Consumidores de 1º Orden
C) Consumidores de 2º Orden
D) Desintegradores
02. Los hongos y bacterias son:
A) Productores
B) Consumidores
C) Desintegradores
D) N.A.
03. Los animales son
A) Productores
B) Desintegradores
C) Descomponedores
D) Consumidores
04. Los carnívoros son
A) Consumidores de 1º Orden
B) Consumidores de 2º Orden
C) Consumidores de 3º orden
D) Desintegradores
05. Los carroñeros son:
A) Productores
B) Consumidor de 2º Orden
C) Consumidor de 3º Orden
D) Consumidor de 1º Orden
06. Las plantas son:
A) Productores
B) Consumidores
C) Carroñeros
D) Desintegradores
07. Fabrican su propio alimento
A) Productores
B) Consumidores
C) Desintegradores
D) Bacterias y hongos
08. Descomponen la materia muerta
A) Carroñeros
B) Desintegradores
C) Consumidores
D) Productores
09. Buscan su alimento
A) Plantas
B) Animales
C) Productores
D) Desintegradores
10. Relación entre los seres vivos que
viven en un mismo lugar:
A) Amistad
B) Ecosistema
C) Cadena Alimenticia
D) N.A.

Cadenaalimenticias repaso-120702161711-phpapp01

  • 1.
    ¿CÓMO ESTÁ FORMADOEL ECOSISTEMA? O B S E R V A Encuentra los seres vivos y no vivos y luego completa el cuadro. ¿Qué necesitan los seres vivos para vivir? _________________________________________________ ____________ ¿Crees que si sólo hubiera seres vivos estos podrían vivir? ¿Por qué? _________________________________________________ ____________ LOS SERES VIVOS DE LOS ECOSISTEMAS En todos los ecosistemas hay __________________ y ________________, un determinado clima, mucha o poco agua, un tipo de suelo, luz de sol, etc. Además todos estos elementos se relacionan para que pueda haber vida. Así un Ecosistema es el ________________________ formado por los ___________________ de un lugar, el ______________________ de ese lugar: suelo, agua, clima, etc. y las ________________________________ que hay entre todos los elementos.
  • 2.
    EN LOS ECOSISTEMASLLAMAMOS COMPLETAR EL ESQUEMA Elementos bióticos Elementos abióticos Carecen de vida Seres con vida Pinta de verde todo lo relacionado a elementosbióticos yrojo lo relacionado a elementosabióticos. Luz del sol Aire Animales Agua Plantas Clima Suelo conjunto -seresvivos - animales -relaciones-plantas- medio ambiente Se agrupan LOS SERES VIVOS EN EL AMBIENTE Uno se alimentan de otros formando Viven en un lugar Desempeñan una función y estos en
  • 3.
    DEFINE BREVEMENTE * POBLACIÓN: _____________________________________________ __ _____________________________________________ __ * COMUNIDAD: _____________________________________________ _ _____________________________________________ __ * HÁBITAT : __________________________________________ ____________________________________________ * NICHO ECOLÓGICO: _________________________________________ _
  • 4.
    __________________________________________ CADENAS ALIMENTICIAS LOS SERESVIVOS SE RELACIONAN ENTRE Sí porque unos sirven de alimentos para otros. De forma se consolidan las: CADENAS ALIMENTICIAS. Indica con flechas quién es el alimento de quién y completa las oraciones. * La planta sirve de alimento al ______________________. * El grillo es el alimento de la ________________________. * La rana es el alimento de la ________________________. * La ______________________es el alimento del águila.
  • 5.
    Completar: O B SE R V A : En un ecosistema imaginario encontramos los siguientes seres. Con los datos del cuadro, forma en la ilustración las cadenas alimentarias señalando con una flecha: es alimento de: Conejo Zorro Lagartija Águila Pájaro Mariposa Saltamontes Hierba Arbusto ALIMENTO ANIMAL
  • 6.
    ¿Cuántas cadenas alimentariasformaste? ____________________________________ ________________________________________ ¿De qué se podría alimentar el águila si desapa- recieran los zorros? ______________________________________ ¿Cuál es el ser vivo del que no se alimenta ningún otro? _________________________________ ____________________________________ Observa la siguiente ilustración: Anota el nombre de los elementos bióticos y abióticos de este ecosistema Forma cadenas alimentarias. Utiliza los seres del costal. BIÓTICOS ABIÓTICOS A
  • 7.
    Reflexiona y contesta: ¿Quésucedería si no existieran insectos en la cadena A? ____________________________ ¿Por qué? _________________________ ¿Qué pasaría en la cadena B si no hubiese coyotes? ____________________________ ¿Por qué? __________________________ ¿Por qué son importantes todos los seres vivos que forman un ecosistema? _________________________________________________ ____________ Completa los espacios de la pirámide con las siguientes palabras: * Productores * Consumidores terciarios * Consumidores primarios * Consumidores secundarios * Descomponedores
  • 8.
    Observa los dibujos.Después marca con una X la respuesta correcta. Un desequilibrio natural. Bajar el consumo de carne. Un desequilibrio artificial. Evitar la destrucción del ecosistema. CADENA ALIMENTICIA A. DESCUBRE las palabras en la SOPA DE LETRAS. A. La construcción de la represa ha producido ecosistema. B. Este cartel será destinado a: productores consumidores bióticos cadena alimenticia seres vivos plantas animales abióticos carnívoro ecología bacterias carroñeros herbívoro hongos desintegradores
  • 9.
    A B IO T I C O S Y C P L A N T A S D A S S E R O T C U D O R P S D N S F C A D E N A A L I M E N T I C I A F T D U I R G B N N M M P R O H M S G E D T Y I E S S S D D D N S E A S G R H D D S O S D X X X S S A R L O H I F G G C P P V X S U S D I B E G C A R N I V O R O I M S S D G I S N H S D T I I O P P I V A S D O V S O J H O K L L Ñ Ñ D S D O D S L O D H J I H J J K K O D S A A S S O R S D B J J K S O R E Ñ O R R A C C O D D D F G H J E A S Z X A A S D E S S D S D D E S I N T E G R A D O R E S S B. COMPLETA el siguiente mapa conceptual con las siguientes palabras. ♦ Autótrofos ♦ Herbívoros ♦ Heterótrofos ♦ Hongos ♦ Saprófitos ♦ 2º orden
  • 10.
    CADENA ALIMENTICIA relación quehay Entre los seres vivos que viven en un mismo lugar se compone de Productores Consumidores Desintegradores Fabrican su propio alimento (___________) Se alimentan de otros seres vivos (______________) Se alimentan de materia descompuesta (_____________) se clasifican en Plantas Consumidores 1º Orden Consumidores _________ Consumidores 3º orden Bacterias Carnívoros Carnívoros Se alimentan de plantas Se alimentan de herbívoros Se alimenta de otros carnívoros C. COMPLETA los espacios con las palabras siguientes. 01. La cadena alimenticia es la relación que existe entre los ......................................... que viven en un mismo ecosistema. 02. La cadena alimenticia tiene 3 componentes: ............................., .......................... y ............................. 03. Las ................................ son los seres productores. 04. Se les llama productores porque ellas ............................... su propio alimento. 05. Los ................................. son los seres consumidores. 06. Se les llama consumidores porque necesitan ............................ su alimento. ♦ productores ♦ seres vivos ♦ productores ♦ carroñeros ♦ consumidores ♦ fabrican ♦ 2º Orden ♦ herbívoros ♦ desintegradores ♦ 1º Orden ♦ plantas ♦ animales ♦ descompuestos ♦ 3º Orden ♦ sobra ♦ bacterias ♦ buscar ♦ animales ♦ carnívoros ♦ hongos
  • 11.
    07. Los consumidoresse clasifican en 3: consumidores de ...................................., consumidores de .................................... y consumidores de ................................. 08. Los consumidores de 1º Orden son animales ....................................... 09. Los animales herbívoros se alimentan de ................................ 10. Los consumidores de 2º Orden son animales ...................................... 11. Los animales carnívoros se alimentan de otros ................................ 12. Los consumidores de 3º Orden son animales son los ......................................... 13. Los carroñeros se alimentan de la ........................ de otros animales. 14. Las ......................... y los .......................... son desintegradores. 15. Los desintegradores se alimentan de los animales y vegetales ......................... D. COLOREA las Cadenas Alimenticias y colocale su nombre correspondiente (Productor, Consumidor, Desintegrador)
  • 12.
    E. CRUCI-CADENAS ALIMENTICIAS. 1.C 2. A 3. D 4. E 5. N 6. A 7. A 8. L 9. I 10. M 11. E 12. N 13. T 14. I 15. C 16. I 17. A 1.- La .......................... alimenticia es la relación que tienen los seres vivos que viven en un mismo lugar. 2.- Son consumidores 3.- ¿Qué clase de seres son las plantas en la cadena alimenticia? 4.- Animal carnívoro conocido como el rey de la selva. 5.- Son productores. 6.- Son desintegradores. 7.- Las plantas son seres ...................... porque fabrican su propio alimento. 8.- Son productores que están en el mar. 9.- Animales que comen hierba. 10.- ¿Qué clase de seres son los animales en la cadena alimenticia? 11.- Se alimentan de otros seres vivos. 12.- Animales que comen carne. 13.- Se alimentan de animales y plantas descompuestas. 14.- Reptil, consumidor de segundo orden. 15.- Animales que comen la sobra de otros animales. 16.- Animal carroñero. 17.- Herbívoro que produce leche. F. INDICA verdadero (V) o falso (F). 01. La vaca es un consumidor de 2do. orden. ( ) 02. El cóndor es un consumidor de 3er. orden. ( ) 03. Las personas vegetarianas son consumidores de 2do. orden. ( ) 04. Las bacterias y hongos son descomponedores. ( ) 05. Un ratón es un consumidor de 1er. orden. ( )
  • 13.
    G. FORMA cadenasalimenticias con un ser de cada columna. zanahoria ■ maíz ■ pasto ■ choclo ■ néctar de la flor ■ ■ conejo ■ ■ loro ■ ■ abeja ■ ■ pollo ■ ■ oveja ■ ■ rata ■ ■ león ■ ■ culebra ■ ■ sapo ■ ■ persona ■ ■ hongos y bacterias H. MARCA la respuesta correcta. 01. Los herbívoros son: A) Productores B) Consumidores de 1º Orden C) Consumidores de 2º Orden D) Desintegradores 02. Los hongos y bacterias son: A) Productores B) Consumidores C) Desintegradores D) N.A. 03. Los animales son A) Productores B) Desintegradores C) Descomponedores D) Consumidores 04. Los carnívoros son A) Consumidores de 1º Orden B) Consumidores de 2º Orden C) Consumidores de 3º orden D) Desintegradores 05. Los carroñeros son: A) Productores B) Consumidor de 2º Orden C) Consumidor de 3º Orden D) Consumidor de 1º Orden 06. Las plantas son: A) Productores B) Consumidores C) Carroñeros D) Desintegradores 07. Fabrican su propio alimento A) Productores B) Consumidores C) Desintegradores D) Bacterias y hongos 08. Descomponen la materia muerta A) Carroñeros B) Desintegradores C) Consumidores D) Productores 09. Buscan su alimento A) Plantas B) Animales C) Productores D) Desintegradores 10. Relación entre los seres vivos que viven en un mismo lugar: A) Amistad B) Ecosistema C) Cadena Alimenticia D) N.A.