Analysis
Derivadas. Problemas




OpenUepc.com 1.1.4.6.1   Ver 01:03/02/2010
NOTA
                 La clasificación decimal de todos los temas de este manual tienen
                 implícito el comienzo 1.1.4.6.1 correspondiente a
                 1              SCIENCE
                 1.1            MATHEMATICS
                 1.1.4          ANALYSIS
                 1.1.4.6 .1     DIFERENCIACION


                 COPYLEFT
                 Este material así como los applets, powerpoints, videos y archivos de
                 sonido asociados, puede ser distribuido bajo los términos y condiciones
                 definidos en Open Publication License versión 1.0 o posterior (La
                 versión       más        reciente        está       disponible       en
                 http://www.opencontent.org/openpub/).
                 El contenido está sujeto a constantes cambios sin previo aviso. Su fin
                 es didáctico y solo pretende la universalización de la cultura. Está
                 escrito en base a la colaboración de las miles de personas que
                 componen nuestra comunidad OpenUepc. Se ha exigido a los autores
                 que referencien todas las fuentes utilizadas y figuran al final del texto.
                 Cualquier distribución del mismo debe mencionar a OpenUepc como
                 fuente.
                 Miguel Pérez Fontenla
                 miguelperez@edu.xunta.es


INDICE AUTORES

Iniciado por: Miguel Pérez Fontenla
22/01/2010
TABLA DE DERIVADAS

      Función             Derivada         Ejemplos

Constante

y=k               y'=0               y=8   y'=0

Identidad

y=x               y'=1               y=x   y'=1

Funciones potenciales




Funciones exponenciales




Funciones logarítmicas
Funciones trigonométricas




                   Derivadas de sumas, restas, productos y cocientes de funciones
Regla de la cadena

( g o f ) ( x) = { g [ f ( x)]} ' = g '[ f ( x)] ⋅ f '( x)
         '
+




COLECCIÓN DE 20 EJERCICIOS

Presento a continuación una colección de 20 derivadas resueltas que de saberlas hacer todas,
es presumible que estas perfectamente preparado en lo que respecta al cálculo de derivadas.

1.- Calcular la derivada de la función f(x)= x – cos x
                                                                                 π
2.- Calcular la derivada de la función f ( x ) = x 4 − sin x − ln x      en x=
                                                                                 2
                                                                     +
3.- Calcular la derivada de la función f ( x) = x ln x      x∈
                                                    2
4.- Calcular la derivada de la función f ( x) = x sin x
                                                 x sin x − 1
5.- Calcular la derivada de la función f ( x ) =
                                                     x3
                                                 x tan x − cos x
6.- Calcular la derivada de la función f ( x ) =
                                                       ln x
                                                      2
7.- Calcular la derivada de la función f ( x) = cos x
8.- Calcular la derivada de la función f ( x) = ln cos x
9.- Calcular la derivada de la función f ( x) = e x sin x
10.- Calcular la derivada de la función f ( x) = ln(ln x)
11.- Calcular la derivada de la función f ( x) = sen 2 ( x 2 )
12.- Calcular la derivada de la función f ( x ) = x 3 + lg 2 x 2
                                                                 2
                                                      x −1 
13.- Calcular la derivada de la función f ( x ) = 3 
                                                          
                                                     x 
                                                            x
14.- Calcular la derivada de la función f ( x ) = arctan
                                                          x +1
                                                          ln x
15.- Calcular la derivada de la función f ( x ) = arc sec
                                                            x
16.- Calcular la derivada de la función f ( x) = x x


17.- Calcular la derivada de la función f ( x) = xl n x
18.- Calcular la derivada de la función f ( x) = x tan x
                                                 1 1− x
19.- Calcular la derivada de la función f ( x) = ln
                                                 2 1+ x
20.- Calcular la derivada de la función f ( x) = ln x + x 2 + 1

Ejercicios Propuestos

Calcular la derivada de la función f ( x) = ln x + x 2 − 1

                                           1 1+ x
Calcular la derivada de la función f ( x) = ln
                                           2 1− x
                                                     | COLECCIÓN DE 20 EJERCICIOS 1
+



Soluciones

1.- Calcular la derivada de la función f(x)= x – cos x

f '( x) = ( x − cos x ) ' = x '− cos' x = 1 − (− sin x) = 1 + sin x

                                                                                                     π
2.- Calcular la derivada de la función f ( x ) = x 4 − sin x − ln x                          en x=
                                                                            2
                                                                                         3
                                                   1      π     π      π 1 π3 2 π4 −4
 f '( x) = ( x 4 − sin x − ln x ) = 4 x 3 − cos x − ; f '   = 4   − cos − =
                                 '
                                                                                 − =
                                                   x      2     2      2 π  2 π     2π
                                                                              2
                                                                    +
3.- Calcular la derivada de la función f ( x ) = x ln x x ∈
Al estar definido x>0 ya no tenemos problemas con la definición de la función, pues sólo
tendríamos problemas si apareciesen neperianos de números negativos

                                                              1
f '( x) = ( x ln x ) ' = x 'ln x + x ( ln x ) ' = 1⋅ ln x + x   = ln x + 1
                                                               x

4.- Calcular la derivada de la función f ( x) = x 2 sin x
f '( x ) = ( x 2 sin x ) ' = ( x 2 ) 'sin x + x 2 ( sin x ) ' = 2 x ⋅ sin x + x 2 cos x

                                                                    x sin x − 1
5.- Calcular la derivada de la función f ( x ) =
                                                                        x3
                                      x 'sin x + x ( sin x ) '− 0  x − ( x sin x − 1) x
                                                                    3                          ( sin x + x cos x ) x 3 − x 4 sin x + x3
                               '                                                          3
             x sin x − 1           
 f '( x ) =               =                                                                 =                                            = ...
                 x3                                           x6                                                   x6
       sin x + x cos x − x sin x + 1
... =
                     x3
                                                                    x tan x − cos x
6.- Calcular la derivada de la función f ( x ) =
                                                                            ln x
            x tan x − cos x 
                                      '
                                             x ' tan x + x ( tan x ) '− ( cos x ) ' ln x − ( x tan x − cos x )( ln x ) '
                                                                                   
f '( x ) =                   =                                                                                             = ...
                 ln x                                                        ln 2 x
                                                                         1
        ( tan x + x tan   2
                              x + sin x ) ln x − ( x tan x − cos x )
                                                                         x
... =
                                          ln 2 x

7.- Calcular la derivada de la función f ( x) = cos x 2
f '( x) = ( cos x 2 ) = − sin x 2 ( 2 x ) = −2 x sin x 2
                     '




8.- Calcular la derivada de la función f ( x) = ln cos x
                                     1
f '( x ) = ( ln cos x ) =
                          '
                                         ( − sin x ) = − tan x
                                   cos x


                                                                      | COLECCIÓN DE 20 EJERCICIOS 2
+



9.- Calcular la derivada de la función f ( x) = e x sin x
f '( x) = ( 3x cos x ) = 3x cos x ln 3 ( x cos x ) ' = 3x cos x ln 3 ( cos x − x sin x )
                     '




10.- Calcular la derivada de la función f ( x) = ln(ln x)
                             1 1      1
 f '( x ) = ( ln(ln x ) ) =
                         '
                                ⋅ =
                            ln x x x ln x

11.- Calcular la derivada de la función f ( x) = sen 2 ( x 2 )
f '( x) = ( sin 2 ( x 2 ) ) = 2 ( sin x 2 )( cos x 2 ) ( 2 x )
                         '




12.- Calcular la derivada de la función f ( x ) = x 3 + lg 2 x 2

          (                       )
                                  1         2 1
                           '
                                                                  
 f '( x ) = x 3 + lg 2 x 2 =                 3 x + 2 lg 2 e ⋅ 2 x 
                                         2 
                             2 x + lg 2 x 
                                3                 x               

                                                                                2
                                                    x −1 
13.- Calcular la derivada de la función f ( x ) = 
                                                               3
                                                   x 
                              '               2                                     −1
             x − 1 2       2  x − 1  3 −1 x − ( x − 1) 2  x − 1  3 1    2                    x
f '( x ) =  3              =                    2
                                                            =             2
                                                                              = 2              3
                             3 x                         3 x  x          3x                  x −1
            
                 x                                 x
                             

                                                                            x
14.- Calcular la derivada de la función f ( x ) = arctan
                                                                          x +1
                                                           ( x + 1)  1                               
                                                                   2
                     x 
                           '
                                   1      ( x + 1) − x                                                    1
f '( x ) =  arctan                                                                                  =
                           =                          =
                                          ( x + 1)2  x 2 + ( x + 1) 2  x + 1 2                      2x + x +1
                   x + 1   x 2                                    (     )                      
                                                                                                          2

                                    +1                                                             
                               x +1

                                                                          ln x
15.- Calcular la derivada de la función f ( x ) = arc sec
                                                                            x
                                                    '
                                          ln x                     1 − ln x
                    ln x 
                                  '            
                                         x                           x2
f '( x) =  arc sec       =               =
                     x  ln x  ln x  2    ln x  ln x 
                                                           2

                                      −1               −1
                             x  x            x  x 

16.- Calcular la derivada de la función f ( x) = x x
Este tipo de derivadas en las que aparecen variables en la base y en el exponente se resuelven
tomando previamente logaritmos neperianos en la expresión a derivar, para posteriormente
aplicar la Regla de la Cadena de la siguiente forma
                                                                                  1                        1
f ( x ) = x x ⇔ ln f ( x ) = x ln x ⇒ ( ln f ( x ) ) ' = ( x ln x ) ' ⇒                f '( x ) = 1ln x + x ⇒ f '( x ) = x x ( ln x + 1)
                                                                                f ( x)                     x
17.- Calcular la derivada de la función f ( x) = xl n x


                                                                 | COLECCIÓN DE 20 EJERCICIOS 3
+



                                                         1              2 ln x                     2 ln x 
f ( x) = x ln x ⇔ ln f ( x) = ln x ⋅ ln x = ln 2 x ⇒          f '( x) =        ⇒ f '( x) = x ln x         
                                                       f ( x)              x                       x 

18.- Calcular la derivada de la función f ( x) = x tan x
                                               1                1               1                     ln x    tan x 
 f ( x) = x tan x ⇔ ln f ( x) = tan x ln x ⇒        f '( x) =    2
                                                                    ln x + tan x ⇒ f '( x) = x tan x     2
                                                                                                             +       
                                             f ( x)           cos x             x                     cos x     x 

                                                          1 1− x
19.- Calcular la derivada de la función f ( x) =           ln
                                                          2 1+ x
            1 1 −1(1 + x ) − (1 − x ) 1 1 + x − 2 − x + x          1            1
f '( x) =                            =                    =                 =
            2 1− x   (1 + x )
                              2
                                       2 1 − x (1 + x ) 2   (1 − x )(1 + x ) 1 − x 2
              1+ x
20.- Calcular la derivada de la función f ( x ) = ln x + x 2 + 1


                1               2x               1            x2 + 1 + x          1
f '( x) =                1+              =                                 =
            x + x2 + 1        2 x2 + 1       x + x2 + 1         x2 + 1          x2 + 1

Ejercicios Propuestos

Calcular la derivada de la función f ( x ) = ln x + x 2 − 1


                                                     1 1+ x
Calcular la derivada de la función f ( x) =           ln
                                                     2 1− x




                                                          | COLECCIÓN DE 20 EJERCICIOS 4
+



BOLETÍN DE TRABAJO nº 1

Calcula las derivadas de las siguientes funciones

    1.   f ( x )= 3 x 5 − 2 x 4 + 5 x 3 − 3 x − 1
    2.   f ( x )= ( −2 x 3 )( 4 x 2 )
                 3x 2
    3. f ( x)= 3
                 2x
    4. f ( x )= (−2 x 3 )( 2 x )
                 x +1
    5. f ( x )=
                 x −1
                 lg x
    6. f ( x)= 2
                  ln x
                 cos x
    7. f ( x )=
                 senx
                 3x
    8. f ( x)= 3
                 x
                  1
    9. f ( x )= 3
                 x
                   1
    10. f ( x )=
                 ln x




                                                    | BOLETÍN DE TRABAJO nº 1 5
+



BOLETÍN DE TRABAJO nº 2

Calcula las derivadas de las siguientes funciones



    1.   f ( x )= x
    2.   f ( x )= x −2
                x −2
    3.   f ( x)=
                 x3
    4. f ( x )= 2 x 3 − 3 x −2
                 1
    5. f ( x )= − 2
                x
                       1
    6. f ( x )=
                senx + cos x
                senx − cos x
    7. f ( x )=
                senx + cos x
                1 − ln x
    8. f ( x )=
                1 + ln x
                1− x2
    9. f ( x)=
                1 − x −2
                x − 2x
    10. f ( x)=
                1+ 2x




                                                    | BOLETÍN DE TRABAJO nº 2 6
+



BOLETÍN DE TRABAJO nº 3

Calcula las derivadas de las siguientes funciones

                 e −1
    1.   f ( x )=
                 ln e
    2.   f ( x)= xe x − x ln x
    3.   f ( x)= e x ⋅ ln x
                  ex
    4.   f ( x)=
                 ln x
                  1− ex
    5.   f ( x)=
                 1 + ln x
    6.   f ( x)= (1 − ln x)( x + e x )
    7.   f ( x)= x e
    8.   f ( x)= x e ⋅ e x
                1+ ex
    9. f ( x)=
                1− ex
                ln x − e x
    10. f ( x)=
                ln x + e x




                                                    | BOLETÍN DE TRABAJO nº 3 7
+



BOLETÍN DE TRABAJO nº 4

Calcula las derivadas de las siguientes funciones



    1.   f ( x)= x 3 ⋅ 3 x
                    3x
    2.   f ( x)=
                   lg 3 x
                 3 x + lg 3 x
    3.   f ( x)=
                 3 x − lg 3 x
    4. f ( x)= senx ⋅ tgx
                 senx
    5. f ( x)=
                  tgx
                 x − senx
    6. f ( x )=
                 x + cos x
                 cos x − senx
    7. f ( x)=
                  tgx + cos x
                 cos x ⋅ senx
    8. f ( x)=
                  tgx ⋅ cos x
                 cos x − 1
    9. f ( x)=
                  tgx + x
                 x − senx
    10. f ( x )=
                 x + cos x




                                                    | BOLETÍN DE TRABAJO nº 4 8
+



BOLETÍN DE TRABAJO nº 5

Calcula las derivadas de las siguientes funciones



    1.   f ( x)= x 3 − 3 x − 3 x
    2.   f ( x)=   ( x )(3 )
                   3        x


                 lg 3 x
    3.   f ( x)=
                   3x
                 ln x
    4.   f ( x )= 3
                  3
                   x3 − 3x
    5.   f ( x)=
                 (lg 3 x )3 x
                 1 − x3
    6.   f ( x)=
                 1 + 3x
                 1 − ln x
    7.   f ( x)=
                 1 + lg 3 x
    8.   f ( x )= x 3 − 3 x(        )(
                                     3
                                         x   )
                       x + ln x
    9.   f ( x )= 3
                       x − lg 3 x
    10. f ( x)= 3 3 x




                                                    | BOLETÍN DE TRABAJO nº 5 9
+



BOLETÍN DE TRABAJO nº 6

Calcula las derivadas de las siguientes funciones



    1.   f ( x)= 3 x 5
    2.   f ( x)= x 15 − x
                  1
    3.   f ( x )= 2
                 x
                 x3
    4.   f ( x)= 5
                 x
                 x −1
    5.   f ( x )= 5
                  x
    6.   f ( x)= 5 x 4
    7.  f ( x)= 4 x 5
                  1
    8. f ( x)=
                4
                  x5
                  1
    9. f ( x)=
                5
                  x4
                  x
    10. f ( x)=
                   x




                                                    | BOLETÍN DE TRABAJO nº 6 10
+



BOLETÍN DE TRABAJO nº 7

    Calcula las derivadas de las siguientes funciones



    1.   f ( x)= x x
    2.   f ( x )= x 5 x
                       x
    3.   f ( x)=       5
                   x
                   x5
    4.   f ( x)=
                       x
                       1
    5.   f ( x)=
                   x3 x
                     x
    6.   f ( x)=
                   x3 x
    7.   f ( x)= x 3 3 x 2
                   x3 3 x2
    8.   f ( x)=
                           x3
                   4
                       x5
    9.   f ( x)=
                   5
                       x4
                   x3 4 x5
    10. f ( x)=
                   x5 5 x4




                                                    | BOLETÍN DE TRABAJO nº 7 11
+



BOLETÍN DE TRABAJO nº 8

    Calcula las derivadas de las siguientes funciones


                                        1
    1.   f ( x )= 3 x 5 − 5 x 3 −
                                        x4
    2.   f ( x)=   ( x )( x )
                   3       5    5   3

                   3
                       x5
    3.   f ( x)=
                   5
                       x3
                           x5
    4.   f ( x)= 3
                       5
                           x3
                   3
                       x5 − 5 x3
    5.   f ( x)=
                   3
                       x5 + 5 x3
                   1 − 3 x5
    6.   f ( x)=
                   1 + 5 x3
                   5
                        x3
    7.   f ( x)=
                       1
                       x4
                       1
    8.   f ( x)=
                   5
                       x3
                       1
    9.   f ( x)=
                   3
                        x5
                       x4
    10. f ( x)=
                   5
                       x3




                                                    | BOLETÍN DE TRABAJO nº 8 12
+



BOLETÍN DE TRABAJO nº 9

Calcula las derivadas de las siguientes funciones



                             x4
    1.   f ( x)= 3
                         5
                                 x3
                                             5
                    1                   
    2.   f ( x)= 3 
                   5 3
                                         
                                         
                    x                   

    3.   f ( x)= 3   (x) 5           3
                                         5



    4.   f ( x)= 5   5
                             x3
                         x3
    5.   f ( x)= 5
                                 x
                     1− x
    6.   f ( x)= 3
                     1+ x
    7.   f ( x )= e
                 3

                     3
                         x5
    8.   f ( x)= e
    9.   f ( x)= 3 5 x
                             3
                 3               x5
    10. f ( x)= 5




                                                    | BOLETÍN DE TRABAJO nº 9 13
+



BOLETÍN DE TRABAJO nº 10

Calcula las derivadas de las siguientes funciones



    1.   f ( x)= ln 3 x
    2.   f ( x)= lg 3 3 x
    3.   f ( x )= lg 3 x 3
    4.   f ( x)= lg 3 3 x
    5.   f ( x)= 3 lg3 x
                      3
    6.   f ( x )= 3       x


    7.   f ( x )= lg 3 3 3 x
                          3
                              3x
    8.   f ( x)= 3lg3
    9.   f ( x)= 3 lg 3 3 x
    10. f ( x)= 3 ln x 3




                                                    | BOLETÍN DE TRABAJO nº 10 14
+



BOLETÍN DE TRABAJO nº 11

Calcula las derivadas de las siguientes funciones

    1.   f ( x)= ln x − e x − 3 x 2
    2.                          ( )
         f ( x)= (ln x )(− e x ) 3 x 2
                 ln x
    3.   f ( x )= x
                  e
                 ln( − x )
    4.   f ( x)=
                   3
                     x2
                  x −e − e x
    5.   f ( x)=
                 (ln x )3 x 2
                 1− ex
    6.   f ( x)=
                 1+ ex
                  1 − ln x
    7.   f ( x)=
                 1 + ln x 2

    8.   f ( x)=
                       ( )
                 (3 x ) 3 x 2
                     ln x
                     1 + ln x
    9.   f ( x)= 3
                     1 − ln x
    10. f ( x)= 3 e x( ) 2




                                                    | BOLETÍN DE TRABAJO nº 11 15
+



BOLETÍN DE TRABAJO nº 12

Calcula las derivadas de las siguientes funciones

         f ( x)= 3 (ln e x )
                                         2
    1.
    2.   f ( x)= 3 e ln x
    3.   f ( x)= ln 3 x 2
                             3       2

    4.   f ( x )= ln e           x


    5.   f ( x)= ln 3 e x
                   ln e x
    6.   f ( x)= 3
                    ex
                   1− x
    7.   f ( x)= 3
                     x
                     3   x
    8.   f ( x)= e e
    9.   f ( x)= e ln x
                         3
                             x2
    10. f ( x)= e ln




                                                    | BOLETÍN DE TRABAJO nº 12 16
+



BOLETÍN DE TRABAJO (Ana Fraga) (no soluciones)


Deriva:

              1− x2      
1. y = arcsen  2
               x         
                          
                         
                   π        
2. y = e − x · sen  − log x 
                   4        
               tg x
       2
3. y =  
       x
           2 5−3 x 
           cos x 
4. y = ln          
                   

          tg 2 x 3
5. y =
           e sen x
6. y = 3 x · arccos x
                              4
                      π
7. y = 10 cos 8  7 x − 
                      2

               (
8. y = ln 2 2 π−3     )
           1− x
9. y =
          e + e−x
           x



10. y = arctg 1 − x




                                  | BOLETÍN DE TRABAJO (Ana Fraga) (no soluciones) 17
+



EJERCICIOS VARIOS

Fuente Ana Fraga Vila

 1) Deriva las siguientes funciones:

              sen x
      y=             2
                                                    y = ln (3x2 − 5x)             y = e−2x · cos x
                 x

                                                            1+ x                     sen x
     y = cos3 x · cos x2                            y = ln                      y=         2
                                                           1− x                        x

     y = arcsen x                                   y = ( tg x) x                 y = sen 3 x · sen x 3

             1 − 2x                                   x
                                                             2
    y = cos                                       y= 3                          y = xsen x
             1 + 2x                                        x

     y = x2 · e−3x                                  y = ln (sen 2 x)             y = e−x · sen3 x


         cos x                                               2                           9x 2 − 3 
    y=x                                             y = tg       x                       x3 
                                                                                 y = ln           
                                                                                                  

         9x 2 − 3
    y=                                   y = xsen x                              y = ln (ex + cos x)
           x3

         x2 − 3
    y=       3− 5 x 2
                                         y = (3 x 2 ) tg x                       y = log ( cos x + 1 − 3x 2 )
         5

                                                  1 − 2x                             3 π
    y=L            sen ( 7 x − x 2 ) 3   y = cos                               y = tg  
                                                  1 + 2x                               x

                                               x      -x
                                                +
    y = arctg (1 − x 2 )                 y = e x e- x                           y = cos (sen x 3 )
                                             e -e

    y = x3 x                             y=        sen 2 x + ( x 2 − 1) 3       y = arctg 6 x 3

                   x                             1            
    y=                                   y = ln        + tg x                 y = e 2 − sen 3 ( x 2 )
             1 + 4x      2
                                                 cos x        




                                                                            | EJERCICIOS VARIOS 18
+



                                                                               2          x
     y = arctg x              y = (e x − 1) 3 x                       y=            2
                                                                                      + 2
                                                                           ( x − 1)    x −4


     y = ln   ( x)                     31
                               y = 2 tg                            y = e − x − (cos x + sen x)
                                         x

     y = tg2 (6x)


 2) Interpretación geométrica de la derivada de una función en un punto. Determina los
puntos de la
    curva y = x3 en los que la recta tangente es paralela a la recta y = 3x + 14



                                                          1
3) Halla la ecuación de la tangente a la hipérbola y =      en el punto x = 3.
                                                          x



4) Halla la ecuación de la tangente a la curva y = 2x3 − 6x2 + 4 en su punto de inflexión.



5) Halla la ecuación de la tangente a la curva y = 2 x + 1 en el punto de abscisa 12.



                                           9 2
6) )En qué puntos de la curva y = x 3 −      x + 6 x + 1 la recta tangente es paralela al eje OX?
                                           2



                                          8
7) Calcula a y b para que y = ax + b +      tenga en el punto (−2, −8) una tangente horizontal.
                                          x


 8) Halla p y q sabiendo que la función f (x) = x3 + px2 + q tiene un mínimo relativo en el
punto (2, 3).



9) Halla la ecuación de las tangentes a la curva y = x4 − 6x2 en sus puntos de inflexión.



10) Halla la ecuación de la recta tangente a la curva        y = 2x3 − 6x2 + 4 en su punto de
inflexión.

                                                               | EJERCICIOS VARIOS 19
+




11) Dada la parábola y = x2 − x
    a) Calcula la ecuación de la recta tangente en el punto de abscisa x0 = 1.

    b) ¿En qué punto de la parábola la recta tangente es paralela a la recta y = −x + 3?


                                              2x 3
12) Halla las asíntotas de la función y =     2
                                             x −4

                               2
                                 − 3x + 2
13) Asíntotas de la curva y = x2
                              x − 5x + 4

                                      x2 − x − 5
14) Halla las asíntotas de f ( x) =
                                          x
                                                                             x
15) Halla los puntos de corte con los ejes y las asíntotas de y =          2
                                                                           x −1

                                                                                             x
16) Calcula los máximos, mínimos y puntos de inflexión, si existen de la función y =       2
                                                                                           x −1

                                                   x3
17) Calcula las asíntotas de la función y =
                                               ( x − 4) 2

                                                                 x
18) Halla las asíntotas de la curva de ecuación y =          2
                                                            x − 10 x + 9

                                                                                     x + x +1
                                                                                      2
19) Estudia el crecimiento, decrecimiento, máximos y mínimos de la función: y =
                                                                                        x +1


20) Intervalos de crecimiento y decrecimiento, concavidad y convexidad de la función y =
x2(3 − 2x).


21) Estudia el crecimiento, decrecimiento, extremos relativos, curvatura y puntos de inflexión
de
     f ( x) = x 3 − 3 x 2 + 1 . Representarla gráficamente.



                                                                   | EJERCICIOS VARIOS 20
+


                                             2
                                               +1
22) Representa gráficamente la función y = x 2
                                           x −1

    Calculando    el   dominio     de definición, puntos de corte con los ejes, asíntotas,
intervalos de
    crecimiento y decrecimiento, máximos y mínimos.



23) Esboza la gráfica de y = 3 x 2 − 6 x



24) Dada la función f ( x) = x 3 − 3 x + 7.

    a) Calcula máximos, mínimos y puntos de inflexión

    b) Esboza su gráfica

    c) Escribe la ecuación de la recta tangente en su punto de inflexión.



                                                1 3
25) Representa gráficamente        f ( x) = −     x + x 2 , hallando: puntos de corte con los ejes,
                                                6
monotonía
    (crecimiento y decrecimiento), máximos, mínimos, curvatura y puntos de inflexión.



                                          x2
26) Estudia y representa gráficamente y = 2
                                         x +1



27) Halla b, c y d para que la función f ( x) = x 3 + bx 2 + cx + d tenga un punto de inflexión
en x = 3,
    pase por el punto (1, 0) y tenga un extremo en x = 5.


28) Representa gráficamente la función y = (2 − x)2 calculando previamente:
    a) Dominio de definición.
    b) Puntos de corte con los ejes.
    c) Intervalos de crecimiento y decrecimiento. Máximos y mínimos.


                                                                 | EJERCICIOS VARIOS 21
+



                                  x
29) Dada la función f ( x ) =
                                1+ x2
    a) Calcula: Intervalos de crecimiento y decrecimiento. Máximos y mínimos.
    b) Halla sus asíntotas.
    c) Esboza su gráfica




                                                                                | 22
+




    | 23
+




Fuente: IES Rego da auga


                           | 24
+




SOLUCIONES BOLETIN 1



    1.   f ( x)= 3 x 5 − 2 x 4 + 5 x 3 − 3 x − 1 → f ' ( x) = 15 x 4 − 8 x 3 + 15 x 2 − 3
    2.                                            ( )
         f ( x)= (−2 x 3 )(4 x 2 ) → f ' ( x) = − 6 x 2 (4 x 2 ) + (−2 x 3 )(8 x) = −24 x 4 − 16 x 4 = −40 x 4

    3.   f ( x)=
                   3x 2
                          → f ' ( x) =
                                       (6 x )(2 x ) − (3x )(6 x ) = 12 x − 18 x
                                               3          2    2          4        4
                                                                                       =
                                                                                           − 6x 4  −3
                                                                                                  = 2
                   2x3                           (2 x )
                                                    3 2                 4x    6
                                                                                            4x 6
                                                                                                   2x
    4.   f ( x)= (−2 x 3 )(2 x ) → f ' ( x) = (−6 x 2 )(2 x ) + ( −2 x 3 )(2 x ln 2)
                 x +1                1( x − 1) − ( x + 1)1        −2
    5.   f ( x)=        → f ' ( x) =                        =
                 x −1                       (x − 1) 2
                                                               (x − 1)2
                                1                          1
                                 lg 2 e (ln x ) − (lg 2 x ) 
                lg x
         f ( x)= 2 → f ' ( x) =                             x
                                  x
    6.
                 ln x                       (ln x ) 2


                cos x                            −1                  − senx ⋅ cos x − cos x ⋅ cos x − sen 2 x − cos 2 x
    7.   f ( x)=      = ctgx → f ' ( x) =              ⇔ f ' ( x) =                                     =
                senx                           sen 2 x                              sen 2 x                      sen 2 x
                3x              3 x ln 3 ⋅ x 3 − 3 x 3 x 2 3 x x 2 (ln 3 ⋅ x − 3 x +1 ) 3 x (ln 3 ⋅ x − 3 x +1 )
    8. f ( x)= 3 → f ' ( x)=                               =                           =
                x                         (x 3 )2                      x6                        x4
                 1                                    −3
    9. f ( x )= 3 = x −3 → f ' ( x ) = −3 x − 4 = 4
                x                                     x
                                                  1
                                   0 ⋅ ln x − 1
    10. f ( x)=
                 1
                     → f ' ( x) =                 x = −1
                                           2
                ln x                    ln x           x ln 2 x




                                                                                                        | 25
+



SOLUCIONES BOLETIN 2


                           1                      1        −1
                                              1 2 −1 1 2            1        1
    1.   f ( x)= x = x 2 → f ' ( x) =            x = x = 1 =
                                              2          2                2 x
                                                                  2x 2
                                                               −2
    2.   f ( x )= x − 2 → f ' ( x ) = −2 x − 2 −1 = −2 x −3 = 3
                                                                x
                    −2
                  x                                                   −5
    3.   f ( x)= 3 = x −5 → f ' ( x) = −5 x −5−1 = −5 x −6 = 6
                   x                                                  x
                       3    −2                            −3
    4.   f ( x)= 2 x − 3 x → f ' ( x) = 6 x + 6 x
                   1
    5.   f ( x )= − 2 = x 2 → f ' ( x ) = 2 x
                  x
                         1                         0(senx + cos x ) − 1(cos x − senx ) − (cos x − senx )
    6.   f ( x)=                   → f ' ( x) =                                        =
                  senx + cos x                               (senx + cos x )2            (senx + cos x )2
    7.   f ( x)=
                  senx − cos x
                                    → f ' ( x) =
                                                   (cos x + senx )(senx + cos x ) − (senx − cos x )(cos x − senx )
                  senx + cos x                                            (senx + cos x )2
                                       −1
                 1 − ln x
                                           (1 + ln x ) − (1 − ln x ) 1       −2
    8.   f ( x)=          → f ' ( x) = x                             x =
                 1 + ln x                        (1 + ln x ) 2
                                                                         x(1 + ln x )
                                                                                      2



    9.   f ( x)=
                 1− x2
                          → f ' ( x) =
                                                      (   ) (         )(
                                       (− 2 x ) 1 − x −2 − 1 − x 2 2 x −3      )
                 1 − x −2                               (
                                                     1 − x −2
                                                               2
                                                                 )
    10. f ( x)=
                  x−2  x
                         → f ' ( x)=
                                     (1 − 2   x
                                                  ln 2)(1 + 2 ) − (x − 2 )(2
                                                            x              x   x
                                                                                   ln 2)
                  1+ 2 x
                                                           (1 + 2 )
                                                                x 2




                                                                                                    | 26
+



    SOLUCIONES BOLETIN 3


                   e −1              0 ⋅ ln e − (e − 1) ⋅ 0
    1.   f ( x)=        → f ' ( x) =                        =0
                   ln e                     (ln e )2
                                                                                  1
    2.   f ( x )= xe x − x ln x → f ' ( x ) = 1 ⋅ e x + xe x − 1 ln x − x           = e x + xe x − ln x − 1
                                                                                  x
                                                                1
    3.   f ( x )= e x ⋅ ln x → f ' ( x ) = e x ⋅ ln x + e x ⋅
                                                                x
                                                            1
                     x                 e x ⋅ ln x − e x ⋅
                    e                                       x
    4.   f ( x)=        → f ' ( x) =
                   ln x                       ln 2 x

                  1− e   x
                                           (− e )(1 + ln x ) − (1 − e ) 1 
                                                x
                                                                        
                                                                             x


    5.   f ( x)=          → f ' ( x) =
                                                                         x        
                 1 + ln x                              (1 + ln x )      2


                                                         1
    6.   f ( x )= (1 − ln x )( x + e x ) → f ' ( x ) = (− )( x + e x ) + (1 − ln x )(1 + e x )
                                                         x
                                         e −1
    7.   f ( x)= x → f ' ( x) = ex
                    e


    8.   f ( x)= x e ⋅ e x → f ' ( x) = ex e −1 ⋅ e x + x e ⋅ e x

    9.   f ( x)=
                   1+ ex
                         → f ' ( x) =
                                      (e x )(1 − e x ) − (1 + e x )(− e x )
                   1− ex                          (1 − e x )2
                                        1                         x 1

                ln x − e     x
                                             x         x
                                                            (            x
                                         − e  ln x + e − ln x − e  + e  ) (         )
                           → f ' ( x) =                            x   
                                          x
    10. f ( x)=
                ln x + e x
                                                      ln x + e x 2
                                                                    (             )




                                                                                                              | 27
+



SOLUCIONES BOLETIN 4



    1.   f ( x)= x 3 ⋅ 3 x → f ' ( x) = 3 x 2 ⋅ 3 x + x 3 ⋅ 3 x ln 3
                                                                1      
                                       3 x ln 3(lg 3 x ) − 3 x  lg 3 e 
                  3  x
                                                                x      
    2.   f ( x)=          → f ' ( x) =
                 lg 3 x                             (lg 3 x ) 2


                                         x       1        x                        x       1       
                3 + lg 3 x
                    x                                                  (           ) (             )
                                         3 ln 3 + lg 3 e  3 − lg 3 x − 3 + lg 3 x  3 ln 3 − lg 3 e 
                                                                          x


                           → f ' ( x) =                                                            
                                                  x                                           x
    3.   f ( x)= x
                3 − lg 3 x                                       3 − lg 3 x
                                                                    x       2
                                                                               (          )
    4.   f ( x)= senx ⋅ tgx → f ' ( x) = cos x ⋅ tgx + senx ⋅ (1 + tg 2 x)
                                                                           2
    5.   f ( x)=
                 senx
                      (= cos x ) → f ' ( x) = cos x ⋅ tgx − senx ⋅ (1 + tg x) = .... = − senx
                  tgx                                       tg 2 x

    6.   f ( x)=
                 x − senx
                           → f ' ( x) =
                                         (1 − cos x )(x + cos x ) − (x − senx )(1 − senx )
                 x + cos x                                 (x + cos x )2
    7.   f ( x)=
                   cos x − senx
                                → f ' ( x) =
                                                                                                        (
                                             (− senx − cos x )(tgx + cos x ) − (cos x − senx ) (1 + tg 2 x) − senx           )
                    tgx + cos x                                        (tgx + cos x )2

                                                                                                           1
                 cos x ⋅ senx
                                               (− sen   2
                                                                           )
                                                            x + cos 2 x (tgx ⋅ cos x ) − (cos x ⋅ senx )      2
                                                                                                                  ⋅ cos x + tg 2 x ⋅ (− senx
    8.   f ( x)=              → f ' ( x) =                                                                 cos x
                  tgx ⋅ cos x                                                            (tgx ⋅ cos x ) 2




    9.   f ( x)=
                cos x − 1
                          → f ' ( x) =
                                                                                      (
                                       (− senx − 1)(tgx + x ) − (cos x − 1) 1 + tg 2 x + 1          )
                 tgx + x                                    (tgx + x )2
    10. f ( x)=
                x − senx
                          → f ' ( x) =
                                        (1 − cos x )(x + cos x ) − (x − senx )(1 − senx )
                x + cos x                                 (x + cos x )2




                                                                                                            | 28
+



SOLUCIONES BOLETIN 5


                                                                                1
    1.   f ( x)= x 3 − 3 x − 3 x → f ' ( X ) = 3 x 2 − 3 x ln 3 −
                                                                             3⋅ 3 x2

    2.   f ( x)=   ( x )(3 ) → f ' ( x) = 
                   3        x
                                        3
                                          
                                          
                                              x 3
                                           2 
                                                     1
                                              3 + x 3 x ln 3   ( ) ( )(            )
                                     3⋅ x 
                                 1
                                  lg 3 e (3 ) − (lg 3 x )(3 ln 3)
                                           x                x
                lg x
         f ( x)= 3x → f ' ( x) =         
                                   x
    3.
                 3                             (3 x )2
                ln x              1
    4.   f ( x)= 3 → f ' ( x ) = 3
                 3              3 ⋅x
                                                                                                   1                        1      
                                                    (3x   2
                                                                       )(           ) (               )      
                                                              − 3 x ln 3 (lg 3 x )3 x − x 3 − 3 x   lg 3 e 3 x + (lg 3 x )
                                                                                                   x                        3 2
                                                                                                                                      
                                                                                                                                      
                       x3 − 3x                                                                                              3⋅ x   
    5.   f ( x)=                     → f ' ( x) =
                   (lg 3 x )3    x                                                        ((lg   3   x )3 x   )
                                                                                                              2




    6.   f ( x)=
                   1 − x3
                          → f ' ( x) =
                                       (3x 2 )(1 + 3 x ) − (1 − x 3 )(3 x ln 3)
                   1 + 3x                            (1 + 3 x )2
                                         1                           1       
                                          (1 + lg 3 x ) − (1 − ln x ) lg 3 e 
                 1 − ln x
                            → f ' ( x) =                             x       
                                          x
    7.   f ( x)=
                 1 + lg 3 x                          (1 + lg 3 x ) 2


                                                                                                             1 
    8.                          ( )                                   ( )                        ( )
         f ( x)= x 3 (− 3 x ) 3 x → f ' ( x) = (3x 2 )(− 3 x ) 3 x + (x 3 )(− 3 x ln 3) 3 x + (x 3 )(− 3 x )
                                                                                                             3 2
                                                                                                                   
                                                                                                             3⋅ x 
                                                                     1                                  1        
                                                                     1 + (x − lg 3 x ) − ( x + ln x )1 − lg 3 e  
                     x + ln x                          1                  x                             x        
    9.   f ( x)= 3               → f ' ( x) =
                                                                  2                                                  
                    x − lg 3 x                    x + ln x                            (x − lg 3 x ) 2
                                                                                                                      
                                                  x − lg x  
                                              33                                                                    
                                                           3   

                                 x
                                    3x
                                            
                   3
                                    3 ln 3  ⋅ 1
    10. f ( x)= 3 = 3 → f ' ( x) = 
                        x        3
                                             3
                                           




                                                                                                                  | 29
+



SOLUCIONES BOLETIN 6




    1.   f ( x)= 3 x 5 → f ' ( x) = 15 x 4
    2.   f ( x)= x 15 − x → f ' ( x) = 15 x14 − 1
                  1                                −2
    3.   f ( x )= 2 = x − 2 → f ' ( x ) = −2 x −3 = 3
                  x                                 x
                    3
                  x                                −2
    4.   f ( x)= 5 = x −2 → f ' ( x) = −2 x −3 = 3
                  x                                x
                  x −1                                             −4 5
    5.   f ( x )= 5 = x − 4 − x −5 → f ' ( x ) = −4 x −5 + 5 x −6 = 5 + 6
                   x                                                x  x
                                                1
                           4               4 −       5
    6.   f ( x)= 5 x 4 = x 5 → f ' ( x) = x 5 = 5
                                           5       5 x
                                    5                       1
                   4       5             5     54 x
    7.   f ( x)= x = x → f ' ( x) = x 4 =
                                    4
                                         4       4
                          −5                  −9
                   1                       −5 4     −5
    8.   f ( x)=       = x 4 → f ' ( x) =    x =
                 4
                   x 5                     4       4 x9
                                                    4

                                     −4                           −9
                       1                                  −4 5   −4
    9.   f ( x)=               =x    5
                                             → f ' ( x) =   x =
                   5
                       x4                                 5     55 x 9
                                         1       1
                       x            1−                                 1
    10. f ( x)=                =x        2
                                             = x 2 → f ' ( x) =
                       x                                          2 x




                                                                            | 30
+



SOLUCIONES BOLETIN 7


                                             1            3                                3                   1
                                        1+    3 2 −1 3 2 3
    1.   f ( x)= x x = x                     2
                                                  = x 2 → f ' ( x) =
                                                x = x =            x
                                              2          2    2
                             1     11                 11      9
                  5
                          5+                    11 2 −1 11 2 11 9
    2.   f ( x)= x x = x     2
                               = x → f ' ( x) = x
                                    2
                                                          = x =         x
                                                 2         2        2
                       1        −9                   −9        −11
                   x     −5                   − 9 2 −1 − 9 2           −9
    3.   f ( x)= 5 = x 2 = x 2 → f ' ( x) =        x     =   x =
                 x                             2           2          2 x 11
                                            1             9                               9                    7
                   x5                  5−                        9 −1 9       9 7
    4.   f ( x)=               =x           2
                                                 = x → f ' ( x) = x 2 = x 2 =
                                                          2
                                                                                x
                       x                                         2     2      2
                                                 1            −4                                     −4                     −7
                       1                −1−                                     − 4 3 −1 − 4                                              −4
    5.   f ( x)=                 =x              3
                                                      =x       3
                                                                   → f ' ( x) =    x    =    x                               3
                                                                                                                                  =
                   x x 3
                                                                                 3        3                                           3 x73

                                                      1            −5                                     −5                     −7
                           x                 1− 3−                                            − 5 2 −1 − 5                                     −5
    6.   f ( x)=                       =x             2
                                                          = x 2 → f ' ( x) =                     x    =    x                      2
                                                                                                                                      =
                   x   3
                               x                                                               2        2                                 22 x 7
                                                      2         11                                   11                8
                       33          2
                                                 3+                                 11 −1 11    11
    7.   f ( x)= x             x =x                   3
                                                          =x     3
                                                                        → f ' ( x) = x 3 = x 3 = 3 x 8
                                                                                     3     3     3
                                                   2 3                  22−9         13                                13                       7
                   x3 3 x 2                      3+ −                                                 13 −1 13     −56 7
    8.   f ( x)=                       =x          3 2
                                                              =x          6
                                                                                =x    6
                                                                                          → f ' ( x) = x 6 = x 6 =    x
                            x3                                                                         6     6     2
                                        5 4                   25−16             9                                  9                      −11
                   4
                       x5                −                                                        9 20 −1 9 20       9
    9.   f ( x)=                 =x     4 5
                                                      =x       20
                                                                        =x      20
                                                                                     → f ' ( x) =    x   =    x =
                   5
                       x4                                                                         20       20       20 11
                                                                                                                  20 x
                                                   5    4                       25−16          −39                                            −39   −59
                   x3 4 x5                       3+ −5−                   −2+                                     − 39 20 −1 − 39 20  − 39
    10. f ( x)=                        =x          4    5
                                                                   =x            20
                                                                                        =x     20
                                                                                                     → f ' ( x) =     x     =    x =
                   x5 5 x 4                                                                                        20         20     2020 x 59




                                                                                                                                                     | 31
+



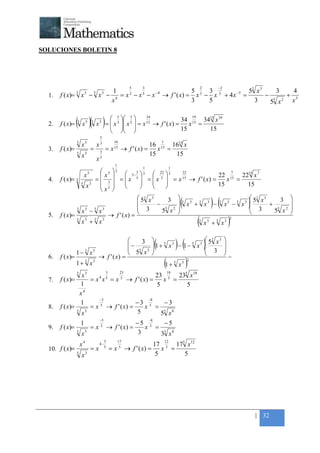
SOLUCIONES BOLETIN 8




                                                                        5    3                                         2        −2
                   3     1 5          −45          5 3 3 5
                                                    3          −5 52 x 3      3     4
    1.   f ( x)= x − x − 4 = x − x − x → f ' ( x) = x − x + 4 x =
                              3   5
                                                                         −        + 5
                        x                          3   5            3       5
                                                                           5 x  2  x


                   ( x )( )                      5  5 
                                                        3     34              19
                                                                           34 15 3415 x 34
    2.   f ( x)=   3        5       5
                                            x =  x  x  = x → f ' ( x) = x =
                                                3
                                                
                                                   3 
                                                          
                                                              15

                                                                       15      15
                                                5
                   3       5                                  16                          1
                       x                    x   3
                                                                               16 15 1615 x
    3.   f ( x)=                    =           3
                                                        =x    15
                                                                   → f ' ( x) = x =
                   5
                       x3                       5
                                                                               15     15
                                            x
                                                              1
                                                                             1                     1
                                5
                                5  3  5− 3  3  22  3         22                 7     15 7
         f ( x)= 3
                         x     x
                              = 3
                                         x 5  =  x 5  = x 15 → f ' ( x) = 22 x 15 = 22 x
    4.
                       5    3
                                5 =
                                                                           15          15
                          x
                               x                     


                   3
                                               52 x 3
                                              
                                               3
                                                       −
                                                           3 3 5 5 3
                                                         55 x 2 
                                                                                            2 3
                                                                 x + x − 3 x5 − 5 x3  5 x + 3
                                                                                            3   55 x 2
                                                                                                           (                   )(         )          
                                                                                                                                                     
                                                                                                                                                     
                       x5 − 5 x3
    5.   f ( x)=                 → f ' ( x) =                                                                                                     
                   3
                       x5 + 5 x3                                     3
                                                                        x5 + 5 x3
                                                                                   2
                                                                                                                   (                  )
                                                                        
                                                                        −
                                                                            3
                                                                         5 2
                                                                                  
                                                                                      (                )(
                                                                                                         52 x 3
                                                                                   1 + 5 x3 − 1 − 5 x3 
                                                                                                        3
                                                                                                                           )         
                                                                                                                                     
                                                                                                                                     
                   1 − 3 x5                                              5 x                                                      −
    6.   f ( x)=                            → f ' ( x) =
                   1 + 5 x3                                                                   (1 + x ) 5   3
                                                                                                               2


                                                        3          23                          18
                   5
                    x3                              23 5 235 x18
    7.   f ( x)=       = x 4 x 5 = x 5 → f ' ( x) =    x =
                   1                                5        5
                     4
                   x
                           −3                    −8
                   1                     −3 5          −3
    8.   f ( x)=       = x → f ' ( x) =
                            5
                                                x =
                 5
                    x3                    5           55 x 8
                                                −5                               −8
                       1                                                    −5 3   −5
    9.   f ( x)=                    = x 3 → f ' ( x) =                        x =
                   3
                       x5                                                   3     3 x8
                                                                                   3

                                                        3         17                          12
                       x4                       4−                                    17 5 175 x12
    10. f ( x)=                     =x                  5
                                                            = x 5 → f ' ( x) =           x =
                   5
                       x3                                                              5      5




                                                                                                                                              | 32
+




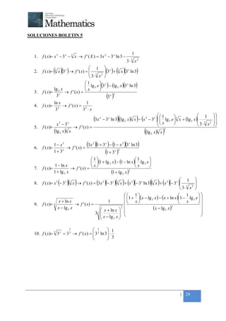
SOLUCIONES BOLETIN 9


                                                             1
                                                                                           1             1
                               4   4                     3  4− 3  3  17  3    17                 2
                            x     x                                                              17      1715 x 2
    1.   f ( x)= 3               = 3                      =  x 5  =  x 5  = x 15 → f ' ( x) = x 15 =
                                                                           
                          5
                             x 3
                                   5                                                         15        15
                                  x                     
                                                                              1

                    1 
                                               5       5 3                                   1
                                                       1                                                                         −1
    2.   f ( x)= 3     
                   5 3                            =  3  = x −3                        ( )  3   = x −1 → f ' ( x) = − x − 2 =
                    x                                5 ⋅5                                                                      x2
                                                      x 
                                                                         1

                      (x)
                                                                 5
                                                                    3
                                                      ( )
                                           5
    3.   f ( x)= 3        5            3
                                                   =  x3
                                                     
                                                                 5
                                                                      = x → f ' ( x) = 1
                                                                     
                                                                    
                                                         1
                                                               − 22
                                  5 5
                                    3      3
    4.   f ( x )= 5   5        3
                                  x  = x 25 → f ' ( x ) = 3 x 25 =
                              x = 
                                                                        3
                                                          25         25 22
                                                                     25 x
                                                         1
                                                                                      1
                               3
                          5  5 5
                               3              1
                          
                          x   x                                  1
    5.   f ( x)= 5             =  x 2  = x 2 = x → f ' ( x) =
                             = 1  
                           x  2                              2 x
                             x

                   1− x
                                                  −2  − 1 
                                                     
                                                     
                                      1 1− x  3  2 x   
                                                                          1 
                                                            1+ x − 1− x 
                                                                             
                                                                                                               (        ) (            )
    6.   f ( x)= 3      → f ' ( x) =                                  2 x 
                   1+ x               3 1+ x                 1+ x
                                                                     2
                                                                                                                     (         )
    7.   f ( x)= 3 e → f ' ( x) = 0
                      3
                          x5
                                                                     3
                                                                         x5       53 2
    8.   f ( x )= e                → f ' ( x) = e                                   x
                                                                                  3
                                               x                                      x
                                                                                                   1
    9.   f ( x)= 3 5 x = 5 3 → f ' ( x) = 5 3 ⋅ ln 5 ⋅
                                                                                                   3
                                                             1
                                                                                                                                        9
                                                                                          −4                                                x5
                                              3         3
                                                     5                            5                      5
                 3         3       5                                                    5      5 ⋅ ln 5 ⋅ 5
                                           = 5x          = 5 x → f ' ( x) = 5 x ln 5 ⋅ x 9 =
                                                                9                9
    10. f ( x)= 5              x
                                                        
                                                                                      9           99 x 5




                                                                                                                                                 | 33
+



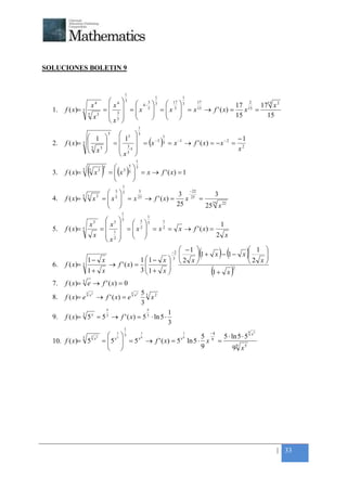
SOLUCIONES BOLETIN 10



                                                         1               1
    1.   f ( x)= 3 lg 3 3 x → f ' ( x) =
                                                                                    x
                                                                                          (
                                                                         x lg 3 e  ⋅ 3 ln 3 )
                                                     (
                                             33 lg 3 3             )
                                                                  x 2   3         
                                                     1              1  2
    2.   f ( x)= 3 ln x 3 → f ' ( x) =                              3  3x ( )
                                             3
                                         3 ln x  (            )
                                                             3 2   x 

                                        1           1 
    3.  f ( x)= lg 3 3 x → f ' ( x) =  3 lg 3 e 
                                                    3 2      
                                        x           3 ⋅ x 
                                       1        
    4. f ( x)= lg 3 3 x → f ' ( x) =  x lg 3 e (3 x ln 3)
                                      3         
                                     1 
    5. f ( x)= ln 3 x → f ' ( x) =  x (3 x ln 3)
                                    3 
                                       1        
    6. f ( x)= lg 3 x 3 → f ' ( x) =  3 lg 3 e (3 x 2 )
                                      x         

    7. f ( x)= lg 3 3 3 x → f ' ( x) = 
                                          1
                                         3 x
                                                                    1
                                                lg 3 e  3 3 x ln 3  
                                                                    3
                                                                        (         )
                                          3           
                                                1
                                     (                   )
    8. f ( x)= 3 lg3 x → f ' ( x) = 3lg3 x ln 3  lg 3 e 
                                                           
                                                x         
                 3
                                    (3
    9. f ( x)= 3 x → f ' ( x) = 3 x ln 3 
                                               1 
                                               3 2 )    
                                               3⋅ x 
                     3 x
                                         (  3 x
    10. f ( x)= 3lg3 3 → f ' ( x) = 3lg3 3 ln 3 
                                                      1
                                                     3 x          )            1
                                                             lg 3 e  3 3 x ln 3  
                                                                                3
                                                                                      (       )
                                                      3            




                                                                                                  | 34
+



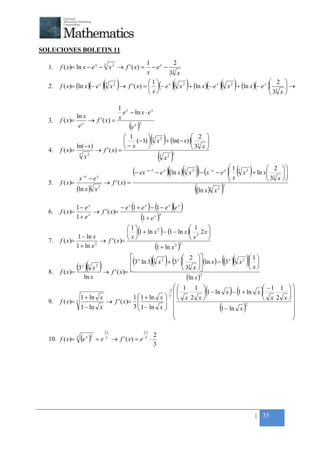
SOLUCIONES BOLETIN 11

                                                                           1           2
    1.   f ( x)= ln x − e x − 3 x 2 → f ' ( x) =                              − ex − 3
                                                                           x        3 x
    2.   f ( x)= (ln x ) − e x      (           )(
                                                 3
                                                      x2   )                1
                                                                             x
                                                                                                       ( )                          ( ) 2 
                                                               → f ' ( x) =  (− e x ) 3 x 2 + (ln x )(− e x ) 3 x 2 + (ln x )(− e x ) 3  →
                                                                                                                                           
                                                                                                                                       3 x 

                                1 x
                                  e − ln x ⋅ e x
                ln x
    3.   f ( x)= x → f ' ( x) = x
                 e                  ex
                                        2
                                                                   ( )
                   ln(− x)
                                                                 1
                                                                
                                                                −x
                                                                         
                                                                         
                                                                                 ( )          2 
                                                                    (−1)  3 x 2 + (ln(− x) ) 3 
                                                                                                 
                                                                                             3 x 
    4.   f ( x)=                        → f ' ( x) =
                       3
                               x2                                                  (x)    3       2
                                                                                                       2




                                                                                  − e )((ln x )( x )) − (x − e ) ( x ) + ln x
                                                                                                                1             2 
                                                                     (− ex   − e −1           x                3
                                                                                                                x
                                                                                                                   2       −e
                                                                                                                                   
                                                                                                                                    
                                                                                                                                        x         3       2

                       x   −e
                                 −e     x
                                                                                                                              3 x 
                                                                                                                                                                     3
    5.   f ( x)=                                → f ' ( x) =
                   (ln x )3             x2                                                         ((ln x) x )             3    2
                                                                                                                                        2




                 1− ex             − e x (1 + e x ) − (1 − e x )(e x )
    6.   f ( x)=       → f ' ( x)=
                 1+ ex                        (1 + e x )2
                                        1                        1
                  1 − ln x
                                                                        ( 
                                          1 + ln x − (1 − ln x ) 2 2 x 
                                                    2
                                                                                          )
                            → f ' ( x)=                         x      
                                         x
    7.   f ( x)=
                 1 + ln x 2
                                                    1 + ln x 2 2
                                                                                      (                    )
                   (3 )(   x    3       2
                                            )
                                                             x
                                                             3 ln 3(            )(  3
                                                                                              )      2 
                                                                                                      ( )
                                                                                          x 2 + 3 x  3  (ln x ) − 3 x
                                                                                                           
                                                                                                     3 x 
                                                                                                                                        (( )( x )) 1 
                                                                                                                                              3       2

                                                                                                                                                      x
                                                → f ' ( x)= 
                                   x
    8.   f ( x)=
                               ln x                                                                   (ln x )2

                       1 + ln x        1  1 + ln x 
                                                                                                  −2
                                                                                                        1 1 
                                                                                                             
                                                                                                        x 2 x 
                                                                                                                       (                   ) (
                                                                                                                                       −1 1  
                                                                                                                 1 − ln x − 1 + ln x        
                                                                                                                                                              )
    9.   f ( x)= 3          → f ' ( x)=            
                                                                                                  3
                                                                                                                                       x 2 x 
                   1 − ln x            3  1 − ln x 
                                                   
                                                                                                       
                                                                                                       
                                                                                                       
                                                                                                                        1 − ln x
                                                                                                                                 2
                                                                                                                                    (           
                                                                                                                                                
                                                                                                                                                
                                                                                                                                                      )
                                                                                                                                               

                                                 2x                         2x
                                                                                     2
    10. f ( x)=    3
                       (e )    x 2
                                        =e       3
                                                      → f ' ( x) = e        3
                                                                                 ⋅
                                                                                     3




                                                                                                                                                              | 35
+



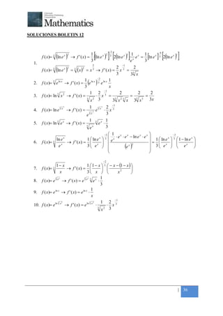
SOLUCIONES BOLETIN 12



                                                            [(               ) ] [2(ln e ) ]e1 e                            ] [2(ln e ) ]
                                                                                  −2                                         −4
                    (
         f ( x)= 3 ln e x           )
                                    2
                                        → f ' ( x) =
                                                       1
                                                       3
                                                         ln e x
                                                                              2   3           x 1
                                                                                                    x
                                                                                                        x
                                                                                                            =
                                                                                                                1
                                                                                                                3
                                                                                                                  [
                                                                                                                  ln e x     3              x 1


    1.                                                  2                                     −1
                                                                                            2 3    2
                    (
         f ( x)= 3 ln e x           )
                                    2
                                        = 3 (x ) = x 3 → f ' ( x) =
                                               2

                                                                                            3
                                                                                              x = 3
                                                                                                 3 x
                                      1 ln x −32 ln x 1
    2.   f ( x)= 3 e ln x → f ' ( x) =
                                      3
                                         e      e  ( )x
                                                  −1
                                         1 2 3              2        2     2
    3.   f ( x)= ln 3 x 2 → f ' ( x) =      ⋅ x =                 =      =
                                       3
                                          x2 3          33 x 2 3 x 33 x 3 3x
                                                                                       −1
                        3       2
                                                   1 2           3       2

    4.   f ( x)= ln e     → f ' ( x) = 3 2 e ⋅ x 3
                            x                                        x

                                       e x           3
                                         1 3 x 1
    5.   f ( x)= ln 3 e x → f ' ( x) =         e ⋅
                                       3
                                         ex          3
                                                   −2  1                                                                                  −2
                                                       ⋅ e ⋅ e − ln e ⋅ e
                                                            x   x     x    x
                                                                                                                      
                   ln e x              1  ln e x  3  e x                                                           =   1  ln e x      3     1 − ln e x   
    6.   f ( x)= 3 x → f ' ( x) =  x                                                                                                                       
                     e                 3 e  
                                                           (e x )2                                                     3  ex
                                                                                                                             
                                                                                                                                        
                                                                                                                                        
                                                                                                                                                  ex
                                                                                                                                                 
                                                                                                                                                                
                                                                                                                                                                
                                                                                                                      
                                                                                                                     

                                                                             −2
                   1− x                    1  1 − x  3  − x − (1 − x ) 
    7. f ( x )= 3        → f ' ( x) =                                  
                       x                   3 x                x2       
                  3 x                   3 x           1
    8. f ( x )= e e → f ' ( x ) = e e 3 e x ⋅
                                                      3
                                               1
    9. f ( x )= e ln x → f ' ( x ) = e ln x ⋅
                                               x
                                                              −1
                     3
                  ln x 2
                                             3
                                           ln x 2     1 2 3
    10. f ( x)= e        → f ' ( x) = e           ⋅      ⋅ x
                                                    3
                                                      x2 3




                                                                                                                                                  | 36
+



SOLUCION PROBLEMAS ANA FRAGA


2)    (1, 1) , (−1, −1)

           1    1
3)    y−     = − (x − 3)
           3    9

4)    y = −6(x − 1)

                1
5)    y−5=        (x − 12)
                5
6)    (1, 3,5) , (2, 3)
7)    a = 2, b = 0

8)    p =−3; q = 7

9)    y + 5 = 8(x + 1), y + 5 = −8(x − 1)

10)   y = −6(x − 1)

11)   a) y = x − 1         b) (0, 0)

12)   x = 2,     x = −2,      y = 2x

13)   x = 4,    y=1

14)   x = 0,    y=x−1

15)   (0, 0),    x = −1,      x = 1,   y=0

16)   Punto de inflexión (0, 0)
17)   x = 4, y = x + 8
18)   x = 1,     x = 9,      y=0

19) Creciente en ]−∞, −2[ ∪ ]0, +∞[. Decreciente en ]−2,−1[ ∪ ]−1, 0[. Mínimo (0, 1).
    Máximo (−2,−3)

20) Creciente en ]0, 1[. Decreciente en ]−∞, 0[ ∪ ]1, +∞[.
    Convexa en ]−∞, 1 / 2 [. Cóncava ] 1 / 2 , +∞ [




                                                                                | 37
+



21)   Creciente en ]−∞,0[ ∪ ]2,+ ∞ [. Decreciente en ]0, 2[. Mínimo (2, −3). Máximo (0, 1)

      Convexa en ]1, +∞[. Cóncava ]−∞, 1[. Punto de inflexión (1, −1)




22)                                       24)




24)   a) Mínimo (1, 5). Máximo (−1, 9). Punto de inflexión (0, 7)

      b)




      c) y − 7 = −3x


25)                                      26)




27)   b = −9,   c = 15,      d = −7

                                                                                | 38
+



28) a) D = R;      b) (0, 4) (2, 0)   c) Decreciente en ]− ∞, 2[ ; Creciente en ]2, +∞[.
Mínimo (2, 0)




29) a) Creciente en ]−1, 1[. Decreciente en ]−∞, 1[ ∪ ]1, +∞[. Máximo (1, 1 / 2 ), mínimo
(−1, − 1 / 2 )

    b) y = 0




                                                                               | 39
+



U⌀ℕℤℚ∊ℝℂℙℐΩ⇐⇒⇔⇏∊∉∈∅⇾≈≔⇎⇝≡ℤ≤≥≲≳≴≵≮≯∀⇒∊≠∅⊂⟇·∃
A⨯Bεαβηθλµξσφφδεε

·∅U∩∪∼∿⊂⊃⊆⊇⊄⋂⋃⊅∧∨U⤳≮≠|∂∆√±∞ǀǁƟƩǃξχ∘6⊕⊗⊛⋅♫♯
⨁⨂✘✔×




                                               | 40

Derivadas

  • 1.
  • 3.
    NOTA La clasificación decimal de todos los temas de este manual tienen implícito el comienzo 1.1.4.6.1 correspondiente a 1 SCIENCE 1.1 MATHEMATICS 1.1.4 ANALYSIS 1.1.4.6 .1 DIFERENCIACION COPYLEFT Este material así como los applets, powerpoints, videos y archivos de sonido asociados, puede ser distribuido bajo los términos y condiciones definidos en Open Publication License versión 1.0 o posterior (La versión más reciente está disponible en http://www.opencontent.org/openpub/). El contenido está sujeto a constantes cambios sin previo aviso. Su fin es didáctico y solo pretende la universalización de la cultura. Está escrito en base a la colaboración de las miles de personas que componen nuestra comunidad OpenUepc. Se ha exigido a los autores que referencien todas las fuentes utilizadas y figuran al final del texto. Cualquier distribución del mismo debe mencionar a OpenUepc como fuente. Miguel Pérez Fontenla miguelperez@edu.xunta.es INDICE AUTORES Iniciado por: Miguel Pérez Fontenla 22/01/2010
  • 5.
    TABLA DE DERIVADAS Función Derivada Ejemplos Constante y=k y'=0 y=8 y'=0 Identidad y=x y'=1 y=x y'=1 Funciones potenciales Funciones exponenciales Funciones logarítmicas
  • 6.
    Funciones trigonométricas Derivadas de sumas, restas, productos y cocientes de funciones
  • 7.
    Regla de lacadena ( g o f ) ( x) = { g [ f ( x)]} ' = g '[ f ( x)] ⋅ f '( x) '
  • 8.
    + COLECCIÓN DE 20EJERCICIOS Presento a continuación una colección de 20 derivadas resueltas que de saberlas hacer todas, es presumible que estas perfectamente preparado en lo que respecta al cálculo de derivadas. 1.- Calcular la derivada de la función f(x)= x – cos x π 2.- Calcular la derivada de la función f ( x ) = x 4 − sin x − ln x en x= 2 + 3.- Calcular la derivada de la función f ( x) = x ln x x∈ 2 4.- Calcular la derivada de la función f ( x) = x sin x x sin x − 1 5.- Calcular la derivada de la función f ( x ) = x3 x tan x − cos x 6.- Calcular la derivada de la función f ( x ) = ln x 2 7.- Calcular la derivada de la función f ( x) = cos x 8.- Calcular la derivada de la función f ( x) = ln cos x 9.- Calcular la derivada de la función f ( x) = e x sin x 10.- Calcular la derivada de la función f ( x) = ln(ln x) 11.- Calcular la derivada de la función f ( x) = sen 2 ( x 2 ) 12.- Calcular la derivada de la función f ( x ) = x 3 + lg 2 x 2 2 x −1  13.- Calcular la derivada de la función f ( x ) = 3     x  x 14.- Calcular la derivada de la función f ( x ) = arctan x +1 ln x 15.- Calcular la derivada de la función f ( x ) = arc sec x 16.- Calcular la derivada de la función f ( x) = x x 17.- Calcular la derivada de la función f ( x) = xl n x 18.- Calcular la derivada de la función f ( x) = x tan x 1 1− x 19.- Calcular la derivada de la función f ( x) = ln 2 1+ x 20.- Calcular la derivada de la función f ( x) = ln x + x 2 + 1 Ejercicios Propuestos Calcular la derivada de la función f ( x) = ln x + x 2 − 1 1 1+ x Calcular la derivada de la función f ( x) = ln 2 1− x | COLECCIÓN DE 20 EJERCICIOS 1
  • 9.
    + Soluciones 1.- Calcular laderivada de la función f(x)= x – cos x f '( x) = ( x − cos x ) ' = x '− cos' x = 1 − (− sin x) = 1 + sin x π 2.- Calcular la derivada de la función f ( x ) = x 4 − sin x − ln x en x= 2 3 1 π  π  π 1 π3 2 π4 −4 f '( x) = ( x 4 − sin x − ln x ) = 4 x 3 − cos x − ; f '   = 4   − cos − = ' − = x 2 2 2 π 2 π 2π 2 + 3.- Calcular la derivada de la función f ( x ) = x ln x x ∈ Al estar definido x>0 ya no tenemos problemas con la definición de la función, pues sólo tendríamos problemas si apareciesen neperianos de números negativos 1 f '( x) = ( x ln x ) ' = x 'ln x + x ( ln x ) ' = 1⋅ ln x + x   = ln x + 1  x 4.- Calcular la derivada de la función f ( x) = x 2 sin x f '( x ) = ( x 2 sin x ) ' = ( x 2 ) 'sin x + x 2 ( sin x ) ' = 2 x ⋅ sin x + x 2 cos x x sin x − 1 5.- Calcular la derivada de la función f ( x ) = x3  x 'sin x + x ( sin x ) '− 0  x − ( x sin x − 1) x  3 ( sin x + x cos x ) x 3 − x 4 sin x + x3 ' 3  x sin x − 1   f '( x ) =   = = = ...  x3  x6 x6 sin x + x cos x − x sin x + 1 ... = x3 x tan x − cos x 6.- Calcular la derivada de la función f ( x ) = ln x  x tan x − cos x  '  x ' tan x + x ( tan x ) '− ( cos x ) ' ln x − ( x tan x − cos x )( ln x ) '   f '( x ) =   = = ...  ln x  ln 2 x 1 ( tan x + x tan 2 x + sin x ) ln x − ( x tan x − cos x ) x ... = ln 2 x 7.- Calcular la derivada de la función f ( x) = cos x 2 f '( x) = ( cos x 2 ) = − sin x 2 ( 2 x ) = −2 x sin x 2 ' 8.- Calcular la derivada de la función f ( x) = ln cos x 1 f '( x ) = ( ln cos x ) = ' ( − sin x ) = − tan x cos x | COLECCIÓN DE 20 EJERCICIOS 2
  • 10.
    + 9.- Calcular laderivada de la función f ( x) = e x sin x f '( x) = ( 3x cos x ) = 3x cos x ln 3 ( x cos x ) ' = 3x cos x ln 3 ( cos x − x sin x ) ' 10.- Calcular la derivada de la función f ( x) = ln(ln x) 1 1 1 f '( x ) = ( ln(ln x ) ) = ' ⋅ = ln x x x ln x 11.- Calcular la derivada de la función f ( x) = sen 2 ( x 2 ) f '( x) = ( sin 2 ( x 2 ) ) = 2 ( sin x 2 )( cos x 2 ) ( 2 x ) ' 12.- Calcular la derivada de la función f ( x ) = x 3 + lg 2 x 2 ( ) 1  2 1 '  f '( x ) = x 3 + lg 2 x 2 = 3 x + 2 lg 2 e ⋅ 2 x  2  2 x + lg 2 x  3 x  2 x −1  13.- Calcular la derivada de la función f ( x ) =    3  x  ' 2 −1   x − 1 2  2  x − 1  3 −1 x − ( x − 1) 2  x − 1  3 1 2 x f '( x ) =  3    =   2 =   2 = 2 3   3 x  3 x  x 3x x −1   x  x  x 14.- Calcular la derivada de la función f ( x ) = arctan x +1 ( x + 1)  1  2  x  ' 1  ( x + 1) − x  1 f '( x ) =  arctan  =  =  =  ( x + 1)2  x 2 + ( x + 1) 2  x + 1 2  2x + x +1  x + 1   x 2   ( )  2   +1    x +1 ln x 15.- Calcular la derivada de la función f ( x ) = arc sec x '  ln x  1 − ln x ln x  '     x  x2 f '( x) =  arc sec  = =  x  ln x  ln x  2 ln x  ln x  2   −1   −1 x  x  x  x  16.- Calcular la derivada de la función f ( x) = x x Este tipo de derivadas en las que aparecen variables en la base y en el exponente se resuelven tomando previamente logaritmos neperianos en la expresión a derivar, para posteriormente aplicar la Regla de la Cadena de la siguiente forma 1 1 f ( x ) = x x ⇔ ln f ( x ) = x ln x ⇒ ( ln f ( x ) ) ' = ( x ln x ) ' ⇒ f '( x ) = 1ln x + x ⇒ f '( x ) = x x ( ln x + 1) f ( x) x 17.- Calcular la derivada de la función f ( x) = xl n x | COLECCIÓN DE 20 EJERCICIOS 3
  • 11.
    + 1 2 ln x  2 ln x  f ( x) = x ln x ⇔ ln f ( x) = ln x ⋅ ln x = ln 2 x ⇒ f '( x) = ⇒ f '( x) = x ln x   f ( x) x  x  18.- Calcular la derivada de la función f ( x) = x tan x 1 1 1  ln x tan x  f ( x) = x tan x ⇔ ln f ( x) = tan x ln x ⇒ f '( x) = 2 ln x + tan x ⇒ f '( x) = x tan x  2 +  f ( x) cos x x  cos x x  1 1− x 19.- Calcular la derivada de la función f ( x) = ln 2 1+ x 1 1 −1(1 + x ) − (1 − x ) 1 1 + x − 2 − x + x 1 1 f '( x) = = = = 2 1− x (1 + x ) 2 2 1 − x (1 + x ) 2 (1 − x )(1 + x ) 1 − x 2 1+ x 20.- Calcular la derivada de la función f ( x ) = ln x + x 2 + 1 1 2x 1 x2 + 1 + x 1 f '( x) = 1+ = = x + x2 + 1 2 x2 + 1 x + x2 + 1 x2 + 1 x2 + 1 Ejercicios Propuestos Calcular la derivada de la función f ( x ) = ln x + x 2 − 1 1 1+ x Calcular la derivada de la función f ( x) = ln 2 1− x | COLECCIÓN DE 20 EJERCICIOS 4
  • 12.
    + BOLETÍN DE TRABAJOnº 1 Calcula las derivadas de las siguientes funciones 1. f ( x )= 3 x 5 − 2 x 4 + 5 x 3 − 3 x − 1 2. f ( x )= ( −2 x 3 )( 4 x 2 ) 3x 2 3. f ( x)= 3 2x 4. f ( x )= (−2 x 3 )( 2 x ) x +1 5. f ( x )= x −1 lg x 6. f ( x)= 2 ln x cos x 7. f ( x )= senx 3x 8. f ( x)= 3 x 1 9. f ( x )= 3 x 1 10. f ( x )= ln x | BOLETÍN DE TRABAJO nº 1 5
  • 13.
    + BOLETÍN DE TRABAJOnº 2 Calcula las derivadas de las siguientes funciones 1. f ( x )= x 2. f ( x )= x −2 x −2 3. f ( x)= x3 4. f ( x )= 2 x 3 − 3 x −2 1 5. f ( x )= − 2 x 1 6. f ( x )= senx + cos x senx − cos x 7. f ( x )= senx + cos x 1 − ln x 8. f ( x )= 1 + ln x 1− x2 9. f ( x)= 1 − x −2 x − 2x 10. f ( x)= 1+ 2x | BOLETÍN DE TRABAJO nº 2 6
  • 14.
    + BOLETÍN DE TRABAJOnº 3 Calcula las derivadas de las siguientes funciones e −1 1. f ( x )= ln e 2. f ( x)= xe x − x ln x 3. f ( x)= e x ⋅ ln x ex 4. f ( x)= ln x 1− ex 5. f ( x)= 1 + ln x 6. f ( x)= (1 − ln x)( x + e x ) 7. f ( x)= x e 8. f ( x)= x e ⋅ e x 1+ ex 9. f ( x)= 1− ex ln x − e x 10. f ( x)= ln x + e x | BOLETÍN DE TRABAJO nº 3 7
  • 15.
    + BOLETÍN DE TRABAJOnº 4 Calcula las derivadas de las siguientes funciones 1. f ( x)= x 3 ⋅ 3 x 3x 2. f ( x)= lg 3 x 3 x + lg 3 x 3. f ( x)= 3 x − lg 3 x 4. f ( x)= senx ⋅ tgx senx 5. f ( x)= tgx x − senx 6. f ( x )= x + cos x cos x − senx 7. f ( x)= tgx + cos x cos x ⋅ senx 8. f ( x)= tgx ⋅ cos x cos x − 1 9. f ( x)= tgx + x x − senx 10. f ( x )= x + cos x | BOLETÍN DE TRABAJO nº 4 8
  • 16.
    + BOLETÍN DE TRABAJOnº 5 Calcula las derivadas de las siguientes funciones 1. f ( x)= x 3 − 3 x − 3 x 2. f ( x)= ( x )(3 ) 3 x lg 3 x 3. f ( x)= 3x ln x 4. f ( x )= 3 3 x3 − 3x 5. f ( x)= (lg 3 x )3 x 1 − x3 6. f ( x)= 1 + 3x 1 − ln x 7. f ( x)= 1 + lg 3 x 8. f ( x )= x 3 − 3 x( )( 3 x ) x + ln x 9. f ( x )= 3 x − lg 3 x 10. f ( x)= 3 3 x | BOLETÍN DE TRABAJO nº 5 9
  • 17.
    + BOLETÍN DE TRABAJOnº 6 Calcula las derivadas de las siguientes funciones 1. f ( x)= 3 x 5 2. f ( x)= x 15 − x 1 3. f ( x )= 2 x x3 4. f ( x)= 5 x x −1 5. f ( x )= 5 x 6. f ( x)= 5 x 4 7. f ( x)= 4 x 5 1 8. f ( x)= 4 x5 1 9. f ( x)= 5 x4 x 10. f ( x)= x | BOLETÍN DE TRABAJO nº 6 10
  • 18.
    + BOLETÍN DE TRABAJOnº 7 Calcula las derivadas de las siguientes funciones 1. f ( x)= x x 2. f ( x )= x 5 x x 3. f ( x)= 5 x x5 4. f ( x)= x 1 5. f ( x)= x3 x x 6. f ( x)= x3 x 7. f ( x)= x 3 3 x 2 x3 3 x2 8. f ( x)= x3 4 x5 9. f ( x)= 5 x4 x3 4 x5 10. f ( x)= x5 5 x4 | BOLETÍN DE TRABAJO nº 7 11
  • 19.
    + BOLETÍN DE TRABAJOnº 8 Calcula las derivadas de las siguientes funciones 1 1. f ( x )= 3 x 5 − 5 x 3 − x4 2. f ( x)= ( x )( x ) 3 5 5 3 3 x5 3. f ( x)= 5 x3 x5 4. f ( x)= 3 5 x3 3 x5 − 5 x3 5. f ( x)= 3 x5 + 5 x3 1 − 3 x5 6. f ( x)= 1 + 5 x3 5 x3 7. f ( x)= 1 x4 1 8. f ( x)= 5 x3 1 9. f ( x)= 3 x5 x4 10. f ( x)= 5 x3 | BOLETÍN DE TRABAJO nº 8 12
  • 20.
    + BOLETÍN DE TRABAJOnº 9 Calcula las derivadas de las siguientes funciones x4 1. f ( x)= 3 5 x3 5  1  2. f ( x)= 3  5 3    x  3. f ( x)= 3 (x) 5 3 5 4. f ( x)= 5 5 x3 x3 5. f ( x)= 5 x 1− x 6. f ( x)= 3 1+ x 7. f ( x )= e 3 3 x5 8. f ( x)= e 9. f ( x)= 3 5 x 3 3 x5 10. f ( x)= 5 | BOLETÍN DE TRABAJO nº 9 13
  • 21.
    + BOLETÍN DE TRABAJOnº 10 Calcula las derivadas de las siguientes funciones 1. f ( x)= ln 3 x 2. f ( x)= lg 3 3 x 3. f ( x )= lg 3 x 3 4. f ( x)= lg 3 3 x 5. f ( x)= 3 lg3 x 3 6. f ( x )= 3 x 7. f ( x )= lg 3 3 3 x 3 3x 8. f ( x)= 3lg3 9. f ( x)= 3 lg 3 3 x 10. f ( x)= 3 ln x 3 | BOLETÍN DE TRABAJO nº 10 14
  • 22.
    + BOLETÍN DE TRABAJOnº 11 Calcula las derivadas de las siguientes funciones 1. f ( x)= ln x − e x − 3 x 2 2. ( ) f ( x)= (ln x )(− e x ) 3 x 2 ln x 3. f ( x )= x e ln( − x ) 4. f ( x)= 3 x2 x −e − e x 5. f ( x)= (ln x )3 x 2 1− ex 6. f ( x)= 1+ ex 1 − ln x 7. f ( x)= 1 + ln x 2 8. f ( x)= ( ) (3 x ) 3 x 2 ln x 1 + ln x 9. f ( x)= 3 1 − ln x 10. f ( x)= 3 e x( ) 2 | BOLETÍN DE TRABAJO nº 11 15
  • 23.
    + BOLETÍN DE TRABAJOnº 12 Calcula las derivadas de las siguientes funciones f ( x)= 3 (ln e x ) 2 1. 2. f ( x)= 3 e ln x 3. f ( x)= ln 3 x 2 3 2 4. f ( x )= ln e x 5. f ( x)= ln 3 e x ln e x 6. f ( x)= 3 ex 1− x 7. f ( x)= 3 x 3 x 8. f ( x)= e e 9. f ( x)= e ln x 3 x2 10. f ( x)= e ln | BOLETÍN DE TRABAJO nº 12 16
  • 24.
    + BOLETÍN DE TRABAJO(Ana Fraga) (no soluciones) Deriva: 1− x2  1. y = arcsen  2  x     π  2. y = e − x · sen  − log x  4  tg x 2 3. y =   x  2 5−3 x   cos x  4. y = ln     tg 2 x 3 5. y = e sen x 6. y = 3 x · arccos x 4  π 7. y = 10 cos 8  7 x −   2 ( 8. y = ln 2 2 π−3 ) 1− x 9. y = e + e−x x 10. y = arctg 1 − x | BOLETÍN DE TRABAJO (Ana Fraga) (no soluciones) 17
  • 25.
    + EJERCICIOS VARIOS Fuente AnaFraga Vila 1) Deriva las siguientes funciones: sen x y= 2 y = ln (3x2 − 5x) y = e−2x · cos x x  1+ x  sen x y = cos3 x · cos x2 y = ln   y= 2 1− x  x y = arcsen x y = ( tg x) x y = sen 3 x · sen x 3  1 − 2x  x 2 y = cos   y= 3 y = xsen x  1 + 2x  x y = x2 · e−3x y = ln (sen 2 x) y = e−x · sen3 x cos x 2  9x 2 − 3  y=x y = tg x  x3  y = ln     9x 2 − 3 y= y = xsen x y = ln (ex + cos x) x3 x2 − 3 y= 3− 5 x 2 y = (3 x 2 ) tg x y = log ( cos x + 1 − 3x 2 ) 5  1 − 2x  3 π y=L sen ( 7 x − x 2 ) 3 y = cos   y = tg    1 + 2x  x x -x + y = arctg (1 − x 2 ) y = e x e- x y = cos (sen x 3 ) e -e y = x3 x y= sen 2 x + ( x 2 − 1) 3 y = arctg 6 x 3 x  1  y= y = ln  + tg x  y = e 2 − sen 3 ( x 2 ) 1 + 4x 2  cos x  | EJERCICIOS VARIOS 18
  • 26.
    + 2 x y = arctg x y = (e x − 1) 3 x y= 2 + 2 ( x − 1) x −4 y = ln ( x) 31 y = 2 tg   y = e − x − (cos x + sen x)  x y = tg2 (6x) 2) Interpretación geométrica de la derivada de una función en un punto. Determina los puntos de la curva y = x3 en los que la recta tangente es paralela a la recta y = 3x + 14 1 3) Halla la ecuación de la tangente a la hipérbola y = en el punto x = 3. x 4) Halla la ecuación de la tangente a la curva y = 2x3 − 6x2 + 4 en su punto de inflexión. 5) Halla la ecuación de la tangente a la curva y = 2 x + 1 en el punto de abscisa 12. 9 2 6) )En qué puntos de la curva y = x 3 − x + 6 x + 1 la recta tangente es paralela al eje OX? 2 8 7) Calcula a y b para que y = ax + b + tenga en el punto (−2, −8) una tangente horizontal. x 8) Halla p y q sabiendo que la función f (x) = x3 + px2 + q tiene un mínimo relativo en el punto (2, 3). 9) Halla la ecuación de las tangentes a la curva y = x4 − 6x2 en sus puntos de inflexión. 10) Halla la ecuación de la recta tangente a la curva y = 2x3 − 6x2 + 4 en su punto de inflexión. | EJERCICIOS VARIOS 19
  • 27.
    + 11) Dada laparábola y = x2 − x a) Calcula la ecuación de la recta tangente en el punto de abscisa x0 = 1. b) ¿En qué punto de la parábola la recta tangente es paralela a la recta y = −x + 3? 2x 3 12) Halla las asíntotas de la función y = 2 x −4 2 − 3x + 2 13) Asíntotas de la curva y = x2 x − 5x + 4 x2 − x − 5 14) Halla las asíntotas de f ( x) = x x 15) Halla los puntos de corte con los ejes y las asíntotas de y = 2 x −1 x 16) Calcula los máximos, mínimos y puntos de inflexión, si existen de la función y = 2 x −1 x3 17) Calcula las asíntotas de la función y = ( x − 4) 2 x 18) Halla las asíntotas de la curva de ecuación y = 2 x − 10 x + 9 x + x +1 2 19) Estudia el crecimiento, decrecimiento, máximos y mínimos de la función: y = x +1 20) Intervalos de crecimiento y decrecimiento, concavidad y convexidad de la función y = x2(3 − 2x). 21) Estudia el crecimiento, decrecimiento, extremos relativos, curvatura y puntos de inflexión de f ( x) = x 3 − 3 x 2 + 1 . Representarla gráficamente. | EJERCICIOS VARIOS 20
  • 28.
    + 2 +1 22) Representa gráficamente la función y = x 2 x −1 Calculando el dominio de definición, puntos de corte con los ejes, asíntotas, intervalos de crecimiento y decrecimiento, máximos y mínimos. 23) Esboza la gráfica de y = 3 x 2 − 6 x 24) Dada la función f ( x) = x 3 − 3 x + 7. a) Calcula máximos, mínimos y puntos de inflexión b) Esboza su gráfica c) Escribe la ecuación de la recta tangente en su punto de inflexión. 1 3 25) Representa gráficamente f ( x) = − x + x 2 , hallando: puntos de corte con los ejes, 6 monotonía (crecimiento y decrecimiento), máximos, mínimos, curvatura y puntos de inflexión. x2 26) Estudia y representa gráficamente y = 2 x +1 27) Halla b, c y d para que la función f ( x) = x 3 + bx 2 + cx + d tenga un punto de inflexión en x = 3, pase por el punto (1, 0) y tenga un extremo en x = 5. 28) Representa gráficamente la función y = (2 − x)2 calculando previamente: a) Dominio de definición. b) Puntos de corte con los ejes. c) Intervalos de crecimiento y decrecimiento. Máximos y mínimos. | EJERCICIOS VARIOS 21
  • 29.
    + x 29) Dada la función f ( x ) = 1+ x2 a) Calcula: Intervalos de crecimiento y decrecimiento. Máximos y mínimos. b) Halla sus asíntotas. c) Esboza su gráfica | 22
  • 30.
    + | 23
  • 31.
    + Fuente: IES Regoda auga | 24
  • 32.
    + SOLUCIONES BOLETIN 1 1. f ( x)= 3 x 5 − 2 x 4 + 5 x 3 − 3 x − 1 → f ' ( x) = 15 x 4 − 8 x 3 + 15 x 2 − 3 2. ( ) f ( x)= (−2 x 3 )(4 x 2 ) → f ' ( x) = − 6 x 2 (4 x 2 ) + (−2 x 3 )(8 x) = −24 x 4 − 16 x 4 = −40 x 4 3. f ( x)= 3x 2 → f ' ( x) = (6 x )(2 x ) − (3x )(6 x ) = 12 x − 18 x 3 2 2 4 4 = − 6x 4 −3 = 2 2x3 (2 x ) 3 2 4x 6 4x 6 2x 4. f ( x)= (−2 x 3 )(2 x ) → f ' ( x) = (−6 x 2 )(2 x ) + ( −2 x 3 )(2 x ln 2) x +1 1( x − 1) − ( x + 1)1 −2 5. f ( x)= → f ' ( x) = = x −1 (x − 1) 2 (x − 1)2 1  1  lg 2 e (ln x ) − (lg 2 x )  lg x f ( x)= 2 → f ' ( x) =    x x 6. ln x (ln x ) 2 cos x −1 − senx ⋅ cos x − cos x ⋅ cos x − sen 2 x − cos 2 x 7. f ( x)= = ctgx → f ' ( x) = ⇔ f ' ( x) = = senx sen 2 x sen 2 x sen 2 x 3x 3 x ln 3 ⋅ x 3 − 3 x 3 x 2 3 x x 2 (ln 3 ⋅ x − 3 x +1 ) 3 x (ln 3 ⋅ x − 3 x +1 ) 8. f ( x)= 3 → f ' ( x)= = = x (x 3 )2 x6 x4 1 −3 9. f ( x )= 3 = x −3 → f ' ( x ) = −3 x − 4 = 4 x x 1 0 ⋅ ln x − 1 10. f ( x)= 1 → f ' ( x) = x = −1 2 ln x ln x x ln 2 x | 25
  • 33.
    + SOLUCIONES BOLETIN 2 1 1 −1 1 2 −1 1 2 1 1 1. f ( x)= x = x 2 → f ' ( x) = x = x = 1 = 2 2 2 x 2x 2 −2 2. f ( x )= x − 2 → f ' ( x ) = −2 x − 2 −1 = −2 x −3 = 3 x −2 x −5 3. f ( x)= 3 = x −5 → f ' ( x) = −5 x −5−1 = −5 x −6 = 6 x x 3 −2 −3 4. f ( x)= 2 x − 3 x → f ' ( x) = 6 x + 6 x 1 5. f ( x )= − 2 = x 2 → f ' ( x ) = 2 x x 1 0(senx + cos x ) − 1(cos x − senx ) − (cos x − senx ) 6. f ( x)= → f ' ( x) = = senx + cos x (senx + cos x )2 (senx + cos x )2 7. f ( x)= senx − cos x → f ' ( x) = (cos x + senx )(senx + cos x ) − (senx − cos x )(cos x − senx ) senx + cos x (senx + cos x )2 −1 1 − ln x (1 + ln x ) − (1 − ln x ) 1 −2 8. f ( x)= → f ' ( x) = x x = 1 + ln x (1 + ln x ) 2 x(1 + ln x ) 2 9. f ( x)= 1− x2 → f ' ( x) = ( ) ( )( (− 2 x ) 1 − x −2 − 1 − x 2 2 x −3 ) 1 − x −2 ( 1 − x −2 2 ) 10. f ( x)= x−2 x → f ' ( x)= (1 − 2 x ln 2)(1 + 2 ) − (x − 2 )(2 x x x ln 2) 1+ 2 x (1 + 2 ) x 2 | 26
  • 34.
    + SOLUCIONES BOLETIN 3 e −1 0 ⋅ ln e − (e − 1) ⋅ 0 1. f ( x)= → f ' ( x) = =0 ln e (ln e )2 1 2. f ( x )= xe x − x ln x → f ' ( x ) = 1 ⋅ e x + xe x − 1 ln x − x = e x + xe x − ln x − 1 x 1 3. f ( x )= e x ⋅ ln x → f ' ( x ) = e x ⋅ ln x + e x ⋅ x 1 x e x ⋅ ln x − e x ⋅ e x 4. f ( x)= → f ' ( x) = ln x ln 2 x 1− e x (− e )(1 + ln x ) − (1 − e ) 1  x   x 5. f ( x)= → f ' ( x) = x   1 + ln x (1 + ln x ) 2 1 6. f ( x )= (1 − ln x )( x + e x ) → f ' ( x ) = (− )( x + e x ) + (1 − ln x )(1 + e x ) x e −1 7. f ( x)= x → f ' ( x) = ex e 8. f ( x)= x e ⋅ e x → f ' ( x) = ex e −1 ⋅ e x + x e ⋅ e x 9. f ( x)= 1+ ex → f ' ( x) = (e x )(1 − e x ) − (1 + e x )(− e x ) 1− ex (1 − e x )2 1 x 1 ln x − e x x  x ( x  − e  ln x + e − ln x − e  + e  ) ( ) → f ' ( x) =   x  x 10. f ( x)= ln x + e x ln x + e x 2 ( ) | 27
  • 35.
    + SOLUCIONES BOLETIN 4 1. f ( x)= x 3 ⋅ 3 x → f ' ( x) = 3 x 2 ⋅ 3 x + x 3 ⋅ 3 x ln 3 1  3 x ln 3(lg 3 x ) − 3 x  lg 3 e  3 x x  2. f ( x)= → f ' ( x) = lg 3 x (lg 3 x ) 2  x 1  x  x 1  3 + lg 3 x x ( ) ( )  3 ln 3 + lg 3 e  3 − lg 3 x − 3 + lg 3 x  3 ln 3 − lg 3 e  x → f ' ( x) =     x x 3. f ( x)= x 3 − lg 3 x 3 − lg 3 x x 2 ( ) 4. f ( x)= senx ⋅ tgx → f ' ( x) = cos x ⋅ tgx + senx ⋅ (1 + tg 2 x) 2 5. f ( x)= senx (= cos x ) → f ' ( x) = cos x ⋅ tgx − senx ⋅ (1 + tg x) = .... = − senx tgx tg 2 x 6. f ( x)= x − senx → f ' ( x) = (1 − cos x )(x + cos x ) − (x − senx )(1 − senx ) x + cos x (x + cos x )2 7. f ( x)= cos x − senx → f ' ( x) = ( (− senx − cos x )(tgx + cos x ) − (cos x − senx ) (1 + tg 2 x) − senx ) tgx + cos x (tgx + cos x )2  1 cos x ⋅ senx (− sen 2 ) x + cos 2 x (tgx ⋅ cos x ) − (cos x ⋅ senx ) 2 ⋅ cos x + tg 2 x ⋅ (− senx 8. f ( x)= → f ' ( x) =  cos x tgx ⋅ cos x (tgx ⋅ cos x ) 2 9. f ( x)= cos x − 1 → f ' ( x) = ( (− senx − 1)(tgx + x ) − (cos x − 1) 1 + tg 2 x + 1 ) tgx + x (tgx + x )2 10. f ( x)= x − senx → f ' ( x) = (1 − cos x )(x + cos x ) − (x − senx )(1 − senx ) x + cos x (x + cos x )2 | 28
  • 36.
    + SOLUCIONES BOLETIN 5 1 1. f ( x)= x 3 − 3 x − 3 x → f ' ( X ) = 3 x 2 − 3 x ln 3 − 3⋅ 3 x2 2. f ( x)= ( x )(3 ) → f ' ( x) =  3 x 3    x 3 2  1  3 + x 3 x ln 3 ( ) ( )( )  3⋅ x  1  lg 3 e (3 ) − (lg 3 x )(3 ln 3)  x x lg x f ( x)= 3x → f ' ( x) =   x 3. 3 (3 x )2 ln x 1 4. f ( x)= 3 → f ' ( x ) = 3 3 3 ⋅x  1  1  (3x 2 )( ) ( )  − 3 x ln 3 (lg 3 x )3 x − x 3 − 3 x   lg 3 e 3 x + (lg 3 x )  x  3 2   x3 − 3x    3⋅ x  5. f ( x)= → f ' ( x) = (lg 3 x )3 x ((lg 3 x )3 x ) 2 6. f ( x)= 1 − x3 → f ' ( x) = (3x 2 )(1 + 3 x ) − (1 − x 3 )(3 x ln 3) 1 + 3x (1 + 3 x )2 1 1   (1 + lg 3 x ) − (1 − ln x ) lg 3 e  1 − ln x → f ' ( x) =   x  x 7. f ( x)= 1 + lg 3 x (1 + lg 3 x ) 2  1  8. ( ) ( ) ( ) f ( x)= x 3 (− 3 x ) 3 x → f ' ( x) = (3x 2 )(− 3 x ) 3 x + (x 3 )(− 3 x ln 3) 3 x + (x 3 )(− 3 x )  3 2   3⋅ x   1  1   1 + (x − lg 3 x ) − ( x + ln x )1 − lg 3 e   x + ln x 1  x  x  9. f ( x)= 3 → f ' ( x) = 2   x − lg 3 x  x + ln x   (x − lg 3 x ) 2   x − lg x   33     3  x  3x  3  3 ln 3  ⋅ 1 10. f ( x)= 3 = 3 → f ' ( x) =  x 3  3   | 29
  • 37.
    + SOLUCIONES BOLETIN 6 1. f ( x)= 3 x 5 → f ' ( x) = 15 x 4 2. f ( x)= x 15 − x → f ' ( x) = 15 x14 − 1 1 −2 3. f ( x )= 2 = x − 2 → f ' ( x ) = −2 x −3 = 3 x x 3 x −2 4. f ( x)= 5 = x −2 → f ' ( x) = −2 x −3 = 3 x x x −1 −4 5 5. f ( x )= 5 = x − 4 − x −5 → f ' ( x ) = −4 x −5 + 5 x −6 = 5 + 6 x x x 1 4 4 − 5 6. f ( x)= 5 x 4 = x 5 → f ' ( x) = x 5 = 5 5 5 x 5 1 4 5 5 54 x 7. f ( x)= x = x → f ' ( x) = x 4 = 4 4 4 −5 −9 1 −5 4 −5 8. f ( x)= = x 4 → f ' ( x) = x = 4 x 5 4 4 x9 4 −4 −9 1 −4 5 −4 9. f ( x)= =x 5 → f ' ( x) = x = 5 x4 5 55 x 9 1 1 x 1− 1 10. f ( x)= =x 2 = x 2 → f ' ( x) = x 2 x | 30
  • 38.
    + SOLUCIONES BOLETIN 7 1 3 3 1 1+ 3 2 −1 3 2 3 1. f ( x)= x x = x 2 = x 2 → f ' ( x) = x = x = x 2 2 2 1 11 11 9 5 5+ 11 2 −1 11 2 11 9 2. f ( x)= x x = x 2 = x → f ' ( x) = x 2 = x = x 2 2 2 1 −9 −9 −11 x −5 − 9 2 −1 − 9 2 −9 3. f ( x)= 5 = x 2 = x 2 → f ' ( x) = x = x = x 2 2 2 x 11 1 9 9 7 x5 5− 9 −1 9 9 7 4. f ( x)= =x 2 = x → f ' ( x) = x 2 = x 2 = 2 x x 2 2 2 1 −4 −4 −7 1 −1− − 4 3 −1 − 4 −4 5. f ( x)= =x 3 =x 3 → f ' ( x) = x = x 3 = x x 3 3 3 3 x73 1 −5 −5 −7 x 1− 3− − 5 2 −1 − 5 −5 6. f ( x)= =x 2 = x 2 → f ' ( x) = x = x 2 = x 3 x 2 2 22 x 7 2 11 11 8 33 2 3+ 11 −1 11 11 7. f ( x)= x x =x 3 =x 3 → f ' ( x) = x 3 = x 3 = 3 x 8 3 3 3 2 3 22−9 13 13 7 x3 3 x 2 3+ − 13 −1 13 −56 7 8. f ( x)= =x 3 2 =x 6 =x 6 → f ' ( x) = x 6 = x 6 = x x3 6 6 2 5 4 25−16 9 9 −11 4 x5 − 9 20 −1 9 20 9 9. f ( x)= =x 4 5 =x 20 =x 20 → f ' ( x) = x = x = 5 x4 20 20 20 11 20 x 5 4 25−16 −39 −39 −59 x3 4 x5 3+ −5− −2+ − 39 20 −1 − 39 20 − 39 10. f ( x)= =x 4 5 =x 20 =x 20 → f ' ( x) = x = x = x5 5 x 4 20 20 2020 x 59 | 31
  • 39.
    + SOLUCIONES BOLETIN 8 5 3 2 −2 3 1 5 −45 5 3 3 5 3 −5 52 x 3 3 4 1. f ( x)= x − x − 4 = x − x − x → f ' ( x) = x − x + 4 x = 3 5 − + 5 x 3 5 3 5 5 x 2 x ( x )( )  5  5  3 34 19 34 15 3415 x 34 2. f ( x)= 3 5 5 x =  x  x  = x → f ' ( x) = x = 3  3   15    15 15 5 3 5 16 1 x x 3 16 15 1615 x 3. f ( x)= = 3 =x 15 → f ' ( x) = x = 5 x3 5 15 15 x 1 1 1  5 5  3  5− 3  3  22  3 22 7 15 7 f ( x)= 3 x x = 3   x 5  =  x 5  = x 15 → f ' ( x) = 22 x 15 = 22 x 4. 5 3  5 =     15 15 x x      3  52 x 3   3 − 3 3 5 5 3 55 x 2   2 3  x + x − 3 x5 − 5 x3  5 x + 3  3 55 x 2 ( )( )    x5 − 5 x3 5. f ( x)= → f ' ( x) =     3 x5 + 5 x3 3 x5 + 5 x3 2 ( )  − 3  5 2  ( )(  52 x 3  1 + 5 x3 − 1 − 5 x3    3 )    1 − 3 x5  5 x   − 6. f ( x)= → f ' ( x) = 1 + 5 x3 (1 + x ) 5 3 2 3 23 18 5 x3 23 5 235 x18 7. f ( x)= = x 4 x 5 = x 5 → f ' ( x) = x = 1 5 5 4 x −3 −8 1 −3 5 −3 8. f ( x)= = x → f ' ( x) = 5 x = 5 x3 5 55 x 8 −5 −8 1 −5 3 −5 9. f ( x)= = x 3 → f ' ( x) = x = 3 x5 3 3 x8 3 3 17 12 x4 4− 17 5 175 x12 10. f ( x)= =x 5 = x 5 → f ' ( x) = x = 5 x3 5 5 | 32
  • 40.
    + SOLUCIONES BOLETIN 9 1 1 1 4  4  3  4− 3  3  17  3 17 2 x x  17 1715 x 2 1. f ( x)= 3 = 3  =  x 5  =  x 5  = x 15 → f ' ( x) = x 15 =     5 x 3  5      15 15 x  1  1  5  5 3 1  1  −1 2. f ( x)= 3   5 3  =  3  = x −3 ( ) 3 = x −1 → f ' ( x) = − x − 2 =  x   5 ⋅5  x2 x  1 (x) 5  3 ( ) 5 3. f ( x)= 3 5 3 =  x3  5  = x → f ' ( x) = 1    1 − 22  5 5 3 3 4. f ( x )= 5 5 3  x  = x 25 → f ' ( x ) = 3 x 25 = x =  3   25 25 22 25 x 1 1  3 5  5 5 3 1  x x 1 5. f ( x)= 5  =  x 2  = x 2 = x → f ' ( x) = = 1    x  2   2 x  x 1− x −2  − 1    1 1− x  3  2 x    1   1+ x − 1− x     ( ) ( ) 6. f ( x)= 3 → f ' ( x) =    2 x  1+ x 3 1+ x   1+ x 2 ( ) 7. f ( x)= 3 e → f ' ( x) = 0 3 x5 3 x5 53 2 8. f ( x )= e → f ' ( x) = e x 3 x x 1 9. f ( x)= 3 5 x = 5 3 → f ' ( x) = 5 3 ⋅ ln 5 ⋅ 3 1 9 −4 x5  3 3 5 5 5 3 3 5 5 5 ⋅ ln 5 ⋅ 5 = 5x  = 5 x → f ' ( x) = 5 x ln 5 ⋅ x 9 = 9 9 10. f ( x)= 5 x     9 99 x 5 | 33
  • 41.
    + SOLUCIONES BOLETIN 10 1  1 1. f ( x)= 3 lg 3 3 x → f ' ( x) =  x (  x lg 3 e  ⋅ 3 ln 3 ) ( 33 lg 3 3 ) x 2 3  1  1  2 2. f ( x)= 3 ln x 3 → f ' ( x) =  3  3x ( ) 3 3 ln x ( ) 3 2 x   1  1  3. f ( x)= lg 3 3 x → f ' ( x) =  3 lg 3 e    3 2    x  3 ⋅ x   1  4. f ( x)= lg 3 3 x → f ' ( x) =  x lg 3 e (3 x ln 3) 3   1  5. f ( x)= ln 3 x → f ' ( x) =  x (3 x ln 3) 3   1  6. f ( x)= lg 3 x 3 → f ' ( x) =  3 lg 3 e (3 x 2 ) x  7. f ( x)= lg 3 3 3 x → f ' ( x) =   1 3 x  1 lg 3 e  3 3 x ln 3    3 ( )  3  1 ( ) 8. f ( x)= 3 lg3 x → f ' ( x) = 3lg3 x ln 3  lg 3 e   x  3 (3 9. f ( x)= 3 x → f ' ( x) = 3 x ln 3   1   3 2 )   3⋅ x  3 x ( 3 x 10. f ( x)= 3lg3 3 → f ' ( x) = 3lg3 3 ln 3   1 3 x ) 1 lg 3 e  3 3 x ln 3    3 ( )  3  | 34
  • 42.
    + SOLUCIONES BOLETIN 11 1 2 1. f ( x)= ln x − e x − 3 x 2 → f ' ( x) = − ex − 3 x 3 x 2. f ( x)= (ln x ) − e x ( )( 3 x2 ) 1  x ( ) ( ) 2  → f ' ( x) =  (− e x ) 3 x 2 + (ln x )(− e x ) 3 x 2 + (ln x )(− e x ) 3  →   3 x  1 x e − ln x ⋅ e x ln x 3. f ( x)= x → f ' ( x) = x e ex 2 ( ) ln(− x)  1  −x   ( )  2  (−1)  3 x 2 + (ln(− x) ) 3    3 x  4. f ( x)= → f ' ( x) = 3 x2 (x) 3 2 2 − e )((ln x )( x )) − (x − e ) ( x ) + ln x 1  2  (− ex − e −1 x 3 x 2 −e    x 3 2 x −e −e x   3 x  3 5. f ( x)= → f ' ( x) = (ln x )3 x2 ((ln x) x ) 3 2 2 1− ex − e x (1 + e x ) − (1 − e x )(e x ) 6. f ( x)= → f ' ( x)= 1+ ex (1 + e x )2 1  1 1 − ln x (    1 + ln x − (1 − ln x ) 2 2 x  2 ) → f ' ( x)=   x  x 7. f ( x)= 1 + ln x 2 1 + ln x 2 2 ( ) (3 )( x 3 2 )  x  3 ln 3( )( 3 )  2   ( ) x 2 + 3 x  3  (ln x ) − 3 x   3 x  (( )( x )) 1  3 2 x → f ' ( x)=  x 8. f ( x)= ln x (ln x )2 1 + ln x 1  1 + ln x  −2  1 1     x 2 x  (  ) (  −1 1    1 − ln x − 1 + ln x    ) 9. f ( x)= 3 → f ' ( x)=   3  x 2 x  1 − ln x 3  1 − ln x       1 − ln x 2 (    )   2x 2x 2 10. f ( x)= 3 (e ) x 2 =e 3 → f ' ( x) = e 3 ⋅ 3 | 35
  • 43.
    + SOLUCIONES BOLETIN 12 [( ) ] [2(ln e ) ]e1 e ] [2(ln e ) ] −2 −4 ( f ( x)= 3 ln e x ) 2 → f ' ( x) = 1 3 ln e x 2 3 x 1 x x = 1 3 [ ln e x 3 x 1 1. 2 −1 2 3 2 ( f ( x)= 3 ln e x ) 2 = 3 (x ) = x 3 → f ' ( x) = 2 3 x = 3 3 x 1 ln x −32 ln x 1 2. f ( x)= 3 e ln x → f ' ( x) = 3 e e ( )x −1 1 2 3 2 2 2 3. f ( x)= ln 3 x 2 → f ' ( x) = ⋅ x = = = 3 x2 3 33 x 2 3 x 33 x 3 3x −1 3 2 1 2 3 2 4. f ( x)= ln e → f ' ( x) = 3 2 e ⋅ x 3 x x e x 3 1 3 x 1 5. f ( x)= ln 3 e x → f ' ( x) = e ⋅ 3 ex 3 −2  1  −2  ⋅ e ⋅ e − ln e ⋅ e x x x x  ln e x 1  ln e x  3  e x = 1  ln e x  3  1 − ln e x  6. f ( x)= 3 x → f ' ( x) =  x      e 3 e      (e x )2  3  ex     ex       −2 1− x 1  1 − x  3  − x − (1 − x )  7. f ( x )= 3 → f ' ( x) =     x 3 x   x2  3 x 3 x 1 8. f ( x )= e e → f ' ( x ) = e e 3 e x ⋅ 3 1 9. f ( x )= e ln x → f ' ( x ) = e ln x ⋅ x −1 3 ln x 2 3 ln x 2 1 2 3 10. f ( x)= e → f ' ( x) = e ⋅ ⋅ x 3 x2 3 | 36
  • 44.
    + SOLUCION PROBLEMAS ANAFRAGA 2) (1, 1) , (−1, −1) 1 1 3) y− = − (x − 3) 3 9 4) y = −6(x − 1) 1 5) y−5= (x − 12) 5 6) (1, 3,5) , (2, 3) 7) a = 2, b = 0 8) p =−3; q = 7 9) y + 5 = 8(x + 1), y + 5 = −8(x − 1) 10) y = −6(x − 1) 11) a) y = x − 1 b) (0, 0) 12) x = 2, x = −2, y = 2x 13) x = 4, y=1 14) x = 0, y=x−1 15) (0, 0), x = −1, x = 1, y=0 16) Punto de inflexión (0, 0) 17) x = 4, y = x + 8 18) x = 1, x = 9, y=0 19) Creciente en ]−∞, −2[ ∪ ]0, +∞[. Decreciente en ]−2,−1[ ∪ ]−1, 0[. Mínimo (0, 1). Máximo (−2,−3) 20) Creciente en ]0, 1[. Decreciente en ]−∞, 0[ ∪ ]1, +∞[. Convexa en ]−∞, 1 / 2 [. Cóncava ] 1 / 2 , +∞ [ | 37
  • 45.
    + 21) Creciente en ]−∞,0[ ∪ ]2,+ ∞ [. Decreciente en ]0, 2[. Mínimo (2, −3). Máximo (0, 1) Convexa en ]1, +∞[. Cóncava ]−∞, 1[. Punto de inflexión (1, −1) 22) 24) 24) a) Mínimo (1, 5). Máximo (−1, 9). Punto de inflexión (0, 7) b) c) y − 7 = −3x 25) 26) 27) b = −9, c = 15, d = −7 | 38
  • 46.
    + 28) a) D= R; b) (0, 4) (2, 0) c) Decreciente en ]− ∞, 2[ ; Creciente en ]2, +∞[. Mínimo (2, 0) 29) a) Creciente en ]−1, 1[. Decreciente en ]−∞, 1[ ∪ ]1, +∞[. Máximo (1, 1 / 2 ), mínimo (−1, − 1 / 2 ) b) y = 0 | 39
  • 47.