L:t
.-."ij:i
1,.
{ m*'E > n [t- '*- ; = ,(g n ts) :ugrf,n{üs
',(8n r).relluqlt'?-)= s ri < ¿'g-l = H ls'fl
<E'I-;'=SU H :{gPntoS
'g U H rBIPq [S 'f *) - g ''{ {t 'Z-] : V solEara}ut ssl epBC '6
Z+x
< o+ '9] ñ [t- '*- 7 = ,V :ug]en$S
'< 5 'E- ) = [ ap oluauraldtuoc ra reIJeH'r
so[E*Lri]luI
VZ,Z-:zx 9t,0 -: rx:uqpa¡og
n+xv+zx
z
? 0?'r - sl'Í =
zx
:JeÁlüsau'01
3 0t'I + St'I =
rx:ugna1og
(t - x)z E+x , t -^"r_
:*
5z :.raapsa6 -6
g r( I :uqnnlog
'soralunu soqr[p reileH' 86
sa so¡e{ur,tu soP eP soqm sol ap €u¡ns B*I'8
Irr3 ZE'9 :rronnlossa soqm sns eP ?.Icua¡e$P ei't ZSt
¿sa¡en8l uEas sBerg sel anb ured operpenc Ie reluaulne eqep es soJlaIIIFIlef,
"'*i'iütt":;$::J;;-i,;::::,*rf i,*ffi {sI'0¿ :ü-oFnIos
'soreumu soriS{p
TBIIgH
.
5Zg se soppJpBn¡ sns ap Eluns Et Á s[ se so.Ieulr]u sop ap Eulns r-1 '9
I :ugltnios
'opelns ap uglsuau¡Ip Eirull€H'-g¡ sa opsJpsno un eP puoEtlp ur'¡'?
T8'L7.{6 :I¡gl3RloS
'sora{ugu soqrlp 'IBI{BH' t
se uozeJ ns ^d ¿11 sa eu¡ns u,{nc 'uaulgtuoat ugrsartord ue Ug}se soJelunu vaII -S
"soled 6E ,t so1¡eqe) gt'¡ :uqpnlog
5
¿Áeq soled r{' solpquo-sorugn3? s€lud 99¿ ap
Frol un ,te1 n 'so¡ed ,{ sosequa im ü,X,T;?:nf},r:f;:iilTr,:1,É
.serlz' seroq s*r ep op*rp*nc.ra uos
:lryT,r-{-gifr
Hfr,Xt;:'Pp1;:-::i3;
;ió; t" "l"gef*
tq :oü*
'('saprart
'se¡or eI}l¡e seloq azL feq ug['s] un ug 'T
s?uopsntg
7.+x
=- x5
¿o""*p"" * apuodsaum et oru€n3-?-
t3-11¡3o:Í::-"#iy;?
usa.rdr¡¡a *""tt;TJ#ütffi;;i -q"t itlos'ssse aP pEblIFn elgrR'redar aB 'Er
'se¡p zI :ryp*Iüs
¿selrBrp sEJoq E ep uo.ueJ
e opurfeqe¡l ErqQ EIII$IIU_EI ugJBgluNa¡ sEiP SOIIJ'9n'1 ug? BJqO BUn JEUIIUJAI
ercd selp 6 rr€Joruap esa¡dura EIm ap sorarqo sol sBIJBrp seJol{ 7 optreteQÉJ¡ 'Zi
se{arrlr 008ü :ugIatr1os
¿soloulLÉ g¿:i e:cq
I ue g¡Ep sB}Ian s?}uBn3? 'so}Rulul 0I ue sE}Ier}& 009 sp rop€ll}llai Ir{1 '1I
'seps 0t9:ugpnlos
¿cpFns CI¡3nu
ns gres trnJ?
.sBFelp sBroq ¿ ue o[equ& ns grE]uauIEB anb ec¡pu¡ aluarat 1g
.süJsu*ures selos o'e?-¡*reps ouro¡ *qti"t segEIP s*roq 9 rufuqurr rod 3m¡'or
E'Z69 * 7'69g - !'8gI :Irgllft1os
.2,!,! € T'uorerodord aluauresrelur a E'U'I E aluetuslce¡P 00eI 'rqffda¿'6
i¡z -'
002,008'ggg:Ltglcnlos
,
E,z,:-soJeuqru sole sslEuop.rodord etruellres¡?Au} 00II lpJedau
.g
'selos 0009 orpa¿'sa¡os o09E oluoluy'saps o0fz nsnf :trgpBtos
¿soÉos solap
oun EpBc e peplpn ap apuodsouo¡-olugn3? selos 0005 uor orPad
't
sa¡os 000t
roc oruoluv .sa1os
0002 uox uÉnI.
':sór¡os'sa¡l rod opepodu sa *,rrd'3
EI,se'os 0002I
"
onpo"ore og' 1"p o.r1-tgi ¡e esardrua eun ap sap'prlsn s,.t'L
' 08t-'09€'Ülz'azt :ug'r}nlos
-
V'E'Z'I soJeur{tu sol B aluelllelsaJ[p 69¿¡ rqJuda¿ '9
"B¡oq I :ugranps
¿ ql'ut{ 09 E opu¡of,er otuslru esa rezrlce¡ ua
grspr* olugnS? 'rt/'ru{ 0z e our,',e¡ un railof,ar ua surCIq t -n'n}o;r:"ü.llrJ
¿olirale otplp 3 opPSlsB eq aleluac'rod ?nb? 'se¡ue{Qer{
00zr apl'lrr ns op s".ro,J""1e sul u t'ip"eü saluelrqeq 000t "HlXTf ,ffifi;ol
Lo/ooZle esrelueurnu ep sgndsap pepe ns Eras I9n3? 'soge 0t euerl orpa¿ 't
'soue¡ado ZT :{¡gpnlog
¿serP I uatrqo
"urs,rü
q xaeq tred
esleluaulnueqepsogeradosolugnS?s"}p0ZueEIqoBunua¡eqsogurado?1S.2'se¡p 0z :u9-1cnl0s
nBcn
,(g u y) TEIIBq < s 't- >
¿s8tusrur s?luos sstreTp
'oz.raüJ.ar ep Eopsplos 0?
ep ugpruretr3 eug 'rsauola€r ml1S Sa¿a^I^ sol wrEzrrPcp selp soluBm ürld?
uegeh F 'i*Ip ¡i ered sareqA eue-t} sop€plos 08
lEuolJJodo.r¿ o¡'ruda¿
< z-'co- ) = ,(8 u v) :IrqnnloS
Á i+'Z-7 = f so{Brlretu! sol üor3'}
Fedo Medina Corcuera I 400
Solución: Luis: 600 soles, Julio 1200 soles, Jaime 1800 yAlfredo 2400 soles.
Logaritmos
r. Hallar el pH de una solución flrya concentración de [H+] = 0,025 M.
Solucíón: pH = t,6oz
z. Si el pH de una solución es pH = 0,015 . iCuál es la concentración de [H+J?
Solución: [H*] : 0,97 M
3. Hallar r en log (x2 + 3x * 72) = 2.
Solueión: r = 8
4.IIalIar xen log¡732 = x.
Solucién: ¡ = 10
5. Hallar xen?log x :log(6x*7).
Solución: x=7 x = -L
6. Hallar el valor de x en:
log(r + 10) - log(2r * 5) = log(r - 4)
Solueién: x = 5. La solución r = -1 no se toúa en ü1ent4 pues no hay
logaritrno de números negativos
7- Hallar el valor de ¡ en: x = logz2fi
Solución: * =X,
1?-o
2,3+zx tX¿{x= ?Zcz
R = 2F'+x) (
V= x' iI
[=x J
t' /'
z'-)
7T +BX'./
R-Z
Q:2
LI CtP= 9o
tc +2p = t6o
tc+ f : 43o
--o
---@
+á= o
¡F + x -/¡f,s=o
("*tc'l (¡-r: --o
tlDll
= tSL
= F-zsJ
t¿5 + 225)
( zqo)
R: a{Oo
)C ts
tr to: K&cvqn€ll
X1
tsXI
Qx J
/gq
tt rl
X +3X +{X :4{,}
4]X = 441
X:9
q*cr q ; 21 ,-s'
L
tg X$l r
Y= 3s-X
6t
2
t+É-
zÉ=
É=4
P
:s I *'* L= [zs
/ Xf* (rs-xL. o ¿s
/y. srazLS_IoX+X!¿
L>&-loK { 6@= o
Yl -
'tEx ¡3so = o
I -r-o[x- ts'o
X= Xrl X:45
a
r,l-a Lo ', 43
A
uora[e-
f.- 5.q
: S [t,r ¡rJ
h-: 9,66
mr7-
_)
(lz+x 3oo
4z x = ?oo
K - 4o{t -4L
X: 5r]2 t'¡nr
a
t?*f = 52 i
2*-2.so
i): 4rg
E]+f-nsz
) = :/^-
Er
'*
p rl; +Et
r¿ -/-_ q8
2tX+¡ + 5 (x-¡
b-¡ I (xts',
rtr"t)(tx+6 lsx- 45)
3
=
rk-r)
: ¡tüq)
Qx-a (rx -q : :P- zr
4txL - aóX-4qK + tg * 3x1 tl
44iz--3ex+ q5 =o
X: 31 t 0Ñ- ltttks)
tt4{t
r= 4tq6 -+ e'ato.f
X¿= 4,19 * 4lqo^
315x
Q,rz vFY Jt+21-
2* - €x+¡tx+z)
L =- 9x¿-+4ox+zx ¡6
:v3 43x +¿i -o
5x2 +{3x +¿t -o
),= - a3 t
Tls)
X: - 3I{Bq
1-
40
x a. =* 0 r 35(6e '(s g6 ¡reJ"rr{60
Vt-- -o¡3L
n*-{ (s)(q)
y z-= - t,z(
:fr$tE- Rr.i Nos
b 'a3
A: 1-q,-3] U fs,o)
'L -1
AnB =
3
<-4,, 3 )
ew -tl
[nue I
-3
= Go't-4] U
(unel =
(-r ,-2 , U
A{5
{,@>
/ | ///¡
/, ,"
,fu
23
n
djrf0
,8o :eq.d.lt&a,1
(nm
R.e t AGo ( Ro?orur..oñ¡.
: 2oúiu
) d,'s*.d^o¡
.X
X=
{9
0.1rN
,1 ogeruurigt
(x
aoüuI d'lvt
5 dran I
X=
/.f
6r )9¿)
F4
46
4(" -
¿l
+ ts% a¿ 3o
/
+ M^z/,tr
+C
3 6 onnren
4ooo/"
X
K=
. X=4o
: [.eno
?o
3o
3o
E vnura-rr,la
3ooo
4 toO
zowv T
/6
ooKV^ )
6Q/,'7
6ñ
dtlnn .
X=
drs*( X
4 henq
t
Lo GAC<-(T r4.O 5
(H= : fq[orozs)
Pt = 4 ,Lo2
P r
- ;"9[rr *)
0,c43 = - "-(tt+)
- O ,c.45 =
log (ln*
IH*l=4$CIrors
[u*] :
[t'n I :
D I-ry tx< +3X * ,rz= 2
a,& = x'+}X +tz
6 
+-c13¿ =Xú.
-Xrz =
>z
áe¡z- a
¿¿
X3
-z-
.^
rt togX
= l^q (Cx vrl
/
/,
$r= Wrcxr-+)
>--Gx -fr= o
k-t) [x 14 =o
0/ q 6( o5o 81 g
g, 1?
f +¡x -tsB =o
(x a'ta) (.x-e=o -{.JnE
E ñt (xrto - Ls,lkx+s) =Ioq(x-r¡
/--.1tSfo)
=rA[ *-")
x*{o = &(;Ix-q)
X{,Lo = A*-BXI 5x -zo
rxlqx-30 = o
x¿:- zx - 45 =o
C-> ) (x t-3) = o
y-- - z d&Ms¡,-r+
Je
X< 2U¿
?. r¿
9
f
t^t )
2
2X
2K
4i-
=- 2 .2'
K:zL
B
I
X {zx +3x+1X= 4?-oO
d*-- ^Lsró
los nl*on"r ,]n:'to
4 to ', 'tuo ; 36o / 4go
l-9 loooX + voooX I 5oooX : "l'ooo
n,/ftx<v//
=
S
v
F
Y=
x=
3
44"A O
€'6o o
66o o
6oo
cnCm: 6
q2
¡3
6x+ex {zx--
4,x=
N,=
5l eoo
5/. zc,o
)/g-oc>
0 2x
2
r (¿r(5X =rz
+1áx :
z
13X:
X=
4Lo O
4too
4ZoO
t zoo
4>
A¿
4e¡L:
2+
,3 _*
4.18 r 5
3Lq t 2-
6q2 t3
l^l-c^' 4]3,#3.l =
t''4ro
u --ú'
flsento = fg"Ht - '/ 6oo
-
-"4
te ArL€- = 5JF{tl -=-1 o.,.,.'
l--v
F
+ x{z
leLo-
nJo
-z Qo
+ Cq)t¿X
jx + tx
2
ro
oJInN
/ 6 hwo¡
(b
Goo
X
5/ 4go
)
"^*
X;
-go€B€€)
G-
4
v¿r.q-t-+o.t
S/
X =/c<tC i
_l
4ocxrJn
Bo...in
E
o¡sm
/ 4u,/¿
I evr
q Ja¡
X
2
Cql -tg¿
^L
4<¡oX I tooX
)(=
X:-
e *-ts¡ e^rr :
ft.r¡cirr I
Q o.reJes
z4
(t
"'-t
t e
)*-
BooK =
GcoX :
./
-A.-'
't o ot'to :
?-o o ['to =
3oo ['Lo --
GoO C
6oo
40
S/4sa o
t/ zoo .,
t/ zoco
tofX: lE (gxv<l
Át= ,1 rcx+-+)
>l-cx
fo-r) tx
F
-Jr= o
lq =o
,-J
K=-r I
i,ü9 [hn
* g,oLS
40
2X
2K
41-
= 2 .2'
A [*r (*rto - Ls9 ex+r) : he r.¡-"
$fo) =rA[*-")
0/ q 66 oSo 81 g
: o/ 1?
f +ax -tsB =o
(x aaa) [x-e=o f.nE
---
xt-{o = Lí**s )tx-q)
X,to= A*-gYr5X-z<,,-.
r-x1qx-3<> =
o
i¿- zx - 45 =o
G->)(x t-))- o
X-* -3 ¿e^rcJ
¿o
Xi t^-)
2
= ?.rl-¿
7
CZ
2U¿
K:vL
Lqr qA(L(T tr,to 5
R H. * I.,:g Lorozs)
Pt = 4 16o2
qu *
0,o 43
- O ¡g'f5 =
Iu+l=
[r,*] :
[tn* J
irry txL +3X * lz = 2
4& = it+bX +'tz
t3
6 
d--rolAL =Xú-
_x
rz =
>z
K9
^L ^2-L
X_:_+ _L _
Resolver las ecuaciones y los prcblernas:
{i^4*""} ,l[g-fl.(x+6)(x-6):13
2.{x+11)(x-lt):23
3,(x-3):-(Zx+5)2=-16
4. (4x - l) (fx + i) : (x + 3Xx _ 1)
-tiil __:_
x+6 x+l Zx x
¿ x x-2 5
x-.2 x z
7.Vr + 6 + J-o + 2 = 4
8) se quiere hacer una caja de 50 cm3 de vorumen con una carturinacuadrada. Para hacerra se éortan en r-1s
".quinu.
cuadrados de 2 cm. delado. ¿cuánto mrde er rado de ra carturina cuadrada?
9) Determina res [ados de- un rectánguro, sabiendo que su semiperímetroes ?$m y su área es 150m2.
10) La edad de Liriana era hace 6 años ra raíz cuadrada de ra edad guetendná dentro de 6 años. Determina la edad
""tu.l.
1tI tlctermina las medidas de un trránguro rectánguro, sabrendo quo eu; rerímetro es 80 m y la suma de tos catetos es 46 m.
1¿) El área de un rectánguro es 3g0 qi y er rargo excede ar ancho en dosunidades. Galeula et períInetro del rectañgut
13) Determinar ras rongitudes de ros tados de un rectánguro si er radomay$r¿xcede en {0 cm. ar menor y ra diagon.i Lü" 50 cm.
14) Una persona compró cierto número de objetos en g 300. podría habercomprado t0 0bietos más, si cada uno nul¡ese costado $ 5 menos.¿üuirrius obj*rs eompró?
15) calcurar ra artura y ra base de un-triánguro isósceres cuyos rados!gu*l*s nriden 1$ m y riaftura es z rn. rnás rir{a que ra base.
16) Deterrnina fos rados de un triánguro rectánguro, sabiendo que rasdirnensiones de Nos tres corespondená n,:**io* ñaturales consecutivos.
171 La hipotenusa de un triángulo rectángulo es 25 metrss y Ia suma de
los catetos es 35 metros ¿Guánto miden los eatetos?
t8) La suma de los perímetros de dos cuadrados es 240 m. y la suma de
sus áreas es 2 5?2 m2. ¿Cuánto mide el lado de cada cuadrado?
19) La suma de los catetos de un triángulo rectángulo es 7{ cm. y el área
ciettriángulo es 330 cmz. ¿Cuánto miden los catetos?
20) El eateto mayor de un triángulo rec'tángulo mide 60 m. y la diferencia
da las proyecciones sobre la hipotenr¡sa es 21 m. Galcular los otros dos
lados del trlángulo.
21) En un $iángulo la base mlüe 15 m. más que el doble de la altura.
Galcutar ta base y la attura, sabiendo que et área deltriángulo es 30'l rnz.
22) *lguien regala 525 eoles para repartirlos entre loe niños del nivel
cuarto básico de una escuela. Como 25 niños estaban ausentes, cada
uno de los niños presentes obtuvo 0,50 soles más. ¿De cuántos niños se
componía el nivel cua¡'to?
17} La hipotenusa de un triángulo rectángulo es 25 metrss y Ia suma de
los catetos es 35 metros ¿Cuánto miden los catetos?
t8) La suma de los perímetros de dos cuadrados es 240 m. y la auma de
sus áreas es 2 5?2 m2. ¿Cuánto mide el lado de cada cuadrado?
19) La suma de los catetos de un triángulo rectángulo es 7l cm. y el área
cieltriángulo es 330 cmz. ¿Cuánto miden los catetos?
20) €l eateto mayor de un triángulo rec'tángulo mide 60 m. y la diferencia
da las proyecciones sobre la hipotenusa es 21 m. Calcular los otros dos
lados del trlángulo,
21) En un $iángulo la base mlüe 15 m. más que el doble de la altura.
Cácutar la base y la attura, sabiendo que et área deltriángulo es 30'l rnz.
22) Alguien regala 525 eoles para repartirlos entre lse niños del nivel
cuarto básico de una escuela. Como 25 niños estaban ausentes, cada
uno de los niños presentes obtuvo 0,50 soles más. ¿De cuántos niños se
componía el nivel cuarto?
E (lj.0-q
n (x rc)(Y - 6= a3
Xt^- tz4 = 2v
f :4q
Y = I{@ -t{z
@
t2 ñ¿x +q - (ql&+ ?.o X +25) =
ñax +q -qt- z..x -L5 =
-¿>& -2-6x =o
¡* {zeX= o
X (: x {ze =o
2
4x-+6X -o
X t1x r a z^a
É A[.Y;¡): (x+:)tx-.t]
l-r
gñstoX -* ñ+c-x -.2
lF- z6 : 47
X=tq 9
ÉrF
4
?Xlz6 =o
r3
[---
o4
rt
Y Q c¿o l¡Lean a¡
x+,1 { x+ 6
Gr,(x+et
zxfux ++
{f t 4ex
z*+1X (-O
-tc
=O
- Utd-d qch_
?..-4----___
tv
xt+ +x¡ 6
f ++x+ 6
'x j<Í
Gx-. t x
3X-L=-o
li=E-l
[_ 3f
¿e xL (ñqx{cr ) = z
$-ztx
t31

-41
-46
X= 48 tm
2[5
IB IüM
4o
X: = tB J 1ür¡
4o
2V- {r 1x-a ): sxa-1oX
BX-B=
5>A,ttsX
s>3-4o X
+ts =-o
;_-1jEl-
Lu.{o da= ct c.,<a-rukJ¡ nc_ .[
tso-
{A
? 4,
X
V: tY-q trq) (z) - 5<c
6-q i Ls
X-Q c trB
X : S+V
¿t! --x
,Ó + Q(-x f= :qz
¡F+t4tt - qzx +i'- 445L
t*-qz-x r{6o c'o
>} -q6X lqBo - o
tX- > .' ) ¡Y-t É' =- o
n-¡.t<n n t wf ¿3orrr ySXrnf
A = b6o*Z
X+¿
A= G+z-(x =760
>&+zx
(¡-rz,ot
2-o
x---30 / x-4L
-3@ =-A
tx-te)3o
¡q -$ =-O
@
X
x+/= L5
ñ-¿sx
(x-t> ) tx
X- l'930
r@
X! :45 o
{:o = O
-"to =o
 X-to 3"o
@
&.vrg- : t5
ü¡,rco =
4()
x-6 =
G-e F= x+6
>Lr¿x t36 = x+ 6
2*
x1 {3X rBo .-ó
(x-tq x-g!:o
l)€C) *Es)
W 40 cI/ñoJ
üyTf
nzo
rg
xr+
É+
2x'
f-
(zs-x-= lrl
4LZs--4oX + x1 6¿5
- -tbx {.6oo= o
- VrX * 3oo =O
u - 2_o [x-x5= o
E
v* l;"il
4x *.ry = ZttO
Y*y _ 6a
¡¡ Go)
(Lo1)'+y? y->Lz
36oo-¡zo! +É+yt Lsz,z
rV1 4zoy *1o?g: o
Y -6oy + szq=o
[- 4q1 [v-,rl*o
Y= 'ig l: a.1
W", ¿t4m
44w1
v
/
m
33c>
Leo
Xt -11X * e6o = o
( x -6o)(x_,r,r=o
t:6;-ñ
x+2-1
r-=-..-.--.-
zx +21 ___-______{
Got ¿.ñ-r?+¿¡')
36 oo = L*+6vx +Ltq 4
tx'+ 6zx 7451 = o
6o,
X*y=J1  ry:
lz xY=
NX
xt+ yt= LsLz
Q-rt ¡rr+ )
+-_
a+M
15r".
,9,^'.
at
5n" r7 ? srr)
@
K+ 40
xt fS+roÉ 5&
)& I >&+zroK tlo-= a'Soo
a->t-+ZoX _Zt1oo=O
,F+ ,1o,X
-41-oo=o
fr *1" [x-3o =o
R{l.tr. 3orrr Y9totr4
+ oble[eA'- X
3co
Y
3Sg-_
2< {'t<>
-l3oo o t
x ${'to1
Q*t tt+* = 4oL
ai¿+ BX+q +>C= 4oo
qFre. x
9o
._
X:-B t/ (eLtrrld
2 tr)
X: -. e,I ^t:"{/s
t"o = 3tl3Y
-
Iro
=ná -lY tx+to )
Goo 3 X [x+'to)
*L+toK-6oo =o
(x. +zo )tx-2.)=
:¡r--
"n
obietc¡
Ka 7t65
o-.0.-dtr( = 9¡ joB
[^ng = Tr3o€
G* {(x+{ft Cx++
,/ ,/
* +42¡t4 ='*+'tx+v
k-"X *? -'o
(x->  (xv't:o
--á----
lj-t)p'[LIo, 3 I a vs

Ecuaciones,inecuaciones,reparto proporcional,logaritmos

  • 1.
    L:t .-."ij:i 1,. { m*'E >n [t- '*- ; = ,(g n ts) :ugrf,n{üs ',(8n r).relluqlt'?-)= s ri < ¿'g-l = H ls'fl <E'I-;'=SU H :{gPntoS 'g U H rBIPq [S 'f *) - g ''{ {t 'Z-] : V solEara}ut ssl epBC '6 Z+x < o+ '9] ñ [t- '*- 7 = ,V :ug]en$S '< 5 'E- ) = [ ap oluauraldtuoc ra reIJeH'r so[E*Lri]luI VZ,Z-:zx 9t,0 -: rx:uqpa¡og n+xv+zx z ? 0?'r - sl'Í = zx :JeÁlüsau'01 3 0t'I + St'I = rx:ugna1og (t - x)z E+x , t -^"r_ :* 5z :.raapsa6 -6 g r( I :uqnnlog 'soralunu soqr[p reileH' 86 sa so¡e{ur,tu soP eP soqm sol ap €u¡ns B*I'8 Irr3 ZE'9 :rronnlossa soqm sns eP ?.Icua¡e$P ei't ZSt ¿sa¡en8l uEas sBerg sel anb ured operpenc Ie reluaulne eqep es soJlaIIIFIlef, "'*i'iütt":;$::J;;-i,;::::,*rf i,*ffi {sI'0¿ :ü-oFnIos 'soreumu soriS{p TBIIgH . 5Zg se soppJpBn¡ sns ap Eluns Et Á s[ se so.Ieulr]u sop ap Eulns r-1 '9 I :ugltnios 'opelns ap uglsuau¡Ip Eirull€H'-g¡ sa opsJpsno un eP puoEtlp ur'¡'? T8'L7.{6 :I¡gl3RloS 'sora{ugu soqrlp 'IBI{BH' t se uozeJ ns ^d ¿11 sa eu¡ns u,{nc 'uaulgtuoat ugrsartord ue Ug}se soJelunu vaII -S "soled 6E ,t so1¡eqe) gt'¡ :uqpnlog 5 ¿Áeq soled r{' solpquo-sorugn3? s€lud 99¿ ap Frol un ,te1 n 'so¡ed ,{ sosequa im ü,X,T;?:nf},r:f;:iilTr,:1,É .serlz' seroq s*r ep op*rp*nc.ra uos :lryT,r-{-gifr Hfr,Xt;:'Pp1;:-::i3; ;ió; t" "l"gef* tq :oü* '('saprart 'se¡or eI}l¡e seloq azL feq ug['s] un ug 'T s?uopsntg 7.+x =- x5
  • 2.
    ¿o""*p"" * apuodsaumet oru€n3-?- t3-11¡3o:Í::-"#iy;? usa.rdr¡¡a *""tt;TJ#ütffi;;i -q"t itlos'ssse aP pEblIFn elgrR'redar aB 'Er 'se¡p zI :ryp*Iüs ¿selrBrp sEJoq E ep uo.ueJ e opurfeqe¡l ErqQ EIII$IIU_EI ugJBgluNa¡ sEiP SOIIJ'9n'1 ug? BJqO BUn JEUIIUJAI ercd selp 6 rr€Joruap esa¡dura EIm ap sorarqo sol sBIJBrp seJol{ 7 optreteQÉJ¡ 'Zi se{arrlr 008ü :ugIatr1os ¿soloulLÉ g¿:i e:cq I ue g¡Ep sB}Ian s?}uBn3? 'so}Rulul 0I ue sE}Ier}& 009 sp rop€ll}llai Ir{1 '1I 'seps 0t9:ugpnlos ¿cpFns CI¡3nu ns gres trnJ? .sBFelp sBroq ¿ ue o[equ& ns grE]uauIEB anb ec¡pu¡ aluarat 1g .süJsu*ures selos o'e?-¡*reps ouro¡ *qti"t segEIP s*roq 9 rufuqurr rod 3m¡'or E'Z69 * 7'69g - !'8gI :Irgllft1os .2,!,! € T'uorerodord aluauresrelur a E'U'I E aluetuslce¡P 00eI 'rqffda¿'6 i¡z -' 002,008'ggg:Ltglcnlos , E,z,:-soJeuqru sole sslEuop.rodord etruellres¡?Au} 00II lpJedau .g 'selos 0009 orpa¿'sa¡os o09E oluoluy'saps o0fz nsnf :trgpBtos ¿soÉos solap oun EpBc e peplpn ap apuodsouo¡-olugn3? selos 0005 uor orPad 't sa¡os 000t roc oruoluv .sa1os 0002 uox uÉnI. ':sór¡os'sa¡l rod opepodu sa *,rrd'3 EI,se'os 0002I " onpo"ore og' 1"p o.r1-tgi ¡e esardrua eun ap sap'prlsn s,.t'L ' 08t-'09€'Ülz'azt :ug'r}nlos - V'E'Z'I soJeur{tu sol B aluelllelsaJ[p 69¿¡ rqJuda¿ '9 "B¡oq I :ugranps ¿ ql'ut{ 09 E opu¡of,er otuslru esa rezrlce¡ ua grspr* olugnS? 'rt/'ru{ 0z e our,',e¡ un railof,ar ua surCIq t -n'n}o;r:"ü.llrJ ¿olirale otplp 3 opPSlsB eq aleluac'rod ?nb? 'se¡ue{Qer{ 00zr apl'lrr ns op s".ro,J""1e sul u t'ip"eü saluelrqeq 000t "HlXTf ,ffifi;ol Lo/ooZle esrelueurnu ep sgndsap pepe ns Eras I9n3? 'soge 0t euerl orpa¿ 't 'soue¡ado ZT :{¡gpnlog ¿serP I uatrqo "urs,rü q xaeq tred esleluaulnueqepsogeradosolugnS?s"}p0ZueEIqoBunua¡eqsogurado?1S.2'se¡p 0z :u9-1cnl0s nBcn ,(g u y) TEIIBq < s 't- > ¿s8tusrur s?luos sstreTp 'oz.raüJ.ar ep Eopsplos 0? ep ugpruretr3 eug 'rsauola€r ml1S Sa¿a^I^ sol wrEzrrPcp selp soluBm ürld? uegeh F 'i*Ip ¡i ered sareqA eue-t} sop€plos 08 lEuolJJodo.r¿ o¡'ruda¿ < z-'co- ) = ,(8 u v) :IrqnnloS Á i+'Z-7 = f so{Brlretu! sol üor3'}
  • 3.
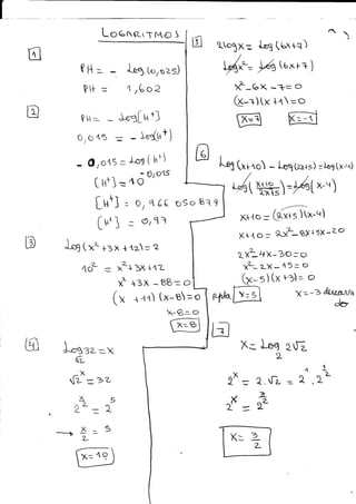
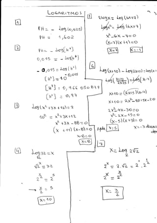
    Fedo Medina CorcueraI 400 Solución: Luis: 600 soles, Julio 1200 soles, Jaime 1800 yAlfredo 2400 soles. Logaritmos r. Hallar el pH de una solución flrya concentración de [H+] = 0,025 M. Solucíón: pH = t,6oz z. Si el pH de una solución es pH = 0,015 . iCuál es la concentración de [H+J? Solución: [H*] : 0,97 M 3. Hallar r en log (x2 + 3x * 72) = 2. Solueión: r = 8 4.IIalIar xen log¡732 = x. Solucién: ¡ = 10 5. Hallar xen?log x :log(6x*7). Solución: x=7 x = -L 6. Hallar el valor de x en: log(r + 10) - log(2r * 5) = log(r - 4) Solueién: x = 5. La solución r = -1 no se toúa en ü1ent4 pues no hay logaritrno de números negativos 7- Hallar el valor de ¡ en: x = logz2fi Solución: * =X,
  • 4.
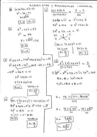
    1?-o 2,3+zx tX¿{x= ?Zcz R= 2F'+x) ( V= x' iI [=x J t' /' z'-) 7T +BX'./ R-Z Q:2 LI CtP= 9o tc +2p = t6o tc+ f : 43o --o ---@ +á= o ¡F + x -/¡f,s=o ("*tc'l (¡-r: --o tlDll = tSL = F-zsJ t¿5 + 225) ( zqo) R: a{Oo )C ts tr to: K&cvqn€ll X1 tsXI Qx J /gq tt rl X +3X +{X :4{,} 4]X = 441 X:9 q*cr q ; 21 ,-s' L tg X$l r Y= 3s-X 6t 2 t+É- zÉ= É=4 P :s I *'* L= [zs / Xf* (rs-xL. o ¿s /y. srazLS_IoX+X!¿ L>&-loK { 6@= o Yl - 'tEx ¡3so = o I -r-o[x- ts'o X= Xrl X:45 a r,l-a Lo ', 43
  • 5.
    A uora[e- f.- 5.q : S[t,r ¡rJ h-: 9,66 mr7- _) (lz+x 3oo 4z x = ?oo K - 4o{t -4L X: 5r]2 t'¡nr a t?*f = 52 i 2*-2.so i): 4rg E]+f-nsz ) = :/^- Er '* p rl; +Et r¿ -/-_ q8 2tX+¡ + 5 (x-¡ b-¡ I (xts', rtr"t)(tx+6 lsx- 45) 3 = rk-r) : ¡tüq) Qx-a (rx -q : :P- zr 4txL - aóX-4qK + tg * 3x1 tl 44iz--3ex+ q5 =o X: 31 t 0Ñ- ltttks) tt4{t r= 4tq6 -+ e'ato.f X¿= 4,19 * 4lqo^ 315x Q,rz vFY Jt+21- 2* - €x+¡tx+z) L =- 9x¿-+4ox+zx ¡6 :v3 43x +¿i -o 5x2 +{3x +¿t -o ),= - a3 t Tls) X: - 3I{Bq 1- 40 x a. =* 0 r 35(6e '(s g6 ¡reJ"rr{60 Vt-- -o¡3L n*-{ (s)(q) y z-= - t,z(
  • 6.
    :fr$tE- Rr.i Nos b'a3 A: 1-q,-3] U fs,o) 'L -1 AnB = 3 <-4,, 3 ) ew -tl [nue I -3 = Go't-4] U (unel = (-r ,-2 , U A{5 {,@> / | ///¡ /, ," ,fu 23
  • 7.
    n djrf0 ,8o :eq.d.lt&a,1 (nm R.e tAGo ( Ro?orur..oñ¡. : 2oúiu ) d,'s*.d^o¡ .X X= {9 0.1rN ,1 ogeruurigt (x aoüuI d'lvt 5 dran I X= /.f 6r )9¿) F4 46 4(" - ¿l + ts% a¿ 3o / + M^z/,tr +C 3 6 onnren 4ooo/" X K= . X=4o : [.eno ?o 3o 3o E vnura-rr,la 3ooo 4 toO zowv T /6 ooKV^ ) 6Q/,'7 6ñ dtlnn . X= drs*( X 4 henq
  • 8.
    t Lo GAC<-(T r4.O5 (H= : fq[orozs) Pt = 4 ,Lo2 P r - ;"9[rr *) 0,c43 = - "-(tt+) - O ,c.45 = log (ln* IH*l=4$CIrors [u*] : [t'n I : D I-ry tx< +3X * ,rz= 2 a,& = x'+}X +tz 6 +-c13¿ =Xú. -Xrz = >z áe¡z- a ¿¿ X3 -z- .^ rt togX = l^q (Cx vrl / /, $r= Wrcxr-+) >--Gx -fr= o k-t) [x 14 =o 0/ q 6( o5o 81 g g, 1? f +¡x -tsB =o (x a'ta) (.x-e=o -{.JnE E ñt (xrto - Ls,lkx+s) =Ioq(x-r¡ /--.1tSfo) =rA[ *-") x*{o = &(;Ix-q) X{,Lo = A*-BXI 5x -zo rxlqx-30 = o x¿:- zx - 45 =o C-> ) (x t-3) = o y-- - z d&Ms¡,-r+ Je X< 2U¿ ?. r¿ 9 f t^t ) 2 2X 2K 4i- =- 2 .2' K:zL
  • 9.
    B I X {zx +3x+1X=4?-oO d*-- ^Lsró los nl*on"r ,]n:'to 4 to ', 'tuo ; 36o / 4go l-9 loooX + voooX I 5oooX : "l'ooo n,/ftx<v// = S v F Y= x= 3 44"A O €'6o o 66o o 6oo cnCm: 6 q2 ¡3 6x+ex {zx-- 4,x= N,= 5l eoo 5/. zc,o )/g-oc> 0 2x 2 r (¿r(5X =rz +1áx : z 13X: X= 4Lo O 4too 4ZoO t zoo 4> A¿ 4e¡L: 2+ ,3 _* 4.18 r 5 3Lq t 2- 6q2 t3 l^l-c^' 4]3,#3.l = t''4ro u --ú' flsento = fg"Ht - '/ 6oo - -"4 te ArL€- = 5JF{tl -=-1 o.,.,.' l--v F + x{z leLo- nJo -z Qo + Cq)t¿X jx + tx 2
  • 10.
    ro oJInN / 6 hwo¡ (b Goo X 5/4go ) "^* X; -go€B€€) G- 4 v¿r.q-t-+o.t S/ X =/c<tC i _l 4ocxrJn Bo...in E o¡sm / 4u,/¿ I evr q Ja¡ X 2 Cql -tg¿ ^L 4<¡oX I tooX )(= X:- e *-ts¡ e^rr : ft.r¡cirr I Q o.reJes z4 (t "'-t t e )*- BooK = GcoX : ./ -A.-' 't o ot'to : ?-o o ['to = 3oo ['Lo -- GoO C 6oo 40 S/4sa o t/ zoo ., t/ zoco
  • 11.
    tofX: lE (gxv<l Át=,1 rcx+-+) >l-cx fo-r) tx F -Jr= o lq =o ,-J K=-r I i,ü9 [hn * g,oLS 40 2X 2K 41- = 2 .2' A [*r (*rto - Ls9 ex+r) : he r.¡-" $fo) =rA[*-") 0/ q 66 oSo 81 g : o/ 1? f +ax -tsB =o (x aaa) [x-e=o f.nE --- xt-{o = Lí**s )tx-q) X,to= A*-gYr5X-z<,,-. r-x1qx-3<> = o i¿- zx - 45 =o G->)(x t-))- o X-* -3 ¿e^rcJ ¿o Xi t^-) 2 = ?.rl-¿ 7 CZ 2U¿ K:vL Lqr qA(L(T tr,to 5 R H. * I.,:g Lorozs) Pt = 4 16o2 qu * 0,o 43 - O ¡g'f5 = Iu+l= [r,*] : [tn* J irry txL +3X * lz = 2 4& = it+bX +'tz t3 6 d--rolAL =Xú- _x rz = >z K9 ^L ^2-L X_:_+ _L _
  • 12.
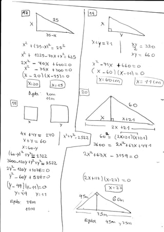
    Resolver las ecuacionesy los prcblernas: {i^4*""} ,l[g-fl.(x+6)(x-6):13 2.{x+11)(x-lt):23 3,(x-3):-(Zx+5)2=-16 4. (4x - l) (fx + i) : (x + 3Xx _ 1) -tiil __:_ x+6 x+l Zx x ¿ x x-2 5 x-.2 x z 7.Vr + 6 + J-o + 2 = 4 8) se quiere hacer una caja de 50 cm3 de vorumen con una carturinacuadrada. Para hacerra se éortan en r-1s ".quinu. cuadrados de 2 cm. delado. ¿cuánto mrde er rado de ra carturina cuadrada? 9) Determina res [ados de- un rectánguro, sabiendo que su semiperímetroes ?$m y su área es 150m2. 10) La edad de Liriana era hace 6 años ra raíz cuadrada de ra edad guetendná dentro de 6 años. Determina la edad ""tu.l. 1tI tlctermina las medidas de un trránguro rectánguro, sabrendo quo eu; rerímetro es 80 m y la suma de tos catetos es 46 m. 1¿) El área de un rectánguro es 3g0 qi y er rargo excede ar ancho en dosunidades. Galeula et períInetro del rectañgut 13) Determinar ras rongitudes de ros tados de un rectánguro si er radomay$r¿xcede en {0 cm. ar menor y ra diagon.i Lü" 50 cm. 14) Una persona compró cierto número de objetos en g 300. podría habercomprado t0 0bietos más, si cada uno nul¡ese costado $ 5 menos.¿üuirrius obj*rs eompró? 15) calcurar ra artura y ra base de un-triánguro isósceres cuyos rados!gu*l*s nriden 1$ m y riaftura es z rn. rnás rir{a que ra base. 16) Deterrnina fos rados de un triánguro rectánguro, sabiendo que rasdirnensiones de Nos tres corespondená n,:**io* ñaturales consecutivos.
  • 13.
    171 La hipotenusade un triángulo rectángulo es 25 metrss y Ia suma de los catetos es 35 metros ¿Guánto miden los eatetos? t8) La suma de los perímetros de dos cuadrados es 240 m. y la suma de sus áreas es 2 5?2 m2. ¿Cuánto mide el lado de cada cuadrado? 19) La suma de los catetos de un triángulo rectángulo es 7{ cm. y el área ciettriángulo es 330 cmz. ¿Cuánto miden los catetos? 20) El eateto mayor de un triángulo rec'tángulo mide 60 m. y la diferencia da las proyecciones sobre la hipotenr¡sa es 21 m. Galcular los otros dos lados del trlángulo. 21) En un $iángulo la base mlüe 15 m. más que el doble de la altura. Galcutar ta base y la attura, sabiendo que et área deltriángulo es 30'l rnz. 22) *lguien regala 525 eoles para repartirlos entre loe niños del nivel cuarto básico de una escuela. Como 25 niños estaban ausentes, cada uno de los niños presentes obtuvo 0,50 soles más. ¿De cuántos niños se componía el nivel cua¡'to?
  • 14.
    17} La hipotenusade un triángulo rectángulo es 25 metrss y Ia suma de los catetos es 35 metros ¿Cuánto miden los catetos? t8) La suma de los perímetros de dos cuadrados es 240 m. y la auma de sus áreas es 2 5?2 m2. ¿Cuánto mide el lado de cada cuadrado? 19) La suma de los catetos de un triángulo rectángulo es 7l cm. y el área cieltriángulo es 330 cmz. ¿Cuánto miden los catetos? 20) €l eateto mayor de un triángulo rec'tángulo mide 60 m. y la diferencia da las proyecciones sobre la hipotenusa es 21 m. Calcular los otros dos lados del trlángulo, 21) En un $iángulo la base mlüe 15 m. más que el doble de la altura. Cácutar la base y la attura, sabiendo que et área deltriángulo es 30'l rnz. 22) Alguien regala 525 eoles para repartirlos entre lse niños del nivel cuarto básico de una escuela. Como 25 niños estaban ausentes, cada uno de los niños presentes obtuvo 0,50 soles más. ¿De cuántos niños se componía el nivel cuarto?
  • 15.
    E (lj.0-q n (xrc)(Y - 6= a3 Xt^- tz4 = 2v f :4q Y = I{@ -t{z @ t2 ñ¿x +q - (ql&+ ?.o X +25) = ñax +q -qt- z..x -L5 = -¿>& -2-6x =o ¡* {zeX= o X (: x {ze =o 2 4x-+6X -o X t1x r a z^a É A[.Y;¡): (x+:)tx-.t] l-r gñstoX -* ñ+c-x -.2 lF- z6 : 47 X=tq 9 ÉrF 4 ?Xlz6 =o r3 [--- o4 rt Y Q c¿o l¡Lean a¡ x+,1 { x+ 6 Gr,(x+et zxfux ++ {f t 4ex z*+1X (-O -tc =O - Utd-d qch_ ?..-4----___ tv xt+ +x¡ 6 f ++x+ 6 'x j<Í Gx-. t x 3X-L=-o li=E-l [_ 3f ¿e xL (ñqx{cr ) = z $-ztx t31 -41 -46 X= 48 tm 2[5 IB IüM 4o X: = tB J 1ür¡ 4o 2V- {r 1x-a ): sxa-1oX BX-B= 5>A,ttsX s>3-4o X +ts =-o ;_-1jEl-
  • 16.
    Lu.{o da= ctc.,<a-rukJ¡ nc_ .[ tso- {A ? 4, X V: tY-q trq) (z) - 5<c 6-q i Ls X-Q c trB X : S+V ¿t! --x ,Ó + Q(-x f= :qz ¡F+t4tt - qzx +i'- 445L t*-qz-x r{6o c'o >} -q6X lqBo - o tX- > .' ) ¡Y-t É' =- o n-¡.t<n n t wf ¿3orrr ySXrnf A = b6o*Z X+¿ A= G+z-(x =760 >&+zx (¡-rz,ot 2-o x---30 / x-4L -3@ =-A tx-te)3o ¡q -$ =-O @ X x+/= L5 ñ-¿sx (x-t> ) tx X- l'930 r@ X! :45 o {:o = O -"to =o X-to 3"o @ &.vrg- : t5 ü¡,rco = 4() x-6 = G-e F= x+6 >Lr¿x t36 = x+ 6 2* x1 {3X rBo .-ó (x-tq x-g!:o l)€C) *Es) W 40 cI/ñoJ üyTf nzo rg
  • 17.
    xr+ É+ 2x' f- (zs-x-= lrl 4LZs--4oX +x1 6¿5 - -tbx {.6oo= o - VrX * 3oo =O u - 2_o [x-x5= o E v* l;"il 4x *.ry = ZttO Y*y _ 6a ¡¡ Go) (Lo1)'+y? y->Lz 36oo-¡zo! +É+yt Lsz,z rV1 4zoy *1o?g: o Y -6oy + szq=o [- 4q1 [v-,rl*o Y= 'ig l: a.1 W", ¿t4m 44w1 v / m 33c> Leo Xt -11X * e6o = o ( x -6o)(x_,r,r=o t:6;-ñ x+2-1 r-=-..-.--.- zx +21 ___-______{ Got ¿.ñ-r?+¿¡') 36 oo = L*+6vx +Ltq 4 tx'+ 6zx 7451 = o 6o, X*y=J1 ry: lz xY= NX xt+ yt= LsLz Q-rt ¡rr+ ) +-_ a+M 15r". ,9,^'. at 5n" r7 ? srr)
  • 18.
    @ K+ 40 xt fS+roÉ5& )& I >&+zroK tlo-= a'Soo a->t-+ZoX _Zt1oo=O ,F+ ,1o,X -41-oo=o fr *1" [x-3o =o R{l.tr. 3orrr Y9totr4 + oble[eA'- X 3co Y 3Sg-_ 2< {'t<> -l3oo o t x ${'to1 Q*t tt+* = 4oL ai¿+ BX+q +>C= 4oo qFre. x 9o ._ X:-B t/ (eLtrrld 2 tr) X: -. e,I ^t:"{/s t"o = 3tl3Y - Iro =ná -lY tx+to ) Goo 3 X [x+'to) *L+toK-6oo =o (x. +zo )tx-2.)= :¡r-- "n obietc¡ Ka 7t65 o-.0.-dtr( = 9¡ joB [^ng = Tr3o€ G* {(x+{ft Cx++ ,/ ,/ * +42¡t4 ='*+'tx+v k-"X *? -'o (x-> (xv't:o --á---- lj-t)p'[LIo, 3 I a vs