http://www.espol.edu.ec/
Así como los electrones están unidos a sus núcleos por fuerzas
electromagnéticas, los átomos en un sólido también están ligados unos a otros
por fuerzas electromagnéticas. ESTA FUERZA ELECTROMAGNETICA ES LA
QUE SE REFIERE A LA FUERZA ELASTICA.
ESFUERZO Y DEFORMACION
Un sólido puede ser deformando en diferentes formas.
Estas pueden ser divididas en tres categorías:
Cambios en longitud Cambios en orientación
angular.
Tensión, compresión corte
Cambios
en
volumen
ESFUERZO.- Se lo define como la razón entre la fuerza y el
área. Sus unidades son N/m2
A
F
=σ
F F
ESFUERZO DE TENSION
Area
larperpendicuFuerza
=σ
A
F⊥
=σ
A
definiciones
∆l
PROBLEMAPROBLEMA
Para que se cumplan las condiciones de seguridad
necesarias, determinado cable de elevador ha de tener un
esfuerzo máximo de 10 000 lb/pulg2
. Si tiene que sostener un
elevador cargado con un peso total de 4 000 lb, con una
aceleración máxima hacia arriba de 5 pie/s2,
¿cuál debe ser el
diámetro del cable?
SOLUCION
F
mg
a
maFy =∑
mamgF =−
( )agmF +=
+
( )
4
2
d
agm
A
F
π
σ
+
== ( )
πσ
agm
d
+
=
4
( )( )
( ) 22
2
2.3210000
.52.3240004
s
ftlb
lb
in
lb
sftlb
d
f
f
×
+
=
−
π ind 77.0=
DEFORMACION UNITARIA
Si un cuerpo tiene una longitud inicial l y se estira o
comprime una cantidad ∆l cuando se aplica un esfuerzo,
entonces la deformación unitaria es:
l
l∆
=δ
Es una cantidad adimensional
Experimentalmente se encuentra que δEs proporcional
a la fuerza deformadora pero inversamente proporcional
a la sección transversal.
δσσαδ E=⇒
l
l
E
A
F ∆
=
I
L
CURVA ESFUERZO - DEFORMACION UNITARIA
El límite de proporcionalidad es el esfuerzo hasta el que
se puede aplicar la ley de Hooke.
Cuando se aplica un esfuerzo igual al límite elástico el material
no se deforma permanentemente cuando se suprime el
esfuerzo pero ya no se puede aplicar la ley de Hooke.
EJEMPLO
El hueso humano tiene un módulo elástico de
aproximadamente E = 1.5x1010
N/m2
en compresión. El valor
del límite elástico es σ = 1.7x108
N/m2
. La sección transversal
total de los huesos de la pierna es 1x10-3
m2
y su longitud
0.5m. ¿Cuánto decrece esta longitud cuando el hombre
levanta un peso de 100 Kg.?
( )
23
2
101
8.9.100
m
s
mkg
A
mg
A
F
−
×
===σ
2
5
108.9
m
N
×=σ
2
10
2
5
105.1
108.9
m
N
m
N
E ×
×
==
σ
δ 5
105.6 −
×=δ
( )mll 5.0105.6 5−
×⇒=∆ δ mml 033.0=∆
continuación
¿Cuál es el máximo peso que puede levantar antes de que
sus piernas queden deformadas permanentemente?
2
8
107.1
m
N
c ×=σ AF cσ=
( )23
2
8
101107.1 m
m
N
F −
××=
NF 5
107.1 ×=
lbF 38160=
ESFUERZOS CORTANTES
Se producen esfuerzos cortantes cuando planos adyacentes dentro de un
sólido se desplazan uno con respecto al otro.
L
A
∆X
F
El esfuerzo cortante se define como la fuerza aplicada
dividida para el área del plano paralelo a la dirección de la
fuerza.
cτ
A
F
c =τ
Deformación unitaria (cortante)
L
X
L
X
c
∆
=
∆
= φδ tanpero
φφδ ≈= tanc
pequeña.essiφ
continuación
L
A
∆X
F
Donde G es el mòdulo de rigidez (cortante) el cual es una
constante de proporcionalidad.
O equivalentemente:
En analogía al módulo Young:
aquí:
δσ E=
cGδτ =
L
X
A
F
G
∆
==
unitariandeformació
esfuerzo
El valor del Módulo G es usualmente alrededor de 1/3 a ½
del valor del módulo elástico.
EJEMPLO
Se transporta en un camión una gran pieza de
maquinaria la cual va sobre un bloque de caucho para
reducir vibraciones.
El bloque tiene 0.4 m de lado por 0.015 m de espesor.
La pieza de maquinaria tiene una masa de 5000 kg.
El camión se mueve a 10 m/s cuando toma una curva
con radio de curvatura de 50 m ¿Cuál es el
desplazamiento horizontal de la carga?
2
6
105
m
NG ×=
Necesito ∆x:
( ) 22
4.0donde mA
A
F
==τ
y F es la fuerza es la fuerza centrípeta.
L
X
GG
rA
mv
c
∆
=== δτ
2
r
v
mF
2
=
L
x
G
rA
mv ∆
=
2
( )
( ) 2
622
2
2
2
1054.050
015.010.5000
m
N
mm
m
s
m
kg
X
××
×
=∆
mmX 19.0=∆
0.4m
0.4m
0.015m
rAG
Lmv
X
2
=∆
SOLUCION
EJEMPLO
Una barra de sección transversal A está sometida en sus
extremos a fuerzas tensoras F iguales y opuestas. Considere
a un plano que corta a la barra y que forma un ángulo θ con
un plano perpendicular a la misma.
a) ¿Cuál es el esfuerzo de tensión en este plano, en función
de F, A y θ
FF
F
θ
FN
θ
Ft
A
A’
F θ
θ
θ
σ
cos
cos
' A
F
A
FN
==
SOLUCION
θσ 2
cos
A
F
=
b) ¿Cuál es el esfuerzo cortante en el plano, en función de
F, A y θ?
θ
θ
τ
cos
'
A
Fsen
A
Ft
== θθτ cossen
A
F
=
c) ¿Para qué valor de θ es máximo el esfuerzo tensor?
0cos2 =−= θθ
θ
σ
sen
A
F
d
d
02 =− θsen
A
F 0
0=θ
d) ¿Para qué valor de θ es máximo el esfuerzo cortante?
( ) 0cos22
=+−= θθ
θ
τ
sen
A
F
d
d θθ cos=sen 0
45=θ
θ
Ft
A
A’
F θ
EJEMPLO
Una barra cuadrada de acero,
y otra similar de aluminio
tienen las dimensiones
indicadas en la figura,
Calcúlese la magnitud de la
fuerza P que hará que la
longitud total de las dos
barras disminuya 0.025 cm.
2626
107.0;102 cmkgcmkg Alacero ×=Ε×=Ε
40 cm
30 cm
P
Barra de Acero
5 x 5 cm.
Barra de Aluminio
10 x 10 cm.
Acero30 cm.
40 cm.
P
P
P
P
Aluminio
ac
ac
ac
ac L
L
A
P ∆
Ε=
PP
A
L
L
acac
ac
ac
6
6
10
5
3
10225
30 −
×=
××
=
Ε
=∆
PP
A
L
L
alal
al
al
6
6
10
7
4
107.0100
40 −
= ×=
××
=
Ε
∆
.025.0 cmLL alac =∆+∆
continuación
40
cm
30
cm
P
Barra de Acero
5 x 5 cm.
Barra de
Aluminio
10 x 10 cm.
.025.0 cmLL alac =∆+∆
025.010
7
4
10
5
3 66
=





×+× −−
P
6
10025.0
7
4
5
3
×=





+ P
6
10025.0
35
2021
×=
+
P ( ) .5.2134110025.0
41
35 6
kgP =×=
ton
kg
ton
kgP 3.21
1000
1
.5.21341 =×=
tonP 3.21=
continuación
a) Determinar el esfuerzo cortante medio en los pernos.
EJEMPLO
P=200KN
d=10mm
200mm
5mm
A
2
5
5
22
10
2
1
102
4
4
cm
NN
d
P
d
P
×=
×
×
===
ππππ
τ
2
8
1037.6
m
N×=
4
P
4
P
4
P
2
P
continuación
b) Determinar el esfuerzo normal máximo en la placa A
( ) ( )[ ] 2
91105.0125.020 cmneta =−=×−×=Α
2
5
5
10
9
2
9
102
cm
N
máx ×=
×
=σ
20.0 cm.
2
5
max 10222.0
cm
N
x=σ
COEFICIENTE DE POISSON
La elongación producida por una fuerza F de tensión en
dirección de la fuerza va acompañada por una contracción en
la dirección transversal. Sin embargo, es incorrecto decir que
el volumen de la barra permanece constante.
Se debe suponer que el material bajo consideración es
homogéneo ( sus propiedades mecánicas son
independientes del punto considerado)
También se debe suponer que el material es ISOTROPICO
(sus propiedades mecánicas son independientes de la
dirección considerada.
Coeficiente de Poisson
axialunitariandeformació
altransversunitariandeformació
−=ε
x
y
δ
δ
ε −= El esfuerzo está aplicado en el eje X
E
E x
xxx
σ
δδσ =⇒= xy εδδ −=
E
x
y
σ
εδ −=
A pesar de que el esfuerzo ha sido
aplicado en el eje X, existe una
deformación en Y y en X.
Similarmente:
E
x
z
σ
εδ −=
Se observa que δy= δz
¿significa que ΔLy=ΔLz?
La respuesta es NO, porque depende de las
dimensiones iniciales de los lados Ly y Lz
F F
continuación
EJEMPLO
Una barra de 500 mm de largo y 16 mm de diámetro
incrementa su longitud en 300 µm y decrece en diámetro
en 2.4 µm cuando se somete a una carga axial de 12 kN.
Determine el módulo de Young E y el coeficiente de
Poisson del material ε.
L= 500 mm = 0.5 m
ΔL = 300x10-6
m
Δd = -2.4x10-6
d = 0.016 m
F =12000NF
y
z
ΔL
d
LLL
d
L
d
ΔL
L
d
y
continuación
E
E x
xxx
σ
δδσ =⇒=
L
L
d
d
x
y
∆
∆
−=⇒−= ε
δ
δ
ε
z
FΔL
d
L
LA
FL
E
AE
F
L
L
∆
=⇒=
∆
( ) m
m
mN
E
6
2
10300
4
016.0
5.012000
−
××
×
=
π
2
10
1095.9
m
NE ×=
5.0
10300
016.0
104.2
6
6
−
−
×
×−
−=ε 25.0=ε
Ahora se van a aplicar esfuerzos en todas las caras de un prisma.
xx Eδσ =
E
x
x
σ
δ =
xy
x
y
εδδ
δ
δ
ε −=⇒−=
E
x
y
εσ
δ −=
xσxσ
yσ
yσ
zσ
zσ x
y
z
xz
x
z
εδδ
δ
δ
ε −=⇒−=
E
x
z
εσ
δ −=
E
x
x
σ
δ =
E
x
y
εσ
δ −=
E
x
z
εσ
δ −=
continuación
yy Eδσ =
E
y
y
σ
δ =
yx
y
x
εδδ
δ
δ
ε −=⇒−=
E
y
x
εσ
δ −= E
y
z
εσ
δ −=
E
y
y
σ
δ =
xσxσ
yσ
yσ
zσ
zσ x
y
z
continuación
EEE
zyx
x
εσεσσ
δ −−=
EEE
zyx
y
εσσεσ
δ −+−=
EEE
zyx
z
σεσεσ
δ +−−=
GENERALIZACION
DE LA LEY
DE HOOKE
Los signos son
válidos si todos los
esfuerzos son de
tensión.
EJEMPLO
Un bloque de acero se somete a
una presión uniforme en todas
sus caras. El lado AB se
contrae 24 µm. Determine:
a) El cambio de longitud en
los otros dos lados.
b) La presión P aplicada a las
caras del bloque.
0.29200 == εGPaE
EEE
zyx
x
εσεσσ
δ −−= Pzyx −=== σσσ
E
P
E
P
x
ε
δ
2
+−= ( )12 −= εδ
E
P
x
x
40mm
80mm
60m
m• •
•
•
y
z
A B
C
D
3
6
1080
1024
−
−
×
×−
=
∆
=
AB
AB
x
L
L
δ
4
103 −
×−=xδ
continuación
4
103Como −
×−=== zyx δδδ x
40m
m
80m
m
60m
m• •
•
•
y
z
A
B
C
D
( )mL
L
L
BC
BC
BC
y
34
1040103 −−
××−=∆⇒
∆
=δ
mLBC
5
102.1 −
×−=∆
( )mL
L
L
BD
BD
BD
z
34
1060103 −−
××−=∆⇒
∆
=δ
mLBD
5
108.1 −
×−=∆
( )12 −= εδ
E
P
x
12 −
=
ε
δxE
P
( )
129.02
10310200 4
2
9
−×
×−×
=
−
m
N
P
MPaP 9.142=
Determinar la deformación en el extremo libre A de la
barra AB causada por su propio peso. Dicha barra tiene
un área transversal constante A y un peso por unidad de
longitud de p0.
L
A
B
x
dx
P(x)=p0x
dx
dl
=δ ∫=∆ dxl δ
dx
E
l ∫=∆
σ ( )
( )
dx
ExA
xP
l ∫=∆
( ) xpxP 0= ( ) AxA = dx
AE
xp
l ∫=∆ 0
∫∫ =
∆ 0
0
0 L
l
xdx
AE
p
dl
020
2 L
x
AE
p
l −=∆
AE
Lp
l
2
2
0
−=∆
AE
LLp
l
2
)( 0
=∆
AE
WL
l
2
=∆
Donde W es el
peso de la barra.

Elasticidad

  • 1.
  • 2.
    Así como loselectrones están unidos a sus núcleos por fuerzas electromagnéticas, los átomos en un sólido también están ligados unos a otros por fuerzas electromagnéticas. ESTA FUERZA ELECTROMAGNETICA ES LA QUE SE REFIERE A LA FUERZA ELASTICA. ESFUERZO Y DEFORMACION Un sólido puede ser deformando en diferentes formas. Estas pueden ser divididas en tres categorías: Cambios en longitud Cambios en orientación angular. Tensión, compresión corte Cambios en volumen
  • 3.
    ESFUERZO.- Se lodefine como la razón entre la fuerza y el área. Sus unidades son N/m2 A F =σ F F ESFUERZO DE TENSION Area larperpendicuFuerza =σ A F⊥ =σ A definiciones ∆l
  • 4.
    PROBLEMAPROBLEMA Para que secumplan las condiciones de seguridad necesarias, determinado cable de elevador ha de tener un esfuerzo máximo de 10 000 lb/pulg2 . Si tiene que sostener un elevador cargado con un peso total de 4 000 lb, con una aceleración máxima hacia arriba de 5 pie/s2, ¿cuál debe ser el diámetro del cable? SOLUCION F mg a maFy =∑ mamgF =− ( )agmF += + ( ) 4 2 d agm A F π σ + == ( ) πσ agm d + = 4 ( )( ) ( ) 22 2 2.3210000 .52.3240004 s ftlb lb in lb sftlb d f f × + = − π ind 77.0=
  • 5.
    DEFORMACION UNITARIA Si uncuerpo tiene una longitud inicial l y se estira o comprime una cantidad ∆l cuando se aplica un esfuerzo, entonces la deformación unitaria es: l l∆ =δ Es una cantidad adimensional Experimentalmente se encuentra que δEs proporcional a la fuerza deformadora pero inversamente proporcional a la sección transversal. δσσαδ E=⇒ l l E A F ∆ = I L
  • 6.
    CURVA ESFUERZO -DEFORMACION UNITARIA El límite de proporcionalidad es el esfuerzo hasta el que se puede aplicar la ley de Hooke. Cuando se aplica un esfuerzo igual al límite elástico el material no se deforma permanentemente cuando se suprime el esfuerzo pero ya no se puede aplicar la ley de Hooke.
  • 7.
    EJEMPLO El hueso humanotiene un módulo elástico de aproximadamente E = 1.5x1010 N/m2 en compresión. El valor del límite elástico es σ = 1.7x108 N/m2 . La sección transversal total de los huesos de la pierna es 1x10-3 m2 y su longitud 0.5m. ¿Cuánto decrece esta longitud cuando el hombre levanta un peso de 100 Kg.? ( ) 23 2 101 8.9.100 m s mkg A mg A F − × ===σ 2 5 108.9 m N ×=σ 2 10 2 5 105.1 108.9 m N m N E × × == σ δ 5 105.6 − ×=δ ( )mll 5.0105.6 5− ×⇒=∆ δ mml 033.0=∆
  • 8.
    continuación ¿Cuál es elmáximo peso que puede levantar antes de que sus piernas queden deformadas permanentemente? 2 8 107.1 m N c ×=σ AF cσ= ( )23 2 8 101107.1 m m N F − ××= NF 5 107.1 ×= lbF 38160=
  • 9.
    ESFUERZOS CORTANTES Se producenesfuerzos cortantes cuando planos adyacentes dentro de un sólido se desplazan uno con respecto al otro. L A ∆X F
  • 10.
    El esfuerzo cortantese define como la fuerza aplicada dividida para el área del plano paralelo a la dirección de la fuerza. cτ A F c =τ Deformación unitaria (cortante) L X L X c ∆ = ∆ = φδ tanpero φφδ ≈= tanc pequeña.essiφ continuación L A ∆X F
  • 11.
    Donde G esel mòdulo de rigidez (cortante) el cual es una constante de proporcionalidad. O equivalentemente: En analogía al módulo Young: aquí: δσ E= cGδτ = L X A F G ∆ == unitariandeformació esfuerzo El valor del Módulo G es usualmente alrededor de 1/3 a ½ del valor del módulo elástico.
  • 12.
    EJEMPLO Se transporta enun camión una gran pieza de maquinaria la cual va sobre un bloque de caucho para reducir vibraciones. El bloque tiene 0.4 m de lado por 0.015 m de espesor. La pieza de maquinaria tiene una masa de 5000 kg. El camión se mueve a 10 m/s cuando toma una curva con radio de curvatura de 50 m ¿Cuál es el desplazamiento horizontal de la carga? 2 6 105 m NG ×=
  • 13.
    Necesito ∆x: ( )22 4.0donde mA A F ==τ y F es la fuerza es la fuerza centrípeta. L X GG rA mv c ∆ === δτ 2 r v mF 2 = L x G rA mv ∆ = 2 ( ) ( ) 2 622 2 2 2 1054.050 015.010.5000 m N mm m s m kg X ×× × =∆ mmX 19.0=∆ 0.4m 0.4m 0.015m rAG Lmv X 2 =∆ SOLUCION
  • 14.
    EJEMPLO Una barra desección transversal A está sometida en sus extremos a fuerzas tensoras F iguales y opuestas. Considere a un plano que corta a la barra y que forma un ángulo θ con un plano perpendicular a la misma. a) ¿Cuál es el esfuerzo de tensión en este plano, en función de F, A y θ FF F θ FN θ Ft A A’ F θ
  • 15.
    θ θ σ cos cos ' A F A FN == SOLUCION θσ 2 cos A F = b)¿Cuál es el esfuerzo cortante en el plano, en función de F, A y θ? θ θ τ cos ' A Fsen A Ft == θθτ cossen A F = c) ¿Para qué valor de θ es máximo el esfuerzo tensor? 0cos2 =−= θθ θ σ sen A F d d 02 =− θsen A F 0 0=θ d) ¿Para qué valor de θ es máximo el esfuerzo cortante? ( ) 0cos22 =+−= θθ θ τ sen A F d d θθ cos=sen 0 45=θ θ Ft A A’ F θ
  • 16.
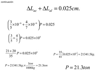
    EJEMPLO Una barra cuadradade acero, y otra similar de aluminio tienen las dimensiones indicadas en la figura, Calcúlese la magnitud de la fuerza P que hará que la longitud total de las dos barras disminuya 0.025 cm. 2626 107.0;102 cmkgcmkg Alacero ×=Ε×=Ε 40 cm 30 cm P Barra de Acero 5 x 5 cm. Barra de Aluminio 10 x 10 cm.
  • 17.
    Acero30 cm. 40 cm. P P P P Aluminio ac ac ac acL L A P ∆ Ε= PP A L L acac ac ac 6 6 10 5 3 10225 30 − ×= ×× = Ε =∆ PP A L L alal al al 6 6 10 7 4 107.0100 40 − = ×= ×× = Ε ∆ .025.0 cmLL alac =∆+∆ continuación 40 cm 30 cm P Barra de Acero 5 x 5 cm. Barra de Aluminio 10 x 10 cm.
  • 18.
    .025.0 cmLL alac=∆+∆ 025.010 7 4 10 5 3 66 =      ×+× −− P 6 10025.0 7 4 5 3 ×=      + P 6 10025.0 35 2021 ×= + P ( ) .5.2134110025.0 41 35 6 kgP =×= ton kg ton kgP 3.21 1000 1 .5.21341 =×= tonP 3.21= continuación
  • 19.
    a) Determinar elesfuerzo cortante medio en los pernos. EJEMPLO P=200KN d=10mm 200mm 5mm A
  • 20.
  • 21.
    b) Determinar elesfuerzo normal máximo en la placa A ( ) ( )[ ] 2 91105.0125.020 cmneta =−=×−×=Α 2 5 5 10 9 2 9 102 cm N máx ×= × =σ 20.0 cm. 2 5 max 10222.0 cm N x=σ
  • 22.
    COEFICIENTE DE POISSON Laelongación producida por una fuerza F de tensión en dirección de la fuerza va acompañada por una contracción en la dirección transversal. Sin embargo, es incorrecto decir que el volumen de la barra permanece constante. Se debe suponer que el material bajo consideración es homogéneo ( sus propiedades mecánicas son independientes del punto considerado) También se debe suponer que el material es ISOTROPICO (sus propiedades mecánicas son independientes de la dirección considerada.
  • 23.
    Coeficiente de Poisson axialunitariandeformació altransversunitariandeformació −=ε x y δ δ ε−= El esfuerzo está aplicado en el eje X E E x xxx σ δδσ =⇒= xy εδδ −= E x y σ εδ −= A pesar de que el esfuerzo ha sido aplicado en el eje X, existe una deformación en Y y en X. Similarmente: E x z σ εδ −=
  • 24.
    Se observa queδy= δz ¿significa que ΔLy=ΔLz? La respuesta es NO, porque depende de las dimensiones iniciales de los lados Ly y Lz F F continuación
  • 25.
    EJEMPLO Una barra de500 mm de largo y 16 mm de diámetro incrementa su longitud en 300 µm y decrece en diámetro en 2.4 µm cuando se somete a una carga axial de 12 kN. Determine el módulo de Young E y el coeficiente de Poisson del material ε. L= 500 mm = 0.5 m ΔL = 300x10-6 m Δd = -2.4x10-6 d = 0.016 m F =12000NF y z ΔL d LLL d L d ΔL L d
  • 26.
    y continuación E E x xxx σ δδσ =⇒= L L d d x y ∆ ∆ −=⇒−=ε δ δ ε z FΔL d L LA FL E AE F L L ∆ =⇒= ∆ ( ) m m mN E 6 2 10300 4 016.0 5.012000 − ×× × = π 2 10 1095.9 m NE ×= 5.0 10300 016.0 104.2 6 6 − − × ×− −=ε 25.0=ε
  • 27.
    Ahora se vana aplicar esfuerzos en todas las caras de un prisma. xx Eδσ = E x x σ δ = xy x y εδδ δ δ ε −=⇒−= E x y εσ δ −= xσxσ yσ yσ zσ zσ x y z xz x z εδδ δ δ ε −=⇒−= E x z εσ δ −=
  • 28.
    E x x σ δ = E x y εσ δ −= E x z εσ δ−= continuación yy Eδσ = E y y σ δ = yx y x εδδ δ δ ε −=⇒−= E y x εσ δ −= E y z εσ δ −= E y y σ δ = xσxσ yσ yσ zσ zσ x y z
  • 29.
    continuación EEE zyx x εσεσσ δ −−= EEE zyx y εσσεσ δ −+−= EEE zyx z σεσεσ δ+−−= GENERALIZACION DE LA LEY DE HOOKE Los signos son válidos si todos los esfuerzos son de tensión.
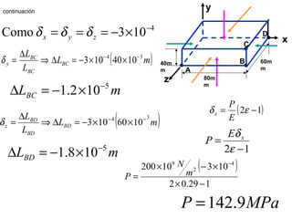
  • 30.
    EJEMPLO Un bloque deacero se somete a una presión uniforme en todas sus caras. El lado AB se contrae 24 µm. Determine: a) El cambio de longitud en los otros dos lados. b) La presión P aplicada a las caras del bloque. 0.29200 == εGPaE EEE zyx x εσεσσ δ −−= Pzyx −=== σσσ E P E P x ε δ 2 +−= ( )12 −= εδ E P x x 40mm 80mm 60m m• • • • y z A B C D 3 6 1080 1024 − − × ×− = ∆ = AB AB x L L δ 4 103 − ×−=xδ
  • 31.
    continuación 4 103Como − ×−=== zyxδδδ x 40m m 80m m 60m m• • • • y z A B C D ( )mL L L BC BC BC y 34 1040103 −− ××−=∆⇒ ∆ =δ mLBC 5 102.1 − ×−=∆ ( )mL L L BD BD BD z 34 1060103 −− ××−=∆⇒ ∆ =δ mLBD 5 108.1 − ×−=∆ ( )12 −= εδ E P x 12 − = ε δxE P ( ) 129.02 10310200 4 2 9 −× ×−× = − m N P MPaP 9.142=
  • 32.
    Determinar la deformaciónen el extremo libre A de la barra AB causada por su propio peso. Dicha barra tiene un área transversal constante A y un peso por unidad de longitud de p0. L A B x dx P(x)=p0x dx dl =δ ∫=∆ dxl δ dx E l ∫=∆ σ ( ) ( ) dx ExA xP l ∫=∆ ( ) xpxP 0= ( ) AxA = dx AE xp l ∫=∆ 0 ∫∫ = ∆ 0 0 0 L l xdx AE p dl 020 2 L x AE p l −=∆ AE Lp l 2 2 0 −=∆ AE LLp l 2 )( 0 =∆ AE WL l 2 =∆ Donde W es el peso de la barra.