ESTEQUIOMETRIA II Molaridad  La molaridad (M), o concentración molar, es el número de  moles  de soluto por cada  litro  de disolución. Por ejemplo, si se disuelven 0,5 moles de soluto en 1000 mL de disolución, se tiene una concentración de ese soluto de 0,5 M (0,5 molar). Para preparar una disolución de esta concentración habitualmente se disuelve primero el soluto en un volumen menor, por ejemplo 300 mL, y se traslada esa disolución a un  matraz aforado , para después enrasarlo con más disolvente hasta los 1000 mL. Se representa también como: M = n / V, en donde "n" son los moles de soluto y "V" es el volumen de la disolución expresado en litros.
NORMALIDAD La normalidad ( N ) es el número de  equivalentes  ( eq-g ) de soluto por litro de disolución . El número de equivalentes se calcula dividiendo la masa total por la masa de un equivalente:  n  =  m  /  m  eq , o bien como el producto de la masa total y la cantidad de equivalentes por mol, dividido por la masa molar:  .
Normalidad ácido-base  Es la normalidad de una disolución cuando se la utiliza para una reacción como  ácido  o como  base . Por esto suelen  titularse  utilizando  indicadores de  pH . En este caso, los equivalentes pueden expresarse de la siguiente forma  para un ácido, o para una base. Donde: n  es la cantidad de equivalentes. moles  es la cantidad de  moles . H+  es la cantidad de  protones  cedidos por una  molécula  del ácido. OH–  es la cantidad de  hidroxilos  cedidos por una  molécula  de la base.
Por esto, podemos decir lo siguiente: para un ácido,  o para una base. Donde: N  es la normalidad de la disolución. M  es la  molaridad  de la disolución. H+  es la cantidad de  protones  cedidos por una  molécula  del ácido. OH–  es la cantidad de  hidroxilos  cedidos por una  molécula  de la base.
Normalidad red-ox  Es la normalidad de una solución cuando se la utiliza para una reacción como  agente oxidante  o como  agente reductor . Como un mismo compuesto puede actuar como oxidante o como reductor, suele indicarse si se trata de la normalidad como oxidante (Nox) o como reductor (Nrd). Por esto suelen  titularse  utilizando  indicadores redox . En este caso, los equivalentes pueden expresarse de la siguiente forma: Donde: n  es la cantidad de equivalentes. moles  es la cantidad de  moles . e–  es la cantidad de electrones intercambiados en la semirreacción de oxidación o reducción.
Por esto, podemos decir lo siguiente: Donde: N  es la normalidad de la disolución. M  es la  molaridad  de la disolución. e– : Es la cantidad de electrones intercambiados en la semirreacción de oxidación o reducción.
Molalidad  La  molalidad  ( m ) es el número de  moles  de soluto por  kilogramo  de disolvente ( no de disolución ). Para preparar disoluciones de una determinada molalidad, no se emplea un matraz aforado como en el caso de la molaridad, sino que se puede hacer en un vaso de precipitados y pesando con una balanza analítica, previo peso del vaso vacío para poderle restar el correspondiente valor. Gracias a que la molalidad no está en función del volumen, es independiente de la temperatura y la presión, y puede medirse con mayor precisión. Es menos empleada que la molaridad pero igual de importante.
1.- Para preparar 500 cm3 de solución 3.5 normal de ácido bórico: a) Indique los pasos que deben seguirse para tal propósito. b) Calcular el volumen de ácido que debe medirse si el mismo posee las siguientes características: Peso específico a 20°C 1.301 Y 45% en peso de sustancia. EJERCICIOS RESP: a) Primeramente se debe hacer la toma de datos para resolver el ejercicio, para hallar la el Volumen del soluto, primeramente se debe hacer el calculo de la masa del soluto el la solución mediante la formula de normalidad que relaciona a la masa del soluto entre el equivalente del soluto (que es igual a el peso molecular dividido entre numero de hidrógenos contenidos en el acido) por el volumen de la solución que se tiene como dato. Como nos indican que hay 45% en peso la masa aumenta. Después de haber calculado la masa del soluto se calcula el volumen mediante la siguiente formula:  de donde se despeja el volumen, como la masa y la densidad son conocidas se hace el cálculo del volumen en cm3.
b) V SOL = 500 cm3 =  0.5 L N= 3.5 normal  V S  = ? d = 1.301 Cc= 45% en peso PM H 3 BO 3 =61.811 H 3 BO 3 3   H 3 BO 3
2.- Un frasco de laboratorio presenta el siguiente rótulo: Sustancia sulfato férrico; densidad a 17.5°C 1.3073; concentración 30%. a) Indique los pasos que deben seguirse para transformar su concentración en molaridad, normalidad, molalidad y fracción molar. b) Determinar el valor de cada una de las concentraciones del inciso anterior.  densidad=1.3073 Cc=30% PM Fe2(SO4)3= 400
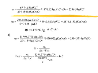
3.- Se hacen reaccionar 35 L de solución 1.5 M de cloruro de potasio con 4 L de solución 2.5 N de dicromato de potasio. Calcular: a) El volumen de solución 2.5 N de ácido sulfúrico que se necesita para la reacción; b) El volumen de cloro gas seco que se obtiene a 12°C y 480 torr, la presión de vapor de agua a 12°C es 10.518 torr; c) la cantidad máxima de sulfato ácido de potasio que se forma; d) El número de moles de sulfato crómico que se produce.
 
RL= 1470.923g  a)
b)   c) d) nº moles =

Estequiometria Ii

  • 1.
    ESTEQUIOMETRIA II Molaridad La molaridad (M), o concentración molar, es el número de moles de soluto por cada litro de disolución. Por ejemplo, si se disuelven 0,5 moles de soluto en 1000 mL de disolución, se tiene una concentración de ese soluto de 0,5 M (0,5 molar). Para preparar una disolución de esta concentración habitualmente se disuelve primero el soluto en un volumen menor, por ejemplo 300 mL, y se traslada esa disolución a un matraz aforado , para después enrasarlo con más disolvente hasta los 1000 mL. Se representa también como: M = n / V, en donde "n" son los moles de soluto y "V" es el volumen de la disolución expresado en litros.
  • 2.
    NORMALIDAD La normalidad( N ) es el número de equivalentes ( eq-g ) de soluto por litro de disolución . El número de equivalentes se calcula dividiendo la masa total por la masa de un equivalente: n = m / m eq , o bien como el producto de la masa total y la cantidad de equivalentes por mol, dividido por la masa molar: .
  • 3.
    Normalidad ácido-base Es la normalidad de una disolución cuando se la utiliza para una reacción como ácido o como base . Por esto suelen titularse utilizando indicadores de pH . En este caso, los equivalentes pueden expresarse de la siguiente forma para un ácido, o para una base. Donde: n es la cantidad de equivalentes. moles es la cantidad de moles . H+ es la cantidad de protones cedidos por una molécula del ácido. OH– es la cantidad de hidroxilos cedidos por una molécula de la base.
  • 4.
    Por esto, podemosdecir lo siguiente: para un ácido, o para una base. Donde: N es la normalidad de la disolución. M es la molaridad de la disolución. H+ es la cantidad de protones cedidos por una molécula del ácido. OH– es la cantidad de hidroxilos cedidos por una molécula de la base.
  • 5.
    Normalidad red-ox Es la normalidad de una solución cuando se la utiliza para una reacción como agente oxidante o como agente reductor . Como un mismo compuesto puede actuar como oxidante o como reductor, suele indicarse si se trata de la normalidad como oxidante (Nox) o como reductor (Nrd). Por esto suelen titularse utilizando indicadores redox . En este caso, los equivalentes pueden expresarse de la siguiente forma: Donde: n es la cantidad de equivalentes. moles es la cantidad de moles . e– es la cantidad de electrones intercambiados en la semirreacción de oxidación o reducción.
  • 6.
    Por esto, podemosdecir lo siguiente: Donde: N es la normalidad de la disolución. M es la molaridad de la disolución. e– : Es la cantidad de electrones intercambiados en la semirreacción de oxidación o reducción.
  • 7.
    Molalidad La molalidad ( m ) es el número de moles de soluto por kilogramo de disolvente ( no de disolución ). Para preparar disoluciones de una determinada molalidad, no se emplea un matraz aforado como en el caso de la molaridad, sino que se puede hacer en un vaso de precipitados y pesando con una balanza analítica, previo peso del vaso vacío para poderle restar el correspondiente valor. Gracias a que la molalidad no está en función del volumen, es independiente de la temperatura y la presión, y puede medirse con mayor precisión. Es menos empleada que la molaridad pero igual de importante.
  • 8.
    1.- Para preparar500 cm3 de solución 3.5 normal de ácido bórico: a) Indique los pasos que deben seguirse para tal propósito. b) Calcular el volumen de ácido que debe medirse si el mismo posee las siguientes características: Peso específico a 20°C 1.301 Y 45% en peso de sustancia. EJERCICIOS RESP: a) Primeramente se debe hacer la toma de datos para resolver el ejercicio, para hallar la el Volumen del soluto, primeramente se debe hacer el calculo de la masa del soluto el la solución mediante la formula de normalidad que relaciona a la masa del soluto entre el equivalente del soluto (que es igual a el peso molecular dividido entre numero de hidrógenos contenidos en el acido) por el volumen de la solución que se tiene como dato. Como nos indican que hay 45% en peso la masa aumenta. Después de haber calculado la masa del soluto se calcula el volumen mediante la siguiente formula: de donde se despeja el volumen, como la masa y la densidad son conocidas se hace el cálculo del volumen en cm3.
  • 9.
    b) V SOL= 500 cm3 = 0.5 L N= 3.5 normal V S = ? d = 1.301 Cc= 45% en peso PM H 3 BO 3 =61.811 H 3 BO 3 3 H 3 BO 3
  • 10.
    2.- Un frascode laboratorio presenta el siguiente rótulo: Sustancia sulfato férrico; densidad a 17.5°C 1.3073; concentración 30%. a) Indique los pasos que deben seguirse para transformar su concentración en molaridad, normalidad, molalidad y fracción molar. b) Determinar el valor de cada una de las concentraciones del inciso anterior. densidad=1.3073 Cc=30% PM Fe2(SO4)3= 400
  • 11.
    3.- Se hacenreaccionar 35 L de solución 1.5 M de cloruro de potasio con 4 L de solución 2.5 N de dicromato de potasio. Calcular: a) El volumen de solución 2.5 N de ácido sulfúrico que se necesita para la reacción; b) El volumen de cloro gas seco que se obtiene a 12°C y 480 torr, la presión de vapor de agua a 12°C es 10.518 torr; c) la cantidad máxima de sulfato ácido de potasio que se forma; d) El número de moles de sulfato crómico que se produce.
  • 12.
  • 13.
  • 14.
    b) c) d) nº moles =