Qwertyuiopasdfghjklzxcvbnmqwerty
uiopasdfghjklzxcvbnmqwertyuiopasd
fghjklzxcvbnmqwertyuiopasdfghjklzx
cvbnmqwertyuiopasdfghjklzxcvbnmq
wertyuiopasdfghjklzxcvbnmqwertyui
opasdfghjklzxcvbnmqwertyuiopasdfg
hjklzxcvbnmqwertyuiopasdfghjklzxc
vbnmqwertyuiopasdfghjklzxcvbnmq
wertyuiopasdfghjklzxcvbnmqwertyui
opasdfghjklzxcvbnmqwertyuiopasdfg
hjklzxcvbnmqwertyuiopasdfghjklzxc
vbnmqwertyuiopasdfghjklzxcvbnmq
wertyuiopasdfghjklzxcvbnmqwertyui
opasdfghjklzxcvbnmqwertyuiopasdfg
hjklzxcvbnmrtyuiopasdfghjklzxcvbn
mqwertykghjfuytitsrgricelfgrquimica
uiopasdfghjklzxcvbnmqwertyuiopasd
Universidad Pedagógica Nacional
Francisco Morazán
Departamento de Ciencias Naturales
Asignatura: Química Orgánica II
Dra. : Ana Carolina Arevalo
Álbum Sobre Modelización
Molecular
Alumnos:
Gricelda Alfaro___ 0801199307500
Loana Kirinton____ 0902199300101
Eva Isabel Turcios__1214199100051
Edgardo Francisco Padilla_ 120119920039
Linsay Romero____ 0801198103871
Álbum Sobre Mecanismos y Reacciones. (Química Orgánica II) Página 2
Introducción:
El álbum presente es un documento en el cual se encierran todas las
reacciones y mecanismos que fueron dados por la Dra. Ana Arevalo
durante las clases y de igual manera se tomaron en cuenta los
mecanismos realizados por los compañeros de clase durante cada una de
las exposiciones designadas por la Dra.
En el álbum se pretende enseñar uno o dos ejemplos de cada uno de los
mecanismos y reacciones que hemos aprendido durante todo el tercer
periodo del año 2013.
Álbum Sobre Mecanismos y Reacciones. (Química Orgánica II) Página 3
Significado de Símbolos y Flechas Utilizados en Química.
 (+) _______ se lee “mas” o “y” , usado entre dos formulas indica que las
Sustancias se cambian cuando las sustancias actúan
Como reactantes.
 ________ gas
 ________ solido
 ________ liquido
 _______ acuoso, en solución o disuelto en agua
 ( _______ producto solido, forma precipitado
 ________ producto gaseoso
 _______ indica el resultado de la reacción
 ____ reacción reversible, los productos se pueden convertir el
Reactivos.

calor
indica que el reactivo se somete a calentamiento

atm
señala la presión atmosférica

"c
señala la temperatura, en grados Celsius

pd
presencia de un catalizador modifica la velocidad de la reacción
Álbum Sobre Mecanismos y Reacciones. (Química Orgánica II) Página 4
Nomenclatura
Álbum Sobre Mecanismos y Reacciones. (Química Orgánica II) Página 5
Nomenclatura de Alcoholes y Fenoles
 Alcoholes: siempre contienen un grupo OH y se coloca la terminación (ANO).
 Fenoles: contienen uno o más OH en un anillo benceno, se les agrega la
terminación (OL ) de lo contrario se utiliza el prefijo (HIDROXI), se le da
prioridad al fenol y luego a los radicales.
Nomenclatura de Éteres
Se basa en los radicales y se añade la palabra (ETER), también se pueden clasificar en
furanos y oxetanos.
OCH3
fenilmetileter
CH3 - O - CH2CH3
etilmetileter
O
OCH3
3-metoxifurano
O
H3C
H3C
CH3
2-etil-3,3-dimetilxetano
HO
propanol
HO
hexanol
OH
ciclopropanol
OH
Br
(3-bromofenol)
OHHO
(1,3- difenol)
OH
Cl Cl
(3,5- diclorofenol)
Álbum Sobre Mecanismos y Reacciones. (Química Orgánica II) Página 6
Nomenclatura de Compuestos Organometálicos
Se trata de un metal unido a un carbono, y solo se nombra la cadena metálica
CH3-Li
metillitio
CH3CH2-Li
etillitio
MgBr
bromuro de
ciclopentilmagnesio
Nomenclatura de Tioles
Solo se añade el sufijo (TIOL) al alcano y se sustituye la palabra mercaptano.
CH3-CH2 -SH
etanotiol
CH3CH C CH
SH SH
SH
butano -2,2,3 -tritiol
Nomenclatura de Aminas
Se sustituye uno o más (H) del amoniaco por un grupo alquilo
CH3 NH CH2CH2CH3
metilpropilamina
N - CH3
CH3
ciclohexildimetilamina
CH3 N CH2CH2CH2CH3
CH3
butil dimetilamina
Álbum Sobre Mecanismos y Reacciones. (Química Orgánica II) Página 7
Nomenclatura de Cetonas y Aldehídos
 Cetonas: se agrega la terminación (ONA) o solo se añade la palabra cetona y se
nombra la cadena más larga
C
O
CH3
cicloheptil - metil cetona
CH3
C
CH3
O
dimetil cetona
O
3- metilciclohexanona
 Aldehídos: solamente se sustituye (O) por (AL) y se le da prioridad número uno,
si llevase dobles carbonos con doble enlace de oxigeno se usara el sufijo (OXO).
O
pentanal
H
C H
O
ciclobutanal
H
O O
4-oxopentanal
Álbum Sobre Mecanismos y Reacciones. (Química Orgánica II) Página 8
Nomenclatura de Ácidos Carboxílicos y sus Derivados
Los derivados de los ácidos carboxílicos son los grupos esteres, haluros de acilo,
amidas, anhídridos de acido y nitrilos, cuyo tipo de nomenclatura se verá a
continuación.
 Ácidos carboxílicos: su terminación será (ICO)
C OHO
acido ciclopropanoico
CH2 CH C OH
O
acido propenoico
C OH
O
acido benzoico
 Nomenclatura de Haluros de Acilo: se pondrá como sufijo el nombre del
haluro y como terminación se añadirá (ILO). Se empezara a contar desde
el segundo carbono, el carbono beta.
CH3CH2CH2 C I
O
yoduro de
butanoilo
C Br
O
bromuro de
ciclopentanoilo
 Nomenclatura de Esteres: solamente se coloca como terminación (ATO)
C - O - CH3
O
(ciclopropano-
carboxilato de metilo)
O
OCH2CH3
C
(benzoato de etilo)
CH3CH2 - C- O -CH3
O
(propanoato de metilo)
O
O Na
C
(benzoato de sodio)
Álbum Sobre Mecanismos y Reacciones. (Química Orgánica II) Página 9
 Nomenclatura de Amidas: se coloca como terminación la palabra
(AMIDA).
C NH2
O
ciclopentanamida
CH3CH2 C NH2
O
propanamida
O
NH2C
(benzamida)
 Nomenclatura de Nitrilos: se coloca como terminación la palabra
(NITRILO).
C N
(benceno carbonitrilo)
CH3CH2CH2CH2 C
N
pentanonitrilo
C N
(ciclopentanonitrilo)
Álbum Sobre Mecanismos y Reacciones. (Química Orgánica II) Página 10
Mecanismos y
Reacciones
Álbum Sobre Mecanismos y Reacciones. (Química Orgánica II) Página 11
Reacciones de Sustitución Nucleofilica SN2 Y SN1
Reacciones Bimolecular SN2:
1)
CH2• CH2•
Cl
(S)- 4- cloropentano
OH
OH
(R)-4- pentanol
2)
OH
•H2C
CH2•Br
(R)-3- bromohexano
OH
(S)-3- hexanol
Reacciones Monomolecular SN1:
1)
H2O
CH3CHCH2CH
CH3
CH3Cl
CH3CHCH2CH
CH3
CH3
CH3CHCH2CH
OH
CH3
CH3
2-cloro-4,4-dimetilbutano 4,4-dimetil-2-butanol
2)
H2O
Br
CH2-C-CH3
CH3
CH2-C-CH3
CH3
CH2-C-CH3
CH3
OH
2-bromo-2-metilpropano 2-metilpropanol
Álbum Sobre Mecanismos y Reacciones. (Química Orgánica II) Página 12
Reacciones de Eliminación Nucleofilica E2 Y E1
Reacciones Bidimensional E2:
1)
CH3CH2CCH3
CH3
Cl
CH3CH C CH3
CH3
CH3CH2 C CH2
CH3
H
2-cloro-2-metilbutano 2-metil-2-buteno
Reacciones Unimolecular E1:
1)
H2O
Br
H
bromocicloheptano ciclohepteno
Reacción de los Alcoholes
1_ Formación de Haluros de Alquilo
OH
HI
calor
H2O
I
I
Ciclopropanol yodociclopropano
Álbum Sobre Mecanismos y Reacciones. (Química Orgánica II) Página 13
Alcoholes Secundarios y Terciarios por medio de SN1
OH
HBr
H2O
Br- H2O
Br
H3C
H3C H3CH3C
1-metilciclopropanol (alcohol
secundario) 1-bromo-1-metil-ciclopropano
Alcoholes Primarios por medio de SN2
OH
HBr
H2O
Br- H2O
Br
Ciclopropanol bromo-ciclopropano
(alcohol primario)
Álbum Sobre Mecanismos y Reacciones. (Química Orgánica II) Página 14
Re arreglo de Carbocationes por medio de E1, solo en Alcoholes Secundarios
y Terciarios.
CH3 CH3 CH2
CH2
H2SO4
-H2O
D1,2
OH OH2
H
HSO4
Calor
1-metil-ciclopentanol Productos ciclo alquenos (alcohol
secundario)
Re arreglo de Carbocationes por medio de E2, solo en Alcoholes Primarios
H2SO4
-H2O
OH2
HSO4
OH
propanol
H
Productos alquenos
La diferencia de ambos re arreglos es el uso de calor al reaccionar el acido sulfúrico
con el alcohol, y el calor solo se hace uso en la E1.
Álbum Sobre Mecanismos y Reacciones. (Química Orgánica II) Página 15
Oxidación de los Alcoholes
1_ Los alcoholes Secundarios al Oxidarse se convierten a Cetonas
 Oxidación con trióxido de Cromo ( )
HO
butanol
CrO3
H2O
O
Butanona
 Oxidación con dicromato de sodio (Na₂Cr₂O₇)
H2SO4
Na2Cr2O7
CH2CHCH3
OH
CH2C CH3
O
Ciclohexil-propanol Ciclohexil-propanona
2_ Los alcoholes Primarios al Oxidarse se convierten en Aldehídos
 Oxidación con trióxido de Cromo ( ) y con cromato de dirinio en
presencia de
HO
PCC
H2SO4
O
H
Butanol butanal
Álbum Sobre Mecanismos y Reacciones. (Química Orgánica II) Página 16
Mecanismo de Reacción con el Acido Brómico (HBr)
OH Cr
O
O
OH
H-Br
OH Cr
O
O
OH2
R-CH2-OH
-H2O
R-CH2-O-Cr-OH
O
OH
Br
R-CH-O-Cr-O
O
OH
Br
R-C-HH2CrO3HBrH2O
O
+++
Aldehido
Preparación de Alcoholes
1) Alcoholes a partir de Éteres: estos pueden reaccionar con ácidos (HCL, HBr, HI)
CH2-O-CH2CH3
HI
CH2-O-CH2CH3
H
I
SN1
CH2-I
+ HO-CH2CH3
Ciclo butano – etil etanol
-metil-éter
Los éteres se rompen por medio de una SN1, al menos que el Carbocationes sea
inestable este se romperá por una SN2.
Álbum Sobre Mecanismos y Reacciones. (Química Orgánica II) Página 17
2) Alcoholes Primarios a partir de un Aldehído: este mecanismo reaccionara con
Boro-hidruro de sodio en presencia de agua protonada
C
O
NaH2BH4
H
CHH
O
H3O
CH2
OH
(Cicloheptanal) (Cicloheptano-metanol)
+ NaBH3 + H2O
3) Alcoholes Secundarios a partir de Cetonas: este mecanismo reaccionara con
Boro-hidruro de sodio en presencia de agua protonada y
también con Hidruro de aluminio y níquel en presencia de agua
protonada .
O
LiAlH4
H3O
(Cicloheptanona) (Cicloheptanol)
O H
OH
+ LiAlH3 + H2O
Álbum Sobre Mecanismos y Reacciones. (Química Orgánica II) Página 18
4) Alcoholes primarios a partir de un Acido Carboxílico: este mecanismo reacciona
con Hidruro de aluminio y níquel en presencia de agua protonada
.
LiAlH4
H3O
+ LiAlH3 + H2O
CH3CH2C - OH
O
CH3CH2C - O
O
AL
H
rearreglo
O
H
CH3CH2C
(acido propanoico)
(propanal)
LiAlH4
O
H
CH3CH2C H
(alcolix)
CH3CH2CH2
OH
(propanol)
5) Alcoholes Primarios a partir de un Ester: este mecanismo reacciona con Hidruro
de aluminio y níquel en presencia de agua protonada .
LiHAlH4
H3O
LiAlH3 + H2O
CH3CH2C - O - CH3
O
CH3CH2CH - O -CH3
O
O
(propanoato de metilo)
CH3CH2CH2
OH
(propanol)
CH3CH2CH LiHAlH3
O
CH3CH2CH2
++ O -CH3
HO - CH3
Álbum Sobre Mecanismos y Reacciones. (Química Orgánica II) Página 19
COPULACION DE SALES DE DIAZONIO
Estas sales de diazonio comienzan con un benceno el cual se nitra con , luego
se produce una reducción con hierro en presencia de acido clorhídrico (HCL) y así
producir la anilina la cual con presencia de calor se irá para poder dejar una carga
positiva sobre el carbono el cual se estabiliza con diferentes compuestos tales como:
 NaCl
 H₂O
 NaNH₂
 NaI
 CN
 CH3CO
O
Ejemplos:
HNO2
NO2
Fe
HCL
NH2
HNO2
N N
Calor
NaCl
Cl
(nitracion) (reduccion)
(anilina) (sal de diazonio)
1_
HNO2
NO2
Fe
HCL
NH2
HNO2
N N
(nitracion) (reduccion)
(anilina) (sal de diazonio)
+
CH3
CH3
CH3
N N
CH3
CH3
CH3
2_
Álbum Sobre Mecanismos y Reacciones. (Química Orgánica II) Página 20
Mecanismo de una Amina Primaria a una Amina Secundaria
1)
H3C
CH3
Cl
NH2CH2CH3
NHCH2CH3
H
NH
CH2CH3
+ HClCl
H3C
H3C
H3C
H3C
(1-cloro- 2,2- dimetil
ciclopentano) (2,2-dimetil-ciclopentil-
etilamina)
+
2)
Br
NH2CH2CH3
NHCH2CH3
H
NH
CH2CH3
+ HBrBr
(1-clorociclobutano)
(ciclobutano-etilamina)
+
Álbum Sobre Mecanismos y Reacciones. (Química Orgánica II) Página 21
Oxidación de Aminas
Estas oxidaciones de aminas se utilizaran como reactivos el peróxido de hidrogeno
, perácido y otros agentes reductores.
Se inician ya sea con una amina primaria, secundaria o terciaria; cuyos productos
serán los siguientes:
En el caso de una amina primaria producirá un compuesto nitro, el cual primero se
oxida para formar la hidroxilamina, sufre una segunda oxidación produciendo un
compuesto nitroso y finalmente se vuelve a oxidar para formar el compuesto nitro
antes mencionado.
Si se comienza con una amina secundaria, esta de igual manera se oxida para
producir una hidroxilamina secundaria.
Ahora si empezamos con una amina terciaria, también sufre oxidación para poder
formar óxidos de aminas terciarias.
 Aminas Primarias a Compuestos Nitro:
NH2 NH2 N
H2O2
OH
OH
O
N
O
O
(ciclohexilamina) (hidroxilamina) (compuesto
nitroso)
(compuesto
nitro)
 Aminas Secundarias a Hidroxilaminas Secundarias:
+H2O2
OH
NH NH N
CH3 CH3 CH3
OH
OH
H2O
(ciclibutil-
metilamina)
(ciclobutil-metil
hidroxilamina)
Álbum Sobre Mecanismos y Reacciones. (Química Orgánica II) Página 22
 Aminas Terciarias a Óxidos de Aminas Terciarias:
+H2O2 OH
H2O
N N
N
CH3
Cl
OH
CH3
Cl
H3C
O
Cl
(ciclopropil-cloruro-
metilamina)
(oxido de amina
terciaria)
Síntesis de Aminas
La síntesis de aminas se lleva a cabo por medio de la sustitución Nucleofilica
Bimolecular (SN2), con haluros de alquilo.
La síntesis se podrá realizar de diferentes maneras, entre ellas:
1) Con Amoniaco Se podrá empezar con amoniaco , con el cual
se obtendrán aminas primarias, secundarias, terciarias hasta cuaternarias.
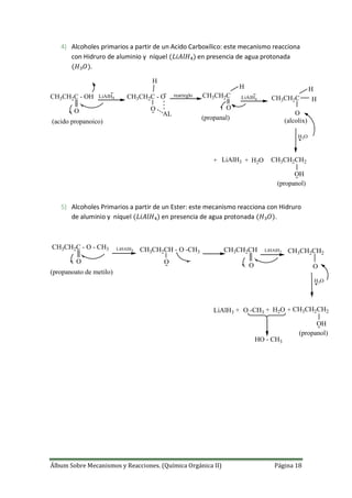
2) Con Ion Azida También se podrá empezar con un haluro de alquilo,
el cual reaccionara con el ion azida y obtener finalmente una amina
primaria.
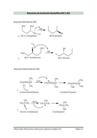
3) Con la Reducción Catalítica de un Nitrilo Se podrá también
comenzar con un haluro de alquilo y por medio de reducción catalítica de un
nitrilo en presencia de acido clorihidrico (HCL); y volverá a
reaccionar pero con hidrogeno molecular en presencia de paladio
, y así obtener finalmente una amina primaria.
4) Con la Reducción de un Nitro Alcano Otra manera para sintetizar
aminas, también es comenzando con la reducción de un nitro alcano, el cual
reacciona solo con hidrogeno molecular en presencia de paladio
y así formar una amina primaria.
5) Con la Reducción de Amidas Una última forma de sintetizar aminas
es por medio de reducción de amidas ya sean amidas primarias, secundarias o
terciarias cada una reaccionara con Hidruro de aluminio y níquel en
presencia de agua ; cuyo producto será una amina ya sea primaria,
secundaria o terciaria.
Álbum Sobre Mecanismos y Reacciones. (Química Orgánica II) Página 23
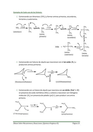
Ejemplos de Cada una de las Síntesis:
1) Comenzando con Amoniaco y formar aminas primarias, secundarias,
terciarias y cuaternarias.
NH3
(amoniaco)
CH3Br
NH2
CH3
H
CH3Br
Br
NH2
CH3
HN
CH3
CH3
H Br
HN
CH3
CH3
CH3Br
N
CH3
CH3
H CH3
Br
N
CH3
CH3
CH3
CH3Br
N
CH3
CH3
CH3H3C+
(amina
primaria)
(amina
secundaria)
(amina
terciaria)
(amina
cuaternaria)
3HBr
2) Comenzando con haluros de alquilo que reaccionan con el ion azida y
producirán aminas primarias.
Br
N3
N N
N
H2
pd/c
NH2
(bromociclobutano) (ciclobutanamina)
3) Comenzando con un haluro de alquilo que reacciona con un nitrilo
en presencia de acido clorhídrico (HCL); y volverá a reaccionar con hidrogeno
molecular en presencia de paladio , para producir una amina
primaria.
•H2C
•H2C
Br
(2-bromopropano)
NaC N
•H2C
•H2C
C
N
H2
pd/c
•H2C
•H2C
NH2
(propilamina)
Álbum Sobre Mecanismos y Reacciones. (Química Orgánica II) Página 24
4) comenzando con la reducción de un nitro alcano, el cual reacciona solo con
hidrogeno molecular en presencia de paladio y así formar una
amina primaria.
O2N
NO2
O2N
NH2
H2N
NH2
2H2O
Pc/C
H2
Pc/C
(1,5-Dinitrociclooctano) (1,5-ciclooctanodiamina)
5) Reducción de amidas ya sean amidas primarias, secundarias o terciarias cada
una reaccionara con Hidruro de aluminio y níquel en presencia de
agua ; cuyo producto será una amina ya sea primaria, secundaria o
terciaria.
 (primaria)
C
O
NH2 LiAlH4
H2O
CH2
NH2
(Ciclohexilamida) (Ciclohexilmetilamina)
 (secundaria)
C
O
H3C NH
CH3
LiAlH4
H2O
CH3CH2NHCH3
(N-metilamida) (etil-metil-amina)
 (terciaria)
C
O
N CH3
LiAlH4
H2O
N-metilamida
CH3
N
CH3
CH2CH3
(Ciclopentanodimetilamida) (n-ciclopentano-n-etil-n-metil amina)
Álbum Sobre Mecanismos y Reacciones. (Química Orgánica II) Página 25
Reacciones de Cetonas y Aldehídos
Estas reacciones tanto para cetonas como para aldehídos, reaccionan dos veces la
primera será con Zinc (Zn) y la segunda con acido borico (HB)
Ejemplos:
 Cetona:
H3C C
O
CH2CH3
Zn°
H3C C
O
CH2CH3
Zn
H3C C
OH
CH2CH3
Zn
HBr
(2-butanona)
(2-Zinc-2-butanol)
 Aldehído:
H3C C
O
H
Zn°
H3C C
O
H
Zn
H3C C
OH
H
Zn
HBr
(etanol)
(1-Zinc-hidroetanol)
Reacciones de Compuestos Carbonílicos con Reactivos de Grinard
Las reacciones con los compuestos Grinard se pueden dar en cadenas de alcanos con
halógeno, también en cetonas y en esteres.
Halogeno
Mg Rompe
Alcano + Halogeno + Mg
Cetonas
R-Mg
Ó R-MgBr
Esteres R-Mg
AlcoholesAldehidos
R-MgBr
Ejemplos:
Álbum Sobre Mecanismos y Reacciones. (Química Orgánica II) Página 26
 Halógeno: reaccionaran solo con magnesio (Mg)
Cl Mg
MgCl
Rompe
+ MgCl
(cloro-ciclopentano) (cloruro de ciclopentanomagnesio)
(ciclopentano)
 Cetonas: reaccionaran con una cadena de alcano unida al magnesio (R-Mg) y
también lo puede realizar con una cadena de alcano unida al bromuro de
magnesio (R-MgBr).
1.
H3C C CH2CH3
O
CH3-Mg
H3C C
O
CH3
CH2CH3
H3O
H3C C
OH
CH3
CH2CH3 +Mg + H2O
(2-butanona)
(2-metil-2-butanol)
2.
O
CH3CH2-Mg
O
CH2CH3
H3O
OH
CH2CH3 + MgBr
(ciclobutanona)
(1-etil-ciclobutanol)
 Aldehídos: estos podrán reaccionar solamente con una cadena de alcano unida
a un bromuro de magnesio (R-MgBr) y así formar el alcohol.
C
CH3-MgBr
CH
H3O
CH + H2O + MgBr
(2.ciclopentano-etanol)
H
O
H3C
O
CH3
OH
(ciclopentanal)
Álbum Sobre Mecanismos y Reacciones. (Química Orgánica II) Página 27
 Esteres: estos reaccionaran solo con bromuro de magnesio (R-MgBr) y así
formar el alcohol, en el caso de esteres se formaran dos alcoholes.
C
O
OCH3
CH3-MgBr C
O-
OCH3
CH3
-OCH3 C
O
CH3
CH3-MgBr
C
O-
CH3
CH3
H3O
C
OH
CH3
CH3
CH3OH + H2O
(ciclooctano carboxilato
de metilo)
(2-ciclooctil-propanol)
Álbum Sobre Mecanismos y Reacciones. (Química Orgánica II) Página 28
Reacción de Carbonilos con Ion Acetiluro
En estas reacciones se harán a cabo por el ion Acetiluro , y luego se
tendrá una reacción más con la pirimidina o ion piridinio.
R
C
O
H
C C CH3
,
N
Ion Acetiluro Piridina
Ejemplo:
1)
C H
O
C C CH3
C C
O-
H
H
C CH3 C C
OH
H
C CH3 +
(ciclobutanal)
2)
H3CHC C H
O
C C CH3
H3CHC C C
-
O
H
H
C CH3 H3CHC C C
OH
H
C CH3 +
Cl Cl
Cl
(2-cloro-propanal)
Álbum Sobre Mecanismos y Reacciones. (Química Orgánica II) Página 29
Reducciones de los Compuestos Carbonilos con Ion Hidruro
Solamente habrá formación de alcoholes primarios.
Estas reducciones se llevaran a cabo con cetonas, aldehídos y esteres, en este último
se finalizara con dos alcoholes primarios. En el caso de las cetonas serán las únicas que
reaccionan con ambos tipos de iones tanto como es el hidruro de aluminio y niquela
si como también el boro hidruro de sodio.
Los reactivos a utilizar serán los dos tipos de hidruros como ser: boro hidruro de sodio
y el hidruro de aluminio y níquel ; cada uno de estos en presencia
de agua protonada .
Cetonas
Aldehidos
Esteres
LiAlH4
LiAlH4
NaBH4
Alcoholes
Primarios
Ó
NaBH4
1) Cetonas:
1)
O
LiAlH4
O-
OH + LiAlH3
H3O
+ H2O
(ciclohexanona) (ciclohexanol)
2)
CH3CH2
C
O
CHCH3
Cl
LiAlH4
CH3CH2
C
O
CHCH3
ClH
Cl-
CH3CH2
C
O
CHCH3
H
H-
CH3CH2
C
O
CHCH3
HH
H+
CH3CH2
C
H
OH
CH2CH3LiAlH3+Cl- +
(2.cloro
propanona)
(butanol)
Álbum Sobre Mecanismos y Reacciones. (Química Orgánica II) Página 30
2) Aldehídos:
C
O
H
NaBH4
CH2
O
H3O
H3O CH2
OH
+ NaBH3 + H2O
(ciclopropanal) (2-ciclopropilmetanol)
3) Esteres:
CH3CH2CH2
C
O
OCH3
LiAlH4
H3O
CH3CH2CH2
C
O
OCH3
-OCH3
CH3CH2CH2CH
O
LiAlH3
CH3CH2CH2CH2
O
H+
CH3CH2CH2CH2
OH
LiAlH2 + H2O +
(butanoato de metilo)
(propanol)
Álbum Sobre Mecanismos y Reacciones. (Química Orgánica II) Página 31
Reacciones de Aldehídos y Cetonas con Ion Cianuro
Primero se hará una reacción con el ion cianuro , se tendrá otra reacción pero
será con el cianuro de hidrogeno .
 Cetona:
CH3CH2 C CH2CH3 C N
CH3CH2 C
C
CH2CH3
N
O
O
H C N
CH3CH2 C CH2CH3
C
OH
N
 Aldehído:
C
H
O
C N
C
H
O
C
N
C
H
HO
C
N
H - C N
Álbum Sobre Mecanismos y Reacciones. (Química Orgánica II) Página 32
Eliminación de un (OH) de Amonio Cuaternario “Eliminación de Hoffman”
En esta eliminación se comenzara con una amina para obtener al final un alqueno, el
mecanismo reaccionara con oxido de plata en presencia de agua.
CH3CH2CHCH3
NH2
CH3 I
CH3CH2CHCH3
N(CH3)3
Ag2O
CH3CHCHCH3
N(CH3)3
H

CH3CH CHCH3 + N(CH3)3 + AgI+H2O
OH
Reacción de Aldehídos y Cetonas para formar Hidrato
En este mecanismo se finalizara con un hidrato el cual consiste en dos moléculas de
hidróxido (OH) en el mismo carbono, el único reactivo en este mecanismo será el
agua.
 Cetonas:
O H2O H2O
OH
OH
O
H
H
OH
OH + H3O
H2O
 Aldehídos:
CH3CH2-C -H
H2O
CH3CH3-C -H
H2O
CH3CH2-C - H
H
+ H3O
O OH
O
H H
OH
H2O
CH3CH2-C - H
OH
OH
Álbum Sobre Mecanismos y Reacciones. (Química Orgánica II) Página 33
Reacción de Cetonas y Aldehídos “Reacción de Vaelleger Villiger”
En esta reacción al trabajar con cetonas se producirán esteres, al trabajar con ciclo
cetonas se producirán lactonas y si se trabaja con aldehídos se producirán ácidos
carboxílicos.
1) Cetonas = Esteres
CH3CH2-C-CH2CH3
HOO-C-R
O O
CH3CH-C-CH2CH3
O
O
O-C-R
O
H
CH3CH2 -C -O -CH2CH3 + O-C-R
OO
OH - C - R
O
CH3CH-C-CH2CH3
OH
O
O-C-R
O
H
2) Ciclo cetona = Lactona
O
HOO-CR
O
R--C-O-O
O
O
O
O + O-C-R
O
OH-C-R
O
H
R--C-O-O
OH
O
H
Álbum Sobre Mecanismos y Reacciones. (Química Orgánica II) Página 34
3) Aldehídos = Ácidos Carboxílicos
CH3CH2-C - H
HOO-C-R
O
O
CH3CH2-C - H
O
O
O-C-R
O
H
CH3CH2 -C - OH + O-C-R
OO
OH - C - R
O
CH3CH2-C - H
OH
O
O-C-R
O
H
Álbum Sobre Mecanismos y Reacciones. (Química Orgánica II) Página 35
Formación de Hemicetales y Cetales
Es un mecanismo que iniciara con una cetona más un hidroxilo (OH), en todo el
mecanismo se llevara a cabo formación y deformación del (HB) acido borico para
formar primeramente el hemicetal el cual consta de una molécula de alcohol mas un
grupo Ester en el mismo carbono, volverá a reaccionar para formar el final cetal que
consta de dos grupos esteres en el mismo carbono.
CH3-C-CH2CH3 CH3-C-CH2CH3 CH3-C-CH2CH3
O
HB
OH
CH3OH
OH
OCH3
H
B
CH3-C-CH2CH3
OH
OCH3
CH3-C-CH2CH3
O
OCH3
H H
H2O
CH2-C-CH2CH3
OCH3
CH3OH
CH3-C-CH2CH3
OCH3
OCH3
H
B
CH3-C-CH2CH3
OCH3
OCH3
+ H2O + HB
(hemicelta)
HB
(cetal)
Álbum Sobre Mecanismos y Reacciones. (Química Orgánica II) Página 36
Formación de Hemiacetales y Acetales
Es un mecanismo que iniciara con un aldehído más un hidroxilo (OH), en todo el
mecanismo se llevara a cabo formación y deformación del (HB) acido borico para
formar primeramente el hemiacetal el cual consta de una molécula de alcohol más un
grupo Ester en el mismo carbono, volverá a reaccionar para formar el final acetal que
consta de dos grupos esteres en el mismo carbono.
C O
H3CH2C
H
HB
C OH
H3CH2C
H
CH3OH
C
H3CH2C
H3CO
H
H
OH B
C
H3CH2C
H3CO H
OH
HB
C
H3CH2C
H3CO H
O
H
H
H2O
C
H3CH2C
H3CO H
CH3OH
C
H3CH2C
H3CO H
CH3OH
B
C
H3CH2C
H3CO H
OCH2 HB H2O
(hemiacetal)
(acetal)
Álbum Sobre Mecanismos y Reacciones. (Química Orgánica II) Página 37
Reacción de Wolff - Kishenr
Este mecanismo consta de la formación de una hidrazona a partir de una cetona y se
obtendrá como producto final un alcano o ciclo alcano; los reactivos serán
, un ion hidroxilo y agua.
O
NH2NH2
N-NH2
OH
N NH
N
H
NH
OH
N NH
H2O
H
H
OH
(hidrazona)
N - NH
H2O
H
+
Álbum Sobre Mecanismos y Reacciones. (Química Orgánica II) Página 38
Bases de Schiff
Este mecanismo puede empezar ya sea con una cetona o con un aldehído, y ambos
reaccionan bajos trazas de fuego y tendrán otra reacción mas que será con acido
borico (HB), en el caso de la cetona se formara una enamina y en el caso del aldehído
se formara una imina.
Formación de una Imina a partir de un aldehído:
C H
O
CH3NH2
H
C NH2
O
CH3
HB
C NH2
OH
CH3
B
C NH
O
CH3
C NH
CH3
H H
B
C N
CH2
H2O
trazas
B
C NH
OH
CH3
HB
(imina)
Álbum Sobre Mecanismos y Reacciones. (Química Orgánica II) Página 39
Formación de una Enamina a partir de una cetona:
CH3 C CH3
O
H2C NH
CH3
CH3 C CH2
O
NHH3C
CH3
HB
CH3 C CH2
OH
NHH3C
CH3
H
B
CH3 C CH2
OH
N
H3C CH3
HB-H2O
CH2 C CH2
N
H3C CH3
B
CH2 C CH3
N
H3C CH3
HB + H2O
trazas
CH3 C CH2
O
N
H3C CH3
H HH
(enamina)
Álbum Sobre Mecanismos y Reacciones. (Química Orgánica II) Página 40
Compuestos Carbonílicos
Estos se encuentran en aminoácidos, proteínas, etc... Los compuestos
carbonílicos pueden ser: ácidos carboxílicos, haluros de acilo, esteres, amidas y
anhídridos de acido.
Reacción de Haluros de Acilo estos formaran un anhídrido de
acido.
C
C
O
Cl
O
O
C
O
CH3
+ O-C-CH3
O
C O
Cl
O
O-C-CH
3
(cloruro de
ciclobutanoilo)
Anhídridos de Acido formaran esteres + ácidos carboxílicos o
cualquier de estos dos productos; como reactivos estará ya sea un amina, un
alcohol o agua.
 Con una Amina:
CH3CH2CH2 -C - O - C -CH2CH2CH3
O O
CH3NH2
CH3CH2CH2 -C - O - C -CH2CH2CH3
O O
NH2CH3
B
CH3CH2CH2 -C - O - C -CH2CH2CH3
O O
NHCH3
CH3CH2CH2 -C
OO
NHCH3
- O - C -CH2CH2CH3 +
HB
O
HO - C -CH2CH2CH3 (acido butanoico)
Álbum Sobre Mecanismos y Reacciones. (Química Orgánica II) Página 41
 Con un Alcohol:
C - O - C -CH3
O O
CH3CH2OH
C - O - C -CH3
O O
OHCH2CH3
B
C - O - C -CH3
O O
OCH2CH3
O
O
OCH2CH3
C
O - C -CH3 +
HB
O
HO - C -CH3(acido estanoico)
(benzoato de etilo)
 Con Agua:
B
+
HB
CH3CH2 -C - O - C -CH2CH3
O O
H2O
CH3CH2 -C - O - C -CH2CH3
O O
H2O
CH3CH2 -C - O - C -CH2CH3
O O
OH
CH3CH2 -C
OO
OH
O - C -CH2CH3
O
HO - C -CH2CH3
(acido propanoico)
(acido propanoico)
Álbum Sobre Mecanismos y Reacciones. (Química Orgánica II) Página 42
Reacciones de Esteres
Las reacciones de esteres pueden ser ya sea por hidrólisis cuyo reactivo será el
acido clorhídrico (HCl), por alcoholisis donde el reactivo será un alcohol y
anminolisi que reaccionara con una amina.
En el caso de la hidrólisis esta se podrá llevar a cabo con alquilos terciarios en la
cual serán los únicos en llevar a cabo una SN1, también se podrá con alquilos
secundarios y primarios los cuales no llevaran a cabo una SN1.
Los productos variaran según el producto inicial, en el caso de de alcoholisis
empezaremos con un éster y finalizaremos con un alcohol + éster; de ser
anminolisi se comienza con un éster + amina y se finaliza con una amida +
alcohol; en el caso de las hidrólisis se comienza de igual manera con un éster y
se termina con un alcohol + acido carboxílico.
Ejemplos:
Hidrólisis de Esteres con un grupo Alquilo Primario y Secundario:
H2OCH3CH2 - C- O -CH3
O
HCl
CH3CH2 - C- O -CH3
OH
CH3CH2 - C- O -CH3
OH
H2O
Cl
CH3CH2 - C- O -CH3
OH
OH
HCl
CH3CH2 - C- OH -CH3
OH
OH
Cl
CH3CH2 - C
O
OH
+ OH -CH3
(propanoato de metilo)
(acido propanoico)
Álbum Sobre Mecanismos y Reacciones. (Química Orgánica II) Página 43
Hidrólisis de Esteres con un grupo Alquilo Terciario:
H2O
CH3CH2CH2C - O - C
O CH3
CH3
CH3
HCl
CH3CH2CH2C - O - C
OH CH3
CH3
CH3
SN1
CH3CH2CH2C O
OH CH3
CH3
CH3
C+
CH3
CH3
CH3
COH2
Cl
CH3
CH3
CH3
COH
(propanoato de ter-butilo)
(acido butanoico)
Alcoholisis:
+
C - O - CH3
O
CH3OH
HCl
C - O - CH3
O
OHCH3
Cl
O
OCH3
C O - CH3
HCl
HO - CH3
(ciclopropano-
carboxilato de metilo)
Anminolisis:
+CH3CH2 - C- O -CH3
O
CH3CH2NH2 CH3CH2 - C- O -CH3
O
CH3CH2NH2
B
CH3CH2 - C
O
CH3CH2NH
O -CH3+
HB
HO -CH3
(propanoato de
metilo) (N-etil-propanamida)
Álbum Sobre Mecanismos y Reacciones. (Química Orgánica II) Página 44
Reacciones de Ácidos Carboxílicos
Estas reacciones son de sustitución Nucleofilica, y se pueden dar por esterificación de
Fisher la cual formara un Ester, usando como reactivo una amina la cual se une a un
acido carboxílico y a si formar sales de carboxilato, también podrán amidas con agua o
un alcohol, en el caso del agua formaran ácidos carboxílicos y en el caso del alcohol
formaran esteres.
Ejemplos:
1) Esterificación de Fisher:
H2O
C
OH
O
HCl
C
OH
OH
CH3CH2OH
C
OH
OH
OHCH2CH3
Cl
C
OH
OH
OCH2CH3
C
OH
H2O
OCH2CH3
C
OH
OCH2CH3
Cl
C
O
OCH2CH3
++ H2OHCl
(acido benzoico)
(benzoato de etilo)
2) Acido Carboxílico mas una Amina
O
OH
+
C
CH3NH2
O
O - NH3CH3
C
(acido ciclopentanoico)
Álbum Sobre Mecanismos y Reacciones. (Química Orgánica II) Página 45
3) Reacción con una amida cuyo reactivo será el agua en presencia de acido
clorhídrico mas calor:
+
C- NH-CH3
O
H2O
O
C- OH
NH3-CH3
(N-metil-ciclobutanamida) (acido ciclobutanoico)
HCl/ calor
1) Reacción de un amida cuyo reactivo será el alcohol en presencia de acido
clorhídrico más calor:
+
CH3OH
NH3-CH3HCl/ calorCH3CH2 - C- NH -CH3
O
CH3CH2 - C- O -CH3
O
(N- metil- propilamida) (propanoato de metilo)
Deshidratación de Aminas
Este en una reacción sin mecanismos, por lo tanto será directa y se podrá hacer uso de
tres diferentes reactivos como ser: , Y y asi con cualquier de
estos se formaran nitrilos.
C- NH2
O
P2O5
C N
(benzamida) (benceno carbonitrilo)
Álbum Sobre Mecanismos y Reacciones. (Química Orgánica II) Página 46
Hidrólisis de Nitrilos
La hidrólisis de nitrilos se puede llevar a cabo de dos maneras ya sea por una molécula
de agua o con un alcohol, con la única diferencia que al utilizar el alcohol al realizar la
tautomería se hará uso del NaOH y al final obtendremos un carboxilato; y cuando se
utilice agua al realizar la tautomería se producirá directamente un acido carboxílico.
Ejemplos:
 Agua:
C N
H
C NH
H2O
C NH
H2O
C NH
OH
tautomeria
C NH2
OH
C OH
O
H2O
(ciclopentanonitrilo)
(acido
ciclopentanoico)
 Alcohol:
C N
OH
C N
H2O
C NH
OH
C NH2
O
tautomeria
C NH2
O
C O
O
NaOH
(ciclopentanonitrilo)
(carboxilato)
OH
+NH3
Álbum Sobre Mecanismos y Reacciones. (Química Orgánica II) Página 47
Saponificación
Se trata de una hidrólisis básica de esteres, en la cual por medio de ácidos grasos o
triglicéridos se formaran jabones.
OH
OH
OH
O
O
O
+ NaOH
O - Na
O - Na
O -Na
O
O
O
(jabón)
Reacción de Estanislao Cannizzaro
Se produce una dismutación, oxidación en el mismo elemento (aldehído), cuyo
producto será un alcohoxilo (reducción - oxidación) y un acido carboxílico de una
oxidación.
C
O
H
OH
C
O
H
OH
+
C
O
H
C
O
OH
+
C
O
H
H
(desprotonación)
C
O
H
OH
C
O
H
O
+
C
O
H
C
O
O
+
C
O
H
H
(primeros productos)
(segundos productos)
(ciclopentanal)
Álbum Sobre Mecanismos y Reacciones. (Química Orgánica II) Página 48
Reacción de Perkin
Se empezara a trabajar solamente con aldehídos y se obtendrá al final dos
productos un acido carboxílico con una cadena de alquenos mas otro acido
carboxílico pero su cadena será de alcanos.
C
H
O
+ CH3 - C - O - C - CH3
OO
H C
H
O
CH2 - C - O - C - CH3
OO
C
H
OH
CH2 - C - O - C - CH3
OO
H2O
CH CH - C - O - C - CH3
OO
H2O
CH CH - C - OH
OO
OH - C - CH3
+
(acido 4-ciclopropano
2- propenoico)
(acido etanoico)
Álbum Sobre Mecanismos y Reacciones. (Química Orgánica II) Página 49
Síntesis de Gabriel
En esta síntesis se obtendrán aminas primarias a partir del acido benceno 1,2 – di
carboxílico.
Nuestro primer producto será una ftelamina luego tendremos una sal que reaccionara
para formar una imida la cual nuevamente formara otra sal hasta llegar a nuestra
amina primaria.
+
COOH
COOH
NH3
calor
NH
O
O
NaOH
NNa
O
O
CH3CH2I
alquilación
+
N - CH2CH3
O
O
NaOH
H2O/ calor
COONa
COONa
CH3CH2NH2
Alquilación Directa
De igual manera que la síntesis de Gabriel en este mecanismo se formaran aminas
primarias, comenzando con un alquilo primario mas amoniaco y luego se tendrá como
reactivo una base como ser el hidroxilo de sodio (NaOH).
Br
+ NH3
NH3 - Br
NaOH
NH2
+ +HBr H2O
(bromuro de ciclopentano)
(ciclopentilamina)

Nomenclatura, Mecanismo y Reacciones_ Quimica Organica II

  • 1.
    Qwertyuiopasdfghjklzxcvbnmqwerty uiopasdfghjklzxcvbnmqwertyuiopasd fghjklzxcvbnmqwertyuiopasdfghjklzx cvbnmqwertyuiopasdfghjklzxcvbnmq wertyuiopasdfghjklzxcvbnmqwertyui opasdfghjklzxcvbnmqwertyuiopasdfg hjklzxcvbnmqwertyuiopasdfghjklzxc vbnmqwertyuiopasdfghjklzxcvbnmq wertyuiopasdfghjklzxcvbnmqwertyui opasdfghjklzxcvbnmqwertyuiopasdfg hjklzxcvbnmqwertyuiopasdfghjklzxc vbnmqwertyuiopasdfghjklzxcvbnmq wertyuiopasdfghjklzxcvbnmqwertyui opasdfghjklzxcvbnmqwertyuiopasdfg hjklzxcvbnmrtyuiopasdfghjklzxcvbn mqwertykghjfuytitsrgricelfgrquimica uiopasdfghjklzxcvbnmqwertyuiopasd Universidad Pedagógica Nacional FranciscoMorazán Departamento de Ciencias Naturales Asignatura: Química Orgánica II Dra. : Ana Carolina Arevalo Álbum Sobre Modelización Molecular Alumnos: Gricelda Alfaro___ 0801199307500 Loana Kirinton____ 0902199300101 Eva Isabel Turcios__1214199100051 Edgardo Francisco Padilla_ 120119920039 Linsay Romero____ 0801198103871
  • 2.
    Álbum Sobre Mecanismosy Reacciones. (Química Orgánica II) Página 2 Introducción: El álbum presente es un documento en el cual se encierran todas las reacciones y mecanismos que fueron dados por la Dra. Ana Arevalo durante las clases y de igual manera se tomaron en cuenta los mecanismos realizados por los compañeros de clase durante cada una de las exposiciones designadas por la Dra. En el álbum se pretende enseñar uno o dos ejemplos de cada uno de los mecanismos y reacciones que hemos aprendido durante todo el tercer periodo del año 2013.
  • 3.
    Álbum Sobre Mecanismosy Reacciones. (Química Orgánica II) Página 3 Significado de Símbolos y Flechas Utilizados en Química.  (+) _______ se lee “mas” o “y” , usado entre dos formulas indica que las Sustancias se cambian cuando las sustancias actúan Como reactantes.  ________ gas  ________ solido  ________ liquido  _______ acuoso, en solución o disuelto en agua  ( _______ producto solido, forma precipitado  ________ producto gaseoso  _______ indica el resultado de la reacción  ____ reacción reversible, los productos se pueden convertir el Reactivos.  calor indica que el reactivo se somete a calentamiento  atm señala la presión atmosférica  "c señala la temperatura, en grados Celsius  pd presencia de un catalizador modifica la velocidad de la reacción
  • 4.
    Álbum Sobre Mecanismosy Reacciones. (Química Orgánica II) Página 4 Nomenclatura
  • 5.
    Álbum Sobre Mecanismosy Reacciones. (Química Orgánica II) Página 5 Nomenclatura de Alcoholes y Fenoles  Alcoholes: siempre contienen un grupo OH y se coloca la terminación (ANO).  Fenoles: contienen uno o más OH en un anillo benceno, se les agrega la terminación (OL ) de lo contrario se utiliza el prefijo (HIDROXI), se le da prioridad al fenol y luego a los radicales. Nomenclatura de Éteres Se basa en los radicales y se añade la palabra (ETER), también se pueden clasificar en furanos y oxetanos. OCH3 fenilmetileter CH3 - O - CH2CH3 etilmetileter O OCH3 3-metoxifurano O H3C H3C CH3 2-etil-3,3-dimetilxetano HO propanol HO hexanol OH ciclopropanol OH Br (3-bromofenol) OHHO (1,3- difenol) OH Cl Cl (3,5- diclorofenol)
  • 6.
    Álbum Sobre Mecanismosy Reacciones. (Química Orgánica II) Página 6 Nomenclatura de Compuestos Organometálicos Se trata de un metal unido a un carbono, y solo se nombra la cadena metálica CH3-Li metillitio CH3CH2-Li etillitio MgBr bromuro de ciclopentilmagnesio Nomenclatura de Tioles Solo se añade el sufijo (TIOL) al alcano y se sustituye la palabra mercaptano. CH3-CH2 -SH etanotiol CH3CH C CH SH SH SH butano -2,2,3 -tritiol Nomenclatura de Aminas Se sustituye uno o más (H) del amoniaco por un grupo alquilo CH3 NH CH2CH2CH3 metilpropilamina N - CH3 CH3 ciclohexildimetilamina CH3 N CH2CH2CH2CH3 CH3 butil dimetilamina
  • 7.
    Álbum Sobre Mecanismosy Reacciones. (Química Orgánica II) Página 7 Nomenclatura de Cetonas y Aldehídos  Cetonas: se agrega la terminación (ONA) o solo se añade la palabra cetona y se nombra la cadena más larga C O CH3 cicloheptil - metil cetona CH3 C CH3 O dimetil cetona O 3- metilciclohexanona  Aldehídos: solamente se sustituye (O) por (AL) y se le da prioridad número uno, si llevase dobles carbonos con doble enlace de oxigeno se usara el sufijo (OXO). O pentanal H C H O ciclobutanal H O O 4-oxopentanal
  • 8.
    Álbum Sobre Mecanismosy Reacciones. (Química Orgánica II) Página 8 Nomenclatura de Ácidos Carboxílicos y sus Derivados Los derivados de los ácidos carboxílicos son los grupos esteres, haluros de acilo, amidas, anhídridos de acido y nitrilos, cuyo tipo de nomenclatura se verá a continuación.  Ácidos carboxílicos: su terminación será (ICO) C OHO acido ciclopropanoico CH2 CH C OH O acido propenoico C OH O acido benzoico  Nomenclatura de Haluros de Acilo: se pondrá como sufijo el nombre del haluro y como terminación se añadirá (ILO). Se empezara a contar desde el segundo carbono, el carbono beta. CH3CH2CH2 C I O yoduro de butanoilo C Br O bromuro de ciclopentanoilo  Nomenclatura de Esteres: solamente se coloca como terminación (ATO) C - O - CH3 O (ciclopropano- carboxilato de metilo) O OCH2CH3 C (benzoato de etilo) CH3CH2 - C- O -CH3 O (propanoato de metilo) O O Na C (benzoato de sodio)
  • 9.
    Álbum Sobre Mecanismosy Reacciones. (Química Orgánica II) Página 9  Nomenclatura de Amidas: se coloca como terminación la palabra (AMIDA). C NH2 O ciclopentanamida CH3CH2 C NH2 O propanamida O NH2C (benzamida)  Nomenclatura de Nitrilos: se coloca como terminación la palabra (NITRILO). C N (benceno carbonitrilo) CH3CH2CH2CH2 C N pentanonitrilo C N (ciclopentanonitrilo)
  • 10.
    Álbum Sobre Mecanismosy Reacciones. (Química Orgánica II) Página 10 Mecanismos y Reacciones
  • 11.
    Álbum Sobre Mecanismosy Reacciones. (Química Orgánica II) Página 11 Reacciones de Sustitución Nucleofilica SN2 Y SN1 Reacciones Bimolecular SN2: 1) CH2• CH2• Cl (S)- 4- cloropentano OH OH (R)-4- pentanol 2) OH •H2C CH2•Br (R)-3- bromohexano OH (S)-3- hexanol Reacciones Monomolecular SN1: 1) H2O CH3CHCH2CH CH3 CH3Cl CH3CHCH2CH CH3 CH3 CH3CHCH2CH OH CH3 CH3 2-cloro-4,4-dimetilbutano 4,4-dimetil-2-butanol 2) H2O Br CH2-C-CH3 CH3 CH2-C-CH3 CH3 CH2-C-CH3 CH3 OH 2-bromo-2-metilpropano 2-metilpropanol
  • 12.
    Álbum Sobre Mecanismosy Reacciones. (Química Orgánica II) Página 12 Reacciones de Eliminación Nucleofilica E2 Y E1 Reacciones Bidimensional E2: 1) CH3CH2CCH3 CH3 Cl CH3CH C CH3 CH3 CH3CH2 C CH2 CH3 H 2-cloro-2-metilbutano 2-metil-2-buteno Reacciones Unimolecular E1: 1) H2O Br H bromocicloheptano ciclohepteno Reacción de los Alcoholes 1_ Formación de Haluros de Alquilo OH HI calor H2O I I Ciclopropanol yodociclopropano
  • 13.
    Álbum Sobre Mecanismosy Reacciones. (Química Orgánica II) Página 13 Alcoholes Secundarios y Terciarios por medio de SN1 OH HBr H2O Br- H2O Br H3C H3C H3CH3C 1-metilciclopropanol (alcohol secundario) 1-bromo-1-metil-ciclopropano Alcoholes Primarios por medio de SN2 OH HBr H2O Br- H2O Br Ciclopropanol bromo-ciclopropano (alcohol primario)
  • 14.
    Álbum Sobre Mecanismosy Reacciones. (Química Orgánica II) Página 14 Re arreglo de Carbocationes por medio de E1, solo en Alcoholes Secundarios y Terciarios. CH3 CH3 CH2 CH2 H2SO4 -H2O D1,2 OH OH2 H HSO4 Calor 1-metil-ciclopentanol Productos ciclo alquenos (alcohol secundario) Re arreglo de Carbocationes por medio de E2, solo en Alcoholes Primarios H2SO4 -H2O OH2 HSO4 OH propanol H Productos alquenos La diferencia de ambos re arreglos es el uso de calor al reaccionar el acido sulfúrico con el alcohol, y el calor solo se hace uso en la E1.
  • 15.
    Álbum Sobre Mecanismosy Reacciones. (Química Orgánica II) Página 15 Oxidación de los Alcoholes 1_ Los alcoholes Secundarios al Oxidarse se convierten a Cetonas  Oxidación con trióxido de Cromo ( ) HO butanol CrO3 H2O O Butanona  Oxidación con dicromato de sodio (Na₂Cr₂O₇) H2SO4 Na2Cr2O7 CH2CHCH3 OH CH2C CH3 O Ciclohexil-propanol Ciclohexil-propanona 2_ Los alcoholes Primarios al Oxidarse se convierten en Aldehídos  Oxidación con trióxido de Cromo ( ) y con cromato de dirinio en presencia de HO PCC H2SO4 O H Butanol butanal
  • 16.
    Álbum Sobre Mecanismosy Reacciones. (Química Orgánica II) Página 16 Mecanismo de Reacción con el Acido Brómico (HBr) OH Cr O O OH H-Br OH Cr O O OH2 R-CH2-OH -H2O R-CH2-O-Cr-OH O OH Br R-CH-O-Cr-O O OH Br R-C-HH2CrO3HBrH2O O +++ Aldehido Preparación de Alcoholes 1) Alcoholes a partir de Éteres: estos pueden reaccionar con ácidos (HCL, HBr, HI) CH2-O-CH2CH3 HI CH2-O-CH2CH3 H I SN1 CH2-I + HO-CH2CH3 Ciclo butano – etil etanol -metil-éter Los éteres se rompen por medio de una SN1, al menos que el Carbocationes sea inestable este se romperá por una SN2.
  • 17.
    Álbum Sobre Mecanismosy Reacciones. (Química Orgánica II) Página 17 2) Alcoholes Primarios a partir de un Aldehído: este mecanismo reaccionara con Boro-hidruro de sodio en presencia de agua protonada C O NaH2BH4 H CHH O H3O CH2 OH (Cicloheptanal) (Cicloheptano-metanol) + NaBH3 + H2O 3) Alcoholes Secundarios a partir de Cetonas: este mecanismo reaccionara con Boro-hidruro de sodio en presencia de agua protonada y también con Hidruro de aluminio y níquel en presencia de agua protonada . O LiAlH4 H3O (Cicloheptanona) (Cicloheptanol) O H OH + LiAlH3 + H2O
  • 18.
    Álbum Sobre Mecanismosy Reacciones. (Química Orgánica II) Página 18 4) Alcoholes primarios a partir de un Acido Carboxílico: este mecanismo reacciona con Hidruro de aluminio y níquel en presencia de agua protonada . LiAlH4 H3O + LiAlH3 + H2O CH3CH2C - OH O CH3CH2C - O O AL H rearreglo O H CH3CH2C (acido propanoico) (propanal) LiAlH4 O H CH3CH2C H (alcolix) CH3CH2CH2 OH (propanol) 5) Alcoholes Primarios a partir de un Ester: este mecanismo reacciona con Hidruro de aluminio y níquel en presencia de agua protonada . LiHAlH4 H3O LiAlH3 + H2O CH3CH2C - O - CH3 O CH3CH2CH - O -CH3 O O (propanoato de metilo) CH3CH2CH2 OH (propanol) CH3CH2CH LiHAlH3 O CH3CH2CH2 ++ O -CH3 HO - CH3
  • 19.
    Álbum Sobre Mecanismosy Reacciones. (Química Orgánica II) Página 19 COPULACION DE SALES DE DIAZONIO Estas sales de diazonio comienzan con un benceno el cual se nitra con , luego se produce una reducción con hierro en presencia de acido clorhídrico (HCL) y así producir la anilina la cual con presencia de calor se irá para poder dejar una carga positiva sobre el carbono el cual se estabiliza con diferentes compuestos tales como:  NaCl  H₂O  NaNH₂  NaI  CN  CH3CO O Ejemplos: HNO2 NO2 Fe HCL NH2 HNO2 N N Calor NaCl Cl (nitracion) (reduccion) (anilina) (sal de diazonio) 1_ HNO2 NO2 Fe HCL NH2 HNO2 N N (nitracion) (reduccion) (anilina) (sal de diazonio) + CH3 CH3 CH3 N N CH3 CH3 CH3 2_
  • 20.
    Álbum Sobre Mecanismosy Reacciones. (Química Orgánica II) Página 20 Mecanismo de una Amina Primaria a una Amina Secundaria 1) H3C CH3 Cl NH2CH2CH3 NHCH2CH3 H NH CH2CH3 + HClCl H3C H3C H3C H3C (1-cloro- 2,2- dimetil ciclopentano) (2,2-dimetil-ciclopentil- etilamina) + 2) Br NH2CH2CH3 NHCH2CH3 H NH CH2CH3 + HBrBr (1-clorociclobutano) (ciclobutano-etilamina) +
  • 21.
    Álbum Sobre Mecanismosy Reacciones. (Química Orgánica II) Página 21 Oxidación de Aminas Estas oxidaciones de aminas se utilizaran como reactivos el peróxido de hidrogeno , perácido y otros agentes reductores. Se inician ya sea con una amina primaria, secundaria o terciaria; cuyos productos serán los siguientes: En el caso de una amina primaria producirá un compuesto nitro, el cual primero se oxida para formar la hidroxilamina, sufre una segunda oxidación produciendo un compuesto nitroso y finalmente se vuelve a oxidar para formar el compuesto nitro antes mencionado. Si se comienza con una amina secundaria, esta de igual manera se oxida para producir una hidroxilamina secundaria. Ahora si empezamos con una amina terciaria, también sufre oxidación para poder formar óxidos de aminas terciarias.  Aminas Primarias a Compuestos Nitro: NH2 NH2 N H2O2 OH OH O N O O (ciclohexilamina) (hidroxilamina) (compuesto nitroso) (compuesto nitro)  Aminas Secundarias a Hidroxilaminas Secundarias: +H2O2 OH NH NH N CH3 CH3 CH3 OH OH H2O (ciclibutil- metilamina) (ciclobutil-metil hidroxilamina)
  • 22.
    Álbum Sobre Mecanismosy Reacciones. (Química Orgánica II) Página 22  Aminas Terciarias a Óxidos de Aminas Terciarias: +H2O2 OH H2O N N N CH3 Cl OH CH3 Cl H3C O Cl (ciclopropil-cloruro- metilamina) (oxido de amina terciaria) Síntesis de Aminas La síntesis de aminas se lleva a cabo por medio de la sustitución Nucleofilica Bimolecular (SN2), con haluros de alquilo. La síntesis se podrá realizar de diferentes maneras, entre ellas: 1) Con Amoniaco Se podrá empezar con amoniaco , con el cual se obtendrán aminas primarias, secundarias, terciarias hasta cuaternarias. 2) Con Ion Azida También se podrá empezar con un haluro de alquilo, el cual reaccionara con el ion azida y obtener finalmente una amina primaria. 3) Con la Reducción Catalítica de un Nitrilo Se podrá también comenzar con un haluro de alquilo y por medio de reducción catalítica de un nitrilo en presencia de acido clorihidrico (HCL); y volverá a reaccionar pero con hidrogeno molecular en presencia de paladio , y así obtener finalmente una amina primaria. 4) Con la Reducción de un Nitro Alcano Otra manera para sintetizar aminas, también es comenzando con la reducción de un nitro alcano, el cual reacciona solo con hidrogeno molecular en presencia de paladio y así formar una amina primaria. 5) Con la Reducción de Amidas Una última forma de sintetizar aminas es por medio de reducción de amidas ya sean amidas primarias, secundarias o terciarias cada una reaccionara con Hidruro de aluminio y níquel en presencia de agua ; cuyo producto será una amina ya sea primaria, secundaria o terciaria.
  • 23.
    Álbum Sobre Mecanismosy Reacciones. (Química Orgánica II) Página 23 Ejemplos de Cada una de las Síntesis: 1) Comenzando con Amoniaco y formar aminas primarias, secundarias, terciarias y cuaternarias. NH3 (amoniaco) CH3Br NH2 CH3 H CH3Br Br NH2 CH3 HN CH3 CH3 H Br HN CH3 CH3 CH3Br N CH3 CH3 H CH3 Br N CH3 CH3 CH3 CH3Br N CH3 CH3 CH3H3C+ (amina primaria) (amina secundaria) (amina terciaria) (amina cuaternaria) 3HBr 2) Comenzando con haluros de alquilo que reaccionan con el ion azida y producirán aminas primarias. Br N3 N N N H2 pd/c NH2 (bromociclobutano) (ciclobutanamina) 3) Comenzando con un haluro de alquilo que reacciona con un nitrilo en presencia de acido clorhídrico (HCL); y volverá a reaccionar con hidrogeno molecular en presencia de paladio , para producir una amina primaria. •H2C •H2C Br (2-bromopropano) NaC N •H2C •H2C C N H2 pd/c •H2C •H2C NH2 (propilamina)
  • 24.
    Álbum Sobre Mecanismosy Reacciones. (Química Orgánica II) Página 24 4) comenzando con la reducción de un nitro alcano, el cual reacciona solo con hidrogeno molecular en presencia de paladio y así formar una amina primaria. O2N NO2 O2N NH2 H2N NH2 2H2O Pc/C H2 Pc/C (1,5-Dinitrociclooctano) (1,5-ciclooctanodiamina) 5) Reducción de amidas ya sean amidas primarias, secundarias o terciarias cada una reaccionara con Hidruro de aluminio y níquel en presencia de agua ; cuyo producto será una amina ya sea primaria, secundaria o terciaria.  (primaria) C O NH2 LiAlH4 H2O CH2 NH2 (Ciclohexilamida) (Ciclohexilmetilamina)  (secundaria) C O H3C NH CH3 LiAlH4 H2O CH3CH2NHCH3 (N-metilamida) (etil-metil-amina)  (terciaria) C O N CH3 LiAlH4 H2O N-metilamida CH3 N CH3 CH2CH3 (Ciclopentanodimetilamida) (n-ciclopentano-n-etil-n-metil amina)
  • 25.
    Álbum Sobre Mecanismosy Reacciones. (Química Orgánica II) Página 25 Reacciones de Cetonas y Aldehídos Estas reacciones tanto para cetonas como para aldehídos, reaccionan dos veces la primera será con Zinc (Zn) y la segunda con acido borico (HB) Ejemplos:  Cetona: H3C C O CH2CH3 Zn° H3C C O CH2CH3 Zn H3C C OH CH2CH3 Zn HBr (2-butanona) (2-Zinc-2-butanol)  Aldehído: H3C C O H Zn° H3C C O H Zn H3C C OH H Zn HBr (etanol) (1-Zinc-hidroetanol) Reacciones de Compuestos Carbonílicos con Reactivos de Grinard Las reacciones con los compuestos Grinard se pueden dar en cadenas de alcanos con halógeno, también en cetonas y en esteres. Halogeno Mg Rompe Alcano + Halogeno + Mg Cetonas R-Mg Ó R-MgBr Esteres R-Mg AlcoholesAldehidos R-MgBr Ejemplos:
  • 26.
    Álbum Sobre Mecanismosy Reacciones. (Química Orgánica II) Página 26  Halógeno: reaccionaran solo con magnesio (Mg) Cl Mg MgCl Rompe + MgCl (cloro-ciclopentano) (cloruro de ciclopentanomagnesio) (ciclopentano)  Cetonas: reaccionaran con una cadena de alcano unida al magnesio (R-Mg) y también lo puede realizar con una cadena de alcano unida al bromuro de magnesio (R-MgBr). 1. H3C C CH2CH3 O CH3-Mg H3C C O CH3 CH2CH3 H3O H3C C OH CH3 CH2CH3 +Mg + H2O (2-butanona) (2-metil-2-butanol) 2. O CH3CH2-Mg O CH2CH3 H3O OH CH2CH3 + MgBr (ciclobutanona) (1-etil-ciclobutanol)  Aldehídos: estos podrán reaccionar solamente con una cadena de alcano unida a un bromuro de magnesio (R-MgBr) y así formar el alcohol. C CH3-MgBr CH H3O CH + H2O + MgBr (2.ciclopentano-etanol) H O H3C O CH3 OH (ciclopentanal)
  • 27.
    Álbum Sobre Mecanismosy Reacciones. (Química Orgánica II) Página 27  Esteres: estos reaccionaran solo con bromuro de magnesio (R-MgBr) y así formar el alcohol, en el caso de esteres se formaran dos alcoholes. C O OCH3 CH3-MgBr C O- OCH3 CH3 -OCH3 C O CH3 CH3-MgBr C O- CH3 CH3 H3O C OH CH3 CH3 CH3OH + H2O (ciclooctano carboxilato de metilo) (2-ciclooctil-propanol)
  • 28.
    Álbum Sobre Mecanismosy Reacciones. (Química Orgánica II) Página 28 Reacción de Carbonilos con Ion Acetiluro En estas reacciones se harán a cabo por el ion Acetiluro , y luego se tendrá una reacción más con la pirimidina o ion piridinio. R C O H C C CH3 , N Ion Acetiluro Piridina Ejemplo: 1) C H O C C CH3 C C O- H H C CH3 C C OH H C CH3 + (ciclobutanal) 2) H3CHC C H O C C CH3 H3CHC C C - O H H C CH3 H3CHC C C OH H C CH3 + Cl Cl Cl (2-cloro-propanal)
  • 29.
    Álbum Sobre Mecanismosy Reacciones. (Química Orgánica II) Página 29 Reducciones de los Compuestos Carbonilos con Ion Hidruro Solamente habrá formación de alcoholes primarios. Estas reducciones se llevaran a cabo con cetonas, aldehídos y esteres, en este último se finalizara con dos alcoholes primarios. En el caso de las cetonas serán las únicas que reaccionan con ambos tipos de iones tanto como es el hidruro de aluminio y niquela si como también el boro hidruro de sodio. Los reactivos a utilizar serán los dos tipos de hidruros como ser: boro hidruro de sodio y el hidruro de aluminio y níquel ; cada uno de estos en presencia de agua protonada . Cetonas Aldehidos Esteres LiAlH4 LiAlH4 NaBH4 Alcoholes Primarios Ó NaBH4 1) Cetonas: 1) O LiAlH4 O- OH + LiAlH3 H3O + H2O (ciclohexanona) (ciclohexanol) 2) CH3CH2 C O CHCH3 Cl LiAlH4 CH3CH2 C O CHCH3 ClH Cl- CH3CH2 C O CHCH3 H H- CH3CH2 C O CHCH3 HH H+ CH3CH2 C H OH CH2CH3LiAlH3+Cl- + (2.cloro propanona) (butanol)
  • 30.
    Álbum Sobre Mecanismosy Reacciones. (Química Orgánica II) Página 30 2) Aldehídos: C O H NaBH4 CH2 O H3O H3O CH2 OH + NaBH3 + H2O (ciclopropanal) (2-ciclopropilmetanol) 3) Esteres: CH3CH2CH2 C O OCH3 LiAlH4 H3O CH3CH2CH2 C O OCH3 -OCH3 CH3CH2CH2CH O LiAlH3 CH3CH2CH2CH2 O H+ CH3CH2CH2CH2 OH LiAlH2 + H2O + (butanoato de metilo) (propanol)
  • 31.
    Álbum Sobre Mecanismosy Reacciones. (Química Orgánica II) Página 31 Reacciones de Aldehídos y Cetonas con Ion Cianuro Primero se hará una reacción con el ion cianuro , se tendrá otra reacción pero será con el cianuro de hidrogeno .  Cetona: CH3CH2 C CH2CH3 C N CH3CH2 C C CH2CH3 N O O H C N CH3CH2 C CH2CH3 C OH N  Aldehído: C H O C N C H O C N C H HO C N H - C N
  • 32.
    Álbum Sobre Mecanismosy Reacciones. (Química Orgánica II) Página 32 Eliminación de un (OH) de Amonio Cuaternario “Eliminación de Hoffman” En esta eliminación se comenzara con una amina para obtener al final un alqueno, el mecanismo reaccionara con oxido de plata en presencia de agua. CH3CH2CHCH3 NH2 CH3 I CH3CH2CHCH3 N(CH3)3 Ag2O CH3CHCHCH3 N(CH3)3 H  CH3CH CHCH3 + N(CH3)3 + AgI+H2O OH Reacción de Aldehídos y Cetonas para formar Hidrato En este mecanismo se finalizara con un hidrato el cual consiste en dos moléculas de hidróxido (OH) en el mismo carbono, el único reactivo en este mecanismo será el agua.  Cetonas: O H2O H2O OH OH O H H OH OH + H3O H2O  Aldehídos: CH3CH2-C -H H2O CH3CH3-C -H H2O CH3CH2-C - H H + H3O O OH O H H OH H2O CH3CH2-C - H OH OH
  • 33.
    Álbum Sobre Mecanismosy Reacciones. (Química Orgánica II) Página 33 Reacción de Cetonas y Aldehídos “Reacción de Vaelleger Villiger” En esta reacción al trabajar con cetonas se producirán esteres, al trabajar con ciclo cetonas se producirán lactonas y si se trabaja con aldehídos se producirán ácidos carboxílicos. 1) Cetonas = Esteres CH3CH2-C-CH2CH3 HOO-C-R O O CH3CH-C-CH2CH3 O O O-C-R O H CH3CH2 -C -O -CH2CH3 + O-C-R OO OH - C - R O CH3CH-C-CH2CH3 OH O O-C-R O H 2) Ciclo cetona = Lactona O HOO-CR O R--C-O-O O O O O + O-C-R O OH-C-R O H R--C-O-O OH O H
  • 34.
    Álbum Sobre Mecanismosy Reacciones. (Química Orgánica II) Página 34 3) Aldehídos = Ácidos Carboxílicos CH3CH2-C - H HOO-C-R O O CH3CH2-C - H O O O-C-R O H CH3CH2 -C - OH + O-C-R OO OH - C - R O CH3CH2-C - H OH O O-C-R O H
  • 35.
    Álbum Sobre Mecanismosy Reacciones. (Química Orgánica II) Página 35 Formación de Hemicetales y Cetales Es un mecanismo que iniciara con una cetona más un hidroxilo (OH), en todo el mecanismo se llevara a cabo formación y deformación del (HB) acido borico para formar primeramente el hemicetal el cual consta de una molécula de alcohol mas un grupo Ester en el mismo carbono, volverá a reaccionar para formar el final cetal que consta de dos grupos esteres en el mismo carbono. CH3-C-CH2CH3 CH3-C-CH2CH3 CH3-C-CH2CH3 O HB OH CH3OH OH OCH3 H B CH3-C-CH2CH3 OH OCH3 CH3-C-CH2CH3 O OCH3 H H H2O CH2-C-CH2CH3 OCH3 CH3OH CH3-C-CH2CH3 OCH3 OCH3 H B CH3-C-CH2CH3 OCH3 OCH3 + H2O + HB (hemicelta) HB (cetal)
  • 36.
    Álbum Sobre Mecanismosy Reacciones. (Química Orgánica II) Página 36 Formación de Hemiacetales y Acetales Es un mecanismo que iniciara con un aldehído más un hidroxilo (OH), en todo el mecanismo se llevara a cabo formación y deformación del (HB) acido borico para formar primeramente el hemiacetal el cual consta de una molécula de alcohol más un grupo Ester en el mismo carbono, volverá a reaccionar para formar el final acetal que consta de dos grupos esteres en el mismo carbono. C O H3CH2C H HB C OH H3CH2C H CH3OH C H3CH2C H3CO H H OH B C H3CH2C H3CO H OH HB C H3CH2C H3CO H O H H H2O C H3CH2C H3CO H CH3OH C H3CH2C H3CO H CH3OH B C H3CH2C H3CO H OCH2 HB H2O (hemiacetal) (acetal)
  • 37.
    Álbum Sobre Mecanismosy Reacciones. (Química Orgánica II) Página 37 Reacción de Wolff - Kishenr Este mecanismo consta de la formación de una hidrazona a partir de una cetona y se obtendrá como producto final un alcano o ciclo alcano; los reactivos serán , un ion hidroxilo y agua. O NH2NH2 N-NH2 OH N NH N H NH OH N NH H2O H H OH (hidrazona) N - NH H2O H +
  • 38.
    Álbum Sobre Mecanismosy Reacciones. (Química Orgánica II) Página 38 Bases de Schiff Este mecanismo puede empezar ya sea con una cetona o con un aldehído, y ambos reaccionan bajos trazas de fuego y tendrán otra reacción mas que será con acido borico (HB), en el caso de la cetona se formara una enamina y en el caso del aldehído se formara una imina. Formación de una Imina a partir de un aldehído: C H O CH3NH2 H C NH2 O CH3 HB C NH2 OH CH3 B C NH O CH3 C NH CH3 H H B C N CH2 H2O trazas B C NH OH CH3 HB (imina)
  • 39.
    Álbum Sobre Mecanismosy Reacciones. (Química Orgánica II) Página 39 Formación de una Enamina a partir de una cetona: CH3 C CH3 O H2C NH CH3 CH3 C CH2 O NHH3C CH3 HB CH3 C CH2 OH NHH3C CH3 H B CH3 C CH2 OH N H3C CH3 HB-H2O CH2 C CH2 N H3C CH3 B CH2 C CH3 N H3C CH3 HB + H2O trazas CH3 C CH2 O N H3C CH3 H HH (enamina)
  • 40.
    Álbum Sobre Mecanismosy Reacciones. (Química Orgánica II) Página 40 Compuestos Carbonílicos Estos se encuentran en aminoácidos, proteínas, etc... Los compuestos carbonílicos pueden ser: ácidos carboxílicos, haluros de acilo, esteres, amidas y anhídridos de acido. Reacción de Haluros de Acilo estos formaran un anhídrido de acido. C C O Cl O O C O CH3 + O-C-CH3 O C O Cl O O-C-CH 3 (cloruro de ciclobutanoilo) Anhídridos de Acido formaran esteres + ácidos carboxílicos o cualquier de estos dos productos; como reactivos estará ya sea un amina, un alcohol o agua.  Con una Amina: CH3CH2CH2 -C - O - C -CH2CH2CH3 O O CH3NH2 CH3CH2CH2 -C - O - C -CH2CH2CH3 O O NH2CH3 B CH3CH2CH2 -C - O - C -CH2CH2CH3 O O NHCH3 CH3CH2CH2 -C OO NHCH3 - O - C -CH2CH2CH3 + HB O HO - C -CH2CH2CH3 (acido butanoico)
  • 41.
    Álbum Sobre Mecanismosy Reacciones. (Química Orgánica II) Página 41  Con un Alcohol: C - O - C -CH3 O O CH3CH2OH C - O - C -CH3 O O OHCH2CH3 B C - O - C -CH3 O O OCH2CH3 O O OCH2CH3 C O - C -CH3 + HB O HO - C -CH3(acido estanoico) (benzoato de etilo)  Con Agua: B + HB CH3CH2 -C - O - C -CH2CH3 O O H2O CH3CH2 -C - O - C -CH2CH3 O O H2O CH3CH2 -C - O - C -CH2CH3 O O OH CH3CH2 -C OO OH O - C -CH2CH3 O HO - C -CH2CH3 (acido propanoico) (acido propanoico)
  • 42.
    Álbum Sobre Mecanismosy Reacciones. (Química Orgánica II) Página 42 Reacciones de Esteres Las reacciones de esteres pueden ser ya sea por hidrólisis cuyo reactivo será el acido clorhídrico (HCl), por alcoholisis donde el reactivo será un alcohol y anminolisi que reaccionara con una amina. En el caso de la hidrólisis esta se podrá llevar a cabo con alquilos terciarios en la cual serán los únicos en llevar a cabo una SN1, también se podrá con alquilos secundarios y primarios los cuales no llevaran a cabo una SN1. Los productos variaran según el producto inicial, en el caso de de alcoholisis empezaremos con un éster y finalizaremos con un alcohol + éster; de ser anminolisi se comienza con un éster + amina y se finaliza con una amida + alcohol; en el caso de las hidrólisis se comienza de igual manera con un éster y se termina con un alcohol + acido carboxílico. Ejemplos: Hidrólisis de Esteres con un grupo Alquilo Primario y Secundario: H2OCH3CH2 - C- O -CH3 O HCl CH3CH2 - C- O -CH3 OH CH3CH2 - C- O -CH3 OH H2O Cl CH3CH2 - C- O -CH3 OH OH HCl CH3CH2 - C- OH -CH3 OH OH Cl CH3CH2 - C O OH + OH -CH3 (propanoato de metilo) (acido propanoico)
  • 43.
    Álbum Sobre Mecanismosy Reacciones. (Química Orgánica II) Página 43 Hidrólisis de Esteres con un grupo Alquilo Terciario: H2O CH3CH2CH2C - O - C O CH3 CH3 CH3 HCl CH3CH2CH2C - O - C OH CH3 CH3 CH3 SN1 CH3CH2CH2C O OH CH3 CH3 CH3 C+ CH3 CH3 CH3 COH2 Cl CH3 CH3 CH3 COH (propanoato de ter-butilo) (acido butanoico) Alcoholisis: + C - O - CH3 O CH3OH HCl C - O - CH3 O OHCH3 Cl O OCH3 C O - CH3 HCl HO - CH3 (ciclopropano- carboxilato de metilo) Anminolisis: +CH3CH2 - C- O -CH3 O CH3CH2NH2 CH3CH2 - C- O -CH3 O CH3CH2NH2 B CH3CH2 - C O CH3CH2NH O -CH3+ HB HO -CH3 (propanoato de metilo) (N-etil-propanamida)
  • 44.
    Álbum Sobre Mecanismosy Reacciones. (Química Orgánica II) Página 44 Reacciones de Ácidos Carboxílicos Estas reacciones son de sustitución Nucleofilica, y se pueden dar por esterificación de Fisher la cual formara un Ester, usando como reactivo una amina la cual se une a un acido carboxílico y a si formar sales de carboxilato, también podrán amidas con agua o un alcohol, en el caso del agua formaran ácidos carboxílicos y en el caso del alcohol formaran esteres. Ejemplos: 1) Esterificación de Fisher: H2O C OH O HCl C OH OH CH3CH2OH C OH OH OHCH2CH3 Cl C OH OH OCH2CH3 C OH H2O OCH2CH3 C OH OCH2CH3 Cl C O OCH2CH3 ++ H2OHCl (acido benzoico) (benzoato de etilo) 2) Acido Carboxílico mas una Amina O OH + C CH3NH2 O O - NH3CH3 C (acido ciclopentanoico)
  • 45.
    Álbum Sobre Mecanismosy Reacciones. (Química Orgánica II) Página 45 3) Reacción con una amida cuyo reactivo será el agua en presencia de acido clorhídrico mas calor: + C- NH-CH3 O H2O O C- OH NH3-CH3 (N-metil-ciclobutanamida) (acido ciclobutanoico) HCl/ calor 1) Reacción de un amida cuyo reactivo será el alcohol en presencia de acido clorhídrico más calor: + CH3OH NH3-CH3HCl/ calorCH3CH2 - C- NH -CH3 O CH3CH2 - C- O -CH3 O (N- metil- propilamida) (propanoato de metilo) Deshidratación de Aminas Este en una reacción sin mecanismos, por lo tanto será directa y se podrá hacer uso de tres diferentes reactivos como ser: , Y y asi con cualquier de estos se formaran nitrilos. C- NH2 O P2O5 C N (benzamida) (benceno carbonitrilo)
  • 46.
    Álbum Sobre Mecanismosy Reacciones. (Química Orgánica II) Página 46 Hidrólisis de Nitrilos La hidrólisis de nitrilos se puede llevar a cabo de dos maneras ya sea por una molécula de agua o con un alcohol, con la única diferencia que al utilizar el alcohol al realizar la tautomería se hará uso del NaOH y al final obtendremos un carboxilato; y cuando se utilice agua al realizar la tautomería se producirá directamente un acido carboxílico. Ejemplos:  Agua: C N H C NH H2O C NH H2O C NH OH tautomeria C NH2 OH C OH O H2O (ciclopentanonitrilo) (acido ciclopentanoico)  Alcohol: C N OH C N H2O C NH OH C NH2 O tautomeria C NH2 O C O O NaOH (ciclopentanonitrilo) (carboxilato) OH +NH3
  • 47.
    Álbum Sobre Mecanismosy Reacciones. (Química Orgánica II) Página 47 Saponificación Se trata de una hidrólisis básica de esteres, en la cual por medio de ácidos grasos o triglicéridos se formaran jabones. OH OH OH O O O + NaOH O - Na O - Na O -Na O O O (jabón) Reacción de Estanislao Cannizzaro Se produce una dismutación, oxidación en el mismo elemento (aldehído), cuyo producto será un alcohoxilo (reducción - oxidación) y un acido carboxílico de una oxidación. C O H OH C O H OH + C O H C O OH + C O H H (desprotonación) C O H OH C O H O + C O H C O O + C O H H (primeros productos) (segundos productos) (ciclopentanal)
  • 48.
    Álbum Sobre Mecanismosy Reacciones. (Química Orgánica II) Página 48 Reacción de Perkin Se empezara a trabajar solamente con aldehídos y se obtendrá al final dos productos un acido carboxílico con una cadena de alquenos mas otro acido carboxílico pero su cadena será de alcanos. C H O + CH3 - C - O - C - CH3 OO H C H O CH2 - C - O - C - CH3 OO C H OH CH2 - C - O - C - CH3 OO H2O CH CH - C - O - C - CH3 OO H2O CH CH - C - OH OO OH - C - CH3 + (acido 4-ciclopropano 2- propenoico) (acido etanoico)
  • 49.
    Álbum Sobre Mecanismosy Reacciones. (Química Orgánica II) Página 49 Síntesis de Gabriel En esta síntesis se obtendrán aminas primarias a partir del acido benceno 1,2 – di carboxílico. Nuestro primer producto será una ftelamina luego tendremos una sal que reaccionara para formar una imida la cual nuevamente formara otra sal hasta llegar a nuestra amina primaria. + COOH COOH NH3 calor NH O O NaOH NNa O O CH3CH2I alquilación + N - CH2CH3 O O NaOH H2O/ calor COONa COONa CH3CH2NH2 Alquilación Directa De igual manera que la síntesis de Gabriel en este mecanismo se formaran aminas primarias, comenzando con un alquilo primario mas amoniaco y luego se tendrá como reactivo una base como ser el hidroxilo de sodio (NaOH). Br + NH3 NH3 - Br NaOH NH2 + +HBr H2O (bromuro de ciclopentano) (ciclopentilamina)