E X I O M E R B A L D A Y O
C I : 1 5 . 8 5 0 . 6 8 4 .
Optimización de
sistemas
Dada las siguientes ecuaciones
𝑥
2
+3𝑦+2𝑧=3
𝑥 + 3
2
𝑦−2𝑧=−1
−𝑥 − 2𝑦 + 5𝑧 = 0
Hallar el valor de f(t) para:
𝑓 𝑡 = 3𝑧´ + 𝑥4´´ − 𝑦2´
Utilizando el metodo de igualacion.
Paso 1: despejamos Y de las ecuaciones dadas
𝑦 =
6 − 4𝑧 − 𝑥
6
𝑦 =
−2 + 4𝑧 − 2𝑥
3
𝑦 =
5𝑧 − 𝑥
2
Paso 2: igualamos ecuación 1 con ecuación 2
6 − 4𝑧 − 𝑥
6
=
−2 + 4𝑧 − 2𝑥
3
Paso 3: resolvemos la ecuación
6 − 4𝑧 − 𝑥
6
=
−2 + 4𝑧 − 2𝑥
3
18 − 12𝑧 − 3𝑥 = −12 + 24𝑧 − 12𝑥
18 + 12 = 24𝑧 + 12𝑧 − 12𝑥 + 3𝑥
30 = 36𝑧 − 9𝑥
Paso 4: igualamos ecuacion 1 con ecuacion 3
6 − 4𝑧 − 𝑥
6
=
5𝑧 − 𝑥
2
12 − 8𝑧 − 2𝑥 = 30𝑧 − 6𝑥
12 = 30z − 6x + 8z + 2x
12 = 38𝑧 − 4𝑥
Paso 5: despejamos Z de las ecuaciones obtenidas en el paso 3
nuevamente
𝑧 =
30 + 9𝑥
36
𝑧 =
12 + 4𝑥
38
12 + 4𝑥
38
=
30 + 9𝑥
36
432 + 144𝑥 = 1140 + 342𝑥
432 − 1140 = 342𝑥 − 144𝑥
−708 = 198𝑥
𝑥 =
−118
33
Paso 6: sustituimos el valor de x obtenido en la ecuacion obten
𝑧 =
12 + 4(−118
33
)
38
𝑧 = −
2
33
Paso 7: sustituimos los valores de X y Z en ecuacion 1 para hall
𝑦 =
6 − 4(−
2
33
) − (−
118
33
)
6
𝑦 =
18
11
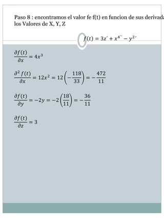
Paso 8 : encontramos el valor fe f(t) en funcion de sus derivada
los Valores de X, Y, Z
𝑓 𝑡 = 3𝑧´ + 𝑥4´´
− 𝑦2
´
𝜕𝑓 𝑡
𝜕𝑥
= 4𝑥3
𝜕2
𝑓(𝑡)
𝜕𝑥
= 12𝑥2 = 12 −
118
33
= −
472
11
𝜕𝑓(𝑡)
𝜕𝑦
= −2𝑦 = −2
18
11
= −
36
11
𝜕𝑓(𝑡)
𝜕𝑧
= 3
Sustituyedo en la ecuación de f(t)
𝑓 𝑡 = 3 −
472
11
−
36
11
𝑓 𝑡 = −
475
11

Exiomer

  • 1.
    E X IO M E R B A L D A Y O C I : 1 5 . 8 5 0 . 6 8 4 . Optimización de sistemas
  • 2.
    Dada las siguientesecuaciones 𝑥 2 +3𝑦+2𝑧=3 𝑥 + 3 2 𝑦−2𝑧=−1 −𝑥 − 2𝑦 + 5𝑧 = 0 Hallar el valor de f(t) para: 𝑓 𝑡 = 3𝑧´ + 𝑥4´´ − 𝑦2´ Utilizando el metodo de igualacion.
  • 3.
    Paso 1: despejamosY de las ecuaciones dadas 𝑦 = 6 − 4𝑧 − 𝑥 6 𝑦 = −2 + 4𝑧 − 2𝑥 3 𝑦 = 5𝑧 − 𝑥 2 Paso 2: igualamos ecuación 1 con ecuación 2 6 − 4𝑧 − 𝑥 6 = −2 + 4𝑧 − 2𝑥 3
  • 4.
    Paso 3: resolvemosla ecuación 6 − 4𝑧 − 𝑥 6 = −2 + 4𝑧 − 2𝑥 3 18 − 12𝑧 − 3𝑥 = −12 + 24𝑧 − 12𝑥 18 + 12 = 24𝑧 + 12𝑧 − 12𝑥 + 3𝑥 30 = 36𝑧 − 9𝑥 Paso 4: igualamos ecuacion 1 con ecuacion 3 6 − 4𝑧 − 𝑥 6 = 5𝑧 − 𝑥 2 12 − 8𝑧 − 2𝑥 = 30𝑧 − 6𝑥 12 = 30z − 6x + 8z + 2x 12 = 38𝑧 − 4𝑥
  • 5.
    Paso 5: despejamosZ de las ecuaciones obtenidas en el paso 3 nuevamente 𝑧 = 30 + 9𝑥 36 𝑧 = 12 + 4𝑥 38 12 + 4𝑥 38 = 30 + 9𝑥 36 432 + 144𝑥 = 1140 + 342𝑥 432 − 1140 = 342𝑥 − 144𝑥 −708 = 198𝑥 𝑥 = −118 33
  • 6.
    Paso 6: sustituimosel valor de x obtenido en la ecuacion obten 𝑧 = 12 + 4(−118 33 ) 38 𝑧 = − 2 33 Paso 7: sustituimos los valores de X y Z en ecuacion 1 para hall 𝑦 = 6 − 4(− 2 33 ) − (− 118 33 ) 6 𝑦 = 18 11
  • 7.
    Paso 8 :encontramos el valor fe f(t) en funcion de sus derivada los Valores de X, Y, Z 𝑓 𝑡 = 3𝑧´ + 𝑥4´´ − 𝑦2 ´ 𝜕𝑓 𝑡 𝜕𝑥 = 4𝑥3 𝜕2 𝑓(𝑡) 𝜕𝑥 = 12𝑥2 = 12 − 118 33 = − 472 11 𝜕𝑓(𝑡) 𝜕𝑦 = −2𝑦 = −2 18 11 = − 36 11 𝜕𝑓(𝑡) 𝜕𝑧 = 3
  • 8.
    Sustituyedo en laecuación de f(t) 𝑓 𝑡 = 3 − 472 11 − 36 11 𝑓 𝑡 = − 475 11