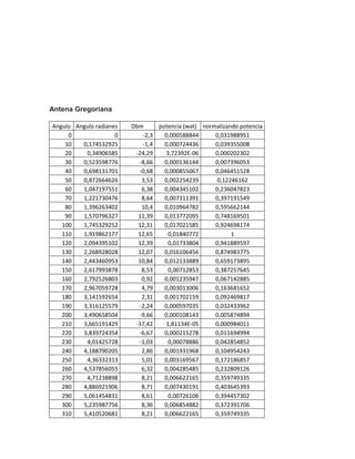
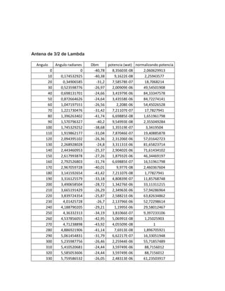
INFORME DE LABORATORIO 2<br />RONALD A. MEDINA<br />20111273017<br />OSCAR MARIO MURCIA R <br />20111273019<br />Docente<br />ING. EDGAR J. MANTILLA<br />UNIVERSIDAD DISTRITAL FRANCISCO JOSE DE CALDAS<br />FACULTAD TECNOLOGICA <br />INGENIERIA EN TELECOMUNICACIONES<br />ANTENAS Y PROPAGACION.<br />2011-2<br />OBJETIVOS <br />Analizar comparativamente los diferentes tipos de antenas con la una antena yagi direccional desde su patrón de radiación,   respecto a su posición horizontal<br />MARCO TEORICO <br />ANTENA<br />Una antena es un dispositivo diseñado con el objetivo de emitir o recibir ondas electromagnéticas hacia el espacio libre. Una antena transmisora transforma voltajes en ondas electromagnéticas, y una receptora realiza la función inversa.<br />Dipolo De Media Onda<br />Dipolo de media onda que podría emplearse para construir un receptor de onda corta. Rigurosamente, hay que alimentar el dipolo con una alimentación simétrica, para lo cual hay que intercalar un balun o simetrizador entre el dipolo y el cable coaxial<br />Un dipolo es una antena con alimentación central empleada para transmitir o recibir ondas de radiofrecuencia. Estas antenas son las más simples desde el punto de vista teórico.<br />Antena Yagi<br />La antena Yagi es una antena direccional inventada por el Dr. Hidetsugu Yagi de la Universidad Imperial de Tohoku y su ayudante, el Dr. Shintaro Uda (de ahí al nombre Yagi-Uda).<br />Una antena de este tipo se utiliza principalmente para recibir señales de televisión, tanto en VHF como en UHF. Su peculiaridad es que por cada elemento que se le añade aumenta su ganancia de forma que cuantos más elementos más ganancia se tiene en el dipolo. Asimismo con cada elemento parásito que se le agrega (por delante) más acusada es la direccionalidad de la antena y más cerrado es el ángulo de recepción. Lo mismo se podría decir si se usa este tipo de antena Yagi para transmitir: cuantos más elementos más ganancia de transmisión y más directividad se obtiene, con lo que con una determinada potencia de emisión y una antena de alta ganancia se pueden obtener un haz radioeléctrico concentrado hacia una determinada dirección y más larga será la distancia, lineal, a la que se puede enviar las señales.<br />Reflectores  Gregoriano <br />En aplicaciones espaciales donde se requiere una gran directividad de la antena, una elevada potencia en el transmisor y un receptor de bajo ruido, utilizar una gran antena reflectora implica grandes distancias del transmisor al foco (y la imposibilidad de colocar equipos en él) por lo que la solución es emplear un segundo reflector o subreflector. El caso de la configuración Gregoriana se trata de un elipsoide cóncavo.<br />Log Periódica<br />Una antena de tipo logarítmica periódica es una antena cuyos parámetros de impedancia o de radiación son una función periódica del logaritmo de la frecuencia de operación. Con una construcción similar a la de la antena Yagui, solo que las diferencias de longitudes entre los elementos y sus separaciones siguen una variación logarítmica en vez de lineal.<br />La ventaja de la antena logarítmica sobre la Yagui es que aquélla no tiene un elemento excitado, sino que recibe alimentación en todos sus elementos. Con esto se consigue un ancho de banda mayor y una impedancia pareja dentro de todas las frecuencias de trabajo de esta antena.<br />Cable coaxial<br />El cable coaxial fue creado en la década de los 30, y es un cable utilizado para transportar señales eléctricas de alta frecuencia que posee dos conductores concéntricos, uno central, llamado vivo, encargado de llevar la información, y uno exterior, de aspecto tubular, llamado malla o blindaje, que sirve como referencia de tierra y retorno de las corrientes. Entre ambos se encuentra una capa aislante llamada dieléctrico, de cuyas características dependerá principalmente la calidad del cable. Todo el conjunto suele estar protegido por una cubierta aislante.<br />Montaje <br />Como observamos en la grafica anterior se utilizo un generador  que generaba 5W y frecuencia de 310Mhz conectado a una antena yagi de 6 elementos que se encontraba separada 2 m de la otra antena la cual estaba conectado a un VNA (Analizador vectorial de Redes). Esta segunda antena se giraría en ángulos de 10°.  <br />Mediciones <br />Antena Lambda medios<br />Angulo Angulo radianesDbmpotencia (wat)normalizando potencia00-16,072,47172E-050,00368129100,174532925-162,51189E-050,003741106200,34906585-2,860,0005176070,077090347300,523598776-0,120,0009727470,144877185400,6981317011,430,0013899530,207014135500,8726646264,50,0028183830,419758984601,0471975515,840,0038370720,571478637701,2217304767,20,0052480750,781627805801,3962634027,570,0057147860,851138038901,5707963277,980,0062805840,9354056741001,7453292527,980,0062805840,9354056741101,9198621777,450,0055590430,8279421641202,0943951026,160,0041304750,6151768731302,2689280284,680,002937650,4375221051402,4434609533,190,0020844910,3104559591502,617993878-0,080,0009817480,1462177171602,792526803-2,580,0005520770,0822242651702,967059728-8,880,000129420,0192752491803,141592654-7,940,0001606940,0239331581903,316125579-1,960,0006367960,0948418462003,4906585041,190,0013152250,1958844672103,6651914293,860,0024322040,3622429982203,8397243545,460,0035156040,5236004372304,014257286,410,0043752210,6516283942404,1887902057,560,0057016430,8491804752504,363323138,080,0064268770,9571940712604,5378560558,270,00671428912704,712388988,230,0066527320,9908319452804,8869219067,610,0057676650,8590135222905,0614548316,070,0040457590,6025595863005,2359877565,290,0033806480,5035006093105,4105206813,540,0022594360,3365115693205,5850536061,030,0012676520,1887991353305,759586532-1,860,0006516280,0970509973405,934119457-6,120,0002443430,0363915043506,108652382-12,016,29506E-050,009375623606,283185307-12,625,47016E-050,008147043<br />puntos de media potencia (grados)1552192125300BW7081<br />Antena de 5/8 de lambda (59cm)<br />Angulo Angulo radianesDbmpotencia (wat)normalizando potencia00-2,380,0005780960,062661386100,174532925-5,270,0002971670,032210688200,34906585-9,10,0001230270,013335214300,523598776-8,030,0001573980,017060824400,698131701-2,970,0005046610,054701596500,8726646260,460,0011117320,120503594601,0471975513,50,0022387210,24266101701,22173047650,0031622780,342767787801,3962634026,470,0044360860,480839348901,5707963276,50,0044668360,4841723681001,7453292526,030,0040086670,4345102241101,9198621775,040,0031915380,3459393781202,0943951023,660,0023227370,2517676931302,2689280282,040,0015995580,17338041402,443460953-0,750,0008413950,0912010841502,617993878-3,590,0004375220,0474241991602,792526803-4,610,0003459390,03749731702,967059728-8,620,0001374040,0148936111803,141592654-9,260,0001185770,0128528671903,316125579-3,870,0004102040,0444631272003,490658504-0,740,0008433350,0914113242103,6651914294,240,0026546060,2877398412203,8397243545,920,0039084090,4236429662304,014257286,230,004197590,454988062404,1887902057,520,005649370,6123503922504,363323138,560,0071779430,7780365512604,5378560558,560,0071779430,7780365512704,712388989,030,0079983430,8669618762804,8869219069,650,00922571412905,0614548317,630,0057942870,6280583593005,2359877567,170,0052119470,5649369753105,4105206816,90,0048977880,5308844443205,5850536065,380,0034514370,3741105883305,7595865323,720,0023550490,255270133405,9341194573,010,0019998620,216770413506,108652382-0,440,0009036490,0979489993606,283185307-0,970,0007998340,086696188<br />puntos de media potencia (Grados)1234 2312 BW78 <br />Antena de 3/2 de Lambda<br />Angulo Angulo radianesDbmpotencia (wat)normalizando potencia00-40,788,35603E-082,060629913100,174532925-40,389,1622E-082,25943577200,34906585-31,27,58578E-0718,7068214300,523598776-26,972,00909E-0649,54501908400,698131701-24,663,41979E-0684,33347578500,872664626-24,643,43558E-0684,72274141601,047197551-26,562,208E-0654,45026528701,221730476-31,427,21107E-0717,7827941801,396263402-41,746,69885E-081,651961798901,570796327-40,29,54993E-082,3550492841001,745329252-38,681,35519E-073,34195041101,919862177-31,047,87046E-0719,408858781202,094395102-26,362,31206E-0657,016427231302,268928028-24,83,31131E-0681,658237141402,443460953-25,372,90402E-0671,614341021502,617993878-27,261,87932E-0646,344691971602,792526803-31,746,69885E-0716,519617981702,967059728-40,019,977E-082,4603676041803,141592654-41,427,21107E-081,778279411903,316125579-33,184,80839E-0711,857687482003,490658504-28,721,34276E-0633,113112152103,665191429-26,292,34963E-0657,942869642203,839724354-25,872,58821E-0663,826348622304,01425728-26,72,13796E-0652,722986142404,188790205-29,211,1995E-0629,580124672504,36332313-34,193,81066E-079,3972331062604,537856055-42,955,06991E-081,250259032704,71238898-43,924,05509E-0812804,886921906-41,147,6913E-081,8967059212905,061454831-31,796,62217E-0716,330519483005,235987756-26,462,25944E-0655,718574893105,410520681-24,443,59749E-0688,71560123205,585053606-24,443,59749E-0688,71560123305,759586532-26,052,48313E-0661,235039173405,934119457-29,11,23027E-0630,338911843506,108652382-34,283,7325E-079,2044957183606,283185307-42,615,48277E-081,352072563<br />puntos de media potencia (grados)130118206298262146232333BW32282635Bw prom30,25Grados<br />Antena Yagi<br />Angulo Angulo radianesDbmpotencia (wat)normalizando potencia004,250,0026607250,134586035100,1745329255,480,0035318320,178648757200,349065857,380,005470160,276694165300,5235987768,980,0079067860,39994475400,69813170111,140,0130016960,657657837500,87266462612,50,0177827940,899497582601,04719755112,960,0197696961701,22173047612,160,0164437170,831763771801,39626340211,010,0126182750,638263486901,5707963277,60,0057543990,2910717121001,7453292523,440,0022080050,1116863251101,919862177-3,250,0004731510,0239331581202,094395102-1,250,0007498940,0379314981302,2689280283,460,0022181960,1122018451402,4434609535,980,003962780,2004472031502,6179938787,680,0058613820,2964831391602,7925268037,850,0060953690,3083187951702,9670597286,750,0047315130,2393315761803,1415926544,010,0025176770,1273503081903,316125579-1,170,0007638360,0386366982003,490658504-0,880,0008165820,041304752103,6651914290,950,0012445150,0629506182203,8397243544,340,0027164390,1374041982304,014257282,810,0019098530,0966050882404,1887902052,010,0015885470,0803526122504,363323130,510,0011246050,0568852932604,537856055-1,40,0007244360,0366437572704,71238898-1,780,0006637430,0335737612804,8869219060,690,0011721950,0592925322905,0614548311,710,0014825180,0749894213005,2359877563,690,0023388370,1183041563105,4105206815,170,0032885160,1663412653205,5850536064,990,0031550050,1595879153305,7595865323,980,0025003450,1264736353405,9341194573,150,002065380,1044720223506,1086523821,910,0015523870,0785235633606,2831853070,950,0012445150,062950618<br />puntos de media potencia (Grados)135283BW48<br />Antena Gregoriana <br />Angulo Angulo radianesDbmpotencia (wat)normalizando potencia00-2,30,0005888440,031988951100,174532925-1,40,0007244360,039355008200,34906585-24,293,72392E-060,000202302300,523598776-8,660,0001361440,007396053400,698131701-0,680,0008550670,046451528500,8726646263,530,0022542390,12246162601,0471975516,380,0043451020,236047823701,2217304768,640,0073113910,397191549801,39626340210,40,0109647820,595662144901,57079632711,390,0137720950,7481695011001,74532925212,310,0170215850,9246981741101,91986217712,650,0184077211202,09439510212,390,017338040,9418895971302,26892802812,070,0161064560,8749837751402,44346095310,840,0121338890,6591738951502,6179938788,530,007128530,3872576451602,7925268030,920,0012359470,0671428851702,9670597284,790,0030130060,1636816521803,1415926542,310,0017021590,0924698171903,316125579-2,240,0005970350,0324339622003,490658504-9,660,0001081430,0058748942103,665191429-17,421,81134E-050,0009840112203,839724354-6,670,0002152780,0116949942304,01425728-1,030,000788860,0428548522404,1887902052,860,0019319680,1049542432504,363323135,010,0031695670,1721868572604,5378560556,320,0042854850,2328091262704,712388988,210,0066221650,3597493352804,8869219068,710,0074301910,4036453932905,0614548318,610,007261060,3944573023005,2359877568,360,0068548820,3723917063105,4105206818,210,0066221650,3597493353205,5850536066,930,0049317380,2679168323305,7595865325,820,0038194430,2074913523405,9341194573,870,0024378110,1324341543506,1086523821,740,0014927940,0810961063606,283185307-1,440,0007177940,038994199<br />puntos de media potencia (Grados)176 2145 BW69 <br />Antena Log Periodica<br />Angulo Angulo radianesDbmpotencia (wat)normalizando potencia00-11,596,93426E-050,003111716100,174532925-3,780,0004187940,018793168200,34906585-0,90,0008128310,036475395300,523598776-1,40,0007244360,03250873400,698131701-2,720,0005345640,023988329500,8726646260,280,0010665960,047863009601,0471975513,910,0024603680,110407862701,2217304764,720,0029648310,133045442801,3962634023,280,0021281390,095499259901,5707963273,20,0020892960,0937562011001,7453292523,680,0023334580,1047128551101,9198621774,620,0028973440,1300169581202,0943951024,750,0029853830,1339676691302,2689280283,480,0022284350,11402,4434609532,580,001811340,0812830521502,6179938783,090,0020370420,0914113241602,7925268031,70,0014791080,0663743071702,967059728-4,70,0003388440,0152054751803,141592654-13,494,47713E-050,0020090931903,316125579-4,380,0003647540,0163681652003,490658504-4,670,0003411930,0153108752103,665191429-10,618,6896E-050,003899422203,839724354-7,940,0001606940,0072110752304,01425728-3,580,0004385310,0196788632404,188790205-2,480,0005649370,0253512862504,363323137,860,006109420,2741574172604,53785605511,760,0149968480,6729766562704,7123889813,480,02228435112804,8869219067,60,0057543990,2582260192905,06145483111,710,0148251810,6652731563005,2359877567,910,0061801640,277332013105,4105206814,380,0027415740,1230268773205,585053606-3,320,0004655860,0208929613305,759586532-5,80,0002630270,0118032063405,934119457-0,660,0008590140,0385478363506,1086523822,940,0019678860,088307993606,283185307-15,013,155E-050,001415794<br />puntos de media potencia (Grados)12582273Bw15<br />Análisis de resultados<br />En casi todas las antenas se obtuvieron  patrones de radiación semejantes a los que teóricamente se determinaban, únicamente en la antena gregoriana se obtuvo un patrón como de un dipolo debido a que esta antena contaba con uno en la parte de atrás. Es decir que esta se comporta solamente como el dipolo.<br />En la mayoría de graficas de potencia se observa un desplazamiento en ángulos en comparación a la mayor potencia con respecto a lo teórico, esto se debe a que no se ubico correctamente el ángulo 0 pero que simplemente es un ángulo que se puede ajustar físicamente.<br />De las antenas analizadas se ve como la Yagi es precisamente la de mayor directividad y que la log Periódica tiene un buen ancho de banda  y además  su lóbulo principal se encuentra en el vértice de su construcción tal como la teoría lo indica.<br />Se analiza como las antenas de mayor a un lambda  cambia su directividad dividiendo cada lóbulo en dos, lo que visualmente se ve como un trébol de 4 hojas, es decir que un dipolo funciona mucho mejor en valores cercanos a la media longitud de onda.<br />Conclusiones <br />Las graficas del patrón de radiación, según las medidas hechas en el laboratorio dan resultados muy semejante a las gráficas de patrón de radiación teóricas que se hallaron en  el simulador MMNAGAL.<br />Para que haya una buena comunicación es importante tener en cuenta cuatro cosas: la ganancia de la antena, potencia reflejada, potencia incidente y las condiciones climáticas.<br />Al momento de escoger una antena se debe tomar en cuenta la forma en que se quiere transmitir y/o recibir la información, ya que como se aprecia, cada una de las antenas analizadas tiene un comportamiento diferente, ya sea en directividad, ganancia, BW, patrón de radiación y impedancia de radiación, pero que es muy importante poder contar con esa variedad ya que las comunicaciones se realizan para  múltiples  utilidades.<br />.<br />BIBLIOGRAFIA<br />http://usuarios.multimania.es/arey2005/studies.html<br />http://es.wikipedia.org/wiki/Antena<br />http://es.wikipedia.org/wiki/Dipolo_%28antena%29<br />http://www.dei.uc.edu.py/tai2002/CVS/tiposant.htm#casse<br />http://es.wikipedia.org/wiki/Antena#Log_Peri.C3.B3dica_2<br />http://es.wikipedia.org/wiki/Cable_coaxial#Aplicaciones_tecnol.C3.B3gicas<br />
Informe de laboratorio 2
Informe de laboratorio 2
Informe de laboratorio 2
Informe de laboratorio 2
Informe de laboratorio 2
Informe de laboratorio 2
Informe de laboratorio 2
Informe de laboratorio 2
Informe de laboratorio 2
Informe de laboratorio 2
Informe de laboratorio 2
Informe de laboratorio 2
Informe de laboratorio 2
Informe de laboratorio 2
Informe de laboratorio 2
Informe de laboratorio 2

Informe de laboratorio 2

  • 1.
    INFORME DE LABORATORIO2<br />RONALD A. MEDINA<br />20111273017<br />OSCAR MARIO MURCIA R <br />20111273019<br />Docente<br />ING. EDGAR J. MANTILLA<br />UNIVERSIDAD DISTRITAL FRANCISCO JOSE DE CALDAS<br />FACULTAD TECNOLOGICA <br />INGENIERIA EN TELECOMUNICACIONES<br />ANTENAS Y PROPAGACION.<br />2011-2<br />OBJETIVOS <br />Analizar comparativamente los diferentes tipos de antenas con la una antena yagi direccional desde su patrón de radiación, respecto a su posición horizontal<br />MARCO TEORICO <br />ANTENA<br />Una antena es un dispositivo diseñado con el objetivo de emitir o recibir ondas electromagnéticas hacia el espacio libre. Una antena transmisora transforma voltajes en ondas electromagnéticas, y una receptora realiza la función inversa.<br />Dipolo De Media Onda<br />Dipolo de media onda que podría emplearse para construir un receptor de onda corta. Rigurosamente, hay que alimentar el dipolo con una alimentación simétrica, para lo cual hay que intercalar un balun o simetrizador entre el dipolo y el cable coaxial<br />Un dipolo es una antena con alimentación central empleada para transmitir o recibir ondas de radiofrecuencia. Estas antenas son las más simples desde el punto de vista teórico.<br />Antena Yagi<br />La antena Yagi es una antena direccional inventada por el Dr. Hidetsugu Yagi de la Universidad Imperial de Tohoku y su ayudante, el Dr. Shintaro Uda (de ahí al nombre Yagi-Uda).<br />Una antena de este tipo se utiliza principalmente para recibir señales de televisión, tanto en VHF como en UHF. Su peculiaridad es que por cada elemento que se le añade aumenta su ganancia de forma que cuantos más elementos más ganancia se tiene en el dipolo. Asimismo con cada elemento parásito que se le agrega (por delante) más acusada es la direccionalidad de la antena y más cerrado es el ángulo de recepción. Lo mismo se podría decir si se usa este tipo de antena Yagi para transmitir: cuantos más elementos más ganancia de transmisión y más directividad se obtiene, con lo que con una determinada potencia de emisión y una antena de alta ganancia se pueden obtener un haz radioeléctrico concentrado hacia una determinada dirección y más larga será la distancia, lineal, a la que se puede enviar las señales.<br />Reflectores Gregoriano <br />En aplicaciones espaciales donde se requiere una gran directividad de la antena, una elevada potencia en el transmisor y un receptor de bajo ruido, utilizar una gran antena reflectora implica grandes distancias del transmisor al foco (y la imposibilidad de colocar equipos en él) por lo que la solución es emplear un segundo reflector o subreflector. El caso de la configuración Gregoriana se trata de un elipsoide cóncavo.<br />Log Periódica<br />Una antena de tipo logarítmica periódica es una antena cuyos parámetros de impedancia o de radiación son una función periódica del logaritmo de la frecuencia de operación. Con una construcción similar a la de la antena Yagui, solo que las diferencias de longitudes entre los elementos y sus separaciones siguen una variación logarítmica en vez de lineal.<br />La ventaja de la antena logarítmica sobre la Yagui es que aquélla no tiene un elemento excitado, sino que recibe alimentación en todos sus elementos. Con esto se consigue un ancho de banda mayor y una impedancia pareja dentro de todas las frecuencias de trabajo de esta antena.<br />Cable coaxial<br />El cable coaxial fue creado en la década de los 30, y es un cable utilizado para transportar señales eléctricas de alta frecuencia que posee dos conductores concéntricos, uno central, llamado vivo, encargado de llevar la información, y uno exterior, de aspecto tubular, llamado malla o blindaje, que sirve como referencia de tierra y retorno de las corrientes. Entre ambos se encuentra una capa aislante llamada dieléctrico, de cuyas características dependerá principalmente la calidad del cable. Todo el conjunto suele estar protegido por una cubierta aislante.<br />Montaje <br />Como observamos en la grafica anterior se utilizo un generador que generaba 5W y frecuencia de 310Mhz conectado a una antena yagi de 6 elementos que se encontraba separada 2 m de la otra antena la cual estaba conectado a un VNA (Analizador vectorial de Redes). Esta segunda antena se giraría en ángulos de 10°. <br />Mediciones <br />Antena Lambda medios<br />Angulo Angulo radianesDbmpotencia (wat)normalizando potencia00-16,072,47172E-050,00368129100,174532925-162,51189E-050,003741106200,34906585-2,860,0005176070,077090347300,523598776-0,120,0009727470,144877185400,6981317011,430,0013899530,207014135500,8726646264,50,0028183830,419758984601,0471975515,840,0038370720,571478637701,2217304767,20,0052480750,781627805801,3962634027,570,0057147860,851138038901,5707963277,980,0062805840,9354056741001,7453292527,980,0062805840,9354056741101,9198621777,450,0055590430,8279421641202,0943951026,160,0041304750,6151768731302,2689280284,680,002937650,4375221051402,4434609533,190,0020844910,3104559591502,617993878-0,080,0009817480,1462177171602,792526803-2,580,0005520770,0822242651702,967059728-8,880,000129420,0192752491803,141592654-7,940,0001606940,0239331581903,316125579-1,960,0006367960,0948418462003,4906585041,190,0013152250,1958844672103,6651914293,860,0024322040,3622429982203,8397243545,460,0035156040,5236004372304,014257286,410,0043752210,6516283942404,1887902057,560,0057016430,8491804752504,363323138,080,0064268770,9571940712604,5378560558,270,00671428912704,712388988,230,0066527320,9908319452804,8869219067,610,0057676650,8590135222905,0614548316,070,0040457590,6025595863005,2359877565,290,0033806480,5035006093105,4105206813,540,0022594360,3365115693205,5850536061,030,0012676520,1887991353305,759586532-1,860,0006516280,0970509973405,934119457-6,120,0002443430,0363915043506,108652382-12,016,29506E-050,009375623606,283185307-12,625,47016E-050,008147043<br />puntos de media potencia (grados)1552192125300BW7081<br />Antena de 5/8 de lambda (59cm)<br />Angulo Angulo radianesDbmpotencia (wat)normalizando potencia00-2,380,0005780960,062661386100,174532925-5,270,0002971670,032210688200,34906585-9,10,0001230270,013335214300,523598776-8,030,0001573980,017060824400,698131701-2,970,0005046610,054701596500,8726646260,460,0011117320,120503594601,0471975513,50,0022387210,24266101701,22173047650,0031622780,342767787801,3962634026,470,0044360860,480839348901,5707963276,50,0044668360,4841723681001,7453292526,030,0040086670,4345102241101,9198621775,040,0031915380,3459393781202,0943951023,660,0023227370,2517676931302,2689280282,040,0015995580,17338041402,443460953-0,750,0008413950,0912010841502,617993878-3,590,0004375220,0474241991602,792526803-4,610,0003459390,03749731702,967059728-8,620,0001374040,0148936111803,141592654-9,260,0001185770,0128528671903,316125579-3,870,0004102040,0444631272003,490658504-0,740,0008433350,0914113242103,6651914294,240,0026546060,2877398412203,8397243545,920,0039084090,4236429662304,014257286,230,004197590,454988062404,1887902057,520,005649370,6123503922504,363323138,560,0071779430,7780365512604,5378560558,560,0071779430,7780365512704,712388989,030,0079983430,8669618762804,8869219069,650,00922571412905,0614548317,630,0057942870,6280583593005,2359877567,170,0052119470,5649369753105,4105206816,90,0048977880,5308844443205,5850536065,380,0034514370,3741105883305,7595865323,720,0023550490,255270133405,9341194573,010,0019998620,216770413506,108652382-0,440,0009036490,0979489993606,283185307-0,970,0007998340,086696188<br />puntos de media potencia (Grados)1234 2312 BW78 <br />Antena de 3/2 de Lambda<br />Angulo Angulo radianesDbmpotencia (wat)normalizando potencia00-40,788,35603E-082,060629913100,174532925-40,389,1622E-082,25943577200,34906585-31,27,58578E-0718,7068214300,523598776-26,972,00909E-0649,54501908400,698131701-24,663,41979E-0684,33347578500,872664626-24,643,43558E-0684,72274141601,047197551-26,562,208E-0654,45026528701,221730476-31,427,21107E-0717,7827941801,396263402-41,746,69885E-081,651961798901,570796327-40,29,54993E-082,3550492841001,745329252-38,681,35519E-073,34195041101,919862177-31,047,87046E-0719,408858781202,094395102-26,362,31206E-0657,016427231302,268928028-24,83,31131E-0681,658237141402,443460953-25,372,90402E-0671,614341021502,617993878-27,261,87932E-0646,344691971602,792526803-31,746,69885E-0716,519617981702,967059728-40,019,977E-082,4603676041803,141592654-41,427,21107E-081,778279411903,316125579-33,184,80839E-0711,857687482003,490658504-28,721,34276E-0633,113112152103,665191429-26,292,34963E-0657,942869642203,839724354-25,872,58821E-0663,826348622304,01425728-26,72,13796E-0652,722986142404,188790205-29,211,1995E-0629,580124672504,36332313-34,193,81066E-079,3972331062604,537856055-42,955,06991E-081,250259032704,71238898-43,924,05509E-0812804,886921906-41,147,6913E-081,8967059212905,061454831-31,796,62217E-0716,330519483005,235987756-26,462,25944E-0655,718574893105,410520681-24,443,59749E-0688,71560123205,585053606-24,443,59749E-0688,71560123305,759586532-26,052,48313E-0661,235039173405,934119457-29,11,23027E-0630,338911843506,108652382-34,283,7325E-079,2044957183606,283185307-42,615,48277E-081,352072563<br />puntos de media potencia (grados)130118206298262146232333BW32282635Bw prom30,25Grados<br />Antena Yagi<br />Angulo Angulo radianesDbmpotencia (wat)normalizando potencia004,250,0026607250,134586035100,1745329255,480,0035318320,178648757200,349065857,380,005470160,276694165300,5235987768,980,0079067860,39994475400,69813170111,140,0130016960,657657837500,87266462612,50,0177827940,899497582601,04719755112,960,0197696961701,22173047612,160,0164437170,831763771801,39626340211,010,0126182750,638263486901,5707963277,60,0057543990,2910717121001,7453292523,440,0022080050,1116863251101,919862177-3,250,0004731510,0239331581202,094395102-1,250,0007498940,0379314981302,2689280283,460,0022181960,1122018451402,4434609535,980,003962780,2004472031502,6179938787,680,0058613820,2964831391602,7925268037,850,0060953690,3083187951702,9670597286,750,0047315130,2393315761803,1415926544,010,0025176770,1273503081903,316125579-1,170,0007638360,0386366982003,490658504-0,880,0008165820,041304752103,6651914290,950,0012445150,0629506182203,8397243544,340,0027164390,1374041982304,014257282,810,0019098530,0966050882404,1887902052,010,0015885470,0803526122504,363323130,510,0011246050,0568852932604,537856055-1,40,0007244360,0366437572704,71238898-1,780,0006637430,0335737612804,8869219060,690,0011721950,0592925322905,0614548311,710,0014825180,0749894213005,2359877563,690,0023388370,1183041563105,4105206815,170,0032885160,1663412653205,5850536064,990,0031550050,1595879153305,7595865323,980,0025003450,1264736353405,9341194573,150,002065380,1044720223506,1086523821,910,0015523870,0785235633606,2831853070,950,0012445150,062950618<br />puntos de media potencia (Grados)135283BW48<br />Antena Gregoriana <br />Angulo Angulo radianesDbmpotencia (wat)normalizando potencia00-2,30,0005888440,031988951100,174532925-1,40,0007244360,039355008200,34906585-24,293,72392E-060,000202302300,523598776-8,660,0001361440,007396053400,698131701-0,680,0008550670,046451528500,8726646263,530,0022542390,12246162601,0471975516,380,0043451020,236047823701,2217304768,640,0073113910,397191549801,39626340210,40,0109647820,595662144901,57079632711,390,0137720950,7481695011001,74532925212,310,0170215850,9246981741101,91986217712,650,0184077211202,09439510212,390,017338040,9418895971302,26892802812,070,0161064560,8749837751402,44346095310,840,0121338890,6591738951502,6179938788,530,007128530,3872576451602,7925268030,920,0012359470,0671428851702,9670597284,790,0030130060,1636816521803,1415926542,310,0017021590,0924698171903,316125579-2,240,0005970350,0324339622003,490658504-9,660,0001081430,0058748942103,665191429-17,421,81134E-050,0009840112203,839724354-6,670,0002152780,0116949942304,01425728-1,030,000788860,0428548522404,1887902052,860,0019319680,1049542432504,363323135,010,0031695670,1721868572604,5378560556,320,0042854850,2328091262704,712388988,210,0066221650,3597493352804,8869219068,710,0074301910,4036453932905,0614548318,610,007261060,3944573023005,2359877568,360,0068548820,3723917063105,4105206818,210,0066221650,3597493353205,5850536066,930,0049317380,2679168323305,7595865325,820,0038194430,2074913523405,9341194573,870,0024378110,1324341543506,1086523821,740,0014927940,0810961063606,283185307-1,440,0007177940,038994199<br />puntos de media potencia (Grados)176 2145 BW69 <br />Antena Log Periodica<br />Angulo Angulo radianesDbmpotencia (wat)normalizando potencia00-11,596,93426E-050,003111716100,174532925-3,780,0004187940,018793168200,34906585-0,90,0008128310,036475395300,523598776-1,40,0007244360,03250873400,698131701-2,720,0005345640,023988329500,8726646260,280,0010665960,047863009601,0471975513,910,0024603680,110407862701,2217304764,720,0029648310,133045442801,3962634023,280,0021281390,095499259901,5707963273,20,0020892960,0937562011001,7453292523,680,0023334580,1047128551101,9198621774,620,0028973440,1300169581202,0943951024,750,0029853830,1339676691302,2689280283,480,0022284350,11402,4434609532,580,001811340,0812830521502,6179938783,090,0020370420,0914113241602,7925268031,70,0014791080,0663743071702,967059728-4,70,0003388440,0152054751803,141592654-13,494,47713E-050,0020090931903,316125579-4,380,0003647540,0163681652003,490658504-4,670,0003411930,0153108752103,665191429-10,618,6896E-050,003899422203,839724354-7,940,0001606940,0072110752304,01425728-3,580,0004385310,0196788632404,188790205-2,480,0005649370,0253512862504,363323137,860,006109420,2741574172604,53785605511,760,0149968480,6729766562704,7123889813,480,02228435112804,8869219067,60,0057543990,2582260192905,06145483111,710,0148251810,6652731563005,2359877567,910,0061801640,277332013105,4105206814,380,0027415740,1230268773205,585053606-3,320,0004655860,0208929613305,759586532-5,80,0002630270,0118032063405,934119457-0,660,0008590140,0385478363506,1086523822,940,0019678860,088307993606,283185307-15,013,155E-050,001415794<br />puntos de media potencia (Grados)12582273Bw15<br />Análisis de resultados<br />En casi todas las antenas se obtuvieron patrones de radiación semejantes a los que teóricamente se determinaban, únicamente en la antena gregoriana se obtuvo un patrón como de un dipolo debido a que esta antena contaba con uno en la parte de atrás. Es decir que esta se comporta solamente como el dipolo.<br />En la mayoría de graficas de potencia se observa un desplazamiento en ángulos en comparación a la mayor potencia con respecto a lo teórico, esto se debe a que no se ubico correctamente el ángulo 0 pero que simplemente es un ángulo que se puede ajustar físicamente.<br />De las antenas analizadas se ve como la Yagi es precisamente la de mayor directividad y que la log Periódica tiene un buen ancho de banda y además su lóbulo principal se encuentra en el vértice de su construcción tal como la teoría lo indica.<br />Se analiza como las antenas de mayor a un lambda cambia su directividad dividiendo cada lóbulo en dos, lo que visualmente se ve como un trébol de 4 hojas, es decir que un dipolo funciona mucho mejor en valores cercanos a la media longitud de onda.<br />Conclusiones <br />Las graficas del patrón de radiación, según las medidas hechas en el laboratorio dan resultados muy semejante a las gráficas de patrón de radiación teóricas que se hallaron en el simulador MMNAGAL.<br />Para que haya una buena comunicación es importante tener en cuenta cuatro cosas: la ganancia de la antena, potencia reflejada, potencia incidente y las condiciones climáticas.<br />Al momento de escoger una antena se debe tomar en cuenta la forma en que se quiere transmitir y/o recibir la información, ya que como se aprecia, cada una de las antenas analizadas tiene un comportamiento diferente, ya sea en directividad, ganancia, BW, patrón de radiación y impedancia de radiación, pero que es muy importante poder contar con esa variedad ya que las comunicaciones se realizan para múltiples utilidades.<br />.<br />BIBLIOGRAFIA<br />http://usuarios.multimania.es/arey2005/studies.html<br />http://es.wikipedia.org/wiki/Antena<br />http://es.wikipedia.org/wiki/Dipolo_%28antena%29<br />http://www.dei.uc.edu.py/tai2002/CVS/tiposant.htm#casse<br />http://es.wikipedia.org/wiki/Antena#Log_Peri.C3.B3dica_2<br />http://es.wikipedia.org/wiki/Cable_coaxial#Aplicaciones_tecnol.C3.B3gicas<br />