Neyo Milicic
Sondro Schmidt
DE LA PRUEBA DE
PRECALCULO
poro predecir dificultodes en el
oprendizoje de los motemóticos
enniñosde4o7oños
MANUAL
M
UNIBRSITARTA
EDIToRIAL
Nevo Milicic
Sondro Schmidt
MANUAL
DE LA PRUEBA DE
PRECALCULO
poro predecir dificultodes en el
oprendizoie de los motemóticos
en n¡ños de 4 o 7 oños
EDITORIAL UNIVERSITARIA
NDICE
deós5útn5 R¿orcdGÚd;
La enseñanza de as m¿tmátcas en ha sido obleto de
d lere tansrormadón.s y s. h¿ñ D,obado divems métodos intsntndo i¿c it Y
hacer más eiped to *te ¿pre¡.Jizaje Se h¿ ráádó d¿ impemenrár una pedasosh
niño a dscúbrir y ¿ orc¿n zar É¿cones simples enre obFtós
o es áyud¿,á ¿ percibi y ors¿niz re aciones más
E*e cambo en r¿ .nsñañza arecia tódos os nlrsss de á edu.a.ió¡, Deró
o o. Y'0. o oól¿E P'd'7oB¿''.d
Dé 3 eñsqñánza en Jofma sutomatüáda del núñero y d optraciónes qúe ¿s
pos bie rea za, con é, * h¿ ávo uc ona.lo hác ¿ un¿ ensñáiza basd¿ en á teoria de
os conluitos, en Iá,rue se intoduce ¿ niñó precozment¿á razonam enro nducrivo
y ¿ úso de si'¡b. os, asi.omo ¿ rá ut Daclón dé nocione§nuevas, coño son 4d-a
d de proped¿dde os únlun¡os.
Todos óss *em¿sde eisñan?a diseñadospa en de supu*tóque elsúje¡o de
á educác¡ó¡ es cap¿z de enf¡entár .on éxiro e aprend ?aje Ptro es nec*ario
u¿ción .le i* sntsms de enseñáñzá Eñ ecrura y
*crllufa sé hán de§.fto funcon* psi.oóscas báscás Éaclo.adas con ené
áprendizáje v .xiste evldenc a sxpnimsnú quesu*st3¿rátori3 Seh¿¡d*ñado
n§rumenros para ev¿ um ra ñ¿d
de eclufa E*os msños n{tuñenros han sdo utirzadosen ¡s tfeasde evalu lá
efic¿c¿ ded fereñtes métodosde enseñárrá.
Eñ el áÉ d¿ c¿.! D, sisr¡m4Éación re.pecto ¿ as
lun.ione5 que 5e Élácioñáñ .oñ !a adquÉi.ión d. los primems ¿prend zajes y no
ósicos que p¿rñ táñ la evaluácóñ de os n ños en
¿ ef.ac a de dlr?rents
Coñ a .on*ruccon d. un i¡n de pre.ácuo, E oretnde ló9ñr cÉ os
objetivos rrrdá nenial!s: !r ós.ri
La consrruc.ión d¿t nrrumenró e b a en ta srmáción de d áz
p., oróo, "s o¿.i a,
ll3 rem L¿s run( ons.onsder¿d6 tuúon úsóúonkr
1. Concptosbáriús
2.- Percepción yisua¡
3. Coréspondenciárérmihoriánino
4.- NúmeG ordinales
s. Beproducción dp fiqurár y ¡ecuen¿,rs
6. Beconociñientu d¿ fqu6 ceoméricár
7.- Beconocimientoy reprodudción de ñúnero,
9.-So,uc'on dé probtemá! ¿nrmerio' v
Paia tod4 stás tuncionás se reatzó un anátskde ascoñdúcGsaue
bási.a dr un in{rumento que tes pefmib ddecrr losi ñ05con at¡o
rie.oo op r¡" q'd d ¡, u rdo". dn d .D.e, o 7¿ ó dr i¡ niremori¿ds
.L¿n. .s¡',o de kt
ma¡eia de orienrar á prolesor en ¿ rarea de rea z úna éñseñanza
b¿ ad¿ q ro
'"¿t".
,e
r. E
'"0,
d ¿. p-.o-..
'111".o.cido,.o.
c.o ts / d fo,D¡ ó,
".c s de Fn;.rcae¡,e
r" ¿dda .oro F_'. od ¿ oDrr c r., o oe Mdg..+ ", Ed r..co,. por .. f io,"
- d aá.'É' ro(  vilmc P.pi . rlb
Ld.eo, dd rcy ó,pr,7", ¿ .dc ldttád-gta
oc d oo ¿ "r rnu o d" o<¡o mo po.to,s"no.. F.." ltorJó . L4 d qiql.l e c
qu ens nos rr¿(emos un ¿eber aqGdeer sú.o abora.ión
,-, i *-.," "r n¿b"p e{oah m c -o I do, " sdo porb e.- ñleLn¿.".é
.o1 . d* a! ñ. m,;q.k tr r.
-e-'o
k1n.SeoF-
r¿r de E ¿bo¡a.iónd¿ Norm¿!
¡q"@.TG k-bEn. d bio, d V L@r c ur oc. ¡
"
^. '. .oñ0, "d0," d. en'.odeCc- a.o"LCorpurá
F*."" de EoL..,o, tr a Éod.o oo
.onptü''ó. .oébooro¡ ¡o. p,o.. r. L'¿.dm ooÁ7,rdr,nú.rd
o oib, or o" so,eodd -otct_
0. ó. roo¡ó rá.4 de -LÉ.r.¿r o.
ao.di,afos d Ro,",d pc.á der^ia _L"rro!
r ,.oroo
" de ¿ U- lqJo¿o ¿. ¡o.nc. ,o¡ ñdl óDo¡cdo ,
La en*ñáñzá dé 4 matemáticas en la Educáclón Báslca. ha sido radiciona
mente a§ocada a a po§ibiidád de cómprend* e conc¿pro denúmero,pára locuár
s hasupuero.ec¿$rio iensrúnáedád menrá de6áñosy medio
A dlre¡encia de la ensáñanrá dd á lecrura, p a láqúe se hán desc.no e. fo¡ma
ba$nte exhauriva dlveGas aprirudes v/o hab idades aué deben deeroraEe
prevameñte á dcho apreñdÉaje, no * encuentá isúa sr¿hstiz¿ción páÍá as
runciones que.leben deÉtro larceenforma prevh alaprendizaiede lás máiemáicas,
ni bmpoco estrategias o programas psicopedag,asicos qúe permibn a educador
dhgno{icár y ¿rimurar las á@as que e*áñ a h bde de Ézonáml¿nró mátmáiico
S n embargo, diver$s áurórés (Beauverd, Sinchn, Püseo sé hán p ¿nieado h
nedesidád d¿ entes entenamie.ro sramáti@ dumnte é péríodo pr@solaf, en
áGas que se rescion.rán porériorment con el áprendizaie del núñéro. A¿auerd
11967) panrea que "en elentend mientohum¿no háy toda una ors
prcvia al djlculo, y qu. sieft orsanizaclón ialta, es en vaño p.oséguir, púesello s¿rá
lo mhmo que ed fie¡sobre clmlentosde arena "
Sibien h iareá centál.n ¿re períodó dé áprendizaje de as ñáremái cas e! h
.dauhicióñ del número, las máremátic¿s no soñ uña fórma aulomática de dar
rcspuera a problemas eráñdárizados, sinó, fu^dám¿ntalm.nté, qná lorma de
Ézodr qu permits en¡ende¡ os mcañGmos de as operaciones y, $bre todo,
poder fanrfarir *re áprándDáje á
Désde muy pequeños,losniños* ren ¿nfrentados a §itu8clones ma¡emátiessn
S
'
,"|"c'o- Lo' ends c o{'e,c
probabhmenre desde el moménro ed qué los niñ6 empiezan á
más srande", "a mlmedieron ñcnol';poré lo* ha dichó que elprooscoh¡ percibe
lectivamenre l¿ cantidad va desno lor 2 áños.
B*ádo éñ eslar p¡imsras experie¡ch§ en ¿ le eño maremá¡ico, su¡se en el
1io c ñe¡erd¿d d., .a'
'
f ¿. . ddro!. pqo 3
códi90, como ¡uvieron que ha@rlo |6 cu ru.ás pimiriva§, sinoque tosadutrose to
dán, idóru.o anle§ que ér sa capaz de aprendár §u sign ticado. E. ási como
encontamos niños qúe cuenüi ñecán c¿ñenre anies d. .on:'!-:: : s qn licado
sepan cotrrar sii tener verdadeÉmente e concepto de ¡úñ.r. .
ú¡a iqná.]ón dé e os a azar asi. por eiemp o, s r p..s--i: : i i¡ cuánrs
bo itas tene, podr; dec r, úss, c
edad d rá, po¡ eFmplo, cnco ¿ños y mosr:: .r¿ro .redos "
(ivl cic y Schmidl, 1973 I
Lá de¿ de número s ¿dquiere e
resu ta inúr ns* r ei e aprend z¿je de op¿É.iones cón r
conocimonro, si nó se rran desaro ado as cap¿cdades más.imei-A qúe l¿s
Gllben 11974) panteabaquegÉn pmrede o§lrac¿sos*cor:sedebenauna
y átnma, por lo ranro, que nó só o deb. f:nlófm se e
cort¿nidó de losproqrañas sno r¿mbién rr¿cer uñ camb o cdna ei c§ ñérodosde
ensñanzar se inclna ha.ia úna metodoos a adiva en que, b*n¿meT, ss busque
razonámiento, en qúe edá ere
proJesor una.láue acercade su modode razonamiento
En la merodoosiadebe háber sempre una g¿zón con
a ñ¿ñ puk.ión de mate¡h es, y es á pfrn de e§bs ¿xp*ien. ó§ .omó . niñodsbe
descub¡r hs propiedades de os objetos Los obletvos d¿b.ñ ¿rr..urse á ras
c ace¡istcásv árn ve de d*atrorro der niño.
Por era Ézóñ, ¿nt¿sd¿ inicar unaenseñanu¿ sfemárc¡ de m emári..s
.onveñiente que e n ño reñqa u¡ nivs¡ d¿ madrEción ¿de.u¿do d! * frnciones
re a.ionadás con ereaprendizaje
La ¿Drecacóñ y er¿ !a.ión der qr¿do de madu@ de ¿r¿r.¡urciones es uña
G obi ivd edrmona * p,¿ Gd¿ n ño. en L l
enfoque de eñrñan¿a pe6onali¿ado y que busqu¿ prevéñn el que los n ños pre§ér
ten r*brno! er elapreñdizaje de as maremárica§
Exre Lir Lanridad ro dererñ ñá¿á de niño§ que, a pr*r d. rña¡ ún¿
ftellsenca promed o ó alrededor der promedlo, p¡eseniá
áprerdizare de as mateñáric¿s. agunos de eloscoincden cor tooue s ha de5üno
.oño dkcrcuri¿, oros pres-anián un sindróme psi.oneuroróqco o bie¡ s far de
r ños con un rétaso s mpe en lá ¿d.rúiscón de ár maremah*
dsatrolo de ¿s funconE qúe su*enra.6e aprendÉaje, debdo ¿ Í¿r de
de los probremA de áp¡eñd z¿ié , asúnos erudios
nacioiaes *timan s ¿ c¿nce de éros en k Eñs.ñanza 8ásc¿ s¡rs un ll y un
20olo, advirlie.do .rue esos porcentales se ncremenún hacia
p¿riÍ armén¡e dapúés de 4ó año.re Enseñ¿nz¿ Sásic¿ lTarkv, ¡ 1979 )
Oro erudio rea üado en nuerro pat en 990 niños enre 6 y 15 ¿ños qu.
@nsu 1a. en uñ cent. de Diágñóri.ó por próbem¿s de apr.Dd ¿js d¡ .á I o !
Bási.a da .ueñrá .re ros sqrie¡i¡s hechor iO!ro9á, Ln¿,
arededo, ¡e l/3 Coiró. .n I ¿ño es por
pfobreñd de áprendkaje delcá culo 1990 de 2 700.ónsuhtr).
ypodiañr.¿ n¿ropeG.iorescone.s 1:15de990cason
A ás ¡ fi.u ráir* en m¿temátic
rep tencis Er 60o/0de ossujotósdd c*udto habría fspdido a ro menos
- Er fefaso en marmáircas e5 ñodrado en os n ños de lef..o hási.o
hacéndos ñássevero ¿ mayoredad (2o cicro,10 año,
A ñavor edad máyor severdad de ta{orno, y mayor diri.urd lare
rehab irr alnlño qúo presenb ún rrfórno de apfendizajs de cácúro.
Efór d osnosóo nos inlo¡mán fesrreúo de ¿ cu¿nria de h5 dificulrad4de
aprendizále delcá.ú o en nu*rro pais, sino qúe Gñb ándefaca
de elas en rérñ nos dor lr¿c¿so escóar póne or y
Anre r srüación, súrq¿ a nec*id¿d de disponer de
eva uácón p ¿ d4edar¡ o ñás precózmeit. nosib e, os n ños que pres.nei o
renen aho riesso dE presentr en ¡l ricu Gdes. Só o uñ d asnósrco oponuioda a
posibii.lsd de proporcon ál¡ ño sremas rsmpáúrlcosqus conr
E*a prueb¿ foe con*ru da con el objé1o de cont¡ .oñ u. l.strumenlo
efándarnado p a eva úar ¿l desrolo del Éronamienlo matemático, en nño!
ánre 4 y 7 año§. Esp€cífcáñáñi¿ prerende detectar lo§ nrños cón á to fiesgo de
pÉ$ntar prob emás de aprendir3je de hs m emátiÉs, ants que ean $ñeridos a la
¿n§eñán* forñal d¿ e m, coi e rin de poder proveer á enos niños de prosranas
compensior 05 y rcmediaksen elmomentóópo uño.
Es un inrrumento que p*mile óreñtár a réhablilación d¿ á! áreas que
ap¡rcc¿ñ deficilrhs, a távás dérácnicarde stimu ac ón y ápre!1ó. Enere$nrido,
§e coñsderá útirsu áp i6ción pa¡a os niños que se encúentañ.n losqruposde
fá.s.ió. d..lá.d 111'.ni , o qr..-re o P i1er 4ño Bárico.
La connrúccióñ del n*rumeñro s bae en un enroque fonciona , ya que s
atim¿ qúe antas da aprcnd zaje der circu o própameñe Gl, el nlño deb€ h¿ber
d-"sro ado una se ede rúncionesy nocon* báEicáspaE losra¡ añmp4dsióndel
númeroyde las operacion¿s qúe cón el os pueden hác¿ñe.
S. háñ dé.criro diver*s funconeE r¿¿cioñadas coñ ere aprendDaje; 6nrá
otas, renqurje hñéti@, percepclón visua, coordina.lón vlsmorora, reconoci
mienroy ¡eproducción de lisuras,ordlna idad, erdina id¿d, corespondencia.
E t€n con§ta dé T0 subtsts con 118 ítám y esuná pru¿b¿ óbjérlE de páp¿ y
Los subrers lenen un núnero v¿rübe de item qúe oscik ente 4 y 25 y
lueron orden.dosan diticu td cre.ient6.
Los subtests ds k pru¿ba r¿sponden á hs funcon
experiencia y en h revklón bib iosráre, h¿n encont¡ado como más core racionad! s
cón e aprendizajede as maiemáii@s. E asson
I Cón.eprós Bás cós
2.- Ps¡epción Vituál
3.- Corespondéncia f ármino a Tármlno
4. Núm¡osOrdinales
5.- F¿producción de liouras v scuenciá.
6 Beconocimlen¡o de fisuras qeóñátiÉs
7 Feconocimenro y reprodúcciónde ñúm:ros
0. Solucióñ de prob emasarnmélicos
Ere subte$evalúa e lenguáje mdemát co.
E dneuáje perñre a os niñós nomiñar obieio§. c:;:I os, *qnarles
propkdades y compfender a informaóión que r¿cbe de ñ-_ac:xi:'or. A favós
del ÉnsuaÉ el niño d¿scubre el mundo de ós simbolos v, G- ::.:ren1e, ¿re va
adquireñdo u¡ papel más lmpodañt¿, legando a ¡epreen::'
una css esDech de siñbo os q!! ¿ ñ ño debe
solu.lon problemas de cácu o .
iÉdosat3vé5de
e niño lograseneralúry uriiier oscónóepros, o
ssoecíflcamen¡e lqados al .ñqr¿ja aritmérico s
L* mátsñáicas supoñen
comprender y manejar anbs dé
una lorm padicu á. de enou¿je
símbólos. A tavé§ dsl simboo,
que ó conducná porer ormenre
Los conceptos que e án
E ensu¿ie imérico es evaruádó á rávés de Subr¿rConcpros 3áscos, que
con{a de 24 ítemdeslección múklpó. La úb adéé§pecrcácón decontenldosde
La adqukición de los concÉptós qránde y chco * ev¿ ú¿ a r¿v¿s dá los irem
Los cóneotos de corto y arqoefán lnc úidosen Ó. fém 3 7 l2 13
Losconceptosaro y balo seevalúanen os iteñ 5 I l0
E c.ncepto l.ñó yvacio en osíremOya.
E concspto más y menos en ositem 11-14 15 16 2A 21 22 23 24.
Los conceptós áncho y ánqofo en los item l7-13-19.
La ra.ea de niño conss¿ en §eeccion , enr¿ vara§ ¿ t¿rn¿tivas, elcon.eplo
pedido por e exam nador. A modó de eÉñplo, nclulmos os 5 prlñeros irem del
súbre* conceDtos B;sicós. cuvás iñ .ucóons son assiquléñtes
I¡ABCA EL COHETE MAS G RANDE
Í - ))
/
»-v+é L)í^$
MARCA EL SAPO MAS CH CO
IlIAHCA LA NIÑA OUE TIENE EL PELO IV]AS LARGO
MAFCA LA FñUTA MAS CH CA
rri
ril
¡
/ó
I^1
a tavés de os proc*ós perceprivos lo§ i ños§e ro acioñan.on stambiente y e
ha dicho qus,la percepcón indivduo y etñod oque rDrodea
La pe¡cápción es
enfesan los snri¿os en báse s as experencias prevar con los obleros, fómÁ,
¿squemas percépivos de e os, o qúe ptrmne su póreriof fecono.iñ ento en b¡¿B
bid menslonres. Por éjemp o, a ún n ño qu¿ haruqadocon riánqu os ridiheñsióna
es os¡ámásfáci recónocrloscuandolosvedibúlados.
El máximo tissaro o de a pe¡cep.ión visuar se a.anza enre os 3 1/2 v 7
años,Apa^irdeére periodo¡ lapercápción sevs hac endo ñás p.ecisa y *peciri.a,
pud¿ddóelniñodhf m narsmejanz¿sydiferencásenre oserimuto§lisicos
E ¿umenio de núñero d¿ concepros que er niño manei¿ .ómo produdo de
ráp do dsarolo der rensuale que se producé ¿nre et seqúñdó y rerce;año dé vi¿a,
d. . F'..0 io,
d.oo ede cr ,. eoo"paao¡dspd".de.r,i.c.
adP20 ei d.
oddd ¡'iñ -d L f..,é o F oE rode .ñd 6. r ,< q¡ ¿td foddod,oo
¿ qLdrdcd o-ód" end ro¡To o oo! o. oó ó ¡
9u.¿¡
a rrávés de oros 7 item se avá úá rá habitidad p a ubcaf k fisúra que es
difere.re en una se.is 1ír¿ñ 37 r:3r
¡ ,d.é, dá 6 '"-
4 iq ¿ á lodro. oe'
próimás porerempro 6, sj 2 v 51 rem l9¿ 44)
Los lr¿m Nos 25-25;32 33 y 39-40, que se itu{rañ ¿ conlinuación múp§ráñÉr
tioodé tarea quedebefealz elniño.
(Nor 25 y 26t ó
'
.o oeoc ná,, d
.ro-,a
D,"a¡ gu¿t¿ , odpto
_n
ro- n.n 3, v 33P
debeñ¿r.¿r ernüm.oqu¿es qudrá mode o.
,,4- ,A- ,-4.
W,-_¡J 'ry.- r,--Lr
aciói que s osra cuando e niño ¿s Gpaz de
aparear cada uio de ros objetó ós obietos dr oro
s¡upo, teniendo ros obteios de ámb¿scóhccón* un¿ re ac ón eñré si:porejemplo,
Efá op.ráción, que in calme¡r es pureñenre iturva,pe ¡teaiññoha.r
!úa núúüoneobjeiosen
ambos, rosrand. ie .onc¿prod
Eñ á etp¿ ¿n
lorhá gob¿, luñdádo D ceprvos de ras
e*a razón¡ cuando vria a .onrquracón
cohc. ones, porque os obielos * astupan o rpaɡ, s
Lo§ iiños pequeño5 h¿cen un¿ equivarenca priñ tva de rossrupo§deoblelos;
juzsan sesún una impresión genera de ramaño y de dÉtibución e
ven rá nec*idad de de§compontr unidades. Ere mÉtodo de
.omp acón*vaso,e ári.o e ircvmb e, confiqufado por h 1orá id¿d pr.eprúár
Sóo súdualmente ¿ niñó puede desprendú ¿s uñld¿des de os ac.idenres de
po. ¡ó' I .e''c.
En una *apa po{e¡ior, á córespoñd¿ñ.h lega ¿ ser rea menre opereriva, es
dec ¡, perñanente y erable;pese a las v ia.io¡es prceptivas de l¿s co e.conss, e¡
ñ ñó *ttsbrece er .on.epto de equ va encia de 1á canridsd de objeros de 6
En ena etpá, la cotrespondsñ.iá es uná lú¿nte iñpóranr p a etaprend zaje
del núm o, ya que, erht¿ñdo eqúiva sncia ducdera y er¿be ds ta c¿nridsd de
obleios én ás colecclones, e iiño puede cacurar múy lác menr ¿¿quiv¿¿ñciád¿
los conjunros y eq 6úbecer á ré ación cañrdad símboro
Lá correspondencia se evárúá en e tes a t¿vés de 6 irem, eñ qu¿ e ñiñodebe
apare objetósque se rela.ionan porsu uso (item45alsol.
ejémpro dé ¿ Eea sr niñó, tós it6m
45-46-47 v 43. oue s iúnran a.ontinu¿ción:
,rt"t ^
E
W
lr
Aun cuando los números ord nales nó se eñseñan sÉtemáricame.r hdra
Sequndo o fercer año de ¿ Edúcacóñ Básic¿. oarcció necesáro .clu roscoño un
área de res en á medidá qúe ellos s¡n intu t vámente urdos por los ñ ños, ñuy
lempranamenle en su desfólórlr*és cómo "Yóp.m o , "ouéd e¿ úrno"
"Juan esel se9undo, nos muestGn una aprlcacón corecra det núm¿ro ord na
Todos os sklemas númera es se camctrnáñ por tner un noñbre y un simboo
pam desiqnar el número Los número§ord nales¿dqu eren e trombre Vel§ímbolode
lo§ núm¿ros mmanós;en esta edad er niño nó conoce er sinboto, sino et nombre de
á!unosdé lo: númeroso.dinale§, porejempo: pr mero,sesuñdo, ú timo.
Mieñrás ol ñúñoócárdlna nósindlcr h ñ¿gnhud de un srúpo, por ejsmpo al
decn ocho, evocamos uñ cónltrtó qud rlene como propiedad posser ocho
sementos, e número ordina descr be h reación de pos.óñ de rúmero o de un
obj¿1ó, en reación a os números precedentes. Asi, cuando de.imos "é erá el
quinro , ánámós aludiendo a que habíaD cú ro sujetos an¡es que é y cuando
declmos "Pedro vlve en el tercer pho ¿ udiños al hechóde qúe hay dos psós bajo
Todo qrúpó tiene caGcrerhtcas c dlnales Én el *ntido de que posee una
masnltud, pero cúa.do s quie¡e orden¿r, se necesha tñer un critrio v *1áble.er
un orden en bas a e e ite¡o. Erábecs un ordei mpica necsa¡ament úna
compaÉcióñ y aribu r únapósi.ión ré divá.n una ser¿.
P a ¿ comDrensón de a ordina idad esnecesrio rener la noclón de seración;
¿.d4, , o'q' !P .e' 6 r" sec
de mayo¡ a menor, o bleñ de menorá mayor ó a p¿rli de ún ttmlno cuaquiec,
sonapfopádóspáraadquirne*áñóc,ón.
Los números card nales puede¡ *r usadós como núñeros o¡dina es; Dor
ejemp o, a .umerar las páqinasde un ibro, h qúe tiene elñúñéro 23 stá precedida
por22 páqina§. En a medida qúe ós números ordina es y óardiñales son dosskteñaa
de nuúe¡áclón, tenen uná er,e.há reláción ente sí, y háy urá corespondenca
entre el número cardina y e número órd nal; di, el núñe¡o dos coiresponde a
séqundó lugáf ¿n urá ser é.
E subter Númerosolniná es consb de 5 i&m en que seeva úan oscórceplos
pr ñero, *9úndo, tereroy úhiño Ittem 51 al55).
A coñtiñuácón u hñós os iiem 51 52 y 53, e. que a Grea dé ñiñó
consiste6n márcár á ú timá ppá, eltefcf o§oy¿
frad cioná menle k réproduccón de fisuras ha stdo considerad¿ un eemenro
hponanle Dra k evaruación deld
E dd ,oño r.
.1¿ ouó o ódF qd4. .d-d zÉ -;", roppu ,,ó.4
01 ".rp ó " oe Beú- ¡o k{, dó ñcd-,a¿ pd.ó r
aprend¿je es sisnlfic¿tiva Efa ñisma aurDG arrñ¿ rmbén que h;y uoa
coreaciói enré ros puntájesde Bend¿Í y os r¿ód m en¡os en arirmai.a.
Pósibemenr, a arencón dáda a tos derales p ¿ reatre e te* de Bendtr
rensa lunciones simiares 3l rorde a prcepcón de as teú4 y de os númerospma
r$ izar ás 1áréas acadéñic
E*a áreá de rer riené por objeto ñedn tá coo¡djiá.ión vsoñoriz, en et
senlidó de eva uár á percepcón y Éprodú.ctó¡ de rorma§. E loqro de una boená
reproducclón de rorm¿s supone m¿iejode arin%reda,mamjod; ¿ inscüM, á
rcproduc.ló¡ de á¡sulos, ¿nción a a pópórcionaridad dé
espaciá de os eemenrosi aprend endo las inrrct¿.iorcs e
p''droe o" I ¡"",oÉ
re¿ciones de .ortisúidad háy sñre as fisuras de a pruébá y
ptrcib r ra orentacóñ espaci¿t¿e ¿siquresquecohponen osmodeoso as*res
ElSubte* Reproducción de Éiqu.¿: conra de 25 i¡em Los ilem 56 ¿ 5S
Co. o q"npro u" ,,
.iP ros iteñ 57-53 7 61 62
¿ ,ep,odú(( on d5 p: .oi-
rsproducc ónde númerósy erás,er Émaño ñás
de br¿aoue debe rea üáre niñ.
KR-128 K-28
6 item ¿e dte subted itum
os item 69y 70ie irusran a
En a tlanpcion ds área de concepros Bási.os haci¿mos aúsión a k
ti.ó sn e dcsáfolod. ¿.Dnceptu¿ n¿. ón y,en l¿
dsfr p. oR de ¿ iundamentscón reórca d. área de Pefcepcónv su¿, p áiieába
ños que ¿ .áp¡ódad de reconocer v d scriminár eniñúlos o. ¿*nci¿ p a el
d*aío ro de as ta,esa@dÉm.as
Er¿ nea de r¿conoc m ¿ntode riqufás qeomÉtn.m pfetende evalur rámbién a
hab d¿d percep¡ vo pero ¿n e recono.imiento ds formas
seoñét.¿s bás.¿r súpoñe po¡ o tnio un locabu aro geómátlco y aasociación
de ioscoñ.ep1o. qeoñéricoscoñ ossimbo ossráIicosqoe os répre* an.
Los concepros qeomáti.os cuya eva úacón conremph a prueba de p¡ecálcú o
el cúadrado lirem No 3lr el riánsu ó liteñ No 321, e rcctánsu ó lítem No
33)y ercóncepto d¿ mlÉd lirm Nós34 y35).
á cont nuácón los írem 32, 33 y 34 rc§pectiva
O¿DO
OOE Vc
o( o »
.l- § §- te
Los números son propÉdadesque ¿s'qnamos ¿ ros cofjunros y
rrs sq¡os 0 áexpresr os núme
.::r':.¿ dioma corespondie,rt. H¡y d er . rr simpcs o di
:: ),.de lómar cu¿ qúrer núñro, y ,a ros son: 0 r 2 3.. . 9, sá os ha
:¡:do digiros porqur se puede con los dedos de k
Enr n¿a der re*.onfa de 13 irem y eyarú3 h háblidad der niñó p¿É
a¿ntr.ar de¡to¡e u.¿ ser¿, B ¡úmúo que ees roñbr¿do I rem 36 a 331
Poleiempo,me íiem 37 qúp lrramos ¿ conr núacón el¡ ñodebe mmc¿r
6B2s
eva úa. á h¡rr dád d¡¡ ñiño paÍ¿
6 nombÉdo Pü eieñpo. Pn er
Los ú 1iños 6 iiem de efe abref lirem 93 a 93), eva úán á h¿b idád dé
n ño paÉ rea Dár op¿Éción* simp * PaÉ e lo, sl n ño debe !n
propiedad númérlca de coñjunro y, dspués, reproducir a série áqr¿q¿ndo ó
qu bndo 05eemeiros pe¿ldos p
En os ¡rem 94y S6,que s iu{rai acoir núa.iói,
ee modeo iitem
que e ño.iero d¡do litem 96)
erñiño debe d buÉr una seriede
ea) y coñ d6 eemertG men.s
Un número c d nár, porejempto,.inco,d¿nota unacotscción deun dade§que
n a9ún séntdo: cinco raz.s, ctnc
objetos cuaqú era. Es decn, e núm o es una prop edadde coiiunro que rd c¿ §u
oue e niño cueiieo r¿cónozc¿ 3
pose a dea de iúmero, ya que érasupone el pensamienro tósic
pantan que e lo§ro de a idea de número y el pensam ¿.ro ógi.o v¿ñ a a par, y
que a una e&pa prenumórica corrcsponde únaeraos de pensñ enrópre ósica.
de número se encue.ra t¿ posib dád de esabecer
cór*pondench y equivárenca, de maneÉ que cuando et n ño erabtece a
equ v¿ eñcia enfe dos coñrunros, qutere decr que ¿r¿bkce que añbo§ posen a
mkña propied3d numáriÉ.
E niño debe *r .apáz de coñra¡ ros obj¿rós de uñ .oniunto v Derc bir oue se
maniieñen ldénrcos, pes a qúe as úñidades de ó Í d rribuyan ,le una u ora
E niño av¿nza pau arinam¿ñte ér cusnló ¿ a cónstruccón ds .óncep¡o de
núm€rc, ksan.lo a $r Ésre un concepto de tipo op*dvo e in$riádó, que no
cambiá a pe$¡ de las v iaciones que se lnroduzcan en l¿ ¡ekción de osee;entos
Ená área de rercónradel0it n ñodebe reatzarconsists
e'ro. n{ del 99.r lotr Loro.eloo 99.e .r..t¿.-""
#s@&&
En os ítem 102 al 104
eleñánros cofespondienrs
e niño debe rearizar h rrea.te d buj¿r acanridad de
a un 6rdiná dádó. como ¿lempo, ilurmmos é r1ém
F n¿lmente Los n.ñ
105y 106 urran la rrea
i05 y r03 eva úan a lrab d¿d de ñiño paE
uná ¿sterm n¿da.anl dad deereñánros dados
Cuando se ha relanó ¿ coi.epro de númro, comenr¿
rea zcói d¿ ópra.ioñ6 simps coi elos llná operacón
o a r¡fés del cúai * re¿ iza ura
fóda operación supone úna ¿c.óñ én res tempos y e n ño debe pod*
rcpresenlár enos fes *údos: osdatos, a oper¿cióñ y erresukádo
Cuando u¡ niño resueve un probpña, reá ¿ una opn¿cón.onneü v á
sotú.ió¡ ar tmárca, operaron q!. supoñe comDfensión de
eñuñciado las¡esar, quhar) y un mzónámlenr. que es ¿ bú§queda de a operación
Los heñ t09y TtoiturÉnc rp. d,a úreaqúe¿.b-a rea
que quedsi despúésdehsLrmasreqado 3a !os 3 helados {rúe ieni¿ pfeuámenre
???????
Se dice qúe á noción de consr:c ón ss a ba$
üc onar y requiers ser .ónf/! d¿ por er n ño a r¿vÉs
s v ácioneserierñ
oLjetos de ¡s .oh(ions,
ejemrrlo, ¿ n ño debsá psc bn qtre t¿ c¡nrdad.Je un
ú¿ aBnrid¿ds ¡
de os¿ s¡eDtosf h¿o¿ d! d rprÉnF m¡.ai,
ne.eirÉ p aróda¿ ividád
ds ún §remá de regu 3ción
r4,ldo sque sc¡do a m sm3
conserr¿. ¿n.le núñ¡¡o, rue
m §¡¿ ¿u¡cu¡ a pres..ú.ón
K mi !n 1975 psnre¿ ¡tle sóto
,¡ D no tene corc¿pto .le conrrv¿c ón cuando loqB er¡rric porqúé ércreeque no
rr¡ .¡mbádo . equivaercia i!ñéric¿ de dos mi¡úbs son a.epebes 1¿s
usro ñiqun¿do n¿d¿
i
o bien resDu*cs!úe hacen
idad, es de.n, por erempro se podrún cotocar h5
.osas como eraban ¿ñr.s'
,.n' o¿o .uc-do 1¿
¿rtrm¿r, por eleñpro
"ahomerá másan.hó Derómás.. ."
Por 4o$ ¿, rmr qrc h consetuarión spone un snemá ñternode resu ac ones
En 41e Subler de Cois acói ot nñód¿bÉrlzsarsi dos coeccion¿§ de
obrelos son lsua es o d lerenEs respedo ¡le su canridad de e emenros lirem I l3 ¿
¡¡odod ó"1oo .ri¿ 16 ",qF o,d"¿o".. io
os pa€sde únjú cque temn gu¿tc¿nr &d d¿obretos
oocoo oooo o
B
O
oo
ooc
oooooo
oooooo oo
oooo
_o
o-() () o
oo a.)a)
oo-o'o o
E*¿ prueb¿ respondé á rá ie.esdad de d spoier de lnrameñtos ¿e medlcon
conrrúidos v *bndarlza.ros ofa e diaqnofi.o de la§.aÉcleristcm p5icoósic de
ñi.io de a Enseñ¿nra Bás.á.
En Chik er ri¿n a sun05
relácoñar coi e iPrueba de Funclons
Básúas, de Bmd .ewski y xliricic llS79l, fsi AEC d¿ Fiho 11960), Mdrópo it¿n
Re¿dne$ T*r 11965), et), pero ño hábh nrrú¡e¡ros paÉ l¿ ev¿ru¿cón de
d*aro o de 6rúncion* báscas p¿E e aorend z¿iede asmatsmátús
La conrruccón ds l¿ Pruabá de Precá.ulo s b¿s en un mod¿o Íun. ona, en
fúnconesbásc praelapre¡dÉale de cá cu o
L¿s condúd¿s.rue cornituyen e múeirsó pai¿ ¿ medición de os rendim en
1os de los n ños en áre* Donul¿d¿s. r h3¡ eeoido en b e a un mode o de
rná isis de taEa, en e cual as.oñ¿u.h.qu. ui ñ ño *.apazd.
rea ,ar ¿ d{erm iadá edad y en un nea CpeciJlca En e ca§o de a Prugbá de
Precá culo * rea ú¿ un ¿n; sr ds ¿stare quc os n ños, enre 4 y 7 áños, 5or
capa.*de re¿rz eñ e área dercálcu o
En una p,imeÉ eiap¿, e ten6hb¿dirldidoenl5ieasycon ¿b¿d.124
1 Coicepros Básicos
3 Comoletacióñ¿e F quús
4 Númros ord iaes
5 P.rcep.ón V nral
6. Fleproducción de Éiqucs
3. Be.onocimiento de romas s¿ómétkas
l0 Becoiocimlenro y reproduc. ó. de números
12 Corespondenc¡ rérmi'ro ¡ ré¡m no
13 BeDre.¿nracón ¿e c¿nl dades
,0 ;ód. oP ¡d ón J
además de r¿ conrn,cci¿n de
cuadtrni o dé nrrucciones paE
'so
de exam nador i¿nexu
cofe.ciónde a prúeú lanexo 2l
E cuadernirro de lc cp k¿, ón dP ¿ p ueb¿ !oñ{¿ d€ 3
L" pd.'d .Je .o .-
.oreo rc¿da ircmde ¿ Pruel,¿
,,o, o d¿ o ob,'
Se rea izárón dos áp ica.ionés e objero de hacer et
¿ná ÉÉ de iteñ y óta, cuyo obtrivo *a ta obrenciónde norñas.
E anárisÉ .re ilem conrnuye e áná isis ds h§ caracteristicas prop,as de cada
íteñ, e que * re¿ irá msdianre ié.ncas *hdhrjcas que
pr.porcioñ¿n lnrormac ón sobre el ¡ ve dr d¡crim nac ón ds írem perñ rendo
d *insuir efúe los n ñ.sque súppran cof, éxito erenímuro y tos que rrac ah
en a r¿s¿ de anáts sde ieñ, e sÉdo de d ricu rad de cáda
rém ysu coreácón con e púnbré toeldelrer.
La dererm nación de qiado de diticu rad de u. irem e
debe obreñe c.mo cr teriodsaná isispáñ c¿da uno¡le to. *tímú
L. dr.b..o oA
r ", oro ., tooo o óa .. ó o.
ireñ, ófs puede .onsdeG^¿ comó muy tác y nó
o d.,
" 1.r oo q ra
F a?ai. tc.
aqúe os irem que ñás 3potun á a d scriñina.ión de úñ ter son tos quá se
o o
',
Ldrr"reod.ú I oo e Do !er. é od G t-e¡o.
q!é ro lonFsbn Lo e(kmenfe enr. l0  ?0o o
E: nen dil¿renes .r¡sii c¿üón* p ¿ a d er¡ naüor d?
de !n iism E c¡ r.f odependerá rá ri iañdqde ¿
pobhcóo i ¿.!3
La d rc¿ción dsda eñ *rc üsó E a ssúÉniel
Si un 30o o o men¡s de n,j:1os.o¡6a ren uñ
ñ iiers mrr.ri b¿D rn
.ú3 pr enimu o rorñ¿ rjr . Lo qúa se rrui¿ as un¿ ñed d¿ dp a re a.ioi ¡e cad¿
uno de los it¡m.on 3 DtrÉba roE s eslroñoqéiea, y.on e árs¿ corcspond.rte:
e§ hetcroqÉne¿ e. dec l
EI i¡dce de.is.rmin¿.ióf !^e D¿Í¡ morrur .uán carameñr d§insue rl
Ens. o.l¿hpruebáde
Pre.á.u o e ind.r ae irtr. tm i coefi.¿ e.te corea.ión
DespuÉs deaiá s s d. ireñ se loñrruye ¿ iomi def i riv¿.e á ptueba, cóñ a
CAPIfULO IV
Los objerivos de a táse de árálns de rrem rutron dererminr á) et srado de
diJcuhad de rós irem, y bl e rnd c. de d $rim ración de cad¿
mustáexpáim¿nia, paÉ e aboúr alorñá derinirráde isrumenra
Adeñás * buscó e*abrecn e¡gr¿do ded scriminación mediade apruebaysu
iúp rP¿t z¿do por
346 sujetos, e ratlic¿da por sero,
uu Éando ós equ pos,le compu&.
¿ univere d¿d c ótcalcEcco).
La d rribucón de os sulúos de ¿ muPrr de ánár,rs d. n.m pu€de
E erudio experimen¡a prá réán er
3 rl¿niosy Pap.duÉnre 1977
Se re¿ zó en una muesE nreicoña de
edád, nlve socio¿conóñ coy úlencia a J din
Los cácúio§ enadísricos lueón reá Éados
.ióñ de cenfo de c¿ncas de compurcon de
,,.N
¿ ñuefñ ¡.uiasuÉrosenre4sños I ñesv6¿ño5,
dE.mbós rxo5 ¿e re. n k * soc oe.onóm.os ta ro med o b.r.)
L¿. as t cac óñ.re N¡'er Socióeconom co r r¿ izo d¡ a.ue,ao a ros.rner os de
Er nive sooosconómico baro ñc uyó i ños
b;. c¿ .ompeh o
'ncomper
y r
ro,¡¿ero. qnf re, o faba alo,esdÉ gmo ¿ó mii mo
Er nivel soc,oeconómico med o
E niv.r ecioeconómico ako icruyo ¿ n ñor ruyos p¿¿res rienen sdúca,ón
2, rósnv¿ressocoeconómicos$.ncüentañ
Lás edsd¿sdé ros niñós fucrúában eñt¿ o5 4 añós I ms y lo§ 6 años,y ruron
d vid dos en cuaro grupós, con inrerv¿ ós de 6 mÉ*s pra cada srúpo, en Gzón a
que e ráp do r 1ño de desaro o en.ras edads ob ga á nterua os pÉqúeños
Como s aprecia en e cúádro No 3 y No 4, os srupos de suje¡os e{aban
homosenel?¿dos Gñ1o póredad como Dor sexo
se consderó 4rei.. ¿ iafdin
erabecimenro ds E.ru.a. óñ PreescolJf
¿ p.oporcón de n ños co. 6isrica a
r¿rdiñ nr¿nr es más ds 3 @.e osnñosrnmreñúaalardii
Er¡ m¿yor proporción ¡e ñiños .oi ra¡di. ii¿r¡ s erp c¿ por e hecho de
qre es diri. ó.¡rtr niños s r l¡dii. e§D.ciarmeñre e¡ e
Gr¿dode Diricu(ad de os hem
Ls irem se asrup on *sún su gredo d¿ diri.u lad en item fá.i es, med anos v
difi.iles Un hem.s fáci cuando es abo.d¿do corácramenre por ñár de 7to/o dÉ
ior suletos; se .oñsideró item de medkna diricú rd cuando fue resoond do
Á !ó l.oo.
consderó ilem d ficilcuandolo reró vió bien msnos de 300/ódetos suieros
o.
'
eñ.¡qr 9.áoo de o u.do rntóp.,eb. r,c t-Á ¿
E*a disribucón n.s indica ,lue a coñi¡uccóñ de a prueb¿ túe ádecu¿ds,
desde er puñ1ó dé vÉb dersrado ded ncu üd. ya que h¿y una ñayor proporcón de
tem d. med ¿n¿ d licu rd y una ñeno¡ propo(ióide irem lá.ies v dificte§
Coño a propórcón de (em d¿ d lerenre qÉdo de dlficu iad s ajuró a o que
se espüaba a .o.frun e ñ en czón derqradode
lñdic¿de discrimináción de ros iiem
Sá óbtúvo en &sea .osr cienre rpb y s liró .oño crner o ora aa.epü.ióñ
nido fuer¿ m¿yor ¿ 020 Eñ b é ¿ ene ndice, r
erlm ñron 4 rrm de k prúeba ñ'¿r osnúmerósg
20 27 y 4' y.uyos iidicésde d scrim nacón no ar.¿ñ:3fon etnive ei qdo E
"ouJ¿.. ¡éoo0't0'5 0/ 003,p, .dP,,
Se eiñ narón rmbÉn 2
'rñ d¿ Subrn FÉproduc.ioi ire Fiqúr¿s áDA¿rde
omérrcassrisd ,en r¿zón dsque *a netr do
Gr ren'llaba árqá y hriso$ pea os i,ños
Er rero de ros item rue conservado en r¿zón a qúe renhn ¿t n ve de
¡.criminacón erisldo y aprueba der niiiva quedó compue*a de 113 ítem.
a conrinuacrón er cu¿dro No 7 irustc el sfado dé diicuhad lporcenraje de
r¿§púefa cofecra) y nivel de d kr minación de os 124 ír¿m de a prueba oriq nat.
in.lu ños rambién ercúadro de disribr.ión de ros punrjes óbrenidos portos
346 suFtosde h mu*rá de ¿nársisde irem
Esb dÉr bucón de punráles osc ó enre un máximo de 120 punlos y un
minlmo de ll pu¡tos, sendo s promedio de rend m eñtode iossujerosde 63,62y
adesviación *ndr¿¿2s07
Er¿ indice eválúa elsEdo de habildad ne.esr a pañ resórver a pruéba y *
cacu á a rávés de punbi¿deha, cuyo promedio 1sórico es 13 y adesvácón tipicá
teóricaes4. La scaafluctúaente I y 25.
¿e l¿ prúeba rúvo un pu.rjede úde3,5v s másdlicil, de
--
La dif.u hd ñedi3 de ¿ prueba en escar¿ deha, rue gua a 12,60. E*osddos
nos oermiieñ áf rmar qúe e ocdo de d l.uhrd de la prueba es ¿decu¿do, re7ón pÓr
eb" rdo"ne. -o
El srado de disr ñi.ación media dá tr*rúmenró
rosr.p b.,tanlorm¿do Drev amenr¿eñ Z de F¡her.
E coericente obtenido luede 0 52,quees un va or
Análkn de bs rcsuledosen rala.ión a la edad
Oado que a P¡uába de Precálcu o osuna p¡uábá evo úrva, se re¿ izó Ún aná iss
ds ros puñtales obtr dos en k prueb¿ por l6 suletos de los 4 srupo§deedad qu¿
.omDon ¿n s mue{radEl¿ñáls5 de ¡em
Eltrdo,o o o
ol L 40. dé r d'o'
ed ;orem1 -nr.diiero ¿ouPocdeP'Á ¿ra o
s obtuvo d¿l promedio de
)
Elcuadro No 10 préentá G promédio. y deshción típica obtenidos pa6 los
Como pued¿ apr¿ciare, elprom¿dió de punbjevá arm¿nbndó paú atinamonE
con lá edad, si¿ndo lG proñ¿dios d. áedád l y2inlerior$¿lpromediodelgrupo
toGl que erá de 63, y 6 promediosde a edad 3 y 4, superior¿s a este p¡oñ.dio, eE
deci,los rendimiertos dé 6 niños én la Prúeba dePÉcálcuoson proor¿sivamente
ruyorés á médidá queaum¿nra laedad.
L¿ obre¡úóf de ño,m¿sp ae te*de preclcu o se re3] ?ó en bas a res ripos
de punú es: peruenrile§, punraiesr v ounrá s z.
Ererudio erpermenrar pra á obren.ón de e*¿s normas rue rea izado por
reTe er una mue*É de 7r2 sújeros. érÉrif cados poredád,
e¡ca ¿ Frdin Lóscuadro. siquienresd*cr bei Ia
.ompósiciónde a muerE
reroñ norm¿s.ada 6 mos¿! p¡¿ c nco qfupos
¡l¿ ¿did*.. p r, de os 4 ¿ños I mes. y poniendo.omo ñne.up d B iaños
s socoe.o¡ómcos 5. h zó
rpnu o.orq.rófd i¡r 1páq 11l
L¿ d reren.ia obsaa¡a ¿n ¿ á própó( oñarda'l de ¡ ños.
c¿piiú o de aiárs s d¿ nem
za.ra eñ er¿ño 1973
La ¿p i.acón rre ue Ilú u ón erte 3 y 12
os Dños Éioc ñ.oaños 5e recom¿nd¿b¿ r¿.p .ac ón ei
E 'P-rod""ptr. ó
s¡¿.ruór, ap lcando e tren 3{¿p*.
¿óuedo a ¿ pautade coréócón, obteniéido
$ ui púnúre p¿ñ.ada uñ¿ de 4l0 áre4 que componhn.
puñrale¡e 4l0 árem
En elcuadro sisu ent puedenve^e lo§promediosy desvación {tndard de a
Druoba rouLv poráre p a Los 5qrúpo§d¿edad.
! EB
a;ü
a
Á;É
:É:
a
a
;
':
;r
J
ir
c0¡! p!e.r ¡p { d& 1r
ú.3.b "o 10
Con os d osobren dos sr 6É p
una ñu0f¡a de 712 sureros, + D¡o!ed ó ¿ ¿ob¡en.o¡ de ror, ó
se obrúvreron iorm¿r 0 ¿
en Percenr es, Punrjes z y Punrajes T
aue as puniales lraean uia mejor predlccó. Los 5 subiers I
reh¿br É.i pscopedasógcá, p
¿consej¿, porqúÉ 5u e( o núñe¡
lo0 .1 0..,"
b¿io un d¿rúñ nádo púnDre
-- Lñ.rio.or r D-qn r0,n,
, rn 690 o Á ob " " q-,q" o«.,
¿rioncer que é rend m ento det n ño er deri.ien¡e. En cañb ó un niño qús obrieñe
t,F'4 it dé30oo-,"É¡ro
19:ll 1!-l
;
t;
1:
i;;
i.;
Lrna vez rea zádá á conveEtón der Punúje tora obren do por et ntño en a
prueb. ¿l percenr coráspondienre para su grupo de edad, debe prócedeBe a ún
a¡á sis porárea, especa msñ1eén aquer6 niños que obrengan prceñr bajo60.
Ene aná s s deb¿ sef cuarlrar vo v ¿sre¿sdel c r¡i¿s
En a q!ños r,ñose] psrcé¡r
se¡á ¡rfodufró de un rend ñ enl
lora púedeproven rdé puntajes p cales de*rmónicós.
L bbasde a No 2 ¡ 6enre§¿n os súbipnsde Conceoros
Báslcos P.rcÉpcón Visua Seproduc.ion de F qucs y Se.úe
de ñúftrosy C¿rd nrid¿d y prá
"-.")--**"
".,...N**
"--N*
)
".."")q*'
".."":i-tt*
,)
I
)
,:,:l;1:
l:l
11,:
t:1r:
::l''
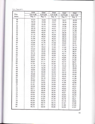
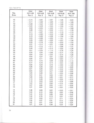
ts rñ tióo oe no,ms ooEn'oá! en ba* a tn pirúie e{anda'7sdoi lá eüh
ún¡ D D,nm;.ró G¿r6 da 50 v uná de¡vl¿ciói tipie de 10.
A:'. u. iuieLo qLe tiene un plñuiP? de 40. qL e' de¿r oLe 4 áncu¿1t' a
rñadáEv,a(ión rioi.áb¿io"t p.oreoiod..g1pod"..b-drriación
{ieb q.e r.m¿ L 1 pr;GP T os 70.'. "acue"rá á dosoesviac orFr I Picds sbre !u
'_r,
"¡uru"¡.*1.* os Dl4rre5 I @'tspoñoioñ¡e¡ al Plnaje &Lro ToE
obtenido por los súj¿tcen a Pruébá,paG ós5 nivelesdeedad
Prje. r. I PlF r. frj".r.
_ -cñb'é' ." obr-vqon roi o.rro(!ore.r d"Co,rpr:
R"p.od ¿
'o¡
de rhlt, , !e,
de Númros y C dina dad
Ld bzó- oó' ! o,e -. oo".o. rbrensa(
Lé5 mD* de b os c 12 1^"n ros oLn44 tpdrc t6..b"
m¿noonad6,sp ¿d¿sFof qrúpode ed¿d
I
o-§o§6@FoooÉ!P:9e:3PR&§RÑ*
EE :-e9Í*B8Agl3RS3
¡i
§:
B 3 e g e ¿ 3 a : i $ $ s E6 SEneÉ3:.":e.;.e
Pi*s993;A6A;3S;Plf Ér3;á6g6B
EPEas§43&9:35BeRBaa€a
ÉsB§Bies§$6?33BBGt33R
EE
€ 3 ? R 3 € 6 + 3 E 3¡e iEa!Éñ-AS-3.qi3.
a:aP*a;sa;ge§eg§ g"Bi 3aB;¿
9
z
E
=
3
iz
É"
É
jqe); g; 9: r?a 3?? i ; : : iB P §i^'
a5
d
!";
:¡
"-: eRielSai rSg ¡: €e3;; I ?SS
E
!
á2
:3P3§!&{&3..e.R.B-
E!
3É
É!
a
i* lE a: d s c s g e ; 3 r, s ; * E ; i s 3ádR
ái¡js sigss § §g EBi3 833333
¿¡
á,i
-."o-!::jP:9sRiJR3R
¡
.!
a
ez
SAAPBSEePAe
SAAE?EERHP;f
Aes6BBA§33?AcB
aaEsg$+sñ¿ñd3S
t$s§gB$BE5§3$3$$:§*Et*33$3
e.EE{iSAFCs;eE3PE§SeAá
K RA;i? s Fae 1+99+ñBAñe ;r:
B
á8
¡ü
BEtEe.SaSq?-3.ñEA
:.ó
ai as§aaaER§FÉR.gE3€363ts
-á!
!t§
e
I
?
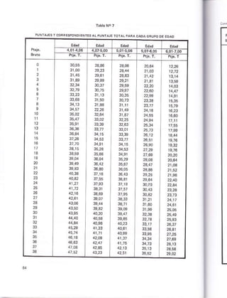
E punlaje Z es una unidád de @dida que expre* ta ubicációñ &t §uieto
respecto á un srupode ésiandarización ¿r Étación atprom¿dio y ladevirc¡ói típie
d¿ dicho grúpo. El puntaje z 6 a difáÉncia det puntaje b;úro
con el p.omedlo y la desviáción §landmd dé srupo. Generalméñ1e o*ita eniE +3y
3 puñros, siendó e p.omedio igu¿lá0y ladesvi ión standar iquata 1. Cuándoun
suj¿ro obliene un punraj¿ nesativo, quefe d¿clr qu..e enc0énrá bajo otp¡omedió
de .erdimielro drlq.rpo do eeeñda' zá(¡oñ r', cjdrdoobr,ereul pulbje p6 !r'o,
sB encuentra §obfe Esre pfomedio
S¿ obtuviercn lc punrajes Z, p3r. et puni¡J¿ total obr¿nido en ta pruebá de
PrecalcL o y B,a os subroer Coñepto! Bá!.6, Par@p(ion V!L¡r, Beprodjcció1
dE F,quraj, Beconoc'm eitodo Núm¿ms y C¿¡din¿tidad.
t¡s bblás lueron confeúioñadas en runción d¿ tos cin@,,rupol,deedad,paÉ
lo§ c!áles .e rca izó h asiándarización dal b$, Las tabla§ d¿t 13 át 1B p.rmi;n k
conwrclón dé lospunraje brúlca puniajss z.
A cónt nuaclón se in. uyen ás
Conep¡os Bás cos, Perce!.ión V sua,
hb as de púnr¿jes z
Rep¡odúccón do Fiqurás Heco.o.
'n
eiro
!
a
i6
az
g!
-"ó 3 s 3E : 3 3"q sB :! !38 *-q §§ 3B 5 BB: $
aq!-i3.8 39§ 3 : 3 e B A5 ñ -. E s P
;tr;i:iii'."""
á¡
6B
i'::s;Pé$a¡ R :S{;si3: g?EE s¡e
a
6P
Ei
*;
E§.E §-i3-ts-e.qte-Eiqñ ! 3 3 3 c G
!-;
E,§
ó,.óriójéÑjd@oii
sc
?
E
3
:,8
i":i-qEef ;§¡¿e3c?i ó¡9;9B¡ E-
És é ü i R- c.. : i -: : 6 i : i r, á ,l ; I . '- . ¿ É E R
q
EE
¡
a,
a9
!"
t!
I
{
E
i
6
§é3c.9.q!3!lg<6s3§ R: 3 Rs¿ R;ex
*!
§'
aq6.iEE;-óE§ E 3 33,1 3 e E E R a
T l11l1l; I i r:'.i
!"
E!
Eü
¡ i iBi c.lu.6.q Ei?{¡B E : É I : B R E s
e
I
Cracterísticár Primñétricá!
L¿ donflabiidad o únsrencia interna der ñrrumenrórue medid¿ a rávés det
procedimienlo ds Kude¡ B chardson en una muesÍa dé 346 sujetos, obteniéndo*
un coefcienre de 0.93. a ravós de h fórmú á de cutiksen e coelicién1é de
.oñfübilidad fue rambié¡ d. a on
dr.on'do' oéd.o- 58 sri.ro. dp ta f_ár¡á d"
|,¿;s del f{odo
*rara dá
'nF^clo
v .á 1, ó{ o!I wt"§ ¿.rc-o-o1ror
d" Bmoor 5e"os. .ór , 5 e,DárFnLdoe o.d'nnrá-r, Lá.o-t,cbtid"ooo."n,o.d
t éi del mefic hr ds PÉrcoñ fue suatá 0.39. con efos resu iados podemos
infe¡ir que el in{ruhénto posee úná a ra consisrencia inierna y que tos punrájes
obtenidos por ¡o§sújátos pe.mane.en basrane e$abtes a ravés dé riemóo
La va idáz der in*ruñáñró s e*udió á rávésde dife¡enres §istem*.
l. Un primr erudio de vatidez cóñcurente rue ráa izado cón et rúeropothan
Bead'na -sr tVB r
' er
'
ü T-"{r de 5l .,ióró.. orp
",.v.., * ár" o
".o,I dc tos l, leksso! o".onomios
El punbje de a Prueb¿ de P¡ecá cub rue corctactonado con et pu¡rale páE
lecrurade [¡ 4.T., obreniándose un coerjc]enrede corietáción jsua a O¡jS.'
Se corcraciónó ramb énetpuntaje d¿ ta prueba de précárcu ó c¿n etpuniajede
la pade malemáricadetMRT, obreniándos ún coefic¿ntede oao.
3.
Un .equndo sfltlio de vatid¿z cóncurenre se reátnó coreacioñando os
Funtajes .le a Prúobá de Precálculo .on l¿ Prueba de Funcionés Bási.a:
iBe¡d cewski y M ricic, 19741. La mú¿ria uri zadá tue de 65 suleios cuy6
ed¿des rlucruában enre ros 5 t/2 v los 7 años, de ambos sexos, y de tos rs
ñiv¿ es socloeconóm cos. E coer cienre de validez obtsnidoruede 0.69.
r*os r¿su bdos indican qúe lá Pfueba de Precárcu o evrúa p redetconsfucto
psicolóqico medido por e NI ropo nañ R.adines fer y por tá prueba de
La varidez prediciva der insrumenro se erud ó usñdo una evatúac ón de
rendimienloer ártmÉrica, realDada pore profesóra 6V t2 m¿ses pazo.
La eva uacón a 6 mess se rerlzó en 5a c*ós, cuando ros niños cu6abaD
Primer Año Básco Los p.oiesores coocábáñ ¿ los n
hát üs. Ercoálicientede córÉra.ión obtenido
lue de 0.40. E e udo de v¿ idez pred cliva á úñ ¿ño ptazo se rea úó en una
mue ra de €6 sujeios enre 6 y 7 añosi de añbos seros y dé ros 3 niveles
so.ioéconómicos. E¡ ind.e de corc ac ón obien do fue 0.55.
Los ¡esu bdos de tos *rudtos de va idez predicrva a seh meses y a uD año
pazo, sñ ¿decuado§par¿ ún insrumen¡o de evaluac ón psicoó9ics.
Baláción de lo! Punráj¿sde laP¡ueba de PréDálculocon las
V i¿b¿s Edad, NivolSócioeoonómico, Se¡óyJárdtn rnfantit
Se rca Dó un ésudio de a vá dez de mnslructo dé a prueba de pr¿.á.u o,
ana zando á reación de ros pufujes tobtes obienidos por tos sujelos coñ ros
crterios ds ¿rretif cación de a muerra: Edad, Nivet soctod.onómjco, sexo y
exPériencia en Jardlñ lnfanl l.
Con ests p¡opósiro, se réátúó un anáts s de h varianzá de os promediosdátos
g'-po! d" I ero +9-n. . eddo n¿ ¡ubmrer,d oe
l00c¿sos, obren dáde á mue{r¿ r.hr
Oebdo a que los p¡oñedios y dnvi¿ción* ripcasobien dos por ossújsros en
6b subnusúa temñ una prosresión *melan¡e a h obs4ada án k mu*r¿ ¡orar,
se erimó que represenh uñ marco ¿propiado DáÉ sludiar avaridez de consrú ó
de h Pruebad¿ Précácú o.
E
t""
[:
E
t*
h
E
E
E
Er a¡álisÉ ds 3 mos,ó eieclos alrañenre sisniriÉriros
(p < 0 001 I de as v¡ri¡b es edád y ñ ve so.ioe.onóñ co en os puihjo. obrenidos
Lás d lerenc de os prómé.ios obt. dos lor os sfupos de § jetG s¿§ú¡ su
edad, Juron coirar¿dos.on ]a p,úeba de Tukey enconrándon que ro son
s de ed¿d, pero si
üd¿ l? o más mess, éxceptuándo . qrúoo de eda.l iltr or 14 años I m¿s a 4 ¿ñós
6ñssl quesi*.rirerencasqnr.alv¿m¿ntede srupo 4 ¿ños 7 me*s á 5 años
Eros lesultados.os penn t¡ ¿r rend ñ enro de losniños Én ¿
prueba s rcremenc a med da qup arme¡b.u edad nonoóq ca, e*e lncremenlo
sóro se ha.e sisnif Gr vo cu3¡do os niños tieñen a ¡o menos 5 3ños y d I eren e¡ r2
o más m*es respéc1ó á ¿fr ¿b ¿ Ed¿d
En dd¿d¿s m lempnn leñte os 4 y 5 añosl ¡ásdiferenci¡sde rend ñ ento
obseivadd sisoi ssñ r.¿ri! co
Ero res! t rác menie .omprens
á.,áp,do ei aseda.res más tmpñnás.
Ei.uanro¿ a v., ab e Nivel so.ioecofóm,co. e Ére.ro ob*rvado ei e arálisk
de variai,¿ lue an¿ os prome¡r os obtn dos por ro5 suleros dE
c nñer* ab. Medio y Bajo
No s. oncónr¿tun dif¿Énc¿. sgñiricar! en errendimie¡ro obrn.Joen á
Prueba por os nlños de N s E
a§'rifeÉñca. de renrrmeñto de osñ'ñosneN.SE Ü¿lo, respecto a os otos.ios
El he.ho d¿ qus ros riños de N.S.E Eato obreñqan rendimenros soniri. va
4{ o, Arb onre d"..ñ
lo' SdlLToo oP or.o "!¡ oio.
1F 'oi ¿,o.d!ó d"d".EGcop oor,po oeS- €co.
qé.pq'od. d r -c doó d,c c.pÁ.pa¡F'. ddp6Dmdme*senJard,n
ordo !. P!-o.o¿ a' d ¡'"
so? d" ¡ ?a. io. o" n¿,or;o"o.
a ."dl], o".d
ur D¿ndo ¿ Drúeb¿dE srudenr.
5e P'o,'o oF ". d e4 k ob*1."¿.q
." a , s . é, ps, Fn, c f ; d n
' -,q, ,.,r" _os.¡io o,6o
ó1ro q Ábd oo o.¿ ¿r.
'
o o, e ¿q." 05 ,¡o .r." m, cr -r;o 6k e^mrun á
q-e cir'.1¡ "de
. ro- 3; (ó é s.nor. t9-5 , B-d, "s y vn,,
r9l¿i o bl Doo ce.ocÉ,.cpnróro-r1,r d,;
'"{c.F p¿.c d drv.o o1¿o" !o,".D,-d,4poet.áuto
que con elaprendÉaled¿ á recrun
El presenie rabaio tuvo por óbjeto coñstrun y e*anda¡Dar un ndrúmé ó
desiñ¿do a eva uar el deürollo de peñsañienlo matemárim en niños enlre 4 y 7
E. su lorru orlsina, ia pruebá conraba de 124 ilem asrupados en l5 ársás,los
que, después deiprimer ertudio exper menra rea D¿do con elpropósnod¿ hacerel
aná skde ítem- oúe¿aron r¿duc dosa 113 í1em áqrupádósen l0áre*.
En este añá ish * elimináron 4 í1em por tener una corelación punto bheria
nJerior a 0.20, mrsen esbbecido como límite párá a acepeción de os arem. La
elmiñacióñ de os oros 2 irem * hlzo en raz6n de que estos eran de raa ización
cómplejá y perteneclan al área de Beproduccón d¿ Figuras que rcñfa un número
Las áreás dellnidas como básc para elapeñdizaje de
conlorman el marco teórico, en ba* a cual.á conrruvóel
3. CorespondeñciaTé.mlño a Término.
5, BéDroducc óndefiquÉsy secuéncias.
6.- Fe.ono.imentode F su16 Geomátc¿s.
7.- Feconocim ento de Números.
I- Sóruclóñ de Probleña§ Arrméilcos.
ls dos estudios expe¡imentales rea i¿do., é! priméro en 346 sujéros y él
án 712 sújerós, quedó en evidencü el carác¡er evo urivo de a p.úebá, yá
promdio§ de rendimien¡o de los s.upos de .dad van en as.án§o a medidá
queaú'nenta la ¿d¿d crono óoicay 1¿s diierenciás de rendimlen@enre osditoreñtes
9rupos de edad es sisñiflcáriva.
Ráspeclo ¿ a consfencia inre¡na dá innrumen@, éra se *timó a parir de
oüli , " .co I,o
Gu kseD, se obruvo un cóericenie de conliab dad core§poñdenrá a 0.s8,
con§idsadó a tamenre signlficrvo para sitmar k conskrenca ntemade ta prúebá
en §u primáraaplic¿ció¡ exFer ñenb.
En a.eqund¿ apric¿ción exprimenta, s erúdió a coñtiabt i.tad de aprueba
a tavés del márodo tef retsr, en 53 suleros, en.onrándosd un coeficiente de
conlábi dad de 0,93i o qúe co¡stituye un adecuado ¡iverde enáb id¿d dé tós
punrajes obtenidos por los sujetos en 2 apricacione§ sucsivas de a prueba, cón
E estud o de ]a váridez de consructo de ¡nrumenro se roarÉó conrarando
os putrtai¿s tola es obren dos en a prueba con os cr tofios de enfátlica.ión de a
ñuestra 1edad,sexó y niwl socioecorómicó), a ravés de un análhis de varhñzá
,ooo,,"o,,.,oLUj,.,
meie d rerenie*qür r¡ ed¿d ye N s r, srn quc 5. obse ven d f.Íén. ás de rard
Respecto a a inlluench de ta va¡iab e expertenc a de 6 o ñás meses en J dín
lnfanri, se enconró qw os suieros que poseian és¿ experiencia rendian
sqnircarivámenre mejor eó aprúebaque o§sujero§rrue @recí¿n dee t¿. E e*udio
dé va ide, de cónf¡u.ro de h pruebá mo*ró, uña vez ñás, e cáráctér¿vo úrivode
edad cronoógic¿ os sujsros obrénen un fendtmienro
ssn ficariváñente mejor en era.
fañbién quEdó demo*mda 3 inltuenciade tavarable sttmú ¿ción ámbienrát
3 0 ó o: .r¡ero' oo  ..E. é.o , d'l'erc !9,f's.,Tq."
supsrióresalosobtenidospof lo§§ut.rosdeN,s.E.bajo.
Por ora pañe, ta inl¡uéncia de hexDerenciaen Jardín tnfantitmosró también
" 05 " cbe, rióro( a
o' {r"do eñ e ¡cooPr"p,e.di7
asi, coñ os ddos obEnidos da los érúdios dffcrhos, s pueda áf rñarque a
prúebá pósee eiedivañentg v¿ idez de conrructó.
Oebdo a que no se dsponía de in{rúñénros que evarúen un conr¡úcró
pscoróslco suála de a Prusb¿ de Precárcu¡o, e e{udio de h vá idez concurenre
.re el¿ se fealizó ññrárando os pu ¿]6 obrn dd con dos crke¡ios externos: ta
o ebddóf-.!or5 3.. ". o"v,.,
.¿ oé b5.rjaró. obF.'e rcoe
¡.,.04' -.e o" á.do .oflufórF d.060
de 51 !." o obF- -oos u. loH.a.F oe 03ó t..o..oqi.c +( p-n -1
afrmarque aprúsb¿ posee un¿ va dez co¡curcnie banan&adecúada.
E¡ b é a ra fundañeit¿ción reór ca y a] anátiss eradhico de os d os, *
aconsejs el uso de a prueba en.iños ¿ñré 4 y 7 áños, con e objero de eutúrsú
niv-é de des¿rolo en e áréa de penúmenlo matemár.o V dét¿ct¿r, tó más
p¡e.ozmen¡e pos be¡ los niños que preseñran d Iicu rde§, ránto en rorma qtob¿r
como en ár¿as *pecilicas de a prúeba
En ¿ med da en,rue era es !n¡ prueb¿ ds uso ps cop.d¿qósico, tosñiñosque
presenctr ¡ licuit¿des en era 5óro deben ser cóñsiderádos en téf
o arlecuado eñ la§ áreas med da
clo a su capaci.iad nie ecruá.
Cuando s encuenren reñd m enrossiqiiricarvsmenre d¿fi. enhs en ta p.uebai
r ¿on*j¿ realD efudios pscóó9ico5 compEmsntarios, cón e objero de
dererñ ña¡ ¿ poslbe eiioroqh detcu¿dro.
En cáso de qúe os punrleserén muy bajo oespsÉdo sesún k edád detniñó,
se recom enda . d¿rivacón a oros spe.ia ras, pará eo a uñ diaonóntcó
multdh.ip nfio lneuróloqó ó psicóloso).
ciedamenre,bajos Endimentos en e ¡eni espec a meñrs cuañdo hsronc ones
erán p ejamente dhñinuidrs, pueden erar asociados a p ooshs como nvel
s n emb3r§o, a ju cio de lás áuroras, er propósiro deevá u ¿ !n ntño no Duede
nl debe ser ¿ '?orulano" sióó proveerro de prosremas de
ereriración, tendentes a supsrar os dér.ir que presénra. Agunós sjsrcicios p a
óiños enre 4 y 5 años se ¿ncuenÍan derr rosetr 'Pin Pin Saca Cuenral, do Milc c
y schmidr (19301, y par¿ niñós snfe pueden enconrár en
''Cónv sndoc.n ros Números" de hs ñisñ¿sáuroñs.
L¿ ¿p ica¿ión de un nr¡úmenlodeeva ua.ión como ta prúebáde precácu o se
relaciona coñ la posib idad de dst¿ciara n ve preescoary ¿ in code a Enseñanza
Btuic¿, ros iiñ6 de pres¿rtár probeñ de aprendizaje. un
d ¿siórcó opotuno br.d¿ a posbitidad de proporconar
remed aes que Drevienen erJrac on elo as secueás
emocion¿ésy os probeh¿s ds d
La lnforñ¿ción proporconada por ¿ Prueba de Precácuto semprs deb¿ sér
enfrentadá en rérñnós de maduñcióñ de funcones, próveyendo sempre ds
aft*n ivás dé solu.ón, vá qus et e¡regar ún diaqñórico, sn proporcjonm tos
a soución de Drobtema, !ende a agregr ansuria a h
Lá Prúeba de Precá.u o púede s« uli záda hnro a ñ ve ind vidual .omo á
'i.e dP '!" o" .oü-o de o( ., io o-pre. de
¿q. ¡ o o9..
'd.d,
o'i.o
¿p cación Drevi¿ púede serv r de í.d ce det progrcso
Fina meite, rá comproba.ón de dtler¿ncias si§nifc¿tiv ei os r¿nd ñienros
de os niños, e§Deciálñ.nté de los .rht¡tos n vees soc ocu turates, ssnifca ¿
ne.éidad de adqulr I e cómprom¡o de desafoláf ef rosde ¿nseñanza que tiendán
a súpr¿r ras condlcoñ¿s tós niños en slu¿ctón
Era prúeb¿ srá derlñadaa Évaluarelde$ró lo
enniños.uyasEdadesrluctúanente4yTaños.
El ta* puede ser aplicadó en lorma indlvdúa o
coledtiva srupos de no más de res n ños enre 4 años
niños mayores de 5 años, el grupo puádé n.run hada
cokcrivas es recoñendáblé conrar con un ayudante.
ANEXO NO 1
derrazónamientom emfi.o
cohctivá, enléñdiéñdole por
1 rs y 5 añosde edad. Para
l0 niños Eñ as ápliGciones
Dádas as caracterÉlicas de ter pu¿de ser adminisrado por p¡olélores dé
Enseñanza Básicá, EdúGdo.es de Páruu os, Psicóogos y oros especiatjsras en
Er ind.pensbequee examinad aprueba, ¡a.rod4de
e punto de vkb tórico como práctlco Se recomienda úna primúa apticación
in¡ v dua, para íamilkri¿¿re con lás innruccionésy rá paue d¿correcci6n.
- Cuadérñirróde rapruebay ápiz nesro, de mina bianda
No sé permitúá al niño e uso de lápics de .olóres, p6c, em n gomá de
borar. Ej ñpodañt¿ déjar luera deracan.e de 6 n ñós cuatquier etemenio
que dislra sa o disr06ione olrend
un cuaderni o d¿ innruccones, un cuadernillo de lá prueba,lápics
de reemp ao, sacapuntásy ré ojpr¿.onrolde t eñpo
- Pór la inauenca que iiene erambieñré sobre el rándidiéñó det niño
e. neesa.lo cónsidefar os sisu enle§ asps.tósr d §po.er de un
,]
3
perm ra ubi@r a ós n:ños a una dfanca do
dLódedo dc | 1ór o
¿Ii¡c ¿t .r'-re,r. F r¿.rtrdosdard.ro,e
con s riñ do ñó p¡oducn nteffáréncas
Función¿s d¿l Examinádor
CoñpleÉr, anresde ta ap icaciónde ta p¡úeba, Gd osseneratesdet
n ño vsus padres, que ap¿recen en e protocóo
2 2 Ubióació¡ de losniños:
- Alubcara ós niños en sus ásienros, e exahinadordebÉmoriv ros
suqúiendoelini.iodeontueqo.ón ¿ f n de ranqu tizaror,
2,3. Enteqa deCuaderni¡os de aPrueba
Es iñpo(ante que todos os ñiños sean soñertdos a as ñhmas
tó que ésü§ * darán texrúa mente. En forna
e@ntúár se puede repei r ta in{fuc.óñ, si uñ ntño noha enieñdido.
La voz debe $r ciaÍa, pareja y a tá, p¿ra que enrieñdan tá bfeaque
Dur¿nt a ap ca.ión, e examinador cúidaráde queetniñoconrere
e iiem corespondlente a ra nsrrucción y maraue tá rcspúena sobrá
25 Pci¿ ., - o-e,os. ó. o r.,¿o e ouF .o o q .ede c h
!Étd de 4ló. lc pdq.¿ "n o-e dFoÁr 1áGrc¡. oa.c eto p É omeñoo
2.6. Dar recreos cuando as n ños o né.eshen Los recreor dum nuven d
f¿ o r..qd tu' nó. oc.c .iño§ 1 slo.ór
de c'n.o ¿ños y dos o re! páru
2.7. Feo *o de ob*tua( onei
Er.s I f cdo'.-o d¿ .: d.oefl os ¡été!o. F. oot p.o, 4o oe cotha .ó_.1
h hoáde d:bso¿nr:.sdc.e¡¡ ""
En.aso de áplicación co ecr va, te coresponde
coabomf en a dhribúción de os cuadárnitos d¿ ta ptueba y ápies,
/esisrar datos seneráhs, dar vuer as páqinas cuando *a ne.eefió
a d pigiá " 'Fm
qr"
o,,":po d. Loo. á t" ,r,ó. @ oL; rt ".,m. I
El 1e* no conrempa tiempo lijo dé apricación @É cadá ítem Cuando t¿
prueba se aprrca en forñÉ coectiva, debe esperarce que et 9oo/ó de os niño§
lEn sre subtef, e niño dsbe dhcrimiñar conceptos de.anrdad vd mensón:
sñnde, chicorlarso, coto;ancho, ansosoja to, bá,órmásy menos, etc.).
l. Dásina d¿ lá ñáñzán." 10áqiná 3)
á siquieñto En caso ¿e ¿Drlcáción
pare dare cuentade sielniño o va a
S en aguno de os subters el n ño no respondo a t¿s ítem conse.urivos,
cont núe en a pásiru slqúiente.
El examlnador debe docir o s 9!iene:
"En este cuadérnilló vamós a juqar a hao¿r alsuños elercicios. Tiener que
tabajár.olo, no hablfi mn tus compañero!, y i rion.s árquna prasunia quo hácer,
leeáns el dedo; no hasas ¡¡nsuna marca ántes que te ló pidád, no ábás el librito;
mientas $ñ1o, pin€ ¿l dibujo dé ¡a üpa. Una vez que todos los niños ¡ensan el
cúadernilo, disa "ab¡an el cuadernilló an la páqlna de k máñzána" 1pá9. 3). lEn
efe momento. anote la hóG de comienzo).
11
't2
13
1
2
3 n ñiracon elpe o más larso
3
lá páqina del plárano" 1Dáqiñ¿ 4):
ñl¿rcá alnaracon e .uelomás larqo.
N1arca elñido que érá lleno dé pájarnos.
l¿ pásln5 ds l¿ pera" lpásina 5):
blusacon as mangas más.ortas.
pecera que tÉne msnos pesádi1ós.
1Da vue b rpáeiñ¿)
"En lapásim d¿táíiurilh" (páqina 6)
l¡arca el nrrumento qus r ene máscuerdas.
Marca abóté amásansons.
Mrca a burands más3nsora
tDa vu¿tra h pásina)
"En la pásjna dellápiz" lpáqina 7ll
16
21
26
30
33
35
{0a vue ta a pásina)
1En lós irem 25 a144, á rarea det n ño cóñshre én enconrar: tarisuraqoe*
isu¿l a modeo, y3 sa po¡ su hmañoi forma y postción; e áemenro dlerente
deñro de una ser e y bmbián e núñe/ó ó cfra numé¡tca isua atñodéto). Diga a
"En lapá9ina do l¿¡guindar" lpáqina3):
"Eñ ra s¡sinadel$pó" ipáqiña 9):
En a ria de os.ábátos (ñonrar)rarcáe que es dtJerénte o distinto a
En la fl:¿ de s aves (ñorrar)marc3 tá queesdiJeréfteo disunr a ras
-d..c d c,e a. o %r. ró o d{ nro ¿
En sú rh lmorñ.] m ca át dbuto qúe e§ diter¿nre o dsinro a 6
aqui lmonr¿rlmarca erdibujó que sdirerenle.
A.rui lmorrar) m3rca t¿ riqura queesditerente.
Aqúi lmorrar) marca á r su.a que es disrinb a rasotras
lDavueha h página)
ls pásinadet s6tto' ip¿s,n¿ rO):
Aqul lmcrÉr) masé numeroque s iqu¿ ¿eré lmorr,¡
De,reñ40r44
(Darvuetb tá pásina)
hsm 40 Aquí lmosrrarlñarca tos números que son igua esa ene {mo{ra¡.
llem4t.l44 Ma¡ca et número que es quáta ésre (mGrar,
(Ere subter evalúa a hábiidad d¿ ñiñó Pará de§cúbr r á É¡ación exisrenie
enúe ún e emeñto y oúol
láp¡sin¿ dera raza" Lp¿qin¿ I tll
, Aqú' háv d6 ftar de d,bujos, un€ uon una Ln.d cada d,bujo de e¡c .
rmo!Í.rl@n k lisuráqu. té corrc¡ponde de da orc fta tmBúarj.
tcábato.on e objeto que te.odesponde
Junta con una raya e s¿ncho {mofán
cofesponden en efá otra lia
Junra con únts Gya ta aco¿re¡¿ (morÉrl
coresoonde en ef¿ or, riá
rayá ta ouasúa lmost¡ar)
corre$onde en ésra ofa fita.
ruñta con una reyá e caro {ñosrrar)
Juntá con una ray¿ h frecha {ñGrar)
lEre §ublst eva úa ta habiidád dern ño pára
se encuenft e.la ubieció. ñencionáda oor ¿t
Disa a ¡os niños:
"En la páoihá d6tpolo,, 1páq na ]2)l
Itáñ 5l Marcataúhima pipa.
52
Márca e r¿rcsrcr¡o despoés de ta ocoñoro¡a
[¡arcá er rercer rriáñqu ..
(Davúeia la págjñal
.l
(Este subt¿r exise a n ño reprotlucir riguras,
secuencias afanuháfiÉs, a panir de un modero; v
re acionr objetos en un o¡den o serie.)
números, paf on6 percepiivos y
evaúá rambrén i háb idad oara
"En lápáqinád¿ lama.¡pos" lpásina 13)l
lrám56 - En..'. .r.o.o
57 .n-- ,4do erc-t'pdcqFqu"oe¡q.d.at
53 - En erecuadro lmostEr)d bujá ási a isúatarmode o.
59 Ahó¡a, dibuja e Écránsulo qúe squé, para que quede isua a ñodeto.
t0á vueha ta página)
"Eñ la páqiná dálssro" ipág ñá 14)
hém60 -copia et núhe¡o ,,7,,
lm6rar)
61 - Copia et nú meró
,,3,,
lmcraa.
62 Coo's "1ruñro ,' ' Tor,r pa.s q.e o¡d",qr. árnoo".o
63 Ahot .oD " er nlrá.o hg'pr'c't."q-"de (La
"t Tooeo
tDa vuehá tá pásinal
"En la página de h eá" (páqna 15ll
hem64 PinG los cirútos qus e.rán vac¡os lñorGn pmaque e qued¿n quata
é*os lmo*á¡.
Delílem 65¿ 67 h iñd @ción es a mhña.
iDá vuetra Iá pásna)
"En la pág¡na de la uyr" (pási.a t6t:
keñ6S En ar o"-elrp
'ro.
,d, r,i.orpe..d,blj.
Deríem 69a 79 tá ndi@ción es a mismá
lDá vuetb h páq nal
"En la págiia delconójo" 1páginá T7):
Itém 75 - Dibula ¿ ftoúra quedeberia ssú:r an.ft co ar
Oe ltám 75a 30répúa ta mkma insrrucción.
lDavuera apásina)
lF{. súbte* eva úá ál conocimienio que e nlño riene de conceplG seoñeri
"En l. pá9iná del p.j.rito" lpá9ina 13)l
Item 3! fi4arca elcú.d.ado.
32 Marca élriánsulo.
a3 Márcae reciáñguLo.
34 Ivlar@ hs milade.d¿flor.
35 - fi¡arcá els]oboquelle^e a mlrad nes€
(D¿ vue ia a Páqina)
ó .dpá( o¿o de n.lopá"oo á'ernoñoFoe
s roro G'bán ñ:dé rd
¡"¡ll¿"¿ ."" ¡*t¡r"a á ,¡.ero de obierd que hav en una s.rie v reproducn,
si;uhndo ; odú d"dá pú e ¡m nador ranios má§ o ñeños elemenrÓs )
"Eñ la pági¡a d€ la cop¡" (páginá 19):
"En l. pálin. d.l tomPo' (Pásina 20)l
Ilemg3 - Esc¡lbe en ere cuadro, el
hem 36 En osta lik (mostrarl encierae.
a7 En eslafllá (mosÍaa enclera¿n
3a Eñesúli¿lmosrmr)encierásn
s9 EscrtbEeñérecuadrolmorrár)
90 Escribé en efe cúádro lño$rar)
91 - Escribeeñ erecuadró lmorre¡
e2 - Es.ribeen ¿ ecuádro lmorrer)
mkmó ñúñero de bollras que háY áqúl
que lasquehay én e modelo
ddc.rnó men6queláEque háv en elmodelo.
s7 EsÚibetrescsitas
93 - E§dribe ñás casha§ que las que hav én élñode o.
iBa vuelta la aáqiná)
1Eñ esá súbtest e n ño debe
a un número y iámbién esc¡ibr
misn la cantidad de elementos coresoond enrés
e núme¡o que coreslonde á úna dere¡mina.t.
"En ra páqiná d¿ h piña" toá9tna 2l):
k¿m 9S Má.cados pscados
100 Marcaircs pelolás
101 M cac nco h¿ ados
"En ¿sta lila esrá dibujádo et núm6ro 3 y at tado u¡ con,uñio de 3 ctrdto!, ahod,,:
ker 102 aou o,ouia ¡cs p"o. .c,qlr o,.élpoñoer a
númerod bujado 1morrur numero 5l
103 -Aqui lmo{¡ar) dibuja hs p€ orit* que corEsponden at númÉro
dibujád. (morrar No 7)
104 Aqui lmosrGr) dibuja tas petotnas que core$ónden at nt¡mero
dibujado {ñó*rar No 3).
l0avúeha h pásina)
"En Ir pásiná dBt rctoj" lpá9iñá 22)l
' En l. pnmera lib¡áy un 6nrunto con cu.ro c,rcutos v .r tado etnurero que to
lbm 105 Escribe áqúi (ñóslÉ, e ñúmro corespoñdiente á ta canridad dé
pe oritm der conjunio
Delñem 106a 10arép¿i. a mism inriucción.
lDavueha h pásina)
1En. efe úbe$ se pranrean al niño probtem simpre§ d¿ adición y
"En lá páqina det cucharón,, tpás na 23):
lrem 109 E5cúchsbreñ oqusEVoy¿de.r .y.kñÉ5
ri¿ de bo irásm¿rca ásqde m¿ qúedáron
Il0 -'Tú ien 3 h.ado5 y
111 - "Juanno kñh 3 cá§ir* y ¡esa ó 3,,. En á fih
que qued¿rón.
112 --r,,h"oLn.'t"o¿ -" e-b6',en,o§ /p.sot-¿.roñ.! Ma^q
(Da vuerü a páqi.al
coñrunros * h m sm¿ o diterenE )
"En lá pásina d¿ laíor, tú rima páqina)l
Marca lós par* dé conjunrósque ti.nén isual núñ*ó de péto¡E'
lbm 113 _r'-d" bú
perorrá5oreháv ón .cd4¡ó- ,rro .,.oñ,gldql
/ó. r,i,ro. . 50- d,
rr4 E. erd r, á .To,.ái. ,dv. r c ms .o;r., oad. pe o ".
§ rón dE!nros no h¿q¿s ninquna mdrc¿.
Del ltám 115a llarepern b m smá instucción.
ANOTE LA HORA DE TEBMINO Y DESCI]ENTE DEL TIEMPO IOTAL
OCUPADO EN RECREOS
ANEXO NO2
PAUIA DE COBRECCION
DEL TEST DE PBECALCLTO
CR TER OS GENEFALES I]F CORRF" ON
Ei fef de Precá cúro conn¿ ds l0 subrefs, con un toe de I 13 ít¿m. Eros s
dividen ¿n item de seección mú r pls, copa, compémenlacóñ, unión v resotuctón
La corrección se eiectúa de
Si la respuesb es corecra, se anoG ún punto ir )j s
se ¿rora 0 punto i0);si * oñire ó no s aborda, se anora utr signo ñenos I L Si
además de h árernariva co ecra e m¿rc¿ ora, er irem sgcónsidere incor¡eóto (O)
Pare el cómputó de resu bdos f cuenGn lós iteñ respondidos en torma
coirecb; p a cada §ub¡e{*3ño¿n sros puftajes y
puntaje ro& deltélt, pudiendo obteneree un máxlmo de t1a punlos.
Los punrajes bruro§ robhs y ros de 5 súbrer5, sé faisfo¡ñáñeñ resriposde
puntjes esend D¿dós: ptrÉm 6, puntal¿. f y puiiajes 2, cuyas rabhs se
encuenrai e¡ ercapítu o V.
Es ds ehccióñ de examiñádore/lipo depuntaie enandarz¿doquá seurjizará,
." o¡ "rdd,dos - oon -" leio,
o} o' ]c ¡ b, ,lo. a o
',r
po dA
puneies ebndrDad6 no resurta Éc$ria
2, CRITERIOS OE COBAECC ON OE TEM DENIRO DE CADA SUsTEST
Ese súbreferá conrirúido sóropor item d¿eección múhiph
Se coñr dé¡á lá r¿splera bueñá, .úándo la ñárca hecha pór el
encuentadentode alqum que co¡re§pondea aa terñ ivá cofeda
La respuera s iñcore*á cuando la marca erá hécha rúera de as
.úándo e¡ súFió mrcá 2 á lern
Se.oñsdec omirido et rem cuando no m¿f.á ningún¿ o ñárc¿ fod¿! ¿s
- - -9{1 111..." :"'.":..oe iq.,4do do-",.o..o, ",,ne o ..
2 I yc.¡
sú.Ps.al enr" d"o"rdÉndo drt, uf qo op dre.c,o. de Ldoá,hm
I. SUBTESf DE PERCEPCION VISUAL IIfEM
Ene 5ubr¿sera.onr ¡u dó por remde
Se siguen los hism6 crirerios descrnos
Simarca e modeto seconsideraom ri¿á
S ñ.r " ". rodJo l
 -ora Érnodsó r -ras¡q.crr," n!c,e.a r p,m;á p-n.r.
.IA fEFMINÓ AfEFM NO {IÍEM45 50)
Ere §ubtfconda.le ítem de unióñ de 2dibuios.
Si un dibujo de iado izqu erdo i.o uña l) e{á un do cóñ ¿r dorespondiente
del lado derecho lco umna 2), * considúa co¡¡ecro aun cúaódo e de a.otumna 2
e$é también unido con óúo de ádonqúe.dolcoúmñat),enesreúrmocaso,ta
¡espuer¿es incofece pará d ófo irem.
LE§ i¡TEM 51,55J
E*eesun subrerde s¿eccióñ múrt ple.
Se comlurá l ounto simarca ¿ a terñ iva.oÍr¿.r.
Simarca oraahe¡ñatlva, ademásde h cotrac¿,no sed¿ púnrajs (O
Simarcá una alrernauva edón.a,0 Dúñ1o
_ Elc 'r- o54 o.onóro,d * ro.sioq. or,,,do p-s
GUFAS Y SECUENCIAS ITEM56.30)
Ens súbtesl conra de: a) freñ de copü de rigurá., ñúñeró. y parrónes
p€rceptivos (56 ár 63); bl rtem de compección con modeto 164671;c) írem de
Éproducclón derlguras§igu ¿n¿ó uná.ecuénciá rósi€ 163 - 74)
En los iteñ 56á 631á fisura debe:
*b¡denfode recuádfo¡ ño imporá eltamañoi
la riqurá ¿ebe se¡ re@nocib ¿,
la lnveBión orobciónde números* consideErá ¡corcdá l0 puñró).
ro No 3lúq r/á126)
Se consdera corecro cuañdó se maren tos mkmos círcutos eñ tá ñhmá
úbicación de modeo, no importárdo ál tipo de marc¿, .iempre que ásb qu¿de
dentó ¿e los.rr.ilc
Se cónsidera corredto sielnúñero o terá erá
el luqa¡ cordsooñdienie.
- Se conside¡a incorÉdo si el número o 16rá
esniúre éslá inv*tida, o §ise omite alquna,
Nota: VerAn¿xo3, pás, a.
En los ñem 75 - 30, de ¡a pa.te c dállubrst:
Se considsa corecto, cuando lá fiquG coresponde a ta secuencia y ¿s
ubicado dañró dél /ecuadro, en
érá fuera del recuadro, si su
Ere subtesl esná con*itúidopor item dejéección múhipt¿.
Sécomputa I punrosimarca ¿rrárnatiEcorects.
Sa coñputa con 0 punro: si marcá una á rerñátiva inóórrecta o bi6n omhe la
Se compue con 0 puñto si además de a at¿rnátiva.orrecb marca or¿
rO DE NUME8OS I TEM 36-93)
'i
qo¡e Fñ dr
',o'od.,
Par¿ lor írem 36 37 - 33:
s compu¡a con I púntó s
además dÉ acorccla una incorecú.
En los hám 3S 90 - 91 92, se coñsidnan cór¿ctos s e número es
reconocible, y erá deñró de recuadro, yes in.oÍrácroste núñároená nvertidóo
¡ibuiaór.númEroounafisrra re.onocibe lVerAnexo3, pásr2lar26)
En ¡os ítem 93 - 93 no mponan a ca idad detdibujo ñik dfan.iá enrre uno
yoro,r ro e númerodeeéñénros dlburados,
Ere subten conliene ireñ dá sereccón múhiper item que requi¿r¿n ta
¡epródúc¿ión 9rá1.¿ de ehmenios que indiÉn un deerñ rádo núm¿ror contene
atem en qoe e niño deb¿ dibujar e número que cofespoñde á una deteminada
En ior írem 9s 100 - 101:
se da ún punio cuando e ñtño m ft o núñerc de eemen¡os pedidos en
Se d¡ 0 púnio, s ue os pedidos o si omite ta
Los irám 102 100 - 104, se consideren corectos cuando á niño dibuia e
'
rTefo da fqua. corepordiÁ
Los ítem 105-106-107 103, se consderan corectos sié número que
correspoñde a a cañrdad de figúras,erá denr¡o del recúádfo.es feconocibé y no
IX. SUETESf DE PROBLEMAS IITEMlO9.TT2)
En sre subier e niñó debe marGr en cada iiem asfigures quecoréspondan
álnúme.oobte.idocomo reulbdo en h réso ución délproblema.
X, SUBTES]DE CONSEFVACION IITEM 113 - ]I3)
En e.te §ubtest et niño debe ekqn ánrd dos atErnatvá.. Cúáñdo ámbos
conjunt6 t enen isualnúmero de íremdebe hácer una ñárca y cuando losconiunrós
lienend ferente número de e éñ¿ntos nó debs marcar
Para éfe súb¡er, ¿ún cuandó ra prueba haya sido
elexam nádor d¿be tralar de erarjunio a n ño,cuando
de que a obiener ós resu rdos ño * computen comó
ap iedts en forma colec¡iva,
és¿ únteste, con elobjeio
co¡iectos ibm qúe han sido
ANEXO NO3
Lín¿ás agregadss que ñó corrcspoñden
a a loma de aligura
No respsta losánoutos v e fáhauñ tado.
Norespec losánsulos n lá proporción
r--
I
I
)
-,)
)
(')
lnvereión y rigum nrecono.ib e
Núme¡o in.omplero y núeve inÉ do
A-5
A § A:
A-t A
A-l A-
H-27
H -2,. H -2»
H -2'
Tmzós aqrcqados ál ñúñero 7
H -22 H -2-1
Numero 7e p¿ Pce ¿rnúmero 1
P-83
P -93 P -:3
Número a ,eeñp az¿do por 3
P -:3 P -o,3
f¡azos asregádos hácen iÍeconcib e
P -.-,3 P -tn:3
LM-496
LM-4o'6 LM-4r,,6
LM-4-.6
D bújó ún nümero 3en wz de s.
LM -4.6 LM-ag6
KR-128
Kk -128 K -428
KR -128 I
r§_ -128 K -?28
Let¿ R m¿ ub Gd¿ ytdk¿ ernuñ¿¡o 1
RVT-651
/r%l I
R R T-S 57
R rT- :i,
aqrsó un número y atreróetords¡
RVT-,-¡ RvT-[ [ 1
BS-306
Q§- joG ]s- oo
BS- aO¿ s- $a
Om rió era B y núñero6 re(oioc btá
AS- }O s-fu1
Alreró orden d. ñs n imPros
SUBTEST A ECONOCI MI E NTO Y REPHODUCCION DE NUMEROS
1
Akeración de rortu y endenc¡a
Téndencia á la pé^everá ción; n úmé ¡o
!
!
()
a)
(-,
Núñero no ruE dibuj¿docomo Un dád
§
1
Trazo *rticalde 7, o¿rde adir¿cóón
Crb No l: F o,ororóq.".""
seou oo ).
'p".c
o. r¿.d ¡ r.¡dn, er ñ .opqo da
Lopr.'.J".obF- oo oo, er.ilo,Á o
'.or,"ro"
Como pu¿de apreciáreé, á punraje srobat en percenri e§de JávÉrpermiredecir
qúee n ño §é encusntra sobre e 90o/ode srupódee(and zac ón, es decir, qu¿ se
eñcuenr¿ en e srúposuFniorde rend mún¡o y qú¿sóoen e ároa dereproduccón
d¿ fguras y scuencas se encuenra rqerámente bajo erpercenr r50. Ere úhimoés
un perenti bajo en reacón álrivelde rend ñientodetniño,e.dec¡, ¿fa túncón
tene ún¿ d spnsóñ ñélar va, respecto á prómed. de o ño, pof to que sría
acons¿jabh reari:r un¿ eiercr.ión *pecifca en s& ár¿¿.
Erreslo d0 or percenrites fu(úa enree percen g5o/oVdpercenri s6o/o,
101 ;do.Éoo.L.'o
I or cL o.' o .e ¿ r)aoq. .
slobJes, alniño sobrd e promedio, a 1,13 punrossobre á, fenómenoquo es parejo
prácri.¿menre para rodás ás run.io¡e§, !on sxcepción de r.produc.iói de riguEs y
sécuenciss en qué áná a 0,14 dd*iáción rípc¿ de p¡omád o Efo ñdtc¿ que e
d*rolo dá p¿n$m enro má1omárico de nñoerá§obree lim le EpeÉdo paÉ 5u
edad, con ercepción dertea.le reprodúcción de rqurus y secúenciasen que,5ib ei
promed o de su.dad, es adelin 1v¿menre balo su prop ontver
En a Gnslo¡ña.ión del Punláte Bfuio a PuniajeT a inrerpretacóñ ossmil
a a que se hDo fespecló ¿ os punrájes z. Respecro a púnlaje sroba, sr n ño se
eicúedt¿ a 1,3 desvlac ones ripicas de pfomedto respecroasu srupo d¿odád
. En bdA 4 rüncioñs, a e{epción de reproduccóñ de rq!re. y sscúenca§,
*iá á má§ de una desv a.ión tipi.a sobre etoóm¿dió. !a d sm núcói enelte¿ en
..p.od(. o d- rsL."
Se eádm n rñrcn áJavtr ós nrrumenros paia vritc¿rsiéiá un problefra
¿sp¿cirico y.n a prueba d¿ inretisenca lW SC)obtuvo uñ c de t24,enianroq.e
en Él test de Bendérsantucci sóo ¿lca¡zó a ¡os ím les de sú edad, por ó que
podemos súñrer úa d srep ca en ¿ área rte a sráromoricid¿d reipedo a i
¡eñd mientoeñ é áfea cosnitivá.
C oNo2:E protocoto que s anarn¿ a co¡1nuaóión esde ca.a niña.l¿4
momenrodc ¿dminisk t¿ prueb
Los puntajesobteh dós porCtaru so¡ ossisuientes:
si se coñrÉten los punejes brutosen percent ese óbservaque r ñ ñ¿ óbtcie
ún percentilqlobalde 50,que la co oca ¿n elqfupo med anode rendimienlo Pero sl
* ha.e ún aná hs det ádó * vorá quo hav dos áretr que s encuenran bajo ei
percentl 50, elhs §on elárea de Con.epros 8ásicos y e áreade Reconoc mientóde
Números, lo qre podria erar lndlcndo dericioncüs especiJcas e
probemas de dericente e{imu ación ambien¡a, o que s§ a iámenle D¡obabh dado
e n ve deeducación de ospad¡es.
La ranslDrmaclón de punraje brutó a punbF Z, oermire nfárn o 5quiente:
C a erá en e qrupo mediano tle rendlmienro, coñ una desviación tipic¿ de
0,07 rsspscro ar punraje rorar de su srupo de ed¿d Pero sr rendimien¡o proviene
de ounráios pocó rsqúkr¿s ¿r ¿s 10 ne¿s El rendlñento de I
bajo e promed oen Conceptos Básicos, Beproducción d¿ Fisúrasy Feconóclmi¿nto
de Números y C dinaldad. Las luncion¿s refanes e$áó todás eñ el proñedio o
ercánár a é Un análisÉ cualnativo de área d¿ conceptos Básic
ella tene prob¿mas especificos cón ósconc¿ptórde anchoy ¿ñqofoy málmenós,
no tenlendo er eñbio coñceplo ds óomoañcón. La lala en aadqú sicióndeere
ú rimo conceproexplie su di, cu tád án e áÉa de cardina dad.
Eñ punraj¿ T *rán bátó ¿rprom¿d o lás ñismásruncioñes menconadasa hácer
elaná Gs de ros punbjesZjen la med da que ¿ñbtrlormasde ñedición son forñs
de expresar a mism¿ realid¿d.
Enos puntaies de cara prono*icaron ún cieno riesqo de pressnrar problemás
ene áprendi2álé de hs matemáticas, por lo qusconvándfi¿ r¿a izarun proqGma de
osiñulációñ en as áfeas deficitaras y uná reeva uaclón, después de 6 máss,conel
rln.le prevénnráñrornós de aprcndrzajé de cá.uroene tuturo.
cao Nó 3: L odo.oo olc y c. ¡á a,o-uru¿, io¡ ped.n".p c páo o. ó
::"*#:"
.*.
" -
" "eu.do,eff¡p
de D.r q ano e .odlonp1o
01 p.eñdq el,iqñr doo de'o nuñe,o... i o,o ¡¡rto. 4,o1 a. eLr". A_b;!
ANALISIS DEL HESULTAOO EN PEHCENTILES
Los r¿sultados de Pabo 5e éncú ñle¡ior de rend miántó (P
34), o que d¿do e de tós pádres hace p.nsr en que hay úna
dericenca especilicá prá eláprend zaie de cárcuio y no sóto un problemá de raha
L8 funciones más dhñiñuidas son tas que se reacionan con Reconoc mienro
de Números, aun'tuebmbiÉn oerán Conceptos Bás.osy Reprodúcciónde Fsu¡as
La lranslorm.cióná puñtajesZcoloca a niño lioersmeñr bajoetpromedio de
rendiñéñio dá §u qrupo de edád en cuanro a pun¡aje globat, pero $ obsrvá úna
disp€rcón neqal va en ros pu.tajés. Los puñrarés que más se desvian en rorñá
nesaiva de promedio pare su edad, soñ a Feproducciónde FtquresySecuenci¿s y
el Reconócimien¡o de Númorós
En cúBnto a a conEreión a punlaje T, el aná isk ss simiar á que * hüo en
rslación a punráje Z, es dec¡, e niño *rá tisramenre bájo et proñedio de su ádad
Los re!urbdossDn 05 shúrenrerl
5-8eprcd[cóndeFio!r6
En deición a os puñbjes de
ddn4d be,o e¡ o o_rc o. ,. .,9
diáqnó{'caron iñd cesde DisJui.ión Ce.ebrarMin ñá
s¿ rdióó r¿habiiid.ión psi.opedasógca y rev¡ uándóse a tos seis máses.
despuÉs. Eó era revatlacón s¿ obs¿ruo un p¡osreso, erando rodas hs funciónes
denfo de rím tes norma es, .on excepcon de reproducción dátisuGsy secuen.iás,
que ñó habh ¡eñido uñavar¿ción siqnilic va
)
ANÍECEDENTES DE L NIÑO
N.S.E-
I
Róprcdúeión d! Fio y s¿ú€ñcht
sid IPF 3.)D !
m4rruBoG44.Pjóooy!Ól,,Nor
eeúnP{dl Ed P:id&.Buen6aG re63
ti,"'E'",""d"P"1".-1.,
rE&io p¡*sbdo €¡
r6¡jo preE ádo
f ronoddapreidnáÉ, Lr c.,ma?o, reTe
"8drc abieds fo¡ ñe now G ns"
Eduüriomr Psychdoqy vo 46(3). re76
ND CE OE TASLAS
rqrc$oide s¡ P!d.¡e fob 0 ¡
(or*cóidÉ 6¡ P! aiefoc

Manual-Precalculo.pdf

  • 1.
    Neyo Milicic Sondro Schmidt DELA PRUEBA DE PRECALCULO poro predecir dificultodes en el oprendizoje de los motemóticos enniñosde4o7oños MANUAL M UNIBRSITARTA EDIToRIAL
  • 2.
    Nevo Milicic Sondro Schmidt MANUAL DELA PRUEBA DE PRECALCULO poro predecir dificultodes en el oprendizoie de los motemóticos en n¡ños de 4 o 7 oños EDITORIAL UNIVERSITARIA
  • 3.
  • 4.
    La enseñanza deas m¿tmátcas en ha sido obleto de d lere tansrormadón.s y s. h¿ñ D,obado divems métodos intsntndo i¿c it Y hacer más eiped to *te ¿pre¡.Jizaje Se h¿ ráádó d¿ impemenrár una pedasosh niño a dscúbrir y ¿ orc¿n zar É¿cones simples enre obFtós o es áyud¿,á ¿ percibi y ors¿niz re aciones más E*e cambo en r¿ .nsñañza arecia tódos os nlrsss de á edu.a.ió¡, Deró o o. Y'0. o oól¿E P'd'7oB¿''.d Dé 3 eñsqñánza en Jofma sutomatüáda del núñero y d optraciónes qúe ¿s pos bie rea za, con é, * h¿ ávo uc ona.lo hác ¿ un¿ ensñáiza basd¿ en á teoria de os conluitos, en Iá,rue se intoduce ¿ niñó precozment¿á razonam enro nducrivo y ¿ úso de si'¡b. os, asi.omo ¿ rá ut Daclón dé nocione§nuevas, coño son 4d-a d de proped¿dde os únlun¡os. Todos óss *em¿sde eisñan?a diseñadospa en de supu*tóque elsúje¡o de á educác¡ó¡ es cap¿z de enf¡entár .on éxiro e aprend ?aje Ptro es nec*ario u¿ción .le i* sntsms de enseñáñzá Eñ ecrura y *crllufa sé hán de§.fto funcon* psi.oóscas báscás Éaclo.adas con ené áprendizáje v .xiste evldenc a sxpnimsnú quesu*st3¿rátori3 Seh¿¡d*ñado n§rumenros para ev¿ um ra ñ¿d de eclufa E*os msños n{tuñenros han sdo utirzadosen ¡s tfeasde evalu lá efic¿c¿ ded fereñtes métodosde enseñárrá. Eñ el áÉ d¿ c¿.! D, sisr¡m4Éación re.pecto ¿ as lun.ione5 que 5e Élácioñáñ .oñ !a adquÉi.ión d. los primems ¿prend zajes y no ósicos que p¿rñ táñ la evaluácóñ de os n ños en ¿ ef.ac a de dlr?rents Coñ a .on*ruccon d. un i¡n de pre.ácuo, E oretnde ló9ñr cÉ os objetivos rrrdá nenial!s: !r ós.ri
  • 5.
    La consrruc.ión d¿tnrrumenró e b a en ta srmáción de d áz p., oróo, "s o¿.i a, ll3 rem L¿s run( ons.onsder¿d6 tuúon úsóúonkr 1. Concptosbáriús 2.- Percepción yisua¡ 3. Coréspondenciárérmihoriánino 4.- NúmeG ordinales s. Beproducción dp fiqurár y ¡ecuen¿,rs 6. Beconociñientu d¿ fqu6 ceoméricár 7.- Beconocimientoy reprodudción de ñúnero, 9.-So,uc'on dé probtemá! ¿nrmerio' v Paia tod4 stás tuncionás se reatzó un anátskde ascoñdúcGsaue bási.a dr un in{rumento que tes pefmib ddecrr losi ñ05con at¡o rie.oo op r¡" q'd d ¡, u rdo". dn d .D.e, o 7¿ ó dr i¡ niremori¿ds .L¿n. .s¡',o de kt ma¡eia de orienrar á prolesor en ¿ rarea de rea z úna éñseñanza b¿ ad¿ q ro '"¿t". ,e r. E '"0, d ¿. p-.o-.. '111".o.cido,.o. c.o ts / d fo,D¡ ó, ".c s de Fn;.rcae¡,e r" ¿dda .oro F_'. od ¿ oDrr c r., o oe Mdg..+ ", Ed r..co,. por .. f io," - d aá.'É' ro( vilmc P.pi . rlb Ld.eo, dd rcy ó,pr,7", ¿ .dc ldttád-gta oc d oo ¿ "r rnu o d" o<¡o mo po.to,s"no.. F.." ltorJó . L4 d qiql.l e c qu ens nos rr¿(emos un ¿eber aqGdeer sú.o abora.ión ,-, i *-.," "r n¿b"p e{oah m c -o I do, " sdo porb e.- ñleLn¿.".é .o1 . d* a! ñ. m,;q.k tr r. -e-'o k1n.SeoF- r¿r de E ¿bo¡a.iónd¿ Norm¿! ¡q"@.TG k-bEn. d bio, d V L@r c ur oc. ¡ " ^. '. .oñ0, "d0," d. en'.odeCc- a.o"LCorpurá F*."" de EoL..,o, tr a Éod.o oo .onptü''ó. .oébooro¡ ¡o. p,o.. r. L'¿.dm ooÁ7,rdr,nú.rd o oib, or o" so,eodd -otct_ 0. ó. roo¡ó rá.4 de -LÉ.r.¿r o. ao.di,afos d Ro,",d pc.á der^ia _L"rro! r ,.oroo " de ¿ U- lqJo¿o ¿. ¡o.nc. ,o¡ ñdl óDo¡cdo ,
  • 6.
    La en*ñáñzá dé4 matemáticas en la Educáclón Báslca. ha sido radiciona mente a§ocada a a po§ibiidád de cómprend* e conc¿pro denúmero,pára locuár s hasupuero.ec¿$rio iensrúnáedád menrá de6áñosy medio A dlre¡encia de la ensáñanrá dd á lecrura, p a láqúe se hán desc.no e. fo¡ma ba$nte exhauriva dlveGas aprirudes v/o hab idades aué deben deeroraEe prevameñte á dcho apreñdÉaje, no * encuentá isúa sr¿hstiz¿ción páÍá as runciones que.leben deÉtro larceenforma prevh alaprendizaiede lás máiemáicas, ni bmpoco estrategias o programas psicopedag,asicos qúe permibn a educador dhgno{icár y ¿rimurar las á@as que e*áñ a h bde de Ézonáml¿nró mátmáiico S n embargo, diver$s áurórés (Beauverd, Sinchn, Püseo sé hán p ¿nieado h nedesidád d¿ entes entenamie.ro sramáti@ dumnte é péríodo pr@solaf, en áGas que se rescion.rán porériorment con el áprendizaie del núñéro. A¿auerd 11967) panrea que "en elentend mientohum¿no háy toda una ors prcvia al djlculo, y qu. sieft orsanizaclón ialta, es en vaño p.oséguir, púesello s¿rá lo mhmo que ed fie¡sobre clmlentosde arena " Sibien h iareá centál.n ¿re períodó dé áprendizaje de as ñáremái cas e! h .dauhicióñ del número, las máremátic¿s no soñ uña fórma aulomática de dar rcspuera a problemas eráñdárizados, sinó, fu^dám¿ntalm.nté, qná lorma de Ézodr qu permits en¡ende¡ os mcañGmos de as operaciones y, $bre todo, poder fanrfarir *re áprándDáje á Désde muy pequeños,losniños* ren ¿nfrentados a §itu8clones ma¡emátiessn S ' ,"|"c'o- Lo' ends c o{'e,c probabhmenre desde el moménro ed qué los niñ6 empiezan á más srande", "a mlmedieron ñcnol';poré lo* ha dichó que elprooscoh¡ percibe lectivamenre l¿ cantidad va desno lor 2 áños. B*ádo éñ eslar p¡imsras experie¡ch§ en ¿ le eño maremá¡ico, su¡se en el 1io c ñe¡erd¿d d., .a' ' f ¿. . ddro!. pqo 3 códi90, como ¡uvieron que ha@rlo |6 cu ru.ás pimiriva§, sinoque tosadutrose to dán, idóru.o anle§ que ér sa capaz de aprendár §u sign ticado. E. ási como
  • 7.
    encontamos niños qúecuenüi ñecán c¿ñenre anies d. .on:'!-:: : s qn licado sepan cotrrar sii tener verdadeÉmente e concepto de ¡úñ.r. . ú¡a iqná.]ón dé e os a azar asi. por eiemp o, s r p..s--i: : i i¡ cuánrs bo itas tene, podr; dec r, úss, c edad d rá, po¡ eFmplo, cnco ¿ños y mosr:: .r¿ro .redos " (ivl cic y Schmidl, 1973 I Lá de¿ de número s ¿dquiere e resu ta inúr ns* r ei e aprend z¿je de op¿É.iones cón r conocimonro, si nó se rran desaro ado as cap¿cdades más.imei-A qúe l¿s Gllben 11974) panteabaquegÉn pmrede o§lrac¿sos*cor:sedebenauna y átnma, por lo ranro, que nó só o deb. f:nlófm se e cort¿nidó de losproqrañas sno r¿mbién rr¿cer uñ camb o cdna ei c§ ñérodosde ensñanzar se inclna ha.ia úna metodoos a adiva en que, b*n¿meT, ss busque razonámiento, en qúe edá ere proJesor una.láue acercade su modode razonamiento En la merodoosiadebe háber sempre una g¿zón con a ñ¿ñ puk.ión de mate¡h es, y es á pfrn de e§bs ¿xp*ien. ó§ .omó . niñodsbe descub¡r hs propiedades de os objetos Los obletvos d¿b.ñ ¿rr..urse á ras c ace¡istcásv árn ve de d*atrorro der niño. Por era Ézóñ, ¿nt¿sd¿ inicar unaenseñanu¿ sfemárc¡ de m emári..s .onveñiente que e n ño reñqa u¡ nivs¡ d¿ madrEción ¿de.u¿do d! * frnciones re a.ionadás con ereaprendizaje La ¿Drecacóñ y er¿ !a.ión der qr¿do de madu@ de ¿r¿r.¡urciones es uña G obi ivd edrmona * p,¿ Gd¿ n ño. en L l enfoque de eñrñan¿a pe6onali¿ado y que busqu¿ prevéñn el que los n ños pre§ér ten r*brno! er elapreñdizaje de as maremárica§ Exre Lir Lanridad ro dererñ ñá¿á de niño§ que, a pr*r d. rña¡ ún¿ ftellsenca promed o ó alrededor der promedlo, p¡eseniá áprerdizare de as mateñáric¿s. agunos de eloscoincden cor tooue s ha de5üno .oño dkcrcuri¿, oros pres-anián un sindróme psi.oneuroróqco o bie¡ s far de r ños con un rétaso s mpe en lá ¿d.rúiscón de ár maremah* dsatrolo de ¿s funconE qúe su*enra.6e aprendÉaje, debdo ¿ Í¿r de de los probremA de áp¡eñd z¿ié , asúnos erudios nacioiaes *timan s ¿ c¿nce de éros en k Eñs.ñanza 8ásc¿ s¡rs un ll y un 20olo, advirlie.do .rue esos porcentales se ncremenún hacia p¿riÍ armén¡e dapúés de 4ó año.re Enseñ¿nz¿ Sásic¿ lTarkv, ¡ 1979 ) Oro erudio rea üado en nuerro pat en 990 niños enre 6 y 15 ¿ños qu. @nsu 1a. en uñ cent. de Diágñóri.ó por próbem¿s de apr.Dd ¿js d¡ .á I o ! Bási.a da .ueñrá .re ros sqrie¡i¡s hechor iO!ro9á, Ln¿, arededo, ¡e l/3 Coiró. .n I ¿ño es por pfobreñd de áprendkaje delcá culo 1990 de 2 700.ónsuhtr).
  • 8.
    ypodiañr.¿ n¿ropeG.iorescone.s 1:15de990cason Aás ¡ fi.u ráir* en m¿temátic rep tencis Er 60o/0de ossujotósdd c*udto habría fspdido a ro menos - Er fefaso en marmáircas e5 ñodrado en os n ños de lef..o hási.o hacéndos ñássevero ¿ mayoredad (2o cicro,10 año, A ñavor edad máyor severdad de ta{orno, y mayor diri.urd lare rehab irr alnlño qúo presenb ún rrfórno de apfendizajs de cácúro. Efór d osnosóo nos inlo¡mán fesrreúo de ¿ cu¿nria de h5 dificulrad4de aprendizále delcá.ú o en nu*rro pais, sino qúe Gñb ándefaca de elas en rérñ nos dor lr¿c¿so escóar póne or y Anre r srüación, súrq¿ a nec*id¿d de disponer de eva uácón p ¿ d4edar¡ o ñás precózmeit. nosib e, os n ños que pres.nei o renen aho riesso dE presentr en ¡l ricu Gdes. Só o uñ d asnósrco oponuioda a posibii.lsd de proporcon ál¡ ño sremas rsmpáúrlcosqus conr
  • 9.
    E*a prueb¿ foecon*ru da con el objé1o de cont¡ .oñ u. l.strumenlo efándarnado p a eva úar ¿l desrolo del Éronamienlo matemático, en nño! ánre 4 y 7 año§. Esp€cífcáñáñi¿ prerende detectar lo§ nrños cón á to fiesgo de pÉ$ntar prob emás de aprendir3je de hs m emátiÉs, ants que ean $ñeridos a la ¿n§eñán* forñal d¿ e m, coi e rin de poder proveer á enos niños de prosranas compensior 05 y rcmediaksen elmomentóópo uño. Es un inrrumento que p*mile óreñtár a réhablilación d¿ á! áreas que ap¡rcc¿ñ deficilrhs, a távás dérácnicarde stimu ac ón y ápre!1ó. Enere$nrido, §e coñsderá útirsu áp i6ción pa¡a os niños que se encúentañ.n losqruposde fá.s.ió. d..lá.d 111'.ni , o qr..-re o P i1er 4ño Bárico. La connrúccióñ del n*rumeñro s bae en un enroque fonciona , ya que s atim¿ qúe antas da aprcnd zaje der circu o própameñe Gl, el nlño deb€ h¿ber d-"sro ado una se ede rúncionesy nocon* báEicáspaE losra¡ añmp4dsióndel númeroyde las operacion¿s qúe cón el os pueden hác¿ñe. S. háñ dé.criro diver*s funconeE r¿¿cioñadas coñ ere aprendDaje; 6nrá otas, renqurje hñéti@, percepclón visua, coordina.lón vlsmorora, reconoci mienroy ¡eproducción de lisuras,ordlna idad, erdina id¿d, corespondencia. E t€n con§ta dé T0 subtsts con 118 ítám y esuná pru¿b¿ óbjérlE de páp¿ y Los subrers lenen un núnero v¿rübe de item qúe oscik ente 4 y 25 y lueron orden.dosan diticu td cre.ient6. Los subtests ds k pru¿ba r¿sponden á hs funcon experiencia y en h revklón bib iosráre, h¿n encont¡ado como más core racionad! s cón e aprendizajede as maiemáii@s. E asson I Cón.eprós Bás cós 2.- Ps¡epción Vituál 3.- Corespondéncia f ármino a Tármlno 4. Núm¡osOrdinales 5.- F¿producción de liouras v scuenciá.
  • 10.
    6 Beconocimlen¡o defisuras qeóñátiÉs 7 Feconocimenro y reprodúcciónde ñúm:ros 0. Solucióñ de prob emasarnmélicos Ere subte$evalúa e lenguáje mdemát co. E dneuáje perñre a os niñós nomiñar obieio§. c:;:I os, *qnarles propkdades y compfender a informaóión que r¿cbe de ñ-_ac:xi:'or. A favós del ÉnsuaÉ el niño d¿scubre el mundo de ós simbolos v, G- ::.:ren1e, ¿re va adquireñdo u¡ papel más lmpodañt¿, legando a ¡epreen::' una css esDech de siñbo os q!! ¿ ñ ño debe solu.lon problemas de cácu o . iÉdosat3vé5de e niño lograseneralúry uriiier oscónóepros, o ssoecíflcamen¡e lqados al .ñqr¿ja aritmérico s L* mátsñáicas supoñen comprender y manejar anbs dé una lorm padicu á. de enou¿je símbólos. A tavé§ dsl simboo, que ó conducná porer ormenre Los conceptos que e án E ensu¿ie imérico es evaruádó á rávés de Subr¿rConcpros 3áscos, que con{a de 24 ítemdeslección múklpó. La úb adéé§pecrcácón decontenldosde La adqukición de los concÉptós qránde y chco * ev¿ ú¿ a r¿v¿s dá los irem Los cóneotos de corto y arqoefán lnc úidosen Ó. fém 3 7 l2 13 Losconceptosaro y balo seevalúanen os iteñ 5 I l0 E c.ncepto l.ñó yvacio en osíremOya. E concspto más y menos en ositem 11-14 15 16 2A 21 22 23 24. Los conceptós áncho y ánqofo en los item l7-13-19. La ra.ea de niño conss¿ en §eeccion , enr¿ vara§ ¿ t¿rn¿tivas, elcon.eplo pedido por e exam nador. A modó de eÉñplo, nclulmos os 5 prlñeros irem del súbre* conceDtos B;sicós. cuvás iñ .ucóons son assiquléñtes
  • 11.
    I¡ABCA EL COHETEMAS G RANDE Í - )) / »-v+é L)í^$ MARCA EL SAPO MAS CH CO IlIAHCA LA NIÑA OUE TIENE EL PELO IV]AS LARGO MAFCA LA FñUTA MAS CH CA rri ril ¡ /ó I^1
  • 12.
    a tavés deos proc*ós perceprivos lo§ i ños§e ro acioñan.on stambiente y e ha dicho qus,la percepcón indivduo y etñod oque rDrodea La pe¡cápción es enfesan los snri¿os en báse s as experencias prevar con los obleros, fómÁ, ¿squemas percépivos de e os, o qúe ptrmne su póreriof fecono.iñ ento en b¡¿B bid menslonres. Por éjemp o, a ún n ño qu¿ haruqadocon riánqu os ridiheñsióna es os¡ámásfáci recónocrloscuandolosvedibúlados. El máximo tissaro o de a pe¡cep.ión visuar se a.anza enre os 3 1/2 v 7 años,Apa^irdeére periodo¡ lapercápción sevs hac endo ñás p.ecisa y *peciri.a, pud¿ddóelniñodhf m narsmejanz¿sydiferencásenre oserimuto§lisicos E ¿umenio de núñero d¿ concepros que er niño manei¿ .ómo produdo de ráp do dsarolo der rensuale que se producé ¿nre et seqúñdó y rerce;año dé vi¿a, d. . F'..0 io, d.oo ede cr ,. eoo"paao¡dspd".de.r,i.c. adP20 ei d. oddd ¡'iñ -d L f..,é o F oE rode .ñd 6. r ,< q¡ ¿td foddod,oo ¿ qLdrdcd o-ód" end ro¡To o oo! o. oó ó ¡ 9u.¿¡ a rrávés de oros 7 item se avá úá rá habitidad p a ubcaf k fisúra que es difere.re en una se.is 1ír¿ñ 37 r:3r ¡ ,d.é, dá 6 '"- 4 iq ¿ á lodro. oe' próimás porerempro 6, sj 2 v 51 rem l9¿ 44) Los lr¿m Nos 25-25;32 33 y 39-40, que se itu{rañ ¿ conlinuación múp§ráñÉr tioodé tarea quedebefealz elniño. (Nor 25 y 26t ó ' .o oeoc ná,, d .ro-,a D,"a¡ gu¿t¿ , odpto
  • 13.
    _n ro- n.n 3,v 33P debeñ¿r.¿r ernüm.oqu¿es qudrá mode o. ,,4- ,A- ,-4. W,-_¡J 'ry.- r,--Lr aciói que s osra cuando e niño ¿s Gpaz de aparear cada uio de ros objetó ós obietos dr oro s¡upo, teniendo ros obteios de ámb¿scóhccón* un¿ re ac ón eñré si:porejemplo, Efá op.ráción, que in calme¡r es pureñenre iturva,pe ¡teaiññoha.r !úa núúüoneobjeiosen ambos, rosrand. ie .onc¿prod
  • 14.
    Eñ á etp¿¿n lorhá gob¿, luñdádo D ceprvos de ras e*a razón¡ cuando vria a .onrquracón cohc. ones, porque os obielos * astupan o rpaÉ¡, s Lo§ iiños pequeño5 h¿cen un¿ equivarenca priñ tva de rossrupo§deoblelos; juzsan sesún una impresión genera de ramaño y de dÉtibución e ven rá nec*idad de de§compontr unidades. Ere mÉtodo de .omp acón*vaso,e ári.o e ircvmb e, confiqufado por h 1orá id¿d pr.eprúár Sóo súdualmente ¿ niñó puede desprendú ¿s uñld¿des de os ac.idenres de po. ¡ó' I .e''c. En una *apa po{e¡ior, á córespoñd¿ñ.h lega ¿ ser rea menre opereriva, es dec ¡, perñanente y erable;pese a las v ia.io¡es prceptivas de l¿s co e.conss, e¡ ñ ñó *ttsbrece er .on.epto de equ va encia de 1á canridsd de objeros de 6 En ena etpá, la cotrespondsñ.iá es uná lú¿nte iñpóranr p a etaprend zaje del núm o, ya que, erht¿ñdo eqúiva sncia ducdera y er¿be ds ta c¿nridsd de obleios én ás colecclones, e iiño puede cacurar múy lác menr ¿¿quiv¿¿ñciád¿ los conjunros y eq 6úbecer á ré ación cañrdad símboro Lá correspondencia se evárúá en e tes a t¿vés de 6 irem, eñ qu¿ e ñiñodebe apare objetósque se rela.ionan porsu uso (item45alsol. ejémpro dé ¿ Eea sr niñó, tós it6m 45-46-47 v 43. oue s iúnran a.ontinu¿ción: ,rt"t ^ E W lr
  • 15.
    Aun cuando losnúmeros ord nales nó se eñseñan sÉtemáricame.r hdra Sequndo o fercer año de ¿ Edúcacóñ Básic¿. oarcció necesáro .clu roscoño un área de res en á medidá qúe ellos s¡n intu t vámente urdos por los ñ ños, ñuy lempranamenle en su desfólórlr*és cómo "Yóp.m o , "ouéd e¿ úrno" "Juan esel se9undo, nos muestGn una aprlcacón corecra det núm¿ro ord na Todos os sklemas númera es se camctrnáñ por tner un noñbre y un simboo pam desiqnar el número Los número§ord nales¿dqu eren e trombre Vel§ímbolode lo§ núm¿ros mmanós;en esta edad er niño nó conoce er sinboto, sino et nombre de á!unosdé lo: númeroso.dinale§, porejempo: pr mero,sesuñdo, ú timo. Mieñrás ol ñúñoócárdlna nósindlcr h ñ¿gnhud de un srúpo, por ejsmpo al decn ocho, evocamos uñ cónltrtó qud rlene como propiedad posser ocho sementos, e número ordina descr be h reación de pos.óñ de rúmero o de un obj¿1ó, en reación a os números precedentes. Asi, cuando de.imos "é erá el quinro , ánámós aludiendo a que habíaD cú ro sujetos an¡es que é y cuando declmos "Pedro vlve en el tercer pho ¿ udiños al hechóde qúe hay dos psós bajo Todo qrúpó tiene caGcrerhtcas c dlnales Én el *ntido de que posee una masnltud, pero cúa.do s quie¡e orden¿r, se necesha tñer un critrio v *1áble.er un orden en bas a e e ite¡o. Erábecs un ordei mpica necsa¡ament úna compaÉcióñ y aribu r únapósi.ión ré divá.n una ser¿. P a ¿ comDrensón de a ordina idad esnecesrio rener la noclón de seración; ¿.d4, , o'q' !P .e' 6 r" sec de mayo¡ a menor, o bleñ de menorá mayor ó a p¿rli de ún ttmlno cuaquiec, sonapfopádóspáraadquirne*áñóc,ón. Los números card nales puede¡ *r usadós como núñeros o¡dina es; Dor ejemp o, a .umerar las páqinasde un ibro, h qúe tiene elñúñéro 23 stá precedida por22 páqina§. En a medida qúe ós números ordina es y óardiñales son dosskteñaa de nuúe¡áclón, tenen uná er,e.há reláción ente sí, y háy urá corespondenca entre el número cardina y e número órd nal; di, el núñe¡o dos coiresponde a séqundó lugáf ¿n urá ser é. E subter Númerosolniná es consb de 5 i&m en que seeva úan oscórceplos pr ñero, *9úndo, tereroy úhiño Ittem 51 al55). A coñtiñuácón u hñós os iiem 51 52 y 53, e. que a Grea dé ñiñó consiste6n márcár á ú timá ppá, eltefcf o§oy¿
  • 16.
    frad cioná menlek réproduccón de fisuras ha stdo considerad¿ un eemenro hponanle Dra k evaruación deld E dd ,oño r. .1¿ ouó o ódF qd4. .d-d zÉ -;", roppu ,,ó.4 01 ".rp ó " oe Beú- ¡o k{, dó ñcd-,a¿ pd.ó r aprend¿je es sisnlfic¿tiva Efa ñisma aurDG arrñ¿ rmbén que h;y uoa coreaciói enré ros puntájesde Bend¿Í y os r¿ód m en¡os en arirmai.a. Pósibemenr, a arencón dáda a tos derales p ¿ reatre e te* de Bendtr rensa lunciones simiares 3l rorde a prcepcón de as teú4 y de os númerospma r$ izar ás 1áréas acadéñic E*a áreá de rer riené por objeto ñedn tá coo¡djiá.ión vsoñoriz, en et senlidó de eva uár á percepcón y Éprodú.ctó¡ de rorma§. E loqro de una boená reproducclón de rorm¿s supone m¿iejode arin%reda,mamjod; ¿ inscüM, á rcproduc.ló¡ de á¡sulos, ¿nción a a pópórcionaridad dé espaciá de os eemenrosi aprend endo las inrrct¿.iorcs e p''droe o" I ¡"",oÉ re¿ciones de .ortisúidad háy sñre as fisuras de a pruébá y ptrcib r ra orentacóñ espaci¿t¿e ¿siquresquecohponen osmodeoso as*res ElSubte* Reproducción de Éiqu.¿: conra de 25 i¡em Los ilem 56 ¿ 5S Co. o q"npro u" ,, .iP ros iteñ 57-53 7 61 62
  • 18.
    ¿ ,ep,odú(( ond5 p: .oi- rsproducc ónde númerósy erás,er Émaño ñás de br¿aoue debe rea üáre niñ. KR-128 K-28 6 item ¿e dte subted itum os item 69y 70ie irusran a
  • 19.
    En a tlanpcionds área de concepros Bási.os haci¿mos aúsión a k ti.ó sn e dcsáfolod. ¿.Dnceptu¿ n¿. ón y,en l¿ dsfr p. oR de ¿ iundamentscón reórca d. área de Pefcepcónv su¿, p áiieába ños que ¿ .áp¡ódad de reconocer v d scriminár eniñúlos o. ¿*nci¿ p a el d*aío ro de as ta,esa@dÉm.as Er¿ nea de r¿conoc m ¿ntode riqufás qeomÉtn.m pfetende evalur rámbién a hab d¿d percep¡ vo pero ¿n e recono.imiento ds formas seoñét.¿s bás.¿r súpoñe po¡ o tnio un locabu aro geómátlco y aasociación de ioscoñ.ep1o. qeoñéricoscoñ ossimbo ossráIicosqoe os répre* an. Los concepros qeomáti.os cuya eva úacón conremph a prueba de p¡ecálcú o el cúadrado lirem No 3lr el riánsu ó liteñ No 321, e rcctánsu ó lítem No 33)y ercóncepto d¿ mlÉd lirm Nós34 y35). á cont nuácón los írem 32, 33 y 34 rc§pectiva O¿DO OOE Vc o( o » .l- § §- te Los números son propÉdadesque ¿s'qnamos ¿ ros cofjunros y
  • 20.
    rrs sq¡os 0áexpresr os núme .::r':.¿ dioma corespondie,rt. H¡y d er . rr simpcs o di :: ),.de lómar cu¿ qúrer núñro, y ,a ros son: 0 r 2 3.. . 9, sá os ha :¡:do digiros porqur se puede con los dedos de k Enr n¿a der re*.onfa de 13 irem y eyarú3 h háblidad der niñó p¿É a¿ntr.ar de¡to¡e u.¿ ser¿, B ¡úmúo que ees roñbr¿do I rem 36 a 331 Poleiempo,me íiem 37 qúp lrramos ¿ conr núacón el¡ ñodebe mmc¿r 6B2s eva úa. á h¡rr dád d¡¡ ñiño paÍ¿ 6 nombÉdo Pü eieñpo. Pn er Los ú 1iños 6 iiem de efe abref lirem 93 a 93), eva úán á h¿b idád dé n ño paÉ rea Dár op¿Éción* simp * PaÉ e lo, sl n ño debe !n propiedad númérlca de coñjunro y, dspués, reproducir a série áqr¿q¿ndo ó qu bndo 05eemeiros pe¿ldos p En os ¡rem 94y S6,que s iu{rai acoir núa.iói, ee modeo iitem que e ño.iero d¡do litem 96) erñiño debe d buÉr una seriede ea) y coñ d6 eemertG men.s
  • 21.
    Un número cd nár, porejempto,.inco,d¿nota unacotscción deun dade§que n a9ún séntdo: cinco raz.s, ctnc objetos cuaqú era. Es decn, e núm o es una prop edadde coiiunro que rd c¿ §u oue e niño cueiieo r¿cónozc¿ 3 pose a dea de iúmero, ya que érasupone el pensamienro tósic pantan que e lo§ro de a idea de número y el pensam ¿.ro ógi.o v¿ñ a a par, y que a una e&pa prenumórica corrcsponde únaeraos de pensñ enrópre ósica. de número se encue.ra t¿ posib dád de esabecer cór*pondench y equivárenca, de maneÉ que cuando et n ño erabtece a equ v¿ eñcia enfe dos coñrunros, qutere decr que ¿r¿bkce que añbo§ posen a mkña propied3d numáriÉ. E niño debe *r .apáz de coñra¡ ros obj¿rós de uñ .oniunto v Derc bir oue se maniieñen ldénrcos, pes a qúe as úñidades de ó Í d rribuyan ,le una u ora E niño av¿nza pau arinam¿ñte ér cusnló ¿ a cónstruccón ds .óncep¡o de núm€rc, ksan.lo a $r Ésre un concepto de tipo op*dvo e in$riádó, que no cambiá a pe$¡ de las v iaciones que se lnroduzcan en l¿ ¡ekción de osee;entos Ená área de rercónradel0it n ñodebe reatzarconsists e'ro. n{ del 99.r lotr Loro.eloo 99.e .r..t¿.-"" #s@&& En os ítem 102 al 104 eleñánros cofespondienrs e niño debe rearizar h rrea.te d buj¿r acanridad de a un 6rdiná dádó. como ¿lempo, ilurmmos é r1ém
  • 22.
    F n¿lmente Losn.ñ 105y 106 urran la rrea i05 y r03 eva úan a lrab d¿d de ñiño paE uná ¿sterm n¿da.anl dad deereñánros dados Cuando se ha relanó ¿ coi.epro de númro, comenr¿ rea zcói d¿ ópra.ioñ6 simps coi elos llná operacón o a r¡fés del cúai * re¿ iza ura fóda operación supone úna ¿c.óñ én res tempos y e n ño debe pod* rcpresenlár enos fes *údos: osdatos, a oper¿cióñ y erresukádo Cuando u¡ niño resueve un probpña, reá ¿ una opn¿cón.onneü v á sotú.ió¡ ar tmárca, operaron q!. supoñe comDfensión de eñuñciado las¡esar, quhar) y un mzónámlenr. que es ¿ bú§queda de a operación
  • 23.
    Los heñ t09yTtoiturÉnc rp. d,a úreaqúe¿.b-a rea que quedsi despúésdehsLrmasreqado 3a !os 3 helados {rúe ieni¿ pfeuámenre ??????? Se dice qúe á noción de consr:c ón ss a ba$ üc onar y requiers ser .ónf/! d¿ por er n ño a r¿vÉs s v ácioneserierñ oLjetos de ¡s .oh(ions, ejemrrlo, ¿ n ño debsá psc bn qtre t¿ c¡nrdad.Je un ú¿ aBnrid¿ds ¡ de os¿ s¡eDtosf h¿o¿ d! d rprÉnF m¡.ai, ne.eirÉ p aróda¿ ividád ds ún §remá de regu 3ción r4,ldo sque sc¡do a m sm3 conserr¿. ¿n.le núñ¡¡o, rue m §¡¿ ¿u¡cu¡ a pres..ú.ón
  • 24.
    K mi !n1975 psnre¿ ¡tle sóto ,¡ D no tene corc¿pto .le conrrv¿c ón cuando loqB er¡rric porqúé ércreeque no rr¡ .¡mbádo . equivaercia i!ñéric¿ de dos mi¡úbs son a.epebes 1¿s usro ñiqun¿do n¿d¿ i o bien resDu*cs!úe hacen idad, es de.n, por erempro se podrún cotocar h5 .osas como eraban ¿ñr.s' ,.n' o¿o .uc-do 1¿ ¿rtrm¿r, por eleñpro "ahomerá másan.hó Derómás.. ." Por 4o$ ¿, rmr qrc h consetuarión spone un snemá ñternode resu ac ones En 41e Subler de Cois acói ot nñód¿bÉrlzsarsi dos coeccion¿§ de obrelos son lsua es o d lerenEs respedo ¡le su canridad de e emenros lirem I l3 ¿ ¡¡odod ó"1oo .ri¿ 16 ",qF o,d"¿o".. io os pa€sde únjú cque temn gu¿tc¿nr &d d¿obretos oocoo oooo o B O oo ooc oooooo oooooo oo oooo _o o-() () o oo a.)a) oo-o'o o
  • 25.
    E*¿ prueb¿ respondéá rá ie.esdad de d spoier de lnrameñtos ¿e medlcon conrrúidos v *bndarlza.ros ofa e diaqnofi.o de la§.aÉcleristcm p5icoósic de ñi.io de a Enseñ¿nra Bás.á. En Chik er ri¿n a sun05 relácoñar coi e iPrueba de Funclons Básúas, de Bmd .ewski y xliricic llS79l, fsi AEC d¿ Fiho 11960), Mdrópo it¿n Re¿dne$ T*r 11965), et), pero ño hábh nrrú¡e¡ros paÉ l¿ ev¿ru¿cón de d*aro o de 6rúncion* báscas p¿E e aorend z¿iede asmatsmátús La conrruccón ds l¿ Pruabá de Precá.ulo s b¿s en un mod¿o Íun. ona, en fúnconesbásc praelapre¡dÉale de cá cu o L¿s condúd¿s.rue cornituyen e múeirsó pai¿ ¿ medición de os rendim en 1os de los n ños en áre* Donul¿d¿s. r h3¡ eeoido en b e a un mode o de rná isis de taEa, en e cual as.oñ¿u.h.qu. ui ñ ño *.apazd. rea ,ar ¿ d{erm iadá edad y en un nea CpeciJlca En e ca§o de a Prugbá de Precá culo * rea ú¿ un ¿n; sr ds ¿stare quc os n ños, enre 4 y 7 áños, 5or capa.*de re¿rz eñ e área dercálcu o En una p,imeÉ eiap¿, e ten6hb¿dirldidoenl5ieasycon ¿b¿d.124 1 Coicepros Básicos 3 Comoletacióñ¿e F quús 4 Númros ord iaes 5 P.rcep.ón V nral 6. Fleproducción de Éiqucs 3. Be.onocimiento de romas s¿ómétkas l0 Becoiocimlenro y reproduc. ó. de números
  • 26.
    12 Corespondenc¡ rérmi'ro¡ ré¡m no 13 BeDre.¿nracón ¿e c¿nl dades ,0 ;ód. oP ¡d ón J además de r¿ conrn,cci¿n de cuadtrni o dé nrrucciones paE 'so de exam nador i¿nexu cofe.ciónde a prúeú lanexo 2l E cuadernirro de lc cp k¿, ón dP ¿ p ueb¿ !oñ{¿ d€ 3 L" pd.'d .Je .o .- .oreo rc¿da ircmde ¿ Pruel,¿ ,,o, o d¿ o ob,' Se rea izárón dos áp ica.ionés e objero de hacer et ¿ná ÉÉ de iteñ y óta, cuyo obtrivo *a ta obrenciónde norñas. E anárisÉ .re ilem conrnuye e áná isis ds h§ caracteristicas prop,as de cada íteñ, e que * re¿ irá msdianre ié.ncas *hdhrjcas que pr.porcioñ¿n lnrormac ón sobre el ¡ ve dr d¡crim nac ón ds írem perñ rendo d *insuir efúe los n ñ.sque súppran cof, éxito erenímuro y tos que rrac ah en a r¿s¿ de anáts sde ieñ, e sÉdo de d ricu rad de cáda rém ysu coreácón con e púnbré toeldelrer. La dererm nación de qiado de diticu rad de u. irem e debe obreñe c.mo cr teriodsaná isispáñ c¿da uno¡le to. *tímú L. dr.b..o oA r ", oro ., tooo o óa .. ó o. ireñ, ófs puede .onsdeG^¿ comó muy tác y nó o d., " 1.r oo q ra F a?ai. tc. aqúe os irem que ñás 3potun á a d scriñina.ión de úñ ter son tos quá se o o ', Ldrr"reod.ú I oo e Do !er. é od G t-e¡o. q!é ro lonFsbn Lo e(kmenfe enr. l0 ?0o o
  • 27.
    E: nen dil¿renes.r¡sii c¿üón* p ¿ a d er¡ naüor d? de !n iism E c¡ r.f odependerá rá ri iañdqde ¿ pobhcóo i ¿.!3 La d rc¿ción dsda eñ *rc üsó E a ssúÉniel Si un 30o o o men¡s de n,j:1os.o¡6a ren uñ ñ iiers mrr.ri b¿D rn .ú3 pr enimu o rorñ¿ rjr . Lo qúa se rrui¿ as un¿ ñed d¿ dp a re a.ioi ¡e cad¿ uno de los it¡m.on 3 DtrÉba roE s eslroñoqéiea, y.on e árs¿ corcspond.rte: e§ hetcroqÉne¿ e. dec l EI i¡dce de.is.rmin¿.ióf !^e D¿Í¡ morrur .uán carameñr d§insue rl Ens. o.l¿hpruebáde Pre.á.u o e ind.r ae irtr. tm i coefi.¿ e.te corea.ión DespuÉs deaiá s s d. ireñ se loñrruye ¿ iomi def i riv¿.e á ptueba, cóñ a
  • 28.
    CAPIfULO IV Los objerivosde a táse de árálns de rrem rutron dererminr á) et srado de diJcuhad de rós irem, y bl e rnd c. de d $rim ración de cad¿ mustáexpáim¿nia, paÉ e aboúr alorñá derinirráde isrumenra Adeñás * buscó e*abrecn e¡gr¿do ded scriminación mediade apruebaysu iúp rP¿t z¿do por 346 sujetos, e ratlic¿da por sero, uu Éando ós equ pos,le compu&. ¿ univere d¿d c ótcalcEcco). La d rribucón de os sulúos de ¿ muPrr de ánár,rs d. n.m pu€de E erudio experimen¡a prá réán er 3 rl¿niosy Pap.duÉnre 1977 Se re¿ zó en una muesE nreicoña de edád, nlve socio¿conóñ coy úlencia a J din Los cácúio§ enadísricos lueón reá Éados .ióñ de cenfo de c¿ncas de compurcon de
  • 29.
    ,,.N ¿ ñuefñ ¡.uiasuÉrosenre4sñosI ñesv6¿ño5, dE.mbós rxo5 ¿e re. n k * soc oe.onóm.os ta ro med o b.r.) L¿. as t cac óñ.re N¡'er Socióeconom co r r¿ izo d¡ a.ue,ao a ros.rner os de Er nive sooosconómico baro ñc uyó i ños b;. c¿ .ompeh o 'ncomper y r ro,¡¿ero. qnf re, o faba alo,esdÉ gmo ¿ó mii mo Er nivel soc,oeconómico med o E niv.r ecioeconómico ako icruyo ¿ n ñor ruyos p¿¿res rienen sdúca,ón
  • 30.
    2, rósnv¿ressocoeconómicos$.ncüentañ Lás edsd¿sdéros niñós fucrúában eñt¿ o5 4 añós I ms y lo§ 6 años,y ruron d vid dos en cuaro grupós, con inrerv¿ ós de 6 mÉ*s pra cada srúpo, en Gzón a que e ráp do r 1ño de desaro o en.ras edads ob ga á nterua os pÉqúeños Como s aprecia en e cúádro No 3 y No 4, os srupos de suje¡os e{aban homosenel?¿dos Gñ1o póredad como Dor sexo
  • 31.
    se consderó 4rei..¿ iafdin erabecimenro ds E.ru.a. óñ PreescolJf ¿ p.oporcón de n ños co. 6isrica a r¿rdiñ nr¿nr es más ds 3 @.e osnñosrnmreñúaalardii Er¡ m¿yor proporción ¡e ñiños .oi ra¡di. ii¿r¡ s erp c¿ por e hecho de qre es diri. ó.¡rtr niños s r l¡dii. e§D.ciarmeñre e¡ e Gr¿dode Diricu(ad de os hem Ls irem se asrup on *sún su gredo d¿ diri.u lad en item fá.i es, med anos v difi.iles Un hem.s fáci cuando es abo.d¿do corácramenre por ñár de 7to/o dÉ ior suletos; se .oñsideró item de medkna diricú rd cuando fue resoond do Á !ó l.oo. consderó ilem d ficilcuandolo reró vió bien msnos de 300/ódetos suieros o. ' eñ.¡qr 9.áoo de o u.do rntóp.,eb. r,c t-Á ¿ E*a disribucón n.s indica ,lue a coñi¡uccóñ de a prueb¿ túe ádecu¿ds, desde er puñ1ó dé vÉb dersrado ded ncu üd. ya que h¿y una ñayor proporcón de tem d. med ¿n¿ d licu rd y una ñeno¡ propo(ióide irem lá.ies v dificte§ Coño a propórcón de (em d¿ d lerenre qÉdo de dlficu iad s ajuró a o que se espüaba a .o.frun e ñ en czón derqradode lñdic¿de discrimináción de ros iiem Sá óbtúvo en &sea .osr cienre rpb y s liró .oño crner o ora aa.epü.ióñ nido fuer¿ m¿yor ¿ 020 Eñ b é ¿ ene ndice, r erlm ñron 4 rrm de k prúeba ñ'¿r osnúmerósg 20 27 y 4' y.uyos iidicésde d scrim nacón no ar.¿ñ:3fon etnive ei qdo E "ouJ¿.. ¡éoo0't0'5 0/ 003,p, .dP,, Se eiñ narón rmbÉn 2 'rñ d¿ Subrn FÉproduc.ioi ire Fiqúr¿s áDA¿rde omérrcassrisd ,en r¿zón dsque *a netr do Gr ren'llaba árqá y hriso$ pea os i,ños
  • 32.
    Er rero deros item rue conservado en r¿zón a qúe renhn ¿t n ve de ¡.criminacón erisldo y aprueba der niiiva quedó compue*a de 113 ítem. a conrinuacrón er cu¿dro No 7 irustc el sfado dé diicuhad lporcenraje de r¿§púefa cofecra) y nivel de d kr minación de os 124 ír¿m de a prueba oriq nat.
  • 35.
    in.lu ños rambiénercúadro de disribr.ión de ros punrjes óbrenidos portos 346 suFtosde h mu*rá de ¿nársisde irem Esb dÉr bucón de punráles osc ó enre un máximo de 120 punlos y un minlmo de ll pu¡tos, sendo s promedio de rend m eñtode iossujerosde 63,62y adesviación *ndr¿¿2s07 Er¿ indice eválúa elsEdo de habildad ne.esr a pañ resórver a pruéba y * cacu á a rávés de punbi¿deha, cuyo promedio 1sórico es 13 y adesvácón tipicá teóricaes4. La scaafluctúaente I y 25. ¿e l¿ prúeba rúvo un pu.rjede úde3,5v s másdlicil, de
  • 36.
    -- La dif.u hdñedi3 de ¿ prueba en escar¿ deha, rue gua a 12,60. E*osddos nos oermiieñ áf rmar qúe e ocdo de d l.uhrd de la prueba es ¿decu¿do, re7ón pÓr eb" rdo"ne. -o El srado de disr ñi.ación media dá tr*rúmenró rosr.p b.,tanlorm¿do Drev amenr¿eñ Z de F¡her. E coericente obtenido luede 0 52,quees un va or Análkn de bs rcsuledosen rala.ión a la edad Oado que a P¡uába de Precálcu o osuna p¡uábá evo úrva, se re¿ izó Ún aná iss ds ros puñtales obtr dos en k prueb¿ por l6 suletos de los 4 srupo§deedad qu¿ .omDon ¿n s mue{radEl¿ñáls5 de ¡em Eltrdo,o o o ol L 40. dé r d'o' ed ;orem1 -nr.diiero ¿ouPocdeP'Á ¿ra o s obtuvo d¿l promedio de )
  • 37.
    Elcuadro No 10préentá G promédio. y deshción típica obtenidos pa6 los Como pued¿ apr¿ciare, elprom¿dió de punbjevá arm¿nbndó paú atinamonE con lá edad, si¿ndo lG proñ¿dios d. áedád l y2inlerior$¿lpromediodelgrupo toGl que erá de 63, y 6 promediosde a edad 3 y 4, superior¿s a este p¡oñ.dio, eE deci,los rendimiertos dé 6 niños én la Prúeba dePÉcálcuoson proor¿sivamente ruyorés á médidá queaum¿nra laedad.
  • 38.
    L¿ obre¡úóf deño,m¿sp ae te*de preclcu o se re3] ?ó en bas a res ripos de punú es: peruenrile§, punraiesr v ounrá s z. Ererudio erpermenrar pra á obren.ón de e*¿s normas rue rea izado por reTe er una mue*É de 7r2 sújeros. érÉrif cados poredád, e¡ca ¿ Frdin Lóscuadro. siquienresd*cr bei Ia .ompósiciónde a muerE
  • 39.
    reroñ norm¿s.ada 6mos¿! p¡¿ c nco qfupos ¡l¿ ¿did*.. p r, de os 4 ¿ños I mes. y poniendo.omo ñne.up d B iaños s socoe.o¡ómcos 5. h zó rpnu o.orq.rófd i¡r 1páq 11l
  • 40.
    L¿ d reren.iaobsaa¡a ¿n ¿ á própó( oñarda'l de ¡ ños. c¿piiú o de aiárs s d¿ nem za.ra eñ er¿ño 1973 La ¿p i.acón rre ue Ilú u ón erte 3 y 12 os Dños Éioc ñ.oaños 5e recom¿nd¿b¿ r¿.p .ac ón ei E 'P-rod""ptr. ó s¡¿.ruór, ap lcando e tren 3{¿p*. ¿óuedo a ¿ pautade coréócón, obteniéido $ ui púnúre p¿ñ.ada uñ¿ de 4l0 áre4 que componhn. puñrale¡e 4l0 árem En elcuadro sisu ent puedenve^e lo§promediosy desvación {tndard de a Druoba rouLv poráre p a Los 5qrúpo§d¿edad.
  • 41.
  • 42.
    c0¡! p!e.r ¡p{ d& 1r ú.3.b "o 10 Con os d osobren dos sr 6É p una ñu0f¡a de 712 sureros, + D¡o!ed ó ¿ ¿ob¡en.o¡ de ror, ó se obrúvreron iorm¿r 0 ¿ en Percenr es, Punrjes z y Punrajes T aue as puniales lraean uia mejor predlccó. Los 5 subiers I reh¿br É.i pscopedasógcá, p ¿consej¿, porqúÉ 5u e( o núñe¡ lo0 .1 0..," b¿io un d¿rúñ nádo púnDre -- Lñ.rio.or r D-qn r0,n, , rn 690 o Á ob " " q-,q" o«., ¿rioncer que é rend m ento det n ño er deri.ien¡e. En cañb ó un niño qús obrieñe t,F'4 it dé30oo-,"É¡ro
  • 43.
  • 44.
  • 45.
    Lrna vez reazádá á conveEtón der Punúje tora obren do por et ntño en a prueb. ¿l percenr coráspondienre para su grupo de edad, debe prócedeBe a ún a¡á sis porárea, especa msñ1eén aquer6 niños que obrengan prceñr bajo60. Ene aná s s deb¿ sef cuarlrar vo v ¿sre¿sdel c r¡i¿s En a q!ños r,ñose] psrcé¡r se¡á ¡rfodufró de un rend ñ enl lora púedeproven rdé puntajes p cales de*rmónicós. L bbasde a No 2 ¡ 6enre§¿n os súbipnsde Conceoros Báslcos P.rcÉpcón Visua Seproduc.ion de F qucs y Se.úe de ñúftrosy C¿rd nrid¿d y prá
  • 47.
  • 48.
  • 49.
  • 50.
  • 51.
  • 52.
  • 54.
  • 56.
  • 58.
    ts rñ tióooe no,ms ooEn'oá! en ba* a tn pirúie e{anda'7sdoi lá eüh ún¡ D D,nm;.ró G¿r6 da 50 v uná de¡vl¿ciói tipie de 10. A:'. u. iuieLo qLe tiene un plñuiP? de 40. qL e' de¿r oLe 4 áncu¿1t' a rñadáEv,a(ión rioi.áb¿io"t p.oreoiod..g1pod"..b-drriación {ieb q.e r.m¿ L 1 pr;GP T os 70.'. "acue"rá á dosoesviac orFr I Picds sbre !u '_r, "¡uru"¡.*1.* os Dl4rre5 I @'tspoñoioñ¡e¡ al Plnaje &Lro ToE obtenido por los súj¿tcen a Pruébá,paG ós5 nivelesdeedad
  • 60.
    Prje. r. IPlF r. frj".r.
  • 61.
    _ -cñb'é' ."obr-vqon roi o.rro(!ore.r d"Co,rpr: R"p.od ¿ 'o¡ de rhlt, , !e, de Númros y C dina dad Ld bzó- oó' ! o,e -. oo".o. rbrensa( Lé5 mD* de b os c 12 1^"n ros oLn44 tpdrc t6..b" m¿noonad6,sp ¿d¿sFof qrúpode ed¿d I
  • 62.
    o-§o§6@FoooÉ!P:9e:3PR&§RÑ* EE :-e9Í*B8Agl3RS3 ¡i §: B 3e g e ¿ 3 a : i $ $ s E6 SEneÉ3:.":e.;.e Pi*s993;A6A;3S;Plf Ér3;á6g6B EPEas§43&9:35BeRBaa€a ÉsB§Bies§$6?33BBGt33R EE € 3 ? R 3 € 6 + 3 E 3¡e iEa!Éñ-AS-3.qi3. a:aP*a;sa;ge§eg§ g"Bi 3aB;¿ 9 z E
  • 63.
    = 3 iz É" É jqe); g; 9:r?a 3?? i ; : : iB P §i^' a5 d !"; :¡ "-: eRielSai rSg ¡: €e3;; I ?SS E !
  • 64.
    á2 :3P3§!&{&3..e.R.B- E! 3É É! a i* lE a:d s c s g e ; 3 r, s ; * E ; i s 3ádR ái¡js sigss § §g EBi3 833333 ¿¡ á,i -."o-!::jP:9sRiJR3R
  • 65.
  • 66.
  • 67.
    E punlaje Zes una unidád de @dida que expre* ta ubicációñ &t §uieto respecto á un srupode ésiandarización ¿r Étación atprom¿dio y ladevirc¡ói típie d¿ dicho grúpo. El puntaje z 6 a difáÉncia det puntaje b;úro con el p.omedlo y la desviáción §landmd dé srupo. Generalméñ1e o*ita eniE +3y 3 puñros, siendó e p.omedio igu¿lá0y ladesvi ión standar iquata 1. Cuándoun suj¿ro obliene un punraj¿ nesativo, quefe d¿clr qu..e enc0énrá bajo otp¡omedió de .erdimielro drlq.rpo do eeeñda' zá(¡oñ r', cjdrdoobr,ereul pulbje p6 !r'o, sB encuentra §obfe Esre pfomedio S¿ obtuviercn lc punrajes Z, p3r. et puni¡J¿ total obr¿nido en ta pruebá de PrecalcL o y B,a os subroer Coñepto! Bá!.6, Par@p(ion V!L¡r, Beprodjcció1 dE F,quraj, Beconoc'm eitodo Núm¿ms y C¿¡din¿tidad. t¡s bblás lueron confeúioñadas en runción d¿ tos cin@,,rupol,deedad,paÉ lo§ c!áles .e rca izó h asiándarización dal b$, Las tabla§ d¿t 13 át 1B p.rmi;n k conwrclón dé lospunraje brúlca puniajss z.
  • 70.
    A cónt nuaclónse in. uyen ás Conep¡os Bás cos, Perce!.ión V sua, hb as de púnr¿jes z Rep¡odúccón do Fiqurás Heco.o. 'n eiro
  • 71.
    ! a i6 az g! -"ó 3 s3E : 3 3"q sB :! !38 *-q §§ 3B 5 BB: $ aq!-i3.8 39§ 3 : 3 e B A5 ñ -. E s P ;tr;i:iii'.""" á¡ 6B i'::s;Pé$a¡ R :S{;si3: g?EE s¡e a
  • 72.
    6P Ei *; E§.E §-i3-ts-e.qte-Eiqñ !3 3 3 c G !-; E,§ ó,.óriójéÑjd@oii sc
  • 73.
    ? E 3 :,8 i":i-qEef ;§¡¿e3c?i ó¡9;9B¡E- És é ü i R- c.. : i -: : 6 i : i r, á ,l ; I . '- . ¿ É E R q EE ¡
  • 74.
  • 75.
    { E i 6 §é3c.9.q!3!lg<6s3§ R: 3Rs¿ R;ex *! §' aq6.iEE;-óE§ E 3 33,1 3 e E E R a T l11l1l; I i r:'.i !" E! Eü ¡ i iBi c.lu.6.q Ei?{¡B E : É I : B R E s e I
  • 76.
    Cracterísticár Primñétricá! L¿ donflabiidado únsrencia interna der ñrrumenrórue medid¿ a rávés det procedimienlo ds Kude¡ B chardson en una muesÍa dé 346 sujetos, obteniéndo* un coefcienre de 0.93. a ravós de h fórmú á de cutiksen e coelicién1é de .oñfübilidad fue rambié¡ d. a on dr.on'do' oéd.o- 58 sri.ro. dp ta f_ár¡á d" |,¿;s del f{odo *rara dá 'nF^clo v .á 1, ó{ o!I wt"§ ¿.rc-o-o1ror d" Bmoor 5e"os. .ór , 5 e,DárFnLdoe o.d'nnrá-r, Lá.o-t,cbtid"ooo."n,o.d t éi del mefic hr ds PÉrcoñ fue suatá 0.39. con efos resu iados podemos infe¡ir que el in{ruhénto posee úná a ra consisrencia inierna y que tos punrájes obtenidos por ¡o§sújátos pe.mane.en basrane e$abtes a ravés dé riemóo La va idáz der in*ruñáñró s e*udió á rávésde dife¡enres §istem*. l. Un primr erudio de vatidez cóñcurente rue ráa izado cón et rúeropothan Bead'na -sr tVB r ' er ' ü T-"{r de 5l .,ióró.. orp ",.v.., * ár" o ".o,I dc tos l, leksso! o".onomios El punbje de a Prueb¿ de P¡ecá cub rue corctactonado con et pu¡rale páE lecrurade [¡ 4.T., obreniándose un coerjc]enrede corietáción jsua a O¡jS.' Se corcraciónó ramb énetpuntaje d¿ ta prueba de précárcu ó c¿n etpuniajede la pade malemáricadetMRT, obreniándos ún coefic¿ntede oao.
  • 77.
    3. Un .equndo sfltliode vatid¿z cóncurenre se reátnó coreacioñando os Funtajes .le a Prúobá de Precálculo .on l¿ Prueba de Funcionés Bási.a: iBe¡d cewski y M ricic, 19741. La mú¿ria uri zadá tue de 65 suleios cuy6 ed¿des rlucruában enre ros 5 t/2 v los 7 años, de ambos sexos, y de tos rs ñiv¿ es socloeconóm cos. E coer cienre de validez obtsnidoruede 0.69. r*os r¿su bdos indican qúe lá Pfueba de Precárcu o evrúa p redetconsfucto psicolóqico medido por e NI ropo nañ R.adines fer y por tá prueba de La varidez prediciva der insrumenro se erud ó usñdo una evatúac ón de rendimienloer ártmÉrica, realDada pore profesóra 6V t2 m¿ses pazo. La eva uacón a 6 mess se rerlzó en 5a c*ós, cuando ros niños cu6abaD Primer Año Básco Los p.oiesores coocábáñ ¿ los n hát üs. Ercoálicientede córÉra.ión obtenido lue de 0.40. E e udo de v¿ idez pred cliva á úñ ¿ño ptazo se rea úó en una mue ra de €6 sujeios enre 6 y 7 añosi de añbos seros y dé ros 3 niveles so.ioéconómicos. E¡ ind.e de corc ac ón obien do fue 0.55. Los ¡esu bdos de tos *rudtos de va idez predicrva a seh meses y a uD año pazo, sñ ¿decuado§par¿ ún insrumen¡o de evaluac ón psicoó9ics. Baláción de lo! Punráj¿sde laP¡ueba de PréDálculocon las V i¿b¿s Edad, NivolSócioeoonómico, Se¡óyJárdtn rnfantit Se rca Dó un ésudio de a vá dez de mnslructo dé a prueba de pr¿.á.u o, ana zando á reación de ros pufujes tobtes obienidos por tos sujelos coñ ros crterios ds ¿rretif cación de a muerra: Edad, Nivet soctod.onómjco, sexo y exPériencia en Jardlñ lnfanl l. Con ests p¡opósiro, se réátúó un anáts s de h varianzá de os promediosdátos g'-po! d" I ero +9-n. . eddo n¿ ¡ubmrer,d oe l00c¿sos, obren dáde á mue{r¿ r.hr Oebdo a que los p¡oñedios y dnvi¿ción* ripcasobien dos por ossújsros en 6b subnusúa temñ una prosresión *melan¡e a h obs4ada án k mu*r¿ ¡orar, se erimó que represenh uñ marco ¿propiado DáÉ sludiar avaridez de consrú ó de h Pruebad¿ Précácú o. E t"" [: E t* h E E E
  • 78.
    Er a¡álisÉ ds3 mos,ó eieclos alrañenre sisniriÉriros (p < 0 001 I de as v¡ri¡b es edád y ñ ve so.ioe.onóñ co en os puihjo. obrenidos Lás d lerenc de os prómé.ios obt. dos lor os sfupos de § jetG s¿§ú¡ su edad, Juron coirar¿dos.on ]a p,úeba de Tukey enconrándon que ro son s de ed¿d, pero si üd¿ l? o más mess, éxceptuándo . qrúoo de eda.l iltr or 14 años I m¿s a 4 ¿ñós 6ñssl quesi*.rirerencasqnr.alv¿m¿ntede srupo 4 ¿ños 7 me*s á 5 años Eros lesultados.os penn t¡ ¿r rend ñ enro de losniños Én ¿ prueba s rcremenc a med da qup arme¡b.u edad nonoóq ca, e*e lncremenlo sóro se ha.e sisnif Gr vo cu3¡do os niños tieñen a ¡o menos 5 3ños y d I eren e¡ r2 o más m*es respéc1ó á ¿fr ¿b ¿ Ed¿d En dd¿d¿s m lempnn leñte os 4 y 5 añosl ¡ásdiferenci¡sde rend ñ ento obseivadd sisoi ssñ r.¿ri! co Ero res! t rác menie .omprens á.,áp,do ei aseda.res más tmpñnás. Ei.uanro¿ a v., ab e Nivel so.ioecofóm,co. e Ére.ro ob*rvado ei e arálisk de variai,¿ lue an¿ os prome¡r os obtn dos por ro5 suleros dE c nñer* ab. Medio y Bajo No s. oncónr¿tun dif¿Énc¿. sgñiricar! en errendimie¡ro obrn.Joen á Prueba por os nlños de N s E a§'rifeÉñca. de renrrmeñto de osñ'ñosneN.SE Ü¿lo, respecto a os otos.ios
  • 79.
    El he.ho d¿qus ros riños de N.S.E Eato obreñqan rendimenros soniri. va 4{ o, Arb onre d"..ñ lo' SdlLToo oP or.o "!¡ oio. 1F 'oi ¿,o.d!ó d"d".EGcop oor,po oeS- €co. qé.pq'od. d r -c doó d,c c.pÁ.pa¡F'. ddp6Dmdme*senJard,n ordo !. P!-o.o¿ a' d ¡'" so? d" ¡ ?a. io. o" n¿,or;o"o. a ."dl], o".d ur D¿ndo ¿ Drúeb¿dE srudenr. 5e P'o,'o oF ". d e4 k ob*1."¿.q ." a , s . é, ps, Fn, c f ; d n ' -,q, ,.,r" _os.¡io o,6o ó1ro q Ábd oo o.¿ ¿r. ' o o, e ¿q." 05 ,¡o .r." m, cr -r;o 6k e^mrun á q-e cir'.1¡ "de . ro- 3; (ó é s.nor. t9-5 , B-d, "s y vn,, r9l¿i o bl Doo ce.ocÉ,.cpnróro-r1,r d,; '"{c.F p¿.c d drv.o o1¿o" !o,".D,-d,4poet.áuto que con elaprendÉaled¿ á recrun
  • 80.
    El presenie rabaiotuvo por óbjeto coñstrun y e*anda¡Dar un ndrúmé ó desiñ¿do a eva uar el deürollo de peñsañienlo matemárim en niños enlre 4 y 7 E. su lorru orlsina, ia pruebá conraba de 124 ilem asrupados en l5 ársás,los que, después deiprimer ertudio exper menra rea D¿do con elpropósnod¿ hacerel aná skde ítem- oúe¿aron r¿duc dosa 113 í1em áqrupádósen l0áre*. En este añá ish * elimináron 4 í1em por tener una corelación punto bheria nJerior a 0.20, mrsen esbbecido como límite párá a acepeción de os arem. La elmiñacióñ de os oros 2 irem * hlzo en raz6n de que estos eran de raa ización cómplejá y perteneclan al área de Beproduccón d¿ Figuras que rcñfa un número Las áreás dellnidas como básc para elapeñdizaje de conlorman el marco teórico, en ba* a cual.á conrruvóel 3. CorespondeñciaTé.mlño a Término. 5, BéDroducc óndefiquÉsy secuéncias. 6.- Fe.ono.imentode F su16 Geomátc¿s. 7.- Feconocim ento de Números. I- Sóruclóñ de Probleña§ Arrméilcos. ls dos estudios expe¡imentales rea i¿do., é! priméro en 346 sujéros y él án 712 sújerós, quedó en evidencü el carác¡er evo urivo de a p.úebá, yá promdio§ de rendimien¡o de los s.upos de .dad van en as.án§o a medidá
  • 81.
    queaú'nenta la ¿d¿dcrono óoicay 1¿s diierenciás de rendimlen@enre osditoreñtes 9rupos de edad es sisñiflcáriva. Ráspeclo ¿ a consfencia inre¡na dá innrumen@, éra se *timó a parir de oüli , " .co I,o Gu kseD, se obruvo un cóericenie de conliab dad core§poñdenrá a 0.s8, con§idsadó a tamenre signlficrvo para sitmar k conskrenca ntemade ta prúebá en §u primáraaplic¿ció¡ exFer ñenb. En a.eqund¿ apric¿ción exprimenta, s erúdió a coñtiabt i.tad de aprueba a tavés del márodo tef retsr, en 53 suleros, en.onrándosd un coeficiente de conlábi dad de 0,93i o qúe co¡stituye un adecuado ¡iverde enáb id¿d dé tós punrajes obtenidos por los sujetos en 2 apricacione§ sucsivas de a prueba, cón E estud o de ]a váridez de consructo de ¡nrumenro se roarÉó conrarando os putrtai¿s tola es obren dos en a prueba con os cr tofios de enfátlica.ión de a ñuestra 1edad,sexó y niwl socioecorómicó), a ravés de un análhis de varhñzá ,ooo,,"o,,.,oLUj,., meie d rerenie*qür r¡ ed¿d ye N s r, srn quc 5. obse ven d f.Íén. ás de rard Respecto a a inlluench de ta va¡iab e expertenc a de 6 o ñás meses en J dín lnfanri, se enconró qw os suieros que poseian és¿ experiencia rendian sqnircarivámenre mejor eó aprúebaque o§sujero§rrue @recí¿n dee t¿. E e*udio dé va ide, de cónf¡u.ro de h pruebá mo*ró, uña vez ñás, e cáráctér¿vo úrivode edad cronoógic¿ os sujsros obrénen un fendtmienro ssn ficariváñente mejor en era. fañbién quEdó demo*mda 3 inltuenciade tavarable sttmú ¿ción ámbienrát 3 0 ó o: .r¡ero' oo ..E. é.o , d'l'erc !9,f's.,Tq." supsrióresalosobtenidospof lo§§ut.rosdeN,s.E.bajo. Por ora pañe, ta inl¡uéncia de hexDerenciaen Jardín tnfantitmosró también " 05 " cbe, rióro( a o' {r"do eñ e ¡cooPr"p,e.di7 asi, coñ os ddos obEnidos da los érúdios dffcrhos, s pueda áf rñarque a prúebá pósee eiedivañentg v¿ idez de conrructó. Oebdo a que no se dsponía de in{rúñénros que evarúen un conr¡úcró pscoróslco suála de a Prusb¿ de Precárcu¡o, e e{udio de h vá idez concurenre .re el¿ se fealizó ññrárando os pu ¿]6 obrn dd con dos crke¡ios externos: ta o ebddóf-.!or5 3.. ". o"v,., .¿ oé b5.rjaró. obF.'e rcoe ¡.,.04' -.e o" á.do .oflufórF d.060 de 51 !." o obF- -oos u. loH.a.F oe 03ó t..o..oqi.c +( p-n -1 afrmarque aprúsb¿ posee un¿ va dez co¡curcnie banan&adecúada. E¡ b é a ra fundañeit¿ción reór ca y a] anátiss eradhico de os d os, * aconsejs el uso de a prueba en.iños ¿ñré 4 y 7 áños, con e objero de eutúrsú niv-é de des¿rolo en e áréa de penúmenlo matemár.o V dét¿ct¿r, tó más p¡e.ozmen¡e pos be¡ los niños que preseñran d Iicu rde§, ránto en rorma qtob¿r como en ár¿as *pecilicas de a prúeba
  • 82.
    En ¿ medda en,rue era es !n¡ prueb¿ ds uso ps cop.d¿qósico, tosñiñosque presenctr ¡ licuit¿des en era 5óro deben ser cóñsiderádos en téf o arlecuado eñ la§ áreas med da clo a su capaci.iad nie ecruá. Cuando s encuenren reñd m enrossiqiiricarvsmenre d¿fi. enhs en ta p.uebai r ¿on*j¿ realD efudios pscóó9ico5 compEmsntarios, cón e objero de dererñ ña¡ ¿ poslbe eiioroqh detcu¿dro. En cáso de qúe os punrleserén muy bajo oespsÉdo sesún k edád detniñó, se recom enda . d¿rivacón a oros spe.ia ras, pará eo a uñ diaonóntcó multdh.ip nfio lneuróloqó ó psicóloso). ciedamenre,bajos Endimentos en e ¡eni espec a meñrs cuañdo hsronc ones erán p ejamente dhñinuidrs, pueden erar asociados a p ooshs como nvel s n emb3r§o, a ju cio de lás áuroras, er propósiro deevá u ¿ !n ntño no Duede nl debe ser ¿ '?orulano" sióó proveerro de prosremas de ereriración, tendentes a supsrar os dér.ir que presénra. Agunós sjsrcicios p a óiños enre 4 y 5 años se ¿ncuenÍan derr rosetr 'Pin Pin Saca Cuenral, do Milc c y schmidr (19301, y par¿ niñós snfe pueden enconrár en ''Cónv sndoc.n ros Números" de hs ñisñ¿sáuroñs. L¿ ¿p ica¿ión de un nr¡úmenlodeeva ua.ión como ta prúebáde precácu o se relaciona coñ la posib idad de dst¿ciara n ve preescoary ¿ in code a Enseñanza Btuic¿, ros iiñ6 de pres¿rtár probeñ de aprendizaje. un d ¿siórcó opotuno br.d¿ a posbitidad de proporconar remed aes que Drevienen erJrac on elo as secueás emocion¿ésy os probeh¿s ds d La lnforñ¿ción proporconada por ¿ Prueba de Precácuto semprs deb¿ sér enfrentadá en rérñnós de maduñcióñ de funcones, próveyendo sempre ds aft*n ivás dé solu.ón, vá qus et e¡regar ún diaqñórico, sn proporcjonm tos a soución de Drobtema, !ende a agregr ansuria a h Lá Prúeba de Precá.u o púede s« uli záda hnro a ñ ve ind vidual .omo á 'i.e dP '!" o" .oü-o de o( ., io o-pre. de ¿q. ¡ o o9.. 'd.d, o'i.o ¿p cación Drevi¿ púede serv r de í.d ce det progrcso Fina meite, rá comproba.ón de dtler¿ncias si§nifc¿tiv ei os r¿nd ñienros de os niños, e§Deciálñ.nté de los .rht¡tos n vees soc ocu turates, ssnifca ¿ ne.éidad de adqulr I e cómprom¡o de desafoláf ef rosde ¿nseñanza que tiendán a súpr¿r ras condlcoñ¿s tós niños en slu¿ctón
  • 83.
    Era prúeb¿ sráderlñadaa Évaluarelde$ró lo enniños.uyasEdadesrluctúanente4yTaños. El ta* puede ser aplicadó en lorma indlvdúa o coledtiva srupos de no más de res n ños enre 4 años niños mayores de 5 años, el grupo puádé n.run hada cokcrivas es recoñendáblé conrar con un ayudante. ANEXO NO 1 derrazónamientom emfi.o cohctivá, enléñdiéñdole por 1 rs y 5 añosde edad. Para l0 niños Eñ as ápliGciones Dádas as caracterÉlicas de ter pu¿de ser adminisrado por p¡olélores dé Enseñanza Básicá, EdúGdo.es de Páruu os, Psicóogos y oros especiatjsras en Er ind.pensbequee examinad aprueba, ¡a.rod4de e punto de vkb tórico como práctlco Se recomienda úna primúa apticación in¡ v dua, para íamilkri¿¿re con lás innruccionésy rá paue d¿correcci6n. - Cuadérñirróde rapruebay ápiz nesro, de mina bianda No sé permitúá al niño e uso de lápics de .olóres, p6c, em n gomá de borar. Ej ñpodañt¿ déjar luera deracan.e de 6 n ñós cuatquier etemenio que dislra sa o disr06ione olrend un cuaderni o d¿ innruccones, un cuadernillo de lá prueba,lápics de reemp ao, sacapuntásy ré ojpr¿.onrolde t eñpo - Pór la inauenca que iiene erambieñré sobre el rándidiéñó det niño e. neesa.lo cónsidefar os sisu enle§ asps.tósr d §po.er de un ,]
  • 84.
    3 perm ra ubi@ra ós n:ños a una dfanca do dLódedo dc | 1ór o ¿Ii¡c ¿t .r'-re,r. F r¿.rtrdosdard.ro,e con s riñ do ñó p¡oducn nteffáréncas Función¿s d¿l Examinádor CoñpleÉr, anresde ta ap icaciónde ta p¡úeba, Gd osseneratesdet n ño vsus padres, que ap¿recen en e protocóo 2 2 Ubióació¡ de losniños: - Alubcara ós niños en sus ásienros, e exahinadordebÉmoriv ros suqúiendoelini.iodeontueqo.ón ¿ f n de ranqu tizaror, 2,3. Enteqa deCuaderni¡os de aPrueba Es iñpo(ante que todos os ñiños sean soñertdos a as ñhmas tó que ésü§ * darán texrúa mente. En forna e@ntúár se puede repei r ta in{fuc.óñ, si uñ ntño noha enieñdido. La voz debe $r ciaÍa, pareja y a tá, p¿ra que enrieñdan tá bfeaque Dur¿nt a ap ca.ión, e examinador cúidaráde queetniñoconrere e iiem corespondlente a ra nsrrucción y maraue tá rcspúena sobrá 25 Pci¿ ., - o-e,os. ó. o r.,¿o e ouF .o o q .ede c h !Étd de 4ló. lc pdq.¿ "n o-e dFoÁr 1áGrc¡. oa.c eto p É omeñoo 2.6. Dar recreos cuando as n ños o né.eshen Los recreor dum nuven d f¿ o r..qd tu' nó. oc.c .iño§ 1 slo.ór de c'n.o ¿ños y dos o re! páru 2.7. Feo *o de ob*tua( onei Er.s I f cdo'.-o d¿ .: d.oefl os ¡été!o. F. oot p.o, 4o oe cotha .ó_.1 h hoáde d:bso¿nr:.sdc.e¡¡ "" En.aso de áplicación co ecr va, te coresponde coabomf en a dhribúción de os cuadárnitos d¿ ta ptueba y ápies, /esisrar datos seneráhs, dar vuer as páqinas cuando *a ne.eefió a d pigiá " 'Fm qr" o,,":po d. Loo. á t" ,r,ó. @ oL; rt ".,m. I El 1e* no conrempa tiempo lijo dé apricación @É cadá ítem Cuando t¿ prueba se aprrca en forñÉ coectiva, debe esperarce que et 9oo/ó de os niño§
  • 85.
    lEn sre subtef,e niño dsbe dhcrimiñar conceptos de.anrdad vd mensón: sñnde, chicorlarso, coto;ancho, ansosoja to, bá,órmásy menos, etc.). l. Dásina d¿ lá ñáñzán." 10áqiná 3) á siquieñto En caso ¿e ¿Drlcáción pare dare cuentade sielniño o va a S en aguno de os subters el n ño no respondo a t¿s ítem conse.urivos, cont núe en a pásiru slqúiente. El examlnador debe docir o s 9!iene: "En este cuadérnilló vamós a juqar a hao¿r alsuños elercicios. Tiener que tabajár.olo, no hablfi mn tus compañero!, y i rion.s árquna prasunia quo hácer, leeáns el dedo; no hasas ¡¡nsuna marca ántes que te ló pidád, no ábás el librito; mientas $ñ1o, pin€ ¿l dibujo dé ¡a üpa. Una vez que todos los niños ¡ensan el cúadernilo, disa "ab¡an el cuadernilló an la páqlna de k máñzána" 1pá9. 3). lEn efe momento. anote la hóG de comienzo). 11 't2 13 1 2 3 n ñiracon elpe o más larso 3 lá páqina del plárano" 1Dáqiñ¿ 4): ñl¿rcá alnaracon e .uelomás larqo. N1arca elñido que érá lleno dé pájarnos. l¿ pásln5 ds l¿ pera" lpásina 5): blusacon as mangas más.ortas. pecera que tÉne msnos pesádi1ós. 1Da vue b rpáeiñ¿)
  • 86.
    "En lapásim d¿táíiurilh"(páqina 6) l¡arca el nrrumento qus r ene máscuerdas. Marca abóté amásansons. Mrca a burands más3nsora tDa vu¿tra h pásina) "En la pásjna dellápiz" lpáqina 7ll 16 21 26 30 33 35 {0a vue ta a pásina) 1En lós irem 25 a144, á rarea det n ño cóñshre én enconrar: tarisuraqoe* isu¿l a modeo, y3 sa po¡ su hmañoi forma y postción; e áemenro dlerente deñro de una ser e y bmbián e núñe/ó ó cfra numé¡tca isua atñodéto). Diga a "En lapá9ina do l¿¡guindar" lpáqina3): "Eñ ra s¡sinadel$pó" ipáqiña 9): En a ria de os.ábátos (ñonrar)rarcáe que es dtJerénte o distinto a En la fl:¿ de s aves (ñorrar)marc3 tá queesdiJeréfteo disunr a ras -d..c d c,e a. o %r. ró o d{ nro ¿ En sú rh lmorñ.] m ca át dbuto qúe e§ diter¿nre o dsinro a 6 aqui lmonr¿rlmarca erdibujó que sdirerenle. A.rui lmorrar) m3rca t¿ riqura queesditerente. Aqúi lmorrar) marca á r su.a que es disrinb a rasotras lDavueha h página)
  • 87.
    ls pásinadet s6tto'ip¿s,n¿ rO): Aqul lmcrÉr) masé numeroque s iqu¿ ¿eré lmorr,¡ De,reñ40r44 (Darvuetb tá pásina) hsm 40 Aquí lmosrrarlñarca tos números que son igua esa ene {mo{ra¡. llem4t.l44 Ma¡ca et número que es quáta ésre (mGrar, (Ere subter evalúa a hábiidad d¿ ñiñó Pará de§cúbr r á É¡ación exisrenie enúe ún e emeñto y oúol láp¡sin¿ dera raza" Lp¿qin¿ I tll , Aqú' háv d6 ftar de d,bujos, un€ uon una Ln.d cada d,bujo de e¡c . rmo!Í.rl@n k lisuráqu. té corrc¡ponde de da orc fta tmBúarj. tcábato.on e objeto que te.odesponde Junta con una raya e s¿ncho {mofán cofesponden en efá otra lia Junra con únts Gya ta aco¿re¡¿ (morÉrl coresoonde en ef¿ or, riá rayá ta ouasúa lmost¡ar) corre$onde en ésra ofa fita. ruñta con una reyá e caro {ñosrrar) Juntá con una ray¿ h frecha {ñGrar) lEre §ublst eva úa ta habiidád dern ño pára se encuenft e.la ubieció. ñencionáda oor ¿t Disa a ¡os niños: "En la páoihá d6tpolo,, 1páq na ]2)l Itáñ 5l Marcataúhima pipa. 52 Márca e r¿rcsrcr¡o despoés de ta ocoñoro¡a [¡arcá er rercer rriáñqu .. (Davúeia la págjñal .l
  • 88.
    (Este subt¿r exisea n ño reprotlucir riguras, secuencias afanuháfiÉs, a panir de un modero; v re acionr objetos en un o¡den o serie.) números, paf on6 percepiivos y evaúá rambrén i háb idad oara "En lápáqinád¿ lama.¡pos" lpásina 13)l lrám56 - En..'. .r.o.o 57 .n-- ,4do erc-t'pdcqFqu"oe¡q.d.at 53 - En erecuadro lmostEr)d bujá ási a isúatarmode o. 59 Ahó¡a, dibuja e Écránsulo qúe squé, para que quede isua a ñodeto. t0á vueha ta página) "Eñ la páqiná dálssro" ipág ñá 14) hém60 -copia et núhe¡o ,,7,, lm6rar) 61 - Copia et nú meró ,,3,, lmcraa. 62 Coo's "1ruñro ,' ' Tor,r pa.s q.e o¡d",qr. árnoo".o 63 Ahot .oD " er nlrá.o hg'pr'c't."q-"de (La "t Tooeo tDa vuehá tá pásinal "En la página de h eá" (páqna 15ll hem64 PinG los cirútos qus e.rán vac¡os lñorGn pmaque e qued¿n quata é*os lmo*á¡. Delílem 65¿ 67 h iñd @ción es a mhña. iDá vuetra Iá pásna) "En la pág¡na de la uyr" (pási.a t6t: keñ6S En ar o"-elrp 'ro. ,d, r,i.orpe..d,blj. Deríem 69a 79 tá ndi@ción es a mismá lDá vuetb h páq nal "En la págiia delconójo" 1páginá T7): Itém 75 - Dibula ¿ ftoúra quedeberia ssú:r an.ft co ar Oe ltám 75a 30répúa ta mkma insrrucción. lDavuera apásina)
  • 89.
    lF{. súbte* evaúá ál conocimienio que e nlño riene de conceplG seoñeri "En l. pá9iná del p.j.rito" lpá9ina 13)l Item 3! fi4arca elcú.d.ado. 32 Marca élriánsulo. a3 Márcae reciáñguLo. 34 Ivlar@ hs milade.d¿flor. 35 - fi¡arcá els]oboquelle^e a mlrad nes€ (D¿ vue ia a Páqina) ó .dpá( o¿o de n.lopá"oo á'ernoñoFoe s roro G'bán ñ:dé rd ¡"¡ll¿"¿ ."" ¡*t¡r"a á ,¡.ero de obierd que hav en una s.rie v reproducn, si;uhndo ; odú d"dá pú e ¡m nador ranios má§ o ñeños elemenrÓs ) "Eñ la pági¡a d€ la cop¡" (páginá 19): "En l. pálin. d.l tomPo' (Pásina 20)l Ilemg3 - Esc¡lbe en ere cuadro, el hem 36 En osta lik (mostrarl encierae. a7 En eslafllá (mosÍaa enclera¿n 3a Eñesúli¿lmosrmr)encierásn s9 EscrtbEeñérecuadrolmorrár) 90 Escribé en efe cúádro lño$rar) 91 - Escribeeñ erecuadró lmorre¡ e2 - Es.ribeen ¿ ecuádro lmorrer) mkmó ñúñero de bollras que háY áqúl que lasquehay én e modelo ddc.rnó men6queláEque háv en elmodelo. s7 EsÚibetrescsitas 93 - E§dribe ñás casha§ que las que hav én élñode o. iBa vuelta la aáqiná)
  • 90.
    1Eñ esá súbteste n ño debe a un número y iámbién esc¡ibr misn la cantidad de elementos coresoond enrés e núme¡o que coreslonde á úna dere¡mina.t. "En ra páqiná d¿ h piña" toá9tna 2l): k¿m 9S Má.cados pscados 100 Marcaircs pelolás 101 M cac nco h¿ ados "En ¿sta lila esrá dibujádo et núm6ro 3 y at tado u¡ con,uñio de 3 ctrdto!, ahod,,: ker 102 aou o,ouia ¡cs p"o. .c,qlr o,.élpoñoer a númerod bujado 1morrur numero 5l 103 -Aqui lmo{¡ar) dibuja hs p€ orit* que corEsponden at númÉro dibujád. (morrar No 7) 104 Aqui lmosrGr) dibuja tas petotnas que core$ónden at nt¡mero dibujado {ñó*rar No 3). l0avúeha h pásina) "En Ir pásiná dBt rctoj" lpá9iñá 22)l ' En l. pnmera lib¡áy un 6nrunto con cu.ro c,rcutos v .r tado etnurero que to lbm 105 Escribe áqúi (ñóslÉ, e ñúmro corespoñdiente á ta canridad dé pe oritm der conjunio Delñem 106a 10arép¿i. a mism inriucción. lDavueha h pásina) 1En. efe úbe$ se pranrean al niño probtem simpre§ d¿ adición y "En lá páqina det cucharón,, tpás na 23): lrem 109 E5cúchsbreñ oqusEVoy¿de.r .y.kñÉ5 ri¿ de bo irásm¿rca ásqde m¿ qúedáron Il0 -'Tú ien 3 h.ado5 y 111 - "Juanno kñh 3 cá§ir* y ¡esa ó 3,,. En á fih que qued¿rón.
  • 91.
    112 --r,,h"oLn.'t"o¿ -"e-b6',en,o§ /p.sot-¿.roñ.! Ma^q (Da vuerü a páqi.al coñrunros * h m sm¿ o diterenE ) "En lá pásina d¿ laíor, tú rima páqina)l Marca lós par* dé conjunrósque ti.nén isual núñ*ó de péto¡E' lbm 113 _r'-d" bú perorrá5oreháv ón .cd4¡ó- ,rro .,.oñ,gldql /ó. r,i,ro. . 50- d, rr4 E. erd r, á .To,.ái. ,dv. r c ms .o;r., oad. pe o ". § rón dE!nros no h¿q¿s ninquna mdrc¿. Del ltám 115a llarepern b m smá instucción. ANOTE LA HORA DE TEBMINO Y DESCI]ENTE DEL TIEMPO IOTAL OCUPADO EN RECREOS
  • 93.
    ANEXO NO2 PAUIA DECOBRECCION DEL TEST DE PBECALCLTO CR TER OS GENEFALES I]F CORRF" ON Ei fef de Precá cúro conn¿ ds l0 subrefs, con un toe de I 13 ít¿m. Eros s dividen ¿n item de seección mú r pls, copa, compémenlacóñ, unión v resotuctón La corrección se eiectúa de Si la respuesb es corecra, se anoG ún punto ir )j s se ¿rora 0 punto i0);si * oñire ó no s aborda, se anora utr signo ñenos I L Si además de h árernariva co ecra e m¿rc¿ ora, er irem sgcónsidere incor¡eóto (O) Pare el cómputó de resu bdos f cuenGn lós iteñ respondidos en torma coirecb; p a cada §ub¡e{*3ño¿n sros puftajes y puntaje ro& deltélt, pudiendo obteneree un máxlmo de t1a punlos. Los punrajes bruro§ robhs y ros de 5 súbrer5, sé faisfo¡ñáñeñ resriposde puntjes esend D¿dós: ptrÉm 6, puntal¿. f y puiiajes 2, cuyas rabhs se encuenrai e¡ ercapítu o V. Es ds ehccióñ de examiñádore/lipo depuntaie enandarz¿doquá seurjizará, ." o¡ "rdd,dos - oon -" leio, o} o' ]c ¡ b, ,lo. a o ',r po dA puneies ebndrDad6 no resurta Éc$ria 2, CRITERIOS OE COBAECC ON OE TEM DENIRO DE CADA SUsTEST Ese súbreferá conrirúido sóropor item d¿eección múhiph Se coñr dé¡á lá r¿splera bueñá, .úándo la ñárca hecha pór el encuentadentode alqum que co¡re§pondea aa terñ ivá cofeda La respuera s iñcore*á cuando la marca erá hécha rúera de as .úándo e¡ súFió mrcá 2 á lern
  • 94.
    Se.oñsdec omirido etrem cuando no m¿f.á ningún¿ o ñárc¿ fod¿! ¿s - - -9{1 111..." :"'.":..oe iq.,4do do-",.o..o, ",,ne o .. 2 I yc.¡ sú.Ps.al enr" d"o"rdÉndo drt, uf qo op dre.c,o. de Ldoá,hm I. SUBTESf DE PERCEPCION VISUAL IIfEM Ene 5ubr¿sera.onr ¡u dó por remde Se siguen los hism6 crirerios descrnos Simarca e modeto seconsideraom ri¿á S ñ.r " ". rodJo l -ora Érnodsó r -ras¡q.crr," n!c,e.a r p,m;á p-n.r.
  • 95.
    .IA fEFMINÓ AfEFMNO {IÍEM45 50) Ere §ubtfconda.le ítem de unióñ de 2dibuios. Si un dibujo de iado izqu erdo i.o uña l) e{á un do cóñ ¿r dorespondiente del lado derecho lco umna 2), * considúa co¡¡ecro aun cúaódo e de a.otumna 2 e$é también unido con óúo de ádonqúe.dolcoúmñat),enesreúrmocaso,ta ¡espuer¿es incofece pará d ófo irem. LE§ i¡TEM 51,55J E*eesun subrerde s¿eccióñ múrt ple. Se comlurá l ounto simarca ¿ a terñ iva.oÍr¿.r. Simarca oraahe¡ñatlva, ademásde h cotrac¿,no sed¿ púnrajs (O Simarcá una alrernauva edón.a,0 Dúñ1o _ Elc 'r- o54 o.onóro,d * ro.sioq. or,,,do p-s GUFAS Y SECUENCIAS ITEM56.30) Ens súbtesl conra de: a) freñ de copü de rigurá., ñúñeró. y parrónes p€rceptivos (56 ár 63); bl rtem de compección con modeto 164671;c) írem de Éproducclón derlguras§igu ¿n¿ó uná.ecuénciá rósi€ 163 - 74) En los iteñ 56á 631á fisura debe: *b¡denfode recuádfo¡ ño imporá eltamañoi la riqurá ¿ebe se¡ re@nocib ¿, la lnveBión orobciónde números* consideErá ¡corcdá l0 puñró). ro No 3lúq r/á126)
  • 96.
    Se consdera corecrocuañdó se maren tos mkmos círcutos eñ tá ñhmá úbicación de modeo, no importárdo ál tipo de marc¿, .iempre que ásb qu¿de dentó ¿e los.rr.ilc Se cónsidera corredto sielnúñero o terá erá el luqa¡ cordsooñdienie. - Se conside¡a incorÉdo si el número o 16rá esniúre éslá inv*tida, o §ise omite alquna, Nota: VerAn¿xo3, pás, a. En los ñem 75 - 30, de ¡a pa.te c dállubrst: Se considsa corecto, cuando lá fiquG coresponde a ta secuencia y ¿s ubicado dañró dél /ecuadro, en érá fuera del recuadro, si su Ere subtesl esná con*itúidopor item dejéección múhipt¿. Sécomputa I punrosimarca ¿rrárnatiEcorects. Sa coñputa con 0 punro: si marcá una á rerñátiva inóórrecta o bi6n omhe la Se compue con 0 puñto si además de a at¿rnátiva.orrecb marca or¿
  • 97.
    rO DE NUME8OSI TEM 36-93) 'i qo¡e Fñ dr ',o'od., Par¿ lor írem 36 37 - 33: s compu¡a con I púntó s además dÉ acorccla una incorecú. En los hám 3S 90 - 91 92, se coñsidnan cór¿ctos s e número es reconocible, y erá deñró de recuadro, yes in.oÍrácroste núñároená nvertidóo ¡ibuiaór.númEroounafisrra re.onocibe lVerAnexo3, pásr2lar26) En ¡os ítem 93 - 93 no mponan a ca idad detdibujo ñik dfan.iá enrre uno yoro,r ro e númerodeeéñénros dlburados, Ere subten conliene ireñ dá sereccón múhiper item que requi¿r¿n ta ¡epródúc¿ión 9rá1.¿ de ehmenios que indiÉn un deerñ rádo núm¿ror contene atem en qoe e niño deb¿ dibujar e número que cofespoñde á una deteminada En ior írem 9s 100 - 101: se da ún punio cuando e ñtño m ft o núñerc de eemen¡os pedidos en Se d¡ 0 púnio, s ue os pedidos o si omite ta
  • 98.
    Los irám 102100 - 104, se consideren corectos cuando á niño dibuia e ' rTefo da fqua. corepordiÁ Los ítem 105-106-107 103, se consderan corectos sié número que correspoñde a a cañrdad de figúras,erá denr¡o del recúádfo.es feconocibé y no IX. SUETESf DE PROBLEMAS IITEMlO9.TT2) En sre subier e niñó debe marGr en cada iiem asfigures quecoréspondan álnúme.oobte.idocomo reulbdo en h réso ución délproblema. X, SUBTES]DE CONSEFVACION IITEM 113 - ]I3) En e.te §ubtest et niño debe ekqn ánrd dos atErnatvá.. Cúáñdo ámbos conjunt6 t enen isualnúmero de íremdebe hácer una ñárca y cuando losconiunrós lienend ferente número de e éñ¿ntos nó debs marcar Para éfe súb¡er, ¿ún cuandó ra prueba haya sido elexam nádor d¿be tralar de erarjunio a n ño,cuando de que a obiener ós resu rdos ño * computen comó ap iedts en forma colec¡iva, és¿ únteste, con elobjeio co¡iectos ibm qúe han sido
  • 99.
  • 100.
    Lín¿ás agregadss queñó corrcspoñden a a loma de aligura
  • 103.
    No respsta losánoutosv e fáhauñ tado. Norespec losánsulos n lá proporción
  • 104.
  • 105.
  • 107.
    Núme¡o in.omplero ynúeve inÉ do
  • 108.
  • 109.
    H-27 H -2,. H-2» H -2' Tmzós aqrcqados ál ñúñero 7 H -22 H -2-1 Numero 7e p¿ Pce ¿rnúmero 1
  • 110.
    P-83 P -93 P-:3 Número a ,eeñp az¿do por 3 P -:3 P -o,3 f¡azos asregádos hácen iÍeconcib e P -.-,3 P -tn:3
  • 111.
    LM-496 LM-4o'6 LM-4r,,6 LM-4-.6 D bújóún nümero 3en wz de s. LM -4.6 LM-ag6
  • 112.
    KR-128 Kk -128 K-428 KR -128 I r§_ -128 K -?28 Let¿ R m¿ ub Gd¿ ytdk¿ ernuñ¿¡o 1
  • 113.
    RVT-651 /r%l I R RT-S 57 R rT- :i, aqrsó un número y atreróetords¡ RVT-,-¡ RvT-[ [ 1
  • 114.
    BS-306 Q§- joG ]s-oo BS- aO¿ s- $a Om rió era B y núñero6 re(oioc btá AS- }O s-fu1 Alreró orden d. ñs n imPros
  • 115.
    SUBTEST A ECONOCIMI E NTO Y REPHODUCCION DE NUMEROS
  • 116.
    1 Akeración de rortuy endenc¡a Téndencia á la pé^everá ción; n úmé ¡o ! !
  • 117.
    () a) (-, Núñero no ruEdibuj¿docomo Un dád
  • 118.
    § 1 Trazo *rticalde 7,o¿rde adir¿cóón
  • 119.
    Crb No l:F o,ororóq."."" seou oo ). 'p".c o. r¿.d ¡ r.¡dn, er ñ .opqo da Lopr.'.J".obF- oo oo, er.ilo,Á o '.or,"ro" Como pu¿de apreciáreé, á punraje srobat en percenri e§de JávÉrpermiredecir qúee n ño §é encusntra sobre e 90o/ode srupódee(and zac ón, es decir, qu¿ se eñcuenr¿ en e srúposuFniorde rend mún¡o y qú¿sóoen e ároa dereproduccón d¿ fguras y scuencas se encuenra rqerámente bajo erpercenr r50. Ere úhimoés un perenti bajo en reacón álrivelde rend ñientodetniño,e.dec¡, ¿fa túncón tene ún¿ d spnsóñ ñélar va, respecto á prómed. de o ño, pof to que sría
  • 120.
    acons¿jabh reari:r un¿eiercr.ión *pecifca en s& ár¿¿. Erreslo d0 or percenrites fu(úa enree percen g5o/oVdpercenri s6o/o, 101 ;do.Éoo.L.'o I or cL o.' o .e ¿ r)aoq. . slobJes, alniño sobrd e promedio, a 1,13 punrossobre á, fenómenoquo es parejo prácri.¿menre para rodás ás run.io¡e§, !on sxcepción de r.produc.iói de riguEs y sécuenciss en qué áná a 0,14 dd*iáción rípc¿ de p¡omád o Efo ñdtc¿ que e d*rolo dá p¿n$m enro má1omárico de nñoerá§obree lim le EpeÉdo paÉ 5u edad, con ercepción dertea.le reprodúcción de rqurus y secúenciasen que,5ib ei promed o de su.dad, es adelin 1v¿menre balo su prop ontver En a Gnslo¡ña.ión del Punláte Bfuio a PuniajeT a inrerpretacóñ ossmil a a que se hDo fespecló ¿ os punrájes z. Respecro a púnlaje sroba, sr n ño se eicúedt¿ a 1,3 desvlac ones ripicas de pfomedto respecroasu srupo d¿odád . En bdA 4 rüncioñs, a e{epción de reproduccóñ de rq!re. y sscúenca§, *iá á má§ de una desv a.ión tipi.a sobre etoóm¿dió. !a d sm núcói enelte¿ en ..p.od(. o d- rsL." Se eádm n rñrcn áJavtr ós nrrumenros paia vritc¿rsiéiá un problefra ¿sp¿cirico y.n a prueba d¿ inretisenca lW SC)obtuvo uñ c de t24,enianroq.e en Él test de Bendérsantucci sóo ¿lca¡zó a ¡os ím les de sú edad, por ó que podemos súñrer úa d srep ca en ¿ área rte a sráromoricid¿d reipedo a i ¡eñd mientoeñ é áfea cosnitivá. C oNo2:E protocoto que s anarn¿ a co¡1nuaóión esde ca.a niña.l¿4 momenrodc ¿dminisk t¿ prueb Los puntajesobteh dós porCtaru so¡ ossisuientes:
  • 121.
    si se coñrÉtenlos punejes brutosen percent ese óbservaque r ñ ñ¿ óbtcie ún percentilqlobalde 50,que la co oca ¿n elqfupo med anode rendimienlo Pero sl * ha.e ún aná hs det ádó * vorá quo hav dos áretr que s encuenran bajo ei percentl 50, elhs §on elárea de Con.epros 8ásicos y e áreade Reconoc mientóde Números, lo qre podria erar lndlcndo dericioncüs especiJcas e probemas de dericente e{imu ación ambien¡a, o que s§ a iámenle D¡obabh dado e n ve deeducación de ospad¡es. La ranslDrmaclón de punraje brutó a punbF Z, oermire nfárn o 5quiente: C a erá en e qrupo mediano tle rendlmienro, coñ una desviación tipic¿ de 0,07 rsspscro ar punraje rorar de su srupo de ed¿d Pero sr rendimien¡o proviene de ounráios pocó rsqúkr¿s ¿r ¿s 10 ne¿s El rendlñento de I bajo e promed oen Conceptos Básicos, Beproducción d¿ Fisúrasy Feconóclmi¿nto de Números y C dinaldad. Las luncion¿s refanes e$áó todás eñ el proñedio o ercánár a é Un análisÉ cualnativo de área d¿ conceptos Básic ella tene prob¿mas especificos cón ósconc¿ptórde anchoy ¿ñqofoy málmenós, no tenlendo er eñbio coñceplo ds óomoañcón. La lala en aadqú sicióndeere ú rimo conceproexplie su di, cu tád án e áÉa de cardina dad. Eñ punraj¿ T *rán bátó ¿rprom¿d o lás ñismásruncioñes menconadasa hácer elaná Gs de ros punbjesZjen la med da que ¿ñbtrlormasde ñedición son forñs de expresar a mism¿ realid¿d. Enos puntaies de cara prono*icaron ún cieno riesqo de pressnrar problemás ene áprendi2álé de hs matemáticas, por lo qusconvándfi¿ r¿a izarun proqGma de osiñulációñ en as áfeas deficitaras y uná reeva uaclón, después de 6 máss,conel rln.le prevénnráñrornós de aprcndrzajé de cá.uroene tuturo.
  • 122.
    cao Nó 3:L odo.oo olc y c. ¡á a,o-uru¿, io¡ ped.n".p c páo o. ó ::"*#:" .*. " - " "eu.do,eff¡p de D.r q ano e .odlonp1o 01 p.eñdq el,iqñr doo de'o nuñe,o... i o,o ¡¡rto. 4,o1 a. eLr". A_b;! ANALISIS DEL HESULTAOO EN PEHCENTILES Los r¿sultados de Pabo 5e éncú ñle¡ior de rend miántó (P 34), o que d¿do e de tós pádres hace p.nsr en que hay úna dericenca especilicá prá eláprend zaie de cárcuio y no sóto un problemá de raha L8 funciones más dhñiñuidas son tas que se reacionan con Reconoc mienro de Números, aun'tuebmbiÉn oerán Conceptos Bás.osy Reprodúcciónde Fsu¡as La lranslorm.cióná puñtajesZcoloca a niño lioersmeñr bajoetpromedio de rendiñéñio dá §u qrupo de edád en cuanro a pun¡aje globat, pero $ obsrvá úna disp€rcón neqal va en ros pu.tajés. Los puñrarés que más se desvian en rorñá nesaiva de promedio pare su edad, soñ a Feproducciónde FtquresySecuenci¿s y el Reconócimien¡o de Númorós En cúBnto a a conEreión a punlaje T, el aná isk ss simiar á que * hüo en rslación a punráje Z, es dec¡, e niño *rá tisramenre bájo et proñedio de su ádad Los re!urbdossDn 05 shúrenrerl 5-8eprcd[cóndeFio!r6
  • 123.
    En deición aos puñbjes de ddn4d be,o e¡ o o_rc o. ,. .,9 diáqnó{'caron iñd cesde DisJui.ión Ce.ebrarMin ñá s¿ rdióó r¿habiiid.ión psi.opedasógca y rev¡ uándóse a tos seis máses. despuÉs. Eó era revatlacón s¿ obs¿ruo un p¡osreso, erando rodas hs funciónes denfo de rím tes norma es, .on excepcon de reproducción dátisuGsy secuen.iás, que ñó habh ¡eñido uñavar¿ción siqnilic va )
  • 124.
    ANÍECEDENTES DE LNIÑO N.S.E-
  • 125.
    I Róprcdúeión d! Fioy s¿ú€ñcht
  • 127.
    sid IPF 3.)D! m4rruBoG44.Pjóooy!Ól,,Nor
  • 128.
  • 129.
    ti,"'E'",""d"P"1".-1., rE&io p¡*sbdo €¡ r6¡jopreE ádo f ronoddapreidnáÉ, Lr c.,ma?o, reTe "8drc abieds fo¡ ñe now G ns" Eduüriomr Psychdoqy vo 46(3). re76
  • 131.
    ND CE OETASLAS rqrc$oide s¡ P!d.¡e fob 0 ¡ (or*cóidÉ 6¡ P! aiefoc