UPN, PASIÓN POR
TRANSFORMAR VIDAS
CURSO: MATEMÁTICA BÁSICA
TEMA: ÁLGEBRA DE FUNCIONES
Adición, sustracción, multiplicación y división
Departamento de Ciencias
Si se sabe que las funciones de ingreso I(x) y costo C(x) de una
compañía productora de lácteos están dadas por:
a) Determine la función utilidad U(x) e indique la utilidad cuando se
produce y vende 2000 unidades.
b) ¿Cuántas unidades se debe de producir y vender para no ganar
ni perder?
UTILIDAD
3. ¿Qué operaciones con funciones se
efectúa para determinar la función utilidad?
RESPONDA LAS SIGUIENTES PREGUNTAS:
1. ¿Cómo se determina la
función ingreso?
2. ¿Qué operaciones con
funciones se efectúa para
determinar la función costo total?
4. ¿A qué llamamos punto de equilibrio?
INGRESO = (P.venta)(N° de unidades vendidas)
COSTO TOTAL = Costo Fijo + Costo Variable
UTILIDAD = INGRESO – COSTO TOTAL
Volumen Mínimo de Producción (VMP):
Utilidad = 0
Ingreso = Costo Total
LOGRO DE LA SESIÓN
Al finalizar la sesión, el estudiante efectúa
la adición, sustracción, multiplicación y
división de funciones, analizando sus
respectivos dominios, resolviendo
ejercicios y/o problemas vinculados a su
entorno profesional, demostrando exactitud
en sus cálculos.
CONTENIDOS
1. Álgebra de funciones.
2. Adición, sustracción, multiplicación y división.
3. Problemas de aplicación relacionados a su especialidad.
4. Referencias bibliográficas
5. Metacognición
Recordando la definición de FUNCIÓN
A B
Gráficamente
Álgebra de funciones
Consideraciones al definir operaciones algebraicas
Al definir una operación entre dos funciones,
obtenemos como resultado una nueva función.
Necesitamos saber el dominio de la nueva función.
Necesitamos saber la regla de correspondencia de
la nueva función obtenida.
esto no debo
olvidar
ÁLGEBRA DE FUNCIONES
Operaciones Notación Dominio
Adición 𝑓 + 𝑔 𝐷𝑜𝑚(𝑓) ∩ 𝐷𝑜𝑚(𝑔)
Sustracción
𝑓 − 𝑔 𝐷𝑜𝑚(𝑓) ∩ 𝐷𝑜𝑚(𝑔)
Multiplicación
𝑓 ∗ 𝑔 𝐷𝑜𝑚(𝑓) ∩ 𝐷𝑜𝑚(𝑔)
División
𝑓/𝑔 𝐷𝑜𝑚 𝑓 ∩ 𝐷𝑜𝑚 𝑔 − 𝐷𝑜𝑚 𝑔 = 0
Las operaciones definidas anteriormente entre dos funciones solo pueden
realizarse en un dominio común a ambas.
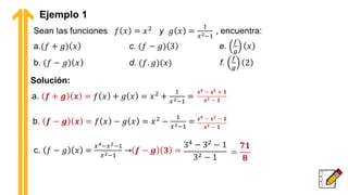
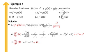
Ejemplo 1
Solución:
Luego determine la intersección de ambos dominios
Sabemos que:
Pero el denominador de la función g(x)
no debe ser 0
En ese caso debe cuidarse que x no sea
1 ni -1
En tal sentido su dominio
también será:
Solución:
Ejemplo 1
Ejemplo 1
Solució
n:
¡Recuerda, cada desafío es una oportunidad para aprender!
Determine la intersección de ambos dominios
Solución:
Ejemplo 2
Solución:
Sabemos que:
Ejemplo 3
Ejemplo 3
Solución:
Ejemplo 4
Solución:
Luego se
tiene:
Si se sabe que las funciones de ingreso I(x) y costo C(x) de una compañía
productora de lácteos están dadas por:
a) Determine la función utilidad U(x) e indique la utilidad cuando
se produce y vende 2000 unidades.
b) ¿Cuántas unidades se debe de producir y vender para no ganar
ni perder?
Ejemplo 5 : Utilidad
Solución:
a) Hallando la función utilidad:
Se debe producir y vender 600 unidades para
no ganar ni perder.
Solución:
Hallando el ingreso:
Hallando la utilidad:
Ejemplo 6
Graficando la función de utilidad:
U(x) = 4x – 800
x U(x)
0 -800
0
200
U(x) = 4x – 800
En la gráfica se observa que:
La compañía productora obtendrá una ganancia
cuando se produce más de 200 unidades .
Ejemplo 7
¡Recuerda, cada desafío es una oportunidad para aprender!
METACOGNICIÓN
1. ¿Qué otros problemas cotidianos podrían
resolver aplicando el álgebra de funciones?
2. ¿Qué dificultades se me presentaron en la
resolución de ejercicios y problemas y cómo
lo resolví?
3. ¿Qué importancia le das al tema de hoy?,
¿Porqué?
REFERENCIAS BIBLIOGRÁFICAS
• Arya, J. y Jardish,R. (2009). Matemáticas aplicadas a la administración y
la economía (5.a ed.).
• Harshbarger, R. y Reynold, J. (2005). Matemáticas aplicadas a la
administración, economía y ciencias sociales (7.a ed.).
• Hoffmann, L., Bradley, G., Sobecki, D., Price, M. y Sandoval, S. (2014).
Matemáticas aplicadas a la administración y negocios (11.a ed.).
GRACIAS
MATEMÁTICA BÁSICA ÁLGEBRA DE FUNCIONES.pdf

MATEMÁTICA BÁSICA ÁLGEBRA DE FUNCIONES.pdf

  • 1.
    UPN, PASIÓN POR TRANSFORMARVIDAS CURSO: MATEMÁTICA BÁSICA TEMA: ÁLGEBRA DE FUNCIONES Adición, sustracción, multiplicación y división Departamento de Ciencias
  • 2.
    Si se sabeque las funciones de ingreso I(x) y costo C(x) de una compañía productora de lácteos están dadas por: a) Determine la función utilidad U(x) e indique la utilidad cuando se produce y vende 2000 unidades. b) ¿Cuántas unidades se debe de producir y vender para no ganar ni perder? UTILIDAD
  • 3.
    3. ¿Qué operacionescon funciones se efectúa para determinar la función utilidad? RESPONDA LAS SIGUIENTES PREGUNTAS: 1. ¿Cómo se determina la función ingreso? 2. ¿Qué operaciones con funciones se efectúa para determinar la función costo total? 4. ¿A qué llamamos punto de equilibrio? INGRESO = (P.venta)(N° de unidades vendidas) COSTO TOTAL = Costo Fijo + Costo Variable UTILIDAD = INGRESO – COSTO TOTAL Volumen Mínimo de Producción (VMP): Utilidad = 0 Ingreso = Costo Total
  • 4.
    LOGRO DE LASESIÓN Al finalizar la sesión, el estudiante efectúa la adición, sustracción, multiplicación y división de funciones, analizando sus respectivos dominios, resolviendo ejercicios y/o problemas vinculados a su entorno profesional, demostrando exactitud en sus cálculos.
  • 5.
    CONTENIDOS 1. Álgebra defunciones. 2. Adición, sustracción, multiplicación y división. 3. Problemas de aplicación relacionados a su especialidad. 4. Referencias bibliográficas 5. Metacognición
  • 6.
    Recordando la definiciónde FUNCIÓN A B Gráficamente
  • 7.
  • 8.
    Consideraciones al definiroperaciones algebraicas Al definir una operación entre dos funciones, obtenemos como resultado una nueva función. Necesitamos saber el dominio de la nueva función. Necesitamos saber la regla de correspondencia de la nueva función obtenida. esto no debo olvidar
  • 9.
    ÁLGEBRA DE FUNCIONES OperacionesNotación Dominio Adición 𝑓 + 𝑔 𝐷𝑜𝑚(𝑓) ∩ 𝐷𝑜𝑚(𝑔) Sustracción 𝑓 − 𝑔 𝐷𝑜𝑚(𝑓) ∩ 𝐷𝑜𝑚(𝑔) Multiplicación 𝑓 ∗ 𝑔 𝐷𝑜𝑚(𝑓) ∩ 𝐷𝑜𝑚(𝑔) División 𝑓/𝑔 𝐷𝑜𝑚 𝑓 ∩ 𝐷𝑜𝑚 𝑔 − 𝐷𝑜𝑚 𝑔 = 0 Las operaciones definidas anteriormente entre dos funciones solo pueden realizarse en un dominio común a ambas.
  • 10.
    Ejemplo 1 Solución: Luego determinela intersección de ambos dominios Sabemos que: Pero el denominador de la función g(x) no debe ser 0 En ese caso debe cuidarse que x no sea 1 ni -1 En tal sentido su dominio también será:
  • 11.
  • 12.
  • 13.
    ¡Recuerda, cada desafíoes una oportunidad para aprender!
  • 14.
    Determine la intersecciónde ambos dominios Solución: Ejemplo 2
  • 15.
  • 16.
  • 17.
  • 18.
    Si se sabeque las funciones de ingreso I(x) y costo C(x) de una compañía productora de lácteos están dadas por: a) Determine la función utilidad U(x) e indique la utilidad cuando se produce y vende 2000 unidades. b) ¿Cuántas unidades se debe de producir y vender para no ganar ni perder? Ejemplo 5 : Utilidad Solución: a) Hallando la función utilidad: Se debe producir y vender 600 unidades para no ganar ni perder.
  • 19.
  • 20.
    Graficando la funciónde utilidad: U(x) = 4x – 800 x U(x) 0 -800 0 200 U(x) = 4x – 800 En la gráfica se observa que: La compañía productora obtendrá una ganancia cuando se produce más de 200 unidades . Ejemplo 7
  • 21.
    ¡Recuerda, cada desafíoes una oportunidad para aprender!
  • 22.
    METACOGNICIÓN 1. ¿Qué otrosproblemas cotidianos podrían resolver aplicando el álgebra de funciones? 2. ¿Qué dificultades se me presentaron en la resolución de ejercicios y problemas y cómo lo resolví? 3. ¿Qué importancia le das al tema de hoy?, ¿Porqué?
  • 23.
    REFERENCIAS BIBLIOGRÁFICAS • Arya,J. y Jardish,R. (2009). Matemáticas aplicadas a la administración y la economía (5.a ed.). • Harshbarger, R. y Reynold, J. (2005). Matemáticas aplicadas a la administración, economía y ciencias sociales (7.a ed.). • Hoffmann, L., Bradley, G., Sobecki, D., Price, M. y Sandoval, S. (2014). Matemáticas aplicadas a la administración y negocios (11.a ed.).
  • 24.