Estructura de los monosacáridos. Conformaciones y estabilidad. Efecto anomérico. IntroducciónNomenclatura y clasificación. Configuraciones.Estructura de la glucosa4. Estructura cíclica. Proyecciones de Haworth5. Conformaciones generales de los azúcares.6. Efecto anomérico5. Efecto anomérico
1.IntroducciónLos carbohidratos son compuestos polifuncionales que responden a la fórmula empírica Cn(H2O)n  para n≥3, son polihidroxialdehídos o polihidroxicetonas.Los monosacáridos son carbohidratos que no se pueden hidrolizar a azúcares más simples.
2. Nomenclatura y clasificación. Configuraciones.Los carbohidratos pueden clasificarse atendiendo a:1.-Complejidad:Carbohidratos simples-> monosacáridosCarbohidratos complejos-> disacáridos, trisacáridos,terasacáridos,pentasacáridos,hexasacáridos,heptasacáridos, oligosacáridos (a partir de 8) y polisacáridos.Ejemplo de disacárido
2.-Tamaño: 3.-Función:Aldosas-> azúcares que tienen una función aldehído o un hemiacetal equivalente, como la glucosa.Cetosas-> azúcares que tienen una función cetona o un hemiacetal equivalente, como la fructosa.         D-Eritrosa                         D-Xilosa                                  D-ManosaTETROSA (4C)                  PENTOSA (5C)                       HEXOSA (6C)        etc...
4.-Configuración estereoquímica del átomo de carbono estereogénico que esté más alejado del grupo carbonilo (serie D y L)Formación de un hemiacetal:Los hemiacetales cíclicos son estables si se forman anillos de cinco o seis miembros. Esta estructura cíclica suele representarse en proyección de Haworth
Degradación de un azúcar: Natural-> (+) gliceraldehido D        Convención deSintético-> (-) gliceraldehido LFischer-RosanoffLa configuración D o L viene determinada por el carbono estereogénico inferior, el enantiómero de un azúcar D siempre es un azúcar LLa configuración D o L no informa sobre la forma en que el azúcar hace rotar el plano de luz polarizada (+ ó -) esto se determina experimentalmente.
Configuraciones del gliceraldehídoProyección de Fisher        (+)-gliceraldehído  serie D                                             (-)-gliceraldehído  serie L Grupo hidroxilo del carbono estereogénico inferior a la derecha. Grupo hidroxilo del carbono estereogénico inferior a la izquierda.
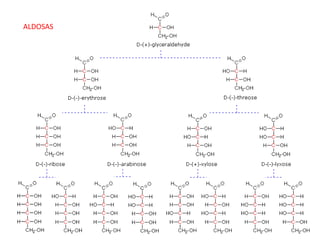
ALDOSAS
CETOSAS
3.Estructura de la glucosa. Pruebas experimentales⊳El análisis por difracción de R-X aplicado a la modificación más común de la glucosa demuestra que el compuesto tiene una estructura cíclica plegada, el Carbono-1 es un carbono hemiacetálico. 	El OH del C-1 es axial y que todas los demás átomos de carbonos del anillo llevan sustituyentes ecuatoriales (OH y CH2OH).⊳ El espectro de IR confirma esta estructura, pues no muestra absorción del grupo carbonilo, banda que debería presentarse en la forma abierta (pico intenso a 1700 cm-1). ⊳ El espectro de RMN demuestra que esta estructura se mantiene en disolución, si bien, se transforma parcialmente en un isómero con el -OH del C-1 en ecuatorial.  ⊳ Esta isomerización puede seguirse polarimétricamente.  ⊳ Sus soluciones acuosas no absorben en UV en la región del aldehído, ni se comportan en polarografía como los aldehídos.
4.Estructura cíclica. Proyecciones de Haworth♠Si el grupo aldehído y el grupo hidroxilo forman parte de la misma molécula, se obtiene un hemiacetal cíclico.Los hemiacetales cíclicos son estables si se forman anillos de cinco o seis miembros.En la mayoria de las aldohexosas está favorecida la formación de anillos de 6 miembros con una unión hemiacetálica entre el carbono del grupo carbonilo y el hidroxilo del carbono 5.La estructura cíclica puede representarse tanto en la proyección de Haworth como en la conformación de silla.
⊳Átomo de carbono hemiacetálico Carbono anomérico⊳Anómero con el hidroxilo anomérico hacia abajo (axial)Anómeroα⊳Anómero con el hidroxilo anomérico hacia arriba (ecuatorial)Anómero β
Proyecciones HaworthPartiendo de la proyección de Fischer, el carbono anomérico se coloca a la derecha, los C2 y C3 hacia delante, el C4 a la izquierda y C5 y el O del anillo hacia detrás.Los –OH en los que en la formula lineal estaban a la derecha se sitúan por debajo del plano y los que estaban a la izquierda hacia arriba. En las formas D el CH2OH se sitúa por encima y en las L por debajo.El –OH hemiacetálico se pone hacia abajo en las formas α y hacia arriba en las β.
Ejemplo: galactosa43Proyección de Fisher                                                          Proyección de Haworth
(β)Equilibrio en disolucion de las formas α y βCiclación de la glucosaCiclación de la glucosa(α)
La reacción de ciclación de la glucosa es una reacción diastereoselectiva, obteniendose una mezcla en equilibrio de los dos anómeros.AnómeroαAnómeroβEl carbono carbonílico puede sufrir el ataque por arriba obteniéndose el anómeroα o por abajo obteniéndose el anómeroβ
	Distintas representaciones de la glucosaBolasVarillasZig-Zag
Aldopentosas o cetohexoxas pueden formar anillos de cinco miembrosFructosa
Ejemplos:D-glucosa                           L-glucosaα-D- glucosaα-L-glucosaα –D-ribopiranosaα –L ribopiranosa
Ejemplos:D-glucosa                           L-glucosaα-D- glucosaα-L-glucosaα –D-ribopiranosaα –L ribopiranosa
MutarrotaciónCuando se disuelve en agua la D-glucosa cristalina su poder rotatorio varia gradualmente con el tiempo hasta alcanzar un valor estable (52.5º). Este fenómeno se llama mutarrotación y es debido a formación de un nuevo centro de asimetría en el carbono 1 al ciclar la molécula y formarse el nuevo enlace.
5. Conformaciones generales de los azúcaresPiranosasFuranosas
Las estructuras cíclicas de los monosacáridos se nombran de acuerdo con sus anillos de 5 o 6 miembros:Hemiacetal cíclico 6 miembros  PiranosaHemiacetal cíclico 5 miembros  FuranosaEl anillo se numera de la misma forma que en el azúcar sin comenzar por el heteroátomo
Conformaciones 4C1   y  1C4La conformación 4C1  es más estable por la posición axial de los grupos y la conformación 1C4 es menos estable por la posición ecuatorial de los grupos.Casi todas las D-piranosas tienen conformación 4C1  y casi todas las L-piranosas tienen conformación  1C44C1 1C4
6.Efecto anomérico. Estabilidad de los azúcaresPor lo general en cualquier anillo de pirano los sustituyentes electronegativos tienen preferencia por la posición axial en el átomo de carbono anomérico Efecto anoméricoEs debido a:Momento dipolarμMÍNIMOInteracción entre orbitales MÁXIMOEfecto endo-anoméricoEn cicloalcanos:
Interacción entre orbitales por cesión de densidad electrónica al orbital σ*. Además cuando el cloro está en posición axial el momento dipolar de la molécula es mínimo.En azúcares: α-glucósidos con grupos electrón atrayentes son más estables que los β-glucósidos, esto es debido al efecto endo-anomérico y no ocurre en hemiacetales.      HO     HO     HO     HOPuente de hidrogeno4C1 4C11C41C4
 Interacción del par de electrones solitarios del oxígeno endocíclico con el orbital no enlazante de un sustituyente en axial.      HOHOHOHOHOHO
Anómero ecuatorial: la solapación entre orbitales no es posibleAnómero axial: estable debido a la interacción entre orbitales paralelos entre siEjemplo:        Poco estable4C11C4

Monosacaridos

  • 1.
    Estructura de losmonosacáridos. Conformaciones y estabilidad. Efecto anomérico. IntroducciónNomenclatura y clasificación. Configuraciones.Estructura de la glucosa4. Estructura cíclica. Proyecciones de Haworth5. Conformaciones generales de los azúcares.6. Efecto anomérico5. Efecto anomérico
  • 2.
    1.IntroducciónLos carbohidratos soncompuestos polifuncionales que responden a la fórmula empírica Cn(H2O)n para n≥3, son polihidroxialdehídos o polihidroxicetonas.Los monosacáridos son carbohidratos que no se pueden hidrolizar a azúcares más simples.
  • 4.
    2. Nomenclatura yclasificación. Configuraciones.Los carbohidratos pueden clasificarse atendiendo a:1.-Complejidad:Carbohidratos simples-> monosacáridosCarbohidratos complejos-> disacáridos, trisacáridos,terasacáridos,pentasacáridos,hexasacáridos,heptasacáridos, oligosacáridos (a partir de 8) y polisacáridos.Ejemplo de disacárido
  • 5.
    2.-Tamaño: 3.-Función:Aldosas-> azúcaresque tienen una función aldehído o un hemiacetal equivalente, como la glucosa.Cetosas-> azúcares que tienen una función cetona o un hemiacetal equivalente, como la fructosa. D-Eritrosa D-Xilosa D-ManosaTETROSA (4C) PENTOSA (5C) HEXOSA (6C) etc...
  • 6.
    4.-Configuración estereoquímica delátomo de carbono estereogénico que esté más alejado del grupo carbonilo (serie D y L)Formación de un hemiacetal:Los hemiacetales cíclicos son estables si se forman anillos de cinco o seis miembros. Esta estructura cíclica suele representarse en proyección de Haworth
  • 7.
    Degradación de unazúcar: Natural-> (+) gliceraldehido D Convención deSintético-> (-) gliceraldehido LFischer-RosanoffLa configuración D o L viene determinada por el carbono estereogénico inferior, el enantiómero de un azúcar D siempre es un azúcar LLa configuración D o L no informa sobre la forma en que el azúcar hace rotar el plano de luz polarizada (+ ó -) esto se determina experimentalmente.
  • 9.
    Configuraciones del gliceraldehídoProyecciónde Fisher (+)-gliceraldehído serie D (-)-gliceraldehído serie L Grupo hidroxilo del carbono estereogénico inferior a la derecha. Grupo hidroxilo del carbono estereogénico inferior a la izquierda.
  • 10.
  • 11.
  • 12.
    3.Estructura de laglucosa. Pruebas experimentales⊳El análisis por difracción de R-X aplicado a la modificación más común de la glucosa demuestra que el compuesto tiene una estructura cíclica plegada, el Carbono-1 es un carbono hemiacetálico. El OH del C-1 es axial y que todas los demás átomos de carbonos del anillo llevan sustituyentes ecuatoriales (OH y CH2OH).⊳ El espectro de IR confirma esta estructura, pues no muestra absorción del grupo carbonilo, banda que debería presentarse en la forma abierta (pico intenso a 1700 cm-1). ⊳ El espectro de RMN demuestra que esta estructura se mantiene en disolución, si bien, se transforma parcialmente en un isómero con el -OH del C-1 en ecuatorial. ⊳ Esta isomerización puede seguirse polarimétricamente. ⊳ Sus soluciones acuosas no absorben en UV en la región del aldehído, ni se comportan en polarografía como los aldehídos.
  • 13.
    4.Estructura cíclica. Proyeccionesde Haworth♠Si el grupo aldehído y el grupo hidroxilo forman parte de la misma molécula, se obtiene un hemiacetal cíclico.Los hemiacetales cíclicos son estables si se forman anillos de cinco o seis miembros.En la mayoria de las aldohexosas está favorecida la formación de anillos de 6 miembros con una unión hemiacetálica entre el carbono del grupo carbonilo y el hidroxilo del carbono 5.La estructura cíclica puede representarse tanto en la proyección de Haworth como en la conformación de silla.
  • 14.
    ⊳Átomo de carbonohemiacetálico Carbono anomérico⊳Anómero con el hidroxilo anomérico hacia abajo (axial)Anómeroα⊳Anómero con el hidroxilo anomérico hacia arriba (ecuatorial)Anómero β
  • 15.
    Proyecciones HaworthPartiendo dela proyección de Fischer, el carbono anomérico se coloca a la derecha, los C2 y C3 hacia delante, el C4 a la izquierda y C5 y el O del anillo hacia detrás.Los –OH en los que en la formula lineal estaban a la derecha se sitúan por debajo del plano y los que estaban a la izquierda hacia arriba. En las formas D el CH2OH se sitúa por encima y en las L por debajo.El –OH hemiacetálico se pone hacia abajo en las formas α y hacia arriba en las β.
  • 16.
    Ejemplo: galactosa43Proyección deFisher Proyección de Haworth
  • 17.
    (β)Equilibrio en disolucionde las formas α y βCiclación de la glucosaCiclación de la glucosa(α)
  • 18.
    La reacción deciclación de la glucosa es una reacción diastereoselectiva, obteniendose una mezcla en equilibrio de los dos anómeros.AnómeroαAnómeroβEl carbono carbonílico puede sufrir el ataque por arriba obteniéndose el anómeroα o por abajo obteniéndose el anómeroβ
  • 19.
    Distintas representaciones dela glucosaBolasVarillasZig-Zag
  • 20.
    Aldopentosas o cetohexoxaspueden formar anillos de cinco miembrosFructosa
  • 21.
    Ejemplos:D-glucosa L-glucosaα-D- glucosaα-L-glucosaα –D-ribopiranosaα –L ribopiranosa
  • 22.
    Ejemplos:D-glucosa L-glucosaα-D- glucosaα-L-glucosaα –D-ribopiranosaα –L ribopiranosa
  • 23.
    MutarrotaciónCuando se disuelveen agua la D-glucosa cristalina su poder rotatorio varia gradualmente con el tiempo hasta alcanzar un valor estable (52.5º). Este fenómeno se llama mutarrotación y es debido a formación de un nuevo centro de asimetría en el carbono 1 al ciclar la molécula y formarse el nuevo enlace.
  • 25.
    5. Conformaciones generalesde los azúcaresPiranosasFuranosas
  • 26.
    Las estructuras cíclicasde los monosacáridos se nombran de acuerdo con sus anillos de 5 o 6 miembros:Hemiacetal cíclico 6 miembros  PiranosaHemiacetal cíclico 5 miembros  FuranosaEl anillo se numera de la misma forma que en el azúcar sin comenzar por el heteroátomo
  • 27.
    Conformaciones 4C1 y 1C4La conformación 4C1 es más estable por la posición axial de los grupos y la conformación 1C4 es menos estable por la posición ecuatorial de los grupos.Casi todas las D-piranosas tienen conformación 4C1 y casi todas las L-piranosas tienen conformación 1C44C1 1C4
  • 28.
    6.Efecto anomérico. Estabilidadde los azúcaresPor lo general en cualquier anillo de pirano los sustituyentes electronegativos tienen preferencia por la posición axial en el átomo de carbono anomérico Efecto anoméricoEs debido a:Momento dipolarμMÍNIMOInteracción entre orbitales MÁXIMOEfecto endo-anoméricoEn cicloalcanos:
  • 29.
    Interacción entre orbitalespor cesión de densidad electrónica al orbital σ*. Además cuando el cloro está en posición axial el momento dipolar de la molécula es mínimo.En azúcares: α-glucósidos con grupos electrón atrayentes son más estables que los β-glucósidos, esto es debido al efecto endo-anomérico y no ocurre en hemiacetales. HO HO HO HOPuente de hidrogeno4C1 4C11C41C4
  • 30.
     Interacción delpar de electrones solitarios del oxígeno endocíclico con el orbital no enlazante de un sustituyente en axial. HOHOHOHOHOHO
  • 31.
    Anómero ecuatorial: lasolapación entre orbitales no es posibleAnómero axial: estable debido a la interacción entre orbitales paralelos entre siEjemplo: Poco estable4C11C4