Incrustar presentación
Descargar para leer sin conexión












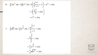
Este documento trata sobre el cálculo integral indefinido. Explica la definición de antiderivada y cómo encontrar la antiderivada de funciones mediante teoremas de integración directa. Incluye una tabla para completar la derivada de varias funciones y un apartado de ejercicios para encontrar la antiderivada de funciones dadas.











