1
RELACIÓN 6. TESTS DE HIPOTESIS
PARAMETRICOS
 1.- La nicotina contenida en 5 cigarrillos de cierta
clase dio una media de 21.2 miligramos y una
desviación típica de 2.05 miligramos. Suponiendo que
la distribución es normal, contrastar la hipótesis de
que la nicotina media en esta clase de cigarrillos no
excede de 19.7 miligramos al nivel α = 0.05.
X = { Nicotina contenida en un cigarrillo }
µ5; 21.2; 2.05n x σ= = =
0 0
1 0
: 19.7
: 19.7
H
H
µ µ
µ µ
≤ =
> =
( ; )X N µ σ→
2
; 1 0.05; 40.05; 2.132nt tαα −= = =
Criterio de rechazo: exp ; 1nt tα −≥
0 0
exp
21.2 19.7
1.463
ˆ 2.05
1 4
X X
S
n n
t
µ µ
σ
− − −
= = = =
−
No rechazamos H0 ⇒ La nicotina media
en esta clase de cigarrillos no excede de 19.7
µ5; 21.2; 2.05n x σ= = =
0 0
1 0
: 19.7
: 19.7
H
H
µ µ
µ µ
≤ =
> =
0.050.95
0.05;4texpt
Estadístico de contraste:
0
1n
x
S
n
t
µ
−
−
→
3
2.- Una variable estudiada por los biólogos es la
temperatura interna del cuerpo en los animales
poiquilotermos (animales cuya temperatura corporal
fluctúa con el ambiente circundante). El nivel letal (DL50)
para los lagartos del desierto es de 45ºC. Se ha observado
que la mayor parte de estos animales se oculta del calor en
verano para evitar aproximarse a este nivel letal. Se
realiza un experimento para estudiar X: “Tiempo
(minutos) que se requiere para que la temperatura del
cuerpo de un lagarto del desierto alcance los 45ºC partiendo
de la temperatura normal de su cuerpo mientras está a la
sombra”. Se obtuvieron las siguientes observaciones:
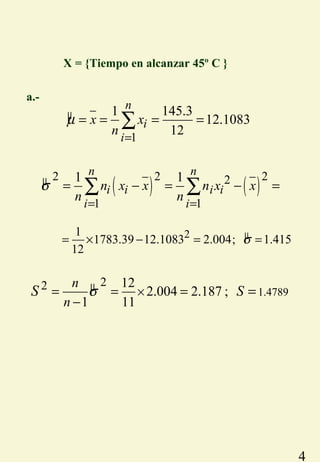
X = {Tiempo en alcanzar 45º C }
a.- Hallar estimaciones puntuales de la media
y la varianza.
b.- Supóngase que X es normal. ¿Puede
concluirse que el tiempo medio requerido para
alcanzar la dosis letal es inferior a 13 minutos?.
¿Puede concluirse que la desviación típica de X sea
inferior a 1.5 minutos?
10.1 12.5 12.2 10.2 12.8 12.1
11.2 11.4 10.7 14.9 13.9 13.3
4
a.-
µ
1
1 145.3
12.1083
12
n
i
i
x x
n
µ
=
= = = =∑
µ ( ) ( )
2 2 22
1 1
1 1n n
i i i i
i i
n x x n x x
n n
σ
= =
= − = − =∑ ∑
µ21
1783.39 12.1083 2.004; 1.415
12
σ= × − = =
µ 1.4789
22 12
2.004 2.187 ;
1 11
n
n
SS σ ×= = =
−
=
X = {Tiempo en alcanzar 45º C }
5
b.-
0 0
1 0
: 13
: 13
H
H
µ µ
µ µ
≥ =
< =
( ; )X N µ σ→
b-1.
; 1 0.05;1112; 0.05 ; 1.796nn t tαα −= = − = − = −
0
exp
12.1083 13
2.0886
1.4789
12
X
S
n
t
µ− −
= = = −
exp ; 1nt tα −≤ −Criterio de rechazo:
Rechazamos H0 ⇒ Puede concluirse que
el tiempo medio para alcanzar la dosis
letal es inferior a 13 minutos
0.05 0.95
0.05;11t−expt
12.1083 1.4789;x S= =
Estadístico de contraste:
0
1n
x
S
n
t
µ
−
−
→
6
b-2.
22 2
1 0
22 2
1 0
: 1.5
: 1.5
H
H
σ σ
σ σ
≥ =
< =
( ) 2
2
exp 2
0
11 2.187
10.692
2
1.5
1n S
σ
χ
×
=
−
= =
2 2
1 ; 1 0.95;1112; 0.05; 4.57nn αα χ χ− −= = = =
2 2
exp 1 ; 1nαχ χ − −≤Criterio de rechazo:
No Rechazamos H0 ⇒ No Puede
concluirse que la desviación típica de X
sea inferior a 1.5 minutos
12.1083; 1.4789x S= =
( ; )X N µ σ→
0.95
0.05
2
0.95;11χ 2
expχ
Estadístico de contraste:
( ) 2
22
12
0
1
n
n S
χ χ
σ
−
−
= →
7
 3.- En una fábrica de productos estéticos, se analiza
el contenido en los tubos de una determinada crema
hidratante. Se toman 10 tubos y se determina el
contenido en gramos de crema de cada uno de ellos,
obteniendo los siguientes resultados:
Tubo 1 2 3 4 5 6 7 8 9 10
Contenido 5.2 4.9 5 5.1 5.2 4.8 4.9 5.3 4.6 5.4
Por otras muchas determinaciones se sabe que la
desviación típica de la población es de 0.10 gramos y
queremos averiguar si los valores anteriores son
compatibles con la media µ = 5 gramos para la
población, supuesta esta normal.
X = { Contenido de crema } ( ; 0.1)X N µ→
0 0
1 0
: 5
: 5
H
H
µ µ
µ µ
= =
≠ =
10; 5.04; 0.10n x σ= = =
8
0
exp
5.04 5
1.26
0.1
10
X
Z
n
µ
σ
− −
= = =
2 0.0250.05; 1.96z zαα = = =
Criterio de rechazo:
exp
2
exp
2
z z
z z
α
α
≤ −
≥
No Rechazamos H0 ⇒ Los valores
anteriores son compatibles con la media
µ = 5 gramos para la población
0 0
1 0
: 5
: 5
H
H
µ µ
µ µ
= =
≠ =
10; 5.04; 0.10n x σ= = =
0.95
0.025 0.025
/ 2zα/ 2zα− expz
0 (0;1)
X
Z N
n
µ
σ
−
= →Estadístico de Contraste:
9
 4.- En un anuncio publicitario se indica que un
determinado tipo de agua reduce peso. Doce individuos
que decidieron tomar dicha agua en sustitución de la
que tomaban habitualmente, manteniendo intacta el
resto de la dieta alimenticia sufrieron las siguientes
variaciones de peso al cabo de cierto tiempo:
Teniendo en cuenta estos datos, ¿se puede
afirmar la veracidad del anuncio?
0 0
1 0
: 0
: 0
H
H
µ µ
µ µ
≥ =
< =
X = { Variación de Peso } ( ; )X N µ σ→
12; 0.075n x= =
µ
( )2 22 25.03
0.075 0.4135
12
1
1 n
i i
i
n x x
n
σ −
=
= − = =∑
µ 22 12
0.4135 0.451; 0.6716
111
n
S
n
S σ × == = =
−
Individuo 1 2 3 4 5 6 7 8 9 10 11 12
Variación
de peso
0.2 0 1 0.6 -0.5 -0.6 -1 0.6 1 0.5 -0.4 -0.5
12; 0.075; 0.6716n x S= = =
10
0
exp
0.075 0
0.386
0.6716
12
X
S
n
t
µ− −
= = = −
; 1 0.05;110.05; 1.796nt tαα −= − = − = −
No Rechazamos H0 ⇒ No se puede
afirmar la veracidad del anuncio
12; 0.075; 0.6716n x S= = =
0 0
1 0
: 0
: 0
H
H
µ µ
µ µ
≥ =
< =
Criterio de rechazo: exp ; 1nt tα −≤ −
0.05 0.95
0.05;11t− expt
Estadístico de contraste:
0
1n
x
S
n
t
µ
−
−
→
11
a.- X = { Concentración calcio } ( ;1)X N µ→
0 0
1 0
: 6
: 6
H
H
µ µ
µ µ
≤ =
> =
9; 6.2n x= =
µ µ µ2 22 9
2 4 4 4.5; 2.1213
1 8
; ;
n
S S
n
σ σ σ × = =
−
= = = =
5.- El calcio se presenta normalmente en la sangre de
los mamíferos en concentraciones de alrededor de 6
mg/100ml de sangre total. La desviación típica normal
de esta variable es 1 mg. de Calcio por cada 100 ml de
sangre total. Una variabilidad mayor que ésta puede
ocasionar graves trastornos en la coagulación de la
sangre. Una serie de nueve pruebas realizadas sobre un
paciente revelaron una media muestral de 6.2 mg de
Calcio por 100 ml de sangre total y una desviación típica
muestral de 2 mg de calcio por cada 100 ml de sangre.
a) ¿Hay alguna evidencia con α = 0.05 de que el
nivel medio de calcio para este paciente sea más alto de
lo normal?
b) ¿Hay alguna evidencia, a un nivel α = 0.05, de que la
desviación típica del nivel de calcio sea más alta de la normal?
12
; 1 0.05;80.05; 1.86nt tαα −= = =
0
exp
6.2 6
0.2828
2.1213
9
X
S
n
t
µ− −
= = =
No Rechazamos H0 ⇒ No hay evidencia de que
el nivel medio de calcio sea más alto de lo normal
2.12139; 6.2; Sn x == =
0 0
1 0
: 6
: 6
H
H
µ µ
µ µ
≤ =
> =
Criterio de rechazo: exp ; 1nt tα −≥
0.050.95
0.05;8texpt
a.-
Estadístico de contraste:
0
1n
x
S
n
t
µ
−
−
→
13
2 2 2
0 0
2 2 2
1 0
: 1
: 1
H
H
σ σ
σ σ
≤ =
> =
( ) $ 22 2
2
exp 2 2 2
0 0
1 9 2
36
1
n S n
χ
σ
σ σ
×−
= = = =
Criterio de rechazo:
2 2
exp ; 1nαχ χ −≥
2 2
; 1 0.05; 80.05; 15.5nχ χαα −= = =
b.-
Rechazamos H0 ⇒ Hay evidencia de que la desviación
típica del nivel de calcio es más alta de la normal
µ9; 6.2; 2; 2.1213n x Sσ= = = =
2
0.05;8χ
0.050.95
2
expχ
Estadístico de contraste:
( ) 2
22
12
0
1
n
n S
χ χ
σ
−
−
= →
14
 6.- En el equipo de análisis que acompaña a los
acuarios para la determinación de la dureza del agua de
los mismos en %, se indica que la varianza de las
determinaciones es igual o menor que el 5%. Llevamos a
cabo 20 determinaciones de la dureza del agua del
acuario y obtenemos una varianza para los mismos igual
al 6%. Si la variable determinación de la dureza del
agua es normal, ¿aceptaremos la indicación con un nivel
de significación de α = 0.01?
22
0 0
22
1 0
: 5
: 5
H
H
σ σ
σ σ
≤ =
> =
µ 2
20; 6n σ= =
( ; )X N µ σ→X = { Dureza Agua}
15
( ) µ 22
2
exp 2 2
0 0
1 20 6
24
5
n S nσ
χ
σ σ
×−
= = = =
Criterio de rechazo:
2 2
exp ; 1nαχ χ −≥
2 2
; 1 0.01;190.01; 36.2nαα χ χ−= = =
No Rechazamos H0 ⇒ La varianza de las
determinaciones es igual o menor que el 5%
22
0 0
22
1 0
: 5
: 5
H
H
σ σ
σ σ
≤ =
> =
µ 2
20; 6n σ= =
2
0.01;19χ
0.01
0.99
2
expχ
Estadístico de contraste:
( ) 2
22
12
0
1
n
n S
χ χ
σ
−
−
= →
16
 7.- Hasta muy recientemente, p, la tasa de
mortalidad causada por una infección vírica del
cerebro altamente mortal, la encefalitis producida por
el virus del herpes simple, ha sido del 70%. Se realiza
un estudio para probar un nuevo fármaco, la
vidarabina, para utilizarlo en el tratamiento de la
enfermedad.
Sabiendo que de 50 sujetos en los que se probó
la vidarabina, 14 murieron, ¿qué puede decirse sobre la
eficacia de este fármaco?
0 0
1 0
: 0.7
: 0.7
H p p
H p p
≥ =
< =
Criterio de rechazo: expz zα≤ −
p = { Tasa mortalidad}
µ 14
50; 0.28
50
n p= = =
( )
0
0 0
(0; 1)
1
p p
Z N
p p
n
−
=
−
→
$
Estadístico de Contraste:
17
0.05. 0.05; 1.645za zαα− = − = − = −
0.01. 0.01; 2.325zb zαα− = − = − = − ⇒
0.05
0.95
0.05z−expz
0.01z−
0.01
0.99
expz
Rechazamos H0 ⇒ El farmaco es efectivo
Rechazamos H0 ⇒ El farmaco es efectivo
( ) ( )
0
exp
0 0
0.28 0.7
6.48
0.7 1 0.71
50
07
p p
Z
p p
n
− −
= = = −
− −− −
$
18
 8.- Se quieren comparar dos poblaciones de rana
pipiens aisladas geográficamente. Para ello se toman dos
muestras de ambas poblaciones y se les mide la longitud
del cuerpo expresado en milímetros, obteniéndose los
siguientes resultados:
42Xn =
52Yn =
74x =
78y =
2
225XS =
2
169YS =
Contrastar la hipótesis de igualdad de medias con un
nivel de significación del 5%.
X = { Longitud Ranas 1ª }; Y = {Longitud Ranas 2ª }
( ; )X X
X N µ σ→ ( ; )Y Y
Y N µ σ→
Varianzas Poblacionales Desconocidas, Muestras Grandes
0 0: 0X Y X YH µ µ µ µ µ− = = ⇒ =
1 0: 0X Y X YH µ µ µ µ µ− ≠ = ⇒ ≠
( ) ( )
0
2 2
0;1
X Y
X Y
X Y
Z N
S S
n n
µ− −
= →
+
Estadístico de Contraste:
19
b.- Contraste Igualdad de Medias
0 0: 0x y x yH µ µ µ µ µ− = = ⇒ =
1 0: 0x y x yH µ µ µ µ µ− ≠ = ⇒ ≠
( ) ( )0
exp
2 2
74 78 0
1.3634
225 169
42 52
X Y
X Y
X Y
Z
S S
n n
µ− − − −
= = = −
+
+
Criterio de rechazo:
exp
2
exp
2
z z
z z
α
α
≤ −
≥
2
0.05 ; 0.025 ; 1.96
2
zα
αα = = =
No rechazamos H0 ⇒ Las medias son iguales
1 − α
α /2 α /2
/ 2zα/ 2zα− expz
( ) ( )
0
2 2
0;1
X Y
X Y
X Y
Z N
S S
n n
µ− −
= →
+
Estadístico de Contraste:
20
 9.- Puesto que un nivel de colesterol elevado es un
factor de alto riesgo en el desarrollo de la
arteroesclerosis cardiaca y coronaria, es importante
determinar los niveles a esperar en los diferentes grupos
de edad. Se realizó un estudio para comparar el nivel de
colesterol en varones de entre 20 y 29 años frente a
mujeres del mismo grupo de edad. Se obtuvieron los
siguientes resultados:
a.- Comprobar si hay diferencias en las
varianzas poblacionales
b.- ¿Existen diferencias significativas en los
niveles medios de colesterol para hombres y mujeres?
Hombres
Mujeres
25Xn =
31Yn =
167.16x =
178.12y =
30XS =
32YS =
X = { N. C. en Hombres }; Y = {N. C. En Mujeres }
( ; )X X
X N µ σ→ ( ; )Y Y
Y N µ σ→
21
a.- Contraste Igualdad de Varianzas, α = 0.05
2 2
0
2 2
1
:
:
X Y
X Y
H
H
σ σ
σ σ
=
≠
2 2
exp 2 2
30
0.8789
32
x
y
S
F
S
= = =
0.025; 24, 30 0.975; 24, 30
0.025; 30, 24
1
;
1
2.14 0.45
2.21
F F
F
= = = =
No rechazamos H0 ⇒ Las varianzas son iguales
25Xn =
31Yn =
167.16x =
178.12y =
30XS =
32YS =
Estadístico de Contraste:
2
1 ; 1
2 X Y
X
Y
n n
S
F F
S
− −= →
exp 1 ; 1, 1
2
exp ; 1, 1
2
X Y
X Y
n n
n n
F F
F F
α
α
− − −
− −
≤
≥
Criterio de rechazo:
0.025
0.025
0.95
0.975; 24, 30F 0.025; 24, 30FexpF
22
( ) ( )2 2 2 2
2
1 1 24 30 30 32
968.88
2 54
x x y y
p
x y
n S n S
S
n n
× ×− + − +
= = =
+ −
( ) ( )0
exp
167.16 178.12 0
1.309
1 1 1 1
31.127
25 31
p
X Y
X Y
S
n n
t
µ− − − −
= = = −
+ +
b.- Contraste Igualdad de Medias
0 0: 0X Y X YH µ µ µ µ µ− = = ⇒ =
1 0: 0X Y X YH µ µ µ µ µ− ≠ = ⇒ ≠
Varianzas desconocidas, pero iguales
2
0.025;54; 20.05 ; 2
X Yn nt tαα + −= = ;
31.127pS =
Criterio de rechazo:
2
exp ; 2X Yn nt tα + −≤ −
2
exp ; 2X Yn nt tα + −≥
Estadístico de Contraste:
( ) 0
2
1 1 X Y
p
X Y
n n
X Y
T
S
n n
t
µ
+ −
− −
=
+
→
23
Criterio de rechazo:
exp 1.309t = −
b.- Contraste Igualdad de Medias
0 0: 0X Y X YH µ µ µ µ µ− = = ⇒ =
1 0: 0X Y X YH µ µ µ µ µ− ≠ = ⇒ ≠
2
exp ; 2X Yn nt tα + −≤ −
2
exp ; 2X Yn nt tα + −≥
Varianzas desconocidas, pero iguales
2
0.025;54; 20.05; 2
X Yn nt tαα + −= = ;
No rechazamos H0 ⇒ Las medias son iguales
0.950.025 0.025
expt0.025;54t− 0.025;54t
24
 10.- Una variable de interés en el estudio de la angina
de pecho en las ratas es el consumo de oxígeno, medido
en mililitros por minuto. El experimento proporcionó la
siguiente información:
Placebo
FL113
Utilizar la información para comparar las varianzas
poblacionales. ¿Hay razón suficiente para pretender que
el consumo de oxígeno de las ratas que toman FL113 sea
más elevado que de las que toman placebo?
9Xn =
9Yn =
1509x =
1702y =
169XS =
181yS =
X = { C. O. Placebo }; Y = { C. O. FL113}
( ; )X X
X N µ σ→ ( ; )Y Y
Y N µ σ→
α = 0.01
25
a.- Contraste Igualdad de Varianzas, α = 0.01
2 2
0
2 2
1
:
:
x y
x y
H
H
σ σ
σ σ
=
≠
2 2
exp 2 2
169
0.871
181
X
Y
S
S
F = = =
0.005; 8, 8 7.5 ;F = 0.995; 8, 8
0.005; 8, 8
1 1
0.133
7.5
F
F
= = =
No rechazamos H0 ⇒ Las varianzas son iguales
Estadístico de Contraste:
2
1 ; 1
2 X Y
X
Y
n n
S
F F
S
− −= →
exp 1 ; 1, 1
2
exp ; 1, 1
2
X Y
X Y
n n
n n
F F
F F
α
α
− − −
− −
≤
≥
Criterio de rechazo:
0.005
0.005
0.99
0.995; 8, 8F 0.005; 8, 8FexpF
26
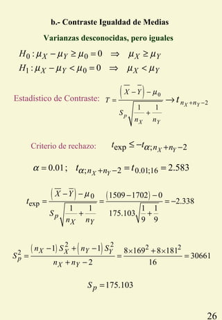
( ) ( )2 2 2 2
2
1 1 8 169 8 181
30661
2 16
X YX Y
p
X Y
n S n S
S
n n
× ×− + − +
= = =
+ −
Criterio de rechazo: exp ; 2X Yn nt tα + −≤ −
( ) ( )0
exp
1509 1702 0
2.338
1 1 1 1
175.103
9 9
p
X Y
X Y
S
n n
t
µ− − − −
= = = −
+ +
0.01;16; 20.01; 2.583X Yn nt tαα + −= = =
b.- Contraste Igualdad de Medias
0 0: 0X Y X YH µ µ µ µ µ− ≥ = ⇒ ≥
1 0: 0X Y X YH µ µ µ µ µ− < = ⇒ <
Varianzas desconocidas, pero iguales
175.103pS =
Estadístico de Contraste:
( ) 0
2
1 1 X Y
p
X Y
n n
X Y
T
S
n n
t
µ
+ −
− −
=
+
→
27
Criterio de rechazo: exp ; 2X Yn nt tα + −≤ −
exp 2.338t = −
0.01;16; 20.01; 2.583X Yn nt tαα + −= − = − = −
b.- Contraste Igualdad de Medias
0 0: 0X Y X YH µ µ µ µ µ− ≥ = ⇒ ≥
1 0: 0X Y X YH µ µ µ µ µ− < = ⇒ <
Varianzas desconocidas, pero iguales
0.01 0.99
0.01;16t− expt
No rechazamos H0 ⇒ El consumo de oxígeno
de las ratas que toman FL113 no es más
elevado que las que toman placebo
28
pX = { Pr. Morir con Vacuna }
pY = {Pr. Morir Sin Vacuna }
µ µ
( ) ( )
µ µ
( ) µ µ
( )
( )0 0;1
1 1
X YX Y
X X Y Y
X Y
p p p p
Z N
p p p p
n n
− − −
= ⇒
− −
+
Criterio de rechazo: expz zα≤ −
8 20ˆ ˆ0.08 ; 0.2
100 100
x yp p= = = =
 11.- Se quiere comprobar la efectividad de una
vacuna contra una enfermedad. Para ello se suministró
la vacuna a 100 animales y se les comparó con un grupo
testigo de otros 100. A los 200 se les contagió la
enfermedad. Entre los vacunados murieron 8 como
resultado de la enfermedad y del grupo testigo hubo 20
muertos. ¿Podemos concluir que la vacuna es eficaz en
reducir la tasa de mortalidad?
0 : 0X Y X YH p p p p− ≥ ⇒ ≥
1 : 0X Y X YH p p p p− < ⇒ <
Estadístico de Contraste:
29
0.050.05 ; 1.645z zαα = − = − = −
( )
( ) ( )
0.08 0.2 0
2.48
0.08 1 0.08 0.2 1 0.2
100 100
− −
= = −
− −
+
Rechazamos H0 ⇒ La vacuna es eficaz
en reducir la tasa de mortalidad
Criterio de rechazo: expz zα≤ −
0 : 0X Y X YH p p p p− ≥ ⇒ ≥
1 : 0X Y X YH p p p p− < ⇒ <
$ $
( ) ( )
$ $
( ) $ $
( )
0
exp
1 1
X YX Y
X X Y Y
X Y
p p p p
Z
p p p p
n n
− − −
= =
− −
+
0.05 0.95
expz 0.05z−
30
 1.- Tomamos una muestra de 650 análisis de sangre
realizados en un laboratorio clínico y anotamos el
número de eritrocitos por mm3 de sangre. Los
resultados, agrupados en 7 clases, son los que figuran en
la tabla adjunta. ¿Se puede admitir que el número de
eritrocitos se distribuye normalmente?
Nº de
eritrocitos
(millones)
Nº de
análisis
Menos de 2.5 8
2.5 – 3.5 52
3.5 – 4.5 140
4.5 – 5.5 210
5.5 – 6.5 160
6.5 – 7.5 70
7.5 ó más 10
X = { Nº de eritrocitos }
( )0
1
:
:
H X N
H X
µ σ 


→ ;
sigue otra distribución
RELACIÓN 7. TESTS DE HIPOTESIS
NO PARAMETRICOS BASADOS EN LA
2
χ
31
Nº de
eritrocitos
Nº de
análisis
Menos de 2.5 8 2 16 32
2.5 – 3.5 52 3 156 468
3.5 – 4.5 140 4 560 2240
4.5 – 5.5 210 5 1050 5250
5.5 – 6.5 160 6 960 5760
6.5 – 7.5 70 7 490 3430
7.5 ó más 10 8 80 17820
650 3312 17820
µ
1
3312
5.09
650
1 n
i i
i
x n x
n
µ
=
== = =∑
Estimación de los parámetros de la distribución.
i in x 2
n xi iix
µ
( ) ( )
2 22 2
1 1
1 1n n
i i i i
i i
n x x n x x
n n
σ
= =
= − = − =∑ ∑
217820
5.09 1.45
650
= − =
µ 22 650
1.45 1.452 1.45
6491
S
n
n
σ × == =
−
;
32
Clases
Fr. Ab.
ni
Prob.
pi
V. Esp.
npi
(ni-npi)2
/npi
Menos de 2.5 8 0.0138 8.97 0.1048
2.5 – 3.5 52 0.0765 49.72 0.1045
3.5 – 4.5 140 0.2168 140.92 0.0060
4.5 – 5.5 210 0.3208 208.52 0.0105
5.5 – 6.5 160 0.2476 160.94 0.0054
6.5 – 7.5 70 0.1003 65.19 0.3549
7.5 ó más 10 0.0206 13.39 0.8582
n=650 1 1.4443
r = Nº Par. Estim. = 2
Gr. de Libertad, (k – 1) – r = (7 – 1) – 2 = 4
( )
( )
2
2
1
1
k
i i
k rii
n np
Y
np
χ
− −
=
−
= →∑
Estadístico de Contraste:
Criterio de rechazo:
( )
2
exp ; 1k r
Y
α
χ
− −
≥
( )0
1
: 5.09; 1.45
:
H X N
H X
→ 

sigue otra distribución
33
Gr. de Libertad = 4 ;
( ) ( )
( ) ( )
2
2 2
exp
2
8 8.97
8.97
1
52 49.72 10 13.39
..... 1.443
49.72 13.39
k
i i
ii
n np
np
Y
−
= +
=
− −
+ + + =
=
−
∑
Si hay evidencia de que
los datos provienen de
una distribución Normal
} 0
2 9.490.01; 40.01; Hα χ ⇒= = No rechazamos
( )
( )
2
2
1
1
k
i i
k rii
n np
Y
np
χ
− −
=
−
= →∑
Estadístico de Contraste:
Criterio de rechazo:
( )
2
exp ; 1k r
Y
α
χ
− −
≥
2
0.01, 4χ
0.010.99
expY
34
 2.- En un estudio diseñado para determinar la
aceptación por parte de los pacientes de un nuevo
analgésico, 1000 médicos seleccionaron cada uno de
ellos una muestra de 5 pacientes para participar en el
estudio. Cada médico cuenta cuantos pacientes
prefieren el nuevo analgésico (después de haberlo
tomado durante un tiempo determinado), obteniendo
los siguientes resultados:
X 0 1 2 3 4 5
Nº médicos 30 160 300 340 146 24
Ajustar estos datos a una distribución binomial y
verificar el ajuste mediante el contraste de la .
2
χ
X = “Nº de pacientes que prefieren el nuevo analgésico de
la muestra de 5”
(5; )
x
X B p x np p
n
→ ⇒ = ⇒ =
6
1
1
2,4840
1000
2,4840
0,4968 0,5
5
i i
i
x n x
p p
=
= = ⇒
= = ⇒ ≈
∑
35
0
1
: (5; )
: sigue otra distribución
H X B p
H X



→
Las probabilidades teóricas se expresan en la siguiente tabla:
ix in ip inp ( ) 2
i in np− ( ) 2
/i i in np np−
0 30 0,0312 31,2 1,44 0,04615385
1 160 0,1562 156,2 14,44 0,09244558
2 300 0,3125 312,5 156,25 0,5
3 340 0,3125 312,5 756,25 2,42
4 146 0,1562 156,2 104,04 0,66606914
5 24 0,0312 31,2 51,84 1,66153846
1000 5,38620703
2
exp
2
0,05;4
5,38620703
9,49
χ
χ
= 
⇒
= 
Admitimos el ajuste de los datos
a la distribución Binomial
( )
( )
2
2
1
1
k
i i
k rii
n np
Y
np
χ
− −
=
−
= →∑Estadístico de Contraste:
No rechazamos Ho
Criterio de rechazo:
( )
2
exp ; 1k r
Y
α
χ
− −
≥
36
 3.- Se realiza una investigación sobre una nueva
vacuna contra la gripe. Se elige una muestra aleatoria
de 900 individuos y se clasifica a cada uno de ellos según
haya contraído la gripe durante el último año o no y
según haya sido vacunado o no. Se obtienen los
siguientes resultados:
¿Se puede afirmar que la vacuna influye a la
hora de no contraer la gripe?
Contraída la gripe
Vacunado Si No
Sí 150 200
No 300 250
0
1
:
:
H
H







Los caracteres estar vacunado y
tener gripe son independientes
Los caracteres estar vacunado y
tener gripe no son independientes
37
 Cálculo de los valores esperados, eij
Contraída la gripe
Vacunado Sí No Total
Sí 150
( 175 )
200
( 175 )
350
No 300
(275)
250
(275)
550
Total 450 450 900
. .i j
ij
n n
e
n
=
11
350 450
175
900
e
×
== 12
350 450
175
900
e
×
==
21
550 450
275
900
e
×
== 22
550 450
275
900
e
×
==
38
Estadístico
de contraste:
}2
00.05;10.05; 3.84 Hα χ= = ⇒ Rechazamos
Estar vacunado y contraer la gripe no son independientes
⇒ Se puede afirmar que la vacuna influye a la hora de no
contraer la gripe
Criterio de rechazo:
( )
( )( )
2
2
1 1
1 1
r s ij ij
r siji j
n e
U
e
χ
− −
= =
−
= →∑ ∑
2
0.05;1χ
0.050.95
expU
2 2
exp
2 2
(150 175) (200 175)
900 900
(300 275) (250 275)
11.6883
900 900
U
− −
= + +
− −
+ + =
( )( )exp
2
; 1 1r s
U
α
χ
− −
≥
39
0
1
:
:
H
H







La leucemia y alergia
son independientes
La leucemia y alergia
no son independientes
 4.- Se realiza un pequeño estudio piloto para
determinar la asociación entre la aparición de leucemia
y los antecedentes de alergia. Se selecciona una muestra
de 19 pacientes con leucemia y 17 controles y se
determina la existencia o no de antecedentes de alergia
¿Se puede afirmar que existe alguna asociación
entre ambas variables?
Antecedentes de alergia
Paciente Si No
Control 5 12
Enfermo 17 2
40
 Cálculo de los valores esperados, eij
. .i j
ij
n n
e
n
=
11 10.389
17 22
36
e
×
= = 12
17 14
6.611
36
e
×
==
21
19 22
11.611
36
e
×
== 22
19 14
7.389
36
e
×
= =
Antecedentes alergia
Paciente Sí No Total
Control 5
(10.389)
12
(6.611)
17
Enfermo 17
(11.611)
2
(7.389)
19
Total 22 14 36
41
2 2
2 2
exp
(5 10.389) (12 6.611)
36 36
(17 11.611) (2 7.389)
13.6198
36 36
U
− −
= + +
− −
+ + =
La leucemia y la alergia no son independientes
}2
00.01;10.01; 6.63 Hα χ= = ⇒ Rechazamos
Estadístico
de contraste:
Criterio de rechazo:
( )
( )( )
2
2
1 1
1 1
r s ij ij
r siji j
n e
U
e
χ
− −
= =
−
= →∑ ∑
( )( )exp
2
; 1 1r s
U
α
χ
− −
≥
2
0.01;1χ
0.010.99
expU

Test hipótesis

  • 1.
    1 RELACIÓN 6. TESTSDE HIPOTESIS PARAMETRICOS  1.- La nicotina contenida en 5 cigarrillos de cierta clase dio una media de 21.2 miligramos y una desviación típica de 2.05 miligramos. Suponiendo que la distribución es normal, contrastar la hipótesis de que la nicotina media en esta clase de cigarrillos no excede de 19.7 miligramos al nivel α = 0.05. X = { Nicotina contenida en un cigarrillo } µ5; 21.2; 2.05n x σ= = = 0 0 1 0 : 19.7 : 19.7 H H µ µ µ µ ≤ = > = ( ; )X N µ σ→
  • 2.
    2 ; 1 0.05;40.05; 2.132nt tαα −= = = Criterio de rechazo: exp ; 1nt tα −≥ 0 0 exp 21.2 19.7 1.463 ˆ 2.05 1 4 X X S n n t µ µ σ − − − = = = = − No rechazamos H0 ⇒ La nicotina media en esta clase de cigarrillos no excede de 19.7 µ5; 21.2; 2.05n x σ= = = 0 0 1 0 : 19.7 : 19.7 H H µ µ µ µ ≤ = > = 0.050.95 0.05;4texpt Estadístico de contraste: 0 1n x S n t µ − − →
  • 3.
    3 2.- Una variableestudiada por los biólogos es la temperatura interna del cuerpo en los animales poiquilotermos (animales cuya temperatura corporal fluctúa con el ambiente circundante). El nivel letal (DL50) para los lagartos del desierto es de 45ºC. Se ha observado que la mayor parte de estos animales se oculta del calor en verano para evitar aproximarse a este nivel letal. Se realiza un experimento para estudiar X: “Tiempo (minutos) que se requiere para que la temperatura del cuerpo de un lagarto del desierto alcance los 45ºC partiendo de la temperatura normal de su cuerpo mientras está a la sombra”. Se obtuvieron las siguientes observaciones: X = {Tiempo en alcanzar 45º C } a.- Hallar estimaciones puntuales de la media y la varianza. b.- Supóngase que X es normal. ¿Puede concluirse que el tiempo medio requerido para alcanzar la dosis letal es inferior a 13 minutos?. ¿Puede concluirse que la desviación típica de X sea inferior a 1.5 minutos? 10.1 12.5 12.2 10.2 12.8 12.1 11.2 11.4 10.7 14.9 13.9 13.3
  • 4.
    4 a.- µ 1 1 145.3 12.1083 12 n i i x x n µ = == = =∑ µ ( ) ( ) 2 2 22 1 1 1 1n n i i i i i i n x x n x x n n σ = = = − = − =∑ ∑ µ21 1783.39 12.1083 2.004; 1.415 12 σ= × − = = µ 1.4789 22 12 2.004 2.187 ; 1 11 n n SS σ ×= = = − = X = {Tiempo en alcanzar 45º C }
  • 5.
    5 b.- 0 0 1 0 :13 : 13 H H µ µ µ µ ≥ = < = ( ; )X N µ σ→ b-1. ; 1 0.05;1112; 0.05 ; 1.796nn t tαα −= = − = − = − 0 exp 12.1083 13 2.0886 1.4789 12 X S n t µ− − = = = − exp ; 1nt tα −≤ −Criterio de rechazo: Rechazamos H0 ⇒ Puede concluirse que el tiempo medio para alcanzar la dosis letal es inferior a 13 minutos 0.05 0.95 0.05;11t−expt 12.1083 1.4789;x S= = Estadístico de contraste: 0 1n x S n t µ − − →
  • 6.
    6 b-2. 22 2 1 0 222 1 0 : 1.5 : 1.5 H H σ σ σ σ ≥ = < = ( ) 2 2 exp 2 0 11 2.187 10.692 2 1.5 1n S σ χ × = − = = 2 2 1 ; 1 0.95;1112; 0.05; 4.57nn αα χ χ− −= = = = 2 2 exp 1 ; 1nαχ χ − −≤Criterio de rechazo: No Rechazamos H0 ⇒ No Puede concluirse que la desviación típica de X sea inferior a 1.5 minutos 12.1083; 1.4789x S= = ( ; )X N µ σ→ 0.95 0.05 2 0.95;11χ 2 expχ Estadístico de contraste: ( ) 2 22 12 0 1 n n S χ χ σ − − = →
  • 7.
    7  3.- Enuna fábrica de productos estéticos, se analiza el contenido en los tubos de una determinada crema hidratante. Se toman 10 tubos y se determina el contenido en gramos de crema de cada uno de ellos, obteniendo los siguientes resultados: Tubo 1 2 3 4 5 6 7 8 9 10 Contenido 5.2 4.9 5 5.1 5.2 4.8 4.9 5.3 4.6 5.4 Por otras muchas determinaciones se sabe que la desviación típica de la población es de 0.10 gramos y queremos averiguar si los valores anteriores son compatibles con la media µ = 5 gramos para la población, supuesta esta normal. X = { Contenido de crema } ( ; 0.1)X N µ→ 0 0 1 0 : 5 : 5 H H µ µ µ µ = = ≠ = 10; 5.04; 0.10n x σ= = =
  • 8.
    8 0 exp 5.04 5 1.26 0.1 10 X Z n µ σ − − == = 2 0.0250.05; 1.96z zαα = = = Criterio de rechazo: exp 2 exp 2 z z z z α α ≤ − ≥ No Rechazamos H0 ⇒ Los valores anteriores son compatibles con la media µ = 5 gramos para la población 0 0 1 0 : 5 : 5 H H µ µ µ µ = = ≠ = 10; 5.04; 0.10n x σ= = = 0.95 0.025 0.025 / 2zα/ 2zα− expz 0 (0;1) X Z N n µ σ − = →Estadístico de Contraste:
  • 9.
    9  4.- Enun anuncio publicitario se indica que un determinado tipo de agua reduce peso. Doce individuos que decidieron tomar dicha agua en sustitución de la que tomaban habitualmente, manteniendo intacta el resto de la dieta alimenticia sufrieron las siguientes variaciones de peso al cabo de cierto tiempo: Teniendo en cuenta estos datos, ¿se puede afirmar la veracidad del anuncio? 0 0 1 0 : 0 : 0 H H µ µ µ µ ≥ = < = X = { Variación de Peso } ( ; )X N µ σ→ 12; 0.075n x= = µ ( )2 22 25.03 0.075 0.4135 12 1 1 n i i i n x x n σ − = = − = =∑ µ 22 12 0.4135 0.451; 0.6716 111 n S n S σ × == = = − Individuo 1 2 3 4 5 6 7 8 9 10 11 12 Variación de peso 0.2 0 1 0.6 -0.5 -0.6 -1 0.6 1 0.5 -0.4 -0.5 12; 0.075; 0.6716n x S= = =
  • 10.
    10 0 exp 0.075 0 0.386 0.6716 12 X S n t µ− − == = − ; 1 0.05;110.05; 1.796nt tαα −= − = − = − No Rechazamos H0 ⇒ No se puede afirmar la veracidad del anuncio 12; 0.075; 0.6716n x S= = = 0 0 1 0 : 0 : 0 H H µ µ µ µ ≥ = < = Criterio de rechazo: exp ; 1nt tα −≤ − 0.05 0.95 0.05;11t− expt Estadístico de contraste: 0 1n x S n t µ − − →
  • 11.
    11 a.- X ={ Concentración calcio } ( ;1)X N µ→ 0 0 1 0 : 6 : 6 H H µ µ µ µ ≤ = > = 9; 6.2n x= = µ µ µ2 22 9 2 4 4 4.5; 2.1213 1 8 ; ; n S S n σ σ σ × = = − = = = = 5.- El calcio se presenta normalmente en la sangre de los mamíferos en concentraciones de alrededor de 6 mg/100ml de sangre total. La desviación típica normal de esta variable es 1 mg. de Calcio por cada 100 ml de sangre total. Una variabilidad mayor que ésta puede ocasionar graves trastornos en la coagulación de la sangre. Una serie de nueve pruebas realizadas sobre un paciente revelaron una media muestral de 6.2 mg de Calcio por 100 ml de sangre total y una desviación típica muestral de 2 mg de calcio por cada 100 ml de sangre. a) ¿Hay alguna evidencia con α = 0.05 de que el nivel medio de calcio para este paciente sea más alto de lo normal? b) ¿Hay alguna evidencia, a un nivel α = 0.05, de que la desviación típica del nivel de calcio sea más alta de la normal?
  • 12.
    12 ; 1 0.05;80.05;1.86nt tαα −= = = 0 exp 6.2 6 0.2828 2.1213 9 X S n t µ− − = = = No Rechazamos H0 ⇒ No hay evidencia de que el nivel medio de calcio sea más alto de lo normal 2.12139; 6.2; Sn x == = 0 0 1 0 : 6 : 6 H H µ µ µ µ ≤ = > = Criterio de rechazo: exp ; 1nt tα −≥ 0.050.95 0.05;8texpt a.- Estadístico de contraste: 0 1n x S n t µ − − →
  • 13.
    13 2 2 2 00 2 2 2 1 0 : 1 : 1 H H σ σ σ σ ≤ = > = ( ) $ 22 2 2 exp 2 2 2 0 0 1 9 2 36 1 n S n χ σ σ σ ×− = = = = Criterio de rechazo: 2 2 exp ; 1nαχ χ −≥ 2 2 ; 1 0.05; 80.05; 15.5nχ χαα −= = = b.- Rechazamos H0 ⇒ Hay evidencia de que la desviación típica del nivel de calcio es más alta de la normal µ9; 6.2; 2; 2.1213n x Sσ= = = = 2 0.05;8χ 0.050.95 2 expχ Estadístico de contraste: ( ) 2 22 12 0 1 n n S χ χ σ − − = →
  • 14.
    14  6.- Enel equipo de análisis que acompaña a los acuarios para la determinación de la dureza del agua de los mismos en %, se indica que la varianza de las determinaciones es igual o menor que el 5%. Llevamos a cabo 20 determinaciones de la dureza del agua del acuario y obtenemos una varianza para los mismos igual al 6%. Si la variable determinación de la dureza del agua es normal, ¿aceptaremos la indicación con un nivel de significación de α = 0.01? 22 0 0 22 1 0 : 5 : 5 H H σ σ σ σ ≤ = > = µ 2 20; 6n σ= = ( ; )X N µ σ→X = { Dureza Agua}
  • 15.
    15 ( ) µ22 2 exp 2 2 0 0 1 20 6 24 5 n S nσ χ σ σ ×− = = = = Criterio de rechazo: 2 2 exp ; 1nαχ χ −≥ 2 2 ; 1 0.01;190.01; 36.2nαα χ χ−= = = No Rechazamos H0 ⇒ La varianza de las determinaciones es igual o menor que el 5% 22 0 0 22 1 0 : 5 : 5 H H σ σ σ σ ≤ = > = µ 2 20; 6n σ= = 2 0.01;19χ 0.01 0.99 2 expχ Estadístico de contraste: ( ) 2 22 12 0 1 n n S χ χ σ − − = →
  • 16.
    16  7.- Hastamuy recientemente, p, la tasa de mortalidad causada por una infección vírica del cerebro altamente mortal, la encefalitis producida por el virus del herpes simple, ha sido del 70%. Se realiza un estudio para probar un nuevo fármaco, la vidarabina, para utilizarlo en el tratamiento de la enfermedad. Sabiendo que de 50 sujetos en los que se probó la vidarabina, 14 murieron, ¿qué puede decirse sobre la eficacia de este fármaco? 0 0 1 0 : 0.7 : 0.7 H p p H p p ≥ = < = Criterio de rechazo: expz zα≤ − p = { Tasa mortalidad} µ 14 50; 0.28 50 n p= = = ( ) 0 0 0 (0; 1) 1 p p Z N p p n − = − → $ Estadístico de Contraste:
  • 17.
    17 0.05. 0.05; 1.645zazαα− = − = − = − 0.01. 0.01; 2.325zb zαα− = − = − = − ⇒ 0.05 0.95 0.05z−expz 0.01z− 0.01 0.99 expz Rechazamos H0 ⇒ El farmaco es efectivo Rechazamos H0 ⇒ El farmaco es efectivo ( ) ( ) 0 exp 0 0 0.28 0.7 6.48 0.7 1 0.71 50 07 p p Z p p n − − = = = − − −− − $
  • 18.
    18  8.- Sequieren comparar dos poblaciones de rana pipiens aisladas geográficamente. Para ello se toman dos muestras de ambas poblaciones y se les mide la longitud del cuerpo expresado en milímetros, obteniéndose los siguientes resultados: 42Xn = 52Yn = 74x = 78y = 2 225XS = 2 169YS = Contrastar la hipótesis de igualdad de medias con un nivel de significación del 5%. X = { Longitud Ranas 1ª }; Y = {Longitud Ranas 2ª } ( ; )X X X N µ σ→ ( ; )Y Y Y N µ σ→ Varianzas Poblacionales Desconocidas, Muestras Grandes 0 0: 0X Y X YH µ µ µ µ µ− = = ⇒ = 1 0: 0X Y X YH µ µ µ µ µ− ≠ = ⇒ ≠ ( ) ( ) 0 2 2 0;1 X Y X Y X Y Z N S S n n µ− − = → + Estadístico de Contraste:
  • 19.
    19 b.- Contraste Igualdadde Medias 0 0: 0x y x yH µ µ µ µ µ− = = ⇒ = 1 0: 0x y x yH µ µ µ µ µ− ≠ = ⇒ ≠ ( ) ( )0 exp 2 2 74 78 0 1.3634 225 169 42 52 X Y X Y X Y Z S S n n µ− − − − = = = − + + Criterio de rechazo: exp 2 exp 2 z z z z α α ≤ − ≥ 2 0.05 ; 0.025 ; 1.96 2 zα αα = = = No rechazamos H0 ⇒ Las medias son iguales 1 − α α /2 α /2 / 2zα/ 2zα− expz ( ) ( ) 0 2 2 0;1 X Y X Y X Y Z N S S n n µ− − = → + Estadístico de Contraste:
  • 20.
    20  9.- Puestoque un nivel de colesterol elevado es un factor de alto riesgo en el desarrollo de la arteroesclerosis cardiaca y coronaria, es importante determinar los niveles a esperar en los diferentes grupos de edad. Se realizó un estudio para comparar el nivel de colesterol en varones de entre 20 y 29 años frente a mujeres del mismo grupo de edad. Se obtuvieron los siguientes resultados: a.- Comprobar si hay diferencias en las varianzas poblacionales b.- ¿Existen diferencias significativas en los niveles medios de colesterol para hombres y mujeres? Hombres Mujeres 25Xn = 31Yn = 167.16x = 178.12y = 30XS = 32YS = X = { N. C. en Hombres }; Y = {N. C. En Mujeres } ( ; )X X X N µ σ→ ( ; )Y Y Y N µ σ→
  • 21.
    21 a.- Contraste Igualdadde Varianzas, α = 0.05 2 2 0 2 2 1 : : X Y X Y H H σ σ σ σ = ≠ 2 2 exp 2 2 30 0.8789 32 x y S F S = = = 0.025; 24, 30 0.975; 24, 30 0.025; 30, 24 1 ; 1 2.14 0.45 2.21 F F F = = = = No rechazamos H0 ⇒ Las varianzas son iguales 25Xn = 31Yn = 167.16x = 178.12y = 30XS = 32YS = Estadístico de Contraste: 2 1 ; 1 2 X Y X Y n n S F F S − −= → exp 1 ; 1, 1 2 exp ; 1, 1 2 X Y X Y n n n n F F F F α α − − − − − ≤ ≥ Criterio de rechazo: 0.025 0.025 0.95 0.975; 24, 30F 0.025; 24, 30FexpF
  • 22.
    22 ( ) ()2 2 2 2 2 1 1 24 30 30 32 968.88 2 54 x x y y p x y n S n S S n n × ×− + − + = = = + − ( ) ( )0 exp 167.16 178.12 0 1.309 1 1 1 1 31.127 25 31 p X Y X Y S n n t µ− − − − = = = − + + b.- Contraste Igualdad de Medias 0 0: 0X Y X YH µ µ µ µ µ− = = ⇒ = 1 0: 0X Y X YH µ µ µ µ µ− ≠ = ⇒ ≠ Varianzas desconocidas, pero iguales 2 0.025;54; 20.05 ; 2 X Yn nt tαα + −= = ; 31.127pS = Criterio de rechazo: 2 exp ; 2X Yn nt tα + −≤ − 2 exp ; 2X Yn nt tα + −≥ Estadístico de Contraste: ( ) 0 2 1 1 X Y p X Y n n X Y T S n n t µ + − − − = + →
  • 23.
    23 Criterio de rechazo: exp1.309t = − b.- Contraste Igualdad de Medias 0 0: 0X Y X YH µ µ µ µ µ− = = ⇒ = 1 0: 0X Y X YH µ µ µ µ µ− ≠ = ⇒ ≠ 2 exp ; 2X Yn nt tα + −≤ − 2 exp ; 2X Yn nt tα + −≥ Varianzas desconocidas, pero iguales 2 0.025;54; 20.05; 2 X Yn nt tαα + −= = ; No rechazamos H0 ⇒ Las medias son iguales 0.950.025 0.025 expt0.025;54t− 0.025;54t
  • 24.
    24  10.- Unavariable de interés en el estudio de la angina de pecho en las ratas es el consumo de oxígeno, medido en mililitros por minuto. El experimento proporcionó la siguiente información: Placebo FL113 Utilizar la información para comparar las varianzas poblacionales. ¿Hay razón suficiente para pretender que el consumo de oxígeno de las ratas que toman FL113 sea más elevado que de las que toman placebo? 9Xn = 9Yn = 1509x = 1702y = 169XS = 181yS = X = { C. O. Placebo }; Y = { C. O. FL113} ( ; )X X X N µ σ→ ( ; )Y Y Y N µ σ→ α = 0.01
  • 25.
    25 a.- Contraste Igualdadde Varianzas, α = 0.01 2 2 0 2 2 1 : : x y x y H H σ σ σ σ = ≠ 2 2 exp 2 2 169 0.871 181 X Y S S F = = = 0.005; 8, 8 7.5 ;F = 0.995; 8, 8 0.005; 8, 8 1 1 0.133 7.5 F F = = = No rechazamos H0 ⇒ Las varianzas son iguales Estadístico de Contraste: 2 1 ; 1 2 X Y X Y n n S F F S − −= → exp 1 ; 1, 1 2 exp ; 1, 1 2 X Y X Y n n n n F F F F α α − − − − − ≤ ≥ Criterio de rechazo: 0.005 0.005 0.99 0.995; 8, 8F 0.005; 8, 8FexpF
  • 26.
    26 ( ) ()2 2 2 2 2 1 1 8 169 8 181 30661 2 16 X YX Y p X Y n S n S S n n × ×− + − + = = = + − Criterio de rechazo: exp ; 2X Yn nt tα + −≤ − ( ) ( )0 exp 1509 1702 0 2.338 1 1 1 1 175.103 9 9 p X Y X Y S n n t µ− − − − = = = − + + 0.01;16; 20.01; 2.583X Yn nt tαα + −= = = b.- Contraste Igualdad de Medias 0 0: 0X Y X YH µ µ µ µ µ− ≥ = ⇒ ≥ 1 0: 0X Y X YH µ µ µ µ µ− < = ⇒ < Varianzas desconocidas, pero iguales 175.103pS = Estadístico de Contraste: ( ) 0 2 1 1 X Y p X Y n n X Y T S n n t µ + − − − = + →
  • 27.
    27 Criterio de rechazo:exp ; 2X Yn nt tα + −≤ − exp 2.338t = − 0.01;16; 20.01; 2.583X Yn nt tαα + −= − = − = − b.- Contraste Igualdad de Medias 0 0: 0X Y X YH µ µ µ µ µ− ≥ = ⇒ ≥ 1 0: 0X Y X YH µ µ µ µ µ− < = ⇒ < Varianzas desconocidas, pero iguales 0.01 0.99 0.01;16t− expt No rechazamos H0 ⇒ El consumo de oxígeno de las ratas que toman FL113 no es más elevado que las que toman placebo
  • 28.
    28 pX = {Pr. Morir con Vacuna } pY = {Pr. Morir Sin Vacuna } µ µ ( ) ( ) µ µ ( ) µ µ ( ) ( )0 0;1 1 1 X YX Y X X Y Y X Y p p p p Z N p p p p n n − − − = ⇒ − − + Criterio de rechazo: expz zα≤ − 8 20ˆ ˆ0.08 ; 0.2 100 100 x yp p= = = =  11.- Se quiere comprobar la efectividad de una vacuna contra una enfermedad. Para ello se suministró la vacuna a 100 animales y se les comparó con un grupo testigo de otros 100. A los 200 se les contagió la enfermedad. Entre los vacunados murieron 8 como resultado de la enfermedad y del grupo testigo hubo 20 muertos. ¿Podemos concluir que la vacuna es eficaz en reducir la tasa de mortalidad? 0 : 0X Y X YH p p p p− ≥ ⇒ ≥ 1 : 0X Y X YH p p p p− < ⇒ < Estadístico de Contraste:
  • 29.
    29 0.050.05 ; 1.645zzαα = − = − = − ( ) ( ) ( ) 0.08 0.2 0 2.48 0.08 1 0.08 0.2 1 0.2 100 100 − − = = − − − + Rechazamos H0 ⇒ La vacuna es eficaz en reducir la tasa de mortalidad Criterio de rechazo: expz zα≤ − 0 : 0X Y X YH p p p p− ≥ ⇒ ≥ 1 : 0X Y X YH p p p p− < ⇒ < $ $ ( ) ( ) $ $ ( ) $ $ ( ) 0 exp 1 1 X YX Y X X Y Y X Y p p p p Z p p p p n n − − − = = − − + 0.05 0.95 expz 0.05z−
  • 30.
    30  1.- Tomamosuna muestra de 650 análisis de sangre realizados en un laboratorio clínico y anotamos el número de eritrocitos por mm3 de sangre. Los resultados, agrupados en 7 clases, son los que figuran en la tabla adjunta. ¿Se puede admitir que el número de eritrocitos se distribuye normalmente? Nº de eritrocitos (millones) Nº de análisis Menos de 2.5 8 2.5 – 3.5 52 3.5 – 4.5 140 4.5 – 5.5 210 5.5 – 6.5 160 6.5 – 7.5 70 7.5 ó más 10 X = { Nº de eritrocitos } ( )0 1 : : H X N H X µ σ    → ; sigue otra distribución RELACIÓN 7. TESTS DE HIPOTESIS NO PARAMETRICOS BASADOS EN LA 2 χ
  • 31.
    31 Nº de eritrocitos Nº de análisis Menosde 2.5 8 2 16 32 2.5 – 3.5 52 3 156 468 3.5 – 4.5 140 4 560 2240 4.5 – 5.5 210 5 1050 5250 5.5 – 6.5 160 6 960 5760 6.5 – 7.5 70 7 490 3430 7.5 ó más 10 8 80 17820 650 3312 17820 µ 1 3312 5.09 650 1 n i i i x n x n µ = == = =∑ Estimación de los parámetros de la distribución. i in x 2 n xi iix µ ( ) ( ) 2 22 2 1 1 1 1n n i i i i i i n x x n x x n n σ = = = − = − =∑ ∑ 217820 5.09 1.45 650 = − = µ 22 650 1.45 1.452 1.45 6491 S n n σ × == = − ;
  • 32.
    32 Clases Fr. Ab. ni Prob. pi V. Esp. npi (ni-npi)2 /npi Menosde 2.5 8 0.0138 8.97 0.1048 2.5 – 3.5 52 0.0765 49.72 0.1045 3.5 – 4.5 140 0.2168 140.92 0.0060 4.5 – 5.5 210 0.3208 208.52 0.0105 5.5 – 6.5 160 0.2476 160.94 0.0054 6.5 – 7.5 70 0.1003 65.19 0.3549 7.5 ó más 10 0.0206 13.39 0.8582 n=650 1 1.4443 r = Nº Par. Estim. = 2 Gr. de Libertad, (k – 1) – r = (7 – 1) – 2 = 4 ( ) ( ) 2 2 1 1 k i i k rii n np Y np χ − − = − = →∑ Estadístico de Contraste: Criterio de rechazo: ( ) 2 exp ; 1k r Y α χ − − ≥ ( )0 1 : 5.09; 1.45 : H X N H X →   sigue otra distribución
  • 33.
    33 Gr. de Libertad= 4 ; ( ) ( ) ( ) ( ) 2 2 2 exp 2 8 8.97 8.97 1 52 49.72 10 13.39 ..... 1.443 49.72 13.39 k i i ii n np np Y − = + = − − + + + = = − ∑ Si hay evidencia de que los datos provienen de una distribución Normal } 0 2 9.490.01; 40.01; Hα χ ⇒= = No rechazamos ( ) ( ) 2 2 1 1 k i i k rii n np Y np χ − − = − = →∑ Estadístico de Contraste: Criterio de rechazo: ( ) 2 exp ; 1k r Y α χ − − ≥ 2 0.01, 4χ 0.010.99 expY
  • 34.
    34  2.- Enun estudio diseñado para determinar la aceptación por parte de los pacientes de un nuevo analgésico, 1000 médicos seleccionaron cada uno de ellos una muestra de 5 pacientes para participar en el estudio. Cada médico cuenta cuantos pacientes prefieren el nuevo analgésico (después de haberlo tomado durante un tiempo determinado), obteniendo los siguientes resultados: X 0 1 2 3 4 5 Nº médicos 30 160 300 340 146 24 Ajustar estos datos a una distribución binomial y verificar el ajuste mediante el contraste de la . 2 χ X = “Nº de pacientes que prefieren el nuevo analgésico de la muestra de 5” (5; ) x X B p x np p n → ⇒ = ⇒ = 6 1 1 2,4840 1000 2,4840 0,4968 0,5 5 i i i x n x p p = = = ⇒ = = ⇒ ≈ ∑
  • 35.
    35 0 1 : (5; ) :sigue otra distribución H X B p H X    → Las probabilidades teóricas se expresan en la siguiente tabla: ix in ip inp ( ) 2 i in np− ( ) 2 /i i in np np− 0 30 0,0312 31,2 1,44 0,04615385 1 160 0,1562 156,2 14,44 0,09244558 2 300 0,3125 312,5 156,25 0,5 3 340 0,3125 312,5 756,25 2,42 4 146 0,1562 156,2 104,04 0,66606914 5 24 0,0312 31,2 51,84 1,66153846 1000 5,38620703 2 exp 2 0,05;4 5,38620703 9,49 χ χ =  ⇒ =  Admitimos el ajuste de los datos a la distribución Binomial ( ) ( ) 2 2 1 1 k i i k rii n np Y np χ − − = − = →∑Estadístico de Contraste: No rechazamos Ho Criterio de rechazo: ( ) 2 exp ; 1k r Y α χ − − ≥
  • 36.
    36  3.- Serealiza una investigación sobre una nueva vacuna contra la gripe. Se elige una muestra aleatoria de 900 individuos y se clasifica a cada uno de ellos según haya contraído la gripe durante el último año o no y según haya sido vacunado o no. Se obtienen los siguientes resultados: ¿Se puede afirmar que la vacuna influye a la hora de no contraer la gripe? Contraída la gripe Vacunado Si No Sí 150 200 No 300 250 0 1 : : H H        Los caracteres estar vacunado y tener gripe son independientes Los caracteres estar vacunado y tener gripe no son independientes
  • 37.
    37  Cálculo delos valores esperados, eij Contraída la gripe Vacunado Sí No Total Sí 150 ( 175 ) 200 ( 175 ) 350 No 300 (275) 250 (275) 550 Total 450 450 900 . .i j ij n n e n = 11 350 450 175 900 e × == 12 350 450 175 900 e × == 21 550 450 275 900 e × == 22 550 450 275 900 e × ==
  • 38.
    38 Estadístico de contraste: }2 00.05;10.05; 3.84Hα χ= = ⇒ Rechazamos Estar vacunado y contraer la gripe no son independientes ⇒ Se puede afirmar que la vacuna influye a la hora de no contraer la gripe Criterio de rechazo: ( ) ( )( ) 2 2 1 1 1 1 r s ij ij r siji j n e U e χ − − = = − = →∑ ∑ 2 0.05;1χ 0.050.95 expU 2 2 exp 2 2 (150 175) (200 175) 900 900 (300 275) (250 275) 11.6883 900 900 U − − = + + − − + + = ( )( )exp 2 ; 1 1r s U α χ − − ≥
  • 39.
    39 0 1 : : H H        La leucemia yalergia son independientes La leucemia y alergia no son independientes  4.- Se realiza un pequeño estudio piloto para determinar la asociación entre la aparición de leucemia y los antecedentes de alergia. Se selecciona una muestra de 19 pacientes con leucemia y 17 controles y se determina la existencia o no de antecedentes de alergia ¿Se puede afirmar que existe alguna asociación entre ambas variables? Antecedentes de alergia Paciente Si No Control 5 12 Enfermo 17 2
  • 40.
    40  Cálculo delos valores esperados, eij . .i j ij n n e n = 11 10.389 17 22 36 e × = = 12 17 14 6.611 36 e × == 21 19 22 11.611 36 e × == 22 19 14 7.389 36 e × = = Antecedentes alergia Paciente Sí No Total Control 5 (10.389) 12 (6.611) 17 Enfermo 17 (11.611) 2 (7.389) 19 Total 22 14 36
  • 41.
    41 2 2 2 2 exp (510.389) (12 6.611) 36 36 (17 11.611) (2 7.389) 13.6198 36 36 U − − = + + − − + + = La leucemia y la alergia no son independientes }2 00.01;10.01; 6.63 Hα χ= = ⇒ Rechazamos Estadístico de contraste: Criterio de rechazo: ( ) ( )( ) 2 2 1 1 1 1 r s ij ij r siji j n e U e χ − − = = − = →∑ ∑ ( )( )exp 2 ; 1 1r s U α χ − − ≥ 2 0.01;1χ 0.010.99 expU