TRANSMISIÓN DIGITAL BANDABASEModulación DigitalBorjas, Juan      C.I. 15.606.482Salom, Roxany  C.I. 14.753.527
Sistemade Comuniación digitalMensaje estimadoMensajeCodificación de la fuenteDecodificaciónde la fuenteCodificación del CanalDecodificación del canalDemoduladorModuladortransmisorReceptorcanal
Transmisión de Pulsos en Banda baseSe estudia la transmisión de datos digitales independientemente de que su origen sea digital o analógico.El contenido en frecuencias de los datos digitales se concentra en la zona de bajas frecuencias.La transmisión en banda base de datos digitales requiere el uso de canales paso baja.Los errores en la transmisión se deben principalmente:Ruido debido al canal.Interferencia entre símbolos (ISI) (Un pulso se ve afectado por los pulsos adyacentes.
Transmisión Esquema de transmisión de pulsos en banda base:1PAMFiltro transmisorCanalFiltro receptorDecisión0Ruido blancoTransmisor                                                     Canal                                                 Receptor
Filtro LTI h(t)x(t)y(t)y(T)+Muestreo t=TRuido blanco w(t)Ruido debido al canal:El pulso transmitido por el canal se ve contaminado por ruido aditivo  Señal        p(t)El pulso de señal p(t) se contamina por ruido blanco aditivo de media cero y densidad de potencia espectral El receptor debe de detectar el pulso p(t) de una forma óptima dada la señal x(t).
Como el filtro es lineal, la salida del filtro y(t) se puede expresar como:La condición que se exige al filtro es que en el instante t=T ,po(T)   sea mucho mayor que el ruido. Esto es equivalente a maximizar el cociente:Si P(f) es la transformada de Fourier de la señal y H(f) es la transformada de Fourier del filtro ,aplicando la transformación inversa obtenemos:
Para el ruido tenemos:Luego la condición que debe cumplir el filtro es hacer máximo
La respuesta al impulso del filtro Matched es una versión reflejada respecto del tiempo y deplazada del  pulso de entrada p(t).p(t)kAATA0T0T
Probabilidad de error en la detección debido al ruido:Ahora que sabemos que el filtro matched es el detector óptimo de un pulso de forma conocida contaminado por ruido aditivo podemos obtener una expresión para la probabilidad de error en este sistema.La detección se basa en muestrear los pulsos en su máximo y compararlos con un nivel para determinar su valor.
Estudiamos la probabilidad de error para las distintas codificaciones de línea de uns istema binario PCM:Codificación Polar:Un 1 se transmite como p(t) y un 0 como -p(t)Las condiciones de error son:Ap-Ap
Codificación on-off:Un 1 se representa con el pulso p(t) y un cero con ausencia de pulso.
La condición de error se puede ver del siguiente modo:Ap/2Ap-Ap/20Por lo tanto la probabilidad de error que se obtiene es:
Codificaciones pseudoternarias:Un 1 se transmite como un pulso opuesto al pulso anterior y un cero como ausencia de pulso.
La condición de error se puede ver del siguiente modo:ApAp
Inferencia inter simbolos (ISI)Un pulso p(t) básico podemos considerarlo como un pulso rectangular, sin embargo la densidad de potencia espectral de un pulso cuadrado es infinita ya que P(W) tiene un ancho de banda infinito.Sin embargo hay una zona del espectro donde se concentra la energía |f| < fo  fuera de esta zona la energía es pequeña pero no cero.Si se transmite esta señal por un canal con un ancho de banda finito se suprime una pequña porción del espectro => una distorsión de la señal recibida.
Primer criterio de Nyquist:Se elige el pulso para que tenga amplitud distinta de cero en t=0 y amplitudes cero en                  . Siendo       la separación entre sucesivos pulsos transmitidos. De esta forma no hay ISI en el centro de los demas pulsos.Para un ancho de bandasólo hay un pulso que cumple esta condición
Este esquema tiene problemas prácticos de implementación  ya que  la amplitud de los lóbulos laterales decae lentamente (como 1/t). Esto puede generar una ISI acumulada cuando haya una falta de sincronismo entre dos pulsos.Este problema se puede solucionar con pulsos que verifican las condiciones anteriores pero con anchos de banda entre f0/2 y f0 .Pulsos de tipo coseno remontado:La condición que deben cumplir los pulsos es la siguiente:
Es decir que la suma de los espectros debe ser constante:
El espectro tiene la forma de la figura:Su ancho de banda es w0/2 + wx .. Definimos el exceso de ancho de banda r = 2wx  /w0  el ancho de banda se puede expresar como  B=(1 + r) f0 /2La forma temporal del pulso esParaancho de banda completo
Segundo criterio de Nyquists:Este esquema tiene su origen en la transmisión telegráfica. Se usaban pulsos conformados para una velocidad de f0pulsos por segundo pero transmitidos a una velocidad de 2 f0pulsos por segundoUn 1 se transmite como un pulso y necesita T0segundos para alcanzar su valor máximo, sin embargo si en T0 se transmite otro 1 se superpondrán las amplitudes alcanzando un valor máximo K, si el segundo pulso es un 0 se superpondrán las amplitudes anulandose su valor.La anchura del pulso resultante es de 3T0 y el segundo criterio de Nyquists esy
Para una ancho de banda de f0/2 la forma del pulso es:
Transmisión Digital Paso bandaEn la transmisión digital pasobanda la señal digital modula a una señal portadora ( normalmente una función sinusoidal).En el caso de transmisión paso banda o de señales de tiempo discreto moduladas, el canal  puede ser un enlace de radio de microondas, una canal satélite ...La amplitud, la frecuencia o la fase de la portadora pueden variar de acuerdo con la secuencia de datos dando lugar a los diferentes señalamientos:-ASK señalamiento por desplazamiento de amplitud-FSK señalamiento por desplazamiento en frecuencia- PSK señalamiento por desplazamiento en fase.
Un modelo para la transmisión pasa banda:Suponemos que existe una fuente de mensajes que emite símbolos pertenecientes a un alfabeto discreto de M símbolos cada T segundos. Las probabilidades a priori de estos símbolos especifican el mensaje de salida. En ausencia de información todos los símbolos tienen igual probabilidad.Este mensaje es la entrada a un bloque que realiza la codificación de la señal para su transmisión. Produciendo un vector de N componentes reales ( con N<=M) por cada uno de los M símbolos del alfabeto fuente. Este vector de salida es la entrada al bloque modulador, la señal, de T segundos de duración, generada en el modulador es necesariamente de energía finita.El canal de comunicación pasobanda conecta el transmisor con el receptor. Las características del canal son:
1. El canal es lineal y el ancho de banda es tal que puede transmitir a la señal modulada sin distorsión.2. La señal transmitida se ve contaminada por ruido gausiano aditivo blaco (AWGN).La tarea del receptor es observar la señal recibida durante T segundos . El primer bloque detector opera sobre la señal recibida para producir un vector de observaciones, el bloque decodificador realiza las estimaciones de los símbolos  generados por la fuente en el transmisor.Una condición que debe cumplir el receptor es que minimice la probabilidad promedio de símbolo erróneo.
TransmisorModuladorCodificadormisi(t)Fuente de MensajesiReceptorCanal de comunicaciónDecodificadorDetectorx i(t)x^m
Las tres formas básicas de señalización:
Método de Ortogonalización de Gram-Schmidt:Este método de ortogonalización permite representar cualquier conjunto de M señales de energía (ya moduladas) como combinación lineal de N funciones base ortonormales (N<=M).
Descripción del procedimiento de Gram Schmidt:Se define la función base 1 como:
Cada señal si(t) queda especificada por un vector si cuyos N elementos  son los coeficientes sij. El espacio euclídeo de N-dimensiones se denomina espacio de señales. Se puede definir la norma y el producto interno entre vectores de este espacio:
Proyección de la señal contaminada por ruido blanco gausiano sobre las funciones bases ortogonales:X es una variable aleatoria que queda caracterizada por un vector de N componentes.
Cada componente del vector es a su vez una variable aleatoria gausiana de valor medio y varianza:Las componentes del vector X son variables aleatorias no correlacionadas:El vector X se denomina vector de observaciones, y cada  uno de los elementos del vector se denomina elemento observable .
La función densidad de probabilidad condicional del vector X, cuando se transmite la señal si(t), correspondiente al símbolo mi , se puede expresar como el producto de las funciones densidad de probabilidad condicionales de sus elementos individuales como:Estas funciones son la caracterización del canal y tambien se denominan funciones de transición del canal.
Detección Coherente se señales en ruido:Se supone que en cada intervalo de tiempo de duración T sg. Se transmite una de las M posibles señales {s1(t)..... sM(t)} con igual probabilidad 1/M.La señal si(t). Queda representada por un punto en el espacio ecuclídeo de dimensión N. A este punto se le denomina punto mensaje.EL conjunto de puntos mensajes correspondientes a las señales transmitidas se les llama Constelación.La señal recibida x(t)  también queda representada por un punto del espacio euclídeo. A este punto se le denomina  punto señal recibida.
 Dado un vector de observaciones X, la detección consiste en a partir de X obtener una estimación m^ del símbolo transmitido mi , de modo que se minimice la probabilidad de error en el proceso de transmisión.Decodificación de máxima probabilidad:Suponiendo que todos los decodificadores son igualmente probables la decodificación de máxima probabilidad es una solución a este problema
Regla de decisión óptima: Máxima probabilidad a posteriori (MAP)Esta regla se puede expersar, haciendo uso del teorema de Bayer,  en términos de las probabilidades a priori de las señales transmitidas y de las funciones densidad de probabilidad:pk  es la probabilidad a priori del símbolo mk , fx (x|mk) es lafunción densidad de probabilidad condicional y fx(x) es independiente de la señal transmitida. Luego la regla MAP expresada en logaritmica natural:
El espacio de observaciones Z se divide en M regiones de decisión que se denominarán Z1....Zm . La regla MAP se puede expresar como sigue: Un vector de observaciones X pertenece a la región Zi siEl correspondiente vector de la métrica es:Lo que lleva a redefinir la regla MAP: El vector de observaciones pertenece a la región Zi si la distancia euclídea ||x-sk|| es mínima para k=i
De donde se puede deducir la regla equivalente: Un vector X pertenece a la región Zi siLa probabilidad de error:
x1x1(t)x2xx(t)2(t)xRecuperación Coherente en el receptor:El receptor óptimo consiste en dos subsistemas:1. Subsistema detector xNN(t)
SelectorAcumulador+x   s1Acumulador+xX s2Acumulador+xsMDecodificador de la señal transmitida:
Detección de señales con fase desconocida, detección no coherente:Hasta ahora se ha supuesto que el receptor tiene total conocimiento de la señal transmitida.Se puede encontrar incertidumbre y aleatoriedad en algunos parámetros de la señal.La principal causa de esta incertidumbre es la distorsión  producida por el médio de transmisión.Una causa muy frecuente es la transmisión sobre múltiples caminos de longitud variable.  Esto causa una aleatoriedad en la fase de la señal portadora.
Por ejemplo, consideramos un sistema de comunicación digital en el cual se transmiten señales iguales de la forma:Donde E es la energía de la señal, T es la duración del intervalo de señalización y la frecuencia fi es un múltiplo entero de 1/2T . No hay sincronización de fase entre el emisor y el receptor.Si el canal es AWGN la señal recibida es de la forma:
La fase  se considera tambien como una variable aleatoria unifórmemente distribuida entre 0 y 2 radianes. El sistema de detección estudiado previamente no es útil para  el caso de detección no coherente. De forma intuitiva veamos las modificaciones necesarias en el receptor:Si suponemos que las funciones ortonormales o correladores son de la forma
cuadradoxRaizcuadrada+cuadradoxEn ausencia de ruido encontramos que la salida del primer correlador es                       y la salida del segundo correlador es                      de manera que si elevamos al cuadrado y sumamos el resultado es independiente de la fase. A este sistema se le denomina receptor en cuadratura de fase.x(t)
Métodos de Modulación sin memoria:Señalamiento por desplazamiento de amplitud (ASK): También se le denomina PAM digital. La forma de onda de la señal es:Amcon 1<=m<=M denota el conjunto de M posibles amplitudes .La energía de la señal es:En este caso N=1, la función (t) es de la forma:
Y smde la formaLas correspondientes constelaciones de señales para M=2, M=4 y M=8 son:00          01         11          10     01              000      001          011         010          110           111         101          100         Se pueden hacer dos observaciones:El vector de señal tiene una única dimensión, que representa la amplitud de la señal.Los puntos de la señal se seleccionan de manera simétrica respecto del origen.
La señal PAM modulada es una señal de banda lateral doble de modo que se requiere dos veces el ancho de banda requerido para la transmisión en banda base .La asignación de bits se puede realizar de diferentes formas, una posible forma es aquella en la cual las amplitudes de las señales adyacentes difieren sólo en un bits. A este asignación se le denomina codificación Gray.La distancia euclídea entre un par de puntos de señales es:
Señales moduladas en faseEn modulación digital de fase la onda de señal tiene la forma:Donde g(t) es la forma del pulso y m =2(m-1)/M son las M posibles fases de la portadora que contienen la información transmitida.La energía de la señal es de la forma:
La señal modulada se puede representar como combinación de dos funciones ortonormales 1  y 2
La constelación de señales para M=2,4 y 8 es0101001110011010001110000100111101
Como en el caso ASK, la asignación de bits se puede hacer de diferentes formas, pero tambien se ha utilizado una codificación Gray.La distancia euclídea entre los puntos de la señal es:
Modulación de amplitud en cuadratura:La señal PAM tambien se puede modular con dos portadoras en cuadratura cos2fct   y sen2fct , la técnica de modulación resultante se llama PAM en cuadratura o QAM. La correspondiente señal se puede expresar como:Donde Amcy Ams son las amplitudes de las señales en cuadratura.En realidad la señal PAM en cuadratura reduce el ancho de banda en un factor 2. (ASK-SSB). (se correspondería con ASK de banda lateral única)
Una expresión alternativa de QAM esDonde:Por lo tanto se puede ver QAM como una combinación de modulación en amplitud y fase.Se puede obtener la combinación de la constelación de señales ASK-PSK, en este caso M=M1M2 .En este caso el número de dígitos que se transmite es n+m=logM
Las funciones ortonormales son :Y las componentes del vector:La distancia euclídea entre cualquier par de puntos del espacio es:
Ejemplos de constelaciones para QAM (M=16);21011      1001           1101       11111010      1000           1100       110110001      0000           0100       01100011      0010           0101       0111-3d/2         -d/2               d/2         3d/2
El producto cartesiano de un par de constelaciones unidimensionales se puede ver como una matriz en la que aparecen todos los posibles pares ordenados, en el ejemplo de constelación QAM cuadrada la matriz es de forma cuadrada
Constelación cruzada QAM:Para una señal QAM con M símbolos con número impar de bits por símbolo se sigue el siguiente procedimiento para generar la constelación de señales:Se comienza con una constelación QAM con n-1 bits por símbolo.Se extiende cada lado de la constelación cuadrada añadiendo             Se ignora la extensión en las esquinas.En este caso no es posible expresar la constelación cruzada QAM como el producto de una constelación ASK consigo misma.

Unidad i

  • 1.
    TRANSMISIÓN DIGITAL BANDABASEModulaciónDigitalBorjas, Juan C.I. 15.606.482Salom, Roxany C.I. 14.753.527
  • 2.
    Sistemade Comuniación digitalMensajeestimadoMensajeCodificación de la fuenteDecodificaciónde la fuenteCodificación del CanalDecodificación del canalDemoduladorModuladortransmisorReceptorcanal
  • 3.
    Transmisión de Pulsosen Banda baseSe estudia la transmisión de datos digitales independientemente de que su origen sea digital o analógico.El contenido en frecuencias de los datos digitales se concentra en la zona de bajas frecuencias.La transmisión en banda base de datos digitales requiere el uso de canales paso baja.Los errores en la transmisión se deben principalmente:Ruido debido al canal.Interferencia entre símbolos (ISI) (Un pulso se ve afectado por los pulsos adyacentes.
  • 4.
    Transmisión Esquema detransmisión de pulsos en banda base:1PAMFiltro transmisorCanalFiltro receptorDecisión0Ruido blancoTransmisor Canal Receptor
  • 5.
    Filtro LTI h(t)x(t)y(t)y(T)+Muestreot=TRuido blanco w(t)Ruido debido al canal:El pulso transmitido por el canal se ve contaminado por ruido aditivo Señal p(t)El pulso de señal p(t) se contamina por ruido blanco aditivo de media cero y densidad de potencia espectral El receptor debe de detectar el pulso p(t) de una forma óptima dada la señal x(t).
  • 6.
    Como el filtroes lineal, la salida del filtro y(t) se puede expresar como:La condición que se exige al filtro es que en el instante t=T ,po(T) sea mucho mayor que el ruido. Esto es equivalente a maximizar el cociente:Si P(f) es la transformada de Fourier de la señal y H(f) es la transformada de Fourier del filtro ,aplicando la transformación inversa obtenemos:
  • 7.
    Para el ruidotenemos:Luego la condición que debe cumplir el filtro es hacer máximo
  • 8.
    La respuesta alimpulso del filtro Matched es una versión reflejada respecto del tiempo y deplazada del pulso de entrada p(t).p(t)kAATA0T0T
  • 9.
    Probabilidad de erroren la detección debido al ruido:Ahora que sabemos que el filtro matched es el detector óptimo de un pulso de forma conocida contaminado por ruido aditivo podemos obtener una expresión para la probabilidad de error en este sistema.La detección se basa en muestrear los pulsos en su máximo y compararlos con un nivel para determinar su valor.
  • 10.
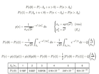
    Estudiamos la probabilidadde error para las distintas codificaciones de línea de uns istema binario PCM:Codificación Polar:Un 1 se transmite como p(t) y un 0 como -p(t)Las condiciones de error son:Ap-Ap
  • 12.
    Codificación on-off:Un 1se representa con el pulso p(t) y un cero con ausencia de pulso.
  • 13.
    La condición deerror se puede ver del siguiente modo:Ap/2Ap-Ap/20Por lo tanto la probabilidad de error que se obtiene es:
  • 14.
    Codificaciones pseudoternarias:Un 1se transmite como un pulso opuesto al pulso anterior y un cero como ausencia de pulso.
  • 15.
    La condición deerror se puede ver del siguiente modo:ApAp
  • 16.
    Inferencia inter simbolos(ISI)Un pulso p(t) básico podemos considerarlo como un pulso rectangular, sin embargo la densidad de potencia espectral de un pulso cuadrado es infinita ya que P(W) tiene un ancho de banda infinito.Sin embargo hay una zona del espectro donde se concentra la energía |f| < fo fuera de esta zona la energía es pequeña pero no cero.Si se transmite esta señal por un canal con un ancho de banda finito se suprime una pequña porción del espectro => una distorsión de la señal recibida.
  • 17.
    Primer criterio deNyquist:Se elige el pulso para que tenga amplitud distinta de cero en t=0 y amplitudes cero en . Siendo la separación entre sucesivos pulsos transmitidos. De esta forma no hay ISI en el centro de los demas pulsos.Para un ancho de bandasólo hay un pulso que cumple esta condición
  • 18.
    Este esquema tieneproblemas prácticos de implementación ya que la amplitud de los lóbulos laterales decae lentamente (como 1/t). Esto puede generar una ISI acumulada cuando haya una falta de sincronismo entre dos pulsos.Este problema se puede solucionar con pulsos que verifican las condiciones anteriores pero con anchos de banda entre f0/2 y f0 .Pulsos de tipo coseno remontado:La condición que deben cumplir los pulsos es la siguiente:
  • 19.
    Es decir quela suma de los espectros debe ser constante:
  • 20.
    El espectro tienela forma de la figura:Su ancho de banda es w0/2 + wx .. Definimos el exceso de ancho de banda r = 2wx /w0 el ancho de banda se puede expresar como B=(1 + r) f0 /2La forma temporal del pulso esParaancho de banda completo
  • 21.
    Segundo criterio deNyquists:Este esquema tiene su origen en la transmisión telegráfica. Se usaban pulsos conformados para una velocidad de f0pulsos por segundo pero transmitidos a una velocidad de 2 f0pulsos por segundoUn 1 se transmite como un pulso y necesita T0segundos para alcanzar su valor máximo, sin embargo si en T0 se transmite otro 1 se superpondrán las amplitudes alcanzando un valor máximo K, si el segundo pulso es un 0 se superpondrán las amplitudes anulandose su valor.La anchura del pulso resultante es de 3T0 y el segundo criterio de Nyquists esy
  • 22.
    Para una anchode banda de f0/2 la forma del pulso es:
  • 23.
    Transmisión Digital PasobandaEn la transmisión digital pasobanda la señal digital modula a una señal portadora ( normalmente una función sinusoidal).En el caso de transmisión paso banda o de señales de tiempo discreto moduladas, el canal puede ser un enlace de radio de microondas, una canal satélite ...La amplitud, la frecuencia o la fase de la portadora pueden variar de acuerdo con la secuencia de datos dando lugar a los diferentes señalamientos:-ASK señalamiento por desplazamiento de amplitud-FSK señalamiento por desplazamiento en frecuencia- PSK señalamiento por desplazamiento en fase.
  • 24.
    Un modelo parala transmisión pasa banda:Suponemos que existe una fuente de mensajes que emite símbolos pertenecientes a un alfabeto discreto de M símbolos cada T segundos. Las probabilidades a priori de estos símbolos especifican el mensaje de salida. En ausencia de información todos los símbolos tienen igual probabilidad.Este mensaje es la entrada a un bloque que realiza la codificación de la señal para su transmisión. Produciendo un vector de N componentes reales ( con N<=M) por cada uno de los M símbolos del alfabeto fuente. Este vector de salida es la entrada al bloque modulador, la señal, de T segundos de duración, generada en el modulador es necesariamente de energía finita.El canal de comunicación pasobanda conecta el transmisor con el receptor. Las características del canal son:
  • 25.
    1. El canales lineal y el ancho de banda es tal que puede transmitir a la señal modulada sin distorsión.2. La señal transmitida se ve contaminada por ruido gausiano aditivo blaco (AWGN).La tarea del receptor es observar la señal recibida durante T segundos . El primer bloque detector opera sobre la señal recibida para producir un vector de observaciones, el bloque decodificador realiza las estimaciones de los símbolos generados por la fuente en el transmisor.Una condición que debe cumplir el receptor es que minimice la probabilidad promedio de símbolo erróneo.
  • 26.
    TransmisorModuladorCodificadormisi(t)Fuente de MensajesiReceptorCanalde comunicaciónDecodificadorDetectorx i(t)x^m
  • 27.
    Las tres formasbásicas de señalización:
  • 28.
    Método de Ortogonalizaciónde Gram-Schmidt:Este método de ortogonalización permite representar cualquier conjunto de M señales de energía (ya moduladas) como combinación lineal de N funciones base ortonormales (N<=M).
  • 29.
    Descripción del procedimientode Gram Schmidt:Se define la función base 1 como:
  • 30.
    Cada señal si(t)queda especificada por un vector si cuyos N elementos son los coeficientes sij. El espacio euclídeo de N-dimensiones se denomina espacio de señales. Se puede definir la norma y el producto interno entre vectores de este espacio:
  • 31.
    Proyección de laseñal contaminada por ruido blanco gausiano sobre las funciones bases ortogonales:X es una variable aleatoria que queda caracterizada por un vector de N componentes.
  • 32.
    Cada componente delvector es a su vez una variable aleatoria gausiana de valor medio y varianza:Las componentes del vector X son variables aleatorias no correlacionadas:El vector X se denomina vector de observaciones, y cada uno de los elementos del vector se denomina elemento observable .
  • 33.
    La función densidadde probabilidad condicional del vector X, cuando se transmite la señal si(t), correspondiente al símbolo mi , se puede expresar como el producto de las funciones densidad de probabilidad condicionales de sus elementos individuales como:Estas funciones son la caracterización del canal y tambien se denominan funciones de transición del canal.
  • 34.
    Detección Coherente seseñales en ruido:Se supone que en cada intervalo de tiempo de duración T sg. Se transmite una de las M posibles señales {s1(t)..... sM(t)} con igual probabilidad 1/M.La señal si(t). Queda representada por un punto en el espacio ecuclídeo de dimensión N. A este punto se le denomina punto mensaje.EL conjunto de puntos mensajes correspondientes a las señales transmitidas se les llama Constelación.La señal recibida x(t) también queda representada por un punto del espacio euclídeo. A este punto se le denomina punto señal recibida.
  • 35.
    Dado unvector de observaciones X, la detección consiste en a partir de X obtener una estimación m^ del símbolo transmitido mi , de modo que se minimice la probabilidad de error en el proceso de transmisión.Decodificación de máxima probabilidad:Suponiendo que todos los decodificadores son igualmente probables la decodificación de máxima probabilidad es una solución a este problema
  • 36.
    Regla de decisiónóptima: Máxima probabilidad a posteriori (MAP)Esta regla se puede expersar, haciendo uso del teorema de Bayer, en términos de las probabilidades a priori de las señales transmitidas y de las funciones densidad de probabilidad:pk es la probabilidad a priori del símbolo mk , fx (x|mk) es lafunción densidad de probabilidad condicional y fx(x) es independiente de la señal transmitida. Luego la regla MAP expresada en logaritmica natural:
  • 37.
    El espacio deobservaciones Z se divide en M regiones de decisión que se denominarán Z1....Zm . La regla MAP se puede expresar como sigue: Un vector de observaciones X pertenece a la región Zi siEl correspondiente vector de la métrica es:Lo que lleva a redefinir la regla MAP: El vector de observaciones pertenece a la región Zi si la distancia euclídea ||x-sk|| es mínima para k=i
  • 38.
    De donde sepuede deducir la regla equivalente: Un vector X pertenece a la región Zi siLa probabilidad de error:
  • 39.
    x1x1(t)x2xx(t)2(t)xRecuperación Coherente enel receptor:El receptor óptimo consiste en dos subsistemas:1. Subsistema detector xNN(t)
  • 40.
    SelectorAcumulador+x s1Acumulador+xX s2Acumulador+xsMDecodificador de la señal transmitida:
  • 41.
    Detección de señalescon fase desconocida, detección no coherente:Hasta ahora se ha supuesto que el receptor tiene total conocimiento de la señal transmitida.Se puede encontrar incertidumbre y aleatoriedad en algunos parámetros de la señal.La principal causa de esta incertidumbre es la distorsión producida por el médio de transmisión.Una causa muy frecuente es la transmisión sobre múltiples caminos de longitud variable. Esto causa una aleatoriedad en la fase de la señal portadora.
  • 42.
    Por ejemplo, consideramosun sistema de comunicación digital en el cual se transmiten señales iguales de la forma:Donde E es la energía de la señal, T es la duración del intervalo de señalización y la frecuencia fi es un múltiplo entero de 1/2T . No hay sincronización de fase entre el emisor y el receptor.Si el canal es AWGN la señal recibida es de la forma:
  • 43.
    La fase se considera tambien como una variable aleatoria unifórmemente distribuida entre 0 y 2 radianes. El sistema de detección estudiado previamente no es útil para el caso de detección no coherente. De forma intuitiva veamos las modificaciones necesarias en el receptor:Si suponemos que las funciones ortonormales o correladores son de la forma
  • 44.
    cuadradoxRaizcuadrada+cuadradoxEn ausencia deruido encontramos que la salida del primer correlador es y la salida del segundo correlador es de manera que si elevamos al cuadrado y sumamos el resultado es independiente de la fase. A este sistema se le denomina receptor en cuadratura de fase.x(t)
  • 45.
    Métodos de Modulaciónsin memoria:Señalamiento por desplazamiento de amplitud (ASK): También se le denomina PAM digital. La forma de onda de la señal es:Amcon 1<=m<=M denota el conjunto de M posibles amplitudes .La energía de la señal es:En este caso N=1, la función (t) es de la forma:
  • 46.
    Y smde laformaLas correspondientes constelaciones de señales para M=2, M=4 y M=8 son:00 01 11 10 01 000 001 011 010 110 111 101 100 Se pueden hacer dos observaciones:El vector de señal tiene una única dimensión, que representa la amplitud de la señal.Los puntos de la señal se seleccionan de manera simétrica respecto del origen.
  • 47.
    La señal PAMmodulada es una señal de banda lateral doble de modo que se requiere dos veces el ancho de banda requerido para la transmisión en banda base .La asignación de bits se puede realizar de diferentes formas, una posible forma es aquella en la cual las amplitudes de las señales adyacentes difieren sólo en un bits. A este asignación se le denomina codificación Gray.La distancia euclídea entre un par de puntos de señales es:
  • 48.
    Señales moduladas enfaseEn modulación digital de fase la onda de señal tiene la forma:Donde g(t) es la forma del pulso y m =2(m-1)/M son las M posibles fases de la portadora que contienen la información transmitida.La energía de la señal es de la forma:
  • 49.
    La señal moduladase puede representar como combinación de dos funciones ortonormales 1 y 2
  • 50.
    La constelación deseñales para M=2,4 y 8 es0101001110011010001110000100111101
  • 51.
    Como en elcaso ASK, la asignación de bits se puede hacer de diferentes formas, pero tambien se ha utilizado una codificación Gray.La distancia euclídea entre los puntos de la señal es:
  • 52.
    Modulación de amplituden cuadratura:La señal PAM tambien se puede modular con dos portadoras en cuadratura cos2fct y sen2fct , la técnica de modulación resultante se llama PAM en cuadratura o QAM. La correspondiente señal se puede expresar como:Donde Amcy Ams son las amplitudes de las señales en cuadratura.En realidad la señal PAM en cuadratura reduce el ancho de banda en un factor 2. (ASK-SSB). (se correspondería con ASK de banda lateral única)
  • 53.
    Una expresión alternativade QAM esDonde:Por lo tanto se puede ver QAM como una combinación de modulación en amplitud y fase.Se puede obtener la combinación de la constelación de señales ASK-PSK, en este caso M=M1M2 .En este caso el número de dígitos que se transmite es n+m=logM
  • 54.
    Las funciones ortonormalesson :Y las componentes del vector:La distancia euclídea entre cualquier par de puntos del espacio es:
  • 55.
    Ejemplos de constelacionespara QAM (M=16);21011 1001 1101 11111010 1000 1100 110110001 0000 0100 01100011 0010 0101 0111-3d/2 -d/2 d/2 3d/2
  • 56.
    El producto cartesianode un par de constelaciones unidimensionales se puede ver como una matriz en la que aparecen todos los posibles pares ordenados, en el ejemplo de constelación QAM cuadrada la matriz es de forma cuadrada
  • 57.
    Constelación cruzada QAM:Parauna señal QAM con M símbolos con número impar de bits por símbolo se sigue el siguiente procedimiento para generar la constelación de señales:Se comienza con una constelación QAM con n-1 bits por símbolo.Se extiende cada lado de la constelación cuadrada añadiendo Se ignora la extensión en las esquinas.En este caso no es posible expresar la constelación cruzada QAM como el producto de una constelación ASK consigo misma.