EJERCICIO 1
GRUPO 1
Marco teórico
• Para realizar el trabajo encargado
se usó el libro de “Fundamentos
de Ingeniería para
Cimentaciones”, empleando la
Tabla 3.1 – Teoría de Capacidad
de Carga de Terzaghi. En dicha
tabla se especifican los factores de
capacidad de carga que deben de
adoptarse según el ángulo que
tengamos para el diseño
correspondiente de cimentación
3. DISEÑO DE CIMIENTOS CORRIDOS.-
– Son elementos colocados en posición
horizontal que tiene función estructural
ya que recibe la carga de los muros y las
transmite al suelo portante. Se
recomienda que la profundidad del
cimiento sea como mínimo de un metro.
1
2
3
Para uncimentación corrida,seda lossiguientesdatos:
a. B = 4pies ; Dƒ = 3pies, γ= 110 lib/pie3; Ø= 25°; C’ =
600 lib/pie3
b. a. B = 3m ; Dƒ = 1m, γ= 17 kN/m3; Ø= 30°; C’ = 0
Nota.- - Carga bruta : ?
- FS = 4
- Falla Corte
General
2
3
1
GRUPO 2
EJERCICIO 2
Ejercicio 2
Una zapata cuadrada tiene 2 m x 2 m en planta.
Sea
Suponiendo una falla por corte general en el suelo,
use la ecuación general de Terzaghi y un factor de
seguridad de 3 para determinar la carga vertical
bruta admisible que la columna puede soportar .
Ecuación generalde Terzaghi
• la Capacidad de Carga Ultima para una zapata cuadrada
Datos: De la tabla 3.1, para
= 63,53
= 47,16
= 54,36
De la ecuación 3.7:
Entonces : qc= 1.3(0)(63.53) + 16.5(1.5)(47.16)+ 0.4(16.5)(2)(54,36)
qc= 1167.21 + 717.552
qc=1884.762 KN/m2
L a carga admisible por unidad de área de la cimentación:
qadm =
1884.762
3
Factor de seguridad ( FS = 3)
qadm =628.254 KN/m2
La carga admisible bruta es :
Q = (628.254 KN/m2 ) x (B2)
Q = (628.254 KN/m2 ) x (22)
Q = 2513. 016 KN
EJERCICIO 3
Ejercicio Encargado
3.3. Resolver el Problema 3.1 usando la Ecuación
General de Capacidad de Carga y los Factores de
capacidad de carga, forma y profundidad.
3.1 Para una cimentación corrida, se dan los
siguientes datos:
a) B = 4 pies, Df = 3 pies, ɣ = 110 lb/pie3, ǿ = 25°, c’ = 600 lb/pie2
b) B = 2 m, Df = 1 m, ɣ = 17 kN/m3, ǿ = 30°, c’ = 0
SOLUCION:
B = 4 pies
Ɣ = 110 lb/pie3
C´= 600 lb/pie2
∅ ´= 25°
Df = 3 pies
1. De la carga admisible bruta por unidad de Longitud
Qadm Bruta= ?
𝑸 𝒂𝒅𝒎 = 𝒒 𝒂𝒅𝒎 𝒙 𝑩
2. De la carga admisible:
𝒒 𝒂𝒅𝒎 =
𝒒𝒖´
𝑭𝑺
3. De Ecuación General de la Capacidad de Carga Ultima:
𝒒𝒖´ = 𝒄´. 𝑵𝒄. 𝑭𝒄𝒔. 𝑭𝒄𝒅. 𝑭𝒄𝒊 + 𝒒. 𝑵𝒒. 𝑭𝒒𝒔. 𝑭𝒒𝒅. 𝑭𝒒𝒊 +
𝟏
𝟐
𝜸𝑩´. 𝑵𝜸. 𝑭𝜸𝒔. 𝑭𝜸𝒅. 𝑭𝜸𝒊
a) Datos:
FS = 4
4. Hallando los factores de Capacidad de carga de:
𝑁𝑞 = 10.66 𝑁𝛾 = 10.88 𝑁𝑐 = 20.72
5. Cálculo del esfuerzo efectivo al nivel de desplante de la cimentación:
𝑞 = 𝐷𝑓 ∗ 𝛾 ⇒ 𝑞 = 3 ∗ 110 = 330 𝑙𝑏/𝑝𝑖𝑒2
6. Factores de Forma e Inclinación: Como es una cimentación
corrida (B/L) = 0, los factores e inclinación valen 1
7. Calculo de factores de Profundidad:
* Por condición:
𝐷𝑓
𝐵
≤ 1
𝐹𝑞𝑑 = 1 + 2𝑡𝑔∅(1 − 𝑠𝑒𝑛∅)2
.
𝐷𝑓
𝐵
𝐹𝑞𝑑 = 1 + 2𝑡𝑔(25)(1 − 𝑠𝑒𝑛25)2.
3
4
𝑭𝒒𝒅 =1.23
𝑭𝜸𝒅 =1
𝐹𝑐𝑠 = 𝐹𝑞𝑠 = 𝐹𝛾𝑠 = 1
𝐹𝑐𝑖 = 𝐹𝑞𝑖 = 𝐹𝛾𝑖 = 1
𝐹𝑐𝑑 = 1 + 0.4
𝐷𝑓
𝐵
𝐹𝑐𝑑 = 1 + 0.4
3
4
𝑭𝒄𝒅 = 𝟏. 𝟑
𝒒𝒖´ = 𝒄´. 𝑵𝒄. 𝑭𝒄𝒔. 𝑭𝒄𝒅. 𝑭𝒄𝒊 + 𝒒. 𝑵𝒒. 𝑭𝒒𝒔. 𝑭𝒒𝒅. 𝑭𝒒𝒊 +
𝟏
𝟐
𝜸𝑩´. 𝑵𝜸. 𝑭𝜸𝒔. 𝑭𝜸𝒅. 𝑭𝜸𝒊
8. Reemplazando valores en:
𝑞𝑢´ = 600 20.72 1 1.3 1 + (330)(10.66)(1)(1.23)(1) +
1
2
110 4 10.88 1 (1)(1)
𝑞𝑢´ = 22882.09 𝑙𝑏
𝑝𝑖𝑒2
9. Reemplazando en la carga admisible:
𝑞 𝑎𝑑𝑚 =
𝑞𝑢´
𝐹𝑆
=
22882.09
4
= 5720.52 𝑙𝑏
𝑝𝑖𝑒2
10. De la carga admisible bruta por unidad de longitud:
𝑸 𝒂𝒅𝒎 = 𝒒 𝒂𝒅𝒎 𝒙 𝑩
𝑄 𝑎𝑑𝑚 = 5720.52 ∗ 4
𝑸 𝒂𝒅𝒎 = 22882.09 𝑙𝑏
𝑝𝑖𝑒
SOLUCION:
B = 2 m
Ɣ = 17 kN/m3
C´= 0
∅ ´= 30°
Df = 1 m
1. De la carga admisible bruta por unidad de Longitud
Qadm Bruta= ?
𝑸 𝒂𝒅𝒎 = 𝒒 𝒂𝒅𝒎 𝒙 𝑩
2. De la carga admisible:
𝒒 𝒂𝒅𝒎 =
𝒒𝒖´
𝑭𝑺
3. De Ecuación General de la Capacidad de Carga Ultima:
𝒒𝒖´ = 𝒄´. 𝑵𝒄. 𝑭𝒄𝒔. 𝑭𝒄𝒅. 𝑭𝒄𝒊 + 𝒒. 𝑵𝒒. 𝑭𝒒𝒔. 𝑭𝒒𝒅. 𝑭𝒒𝒊 +
𝟏
𝟐
𝜸𝑩´. 𝑵𝜸. 𝑭𝜸𝒔. 𝑭𝜸𝒅. 𝑭𝜸𝒊
b) Datos:
FS = 4
4. Hallando los factores de Capacidad de carga de:
𝑁𝑞 = 18.40 𝑁𝛾 = 22.40 𝑁𝑐 = 30.14
5. Cálculo del esfuerzo efectivo al nivel de desplante de la cimentación:
𝑞 = 𝐷𝑓 ∗ 𝛾 ⇒ 𝑞 = 1 ∗ 17 = 17 𝑘𝑁/𝑚2
6. Factores de Forma e Inclinación: Como es una cimentación
corrida (B/L) = 0, los factores e inclinación valen 1
7. Calculo de factores de Profundidad:
* Por condición:
𝐷𝑓
𝐵
≤ 1
𝐹𝑞𝑑 = 1 + 2𝑡𝑔∅(1 − 𝑠𝑒𝑛∅)2
.
𝐷𝑓
𝐵
𝐹𝑞𝑑 = 1 + 2𝑡𝑔(30)(1 − 𝑠𝑒𝑛30)2.
1
2
𝑭𝒒𝒅 =1.144
𝑭𝜸𝒅 =1
𝐹𝑐𝑠 = 𝐹𝑞𝑠 = 𝐹𝛾𝑠 = 1
𝐹𝑐𝑖 = 𝐹𝑞𝑖 = 𝐹𝛾𝑖 = 1
𝒒𝒖´ = 𝒄´. 𝑵𝒄. 𝑭𝒄𝒔. 𝑭𝒄𝒅. 𝑭𝒄𝒊 + 𝒒. 𝑵𝒒. 𝑭𝒒𝒔. 𝑭𝒒𝒅. 𝑭𝒒𝒊 +
𝟏
𝟐
𝜸𝑩´. 𝑵𝜸. 𝑭𝜸𝒔. 𝑭𝜸𝒅. 𝑭𝜸𝒊
8. Reemplazando valores en:
𝑞𝑢´ = (17)(18.40)(1)(1.144)(1) +
1
2
17 2 22.40 1 (1)(1)
𝑞𝑢´ = 738.64 𝑘𝑁
𝑚2
9. Reemplazando en la carga admisible:
𝑞 𝑎𝑑𝑚 =
𝑞𝑢´
𝐹𝑆
=
738.64
4
= 184.66 𝑘𝑁
𝑚2
10. De la carga admisible bruta por unidad de longitud:
𝑸 𝒂𝒅𝒎 = 𝒒 𝒂𝒅𝒎 𝒙 𝑩
𝑄 𝑎𝑑𝑚 = 184.66 ∗ 2
𝑸 𝒂𝒅𝒎 = 369.32 𝑘𝑁
𝑚
𝒒𝒖´ = 𝒒. 𝑵𝒒. 𝑭𝒒𝒔. 𝑭𝒒𝒅. 𝑭𝒒𝒊 +
𝟏
𝟐
𝜸𝑩´. 𝑵𝜸. 𝑭𝜸𝒔. 𝑭𝜸𝒅. 𝑭𝜸𝒊
EJERCICIO 4
GRUPO 1
2m
𝐷𝑓 = 1.5𝑚
𝛾 =
16.5𝐾𝑁
𝑚3
∅ = 36°
𝐶 = 0
𝐹𝑆 = 3
EJERCICIO 3.4:
Resuelva problema 3.2 usando la ecuación(3.21) y los
factores de capacidad de carga, forma y
profundidad dados en la sección 3.7
3.2. una zapata cuadrada tiene 2x2m en
planta. Suponiendo una falla por corte
general en el suelo, use la ecuación de
Terzaghi y un factor de seguridad 3 para
determinar la carga vertical bruta admisible
que la columna puede soportar.
2m
FACTORES DE
FORMA
FACTORES DE
INCLINACION
FACTORES DE
PROFUNDIDAD
Ecuación(3.21)
𝑞 𝑢 = 𝑞𝑁𝑞 𝐹𝑞𝑠 𝐹𝑞𝑑 𝐹𝑞𝑖 +
1
2
𝛾𝐵𝑁𝛾 𝐹𝛾𝑠 𝐹𝛾𝑑 𝐹𝛾𝑖
𝑁𝑐 = 50.59
𝑁𝑞 = 37.75
𝑁𝛾 = 56.31
𝐹𝑞𝑑 = 1 + 2𝑡𝑔 36 ∗ 1 − 𝑠𝑒𝑛 36
2 1.5
2
= 1.185
𝐹𝑞𝑠 = 1 +
2
2
𝑡𝑔 36 = 1.72
𝐹𝛾𝑠 = 1 − 0.4
2
2
= 0.6
𝐹𝛾𝑑 = 1
𝐹𝑞𝑖 = (1 −
𝐵°
90
)2= 0
𝐹𝛾𝑖 = (1 −
𝐵°
36
)2= 1
𝑞 = 𝛾 × 𝐷𝑓 = 16.5 × 1.5 = 24.75𝐾𝑁/𝑚2
𝑞 𝑢 = 24.75(50.59)(1.185)(1) +
1
2
(16.5)(2)(56.3)(0.6)(1)(1)
Reemplazando datos:
𝑞 𝑢 = 2041.2105
𝑄 𝑎𝑡𝑚 =
2041.2105
3
𝑄 𝑎𝑡𝑚 = 680.403𝐾𝑁/𝑚2
𝑄𝑎𝑑𝑚 − total = 680.403 × 𝐵2
= 2721.612 KN/𝑚2
GRUPO 2
EJERCICIO 3.4 EN CLASE
Solucion:
C`=0 ; La capacidadde carga ultima queda:
𝑞𝑢 = 𝑞𝑁𝑞 ∗ 𝐹𝑞𝑠 ∗ 𝐹𝑞𝑑 ∗ 𝐹𝑞𝑖 +
1
2
𝛾 ∗ 𝐵 ∗ 𝑁𝛾 ∗ 𝐹𝛾𝑠 ∗ 𝐹𝛾𝑑 ∗ 𝐹𝛾𝐼
𝐹𝑞𝑠 = 1 +
𝐵
𝐿
tan∅ = 1 + 0.727 = 1.727
𝛾 = 16.5 𝐾𝑁/𝑚2
De la tabla3.4: ∅ = 36° 𝑁𝑞 = 37.75 𝑁𝑦 = 56.31
𝑞 = 1.5 16.5 𝐾𝑁/𝑚2
𝐹𝛾𝑠 = 1 − 0.4
𝐵
𝐿
= 1 − 0.4 = 0.6
𝐹q𝑑 = 1 + 2 tan∅ 1 − sin∅ 2
𝐷𝑓
𝐵
= 1 + 0.185 = 1.185
𝐹𝛾𝑑 = 1
𝐹g𝑖 = 1 −
𝐵°
90°
= 1 −
0
90
= 1
𝐹g𝑖 = 1 −
𝐵°
∅
= 1 −
0
36
= 1
𝑞𝑢 = 𝑞𝑁𝑞 ∗ 𝐹𝑞𝑠 ∗ 𝐹𝑞𝑑 ∗ 𝐹𝑞𝑖 +
1
2
𝛾 ∗ 𝐵 ∗ 𝑁𝛾 ∗ 𝐹𝛾𝑠 ∗ 𝐹𝛾𝑑 ∗ 𝐹𝛾𝐼
𝑞𝑎𝑑𝑚𝑖 =
𝑞𝑢
3
= 823.178𝐾𝑁/𝑚2
𝑞𝑢 = 24.75 37.75 1.727 1.185 1 + (0.5)(16.5)(2)(56.31)(0.6)(1)(1)
𝑞𝑢 = 1912.066 + 557.469
𝑞𝑢 = 2469.5335 𝐾𝑁/𝑚2
𝑞𝑎𝑑𝑚𝑖 𝑡𝑜𝑡𝑎𝑙 = 𝑞𝑎𝑑𝑚 ∗ 𝐵2
𝑞𝑎𝑑𝑚𝑖 𝑡𝑜𝑡𝑎𝑙 = 823.178 ∗ 22
𝑞𝑎𝑑𝑚𝑖 𝑡𝑜𝑡𝑎𝑙 = 3292.712𝐾𝑁
EJERCICIO 5
EJERCICIO 6
EJERCICIO 7
GRUPO 1
3.7 Resuelva el problema 3.6 usando la ecuación (3.21) y los factores
de capacidad de carga, forma y profundidad de Meyerhof . Use
F.S. = 3
FACTORES DE CAPACIDAD DE CARGA
𝑁𝑞 = 𝑡𝑔2
45+
25
2
𝑒 𝜋.𝑡𝑔25
𝑁𝑞 = 10.6621
𝑁𝑐 = 10.66 − 1 𝑐𝑡𝑔25
𝑁𝑐 = 20.72
𝑁𝑞 = 𝑡𝑔2
45 +
∅
2
𝑒 𝜋.𝑡𝑔∅
𝑁𝑐 = 𝑁𝑞 − 1 𝑐𝑡𝑔∅
𝑁𝛾 = 𝑁𝑞 − 1 𝑡𝑔(1.4∅)
𝑁𝛾 = 𝑁𝑞 − 1 𝑡𝑔(1.4∅)
𝑁𝛾 = 6.765
FACTORES DE FORMA
𝐹𝑐𝑠 = 1 + 0.2
𝐵
𝐿
𝑡𝑔2
45 +
∅
2
𝐹𝑞𝑠 = 𝐹𝛾𝑠 = 1 + 0.1
𝐵
𝐿
𝑡𝑔2
45 +
∅
2
𝐹𝑐𝑠 = 1 + 0.2
3
2
𝑡𝑔2
45 +
25
2
𝐹𝑞𝑠 = 𝐹𝛾𝑠 = 1 + 0.1
3
2
𝑡𝑔2
45 +
25
2
𝐹𝑐𝑠 = 1.739 𝐹𝑞𝑠 = 𝐹𝛾𝑠 = 1.369
FACTORES DE PROFUNDIDAD
𝐹𝑐𝑑 = 1 + 0.2
𝐷𝑓
𝐵
𝑡𝑔 45 +
∅
2
𝐹𝑞𝑑 = 𝐹𝛾𝑑 = 1 + 0.1
𝐷𝑓
𝐵
𝑡𝑔 45 +
∅
2
𝐹𝑐𝑑 = 1 + 0.2
1.5
3
𝑡𝑔 45 +
25
2
𝐹𝑞𝑑 = 𝐹𝛾𝑑 = 1 + 0.1
1.5
3
𝑡𝑔 45 +
25
2
𝐹𝑐𝑑 = 1.157 𝐹𝑞𝑑 = 𝐹𝛾𝑑 = 1.078
FACTORES DE INCLINACION
𝐹𝑐𝑖 = 𝐹𝑞𝑖 = 1 −
𝛽0
900
2
𝐹𝛾𝑖 = 1 −
𝛽
∅
2
𝐹𝑐𝑖 = 𝐹𝑞𝑖 = 1 𝐹𝛾𝑖 = 1
ECUACION GENERAL DE CAPACIDAD DE CARGA
𝑞 𝑢 = 𝑐′
𝑁𝑐 𝐹𝑐𝑠 𝐹𝑐𝑑 𝐹𝑐𝑖 + 𝑞𝑁 𝑞 𝐹𝑞𝑠 𝐹𝑞𝑑 𝐹𝑞𝑖 +
1
2
𝛾𝐵𝑁 𝛾 𝐹𝛾𝑠 𝐹𝛾𝑠 𝐹𝛾𝑖
𝑞 𝑢 = 𝑐′
𝑁𝑐 𝐹𝑐𝑠 𝐹𝑐𝑑 𝐹𝑐𝑖 + 𝑞𝑁𝑞 𝐹𝑞𝑠 𝐹𝑞𝑑 𝐹𝑞𝑖 +
1
2
𝛾𝐵𝑁𝛾 𝐹𝛾𝑠 𝐹𝛾𝑑 𝐹𝛾𝑖
𝑞 𝑢 = 70 ∗ 20.72∗ 1.739 ∗ 1.157∗ 1 + 21.845∗ 10.66 ∗ 1.369∗ 1.078 ∗ 1 +
1
2
∗ (19.5 − 9.81) ∗ 3 ∗ 6.77∗ 1.369
∗ 1.078∗ 1
𝑞 𝑢 = 3407.199 𝐾𝑁
𝑚2
𝑞 = 1 17 + 0.5 19.5 − 9.81
𝑞 = 21.845 𝐾𝑁
𝑚2
𝑞 𝑎𝑑𝑚(𝑛𝑒𝑡𝑎) =
𝑞 𝑢 − 𝑞
𝐹. 𝑆.
𝑞 𝑎𝑑𝑚(𝑛𝑒𝑡𝑎 ) =
3407.199 − 21.845
3
𝑞 𝑎𝑑𝑚(𝑛𝑒𝑡𝑎) = 1128.45 𝐾𝑁
𝑚2
GRUPO 2
“ecuación general de capacidad de
carga”
DATOS:
B= 3m
L= 2m
Df= 1.5
“Ecuación general de capacidad de
carga”
“FACTORES DE CAPACIDAD DE CARGA,
FORMA, PROFUNDIDAD E INCLINACION DE
MEYERHOF ”
“FACTORES DE CAPACIDAD DE CARGA,
FORMA, PROFUNDIDAD E INCLINACION DE
MEYERHOF ”
“FACTORES DE CAPACIDAD DE CARGA,
FORMA, PROFUNDIDAD E INCLINACION DE
MEYERHOF ”
Resolviendo el ejercicio:
1)Factores de capacidad de carga:
∅ = 25° -----> 𝑵 𝑪 = 𝑵 𝒒 − 𝟏 𝒄𝒕𝒈∅ = 20.72
𝑵 𝒒 = 𝒕𝒈 𝟐
𝟒𝟓 +
∅
𝟐
𝜺 𝝅𝒕𝒈∅
= 𝟏𝟎. 𝟔𝟔
𝑵 𝜸 = 𝑵 𝒒 − 𝟏 𝒕𝒈 𝟏. 𝟒∅ = 𝟔. 𝟕𝟕
“FACTORES DE CAPACIDAD DE CARGA,
FORMA, PROFUNDIDAD E INCLINACION DE
MEYERHOF ”
“FACTORES DE CAPACIDAD DE CARGA,
FORMA, PROFUNDIDAD E INCLINACION DE
MEYERHOF ”
2) Factores de forma:
∅ = 25° -----> 𝑭 𝒄𝒔 = 𝟏 + 𝟎. 𝟐
𝑩
𝑳
𝒕𝒈 𝟐
𝟒𝟓 +
∅
𝟐
𝑭 𝒄𝒔 = 𝟏 + 𝟎. 𝟐
𝟑
𝟐
𝒕𝒈 𝟐
(𝟒𝟓 +
𝟐𝟓
𝟐
) = 1.739
𝑭 𝒒𝒔 = 𝑭 𝜸𝒔 = 𝟏 + 𝟎. 𝟏
𝑩
𝑳
𝒕𝒈 𝟐
𝟒𝟓 +
∅
𝟐
𝑭 𝒒𝒔 = 𝑭 𝜸𝒔 = 𝟏 + 𝟎. 𝟏
𝟑
𝟐
𝒕𝒈 𝟐
𝟒𝟓 +
𝟐𝟓
𝟐
= 𝟏. 𝟑69
“FACTORES DE CAPACIDAD DE CARGA,
FORMA, PROFUNDIDAD E INCLINACION DE
MEYERHOF ”
FACTORES DE PROFUNDIDAD
𝐹𝑐𝑑 = 1 + 0.2 ∗
𝐷𝑓
𝐵
∗ tan (45 +
∅
2
)
𝐹𝑞𝑑 = 𝐹𝛾𝑠
𝐹𝑐𝑑 = 1.157
𝐹𝑞𝑑 = 1 + 0.1 ∗
𝐷𝑓
𝐵
∗ tan (45 +
∅
2
)
𝐹𝑞𝑑 = 1.078
∅ ≥ 𝟏𝟎
FACTORES DE INCLINACION
𝐹𝑐𝑖 = 𝐹𝑞𝑖 = 𝐹𝑗𝑖 = 1
ECUACION GENERAL DE
CAPACIDAD DE CARGA
𝑞 = 1 17 + 0.5 19.5 − 9.81
= 21.85
𝐹𝑐𝑖 = 𝐹𝑞𝑖 = 1 −
𝐵
90
2
𝐹𝛾𝑖 = 1 −
𝐵
∅
2
“FACTORES DE CAPACIDAD DE CARGA,
FORMA, PROFUNDIDAD E INCLINACION DE
MEYERHOF ”
ECUACION GENERAL DE CAPACIDAD DE
CARGA
𝑞 𝑢 = 𝑐 ∗ 𝑁𝑐. 𝐹𝑐𝑆. 𝐹𝑐𝑑 . 𝐹𝑐𝑖 +𝑞. 𝑁𝑞. 𝐹𝑞𝑆. 𝐹𝑞𝑑. 𝐹𝑞𝑖 +
1
2
𝛾 𝐵. 𝑁𝛾. 𝐹𝛾𝑠. 𝐹𝛾𝑑. 𝐹𝛾𝑖
𝑞 𝑢 = 70 ∗ 20.72 ∗ 1.739∗ 1.157 + 21.85 ∗ 10.66 ∗ 1.369 ∗ 1.078 ∗ 1 +
1
2
∗
19.5 − 9.81 ∗ 3*6.77*1.369*1.078(1)
𝐪 𝐮 =3407.199 KN/𝒎 𝟐
Q admisible (neta)
“CAPACIDAD DE CARGA – CARGA
PERMISIBLE NETA”
𝑄𝑎𝑑𝑚 𝑛𝑒𝑡𝑎 =
3407.199−21.85
3
= 1128.450
EJERCICIO 8
EJERCICIO 9
GRUPO 2
• En la figura se muestra una cimentación excéntricamente cargada.
Use un FS de 4 y determine la carga máxima admisible que la
cimentación puede soportar.
CIMENTACIONES
• B’=B-2e
B’=1.5 – 2 *(0.15)
B’=1.2 m
• L’=1.5 m
CIMENTACIONES
De la tabla3.4 Factores de capacidadde carga, para  = 36°
Nq = 37.75
N = 56.31
Factores de forma Factores de profundidad
Condición(b): Df/B>1
Factores de inclinación
CIMENTACIONES
CIMENTACIONES
EJERCICIO 10
GRUPO 1
EJERCICIO 3.10
Para el diseño de una cimentación superficial se utilizan las
siguientes características.
Angulo de fricción φ=25°
Cohesión c=50kN/m2
Peso Específico γ=17kN/m3
Modulo de Elasticidad E=1020kN/m2
Relación de Poisson μ=0.35
Df=
1m
B=1
m
𝛾 = 17
∅ = 25°
𝑐 = 50
𝐿
= 1.5𝑚
FACTORES DE CARGA
Para φ=25
Nc=20.72
Nq=10.66
Ny=10.88
ECUACIÓN DE MEYERHOF
𝒒 𝑼 = 𝒄𝑵 𝑪 𝑭 𝒄𝒔 𝑭 𝒄𝒅 𝑭 𝒄𝒄 + 𝒒𝑵 𝒒 𝑭 𝒒𝒔 𝑭 𝒒𝒅 𝑭 𝒒𝒄 +
𝟏
𝟐
𝒚𝑩𝑵 𝒚 𝑭 𝒚𝒔 𝑭 𝒚𝒅 𝑭 𝒚𝒄
𝑰 𝒓 =
𝑬
𝟐 𝟏+𝝁 𝒄+𝒒𝒕𝒂𝒏𝝋
𝑠𝑖 𝒒 = 𝒚 𝑫 𝒇 +
𝑩
𝟐
= 17 1 +
1
2
=
25.5𝑘𝑁/𝑚
𝐼𝑟 =
1020
2 1+0.35 50+25.5 tan 25
= 6.10
𝑰 𝒓(𝒄𝒓) =
𝟏
𝟐
𝒆𝒙𝒑 𝟑. 𝟑 − 𝟎. 𝟒𝟓
𝑩
𝑳
𝐜𝐨𝐭 𝟒𝟓 −
𝝋
𝟐
𝐼𝑟(𝑐𝑟) =
1
2
𝑒𝑥𝑝 3.3 − 0.45
1
1.5
cot 45 −
25
2
= 55.47
FACTORES DE COMPRESIBILIDAD
𝒒 𝑼 = 𝒄𝑵 𝑪 𝑭 𝒄𝒔 𝑭 𝒄𝒅 𝑭 𝒄𝒄 + 𝒒𝑵 𝒒 𝑭 𝒒𝒔 𝑭 𝒒𝒅 𝑭 𝒒𝒄 +
𝟏
𝟐
𝒚𝑩𝑵 𝒚 𝑭 𝒚𝒔 𝑭 𝒚𝒅 𝑭 𝒚𝒄
𝑭 𝒚𝒄 = 𝑭 𝒒𝒄 = 𝒆𝒙𝒑 −𝟒. 𝟒 + 𝟎. 𝟔
𝑩
𝑳
𝐭𝐚𝐧 𝝋 +
𝟑.𝟎𝟕𝒔𝒆𝒏 𝝋 𝐥𝐨𝐠 𝟐𝑰 𝒓
𝟏+𝒔𝒆𝒏 𝝋
𝐹𝑦𝑐 = 𝐹𝑞𝑐 =
𝑒𝑥𝑝 −4.4 + 0.6
1
1.5
tan 25 +
3.07𝑠𝑒𝑛 25 log 2∗6.10
1+𝑠𝑒𝑛 25
= 0.417
𝑭 𝒄𝒄 = 𝑭 𝒒𝒄 −
𝟏−𝑭 𝒒𝒄
𝑵 𝒒 𝐭𝐚𝐧 𝝋
𝐹𝑐𝑐 = 0.417 −
1−0.417
10.66tan 25
= 0.300
FACTORES DE FORMA
𝑭 𝒄𝒔 = 𝟏 +
𝑩
𝑳
𝑵 𝒒
𝑵 𝒄
𝐹𝑐𝑠 = 1 +
1
1.5
10.66
20.72
𝐹𝑐𝑠 = 1.343
𝑭 𝒒𝒔 = 𝟏 +
𝑩
𝑳
𝒕𝒂𝒏 𝝋
𝐹𝑞𝑠 = 1 +
1
1.5
tan 25
𝐹𝑞𝑠 = 1.311
𝑭 𝜸𝒔 = 𝟏 −
𝟎. 𝟒
𝑩
𝑳
𝐹𝛾𝑠 = 1 −
0.4
1
1.5
𝐹𝛾𝑠 = 0.733
FACTORES DE PROFUNDIDAD
𝑭 𝒄𝒅 = 𝟏 + 𝟎. 𝟒
𝑫 𝒇
𝑩
𝐹𝑐𝑑 = 1 + 0.4
1
1
𝐹𝑐𝑑 = 1.400
𝑭 𝒒𝒅 =
𝟏 + 𝟐 𝒕𝒂𝒏 𝝋 𝟏 − 𝒔𝒊𝒏 𝝋 𝟐 𝑫 𝒇
𝑩
𝐹𝑞𝑑 =
1 + 2 tan 25 1 − sin 25 2 1
1
𝐹𝑞𝑑 = 1.311
𝑭 𝜸𝒅 = 𝟏
CARGA ULTIMA
𝒒 𝑼 = 𝒄𝑵 𝑪 𝑭 𝒄𝒔 𝑭 𝒄𝒅 𝑭 𝒄𝒄 + 𝒒𝑵 𝒒 𝑭 𝒒𝒔 𝑭 𝒒𝒅 𝑭 𝒒𝒄 +
𝟏
𝟐
𝒚𝑩𝑵 𝒚 𝑭 𝒚𝒔 𝑭 𝒚𝒅 𝑭 𝒚𝒄
𝑞 𝑢 =
50 20.72 1.343 1.400 0.300 +
25.5 10.66 1.311 1.311 0.417 +
1
2
17 1 10.88 0.733 1 0.417
𝒒 𝒖 = 𝟖𝟎𝟕. 𝟒𝟓𝟔
𝑲𝑵
𝒎 𝟐
GRUPO 2
EJERCICIO 11
En la figura, se muestra una cimentación cargada
excéntricamente. Determine la carga última 𝑸 𝒖 que la
cimentación puede soportar. Use los factores de capacidad de
carga, forma y profundidad de Meyerhof
SOLUCIÓN:
• Datos:
𝐵 = 5 𝑝𝑖𝑒𝑠, L= 6𝑝𝑖𝑒𝑠
𝑒 =
𝐵
2
− 2 =
5
2
− 2 = 0.5 𝑝𝑖𝑒𝑠
B’=B-2e=4 pies
L’=L=6
𝑄 𝑢𝑙𝑡 = 𝐵𝐿 𝑐´
𝑁𝑐(𝑒) 𝐹𝑐(𝑒) + 𝑞 𝑁𝑐(𝑒) 𝐹𝑐(𝑒) +
1
2
𝛾´
𝑁𝑐(𝑒) 𝐹𝑐(𝑒)
B’=
𝑨′
𝑳′
𝑄 𝑢𝑙𝑡 = 𝐴′𝑥 𝑄 𝑢
𝑄 𝑢 = 𝑐´
𝑁𝑐(𝑒) 𝐹𝑐(𝑒) + 𝑞 𝑁𝑐(𝑒) 𝐹𝑐(𝑒) +
1
2
𝛾´
𝑁𝑐(𝑒) 𝐹𝑐(𝑒)
𝑁𝑐(𝑒) = 20.72
𝑁 𝑞(𝑒) = 10.66
𝑁 𝛾(𝑒) = 6.77
𝑄 𝑢 = 𝐵𝐿 𝑐´
𝑁𝑐(𝑒) 𝐹𝑐(𝑒) + 𝑞 𝑁𝑐(𝑒) 𝐹𝑐(𝑒) +
1
2
𝛾´
𝑁𝑐(𝑒) 𝐹𝑐(𝑒)
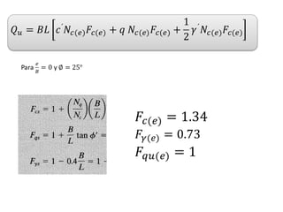
𝐹𝑐(𝑒) = 1.34
𝐹𝛾(𝑒) = 0.73
𝐹𝑞𝑢(𝑒) = 1
Para
𝑒
𝐵
= 0 y ∅ = 25°
𝑄 𝑢𝑙𝑡 = 4 6 400 16.8 1.34 + 321.2 12 1 +
1
2
118 − 62.4 5 6.77 0.73
= 214,626.67 𝐿𝑏
𝑄 𝑢𝑙𝑡 = 𝐵′𝐿′ 𝑐´
𝑁𝑐(𝑒) 𝐹𝑐(𝑒) + 𝑞 𝑁𝑐(𝑒) 𝐹𝑐(𝑒) +
1
2
𝛾´
𝑁𝑐(𝑒) 𝐹𝑐(𝑒)
𝑞 = 2 105 + (2)(118 − 62.4)=321.2 lb/pie2
EJERCICIO 12
GRUPO 1
Cimentaciones Cargadas Excéntricamente
1. En la figura se muestra una cimentación cargada
excéntricamente. Utilice un FS de 4 y determine la carga
máxima admisible que pueda soportar la cimentación.
Datos:
B = 1.5 m
L = 1.5 m
e = 0.1 m
Ɣ = 1.7KN/m3
C´ = 0
∅ ´= 32°
Df = 0.8
Solución:
1. De la cargaadmisible bruta:
Qadm = ?
𝑸 𝒂𝒅𝒎 = 𝒒 𝒂𝒅𝒎 𝒙 𝑩 𝟐
2. De la cargaadmisible:
𝒒 𝒂𝒅𝒎 =
𝒒𝒖´
𝑭𝑺
3. De Ecuación General de la Capacidad de Carga Ultima:
𝒒𝒖´ = 𝒄´. 𝑵𝒄. 𝑭𝒄𝒔. 𝑭𝒄𝒅. 𝑭𝒄𝒊 + 𝒒. 𝑵𝒒. 𝑭𝒒𝒔. 𝑭𝒒𝒅. 𝑭𝒒𝒊 +
𝟏
𝟐
𝜸𝑩´. 𝑵𝜸. 𝑭𝜸𝒔. 𝑭𝜸𝒅. 𝑭𝜸𝒊
4. Hallando los factores de Capacidad de carga de:
𝑁𝑞 = 23.18 𝑁𝛾 = 30. . 22 𝑁𝑐 = 35.49
5. Cálculo de la dimensiones efectivasde la cimentación:
𝐵´ = 𝐵 − 2𝑒 ⇒ 𝐵´ = 1.5 − 2 0.1 = 1.30𝑚.
𝐿´ = 𝐿 ⇒ 𝐿´ = 1.5 𝑚.
4. Calculo de factores de forma:
𝑭𝒒𝒔 = 𝟏 +
𝑩´
𝑳´
. 𝒕𝒈∅ 𝑭𝜸𝒔 = 𝟏 − 𝟎. 𝟒
𝑩´
𝑳´
𝐹𝑞𝑠 = 1 +
1.30
1.50
. 𝑡𝑔(32)
𝐹𝑞𝑠 = 1.54.
𝐹𝛾𝑠 = 1 − 0.4
1.30
1.50
𝐹𝛾𝑠 = 0.65
5. Calculo de factores de Profundidad :
* Por condición:
𝐷𝑓
𝐵
≤ 1
𝐹𝑞𝑑 = 1 + 2𝑡𝑔∅(1 − 𝑠𝑒𝑛∅)2
.
𝐷𝑓
𝐵
𝐹𝑞𝑑 = 1 + 2𝑡𝑔(32)(1 − 𝑠𝑒𝑛32)2
.
0.8
1.50
𝐹𝑞𝑑 =1.15
𝐹𝛾𝑑 =1
6. Calculo de factores de Inclinación :
𝐹𝑐𝑖 = 𝐹𝑞𝑖 = 𝐹𝛾𝑖 =1
𝒒𝒖´ = 𝒄´. 𝑵𝒄. 𝑭𝒄𝒔. 𝑭𝒄𝒅. 𝑭𝒄𝒊 + 𝒒. 𝑵𝒒. 𝑭𝒒𝒔. 𝑭𝒒𝒅. 𝑭𝒒𝒊 +
𝟏
𝟐
𝜸𝑩´. 𝑵𝜸. 𝑭𝜸𝒔. 𝑭𝜸𝒅. 𝑭𝜸𝒊
7. Reemplazando valores en:
𝑞𝑢´ = 𝑞. 𝑁𝑞. 𝐹𝑞𝑠. 𝐹𝑞𝑑. 𝐹𝑞𝑖 +
1
2
𝛾𝐵´. 𝑁𝛾. 𝐹𝛾𝑠. 𝐹𝛾𝑑. 𝐹𝛾𝑖
𝑞𝑢´ = 𝛾. 𝐷𝑓. 𝑁𝑞. 𝐹𝑞𝑠. 𝐹𝑞𝑑. 𝐹𝑞𝑖 +
1
2
𝛾𝐵´. 𝑁𝛾. 𝐹𝛾𝑠. 𝐹𝛾𝑑. 𝐹𝛾𝑖
𝑞𝑢´ = 17 0.80 23.18 1.54 1.15 1 +
1
2
17 1.30 30.22 0.65 (1)
𝑞𝑢´ = 775.36
𝐾𝑁
𝑚2
8. Reemplazando en la carga admisible:
𝑞 𝑎𝑑𝑚 =
𝑞𝑢´
𝐹𝑆
=
775.36
4
= 193.84 𝐾𝑁/𝑚2
9. De la cargaadmisible bruta:
𝑸 𝒂𝒅𝒎 = 𝒒 𝒂𝒅𝒎 𝒙 𝑩´𝒙 𝑳´
𝑄 𝑎𝑑𝑚 = 193.84 𝑥1.30𝑥1.50
𝑸 𝒂𝒅𝒎 = 𝟑𝟑𝟕. 𝟗𝟗 𝑲𝑵
GRUPO 2
En la figura se muestra una cimentación cargada
excéntricamente. Utilice un Fs de 4 y determine la
carga máxima permisible que puede soportar la
cimentación. Utilice el método del área efectiva de
Meyerhof.
B = 1.5m
e = 0.1
L´ = 1.5m
𝐵´ = 𝐵 − 2𝑒
B´ = 1.5 – 2 (0.1)
B´ = 1.30
DONDE:
𝒒 = 𝜸 ∗ 𝑫 𝒇
𝑞 = 17 0.8 = 13.6 𝑲𝑵/ 𝒎 𝟐
Ancho Efectivo = B´
𝑁𝑐 = 35.49
𝑁𝑞 = 23.18
𝑁𝛾 = 30.22
∅ = 32°
ECUACION PARA LA CAPACIDAD DE CARGA ULTIMA
0
FACTORES DE FORMA:
𝐹𝑞𝑠 = 1 +
1.30
1.50
tan 32°
𝑭 𝒒𝒔 = 𝟏.54
𝐹𝛾𝑠 = 1 − 0.4
1.30
1.50
𝑭 𝜸𝒔 = 𝟎. 𝟔𝟓
𝐷𝑓
𝐵
=
0.8
1.5
= 0.53 → 0.53 < 1
FACTORES DE PROFUNDIDAD:
𝐹𝑞𝑑 = 1 + 2tan 32° 1 − sin 32° 2
∗
0.8
1.5
𝐹𝑞𝑑 = 1.15
FACTORES DE INCLINACION:
𝐹𝑐𝑖 = 𝐹𝑞𝑖 = 1
0
𝐹𝛾𝑖 = 1
0
𝑞´ 𝑢 = 17 ∗ 0.8 ∗ 23.18 ∗ 1.54 ∗ 1.15 ∗ 1 + 0.5 ∗ 17 ∗ 1.30 ∗ 30.22 ∗ 0.65 ∗ 1 ∗ 1
𝑞´ 𝑢 = 558.30 + 217.06
𝒒´ 𝒖 = 𝟕𝟕𝟓. 𝟑𝟔 𝑲𝑵/ 𝒎 𝟐
𝑞 𝑎𝑑𝑚 =
775.36 𝐾𝑁/ 𝑚2
4
𝒒 𝒂𝒅𝒎 = 𝟏𝟗𝟑. 𝟖𝟒 𝑲𝑵/ 𝒎 𝟐
CARGA ADMISIBLE BRUTA:
𝑄 𝑎𝑑𝑚 = 𝑞 𝑎𝑑𝑚 ∗ 𝐵´ ∗ 𝐿
𝑄 𝑎𝑑𝑚 = 193.84 ∗ 1.30 ∗ 1.50
𝑸 𝒂𝒅𝒎 = 𝟑𝟕𝟕. 𝟗𝟖 𝑲𝑵
EJERCICIO 13
UNIVERSIDAD PRIVADA DE TACNA
En la fig. se muestra una zapata cuadrada. Use F.S=6, y determine el
tamaño de la zapata. Use los factores de capacidad de carga, forma y
profundidad dados en la sección 3.7.
W=3 K/pie 5
UNIVERSIDAD PRIVADA DE TACNA
FACTORES DE CARGA
FACTORES DE FORMA
FACTORES DE PROFUNDIDAD
W=3 K/pie 5
UNIVERSIDAD PRIVADA DE TACNA
e=
𝑀
𝑄
=
50000 𝑙𝑏−𝑝𝑖𝑒
100000 𝑙𝑏
= 0.5 𝑝𝑖𝑒
𝐵′ = 𝐵 − 2 0.5
L = 𝐵
* 𝐹𝑞𝑠 = 1 +
𝐵−2 0.5
𝐵
𝑡𝑎𝑛𝑔 30
𝐹𝑞𝑠 = 1 +
𝐵 − 1
3 𝐵1/2 1
* 𝐹𝑦𝑠 = 1 − 0.4
𝐵−2 0.5
𝐵
= 1 −
0.4(𝐵−1)
𝐵
UNIVERSIDAD PRIVADA DE TACNA
𝐹𝑞𝑑 = 1 + 2𝑡𝑔𝜙 1 − 𝑠𝑒𝑛𝜙
𝐷𝑓
𝐵
𝐹𝑞𝑑 = 1 + 2𝑡𝑔30 1 − 𝑠𝑒𝑛30 2 4
𝐵
𝐹𝑦𝑑 = 1
𝐹𝑞𝑖 = 1
𝐹𝑦𝑖 = 1
𝑞 = 10𝑥4 = 400 𝑙𝑏/𝑝𝑖𝑒2
⇒ 𝑆𝑖
𝐷𝑓
𝐵
< 1 ⇒
4
𝐵
< 1
4
6.387
< 1
0.626 < 1 Si cumple
UNIVERSIDAD PRIVADA DE TACNA
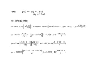
Para: 𝜙30 ⟹ 𝑁𝑞 = 18.40
𝑁𝑦 = 22.40
𝑞𝑢 = 400 18.40 1 +
𝐵 − 1
3𝐵
1 + 2𝑡𝑔30 1− 𝑠𝑒𝑛30 2 4
𝐵
1 +
1
2
(120 − 62,4)(𝐵 − 2(0.5)(22.4)(1−
0.4 𝐵 − 1
𝐵
)
𝑞𝑢 = 7560 1 +
𝐵 − 1
3𝐵
1 +
2
3
1 − 𝑠𝑒𝑛30 2 4
𝐵
+ 624.96(𝐵 − 1)(1−
0.4 𝐵 − 1
𝐵
)
𝑞𝑢 = 7560
3𝐵 + 𝐵 − 1
3𝐵
3𝐵 + 2
3𝐵
+ 624.96(𝐵 − 1)(
𝐵 − 0.4 𝐵 − 1
𝐵
)
𝑞𝑢 = 2453.33
(2.73𝐵 − 1)(1.73𝐵 + 2)
𝐵2 + 624.96(𝐵 − 1)(
0.6𝐵 − 0.4
𝐵
)
Por consiguiente:
UNIVERSIDAD PRIVADA DE TACNA
𝑞𝑎𝑑𝑚 =
𝑞𝑢
𝐹𝑠
10000
𝐵2 𝑥6 = 2453,33
2.73𝐵 − 1
𝐵2 173𝐵 + 2 + 624.96 𝐵 − 1
0.6𝐵 − 0.4
𝐵
𝐵 = 6.387 𝑝𝑖𝑒𝑠
Entonces:
𝐵 = 6.5 𝑝𝑖𝑒𝑠
EJERCICIOS LIBRES
EJERCICIO LIBRE 1:
En la figura se muestra una
cimentación cuadrada con
el=0.4m y eB=0.2m.
Supongamos excentricidad en
dos direcciones para
determinar nuestra carga
última. Qúlt
CIMENTACIÓNEXCÉNTRICA CARGADA
Hallar las dimensiones para que la zapata mostrada tenga un F.S.= 3,
según fórmula general.
Desarrollo:
EJERCICIO LIBRE 2:
Suponer Df ≤ B
sustituyendo:
además
luego :
B1= -12.86 B2= 3.0 m B3= -4.6
EJERCICIO LIBRE 3:
Una zapata cuadrada debe soportar una masa total
bruta admisible de 15 290 kg. La profundidad de la
cimentación es de 0.7m. la carga esta inclinada un
ángulo de 20° respecto a la vertical. Como se ve en la
figura. Determine el ancho B de la cimentación.
Usando la ecuación y un factor de seguridad de 3.
Zapata cuadrada de cimentación
SOLUCION:
Con c’= 0, la capacidad de carga ultima es
Una cimentación cuadrada mide en planta 1.5 m x 1.5 m (cuadrada). El suelo que la
soporta tiene un ángulo de fricción Ø = 19º y C = 15.2 kN/m2. El peso específico del
suelo es 17.8 kN/m3. Utilizando las ecuaciones de Terzaghi determine la carga
última, carga admisible y la carga bruta admisible sobre la cimentación con un factor
de seguridad (FS) de 3. Suponga que la profundidad (Df) de la cimentación es de 1m
y que ocurre falla por corte local y general en el suelo.
DATOS:
Cimentación cuadrada :1.5 m x 1.5 m (cuadrada)
Ø = 19º
C = 15.2 kN/m2.
El peso específico del suelo es 17.8 kN/m3.
FS = 3
Df = 1m
Ocurre falla por corte local y general en el suelo.
FALLA POR CORTE GENERAL
Carga última para cimentación cuadrada con falla general:
Carga admisible:
Carga bruta (fuerza) para la cimentación cuadrada será:
FACTORES DE
CAPACIDAD
DE CARGA
Ø = 19º
REEMPLAZANDO
VALORES
Carga última para cimentación cuadrada con falla general:
Carga admisible:
Carga bruta (fuerza) para la cimentación cuadrada será:
FALLA POR CORTE LOCAL
Carga última para cimentación cuadrada con falla general:
Carga admisible:
Carga bruta (fuerza) para la cimentación cuadrada será:
FACTORES DE
CAPACIDAD
DE CARGA
Ø = 19º
REEMPLAZANDO
VALORES
Carga última para cimentación cuadrada con falla general:
Carga admisible:
Carga bruta (fuerza) para la cimentación cuadrada será:
EJERCICIO LIBRE 5 :
EN LA FIGURA, SE MUESTRA UNA CIMENTACIÓNCUADRADA, CON eL=0.3
M Y eB=0.15M SUPONGA EXCENTRICIDAD EN DOS DIRECCIONES, Y
DETERMINELA CARGA ULTIMA Qult.
252714346 ejercicios-cap-3-cimentaciones
252714346 ejercicios-cap-3-cimentaciones

252714346 ejercicios-cap-3-cimentaciones

  • 1.
  • 2.
  • 3.
    Marco teórico • Pararealizar el trabajo encargado se usó el libro de “Fundamentos de Ingeniería para Cimentaciones”, empleando la Tabla 3.1 – Teoría de Capacidad de Carga de Terzaghi. En dicha tabla se especifican los factores de capacidad de carga que deben de adoptarse según el ángulo que tengamos para el diseño correspondiente de cimentación
  • 4.
    3. DISEÑO DECIMIENTOS CORRIDOS.- – Son elementos colocados en posición horizontal que tiene función estructural ya que recibe la carga de los muros y las transmite al suelo portante. Se recomienda que la profundidad del cimiento sea como mínimo de un metro. 1 2 3 Para uncimentación corrida,seda lossiguientesdatos: a. B = 4pies ; Dƒ = 3pies, γ= 110 lib/pie3; Ø= 25°; C’ = 600 lib/pie3 b. a. B = 3m ; Dƒ = 1m, γ= 17 kN/m3; Ø= 30°; C’ = 0 Nota.- - Carga bruta : ? - FS = 4 - Falla Corte General
  • 5.
  • 6.
  • 11.
  • 12.
    Ejercicio 2 Una zapatacuadrada tiene 2 m x 2 m en planta. Sea Suponiendo una falla por corte general en el suelo, use la ecuación general de Terzaghi y un factor de seguridad de 3 para determinar la carga vertical bruta admisible que la columna puede soportar .
  • 13.
    Ecuación generalde Terzaghi •la Capacidad de Carga Ultima para una zapata cuadrada
  • 15.
    Datos: De latabla 3.1, para = 63,53 = 47,16 = 54,36 De la ecuación 3.7: Entonces : qc= 1.3(0)(63.53) + 16.5(1.5)(47.16)+ 0.4(16.5)(2)(54,36) qc= 1167.21 + 717.552 qc=1884.762 KN/m2
  • 16.
    L a cargaadmisible por unidad de área de la cimentación: qadm = 1884.762 3 Factor de seguridad ( FS = 3) qadm =628.254 KN/m2 La carga admisible bruta es : Q = (628.254 KN/m2 ) x (B2) Q = (628.254 KN/m2 ) x (22) Q = 2513. 016 KN
  • 17.
  • 18.
    Ejercicio Encargado 3.3. Resolverel Problema 3.1 usando la Ecuación General de Capacidad de Carga y los Factores de capacidad de carga, forma y profundidad. 3.1 Para una cimentación corrida, se dan los siguientes datos: a) B = 4 pies, Df = 3 pies, ɣ = 110 lb/pie3, ǿ = 25°, c’ = 600 lb/pie2 b) B = 2 m, Df = 1 m, ɣ = 17 kN/m3, ǿ = 30°, c’ = 0
  • 19.
    SOLUCION: B = 4pies Ɣ = 110 lb/pie3 C´= 600 lb/pie2 ∅ ´= 25° Df = 3 pies 1. De la carga admisible bruta por unidad de Longitud Qadm Bruta= ? 𝑸 𝒂𝒅𝒎 = 𝒒 𝒂𝒅𝒎 𝒙 𝑩 2. De la carga admisible: 𝒒 𝒂𝒅𝒎 = 𝒒𝒖´ 𝑭𝑺 3. De Ecuación General de la Capacidad de Carga Ultima: 𝒒𝒖´ = 𝒄´. 𝑵𝒄. 𝑭𝒄𝒔. 𝑭𝒄𝒅. 𝑭𝒄𝒊 + 𝒒. 𝑵𝒒. 𝑭𝒒𝒔. 𝑭𝒒𝒅. 𝑭𝒒𝒊 + 𝟏 𝟐 𝜸𝑩´. 𝑵𝜸. 𝑭𝜸𝒔. 𝑭𝜸𝒅. 𝑭𝜸𝒊 a) Datos: FS = 4
  • 20.
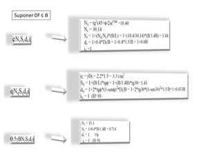
    4. Hallando losfactores de Capacidad de carga de: 𝑁𝑞 = 10.66 𝑁𝛾 = 10.88 𝑁𝑐 = 20.72 5. Cálculo del esfuerzo efectivo al nivel de desplante de la cimentación: 𝑞 = 𝐷𝑓 ∗ 𝛾 ⇒ 𝑞 = 3 ∗ 110 = 330 𝑙𝑏/𝑝𝑖𝑒2
  • 21.
    6. Factores deForma e Inclinación: Como es una cimentación corrida (B/L) = 0, los factores e inclinación valen 1 7. Calculo de factores de Profundidad: * Por condición: 𝐷𝑓 𝐵 ≤ 1 𝐹𝑞𝑑 = 1 + 2𝑡𝑔∅(1 − 𝑠𝑒𝑛∅)2 . 𝐷𝑓 𝐵 𝐹𝑞𝑑 = 1 + 2𝑡𝑔(25)(1 − 𝑠𝑒𝑛25)2. 3 4 𝑭𝒒𝒅 =1.23 𝑭𝜸𝒅 =1 𝐹𝑐𝑠 = 𝐹𝑞𝑠 = 𝐹𝛾𝑠 = 1 𝐹𝑐𝑖 = 𝐹𝑞𝑖 = 𝐹𝛾𝑖 = 1 𝐹𝑐𝑑 = 1 + 0.4 𝐷𝑓 𝐵 𝐹𝑐𝑑 = 1 + 0.4 3 4 𝑭𝒄𝒅 = 𝟏. 𝟑
  • 22.
    𝒒𝒖´ = 𝒄´.𝑵𝒄. 𝑭𝒄𝒔. 𝑭𝒄𝒅. 𝑭𝒄𝒊 + 𝒒. 𝑵𝒒. 𝑭𝒒𝒔. 𝑭𝒒𝒅. 𝑭𝒒𝒊 + 𝟏 𝟐 𝜸𝑩´. 𝑵𝜸. 𝑭𝜸𝒔. 𝑭𝜸𝒅. 𝑭𝜸𝒊 8. Reemplazando valores en: 𝑞𝑢´ = 600 20.72 1 1.3 1 + (330)(10.66)(1)(1.23)(1) + 1 2 110 4 10.88 1 (1)(1) 𝑞𝑢´ = 22882.09 𝑙𝑏 𝑝𝑖𝑒2 9. Reemplazando en la carga admisible: 𝑞 𝑎𝑑𝑚 = 𝑞𝑢´ 𝐹𝑆 = 22882.09 4 = 5720.52 𝑙𝑏 𝑝𝑖𝑒2 10. De la carga admisible bruta por unidad de longitud: 𝑸 𝒂𝒅𝒎 = 𝒒 𝒂𝒅𝒎 𝒙 𝑩 𝑄 𝑎𝑑𝑚 = 5720.52 ∗ 4 𝑸 𝒂𝒅𝒎 = 22882.09 𝑙𝑏 𝑝𝑖𝑒
  • 23.
    SOLUCION: B = 2m Ɣ = 17 kN/m3 C´= 0 ∅ ´= 30° Df = 1 m 1. De la carga admisible bruta por unidad de Longitud Qadm Bruta= ? 𝑸 𝒂𝒅𝒎 = 𝒒 𝒂𝒅𝒎 𝒙 𝑩 2. De la carga admisible: 𝒒 𝒂𝒅𝒎 = 𝒒𝒖´ 𝑭𝑺 3. De Ecuación General de la Capacidad de Carga Ultima: 𝒒𝒖´ = 𝒄´. 𝑵𝒄. 𝑭𝒄𝒔. 𝑭𝒄𝒅. 𝑭𝒄𝒊 + 𝒒. 𝑵𝒒. 𝑭𝒒𝒔. 𝑭𝒒𝒅. 𝑭𝒒𝒊 + 𝟏 𝟐 𝜸𝑩´. 𝑵𝜸. 𝑭𝜸𝒔. 𝑭𝜸𝒅. 𝑭𝜸𝒊 b) Datos: FS = 4
  • 24.
    4. Hallando losfactores de Capacidad de carga de: 𝑁𝑞 = 18.40 𝑁𝛾 = 22.40 𝑁𝑐 = 30.14 5. Cálculo del esfuerzo efectivo al nivel de desplante de la cimentación: 𝑞 = 𝐷𝑓 ∗ 𝛾 ⇒ 𝑞 = 1 ∗ 17 = 17 𝑘𝑁/𝑚2
  • 25.
    6. Factores deForma e Inclinación: Como es una cimentación corrida (B/L) = 0, los factores e inclinación valen 1 7. Calculo de factores de Profundidad: * Por condición: 𝐷𝑓 𝐵 ≤ 1 𝐹𝑞𝑑 = 1 + 2𝑡𝑔∅(1 − 𝑠𝑒𝑛∅)2 . 𝐷𝑓 𝐵 𝐹𝑞𝑑 = 1 + 2𝑡𝑔(30)(1 − 𝑠𝑒𝑛30)2. 1 2 𝑭𝒒𝒅 =1.144 𝑭𝜸𝒅 =1 𝐹𝑐𝑠 = 𝐹𝑞𝑠 = 𝐹𝛾𝑠 = 1 𝐹𝑐𝑖 = 𝐹𝑞𝑖 = 𝐹𝛾𝑖 = 1
  • 26.
    𝒒𝒖´ = 𝒄´.𝑵𝒄. 𝑭𝒄𝒔. 𝑭𝒄𝒅. 𝑭𝒄𝒊 + 𝒒. 𝑵𝒒. 𝑭𝒒𝒔. 𝑭𝒒𝒅. 𝑭𝒒𝒊 + 𝟏 𝟐 𝜸𝑩´. 𝑵𝜸. 𝑭𝜸𝒔. 𝑭𝜸𝒅. 𝑭𝜸𝒊 8. Reemplazando valores en: 𝑞𝑢´ = (17)(18.40)(1)(1.144)(1) + 1 2 17 2 22.40 1 (1)(1) 𝑞𝑢´ = 738.64 𝑘𝑁 𝑚2 9. Reemplazando en la carga admisible: 𝑞 𝑎𝑑𝑚 = 𝑞𝑢´ 𝐹𝑆 = 738.64 4 = 184.66 𝑘𝑁 𝑚2 10. De la carga admisible bruta por unidad de longitud: 𝑸 𝒂𝒅𝒎 = 𝒒 𝒂𝒅𝒎 𝒙 𝑩 𝑄 𝑎𝑑𝑚 = 184.66 ∗ 2 𝑸 𝒂𝒅𝒎 = 369.32 𝑘𝑁 𝑚 𝒒𝒖´ = 𝒒. 𝑵𝒒. 𝑭𝒒𝒔. 𝑭𝒒𝒅. 𝑭𝒒𝒊 + 𝟏 𝟐 𝜸𝑩´. 𝑵𝜸. 𝑭𝜸𝒔. 𝑭𝜸𝒅. 𝑭𝜸𝒊
  • 27.
  • 28.
  • 29.
    2m 𝐷𝑓 = 1.5𝑚 𝛾= 16.5𝐾𝑁 𝑚3 ∅ = 36° 𝐶 = 0 𝐹𝑆 = 3 EJERCICIO 3.4: Resuelva problema 3.2 usando la ecuación(3.21) y los factores de capacidad de carga, forma y profundidad dados en la sección 3.7 3.2. una zapata cuadrada tiene 2x2m en planta. Suponiendo una falla por corte general en el suelo, use la ecuación de Terzaghi y un factor de seguridad 3 para determinar la carga vertical bruta admisible que la columna puede soportar. 2m
  • 30.
  • 32.
    Ecuación(3.21) 𝑞 𝑢 =𝑞𝑁𝑞 𝐹𝑞𝑠 𝐹𝑞𝑑 𝐹𝑞𝑖 + 1 2 𝛾𝐵𝑁𝛾 𝐹𝛾𝑠 𝐹𝛾𝑑 𝐹𝛾𝑖 𝑁𝑐 = 50.59 𝑁𝑞 = 37.75 𝑁𝛾 = 56.31 𝐹𝑞𝑑 = 1 + 2𝑡𝑔 36 ∗ 1 − 𝑠𝑒𝑛 36 2 1.5 2 = 1.185 𝐹𝑞𝑠 = 1 + 2 2 𝑡𝑔 36 = 1.72 𝐹𝛾𝑠 = 1 − 0.4 2 2 = 0.6 𝐹𝛾𝑑 = 1 𝐹𝑞𝑖 = (1 − 𝐵° 90 )2= 0 𝐹𝛾𝑖 = (1 − 𝐵° 36 )2= 1 𝑞 = 𝛾 × 𝐷𝑓 = 16.5 × 1.5 = 24.75𝐾𝑁/𝑚2
  • 33.
    𝑞 𝑢 =24.75(50.59)(1.185)(1) + 1 2 (16.5)(2)(56.3)(0.6)(1)(1) Reemplazando datos: 𝑞 𝑢 = 2041.2105 𝑄 𝑎𝑡𝑚 = 2041.2105 3 𝑄 𝑎𝑡𝑚 = 680.403𝐾𝑁/𝑚2 𝑄𝑎𝑑𝑚 − total = 680.403 × 𝐵2 = 2721.612 KN/𝑚2
  • 34.
  • 35.
  • 36.
    Solucion: C`=0 ; Lacapacidadde carga ultima queda: 𝑞𝑢 = 𝑞𝑁𝑞 ∗ 𝐹𝑞𝑠 ∗ 𝐹𝑞𝑑 ∗ 𝐹𝑞𝑖 + 1 2 𝛾 ∗ 𝐵 ∗ 𝑁𝛾 ∗ 𝐹𝛾𝑠 ∗ 𝐹𝛾𝑑 ∗ 𝐹𝛾𝐼 𝐹𝑞𝑠 = 1 + 𝐵 𝐿 tan∅ = 1 + 0.727 = 1.727 𝛾 = 16.5 𝐾𝑁/𝑚2 De la tabla3.4: ∅ = 36° 𝑁𝑞 = 37.75 𝑁𝑦 = 56.31 𝑞 = 1.5 16.5 𝐾𝑁/𝑚2 𝐹𝛾𝑠 = 1 − 0.4 𝐵 𝐿 = 1 − 0.4 = 0.6 𝐹q𝑑 = 1 + 2 tan∅ 1 − sin∅ 2 𝐷𝑓 𝐵 = 1 + 0.185 = 1.185 𝐹𝛾𝑑 = 1 𝐹g𝑖 = 1 − 𝐵° 90° = 1 − 0 90 = 1 𝐹g𝑖 = 1 − 𝐵° ∅ = 1 − 0 36 = 1
  • 37.
    𝑞𝑢 = 𝑞𝑁𝑞∗ 𝐹𝑞𝑠 ∗ 𝐹𝑞𝑑 ∗ 𝐹𝑞𝑖 + 1 2 𝛾 ∗ 𝐵 ∗ 𝑁𝛾 ∗ 𝐹𝛾𝑠 ∗ 𝐹𝛾𝑑 ∗ 𝐹𝛾𝐼 𝑞𝑎𝑑𝑚𝑖 = 𝑞𝑢 3 = 823.178𝐾𝑁/𝑚2 𝑞𝑢 = 24.75 37.75 1.727 1.185 1 + (0.5)(16.5)(2)(56.31)(0.6)(1)(1) 𝑞𝑢 = 1912.066 + 557.469 𝑞𝑢 = 2469.5335 𝐾𝑁/𝑚2 𝑞𝑎𝑑𝑚𝑖 𝑡𝑜𝑡𝑎𝑙 = 𝑞𝑎𝑑𝑚 ∗ 𝐵2 𝑞𝑎𝑑𝑚𝑖 𝑡𝑜𝑡𝑎𝑙 = 823.178 ∗ 22 𝑞𝑎𝑑𝑚𝑖 𝑡𝑜𝑡𝑎𝑙 = 3292.712𝐾𝑁
  • 38.
  • 45.
  • 46.
  • 47.
  • 48.
    3.7 Resuelva elproblema 3.6 usando la ecuación (3.21) y los factores de capacidad de carga, forma y profundidad de Meyerhof . Use F.S. = 3
  • 50.
    FACTORES DE CAPACIDADDE CARGA 𝑁𝑞 = 𝑡𝑔2 45+ 25 2 𝑒 𝜋.𝑡𝑔25 𝑁𝑞 = 10.6621 𝑁𝑐 = 10.66 − 1 𝑐𝑡𝑔25 𝑁𝑐 = 20.72 𝑁𝑞 = 𝑡𝑔2 45 + ∅ 2 𝑒 𝜋.𝑡𝑔∅ 𝑁𝑐 = 𝑁𝑞 − 1 𝑐𝑡𝑔∅ 𝑁𝛾 = 𝑁𝑞 − 1 𝑡𝑔(1.4∅) 𝑁𝛾 = 𝑁𝑞 − 1 𝑡𝑔(1.4∅) 𝑁𝛾 = 6.765
  • 51.
    FACTORES DE FORMA 𝐹𝑐𝑠= 1 + 0.2 𝐵 𝐿 𝑡𝑔2 45 + ∅ 2 𝐹𝑞𝑠 = 𝐹𝛾𝑠 = 1 + 0.1 𝐵 𝐿 𝑡𝑔2 45 + ∅ 2 𝐹𝑐𝑠 = 1 + 0.2 3 2 𝑡𝑔2 45 + 25 2 𝐹𝑞𝑠 = 𝐹𝛾𝑠 = 1 + 0.1 3 2 𝑡𝑔2 45 + 25 2 𝐹𝑐𝑠 = 1.739 𝐹𝑞𝑠 = 𝐹𝛾𝑠 = 1.369
  • 52.
    FACTORES DE PROFUNDIDAD 𝐹𝑐𝑑= 1 + 0.2 𝐷𝑓 𝐵 𝑡𝑔 45 + ∅ 2 𝐹𝑞𝑑 = 𝐹𝛾𝑑 = 1 + 0.1 𝐷𝑓 𝐵 𝑡𝑔 45 + ∅ 2 𝐹𝑐𝑑 = 1 + 0.2 1.5 3 𝑡𝑔 45 + 25 2 𝐹𝑞𝑑 = 𝐹𝛾𝑑 = 1 + 0.1 1.5 3 𝑡𝑔 45 + 25 2 𝐹𝑐𝑑 = 1.157 𝐹𝑞𝑑 = 𝐹𝛾𝑑 = 1.078
  • 53.
    FACTORES DE INCLINACION 𝐹𝑐𝑖= 𝐹𝑞𝑖 = 1 − 𝛽0 900 2 𝐹𝛾𝑖 = 1 − 𝛽 ∅ 2 𝐹𝑐𝑖 = 𝐹𝑞𝑖 = 1 𝐹𝛾𝑖 = 1
  • 54.
    ECUACION GENERAL DECAPACIDAD DE CARGA 𝑞 𝑢 = 𝑐′ 𝑁𝑐 𝐹𝑐𝑠 𝐹𝑐𝑑 𝐹𝑐𝑖 + 𝑞𝑁 𝑞 𝐹𝑞𝑠 𝐹𝑞𝑑 𝐹𝑞𝑖 + 1 2 𝛾𝐵𝑁 𝛾 𝐹𝛾𝑠 𝐹𝛾𝑠 𝐹𝛾𝑖
  • 55.
    𝑞 𝑢 =𝑐′ 𝑁𝑐 𝐹𝑐𝑠 𝐹𝑐𝑑 𝐹𝑐𝑖 + 𝑞𝑁𝑞 𝐹𝑞𝑠 𝐹𝑞𝑑 𝐹𝑞𝑖 + 1 2 𝛾𝐵𝑁𝛾 𝐹𝛾𝑠 𝐹𝛾𝑑 𝐹𝛾𝑖 𝑞 𝑢 = 70 ∗ 20.72∗ 1.739 ∗ 1.157∗ 1 + 21.845∗ 10.66 ∗ 1.369∗ 1.078 ∗ 1 + 1 2 ∗ (19.5 − 9.81) ∗ 3 ∗ 6.77∗ 1.369 ∗ 1.078∗ 1 𝑞 𝑢 = 3407.199 𝐾𝑁 𝑚2 𝑞 = 1 17 + 0.5 19.5 − 9.81 𝑞 = 21.845 𝐾𝑁 𝑚2 𝑞 𝑎𝑑𝑚(𝑛𝑒𝑡𝑎) = 𝑞 𝑢 − 𝑞 𝐹. 𝑆. 𝑞 𝑎𝑑𝑚(𝑛𝑒𝑡𝑎 ) = 3407.199 − 21.845 3 𝑞 𝑎𝑑𝑚(𝑛𝑒𝑡𝑎) = 1128.45 𝐾𝑁 𝑚2
  • 56.
  • 57.
    “ecuación general decapacidad de carga” DATOS: B= 3m L= 2m Df= 1.5
  • 58.
    “Ecuación general decapacidad de carga”
  • 59.
    “FACTORES DE CAPACIDADDE CARGA, FORMA, PROFUNDIDAD E INCLINACION DE MEYERHOF ”
  • 60.
    “FACTORES DE CAPACIDADDE CARGA, FORMA, PROFUNDIDAD E INCLINACION DE MEYERHOF ”
  • 61.
    “FACTORES DE CAPACIDADDE CARGA, FORMA, PROFUNDIDAD E INCLINACION DE MEYERHOF ” Resolviendo el ejercicio: 1)Factores de capacidad de carga: ∅ = 25° -----> 𝑵 𝑪 = 𝑵 𝒒 − 𝟏 𝒄𝒕𝒈∅ = 20.72 𝑵 𝒒 = 𝒕𝒈 𝟐 𝟒𝟓 + ∅ 𝟐 𝜺 𝝅𝒕𝒈∅ = 𝟏𝟎. 𝟔𝟔 𝑵 𝜸 = 𝑵 𝒒 − 𝟏 𝒕𝒈 𝟏. 𝟒∅ = 𝟔. 𝟕𝟕
  • 62.
    “FACTORES DE CAPACIDADDE CARGA, FORMA, PROFUNDIDAD E INCLINACION DE MEYERHOF ”
  • 63.
    “FACTORES DE CAPACIDADDE CARGA, FORMA, PROFUNDIDAD E INCLINACION DE MEYERHOF ” 2) Factores de forma: ∅ = 25° -----> 𝑭 𝒄𝒔 = 𝟏 + 𝟎. 𝟐 𝑩 𝑳 𝒕𝒈 𝟐 𝟒𝟓 + ∅ 𝟐 𝑭 𝒄𝒔 = 𝟏 + 𝟎. 𝟐 𝟑 𝟐 𝒕𝒈 𝟐 (𝟒𝟓 + 𝟐𝟓 𝟐 ) = 1.739 𝑭 𝒒𝒔 = 𝑭 𝜸𝒔 = 𝟏 + 𝟎. 𝟏 𝑩 𝑳 𝒕𝒈 𝟐 𝟒𝟓 + ∅ 𝟐 𝑭 𝒒𝒔 = 𝑭 𝜸𝒔 = 𝟏 + 𝟎. 𝟏 𝟑 𝟐 𝒕𝒈 𝟐 𝟒𝟓 + 𝟐𝟓 𝟐 = 𝟏. 𝟑69
  • 64.
    “FACTORES DE CAPACIDADDE CARGA, FORMA, PROFUNDIDAD E INCLINACION DE MEYERHOF ” FACTORES DE PROFUNDIDAD 𝐹𝑐𝑑 = 1 + 0.2 ∗ 𝐷𝑓 𝐵 ∗ tan (45 + ∅ 2 ) 𝐹𝑞𝑑 = 𝐹𝛾𝑠 𝐹𝑐𝑑 = 1.157 𝐹𝑞𝑑 = 1 + 0.1 ∗ 𝐷𝑓 𝐵 ∗ tan (45 + ∅ 2 ) 𝐹𝑞𝑑 = 1.078 ∅ ≥ 𝟏𝟎
  • 65.
    FACTORES DE INCLINACION 𝐹𝑐𝑖= 𝐹𝑞𝑖 = 𝐹𝑗𝑖 = 1 ECUACION GENERAL DE CAPACIDAD DE CARGA 𝑞 = 1 17 + 0.5 19.5 − 9.81 = 21.85 𝐹𝑐𝑖 = 𝐹𝑞𝑖 = 1 − 𝐵 90 2 𝐹𝛾𝑖 = 1 − 𝐵 ∅ 2 “FACTORES DE CAPACIDAD DE CARGA, FORMA, PROFUNDIDAD E INCLINACION DE MEYERHOF ”
  • 66.
    ECUACION GENERAL DECAPACIDAD DE CARGA 𝑞 𝑢 = 𝑐 ∗ 𝑁𝑐. 𝐹𝑐𝑆. 𝐹𝑐𝑑 . 𝐹𝑐𝑖 +𝑞. 𝑁𝑞. 𝐹𝑞𝑆. 𝐹𝑞𝑑. 𝐹𝑞𝑖 + 1 2 𝛾 𝐵. 𝑁𝛾. 𝐹𝛾𝑠. 𝐹𝛾𝑑. 𝐹𝛾𝑖 𝑞 𝑢 = 70 ∗ 20.72 ∗ 1.739∗ 1.157 + 21.85 ∗ 10.66 ∗ 1.369 ∗ 1.078 ∗ 1 + 1 2 ∗ 19.5 − 9.81 ∗ 3*6.77*1.369*1.078(1) 𝐪 𝐮 =3407.199 KN/𝒎 𝟐 Q admisible (neta) “CAPACIDAD DE CARGA – CARGA PERMISIBLE NETA” 𝑄𝑎𝑑𝑚 𝑛𝑒𝑡𝑎 = 3407.199−21.85 3 = 1128.450
  • 67.
  • 68.
  • 69.
  • 70.
    • En lafigura se muestra una cimentación excéntricamente cargada. Use un FS de 4 y determine la carga máxima admisible que la cimentación puede soportar. CIMENTACIONES
  • 71.
    • B’=B-2e B’=1.5 –2 *(0.15) B’=1.2 m • L’=1.5 m CIMENTACIONES De la tabla3.4 Factores de capacidadde carga, para  = 36° Nq = 37.75 N = 56.31
  • 72.
    Factores de formaFactores de profundidad Condición(b): Df/B>1 Factores de inclinación CIMENTACIONES
  • 73.
  • 74.
  • 75.
  • 76.
    EJERCICIO 3.10 Para eldiseño de una cimentación superficial se utilizan las siguientes características. Angulo de fricción φ=25° Cohesión c=50kN/m2 Peso Específico γ=17kN/m3 Modulo de Elasticidad E=1020kN/m2 Relación de Poisson μ=0.35 Df= 1m B=1 m 𝛾 = 17 ∅ = 25° 𝑐 = 50 𝐿 = 1.5𝑚
  • 77.
    FACTORES DE CARGA Paraφ=25 Nc=20.72 Nq=10.66 Ny=10.88
  • 78.
    ECUACIÓN DE MEYERHOF 𝒒𝑼 = 𝒄𝑵 𝑪 𝑭 𝒄𝒔 𝑭 𝒄𝒅 𝑭 𝒄𝒄 + 𝒒𝑵 𝒒 𝑭 𝒒𝒔 𝑭 𝒒𝒅 𝑭 𝒒𝒄 + 𝟏 𝟐 𝒚𝑩𝑵 𝒚 𝑭 𝒚𝒔 𝑭 𝒚𝒅 𝑭 𝒚𝒄 𝑰 𝒓 = 𝑬 𝟐 𝟏+𝝁 𝒄+𝒒𝒕𝒂𝒏𝝋 𝑠𝑖 𝒒 = 𝒚 𝑫 𝒇 + 𝑩 𝟐 = 17 1 + 1 2 = 25.5𝑘𝑁/𝑚 𝐼𝑟 = 1020 2 1+0.35 50+25.5 tan 25 = 6.10 𝑰 𝒓(𝒄𝒓) = 𝟏 𝟐 𝒆𝒙𝒑 𝟑. 𝟑 − 𝟎. 𝟒𝟓 𝑩 𝑳 𝐜𝐨𝐭 𝟒𝟓 − 𝝋 𝟐 𝐼𝑟(𝑐𝑟) = 1 2 𝑒𝑥𝑝 3.3 − 0.45 1 1.5 cot 45 − 25 2 = 55.47
  • 79.
    FACTORES DE COMPRESIBILIDAD 𝒒𝑼 = 𝒄𝑵 𝑪 𝑭 𝒄𝒔 𝑭 𝒄𝒅 𝑭 𝒄𝒄 + 𝒒𝑵 𝒒 𝑭 𝒒𝒔 𝑭 𝒒𝒅 𝑭 𝒒𝒄 + 𝟏 𝟐 𝒚𝑩𝑵 𝒚 𝑭 𝒚𝒔 𝑭 𝒚𝒅 𝑭 𝒚𝒄 𝑭 𝒚𝒄 = 𝑭 𝒒𝒄 = 𝒆𝒙𝒑 −𝟒. 𝟒 + 𝟎. 𝟔 𝑩 𝑳 𝐭𝐚𝐧 𝝋 + 𝟑.𝟎𝟕𝒔𝒆𝒏 𝝋 𝐥𝐨𝐠 𝟐𝑰 𝒓 𝟏+𝒔𝒆𝒏 𝝋 𝐹𝑦𝑐 = 𝐹𝑞𝑐 = 𝑒𝑥𝑝 −4.4 + 0.6 1 1.5 tan 25 + 3.07𝑠𝑒𝑛 25 log 2∗6.10 1+𝑠𝑒𝑛 25 = 0.417 𝑭 𝒄𝒄 = 𝑭 𝒒𝒄 − 𝟏−𝑭 𝒒𝒄 𝑵 𝒒 𝐭𝐚𝐧 𝝋 𝐹𝑐𝑐 = 0.417 − 1−0.417 10.66tan 25 = 0.300
  • 80.
    FACTORES DE FORMA 𝑭𝒄𝒔 = 𝟏 + 𝑩 𝑳 𝑵 𝒒 𝑵 𝒄 𝐹𝑐𝑠 = 1 + 1 1.5 10.66 20.72 𝐹𝑐𝑠 = 1.343 𝑭 𝒒𝒔 = 𝟏 + 𝑩 𝑳 𝒕𝒂𝒏 𝝋 𝐹𝑞𝑠 = 1 + 1 1.5 tan 25 𝐹𝑞𝑠 = 1.311 𝑭 𝜸𝒔 = 𝟏 − 𝟎. 𝟒 𝑩 𝑳 𝐹𝛾𝑠 = 1 − 0.4 1 1.5 𝐹𝛾𝑠 = 0.733
  • 81.
    FACTORES DE PROFUNDIDAD 𝑭𝒄𝒅 = 𝟏 + 𝟎. 𝟒 𝑫 𝒇 𝑩 𝐹𝑐𝑑 = 1 + 0.4 1 1 𝐹𝑐𝑑 = 1.400 𝑭 𝒒𝒅 = 𝟏 + 𝟐 𝒕𝒂𝒏 𝝋 𝟏 − 𝒔𝒊𝒏 𝝋 𝟐 𝑫 𝒇 𝑩 𝐹𝑞𝑑 = 1 + 2 tan 25 1 − sin 25 2 1 1 𝐹𝑞𝑑 = 1.311 𝑭 𝜸𝒅 = 𝟏
  • 82.
    CARGA ULTIMA 𝒒 𝑼= 𝒄𝑵 𝑪 𝑭 𝒄𝒔 𝑭 𝒄𝒅 𝑭 𝒄𝒄 + 𝒒𝑵 𝒒 𝑭 𝒒𝒔 𝑭 𝒒𝒅 𝑭 𝒒𝒄 + 𝟏 𝟐 𝒚𝑩𝑵 𝒚 𝑭 𝒚𝒔 𝑭 𝒚𝒅 𝑭 𝒚𝒄 𝑞 𝑢 = 50 20.72 1.343 1.400 0.300 + 25.5 10.66 1.311 1.311 0.417 + 1 2 17 1 10.88 0.733 1 0.417 𝒒 𝒖 = 𝟖𝟎𝟕. 𝟒𝟓𝟔 𝑲𝑵 𝒎 𝟐
  • 83.
  • 90.
  • 91.
    En la figura,se muestra una cimentación cargada excéntricamente. Determine la carga última 𝑸 𝒖 que la cimentación puede soportar. Use los factores de capacidad de carga, forma y profundidad de Meyerhof
  • 92.
    SOLUCIÓN: • Datos: 𝐵 =5 𝑝𝑖𝑒𝑠, L= 6𝑝𝑖𝑒𝑠 𝑒 = 𝐵 2 − 2 = 5 2 − 2 = 0.5 𝑝𝑖𝑒𝑠 B’=B-2e=4 pies L’=L=6
  • 93.
    𝑄 𝑢𝑙𝑡 =𝐵𝐿 𝑐´ 𝑁𝑐(𝑒) 𝐹𝑐(𝑒) + 𝑞 𝑁𝑐(𝑒) 𝐹𝑐(𝑒) + 1 2 𝛾´ 𝑁𝑐(𝑒) 𝐹𝑐(𝑒) B’= 𝑨′ 𝑳′ 𝑄 𝑢𝑙𝑡 = 𝐴′𝑥 𝑄 𝑢 𝑄 𝑢 = 𝑐´ 𝑁𝑐(𝑒) 𝐹𝑐(𝑒) + 𝑞 𝑁𝑐(𝑒) 𝐹𝑐(𝑒) + 1 2 𝛾´ 𝑁𝑐(𝑒) 𝐹𝑐(𝑒)
  • 94.
    𝑁𝑐(𝑒) = 20.72 𝑁𝑞(𝑒) = 10.66 𝑁 𝛾(𝑒) = 6.77
  • 95.
    𝑄 𝑢 =𝐵𝐿 𝑐´ 𝑁𝑐(𝑒) 𝐹𝑐(𝑒) + 𝑞 𝑁𝑐(𝑒) 𝐹𝑐(𝑒) + 1 2 𝛾´ 𝑁𝑐(𝑒) 𝐹𝑐(𝑒) 𝐹𝑐(𝑒) = 1.34 𝐹𝛾(𝑒) = 0.73 𝐹𝑞𝑢(𝑒) = 1 Para 𝑒 𝐵 = 0 y ∅ = 25°
  • 96.
    𝑄 𝑢𝑙𝑡 =4 6 400 16.8 1.34 + 321.2 12 1 + 1 2 118 − 62.4 5 6.77 0.73 = 214,626.67 𝐿𝑏 𝑄 𝑢𝑙𝑡 = 𝐵′𝐿′ 𝑐´ 𝑁𝑐(𝑒) 𝐹𝑐(𝑒) + 𝑞 𝑁𝑐(𝑒) 𝐹𝑐(𝑒) + 1 2 𝛾´ 𝑁𝑐(𝑒) 𝐹𝑐(𝑒) 𝑞 = 2 105 + (2)(118 − 62.4)=321.2 lb/pie2
  • 97.
  • 98.
  • 99.
    Cimentaciones Cargadas Excéntricamente 1.En la figura se muestra una cimentación cargada excéntricamente. Utilice un FS de 4 y determine la carga máxima admisible que pueda soportar la cimentación.
  • 100.
    Datos: B = 1.5m L = 1.5 m e = 0.1 m Ɣ = 1.7KN/m3 C´ = 0 ∅ ´= 32° Df = 0.8 Solución: 1. De la cargaadmisible bruta: Qadm = ? 𝑸 𝒂𝒅𝒎 = 𝒒 𝒂𝒅𝒎 𝒙 𝑩 𝟐 2. De la cargaadmisible: 𝒒 𝒂𝒅𝒎 = 𝒒𝒖´ 𝑭𝑺 3. De Ecuación General de la Capacidad de Carga Ultima: 𝒒𝒖´ = 𝒄´. 𝑵𝒄. 𝑭𝒄𝒔. 𝑭𝒄𝒅. 𝑭𝒄𝒊 + 𝒒. 𝑵𝒒. 𝑭𝒒𝒔. 𝑭𝒒𝒅. 𝑭𝒒𝒊 + 𝟏 𝟐 𝜸𝑩´. 𝑵𝜸. 𝑭𝜸𝒔. 𝑭𝜸𝒅. 𝑭𝜸𝒊
  • 101.
    4. Hallando losfactores de Capacidad de carga de: 𝑁𝑞 = 23.18 𝑁𝛾 = 30. . 22 𝑁𝑐 = 35.49 5. Cálculo de la dimensiones efectivasde la cimentación: 𝐵´ = 𝐵 − 2𝑒 ⇒ 𝐵´ = 1.5 − 2 0.1 = 1.30𝑚. 𝐿´ = 𝐿 ⇒ 𝐿´ = 1.5 𝑚.
  • 102.
    4. Calculo defactores de forma: 𝑭𝒒𝒔 = 𝟏 + 𝑩´ 𝑳´ . 𝒕𝒈∅ 𝑭𝜸𝒔 = 𝟏 − 𝟎. 𝟒 𝑩´ 𝑳´ 𝐹𝑞𝑠 = 1 + 1.30 1.50 . 𝑡𝑔(32) 𝐹𝑞𝑠 = 1.54. 𝐹𝛾𝑠 = 1 − 0.4 1.30 1.50 𝐹𝛾𝑠 = 0.65 5. Calculo de factores de Profundidad : * Por condición: 𝐷𝑓 𝐵 ≤ 1 𝐹𝑞𝑑 = 1 + 2𝑡𝑔∅(1 − 𝑠𝑒𝑛∅)2 . 𝐷𝑓 𝐵 𝐹𝑞𝑑 = 1 + 2𝑡𝑔(32)(1 − 𝑠𝑒𝑛32)2 . 0.8 1.50 𝐹𝑞𝑑 =1.15 𝐹𝛾𝑑 =1 6. Calculo de factores de Inclinación : 𝐹𝑐𝑖 = 𝐹𝑞𝑖 = 𝐹𝛾𝑖 =1
  • 103.
    𝒒𝒖´ = 𝒄´.𝑵𝒄. 𝑭𝒄𝒔. 𝑭𝒄𝒅. 𝑭𝒄𝒊 + 𝒒. 𝑵𝒒. 𝑭𝒒𝒔. 𝑭𝒒𝒅. 𝑭𝒒𝒊 + 𝟏 𝟐 𝜸𝑩´. 𝑵𝜸. 𝑭𝜸𝒔. 𝑭𝜸𝒅. 𝑭𝜸𝒊 7. Reemplazando valores en: 𝑞𝑢´ = 𝑞. 𝑁𝑞. 𝐹𝑞𝑠. 𝐹𝑞𝑑. 𝐹𝑞𝑖 + 1 2 𝛾𝐵´. 𝑁𝛾. 𝐹𝛾𝑠. 𝐹𝛾𝑑. 𝐹𝛾𝑖 𝑞𝑢´ = 𝛾. 𝐷𝑓. 𝑁𝑞. 𝐹𝑞𝑠. 𝐹𝑞𝑑. 𝐹𝑞𝑖 + 1 2 𝛾𝐵´. 𝑁𝛾. 𝐹𝛾𝑠. 𝐹𝛾𝑑. 𝐹𝛾𝑖 𝑞𝑢´ = 17 0.80 23.18 1.54 1.15 1 + 1 2 17 1.30 30.22 0.65 (1) 𝑞𝑢´ = 775.36 𝐾𝑁 𝑚2 8. Reemplazando en la carga admisible: 𝑞 𝑎𝑑𝑚 = 𝑞𝑢´ 𝐹𝑆 = 775.36 4 = 193.84 𝐾𝑁/𝑚2 9. De la cargaadmisible bruta: 𝑸 𝒂𝒅𝒎 = 𝒒 𝒂𝒅𝒎 𝒙 𝑩´𝒙 𝑳´ 𝑄 𝑎𝑑𝑚 = 193.84 𝑥1.30𝑥1.50 𝑸 𝒂𝒅𝒎 = 𝟑𝟑𝟕. 𝟗𝟗 𝑲𝑵
  • 104.
  • 105.
    En la figurase muestra una cimentación cargada excéntricamente. Utilice un Fs de 4 y determine la carga máxima permisible que puede soportar la cimentación. Utilice el método del área efectiva de Meyerhof.
  • 106.
    B = 1.5m e= 0.1 L´ = 1.5m 𝐵´ = 𝐵 − 2𝑒 B´ = 1.5 – 2 (0.1) B´ = 1.30 DONDE: 𝒒 = 𝜸 ∗ 𝑫 𝒇 𝑞 = 17 0.8 = 13.6 𝑲𝑵/ 𝒎 𝟐 Ancho Efectivo = B´
  • 107.
    𝑁𝑐 = 35.49 𝑁𝑞= 23.18 𝑁𝛾 = 30.22 ∅ = 32°
  • 108.
    ECUACION PARA LACAPACIDAD DE CARGA ULTIMA 0
  • 109.
    FACTORES DE FORMA: 𝐹𝑞𝑠= 1 + 1.30 1.50 tan 32° 𝑭 𝒒𝒔 = 𝟏.54 𝐹𝛾𝑠 = 1 − 0.4 1.30 1.50 𝑭 𝜸𝒔 = 𝟎. 𝟔𝟓
  • 110.
    𝐷𝑓 𝐵 = 0.8 1.5 = 0.53 →0.53 < 1 FACTORES DE PROFUNDIDAD: 𝐹𝑞𝑑 = 1 + 2tan 32° 1 − sin 32° 2 ∗ 0.8 1.5 𝐹𝑞𝑑 = 1.15
  • 111.
    FACTORES DE INCLINACION: 𝐹𝑐𝑖= 𝐹𝑞𝑖 = 1 0 𝐹𝛾𝑖 = 1 0
  • 112.
    𝑞´ 𝑢 =17 ∗ 0.8 ∗ 23.18 ∗ 1.54 ∗ 1.15 ∗ 1 + 0.5 ∗ 17 ∗ 1.30 ∗ 30.22 ∗ 0.65 ∗ 1 ∗ 1 𝑞´ 𝑢 = 558.30 + 217.06 𝒒´ 𝒖 = 𝟕𝟕𝟓. 𝟑𝟔 𝑲𝑵/ 𝒎 𝟐
  • 113.
    𝑞 𝑎𝑑𝑚 = 775.36𝐾𝑁/ 𝑚2 4 𝒒 𝒂𝒅𝒎 = 𝟏𝟗𝟑. 𝟖𝟒 𝑲𝑵/ 𝒎 𝟐 CARGA ADMISIBLE BRUTA: 𝑄 𝑎𝑑𝑚 = 𝑞 𝑎𝑑𝑚 ∗ 𝐵´ ∗ 𝐿 𝑄 𝑎𝑑𝑚 = 193.84 ∗ 1.30 ∗ 1.50 𝑸 𝒂𝒅𝒎 = 𝟑𝟕𝟕. 𝟗𝟖 𝑲𝑵
  • 114.
  • 115.
    UNIVERSIDAD PRIVADA DETACNA En la fig. se muestra una zapata cuadrada. Use F.S=6, y determine el tamaño de la zapata. Use los factores de capacidad de carga, forma y profundidad dados en la sección 3.7.
  • 116.
    W=3 K/pie 5 UNIVERSIDADPRIVADA DE TACNA FACTORES DE CARGA FACTORES DE FORMA FACTORES DE PROFUNDIDAD
  • 117.
    W=3 K/pie 5 UNIVERSIDADPRIVADA DE TACNA e= 𝑀 𝑄 = 50000 𝑙𝑏−𝑝𝑖𝑒 100000 𝑙𝑏 = 0.5 𝑝𝑖𝑒 𝐵′ = 𝐵 − 2 0.5 L = 𝐵 * 𝐹𝑞𝑠 = 1 + 𝐵−2 0.5 𝐵 𝑡𝑎𝑛𝑔 30 𝐹𝑞𝑠 = 1 + 𝐵 − 1 3 𝐵1/2 1 * 𝐹𝑦𝑠 = 1 − 0.4 𝐵−2 0.5 𝐵 = 1 − 0.4(𝐵−1) 𝐵
  • 118.
    UNIVERSIDAD PRIVADA DETACNA 𝐹𝑞𝑑 = 1 + 2𝑡𝑔𝜙 1 − 𝑠𝑒𝑛𝜙 𝐷𝑓 𝐵 𝐹𝑞𝑑 = 1 + 2𝑡𝑔30 1 − 𝑠𝑒𝑛30 2 4 𝐵 𝐹𝑦𝑑 = 1 𝐹𝑞𝑖 = 1 𝐹𝑦𝑖 = 1 𝑞 = 10𝑥4 = 400 𝑙𝑏/𝑝𝑖𝑒2 ⇒ 𝑆𝑖 𝐷𝑓 𝐵 < 1 ⇒ 4 𝐵 < 1 4 6.387 < 1 0.626 < 1 Si cumple
  • 119.
    UNIVERSIDAD PRIVADA DETACNA Para: 𝜙30 ⟹ 𝑁𝑞 = 18.40 𝑁𝑦 = 22.40 𝑞𝑢 = 400 18.40 1 + 𝐵 − 1 3𝐵 1 + 2𝑡𝑔30 1− 𝑠𝑒𝑛30 2 4 𝐵 1 + 1 2 (120 − 62,4)(𝐵 − 2(0.5)(22.4)(1− 0.4 𝐵 − 1 𝐵 ) 𝑞𝑢 = 7560 1 + 𝐵 − 1 3𝐵 1 + 2 3 1 − 𝑠𝑒𝑛30 2 4 𝐵 + 624.96(𝐵 − 1)(1− 0.4 𝐵 − 1 𝐵 ) 𝑞𝑢 = 7560 3𝐵 + 𝐵 − 1 3𝐵 3𝐵 + 2 3𝐵 + 624.96(𝐵 − 1)( 𝐵 − 0.4 𝐵 − 1 𝐵 ) 𝑞𝑢 = 2453.33 (2.73𝐵 − 1)(1.73𝐵 + 2) 𝐵2 + 624.96(𝐵 − 1)( 0.6𝐵 − 0.4 𝐵 ) Por consiguiente:
  • 120.
    UNIVERSIDAD PRIVADA DETACNA 𝑞𝑎𝑑𝑚 = 𝑞𝑢 𝐹𝑠 10000 𝐵2 𝑥6 = 2453,33 2.73𝐵 − 1 𝐵2 173𝐵 + 2 + 624.96 𝐵 − 1 0.6𝐵 − 0.4 𝐵 𝐵 = 6.387 𝑝𝑖𝑒𝑠 Entonces: 𝐵 = 6.5 𝑝𝑖𝑒𝑠
  • 121.
  • 122.
    EJERCICIO LIBRE 1: Enla figura se muestra una cimentación cuadrada con el=0.4m y eB=0.2m. Supongamos excentricidad en dos direcciones para determinar nuestra carga última. Qúlt
  • 123.
  • 127.
    Hallar las dimensionespara que la zapata mostrada tenga un F.S.= 3, según fórmula general. Desarrollo: EJERCICIO LIBRE 2:
  • 128.
  • 129.
  • 130.
    EJERCICIO LIBRE 3: Unazapata cuadrada debe soportar una masa total bruta admisible de 15 290 kg. La profundidad de la cimentación es de 0.7m. la carga esta inclinada un ángulo de 20° respecto a la vertical. Como se ve en la figura. Determine el ancho B de la cimentación. Usando la ecuación y un factor de seguridad de 3. Zapata cuadrada de cimentación
  • 131.
    SOLUCION: Con c’= 0,la capacidad de carga ultima es
  • 135.
    Una cimentación cuadradamide en planta 1.5 m x 1.5 m (cuadrada). El suelo que la soporta tiene un ángulo de fricción Ø = 19º y C = 15.2 kN/m2. El peso específico del suelo es 17.8 kN/m3. Utilizando las ecuaciones de Terzaghi determine la carga última, carga admisible y la carga bruta admisible sobre la cimentación con un factor de seguridad (FS) de 3. Suponga que la profundidad (Df) de la cimentación es de 1m y que ocurre falla por corte local y general en el suelo. DATOS: Cimentación cuadrada :1.5 m x 1.5 m (cuadrada) Ø = 19º C = 15.2 kN/m2. El peso específico del suelo es 17.8 kN/m3. FS = 3 Df = 1m Ocurre falla por corte local y general en el suelo.
  • 136.
    FALLA POR CORTEGENERAL Carga última para cimentación cuadrada con falla general: Carga admisible: Carga bruta (fuerza) para la cimentación cuadrada será:
  • 137.
  • 138.
    REEMPLAZANDO VALORES Carga última paracimentación cuadrada con falla general: Carga admisible: Carga bruta (fuerza) para la cimentación cuadrada será:
  • 139.
    FALLA POR CORTELOCAL Carga última para cimentación cuadrada con falla general: Carga admisible: Carga bruta (fuerza) para la cimentación cuadrada será:
  • 140.
  • 141.
    REEMPLAZANDO VALORES Carga última paracimentación cuadrada con falla general: Carga admisible: Carga bruta (fuerza) para la cimentación cuadrada será:
  • 142.
    EJERCICIO LIBRE 5: EN LA FIGURA, SE MUESTRA UNA CIMENTACIÓNCUADRADA, CON eL=0.3 M Y eB=0.15M SUPONGA EXCENTRICIDAD EN DOS DIRECCIONES, Y DETERMINELA CARGA ULTIMA Qult.