UNPRG – FACULTAD DE INGENIERIA AGRICOLA
“METODOS DE NIVELACION DE TIERRAS”
M. CENTROIDE/ M. MINIMOS CUADRADOS/ M. PARCELAS.
1
AÑO 2015
IIIINFORME # 4NFORME # 4NFORME # 4NFORME # 4
METODOS DE NIVELACION
DE TIERRAS
CICLO: 2014 - II
AÑO 2015
• METODO DEL CENTROIDE
• METODO DE LOS MINIMOS
CUADRADOS
• METODO DE LAS PARCELAS
UNPRG – FACULTAD DE INGENIERIA AGRICOLA
“METODOS DE NIVELACION DE TIERRAS”
M. CENTROIDE/ M. MINIMOS CUADRADOS/ M. PARCELAS.
2
FACULTAD DE INGENIERÍA AGRICOLA
ESCUELA PROFECIONAL DE INGENIERÍA
AGRICOLA
TOPOGRAFIA APLICADA
DOCENTE:
ING. WESLEY SALAZAR BRAVO
CICLO:
2014 - II
BRIGADA
NUMERO SEIS
FECHA DE ENTREGA: 13/03/2015
UNIVERSIDAD NACIONAL
PEDRO RUIZ GALLO
UNPRG – FACULTAD DE INGENIERIA AGRICOLA
“METODOS DE NIVELACION DE TIERRAS”
M. CENTROIDE/ M. MINIMOS CUADRADOS/ M. PARCELAS.
3
ÍNDICE GENERAL
DEDICATORIA……………………………………………………….…Pág. 04
INTRODUCCION…………………………………………………..……Pág. 05
OBJETIVOS…………………………………………………………..…Pág. 06
MARCO TEÓRICO………………………………………………...……Pág. 07
METODO DEL CENTROIDE………………………………..…………Pág. 07
PROCEDIMIENTO…………………………………………………...…Pág. 07
METODO DE LOS MINIMOS CUADRADOS…………….…………Pág. 08
PROCEDIMIENTO…………………………………………………...…Pág. 08
METODO DE LAS PARCELAS………………………………………Pág. 10
PROCEDIMIENTO…………………………………………………...…Pág. 10
APLICACIÓN DE LOS METODOS / MOVIMIENTOS DE
TIERRAS…………………………………………………………………Pág. 12
APLICACIÓN DE METODO DEL CENTROIDEVEN LA CUADRICULA DE
4X3. ………………………………………………………………………Pág. 12
APLICACIÓN DEL METODO DE LOS MINIMOS CUADRADOS EN AL
CUADRICULA DE 4X3. …………………………………….…………Pág.26
APLICACIÓN DE METODO DE LAS PARCELAS EN LA CUADRICULA DE
4X3. ………………………………………………………………………Pág.33
CONCLUCIONES………………………………………………………Pág.42
BIBLIOGRAFIA…………………………………………………………Pág.43
UNPRG – FACULTAD DE INGENIERIA AGRICOLA
“METODOS DE NIVELACION DE TIERRAS”
M. CENTROIDE/ M. MINIMOS CUADRADOS/ M. PARCELAS.
4
1. DEDICATORIA
Dedicamos este trabajo en primer lugar a Dios que siempre nos protege, a
nuestros padres por el apoyo que nos brindan y en especial a nuestro docente:
ING. SALAZAR BRAVO WESLEY
Gracias a sus conocimientos y sabiduría que nos transmite en el curso de
topografía aplicada, lo cual es de mucha importancia para el desarrollo de
nuestra formación profesional dentro de la ingeniería agrícola.
UNPRG – FACULTAD DE INGENIERIA AGRICOLA
“METODOS DE NIVELACION DE TIERRAS”
M. CENTROIDE/ M. MINIMOS CUADRADOS/ M. PARCELAS.
5
2. INTRODUCCION
La nivelación ha contribuido en forma muy importante al desarrollo de la
civilización, tanto urbana como rural demostrándose en las construcciones de
caminos, conductos de agua o canales entre otras, tanto de la era moderna
como de la antigüedad, son una prueba palpable de éste sorprendente
descubrimiento dentro de la ingeniería. Nosotros como futuros ingenieros
debemos enfrentarnos a distintos problemas de nivelación de tierras y es por
eso que debemos tomar las decisiones más acertadas para poder solucionar
este papel importante que juega una nivelación correcta y ahorrar gastos
excedidos, por el alquiler de maquinarias para corte y relleno de tierras, en lo
cual se utilizaran los siguientes métodos de nivelación de tierras conocidos
como: método del centroide, de los mínimos cuadrados y de las parcelas. Para
poder realizar este trabajo de nivelación el ingeniero a cargo del curso nos dio
una cuadricula de 4x3 lo cual será nivelada haciendo uso de estos tres
métodos. El desarrollo de este trabajo tiene por finalidad de poder hacer
entrega de un trabajo correcto de los distintos tipos de nivelación de tierras y
que este sea correctamente entendido.
UNPRG – FACULTAD DE INGENIERIA AGRICOLA
“METODOS DE NIVELACION DE TIERRAS”
M. CENTROIDE/ M. MINIMOS CUADRADOS/ M. PARCELAS.
6
3. OBJETIVOS
3.1. OBJETIVO GENERAL
Nivelar el levantamiento topográfico de una parcela usando los métodos
de nivelación de tierras, cuya parcela es una cuadricula de 4x3 y
encontrar sus perfiles longitudinales.
3.2. OBJETIVOS ESPECÍFICOS
Nivelar la cuadricula de 4x3 por el método del centroide y encontrar sus
perfiles longitudinales.
Nivelar la cuadricula de 4x3 por el método de los mínimos cuadrados y
encontrar sus perfiles longitudinales.
Nivelar la cuadricula de 4x3 por el método de las parcelas y encontrar
sus perfiles longitudinales.
UNPRG – FACULTAD DE INGENIERIA AGRICOLA
“METODOS DE NIVELACION DE TIERRAS”
M. CENTROIDE/ M. MINIMOS CUADRADOS/ M. PARCELAS.
7
4. MARCO TEÓRICO
1. METODO DEL CENTROIDE
El metodo del centroide es en realidad una derivacion del metodo inicialmente
adaptado a los trabajos de nivelacion por Givan y posteriormente perfeccionado
por por Chugg. Este metodo es relativamente simple en su aplicación y tiene la
ventaja adicional de ofrecer una solucion directa al problema.
1.1. PROCEDIMIENTO
1. Dado un terreno cualquiera, lo primero que debemos hacer es trazar
nuestra cuadricula de trabajo.
2. Enumerar la cuadricula en sus vertices.
3. Nivelar los vertices de la cuadricula y encontrar la suma de las cotas
naturales del terreno.
4. Ubicar la cota menor.
5. Restar esta cota menor a todos los vertices de la cuadricula ,
determinandose las cotas reducidas.
6. sumar las cotas reducidas. [Z]
7. Calcular el centroide. b` = [Z]/n
8. En este metodo debemos analizar las inclinacion natural del terreno,
para ver si ya esta definida en la direccion N, S, ò E, O.
UNPRG – FACULTAD DE INGENIERIA AGRICOLA
“METODOS DE NIVELACION DE TIERRAS”
M. CENTROIDE/ M. MINIMOS CUADRADOS/ M. PARCELAS.
8
9. Ubicado el centroide trazar por el mismo dos ejes y en donde interceptan
estos ejes con el de las cuadriculas, conciderar las cotas reducidas en
los vertices, y los analisis que se hagan seran respecto a los vertices y el
centroide. Si la pendiente del terreno no esta defenida en ningun sentido
entonces los analisis que se haran para cada punto de interceccion con
el respectivo centroide seran 4 ò 3.
10.analizadas todas las posibles alternativas, la solucion lo dara el valor
que tenga un menor corte.
11.obtenidas las cotas compensadas se efectua los perfiles longitudinales
respecto a los ejes MM y NN.
2. METODO DE LOS MINIMOS CUADRADOS
Es un método utilizado para la nivelación de tierras y en comparación con el
método del centroide el primero resulta menos laborioso y solo con encontrar
constantes por ecuaciones matriciales se calcula rápidamente las cotas
reducidas y podemos encontrar las cotas corregidas de acuerdo a su posición
en un sistema referencial de ejes cartesianos.
2.1. PROCEDIMIENTO
1. Dado un area cualquiera, lo primero que debemos hacer es trazar
nuestra cuadricula de trabajo.
2. Nivelar los vertices de la cuadricula.
3. Enumerar estos vertices y encontrar la suma de las cotas naturales del
terreno.
4. Ubicar la cota menor.
UNPRG – FACULTAD DE INGENIERIA AGRICOLA
“METODOS DE NIVELACION DE TIERRAS”
M. CENTROIDE/ M. MINIMOS CUADRADOS/ M. PARCELAS.
9
5. Restar esta cota menor a todos los vertices, determinandose las cotas
reducidas.
6. Sumar estas cotas reducidas. ([Z])
7. Ubicar los ejes cartecianos por la menor cota. (X,Y)
8. Enumerar los vertices que contienen los ejes cartesianos tanto en X
como en Y.
9. Aplicar el siguiente sistema de ecuaciones.
Ecuacion 1: PC + m[X] + n[Y] - [Z] = 0
Ecuacion 2: C[X] + m[X2] + n[XY] - [XZ] = 0
Ecuacion 3: C[Y] + m[XY] + n[Y2] - [YZ] = 0
Donde: m, n, c son incognitas.
P = numero de vertices de la cuadricula.
[X] = numero de veces que se repite el eje “X” , multiplicado por la suma de
los valores de “X”.
[Y] = nuemro de veces que se repite el eje “Y”, multiplicado por la suma de
los valores de “Y”.
[Z] = sumatoria de las cotas reducidas.
[X2] = numero de veces que se repite el eje “X” , por la sumatoria de cada
valor de “X” elebado al cuadrado.
[Y2] = numero de veces que se repite el eje “Y” , por la sumatoria de cada
valor de “Y” elebado al cuadrado.
[XY] = producto de los valores de “X” por los valores de “Y”.
[XZ] = producto de los valores de “Z” por los valores de “X”.
[YZ] = producto de los valores de “Z” por los valores de “Y”.
10. Calcular las cotas reducidas corregidas.
Zi = C + mX+ nY
11. Calcular las cotas naturales corregidas, la cual se obtiene sumando a
cualquier cota reducida corregida la cota menor.
UNPRG – FACULTAD DE INGENIERIA AGRICOLA
“METODOS DE NIVELACION DE TIERRAS”
M. CENTROIDE/ M. MINIMOS CUADRADOS/ M. PARCELAS.
10
3. METODO DE LAS PARCELAS
Parcelas hace referencia a una porción pequeña de terreno que suele
considerarse como sobrante de otra mayor. El método de las parcelas divide
una cierta área de terreno en otras menores (parcelas) de acuerdo a criterio. Es
un método de nivelación de terreno muy fácil de aplicar y con mucha precisión.
Este es el método más utilizado. El método de parcelas se muestra de la
siguiente manera.
3.1. PROCEDIMIENTO
1. Dado un terreno cualquiera se determina la cuadricula. Si la distribución
es uniforme se puede considerar como una parcela individual, si la
distribución es irregular se puede considerar dos o más parcelas.
2. Se calcula el centroide (centro de gravedad) el que se obtiene aplicando
la siguiente expresión:
Ƃ = (Z)/N Dónde: Z: sumatoria de cotas naturales.
N: número de vértices.
3. Ubicado el centroide se recomienda trazar los ejes por el terreno a
nivelar.
4. Determinada la cuadricula y los ejes de la parcela en estudio se
determina el área de influencia.
5. Para solucionar este método debemos tomar en cuenta la siguiente
tabla.
UNPRG – FACULTAD DE INGENIERIA AGRICOLA
“METODOS DE NIVELACION DE TIERRAS”
M. CENTROIDE/ M. MINIMOS CUADRADOS/ M. PARCELAS.
11
COORDENADAS
COTAS ALTURAS AREAS VOLUMEN
Zi b' CORTE RELLENO CORTE RELLENO CORTE RELLENO
A
1
2
3
4
5
B
1
2
3
4
5
C
1
2
3
4
5
D
1
2
3
4
5
∑AC ∑AR ∑VC ∑VR
∑VC
∑VR
; 	݁‫01,1	:݋݃݊ܽݎ	݈ܽ	ݎ݁ܿ݁݊݁ݐݎ݁݌	ܾ݁݁݀	݁ݐ݊݁݅ܿ݋ܿ	݁ݐݏ‬ െ 1, 30
6. Cuando el cociente
∑୚େ
∑୚ୖ
no está del rango mencionado se determina un
nuevo centroide el cual será:
Ƃ = b' + ∆Z…………………………………………..(a)
7. Para determinar el valor de ∆Z aplicamos la siguiente formula:
∑୚େ
∑୚ୖ
ൌ	
∑୚ୋ୼୞∑୅େ	
∑୚ୖା୼୞∑୅ୖ
………………………. (b)
En la expresión (b) el cociente
∑୚େ
∑୚ୖ
ൌ 1.20 Por lo que los demás valores
están la tabla de análisis. Al obtener ∆Z según la expresión (b) si nos da
un valor positivo (+) entonces en la expresión (a) ∆Z; debe de ingresar
con un signo negativo (-) y si ∆Z da un valor negativo (-) en la expresión
(a) debe de ingresar con signo positivo (+).
UNPRG – FACULTAD DE INGENIERIA AGRICOLA
“METODOS DE NIVELACION DE TIERRAS”
M. CENTROIDE/ M. MINIMOS CUADRADOS/ M. PARCELAS.
12
5. APLICACIÓN DE LOS METODOS / MOVIMIENTOS DE TIERRAS
5.1. APLICACIÓN DE METODO DEL CENTROIDEVEN LA CUADRICULA
DE 4X3.
20
20
150 155 160 152 148
215
260
270
200 218 216 232
245 254 238 244
275 205 254 261
SUMATORIAS DE COTAS = 4352
UNPRG – FACULTAD DE INGENIERIA AGRICOLA
“METODOS DE NIVELACION DE TIERRAS”
M. CENTROIDE/ M. MINIMOS CUADRADOS/ M. PARCELAS.
13
HALLANDO LAS COTAS REDUCIDAS.
2A B C D
J
P 1
K
T
HI G F
P 2 P 3 P 4 P 5
ONML
S R Q P
E7 1 2 4 0 .0
6 7
9 0
1 1 2
1 2 2
5 2 7 0 6 8 8 4
7 5 8 8 7 9 9 0
9 7 1 0 6 9 0 9 6
1 2 7 5 7 1 0 6 1 1 3
b = 7 2 .5 2
Sumatoria de cotas reducidas = 1813
ƃ ൌ
ଵ଼ଵଷ
ଶହ
ƃ ൌ 72.52
ANALISIS I-1.
2A B C D
J
P 1
K
T
HI G F
P 2 P 3 P 4 P 5
ONML
S R Q P
E7 1 2 4 0 .0
6 7
9 0
1 1 2
1 2 2
5 2 7 0 6 8 8 4
7 5 8 8 7 9 9 0
9 7 1 0 6 9 0 9 6
1 2 7 5 7 1 0 6 1 1 3
b = 7 2 .5 2
1 0 3 .1 1
R = 1 0 1 .1 1
9 4 .3 7
R = 8 7 .3 7 R = 7 3 .6 3
8 5 .6 3 7 6 .8 9
R = 7 2 .8 9 R = 6 8 .1 5
6 8 .1 5
9 4 .3 7
R = 2 7 .3 7
8 5 .6 3
R = 3 3 .6 3
7 6 .8 9
R = 6 .8 9
6 8 .1 5
R = 0 .1 5
5 9 .4 1
C = 2 4 .5 9
9 0
0 .0
8 1 .2 6
R = 6 .2 6 C = 1 5 .4 8
6 3 .7 8
C = 1 5 .2 2
5 5 .0 4
C = 3 4 .9 6
8 5 .6 3
C = 2 6 .3 7
7 6 .8 9
C = 2 0 .1 1
6 8 .1 5
C = 3 7 .8 5
5 9 .4 1
C = 3 0 .5 9
5 0 .6 7
C = 4 5 .3 3
7 6 .8 9
C = 4 5 .1 1
6 8 .1 5
C = 5 8 .8 5
5 9 .4 1
R = 2 .4 1
5 0 .6 7
C = 5 5 .3 3
4 1 .9 3
C = 7 1 .0 7
UNPRG – FACULTAD DE INGENIERIA AGRICOLA
“METODOS DE NIVELACION DE TIERRAS”
M. CENTROIDE/ M. MINIMOS CUADRADOS/ M. PARCELAS.
14
Calculo de las alturas.
‫ܪ‬ ൌ ܲ1 െ ƃ ‫ܪ‬ ൌ 90 െ 72.52 ‫ܪ‬ ൌ 17.48 Esto para una distancia
d=40
ு
ସ଴
ൌ
௛ଵ
ଶ଴
ଵ଻.ସ଼
ସ଴
ൌ
௛ଵ
ଶ଴
݄1 ൌ 8.74 Esto para una distancia d =
20
ு
ସ଴
ൌ
௛ଶ
ଵ଴
ଵ଻.ସ଼
ସ଴
ൌ
௛ଶ
ଵ଴
݄2 ൌ 4.37 Esto para una distancia d
= 10
ு
ସ଴
ൌ
௛ଷ
ଷ଴
ଵ଻.ସ଼
ସ଴
ൌ
௛ଷ
ଷ଴
݄3 ൌ 13.11 Esto para una distancia d
= 30
∑ ݈ܽ‫	݁ݐݎ݋ܿ	݁݀	ݏܽݎݑݐ‬ሺ݄. ܿሻ
∑ ݈ܽ‫	݋݈݈݊݁݁ݎ	݁݀	ݏܽݎݑݐ‬ሺ݄. ‫ݎ‬ሻ
ൌ
480.86
479.86
ൌ 1.0020
DESCARTADO
ANALISIS I-2
∑ ݈ܽ‫	݁ݐݎ݋ܿ	݁݀	ݏܽݎݑݐ‬ሺ݄. ܿሻ
∑ ݈ܽ‫	݋݈݈݊݁݁ݎ	݁݀	ݏܽݎݑݐ‬ሺ݄. ‫ݎ‬ሻ
ൌ
351.46
350.46
ൌ 1.0028
DESCARTADO
UNPRG – FACULTAD DE INGENIERIA AGRICOLA
“METODOS DE NIVELACION DE TIERRAS”
M. CENTROIDE/ M. MINIMOS CUADRADOS/ M. PARCELAS.
15
ANALISIS II-1
Calculo de las alturas.
‫ܪ‬ ൌ ܲ1 െ ƃ ‫ܪ‬ ൌ 12 െ 72.52 ‫ܪ‬ ൌ െ70.52 Esto para una distancia
d=30
ு
ଷ଴
ൌ
௛ଵ
ଵ଴
ି଻଴.ହଶ
ଷ଴
ൌ
௛ଵ
ଵ଴
݄1 ൌ െ23.50 Esto para una distancia d =
10
ு
ଷ଴
ൌ
௛ଶ
ଶ଴
ି଻଴.ହଶ
ଷ଴
ൌ
௛ଶ
ଶ଴
݄2 ൌ െ47.01 Esto para una distancia d
= 20
ு
ଷ଴
ൌ
௛ଷ
ସ଴
ି଻଴.ହଶ
ଷ଴
ൌ
௛ଷ
ସ଴
݄3 ൌ െ94.03 Esto para una distancia d
= 40
∑ ݈ܽ‫	݁ݐݎ݋ܿ	݁݀	ݏܽݎݑݐ‬ሺ݄. ܿሻ
∑ ݈ܽ‫	݋݈݈݊݁݁ݎ	݁݀	ݏܽݎݑݐ‬ሺ݄. ‫ݎ‬ሻ
ൌ
766.44
765.41
ൌ 1.0013
DESCATADO
UNPRG – FACULTAD DE INGENIERIA AGRICOLA
“METODOS DE NIVELACION DE TIERRAS”
M. CENTROIDE/ M. MINIMOS CUADRADOS/ M. PARCELAS.
16
ANALISIS II-2
∑ ݈ܽ‫	݁ݐݎ݋ܿ	݁݀	ݏܽݎݑݐ‬ሺ݄. ܿሻ
∑ ݈ܽ‫	݋݈݈݊݁݁ݎ	݁݀	ݏܽݎݑݐ‬ሺ݄. ‫ݎ‬ሻ
ൌ
787.46
786.41
ൌ 1.0013
DESCARTADO
UNPRG – FACULTAD DE INGENIERIA AGRICOLA
“METODOS DE NIVELACION DE TIERRAS”
M. CENTROIDE/ M. MINIMOS CUADRADOS/ M. PARCELAS.
17
ANALISIS III-1
Calculo de las alturas.
‫ܪ‬ ൌ ܲ1 െ ƃ ‫ܪ‬ ൌ 90 െ 72.52 ‫ܪ‬ ൌ 17.48 Esto para una distancia d=40
ு
ସ଴
ൌ
௛ଵ
ଶ଴
ଵ଻.ସ଼
ସ଴
ൌ
௛ଵ
ଶ଴
݄1 ൌ 8.74 Esto para una distancia d = 20
ு
ସ଴
ൌ
௛ଶ
ଵ଴
ଵ଻.ସ଼
ସ଴
ൌ
௛ଶ
ଵ଴
݄2 ൌ 4.37 Esto para una distancia d = 10
ு
ସ଴
ൌ
௛ଷ
ଷ଴
ଵ଻.ସ଼
ସ଴
ൌ
௛ଷ
ଷ଴
݄3 ൌ 13.11 Esto para una distancia d =
30
∑ ݈ܽ‫	݁ݐݎ݋ܿ	݁݀	ݏܽݎݑݐ‬ሺ݄. ܿሻ
∑ ݈ܽ‫	݋݈݈݊݁݁ݎ	݁݀	ݏܽݎݑݐ‬ሺ݄. ‫ݎ‬ሻ
ൌ
459.86
458.86
ൌ 1.0021
DESCARTADO
UNPRG – FACULTAD DE INGENIERIA AGRICOLA
“METODOS DE NIVELACION DE TIERRAS”
M. CENTROIDE/ M. MINIMOS CUADRADOS/ M. PARCELAS.
18
ANÁLISIS III-2
∑ ݈ܽ‫	݁ݐݎ݋ܿ	݁݀	ݏܽݎݑݐ‬ሺ݄. ܿሻ
∑ ݈ܽ‫	݋݈݈݊݁݁ݎ	݁݀	ݏܽݎݑݐ‬ሺ݄. ‫ݎ‬ሻ
ൌ
321.87
320.87
ൌ 1.0031
ANALISIS DE LA SOLUCION.
UNPRG – FACULTAD DE INGENIERIA AGRICOLA
“METODOS DE NIVELACION DE TIERRAS”
M. CENTROIDE/ M. MINIMOS CUADRADOS/ M. PARCELAS.
19
ANALISIS IV-I.
Calculo de las alturas.
‫ܪ‬ ൌ ܲ1 െ ƃ ‫ܪ‬ ൌ 57 െ 72.52 ‫ܪ‬ ൌ െ15.52 Esto para una distancia d=30
ு
ଷ଴
ൌ
௛ଵ
ଵ଴
ଵହ.ହଶ
ଷ଴
ൌ
௛ଵ
ଵ଴
݄1 ൌ െ5.17 Esto para una distancia d = 10
ு
ଷ଴
ൌ
௛ଶ
ଶ଴
ିଵହ.ହଶ
ଷ଴
ൌ
௛ଶ
ଶ଴
݄2 ൌ െ10.34 Esto para una distancia d =
20
ு
ଷ଴
ൌ
௛ଷ
ସ଴
ିଵହ.ହଶ
ଷ଴
ൌ
௛ଷ
ସ଴
݄3 ൌ െ20.69 Esto para una distancia d =
40
∑ ݈ܽ‫	݁ݐݎ݋ܿ	݁݀	ݏܽݎݑݐ‬ሺ݄. ܿሻ
∑ ݈ܽ‫	݋݈݈݊݁݁ݎ	݁݀	ݏܽݎݑݐ‬ሺ݄. ‫ݎ‬ሻ
ൌ
483.72
512.72
ൌ 0.9434
DESCARTADO
UNPRG – FACULTAD DE INGENIERIA AGRICOLA
“METODOS DE NIVELACION DE TIERRAS”
M. CENTROIDE/ M. MINIMOS CUADRADOS/ M. PARCELAS.
20
ANALISIS IV-2.
∑ ݈ܽ‫	݁ݐݎ݋ܿ	݁݀	ݏܽݎݑݐ‬ሺ݄. ܿሻ
∑ ݈ܽ‫	݋݈݈݊݁݁ݎ	݁݀	ݏܽݎݑݐ‬ሺ݄. ‫ݎ‬ሻ
ൌ
464.72
484.72
ൌ 0.9587
DESCARTADO
UNPRG – FACULTAD DE INGENIERIA AGRICOLA
“METODOS DE NIVELACION DE TIERRAS”
M. CENTROIDE/ M. MINIMOS CUADRADOS/ M. PARCELAS.
21
ANALIZANDO LA SOLUCIÓN III- 2.
A B C D
J
P1
K
T
HI G F
P2 P3 P4 P5
ONML
S R Q P
E
b=72.52
41.93 50.67 59.41 68.15 76.89
50.67 59.41 68.15 76.89 85.63
55.04 63.78 81.26 90.0
59.41 68.15 76.89 85.63 94.37
68.15 76.69 85.63 94.37 103.11
Sumatoria de cotas reducidas corregidas.
෍ ൌ 1813.4
UNPRG – FACULTAD DE INGENIERIA AGRICOLA
“METODOS DE NIVELACION DE TIERRAS”
M. CENTROIDE/ M. MINIMOS CUADRADOS/ M. PARCELAS.
22
Cotas naturales corregidas
189.93 198.67 207.41 216.15 224.89
198.67 207.41 216.15 224.89 233.63
207.41 216.15 224.89 233.63 242.37
216.15 224.89 233.63 242.37 251.11
SUMATORIA DE COTAS NATURALES CORREGIDAS
෍ ൌ 4404.4
PERFILES LONGITUDINALES
PERFILES HORIZONTALES
0
50
100
150
200
250
0 20 40 60 80 100
COTAS
DISTANCIAS
PERFIL HORIZONTAL "A"
COTAS NATURALES DEL
TERRENO
COTAS NIVELADAS DEL
TERRENO
UNPRG – FACULTAD DE INGENIERIA AGRICOLA
“METODOS DE NIVELACION DE TIERRAS”
M. CENTROIDE/ M. MINIMOS CUADRADOS/ M. PARCELAS.
23
195
200
205
210
215
220
225
230
235
240
0 20 40 60 80 100
COTAS
DISTANCIA
PERFIL HORIZONTAL "B"
COTAS NATURALES DEL
TERRENO
COTAS NIVELADAS DEL
TERRENO
0
50
100
150
200
250
300
0 20 40 60 80 100
COTAS
DISTANCIA
PERFIL HORIZONTAL "C"
COTAS NATURALES DEL
TERRENO
COTAS NIVELADAS DEL
TERRENO
0
50
100
150
200
250
300
0 20 40 60 80 100
COTAS
DISTANCIA
PERFIL HORIZONTAL "D"
COTAS NATURALES DEL
TERRENO
COTAS NIVELADAS DEL
TERRENO
UNPRG – FACULTAD DE INGENIERIA AGRICOLA
“METODOS DE NIVELACION DE TIERRAS”
M. CENTROIDE/ M. MINIMOS CUADRADOS/ M. PARCELAS.
24
PERFILES VERTICALES
0
50
100
150
200
250
300
0 20 40 60 80
COTAS
DISTANCIA
PERFIL VERTICAL "1"
COTAS NATURALES DEL
TERRENO
COTAS NIVELADAS DEL
TERRENO
0
50
100
150
200
250
300
0 20 40 60 80
COTAS
DISTANCIA
PERFIL VERTICAL "2"
COTAS NATURALES DEL
TERRENO
COTAS NIVELADAS DEL
TERRENO
0
50
100
150
200
250
300
0 20 40 60 80
COTAS
DISTANCIA
PERFIL VERTICAL "3"
COTAS NATURALES DEL
TERRENO
COTAS NIVELADAS DEL
TERRENO
UNPRG – FACULTAD DE INGENIERIA AGRICOLA
“METODOS DE NIVELACION DE TIERRAS”
M. CENTROIDE/ M. MINIMOS CUADRADOS/ M. PARCELAS.
25
0
50
100
150
200
250
300
0 20 40 60 80
COTAS
DISTANCIA
PERFIL VERTICAL "4"
COTAS NATURALES DEL
TERRENO
COTAS NIVELADAS DEL
TERRENO
0
50
100
150
200
250
300
0 20 40 60 80
COTAS
DISTANCIA
PERFIL VERTICAL "5"
COTAS NATURALES DEL
TERRENO
COTAS NIVELADAS DEL
TERRENO
UNPRG – FACULTAD DE INGENIERIA AGRICOLA
“METODOS DE NIVELACION DE TIERRAS”
M. CENTROIDE/ M. MINIMOS CUADRADOS/ M. PARCELAS.
26
5.2. APLICACIÓN DEL METODO DE LOS MINIMOS CUADRADOS EN
AL CUADRICULA DE 4X3.
MÉTODO DE LOS MINIMOS CUADRADOS
20
20
150 155 160 152 148
215
260
270
200 218 216 232
245 254 238 244
275 205 254 261
SUMATORIAS DE COTAS NATURALES = 4352
COTA MENOR: 148
UNPRG – FACULTAD DE INGENIERIA AGRICOLA
“METODOS DE NIVELACION DE TIERRAS”
M. CENTROIDE/ M. MINIMOS CUADRADOS/ M. PARCELAS.
27
P= 1392, SUMATORIA DE COTAS REDUCIDAS
[X]= 4[-4+ (-3)+ (-2) + (-1) +0] = -40
[Y] = 5[ 0+ (-1)+ (-2)+ (-3)] = -30
[XY] = [ -4 + (-3)+ (-2)+ (-1)+ 0] [0+ (-1)+(-2)+ (-3)] = 60
[χ²] = 4[ (-4)(-4)+(-3) (-3)+ (-2) (-2) + (-1) (-1)] = 120
[y2] = 5[ (-1) (-1)+ (-2) (-2)+ (-3) (-3)] = 70
[XZ] = [-4( 303) -3(283) -2(245) -1(268) +0(45)] = -2819
[YZ] = [-1 (341) -2(501) -3(525)] = -2918
SOLUCION:
PC+ m(X)+ n(Y) - (Z) = 0 20 (C) + m (-40)+n (-30) - 1392 = 0
C(X)+ m(χ²)+ n(XY)- (XZ) = 0 116m+60n+2819= 40C
C(Y)+ m(XY)+ n(y2)- (YZ) = 0 116m+60n+2918= 30C
C= 0,8749
m= 0,972
n= 48,27926667
UNPRG – FACULTAD DE INGENIERIA AGRICOLA
“METODOS DE NIVELACION DE TIERRAS”
M. CENTROIDE/ M. MINIMOS CUADRADOS/ M. PARCELAS.
28
COTAS CORREGIDAS
Zi=C +mx+ny
Z1= 0,8749+ 0,972(-4)+ 48,279(0)= -3,0131
Z2= 0,8749+ 0,972(-3)+ 48,279(0)= -2,0411
Z3= 0,8749+ 0,972(-2)+ 48,279(0)= -1,0691
Z4= 0,8749+ 0,972(-1)+ 48,279(0)= -0,0971
Z5= 0,8749+ 0,972(0)+ 48,279(0)= 0,8749
Z6= 0,8749+ 0,972(-4)+ 48,279(-1)= -51,2921
Z7= 0,8749+ 0,972(-3)+ 48,279(-1)= -50,3201
Z8= 0,8749+ 0,972(-2)+ 48,279(-1)= -49,3481
Z9= 0,8749+ 0,972(-1)+ 48,279(-1)= -48,3761
Z10= 0,8749+ 0,972(0)+ 48,279(-1)= -47,4041
Z11= 0,8749 + 0,972(-4) + 48,279(-2)= -99,5711
Z12= 0,8749 + 0,972(-3) + 48,279(-2)= -98,5991
Z13= 0,8749 + 0,972(-2) + 48,279(-2)= -97,6271
Z14= 0,8749 + 0,972(-1) + 48,279(-2)= -96,6551
Z15= 0,8749 + 0,972(0) + 48,279(-2)= -95,6831
Z16= 0,8749 + 0,972(-4) + 48,279(-3)= -147,8501
Z17= 0,8749 + 0,972(-3) + 48,279(-3)= -146,8781
Z18= 0,8749 + 0,972(-2) + 48,279(-3)= -145,9061
Z19= 0,8749 + 0,972(-1) + 48,279(-3)= -144,9341
Z20= 0,8749 + 0,972(0) + 48,279(-3)= -143,9621
UNPRG – FACULTAD DE INGENIERIA AGRICOLA
“METODOS DE NIVELACION DE TIERRAS”
M. CENTROIDE/ M. MINIMOS CUADRADOS/ M. PARCELAS.
29
COTAS NATURALES CORREGIDAS
COTA NATURAL CORREGIDA = COTA MENOR + COTA REDUCIDA CORREGIDA
A
1 -3,0131 148 144,9869
2 -2,0411 148 145,9589
3 -1,0691 148 146,9309
4 -0,0971 148 147,9029
5 0,8749 148 148,8749
B
1 -51,2921 148 96,7079
2 -50,3201 148 97,6799
3 -49,3481 148 98,6519
4 -48,3761 148 99,6239
5 -47,4041 148 100,5959
C
1 -99,5711 148 48,4289
2 -98,5991 148 49,4009
3 -97,6271 148 50,3729
4 -96,6551 148 51,3449
5 -95,6831 148 52,3169
D
1 -147,8501 148 0,1499
2 -146,8781 148 1,1219
3 -145,9061 148 2,0939
4 -144,9341 148 3,0659
5 -143,9621 148 4,0379
PERFILES LONGITUDINALES
PERFILES HORIZONTALES
PERFIL "A"
144
146
148
150
152
154
156
158
160
162
0 20 40 60 80 100
DISTANCIA
COTAS
COTAS
NATURALES
COTAS NIVELADAS
UNPRG – FACULTAD DE INGENIERIA AGRICOLA
“METODOS DE NIVELACION DE TIERRAS”
M. CENTROIDE/ M. MINIMOS CUADRADOS/ M. PARCELAS.
30
PERFIL "B"
0
50
100
150
200
250
0 50 100
DISTANCIA
COTAS
COTAS NATURALES
COTAS NIVELADAS
PERFIL "C"
0
50
100
150
200
250
300
0 50 100
DISTANCIA
COTAS
COTAS NATURALES
COTAS NIVELADAS
PERFIL "D"
0
50
100
150
200
250
300
0 50 100
DISTANCIA
COTAS
COTAS NATURALES
COTAS NIVELADAS
UNPRG – FACULTAD DE INGENIERIA AGRICOLA
“METODOS DE NIVELACION DE TIERRAS”
M. CENTROIDE/ M. MINIMOS CUADRADOS/ M. PARCELAS.
31
PERFILES VERTICALES
PERFIL "1"
0
50
100
150
200
250
300
0 20 40 60 80
DISTANCIA
COTAS
COTAS NATURALES
COTAS NIVELADAS
PERFIL "2"
0
50
100
150
200
250
300
0 20 40 60 80
DISTANCIA
COTAS
COTAS NATURALES
COTAS NIVELADAS
PERFIL "3"
0
50
100
150
200
250
300
0 20 40 60 80
DISTANCIA
COTAS
COTAS NATURALES
COTAS NIVELADAS
UNPRG – FACULTAD DE INGENIERIA AGRICOLA
“METODOS DE NIVELACION DE TIERRAS”
M. CENTROIDE/ M. MINIMOS CUADRADOS/ M. PARCELAS.
32
PERFIL "4"
0
50
100
150
200
250
300
0 20 40 60 80
DISTANCIA
COTAS
COTAS NATURALES
COTAS NIVELADAS
PERFIL "5"
0
50
100
150
200
250
300
0 20 40 60 80
DISTANCIA
COTAS
COTAS NATURALES
COTAS NIVELADAS
UNPRG – FACULTAD DE INGENIERIA AGRICOLA
“METODOS DE NIVELACION DE TIERRAS”
M. CENTROIDE/ M. MINIMOS CUADRADOS/ M. PARCELAS.
33
5.3. APLICACIÓN DE METODO DE LAS PARCELAS EN LA
CUADRICULA DE 4X3.
Dada la siguiente cuadricula. Aplique en ella el método de las parcelas.
20
20
150 155 160 152 148
215
260
270
200 218 216 232
245 254 238 244
275 205 254 261
Solución:
Calculo del centroide
Ƃ ൌ centroide
ሾzሿ ൌ 4352
N ൌ 20
Dónde:
ƃ ൌ
ሾzሿ
N
ൌ	
4352
20
ൌ 217.6
Calculo de alturas
ALTURA	 ൌ 	Zi െ ƃ
Si la altura es (+) entonces es corte (RC)
Si la altura es (-) entonces es relleno (RR)
UNPRG – FACULTAD DE INGENIERIA AGRICOLA
“METODOS DE NIVELACION DE TIERRAS”
M. CENTROIDE/ M. MINIMOS CUADRADOS/ M. PARCELAS.
34
Calculo de áreas
COORDENADAS ANCHO ALTO AREA
A
1	 10	 10	 100	
2	 20	 10	 200	
3	 20	 10	 200	
4	 20	 10	 200	
5	 10	 10	 100	
B
1	 10	 20	 200	
2	 20	 20	 400	
3	 20	 20	 400	
4	 20	 20	 400	
5	 10	 20	 200	
C
1	 10	 20	 200	
2	 20	 20	 400	
3	 20	 20	 400	
4	 20	 20	 400	
5	 10	 20	 200	
D
1	 10	 10	 100	
2	 20	 10	 200	
3	 20	 10	 200	
4	 20	 10	 200	
5	 10	 10	 100
UNPRG – FACULTAD DE INGENIERIA AGRICOLA
“METODOS DE NIVELACION DE TIERRAS”
M. CENTROIDE/ M. MINIMOS CUADRADOS/ M. PARCELAS.
35
PRIMER TANTEO
COORDENADAS
COTAS ALTURAS AREAS VOLUMEN
Zi ƃ CORTE RELLENO CORTE RELLENO CORTE RELLENO
A
1	 150	
217.6	
	
67.6	
	
100	
	
6760	
2	 155	
	
62.6	
	
200	
	
12520	
3	 160	
	
57.6	
	
200	
	
11520	
4	 152	
	
65.6	
	
200	
	
13120	
5	 148	
	
69.6	
	
100	
	
6960	
B
1	 215	
	
2.6	
	
200	
	
520	
2	 200	
	
17.6	
	
400	
	
7040	
3	 218	 0.4	
	
400	
	
160	
	
4	 216	
	
1.6	
	
400	
	
640	
5	 232	 14.4	
	
200	
	
2880	
	
C
1	 260	 42.4	
	
200	
	
8480	
	
2	 245	 27.4	
	
400	
	
10960	
	
3	 254	 36.4	
	
400	
	
14560	
	
4	 238	 20.4	
	
400	
	
8160	
	
5	 244	 26.4	
	
200	
	
5280	
	
D
1	 270	 52.4	
	
100	
	
5240	
	
2	 275	 57.4	
	
200	
	
11480	
	
3	 205	
	
12.6	
	
200	
	
2520	
4	 254	 36.4	
	
200	
	
7280	
	
5	 261	 43.4	
	
100	
	
4340	
	
	 	 	 	
∑	 2800	 2000	 78820	 61600	
∑ ܸܿ
∑ ܸ‫ݎ‬
ൌ	
78820
61600
	ൌ 1.279545455
1.27954545 SE ENCUENTRA EN EL RANGO 1.10 Y 1.30
UNPRG – FACULTAD DE INGENIERIA AGRICOLA
“METODOS DE NIVELACION DE TIERRAS”
M. CENTROIDE/ M. MINIMOS CUADRADOS/ M. PARCELAS.
36
COTAS NATURALES CORREGIDAS
COTA NATURAL + ALTURA = COTA NATURAL CORREGIDA
Ci = COTA NATURAL + ALTURA = COTA CORREGIDA
C1 ൌ	 150	 +	 67.6	 ൌ	 217.6	
C2 ൌ	 155	 +	 62.6	 ൌ	 217.6	
C3 ൌ	 160	 +	 57.6	 ൌ	 217.6	
C4 ൌ	 152	 +	 65.6	 ൌ	 217.6	
C5 ൌ	 148	 +	 69.6	 ൌ	 217.6	
C6 ൌ	 215	 +	 2.6	 ൌ	 217.6	
C7 ൌ	 200	 +	 17.6	 ൌ	 217.6	
C8 ൌ	 218	 -	 0.4	 ൌ	 217.6	
C9 ൌ	 216	 +	 1.6	 ൌ	 217.6	
C10 ൌ	 232	 -	 14.4	 ൌ	 217.6	
C11 ൌ	 260	 -	 42.4	 ൌ	 217.6	
C12 ൌ	 245	 -	 27.4	 ൌ	 217.6	
C13 ൌ	 254	 -	 36.4	 ൌ	 217.6	
C14 ൌ	 238	 -	 20.4	 ൌ	 217.6	
C15 ൌ	 244	 -	 26.4	 ൌ	 217.6	
C16 ൌ	 270	 -	 52.4	 ൌ	 217.6	
C17 ൌ	 275	 -	 57.4	 ൌ	 217.6	
C18 ൌ	 205	 +	 12.6	 ൌ	 217.6	
C19 ൌ	 254	 -	 36.4	 ൌ	 217.6	
C20 ൌ	 261	 -	 43.4	 ൌ	 217.6	 OK
UNPRG – FACULTAD DE INGENIERIA AGRICOLA
“METODOS DE NIVELACION DE TIERRAS”
M. CENTROIDE/ M. MINIMOS CUADRADOS/ M. PARCELAS.
37
REPRESENTACIÓN DE LA CUADRICULA CON LAS COTAS
CORREGIDAS
UNPRG – FACULTAD DE INGENIERIA AGRICOLA
“METODOS DE NIVELACION DE TIERRAS”
M. CENTROIDE/ M. MINIMOS CUADRADOS/ M. PARCELAS.
38
REPRECENTACION DE LOS CORTES Y RELLENOS DEL TERRENO
REPRECENTACION DE PERFILES LONGITUDINALES
PERFILES HORIZONTALES
0
50
100
150
200
250
0 20 40 60 80 100
C
O
T
A
S
DISTANCIA
PERFIL "A"
COTA DE TERRENO
NATURAL
COTA DE TERRENO
NIVELADO
UNPRG – FACULTAD DE INGENIERIA AGRICOLA
“METODOS DE NIVELACION DE TIERRAS”
M. CENTROIDE/ M. MINIMOS CUADRADOS/ M. PARCELAS.
39
195
200
205
210
215
220
225
230
235
0 20 40 60 80 100
C
O
T
A
S
DISTANCIA
PERFIL "B"
COTA DE TERRENO
NATURAL
COTA DE TERRENO
NIVELADO
0
50
100
150
200
250
300
0 20 40 60 80 100
C
O
T
A
S
DISTANCIA
PERFIL "C"
COTA DE TERRENO
NATURAL
COTA DE TERRENO
NIVELADO
0
50
100
150
200
250
300
0 20 40 60 80 100
C
O
T
A
S
DISTANCIA
PERFIL "D"
COTA DE TERRENO
NATURAL
COTA DE TERRENO
NIVELADO
UNPRG – FACULTAD DE INGENIERIA AGRICOLA
“METODOS DE NIVELACION DE TIERRAS”
M. CENTROIDE/ M. MINIMOS CUADRADOS/ M. PARCELAS.
40
PERFILES VERTICALES
0
50
100
150
200
250
300
0 20 40 60 80
C
O
T
A
S
DISTANCIA
PERFIL "1"
COTA DE TERENO
NATURAL
COTA DE TERRENO
NIVELADO
0
50
100
150
200
250
300
0 20 40 60 80
C
O
T
A
S
DISTANCIA
PERFIL "2"
COTA DE TERENO
NATURAL
COTA DE TERRENO
NIVELADO
0
50
100
150
200
250
300
0 20 40 60 80
C
O
T
A
S
DISTANCIA
PERFIL "3"
COTA DE TERENO
NATURAL
COTA DE TERRENO
NIVELADO
UNPRG – FACULTAD DE INGENIERIA AGRICOLA
“METODOS DE NIVELACION DE TIERRAS”
M. CENTROIDE/ M. MINIMOS CUADRADOS/ M. PARCELAS.
41
0
50
100
150
200
250
300
0 20 40 60 80
C
O
T
A
S
DISTANCIA
PERFIL "4"
COTA DE TERENO
NATURAL
COTA DE TERRENO
NIVELADO
0
50
100
150
200
250
300
0 20 40 60 80
C
O
T
A
S
DISTANCIA
PERFIL "5"
COTA DE TERENO
NATURAL
COTA DE TERRENO
NIVELADO
UNPRG – FACULTAD DE INGENIERIA AGRICOLA
“METODOS DE NIVELACION DE TIERRAS”
M. CENTROIDE/ M. MINIMOS CUADRADOS/ M. PARCELAS.
42
6. CONCLUCIONES
El desarrollo de esta práctica es de mucha importancia porque nos da a
conocer la variación de la nivelación en pequeñas aproximaciones que
existe en la aplicación de estos métodos.
Fue importante conocer que la diferencia entre estos métodos es que
unos son más rápidos que otros en su aplicación dentro de la nivelación
de esta cuadricula de 4X3.
Hemos descubierto que gracias a estos métodos de nivelación nos
permiten hallar el corte y relleno óptimo para no desperdiciar la tierra y
ahorrar tiempo y dinero.
Hemos visto que en los perfiles de la cuadricula nivelada la pendiente
tiende a cero debido a que las cotas del están corregidas.
UNPRG – FACULTAD DE INGENIERIA AGRICOLA
“METODOS DE NIVELACION DE TIERRAS”
M. CENTROIDE/ M. MINIMOS CUADRADOS/ M. PARCELAS.
43
7. BIBLIOGRAFIA
LIBRO DE TOPOGRAFÍA DE MIGUEL MONTES DE OCA.
LIBRO DE TOPOGRAFÍA GENERAL SABRO HIGASHIDA MIYABARA
TOPOGRAFIA TECNICAS MODERNAS – JORGE MENDOZA DUEÑAS
MANUAL DE TOPOGRAFÍA - ING. SERGIO JUNIOR NAVARRO GUMIEL
TOPOGRAFÍA, NABOR BALLESTEROS TENA
APUNTES DE TOPOGRAFÍA, ING. AUGUSTO MEDINACELI.
FUNDAMENTOS DE TOPOGRAFIA LUIS. A
TOPOGRAFIA PRACTICA EDUARDO. A
LIBRO DE TOPOGRAFIA II - ANTONIO VILCA
APUNTES DE TOPOGRAFIA - ING. MANUEL ZAMARRIPA MEDINA.
CURVAS DE NIVEL Y PERFILES UNIVERSIDAD DE CHILE.
UNPRG – FACULTAD DE INGENIERIA AGRICOLA
“METODOS DE NIVELACION DE TIERRAS”
M. CENTROIDE/ M. MINIMOS CUADRADOS/ M. PARCELAS.
44UNIVERSIDAD NACIONAL PEDRO RUIZ GALLO
FACULTAD DE INGENIERIA AGRICOLA
ESCUELA PROFESIONAL DE INGENIERIA AGRICOLA
“METODOS DE NIVELACION DE TIERRAS”
DOCENTE:
ING. SALAZAR BRAVO, WESLEY
INTEGRANTES:
- ACOSTA CORDOVA, FELICIANO
-BARBOZA BARBOZA JEAN DIEGO
-CAMPOS COLUNCHE, JOSE A.
-CRUZ VILCA, JUAN
-ELIAS PORTOCARRERO, CRISTIAN
-PURIHUAMAN ORDOÑES, EDINSON
- PEREZ RODAS, CARLOS
-VAIADOLID INOÑAN, MAX
-VASQUEZ MONZALVE, JHONY M.
FIA TOPOGRAFIA APLICADA
CICLO: 2014 – II
LAMBAYEQUE – MARZO – 2015

4. nivelación de tierras (topografía)

  • 1.
    UNPRG – FACULTADDE INGENIERIA AGRICOLA “METODOS DE NIVELACION DE TIERRAS” M. CENTROIDE/ M. MINIMOS CUADRADOS/ M. PARCELAS. 1 AÑO 2015 IIIINFORME # 4NFORME # 4NFORME # 4NFORME # 4 METODOS DE NIVELACION DE TIERRAS CICLO: 2014 - II AÑO 2015 • METODO DEL CENTROIDE • METODO DE LOS MINIMOS CUADRADOS • METODO DE LAS PARCELAS
  • 2.
    UNPRG – FACULTADDE INGENIERIA AGRICOLA “METODOS DE NIVELACION DE TIERRAS” M. CENTROIDE/ M. MINIMOS CUADRADOS/ M. PARCELAS. 2 FACULTAD DE INGENIERÍA AGRICOLA ESCUELA PROFECIONAL DE INGENIERÍA AGRICOLA TOPOGRAFIA APLICADA DOCENTE: ING. WESLEY SALAZAR BRAVO CICLO: 2014 - II BRIGADA NUMERO SEIS FECHA DE ENTREGA: 13/03/2015 UNIVERSIDAD NACIONAL PEDRO RUIZ GALLO
  • 3.
    UNPRG – FACULTADDE INGENIERIA AGRICOLA “METODOS DE NIVELACION DE TIERRAS” M. CENTROIDE/ M. MINIMOS CUADRADOS/ M. PARCELAS. 3 ÍNDICE GENERAL DEDICATORIA……………………………………………………….…Pág. 04 INTRODUCCION…………………………………………………..……Pág. 05 OBJETIVOS…………………………………………………………..…Pág. 06 MARCO TEÓRICO………………………………………………...……Pág. 07 METODO DEL CENTROIDE………………………………..…………Pág. 07 PROCEDIMIENTO…………………………………………………...…Pág. 07 METODO DE LOS MINIMOS CUADRADOS…………….…………Pág. 08 PROCEDIMIENTO…………………………………………………...…Pág. 08 METODO DE LAS PARCELAS………………………………………Pág. 10 PROCEDIMIENTO…………………………………………………...…Pág. 10 APLICACIÓN DE LOS METODOS / MOVIMIENTOS DE TIERRAS…………………………………………………………………Pág. 12 APLICACIÓN DE METODO DEL CENTROIDEVEN LA CUADRICULA DE 4X3. ………………………………………………………………………Pág. 12 APLICACIÓN DEL METODO DE LOS MINIMOS CUADRADOS EN AL CUADRICULA DE 4X3. …………………………………….…………Pág.26 APLICACIÓN DE METODO DE LAS PARCELAS EN LA CUADRICULA DE 4X3. ………………………………………………………………………Pág.33 CONCLUCIONES………………………………………………………Pág.42 BIBLIOGRAFIA…………………………………………………………Pág.43
  • 4.
    UNPRG – FACULTADDE INGENIERIA AGRICOLA “METODOS DE NIVELACION DE TIERRAS” M. CENTROIDE/ M. MINIMOS CUADRADOS/ M. PARCELAS. 4 1. DEDICATORIA Dedicamos este trabajo en primer lugar a Dios que siempre nos protege, a nuestros padres por el apoyo que nos brindan y en especial a nuestro docente: ING. SALAZAR BRAVO WESLEY Gracias a sus conocimientos y sabiduría que nos transmite en el curso de topografía aplicada, lo cual es de mucha importancia para el desarrollo de nuestra formación profesional dentro de la ingeniería agrícola.
  • 5.
    UNPRG – FACULTADDE INGENIERIA AGRICOLA “METODOS DE NIVELACION DE TIERRAS” M. CENTROIDE/ M. MINIMOS CUADRADOS/ M. PARCELAS. 5 2. INTRODUCCION La nivelación ha contribuido en forma muy importante al desarrollo de la civilización, tanto urbana como rural demostrándose en las construcciones de caminos, conductos de agua o canales entre otras, tanto de la era moderna como de la antigüedad, son una prueba palpable de éste sorprendente descubrimiento dentro de la ingeniería. Nosotros como futuros ingenieros debemos enfrentarnos a distintos problemas de nivelación de tierras y es por eso que debemos tomar las decisiones más acertadas para poder solucionar este papel importante que juega una nivelación correcta y ahorrar gastos excedidos, por el alquiler de maquinarias para corte y relleno de tierras, en lo cual se utilizaran los siguientes métodos de nivelación de tierras conocidos como: método del centroide, de los mínimos cuadrados y de las parcelas. Para poder realizar este trabajo de nivelación el ingeniero a cargo del curso nos dio una cuadricula de 4x3 lo cual será nivelada haciendo uso de estos tres métodos. El desarrollo de este trabajo tiene por finalidad de poder hacer entrega de un trabajo correcto de los distintos tipos de nivelación de tierras y que este sea correctamente entendido.
  • 6.
    UNPRG – FACULTADDE INGENIERIA AGRICOLA “METODOS DE NIVELACION DE TIERRAS” M. CENTROIDE/ M. MINIMOS CUADRADOS/ M. PARCELAS. 6 3. OBJETIVOS 3.1. OBJETIVO GENERAL Nivelar el levantamiento topográfico de una parcela usando los métodos de nivelación de tierras, cuya parcela es una cuadricula de 4x3 y encontrar sus perfiles longitudinales. 3.2. OBJETIVOS ESPECÍFICOS Nivelar la cuadricula de 4x3 por el método del centroide y encontrar sus perfiles longitudinales. Nivelar la cuadricula de 4x3 por el método de los mínimos cuadrados y encontrar sus perfiles longitudinales. Nivelar la cuadricula de 4x3 por el método de las parcelas y encontrar sus perfiles longitudinales.
  • 7.
    UNPRG – FACULTADDE INGENIERIA AGRICOLA “METODOS DE NIVELACION DE TIERRAS” M. CENTROIDE/ M. MINIMOS CUADRADOS/ M. PARCELAS. 7 4. MARCO TEÓRICO 1. METODO DEL CENTROIDE El metodo del centroide es en realidad una derivacion del metodo inicialmente adaptado a los trabajos de nivelacion por Givan y posteriormente perfeccionado por por Chugg. Este metodo es relativamente simple en su aplicación y tiene la ventaja adicional de ofrecer una solucion directa al problema. 1.1. PROCEDIMIENTO 1. Dado un terreno cualquiera, lo primero que debemos hacer es trazar nuestra cuadricula de trabajo. 2. Enumerar la cuadricula en sus vertices. 3. Nivelar los vertices de la cuadricula y encontrar la suma de las cotas naturales del terreno. 4. Ubicar la cota menor. 5. Restar esta cota menor a todos los vertices de la cuadricula , determinandose las cotas reducidas. 6. sumar las cotas reducidas. [Z] 7. Calcular el centroide. b` = [Z]/n 8. En este metodo debemos analizar las inclinacion natural del terreno, para ver si ya esta definida en la direccion N, S, ò E, O.
  • 8.
    UNPRG – FACULTADDE INGENIERIA AGRICOLA “METODOS DE NIVELACION DE TIERRAS” M. CENTROIDE/ M. MINIMOS CUADRADOS/ M. PARCELAS. 8 9. Ubicado el centroide trazar por el mismo dos ejes y en donde interceptan estos ejes con el de las cuadriculas, conciderar las cotas reducidas en los vertices, y los analisis que se hagan seran respecto a los vertices y el centroide. Si la pendiente del terreno no esta defenida en ningun sentido entonces los analisis que se haran para cada punto de interceccion con el respectivo centroide seran 4 ò 3. 10.analizadas todas las posibles alternativas, la solucion lo dara el valor que tenga un menor corte. 11.obtenidas las cotas compensadas se efectua los perfiles longitudinales respecto a los ejes MM y NN. 2. METODO DE LOS MINIMOS CUADRADOS Es un método utilizado para la nivelación de tierras y en comparación con el método del centroide el primero resulta menos laborioso y solo con encontrar constantes por ecuaciones matriciales se calcula rápidamente las cotas reducidas y podemos encontrar las cotas corregidas de acuerdo a su posición en un sistema referencial de ejes cartesianos. 2.1. PROCEDIMIENTO 1. Dado un area cualquiera, lo primero que debemos hacer es trazar nuestra cuadricula de trabajo. 2. Nivelar los vertices de la cuadricula. 3. Enumerar estos vertices y encontrar la suma de las cotas naturales del terreno. 4. Ubicar la cota menor.
  • 9.
    UNPRG – FACULTADDE INGENIERIA AGRICOLA “METODOS DE NIVELACION DE TIERRAS” M. CENTROIDE/ M. MINIMOS CUADRADOS/ M. PARCELAS. 9 5. Restar esta cota menor a todos los vertices, determinandose las cotas reducidas. 6. Sumar estas cotas reducidas. ([Z]) 7. Ubicar los ejes cartecianos por la menor cota. (X,Y) 8. Enumerar los vertices que contienen los ejes cartesianos tanto en X como en Y. 9. Aplicar el siguiente sistema de ecuaciones. Ecuacion 1: PC + m[X] + n[Y] - [Z] = 0 Ecuacion 2: C[X] + m[X2] + n[XY] - [XZ] = 0 Ecuacion 3: C[Y] + m[XY] + n[Y2] - [YZ] = 0 Donde: m, n, c son incognitas. P = numero de vertices de la cuadricula. [X] = numero de veces que se repite el eje “X” , multiplicado por la suma de los valores de “X”. [Y] = nuemro de veces que se repite el eje “Y”, multiplicado por la suma de los valores de “Y”. [Z] = sumatoria de las cotas reducidas. [X2] = numero de veces que se repite el eje “X” , por la sumatoria de cada valor de “X” elebado al cuadrado. [Y2] = numero de veces que se repite el eje “Y” , por la sumatoria de cada valor de “Y” elebado al cuadrado. [XY] = producto de los valores de “X” por los valores de “Y”. [XZ] = producto de los valores de “Z” por los valores de “X”. [YZ] = producto de los valores de “Z” por los valores de “Y”. 10. Calcular las cotas reducidas corregidas. Zi = C + mX+ nY 11. Calcular las cotas naturales corregidas, la cual se obtiene sumando a cualquier cota reducida corregida la cota menor.
  • 10.
    UNPRG – FACULTADDE INGENIERIA AGRICOLA “METODOS DE NIVELACION DE TIERRAS” M. CENTROIDE/ M. MINIMOS CUADRADOS/ M. PARCELAS. 10 3. METODO DE LAS PARCELAS Parcelas hace referencia a una porción pequeña de terreno que suele considerarse como sobrante de otra mayor. El método de las parcelas divide una cierta área de terreno en otras menores (parcelas) de acuerdo a criterio. Es un método de nivelación de terreno muy fácil de aplicar y con mucha precisión. Este es el método más utilizado. El método de parcelas se muestra de la siguiente manera. 3.1. PROCEDIMIENTO 1. Dado un terreno cualquiera se determina la cuadricula. Si la distribución es uniforme se puede considerar como una parcela individual, si la distribución es irregular se puede considerar dos o más parcelas. 2. Se calcula el centroide (centro de gravedad) el que se obtiene aplicando la siguiente expresión: Ƃ = (Z)/N Dónde: Z: sumatoria de cotas naturales. N: número de vértices. 3. Ubicado el centroide se recomienda trazar los ejes por el terreno a nivelar. 4. Determinada la cuadricula y los ejes de la parcela en estudio se determina el área de influencia. 5. Para solucionar este método debemos tomar en cuenta la siguiente tabla.
  • 11.
    UNPRG – FACULTADDE INGENIERIA AGRICOLA “METODOS DE NIVELACION DE TIERRAS” M. CENTROIDE/ M. MINIMOS CUADRADOS/ M. PARCELAS. 11 COORDENADAS COTAS ALTURAS AREAS VOLUMEN Zi b' CORTE RELLENO CORTE RELLENO CORTE RELLENO A 1 2 3 4 5 B 1 2 3 4 5 C 1 2 3 4 5 D 1 2 3 4 5 ∑AC ∑AR ∑VC ∑VR ∑VC ∑VR ; ݁‫01,1 :݋݃݊ܽݎ ݈ܽ ݎ݁ܿ݁݊݁ݐݎ݁݌ ܾ݁݁݀ ݁ݐ݊݁݅ܿ݋ܿ ݁ݐݏ‬ െ 1, 30 6. Cuando el cociente ∑୚େ ∑୚ୖ no está del rango mencionado se determina un nuevo centroide el cual será: Ƃ = b' + ∆Z…………………………………………..(a) 7. Para determinar el valor de ∆Z aplicamos la siguiente formula: ∑୚େ ∑୚ୖ ൌ ∑୚ୋ୼୞∑୅େ ∑୚ୖା୼୞∑୅ୖ ………………………. (b) En la expresión (b) el cociente ∑୚େ ∑୚ୖ ൌ 1.20 Por lo que los demás valores están la tabla de análisis. Al obtener ∆Z según la expresión (b) si nos da un valor positivo (+) entonces en la expresión (a) ∆Z; debe de ingresar con un signo negativo (-) y si ∆Z da un valor negativo (-) en la expresión (a) debe de ingresar con signo positivo (+).
  • 12.
    UNPRG – FACULTADDE INGENIERIA AGRICOLA “METODOS DE NIVELACION DE TIERRAS” M. CENTROIDE/ M. MINIMOS CUADRADOS/ M. PARCELAS. 12 5. APLICACIÓN DE LOS METODOS / MOVIMIENTOS DE TIERRAS 5.1. APLICACIÓN DE METODO DEL CENTROIDEVEN LA CUADRICULA DE 4X3. 20 20 150 155 160 152 148 215 260 270 200 218 216 232 245 254 238 244 275 205 254 261 SUMATORIAS DE COTAS = 4352
  • 13.
    UNPRG – FACULTADDE INGENIERIA AGRICOLA “METODOS DE NIVELACION DE TIERRAS” M. CENTROIDE/ M. MINIMOS CUADRADOS/ M. PARCELAS. 13 HALLANDO LAS COTAS REDUCIDAS. 2A B C D J P 1 K T HI G F P 2 P 3 P 4 P 5 ONML S R Q P E7 1 2 4 0 .0 6 7 9 0 1 1 2 1 2 2 5 2 7 0 6 8 8 4 7 5 8 8 7 9 9 0 9 7 1 0 6 9 0 9 6 1 2 7 5 7 1 0 6 1 1 3 b = 7 2 .5 2 Sumatoria de cotas reducidas = 1813 ƃ ൌ ଵ଼ଵଷ ଶହ ƃ ൌ 72.52 ANALISIS I-1. 2A B C D J P 1 K T HI G F P 2 P 3 P 4 P 5 ONML S R Q P E7 1 2 4 0 .0 6 7 9 0 1 1 2 1 2 2 5 2 7 0 6 8 8 4 7 5 8 8 7 9 9 0 9 7 1 0 6 9 0 9 6 1 2 7 5 7 1 0 6 1 1 3 b = 7 2 .5 2 1 0 3 .1 1 R = 1 0 1 .1 1 9 4 .3 7 R = 8 7 .3 7 R = 7 3 .6 3 8 5 .6 3 7 6 .8 9 R = 7 2 .8 9 R = 6 8 .1 5 6 8 .1 5 9 4 .3 7 R = 2 7 .3 7 8 5 .6 3 R = 3 3 .6 3 7 6 .8 9 R = 6 .8 9 6 8 .1 5 R = 0 .1 5 5 9 .4 1 C = 2 4 .5 9 9 0 0 .0 8 1 .2 6 R = 6 .2 6 C = 1 5 .4 8 6 3 .7 8 C = 1 5 .2 2 5 5 .0 4 C = 3 4 .9 6 8 5 .6 3 C = 2 6 .3 7 7 6 .8 9 C = 2 0 .1 1 6 8 .1 5 C = 3 7 .8 5 5 9 .4 1 C = 3 0 .5 9 5 0 .6 7 C = 4 5 .3 3 7 6 .8 9 C = 4 5 .1 1 6 8 .1 5 C = 5 8 .8 5 5 9 .4 1 R = 2 .4 1 5 0 .6 7 C = 5 5 .3 3 4 1 .9 3 C = 7 1 .0 7
  • 14.
    UNPRG – FACULTADDE INGENIERIA AGRICOLA “METODOS DE NIVELACION DE TIERRAS” M. CENTROIDE/ M. MINIMOS CUADRADOS/ M. PARCELAS. 14 Calculo de las alturas. ‫ܪ‬ ൌ ܲ1 െ ƃ ‫ܪ‬ ൌ 90 െ 72.52 ‫ܪ‬ ൌ 17.48 Esto para una distancia d=40 ு ସ଴ ൌ ௛ଵ ଶ଴ ଵ଻.ସ଼ ସ଴ ൌ ௛ଵ ଶ଴ ݄1 ൌ 8.74 Esto para una distancia d = 20 ு ସ଴ ൌ ௛ଶ ଵ଴ ଵ଻.ସ଼ ସ଴ ൌ ௛ଶ ଵ଴ ݄2 ൌ 4.37 Esto para una distancia d = 10 ு ସ଴ ൌ ௛ଷ ଷ଴ ଵ଻.ସ଼ ସ଴ ൌ ௛ଷ ଷ଴ ݄3 ൌ 13.11 Esto para una distancia d = 30 ∑ ݈ܽ‫ ݁ݐݎ݋ܿ ݁݀ ݏܽݎݑݐ‬ሺ݄. ܿሻ ∑ ݈ܽ‫ ݋݈݈݊݁݁ݎ ݁݀ ݏܽݎݑݐ‬ሺ݄. ‫ݎ‬ሻ ൌ 480.86 479.86 ൌ 1.0020 DESCARTADO ANALISIS I-2 ∑ ݈ܽ‫ ݁ݐݎ݋ܿ ݁݀ ݏܽݎݑݐ‬ሺ݄. ܿሻ ∑ ݈ܽ‫ ݋݈݈݊݁݁ݎ ݁݀ ݏܽݎݑݐ‬ሺ݄. ‫ݎ‬ሻ ൌ 351.46 350.46 ൌ 1.0028 DESCARTADO
  • 15.
    UNPRG – FACULTADDE INGENIERIA AGRICOLA “METODOS DE NIVELACION DE TIERRAS” M. CENTROIDE/ M. MINIMOS CUADRADOS/ M. PARCELAS. 15 ANALISIS II-1 Calculo de las alturas. ‫ܪ‬ ൌ ܲ1 െ ƃ ‫ܪ‬ ൌ 12 െ 72.52 ‫ܪ‬ ൌ െ70.52 Esto para una distancia d=30 ு ଷ଴ ൌ ௛ଵ ଵ଴ ି଻଴.ହଶ ଷ଴ ൌ ௛ଵ ଵ଴ ݄1 ൌ െ23.50 Esto para una distancia d = 10 ு ଷ଴ ൌ ௛ଶ ଶ଴ ି଻଴.ହଶ ଷ଴ ൌ ௛ଶ ଶ଴ ݄2 ൌ െ47.01 Esto para una distancia d = 20 ு ଷ଴ ൌ ௛ଷ ସ଴ ି଻଴.ହଶ ଷ଴ ൌ ௛ଷ ସ଴ ݄3 ൌ െ94.03 Esto para una distancia d = 40 ∑ ݈ܽ‫ ݁ݐݎ݋ܿ ݁݀ ݏܽݎݑݐ‬ሺ݄. ܿሻ ∑ ݈ܽ‫ ݋݈݈݊݁݁ݎ ݁݀ ݏܽݎݑݐ‬ሺ݄. ‫ݎ‬ሻ ൌ 766.44 765.41 ൌ 1.0013 DESCATADO
  • 16.
    UNPRG – FACULTADDE INGENIERIA AGRICOLA “METODOS DE NIVELACION DE TIERRAS” M. CENTROIDE/ M. MINIMOS CUADRADOS/ M. PARCELAS. 16 ANALISIS II-2 ∑ ݈ܽ‫ ݁ݐݎ݋ܿ ݁݀ ݏܽݎݑݐ‬ሺ݄. ܿሻ ∑ ݈ܽ‫ ݋݈݈݊݁݁ݎ ݁݀ ݏܽݎݑݐ‬ሺ݄. ‫ݎ‬ሻ ൌ 787.46 786.41 ൌ 1.0013 DESCARTADO
  • 17.
    UNPRG – FACULTADDE INGENIERIA AGRICOLA “METODOS DE NIVELACION DE TIERRAS” M. CENTROIDE/ M. MINIMOS CUADRADOS/ M. PARCELAS. 17 ANALISIS III-1 Calculo de las alturas. ‫ܪ‬ ൌ ܲ1 െ ƃ ‫ܪ‬ ൌ 90 െ 72.52 ‫ܪ‬ ൌ 17.48 Esto para una distancia d=40 ு ସ଴ ൌ ௛ଵ ଶ଴ ଵ଻.ସ଼ ସ଴ ൌ ௛ଵ ଶ଴ ݄1 ൌ 8.74 Esto para una distancia d = 20 ு ସ଴ ൌ ௛ଶ ଵ଴ ଵ଻.ସ଼ ସ଴ ൌ ௛ଶ ଵ଴ ݄2 ൌ 4.37 Esto para una distancia d = 10 ு ସ଴ ൌ ௛ଷ ଷ଴ ଵ଻.ସ଼ ସ଴ ൌ ௛ଷ ଷ଴ ݄3 ൌ 13.11 Esto para una distancia d = 30 ∑ ݈ܽ‫ ݁ݐݎ݋ܿ ݁݀ ݏܽݎݑݐ‬ሺ݄. ܿሻ ∑ ݈ܽ‫ ݋݈݈݊݁݁ݎ ݁݀ ݏܽݎݑݐ‬ሺ݄. ‫ݎ‬ሻ ൌ 459.86 458.86 ൌ 1.0021 DESCARTADO
  • 18.
    UNPRG – FACULTADDE INGENIERIA AGRICOLA “METODOS DE NIVELACION DE TIERRAS” M. CENTROIDE/ M. MINIMOS CUADRADOS/ M. PARCELAS. 18 ANÁLISIS III-2 ∑ ݈ܽ‫ ݁ݐݎ݋ܿ ݁݀ ݏܽݎݑݐ‬ሺ݄. ܿሻ ∑ ݈ܽ‫ ݋݈݈݊݁݁ݎ ݁݀ ݏܽݎݑݐ‬ሺ݄. ‫ݎ‬ሻ ൌ 321.87 320.87 ൌ 1.0031 ANALISIS DE LA SOLUCION.
  • 19.
    UNPRG – FACULTADDE INGENIERIA AGRICOLA “METODOS DE NIVELACION DE TIERRAS” M. CENTROIDE/ M. MINIMOS CUADRADOS/ M. PARCELAS. 19 ANALISIS IV-I. Calculo de las alturas. ‫ܪ‬ ൌ ܲ1 െ ƃ ‫ܪ‬ ൌ 57 െ 72.52 ‫ܪ‬ ൌ െ15.52 Esto para una distancia d=30 ு ଷ଴ ൌ ௛ଵ ଵ଴ ଵହ.ହଶ ଷ଴ ൌ ௛ଵ ଵ଴ ݄1 ൌ െ5.17 Esto para una distancia d = 10 ு ଷ଴ ൌ ௛ଶ ଶ଴ ିଵହ.ହଶ ଷ଴ ൌ ௛ଶ ଶ଴ ݄2 ൌ െ10.34 Esto para una distancia d = 20 ு ଷ଴ ൌ ௛ଷ ସ଴ ିଵହ.ହଶ ଷ଴ ൌ ௛ଷ ସ଴ ݄3 ൌ െ20.69 Esto para una distancia d = 40 ∑ ݈ܽ‫ ݁ݐݎ݋ܿ ݁݀ ݏܽݎݑݐ‬ሺ݄. ܿሻ ∑ ݈ܽ‫ ݋݈݈݊݁݁ݎ ݁݀ ݏܽݎݑݐ‬ሺ݄. ‫ݎ‬ሻ ൌ 483.72 512.72 ൌ 0.9434 DESCARTADO
  • 20.
    UNPRG – FACULTADDE INGENIERIA AGRICOLA “METODOS DE NIVELACION DE TIERRAS” M. CENTROIDE/ M. MINIMOS CUADRADOS/ M. PARCELAS. 20 ANALISIS IV-2. ∑ ݈ܽ‫ ݁ݐݎ݋ܿ ݁݀ ݏܽݎݑݐ‬ሺ݄. ܿሻ ∑ ݈ܽ‫ ݋݈݈݊݁݁ݎ ݁݀ ݏܽݎݑݐ‬ሺ݄. ‫ݎ‬ሻ ൌ 464.72 484.72 ൌ 0.9587 DESCARTADO
  • 21.
    UNPRG – FACULTADDE INGENIERIA AGRICOLA “METODOS DE NIVELACION DE TIERRAS” M. CENTROIDE/ M. MINIMOS CUADRADOS/ M. PARCELAS. 21 ANALIZANDO LA SOLUCIÓN III- 2. A B C D J P1 K T HI G F P2 P3 P4 P5 ONML S R Q P E b=72.52 41.93 50.67 59.41 68.15 76.89 50.67 59.41 68.15 76.89 85.63 55.04 63.78 81.26 90.0 59.41 68.15 76.89 85.63 94.37 68.15 76.69 85.63 94.37 103.11 Sumatoria de cotas reducidas corregidas. ෍ ൌ 1813.4
  • 22.
    UNPRG – FACULTADDE INGENIERIA AGRICOLA “METODOS DE NIVELACION DE TIERRAS” M. CENTROIDE/ M. MINIMOS CUADRADOS/ M. PARCELAS. 22 Cotas naturales corregidas 189.93 198.67 207.41 216.15 224.89 198.67 207.41 216.15 224.89 233.63 207.41 216.15 224.89 233.63 242.37 216.15 224.89 233.63 242.37 251.11 SUMATORIA DE COTAS NATURALES CORREGIDAS ෍ ൌ 4404.4 PERFILES LONGITUDINALES PERFILES HORIZONTALES 0 50 100 150 200 250 0 20 40 60 80 100 COTAS DISTANCIAS PERFIL HORIZONTAL "A" COTAS NATURALES DEL TERRENO COTAS NIVELADAS DEL TERRENO
  • 23.
    UNPRG – FACULTADDE INGENIERIA AGRICOLA “METODOS DE NIVELACION DE TIERRAS” M. CENTROIDE/ M. MINIMOS CUADRADOS/ M. PARCELAS. 23 195 200 205 210 215 220 225 230 235 240 0 20 40 60 80 100 COTAS DISTANCIA PERFIL HORIZONTAL "B" COTAS NATURALES DEL TERRENO COTAS NIVELADAS DEL TERRENO 0 50 100 150 200 250 300 0 20 40 60 80 100 COTAS DISTANCIA PERFIL HORIZONTAL "C" COTAS NATURALES DEL TERRENO COTAS NIVELADAS DEL TERRENO 0 50 100 150 200 250 300 0 20 40 60 80 100 COTAS DISTANCIA PERFIL HORIZONTAL "D" COTAS NATURALES DEL TERRENO COTAS NIVELADAS DEL TERRENO
  • 24.
    UNPRG – FACULTADDE INGENIERIA AGRICOLA “METODOS DE NIVELACION DE TIERRAS” M. CENTROIDE/ M. MINIMOS CUADRADOS/ M. PARCELAS. 24 PERFILES VERTICALES 0 50 100 150 200 250 300 0 20 40 60 80 COTAS DISTANCIA PERFIL VERTICAL "1" COTAS NATURALES DEL TERRENO COTAS NIVELADAS DEL TERRENO 0 50 100 150 200 250 300 0 20 40 60 80 COTAS DISTANCIA PERFIL VERTICAL "2" COTAS NATURALES DEL TERRENO COTAS NIVELADAS DEL TERRENO 0 50 100 150 200 250 300 0 20 40 60 80 COTAS DISTANCIA PERFIL VERTICAL "3" COTAS NATURALES DEL TERRENO COTAS NIVELADAS DEL TERRENO
  • 25.
    UNPRG – FACULTADDE INGENIERIA AGRICOLA “METODOS DE NIVELACION DE TIERRAS” M. CENTROIDE/ M. MINIMOS CUADRADOS/ M. PARCELAS. 25 0 50 100 150 200 250 300 0 20 40 60 80 COTAS DISTANCIA PERFIL VERTICAL "4" COTAS NATURALES DEL TERRENO COTAS NIVELADAS DEL TERRENO 0 50 100 150 200 250 300 0 20 40 60 80 COTAS DISTANCIA PERFIL VERTICAL "5" COTAS NATURALES DEL TERRENO COTAS NIVELADAS DEL TERRENO
  • 26.
    UNPRG – FACULTADDE INGENIERIA AGRICOLA “METODOS DE NIVELACION DE TIERRAS” M. CENTROIDE/ M. MINIMOS CUADRADOS/ M. PARCELAS. 26 5.2. APLICACIÓN DEL METODO DE LOS MINIMOS CUADRADOS EN AL CUADRICULA DE 4X3. MÉTODO DE LOS MINIMOS CUADRADOS 20 20 150 155 160 152 148 215 260 270 200 218 216 232 245 254 238 244 275 205 254 261 SUMATORIAS DE COTAS NATURALES = 4352 COTA MENOR: 148
  • 27.
    UNPRG – FACULTADDE INGENIERIA AGRICOLA “METODOS DE NIVELACION DE TIERRAS” M. CENTROIDE/ M. MINIMOS CUADRADOS/ M. PARCELAS. 27 P= 1392, SUMATORIA DE COTAS REDUCIDAS [X]= 4[-4+ (-3)+ (-2) + (-1) +0] = -40 [Y] = 5[ 0+ (-1)+ (-2)+ (-3)] = -30 [XY] = [ -4 + (-3)+ (-2)+ (-1)+ 0] [0+ (-1)+(-2)+ (-3)] = 60 [χ²] = 4[ (-4)(-4)+(-3) (-3)+ (-2) (-2) + (-1) (-1)] = 120 [y2] = 5[ (-1) (-1)+ (-2) (-2)+ (-3) (-3)] = 70 [XZ] = [-4( 303) -3(283) -2(245) -1(268) +0(45)] = -2819 [YZ] = [-1 (341) -2(501) -3(525)] = -2918 SOLUCION: PC+ m(X)+ n(Y) - (Z) = 0 20 (C) + m (-40)+n (-30) - 1392 = 0 C(X)+ m(χ²)+ n(XY)- (XZ) = 0 116m+60n+2819= 40C C(Y)+ m(XY)+ n(y2)- (YZ) = 0 116m+60n+2918= 30C C= 0,8749 m= 0,972 n= 48,27926667
  • 28.
    UNPRG – FACULTADDE INGENIERIA AGRICOLA “METODOS DE NIVELACION DE TIERRAS” M. CENTROIDE/ M. MINIMOS CUADRADOS/ M. PARCELAS. 28 COTAS CORREGIDAS Zi=C +mx+ny Z1= 0,8749+ 0,972(-4)+ 48,279(0)= -3,0131 Z2= 0,8749+ 0,972(-3)+ 48,279(0)= -2,0411 Z3= 0,8749+ 0,972(-2)+ 48,279(0)= -1,0691 Z4= 0,8749+ 0,972(-1)+ 48,279(0)= -0,0971 Z5= 0,8749+ 0,972(0)+ 48,279(0)= 0,8749 Z6= 0,8749+ 0,972(-4)+ 48,279(-1)= -51,2921 Z7= 0,8749+ 0,972(-3)+ 48,279(-1)= -50,3201 Z8= 0,8749+ 0,972(-2)+ 48,279(-1)= -49,3481 Z9= 0,8749+ 0,972(-1)+ 48,279(-1)= -48,3761 Z10= 0,8749+ 0,972(0)+ 48,279(-1)= -47,4041 Z11= 0,8749 + 0,972(-4) + 48,279(-2)= -99,5711 Z12= 0,8749 + 0,972(-3) + 48,279(-2)= -98,5991 Z13= 0,8749 + 0,972(-2) + 48,279(-2)= -97,6271 Z14= 0,8749 + 0,972(-1) + 48,279(-2)= -96,6551 Z15= 0,8749 + 0,972(0) + 48,279(-2)= -95,6831 Z16= 0,8749 + 0,972(-4) + 48,279(-3)= -147,8501 Z17= 0,8749 + 0,972(-3) + 48,279(-3)= -146,8781 Z18= 0,8749 + 0,972(-2) + 48,279(-3)= -145,9061 Z19= 0,8749 + 0,972(-1) + 48,279(-3)= -144,9341 Z20= 0,8749 + 0,972(0) + 48,279(-3)= -143,9621
  • 29.
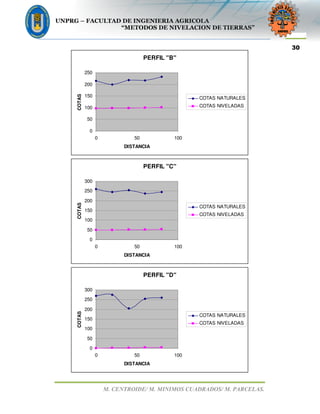
    UNPRG – FACULTADDE INGENIERIA AGRICOLA “METODOS DE NIVELACION DE TIERRAS” M. CENTROIDE/ M. MINIMOS CUADRADOS/ M. PARCELAS. 29 COTAS NATURALES CORREGIDAS COTA NATURAL CORREGIDA = COTA MENOR + COTA REDUCIDA CORREGIDA A 1 -3,0131 148 144,9869 2 -2,0411 148 145,9589 3 -1,0691 148 146,9309 4 -0,0971 148 147,9029 5 0,8749 148 148,8749 B 1 -51,2921 148 96,7079 2 -50,3201 148 97,6799 3 -49,3481 148 98,6519 4 -48,3761 148 99,6239 5 -47,4041 148 100,5959 C 1 -99,5711 148 48,4289 2 -98,5991 148 49,4009 3 -97,6271 148 50,3729 4 -96,6551 148 51,3449 5 -95,6831 148 52,3169 D 1 -147,8501 148 0,1499 2 -146,8781 148 1,1219 3 -145,9061 148 2,0939 4 -144,9341 148 3,0659 5 -143,9621 148 4,0379 PERFILES LONGITUDINALES PERFILES HORIZONTALES PERFIL "A" 144 146 148 150 152 154 156 158 160 162 0 20 40 60 80 100 DISTANCIA COTAS COTAS NATURALES COTAS NIVELADAS
  • 30.
    UNPRG – FACULTADDE INGENIERIA AGRICOLA “METODOS DE NIVELACION DE TIERRAS” M. CENTROIDE/ M. MINIMOS CUADRADOS/ M. PARCELAS. 30 PERFIL "B" 0 50 100 150 200 250 0 50 100 DISTANCIA COTAS COTAS NATURALES COTAS NIVELADAS PERFIL "C" 0 50 100 150 200 250 300 0 50 100 DISTANCIA COTAS COTAS NATURALES COTAS NIVELADAS PERFIL "D" 0 50 100 150 200 250 300 0 50 100 DISTANCIA COTAS COTAS NATURALES COTAS NIVELADAS
  • 31.
    UNPRG – FACULTADDE INGENIERIA AGRICOLA “METODOS DE NIVELACION DE TIERRAS” M. CENTROIDE/ M. MINIMOS CUADRADOS/ M. PARCELAS. 31 PERFILES VERTICALES PERFIL "1" 0 50 100 150 200 250 300 0 20 40 60 80 DISTANCIA COTAS COTAS NATURALES COTAS NIVELADAS PERFIL "2" 0 50 100 150 200 250 300 0 20 40 60 80 DISTANCIA COTAS COTAS NATURALES COTAS NIVELADAS PERFIL "3" 0 50 100 150 200 250 300 0 20 40 60 80 DISTANCIA COTAS COTAS NATURALES COTAS NIVELADAS
  • 32.
    UNPRG – FACULTADDE INGENIERIA AGRICOLA “METODOS DE NIVELACION DE TIERRAS” M. CENTROIDE/ M. MINIMOS CUADRADOS/ M. PARCELAS. 32 PERFIL "4" 0 50 100 150 200 250 300 0 20 40 60 80 DISTANCIA COTAS COTAS NATURALES COTAS NIVELADAS PERFIL "5" 0 50 100 150 200 250 300 0 20 40 60 80 DISTANCIA COTAS COTAS NATURALES COTAS NIVELADAS
  • 33.
    UNPRG – FACULTADDE INGENIERIA AGRICOLA “METODOS DE NIVELACION DE TIERRAS” M. CENTROIDE/ M. MINIMOS CUADRADOS/ M. PARCELAS. 33 5.3. APLICACIÓN DE METODO DE LAS PARCELAS EN LA CUADRICULA DE 4X3. Dada la siguiente cuadricula. Aplique en ella el método de las parcelas. 20 20 150 155 160 152 148 215 260 270 200 218 216 232 245 254 238 244 275 205 254 261 Solución: Calculo del centroide Ƃ ൌ centroide ሾzሿ ൌ 4352 N ൌ 20 Dónde: ƃ ൌ ሾzሿ N ൌ 4352 20 ൌ 217.6 Calculo de alturas ALTURA ൌ Zi െ ƃ Si la altura es (+) entonces es corte (RC) Si la altura es (-) entonces es relleno (RR)
  • 34.
    UNPRG – FACULTADDE INGENIERIA AGRICOLA “METODOS DE NIVELACION DE TIERRAS” M. CENTROIDE/ M. MINIMOS CUADRADOS/ M. PARCELAS. 34 Calculo de áreas COORDENADAS ANCHO ALTO AREA A 1 10 10 100 2 20 10 200 3 20 10 200 4 20 10 200 5 10 10 100 B 1 10 20 200 2 20 20 400 3 20 20 400 4 20 20 400 5 10 20 200 C 1 10 20 200 2 20 20 400 3 20 20 400 4 20 20 400 5 10 20 200 D 1 10 10 100 2 20 10 200 3 20 10 200 4 20 10 200 5 10 10 100
  • 35.
    UNPRG – FACULTADDE INGENIERIA AGRICOLA “METODOS DE NIVELACION DE TIERRAS” M. CENTROIDE/ M. MINIMOS CUADRADOS/ M. PARCELAS. 35 PRIMER TANTEO COORDENADAS COTAS ALTURAS AREAS VOLUMEN Zi ƃ CORTE RELLENO CORTE RELLENO CORTE RELLENO A 1 150 217.6 67.6 100 6760 2 155 62.6 200 12520 3 160 57.6 200 11520 4 152 65.6 200 13120 5 148 69.6 100 6960 B 1 215 2.6 200 520 2 200 17.6 400 7040 3 218 0.4 400 160 4 216 1.6 400 640 5 232 14.4 200 2880 C 1 260 42.4 200 8480 2 245 27.4 400 10960 3 254 36.4 400 14560 4 238 20.4 400 8160 5 244 26.4 200 5280 D 1 270 52.4 100 5240 2 275 57.4 200 11480 3 205 12.6 200 2520 4 254 36.4 200 7280 5 261 43.4 100 4340 ∑ 2800 2000 78820 61600 ∑ ܸܿ ∑ ܸ‫ݎ‬ ൌ 78820 61600 ൌ 1.279545455 1.27954545 SE ENCUENTRA EN EL RANGO 1.10 Y 1.30
  • 36.
    UNPRG – FACULTADDE INGENIERIA AGRICOLA “METODOS DE NIVELACION DE TIERRAS” M. CENTROIDE/ M. MINIMOS CUADRADOS/ M. PARCELAS. 36 COTAS NATURALES CORREGIDAS COTA NATURAL + ALTURA = COTA NATURAL CORREGIDA Ci = COTA NATURAL + ALTURA = COTA CORREGIDA C1 ൌ 150 + 67.6 ൌ 217.6 C2 ൌ 155 + 62.6 ൌ 217.6 C3 ൌ 160 + 57.6 ൌ 217.6 C4 ൌ 152 + 65.6 ൌ 217.6 C5 ൌ 148 + 69.6 ൌ 217.6 C6 ൌ 215 + 2.6 ൌ 217.6 C7 ൌ 200 + 17.6 ൌ 217.6 C8 ൌ 218 - 0.4 ൌ 217.6 C9 ൌ 216 + 1.6 ൌ 217.6 C10 ൌ 232 - 14.4 ൌ 217.6 C11 ൌ 260 - 42.4 ൌ 217.6 C12 ൌ 245 - 27.4 ൌ 217.6 C13 ൌ 254 - 36.4 ൌ 217.6 C14 ൌ 238 - 20.4 ൌ 217.6 C15 ൌ 244 - 26.4 ൌ 217.6 C16 ൌ 270 - 52.4 ൌ 217.6 C17 ൌ 275 - 57.4 ൌ 217.6 C18 ൌ 205 + 12.6 ൌ 217.6 C19 ൌ 254 - 36.4 ൌ 217.6 C20 ൌ 261 - 43.4 ൌ 217.6 OK
  • 37.
    UNPRG – FACULTADDE INGENIERIA AGRICOLA “METODOS DE NIVELACION DE TIERRAS” M. CENTROIDE/ M. MINIMOS CUADRADOS/ M. PARCELAS. 37 REPRESENTACIÓN DE LA CUADRICULA CON LAS COTAS CORREGIDAS
  • 38.
    UNPRG – FACULTADDE INGENIERIA AGRICOLA “METODOS DE NIVELACION DE TIERRAS” M. CENTROIDE/ M. MINIMOS CUADRADOS/ M. PARCELAS. 38 REPRECENTACION DE LOS CORTES Y RELLENOS DEL TERRENO REPRECENTACION DE PERFILES LONGITUDINALES PERFILES HORIZONTALES 0 50 100 150 200 250 0 20 40 60 80 100 C O T A S DISTANCIA PERFIL "A" COTA DE TERRENO NATURAL COTA DE TERRENO NIVELADO
  • 39.
    UNPRG – FACULTADDE INGENIERIA AGRICOLA “METODOS DE NIVELACION DE TIERRAS” M. CENTROIDE/ M. MINIMOS CUADRADOS/ M. PARCELAS. 39 195 200 205 210 215 220 225 230 235 0 20 40 60 80 100 C O T A S DISTANCIA PERFIL "B" COTA DE TERRENO NATURAL COTA DE TERRENO NIVELADO 0 50 100 150 200 250 300 0 20 40 60 80 100 C O T A S DISTANCIA PERFIL "C" COTA DE TERRENO NATURAL COTA DE TERRENO NIVELADO 0 50 100 150 200 250 300 0 20 40 60 80 100 C O T A S DISTANCIA PERFIL "D" COTA DE TERRENO NATURAL COTA DE TERRENO NIVELADO
  • 40.
    UNPRG – FACULTADDE INGENIERIA AGRICOLA “METODOS DE NIVELACION DE TIERRAS” M. CENTROIDE/ M. MINIMOS CUADRADOS/ M. PARCELAS. 40 PERFILES VERTICALES 0 50 100 150 200 250 300 0 20 40 60 80 C O T A S DISTANCIA PERFIL "1" COTA DE TERENO NATURAL COTA DE TERRENO NIVELADO 0 50 100 150 200 250 300 0 20 40 60 80 C O T A S DISTANCIA PERFIL "2" COTA DE TERENO NATURAL COTA DE TERRENO NIVELADO 0 50 100 150 200 250 300 0 20 40 60 80 C O T A S DISTANCIA PERFIL "3" COTA DE TERENO NATURAL COTA DE TERRENO NIVELADO
  • 41.
    UNPRG – FACULTADDE INGENIERIA AGRICOLA “METODOS DE NIVELACION DE TIERRAS” M. CENTROIDE/ M. MINIMOS CUADRADOS/ M. PARCELAS. 41 0 50 100 150 200 250 300 0 20 40 60 80 C O T A S DISTANCIA PERFIL "4" COTA DE TERENO NATURAL COTA DE TERRENO NIVELADO 0 50 100 150 200 250 300 0 20 40 60 80 C O T A S DISTANCIA PERFIL "5" COTA DE TERENO NATURAL COTA DE TERRENO NIVELADO
  • 42.
    UNPRG – FACULTADDE INGENIERIA AGRICOLA “METODOS DE NIVELACION DE TIERRAS” M. CENTROIDE/ M. MINIMOS CUADRADOS/ M. PARCELAS. 42 6. CONCLUCIONES El desarrollo de esta práctica es de mucha importancia porque nos da a conocer la variación de la nivelación en pequeñas aproximaciones que existe en la aplicación de estos métodos. Fue importante conocer que la diferencia entre estos métodos es que unos son más rápidos que otros en su aplicación dentro de la nivelación de esta cuadricula de 4X3. Hemos descubierto que gracias a estos métodos de nivelación nos permiten hallar el corte y relleno óptimo para no desperdiciar la tierra y ahorrar tiempo y dinero. Hemos visto que en los perfiles de la cuadricula nivelada la pendiente tiende a cero debido a que las cotas del están corregidas.
  • 43.
    UNPRG – FACULTADDE INGENIERIA AGRICOLA “METODOS DE NIVELACION DE TIERRAS” M. CENTROIDE/ M. MINIMOS CUADRADOS/ M. PARCELAS. 43 7. BIBLIOGRAFIA LIBRO DE TOPOGRAFÍA DE MIGUEL MONTES DE OCA. LIBRO DE TOPOGRAFÍA GENERAL SABRO HIGASHIDA MIYABARA TOPOGRAFIA TECNICAS MODERNAS – JORGE MENDOZA DUEÑAS MANUAL DE TOPOGRAFÍA - ING. SERGIO JUNIOR NAVARRO GUMIEL TOPOGRAFÍA, NABOR BALLESTEROS TENA APUNTES DE TOPOGRAFÍA, ING. AUGUSTO MEDINACELI. FUNDAMENTOS DE TOPOGRAFIA LUIS. A TOPOGRAFIA PRACTICA EDUARDO. A LIBRO DE TOPOGRAFIA II - ANTONIO VILCA APUNTES DE TOPOGRAFIA - ING. MANUEL ZAMARRIPA MEDINA. CURVAS DE NIVEL Y PERFILES UNIVERSIDAD DE CHILE.
  • 44.
    UNPRG – FACULTADDE INGENIERIA AGRICOLA “METODOS DE NIVELACION DE TIERRAS” M. CENTROIDE/ M. MINIMOS CUADRADOS/ M. PARCELAS. 44UNIVERSIDAD NACIONAL PEDRO RUIZ GALLO FACULTAD DE INGENIERIA AGRICOLA ESCUELA PROFESIONAL DE INGENIERIA AGRICOLA “METODOS DE NIVELACION DE TIERRAS” DOCENTE: ING. SALAZAR BRAVO, WESLEY INTEGRANTES: - ACOSTA CORDOVA, FELICIANO -BARBOZA BARBOZA JEAN DIEGO -CAMPOS COLUNCHE, JOSE A. -CRUZ VILCA, JUAN -ELIAS PORTOCARRERO, CRISTIAN -PURIHUAMAN ORDOÑES, EDINSON - PEREZ RODAS, CARLOS -VAIADOLID INOÑAN, MAX -VASQUEZ MONZALVE, JHONY M. FIA TOPOGRAFIA APLICADA CICLO: 2014 – II LAMBAYEQUE – MARZO – 2015