1
ANÁLISIS DE DUALIDAD
M. En C. Eduardo Bustos Farías
2
LA TEORÍA DE LA
DUALIDAD
El método simplex además de resolver un
problema de PL llegando a una solución óptima
nos ofrece más y mejores elementos para la toma
de decisiones.
La dualidad y el análisis de sensibilidad son
potencialidades de éste método.
El concepto de dualidad indica que para cada
problema de PL hay una asociación y una
relación muy importante con otro problema de
programación lineal, llamado precisamente dual.
3
La relación entre el problema dual y su asociado, es
decir el problema original llamado primal, presenta
varias utilidades:
1. Aporta elementos que aumentan sustancialmente la
compresión de la PL.
2. El análisis de dualidad es una herramienta útil en la
solución de problemas de PL, por ejemplo: más
restricciones que variables.
3. El problema dual tiene interpretaciones e
informaciones importantes que muestran que los
análisis marginales están siempre involucrados
implícitamente al buscar la solución óptima a un
problema de PL.
4
¿Cómo convertir un problema
primal a dual?
Un problema dual se formula de un problema primal de la siguiente
forma:
1. Si el primal es un problema de maximización su dual será un
problema de minimización y viceversa.
2. Los coeficientes de la función objetivo del problema primal se
convierten en los coeficientes del vector de disponibilidad en el
problema dual.
3. Los coeficientes del vector de disponibilidad del problema
original se convierten en los coeficientes de la función objetivo
(vector de costo o precio) en el problema dual.
4. Los coeficientes de las restricciones en el problema primal, será la
matriz de los coeficientes tecnológicos en el dual.
5. Los signos de desigualdad del problema dual son contrarios a los
del primal.
6. Cada restricción en un problema corresponde a una variable en el
otro problema. Si el primal tiene m restricciones y n variables, el dual
tendrá n restricciones y m variables. Así, las variables Xn del primal
se convierte en nuevas variables Ym en el dual.
5
En forma general
6
Dualidad
MAX Z= 3X1 + 4X2 – 2X3 Variables duales
S. a: 4X1 – 12X2 + 3X3 < 12 Y1
–2X1 + 3X2 + X3 < 6 Y2
–5X1 + X2 – 6X3 < -40 Y3
3X1 – 4X2 – 2X3 < 10 Y4
X1 > 0, X2 > 0, X3 >0 no restringida en signo
Min Z´ = 12Y1 + 6Y2 – 40Y3 + 10Y4
S. a: 4Y1 – 2Y2 – 5Y3 + 3Y4 >= 3
–12Y1 + 3Y2 + Y3 - 4Y4 >= 4
3Y1 + Y2 – 6Y3 – 2Y4 >= -2
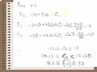
Y1 > 0, Y2 > 0, Y3 > 0, Y4 > 0 no restringida en signo
7
EJEMPLOS
Si el problema primal es:
MAX Z= 45X1 + 17X2 + 55X3
Sujeto a:
X1 + X2 + X3 ≤ 200
9X1 + 8X2 + 10X3 ≤ 5000
10X1+ 7X2 + 21 X3 ≤ 4000
Xj ≥ 0
8
El problema dual será:
MIN Z= 200Y1 + 5000Y2 + 4000Y3
Sujeto a:
Y1 + 9Y2 + 10Y3 ≥ 45
Y1 + 8Y2 + 7Y3 ≥ 17
Y1 + 10Y2 + 21Y3 ≥ 55
Yj ≥ 0
MAX Z= 45X1 + 17X2 + 55X3
Sujeto a:
X1 + X2 + X3 ≤ 200
9X1 + 8X2 + 10X3 ≤ 5000
10X1+ 7X2 + 21 X3 ≤ 4000
Xj ≥ 0
9
Ejemplo
Problema primal:
MIN Z= 19X1 + 18X2
Sujeto a:
X1 + 5X2 ≥ 100
X1 + 3X2 ≥ 200
X1 ≥ 50
X2 ≥ 35
Xj ≥ 0
10
Solución
Problema primal:
MIN Z= 19X1 + 18X2
Sujeto a:
X1 + 5X2 ≥ 100
X1 + 3X2 ≥ 200
X1 ≥ 50
X2 ≥ 35
Xj ≥ 0
Problema dual:
MAX Z=100Y1 + 200Y2 + 50Y3 + 35Y4
Sujeto a:
Y1 + Y2 + Y3 ≤ 19
5Y1 + 3Y2 + + Y4 ≤ 18
Yj ≥ 0
11
RESUMEN DE LA RELACIÓN DE LOS
PROBLEMAS PRIMAL Y DUAL:
PRIMAL
DUAL
Maximizar Z Minimizar Z
Minimizar Z Maximizar Z
Restricción ≤ bi Restricción ≥ Ci
Restricción ≥ bi Restricción ≤ Ci
Restricción = bi Variable i no restringida
Variable i no restringida Restricción = Ci
12
Análisis de
Sensibilidad
M. En C. Eduardo Bustos Farías
13
¿Qué es el análisis de
sensibilidad?
• El análisis de sensibilidad es el estudio de la
forma en la que se afecta la solución óptima al
presentarse cambios en los coeficientes de un
programa lineal.
• Utilizando éste análisis podemos responder a
preguntas como las siguientes:
• ¿Cómo afectará a la solución óptima un cambio
en uno de los coeficientes de la función objetivo?
• ¿Cómo afectará a la solución óptima un cambio
en el valor del segundo elemento de una
restricción?
14
ANÁLISIS DE
POSTOPTIMALIDAD
• Dado que el análisis de sensibilidad se ocupa de
la forma en que los cambios anteriores afectan a
la solución óptima, el análisis no comienza hasta
que se obtiene, precisamente, la solución óptima
al problema de programación lineal original.
• Por esto último al análisis de sensibilidad con
frecuencia se le denomina análisis de
postoptimalidad.
• Así pues, pese al cambio en alguno de los
parámetros de la formulación original que dan
paso a un nuevo problema, no será necesario
volver a resolver el problema desde el principio.
15
ENTORNO DINÁMICO DE
LOS NEGOCIOS
• La principal razón de la importancia del análisis de
sensibilidad para quienes toman las decisiones es que los
problemas reales ocurren en un medio ambiente
dinámico. Los precios de las materias primas varían, la
demanda fluctúa, las empresas sustituyen maquinaria y
mano de obra, etc.
• Si se ha utilizado un modelo de programación lineal en un
entorno de este tipo (dinámico), puede esperarse que con
el paso del tiempo algunos de los coeficientes cambian.
Los administradores desearán determinar la forma en que
esos cambios afectan a la solución óptima del problema
de programación lineal original.
16
CAMBIOS EN EL PL
ORIGINAL
El nuevo problema puede diferir del original
en uno o varios de los siguientes aspectos:
1. Cambios en la disponibilidad de recursos
(vector b).
2. Cambios en los costos unitarios o
utilidades (vector c).
3. Cambios en los coeficientes tecnológicos
(matriz aij)
17
PREDICCIÓN DE LAS
CONDICIONES FUTURAS
• El trabajo del equipo de investigación de
operaciones apenas comienza cuando se ha
aplicado con éxito el método símplex para
identificar una solución óptima del modelo.
• Los valores de los parámetros que se usan
en el modelo casi siempre son sólo
estimaciones basadas en una predicción de
las condiciones futuras.
18
ESTIMACIÓN DE LOS
PARÁMETROS
Los datos obtenidos para desarrollar estas
estimaciones con frecuencia son bastante
imperfectos o no existen, así que los
parámetros de la formulación original
pueden representar poco más que
estimaciones optimistas o pesimistas que
protegen los intereses de los estimadores.
19
IMPORTANCIA DEL
ANÁLISIS
• Por estas razones es importante llevar a cabo un análisis
de sensibilidad, para investigar el efecto que tendría
sobre la solución óptima proporcionada por el método
símplex el hecho de que los parámetros tomaran otros
valores posibles.
• En general, habrá algunos parámetros a los que se les
puede asignar cualquier valor razonable sin que afecten la
optimalidad de esta solución. Sin embargo, también habrá
parámetros con valores probables que lleven a una nueva
solución óptima.
• Esta situación es particularmente seria, si la solución
original adquiere valores sustancialmente inferiores en la
función objetivo, o quizá no factibles.
20
PARÁMETROS SENSIBLES
Por lo anterior, un objetivo fundamental del análisis
de sensibilidad es identificar los parámetros
sensibles, (por ejemplo, los parámetros cuyos
valores no pueden cambiar sin que cambie la
solución óptima). Para ciertos parámetros que no
están clasificados como sensibles, también puede
resultar de gran utilidad determinar el intervalo
de valores del parámetro para el que la solución
óptima no cambia.
21
INFORMACIÓN PRODUCTO
DEL ANÁLISIS
La información de este tipo es invaluable en dos
sentidos.
Primero, identifica los parámetros más importantes, con
lo que se puede poder un cuidado especial al hacer
sus estimaciones y al seleccionar una solución que
tenga un buen desempeño para la mayoría de los
valores posibles.
Segundo, identifica los parámetros que será necesario
controlar de cerca cuando el estudio se lleve a la
práctica. Si se descubre que el valor real de un
parámetro se encuentra fuera de su intervalo de
valores permisibles, ésta es una señal inminente de
que es necesario cambiar la solución.
22
El análisis de sensibilidad prácticamente
elimina el esfuerzo computacional
El análisis de sensibilidad requeriría un
esfuerzo computacional exorbitante si
fuera necesario volver a aplicar el método
símplex desde el principio para investigar
cada cambio en el valor de un parámetro.
Por fortuna, la esencia fundamental del
análisis de sensibilidad prácticamente
elimina el esfuerzo computacional.
23
Resumen del procedimiento
para análisis de sensibilidad.
• 1. Revisión del modelo: se hacen los cambios
deseados en el modelo que se va a investigar.
• 2. Revisión de la tabla símplex final: se emplea la
idea fundamental para determinar los cambios
que resultan en la tabla símplex final.
• 3. Conversión a la forma apropiada: se convierte
esta tabla en la forma apropiada para identificar y
evaluar la solución básica actual aplicando
(según sea necesario) eliminación de Gauss.
24
Resumen del procedimiento
para análisis de sensibilidad.
• 4. Prueba de factibilidad: se prueba la factibilidad de
esta solución verificando que todas las variables básicas
sigan teniendo valores no negativos en la columna del
lado derecho.
• 5. Prueba de optimalidad: se verifica si esta solución es
óptima (si es factible), comprobando que todos los
coeficientes de las variables no básicas en el renglón 0
sigan siendo no negativos.
• 6. Reoptimización: si esta solución no pasa cualquiera de
las pruebas, se puede obtener (si se desea) la nueva
solución óptima partiendo de la tabla actual como tabla
símplex inicial (haciendo las conversiones necesarias)
para el método símplex o el símplex – dual.
25
Análisis de Sensibilidad del
coeficiente del lado derecho
• Cualquier cambio en el lado derecho (bj)
de una restricción activa cambiará la
solución óptima.
• Cualquier cambio en el lado derecho de
una restricción no activa que sea menor
que la holgura o o el exceso, no produce
ningún cambio en la solución óptima.
26
CAMBIOS EN LA DISPONIBILIDAD
DE RECURSOS (VECTOR b).
Para el análisis de sensibilidad de la validez de
los coeficiente del lado derecho nos interesa
responder las siguientes preguntas :
– ¿ Manteniendo todos los otros coeficientes , en cuánto cambiaría
el valor óptimo de la función objetivo (por ejemplo, la ganancia)
si el coeficiente del lado derecho de una restricción cambia en
una unidad?
– ¿ Hasta cuántas unidades se puede agregar o disminuir para que
la solución siga siendo válida?
27
Ejemplo 1. Agro Tech
ANÁLISIS DE SENSIBILIDAD
28
AGRO TECH
• La última vez que vimos el problema de Ia
Agro-Tech Inc., estábamos tratando de
determinar Ia mezcla de producción de los
fertilizantes 5-5-10 y 5-10-5 que fuera mas
redituable.
• El primero se vendía en $71.50 por tonelada
y el segundo en $69.
• En el proceso de planeación, había tenia
que trabajar dentro de Ia estructura de Ia
disponibilidad de las materias primas
escasas que se usan en Ia producción de
los fertilizantes.
29
• Recordemos que las materias primas eran nitrato,
fosfato y potasio.
• Los precios de éstas eran $200, $80 y $160 por
tonelada, respectivamente; y había disponibles
1100, 1800 y 2000 toneladas de los recursos
correspondientes.
• Utilizando esta información, junto con el precio de
$10 por tonelada de cantidades ilimitadas de relleno
y un precio de $15 Ia tonelada por concepto de
mezclado, se calcularon contribuciones a las
utilidades do $18.50 por tonelada del 5-5-10 y
$20.00 por tonelada del 5-10-5.
30
• Después, se planteó el problema en
forma de programación lineal con dos
variables y tres restricciones y se
resolvió a través del método simplex.
31
• Los resultados de este planteamiento y su
solución óptima fueron que Ia política óptima
consistiría en fabricar 8000 toneladas de 5-
5-10 y 14,000 toneladas del 5-10-5.
• La producción y venta de estas cantidades
dan como resultado una contribución de
$428,000 a las utilidades de Ia Agro-Tech
Inc.
32
Este mes hay un problema nuevo.
Aunque las disponibilidades y costos de las materias
primas han permanecido iguales, Ia compañía
desea considerar Ia fabricación de un tercer
producto, un fertilizante 5-5-5, que puede venderse
en $60 Ia tonelada.
Ahora, hay que considerar tres productos, en vez de
dos, en su decisión sobre producción.
Dada que la Agro-Tech no tiene pedidos atrasados o
comprometidos que deba surtir para cualquiera de
los productos, se desea fabricar Ia combinación de
fertilizantes que proporcione Ia contribución máxima
a las utilidades.
33
Para plantear el problema, se ha decidido
emplear los siguientes símbolos
X1 = toneladas de 5-5-10 que deben
fabricarse
X2 = toneladas de 5-10-5 que deben
fabricarse
X3 = toneladas de 5-5-5 que deben fabricarse
34
Utilizando eI precio de venta de $60 por tonelada y Ia mezcla de
ingredientes (5-5-5) para el tercer producto, su contribución a
las utilidades es de $14.50 por tonelada.
Dado que no se han añadido restricciones adicionales, se planteó
el problema de Ia siguiente manera:
MAXIMIZAR:
Z= 18.5x1 + 20x2 + 14.5x3
SUJETO A:
0.05x1 + 0.05x2 + 0.05x3 <= 1100
0.05x1 +0.10x2+0.05x3 <= 1800
0.10x1 +0.05x2+0.05x3 <= 2000
x1,x2,,,x3 >= 0
35
TABLA SIMPLEX INICIAL POR
WINQSB
36
Utilizando el método simplex para
resolver el problema anterior, se
obtiene Ia tabla óptima que se muestra
a continuación.
37
Tabla óptima
38
TABLA ÓPTIMA POR WINQSB
Definiciones:
Las variables básicas son aquellas donde
Las variables no básicas son aquellas en donde
0≥− jj ZC
0≤− jj ZC
39
Al examinar Ia solución, se observa que es
exactamente igual a la del problema original
con dos productos; es decir, Ia compañía
debe fabricar 8,000 toneladas del fertilizante
5-5-10 y 14,000 toneladas del 5-10-5.
Las utilidades esperadas serían de nuevo
$428,000.
Este resultado asombró un poco porque Ia
solución significa que el programa de
producción puede quedar sin modificarse,
pero no Ie resulta irrazonable aceptar Ia
solución.
40
Sin embargo, existen otros departamentos en Ia Agro-Tech
que podrían afectar Ia decisión de quedarse con el
programa de producción que ya se tiene.
Al departamento de mercadotecnia de Ia Agro-Tech, Ie
preocupa el hecho de que, si se acepta Ia solución
obtenida, no se fabricaría nada del nuevo fertilizante 5-5-
5.
El departamento de mercadotecnia acepta que Ia solución
de programación lineal para el problema proporcione Ia
mezcla de producción con utilidades máximas, pero
también sabe que fabricar el nuevo fertilizante 5-5-5 es
de importancia por razones de mercadotecnia.
41
No se puede obligar aI departamento de producción
a sacrificar utilidades para fabricar alguna
cantidad del 5-5-5, pero tiene Ia capacidad de
aumentar su precio de venta para que resulte lo
suficientemente redituable para quedar incluido
en Ia mezcla óptima de producción para el mes
siguiente.
Por ello, nos gustaría saber cuánto tendría que
aumentarse el precio para hacer que Ia
producción del 5-5-5 resulte redituable.
42
• Al mismo tiempo que el departamento de
mercadotecnia está considerando aumentar
eI precio del 5-5-5, el departamento de
compras de Ia Agro-Tech, está
considerando un posible cambio en las
materias primas.
• TaI vez eI mes siguiente se reduzca Ia
disponibilidad de nitrato.
• No se está seguro de cuál será Ia magnitud
de Ia reducción y, por ello, no puede
proporcionarle a producción un valor que
pueda utilizar para planear Ia producción.
43
• Otro cambio que se está considerando es
una posible reducción en eI precio del 5-5-
10.
• Los vendedores informan que una compañía
de Ia competencia ha reducido su precio
para ofrecer el mismo fertilizante y, como
resultado, Ia Agro-Tech debe considerar
reducir su precio para enfrentar Ia
competencia.
44
• Desde el punto de vista general de Ia
compañía, debe volverse a examinar Ia
decisión de continuar fabricando sólo dos
fertilizantes para incluir en el análisis las
cuestiones planteadas por los
departamentos de mercadotecnia y
compras.
• Puede utilizarse eI análisis de sensibilidad
para continuar estudiando el problema.
45
CAMBIO EN EL COEFICIENTE DE LA
FUNCIÓN OBJETIVO DE UNA VARIABLE NO
BÁSICA
46
Se comienza el análisis considerando el impacto de
cambiar el valor de las utilidades (coeficiente de la
función objetivo) para una de las variables que de
momento no es básica.
El ejemplo se refiere al caso en el que se considera el
nuevo fertilizante 5-5-5.
Recuerde que aI departamento de mercadotecnia le
gustaría saber cuánto debe aumentar el precio del
5-5-5 con el objeto de hacerlo lo suficientemente
redituable para que quede incluido en la mezcla
óptima de productos de programación lineal.
47
Recuerde también que una variable no básica
es aquella cuya contribución neta a las
utilidades (es decir, cj- zj) en la tabla óptima
es no positiva.
Las utilidades que se obtendrían al fabricar
cualquier cantidad de una variable no básica
son menores o iguales que las utilidades a
las que sería necesario renunciar.
Revisando la tabla óptima, se observa que las
variables x3, S1 y S2 son no básicas.
48
TABLA ÓPTIMA POR WINQSB
Definiciones:
Las variables básicas son aquellas donde
Las variables no básicas son aquellas en donde
0≥− jj ZC
0≤− jj ZC
49
• Desde un punto de vista gráfico, un
cambio en el valor de las utilidades
para cuaIquier variable equivale a un
cambio en Ia pendiente de las Iíneas
de isoutilidad que se utilizan para
encontrar Ia solución óptima.
• Para observar Ia forma en que esto
funciona, considere Ia solución gráfica
hipotética de un problema de PL que
se muestra en Ia figura siguiente.
50
51
• En la figura anterior, la solución óptima original
ocurre en el punto D con Ia función objetivo 1.
• En el punto D, x1 es básica y X2 es no básica.
• Sin embargo, si se aumenta la utilidad de x2 la
pendiente de Ia función objetivo cambia porque se
necesitan menos unidades de x2 para obtener
iguales utilidades que con una unidad de x1.
• Si la utilidad de x2 aumenta lo suficiente, entonces la
función objetivo se convertiría en la línea punteada
identificada con el número 2.
• Para esta función objetivo, la solución óptima es el
punto C, y tanto x1 como x2 son básicas.
52
La sensibilidad de Ia solución óptima a
cambios de los coeficientes de Ia función
objetivo puede determinarse añadiendo una
cantidad ∆j aI coeficiente que se tiene de la
función objetivo, cj.
Por ello, el nuevo coeficiente de Ia función
objetivo es
_ _ _
Cj = ∆j + Cj
53
Es posible determinar qué tan grande puede
ser a partir del requerimiento de optimidad
de que (cj - zj) sea cero a negativo para un
problema de maximización.
Para el coeficiente modificado cj, esto significa
que cj – zj <= 0. La sensibilidad se mide a
través del valor de ∆j puesto que indica el
intervalo de costos sobre los cuales la
solución óptima existente seguirá siendo
óptima.
54
Considerando x3, recuerde que al
departamento de mercadotecnia Ie gustaría
determinar Ia magnitud del aumento en el
precio que se requeriría para fabricar el
fertilizante 5-5-5.
Puede responderse esta pregunta
determinando ∆3 (y c3) para Ia variable x3.
Se comienza el proceso añadiendo un
coeficiente ∆3 aI coeficiente c3 asociado con
x3 en Ia tabIa.
55
La tabla 5-2 muestra la tabla modificada.
Antes de que x3 se pueda volver
básica, el valor (cj - zj) asociado con x3
debe volverse no negativo.
Expresada en términos de los valores
reales de Ia tabla, esto significa que
∆3 — 4.0>= 0
56
TABLA 5-2
57
Despejando ∆3, se tiene que ∆3 >= 4.0.
Puesto que C3= C3 + ∆3,
C3 = 14.5 + ∆3
Sustituyendo ∆3 >= 4.0 se obtiene
C3 >= 18.5
58
RESUMEN
5.18
5.144
4
04
3
3
≤+∆
+≤+∆
≤∆
≤−∆
C
C
59
60
Esto indica que si el precio de x3 se elevara un poco
más de los $4.00, es decir, si su contribución a las
utilidades fuera mayor que $18.50, entonces la
producción de x3 se volvería más redituable que la
mezcla actual de producción de 8,000 de x1 y
14,000 de x2.
Si el precio se aumentara exactamente $4.00, se
llegaría a un punto de decisión en el que podría
fabricarse x3, pero no se obtendrían utilidades
adicionales. Se obtendrían los mismos $428,000 de
utilidades para esta solución óptima alternativa.
61
Para responder a la pregunta del
departamento de mercadotecnia con
respecto al aumento en el precio del
producto 3, no es necesario llevar a cabo un
análisis del cambio en el coeficiente de las
otras variables no básicas, s1 y s2.
Sin embargo, si se desea, puede utilizarse el
análisis anterior para cada una de estas
variables.
62
Si la utilidad de la variable no básica
disminuye, no hay cambio en la solución
óptima; o si la contribución a las utilidades
aumenta en una cantidad inferior al valor Icj
- zjI para la variable, no habrá cambio en la
solución óptima.
SóIo si la contribución a las utilidades aumenta
en una cantidad que sea mayor que el valor
actual de Icj - zjI cambia la solución óptima.
63
Puede verse en forma intuitiva que esto es lo
que debe ocurrir.
Una variable no básica no se encuentra en la
solución óptima porque las utilidades que se
obtienen al fabricar ese producto son
inferiores a lo que se perdería por hacerlo.
Para cambiar esta relación, es necesario
aumentar la contribución del producto a las
utilidades hasta que sean iguales a mayores
que lo que se perdería por fabricarlo.
64
Cambio en el coeficiente de la
función objetivo de las
variables básicas
65
• Para mantener la solución actual óptima, debe
asegurarse que ningún valor Cj – Zj se vuelva
positivo. Despejamos una desigualdad para cada uno
de los valores no básicos.
• Para x1:
;02030:
;040340:
;04:
2
1
3
≤∆+−
≤∆−
≤∆−−
S
S
x
5.1
5.8
4
≥∆
−≥∆
−≥∆
Se forma un intervalo con los valores más restrictivos:
205.14
5.185.145.18
5.14
1
1
≤+∆≤
+≤+∆≤−
≤∆≤−
C
C
<
=
-
66
Para x2:
;02030:
;020340:
;004:
2
1
3
≤∆−−
≤∆+−
≤∆−−
S
S
x
5.1
17
−≥∆
≤∆
375.18
20175.120
175.1
2
2
≤+∆≤
+≤+∆≤−
≤∆≤−
C
C
67
68
69
Cálculo del intervalo de variación
de los recursos
70
Cálculo del intervalo de variación de los recursos.
Recurso 1
;03500
;02014000
;0408000
≥∆−
≥∆−
≥∆+
6.166
700
200
≤∆
≤∆
−≥∆
6.31266900
6.1661002001100
6.166200
1
1
≤+∆≤
+≤+∆≤−
≤∆≤−
r
r
MAXIMIZAR:
Z=18.5x1 + 20x2 + 14.5x3
SUJETO A:
0.05x1 + 0.05x2 + 0.05x3 <= 1100
0.05x1 +0.10x2+0.05x3 <= 1800
0.10x1 +0.05x2+0.05x3 <= 2000
x1,x2,,,x3 >= 0
1100
1266.6
71
Recurso 2
;0500
;02014000
;0208000
≥∆+
≥∆+
≥∆−
500
700
400
−≤∆
−≤∆
≥∆
22001300
18004005001800
400500
2
2
≤+∆≤
+≤+∆≤−
≤∆≤−
r
r
MAXIMIZAR:
Z=18.5x1 + 20x2 + 14.5x3
SUJETO A:
0.05x1 + 0.05x2 + 0.05x3 <= 1100
0.05x1 +0.10x2+0.05x3 <= 1800
0.10x1 +0.05x2+0.05x3 <= 2000
x1,x2,,,x3 >= 0
72
Recurso 3
1500
;500500
;0014000
;008000
3 ≥+∆
−≥∆+
≥∆+
≥∆+
r
MAXIMIZAR:
Z=18.5x1 + 20x2 + 14.5x3
SUJETO A:
0.05x1 + 0.05x2 + 0.05x3 <= 1100
0.05x1 +0.10x2+0.05x3 <= 1800
0.10x1 +0.05x2+0.05x3 <= 2000
x1,x2,,,x3 >= 0
73
74
ANALISIS DE SENSIBILIDAD
CON WINQSB
75
Cambios en los valores de las
variables básicas y en el valor
óptimo z modificando la
disponibilidad de los recursos
76
77
78
EJERCICIO INTEGRADOR
(MÉTODO DUAL Y ANÁLISIS
DE SENSIBILIDAD)
M. En C. Eduardo Bustos Farías
79
Escom computers
Método simplex, dualidad y análisis
de sensibilidad
80
ESCOM Computer de México fabrica dos
tipos de PCs: un modelo portátil y uno para
escritorio.
Ensambla los gabinetes y las tarjetas de los
circuitos impresos en su única planta, que
también fabrica los gabinetes y monta los
componentes en las tarjetas de circuitos.
La producción mensual está limitada por las
siguientes capacidades:
81
OPERACIÓN PORTATIL PARA ESCRITORIO
PRODUCCIÓN DE CAJAS 4000 2000
MONTAJE DE CIRCUITOS 2500 3000
ENSAMBLADO DE PORTÁTILES 2000 ----------
ENSAMBLADO PARA ESCRITORIO ------- 1800
• Los precios para las tiendas de computadoras son
$1500 para la de escritorio y $1400 para la
portátil.
• Con el fin de ser competitiva, ESCOM Computer
tiene que fijar el precio de sus computadoras
varios cientos de pesos por debajo de los
fabricantes de prestigio.
• En la actualidad la compañía vende todas las
computadoras que produce de cualquiera de los
modelos.
82
• Durante el primer trimestre del año produjo en
cada mes: 2000 portátiles y 600 para escritorio.
• Tanto el montaje de los circuitos como el
ensamblado de las portátiles operaron a toda su
capacidad, pero hubo retraso en la producción de
los gabinetes y en el ensamblado de las
computadoras de escritorio.
• Los contadores de costos determinaron los costos
estándar y los gastos indirectos fijos como se
muestra en las siguientes tablas:
83
PARA ESCRITORIO PORTÁTILES
MATERIALES DIRECTOS
MANO DE OBRA DIRECTA
$800
$690
PRODUCCIÓN DE CAJAS
EXTERNAS
$20 $15
MONTAJE DE TARJETAS 100 90
ENSAMBLADO FINAL 5 10
$125 115
GASTOS INDIRECTOS FIJOS
PRODUCCIÓN DE CAJAS
EXTERNAS
$95 95
LLENADO DE TARJETAS 205 205
MONTAJE FINAL 415 115
$715 415
TOTAL $1640 $1220
84
GASTOS INDIRECTOS FIJOS
TOTALES (X $1000)
GASTOS INDIRECTOS FIJOS
UNITARIOS
Producción de cajas externas $247 $95
Montaje de tarjetas 533 205
Ensamble de componentes de
escritorio
249 415
Ensamblaje de portátiles 230 115
$1259
85
• En la reunión trimestral de los ejecutivos de la compañía. El gerente
de ventas señaló que la computadora de escritorio no estaba
produciendo utilidades. Sugirió que se le diera de baja de la línea de
productos.
• El contralor se opuso, su argumento fue: “Si producimos más
computadoras de escritorio podemos rebajar el costo fijo de $415 del
ensamblado final. Ahora es alto porque estamos produciendo pocas
unidades”.
• El gerente de producción respondió: “Podemos aumentar la
producción si subcontratamos externamente el montaje de circuitos.
Podríamos proporcionar las tarjetas y los componentes y pagarle al
subcontratista sus gastos indirectos y de mano de obra”.
• El presidente terminó la reunión pidiéndole al gerente de ventas, al
contralor y al gerente de producción que se reunieran y le presentaran
una recomendación en relación con la mezcla de productos de la
compañía y con la subcontratación. Les dijo que supusieran que la
demanda se mantendría alta y que la capacidad actual permanecería
fija.
86
NO. DE PCS PORTATILES (X1)
NO. DE PCS DE ESCRITORIO (X2)
CAJAS
OPERACIÓN PORTATIL PARA ESCRITORIO
PRODUCCIÓN DE CAJAS 4000 2000
MONTAJE DE CIRCUITOS 2500 3000
ENSAMBLADO DE PORTÁTILES 2000 ----------
ENSAMBLADO PARA ESCRITORIO ------- 1800
87
PREGUNTAS
1. Formule un programa lineal para
determinar la mezcla óptima de productos.
Suponga que no se permite la
subcontratación.
88
VARIABLES DE DECISIÓN
• X1 = Número de computadoras de
portátiles que se fabrican en un mes.
• X2= Número de computadoras escritorio
que se fabrican en un mes.
89
Solución
Max Z = 180 X1 -140 x2
Sujeta a:
(½) x1 + x2 <= 2000 … (1)
X1 <= 2000 … (2)
X2 <= 1800 … (3)
1.2 X1 + x2 <= 3000 … (4)
X1, X2 >= 0, y enteros
PARA GENERAR LAS RESTRICCIONES:
(x1,y1) (x2, y2)
(4000,0) y (0, 2000)
y-y1 = ((y2-y1)/(x2-x1)) (x-x1)
90
2. Resuelva el problema usando el método
símplex.
91
92
93
94
3. ¿Qué pasaría si no se produjeran Pc´s de
escritorio?, ¿cuál sería la nueva solución?.
95
SOLUCIÓN
• 3. Nada, la solución sería la misma.
96
4. ¿A qué utilidad por unidad convendría
producir Pc´s de escritorio?
97
98
SOLUCIÓN
4. ∆1 — (c1-z1)>= 0
∆1 – (-140-0)>= 0
∆1 +140 >= 0
∆1 >=140
C1 = -140 + ∆1
C1=-140+140 =0
Por lo tanto, valores de c1 superiores a cero.
99
• Ahora se permite que los subcontratistas monten algunos
circuitos. Suponga que la producción de una computadora
con una tarjeta de circuitos montada por el subcontratista
requiere la misma cantidad de tiempo, en cuanto a la
producción del gabinete y el ensamblado final, que la
producción de una computadora con la tarjeta de circuitos
terminada en la fábrica.
• Supóngase que el subcontratista cobrará $110 por cada
tarjeta de circuito para una Pc de escritorio y $100 por
cada tarjeta para una portátil. Escom le proporciona a los
subcontratistas los materiales necesarios.
100
PREGUNTAS
5. ¿Debe Escom utilizar subcontratistas para
montar las tarjetas de circuitos? Argumente
porqué si o porqué no, sin formular y
resolver el problema lineal.
101
PARA ESCRITORIO PORTÁTILES
MATERIALES DIRECTOS
MANO DE OBRA DIRECTA
$800
$690
PRODUCCIÓN DE CAJAS
EXTERNAS
$20 $15
MONTAJE DE TARJETAS 100 90
ENSAMBLADO FINAL 5 10
$125 115
GASTOS INDIRECTOS FIJOS
PRODUCCIÓN DE CAJAS
EXTERNAS
$95 95
LLENADO DE TARJETAS 205 205
MONTAJE FINAL 415 115
$715 415
TOTAL $1640 $1220
TABLA INICIAL
102
PARA ESCRITORIO PORTÁTILES
MATERIALES DIRECTOS
MANO DE OBRA DIRECTA
$800
$690
PRODUCCIÓN DE CAJAS
EXTERNAS
$20 $15
MONTAJE DE TARJETAS 100 90
ENSAMBLADO FINAL 5 10
$125 115
GASTOS INDIRECTOS FIJOS
PRODUCCIÓN DE CAJAS
EXTERNAS
$95 95
LLENADO DE TARJETAS 110 100
MONTAJE FINAL 415 115
$620 310
TOTAL $1545 $1115
TABLA CON
SUBCONTRATACIÓN
103
• 5. Se obtienen mayores utilidades
subcontratando.
104
6. Formule un programa lineal para
determinar la mezcla óptima de productos.
Suponga que si se permite la
subcontratación.
105
SIN SUBCONTRATAR
Max Z = 180 X1 -140 x2
C2= 1500-1640
C1=1400-1220
CON SUBCONTRATACIÓN
C2=1500-1545=-45
C1=1400-1115=285
106
Max Z = 285 X1 -45 x2
Sujeta a:
(½) x1 + x2 <= 2000 … (1)
X1 <= 2000 … (2)
X2 <= 1800 … (3)
1.2 X1 + x2 <= 3000 … (4)
X1, X2 >= 0
107
• ESCRITORIO
• C1= 1500-1545=-45
• PORTÁTILES
• C2=1400-1115=285
108
• 6. CON
SUBCONTRATACIÓN
Max Z = 285 X1 -45 x2
Sujeta a:
(½) x1 + x2 <= 2000 … (1)
X1 <= 2000 … (2)
X2 <= 1800 … (3)
1.2 X1 + x2 <= 3000 … (4)
X1, X2 >= 0
SIN SUBCONTRATACIÓN
Max Z = 180 X1-140 x2
Sujeta a:
(½) x1 + x2 <= 2000 … (1)
X1 <= 2000 … (2)
X2 <= 1800 … (3)
1.2 X1 + x2 <= 3000 … (4)
X1, X2 >= 0
109
7. Resuelva el problema usando el método
símplex.
110
111

Clase3

  • 1.
    1 ANÁLISIS DE DUALIDAD M.En C. Eduardo Bustos Farías
  • 2.
    2 LA TEORÍA DELA DUALIDAD El método simplex además de resolver un problema de PL llegando a una solución óptima nos ofrece más y mejores elementos para la toma de decisiones. La dualidad y el análisis de sensibilidad son potencialidades de éste método. El concepto de dualidad indica que para cada problema de PL hay una asociación y una relación muy importante con otro problema de programación lineal, llamado precisamente dual.
  • 3.
    3 La relación entreel problema dual y su asociado, es decir el problema original llamado primal, presenta varias utilidades: 1. Aporta elementos que aumentan sustancialmente la compresión de la PL. 2. El análisis de dualidad es una herramienta útil en la solución de problemas de PL, por ejemplo: más restricciones que variables. 3. El problema dual tiene interpretaciones e informaciones importantes que muestran que los análisis marginales están siempre involucrados implícitamente al buscar la solución óptima a un problema de PL.
  • 4.
    4 ¿Cómo convertir unproblema primal a dual? Un problema dual se formula de un problema primal de la siguiente forma: 1. Si el primal es un problema de maximización su dual será un problema de minimización y viceversa. 2. Los coeficientes de la función objetivo del problema primal se convierten en los coeficientes del vector de disponibilidad en el problema dual. 3. Los coeficientes del vector de disponibilidad del problema original se convierten en los coeficientes de la función objetivo (vector de costo o precio) en el problema dual. 4. Los coeficientes de las restricciones en el problema primal, será la matriz de los coeficientes tecnológicos en el dual. 5. Los signos de desigualdad del problema dual son contrarios a los del primal. 6. Cada restricción en un problema corresponde a una variable en el otro problema. Si el primal tiene m restricciones y n variables, el dual tendrá n restricciones y m variables. Así, las variables Xn del primal se convierte en nuevas variables Ym en el dual.
  • 5.
  • 6.
    6 Dualidad MAX Z= 3X1+ 4X2 – 2X3 Variables duales S. a: 4X1 – 12X2 + 3X3 < 12 Y1 –2X1 + 3X2 + X3 < 6 Y2 –5X1 + X2 – 6X3 < -40 Y3 3X1 – 4X2 – 2X3 < 10 Y4 X1 > 0, X2 > 0, X3 >0 no restringida en signo Min Z´ = 12Y1 + 6Y2 – 40Y3 + 10Y4 S. a: 4Y1 – 2Y2 – 5Y3 + 3Y4 >= 3 –12Y1 + 3Y2 + Y3 - 4Y4 >= 4 3Y1 + Y2 – 6Y3 – 2Y4 >= -2 Y1 > 0, Y2 > 0, Y3 > 0, Y4 > 0 no restringida en signo
  • 7.
    7 EJEMPLOS Si el problemaprimal es: MAX Z= 45X1 + 17X2 + 55X3 Sujeto a: X1 + X2 + X3 ≤ 200 9X1 + 8X2 + 10X3 ≤ 5000 10X1+ 7X2 + 21 X3 ≤ 4000 Xj ≥ 0
  • 8.
    8 El problema dualserá: MIN Z= 200Y1 + 5000Y2 + 4000Y3 Sujeto a: Y1 + 9Y2 + 10Y3 ≥ 45 Y1 + 8Y2 + 7Y3 ≥ 17 Y1 + 10Y2 + 21Y3 ≥ 55 Yj ≥ 0 MAX Z= 45X1 + 17X2 + 55X3 Sujeto a: X1 + X2 + X3 ≤ 200 9X1 + 8X2 + 10X3 ≤ 5000 10X1+ 7X2 + 21 X3 ≤ 4000 Xj ≥ 0
  • 9.
    9 Ejemplo Problema primal: MIN Z=19X1 + 18X2 Sujeto a: X1 + 5X2 ≥ 100 X1 + 3X2 ≥ 200 X1 ≥ 50 X2 ≥ 35 Xj ≥ 0
  • 10.
    10 Solución Problema primal: MIN Z=19X1 + 18X2 Sujeto a: X1 + 5X2 ≥ 100 X1 + 3X2 ≥ 200 X1 ≥ 50 X2 ≥ 35 Xj ≥ 0 Problema dual: MAX Z=100Y1 + 200Y2 + 50Y3 + 35Y4 Sujeto a: Y1 + Y2 + Y3 ≤ 19 5Y1 + 3Y2 + + Y4 ≤ 18 Yj ≥ 0
  • 11.
    11 RESUMEN DE LARELACIÓN DE LOS PROBLEMAS PRIMAL Y DUAL: PRIMAL DUAL Maximizar Z Minimizar Z Minimizar Z Maximizar Z Restricción ≤ bi Restricción ≥ Ci Restricción ≥ bi Restricción ≤ Ci Restricción = bi Variable i no restringida Variable i no restringida Restricción = Ci
  • 12.
    12 Análisis de Sensibilidad M. EnC. Eduardo Bustos Farías
  • 13.
    13 ¿Qué es elanálisis de sensibilidad? • El análisis de sensibilidad es el estudio de la forma en la que se afecta la solución óptima al presentarse cambios en los coeficientes de un programa lineal. • Utilizando éste análisis podemos responder a preguntas como las siguientes: • ¿Cómo afectará a la solución óptima un cambio en uno de los coeficientes de la función objetivo? • ¿Cómo afectará a la solución óptima un cambio en el valor del segundo elemento de una restricción?
  • 14.
    14 ANÁLISIS DE POSTOPTIMALIDAD • Dadoque el análisis de sensibilidad se ocupa de la forma en que los cambios anteriores afectan a la solución óptima, el análisis no comienza hasta que se obtiene, precisamente, la solución óptima al problema de programación lineal original. • Por esto último al análisis de sensibilidad con frecuencia se le denomina análisis de postoptimalidad. • Así pues, pese al cambio en alguno de los parámetros de la formulación original que dan paso a un nuevo problema, no será necesario volver a resolver el problema desde el principio.
  • 15.
    15 ENTORNO DINÁMICO DE LOSNEGOCIOS • La principal razón de la importancia del análisis de sensibilidad para quienes toman las decisiones es que los problemas reales ocurren en un medio ambiente dinámico. Los precios de las materias primas varían, la demanda fluctúa, las empresas sustituyen maquinaria y mano de obra, etc. • Si se ha utilizado un modelo de programación lineal en un entorno de este tipo (dinámico), puede esperarse que con el paso del tiempo algunos de los coeficientes cambian. Los administradores desearán determinar la forma en que esos cambios afectan a la solución óptima del problema de programación lineal original.
  • 16.
    16 CAMBIOS EN ELPL ORIGINAL El nuevo problema puede diferir del original en uno o varios de los siguientes aspectos: 1. Cambios en la disponibilidad de recursos (vector b). 2. Cambios en los costos unitarios o utilidades (vector c). 3. Cambios en los coeficientes tecnológicos (matriz aij)
  • 17.
    17 PREDICCIÓN DE LAS CONDICIONESFUTURAS • El trabajo del equipo de investigación de operaciones apenas comienza cuando se ha aplicado con éxito el método símplex para identificar una solución óptima del modelo. • Los valores de los parámetros que se usan en el modelo casi siempre son sólo estimaciones basadas en una predicción de las condiciones futuras.
  • 18.
    18 ESTIMACIÓN DE LOS PARÁMETROS Losdatos obtenidos para desarrollar estas estimaciones con frecuencia son bastante imperfectos o no existen, así que los parámetros de la formulación original pueden representar poco más que estimaciones optimistas o pesimistas que protegen los intereses de los estimadores.
  • 19.
    19 IMPORTANCIA DEL ANÁLISIS • Porestas razones es importante llevar a cabo un análisis de sensibilidad, para investigar el efecto que tendría sobre la solución óptima proporcionada por el método símplex el hecho de que los parámetros tomaran otros valores posibles. • En general, habrá algunos parámetros a los que se les puede asignar cualquier valor razonable sin que afecten la optimalidad de esta solución. Sin embargo, también habrá parámetros con valores probables que lleven a una nueva solución óptima. • Esta situación es particularmente seria, si la solución original adquiere valores sustancialmente inferiores en la función objetivo, o quizá no factibles.
  • 20.
    20 PARÁMETROS SENSIBLES Por loanterior, un objetivo fundamental del análisis de sensibilidad es identificar los parámetros sensibles, (por ejemplo, los parámetros cuyos valores no pueden cambiar sin que cambie la solución óptima). Para ciertos parámetros que no están clasificados como sensibles, también puede resultar de gran utilidad determinar el intervalo de valores del parámetro para el que la solución óptima no cambia.
  • 21.
    21 INFORMACIÓN PRODUCTO DEL ANÁLISIS Lainformación de este tipo es invaluable en dos sentidos. Primero, identifica los parámetros más importantes, con lo que se puede poder un cuidado especial al hacer sus estimaciones y al seleccionar una solución que tenga un buen desempeño para la mayoría de los valores posibles. Segundo, identifica los parámetros que será necesario controlar de cerca cuando el estudio se lleve a la práctica. Si se descubre que el valor real de un parámetro se encuentra fuera de su intervalo de valores permisibles, ésta es una señal inminente de que es necesario cambiar la solución.
  • 22.
    22 El análisis desensibilidad prácticamente elimina el esfuerzo computacional El análisis de sensibilidad requeriría un esfuerzo computacional exorbitante si fuera necesario volver a aplicar el método símplex desde el principio para investigar cada cambio en el valor de un parámetro. Por fortuna, la esencia fundamental del análisis de sensibilidad prácticamente elimina el esfuerzo computacional.
  • 23.
    23 Resumen del procedimiento paraanálisis de sensibilidad. • 1. Revisión del modelo: se hacen los cambios deseados en el modelo que se va a investigar. • 2. Revisión de la tabla símplex final: se emplea la idea fundamental para determinar los cambios que resultan en la tabla símplex final. • 3. Conversión a la forma apropiada: se convierte esta tabla en la forma apropiada para identificar y evaluar la solución básica actual aplicando (según sea necesario) eliminación de Gauss.
  • 24.
    24 Resumen del procedimiento paraanálisis de sensibilidad. • 4. Prueba de factibilidad: se prueba la factibilidad de esta solución verificando que todas las variables básicas sigan teniendo valores no negativos en la columna del lado derecho. • 5. Prueba de optimalidad: se verifica si esta solución es óptima (si es factible), comprobando que todos los coeficientes de las variables no básicas en el renglón 0 sigan siendo no negativos. • 6. Reoptimización: si esta solución no pasa cualquiera de las pruebas, se puede obtener (si se desea) la nueva solución óptima partiendo de la tabla actual como tabla símplex inicial (haciendo las conversiones necesarias) para el método símplex o el símplex – dual.
  • 25.
    25 Análisis de Sensibilidaddel coeficiente del lado derecho • Cualquier cambio en el lado derecho (bj) de una restricción activa cambiará la solución óptima. • Cualquier cambio en el lado derecho de una restricción no activa que sea menor que la holgura o o el exceso, no produce ningún cambio en la solución óptima.
  • 26.
    26 CAMBIOS EN LADISPONIBILIDAD DE RECURSOS (VECTOR b). Para el análisis de sensibilidad de la validez de los coeficiente del lado derecho nos interesa responder las siguientes preguntas : – ¿ Manteniendo todos los otros coeficientes , en cuánto cambiaría el valor óptimo de la función objetivo (por ejemplo, la ganancia) si el coeficiente del lado derecho de una restricción cambia en una unidad? – ¿ Hasta cuántas unidades se puede agregar o disminuir para que la solución siga siendo válida?
  • 27.
    27 Ejemplo 1. AgroTech ANÁLISIS DE SENSIBILIDAD
  • 28.
    28 AGRO TECH • Laúltima vez que vimos el problema de Ia Agro-Tech Inc., estábamos tratando de determinar Ia mezcla de producción de los fertilizantes 5-5-10 y 5-10-5 que fuera mas redituable. • El primero se vendía en $71.50 por tonelada y el segundo en $69. • En el proceso de planeación, había tenia que trabajar dentro de Ia estructura de Ia disponibilidad de las materias primas escasas que se usan en Ia producción de los fertilizantes.
  • 29.
    29 • Recordemos quelas materias primas eran nitrato, fosfato y potasio. • Los precios de éstas eran $200, $80 y $160 por tonelada, respectivamente; y había disponibles 1100, 1800 y 2000 toneladas de los recursos correspondientes. • Utilizando esta información, junto con el precio de $10 por tonelada de cantidades ilimitadas de relleno y un precio de $15 Ia tonelada por concepto de mezclado, se calcularon contribuciones a las utilidades do $18.50 por tonelada del 5-5-10 y $20.00 por tonelada del 5-10-5.
  • 30.
    30 • Después, seplanteó el problema en forma de programación lineal con dos variables y tres restricciones y se resolvió a través del método simplex.
  • 31.
    31 • Los resultadosde este planteamiento y su solución óptima fueron que Ia política óptima consistiría en fabricar 8000 toneladas de 5- 5-10 y 14,000 toneladas del 5-10-5. • La producción y venta de estas cantidades dan como resultado una contribución de $428,000 a las utilidades de Ia Agro-Tech Inc.
  • 32.
    32 Este mes hayun problema nuevo. Aunque las disponibilidades y costos de las materias primas han permanecido iguales, Ia compañía desea considerar Ia fabricación de un tercer producto, un fertilizante 5-5-5, que puede venderse en $60 Ia tonelada. Ahora, hay que considerar tres productos, en vez de dos, en su decisión sobre producción. Dada que la Agro-Tech no tiene pedidos atrasados o comprometidos que deba surtir para cualquiera de los productos, se desea fabricar Ia combinación de fertilizantes que proporcione Ia contribución máxima a las utilidades.
  • 33.
    33 Para plantear elproblema, se ha decidido emplear los siguientes símbolos X1 = toneladas de 5-5-10 que deben fabricarse X2 = toneladas de 5-10-5 que deben fabricarse X3 = toneladas de 5-5-5 que deben fabricarse
  • 34.
    34 Utilizando eI preciode venta de $60 por tonelada y Ia mezcla de ingredientes (5-5-5) para el tercer producto, su contribución a las utilidades es de $14.50 por tonelada. Dado que no se han añadido restricciones adicionales, se planteó el problema de Ia siguiente manera: MAXIMIZAR: Z= 18.5x1 + 20x2 + 14.5x3 SUJETO A: 0.05x1 + 0.05x2 + 0.05x3 <= 1100 0.05x1 +0.10x2+0.05x3 <= 1800 0.10x1 +0.05x2+0.05x3 <= 2000 x1,x2,,,x3 >= 0
  • 35.
  • 36.
    36 Utilizando el métodosimplex para resolver el problema anterior, se obtiene Ia tabla óptima que se muestra a continuación.
  • 37.
  • 38.
    38 TABLA ÓPTIMA PORWINQSB Definiciones: Las variables básicas son aquellas donde Las variables no básicas son aquellas en donde 0≥− jj ZC 0≤− jj ZC
  • 39.
    39 Al examinar Iasolución, se observa que es exactamente igual a la del problema original con dos productos; es decir, Ia compañía debe fabricar 8,000 toneladas del fertilizante 5-5-10 y 14,000 toneladas del 5-10-5. Las utilidades esperadas serían de nuevo $428,000. Este resultado asombró un poco porque Ia solución significa que el programa de producción puede quedar sin modificarse, pero no Ie resulta irrazonable aceptar Ia solución.
  • 40.
    40 Sin embargo, existenotros departamentos en Ia Agro-Tech que podrían afectar Ia decisión de quedarse con el programa de producción que ya se tiene. Al departamento de mercadotecnia de Ia Agro-Tech, Ie preocupa el hecho de que, si se acepta Ia solución obtenida, no se fabricaría nada del nuevo fertilizante 5-5- 5. El departamento de mercadotecnia acepta que Ia solución de programación lineal para el problema proporcione Ia mezcla de producción con utilidades máximas, pero también sabe que fabricar el nuevo fertilizante 5-5-5 es de importancia por razones de mercadotecnia.
  • 41.
    41 No se puedeobligar aI departamento de producción a sacrificar utilidades para fabricar alguna cantidad del 5-5-5, pero tiene Ia capacidad de aumentar su precio de venta para que resulte lo suficientemente redituable para quedar incluido en Ia mezcla óptima de producción para el mes siguiente. Por ello, nos gustaría saber cuánto tendría que aumentarse el precio para hacer que Ia producción del 5-5-5 resulte redituable.
  • 42.
    42 • Al mismotiempo que el departamento de mercadotecnia está considerando aumentar eI precio del 5-5-5, el departamento de compras de Ia Agro-Tech, está considerando un posible cambio en las materias primas. • TaI vez eI mes siguiente se reduzca Ia disponibilidad de nitrato. • No se está seguro de cuál será Ia magnitud de Ia reducción y, por ello, no puede proporcionarle a producción un valor que pueda utilizar para planear Ia producción.
  • 43.
    43 • Otro cambioque se está considerando es una posible reducción en eI precio del 5-5- 10. • Los vendedores informan que una compañía de Ia competencia ha reducido su precio para ofrecer el mismo fertilizante y, como resultado, Ia Agro-Tech debe considerar reducir su precio para enfrentar Ia competencia.
  • 44.
    44 • Desde elpunto de vista general de Ia compañía, debe volverse a examinar Ia decisión de continuar fabricando sólo dos fertilizantes para incluir en el análisis las cuestiones planteadas por los departamentos de mercadotecnia y compras. • Puede utilizarse eI análisis de sensibilidad para continuar estudiando el problema.
  • 45.
    45 CAMBIO EN ELCOEFICIENTE DE LA FUNCIÓN OBJETIVO DE UNA VARIABLE NO BÁSICA
  • 46.
    46 Se comienza elanálisis considerando el impacto de cambiar el valor de las utilidades (coeficiente de la función objetivo) para una de las variables que de momento no es básica. El ejemplo se refiere al caso en el que se considera el nuevo fertilizante 5-5-5. Recuerde que aI departamento de mercadotecnia le gustaría saber cuánto debe aumentar el precio del 5-5-5 con el objeto de hacerlo lo suficientemente redituable para que quede incluido en la mezcla óptima de productos de programación lineal.
  • 47.
    47 Recuerde también queuna variable no básica es aquella cuya contribución neta a las utilidades (es decir, cj- zj) en la tabla óptima es no positiva. Las utilidades que se obtendrían al fabricar cualquier cantidad de una variable no básica son menores o iguales que las utilidades a las que sería necesario renunciar. Revisando la tabla óptima, se observa que las variables x3, S1 y S2 son no básicas.
  • 48.
    48 TABLA ÓPTIMA PORWINQSB Definiciones: Las variables básicas son aquellas donde Las variables no básicas son aquellas en donde 0≥− jj ZC 0≤− jj ZC
  • 49.
    49 • Desde unpunto de vista gráfico, un cambio en el valor de las utilidades para cuaIquier variable equivale a un cambio en Ia pendiente de las Iíneas de isoutilidad que se utilizan para encontrar Ia solución óptima. • Para observar Ia forma en que esto funciona, considere Ia solución gráfica hipotética de un problema de PL que se muestra en Ia figura siguiente.
  • 50.
  • 51.
    51 • En lafigura anterior, la solución óptima original ocurre en el punto D con Ia función objetivo 1. • En el punto D, x1 es básica y X2 es no básica. • Sin embargo, si se aumenta la utilidad de x2 la pendiente de Ia función objetivo cambia porque se necesitan menos unidades de x2 para obtener iguales utilidades que con una unidad de x1. • Si la utilidad de x2 aumenta lo suficiente, entonces la función objetivo se convertiría en la línea punteada identificada con el número 2. • Para esta función objetivo, la solución óptima es el punto C, y tanto x1 como x2 son básicas.
  • 52.
    52 La sensibilidad deIa solución óptima a cambios de los coeficientes de Ia función objetivo puede determinarse añadiendo una cantidad ∆j aI coeficiente que se tiene de la función objetivo, cj. Por ello, el nuevo coeficiente de Ia función objetivo es _ _ _ Cj = ∆j + Cj
  • 53.
    53 Es posible determinarqué tan grande puede ser a partir del requerimiento de optimidad de que (cj - zj) sea cero a negativo para un problema de maximización. Para el coeficiente modificado cj, esto significa que cj – zj <= 0. La sensibilidad se mide a través del valor de ∆j puesto que indica el intervalo de costos sobre los cuales la solución óptima existente seguirá siendo óptima.
  • 54.
    54 Considerando x3, recuerdeque al departamento de mercadotecnia Ie gustaría determinar Ia magnitud del aumento en el precio que se requeriría para fabricar el fertilizante 5-5-5. Puede responderse esta pregunta determinando ∆3 (y c3) para Ia variable x3. Se comienza el proceso añadiendo un coeficiente ∆3 aI coeficiente c3 asociado con x3 en Ia tabIa.
  • 55.
    55 La tabla 5-2muestra la tabla modificada. Antes de que x3 se pueda volver básica, el valor (cj - zj) asociado con x3 debe volverse no negativo. Expresada en términos de los valores reales de Ia tabla, esto significa que ∆3 — 4.0>= 0
  • 56.
  • 57.
    57 Despejando ∆3, setiene que ∆3 >= 4.0. Puesto que C3= C3 + ∆3, C3 = 14.5 + ∆3 Sustituyendo ∆3 >= 4.0 se obtiene C3 >= 18.5
  • 58.
  • 59.
  • 60.
    60 Esto indica quesi el precio de x3 se elevara un poco más de los $4.00, es decir, si su contribución a las utilidades fuera mayor que $18.50, entonces la producción de x3 se volvería más redituable que la mezcla actual de producción de 8,000 de x1 y 14,000 de x2. Si el precio se aumentara exactamente $4.00, se llegaría a un punto de decisión en el que podría fabricarse x3, pero no se obtendrían utilidades adicionales. Se obtendrían los mismos $428,000 de utilidades para esta solución óptima alternativa.
  • 61.
    61 Para responder ala pregunta del departamento de mercadotecnia con respecto al aumento en el precio del producto 3, no es necesario llevar a cabo un análisis del cambio en el coeficiente de las otras variables no básicas, s1 y s2. Sin embargo, si se desea, puede utilizarse el análisis anterior para cada una de estas variables.
  • 62.
    62 Si la utilidadde la variable no básica disminuye, no hay cambio en la solución óptima; o si la contribución a las utilidades aumenta en una cantidad inferior al valor Icj - zjI para la variable, no habrá cambio en la solución óptima. SóIo si la contribución a las utilidades aumenta en una cantidad que sea mayor que el valor actual de Icj - zjI cambia la solución óptima.
  • 63.
    63 Puede verse enforma intuitiva que esto es lo que debe ocurrir. Una variable no básica no se encuentra en la solución óptima porque las utilidades que se obtienen al fabricar ese producto son inferiores a lo que se perdería por hacerlo. Para cambiar esta relación, es necesario aumentar la contribución del producto a las utilidades hasta que sean iguales a mayores que lo que se perdería por fabricarlo.
  • 64.
    64 Cambio en elcoeficiente de la función objetivo de las variables básicas
  • 65.
    65 • Para mantenerla solución actual óptima, debe asegurarse que ningún valor Cj – Zj se vuelva positivo. Despejamos una desigualdad para cada uno de los valores no básicos. • Para x1: ;02030: ;040340: ;04: 2 1 3 ≤∆+− ≤∆− ≤∆−− S S x 5.1 5.8 4 ≥∆ −≥∆ −≥∆ Se forma un intervalo con los valores más restrictivos: 205.14 5.185.145.18 5.14 1 1 ≤+∆≤ +≤+∆≤− ≤∆≤− C C < = -
  • 66.
  • 67.
  • 68.
  • 69.
    69 Cálculo del intervalode variación de los recursos
  • 70.
    70 Cálculo del intervalode variación de los recursos. Recurso 1 ;03500 ;02014000 ;0408000 ≥∆− ≥∆− ≥∆+ 6.166 700 200 ≤∆ ≤∆ −≥∆ 6.31266900 6.1661002001100 6.166200 1 1 ≤+∆≤ +≤+∆≤− ≤∆≤− r r MAXIMIZAR: Z=18.5x1 + 20x2 + 14.5x3 SUJETO A: 0.05x1 + 0.05x2 + 0.05x3 <= 1100 0.05x1 +0.10x2+0.05x3 <= 1800 0.10x1 +0.05x2+0.05x3 <= 2000 x1,x2,,,x3 >= 0 1100 1266.6
  • 71.
  • 72.
    72 Recurso 3 1500 ;500500 ;0014000 ;008000 3 ≥+∆ −≥∆+ ≥∆+ ≥∆+ r MAXIMIZAR: Z=18.5x1+ 20x2 + 14.5x3 SUJETO A: 0.05x1 + 0.05x2 + 0.05x3 <= 1100 0.05x1 +0.10x2+0.05x3 <= 1800 0.10x1 +0.05x2+0.05x3 <= 2000 x1,x2,,,x3 >= 0
  • 73.
  • 74.
  • 75.
    75 Cambios en losvalores de las variables básicas y en el valor óptimo z modificando la disponibilidad de los recursos
  • 76.
  • 77.
  • 78.
    78 EJERCICIO INTEGRADOR (MÉTODO DUALY ANÁLISIS DE SENSIBILIDAD) M. En C. Eduardo Bustos Farías
  • 79.
    79 Escom computers Método simplex,dualidad y análisis de sensibilidad
  • 80.
    80 ESCOM Computer deMéxico fabrica dos tipos de PCs: un modelo portátil y uno para escritorio. Ensambla los gabinetes y las tarjetas de los circuitos impresos en su única planta, que también fabrica los gabinetes y monta los componentes en las tarjetas de circuitos. La producción mensual está limitada por las siguientes capacidades:
  • 81.
    81 OPERACIÓN PORTATIL PARAESCRITORIO PRODUCCIÓN DE CAJAS 4000 2000 MONTAJE DE CIRCUITOS 2500 3000 ENSAMBLADO DE PORTÁTILES 2000 ---------- ENSAMBLADO PARA ESCRITORIO ------- 1800 • Los precios para las tiendas de computadoras son $1500 para la de escritorio y $1400 para la portátil. • Con el fin de ser competitiva, ESCOM Computer tiene que fijar el precio de sus computadoras varios cientos de pesos por debajo de los fabricantes de prestigio. • En la actualidad la compañía vende todas las computadoras que produce de cualquiera de los modelos.
  • 82.
    82 • Durante elprimer trimestre del año produjo en cada mes: 2000 portátiles y 600 para escritorio. • Tanto el montaje de los circuitos como el ensamblado de las portátiles operaron a toda su capacidad, pero hubo retraso en la producción de los gabinetes y en el ensamblado de las computadoras de escritorio. • Los contadores de costos determinaron los costos estándar y los gastos indirectos fijos como se muestra en las siguientes tablas:
  • 83.
    83 PARA ESCRITORIO PORTÁTILES MATERIALESDIRECTOS MANO DE OBRA DIRECTA $800 $690 PRODUCCIÓN DE CAJAS EXTERNAS $20 $15 MONTAJE DE TARJETAS 100 90 ENSAMBLADO FINAL 5 10 $125 115 GASTOS INDIRECTOS FIJOS PRODUCCIÓN DE CAJAS EXTERNAS $95 95 LLENADO DE TARJETAS 205 205 MONTAJE FINAL 415 115 $715 415 TOTAL $1640 $1220
  • 84.
    84 GASTOS INDIRECTOS FIJOS TOTALES(X $1000) GASTOS INDIRECTOS FIJOS UNITARIOS Producción de cajas externas $247 $95 Montaje de tarjetas 533 205 Ensamble de componentes de escritorio 249 415 Ensamblaje de portátiles 230 115 $1259
  • 85.
    85 • En lareunión trimestral de los ejecutivos de la compañía. El gerente de ventas señaló que la computadora de escritorio no estaba produciendo utilidades. Sugirió que se le diera de baja de la línea de productos. • El contralor se opuso, su argumento fue: “Si producimos más computadoras de escritorio podemos rebajar el costo fijo de $415 del ensamblado final. Ahora es alto porque estamos produciendo pocas unidades”. • El gerente de producción respondió: “Podemos aumentar la producción si subcontratamos externamente el montaje de circuitos. Podríamos proporcionar las tarjetas y los componentes y pagarle al subcontratista sus gastos indirectos y de mano de obra”. • El presidente terminó la reunión pidiéndole al gerente de ventas, al contralor y al gerente de producción que se reunieran y le presentaran una recomendación en relación con la mezcla de productos de la compañía y con la subcontratación. Les dijo que supusieran que la demanda se mantendría alta y que la capacidad actual permanecería fija.
  • 86.
    86 NO. DE PCSPORTATILES (X1) NO. DE PCS DE ESCRITORIO (X2) CAJAS OPERACIÓN PORTATIL PARA ESCRITORIO PRODUCCIÓN DE CAJAS 4000 2000 MONTAJE DE CIRCUITOS 2500 3000 ENSAMBLADO DE PORTÁTILES 2000 ---------- ENSAMBLADO PARA ESCRITORIO ------- 1800
  • 87.
    87 PREGUNTAS 1. Formule unprograma lineal para determinar la mezcla óptima de productos. Suponga que no se permite la subcontratación.
  • 88.
    88 VARIABLES DE DECISIÓN •X1 = Número de computadoras de portátiles que se fabrican en un mes. • X2= Número de computadoras escritorio que se fabrican en un mes.
  • 89.
    89 Solución Max Z =180 X1 -140 x2 Sujeta a: (½) x1 + x2 <= 2000 … (1) X1 <= 2000 … (2) X2 <= 1800 … (3) 1.2 X1 + x2 <= 3000 … (4) X1, X2 >= 0, y enteros PARA GENERAR LAS RESTRICCIONES: (x1,y1) (x2, y2) (4000,0) y (0, 2000) y-y1 = ((y2-y1)/(x2-x1)) (x-x1)
  • 90.
    90 2. Resuelva elproblema usando el método símplex.
  • 91.
  • 92.
  • 93.
  • 94.
    94 3. ¿Qué pasaríasi no se produjeran Pc´s de escritorio?, ¿cuál sería la nueva solución?.
  • 95.
    95 SOLUCIÓN • 3. Nada,la solución sería la misma.
  • 96.
    96 4. ¿A quéutilidad por unidad convendría producir Pc´s de escritorio?
  • 97.
  • 98.
    98 SOLUCIÓN 4. ∆1 —(c1-z1)>= 0 ∆1 – (-140-0)>= 0 ∆1 +140 >= 0 ∆1 >=140 C1 = -140 + ∆1 C1=-140+140 =0 Por lo tanto, valores de c1 superiores a cero.
  • 99.
    99 • Ahora sepermite que los subcontratistas monten algunos circuitos. Suponga que la producción de una computadora con una tarjeta de circuitos montada por el subcontratista requiere la misma cantidad de tiempo, en cuanto a la producción del gabinete y el ensamblado final, que la producción de una computadora con la tarjeta de circuitos terminada en la fábrica. • Supóngase que el subcontratista cobrará $110 por cada tarjeta de circuito para una Pc de escritorio y $100 por cada tarjeta para una portátil. Escom le proporciona a los subcontratistas los materiales necesarios.
  • 100.
    100 PREGUNTAS 5. ¿Debe Escomutilizar subcontratistas para montar las tarjetas de circuitos? Argumente porqué si o porqué no, sin formular y resolver el problema lineal.
  • 101.
    101 PARA ESCRITORIO PORTÁTILES MATERIALESDIRECTOS MANO DE OBRA DIRECTA $800 $690 PRODUCCIÓN DE CAJAS EXTERNAS $20 $15 MONTAJE DE TARJETAS 100 90 ENSAMBLADO FINAL 5 10 $125 115 GASTOS INDIRECTOS FIJOS PRODUCCIÓN DE CAJAS EXTERNAS $95 95 LLENADO DE TARJETAS 205 205 MONTAJE FINAL 415 115 $715 415 TOTAL $1640 $1220 TABLA INICIAL
  • 102.
    102 PARA ESCRITORIO PORTÁTILES MATERIALESDIRECTOS MANO DE OBRA DIRECTA $800 $690 PRODUCCIÓN DE CAJAS EXTERNAS $20 $15 MONTAJE DE TARJETAS 100 90 ENSAMBLADO FINAL 5 10 $125 115 GASTOS INDIRECTOS FIJOS PRODUCCIÓN DE CAJAS EXTERNAS $95 95 LLENADO DE TARJETAS 110 100 MONTAJE FINAL 415 115 $620 310 TOTAL $1545 $1115 TABLA CON SUBCONTRATACIÓN
  • 103.
    103 • 5. Seobtienen mayores utilidades subcontratando.
  • 104.
    104 6. Formule unprograma lineal para determinar la mezcla óptima de productos. Suponga que si se permite la subcontratación.
  • 105.
    105 SIN SUBCONTRATAR Max Z= 180 X1 -140 x2 C2= 1500-1640 C1=1400-1220 CON SUBCONTRATACIÓN C2=1500-1545=-45 C1=1400-1115=285
  • 106.
    106 Max Z =285 X1 -45 x2 Sujeta a: (½) x1 + x2 <= 2000 … (1) X1 <= 2000 … (2) X2 <= 1800 … (3) 1.2 X1 + x2 <= 3000 … (4) X1, X2 >= 0
  • 107.
    107 • ESCRITORIO • C1=1500-1545=-45 • PORTÁTILES • C2=1400-1115=285
  • 108.
    108 • 6. CON SUBCONTRATACIÓN MaxZ = 285 X1 -45 x2 Sujeta a: (½) x1 + x2 <= 2000 … (1) X1 <= 2000 … (2) X2 <= 1800 … (3) 1.2 X1 + x2 <= 3000 … (4) X1, X2 >= 0 SIN SUBCONTRATACIÓN Max Z = 180 X1-140 x2 Sujeta a: (½) x1 + x2 <= 2000 … (1) X1 <= 2000 … (2) X2 <= 1800 … (3) 1.2 X1 + x2 <= 3000 … (4) X1, X2 >= 0
  • 109.
    109 7. Resuelva elproblema usando el método símplex.
  • 110.
  • 111.