INSTITUTO UNIVERSITARIO DE TECNOLOGÍA
                               “JOSÉ ANTONIO ANZOÁTEGUI”
                                EL TIGRE-EDO-ANZOÁTEGUI
                                   Cátedra: Matemática II
                             Especialidades: Mecánica - Química
                                 Lic. MSc. DÁMASO ROJAS



                           DEFINICIÓN DE LA DERIVADA.
                         INTERPRETACIÓN GEOMÉTRICA


      Sea P un punto fijo de la curva y sea Q un punto móvil de esa curva,
próximo a P. Considérese la recta que pasa por P y Q, llamada secante. La recta
tangente en P es la posición límite (si existe) de la secante, cuando Q se mueve
hacia P a lo largo de la curva.
      Sea ƒ una función definida en un intervalo abierto que contiene al número
a. En la figura 1.1 se ilustran la gráfica de ƒ y una recta secante lpq que pasa
por P ( a , ƒ ( a ) ) y Q( x, ƒ( x )). La recta de trazo punteado l representa
una posible recta tangente en el punto P.
                                           lPQ
                       l               Q
           Y

                   P



                     a                 x                X


      La pendiente m de l se define como el valor de límite de la pendiente de lPQ
                                                                             f ( x) − f (a)
cuando Q    tiende a P.      Así por la definición tenemos:       m = lím
                                                                     x→0          x−a
siempre y cuando el límite exista. Si se introduce una nueva variable h tal
que x = a + h (es decir, h = x - a), como se ilustra en la figura 1.2.
                         l              lPQ
           Y                       Q


                         P



                     a                a+h           X         ( fig. 1.2 )

se obtiene la siguiente fórmula para la pendiente m = Lím f a h f a , que es
                                                              ( + )− ( )
                                                         h →0     h
equivalente a la anterior. El límite anterior es uno de los conceptos
fundamentales del cálculo y se llama derivada de la función ƒ en a.
                                                                                          1
E-mail: damasorojas8@gmail.com, damasorojas8@galeon.com, joeldama@yahoo.com
INSTITUTO UNIVERSITARIO DE TECNOLOGÍA
                              “JOSÉ ANTONIO ANZOÁTEGUI”
                               EL TIGRE-EDO-ANZOÁTEGUI
                                  Cátedra: Matemática II
                            Especialidades: Mecánica - Química
                                Lic. MSc. DÁMASO ROJAS

          Definición 1. Sea ƒ una función definida en un intervalo abierto que
contiene a a. La derivada de ƒ en a, denotada por ƒ’(a), está dada por
              f ( a + h) − f ( a) , si este límite existe.
f ′( a) = Lím
       h→0       h

      Si este límite existe, decimos que ƒ es diferenciable en a. Encontrar la
derivada se llama derivación; la parte de cálculo asociada con la derivada se
llama cálculo diferencial.
      La diferenciabilidad implica continuidad. Si una curva tiene tangente en un
punto, la curva no puede dar un salto en ese punto. La formulación precisa de
este hecho es un teorema importante.
      Teorema 1. Si existe ƒ’(a), entonces ƒ es continua en a.
Una función ƒ es derivable en un intervalo abierto (a,b) si lo es en todos los
números c de (a,b). También se considerarán funciones que son derivables en
un intervalo infinito (- ∞ , a), (a,∞) o bien (- ∞ , ∞).
      Para intervalos cerrados usaremos la siguiente definición.
      Definición 2. Una función ƒ es derivable en un intervalo cerrado [a , b], si
                                                           f (a + h ) − f (a )         f (a + h) − f (a )
lo es en el intervalo (a , b) y los límites   lí m                               lím
                                              h→   0
                                                       +           h               −
                                                                                 h→0           h
existen.
      Los límites por la derecha y por la izquierda en la definición anterior, se
llaman derivada por la derecha y derivada por la izquierda de ƒ en a y b,
respectivamente.
       La derivada de una función en intervalos de la forma [a, b), [a,∞), (a ,b] o
bien (- ∞ , b] se define usando los límites por la derecha o por la izquierda en
uno de los puntos extremos. Si ƒ está definida en un intervalo abierto que
contiene a a, entonces ƒ ’(a) existe si y sólo si las derivadas por la derecha y
por la izquierda en a existen y son iguales.
       El inverso del teorema 1. Es falso. Si una función ƒ es continua en c, no se
sigue que ƒ tenga derivada en c. Esto se ve con facilidad examinando la función
ƒ (x)=| x | en el origen. Esta función, por cierto, es continua en cero, pero no
tiene derivada ahí. (Demostración a cargo del lector)
       El argumento recién presentado demuestra que en cualquier punto en el
que la gráfica de ƒ tiene un pico o presenta una esquina aguda, es continua,
pero no diferenciable.
      Suponiendo que la función ƒ es derivable en a, se puede enunciar la
siguiente definición.
       Definición 3. Recta tangente: La pendiente de la recta tangente a la
gráfica de ƒ en el punto (a, ƒ(a)) es ƒ’(a ).


                                                                                                       2
E-mail: damasorojas8@gmail.com, damasorojas8@galeon.com, joeldama@yahoo.com
INSTITUTO UNIVERSITARIO DE TECNOLOGÍA
                                        “JOSÉ ANTONIO ANZOÁTEGUI”
                                         EL TIGRE-EDO-ANZOÁTEGUI
                                            Cátedra: Matemática II
                                      Especialidades: Mecánica - Química
                                          Lic. MSc. DÁMASO ROJAS

      Derivada como una función
      Si ƒ es derivable para todo x en un intervalo entonces, asociando a cada x
el número ƒ’(x), se obtiene una función ƒ’ llamada derivada de f. El valor de
ƒ’, en x está dado por el siguiente límite. f ′ = lím f(x + h) − f(x), (Límite
                                                     (x)                         h
                                                                           h→0
unilateral), nótese que el número x es fijo, pero arbitrario y el límite se toma
haciendo tender h a cero. Derivar ƒ(x) o encontrar la derivada de ƒ(x) significa
determinar ƒ’(x).
       En los siguientes ejercicios se determinará       la primera derivada por
definición, o la pendiente de la recta tangente a la curva en un punto dado.


       Ejercicios Resueltos:




1) y = 5 x → f(x) = 5 x
                 f(x + Δx) − f(x)
f ′(x) = Lím                      → Aplicando la ecuación
       Δx → 0          Δx

f ′(x) = Lím
                 5   (        )
                         x + Δx −5 x
        Δx → 0               Δx
                     5 ⎡ x + Δx − x ⎤    ⎦ = f ′(x) = 0 IND
f ′(x) =   Lím ⎣
           Δx → 0             Δx                      0
                  5 ⎡ x + Δx − x ⎤ ⎡ x + Δx + x ⎤
f ′(x) =   Lím ⎣                       ⎦ .⎣                ⎦
           Δx → 0            Δx            ⎡ x + Δx + x ⎤
                                           ⎣               ⎦
                          5 (x + Δx − x)                  5 Δx
f ′(x) =   Lím                                 =
           Δx → 0
                   Δx ⎡ x + Δx + x ⎤
                        ⎣                    ⎦     Δx ⎡ x + Δx +
                                                      ⎣               x⎤
                                                                       ⎦
                              1                        5
f ′(x) =   5 Lím                         = f ′(x) =
              Δx → 0    x + Δx + x                   2 x




                                                                                     3
E-mail: damasorojas8@gmail.com, damasorojas8@galeon.com, joeldama@yahoo.com
INSTITUTO UNIVERSITARIO DE TECNOLOGÍA
                                           “JOSÉ ANTONIO ANZOÁTEGUI”
                                            EL TIGRE-EDO-ANZOÁTEGUI
                                               Cátedra: Matemática II
                                         Especialidades: Mecánica - Química
                                             Lic. MSc. DÁMASO ROJAS

                                                         1                 1
                                                                      −
                      1                              x + Δx − 3            x −3        0
2)    f(x) =                   ⇒ f ′(x) = Lím                                      =     ind
                     x −3                  Δx → 0           Δx                         0
                     x −3 −         x + Δx − 3
                      x + Δx − 3 x − 3                            x −3 −       x + Δx − 3
f ′(x) = Lím
           Δx → 0           Δx
                                                 = Lím
                                                    Δx → 0
                                                             Δx   [   x + Δx − 3       x −3    ]
                             1
Aplicando             conjugada :
                      ( x −3 −       x + Δx − 3 ) ⎡ x − 3 +               x + Δx − 3 ⎤
f ′(x) = Lím
           Δx → 0
                     Δx    [                        ⎢
                                                     ]
                               x + Δx − 3 x − 3 ⎢ x − 3 +
                                                    ⎣
                                                                                     ⎥
                                                                          x + Δx − 3 ⎥
                                                                                     ⎦
                                     x − 3 − x − Δx + 3
f ′(x) = Lím
           Δx → 0
                       [
                    Δx (x − 3 ) x + Δx − 3 + (x + Δx − 3 ) x − 3               ]
                                1
f ′(x) =
           (x − 3 ) (x − 3 ) + (x − 3 ) (x − 3 )
                           1                                               1
f ′(x) =                                         ⇒ f ′(x) =
             ( x − 3 )3 + ( x − 3 )3                              2   (x   − 3)
                                                                                   3


                            3 x +Δx−2 − 3 x−2 0
3) f(x) = 3 x−2                f′(x) = Lím   = ind
                       Δx→0          Δx       0
a3 − b3 = (a −b) (a2+ab+b2) Identidad
Donde: a = 3( x+Δx−2) ; b = 3 x−2

             ⎡3( x +Δx−2) − 3 x−2⎤ ⎡3( x + Δx − 2)2 + 3( x + Δx − 2) 3 x − 2 + 3( x − 2)2⎤
             ⎢
             ⎣                   ⎥⎢
                                 ⎦⎣                                                      ⎥
                                                                                         ⎦
f′(x) = Lím
        Δx→0              ⎡                                                    ⎤
                       Δx⎢3( x + Δx − 2)2 + 3( x + Δx − 2) 3 x − 2 + 3( x − 2)2⎥
                          ⎢
                          ⎣                                                    ⎥
                                                                               ⎦
                                       3(( x + Δx − 2))3 − 3( x − 2)3
f′(x) = Lím
           Δx→      ⎡                                                     ⎤
                  Δx⎢3( x + Δx − 2)2 + 3( x + Δx − 2) 3 x − 2 + 3( x − 2)2⎥
              0


                    ⎣                                                     ⎦


                                                                                                   4
E-mail: damasorojas8@gmail.com, damasorojas8@galeon.com, joeldama@yahoo.com
INSTITUTO UNIVERSITARIO DE TECNOLOGÍA
                                                  “JOSÉ ANTONIO ANZOÁTEGUI”
                                                   EL TIGRE-EDO-ANZOÁTEGUI
                                                      Cátedra: Matemática II
                                                Especialidades: Mecánica - Química
                                                    Lic. MSc. DÁMASO ROJAS



                                                           x + Δx − 2 − x + 2
f ′(x) = Lím
           Δx → 0      ⎡                                                                        3 x − 2 + 3 ( x − 2 )2 ⎤
                    Δx ⎢3 ( x + Δx − 2 )2 +                        3 ( x + Δx − 2 )
                                                                                                                       ⎥
                       ⎣                                                                                               ⎦
                                                                                1
f ′(x) = Lím
              ⎡3
           Δx → 0
                                2      3 ( x + Δx − 2 ) 3 x − 2 + 3 ( x − 2 )2 ⎤
              ⎢ ( x + Δx − 2 ) +                                                ⎥
              ⎣                                                                 ⎦
                               1                                        1
f ′(x) =                                               ⇒ f ′(x) =
         3 ( x − 2 ) 2 + 3 ( x − 2 ) 2 + 3 ( x − 2 )2             33 ( x − 2 )2


                                                                                                               1             1
                                                                                                                         −
                    x                            x                         1                                  x + Δx         x       0
4) f(x) =                   → f(x) =                     → f(x) =                  ⇒ f ′(x) = Lím                                =           ind
                                                                                                                  Δx                 0
                    x3                       x       x                     x                    Δx → 0



                            x−       x + Δx
                            x    x + Δx                                        (    x−     x + Δx ) ⎡          x +     x + Δx ⎤
f ′(x) = Lím
           Δx → 0                Δx
                                                 ⇒ f ′(x) = Lím
                                                                   Δx → 0
                                                                               Δx   [   x + Δx x ⎢
                                                                                                    ⎢
                                                                                                    ⎣     ]    x +
                                                                                                                              ⎥
                                                                                                                       x + Δx ⎥
                                                                                                                              ⎦
                                         x − x − Δx                                                                  1
f ′(x) = Lím
           Δx → 0
                    Δx x    [        x + Δx + (x + Δx          )   x   ]   ⇒ f ′(x) = Lím
                                                                                            Δx → 0
                                                                                                     x    x + Δx + (x + Δx)              x
                    1                                          1                                     1
f ′(x) =                                 ⇒ f ′(x) =                             ⇒ f ′(x) =
           x    x +x             x                         x3 +        x3                       2        x3



5) F(x) = x + 5
              x + Δx + 5 − x + 5      0
y´= Lím                            =      Ind
     Δx → 0          Δx               0
            ⎡ x + Δx + 5 − x + 5 ⎤ ⎡ x + Δx + 5 + x + 5 ⎤
y´ = Lím ⎢                             ⎥⎢                        ⎥
     Δx → 0
            ⎢
            ⎣           Δx             ⎥ ⎢ x + Δx + 5 + x + 5 ⎥
                                       ⎦⎣                        ⎦
              (x + Δx + 5 ) − (x + 5 ) ⇒ y´= Lím x + Δx + 5 − x + 5
y´ = Lím
     Δx → 0
                        [
            Δx x + Δx + 5 + x + 5              Δx → 0
                                                           ]
                                                      Δx x + Δx + 5 + x + 5             [                                ]
                                     1                                      1
y´= Lím                                                  ⇒ y´ =
     Δx → 0
               x + Δx + 5 + x + 5                                      2 x+5




                                                                                                                                                   5
E-mail: damasorojas8@gmail.com, damasorojas8@galeon.com, joeldama@yahoo.com
INSTITUTO UNIVERSITARIO DE TECNOLOGÍA
                                                 “JOSÉ ANTONIO ANZOÁTEGUI”
                                                  EL TIGRE-EDO-ANZOÁTEGUI
                                                     Cátedra: Matemática II
                                               Especialidades: Mecánica - Química
                                                   Lic. MSc. DÁMASO ROJAS

                                                              1                          1
                                                                           −
               1                                       3 (x + Δ x )                      3x           0
6)f (x) =                ⇒ f´(x) = Lím                                                           =          IND
               3x                            Δx → 0            Δx                                     0
                      3x          −        3 (x + Δ x )
                         3 (x + Δ x )                 3x                                         3x        −     3 (x + Δ x )
f´(x) = Lím
        Δx → 0                  Δx
                                                              ⇒ f´(x) = Lím
                                                                                   Δx → 0
                                                                                             Δx       [   3 (x + Δ x )       3x    ]
                                 1
                     [       3x        − 3 (x + Δ x ) ⎡ 3x      ]              +          3 (x + Δ x ) ⎤
f´(x) = Lím
        Δx → 0
                     Δx      [    3 (x + Δ x )
                                                      ⎢
                                                3x ⎢ 3x
                                                      ⎣        ]               +
                                                                                                       ⎥
                                                                                          3 (x + Δ x ) ⎥
                                                                                                       ⎦
                                        3x − 3x − 3 Δ x
f´(x) = Lím
        Δx → 0
                     Δx      [   3 (x + Δ x )         (3x )   3x     3 (x + Δ x )            ]
                                                      − 3
f´(x) = Lím
            Δx → 0
                         [   3 (x + Δ x ) (3x ) 3x 3 (x + Δ x )                      ]
                                      − 3                                                − 3                                 − 3
f´(x) = Lím
        Δx → 0
                      3x (3x ) +            3x (3x )
                                                            ⇒ f´(x) =
                                                                           2   [    3x (3x )      ]       ⇒ f´(x) =
                                                                                                                         2   27 x 3




              2x − 3
7) f(x) =
              3x + 4

f´(x) = Lím
                     ( 2x    + 2Δx           − 3)
                                                       −
                                                             ( 2x   − 3)
                                                                           =
                                                                               0
                                                                                 Ind
       Δx → 0        ( 3x    + 3Δx + 4 )                     ( 3x   + 4)       0


f´(x) = Lím
              ( 3x + 4 ) [ 2x + 2 Δ x − 3 ] − ( 3x + 3 Δ x + 4 ) ( 2x                                     − 3)
       Δx → 0                 ( 3x + 3 Δ x + 4 ) ( 3x + 4 )

                   6x 2 + 6xΔx − 9x + 8x + 8 Δ x − 12 − 6x 2 + 9x − 6xΔx + 9 Δ x − 8x + 12
f´(x) = Lím
       Δx → 0                            ( 3x + 3 Δ x + 4 ) ( 3x + 4 )
Ordenando:
                 6x 2 + 6xΔx − 9x + 8x + 8 Δ x − 12 − 6x 2 + 9x − 6xΔx + 9 Δ x − 8x + 12
f´(x) = Lím
       Δx → 0                       Δx ⎡ ( 3x + 3 Δ x + 4 ) ( 3x + 4 ) ⎤
                                       ⎣                               ⎦

                               17 Δx                                17
f´(x) = Lím                                           ⇒ f´(x) =
       Δx → 0    Δx ⎡ ( 3x + 3 Δ x + 4 ) ( 3x + 4 ) ⎤
                    ⎣                               ⎦           ( 3x + 4 )
                                                                           2




                                                                                                                                       6
E-mail: damasorojas8@gmail.com, damasorojas8@galeon.com, joeldama@yahoo.com
INSTITUTO UNIVERSITARIO DE TECNOLOGÍA
                                    “JOSÉ ANTONIO ANZOÁTEGUI”
                                     EL TIGRE-EDO-ANZOÁTEGUI
                                        Cátedra: Matemática II
                                  Especialidades: Mecánica - Química
                                      Lic. MSc. DÁMASO ROJAS


               1                      ⎛    1              1    ⎞ 0
8)   F(x) =      + x ⇒ F´(x) = Lím ⎜           + x + Δx −   − x⎟ =
                                                               ⎟ 0
               x               Δx → 0 ⎜ x + Δx            x
                                      ⎝                        ⎠
                   x + (x + Δx ) x − (x + Δx ) − x 2 (x + Δx )
                                2

F´(x) = Lím
          Δx → 0                   (x + Δx )
F´(x) = Lím
                       (                   )
                   x + x 2 + 2x Δx + Δx 2 x − x − Δx − x 3 − x 2 Δx
          Δx → 0                     (x + Δx ) x
                   x + x 3 2x 2 Δx + x Δ x 2 − x − Δx − x 3 − x 2 Δx
F´(x) = Lím
          Δx → 0                      (x + Δx ) x
                                                        Δx ⎡ x 2 + xΔ − 1⎤
               x 2 Δx + x Δ x 2 − Δx                       ⎢
                                                           ⎣              ⎥
                                                                          ⎦
F´(x) = Lím                          ⇒ F´(x) = Lím
        Δx → 0    Δx [x (x + Δx )]             Δx → 0    Δx [x (x + Δx )]
          x2 − 1               1
F´(x) =          ⇒ F´(x) = 1 − 2
            x2                x

                                       f(x + Δx) − f(x)
9) f(x) = Sen x            f ′(x) = Lím
                                Δx → 0        Δx
                  Sen (x + Δx) − Sen x      0
f ′(x) = Lím                              =     ind
          Δx → 0           Δx               0
f ′(x) = Lím
                  (Sen x Cos Δx + Cos x Sen x )− Sen x
          Δx → 0                      Δx
                 Cos x Sen Δx + Sen x Cos Δx − Sen x
f ′(x) = Lím
         Δx → 0                   Δx
f ′(x) = Lím
                (Cos x Sen Δx )+ Sen x [Cos Δx − 1 ]
         Δx → 0                Δx
                Cos x Sen Δx             Sen x [Cos Δx −1 ]
f ′(x) = Lím                   + Lím
         Δx → 0         Δx        Δx → 0          Δx
f ′(x) = Cos x Lím
                        Sen Δx
                               + Sen x Lím
                                                [Cos Δx −1]
                 Δx → 0   Δx             Δx → 0     Δx


Pero      conocemos : Lím
                                 Sen Δx
                                          =1 ; Lím
                                                          [1 − Cos Δx ]= 0
                                   Δx
                               Δx → 0              Δx → 0       Δx
f ′(x) = Cos x Lím
                       Sen Δx
                              − Sen x Lím
                                             [1 − Cos Δx ]
                Δx → 0   Δx           Δx → 0       Δx
f ′( x ) = Cos x




                                                                              7
E-mail: damasorojas8@gmail.com, damasorojas8@galeon.com, joeldama@yahoo.com
INSTITUTO UNIVERSITARIO DE TECNOLOGÍA
                                    “JOSÉ ANTONIO ANZOÁTEGUI”
                                     EL TIGRE-EDO-ANZOÁTEGUI
                                        Cátedra: Matemática II
                                  Especialidades: Mecánica - Química
                                      Lic. MSc. DÁMASO ROJAS


10) f(x) = Cosx
              f(x + Δx) − f(x)
f ′(x) = Lím
         Δx→0        Δx
              Cos(x +Δx) − Cosx 0
f ′(x) = Lím                       = ind
         Δx→0           Δx            0
              CosxCos(Δx) − SenxSen(Δx) − Cosx                     CosxCos(Δx) − Cosx −SenxSen(Δx)
f ′(x) = Lím                                         ⇒f′(x) = Lím
         Δx→0                   Δx                            Δx→0                   Δx
              Cosx [Cos(Δx) − 1] − Senx Sen(Δx)                  Cosx [ Cos(Δx) − 1]         Senx Sen(Δx)
f ′(x) = Lím                                       ⇒f′(x) = Lím                       − Lím
         Δx→0                  Δx                           Δx→0         Δx             Δx→0     Δx

f ′(x) =CosxLím
                    [Cos(Δx)− 1] − SenxLím Sen(Δx)
               Δx→0       Δx               Δx→0   Δx

f ′(x) =−CosxLím
                       [1 − Cosx] − SenxLím Sen(Δx)
                 Δx→0      Δx             Δx→0   Δx

Conociendo: Lím
                      [1 − Cosx] = 0 ; Lím Sen(Δx) = 1⇒f′(x) = − Senx
                Δx→0      Δx            Δx→0    Δx
Nota     : Lím          Sen x = 0    Lím      Cos x = 1
           Δx → 0                    Δx → 0




11) f(x) = tg x
                        tg(x + Δ x) − tg (x)   0
 f ′ (x) = Lím                               =            ind
               Δx → 0           Δx             0

                                                             tg a + tg b
U tilizando         la identidad:             tg(a + b) =
                                                            1 − tg a tg b

                  tg x + tg Δ x
                                 − tg(x)
                 1 − tg x tg Δ x
f ′ (x) = Lím
          Δx → 0           Δx




                                                                                                8
E-mail: damasorojas8@gmail.com, damasorojas8@galeon.com, joeldama@yahoo.com
INSTITUTO UNIVERSITARIO DE TECNOLOGÍA
                                            “JOSÉ ANTONIO ANZOÁTEGUI”
                                             EL TIGRE-EDO-ANZOÁTEGUI
                                                Cátedra: Matemática II
                                          Especialidades: Mecánica - Química
                                              Lic. MSc. DÁMASO ROJAS


              (tgx + tg(Δx)) − tgx[1 − tgx tg(Δx)]

f ′(x) = Lím
                        (1 − tgx tg(Δx))
         Δx→0                  Δx
                                                            tg(Δx) ⎡1 − tg x⎤
                                                                          2
                                                  2                ⎢        ⎥
              / + tg(Δx) − / + tg x tg(Δx)
              tgx          tgx                                     ⎣        ⎦
f ′(x) = Lím                               ⇒ f ′(x) = Lím
         Δx→0      Δx[1 − tgx tg(Δx)]                 Δx→0 Δx[1 − tgx tg(Δx)]




                               tg(Δx)                                 tg(Δx)          1
f ′(x) = ⎡1 − tg x⎤ Lím                     ⇒ f ′(x) = ⎡1 − tg x⎤ Lím
                2                                             2
                                                       ⎢                     Lím
                                                                ⎥ Δx→0 Δx Δx→0 1 − tgx tg(Δx)
         ⎢
         ⎣        ⎥ Δx→0 Δx[1 − tgx tg(Δx)]
                  ⎦                                    ⎣        ⎦


                          Sen(Δx)
                          Cos(Δx)                                Sen(Δx)
f ′(x) = ⎡1 − tg x⎤ Lím            ⇒ f ′(x) = ⎡1 − tg x⎤ Lím
                2                                    2
         ⎢
         ⎣         ⎥
                   ⎦ Δx→0 Δx                  ⎢
                                              ⎣          ⎥ Δx→0 ΔxCos(Δx)
                                                         ⎦
                          Sen(Δx)          1
f ′(x) = ⎡1 − tg x⎤ Lím
                 2
          ⎢                       Lím
                    ⎥ Δx→0 Δx Δx→0 CosΔx        ⇒ f ′(x) = 1 − tg 2 x
          ⎣         ⎦
Sec 2 x = 1 − tg 2 x ⇒ f ′(x) = Sec 2 x


                                                        f(x + Δx) − f(x)
12) f(x) = e x                          f ′(x) = Lím
                                                 Δx → 0       Δx

                  e        − ex
                      x + Δx
                                  0                       e e −e
                                                           x Δx  x
f ′(x) = Lím                    =   ind ⇒ f ′(x) = Lím
         Δx → 0          Δx       0                Δx → 0    Δx


                         e
                             Δx
                                 −1                            a
                                                                   Δx
                                                                     −1
f ′(x) = e x Lím                        Pero :        Lím               = 1 ⇒ f ′(x) = e x
             Δx → 0            Δx                     Δx → 0       Δx




                                                                                             9
E-mail: damasorojas8@gmail.com, damasorojas8@galeon.com, joeldama@yahoo.com
INSTITUTO UNIVERSITARIO DE TECNOLOGÍA
                                      “JOSÉ ANTONIO ANZOÁTEGUI”
                                       EL TIGRE-EDO-ANZOÁTEGUI
                                          Cátedra: Matemática II
                                    Especialidades: Mecánica - Química
                                        Lic. MSc. DÁMASO ROJAS


                                                    Log a (x + Δx) − Log a x 0
13) f ( x) = Loga x ⇒ f ′(x) = Lím                                          =                 ind
                                            Δx →0              Δx             0
                 1   ⎡      ⎡ (x + Δx) ⎤ ⎤
f ′(x) = Lím         ⎢Log a ⎢          ⎥⎥
        Δx →0   Δx   ⎣      ⎣     x    ⎦⎦
                1         ⎡    Δx ⎤
f ′(x) = Lím         Loga ⎢1 +                       x>0
         Δx →0 Δx
                          ⎣    x ⎥⎦
                                 1
f ′(x) = Loga Lím ⎡1 +         ⎤
                            Δx Δx                                Δx
                                                    Cambio t =            → Δx = tx                 Δx = 0      → t=0
                 Δx →0 ⎣     x ⎦                                  x

                                                                    ((1 + t ) )
                                                                                      1
f ′(x) = Loga Lím [1 + t ]
                                   1                                          1           x
                                       tx
                                            → f ′(x) = Loga Lím                   t
              t →0                                          t →0

                     1                 1                 1
f ′(x) = Loga Lím (1 + t ) t ⇒ f ′(x) = Loga Lím (1 + t ) t
                             1
                t →0 x                 x      t →0

                       1               1
 Pero     Lím (1 + t ) t = e ⇒ f ′(x) = Loga e
           t →0                        x


14) y = Ln ax                 f(x) = Ln ax
                                                                      ⎡ a(x + Δx) ⎤
                                                                  Ln ⎢             ⎥
                    Ln a(x + Δx) − Ln ax                              ⎣     ax     ⎦
f ′(x) = Lím                                ⇒ f ′(x) = Lím
             Δx → 0           Δx                         Δx → 0           Δx
                       ⎡ (x + Δx) ⎤                          ⎡      Δx ⎤
                    Ln ⎢           ⎥                    Ln ⎢1 +
                       ⎣     x     ⎦ ⇒ f ′( x) = Lím         ⎣       x ⎥⎦
f ′(x) = Lím
             Δx → 0       Δx                     Δx → 0         Δx


                                                                      (       )
                                                                ⎡                1
                                                                                    ⎤
                     1 ⎡           Δx ⎤                         ⎢ Ln 1 + Δx
                                                                                 Δx
                                                                                    ⎥
 f ′( x ) = Lím           Ln (1 +     ) ⎥ ⇒ f ′( x ) = Lím
              Δx → 0 Δx ⎢                                Δx → 0 ⎢                   ⎥
                        ⎣           x ⎦                                      x
                                                                ⎣                   ⎦
                       Δx
   Cambio t =               ⇒ Δx = tx ⇒ Δx → 0 t → 0
                        x
                                  1                                       1                                             1
                                                        1                             1
                      (        )                                (
 f ′(x) = Lím Ln 1 + t tx ⇒ f ′(x) = Lím Ln 1 + t t ⇒ f ′(x) = Ln Lím
               t →0                               t →0 x
                                                                          )           x t →0
                                                                                                             (1 + t )   t


                            1
                                               1                               1
           t →0
                (         )
Pero Lím 1 + t t = e ⇒ f ′( x) = Ln e
                                               x
                                                             → f ′( x) =
                                                                               x

                                                                                                                   10
E-mail: damasorojas8@gmail.com, damasorojas8@galeon.com, joeldama@yahoo.com
INSTITUTO UNIVERSITARIO DE TECNOLOGÍA
                                     “JOSÉ ANTONIO ANZOÁTEGUI”
                                      EL TIGRE-EDO-ANZOÁTEGUI
                                         Cátedra: Matemática II
                                   Especialidades: Mecánica - Química
                                       Lic. MSc. DÁMASO ROJAS



            Ejercicios de aplicación de la definición de la Derivada.


      1.- Determinar una ecuación de la recta tangente a la curva                            y = 2 x 2 + 3 en
el punto (-1,5).


 mtg = Lím
            f ( x + Δx ) − f(x)
                                ,en ese punto m(x ) = Lím 1
                                                                      (
                                                           f x + Δx − f(x )
                                                                         1    )
       Δx→0         Δx                           1    Δx→0       Δx



 m(x ) = Lím
                 (
                2 x + Δx
                   1       )
                               2
                                        (
                                   + 3 − 2x 2 + 3
                                           1        )
                                                  ⇒ m(x ) = Lím 1
                                                                 2x 2 + 4x Δx + 2Δx2 + 3 − 2x 2 − 3
                                                                          1
                                                                                       /
                                                                                             1
                                                                                                  /
    1    Δx→0                      Δx                  1    Δx→0                Δx


              4x Δx + 2Δx2                Δx ⎡ 4x + 2Δx⎤
 m(x ) = Lím    1          ⇒ m(x ) = Lím ⎣ 1           ⎦ ⇒ m(x ) = 4x
    1    Δx→0      Δx           1    Δx→0        Δx           1      1

 sust.   el valor de x en la m(x ) ⇒ m(x ) = 4x ⇒ m( − 1) = 4( − 1) ⇒ m = − 4
                      1              1        1      1
 utilizando la ecuación punto − pendiente de la recta
 y − y = m(x − x ) → y − 5 = − 4(x + 1) ⇒ Recta tg :4x + y − 1 = 0
       1         1


                                                  2x
         2.- Dada la función y =                         calcular la ecuación de al recta tangente
                                                 x −1
y la ecuación de la recta normal a la curva en el punto (-1,1).

             2( x + Δx )   2x
                         −
             x + Δx −1     x− 1 0
m( x )=Lím                     = ind
    1 Δx → 0         Δx         0
             2( x + Δ x )   2x              2( x + Δ x )   2x                          2( x + Δ x ) 2 x
                          −                              +                                         −
             x + Δx −1      x− 1            x + Δx −1      x− 1                        x + Δ x −1 x − 1
m( x )=Lím                                                        ⇒ m( x )=Lím
    1 Δx → 0         Δx                     2( x + Δ x )   2x           1 Δx → 0      ⎡ 2( x + Δ x )   2x ⎤
                                                         +                         Δx ⎢              +      ⎥
                                            x + Δx −1      x− 1                       ⎣ x + Δ x −1     x− 1 ⎦




                                                                                                           11
E-mail: damasorojas8@gmail.com, damasorojas8@galeon.com, joeldama@yahoo.com
INSTITUTO UNIVERSITARIO DE TECNOLOGÍA
                                         “JOSÉ ANTONIO ANZOÁTEGUI”
                                          EL TIGRE-EDO-ANZOÁTEGUI
                                             Cátedra: Matemática II
                                       Especialidades: Mecánica - Química
                                           Lic. MSc. DÁMASO ROJAS


              2(x + Δx)(x −1) − 2x(x + Δx −1)                  2x2 − 2x + 2xΔx − 2ΔΔ− 2x2 −2xΔx + 2x

m(x1) = Lím
                      (x + Δx −1)(x −1)       ⇒ m(x1 ) = Lím
                                                                            (x + Δx −1)(x −1)
        Δx →0       ⎡ 2(x + Δx)        2x ⎤              Δx →0            ⎡ 2(x + Δx)        2x ⎤
                Δx⎢               +       ⎥                           Δx⎢               +       ⎥
                    ⎢ x + Δx −1
                    ⎣                 x− 1⎦
                                          ⎥                               ⎢ x + Δx −1
                                                                          ⎣                 x− 1⎥
                                                                                                ⎦
                     − 2ΔΔ
               (x + Δx −1)(x −1)                                       //
                                                                   − 2Δx
m(x ) = Lím                         ⇒ m(x ) = Lím
   1 Δx →0    ⎡ 2(x + Δx)      2x ⎤      1 Δx →0                     ⎡ 2(x + Δx)    2x ⎤
            Δx⎢            +      ⎥               /
                                                  Δx(x + Δx −1)(x −1)⎢           +     ⎥
              ⎢ x + Δx −1
              ⎣               x− 1⎥
                                  ⎦                                  ⎢ x + Δx −1
                                                                     ⎣             x− 1⎥
                                                                                       ⎦
                                    −2
m(x ) = Lím
   1 Δx →0                         ⎡ 2(x + Δx)    2x ⎤
                  (x + Δx −1)(x −1)⎢           +     ⎥
                                   ⎢ x + Δx −1
                                   ⎣             x− 1⎥
                                                     ⎦
                            −2                                −2
m(x ) = Lím                                ⇒ m(x ) = Lím
   1 Δx →0              2 ⎡ 2x      2x   ⎤      1 Δx →0     2x        2
                  ( x−1) ⎢ x − 1 + x − 1 ⎥               2
                                                           x− 1
                                                                ( x−1)
                          ⎢
                          ⎣              ⎥
                                         ⎦
                   −1                          −1                        −1               −1               −1
m(x ) =                      ⇒ m(x ) =                    ⇒m(−1) =              m(−1) =        → m(−1) =
   1                       4      1                   3               − 2(−8)             16               4
                2x( x−1)                  (2x) ( x −1)
                   x− 1
Para la recta tangente : y −y1 = m(x − x1 )               Punto (−1,1)
            1                                                                  −1
y −1 = −      (x +1) ⇒ 4y − y = − x −1 ⇒ x + 4y − 3 = 0          Nota : mn =
            4                                                                  mtg
                           −1                      −1
Para R.N : y − y1 =           (x − x1 ) ⇒ y −1 =        (x +1) ⇒ y −1 = 4(x +1) ⇒4x − y + 5 = 0 (R.N.)
                           mt                    ⎛ − 1⎞
                                                 ⎜    ⎟
                                                 ⎝ 4 ⎠


3.- Calcule la “pendiente media” de al curva
                                                                y = 2x   en el intervalo (1, 5)

y =2x           Punto   [1, 5 ]
            f(x + Δx) − f(x)       f(x + Δx) − f(x)
m       =                    → m =
    n              Δx           n      x −x
                                         2   1

                x +Δx             1+ 4
            2        −2 x       2      + 21       25 +2       15
m       =                 ⇒ m =             ⇒ m =       ⇒ m =
    n            x −x        n       4         n    4      n   2
                  2   1




                                                                                                                12
E-mail: damasorojas8@gmail.com, damasorojas8@galeon.com, joeldama@yahoo.com
INSTITUTO UNIVERSITARIO DE TECNOLOGÍA
                                  “JOSÉ ANTONIO ANZOÁTEGUI”
                                   EL TIGRE-EDO-ANZOÁTEGUI
                                      Cátedra: Matemática II
                                Especialidades: Mecánica - Química
                                    Lic. MSc. DÁMASO ROJAS


                                                                                 1
4.- Determine la ecuación de la recta tangente a la curva y =                         en el punto
                                                                               5x − 2
       1
(1 ,     )
       3
                                                              1           1
                                                                      −
              f ( x + Δx ) − f ( x )                   5( x + Δx ) − 2 5 x − 2 0
m = Lím                              ⇒ m( x ) = Lím                            = ind
 tg Δx →0              Δx                   1   Δx → 0           Δx              0
                  (5x − 2)− [5(x + Δx )− 2]                     5x − 2 − 5x − 5Δx + 2

m(x 1 ) = Lím
                   [5(x + Δx )− 2 ](5x − 2) ⇒ m(x ) = Lím [5(x + Δx )− 2 ](5x − 2)
          Δx → 0               Δx                   1 Δx →0              Δx
                             − 5Δx                                     −5                 −5      −5
m(x ) = Lím                                  ⇒ m(x ) = Lím                       ⇒ m(1) =    ⇒m =
   1 Δx →0 Δx[5(x + Δx )− 2 ](5x − 2 )                1 Δx →0 (5x − 2)(5x − 2)            9       9

                                                  1 −5
Ahora    la R.tag : y − y = m = ( x − x ) → y − =         ( x −1)
                         1    tg          1       3 9
9 (3y −1) = − 15( x −1) → 27 y − 9 = − 15 x +15 ⇒ 15 x + 27 y − 24 = 0 ⇒ 5 x + 9 y − 8 = 0


      5.- Determine una ecuación para cada una de las rectas normales a la
curva y = x 3 − 4 x que sean paralelas a la recta x + 8 y − 8 = 0


                                 ( x + Δx)3 − 4(x + Δx) − x3 + 4x          0
Calculamos mtg ⇒ m(x ) = Lím                                           =     ind
                    1 Δx→0                    Δx                           0
             x3 + 3x2Δx + 3x Δx2 + Δx3 − 4x − 4Δx − x3 + 4x
m(x1) = Lím
        Δx→0                       Δx
                                                    Δx ⎡3x2 + 3xΔx + Δx2 − 4⎤
                                                    /
             3x2Δx + 3xΔx2 + Δx3 − 4Δx                 ⎢                    ⎥
m(x ) = Lím                            ⇒ m(x ) = Lím ⎣                      ⎦
   1 Δx→0               Δx                   1 Δx→0             //
                                                                Δx
m(x ) = Lím3x2 + 3xΔx + Δx2 − 4 ⇒ m(x ) = 3x2 − 4
   1 Δx→0                            1
       −1            −1
m =       ⇒m =             ( mRN)
 n m(x)       n     2 −4
                  3x




                                                                                                  13
E-mail: damasorojas8@gmail.com, damasorojas8@galeon.com, joeldama@yahoo.com
INSTITUTO UNIVERSITARIO DE TECNOLOGÍA
                                  “JOSÉ ANTONIO ANZOÁTEGUI”
                                   EL TIGRE-EDO-ANZOÁTEGUI
                                      Cátedra: Matemática II
                                Especialidades: Mecánica - Química
                                    Lic. MSc. DÁMASO ROJAS




Como las rectas buscadas son paralelas a la recta dada
igualamos las pendientes
                              −x + 8      −1
x + 8y − 8 = 0       ⇒ y=                ⇒m =
                                8         8
−1    −1
   =              ⇒ − 3x 2 + 4 = − 8 ⇒ − 3x 2 + 12 = 0 ⇒ x 2 = 4 ⇒ x = + 2
8 3x 2 − 4                                                                              −


sustituir en la ec. de la curva para calcular los valores de y:
y = x 3 − 4x   → x=2 ⇒           Punto (2,0); x = − 2 ⇒ Punto ( − 2,0)
                                     −1              −1
Para L1 :          Punto (2,0); m =      ⇒ y − 0 = ( x − 2)       ⇒ x + 8y − 2 = 0
                                     8                8
                                      −1                  −1
Para L2 :          Punto (−2,0); m =         ⇒     y − 0 = ( x + 2)    ⇒ x + 8y + 2 = 0
                                      8                   8


      6.- Encontrar una ecuación para cada una de las rectas tangentes a la
curva 3 y = x 3 − 3 x 2 + 6 x + 4 que sean paralelas a la recta 12 x − 7 y + 2 = 0



                                 ⎡( x + Δx)3                           4⎤ x3 2         4
                                             − ( x + Δx) + 2( x + Δx) + ⎥ − + x − 2x −
                                                        2
                                 ⎢
      x3          4              ⎢ 3                                   3⎥ 3            3 0
f(x) = − x2 + 2x + ⇒f′(x) = Lím⎣                                        ⎦                = Ind
      3           3         Δx→0                               Δx                         0

             (x3 + 3x2 Δx + 3xΔx2 + Δx3)                                   x3
                                         − ( x2 + 2xΔx + Δx2 ) + 2x + 2Δx − + x2 − 2x
f′(x) = Lím                3                                               3
        Δx→0                                       Δx


             x3 2              Δx3 2                          x3
               + x Δx + xΔx2 +    −x − 2xΔx − Δx2 + 2x + 2Δx − + x2 − 2x
f′(x) = Lím 3                   3                              3
        Δx→0                             Δx




                                                                                            14
E-mail: damasorojas8@gmail.com, damasorojas8@galeon.com, joeldama@yahoo.com
INSTITUTO UNIVERSITARIO DE TECNOLOGÍA
                                         “JOSÉ ANTONIO ANZOÁTEGUI”
                                          EL TIGRE-EDO-ANZOÁTEGUI
                                             Cátedra: Matemática II
                                       Especialidades: Mecánica - Química
                                           Lic. MSc. DÁMASO ROJAS


                                                             Δx ⎡x2 + xΔx − 2x − Δx + 2 ⎤
                                                             //
              x2 Δx + xΔx2 − 2xΔx − Δx2 + 2Δx                   ⎢                       ⎥
f ′(x) = Lím                                  ⇒ m(x ) = Lím ⎣                           ⎦
         Δx→0               Δx                     1    Δx→0            Δx /
m(x1) = x2 − 2x + 2         mtg a la curva
 sus pendientes son iguales (paralelas) mtg = m
                                               (recta dada)
                                                    12
12x − 7y + 2 = 0 ⇒−7y = −12x − 2      →      mRD =
                                                     7

12
   = x2 − 2x + 2      → 12 = 7x2 −14x + 14 ⇒ 7x2 −14x + 2 = 0
 7

    ( −14) ± ( −14)2 − 4 ( 7)( 2)                      14 ±12
x=−                                          ⇒    x=
                2 ( 7)                                   14
     14 +12             26                       14 −12                                2                1
x =            → x =          → x = 2;       x =                         →         x =        →     x =
 1     14            1 14           1         2    14                               2 14             2 7
Sust los valores de x en la curva para x = 2


    23                    4             8         4        8 4
y=      − ( 2)2 + ( 2)2 +       →   y = − 4 + 4 + ⇒y = +            →    y=4                        Punto (2,4)
     3                    3             3         3        3 3
                        3                              1
                    ⎛1⎞
                    ⎜ ⎟        2                        3
          1                 ⎛1⎞   ⎛1⎞ 4                       1 2 4
Para x = ⇒ y = ⎝ ⎠ − ⎜ ⎟ + 2⎜ ⎟ +
                     7
                                               →    y= 7 −     + +
          7           3     ⎝7⎠   ⎝7⎠ 3                 3 72 7 3
       1       1 2 4                1 − 21 + 1666        1646
y=          −     + +        → y=                 → y=        ⇒ y = 1,59 ≅ y = 1,6
    3( 7)3 49 7 3                       1029             1029
Las ecuaciones son:

     1   tg    (
               1        )
y − y = m x − x ⇒ Para L :
                        1
                                             m=
                                                  12
                                                  7
                                                           Punto (2,4) ⇒ y − 4 =
                                                                                   12
                                                                                   7
                                                                                      ( x − 2) ⇒12x − 7y + 4 = 0
                        12                  ⎛1     ⎞
Para L :           m=                 Punto ⎜ , 1.6⎟
      2                 7                   ⎝7     ⎠
            12 ⎛   1⎞
y − 1.6 =      ⎜x − ⎟          →      7 y −11.2 = 12x − 0.14⇒ 12x − 7 y +11.06 = 0
            7⎝     7⎠




                                                                                                             15
E-mail: damasorojas8@gmail.com, damasorojas8@galeon.com, joeldama@yahoo.com
INSTITUTO UNIVERSITARIO DE TECNOLOGÍA
                                   “JOSÉ ANTONIO ANZOÁTEGUI”
                                    EL TIGRE-EDO-ANZOÁTEGUI
                                       Cátedra: Matemática II
                                 Especialidades: Mecánica - Química
                                     Lic. MSc. DÁMASO ROJAS


7.- Hallar el ángulo determinado por la tangente a la curva               y = x 3 en el punto
        3
x =
       3
                                                              2
             (x + Δx) 3 − x 3 0                      x 3 + 3x Δx + 3x Δx 2 + Δx 3 − x 3
m(x     ) = Lím               = ind ⇒ m(x ) = Lím
   1 Δx → 0        Δx          0            1 Δx → 0                   Δx
                                                       Δx ⎢⎡3x 2 + 3x Δx + Δx 2 ⎤
                2                                        /
             3x Δx + 3x Δx 2 + Δx 3                        ⎣                    ⎥
                                                                                ⎦
m(x ) = Lím                            ⇒ m(x ) = Lím
   1 Δx → 0             Δx                   1 Δx → 0              Δx/
                                          2
           2               ⎛ 3⎞ ⎛ 3⎞          ⎛ 3⎞
m(x ) = 3x    sus t ⇒ m ⎜      ⎟ ⎜      ⎟     ⎜    ⎟
                           ⎜ 3 ⎟ = 3⎜ 3 ⎟ ⇒ m ⎜ 3 ⎟ = 1 ⇒ m sec = tg θ ⇒ tg θ = 1 ⇒ θ = 45 °
   1
                           ⎝   ⎠ ⎝      ⎠     ⎝    ⎠

        8.- Determinar los parámetros “a”, “b” y “c” en la ecuación de la parábola
y = ax 2 + bx + c de tal manera que la recta y = x sea tangente a ella en x = 1 y
dicha curva pase por el punto (-1, 0).

                 a(x + Δx) 2 + b (x + Δx) + c − ⎡ ax 2 + bx + c ⎤
                                                ⎢
                                                ⎣               ⎥ 0
                                                                ⎦ = ind
m(x      ) = Lím
       1 Δx → 0                        Δx                          0
                 ax  2 + 2ax Δx + a Δ x 2 + bx + b ΔΔ + c − ax 2 − bx − c
m(x      ) = Lím
       1 Δx → 0                            Δx
                  2ax Δx + a Δ x 2 + b ΔΔ                      Δx [2ax + a Δ x + b ]
m(x      ) = Lím                            ⇒ m(x ) = Lím
       1 Δx → 0             Δx                      1 Δx → 0            Δx
m(x      ) = 2ax + b m tg
       1
R tg y = x es tg a la parábola         en x = 1 ⇒ p tg (1,1)
Sust : m(1) = 2a + b de la ec. de la recta            y=x ⇒ m =1
1 = 2a + b → 2a + b = 1 Ec (1)
Sust     el p tg en la parábola ⇒ y = ax 2 + bx + c ⇒ a + b + c = 1 Ec( 2)
la parábola        pasa por ( − 1, 0) ⇒ y = ax 2 + bx + c → a − b + c = 0 Ec( 3)
Tenemos tres ecuaciones :
1) 2a + b = 1  2) a + b + c = 1               3) a − b + c = 0
                                   1
a + c + b =1 ⇒ b + b =1 ⇒ b =
                                   2
       1        1
2a +     1 → a=
       2        4
                                   1
a+ c =b →         c =b − a → c =
                                   4



                                                                                                16
E-mail: damasorojas8@gmail.com, damasorojas8@galeon.com, joeldama@yahoo.com
INSTITUTO UNIVERSITARIO DE TECNOLOGÍA
                                       “JOSÉ ANTONIO ANZOÁTEGUI”
                                        EL TIGRE-EDO-ANZOÁTEGUI
                                           Cátedra: Matemática II
                                     Especialidades: Mecánica - Química
                                         Lic. MSc. DÁMASO ROJAS


          El proceso de calcular la derivada de una función en forma directa a
partir de su definición, puede consumir mucho tiempo y ser tedioso. Esta sección
contiene reglas que simplifican la tarea de encontrar derivadas de las funciones
más complicadas en forma casi instantánea.


        Notaciones para la derivada.
        Cuando y = f (x ) se utilizan las siguientes notaciones para las derivadas.

f ´(x) = Dx [ f ( x)] = d x y = y´= dy / dx = d / dx[ f ( x)]
       Todas las notaciones anteriores se utilizan en las matemáticas y sus
aplicaciones, es recomendable que el lector se familiarice con ellas.
      El subíndice x en el símbolo Dx y se utiliza para designar a la variable
independiente, y Dx para derivar la función.


        Teoremas para Determinar Derivadas.
       Sea f ' (u ) el símbolo para denotar derivadas, podemos enunciar los
siguientes teoremas. (No se demostrará ninguno de los teoremas, ya que no es
objetivo de este trabajo).
        A.- Teoremas Fundamentales de funciones Algebraicas.
Teorema 1: Derivada de una constante. f (u ) = a ⇒ f ' (u ) = 0

Teorema 2: Derivada de una variable.                           f (u ) = u ⇒ f ' (u ) = 1

Teorema 3: Derivada de la potencia de una Variable. f (u ) = u n ⇒ f ' (u ) = nu n − 1

Teorema 4: Derivada para la suma algebraica de funciones.
f (u ) = F (u ) ± G (u ) ⇒ f ' (u ) = F ' (u ) ± G ' (u )
Teorema 5: Derivada del producto de dos funciones
f (u ) = F (u ) G (u ) ⇒ f ' (u ) = F ' (u ) G (u ) + F (u ) G ' (u )
Teorema 6: Derivada de un cociente de funciones.
                    F (u )              F ' (u ) G (u ) − F (u ) G ' (u )
         f (u ) =          ⇒ f ' (u ) =                                   , G (u) ≠ 0.
                    G (u )                          G (u ) 2
Teorema 7: Derivada de una función Compuesta. Sea y = f (u ) y u = g ( x )
que determinan una función compuesta y = f ( g ( x )). Si g es diferenciable en x y
ƒ es diferenciable en u = g (x ) , entonces: Dx y = Dx y Dx u


                                                                                           17
E-mail: damasorojas8@gmail.com, damasorojas8@galeon.com, joeldama@yahoo.com
INSTITUTO UNIVERSITARIO DE TECNOLOGÍA
                                           “JOSÉ ANTONIO ANZOÁTEGUI”
                                            EL TIGRE-EDO-ANZOÁTEGUI
                                               Cátedra: Matemática II
                                         Especialidades: Mecánica - Química
                                             Lic. MSc. DÁMASO ROJAS

Una de las aplicaciones principales del teorema anterior es para desarrollar otras
fórmulas de derivación, por ejemplo:
Regla de la potencia para funciones.

f (u ) = [ F (u )]n ⇒ f ' (u ) = n[ F (u )]F ' (u )
        B.- Teoremas de funciones trascendentales.

        a.- Teoremas de las funciones Exponenciales y Logarítmicas.

Teorema 8: Derivada de la función logaritmo natural. F(u) > 0
                                                     F ' (u )
         f (u ) = Ln[ F (u )] ⇒ f ' (u ) =
                                                     F (u )
Teorema 9: Derivada de la función logaritmo de base a de u.

                                                F ' (u )
         f (u ) = Log [ F (u )] ⇒ f ' (u ) =                 , para u =F(u) ≠ 0, ( a > 0 , a ≠ 1)
                     a                       F (u ) Ln ( a )

Teorema 10: Derivada para las funciones logaritmo y exponencial generales.
              F (u )                    F (u )
 f (u ) = a            ⇒ f ' (u ) = a            Ln(a) F ' (u )            (a>0)

Teorema 11: Regla para la función exponencial natural.
                            F (u )                     F (u )
               f (u ) = e            ⇒ f ' (u ) = e             F ' (u )

        b.- Teoremas Trigonométricos para la Derivación.
      A continuación se presentan las derivadas de las seis funciones
trigonométricas. En el enunciado de los teoremas se supone que u = g (x ), donde
g es una función derivable y x se restringe a los valores para los que la función
trigonométrica está definida.
Teorema 12: Derivada de la función seno.
         f (u ) = Sen[F (u )]            →            f ´(u ) = (cos u ) F´(u )
Teorema 13: Derivada de la función coseno.
          f (u ) = Cos[F (u )]             →           f ´(u ) = ( Sen u ) F´(u )
Teorema 14: Derivada de la función tangente.
         f (u ) = Tag [F (u )]            →            f ´(u ) = ( Sec 2 u ) F ´(u )




                                                                                                    18
E-mail: damasorojas8@gmail.com, damasorojas8@galeon.com, joeldama@yahoo.com
INSTITUTO UNIVERSITARIO DE TECNOLOGÍA
                                     “JOSÉ ANTONIO ANZOÁTEGUI”
                                      EL TIGRE-EDO-ANZOÁTEGUI
                                         Cátedra: Matemática II
                                   Especialidades: Mecánica - Química
                                       Lic. MSc. DÁMASO ROJAS

Teorema 15: Derivada de la función cosecante.
       f (u ) = Csc[F (u )]       →       f ´(u ) = −(Csc u )(Ctg u ) F´(u )
Teorema 16: Derivada de la función secante.
       f (u ) = Sec[F (u )]       →       f ´(u ) = ( Sec u ) (tg u ) F´(u )
Teorema 17: Derivada de la función cotangente.
       f (u ) = Ctg [F (u )]      →       f ´(u ) = (Csc 2u ) F´(u )

      c.- Teoremas Trigonométricos Inversos sobre la Derivación.
      En los teoremas siguientes se supone que u = g(x), donde g es una
función derivable y x se restringe a los valores para los que las expresiones
indicadas tienen sentido.
Teorema 18: Derivada para la función arco seno.
                                                              F´(u )
      f (u ) = Arc Sen[F (u )]        →       f ´(u ) =
                                                            1 − [F (u )]
                                                                           2



Teorema 19: Derivada para la función arco coseno.
                                                             − F´(u )
       f (u ) = Arc Cos[F (u )]       →       f ´(u ) =
                                                            1 − [F (u )]
                                                                           2



Teorema 20: Derivada para la función arco tangente.
                                                                       F´( u )
       f (u ) = Arc Tg [F (u ) ]          →         f´( u ) =
                                                                  1 + [F (u ) ]
                                                                                   2



Teorema 21: Regla para la función arco cotangente.
                                                             − F ´(u )
       f (u ) = Arc Ctg [F (u )]      →        f ´(u ) =
                                                           1 + [F (u )]
                                                                       2



Teorema 22: Derivada para la función arco secante.
                                                                 F´(u )
       f (u ) = Arc Sec[F (u )]       →       f ´(u ) =
                                                           F (u ) [F (u )] −1
                                                                               2



Teorema 23: Derivada para la función arco cosecante.
                                                                − F´(u )
      f (u ) = Arc Csc[F (u )]        →       f ´(u ) =
                                                           F (u ) [F (u )] −1
                                                                               2




                                                                                       19
E-mail: damasorojas8@gmail.com, damasorojas8@galeon.com, joeldama@yahoo.com
INSTITUTO UNIVERSITARIO DE TECNOLOGÍA
                                              “JOSÉ ANTONIO ANZOÁTEGUI”
                                               EL TIGRE-EDO-ANZOÁTEGUI
                                                  Cátedra: Matemática II
                                            Especialidades: Mecánica - Química
                                                Lic. MSc. DÁMASO ROJAS

            Derivar y Simplificar
           a) Funciones Algebraicas
             1            4   1
1− . y =             +       = x − 2 + 4 x − 1/2
            2x 2           x  2

dy                 ⎛ 1⎞              ⎛ 1      2 ⎞
     = − x − 3 + 4 ⎜ − ⎟ x −3/2 = − ⎜      +     ⎟
dx                 ⎝ 2⎠              ⎜ x3        ⎟
                                     ⎝        x3 ⎠

                 (                )                   (                 )(                   )      (              )(   )
                            4                            3                             3
2 − . f ( x ) = 3x − x 3 + 1 ; f´ ( x ) = 4 3x − x 3 + 1   3 − 3 x 2 = 12 3x − x 3 + 1   1 − x2


                                           (                 )
                                 1              −1/2                                                        2−x
3−. y =      3 + 4x − x 2 ; y´ =   3 + 4x − x 2      ( 4 − 2x ) ⇒ f ´( x ) =
                                 2
                                                                                                         3 + 4x − x 2
            3 r + 2 d θ (2r + 3)3 − (3r + 2)2   6r + 9 − 6r − 4                    5
4 −. θ =           ;   =               2
                                              →                 ⇒ θ ´( r ) =
                                                             2
            2r + 3 dr         (2r + 3)            ( 2 r + 3)                 ( 2 r + 3 )2
                 5
        ⎛ x ⎞
5−. y = ⎜          ;y=
                          x5
                                 ; y´ =
                                        (1 + x )5 . 5 x 4 − x 5 (1 + x )4 . 5
               ⎟
        ⎝1 + x ⎠       (1 + x )5                     (1 + x )10

y´ =
       (1 + x )4 . 5 x 4 (1 +     x − x)
                                            =
                                                   5 x4
                 (1 + x )10                      (1 + x )6
6 − . y = ( x − 1)         x 2 − 2 x + 2 ; y´ =        x2 − 2 x + 2 +
                                                                             (x      − 1) ( 2x − 2 )

                                                                             2       x 2 − 2x + 2


y´ =     x2 − 2 x + 2 +
                                   (x   − 1) 2
                                                    =
                                                      ( x 2 − 2 x + 2 ) + ( x − 1)2 = 2 x 2 − 4x + 3
                                  x2 − 2 x + 2                    x 2 − 2x + 2                          x 2 − 2x + 2

                                                                  (              )
                                                                                     − 1/2
                                         1 − 4 w 2 − w (1/2 ) 1 − 4 w 2                      ( −8 w )
                     w          dz
7 −. z =                    ;      =                                                                    =
             1 − 4 w2
                                dw                           1 − 4 w2

                                  4 w2
             1 − 4 w2 +
        =
                                1 − 4 w2
                                         =
                                                    (1 − 4 w 2 ) + 4 w 2 = 1
                         1 − 4 w2                   1 − 4 w 2 (1 − 4 w 2 )
                                                                           (1 − 4 w 2 )
                                                                                       3


                                            x +1             x −1            (x      + 1) − ( x − 1)
                                                      −
                     x −1            2         x −1   2          x +1       2        (x   − 1)( x + 1)
8 − . f (x) =             ; f ´(x) =                                    =
                     x +1                          x +1                                   x +1
                        x +1− x +1              1
       f ´(x) =                        =
                     2 ( x + 1) x 2 − 1 ( x + 1) x 2 − 1


                                                                                                                            20
E-mail: damasorojas8@gmail.com, damasorojas8@galeon.com, joeldama@yahoo.com
INSTITUTO UNIVERSITARIO DE TECNOLOGÍA
                                                          “JOSÉ ANTONIO ANZOÁTEGUI”
                                                           EL TIGRE-EDO-ANZOÁTEGUI
                                                              Cátedra: Matemática II
                                                        Especialidades: Mecánica - Química
                                                            Lic. MSc. DÁMASO ROJAS


9 − . y = ( x2 + 3)
                 ( 2x − 5) ; y´ = 4( x + 3) 2x ( 2x − 5) + 3( 6 x) ( 2x                                      − 5) ( x2 + 3)
                        4           3       3                 2        3        3     3              2   3       2                4



y´= 2x ( 2x − 5) ( x + 3) ⎡4 ( 2x − 5) + 9( x + 3)⎤
                3           2       2       3           3                  2
                           ⎣                       ⎦
y ´ = 2x ( 2x − 5) ( x + 3) (17x + 27x − 20)
                    3           2       2       3      3


10. − f(x) = x(x −1)2 (x − 2)3
f´(x) = (x −1)2 (x − 2)3 + 2x(x −1)(x − 2)3 + 3x(x −1)2 (x − 2)2
f´(x) = (x −1)(x − 2)2 [ (x −1)(x − 2) + 2x(x − 2) + 3x(x −1)]
f´(x) = (x −1)(x − 2)2 ⎡6x2 −10x + 2⎤ ⇒ f´(x) = 2(x −1)(x − 2)2 ⎡3x2 − 5x +1⎤
                       ⎣            ⎦                           ⎣           ⎦
                x3              3x2 (x2 + 3) − x2 (2x)          x2 (x2 + 9)
11. − f(x) =          ⇒ f´(x) =                        ⇒ f´(x) = 2
               x2 + 3                 (x2 + 3)2                 (x + 3)2
                4x              4(x2 + 4) − 4x(2x)         4(4 − x2 )
12. − f(x) =          ⇒ f´(x) =                    ⇒ f(x) = 2
               x2 + 4               (x2 + 4)2               x +4
13. − f(x) = x 4 − x2
                    x
f´(x) = 4 − x2 + (4 − x2 )−1 2 ( − 2x) ⇒ f´x) = (4 − x2 )−1 2 ⎡4 − x2 − x2 ⎤ ⇒ f´x) = 2(4 − x2 )−1 2 ⎡2 − x2 ⎤
                                                              ⎣            ⎦                         ⎣       ⎦
                    2
        2 ⎡2 − x2 ⎤
f´x) = ⎣          ⎦
           4−x  2


14. − f(x) = 10x3 (x −1)2
f´(x) = 30x2 (x −1)2 + 20x3 (x −1) ⇒ f´(x) = 10x3 (x −1)(5x − 3)


15. − f(x) = (x − 2)3 (x +1)4
f´(x) = 3(x − 2)2 (x +1)4 + 4(x − 2)3 (x +1)3 ⇒ f´(x) = (x − 2)2 (x +1)3 [3(x +1) + 4(x − 2)]
f´(x) = (x − 2)2 (x +1)3 [3x + 3 + 4x − 8)] ⇒ f´(x) = (x − 2)2 (x +1)3 [ 7x − 5]


             2x2
16. − f(x) =
            9 − x2
        4x(9 − x2 ) − 2x2 ( − 2x)           4x(9 − x2 + x2 )              36x
f´(x) =                           ⇒ f´(x) =                  ⇒ f´(x) =
               (9 − x )
                      2 2
                                               (9 − x )
                                                     2 2
                                                                       (9 − x2 )2

                  36x
17. − f(x) =
               (9 − x2 )2
          36(9 − x2 )2 − 36x ⎡−4x(9 − x2 )⎤
                             ⎣            ⎦                            36(9 − x2 ) ⎡9 − x2 + 4x2 ⎤
                                                                                   ⎣             ⎦               108 ⎡3 + x2 ⎤
                                                                                                                     ⎣       ⎦
f´(x) =                                                    ⇒ f´(x) =                                 ⇒ f´(x) =
                            (9 − x2 )4                                         (9 − x2 )4                            (9 − x2 )3




                                                                                                                                      21
E-mail: damasorojas8@gmail.com, damasorojas8@galeon.com, joeldama@yahoo.com
INSTITUTO UNIVERSITARIO DE TECNOLOGÍA
                                              “JOSÉ ANTONIO ANZOÁTEGUI”
                                               EL TIGRE-EDO-ANZOÁTEGUI
                                                  Cátedra: Matemática II
                                            Especialidades: Mecánica - Química
                                                Lic. MSc. DÁMASO ROJAS

            x 2 − 2x + 2
18. − f(x) =
                x −1
        (2x − 2)(x − 1) − (x 2 − 2x + 2)           (2x − 2)(x − 1) − (x 2 − 2x + 2)           x(x − 2)
f´(x) =                                  ⇒ f´(x) =                                  ⇒ f´(x) =
                   (x − 1) 2
                                                              (x − 1) 2
                                                                                              (x − 1)2
               x 2 − 2x
19. − f(x) =
               (x − 1)2
          (2x − 2)(x − 1)2 − 2(x 2 − 2x)(x − 1)3           2(x − 1)3 − 2(x 2 − 2x)(x − 1)
f´(x) =                                          ⇒ f´(x) =
                         (x − 1)4                                     (x − 1)4
          2(x − 1) ⎡(x − 1)2 − (x 2 − 2x) ⎤
                   ⎣                      ⎦                  2
f´(x) =                                       ⇒ f´(x) =
                      (x − 1)4                            (x − 1)3
               x 2 − 2x
20. − f(x) =
               (x − 1)2
          (2x − 2)(x − 1)2 − 2(x 2 − 2x)(x − 1)3           2(x − 1)3 − 2(x 2 − 2x)(x − 1)
f´(x) =                                          ⇒ f´(x) =
                         (x − 1) 4
                                                                      (x − 1)4
          2(x − 1) ⎡(x − 1)2 − (x 2 − 2x) ⎤
                   ⎣                      ⎦                  2
f´(x) =                                       ⇒ f´(x) =
                      (x − 1)   4
                                                          (x − 1)3
               2 + x − x2
21. − f(x) =
                (x − 1)2
          (1 − 2x)(x − 1)2 − 2(2 + x − x 2 )(x − 1)           (x − 1) ⎡(1 − 2x)(x − 1) − 2(2 + x − x 2 ) ⎤
                                                                      ⎣                                  ⎦
f´(x) =                                             ⇒ f´(x) =
                          (x − 1)4                                             (x − 1)4
        ⎡(1 − 2x)(x − 1) − 2(2 + x − x 2 ) ⎤
                                           ⎦ ⇒ f´(x) = x − 5
f´(x) = ⎣
                    (x − 1)3                          (x − 1)3
             (x − 1)2 (x + 2)
22. − f(x)
                   x3
        (3x 2 − 3)x 3 − (x 3 − 3x + 2)3x 2             3x 2 ⎡(x 2 − 1)x − (x 3 − 3x + 2⎤
                                                            ⎣                          ⎦
f´(x) =                                    ⇒ f´(x) =
                          x6                                           x6
          ⎡                       ⎤
        3 ⎣ x 3 − x − x 3 + 3x − 2⎦           6 [ x − 1]
f´(x) =                 4
                                    ⇒ f´(x) =
                     x                            x4
               (x − 1) 2
23. − f(x) =
                 x +1
        2(x − 1)(x + 1) − (x − 1)2             (x − 1) [ 2(x + 1) − (x − 1)]             (x − 1) [ x + 3]
f´(x) =                             ⇒ f´(x) =                                 ⇒ f´(x) =
                   (x + 1) 2
                                                          (x + 1) 2
                                                                                            (x + 1)2
               (x − 1)(x + 3)           2(x + 1)(x + 1)2 − 2(x 2 + 2x − 3)(x + 1)
24. − f(x) =                  ⇒ f´(x) =                                           ⇒
                  (x + 1) 2
                                                        (x + 1)4
          2(x + 1) ⎡ x 2 + 2x + 1 − x 2 − 2x + 3⎤
                   ⎣                            ⎦                2 [ 4]
f´(x) =                                             ⇒ f´(x) =
                          (x + 1)   4
                                                                (x + 1)3




                                                                                                             22
E-mail: damasorojas8@gmail.com, damasorojas8@galeon.com, joeldama@yahoo.com
INSTITUTO UNIVERSITARIO DE TECNOLOGÍA
                                                  “JOSÉ ANTONIO ANZOÁTEGUI”
                                                   EL TIGRE-EDO-ANZOÁTEGUI
                                                      Cátedra: Matemática II
                                                Especialidades: Mecánica - Química
                                                    Lic. MSc. DÁMASO ROJAS


                                                        −1/2 ⎡
                                                               1 − x ) − (1 + x )( −1) ⎤
25. − F(x) =
                   1+ x          1 ⎛1 + x ⎞
                        ⇒ f´(x) = ⎜       ⎟                  ⎢(                        ⎥
                   1 −x          2 ⎝1 − x ⎠                  ⎢                2        ⎥
                                                             ⎣       (1 − x )          ⎦
                    −1/2 ⎡              ⎤                       −1/2 ⎡           ⎤
       1 ⎛1 + x ⎞                                     ⎛       ⎞
                         ⎢1 − x + 1 + x ⎥ ⇒ f´(x) = 1 ⎜ 1 + x ⎟      ⎢     /
                                                                           2     ⎥
f´(x) = ⎜       ⎟
       2 ⎝1 − x ⎠        ⎢ (1 − x )2 ⎥              /
                                                    2 ⎝1 − x ⎠       ⎢ (1 − x )2 ⎥
                         ⎣              ⎦                            ⎣           ⎦
                        −1/2
       1 ⎛1 + x ⎞                  1                           1                                  1
f´(x) = ⎜       ⎟                           ⇒ f´(x) =                      ⇒ f´(x) =
       /
       2 ⎝1 − x ⎠               (1 − x )2               1+ x         /
                                                             (1 − x )4                     (1 + x ) (1 − x )3
                                                        1− x
                                             x
                              (x 2 + 3) 2 − (x 2 + 3) − 2 2x
                                       1               1

                   x                         2
26. − f(x) =        ⇒ f´(x) =
             x2 − 3                       (x 2 + 3)
          (x 2 + 3) − 2 ⎡ x 2 + 3 − x 2 ⎤
                    1

                        ⎣               ⎦ ⇒ f´(x) =    3
f´(x) =
                    (x + 3)
                       2
                                                    (x + 3)3
                                                      2


                  2x 2              4x(x 2 − x − 2) − 2x 2 (2x − 1)           −2x(x + 4)
27. − f(x) =              ⇒ f´(x) =                                 ⇒ f´(x) = 2
               x2 − x − 2                   (x 2 − x − 2) 2                  (x − x − 2) 2
               x 2 − 3x + 2           (2x − 3)(x 2 + 2x + 1) − (x 2 − 3x + 2)(2x + 2)
28. − f(x) =                ⇒ f´(x) =
               x + 2x + 1
                 2
                                                      (x 2 + 2x + 1)2
          2x 3 + 4x 2 + 2x − 3x 2 − 6x − 3 − 2x 3 + 6x 2 − 4x − 2x 2 + 6x − 4
f´(x) =
                                    (x 2 + 2x + 1) 2
          4x 2 + 2x − 3x 2 − 3 + 6x 2 − 4x − 2x 2 − 4           5x 2 − 2x − 7
f´(x) =                                               ⇒ f´(x) = 2
                       (x 2 + 2x + 1) 2                        (x + 2x + 1) 2
                x2 +1
29. − f(x) =
                 x2 −1
                               2x 2
          2x(x 2 − 1) 2 − (x 2 + 1)(x − 1) − 2
                        1                   1

                                                          x(x 2 − 1)− 2 ⎡ 2(x 2 − 1) − (x 2 + 1) ⎤
                                                                     1


f´(x) =                         2               ⇒ f´(x) =               ⎣                        ⎦
                         x −1
                          2
                                                                           x −1
                                                                            2


        x ⎡ 2x − 2 − x − 1⎤
              2        2
                            ⎦ ⇒ f´(x) = x(x − 3)
                                              2
f´(x) = ⎣
               (x − 1)
                 2     3
                                         (x 2 − 1)3


30. − F(x) =
             (1 − 2x ) ( 3x + 2 )            ⇒ F(x) =
                                                      3x + 2 − 6x 2 − 4x
                                                                         ⇒ F(x) =
                                                                                            (
                                                                                  −6x 2 − x + 2            )
                  ( 5x − 4 )                               ( 5x − 4 )              ( 5x − 4 )

F´(x) =
          ( −12x − 1)( 5x − 4 ) −           ( −6x2 − x + 2) (5)
                                 ( 5x − 4 )2
                                                                                   6 ⎡ −5x 2 + 8x −1⎤
        −60x 2 + 48x − 5x + 4 + 30x 2 + 5x −10           −30x 2 + 48x − 6            ⎢              ⎥
F´(x) =                                        ⇒ F´(x) =                  ⇒ F´(x) = ⎣               ⎦
                               2                                    2                           2
                      5x − 4(          )                    5x − 4        (         )   5x − 4             (    )
                                                                                                                    23
E-mail: damasorojas8@gmail.com, damasorojas8@galeon.com, joeldama@yahoo.com
INSTITUTO UNIVERSITARIO DE TECNOLOGÍA
                                                             “JOSÉ ANTONIO ANZOÁTEGUI”
                                                              EL TIGRE-EDO-ANZOÁTEGUI
                                                                 Cátedra: Matemática II
                                                           Especialidades: Mecánica - Química
                                                               Lic. MSc. DÁMASO ROJAS


                       1 + x2
31. − y =          3
                       1 − x2
                                −2/3 ⎡ 2x (1 − x2 ) − (1 + x2 ) ( −2x ) ⎤                 2 −2/3 ⎡        ⎤
    1 ⎡1 + x2 ⎤                      ⎢                                  ⎥ ⇒ y´ = 1 ⎡1 + x ⎤ ⎢ 4x ⎥
y´ = ⎢
    3 ⎣ 1 − x2 ⎥
               ⎦                     ⎢           (1 − x2 )
                                                           2
                                                                        ⎥        3 ⎢ 1 − x2 ⎥ ⎢ (1− x2 )2 ⎥
                                                                                   ⎣        ⎦ ⎣
                                     ⎣                                  ⎦                                 ⎦
                         4x                                      4x
y´ =                                          ⇒ y´ =
                                2                                    2
           ⎛ 1 + x2 ⎞                                     ⎛ 1 + x2 ⎞
       3                            (1− x )           3 ⎜ 2 ⎟ (1− x2 )
                                         2  2                                6
           ⎜      2 ⎟
                                                        3

           ⎝1 − x ⎠                                       ⎝1 − x ⎠
                    4x                                                       4x
y´ =                                             ⇒ y´ =
         (1 + x ) 1 − x  2 2
                                                                  3 3 (1 + x2 ) (1 − x2 )
                                                                               2            4

       3   3      (     )                  2 6

         (1 − x )        2 2




                        2x
32. − y =
                       x +1
                                     1/2                 −1/2                               ⎡ 2 ( x + 1) − 2x (1) ⎤
            2x               ⎛ 2x ⎞            1 ⎛ 2x ⎞
y=                       ⇒ y=⎜      ⎟    → y´ = ⎜       ⎟                                   ⎢                     ⎥
           x +1              ⎝ x + 1⎠          2 ⎝ x + 1⎠                                   ⎢
                                                                                            ⎣       ( x + 1)2     ⎥
                                                                                                                  ⎦
                    ⎡             ⎤
y´ =                ⎢ 2x + 2 − 2x ⎥ ⇒ y´ = 1
                    1                              1
                                                         → y´ =
                                                                     1
                1/2 ⎢ x + 1 2 ⎥                        2
        ⎛ 2x ⎞ ⎣ (           ) ⎦            2x ( x +1)          2x ( x + 1)3
       2⎜      ⎟                           x +1
        ⎝ x + 1⎠


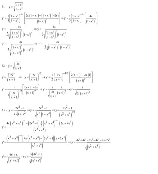
                    2x2 − 1                             2x2 − 1                     2x2 − 1
33. − y =                   ⇒y =                                           ⇒ y=
                   x 1 + x2
                                                    ( )       (
                                                      x2 1 + x2        )           x2 + x4
                                                                                           1/2


     4x ( x2 + x4 ) − ( 2x2 − 1) 1 ( x2 + x4 ) ( 2x + 4x3 )
                                    1/2                                     −1/2

                                   2
y´ =
                             (x )
                               2 + x4


     ( x2 + x4 ) ⎡⎢⎣4x ( x2 + x4 ) − ( 2x2 − 1)( x + 2x3)⎤⎥⎦ ⇒ y' = 4x + 4x − 2x − 4x + x + 2x
                            −1/2

                                                                                                     3     5      3   5       3
y' =
                          ( x2 + x 4 )                                      ( x 2 + x4 )
                                                                                                                          3




           4x3 + x                         x ( 4x2 −1)
y' =                             → y' =
       (x          + x4 )                  (x        + x4 )
               2            3                    2            3




                                                                                                                                  24
E-mail: damasorojas8@gmail.com, damasorojas8@galeon.com, joeldama@yahoo.com
INSTITUTO UNIVERSITARIO DE TECNOLOGÍA
                                                       “JOSÉ ANTONIO ANZOÁTEGUI”
                                                        EL TIGRE-EDO-ANZOÁTEGUI
                                                           Cátedra: Matemática II
                                                     Especialidades: Mecánica - Química
                                                         Lic. MSc. DÁMASO ROJAS


                                          ⎡1                                  ⎞⎤
            1+                     x        2
                                                                  ⎛ 1
                                    − 1/2 ⎢ x − 1/2 1 − x − 1 + x ⎜ − x − 1/2 ⎟ ⎥
                                           1 ⎛1 +                 ⎝ 2      x⎞ ⎠⎥
                                                                                                       (                    ) (                    )
34)F(x) =                                 ⎢
                                     ⇒ y´ = ⎜                               ⎟
                                             ⎜                              ⎟
                                                                                                                        (                     )
            1−                     x      ⎢2 ⎝1 −               2          x⎠   ⎥
                                                         1− x
                                          ⎢
                                          ⎣                                     ⎥
                                                                                ⎦

          1
               ⎡ 1 − 1/2 ⎡
               ⎢2x       ⎣
                           1 − x + 1 + x ⎤⎥
                                              ⎦
                                                ⎤
                                                 (                     ) (                )
y´ =           ⎢                                ⎥
                                                     (                  )
        1+ x ⎢                    2
     2                      1− x                ⎥
               ⎣                                ⎦
        1− x
                                   ⎡ 1 − 1/2     ⎤                                                   ⎡         ⎤
                                   ⎢2x                                                               ⎢ x − 1/2 ⎥
                                             (2) ⎥
              1                                              1
y´ =                               ⎢             ⎥ → y´ =                                            ⎢        2⎥
                                     (            )                                                    (                    )
             1+       x                       2             1+                                x
       2                           ⎢ 1− x        ⎥        2                                          ⎢ 1− x ⎥
                                   ⎣             ⎦                                                   ⎣         ⎦
             1−       x                                     1−                                x
                        ⎡            ⎤
             1          ⎢       1    ⎥                                                                  1                                                                        1
y´ =                    ⎢              ⇒ y´ =                                                                                                     ⇒ y´ =
                                    2⎥
       2
           1+         x ⎢ x1/2 1 − x ⎥
                        ⎣            ⎦   (    2x1/2      )                                        1+       x
                                                                                                                    (1 −          x   )
                                                                                                                                          4
                                                                                                                                                            2        x    (1 +     x   ) (1 −     x   )
                                                                                                                                                                                                      3
           1−         x                                                                       (1 −         x    )
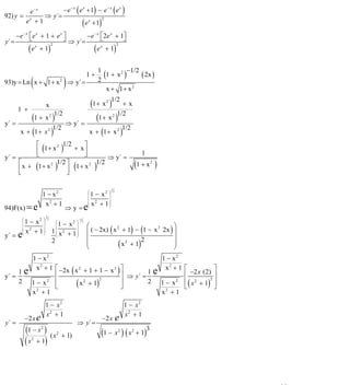
                                                                               x ( − 2 x ) (π 2 − x 2 )
                                                                                                           − 1/ 2
                                                                                                                                π2     ⎛1⎞
35) y = x π − x ⇒ y ' = (π − x
                  2            2                     2
                                                                   )
                                                                  2 1/ 2
                                                                           +                                        +                  ⎜ ⎟
                                                                                              2                                      x ⎝π ⎠
                                                                                                                                      2
                                                                                                                            1−
                                                                                                                                  π2
                                                                               π
y ' = (π 2 − x 2 )           − x 2 (π 2 − x 2 )                                        ⇒ y ' = (π 2 − x 2 )                     − x 2 (π 2 − x 2 )                  + π 2 (π 2 − x 2 )
                      1/ 2                               − 1/ 2                                                         1/ 2                               − 1/ 2                        − 1/ 2
                                                                  +
                                                                           π 2 − x2
                                                                             π
y ' = (π 2 − x 2 )             ⎡ (π 2 − x 2 ) − x 2 + π 2 ⎤ ⇒ y ' = (π 2 − x 2 )
                      − 1/ 2                                                                           − 1/ 2
                                                                                                                ⎡π 2 − x 2 − x 2 + π 2 ⎤
                                                                                                                ⎣                      ⎦
                               ⎣                          ⎦
y ' = (π 2 − x 2 )             2 (π 2 − x 2 ) ⇒ y `= 2 π 2 − x 2
                      − 1/ 2



36) f ( x ) = x 2 − 4

Re cordar que : a =                          a 2 ⇒ f ( x ) = ( x 2 − 4) 2 ⇒ f ( x ) = (( x 2 − 4) 2 )
                                                                                                                                      1
                                                                                                                                          2



           1                                                  1
f ´( x ) =   (( x 2 − 4) 2 ) − 2 (( x 2 − 4) 2 )′ ⇒ f ´( x ) = (( x 2 − 4) 2 ) − 2 (2( x 2 − 4)2 x )
                              1                                                 1


           2                                                  2
           2 x ( x 2 − 4)                  2 x ( x 2 − 4)
f ´( x ) =                ⇒ f ´( x ) =
             ( x 2 − 4)2                       x2 − 4
                  3
37)f(x) = x
                                                                                                               1 2 −1 2
f(x) = ( x 2 ) 3 ⇒ f´(x) = 3( x 2 ) 2 ( x 2 )´ ⇒ f´(x) = 3( x 2 ) 2                                              (x ) 2x
                                                                                                               2
                                                              2
           3x( x 2 ) 2                           3x x
f´(x) =                            ⇒ f´(x) =                       ⇒ f´(x) = 3x x
             ( x2 )                                      x


                                                                                                                                                                                       25
E-mail: damasorojas8@gmail.com, damasorojas8@galeon.com, joeldama@yahoo.com
INSTITUTO UNIVERSITARIO DE TECNOLOGÍA
                                        “JOSÉ ANTONIO ANZOÁTEGUI”
                                         EL TIGRE-EDO-ANZOÁTEGUI
                                            Cátedra: Matemática II
                                      Especialidades: Mecánica - Química
                                          Lic. MSc. DÁMASO ROJAS

b. Funciones Trigonométricas.
38)y = Sen (3x) + Cos (2x) ⇒ y´ = 3 cos (3x) − 2 Sen (2x)
39) y = tan 2 (x 2 ) ⇒ y´ = 2 tan (x 2 )Sec2 (x 2 ) 2x
40)y = Cot (1 − 2 x 2 ) ⇒ y´ = − Csc 2 (1 − 2 x 2 ) ( −4x ) ⇒ 4x Cosec2 (1 − 2 x 2 )
              2                 2 ⎛ 2 ⎞              2       2
41)y = Sen ( ) ⇒ y´ = Cos ( ) ⎜ − 2 ⎟ y´= − 2 Cos ( )
              x                 x ⎝ x ⎠              x       x
42)y = Cos 2 (1 − x 2 ) ⇒ y´ = 2 Cos (1 − x 2 ) ⎡ − Sen (1 − x 2 ) ⎤ ( −2x ) ⇒ y´ = 2xSen 2 (1 − x 2 )
                                                ⎣                  ⎦
43)y = Sen ( 2x − 3) ⇒ y´ = 3sen ( 2x − 3) Cos ( 2x − 3) 2x ⇒ y´ = 3xsen2 ( 2x − 3) Sen ( 2x − 3)
          3                        2


      1                             1
44)y = Sec2 ( x 2 − 1) ⇒ y´ = 2( )Sec ( x 2 −1) sec ( x 2 −1) tan ( x 2 −1) 2x
      2                             2
                                           2xSen ( x 2 − 1)
y´ = 2x sec2 ( x 2 −1) tan ( x 2 −1) ⇒ y´=
                                           Cos3 ( x 2 − 1)
                                                            1/2
                      1               dz -3/2 ( Sec (2w) −1) Sec (2w)tan (2w) 2
45)z ( w) =                       ⇒      =
              (Sec (2w) −1)3/2        dw              (Sec (2w) −1)3
   dz   -3 Sec(2w)tan (2w)
      =
   dw    ( Sec(2w) −1)5/2
46).y =
          Senx + Cosx
                      ⇒ y' =
                             ( Cosx − Senx )( Senx − Cosx ) − (Senx + Cosx )( Cosx + Senx )
          Senx − Cosx                               ( Senx − Cosx )2
      − ( Senx − Cosx )( Senx − Cosx ) − ( Senx + Cosx )2       − ⎡( Senx − Cosx )2 + ( Senx + Cosx )2 ⎤
                                                                  ⎢                                    ⎥
 y' =                                                     ⇒ y' = ⎣                                     ⎦
                                      2                                                    2
                          (
                         Senx − Cosx    )                                        (
                                                                             Senx − Cosx     )
        ⎡Sen 2 x − 2Senx Cosx + Cos2 x + Sen 2 x + 2Senx Cosx + Cos 2 x ⎤
        ⎢
        ⎣                                                               ⎥
                                                                        ⎦
 y' = −
                                               2
                                    (
                                 Senx − Cosx        )
     − ⎡ 2(Sen x + Cos x) ⎦
                2
                          ⎤   2
                                         −2
 y' = ⎣                     → y' =
         [Senx − Cosx ]            [Senx − Cosx ]
                       2                         2



47)y = 3Senx Cos 2 x + Sen 3 x
y' = 3 ⎡Cosx Cos 2 x + 2SenxCosx( − Senx) ⎤ + 3Sen 2 x Cosx
       ⎣                                  ⎦
y' = 3Cos3 x − 6Sen 2 x Cosx + 3Sen 2 x Cosx ⇒ y' = 3Cos3 x − 3Sen 2 x Cosx
y' = 3Cosx ⎡Cos 2 x − Sen 2 x ⎤ ⇒ y' = 3Cosx Cos(2x)
           ⎣                  ⎦



                                                                                                         26
E-mail: damasorojas8@gmail.com, damasorojas8@galeon.com, joeldama@yahoo.com
INSTITUTO UNIVERSITARIO DE TECNOLOGÍA
                                          “JOSÉ ANTONIO ANZOÁTEGUI”
                                           EL TIGRE-EDO-ANZOÁTEGUI
                                              Cátedra: Matemática II
                                        Especialidades: Mecánica - Química
                                            Lic. MSc. DÁMASO ROJAS


                     1                          1
48)y = 3 Sen 2 x +     3
                         ⇒ y = (Sen 2 x)1/3 +       ⇒ y = (Sen 2 x)1/3 + Cos−3x
                   Cos x                      Cos3x
    1                                                           2Senx Cosx        3Senx
y' = (Sen 2 x)2/3 2Senx Cosx + ⎡−3Cos−4 x ( − Senx)⎤ ⇒ y' =
                               ⎣                    ⎦                           +    4
    3                                                        3Senx 3 (Sen x) Cos x
                                                                            2 2


        2Cosx 3Senx
y' =           +   4
       3 3 Senx Cos x


49)y = 3Senx Cos2 x + Sen3x
y' = 3 ⎡Cosx Cos2 x + 2SenxCosx( − Senx) ⎤ + 3Sen 2 x Cosx
       ⎣                                 ⎦
y' = 3Cos3x − 6Sen 2 x Cosx + 3Sen 2 x Cosx ⇒ y' = 3Cos3x − 3Sen 2 x Cosx
y' = 3Cosx ⎡Cos2 x − Sen 2 x ⎤ ⇒ y' = 3Cosx Cos(2x)
           ⎣                 ⎦

            Cosx 4
50)y =−          + Ctgx
           3Sen3x 3
       −1 ⎡ −Senx(Sen3x) − 3CosxSen 2 x Cosx ⎤ 4                  1 ⎡ −Sen 4 x − 3Cos2 xSen 2 x ⎤ 4
y' =                                           − (Csc 2 x) ⇒ y' =− ⎢                            ⎥ − 3 Csc x
                                                                                                         2

       3⎢ ⎣            (Sen3x)2              ⎥ 3
                                             ⎦                    3⎣           Sen6 x           ⎦
       1 Sen 2 x(Sen 2 x + 3Cos2 x)     4           1 Sen 2 x + 3Cos2 x     4
y' =                    6
                                    −     2
                                             ⇒ y' =             4
                                                                        −
       3          Sen x               3Sen x        3       Sen x         3Sen 2 x
    1 ⎡ Sen 2 x + 3Cos2 x − 4Sen 2 x ⎤       1 ⎡ −3Sen 2 x + 3Cos2 x ⎤        Cos2x
y' = ⎢                4              ⎥ ⇒ y' = ⎢             4        ⎥ ⇒ y' = Sen 4 x
    3⎣             Sen x             ⎦       3⎣       Sen x          ⎦

             1 + Cos(2x)
51). − y =
             1 − Cos(2x)
       −2Senx (2x) [1 − Cos(2x)] − [1 + Cos(2x)] 2Senx (2x)
y' =
                            [1− Cos(2x)]
                                          2


       −2Senx (2x) [1 − Cos(2x) + 1 + Cos(2x ]            −4Senx (2x)
y' =                                             ⇒ y' =
                    [1 − Cos(2x)]                         [1 − Cos(2x)]
                                    2                                 2



                                                                  1 − Cos 2x         1 + Cos 2x
Sen(2x) = 2CosxSenx;Cos(2x) = Cos2 x − Sen 2 x; Senx =                       ;Cosx =
                                                                       2                  2
       −4[ 2CosxSenx]               −4[ 2CosxSenx ]        −2Cosx
y' =                  2
                           ⇒ y' =            4
                                                    ⇒ y' =
          ⎡2Sen x ⎤
                2                        4Sen x             Sen3x
          ⎣       ⎦



                                                                                                        27
E-mail: damasorojas8@gmail.com, damasorojas8@galeon.com, joeldama@yahoo.com
INSTITUTO UNIVERSITARIO DE TECNOLOGÍA
                                          “JOSÉ ANTONIO ANZOÁTEGUI”
                                           EL TIGRE-EDO-ANZOÁTEGUI
                                              Cátedra: Matemática II
                                        Especialidades: Mecánica - Química
                                            Lic. MSc. DÁMASO ROJAS


                               ⎛a⎞
52)y = Sen (x 2 − 5x + 1) + Tg ⎜ ⎟
                               ⎝x⎠
                                   ⎛       ⎛ a ⎞⎞⎛ a ⎞                                        ⎛ a ⎞       ⎛a⎞
y' = Cos (x 2 − 5x + 1) (2x − 5) + ⎜ Sec 2 ⎜ ⎟ ⎟ ⎜ − 2 ⎟ ⇒ y' = (2x − 5) Cos (x 2 − 5x + 1) − ⎜ 2 ⎟ Sec 2 ⎜ ⎟
                                   ⎝       ⎝ x ⎠⎠⎝ x ⎠                                        ⎝x ⎠        ⎝x⎠


53) F ( x) = α Sen 2 ( β x) + β Cos 2 ( β x)
           2 α Sen ( β x) Cos ( β x) + 2 β 2Cos ( β x)(− Sen β x)                 2 β Sen ( β x) Cos( β x) [α − β ]
F´( x) =                                                            ⇒ F '( x) =
                      2 α Sen β x + β Cos β x
                                2              2
                                                                                  2 α Sen 2 ( β x) + β Cos 2 ( β x)
                                                             β (α − β ) Sen 2( β x)
Pero :2 Cos β x Sen β x = Sen 2( β x) ⇒ F '( x) =
                                                       2 α Sen 2 ( β x) + β Cos 2 ( β x)
                  ⎡            ⎛          S en ( x 2 ) ⎞ ⎤
5 4 ) y = S en 3 ⎢ x 2 + S en ⎜ x 2 +                  ⎟⎥
                  ⎢            ⎜              x3       ⎟⎥
                  ⎣            ⎝                       ⎠⎦
                ⎡           ⎛          S en ( x ) ⎞ ⎤
                                                2               ⎡              ⎛      S en ( x 2 ) ⎞ ⎤
y ′ = 3 S en ⎢ x + S en ⎜ x +
             2     2             2
                                                    ⎟ ⎥ C o s ⎢ x + S en ⎜ x +
                                                                   2              2
                                                                                                      ⎟⎥
                ⎢           ⎜               x3      ⎟⎥          ⎢              ⎜            x3        ⎟⎥
                ⎣           ⎝                       ⎠⎦          ⎣              ⎝                      ⎠⎦
⎡              ⎛       S en ( x 2 ) ⎞ ⎤ ⎡        ( C o s( x 2 ) ) (2 x ) x 3 − (S en (x 2 ) ) 3 x 2 ⎤
⎢2x + C os ⎜ x 2 +                  ⎟⎥ ⎢2x +                                                        ⎥
⎢              ⎜           x3       ⎟⎥ ⎢                                  x6                        ⎥
⎣              ⎝                    ⎠⎦ ⎣                                                            ⎦
                  ⎡             ⎛          S en (x 2 ) ⎞ ⎤        ⎡            ⎛         S en (x 2 ) ⎞ ⎤
y ′ = 3 S en 2 ⎢ x 2 + S en ⎜ x 2 +                     ⎟⎥  C o s ⎢ x 2 + S en ⎜ x 2 +               ⎟⎥
                  ⎣             ⎝              x3       ⎠⎦        ⎣            ⎝             x3      ⎠⎦
                ⎛ x ´6 + S en (x 2 ) ⎞ ⎤ ⎡ 2 x + 2 x C o s ( x ) − 3 S en ( x ) ⎤
                                                 5        2          2              2
⎡
⎢ 2x + C os ⎜                         ⎟⎥   ⎢                                           ⎥
⎣               ⎝          x3         ⎠⎦ ⎣ ⎢                     x4                    ⎥
                                                                                       ⎦
               ⎛x⎞             ⎛x⎞
            tg ⎜ ⎟ + ctg ⎜ ⎟
55) y =        ⎝2⎠             ⎝2⎠
                         x
       ⎡1          2 ⎛ x ⎞     1⎛         2 ⎛ x ⎞ ⎞⎤         ⎡ ⎛x⎞               ⎛ x ⎞⎤
       ⎢ 2 S ec ⎜ 2 ⎟ + 2 ⎜ − csc ⎜ 2 ⎟ ⎟ ⎥ x + ⎢ tg ⎜ 2 ⎟ + ctg ⎜ 2 ⎟ ⎥
                     ⎝ ⎠        ⎝           ⎝ ⎠ ⎠⎦           ⎣ ⎝ ⎠               ⎝ ⎠⎦
y′ = ⎣                                           2
                                               x
       x ⎡        2 ⎛   x⎞      2 ⎛ x ⎞⎤ ⎡ ⎛ x ⎞                 ⎛ x ⎞⎤
       2 ⎣⎢ S ec ⎜ 2 ⎟ − csc ⎜ 2 ⎟ ⎥ + ⎢ tg ⎜ 2 ⎟ + ctg ⎜ 2 ⎟ ⎥
                     ⎝ ⎠          ⎝ ⎠⎦ ⎣ ⎝ ⎠                     ⎝ ⎠⎦
y′ =                                    2
                                      x
            ⎡                                 ⎤ ⎡         ⎛x⎞            ⎛ x ⎞⎤
         x ⎢          1             1         ⎥ ⎢ S en ⎜ 2 ⎟ C o s ⎜ 2 ⎟ ⎥
      − ⎢                    −                ⎥+⎢         ⎝ ⎠+           ⎝ ⎠⎥
         2 ⎢         2 ⎛ x ⎞        2 ⎛ x ⎞ ⎥      ⎢ C os ⎛x⎞            ⎛ x ⎞⎥
              S en ⎜ ⎟ C o s ⎜ ⎟                          ⎜ ⎟ S en ⎜ ⎟ ⎥
            ⎢
            ⎣           ⎝2⎠           ⎝ 2 ⎠⎥ ⎢⎦ ⎣         ⎝2⎠            ⎝ 2⎠⎦
y′ =                                         2
                                          x

                                                                                                                      28
E-mail: damasorojas8@gmail.com, damasorojas8@galeon.com, joeldama@yahoo.com
INSTITUTO UNIVERSITARIO DE TECNOLOGÍA
                                            “JOSÉ ANTONIO ANZOÁTEGUI”
                                             EL TIGRE-EDO-ANZOÁTEGUI
                                                Cátedra: Matemática II
                                          Especialidades: Mecánica - Química
                                              Lic. MSc. DÁMASO ROJAS


         ⎡       ⎛x⎞        2 ⎛ x ⎞⎤   ⎡   ⎛x⎞          2 ⎛ x ⎞⎤
           Cos 2 ⎜ ⎟ − Sen ⎜ ⎟ ⎥ ⎢ Sen 2 ⎜ ⎟ + Cos ⎜ ⎟ ⎥
      x ⎢        ⎝2⎠          ⎝ 2 ⎠⎥ + ⎢   ⎝2⎠            ⎝ 2 ⎠⎥
     − ⎢
       2 ⎢      2 ⎛ x ⎞   2 ⎛ x ⎞ ⎥    ⎢ Cos ⎛ x ⎞ Sen ⎛ x ⎞ ⎥
            Sen ⎜ ⎟ Cos ⎜ ⎟                  ⎜ ⎟       ⎜ ⎟ ⎥
         ⎢
         ⎣        ⎝2⎠       ⎝2⎠ ⎥ ⎢ ⎦ ⎣      ⎝2⎠       ⎝2⎠ ⎦
y′ =                                2
                                  x
Sen 2 u = 2 Sen u Cos u ; Cos 2 u = Cos 2 u − Sen 2 u ;      Sen 2 u + Cos 2 u = 1
          ⎡              ⎛x⎞         ⎤     ⎡                  ⎤                ⎛x⎞          ⎛x⎞    ⎛ x⎞
                 Cos 2 ⎜ ⎟                                           − x Cos 2 ⎜ ⎟ + 2 Cos ⎜ ⎟ Sen ⎜ ⎟
       x⎢                ⎝2⎠
                                     ⎥     ⎢         1        ⎥
                                                                               ⎝ 2⎠         ⎝  2⎠  ⎝2⎠
     − ⎢                             ⎥ + ⎢                    ⎥
       2⎢         ⎛ x⎞         ⎛ x ⎞⎥      ⎢ Cos ⎛ x⎞    ⎛ x ⎞⎥                     ⎛x⎞       ⎛x⎞
            Sen 2 ⎜ ⎟ Cos 2 ⎜ ⎟                  ⎜ ⎟ Sen ⎜ ⎟ ⎥                Sen 2 ⎜ ⎟ Cos 2 ⎜ ⎟
          ⎢
          ⎣       ⎝2⎠          ⎝ 2 ⎠⎦⎥     ⎢
                                           ⎣     ⎝2⎠     ⎝ 2 ⎠⎦                     ⎝2⎠       ⎝2⎠
y′ =                                                            y′ =
                                   x2                                                 2x2
                             ⎛x⎞         ⎛x⎞
     − x Cos ( x ) + 2 Sen ⎜ ⎟ Cos ⎜ ⎟
y′ =                         ⎝  2⎠       ⎝2⎠
         ⎡ 2         2 ⎛ x ⎞      2 ⎛ x ⎞⎤
         ⎢ 2 x Sen ⎜ 2 ⎟ Cos ⎜ 2 ⎟ ⎥
         ⎣             ⎝ ⎠          ⎝ ⎠⎦
              3Sen x − 2Cos x                      3Sen x − 2Cos x                       1
56) y =                                ⇒y =                                   ⇒y=              3Sen x − 2Cos x
                     5                                      5                             5
     1 ⎡1                                             ⎤
        ⎢ 2 ( 3Sen x − 2Cos x ) ( 3Sen x − 2Cos x ) ′ ⎥
                                −1
y′ =                            2

      5 ⎣                                             ⎦
     1 ⎡1                        −1                           ⎤
y′ =     ⎢ 2 ( 3Sen x − 2Cos x ) 2 ( (3Sen x)′ − ( 2Cos x)′ ) ⎥
      5 ⎣                                                     ⎦
          1 ⎡1                      −1                     ⎤          3 Cos x + 2 Sen x
y′ =         ⎢ 2 ( 3Sen x − 2Cos x ) 2 (3 Cos x + 2 Sen x) ⎥ ⇒ y′ =
           5 ⎣                                             ⎦        2 5 3Sen x − 2Cos x


57)f(x) = αSen 2 (βx) + βCos 2 (βx)
          2 αSen( βx) Cos (βx) + 2 β 2 Cos (βx) ( − Sen (βx))                           2 Sen (βx) Cos (βx) [ α − β ]
f'(x) =                                                                    ⇒ f'(x) =
                     2 αSen (βx) + βCos (βx)
                              2                2
                                                                                       2 αSen 2 (βx) + βCos 2 (βx)
          2 (Sen (βx) Cos (βx)) β [ α − β ]
f'(x) =                                            Pero:2 Cos (βx) Sen (βx) = Sen( 2 β x )
           2 αSen 2 (βx) + βCos 2 (βx)
             β(α − β) Sen (2 β x )
f'(x) =
          2 αSen 2βx + β Cos 2 βx


            Senx −    Cosx
58).y =
            Senx +    Cosx
     ⎡ ⎛ Cosx
     ⎢⎜        +
                 Senx ⎞
                       ⎟
       ⎝ 2 Senx 2 Cosx ⎠
                                  (   Senx +   Cosx − ) (    Senx −                ) ⎛ 2Cosx − 2 Senx ⎞ ⎤
                                                                              Cosx ⎜
                                                                                     ⎝ Senx
                                                                                                       ⎟⎥
                                                                                                  Cosx ⎠
y' = ⎢                                                                                                        ⎥
     ⎢
                                           (                       )                                          ⎥
                                                                       2
     ⎢                                         Senx +       Cosx                                              ⎥
     ⎣                                                                                                        ⎦


                                                                                                                        29
E-mail: damasorojas8@gmail.com, damasorojas8@galeon.com, joeldama@yahoo.com
INSTITUTO UNIVERSITARIO DE TECNOLOGÍA
                                                   “JOSÉ ANTONIO ANZOÁTEGUI”
                                                    EL TIGRE-EDO-ANZOÁTEGUI
                                                       Cátedra: Matemática II
                                                 Especialidades: Mecánica - Química
                                                     Lic. MSc. DÁMASO ROJAS


     (Cosx Cosx) + Senx( Senx) ( Senx +                                      ) ( Senx −            ) (Cosx2Cosx) − Senx()Senx)
          2 ( Senx Cosx)                                                                                    ( Senx Cosx
                                                                    Cosx −                    Cosx

y' =
                                                                              2
                                                                ( Senx + Cosx
                                                                            )

                           2       2                                         2       2
       Cosx Senx Cosx + (Cos x + Sen x) + Senx Senx Cosx − Senx Cosx
                                                                   Cosx + (Sen x + Cos x) − Senx Senx Cosx
Y' =
                                                                                             2
                                                                    (2 Senx Cosx Senx + Cosx
                                                                               )(          )

       Cosx Senx Cosx + 1 + Senx Senx Cosx − Senx Cosx
                                                     Cosx + 1 − Senx Senx Cosx
Y´=
                                                          2
                                             ( Senx + Cosx (2 Senx Cosx
                                                         )            )

                               2
y' =
                    2
       ( Senx + Cosx (2 Senx Cosx
                   )            )


c. Funciones Trigonométricas Inversas.

                                                           1                 d ( 2x − 3)
59)y = arcsen ( 2 x − 3) ⇒ y´ =                                          .
                                                    1 − ( 2x − 3)                 dx
                                                                     2


                       2                                        2                              1
y´ =                                     ⇒ y´ =                                ⇒ y´ =
        1 − 4x + 12x − 9
                  2
                                                         −4x + 12x − 8
                                                            2
                                                                                           3x − x2 − 2


                                              2x                              2x
60)y = arccos(x2 ) ⇒ y´ =−                                 ⇒ y´ =−
                                          1 − (x2 )2                         1 − x4
                                              1                             6x
61) y = arc tan(3x2 ) ⇒ y´ =                              6x ⇒ y´ =
                                         1 + ( 3x    )
                                                    2 2                  1 + 9x4


              ⎡1 + x ⎤
62)y = arccot ⎢
                               (1 − x ) 1 − (1 + x ) ( −1)
                     ⎥ ⇒ y´ =−
              ⎣1 − x ⎦
                                             2
                                     ⎛1 + x ⎞
                                            ⎟ (1 − x )
                                                       2
                                 1+ ⎜
                                     ⎝1 − x ⎠
         −(1 − x + 1 + x)                         − 2 (1 − 2x + x2 )
y´ =                              ⇒ y´ =
     ⎡ 1 + 2x + x2 ⎤                     (1 − 2x + x2 + 1 + 2x + x2 ) (1 − x )
                                                                               2

                       (1 − x )
                                2
      1+
     ⎢ 1 − 2x + x2 ⎥
     ⎣               ⎦
          − 2 (1 − x )
                           2
                                                     1
y´ =                                   ⇒ y´ = −
       2 (1 + x       ) (1 − x )                  1 + x2
                  2                2




                                                                                                                                 30
E-mail: damasorojas8@gmail.com, damasorojas8@galeon.com, joeldama@yahoo.com
INSTITUTO UNIVERSITARIO DE TECNOLOGÍA
                                          “JOSÉ ANTONIO ANZOÁTEGUI”
                                           EL TIGRE-EDO-ANZOÁTEGUI
                                              Cátedra: Matemática II
                                        Especialidades: Mecánica - Química
                                            Lic. MSc. DÁMASO ROJAS


                  ⎡1⎤
63) y = x arc csc ⎢ ⎥ + 1 − x 2
                  ⎣x⎦
              ⎡1⎤
y ´ = arc csc ⎢ ⎥ + x
                        ( −1) ⎛ − 1 ⎞ + −2 x
                                ⎜   2⎟
              ⎣x⎦     1 1                       2
                             −1 ⎝ x ⎠ 2 1 − x
                      x x  2
              1      x           x                 ⎡1⎤
y ´ = arc csc +            −         ⇒ y´= arc csc ⎢ ⎥
              x                                    ⎣x⎦
                   1 − x2     1 − x2
                                                        b
                                                           sec 2 x
       1       ⎛b      ⎞        1                       a
64)y = arc tan ⎜ tan x ⎟ ⇒ y´ =                                      2
      ab       ⎝a      ⎠        ab                       ⎛b        ⎞
                                                     1 + ⎜ tan x ⎟
                                                         ⎝a        ⎠
       1 b      Sec 2 x            Sec 2 x                 1
y´ =                      ⇒ y´ = 2           ⇒ y´ = 2 2
       ab a (a + b an x)
              2    2    2
                                a + b tan x
                                      2    2
                                                   a cos x + b 2 sen 2 x
                  a2
            x2 − 4 1                ⎡x ⎤                               1    ⎡x⎤
                      + arc sec ⎢ ⎥ ⇒ y = x −2 ( x 2 − 4 ) + arc sec ⎢ ⎥
                                                               1/2
65) y =         2
              x           2         ⎣2 ⎦                               2    ⎣2⎦
                                           1/2 2x   1       1            1
y´ = − 2x −3 ( x 2 − 4 ) + x −2 ( x 2 − 4 )
                        1/2
                                                  +                 1/2
                                                                        ( )
                                                2   2 x ⎛ x2       ⎞     2
                                                        ⎜     − 1⎟
                                                      2 ⎝ 4        ⎠
        −2 ( x 2 − 4 )
                      1/2
                                       1                           1
y ´=                        +                        +
                                x (x2 − 4)               x (x2 − 4)
                  3                            1/2                        1/2
              x

        −2 ( x 2 − 4 ) + x 2 + x 2                             8
y´ =                                   ⇒ y´ =
             x3 ( x2 − 4)
                             1/2
                                                     x3       x2 − 4
                                                         x−a
66) y = ( x − a ) 2 a x − x 2 + a 2 arc sen
                                                          a

y´ = 2ax − x 2 +
                      ( x − a )( 2a − 2x )      +
                                                            a2                  1
                            2 2ax − x                         (x   − a)         a
                                           2                              2

                                                         1−
                                                                   a2

 y´ = 2ax − x 2 +
                         ( x − a ) (a − x )    +
                                                          a2
                                2ax − x 2            2ax − x 2

y´=
        2ax − x 2 + xa − a 2 − x 2 + ax + a 2
                                                     ⇒ y´ =
                                                                   ( 2ax − x ) 2 ⇒ y´ =
                                                                                    2

                                                                                            2ax − x 2
                         2ax − x   2
                                                                       2ax − x          2




                                                                                                        31
E-mail: damasorojas8@gmail.com, damasorojas8@galeon.com, joeldama@yahoo.com
INSTITUTO UNIVERSITARIO DE TECNOLOGÍA
                                        “JOSÉ ANTONIO ANZOÁTEGUI”
                                         EL TIGRE-EDO-ANZOÁTEGUI
                                            Cátedra: Matemática II
                                      Especialidades: Mecánica - Química
                                          Lic. MSc. DÁMASO ROJAS


                 1 − tg x
67)y = arc tg
                 1 + tg x
                    ⎡                                                        ⎤
                    ⎢            ⎡ − Sec2 x (1 + tg x) − (1 − tg x) Sec2 x ⎤ ⎥
          1         ⎢     1
y′ =                             ⎢                                         ⎥⎥
        ⎡1 − tg x ⎤ ⎢ 1 − tg x ⎢                 (1 + tg x )
                                                             2
                                                                           ⎥⎥
     1+ ⎢         ⎥ ⎢ 2 1 + tg x ⎣
         1 + tg x ⎦ ⎣
                                                                           ⎦⎥
        ⎣                                                                    ⎦
                           ⎡                                                ⎤                   ⎡                       ⎤

y′ =
              1
                           ⎢
                           ⎢      1       ⎡ − Sec2 x (1 + tg x + 1 − tg x ⎤
                                          ⎢                               ⎥
                                                                            ⎥                   ⎢
                                                                            ⎥ ⇒ y′ = (1 + tg x) ⎢   1       ( − Sec x ) ⎥
                                                                                                                    2
                                                                                                                        ⎥
     1 + tg x + 1 − tg x ⎢ 1 − tg x ⎢                (1 + tg x )
                                                                 2
                                                                          ⎥ ⎥             2     ⎢ 1 − tg x (1 + tg x )2 ⎥
                           ⎢2             ⎣                               ⎦⎥                    ⎢2                      ⎥
          1 + tg x              1 + tg x
                           ⎣                                                ⎦                   ⎣ 1 + tg x              ⎦
             − Sec x
                   2
                                                − Sec x
                                                      2
                                                                                  − Sec x
                                                                                        2
                                                                                                             − Sec x
                                                                                                                   2
y′ =                            ⇒ y′ =                             ⇒ y′ =                          ⇒ y′ =
        1 − tg x                            1 − tg x                      2 (1 − tg x )(1 + tg x )         2 1 − tg 2 x
                  (1 + tg x )                        (1 + tg x )
                              2                                  2
     2                                  2
        1 + tg x                            1 + tg x
            1           b
68) y =        arcsen x
             b          a
        ⎡            ⎤                 ⎡                                          ⎤
        ⎢            ⎥                 ⎢                                          ⎥           ⎡    b ⎤
     1 ⎢         1   ⎥⎛ b⎞          1 ⎢       1                                  b⎥        1 ⎢⎢       ⎥
y′ =                                                                                               a ⎥
        ⎢           2⎥ ⎜
                       ⎜   ⎟ ⇒ y′ =
                           ⎟           ⎢                                          ⎥ ⇒ y′ =
                                                                                            b ⎢a + x b⎥
                                                    2                                               2
      b ⎢       ⎡ b⎤ ⎥ ⎝ a ⎠         b ⎢    ⎡ b⎤                                 a⎥
        ⎢1 +    ⎢x ⎥ ⎥                 ⎢1 + ⎢ x a ⎥                               ⎥           ⎢
                                                                                              ⎣   a   ⎥
                                                                                                      ⎦
        ⎣       ⎣ a⎦ ⎦                 ⎣    ⎣     ⎦                               ⎦
       1    ⎡    a b      ⎤                             a                                   a
y′ =        ⎢             ⎥ ⇒ y′ =                                       ⇒       y′ =
            ⎢ a (a + x b) ⎥                        a (a + x 2 b)                        a + x2 b
                      2
        b   ⎣             ⎦
                                  ⎡x⎤
69)f(x) = x a 2 − x 2 + a 2arcsen ⎢ ⎥ ⇒ f´(x) = a 2 − x 2 + x
                                                                ( −2x ) + a 2                        1  ⎡1⎤
                                  ⎣a ⎦                                                                  ⎢a ⎥
                                                              2 a2 − x2                              x ⎣ ⎦
                                                                                                         2
                                                                                                   1− 2
                                                                                                     a
                        x2                     a                      a2 − x2 − x2 + a2
f ´(x) = a 2 − x 2 −                  +                   ⇒ f´(x) =                         ⇒ f ´ (x) = 2 a 2 − x 2
                       a −x
                       2      2
                                          a −x
                                           2          2
                                                                           a −x
                                                                             2     2


                                            a2
                        x
70) y = 3a 2 arc tg        − ( 3a + 2x ) a x − x 2
                       a−x

         3a 2   ⎡1 ⎛ x ⎞     −1
                                  2   ⎛ ( a − x ) − x ( −1) ⎞ ⎤ ⎡                          1                          ⎤
                                                            ⎟ ⎥ − ⎢2 ax − x 2 + ( 3a + 2x ) ( ax − x 2 ) 2 ( a − 2x ) ⎥
                                                                                                        −1
y′ =            ⎢ ⎜     ⎟             ⎜
        ⎛ x ⎞ ⎢2 ⎝ a −x ⎠             ⎜      ( a − x ) ⎠⎦
                                                      2
                                                            ⎟⎥ ⎣                           2                          ⎦
     1− ⎜     ⎟ ⎣                     ⎝
        ⎝ a−x ⎠


                                                                                                                          32
E-mail: damasorojas8@gmail.com, damasorojas8@galeon.com, joeldama@yahoo.com
INSTITUTO UNIVERSITARIO DE TECNOLOGÍA
                                          “JOSÉ ANTONIO ANZOÁTEGUI”
                                           EL TIGRE-EDO-ANZOÁTEGUI
                                              Cátedra: Matemática II
                                        Especialidades: Mecánica - Química
                                            Lic. MSc. DÁMASO ROJAS


               ⎡                     ⎤
               ⎢                     ⎥
        3a ⎢2
                     a −x +x         ⎥ − ⎡2 ax − x2 + ( 3a + 2x) 1 ( ax − x2 ) 2 ( a − 2x) ⎤
                                                                               −1
y′ =                                     ⎢                                                 ⎥
     a −x−x ⎢                       2⎥
                           ( a − x) ⎥ ⎣
                      x                                            2                       ⎦
               ⎢ 2
      ( a − x) ⎣ a − x               ⎦
             ⎡                    ⎤
          2 ⎢                     ⎥
      3a ⎢            a
                                                       (
                                  ⎥ − ⎡( ax − x2 ) 2 2( ax − x2 ) + ( 3a + 2x)( a − 2x) ⎤)
                                                  −1
y′ =                                   ⎢                                                ⎥
     a − 2x ⎢      x            2⎥     ⎣                                                ⎦
             ⎢2        ( a − x) ⎥
             ⎣ a −x               ⎦
                 3a3
                           − ⎡( ax − x2 )         ( 2ax − 2x     + 3a2 − 6ax + 2ax − 4x2 ) ⎤
                                            −1
y′ =                                          2              2

       2(a − 2x) x ( a − x) ⎢⎣                                                             ⎥
                                                                                           ⎦

     ⎡         3a3        ⎤ ⎡3a2 − 6x2 − 2ax ⎤        ⎡         3a3        ⎤ ⎡3a2 − 6x2 − 2ax ⎤
y′ = ⎢                    ⎥−⎢                ⎥ ⇒ y′ = ⎢                    ⎥−⎢                ⎥
     ⎢ 2( a − 2x) ax − x2 ⎥ ⎢ ( ax − x2 ) 2 ⎥         ⎢ 2( a − 2x) ax − x2 ⎥ ⎣
                                         1
     ⎣                    ⎦ ⎢                         ⎣                    ⎦ ⎢     ax − x2 ⎥  ⎦
                            ⎣                ⎥
                                             ⎦
                       Sen x − 1
71) y = arc ctg
                       Senx + 1

           −1              ⎡ 1 ⎛ Senx − 1⎞−12   ⎛ Cosx ( Sen x + 1) − ( Senx − 1) Cosx ⎞⎤
y′ =                       ⎢ ⎜           ⎟      ⎜                                      ⎟⎥
        ⎛ Senx − 1⎞        ⎢ 2 ⎝ Senx + 1⎠      ⎜             (Senx + 1)
                                                                          2
                                                                                       ⎟
     1+ ⎜         ⎟        ⎣                    ⎝                                      ⎠⎥
                                                                                        ⎦
        ⎝ Senx + 1⎠
                         ⎡                                                            ⎤
                         ⎢                                                            ⎥
             −1          ⎢      1                     ⎛ Cosx ( Sen x + 1 − Senx + 1) ⎞⎥
y′ =                                                  ⎜                              ⎟⎥
     Senx + 1 + Senx − 1 ⎢ ⎛           1
                                                      ⎜         (Senx + 1)
                                                                           2
                                                                                     ⎟
                         ⎢ 2 Senx − 1⎞
                                        2
                                                      ⎝                              ⎠⎥
          Sen x + 1         ⎜
                         ⎢ Sen x + 1 ⎟                                                ⎥
                         ⎣ ⎝         ⎠                                                ⎦
              ⎡                             ⎤
              ⎢                             ⎥
y′ =
        −1 ⎢          1          ( 2Cosx) ⎥
      2Sen x ⎢ ⎛                           2⎥
              ⎢ 2 Sen x − 1⎞ ( Senx + 1) ⎥
                             1
                              2

     Senx + 1 ⎢ ⎜          ⎟                ⎥
              ⎣ ⎝ Senx + 1⎠                 ⎦
                − Cosx                                                − Cosx
y′ =                                ⇒ y′ =
             Sen x − 1                                             (Sen x − 1) (Senx + 1)
                                                                                             2
     2Sen x            (Sen x + 1)          2 Senx
             Senx + 1                                                    (Senx + 1)
                       − Cosx                                     − Cosx                         − ctgx
y′ =                                            ⇒ y′ =                          ⇒ y′ =
       2 Sen x    (Sen x − 1) (Senx + 1)                   2 Senx Sen2 x − 1             2 Sen2 x − 1

                                                                                                          33
E-mail: damasorojas8@gmail.com, damasorojas8@galeon.com, joeldama@yahoo.com
INSTITUTO UNIVERSITARIO DE TECNOLOGÍA
                                               “JOSÉ ANTONIO ANZOÁTEGUI”
                                                EL TIGRE-EDO-ANZOÁTEGUI
                                                   Cátedra: Matemática II
                                             Especialidades: Mecánica - Química
                                                 Lic. MSc. DÁMASO ROJAS


              ⎛ 1+ x ⎞                       ⎡ (1 − x) − (1 + x)( − 1) ⎤
                                              1
72) y = Arctg ⎜      ⎟ ⇒ y' =                ⎢                         ⎥
              ⎝ 1− x ⎠                                (1 − x)2
                                                     2
                                    ⎛ 1+ x ⎞ ⎣                         ⎦
                                1+ ⎜       ⎟
                                    ⎝ 1− x ⎠
     (1 − x) + (1 + x) ⎡1 − x + 1 + x ⎤
             2        2
                                                        2                           2
y' =                    ⎢ (1 − x)2 ⎥ ⇒ y' = (1 + x)2 + (1 + x)2 ⇒ y' = 1 − 2x + x 2 + 1 + 2x + x 2
           (1 − x) 2
                        ⎣             ⎦
          2                2              1
y' =            → y' =           ⇒ y' =
       2 + 2x 2
                       2(1 + x )
                              2
                                        1+ x2


       1                              1 ⎡ 2( Arcsenx)             ( Arcsenx)2 (−1) ⎤
73) y = ( Arcsenx)2 Arc cos x) ⇒ y ' = ⎢              Arc cos x +                  ⎥
       2                              2 ⎣ 1 − x2                        1 − x2     ⎦
        Arcsenx                                               Arcsenx(2 Arc cos x − Arcsenx )
y' =               [ 2 Arc cos x − Arcsenx ] ⇒ y ' =
       2 1− x    2
                                                                             2 1 − x2
                                                        ′
                                               ⎛ x ⎞
                                               ⎜       ⎟
              ⎛ x ⎞                            ⎝ 1+ x ⎠
                                                     2
74)y = Arcsen ⎜       ⎟ ⇒ y' =
              ⎝ 1+ x ⎠
                    2                                            2
                                                ⎛ x ⎞
                                             1− ⎜       ⎟
                                                ⎝ 1+ x ⎠
                                                      2


                     ⎡1                    ⎤
         1 + x 2 − x ⎢ (1 + x 2 )−1/2 (2x) ⎥
                     ⎣2                    ⎦               (1 + x 2 )1/2 − x 2 (1 + x 2 )−1/2
                    (1 + x )
                          2
                                                                       (1 + x 2 )
y' =                                              ⇒ y' =
                          x2                                         1+ x2 − x2
                      1−
                         1+ x2                                         1+ x2
       (1 + x 2 )−1/2 ⎡1 + x 2 − x 2 ⎤
                      ⎣              ⎦                1
                 (1 + x )2
                                                   (1 + x 2 ) 3          1+ x2              1+ x2             1
y' =                                     ⇒ y' =                 ⇒ y' =              ⇒ y' =           ⇒ y' =
                     1                                1                (1 + x 2 ) 3        (1 + x )
                                                                                                 2 3
                                                                                                            1+ x2
                  1+ x2                             1+ x2


               ⎡ xsenx ⎤
75)y = Arctg ⎢
               ⎣1 − xcosx ⎥⎦
            1          ⎡ (Senx + x(Cosx))(1 − xcosx) + (xsenx)(Cosx + x( − Senx) ⎤
y' =                   ⎢                                                         ⎥
         2
       x Sen x2
                                                (1 − xcosx)2
                    +1 ⎣                                                         ⎦
     (1 − xCosx)2
     (Senx + xcosx)(1 − xcosx) + (xsenx)(Cosx − xSenx)
y' =
            ⎛ (1 − xcosx)2 + (xsenx)2 ⎞
                                      ⎟ (1 − xcosx)
                                                    2
            ⎜
            ⎝       (1 − xcosx)2      ⎠
                                                                                                                    34
E-mail: damasorojas8@gmail.com, damasorojas8@galeon.com, joeldama@yahoo.com
INSTITUTO UNIVERSITARIO DE TECNOLOGÍA
                                        “JOSÉ ANTONIO ANZOÁTEGUI”
                                         EL TIGRE-EDO-ANZOÁTEGUI
                                            Cátedra: Matemática II
                                      Especialidades: Mecánica - Química
                                          Lic. MSc. DÁMASO ROJAS


       Senx − xsenx Cosx + xcosx − x 2Cos2 x + xsenx Cosx − x 2Sen 2 x
y' =
                     1 − 2xcosx + x 2Cos2 x + x 2Sen 2 x
       Senx + xcosx − x 2Cos2 x − x 2Sen 2 x
y' =
        1 − 2xcosx + x 2 (Cos2 x + Sen 2 x)
    Senx + xcosx − x 2 (Cos2 x + Sen 2 x)        Senx + xcosx − x 2
y' =                                      ⇒ y' =
            (1 − 2xcosx + x2 )                   (1 − 2xcosx + x 2 )
         1                                                        ′
              ⇒ y = ( Arctgx ) ⇒ y' =−1( Arctgx ) ( Arctgx )
                                −1                    −2
76)y =
       Arctgx
          −1 ⎛ 1 ⎞                       −1
y' =           2 ⎜     2 ⎟
                           ⇒ y' =
       (Arctgx) ⎝ 1 + x ⎠         (1+ x ) (Arctgx)2
                                       2


                                       1                           ′
           ( Arctgx ) − (Arcsenx)3 ⇒ y' = ( Arctgx ) ( Arctgx )
                                                      −1/2
77)y =                                                                 − 3(Arcsenx)2 (Arcsenx)′
                                       2
        1     ⎛ 1 ⎞                    ⎛ 1        ⎞                   1        −3(Arcsenx)2
y' =          ⎜      2 ⎟
                         − 3(Arcsenx)2 ⎜          ⎟ ⇒ y' =
     2 Arctgx ⎝ 1 + x ⎠                ⎝ 1+ x
                                              2
                                                  ⎠        2 (1 + x 2 ) Arctgx     1 + x2


                  1 − Cosx
78)y = ArcTg
                  1 + Cosx
                     −1/2
     1 ⎛ 1 − Cosx ⎞
       ⎜           ⎟
     2 1 + Cosx ⎠ ⎡ Senx(1 + Cosx) − (1 − Cosx)( − Senx) ⎤
y' = ⎝                  ⎢                                ⎥
          ⎛ 1 − Cosx ⎞ ⎣             (1 + Cosx)2         ⎦
      1+ ⎜           ⎟
          ⎝ 1 + Cosx ⎠

y' =
              [Senx(1+ Cosx +1− Cosx)]
     ⎛ ⎛ 1 − Cosx ⎞ ⎞ 1 − Cosx
     ⎜1 + ⎜ 1 + Cosx ⎟ ⎟ 2 1 + Cosx (1 + Cosx)
                                               2

     ⎝ ⎝             ⎠⎠

y' =
                            [ 2Senx]                    ⇒ y' =
                                                                    (1 + Cosx)Senx
     ⎛ 1 + Cosx + 1 − Cosx ⎞ 1 − Cosx                              1 − Cosx
     ⎜                     ⎟2            (1 + Cosx)2             2          (1 + Cosx)2
     ⎝       1 + Cosx      ⎠ 1 + Cosx                              1 + Cosx
                Senx                           Senx
y' =                            ⇒ y' =                        ⇒
         1 − Cosx                      2 (1 − Cosx)(1 + Cosx)
     2             (1 + Cosx) 2

         1 + Cosx
          Senx             Senx          1
y' =                ⇒ y' =        ⇒ y' =
     2 1 − Cos x 2         2Senx          2




                                                                                                  35
E-mail: damasorojas8@gmail.com, damasorojas8@galeon.com, joeldama@yahoo.com
INSTITUTO UNIVERSITARIO DE TECNOLOGÍA
                                      “JOSÉ ANTONIO ANZOÁTEGUI”
                                       EL TIGRE-EDO-ANZOÁTEGUI
                                          Cátedra: Matemática II
                                    Especialidades: Mecánica - Química
                                        Lic. MSc. DÁMASO ROJAS

d. Funciones Logarítmicas y Exponenciales.



                 (          )                              (         )
                                           1           d                 ⎛ 6x log e ⎞
79)y = log           3x 2 − 5 ⇒ y ´ =            log e   3x 2 − 5 ⇒ y´ = ⎜       a ⎟
             a
                                        3x 2 − 5
                                                    a dx                 ⎜ 3x 2 − 5 ⎟
                                                                         ⎝          ⎠

                                   2 ( x + 3)         2
80)y = Ln ( x + 3)2 ⇒ y´ =                    ⇒ y´ =
                                   ( x + 3)2         x+3


                                                  1         2 Ln ( x + 3)
81)y = Ln 2 ( x + 3) ⇒ y´ = 2 Ln ( x + 3)            ⇒ y´ =
                                                 x+3           x+3


                                         sec x + tanx + sec2 x
82)y = Ln ( sec x + tanx ) ⇒ y´ =                              ⇒ y´ = sec x
                                              sec x + tanx

83)y = x ( sen (ln x) − cos(ln x) )


                                    ⎛ cos(ln x) sen (ln x) ⎞
y´ = ( sen (ln x) − cos(ln x) ) + x ⎜          +           ⎟ ⇒ y´ = 2sen (ln x)
                                    ⎝    x          x      ⎠

          3                 3
84)y = ex ⇒ y´ = ex 3x 2


        sen (3x)                 sen (3x)
85)y = e         ⇒ y´ = 3cos(3x)e


86) y = x 2 ex ⇒ y´ = 2x ex + x 2ex ⇒ y´ = ex ( x 2 + 2x )


87)y = e−x cos (x) ⇒ y´ = − e−x cos (x) + e−x ( − sen ( x) ) ⇒ y´ = e−x ( sen (x) + cos( x) )

                                                                                        36
E-mail: damasorojas8@gmail.com, damasorojas8@galeon.com, joeldama@yahoo.com
INSTITUTO UNIVERSITARIO DE TECNOLOGÍA
                                                             “JOSÉ ANTONIO ANZOÁTEGUI”
                                                              EL TIGRE-EDO-ANZOÁTEGUI
                                                                 Cátedra: Matemática II
                                                           Especialidades: Mecánica - Química
                                                               Lic. MSc. DÁMASO ROJAS


88)y = x 2 e 2x cos (3x)


y´ = 2x e2x cos (3x) + x 2 (2 e2x )cos(3x) + x 2 e 2x ( −3sen (3x) )


y´ = x e2x ( 2 cos (3x) + 2x cos (3x) − 3x sen (3x) )


                              (                   )⎤       ⎡ ( 3x 2 ) ⎤ (1 − x3 )                    (1 − x3 )
89).y = ⎡ Ln ( x 3 + 2 ) ⎤ ⎡e                                                     + Ln ( x 3 + 2 ) e           ( −3x 2 )
                                         1 − x3
                                                    ⇒ y´ = ⎢ 3        ⎥e
        ⎣                ⎦⎢⎣                      ⎥
                                                  ⎦        ⎢ ( x + 2) ⎥
                                                           ⎣          ⎦


                                                                 (1 − x3 ) ⎡1 − ( x + 2 ) Ln ( x + 2 ) ⎤
                                                                                   3            3
              (1 − x ) ⎡   1                     ⎤
                                − Ln ( x 3 + 2 ) ⎥ ⇒ y´ = 3x 2 e
                   3

y´ = 3x 2 e            ⎢ x3 + 2                                            ⎢                           ⎥
                       ⎣                         ⎦                         ⎢
                                                                           ⎣         ( x3 + 2)         ⎥
                                                                                                       ⎦

                 (1 − x ) 1 − x 3 + 2 Ln x 3 + 2
                           ( (       ) (         )                )
                       3

       3x 2 e
y´ =
                               (x   3
                                         + 2)


                                                                                          '
            x2 − 1           x2 − 1      ⎛    2    ⎞
90)y = 4e          ⇒ y′ = 4e        Ln 4 ⎜ e x − 1 ⎟
                                         ⎜         ⎟
                                         ⎝         ⎠
         x −1
          2          ⎡        1         −1      ⎤
                Ln 4 ⎢e x − 1 ( x 2 − 1) 2 (2x) ⎥
                          2
y′ = 4e
                     ⎢
                     ⎣        2                 ⎥
                                                ⎦


                                                      ⎛    x2 − 1      ⎞
                                                                  Ln 4 ⎟ x e x − 1
                                                                              2
                                                      ⎜ 4e
                                                      ⎜                ⎟
        x2 − 1      ⎡                     −1 ⎤
               Ln 4 ⎢ x e x − 1 ( x 2 − 1) 2 ⎥ ⇒ y′ = ⎝                ⎠
                           2
y′ = 4e
                    ⎢
                    ⎣                        ⎥
                                             ⎦                    x2 − 1


                                                       e 2x − 1
                 e x − e− x                        e2x − 1ex
91)F(x) =                   ⇒ F(x) = 2x   ⇒ F(x) = 2x
                 e x + e− x         e +1           e +1
                                      e x


           2 e 2x ( e2x + 1) − ( e2x − 1)( 2 e 2x )                             2 e 2x ⎡ e 2x + 1 − e2x + 1⎤
                                                                                       ⎣                   ⎦                 4e 2x
F´(x) =                                                           ⇒ F´(x) =                                     ⇒ F´(x) =
                               (e        + 1)                                            (e        + 1)                     (e        + 1)
                                    2x            2                                           2x          2                      2x          2




                                                                                                                                                 37
E-mail: damasorojas8@gmail.com, damasorojas8@galeon.com, joeldama@yahoo.com
INSTITUTO UNIVERSITARIO DE TECNOLOGÍA
                                                                      “JOSÉ ANTONIO ANZOÁTEGUI”
                                                                       EL TIGRE-EDO-ANZOÁTEGUI
                                                                          Cátedra: Matemática II
                                                                    Especialidades: Mecánica - Química
                                                                        Lic. MSc. DÁMASO ROJAS


        e− x
92) y = x    ⇒ y´=
                   −e                             −x
                                                       ( e + 1) − e ( e )
                                                            x                −x              x


       e +1                                               ( e + 1)
                                                                 x       2



       −e − x ⎡ e x + 1 + e x ⎤
              ⎣               ⎦ ⇒ y´= − e ⎡ 2e + 1⎤
                                         −x
                                            ⎣
                                               x
                                                    ⎦
y´ =
              ( e + 1)                   ( e + 1)
                 x      2                   x     2




                                                                1+
                                                                        1
                                                                          (1 + x 2 )−1/2 ( 2x )
                 (
93)y = Ln x + 1 + x                         2
                                                ) ⇒ y´ =                2
                                                                           x + 1+ x 2


       1 +
                            x                                    (1 + x )1/2 + x
                                                                             2




y´ =
            (1 + x )1/2 ⇒ y´ =      2
                                                                    (1 + x )1/2   2


                    1/2                                                       1/2
        x + (1 + x )            2
                                                                 x + (1 + x )            2



           ⎡       2 1/2    ⎤
           ⎢ (1 + x )
           ⎣
                         + x⎥
                            ⎦                                                                            1
y´ =                                ⇒ y´ =
     ⎡             1/2 ⎤
     ⎢ x + (1 + x ) ⎦ (1 + x )
                 2
                       ⎥
                              2 1/2
                                                                                                       (1 + x )2

     ⎣

                                                                                 1
                                                                 ⎛
                        1 − x2                                       1 − x2 ⎞
                                                                                     2
                                                                 ⎜          ⎟
                                                                 ⎜          ⎟
                         x2 + 1                                      x + 1⎟
                                                                       2
94)F(x) = e
                                                                 ⎜
                                                ⇒ y =e
                                                                 ⎜          ⎟
                                                                 ⎝          ⎠

                            1
           ⎛
               1 − x2 ⎞
                                2                      −1
                          ⎛     2 ⎞
                          ⎜1 − x ⎟
                                                            2
           ⎜          ⎟
                                                                ⎛                                ⎞
                                                                ⎜ ( − 2x) ( x + 1) − (1 − x 2x ) ⎟
           ⎜          ⎟                                                      2             2
           ⎜
               x + 1⎠ 1 ⎜ x + 1⎟
                 2    ⎟   ⎜
y´ =   e   ⎜
           ⎝
                      ⎟
                          ⎜
                          ⎝
                             2    ⎟
                                  ⎟
                                  ⎠
                                                                ⎜                                ⎟
                        2                                       ⎜
                                                                ⎝             ( x 2 + 1)2        ⎟
                                                                                                 ⎠
                 1 − x2                                          1 − x2
                                (                 ) ⎥ ⇒ y´ = 1 e x + 1
                   x 2 + 1 ⎡ −2x x 2 + 1 + 1 − x 2 ⎤                2
                                                                                                                   ⎡             ⎤
     1e                    ⎢                                                                                       ⎢ −2 x (2) ⎥
y´ =
                 1 − x2 ⎢         ( x 2 + 1)        ⎥                                                              ⎢ ( x 2 + 1)2 ⎥
                                             2
     2                                                       2 1 − x2
                           ⎣                        ⎦                                                              ⎣             ⎦
                 x2 + 1                                          x2 + 1
                            1 − x2                                                               1 − x2
                            x2 + 1                                                               x2 + 1
               −2 x e                                                    −2 x            e
y´ =                                                   ⇒ y´ =
               (1 − x ) ( x
                        2
                                        2
                                            + 1)                         (1 − x ) ( x    2         2
                                                                                                       + 1)
                                                                                                           3
               ( x + 1)
                 2




                                                                                                                                     38
E-mail: damasorojas8@gmail.com, damasorojas8@galeon.com, joeldama@yahoo.com
INSTITUTO UNIVERSITARIO DE TECNOLOGÍA
                                                       “JOSÉ ANTONIO ANZOÁTEGUI”
                                                        EL TIGRE-EDO-ANZOÁTEGUI
                                                           Cátedra: Matemática II
                                                     Especialidades: Mecánica - Química
                                                         Lic. MSc. DÁMASO ROJAS



                                                         (                 )
                                                                               2
                                                         ( x + 4 + x2 )′
               (                         ) ⇒y=
                                         2
95)y = Ln x + 4 + x2
                                                         (x +         4+ x )
                                                                               2
                                                                           2




y' =
           (
       2 x + 4 + x2 (1+          )   1
                                     2
                                       ( 4 + x2 ) ( 2x) )
                                                 −1/2
                                                                2 ⎡1+ ( 4 + x2 ) ⎤
                                                          ⇒ y' = ⎣
                                                                  ⎢
                                                                                −1/2

                                                                                     ⎥
                                                                                     ⎦
                            (   x + 4 + x2
                                            2

                                                 )                  x + 4+ x    2
                                                                                   (   )
                                                                                  2 ⎢( 4 + x2 ) + x⎤
                                                                                    ⎡          1/2
                ⎡               ⎤               ⎡ ( 4 + x2 )1/2 + x ⎤
               2⎢1+    x        ⎥ ⇒ y' =     2  ⎢                   ⎥ ⇒ y' =        ⎣                  ⎥
                                                                                                       ⎦                2
y' =                                                                                                           ⇒ y' =
     x + 4 + x2 ⎢ ( 4 + x2 ) ⎥                  ⎢ ( 4 + x2 ) ⎥               ⎡( 4 + x2 )1/2 + x⎤ ( 4 + x2 )1/2
                            1/2                                1/2
                                         x + 4 + x2                                                                   4 − x2
                ⎣               ⎦               ⎣                   ⎦        ⎢
                                                                             ⎣                 ⎥
                                                                                               ⎦
                             2Lnx     1         2Ln x − x
                                                       2
96)y = Ln2x − Ln(Lnx) ⇒ y' =      −      ⇒ y' =
                              x     xLnx             xLnx
                                     (α x)
               (αsen(βx) −βCos(βx)) e
97)f(x) =
                         α 2 + β2
                                         ⎡                             ⎤
        ⎡−α βCos(βx) − β2Sen(βx)⎤ eα x + ⎢α 2eα xSen(βx) −αβeα xCos(βx)⎥
        ⎣                       ⎦
f'(x) =                                  ⎣                             ⎦
                                     α +β
                                       2   2



                                                                                                 α x ⎡2α βCos(βx) + Sen(βx)(β2 −α 2 )⎤
        −eα x (α βCos(βx) + β2Sen(βx) −α 2Sen(βx) + α βCos(βx))           −e                          ⎣                             ⎦
f'(x) =                                                         ⇒ f'(x) =
                                α 2 + β2                                                                            α +β
                                                                                                                     2   2




          ⎡1+ Cosx ⎤
98)y = Ln ⎢        ⎥ + 2ArcTg                            (    Cosx     )
          ⎣1− Cosx ⎦
       1               −1/2                                       1      −1/2
           ( Cosx)            ( − Senx) ⎡1 − Cosx ⎤ − (1 + Cosx) ( Cosx)
                                        ⎣         ⎦                           ( − Senx)1 2( 1( Cosx)−1/2 (−Senx))
y' = 2                                                            2                     + 2
                                             (
                                          1+ Cosx
                                          1− Cosx ⎣       )
                                                    ⎡1 − Cosx ⎤
                                                              ⎦
                                                                2                                 1+Cosx




y' =
      −Senx
     2 Cosx
                   [
            1− Cosx −(1+ Cosx)
                                 Senx
                                     ]
                                2 Cosx
                                       +
                                             Senx    (            )
             (1+ Cosx)(1− Cosx)          (1+Cosx) Cosx
      −Senx
     2 Cosx
                        (
             1− Cosx +1+ Cosx
                                    Senx
                                                              )
y' =                          +
         (1+ Cosx)(1− Cosx)     (1+Cosx) Cosx



                                                                                                                             39
E-mail: damasorojas8@gmail.com, damasorojas8@galeon.com, joeldama@yahoo.com
INSTITUTO UNIVERSITARIO DE TECNOLOGÍA
                                           “JOSÉ ANTONIO ANZOÁTEGUI”
                                            EL TIGRE-EDO-ANZOÁTEGUI
                                               Cátedra: Matemática II
                                         Especialidades: Mecánica - Química
                                             Lic. MSc. DÁMASO ROJAS

             −2Senx                                      −Senx
             2 Cosx              Senx                     Cosx             Senx
y' =                       +                ⇒ y' =                   −
      (1 + Cosx)(1 − Cosx) (1+Cosx) Cosx           (1+ Cosx)(1− Cosx) (1+Cosx) Cosx
        Senx
         Cosx −      Senx                 Senx            Senx
y' =                          ⇒ y' =                 −
     (1−Cosx) (1+Cosx) Cosx          (1−Cosx) Cosx (1+Cosx) Cosx
     Senx(1+Cosx)−Senx(1−Cosx)         Senx(1+Cosx−1+Cosx)
y' =                           ⇒ y' =
        (1−Cosx)(1+Cosx) Cosx            (1−Cos2x) Cosx
       Senx(2Cosx)          (2Cosx)        2Ctgx
y' =      2
                   ⇒ y' =           ⇒ y' =
       Sen x Cosx         Senx Cosx         Cosx


           2 tg x − 2 tg x + 1
99)y =
          4
            ln
               tg x + 2 tg x + 1
                                 +
                                   2
                                    2
                                      arctg        (       2 tg x −1 + )       2
                                                                                2
                                                                                  arctg     (            )
                                                                                                2 tg x + 1

           ⎛                 ⎛ 2       Sec2 x ⎞                    ⎛ 2     Sec2 x ⎞                               ⎞
           ⎜                 ⎜ Sec x −
                             ⎜
     ⎛ 2 ⎞ ⎜ tg x +1 + 2tg x ⎝                 ⎟
                                         2tg x ⎠
                                                           (
                                               ⎟ tgx +1+ 2tg x − ⎜ Sec x +
                                                                   ⎜              ⎟
                                                                            2tg x ⎠
                                                                                    )
                                                                                  ⎟ tgx +1− 2tg x            (   )⎟
                                                                                                                  ⎟
y´ = ⎜ ⎟ ⎜                                                         ⎝
     ⎜ 4 ⎟ tg x + 1− 2tg x                                                                                        ⎟
                                                                   (                            )
                                                                         2
     ⎝ ⎠⎜                                               tgx + 1 + 2tg x                                           ⎟
           ⎜                                                                                                      ⎟
           ⎝                                                                                                      ⎠
         ⎛                            ⎞ ⎛                            ⎞
         ⎜          2          Sec2 x ⎟ ⎜          2          Sec2 x ⎟
        +⎜                  .          +                    .
               (           )    2tg x ⎟ ⎜ 1 + 2tg x − 1(       2tg x ⎟     )
                          2                               2
         ⎜ 1 + 2tg x − 1              ⎟ ⎜                            ⎟
         ⎝                            ⎠ ⎝                            ⎠
                      2
                  Sec x
Factor común:
                   2tg x

                       (        )(                         ) (
     ⎛ 2 Sec2 x ⎞ ⎛ 2tg x −1 tg x +1+ 2tg x − 2tg x + 1 tg x +1− 2tgx ⎞
y´ = ⎜               ⎜                                                ⎟
                                                                               )(                    )
     ⎜ 4 2tg x ⎟ ⎜
     ⎝
                   ⎟
                   ⎠⎝                (                      )(
                                     tg x +1− 2tg x tg x +1+ 2tg x    ⎟
                                                                      ⎠                 )
                 ⎛            2 ( tg x + 1)          ⎞
                +⎜                                   ⎟
                   (                 )(
                 ⎜ tg x +1− 2tg x tg x +1+ 2tg x ⎟
                 ⎝                                   ⎠         )
       Sec2 x          4tg x
y´ =          .                      = tg x
        2tg x ( tg x + 1) − 2tg2 x
                         2


                                            2
                            ⎛            1 ⎞   1
                   2x       ⎜x +           ⎟ +2
                       + ln ⎝
                                          2⎠
100)y = 2 arctg
                1 − x2      ⎛            1 ⎞
                                             2
                                               1
                            ⎜x −           ⎟ +2
                            ⎝             2⎠
    ⎡                                               ⎤⎡               ⎡         2
                                                                                    ⎤                 ⎡       2
                                                                                                                  ⎤⎤
                                                  1 ⎥ ⎢ 2 ⎛ x + 1 ⎞ ⎢⎛ x + 1 ⎞ + 1 ⎥ − 2 ⎛ x + 1 ⎞ ⎢⎛ x + 1 ⎞ + 1 ⎥ ⎥
                                              2
    ⎢                            ⎛        1 ⎞
                                   x−           +         ⎜        ⎟ ⎜        ⎟ 2         ⎜         ⎟ ⎜     ⎟
    ⎢ 2 2 (1 − x + 2x ) ⎜                   ⎟     2⎥⎢ ⎝                                                         2⎦ ⎥
                   2      2
                                 ⎝         2⎠                    2 ⎠ ⎣⎝
                                                                     ⎢      2⎠      ⎥
                                                                                    ⎦     ⎝       2 ⎠ ⎣⎝
                                                                                                      ⎢    2⎠     ⎥
y´= ⎢              2
                               +              2     ⎥⎢                                          2                   ⎥
    ⎢ ⎛ 2x ⎞                     ⎛        1 ⎞ 1 ⎥⎢                           ⎡⎛      1 ⎞
                                                                                        2
                                                                                            1⎤                      ⎥
    ⎢1 + ⎜ 1 − x2 ⎟ (1 − x ) ⎜
                           2 2     x+       ⎟ +2 ⎥⎢                          ⎢⎜ x +    ⎟ + 2⎥                       ⎥
                                 ⎝         2⎠
    ⎣ ⎝           ⎠                                 ⎦⎢⎣                      ⎣⎝
                                                                             ⎢        2⎠      ⎥
                                                                                              ⎦                     ⎥
                                                                                                                    ⎦
                                                                                                                        40
E-mail: damasorojas8@gmail.com, damasorojas8@galeon.com, joeldama@yahoo.com
INSTITUTO UNIVERSITARIO DE TECNOLOGÍA
                                              “JOSÉ ANTONIO ANZOÁTEGUI”
                                               EL TIGRE-EDO-ANZOÁTEGUI
                                                  Cátedra: Matemática II
                                            Especialidades: Mecánica - Química
                                                Lic. MSc. DÁMASO ROJAS


                2 2 (1− x2 )
                                  2

y´ =                                         + (*)
        ⎡(1 − x2 )2 + 2x2 ⎤ (1 − x2 ) 2
        ⎢
        ⎣                 ⎥
                          ⎦
     ⎡⎛     1 ⎞⎛      1 ⎞
                          2
                              1⎛     1 ⎞ ⎛        1 ⎞⎛       1 ⎞
                                                                 2
                                                                   1⎛    1 ⎞⎤
   2 ⎢⎜ x +    ⎟⎜ x +   ⎟ + 2⎜x +       ⎟ − ⎜x −     ⎟⎜ x +    ⎟ − 2⎜x +   ⎟⎥
     ⎢⎝      2 ⎠⎝      2⎠      ⎝      2⎠ ⎝         2 ⎠⎝       2⎠    ⎝     2⎠⎥
(*) ⎣                                                                       ⎦
                        ⎡⎛     1 ⎞
                                   2
                                      1 ⎤ ⎡⎛     1 ⎞
                                                     2
                                                         1 ⎤
                        ⎢⎜ x +   ⎟ + 2 ⎥ ⎢⎜ x −    ⎟ + 2⎥
                        ⎢⎝
                        ⎣       2⎠      ⎥ ⎢⎝
                                        ⎦⎣        2⎠       ⎥
                                                           ⎦

                     ⎧⎛     1 ⎞⎛      1 ⎞ ⎡⎛      1 ⎞ ⎛      1 ⎞⎤ 1 ⎡⎛        1 ⎞ ⎛     1 ⎞⎤ ⎫
     2 2 (1− x )
                   2 ⎨⎜ x +
                   2           ⎟⎜ x −    ⎟ ⎢⎜ x −   ⎟ −⎜ x +    ⎟⎥ + 2 ⎢⎜ x +   ⎟− ⎜ x−    ⎟⎥ ⎬
                     ⎩⎝      2 ⎠⎝      2 ⎠ ⎣⎝      2⎠ ⎝       2 ⎠⎦     ⎣⎝      2⎠ ⎝      2 ⎠⎦ ⎭
y´ =             +
       1 + x4                          ⎡( x2 + 1) + 2 x ⎤ ⎡( x2 +1) − 2 x ⎤
                                       ⎣                 ⎦⎣                 ⎦


                     ⎡ 2 ⎤⎛       1 ⎞⎛      1 ⎞ 1                     2 ⎡ ⎛ 2 1 ⎞ ⎤
     2 2 (1− x )
                   2 ⎢− ⎥ ⎜ x +
                   2                 ⎟⎜ x +   ⎟+        2 2 (1− x )
                                                                 2       ⎢−2 ⎜ x −  ⎟ + 1⎥
                     ⎣ 2 ⎦⎝        2 ⎠⎝      2⎠ 2                      2 ⎣ ⎝       2⎠ ⎦
y´ =             +                                ⇒ y´=             +
       1 + x4              ( x2 + 1) − 2 x2               1 + x4             1+ x4
                                    2



       2 2 (1 + x2 )            2 ( −2 x2 + 2)
y´=                         +
          1 + x4                  1 + x4
       2 2 (1 + x2 ) + 2 2 (1 − x2 )           2 2 ⎡(1 + x2 ) + 2 2 (1 − x2 ) ⎤
                                                   ⎣                          ⎦= 4 2
y´ =                                         =
                       1 + x4                             1+ x   4
                                                                                1 + x4


          1              5                    1
            ( x + 2) + LN ( 2x2 − 4x + 3) − 2 arctg ⎡ 2 ( x −1) ⎤
                     2
101)y =                                                  ⎣            ⎦
          2              4                    2
                    5 ( 4x − 4)     2⎡        2     ⎤
y' = ( x + 2) +                   −   ⎢            2⎥
                4 ( 2x 2 − 4x + 3) 2 ⎢1 + 2 ( x −1) ⎥
                                      ⎣             ⎦
                    20 ( x −1)            1                              5 ( x −1)      1
y' = ( x + 2) +                   −                ⇒ y' = ( x + 2) +               − 2
                4 ( 2x − 4x + 3) 1 + 2x − 4x + 2                     ( 2x − 4x + 3) 2x − 4x + 3
                       2                2                                 2



       ( x + 2) ( 2x2 − 4x + 3) + 5x − 5 −1               2x3 − 4x 2 + 3x + 4x 2 − 8x + 6 + 5x − 5 − 1       2x3
y' =                                             ⇒ y' =                                                ⇒y= 2
                 ( 2x   2
                            − 4x + 3)                                    2x 2 − 4x + 3                    2x − 4x + 3




                                                                                                               41
E-mail: damasorojas8@gmail.com, damasorojas8@galeon.com, joeldama@yahoo.com
INSTITUTO UNIVERSITARIO DE TECNOLOGÍA
                                  “JOSÉ ANTONIO ANZOÁTEGUI”
                                   EL TIGRE-EDO-ANZOÁTEGUI
                                      Cátedra: Matemática II
                                Especialidades: Mecánica - Química
                                    Lic. MSc. DÁMASO ROJAS




              ⎛      π⎞            ⎛      π⎞       ⎛      π ⎞⎛ 1 ⎞
102)y = Xsen ⎜ Lnx − ⎟ ⇒ y' = Sen ⎜ Lnx − ⎟ + Xcos ⎜ Lnx − ⎟ ⎜ ⎟
              ⎝      4⎠            ⎝      4⎠       ⎝      4 ⎠⎝ x ⎠
         ⎛      π⎞       ⎛      π⎞
y' = Sen ⎜ Lnx − ⎟ + Cos ⎜ Lnx − ⎟ ⇒ Sen(A ± B) = SenA.CosB ± CosA.SenB;
         ⎝      4⎠       ⎝      4⎠
                               Cos(A ± B) = CosA.CosB ∓ SenA.SenB
                   ⎛π⎞               ⎛π⎞                ⎛π⎞       ⎛π⎞
y' = Sen (Lnx) Cos ⎜ ⎟ − Cos(Lnx)Sen ⎜ ⎟ + Cos(Lnx) Cos ⎜ ⎟ + Sen ⎜ ⎟ Sen (Lnx)
                   ⎝4⎠               ⎝4⎠                ⎝4⎠       ⎝4⎠
        2             2             2             2
y' =      Sen(Lnx) −    Cos(Lnx) +    Cos(Lnx) +    Sen(Lnx) ⇒ y' = 2 Sen(Lnx)
       2             2             2             2


e. Derivadas Implícitas.
                                              −2x         x
103)x 2 + y2 = 1 ⇒ 2x + 2yy´ = 0 ⇒ y´ =           ⇒ y´ =−
                                               2y         y
          y                         y [ y + xy´]
104)ex + e + Ln (x y) = 2 ⇒ ex + y´e −           =0
                                          xy
             y
xyex + xyy´e − ( y + xy´)                      y
                            = 0 ⇒ xyex + xyy´e − ( y + xy´) = 0
           x.y


xyex − y + y´ ⎡xye − x ⎤ = 0 ⇒ ⎡ xye − x ⎤ = − xyex + y ⇒ y´ =
                 y                   y                                  (
                                                                       − xyex − y
                                                                        ⇒ y´ =
                                                                                    )
                                                                               y − xyex
                                                                                        ⇒ y´ =
                                                                                               y(1 − xex )
              ⎢
              ⎣        ⎥
                       ⎦       ⎢
                               ⎣         ⎥
                                         ⎦                         y              y                y
                                                               x ye − x        xye − x         x(ye − 1)
105)x 2 + y2 + 2x − 4y − 6 = 0 ⇒ 2x + 2yy´ + 2 − 4y´ = 0

2x + 2 + y´ ( 2y − 4) = 0 ⇒ y´ = −
                                     ( 2x + 2) ⇒   y´ =
                                                          − ( x + 1)
                                     2y − 4                ( y − 2)
                  y             1         y         y 1
106)ex + Lny = e Ln x ⇒ ex + y´ = y´ e Lnx + e
                                y                     x
                      y                         y         y
    y´      y       e        xyex + xy´ − xyy´e Lnx − ye
ex + − y´e Lnx −        = 0⇒                                =0
     y               x                      xy
                  y        y                 y        y             y
xyex + xy´ − xyy´e Lnx − ye = 0 ⇒ xy´ − xyy´e Lnx − ye =− xyex + ye
                                               x   y
y´ ⎡ x − xyey Ln x ⎤ =− xyex + yey ⇒ y´ = y(-xe + e )
   ⎢
   ⎣               ⎥
                   ⎦                             y
                                         x(1− ye Ln x)



                                                                                             42
E-mail: damasorojas8@gmail.com, damasorojas8@galeon.com, joeldama@yahoo.com
INSTITUTO UNIVERSITARIO DE TECNOLOGÍA
                              “JOSÉ ANTONIO ANZOÁTEGUI”
                               EL TIGRE-EDO-ANZOÁTEGUI
                                  Cátedra: Matemática II
                            Especialidades: Mecánica - Química
                                Lic. MSc. DÁMASO ROJAS


      1        1
107).   + xy + = 0 ⇒ x − 1 + xy + y − 1 = 0 ⇒ −x − 2 + y + xy′ − y − 2 y′ = 0
      x        y
−1               y′      − y2 + x2 y3 + x3y2y1 − x2y1
   + y + xy′ −      = 0⇒                                       = 0
x2              y 2                      x2y2

− y2 + x2y3 + x3 y2 y′ − x2 y′ = 0 ⇒ x3 y2 y′ − x2 y′ = y2 − x2y3

                                       2   2 3           y2 ⎛1 − x2y ⎞
                                                            ⎜        ⎟
y´ ⎡x3 y2 − x2 ⎤ = y2 − x2 y3 ⇒ y´ = y − x y      ⇒ y´ =    ⎝        ⎠
   ⎢
   ⎣           ⎥
               ⎦                    ⎡x3 y2 − x2 ⎤        x2 ⎡xy2 − 1⎤
                                    ⎢
                                    ⎣           ⎥
                                                ⎦           ⎢
                                                            ⎣       ⎥
                                                                    ⎦
108).xy + x − 2y − 1 = 0 ⇒ y + xy´ + 1 − 2y´ = 0
xy´ − 2y´ + y + 1 = 0 ⇒ y´ (x − 2) = − (y + 1)
        − (y + 1)        − (y + 1)
y´ =              ⇒ y´ =
         (x − 2)          (2 − x )
109). x2y − xy2 − x2 + y2 = 0 ⇒ 2xy + x2y´ − ⎛ y2 + 2x yy´⎞ − 2x + 2yy´ = 0
                                                 ⎜           ⎟
                                                 ⎝           ⎠
2xy + x2y´ − y2 − 2x yy´ − 2x + 2yy′ = 0 ⇒ x2y′ − 2xyy´ + 2yy´ = − 2xy + y2 + 2x
                                            − 2xy + y2 − 2x
y ⎡x2 − 2xy + 2y ⎤ − 2xy + y2 + 2x ⇒ y´ =
  ⎢              ⎥
  ⎣              ⎦                           x2 − 2xy + 2y
110). x3 y + xy3 = 2 ⇒ 3xy + x3y´ + y3 + 3x y2y´ = 0

                                          − ⎛ 3xy + y3 ⎞
                                            ⎜          ⎟
y´ ⎡x3 + 3xy2 ⎤ = − 3xy − y3 ⇒ y´ =         ⎝          ⎠
   ⎢          ⎥
   ⎣          ⎦                            x3 + 3xy2

111). x2 − xy + y2 = 3 ⇒ 2x − y − xy ′ + 2yy ′ = 0
                                                        y − 2x
− xy ′+2yy ′ = y − 2x ⇒ (2y − x ) y´ = y − 2x ⇒ y´ =
                                                        2y − x




                                                                                43
E-mail: damasorojas8@gmail.com, damasorojas8@galeon.com, joeldama@yahoo.com
INSTITUTO UNIVERSITARIO DE TECNOLOGÍA
                                                                       “JOSÉ ANTONIO ANZOÁTEGUI”
                                                                        EL TIGRE-EDO-ANZOÁTEGUI
                                                                           Cátedra: Matemática II
                                                                     Especialidades: Mecánica - Química
                                                                         Lic. MSc. DÁMASO ROJAS



112) y ´ =
                    y − 2x
                           ⇒ y´ =
                                  ( 2y − x )( y´ − 2 ) − ( y − 2x )( 2y´ − 1)
                    2y − x                       ( 2y − x )
                                                             2




y´ =
       ( 2y − x ) y´-2 ( 2y − x ) − y ( 2y′ − 1) + 2 x ( 2y′ − 1)
                             ( 2y − x )
                                         2


           2yy′ − xy´-4y + 2x − 2yy′ + y + 4 xy ′ − 2 x
y′ =
                       ( 2y − x )
                                                                      2




y´ =
        ( 2y − x − 2y + 4x ) y´ − 3y                                           =
                                                                                        3x y´ − 3y
                                                                                                    =
                                                                                                        (y − 2x)(3x − 3y)
                ( 2y − x ) 2                                                           ( 2y − x ) 2
                                                                                                      ( 2y − x ) 2 (2y − x)
     3xy − 6x 2 − 6y 2 + 3xy 6 ( xy − x − y )
                                         2     2
                                                         18
y´ =                        =                    =−
          ( 2y − x )  3
                                  ( 2y − x ) 3
                                                    ( 2y − x ) 3
113)3x 4 y 2 − 7xy 3 = 4 − 8y ⇒ 12x 3 y 2 + 6x 4 yy´ + 7y 3 + 27xy 2 y´ − 8y
                                                                                              12x 3 y 2 + 7y 3
2x 3 y 2 + 7y 3 = 8y´ − 6x 4 yy´ − 21xy 2 y ⇒                                                                   = y´
                                                                                            8 − 6x 4 y − 21xy 2

       (      ⎢
              ⎣
                        )
114) 3 − 3 ln ⎡ y 2 + 1 − 3 ln x ⎤ + 3 +
                                 ⎥
                                 ⎦
                                                 (               )                 (                 )                 (
                                                                                                    3 ln ⎡ y 2 + 1 + 3 ln x ⎤ = c
                                                                                                         ⎢
                                                                                                         ⎣                  ⎥
                                                                                                                            ⎦
                                                                                                                                       )
                  1− 3                   1+ 3
                       2yy´ +       2yy´
(   3− 3       )    x     + 3+ 3           x      =0             (                 )
         y 2 + 1 − 3 ln x
                            (    y           )
                                   2 + 1 + 3 ln x
                                                                                                (              )
                       2xyy ´ + 1 − 3    (                   )                                  2xyy´ + 1 +        (           3   )
(3 − 3 ) x ⎡ y                                                   =0    (
                                                                     + 3+ 3                ) x ⎡y
             ⎣
                + 1 − 3 ln x ⎤
                         2
                              ⎦  (          ⎣
                                                2
                                                     )
                                                  + 1 + 3 ln x ⎤
                                                               ⎦                                           (               )
(              )             (               )                                 (
    3 − 3 ⎡ y + 1 + 3 ln x ⎤ ⎡ 2xyy´ + 1 − 3 ⎤ + 3 + 3 ⎡ y + 1 − 3 ln x ⎤ ⎡ 2xyy´ + 1 + 3 ⎤ = 0
          ⎣
              2
                           ⎦⎣                 ⎦          ⎣
                                                            2
                                                                        ⎦⎣                ⎦     ) (                    )               (           )           (   )

2xyy´ 3 −  (                 )               (                    )
            3 ⎡ y 2 + 1 + 3 ln x ⎤ + 3 − 3 1 − 3 ⎡ y 2 + 1 + 3 ln x ⎤ + (*)
              ⎣                  ⎦               ⎣                  ⎦                  (              )(               )                   (           )
                   (                 )                   (
(*) 2xyy´ 3 + 3 ⎡ y 2 + 1 − 3 ln x ⎤ + 3 + 3 1 + 3 ⎡ y 2 + 1 − 3 ln x ⎤ = 0
                   ⎣                ⎦                 ⎣                ⎦   )                (              )(                  )               (           )

          ⎣{ (
2xyy´ y 2 ⎡ 3 −                ) ( 3 )⎤ + ⎣(3 − 3 )(1 + 3 ) + (3 + 3 )(1 − 3 )⎤ ln x} =
                                     3 + 3+
                                              ⎦
                                                   ⎡
                                                                                              ⎦

    { (
− y2 ⎡ 3 −
     ⎣
                        3 )(1 − 3 ) + ( 3 + 3 )(1 + 3 ) ⎤ + ⎡( 3 − 3 )(1 − 3 )(1 + 3 ) + ( 3 + 3 )(1 + 3 )(1 − 3 ) ⎤ ln x}
                                                        ⎦ ⎣                                                        ⎦


        − (12y 2 − 12 ln x )                             12 ( ln x − y 2 )                      ln x − y 2
y´ =                                                 =                                      =
                   2xy ( 6y 2 )                                      12xy 3                        xy 3


                                                                                                                                                                       44
E-mail: damasorojas8@gmail.com, damasorojas8@galeon.com, joeldama@yahoo.com
INSTITUTO UNIVERSITARIO DE TECNOLOGÍA
                                                             “JOSÉ ANTONIO ANZOÁTEGUI”
                                                              EL TIGRE-EDO-ANZOÁTEGUI
                                                                 Cátedra: Matemática II
                                                           Especialidades: Mecánica - Química
                                                               Lic. MSc. DÁMASO ROJAS

         f. Derivación logarítmica.
Este método consiste en aplicar Logaritmos en ambos lados de la ecuación, luego

se utilizan las propiedades logarítmicas y después, los teoremas sobre

derivación, para determinar la primera derivada.


                x (1 − x 2 )
                                             2
                                                                                              1
115) y =                                         ⇒ Lny = Ln x + 2Ln (1 − x 2 ) −                Ln (1 + x 2 )
                 (1 + x )
                                     1
                             2           2
                                                                                              2

1      1   2                    x      1     1    − 4x          x
              2 (
  y´ =   +        − 2x ) −            ⇒ y´ =   +         −
       x 1− x              2 (1 + x )            1− x      2 (1 + x 2 )
                                   2                   2
y                                      y     x

                                          x (1 − x 2 )
                                                                                     2
       ⎡1   4x           x       ⎤                                                           ⎡1   4x           x       ⎤
y´ = y ⎢ −        −              ⎥ ⇒ y´ =                                                    ⎢ −        −              ⎥
       ⎢x 1 − x     2 (1 + x 2 ) ⎥         (1 + x 2 ) 2                                      ⎢x 1 − x     2 (1 + x 2 ) ⎥
                2                                    1                                                2
       ⎣                         ⎦                                                           ⎣                         ⎦
                                                           3
               ⎡             2x − 1 ⎤
               ⎢(1 − 2x) e                        ⎡                  ( 2x − 1) − 2Lnx − 1 Ln( 2−3x)⎤
                                                                              1/2
                                     ⎥
116)F(x) = Ln ⎢                      ⎥ ⇒ F(x) = 3⎢Ln (1− 2x) + Lne                                     ⎥
               ⎢      x2 2 − 3x ⎥                 ⎢
                                                  ⎣                                      2             ⎥
                                                                                                       ⎦
               ⎣                     ⎦

F´(x) =3⎢
         ⎡ ( −2) 1
                      + ( 2x − 1)−1/2 ( 2) − −
                                              2     ( −3) ⎤ ⇒ F´(x) = 3⎡ −2 +
                                                                          ⎢                 1        2
                                                                                                   − +
                                                                                                                3
                                                                                                                  ⎤
                                                                                                                  ⎥
                                                           ⎥
         ⎣ (1 − 2x) 2                         x 2 ( 2 −3x) ⎦              ⎢(1 − 2x) ( 2x − 1)1/2 x 2 ( 2 − 3x) ⎥
                                                                          ⎣                                       ⎦
         ⎡⎛ −2 + 2 2x − 1 1/2 ⎞
F´(x) = 3⎢⎜
                       (      ) ⎟ − ⎛ 4 ( 2 − 3x) + 3x ⎞⎤     ⎥
                                          ⎜
                                          ⎜ 2x ( 2 −3x) ⎟⎥   ⎟
         ⎢⎜         (1 − 2x)        ⎟     ⎝                  ⎠⎦
         ⎣⎝                         ⎠
                                                        1
117)y = (1 + x) ⇒ Lny = Ln (1 + x) ⇒ Lny = Ln (1 + x)
                 1/x                      1/x

                                                        x
y´      1                1 ⎡ 1 ⎤ y´ 1 ⎡ Ln (1 + x)                1 ⎤               1/x 1 ⎡ Ln (1 + x)      1 ⎤
   = − Ln (1+ x) + ⎢              ⎥⇒ y = x ⎢                 +       ⎥ ⇒ y´=(1 + x)       ⎢             +      ⎥
 y     x2                x ⎣1 + x ⎦             ⎣      x        1 + x⎦                  x⎣      x         1 + x⎦

            (            )                                 (       )                            (        )
                             1                                         1
                                                                                              1
118) y = 1 − x2               x2
                                         ⇒ Lny = Ln 1 − x2              x2
                                                                             ⇒ Lny = Ln         1 − x2
                                                                                             x2

y′ −2
   =
y x3             (
         Ln 1 − x2 + ⎜
                      x ⎝
                                 )
                       1 ⎛ −2x ⎞ y′ −2
                                  ⎟⇒ =
                       2 ⎜ 1 − x2 ⎟ y x3
                                  ⎠
                                              Ln 1 − x2 −
                                                               2
                                                          x (1 − x2)
                                                                                 (       )
        (
y′ = − 2 1 − x
                1
                   ⎡ Ln 1 − x2
              2 x2 ⎢
                     )           +
                                         1
                                               ⎤
                                               ⎥ (     )
                   ⎢
                   ⎢
                   ⎣
                         x3                    ⎥
                                    x − x2 + 1 ⎥
                                               ⎦               (             )
                                                                                                                           45
E-mail: damasorojas8@gmail.com, damasorojas8@galeon.com, joeldama@yahoo.com
INSTITUTO UNIVERSITARIO DE TECNOLOGÍA
                                                 “JOSÉ ANTONIO ANZOÁTEGUI”
                                                  EL TIGRE-EDO-ANZOÁTEGUI
                                                     Cátedra: Matemática II
                                               Especialidades: Mecánica - Química
                                                   Lic. MSc. DÁMASO ROJAS

                           y                                 y
                     ⎛1⎞                               ⎛1⎞                             y
                                                                             ⎛1⎞
119)y            x             ⇒ ln y = ln        x
        3x           ⎜ ⎟              3x               ⎜ ⎟
             =       ⎝3⎠                               ⎝3⎠
                                                                 ⇒ 3x ln y = ⎜ ⎟ ln x
                                                                             ⎝3⎠
                                                   y                           y                                       y                  y
                                   y´      ⎛1⎞   1        ⎛1⎞ 1  3x y´      ⎛1⎞   1        ⎛1⎞ 1
(3x) (ln 3) ln y + (3x )              = y´ ⎜ ⎟ ln .ln x + ⎜ ⎟ ⇒        − y´ ⎜ ⎟ ln .ln x = ⎜ ⎟    − 3x ln 3.ln y
                                   y       ⎝ 3⎠  3        ⎝ 3⎠ x   y        ⎝ 3⎠  3        ⎝ 3⎠ x
   ⎛ x         y
                         ⎞ ⎛ 1 ⎞y                     ⎡⎛ 1 ⎞ y             ⎤
           ⎛1⎞                                      y ⎢ ⎜ ⎟ − x3x ln 3.lny ⎥
   ⎜ 3 + y ⎜ ⎟ ln 3.ln x ⎟ ⎜ ⎟ − x3 ln 3.ln y
                                    x

           ⎝3⎠           ⎟= ⎝ 3⎠                      ⎢⎝ 3 ⎠               ⎥
y´ ⎜                                          ⇒ y´ = ⎣                     ⎦
   ⎜         y           ⎟        x                            ⎛1⎞
                                                                   y

   ⎜                     ⎟                           y 3x + y ⎜ ⎟ ln3.ln x
   ⎝                     ⎠                                     ⎝3⎠
                                                                                                              1
                                   Cos x                                       1                   (Cos x)        2
120) y =         Cos x a                       ⇒ Ln y = Ln ( Cos x )               2
                                                                                       + Ln a
             1                                                        y′    1 Sen x  1         −1
Ln y =         Ln Cos x +             Cos x Ln a ⇒                       =−         + ( Cos x ) 2 ( − Sen x ) Ln a
             2                                                        y     2 Cos x  2
                                        ⎡                                     ⎤
y′    1
   = − tg x +
              ( − Sen x ) Ln a ⇒ y′ = y ⎢ − 1 tg x −        Sen x
                                                                         Ln a ⎥
y     2       2 Cos x                   ⎢ 2                           −1      ⎥
                                        ⎢
                                        ⎣            2 Cos x ( Cos x ) 2      ⎥
                                                                              ⎦
       ⎡                               ⎤
       ⎢ − 1 tg x −      tg x                     ⎡ 1        tg x            ⎤
y′ = y                            Ln a ⎥ ⇒ y′ = y ⎢ − tg x −      Cos x Ln a ⎥
       ⎢ 2                     −1      ⎥          ⎣ 2         2              ⎦
       ⎢
       ⎣            2 ( Cos x ) 2      ⎥
                                       ⎦

      y
y′ = − tg x ⎡1 − Cos x Ln a ⎤ ⇒ y′ =
                                     −                                  (   Cos x a        Cos x
                                                                                                   ) tg x ⎡1 −             Cos x Ln a ⎤
      2     ⎣               ⎦                                                          2                  ⎣                           ⎦


                                                    y′                       ⎡ 1                                                          ⎛ 1 ⎞⎤
121)y = ( arc tg x )
                               y
                                      →          Ln y = y Ln arc tg x ⇒
                                                        = y′ Ln arc tg x + y ⎢                                                            ⎜      2 ⎟⎥
                                                     y                       ⎣ arc tg x                                                   ⎝ 1 + x ⎠⎦
  y′                            y              ⎡1              ⎤           y
     = y′ Ln arc tg x +                   ⇒ y′ ⎢ − Ln arc tg x ⎥ =
  y                     (1 + x ) arc tg x
                              2
                                               ⎣y              ⎦ (1 + x ) arc tg x
                                                                         2


                         y              y
  y′ =
       (1 + x ) arc tg x ⇒ y′ = (1 + x ) arc tg x
                     2                                            2
                                                                                       → ⇒ y′ =
                                                                                                                            y2
       1                        1 − y Ln arc tg x                                                      ⎡ (1 + x 2 ) arc tg x ⎤ [1 − y Ln arc tg x ]
          − Ln arc tg x                                                                                ⎢                     ⎥
       y                                y                                                              ⎣                     ⎦


        y                                  y                                                                                1          xy′
122)x        = yx               ⇒ Ln x          = Ln y x ⇒ y Ln x = x Ln y ⇒ y′ Ln x + y                                      = Ln y +
                                                                                                                            x           y
                 y          x y′             xy′          y                                                              ⎛       x⎞          y
y′ Ln x +          = Ln y +      ⇒ y′ Ln x −     = Ln y −                                             ⇒               y′ ⎜ Ln x − ⎟ = Ln y −
                 x           y                y           x                                                              ⎝       y⎠          x
                                                                                                                                                46
E-mail: damasorojas8@gmail.com, damasorojas8@galeon.com, joeldama@yahoo.com
INSTITUTO UNIVERSITARIO DE TECNOLOGÍA
                                      “JOSÉ ANTONIO ANZOÁTEGUI”
                                       EL TIGRE-EDO-ANZOÁTEGUI
                                          Cátedra: Matemática II
                                    Especialidades: Mecánica - Química
                                        Lic. MSc. DÁMASO ROJAS



              y           x Ln y − y
     Ln y −                                   y ( x Ln y − y )
y′ =          x ⇒ y′ =        x       ⇒ y′ =
     Ln x −
              x           y Ln x − x          x ( y Ln x − x )
              y                y
                                         '
                                     ⎛y⎞          ⎛ 2                    ⎞
                                                           2 '
            ⎛y⎞ 1
                                     ⎜ ⎟       1 ⎜ (x + y )              ⎟
123) arc tg ⎜ ⎟ = Ln ( x + y ) ⇒
                        2     2      ⎝x⎠     = ⎜ 2
            ⎝x⎠ 2                     ⎛ y⎞
                                           2
                                               2 ⎜ ( x + y2 )            ⎟
                                                                         ⎟
                                   1+ ⎜ ⎟         ⎝                      ⎠
                                      ⎝x⎠
     y′ x − y     1 ⎛ 2x + 2 y y′ ⎞            1    y′ x − y 2(x + y y′)
                 = ⎜ 2              ⎟ ⇒ 2                    =
⎛      ⎛ y ⎞ ⎞ 2 2 ⎝ (x + y ) ⎠
                     ⎜              ⎟       x +y                2 ( x 2 + y2 )
                                                  2
            2                   2
                                                        x2
⎜1 + ⎜ ⎟ ⎟ x
⎜      ⎝x⎠ ⎟
                                                2
                                              x
⎝             ⎠
x 2 (y′ x − y) 2 (x + y y′)             y′ x − y     x + y y′                    x + yy′
                =                 ⇒               =             ⇒ y′ x − y = 2            ( x 2 + y2 )
x 2 ( x 2 + y2 ) 2 ( x 2 + y2 )       ( x 2 + y2 ) ( x 2 + y2 )                ( x + y2 )
                                                              y+x
y′ x − y y′ = y + x ⇒ y′ = (x − y) = y + x ⇒ y′ =
                                                              x−y


                   Sen ( Ln x )                       Sen ( Ln x )
         ⎛ x2 + b ⎞                         ⎛ x2 + b ⎞                                        ⎛ x2 + b ⎞
124) y = ⎜    2   ⎟             ⇒ Ln y = Ln ⎜    2   ⎟             ⇒ Ln y = ( Sen (Ln x) ) Ln ⎜    2   ⎟
         ⎝ x ⎠                              ⎝ x ⎠                                             ⎝ x      ⎠
y′                ⎡1⎤      ⎛ x2 + b ⎞                      1      ⎡ ( 2x ) x 2 − ( x 2 + b ) 2x ⎤
   = Cos ( Ln x ) ⎢ ⎥ Ln ⎜          ⎟ + ( Sen ( Ln x ) ) 2        ⎢                             ⎥
y                 ⎣x⎦      ⎝ x ⎠
                                2
                                                        ⎛x + b⎞⎢                x2              ⎥
                                                        ⎜   2    ⎟⎣                             ⎦
                                                        ⎝ x ⎠
y′ Cos ( Ln x )       ⎛ x 2 + b ⎞ ( Sen Ln x ) x 2 ⎛ 2x 3 − 2x 3 − 2xb ⎞
   =               Ln ⎜         ⎟+                  ⎜                     ⎟
y         x           ⎝ x ⎠
                            2
                                        x2 + b ⎝              x4          ⎠
                                                               ⎛ x2 + b ⎞
                                                            Ln ⎜        ⎟ Cos ( Ln x )
y′ Cos ( Ln x )    ⎛ x 2 + b ⎞ Sen ( Ln x ) ( −2xb )                                     Sen ( Ln x ) ( −2b )
                                                                    2
                                                       y′      ⎝ x ⎠
  =             Ln ⎜         ⎟+                      ⇒    =                            +
y      x           ⎝ x ⎠
                         2
                                 x +b
                                  2
                                               x 2
                                                        y              x                 ( x2 + b) x
        ⎛ 1⎞ ⎡ ⎛ x + b ⎞
                     2
                                             −2b Sen ( Ln x ) ⎤
y′ = y ⎜ ⎟ ⎢ Ln ⎜            ⎟ Cos ( Ln x )                   ⎥
        ⎝ x ⎠⎣ ⎝ x ⎠
                       2
                                                 x2 + b       ⎦
                Sen ( Ln x )
     ⎛ x2 + b ⎞              ⎛ 1⎞ ⎡ ⎛ x + b ⎞
                                            2
                                                                 −2b Sen ( Ln x ) ⎤
y' = ⎜        ⎟              ⎜ ⎟ ⎢ Ln ⎜           ⎟ Cos ( Ln x )                  ⎥
     ⎝ x ⎠
           2
                             ⎝ x ⎠⎣ ⎝ x ⎠
                                              2
                                                                     x2 + b       ⎦




                                                                                                         47
E-mail: damasorojas8@gmail.com, damasorojas8@galeon.com, joeldama@yahoo.com
INSTITUTO UNIVERSITARIO DE TECNOLOGÍA
                                                 “JOSÉ ANTONIO ANZOÁTEGUI”
                                                  EL TIGRE-EDO-ANZOÁTEGUI
                                                     Cátedra: Matemática II
                                               Especialidades: Mecánica - Química
                                                   Lic. MSc. DÁMASO ROJAS


125)X a Y b = ( X + Y )
                                  a +b
                                         ⇒ a Lnx + bLny = (a + b) Ln (x + y)
a b y' ⎛ a + b ⎞                       ⎡ a b y' ⎤
  +   =⎜       ⎟ (1 + y' ) ⇒ ( x + y ) ⎢ +      ⎥ = ( a + b )(1 + y')
x   y ⎝x+y⎠                            ⎣x   y ⎦
⎛x+y⎞         b y' ( x + y )                                b y' ( x + y )                              ⎛x+y⎞
⎜        ⎟a +                = ( a + b ) + ( a + b ) y' ⇒                  − ( a + b ) y' = ( a + b ) − ⎜   ⎟a
⎝ x ⎠                y                                             y                                    ⎝ x ⎠
                                                                                  ⎛x+y⎞
   ⎡ ⎛ ( x + y) ⎞            ⎤                                         (a + b) − ⎜           ⎟a
                                              ⎛x+y⎞                               ⎝ x ⎠
y' ⎢ b ⎜        ⎟ − ( a + b )⎥ = ( a + b ) − ⎜          ⎟ a ⇒ y' =
   ⎣ ⎝ y ⎠
   ⎢                         ⎥
                             ⎦                ⎝ x ⎠                    ⎛ ( x + y) ⎞
                                                                     b⎜            ⎟ − (a + b)
                                                                       ⎝ y ⎠
     ax + bx − ax − ay
             x                (bx − ay) y        y
y' =                   ⇒ y' =             → y' =
     bx + by − ay − by        x (bx − ay)        x
             y
            ⎛ x2 + a2 + x ⎞
126).y = Ln ⎜             ⎟ ⇒ y = Ln( x 2 + a 2 + x) − Ln( x 2 + a 2 − x)
            ⎜ x2 + a2 − x ⎟
            ⎝             ⎠
       ( x 2 + a 2 + x)1              ( x 2 + a 2 − x)1
y' =                              −
           x2 + a2 + x                   x2 + a2 − x
     ⎛1 2     2 −1/2    ⎞ ⎛1 2     2 −1/2    ⎞
     ⎜ (x + a ) (2x) + 1⎟ ⎜ (x + a ) (2x) − 1⎟
       2
y' = ⎝                  ⎠−⎝2                 ⎠
         ( x + a + x)
            2     2
                             ( x + a − x)
                                 2     2



         x ( x2 + a2 )  +1 x ( x2 + a2 ) −1
                         −1/2                            −1/2

y' =                      −
             x2 + a2 + x        x2 + a2 − x


y' =
     (                   ⎣    )                  ⎥
                                                 ⎦              ⎢
                                                                ⎣       (
           x 2 + a 2 − x ⎡ x ( x 2 + a 2 ) + 1⎤ − x 2 + a 2 + x ⎡ x ( x 2 + a 2 ) − 1⎤
                         ⎢
                                          −1/2                                   −1/2
                                                                                      )
                                                                                      ⎥
                                                                                      ⎦
                                            (x + a − x )
                                               2   2  2



       x + x2 + a2 − x2 ( x2 + a2 )                      − x − x + x2 + a2 − x2 ( x2 + a2 )
                                                  −1/2                                        −1/2
                                                                                                     +x
y' =                                                                2
                                                                a
    2 ⎡ x2 + a2 − x2 ( x2 + a                 )
                                             2 −1/2   ⎤       2 ⎡( x 2 + a 2 ) − x 2 ( x 2 + a 2 ) ⎤
                                                                              −1/2                −1/2

      ⎢                                               ⎥         ⎢                                      ⎥
y' = ⎣                                                ⎦ ⇒ y' = ⎣                                       ⎦
                  a2                                                               a 2


       2 ( x2 + a2 )
                       −1/2
                              ⎡x2 + a2 − x2 ⎤
                              ⎣             ⎦ ⇒ y' =                          2
y' =                          2
                          a                                                 x2 + a2

                                                                                                                 48
E-mail: damasorojas8@gmail.com, damasorojas8@galeon.com, joeldama@yahoo.com
INSTITUTO UNIVERSITARIO DE TECNOLOGÍA
                                           “JOSÉ ANTONIO ANZOÁTEGUI”
                                            EL TIGRE-EDO-ANZOÁTEGUI
                                               Cátedra: Matemática II
                                         Especialidades: Mecánica - Química
                                             Lic. MSc. DÁMASO ROJAS


                              Senx
127)y = ⎡ Tg ( 3x ) ⎤
        ⎣           ⎦                ⇒ Lny = Senx Ln (Tg(3x))
y' Cosx Ln (Tg(3x))                  Senx Sec 2 (3x)  y'  1                          ⎡                         6Senx         ⎤
  =                 +                                ⇒ =                             ⎢Cosx Ln (Tg(3x)) + Senx (3x) (Cos(3x)) ⎥
y     2 Senx                           Tg(3x)         y 2 Senx                       ⎣                                       ⎦
             Sec 2 (3x) Sec(3x)Sec(3x)          1
NOTA:                  =               =
              Tg(3x)        Tg(3x)       Sen(3x) Cos (3x)
             Senx ⎡                            6Senx         ⎤
       ⎡Tg ( 3x ) ⎤
       ⎣          ⎦  ⎢Cosx Ln (Tg(3x)) + Senx (3x) (Cos(3x)) ⎥
y=                   ⎣                                       ⎦
                            2 Senx
                                     x
128)y = x y Ln ⎛ arc sen 1 − y 2 ⎞ ⇒ y = x y x Ln ⎛ arc sen                                               ⎞
                                                                                                   1 − y2 ⎟
                ⎜                  ⎟                     ⎜
                ⎝                  ⎠                     ⎝                                                ⎠
               ⎛                  ⎞
y = x y + 1 Ln ⎜ arc sen 1 − y2 ⎟
               ⎝                  ⎠
                                                                                                         '
        (             )
            '                             ⎡ ⎛                                                    ⎞⎤
y′ = x y + 1 Ln arc sen 1 − y 2 + x y + 1 ⎢ Ln ⎜ arc sen                                  1 − y2 ⎟ ⎥
                                          ⎣ ⎝                                                    ⎠⎦
Por partes:z = x y + 1 ⇒ Ln z =                          (   y + 1 Ln x)
z'
   =
     y′
        Ln x +
                          (    y +1  )    → z′ = x
                                                                 ⎛
                                                                 ⎜
                                                                 ⎜
                                                                 ⎝
                                                                          ⎟
                                                                          ⎠ ⎢
                                                                                           (
                                                                     y + 1⎟ ⎡ x y′ Ln x + 2 y
                                                                          ⎞
                                                                                                   )(        y +1 ⎤
                                                                                                                  ⎥
                                                                                                                   )
z 2 y                           x                                           ⎢            2x y                     ⎥
                                                                            ⎣                                     ⎦


z′ =
        (x
              y
                      (
                  x) xy′ Ln x + 2 y   (            )(    y +1        ) ) ⇒ z′ = x   y ⎡
                                                                                      ⎣              (
                                                                                        xy′ Ln x + 2 y            )(   y +1 ⎤
                                                                                                                            ⎦  )
                               2x y                                                             2 y
                                              ⎡                                                                     ⎤
                                              ⎢                                                                     ⎥
                                     1        ⎢        1                                                     2 y y′ ⎥
w = Ln arc sen 1 − y 2 ⇒ w′ =                 ⎢                                                                     ⎥
                              arc sen 1 − y 2 ⎢                                                              1 − y2 ⎥
                                              ⎢ 1− 1− y
                                              ⎣
                                                             2 2 2
                                                                                      (        )                    ⎥
                                                                                                                    ⎦
            1                 2 y y′                           1                                                        y y′
w′ =                 (                        ) ⇒ w′ =
     arc sen 1 − y 2 2 1 − 1 − y 2 1 − y 2     (             )
                                                        arc sen 1 −                                          y2    y 1 − y2

                      1                   y′                                            y +1
w′ =                                                    ⇒ y′ = z′ Ln arc sen 1 − y2 + x      w′
            arc sen 1 − y 2           1 − y2

                                                                                                                                   49
E-mail: damasorojas8@gmail.com, damasorojas8@galeon.com, joeldama@yahoo.com
INSTITUTO UNIVERSITARIO DE TECNOLOGÍA
                                                “JOSÉ ANTONIO ANZOÁTEGUI”
                                                 EL TIGRE-EDO-ANZOÁTEGUI
                                                    Cátedra: Matemática II
                                              Especialidades: Mecánica - Química
                                                  Lic. MSc. DÁMASO ROJAS

                                                                               '
                 yx
                              ( x y ) + ⎛ e y ⎞ = ( x y )' ⇒ ( x y ) = A ; ⎛ e y ⎞ = B ; ( x y ) = C
                                     '       x                                  x
129) x y +  e             = x y ⇒ Ec (*)⎜
                                        ⎝
                                               ⎟
                                               ⎠
                                                                           ⎜
                                                                           ⎝
                                                                                  ⎟
                                                                                  ⎠
                                                   A′                  y
A = x y ⇒ Ln A = Ln x y ⇒ Ln A = y Ln x ⇒              = y ′ Ln x +
                                                   A                   x
        ⎛          y⎞             ⎛              y⎞
A′ = A ⎜ y ′ Ln x + ⎟ ⇒ A′ = x y ⎜ y ′ Ln x + ⎟
        ⎝          x⎠             ⎝              x⎠
       yx                                                               ⎛ 1 ⎞ ⎛ B′ ⎞              x y′
B = e ⇒ Ln B = y x Ln e ⇒ Ln B = y x ⇒ Ln (Ln B) = x Ln y ⇒ ⎜                   ⎟ ⎜ ⎟ = Ln y +
                                                                        ⎝ Ln B ⎠ ⎝ B ⎠             y
              ⎛       x y′ ⎞                  yx ⎛          x y′ ⎞
B ′ = B LnB ⎜ Ln y +       ⎟⇒   B ′ = y x e ⎜ Ln y +             ⎟
              ⎝        y ⎠                       ⎝           y ⎠
C = xy           ⇒          C′ = y + x y′
                       ⎡           y⎤                                    ⎡
                                                                         yx       x y′ ⎤
Sust en la ec (*): x y ⎢ y ′ Ln x + ⎥ + y x
                       ⎣           x⎦                                e   ⎢ Ln y + y ⎥ = y + x y ′
                                                                         ⎣             ⎦
                  xy y                    yx                     yx   x y′
x y y ′ Ln x +
                   x
                       + yx           e        Ln y + y x   e          y
                                                                            = y + x y′

                              yx   x y′                                   yx             xy y
x y y ′ Ln x + y x        e         y
                                        − x y′ = y − y x              e        Ln y −
                                                                                          x
                                                                                                             yx               xy y
    ⎡               yx
               yx e x      ⎤
                                                            yx
                                                                                    y
                                                                                   x y
                                                                                                y − yx   e        Ln y −
                                                                                                                               x
y ′ ⎢ x Ln x +
       y
                       − x ⎥ = y − yx                  e         Ln y −                ⇒ y′ =
    ⎢             y        ⎥                                                        x                    yx e x
                                                                                                                     yx
    ⎣                      ⎦                                                                    x Ln x +
                                                                                                 y
                                                                                                                − x
                                                                                                            y


              Arc tag Y                    1                     y'   y' Lnx       arctg y
130) y = x                            ⇒      Lny = arctg y Lnx ⇒    =            +
                                           2                     2y 2 y (1 + y )       x

 y'     y' Lnx        arctg y        ⎛ 1        Lnx     ⎞ arct y
    −              =            ⇒ y' ⎜ −                ⎟=
2y 2 y (1 + y )           x          ⎜ 2y 2 y (1 + y ) ⎟     x
                                     ⎝                  ⎠
         arctg y
             x
                                             ⎛
                                             ⎝
                                                  (  ⎞
                                 2 arctg y ⎜ y3 ⎟ (1 + y )
                                                     ⎠
                                                                 )2 y3 arctg y (1 + y )                  (                )
y' =                      = y' =                           ⇒ y' =
      y (1 + y ) − yLnx            x ⎡ y (1 + y ) − yLnx ⎤        x y ⎡(1 + y ) − y Lnx ⎤
                                     ⎣                   ⎦            ⎣                 ⎦
       2 y (3 1+ y
                     )

y' =
                      (
       2y (1 + y ) arctg y            )
       x ⎡(1 + y ) − y Lnx ⎤
         ⎣                 ⎦


                                                                                                                                     50
E-mail: damasorojas8@gmail.com, damasorojas8@galeon.com, joeldama@yahoo.com
INSTITUTO UNIVERSITARIO DE TECNOLOGÍA
                                   “JOSÉ ANTONIO ANZOÁTEGUI”
                                    EL TIGRE-EDO-ANZOÁTEGUI
                                       Cátedra: Matemática II
                                 Especialidades: Mecánica - Química
                                     Lic. MSc. DÁMASO ROJAS


          y
131) x        = y ArcsenX
                               y'        y ( cosx ) Lny ( arcsenx ) y'
 y Lnx = arcsenx Lnx →            Lnx +   =            +
                              2 y       x
                                               1− x  2
                                                      (       y
                                                                  )
y'Lnx ( arcsenx ) y' ( cosx ) Lny    y
     −              =             −
2 y         y                       x
                         1− x2
                                  ⎛         ⎞
                    xcosx Lny − y ⎜ 1 − x 2 ⎟
   ⎛ Lnx arcsenx ⎞                ⎝         ⎠
y' ⎜    −        ⎟=
   ⎜2 y     y    ⎟                2
   ⎝             ⎠         x 1− x
                     ⎛         ⎞
       xcosx Lny − y ⎜ 1 − x 2 ⎟
                     ⎝         ⎠                  ⎡                ⎛         ⎞⎤
                                             2 y3 ⎢ x cosx Lny − y ⎜ 1 − x 2 ⎟ ⎥
y' =          x 1− x2                 ⇒ y' =      ⎣                ⎝         ⎠⎦
          yLnx − 2 y arcsenx
                                                              (
                                              x 1 − x 2 y Lnx − 2 y arcsenx          )
                  2 y3


y' =           ⎣                  (
         2 y 3 ⎡ xcosx Lny − y 1 − x ⎤     )
                                        ⎦ ⇒ y' =                                 (
                                                            2y ⎡ xcosx Lny − y 1 − x ⎤
                                                               ⎣                     ⎦   )
           ⎛
                       (
                       ⎞
         y ⎜ x 1 − x 2 ⎟ y Lnx − 2arcsenx
           ⎝           ⎠
                                               )          ⎛
                                                          ⎝
                                                                    2⎞
                                                                      (
                                                          ⎜ x 1 − x ⎟ y Lnx − 2arcsenx
                                                                     ⎠
                                                                                             )
                                                          1
    y y               −x                                       −x
                                 ⇒ Ln ⎛ x yx ⎞ = Ln ⎡ex − y − 2 ⎤
                                         y     y
132) x yx = ex − y − 2                 ⎜     ⎟      ⎢             ⎥
                                       ⎝     ⎠      ⎣             ⎦
1⎡                                 −x      1       1                     −x
   Ln x + Ln yx ⎤ = Ln ⎡ex − y − 2 ⎤ ⇒ (y)Ln x + (x)Ln y = Ln ⎡ex − y − 2 ⎤
       y
y⎢⎣             ⎥
                ⎦      ⎢
                       ⎣              ⎥
                                      ⎦    y       y             ⎢
                                                                 ⎣          ⎥
                                                                            ⎦
       xLn y       ⎡          −x⎤
Ln x +       = Ln ⎢ex − y − 2 ⎥
         y         ⎣             ⎦
    ⎛          1                         ⎞
    ⎜ Ln y + x y y′ y − ( x Ln y ) ( y′) ⎟ ⎡(1 − y′) e(x − y) − 2− x Ln2( −1)⎤
1 ⎝                                      ⎠ =⎣                                ⎦
  +                                                               −x
                                                       e −2
                      2                                  x−y
x                   y


1 ⎡ ( Ln y + x y′− ( x Ln y) ( y′)) ⎤ ⎣(1 − y′) e + 2 Ln2⎦
                                       ⎡                 ⎤
                                                 x−y  −x

 +⎢                                 ⎥=               −x
                                              e −2
                                                x−y
x ⎢
  ⎣              y2                 ⎥
                                    ⎦


                                                                                                 51
E-mail: damasorojas8@gmail.com, damasorojas8@galeon.com, joeldama@yahoo.com
INSTITUTO UNIVERSITARIO DE TECNOLOGÍA
                                                “JOSÉ ANTONIO ANZOÁTEGUI”
                                                 EL TIGRE-EDO-ANZOÁTEGUI
                                                    Cátedra: Matemática II
                                              Especialidades: Mecánica - Química
                                                  Lic. MSc. DÁMASO ROJAS


⎡ y 2 + x ( Ln y + x y′ − ( x Ln y ) ( y ′) ) ⎤
⎢                                             ⎥ =                  (1 − y′ ) e x − y      + 2 − x Ln 2
⎢                 x y2                        ⎥                                e
                                                                                   x−y
                                                                                         − 2− x
⎣                                             ⎦
(e   x−y
           − 2 − x ) ⎡ y 2 + x Ln y + x 2 y ′ − ( x 2 Ln y ) ( y ′) ⎤ = x y 2 ⎡ (1 − y′ ) e x − y + 2 − x Ln 2 ⎤
                      ⎣                                                    ⎦             ⎣                            ⎦
(e  x−y
         − 2 ) ⎣ y + xLny + x y ′ − ( x Ln y ) ( y ′) ⎦ = xy e − y'xy e + xy 2 Ln2
             −x
                    ⎡   2             2             2
                                                                    ⎤        2 x−y          2 x−y          2 −x



                                                                                                         x 2 y'
e x − y y 2 + e x − y xLny + x 2 y'e x − y − e x − y ( x 2 Ln y ) ( y ′) − y 2 2 − x − xlny2 − x − 2 − x        = (*)
                                                                                                           y
(*) xy 2 e x − y − y'xye x − y + xy 2 2 − x Ln2


   ⎡ x 2 ex−y                          2−x x 2             ⎤
y' ⎢          − e x − y ( x 2 Ln y ) −         + xye x − y ⎥ = xy 2 e x − y + xy 2 2 − x Ln2 − e x − y y 2 − e x − y xLny
   ⎣ y                                   y                 ⎦

            xy 2 e x − y + xy 2 2 − x Ln2 − e x − y y 2 − e x − y xLny
y' =
         x 2 ex−y                                   2− x x 2
                    − e x − y ( x 2 Ln y ) ( y ′) −             + xye x − y
             y                                          y

                                                                      1
         y
133). x x y x = e x + y +                             ⎛ y     ⎞
                                                 2x ⇒ ⎜ x y x ⎟
                                                                          x
                                                                              = ex + y +          2x
                                                      ⎝       ⎠

                      1
   ⎛              ⎞                                      1
                                                  2 x ⎤ ⇒ ⎡ Ln x + Ln y x ⎤ = Ln ⎣ e x + y +
           y                                                    y
                              = Ln ⎡ e x + y +
                          x
Ln ⎜ x         yx ⎟                                                              ⎡                              ⎤
                                                                                                             2x ⎦
   ⎝              ⎠                ⎢
                                   ⎣                  ⎥
                                                      ⎦  x⎣⎢              ⎥
                                                                          ⎦

y       x                                                   ⎛ y⎞
  Ln x + Ln y = Ln ⎡ e x + y +                      2 x ⎤ ⇒ ⎜ ⎟ Ln x + Ln y = Ln ⎡ e x + y +
                                                                                 ⎣                           2x ⎤
                                                                                                                ⎦
x       x          ⎢
                   ⎣                                    ⎥
                                                        ⎦   ⎝x⎠

⎛ y′ x + y ⎞       y⎛1⎞   y′           1
⎜          ⎟ Ln x + ⎜ ⎟ +    =                                           ⎡ (1 + y ′ ) e x + y + 2 x Ln 2 ⎤
                               ⎡e                                   2x ⎤ ⎣                               ⎦
        2
⎝     x    ⎠       x⎝x⎠   y    ⎣
                                  x+ y
                                        +                              ⎦

( y′ x     + y ) Ln x + y
                          +
                            y′
                               =
                                         1
                                                                 ⎡ (1 + y ′ ) e x + y + 2 x Ln 2 ⎤
                                 ⎡e                          2 ⎤ ⎣                               ⎦
                2
              x             y    ⎣
                                    x+ y
                                          +                    x
                                                               ⎦

y ⎡ ( y ′ x + y ) Ln x + y ⎤ + x 2 y ′ (1 + y ′ ) e x + y + 2 x Ln 2
  ⎣                        ⎦          =
                  x2 y                       e
                                                x+ y
                                                         + 2x


                                                                                                                            52
E-mail: damasorojas8@gmail.com, damasorojas8@galeon.com, joeldama@yahoo.com
INSTITUTO UNIVERSITARIO DE TECNOLOGÍA
                                       “JOSÉ ANTONIO ANZOÁTEGUI”
                                        EL TIGRE-EDO-ANZOÁTEGUI
                                           Cátedra: Matemática II
                                     Especialidades: Mecánica - Química
                                         Lic. MSc. DÁMASO ROJAS


(e   x+ y
                                                                            (
            + 2 x ) ⎡ y y′ x Ln x + y 2 Ln x + y 2 + x 2 y′⎤ = x 2 y e x + y + y′ e x + y + 2 x Ln 2
                    ⎣                                      ⎦                                                         )
[ y y′ x Ln x ] ( e x + y + 2 x ) + y 2 Ln x ( e x + y + 2 x ) + y 2 ( e x + y + 2 x ) + x 2 y ' ( e x + y + 2 x ) = (*)
 (*) x 2 y ( e x + y ) + y′ e x + y x 2 y + 2 x Ln 2 x 2 y

y y ′ x Ln x ( e x + y + 2 x ) + x 2 y ' ( e x + y + 2 x ) − y′ e x + y x 2 y = (**)
(**) − y 2 Ln ( e x + y + 2 x ) − y 2 ( e x + y + 2 x ) + x 2 y ( e x + y ) + 2 x Ln 2 x 2 y

y′ ⎡ y x Ln ( e x + y + 2 x ) + x 2 ( e x + y + 2 x ) − e x + y x 2 y ⎤ = (***)
   ⎣                                                                  ⎦
(***) − y 2 Ln x ( e x + y + 2 x ) − y 2 ( e x + y + 2 x ) + x 2 y ( e x + y ) + 2 x Ln 2 x 2 y
        − y 2 Ln x ( e x + y + 2 x ) − y 2 ( e x + y + 2 x ) + x 2 y ( e x + y ) + 2 x Ln 2 x 2 y
y′ =
                     y x Ln x ( e x + y + 2 x ) + x 2 ( e x + y + 2 x ) − e x + y x 2 y

g. Ejercicios Varios
                                                                                                               1−x
                                                                                                     e
134) Demostrar que la derivada de F ( x ) = LN ⎡                        e2x     ⎤
                                                                                ⎥ es F ′(x) = 1 +
                                               ⎢
                                                                    ⎢ 1 −e
                                                                    ⎣
                                                                           1− x
                                                                                ⎥
                                                                                ⎦
                                                                                                           (
                                                                                                  2 1 − e1−x             )
          ⎡               ⎤
F(x) = Ln ⎢
               e 2x
                  (1 − x)
                          ⎥⇒ y =
                                 1
                                 2
                                               [                (
                                                                1
                                                                             )]
                                   Ln e 2x − Ln 1 − e1 − x ⇒ y = 2x − Ln 1 − e1 − x
                                                                2
                                                                                           [           (                 )]
          ⎢ 1−e
          ⎣               ⎥
                          ⎦

     2 −
                 (
           1 − e1 − x (−1)  )
             1 − e1 − x                      e1 − x
y´ =                          ⇒ y´ = 1 +
               2                          2 1 − e1 − x    (             )
                                                           x3 x + 1             5x + 3
135) Demostrar que la derivada de Ln                                , es y ' =             − csc x sec x.
                                                         Senx Secx             6 x (x + 1)
        Lnx 1
y=         + Ln(x + 1) − (Ln Senx + Ln Secx )
         2  3
     1       1    ⎛ Cosx Secx Tgx ⎞          3x + 3 + 2x ⎛ Cosx 2 + Senx 2                                                    ⎞
y' =    +        −⎜      +          ⎟ → y' =             −⎜                                                                   ⎟
     2x 3(x + 1) ⎝ Senx     Secx ⎠             6x(x + 1)  ⎜
                                                          ⎝ Senx Cosx
                                                                                                                              ⎟
                                                                                                                              ⎠
      5x + 3        1            5x + 3
y' =          −          ⇒ y' =           − cscx secx
     6x(x + 1) Senx Cosx        6x(x + 1)



                                                                                                                          53
E-mail: damasorojas8@gmail.com, damasorojas8@galeon.com, joeldama@yahoo.com
INSTITUTO UNIVERSITARIO DE TECNOLOGÍA
                                                     “JOSÉ ANTONIO ANZOÁTEGUI”
                                                      EL TIGRE-EDO-ANZOÁTEGUI
                                                         Cátedra: Matemática II
                                                   Especialidades: Mecánica - Química
                                                       Lic. MSc. DÁMASO ROJAS


136) Demostrar que la derivada de y = x π 2 − x 2 ; es y´= 2 π 2 − x 2
                          x( −2x) (π2 − x2 )
                                                −1/2
                                                            π2 ⎛ 1 ⎞                                     π
y' = (π − x ) +
          2     2 1/2
                                                       +         ⎜ ⎟ ⇒ y ' = ( π − x ) − x (π − x ) + 2 2
                                                                                2   2 1/2 2  2   2 −1/2

                                    2                         x2 ⎝ π ⎠                                  π −x
                                                           1− 2
                                                             π                                           π
y' = (π2 − x2 ) − x2 (π2 − x2 )                +π2 (π2 − x2 )          ⇒ y' = (π2 − x2 )          ⎡(π2 − x2 ) − x2 +π2 ⎤ ⇒
                  1/2                   −1/2                    −1/2                       −1/2

                                                                                                  ⎣                    ⎦
y' = (π2 − x2 )          ⎡π2 − x2 − x2 +π2 ⎤ ⇒ y' = (π2 − x2 )                  2(π2 − x2 ) ⇒ y`= 2 π2 − x2
                  −1/2                                                   −1/2
                         ⎣                 ⎦


137) Demuestre que: f (x) =
                                                  ⎡ a−b       1⎛ x ⎞⎤                      1
                                            Arctg ⎢        Tg ⎜ ⎟⎥ ⇒ f ′(x) =
                                   a2 − b 2       ⎢ a+b
                                                  ⎣            ⎝ 2 ⎠⎦
                                                                    ⎥              2 [a + b Cosx]
                                                         ⎛                    ⎞⎛ a − b       2⎛ x⎞
                                                                                                   ⎞
           1          ⎡ a −b    ⎛ x⎞ ⎤              1    ⎜         1          ⎟ ⎜ a + b Sec ⎜ 2 ⎟ ⎟
f ( x) =        Arctg ⎢      Tg ⎜ ⎟ ⎥ ⇒ f '( x) =        ⎜                    ⎟⎜              ⎝ ⎠⎟
         a −b
          2   2
                      ⎣ a+b     ⎝ 2 ⎠⎦            a − b ⎜1+ ⎛
                                                   2   2      a − b ⎞ 2 ⎛ x ⎞ ⎟⎜         2         ⎟
                                                         ⎜ ⎜ a + b ⎟ Tg ⎜ 2 ⎟ ⎟⎜                   ⎟
                                                         ⎝ ⎝        ⎠   ⎝ ⎠ ⎠⎝                     ⎠
                 ⎛                   ⎛x⎞     ⎞
                 ⎜      a − b Sec 2 ⎜ ⎟      ⎟
                 ⎜                   ⎝2⎠     ⎟                                            ⎛x⎞
                                                                      (a + b) a − b Sec 2 ⎜ ⎟
            1    ⎜         2 a+b             ⎟                                            ⎝2⎠
f '( x) =                                      ⇒ f '( x) =
               2 ⎜                       ⎛x⎞⎟                                ⎡
          a − b ⎜ (a + b) + (a − b) Tg 2
           2
                                                                                                     ⎛ x ⎞⎤
                                         ⎜ ⎟⎟              2 a 2 − b 2 a + b ⎢(a + b) + (a − b) Tg 2 ⎜ ⎟ ⎥
                 ⎜                       ⎝2⎠ ⎟                               ⎣                       ⎝ 2 ⎠⎦
                 ⎜          ( a + b)         ⎟
                 ⎝                           ⎠


                                               ⎛ x⎞                                          ⎛ x⎞
                       (a + b) 2 (a − b) Sec 2 ⎜ ⎟                                     Sec 2 ⎜ ⎟
f '( x) =                                      ⎝2⎠              ⇒ f '( x) =                  ⎝2⎠
                                    ⎡                    ⎛ x ⎞⎤               ⎡                        ⎛ x ⎞⎤
          2 (a − b)(a + b)(a + b) ⎢(a + b) + (a − b)Tg 2 ⎜ ⎟ ⎥              2 ⎢ (a + b) + (a − b) Tg 2 ⎜ ⎟ ⎥
                                    ⎣                    ⎝ 2 ⎠⎦               ⎣                        ⎝ 2 ⎠⎦

                                        1                                                                            1
f '( x) =                                                                ⇒ f'(x) =
                ⎡                       ⎛ x ⎞⎤      ⎛ x⎞                                 ⎡             ⎛x⎞                ⎛x⎞       ⎛ x ⎞⎤
              2 ⎢(a + b) + (a − b) Tg 2 ⎜ ⎟ ⎥ Cos 2 ⎜ ⎟                                2 ⎢(a + b)Cos 2 ⎜ ⎟ + (a − b) Tg 2 ⎜ ⎟ Cos 2 ⎜ ⎟ ⎥
                ⎣                       ⎝ 2 ⎠⎦      ⎝2⎠                                  ⎣             ⎝ 2⎠               ⎝ 2⎠      ⎝ 2 ⎠⎦

                                                   1
f'(x) =
            ⎡        ⎛x⎞           ⎛x⎞           ⎛x⎞          ⎛ x ⎞⎤
          2 ⎢a Cos 2 ⎜ ⎟ + b Cos 2 ⎜ ⎟ + a Sen 2 ⎜ ⎟ − bSen 2 ⎜ ⎟ ⎥
            ⎣        ⎝ 2⎠          ⎝ 2⎠          ⎝ 2⎠         ⎝ 2 ⎠⎦




                                                                                                                                        54
E-mail: damasorojas8@gmail.com, damasorojas8@galeon.com, joeldama@yahoo.com
INSTITUTO UNIVERSITARIO DE TECNOLOGÍA
                                              “JOSÉ ANTONIO ANZOÁTEGUI”
                                               EL TIGRE-EDO-ANZOÁTEGUI
                                                  Cátedra: Matemática II
                                            Especialidades: Mecánica - Química
                                                Lic. MSc. DÁMASO ROJAS

                                           1                                                             1
f'(x) =                                                                         ⇒ f'(x) =
          ⎡ ⎡       ⎛x⎞       ⎛ x ⎞⎤     ⎡
                                           1
                                              ⎛ x⎞          ⎛ x ⎞⎤⎤            ⎡      ⎡     ⎛x⎞        ⎛ x ⎞⎤⎤
        2 ⎢a ⎢ Cos2 ⎜ ⎟ +Sen2 ⎜ ⎟⎥ + b ⎢Cos2 ⎜ ⎟ − Sen2 ⎜ ⎟⎥⎥                2 ⎢a + b ⎢Cos2 ⎜ ⎟ − Sen2 ⎜ ⎟⎥⎥
          ⎢ ⎣       ⎝ 2⎠      ⎝ 2 ⎠⎦     ⎣    ⎝ 2⎠          ⎝ 2 ⎠⎦⎥            ⎣      ⎣     ⎝ 2⎠       ⎝ 2 ⎠⎦⎦
          ⎣                                                       ⎦
                          1                                         1
f'(x) =                                      ⇒ f'(x) =
          ⎡      ⎡     ⎛x⎞           ⎛ x ⎞⎤⎤             ⎡      ⎡      ⎛ x ⎞ ⎤⎤
        2 ⎢a + b ⎢Cos2 ⎜ ⎟ −1+ Cos2 ⎜ ⎟⎥⎥              2 ⎢a + b ⎢2Cos2 ⎜ ⎟ −1⎥⎥
          ⎣      ⎣     ⎝ 2⎠          ⎝ 2 ⎠⎦⎦             ⎣      ⎣      ⎝ 2 ⎠ ⎦⎦
          ⎛ θ ⎞ ⎛ 1+ Cosθ ⎞                         1                                 1                            1
Pero:Cos2 ⎜ ⎟ =⎜          ⎟ ⇒ f'(x) =                             ⇒ f'(x) =                       ⇒ f'(x) =
          ⎝ 2⎠ ⎝ 2 ⎠                    ⎡      ⎡ ⎛ 1+ Cosθ ⎞ ⎤⎤             2[ a + b(1+ Cosθ −1)]           2[ a + bCosθ]
                                      2 ⎢a + b ⎢2⎜         ⎟ −1⎥⎥
                                        ⎣      ⎣ ⎝ 2 ⎠ ⎦⎦



                                                                                               y
138) Demuestre que si x 2 y 5 = ( x + y ) , entonces y´ =
                                                                      7
                                                                                                 .
                                                                                               x
                                               6
                                                                          [
2 xy 5 + 5 x 2 y 4 y´ = 7 (x + y ) (1 + y´) ⇒ y´ 5 x 2 y 4 − 7 (x + y ) = 7 (x + y ) − 2 xy 5
                                                                                                6
                                                                                                     ]       6


           7 (x + y )
                           6
                               − 2 xy 5
y´ =
          5 x 2 y 4 − 7 (x + y )
                                           6




Multiplicando numerador y denominador por x.y:

y´ =
       7 xy( x + y ) − 2 y x2 y5
                       6
                                 (
                                 =
                                       )
                                   7 xy(x + y ) − 2 y( x + y )
                                                                =
                                                                  y( x + y ) [7 x − 2(x + y )] y(5x − 2 y ) y
                                                                  6              7
                                                                                              =
                                                                                                 6
                                                                                                           =
           ( 2 5
                   )
       5x x y − 7 xy(x + y )
                               6
                                   5x( x + y ) − 7 xy( x + y )
                                              7               6
                                                                  x( x + y ) [5(x + y ) − 7 y] x(5x − 2 y ) x
                                                                            6




                                                             xy                                                  y2 + x2
139) Demostrar que y' =                                                       es la derivada de y = arctg
                                               y y 4 − x 4 + x2                                                  y2 − x2


                               ( 2yy' + x )( y
                                           2       2
                                                       − x 2 ) − ( y 2 + x 2 )( 2yy' − x 2 )
                                                        (y       − x2 )
                                                             2            2
               1
y' =
          ⎛ y2 + x 2 ⎞                                   ⎛ y2 + x 2 ⎞
       1+ ⎜ 2      2 ⎟                                 2 ⎜ 2      2 ⎟
          ⎝ y −x ⎠                                       ⎝ y −x ⎠




                                                                                                                           55
E-mail: damasorojas8@gmail.com, damasorojas8@galeon.com, joeldama@yahoo.com
INSTITUTO UNIVERSITARIO DE TECNOLOGÍA
                                                                 “JOSÉ ANTONIO ANZOÁTEGUI”
                                                                  EL TIGRE-EDO-ANZOÁTEGUI
                                                                     Cátedra: Matemática II
                                                               Especialidades: Mecánica - Química
                                                                   Lic. MSc. DÁMASO ROJAS


       2y3y' − 2x2 yy' + 2xy2 − 2x3 − 2y3y' + 2xy2 − 2x2yy' + 2x3                                                                      −4y2 yy' + 4xy2

y' =
                                                           (y −x )
                                                             2     2 2

                                                                                                                    ⇒ y' =
                                                                                                                                           (y −x )
                                                                                                                                            2       2 2


                                ⎛ y2 − x2 + y2 + x2 ⎞ ⎛ y2 + x2 ⎞                                                                ⎛ y2 ⎞ ⎛ ⎛ y2 + x2 ⎞ ⎞
                               2⎜                   ⎟ ⎜ 2 2⎟                                                                    2⎜ 2 2 ⎟ ⎜ ⎜ 2 2 ⎟ ⎟
                                ⎝      y2 − x2      ⎠ ⎝ y −x ⎠                                                                            ⎜           ⎟
                                                                                                                                 ⎝ y − x ⎠⎝ ⎝ y − x ⎠ ⎠
           −4y2 yy' + 4xy2

y' =
          ( y − x ) ⇒y' = ( −4x yy' + 4xy )( y − x ) y − x
                   2           2 2                                     2           2           2        2           2       2


       2( 2y ) y + x
                   2           2
                                  4y y + x ( y − x )
                                           2                               2   2       2           2        2 2


     (y −x ) y −x
           2           2           2           2




     ( −4x yy' + 4xy ) ( y − x )
               2                       2
                                          −4x yy' + 4xy
                                                       2     2 3
                                                                   4y ( xy − x y')         2                    2                                         2

y' =                             ⇒ y' =                  ⇒ y' =
        4y y + x ( y − x )              4y y + x y − x     2 2
                                                                4y ( y + x )( y − x )
               2           2           2           2                           2       2            2       2           2              2        2    2        2   2




       (                       )
⇒ y' y y4 − x4 = xy − x2 y' ⇒ y' y y4 − x4 + x2 = xy ⇒ y' =        (                           )                                  xy
                                                                                                                            y y4 − x4 + x2



140) Demuestre que la derivada Lny =
                                                                                                   2       ⎛ 4y + x ⎞
                                                                                                      arctg⎜        ⎟ es y' =     − y2
                                                                                                           ⎜        ⎟
                                                                                                   15      ⎝ 15x ⎠            2⎛ x 2 + y 2 ⎞
                                                                                                                               ⎜           ⎟
                                                                                                                                                     ⎝                ⎠
        ⎡                                                   ⎤
y'   2 ⎢      1                                             ⎥ ⎡ (4y'+1)(x ) − (4y + x ) ⎤  y'    2[(4y'+1)x − (4y + x )]
   =    ⎢                                                   ⎥⎢                          ⎥⇒    =
y    15 ⎢
         1+
            (4y + x )2                                      ⎥⎣      15       x 2
                                                                                        ⎦  y        2 15 x + (4y + x )
                                                                                                     ⎡    2            2
                                                                                                                         ⎤
        ⎢                                                   ⎥                                   15 x ⎢                   ⎥
        ⎣     15x 2                                         ⎦                                        ⎢
                                                                                                     ⎣      15 x 2       ⎥
                                                                                                                         ⎦
y'   2[(4y'+1)x − (4y + x )]
   =                           ⇒ y' ⎛16x 2 + 16y 2 + 8xy ⎞ = 2y[4y' x + x − 4y − x]
                                    ⎜                    ⎟
y 15x 2 + 16y 2 + 8xy + x           ⎝                    ⎠
                             2




y' ⎛16x 2 + 16y 2 + 8xy ⎞ = 8yy' x − 8y 2 ⇒ y' ⎛16x2 + 16y2 + 8xy − 8xy ⎞ = −8y2
   ⎜                    ⎟                      ⎜                        ⎟
   ⎝                    ⎠                      ⎝                        ⎠
                                        − 8y2                − y2
y' ⎛16x 2 + 16y2 ⎟ = −8y2 ⇒ y' =
   ⎜
                  ⎞                               ⇒ y' =
   ⎝              ⎠                16⎛ x2 + y2 ⎞         2⎛ x2 + y2 ⎞
                                      ⎜         ⎟         ⎜         ⎟
                                      ⎝         ⎠         ⎝         ⎠




                                                                                                                                                                          56
E-mail: damasorojas8@gmail.com, damasorojas8@galeon.com, joeldama@yahoo.com
INSTITUTO UNIVERSITARIO DE TECNOLOGÍA
                                                          “JOSÉ ANTONIO ANZOÁTEGUI”
                                                           EL TIGRE-EDO-ANZOÁTEGUI
                                                              Cátedra: Matemática II
                                                        Especialidades: Mecánica - Química
                                                            Lic. MSc. DÁMASO ROJAS


                                                                                              ( )
                                                                                              y+
                                                                                                   1
                                                                                                   x                          y( x 2 − 1)
141) Demostrar que la derivada de y = Cxe                                                              es y ' =
                                                                                                                               x(1 − y )
        ⎡    ( )
             y+
                  1
                  x                        ( )⎛
                                           y+
                                                1
                                                           1         ⎞⎥
                                                                       ⎤                 ( )
                                                                                         y+
                                                                                              1
                                                                                                                     ( ) y+
                                                                                                                              1
                                                                                                                                    C                   ( )
                                                                                                                                                        y+
                                                                                                                                                             1

y ' = C ⎢e
                                                                                              x

        ⎢
                       + xe                     x
                                                    ⎜ y '− 2         ⎟ ⎥ ⇒ y ' = Ce                + Cxy ′e                   x
                                                                                                                                   − 2              e        x

                                                    ⎝     x          ⎠                                                              x
        ⎢
        ⎣                                                              ⎥
                                                                       ⎦
                                                                                                                ( )
                                                                                                                y+
                                                                                                                     1
                                                                                                                                           ( ) y+
                                                                                                                                                    1
                                                                                                                                                    x
                                                                                                   Cx   2
                                                                                                            e        x
                                                                                                                          − ce
    ⎡             ( )⎤y+
                           1
                           x                        ( ) y+
                                                             1
                                                                     C
                                                                              ( )
                                                                              y+
                                                                                   1
                                                                                   x
                                                                                                                         x2
y ' ⎢1 − Cxe         ⎥             = Ce                          −        e            ⇒ y' =
                                                             x

    ⎢
    ⎢
    ⎣
                                 ⎥
                                 ⎥
                                 ⎦
                                                                     x2                                 ⎡
                                                                                                        ⎢1 − Cxe
                                                                                                                                  ( )⎤
                                                                                                                                  y+
                                                                                                                                     ⎥
                                                                                                                                       1
                                                                                                                                       x

                                                                                                        ⎢                                      ⎥
                                                                                                        ⎣                                      ⎦
                               ⎛   1   ⎞               y        yx 2 − y
                               ⎜
                               ⎜y+
                                       ⎟
                                       ⎟          yx −
                               ⎜   x   ⎟
                                                       x → y' =      x              y( x 2 − 1)
pero y = Cxe
                               ⎝       ⎠
                                           ⇒ y' = 2                          ⇒ y' =
                                                 x [1 − y ]     x 2 [1 − y ]         x [1 − y ]


                                                                      5(1 − y )
142) Pruebe que si e − y 1 + x 2                    (            )
                                                                 5/2
                                                                       = cx 5 ( y − 1), entonces y ′ =
                                                                                .
                                                                     xy 1 + x 2                                                            (                 )
− y + ln (1+ x 2 ) = ln c + 5 ln x + ln ( y − 1) ⇒ − y ´ +
     5                                                      5x       y´
                                                                  =      ⇒
     2                                                     1+ x 2
                                                                    y −1
 yy´      −5                    5 (1 − y )
     =               ⇒ y´ =                  .
y − 1 x (1 + x )2
                               xy (1 + x 2 )



                                        Ctg(1/x)                                                                     3Ctg(1/x) Ln3
143) Demostrar que la derivada de y = 3          es y' =
                                                                                                                               ⎛1⎞
                                                                                                                     X 2 sen2 ⎜ ⎟
                                                                                                                               ⎝x⎠
                                     ⎛     ⎛ 1 ⎞⎞
y = 3 Ctg(1/x) ⇒ y' = 3 Ctg(1/x) Ln3 ⎜ Ctg ⎜ ⎟ ⎟
                                     ⎜          ⎟
                                     ⎝     ⎝ x ⎠⎠
                    ⎛         ⎛ 1 ⎞⎞ ⎛   1 ⎞
                                           ⎟ ⇒ y' = 3 Ctg(1/x) Ln3 ⇒ y' = 3
                                                                             Ctg(1/x)
                                                                                      Ln3
y' = 3 Ctg(1/x) Ln3 ⎜ − Csc 2 ⎜ ⎟ ⎟ ⎜ −
                    ⎜
                    ⎝         ⎝ x ⎠ ⎟ ⎜ x2 ⎟
                                    ⎠⎝     ⎠                              ⎛         ⎛ 1 ⎞⎞
                                                                                           2

                                                                          ⎜ Xsen ⎜ ⎟ ⎟
                                                                          ⎜              ⎟
                                                                          ⎝         ⎝ x ⎠⎠
     3 Ctg(1/x) Ln3
y' =
                ⎛1⎞
     X 2 sen 2 ⎜ ⎟
                ⎝x⎠


                                                                                                                                                                 57
E-mail: damasorojas8@gmail.com, damasorojas8@galeon.com, joeldama@yahoo.com
INSTITUTO UNIVERSITARIO DE TECNOLOGÍA
                                    “JOSÉ ANTONIO ANZOÁTEGUI”
                                     EL TIGRE-EDO-ANZOÁTEGUI
                                        Cátedra: Matemática II
                                  Especialidades: Mecánica - Química
                                      Lic. MSc. DÁMASO ROJAS


                                                                              x(m + n) − na
144) Demuestre que la derivada de y = m Lnx2 − a2 ) + mLn⎛ x − a⎞ es: y' =
                                          (              ⎜      ⎟
                                      2               2a ⎝ x + a⎠               x2 − a2

         2mx               n        ⎡(x + a) − (x − a )⎤
y' =                +               ⎢                  ⎥⇒
     2 ( x 2 − a 2 ) 2a ⎛ x − a ⎞ ⎢      (x + a)
                                                 2
                                                       ⎥
                        ⎜        ⎟⎣                    ⎦
                        ⎝x+a⎠
         2mx              n       ⎡ 2a ⎤
y' =                +
     2 ( x 2 − a 2 ) 2a ( x − a ) ⎢ x + a ⎥
                                  ⎣       ⎦


         mx       n            mx + n ( x − a )        x ( m + n ) − na
y' =          +         ⇒ y' =                  ⇒ y' =
       x2 − a2 (x + a )         (x2 − a2 )                 x2 − a2


                                   sen x           ⎛π x ⎞
145) Verifique que: si y =               − ln tg   ⎜ − ⎟ entonces y´ = 2 sec x.
                                                                            3

                                  cos2 x           ⎝ 4 2⎠
            1                 sen x
sec x =         ,    tg x =         ,    sen 2x = 2 sen x . cos x,
          cos x               cos x
sen (α − β ) = sen α . cos β − sen β . cosα            1 + tg2 x = sec2 x,

                                                              ⎛π x⎞
                                                         sec2 ⎜ − ⎟
                       ⎛π x⎞                                  ⎝4 2⎠
y = sec x tg x − ln tg ⎜ − ⎟ ⇒ y´= sec xtg2 x + sec3 x +
                       ⎝4 2⎠                                 ⎛π  x⎞
                                                         2tg ⎜ − ⎟
                                                             ⎝4 2⎠
                                      1
y ′ = sec x tg2 x + sec3 x +
                                ⎛π   x⎞    ⎛π    x⎞
                           2 sen⎜ − ⎟ cos⎜ − ⎟
                                ⎝4 2⎠      ⎝4 2⎠
                               1                                     1
y´= sec x tg2 x + sec3 x +            ⇒ y´= sec x.tg2 x + sec3 x +
                              ⎛π    ⎞                              cos x
                           sen⎜ − x ⎟
                              ⎝2    ⎠
                                                            (        )
y´= sec xtg2 x + sec3 x + sec x ⇒ y ′ = sec3 x + sec x 1 + tg2 x y ′ = sec3 x + sec x sec2 x
y´ = sec3 x + sec3 x ⇒ y ′ = 2 sec3 x




                                                                                          58
E-mail: damasorojas8@gmail.com, damasorojas8@galeon.com, joeldama@yahoo.com
INSTITUTO UNIVERSITARIO DE TECNOLOGÍA
                                                              “JOSÉ ANTONIO ANZOÁTEGUI”
                                                               EL TIGRE-EDO-ANZOÁTEGUI
                                                                  Cátedra: Matemática II
                                                            Especialidades: Mecánica - Química
                                                                Lic. MSc. DÁMASO ROJAS



146) Demuestre que y´ =
                                                                 1
                                                                        es la derivada de: y=2 2x +2 x+4+4 2ln
                                                                                                               2 2− x+4 x −2  (         )( )
                                                             2x − x + 4                                             x−4



                                                                                             2 2− x+4
x −4=      (       x +2      )(                 )
                                   x − 2 ⇒ y = 2 2x + 2 x + 4 + 4 2 ln
                                                                                               x+2


y = ⎡2 2x − 4 2 ln
    ⎣                               (                   )                              (
                                                x + 2 ⎤ + ⎡2 x + 4 + 4 2 ln 2 2 − x + 4 ⎤
                                                      ⎦ ⎣                               ⎦               )
       ⎡                                                     ⎤ ⎡                                            ⎤
       ⎢ 1       2                                           ⎥ ⎢ 1          2 2                             ⎥
y´ = 2 ⎢    −                                                  +     −
       ⎢
       ⎣
         2x   2x x + 2              (                    )
                                                             ⎥ ⎢ x+4
                                                             ⎥ ⎣
                                                             ⎦
                                                                       x+4 2 2− x+4   (                 )   ⎥
                                                                                                            ⎦


           2       ⎛     2 ⎞     1                                 ⎛        2 2    ⎞
y′ =               ⎜1 −      ⎟+                                    ⎜1 −
                                                                   ⎜               ⎟
           2x      ⎝    x + 2⎠  x+4                                ⎝    2 2 − x + 4⎟
                                                                                   ⎠


                   2 x                                            x+4                           2       1
y´ =                                        −                                       ⇒ y′ =        −
       2 2x         (       x +2    )               x+4 2 2−  (          x+4   )              x +2 2 2 − x + 4



y′ =
                   2    (    x −2       )           −
                                                                    (2   2+ x+4        )
       (       x +2         )(    x −2          ) (2              2 − x+4    ) (2    2+ x+4     )

y´ =
           2   (   x −2      )+2            2+ x + 4
                                                     ⇒ y′ =
                                                            2x + x + 4
                                                                       ⇒ y′ =
                                                                                                    (   2x + x + 4       )(       2x − x + 4   )
               x− 4                          x −4              x−4                                          ( x − 4) (   2x − x + 4     )
                            x −4                                         1
y′ =                                                    ⇒ y′ =
       ( x − 4) (           2x − x + 4              )              2x − x + 4



                                                                                                                                            59
E-mail: damasorojas8@gmail.com, damasorojas8@galeon.com, joeldama@yahoo.com
INSTITUTO UNIVERSITARIO DE TECNOLOGÍA
                                      “JOSÉ ANTONIO ANZOÁTEGUI”
                                       EL TIGRE-EDO-ANZOÁTEGUI
                                          Cátedra: Matemática II
                                    Especialidades: Mecánica - Química
                                        Lic. MSc. DÁMASO ROJAS

                                                                Senax
                                                                Cosbx       1 Sen3(ax )
147) Determine la primera derivada de y =3                              +
                                                                            3 Cos 3(bx )
                               ' ⎛
                                            (     '
                                                           )(                )(         '⎞
                                                                                           )(       )
         Sen ax
         Cos bx      ⎛ Senax ⎞ ⎜ ⎛ 1 ⎞ Sen 3 (ax ) Cos 3 (bx ) − Sen 3 (ax ) Cos 3 (bx ) ⎟
y ′ =3            Ln3⎜
                     ⎜ Cosbx ⎟ + ⎜ ⎜ 3 ⎟
                             ⎟
                     ⎝       ⎠ ⎜⎝ ⎠
                                 ⎝                                 (
                                                         Cos 3 (bx )
                                                                     2
                                                                                   )     ⎟
                                                                                         ⎟
                                                                                         ⎠
         Sen ax
         Cos bx      ⎡ (a(Cos(ax ))(Cos(bx ))+ b(Sen(ax ))(Sen(bx )))⎤
y ′ =3            Ln3⎢                                               ⎥ + (*)
                     ⎣                      (
                                        Cos 2 (bx )        )         ⎦
          (                         )                              (
   1 ⎡ 3aSen2 (ax )Cos (ax ) Cos 3 (bx )+ Sen3 (ax ) 3bCos 2 (bx )Sen(bx ) ⎤
(*) ⎢                                                                      ⎥
                                                                                                )
   3⎢⎣                            Cos 3 (bx )
                                              2
                                                (          )               ⎥
                                                                           ⎦
         Sen ax

y′= 3
         Cos bx
                  Ln3 ⎡ (aCos(ax )Cos(bx )+ bSen(ax )Sen(bx ))⎤ + (**)
                      ⎢
                      ⎣                 (
                                      Cos 2 (bx )      )      ⎥
                                                              ⎦
    1 ⎡ 3Sen2 (ax )Cos 2 (bx )[aCos(ax )Cos(bx )+ bSen(ax )Sen(bx )]⎤
(**) ⎢
    3⎣                                      (
                                  Cos 6 (bx )              )        ⎥
                                                                    ⎦
    ⎛                                         ⎞ Senax
    ⎜ (aCos(ax )Cos(bx )+ bSen( ax )Sen(bx )) ⎟ ⎛ Cos bx      Sen2 ax ⎟
                                                                       ⎞
y′= ⎜                                         ⎟⎜ 3       Ln3+
    ⎜             ⎛ Cos 2 (bx )⎞              ⎟⎜⎜             Cos 2 bx ⎟
                                                                       ⎟
    ⎜             ⎜            ⎟              ⎟⎝                       ⎠
    ⎝             ⎝            ⎠              ⎠


Nota: Los ejercicios resueltos anteriormente han sido tomados de textos, guías y
exámenes aplicados en el IUTJAA. Muchos de ellos son recopilaciones de mis
colegas y amigos Germán Narváez y Orlando Rodríguez profesores ya jubilados
en la institución, y otros resueltos por el autor.
Por favor a los lectores espero su valiosa colaboración, en la revisión de los
mismos y hacerme llegar las sugerencias y correcciones necesarias a las
direcciones electrónicas publicadas.
Gracias.
                                                    Dámaso Rojas
                                                    Octubre 2007




                                                                                                        60
E-mail: damasorojas8@gmail.com, damasorojas8@galeon.com, joeldama@yahoo.com

Derivadas teoria-ejercicios-resueltos

  • 1.
    INSTITUTO UNIVERSITARIO DETECNOLOGÍA “JOSÉ ANTONIO ANZOÁTEGUI” EL TIGRE-EDO-ANZOÁTEGUI Cátedra: Matemática II Especialidades: Mecánica - Química Lic. MSc. DÁMASO ROJAS DEFINICIÓN DE LA DERIVADA. INTERPRETACIÓN GEOMÉTRICA Sea P un punto fijo de la curva y sea Q un punto móvil de esa curva, próximo a P. Considérese la recta que pasa por P y Q, llamada secante. La recta tangente en P es la posición límite (si existe) de la secante, cuando Q se mueve hacia P a lo largo de la curva. Sea ƒ una función definida en un intervalo abierto que contiene al número a. En la figura 1.1 se ilustran la gráfica de ƒ y una recta secante lpq que pasa por P ( a , ƒ ( a ) ) y Q( x, ƒ( x )). La recta de trazo punteado l representa una posible recta tangente en el punto P. lPQ l Q Y P a x X La pendiente m de l se define como el valor de límite de la pendiente de lPQ f ( x) − f (a) cuando Q tiende a P. Así por la definición tenemos: m = lím x→0 x−a siempre y cuando el límite exista. Si se introduce una nueva variable h tal que x = a + h (es decir, h = x - a), como se ilustra en la figura 1.2. l lPQ Y Q P a a+h X ( fig. 1.2 ) se obtiene la siguiente fórmula para la pendiente m = Lím f a h f a , que es ( + )− ( ) h →0 h equivalente a la anterior. El límite anterior es uno de los conceptos fundamentales del cálculo y se llama derivada de la función ƒ en a. 1 E-mail: damasorojas8@gmail.com, damasorojas8@galeon.com, joeldama@yahoo.com
  • 2.
    INSTITUTO UNIVERSITARIO DETECNOLOGÍA “JOSÉ ANTONIO ANZOÁTEGUI” EL TIGRE-EDO-ANZOÁTEGUI Cátedra: Matemática II Especialidades: Mecánica - Química Lic. MSc. DÁMASO ROJAS Definición 1. Sea ƒ una función definida en un intervalo abierto que contiene a a. La derivada de ƒ en a, denotada por ƒ’(a), está dada por f ( a + h) − f ( a) , si este límite existe. f ′( a) = Lím h→0 h Si este límite existe, decimos que ƒ es diferenciable en a. Encontrar la derivada se llama derivación; la parte de cálculo asociada con la derivada se llama cálculo diferencial. La diferenciabilidad implica continuidad. Si una curva tiene tangente en un punto, la curva no puede dar un salto en ese punto. La formulación precisa de este hecho es un teorema importante. Teorema 1. Si existe ƒ’(a), entonces ƒ es continua en a. Una función ƒ es derivable en un intervalo abierto (a,b) si lo es en todos los números c de (a,b). También se considerarán funciones que son derivables en un intervalo infinito (- ∞ , a), (a,∞) o bien (- ∞ , ∞). Para intervalos cerrados usaremos la siguiente definición. Definición 2. Una función ƒ es derivable en un intervalo cerrado [a , b], si f (a + h ) − f (a ) f (a + h) − f (a ) lo es en el intervalo (a , b) y los límites lí m lím h→ 0 + h − h→0 h existen. Los límites por la derecha y por la izquierda en la definición anterior, se llaman derivada por la derecha y derivada por la izquierda de ƒ en a y b, respectivamente. La derivada de una función en intervalos de la forma [a, b), [a,∞), (a ,b] o bien (- ∞ , b] se define usando los límites por la derecha o por la izquierda en uno de los puntos extremos. Si ƒ está definida en un intervalo abierto que contiene a a, entonces ƒ ’(a) existe si y sólo si las derivadas por la derecha y por la izquierda en a existen y son iguales. El inverso del teorema 1. Es falso. Si una función ƒ es continua en c, no se sigue que ƒ tenga derivada en c. Esto se ve con facilidad examinando la función ƒ (x)=| x | en el origen. Esta función, por cierto, es continua en cero, pero no tiene derivada ahí. (Demostración a cargo del lector) El argumento recién presentado demuestra que en cualquier punto en el que la gráfica de ƒ tiene un pico o presenta una esquina aguda, es continua, pero no diferenciable. Suponiendo que la función ƒ es derivable en a, se puede enunciar la siguiente definición. Definición 3. Recta tangente: La pendiente de la recta tangente a la gráfica de ƒ en el punto (a, ƒ(a)) es ƒ’(a ). 2 E-mail: damasorojas8@gmail.com, damasorojas8@galeon.com, joeldama@yahoo.com
  • 3.
    INSTITUTO UNIVERSITARIO DETECNOLOGÍA “JOSÉ ANTONIO ANZOÁTEGUI” EL TIGRE-EDO-ANZOÁTEGUI Cátedra: Matemática II Especialidades: Mecánica - Química Lic. MSc. DÁMASO ROJAS Derivada como una función Si ƒ es derivable para todo x en un intervalo entonces, asociando a cada x el número ƒ’(x), se obtiene una función ƒ’ llamada derivada de f. El valor de ƒ’, en x está dado por el siguiente límite. f ′ = lím f(x + h) − f(x), (Límite (x) h h→0 unilateral), nótese que el número x es fijo, pero arbitrario y el límite se toma haciendo tender h a cero. Derivar ƒ(x) o encontrar la derivada de ƒ(x) significa determinar ƒ’(x). En los siguientes ejercicios se determinará la primera derivada por definición, o la pendiente de la recta tangente a la curva en un punto dado. Ejercicios Resueltos: 1) y = 5 x → f(x) = 5 x f(x + Δx) − f(x) f ′(x) = Lím → Aplicando la ecuación Δx → 0 Δx f ′(x) = Lím 5 ( ) x + Δx −5 x Δx → 0 Δx 5 ⎡ x + Δx − x ⎤ ⎦ = f ′(x) = 0 IND f ′(x) = Lím ⎣ Δx → 0 Δx 0 5 ⎡ x + Δx − x ⎤ ⎡ x + Δx + x ⎤ f ′(x) = Lím ⎣ ⎦ .⎣ ⎦ Δx → 0 Δx ⎡ x + Δx + x ⎤ ⎣ ⎦ 5 (x + Δx − x) 5 Δx f ′(x) = Lím = Δx → 0 Δx ⎡ x + Δx + x ⎤ ⎣ ⎦ Δx ⎡ x + Δx + ⎣ x⎤ ⎦ 1 5 f ′(x) = 5 Lím = f ′(x) = Δx → 0 x + Δx + x 2 x 3 E-mail: damasorojas8@gmail.com, damasorojas8@galeon.com, joeldama@yahoo.com
  • 4.
    INSTITUTO UNIVERSITARIO DETECNOLOGÍA “JOSÉ ANTONIO ANZOÁTEGUI” EL TIGRE-EDO-ANZOÁTEGUI Cátedra: Matemática II Especialidades: Mecánica - Química Lic. MSc. DÁMASO ROJAS 1 1 − 1 x + Δx − 3 x −3 0 2) f(x) = ⇒ f ′(x) = Lím = ind x −3 Δx → 0 Δx 0 x −3 − x + Δx − 3 x + Δx − 3 x − 3 x −3 − x + Δx − 3 f ′(x) = Lím Δx → 0 Δx = Lím Δx → 0 Δx [ x + Δx − 3 x −3 ] 1 Aplicando conjugada : ( x −3 − x + Δx − 3 ) ⎡ x − 3 + x + Δx − 3 ⎤ f ′(x) = Lím Δx → 0 Δx [ ⎢ ] x + Δx − 3 x − 3 ⎢ x − 3 + ⎣ ⎥ x + Δx − 3 ⎥ ⎦ x − 3 − x − Δx + 3 f ′(x) = Lím Δx → 0 [ Δx (x − 3 ) x + Δx − 3 + (x + Δx − 3 ) x − 3 ] 1 f ′(x) = (x − 3 ) (x − 3 ) + (x − 3 ) (x − 3 ) 1 1 f ′(x) = ⇒ f ′(x) = ( x − 3 )3 + ( x − 3 )3 2 (x − 3) 3 3 x +Δx−2 − 3 x−2 0 3) f(x) = 3 x−2 f′(x) = Lím = ind Δx→0 Δx 0 a3 − b3 = (a −b) (a2+ab+b2) Identidad Donde: a = 3( x+Δx−2) ; b = 3 x−2 ⎡3( x +Δx−2) − 3 x−2⎤ ⎡3( x + Δx − 2)2 + 3( x + Δx − 2) 3 x − 2 + 3( x − 2)2⎤ ⎢ ⎣ ⎥⎢ ⎦⎣ ⎥ ⎦ f′(x) = Lím Δx→0 ⎡ ⎤ Δx⎢3( x + Δx − 2)2 + 3( x + Δx − 2) 3 x − 2 + 3( x − 2)2⎥ ⎢ ⎣ ⎥ ⎦ 3(( x + Δx − 2))3 − 3( x − 2)3 f′(x) = Lím Δx→ ⎡ ⎤ Δx⎢3( x + Δx − 2)2 + 3( x + Δx − 2) 3 x − 2 + 3( x − 2)2⎥ 0 ⎣ ⎦ 4 E-mail: damasorojas8@gmail.com, damasorojas8@galeon.com, joeldama@yahoo.com
  • 5.
    INSTITUTO UNIVERSITARIO DETECNOLOGÍA “JOSÉ ANTONIO ANZOÁTEGUI” EL TIGRE-EDO-ANZOÁTEGUI Cátedra: Matemática II Especialidades: Mecánica - Química Lic. MSc. DÁMASO ROJAS x + Δx − 2 − x + 2 f ′(x) = Lím Δx → 0 ⎡ 3 x − 2 + 3 ( x − 2 )2 ⎤ Δx ⎢3 ( x + Δx − 2 )2 + 3 ( x + Δx − 2 ) ⎥ ⎣ ⎦ 1 f ′(x) = Lím ⎡3 Δx → 0 2 3 ( x + Δx − 2 ) 3 x − 2 + 3 ( x − 2 )2 ⎤ ⎢ ( x + Δx − 2 ) + ⎥ ⎣ ⎦ 1 1 f ′(x) = ⇒ f ′(x) = 3 ( x − 2 ) 2 + 3 ( x − 2 ) 2 + 3 ( x − 2 )2 33 ( x − 2 )2 1 1 − x x 1 x + Δx x 0 4) f(x) = → f(x) = → f(x) = ⇒ f ′(x) = Lím = ind Δx 0 x3 x x x Δx → 0 x− x + Δx x x + Δx ( x− x + Δx ) ⎡ x + x + Δx ⎤ f ′(x) = Lím Δx → 0 Δx ⇒ f ′(x) = Lím Δx → 0 Δx [ x + Δx x ⎢ ⎢ ⎣ ] x + ⎥ x + Δx ⎥ ⎦ x − x − Δx 1 f ′(x) = Lím Δx → 0 Δx x [ x + Δx + (x + Δx ) x ] ⇒ f ′(x) = Lím Δx → 0 x x + Δx + (x + Δx) x 1 1 1 f ′(x) = ⇒ f ′(x) = ⇒ f ′(x) = x x +x x x3 + x3 2 x3 5) F(x) = x + 5 x + Δx + 5 − x + 5 0 y´= Lím = Ind Δx → 0 Δx 0 ⎡ x + Δx + 5 − x + 5 ⎤ ⎡ x + Δx + 5 + x + 5 ⎤ y´ = Lím ⎢ ⎥⎢ ⎥ Δx → 0 ⎢ ⎣ Δx ⎥ ⎢ x + Δx + 5 + x + 5 ⎥ ⎦⎣ ⎦ (x + Δx + 5 ) − (x + 5 ) ⇒ y´= Lím x + Δx + 5 − x + 5 y´ = Lím Δx → 0 [ Δx x + Δx + 5 + x + 5 Δx → 0 ] Δx x + Δx + 5 + x + 5 [ ] 1 1 y´= Lím ⇒ y´ = Δx → 0 x + Δx + 5 + x + 5 2 x+5 5 E-mail: damasorojas8@gmail.com, damasorojas8@galeon.com, joeldama@yahoo.com
  • 6.
    INSTITUTO UNIVERSITARIO DETECNOLOGÍA “JOSÉ ANTONIO ANZOÁTEGUI” EL TIGRE-EDO-ANZOÁTEGUI Cátedra: Matemática II Especialidades: Mecánica - Química Lic. MSc. DÁMASO ROJAS 1 1 − 1 3 (x + Δ x ) 3x 0 6)f (x) = ⇒ f´(x) = Lím = IND 3x Δx → 0 Δx 0 3x − 3 (x + Δ x ) 3 (x + Δ x ) 3x 3x − 3 (x + Δ x ) f´(x) = Lím Δx → 0 Δx ⇒ f´(x) = Lím Δx → 0 Δx [ 3 (x + Δ x ) 3x ] 1 [ 3x − 3 (x + Δ x ) ⎡ 3x ] + 3 (x + Δ x ) ⎤ f´(x) = Lím Δx → 0 Δx [ 3 (x + Δ x ) ⎢ 3x ⎢ 3x ⎣ ] + ⎥ 3 (x + Δ x ) ⎥ ⎦ 3x − 3x − 3 Δ x f´(x) = Lím Δx → 0 Δx [ 3 (x + Δ x ) (3x ) 3x 3 (x + Δ x ) ] − 3 f´(x) = Lím Δx → 0 [ 3 (x + Δ x ) (3x ) 3x 3 (x + Δ x ) ] − 3 − 3 − 3 f´(x) = Lím Δx → 0 3x (3x ) + 3x (3x ) ⇒ f´(x) = 2 [ 3x (3x ) ] ⇒ f´(x) = 2 27 x 3 2x − 3 7) f(x) = 3x + 4 f´(x) = Lím ( 2x + 2Δx − 3) − ( 2x − 3) = 0 Ind Δx → 0 ( 3x + 3Δx + 4 ) ( 3x + 4) 0 f´(x) = Lím ( 3x + 4 ) [ 2x + 2 Δ x − 3 ] − ( 3x + 3 Δ x + 4 ) ( 2x − 3) Δx → 0 ( 3x + 3 Δ x + 4 ) ( 3x + 4 ) 6x 2 + 6xΔx − 9x + 8x + 8 Δ x − 12 − 6x 2 + 9x − 6xΔx + 9 Δ x − 8x + 12 f´(x) = Lím Δx → 0 ( 3x + 3 Δ x + 4 ) ( 3x + 4 ) Ordenando: 6x 2 + 6xΔx − 9x + 8x + 8 Δ x − 12 − 6x 2 + 9x − 6xΔx + 9 Δ x − 8x + 12 f´(x) = Lím Δx → 0 Δx ⎡ ( 3x + 3 Δ x + 4 ) ( 3x + 4 ) ⎤ ⎣ ⎦ 17 Δx 17 f´(x) = Lím ⇒ f´(x) = Δx → 0 Δx ⎡ ( 3x + 3 Δ x + 4 ) ( 3x + 4 ) ⎤ ⎣ ⎦ ( 3x + 4 ) 2 6 E-mail: damasorojas8@gmail.com, damasorojas8@galeon.com, joeldama@yahoo.com
  • 7.
    INSTITUTO UNIVERSITARIO DETECNOLOGÍA “JOSÉ ANTONIO ANZOÁTEGUI” EL TIGRE-EDO-ANZOÁTEGUI Cátedra: Matemática II Especialidades: Mecánica - Química Lic. MSc. DÁMASO ROJAS 1 ⎛ 1 1 ⎞ 0 8) F(x) = + x ⇒ F´(x) = Lím ⎜ + x + Δx − − x⎟ = ⎟ 0 x Δx → 0 ⎜ x + Δx x ⎝ ⎠ x + (x + Δx ) x − (x + Δx ) − x 2 (x + Δx ) 2 F´(x) = Lím Δx → 0 (x + Δx ) F´(x) = Lím ( ) x + x 2 + 2x Δx + Δx 2 x − x − Δx − x 3 − x 2 Δx Δx → 0 (x + Δx ) x x + x 3 2x 2 Δx + x Δ x 2 − x − Δx − x 3 − x 2 Δx F´(x) = Lím Δx → 0 (x + Δx ) x Δx ⎡ x 2 + xΔ − 1⎤ x 2 Δx + x Δ x 2 − Δx ⎢ ⎣ ⎥ ⎦ F´(x) = Lím ⇒ F´(x) = Lím Δx → 0 Δx [x (x + Δx )] Δx → 0 Δx [x (x + Δx )] x2 − 1 1 F´(x) = ⇒ F´(x) = 1 − 2 x2 x f(x + Δx) − f(x) 9) f(x) = Sen x f ′(x) = Lím Δx → 0 Δx Sen (x + Δx) − Sen x 0 f ′(x) = Lím = ind Δx → 0 Δx 0 f ′(x) = Lím (Sen x Cos Δx + Cos x Sen x )− Sen x Δx → 0 Δx Cos x Sen Δx + Sen x Cos Δx − Sen x f ′(x) = Lím Δx → 0 Δx f ′(x) = Lím (Cos x Sen Δx )+ Sen x [Cos Δx − 1 ] Δx → 0 Δx Cos x Sen Δx Sen x [Cos Δx −1 ] f ′(x) = Lím + Lím Δx → 0 Δx Δx → 0 Δx f ′(x) = Cos x Lím Sen Δx + Sen x Lím [Cos Δx −1] Δx → 0 Δx Δx → 0 Δx Pero conocemos : Lím Sen Δx =1 ; Lím [1 − Cos Δx ]= 0 Δx Δx → 0 Δx → 0 Δx f ′(x) = Cos x Lím Sen Δx − Sen x Lím [1 − Cos Δx ] Δx → 0 Δx Δx → 0 Δx f ′( x ) = Cos x 7 E-mail: damasorojas8@gmail.com, damasorojas8@galeon.com, joeldama@yahoo.com
  • 8.
    INSTITUTO UNIVERSITARIO DETECNOLOGÍA “JOSÉ ANTONIO ANZOÁTEGUI” EL TIGRE-EDO-ANZOÁTEGUI Cátedra: Matemática II Especialidades: Mecánica - Química Lic. MSc. DÁMASO ROJAS 10) f(x) = Cosx f(x + Δx) − f(x) f ′(x) = Lím Δx→0 Δx Cos(x +Δx) − Cosx 0 f ′(x) = Lím = ind Δx→0 Δx 0 CosxCos(Δx) − SenxSen(Δx) − Cosx CosxCos(Δx) − Cosx −SenxSen(Δx) f ′(x) = Lím ⇒f′(x) = Lím Δx→0 Δx Δx→0 Δx Cosx [Cos(Δx) − 1] − Senx Sen(Δx) Cosx [ Cos(Δx) − 1] Senx Sen(Δx) f ′(x) = Lím ⇒f′(x) = Lím − Lím Δx→0 Δx Δx→0 Δx Δx→0 Δx f ′(x) =CosxLím [Cos(Δx)− 1] − SenxLím Sen(Δx) Δx→0 Δx Δx→0 Δx f ′(x) =−CosxLím [1 − Cosx] − SenxLím Sen(Δx) Δx→0 Δx Δx→0 Δx Conociendo: Lím [1 − Cosx] = 0 ; Lím Sen(Δx) = 1⇒f′(x) = − Senx Δx→0 Δx Δx→0 Δx Nota : Lím Sen x = 0 Lím Cos x = 1 Δx → 0 Δx → 0 11) f(x) = tg x tg(x + Δ x) − tg (x) 0 f ′ (x) = Lím = ind Δx → 0 Δx 0 tg a + tg b U tilizando la identidad: tg(a + b) = 1 − tg a tg b tg x + tg Δ x − tg(x) 1 − tg x tg Δ x f ′ (x) = Lím Δx → 0 Δx 8 E-mail: damasorojas8@gmail.com, damasorojas8@galeon.com, joeldama@yahoo.com
  • 9.
    INSTITUTO UNIVERSITARIO DETECNOLOGÍA “JOSÉ ANTONIO ANZOÁTEGUI” EL TIGRE-EDO-ANZOÁTEGUI Cátedra: Matemática II Especialidades: Mecánica - Química Lic. MSc. DÁMASO ROJAS (tgx + tg(Δx)) − tgx[1 − tgx tg(Δx)] f ′(x) = Lím (1 − tgx tg(Δx)) Δx→0 Δx tg(Δx) ⎡1 − tg x⎤ 2 2 ⎢ ⎥ / + tg(Δx) − / + tg x tg(Δx) tgx tgx ⎣ ⎦ f ′(x) = Lím ⇒ f ′(x) = Lím Δx→0 Δx[1 − tgx tg(Δx)] Δx→0 Δx[1 − tgx tg(Δx)] tg(Δx) tg(Δx) 1 f ′(x) = ⎡1 − tg x⎤ Lím ⇒ f ′(x) = ⎡1 − tg x⎤ Lím 2 2 ⎢ Lím ⎥ Δx→0 Δx Δx→0 1 − tgx tg(Δx) ⎢ ⎣ ⎥ Δx→0 Δx[1 − tgx tg(Δx)] ⎦ ⎣ ⎦ Sen(Δx) Cos(Δx) Sen(Δx) f ′(x) = ⎡1 − tg x⎤ Lím ⇒ f ′(x) = ⎡1 − tg x⎤ Lím 2 2 ⎢ ⎣ ⎥ ⎦ Δx→0 Δx ⎢ ⎣ ⎥ Δx→0 ΔxCos(Δx) ⎦ Sen(Δx) 1 f ′(x) = ⎡1 − tg x⎤ Lím 2 ⎢ Lím ⎥ Δx→0 Δx Δx→0 CosΔx ⇒ f ′(x) = 1 − tg 2 x ⎣ ⎦ Sec 2 x = 1 − tg 2 x ⇒ f ′(x) = Sec 2 x f(x + Δx) − f(x) 12) f(x) = e x f ′(x) = Lím Δx → 0 Δx e − ex x + Δx 0 e e −e x Δx x f ′(x) = Lím = ind ⇒ f ′(x) = Lím Δx → 0 Δx 0 Δx → 0 Δx e Δx −1 a Δx −1 f ′(x) = e x Lím Pero : Lím = 1 ⇒ f ′(x) = e x Δx → 0 Δx Δx → 0 Δx 9 E-mail: damasorojas8@gmail.com, damasorojas8@galeon.com, joeldama@yahoo.com
  • 10.
    INSTITUTO UNIVERSITARIO DETECNOLOGÍA “JOSÉ ANTONIO ANZOÁTEGUI” EL TIGRE-EDO-ANZOÁTEGUI Cátedra: Matemática II Especialidades: Mecánica - Química Lic. MSc. DÁMASO ROJAS Log a (x + Δx) − Log a x 0 13) f ( x) = Loga x ⇒ f ′(x) = Lím = ind Δx →0 Δx 0 1 ⎡ ⎡ (x + Δx) ⎤ ⎤ f ′(x) = Lím ⎢Log a ⎢ ⎥⎥ Δx →0 Δx ⎣ ⎣ x ⎦⎦ 1 ⎡ Δx ⎤ f ′(x) = Lím Loga ⎢1 + x>0 Δx →0 Δx ⎣ x ⎥⎦ 1 f ′(x) = Loga Lím ⎡1 + ⎤ Δx Δx Δx Cambio t = → Δx = tx Δx = 0 → t=0 Δx →0 ⎣ x ⎦ x ((1 + t ) ) 1 f ′(x) = Loga Lím [1 + t ] 1 1 x tx → f ′(x) = Loga Lím t t →0 t →0 1 1 1 f ′(x) = Loga Lím (1 + t ) t ⇒ f ′(x) = Loga Lím (1 + t ) t 1 t →0 x x t →0 1 1 Pero Lím (1 + t ) t = e ⇒ f ′(x) = Loga e t →0 x 14) y = Ln ax f(x) = Ln ax ⎡ a(x + Δx) ⎤ Ln ⎢ ⎥ Ln a(x + Δx) − Ln ax ⎣ ax ⎦ f ′(x) = Lím ⇒ f ′(x) = Lím Δx → 0 Δx Δx → 0 Δx ⎡ (x + Δx) ⎤ ⎡ Δx ⎤ Ln ⎢ ⎥ Ln ⎢1 + ⎣ x ⎦ ⇒ f ′( x) = Lím ⎣ x ⎥⎦ f ′(x) = Lím Δx → 0 Δx Δx → 0 Δx ( ) ⎡ 1 ⎤ 1 ⎡ Δx ⎤ ⎢ Ln 1 + Δx Δx ⎥ f ′( x ) = Lím Ln (1 + ) ⎥ ⇒ f ′( x ) = Lím Δx → 0 Δx ⎢ Δx → 0 ⎢ ⎥ ⎣ x ⎦ x ⎣ ⎦ Δx Cambio t = ⇒ Δx = tx ⇒ Δx → 0 t → 0 x 1 1 1 1 1 ( ) ( f ′(x) = Lím Ln 1 + t tx ⇒ f ′(x) = Lím Ln 1 + t t ⇒ f ′(x) = Ln Lím t →0 t →0 x ) x t →0 (1 + t ) t 1 1 1 t →0 ( ) Pero Lím 1 + t t = e ⇒ f ′( x) = Ln e x → f ′( x) = x 10 E-mail: damasorojas8@gmail.com, damasorojas8@galeon.com, joeldama@yahoo.com
  • 11.
    INSTITUTO UNIVERSITARIO DETECNOLOGÍA “JOSÉ ANTONIO ANZOÁTEGUI” EL TIGRE-EDO-ANZOÁTEGUI Cátedra: Matemática II Especialidades: Mecánica - Química Lic. MSc. DÁMASO ROJAS Ejercicios de aplicación de la definición de la Derivada. 1.- Determinar una ecuación de la recta tangente a la curva y = 2 x 2 + 3 en el punto (-1,5). mtg = Lím f ( x + Δx ) − f(x) ,en ese punto m(x ) = Lím 1 ( f x + Δx − f(x ) 1 ) Δx→0 Δx 1 Δx→0 Δx m(x ) = Lím ( 2 x + Δx 1 ) 2 ( + 3 − 2x 2 + 3 1 ) ⇒ m(x ) = Lím 1 2x 2 + 4x Δx + 2Δx2 + 3 − 2x 2 − 3 1 / 1 / 1 Δx→0 Δx 1 Δx→0 Δx 4x Δx + 2Δx2 Δx ⎡ 4x + 2Δx⎤ m(x ) = Lím 1 ⇒ m(x ) = Lím ⎣ 1 ⎦ ⇒ m(x ) = 4x 1 Δx→0 Δx 1 Δx→0 Δx 1 1 sust. el valor de x en la m(x ) ⇒ m(x ) = 4x ⇒ m( − 1) = 4( − 1) ⇒ m = − 4 1 1 1 1 utilizando la ecuación punto − pendiente de la recta y − y = m(x − x ) → y − 5 = − 4(x + 1) ⇒ Recta tg :4x + y − 1 = 0 1 1 2x 2.- Dada la función y = calcular la ecuación de al recta tangente x −1 y la ecuación de la recta normal a la curva en el punto (-1,1). 2( x + Δx ) 2x − x + Δx −1 x− 1 0 m( x )=Lím = ind 1 Δx → 0 Δx 0 2( x + Δ x ) 2x 2( x + Δ x ) 2x 2( x + Δ x ) 2 x − + − x + Δx −1 x− 1 x + Δx −1 x− 1 x + Δ x −1 x − 1 m( x )=Lím ⇒ m( x )=Lím 1 Δx → 0 Δx 2( x + Δ x ) 2x 1 Δx → 0 ⎡ 2( x + Δ x ) 2x ⎤ + Δx ⎢ + ⎥ x + Δx −1 x− 1 ⎣ x + Δ x −1 x− 1 ⎦ 11 E-mail: damasorojas8@gmail.com, damasorojas8@galeon.com, joeldama@yahoo.com
  • 12.
    INSTITUTO UNIVERSITARIO DETECNOLOGÍA “JOSÉ ANTONIO ANZOÁTEGUI” EL TIGRE-EDO-ANZOÁTEGUI Cátedra: Matemática II Especialidades: Mecánica - Química Lic. MSc. DÁMASO ROJAS 2(x + Δx)(x −1) − 2x(x + Δx −1) 2x2 − 2x + 2xΔx − 2ΔΔ− 2x2 −2xΔx + 2x m(x1) = Lím (x + Δx −1)(x −1) ⇒ m(x1 ) = Lím (x + Δx −1)(x −1) Δx →0 ⎡ 2(x + Δx) 2x ⎤ Δx →0 ⎡ 2(x + Δx) 2x ⎤ Δx⎢ + ⎥ Δx⎢ + ⎥ ⎢ x + Δx −1 ⎣ x− 1⎦ ⎥ ⎢ x + Δx −1 ⎣ x− 1⎥ ⎦ − 2ΔΔ (x + Δx −1)(x −1) // − 2Δx m(x ) = Lím ⇒ m(x ) = Lím 1 Δx →0 ⎡ 2(x + Δx) 2x ⎤ 1 Δx →0 ⎡ 2(x + Δx) 2x ⎤ Δx⎢ + ⎥ / Δx(x + Δx −1)(x −1)⎢ + ⎥ ⎢ x + Δx −1 ⎣ x− 1⎥ ⎦ ⎢ x + Δx −1 ⎣ x− 1⎥ ⎦ −2 m(x ) = Lím 1 Δx →0 ⎡ 2(x + Δx) 2x ⎤ (x + Δx −1)(x −1)⎢ + ⎥ ⎢ x + Δx −1 ⎣ x− 1⎥ ⎦ −2 −2 m(x ) = Lím ⇒ m(x ) = Lím 1 Δx →0 2 ⎡ 2x 2x ⎤ 1 Δx →0 2x 2 ( x−1) ⎢ x − 1 + x − 1 ⎥ 2 x− 1 ( x−1) ⎢ ⎣ ⎥ ⎦ −1 −1 −1 −1 −1 m(x ) = ⇒ m(x ) = ⇒m(−1) = m(−1) = → m(−1) = 1 4 1 3 − 2(−8) 16 4 2x( x−1) (2x) ( x −1) x− 1 Para la recta tangente : y −y1 = m(x − x1 ) Punto (−1,1) 1 −1 y −1 = − (x +1) ⇒ 4y − y = − x −1 ⇒ x + 4y − 3 = 0 Nota : mn = 4 mtg −1 −1 Para R.N : y − y1 = (x − x1 ) ⇒ y −1 = (x +1) ⇒ y −1 = 4(x +1) ⇒4x − y + 5 = 0 (R.N.) mt ⎛ − 1⎞ ⎜ ⎟ ⎝ 4 ⎠ 3.- Calcule la “pendiente media” de al curva y = 2x en el intervalo (1, 5) y =2x Punto [1, 5 ] f(x + Δx) − f(x) f(x + Δx) − f(x) m = → m = n Δx n x −x 2 1 x +Δx 1+ 4 2 −2 x 2 + 21 25 +2 15 m = ⇒ m = ⇒ m = ⇒ m = n x −x n 4 n 4 n 2 2 1 12 E-mail: damasorojas8@gmail.com, damasorojas8@galeon.com, joeldama@yahoo.com
  • 13.
    INSTITUTO UNIVERSITARIO DETECNOLOGÍA “JOSÉ ANTONIO ANZOÁTEGUI” EL TIGRE-EDO-ANZOÁTEGUI Cátedra: Matemática II Especialidades: Mecánica - Química Lic. MSc. DÁMASO ROJAS 1 4.- Determine la ecuación de la recta tangente a la curva y = en el punto 5x − 2 1 (1 , ) 3 1 1 − f ( x + Δx ) − f ( x ) 5( x + Δx ) − 2 5 x − 2 0 m = Lím ⇒ m( x ) = Lím = ind tg Δx →0 Δx 1 Δx → 0 Δx 0 (5x − 2)− [5(x + Δx )− 2] 5x − 2 − 5x − 5Δx + 2 m(x 1 ) = Lím [5(x + Δx )− 2 ](5x − 2) ⇒ m(x ) = Lím [5(x + Δx )− 2 ](5x − 2) Δx → 0 Δx 1 Δx →0 Δx − 5Δx −5 −5 −5 m(x ) = Lím ⇒ m(x ) = Lím ⇒ m(1) = ⇒m = 1 Δx →0 Δx[5(x + Δx )− 2 ](5x − 2 ) 1 Δx →0 (5x − 2)(5x − 2) 9 9 1 −5 Ahora la R.tag : y − y = m = ( x − x ) → y − = ( x −1) 1 tg 1 3 9 9 (3y −1) = − 15( x −1) → 27 y − 9 = − 15 x +15 ⇒ 15 x + 27 y − 24 = 0 ⇒ 5 x + 9 y − 8 = 0 5.- Determine una ecuación para cada una de las rectas normales a la curva y = x 3 − 4 x que sean paralelas a la recta x + 8 y − 8 = 0 ( x + Δx)3 − 4(x + Δx) − x3 + 4x 0 Calculamos mtg ⇒ m(x ) = Lím = ind 1 Δx→0 Δx 0 x3 + 3x2Δx + 3x Δx2 + Δx3 − 4x − 4Δx − x3 + 4x m(x1) = Lím Δx→0 Δx Δx ⎡3x2 + 3xΔx + Δx2 − 4⎤ / 3x2Δx + 3xΔx2 + Δx3 − 4Δx ⎢ ⎥ m(x ) = Lím ⇒ m(x ) = Lím ⎣ ⎦ 1 Δx→0 Δx 1 Δx→0 // Δx m(x ) = Lím3x2 + 3xΔx + Δx2 − 4 ⇒ m(x ) = 3x2 − 4 1 Δx→0 1 −1 −1 m = ⇒m = ( mRN) n m(x) n 2 −4 3x 13 E-mail: damasorojas8@gmail.com, damasorojas8@galeon.com, joeldama@yahoo.com
  • 14.
    INSTITUTO UNIVERSITARIO DETECNOLOGÍA “JOSÉ ANTONIO ANZOÁTEGUI” EL TIGRE-EDO-ANZOÁTEGUI Cátedra: Matemática II Especialidades: Mecánica - Química Lic. MSc. DÁMASO ROJAS Como las rectas buscadas son paralelas a la recta dada igualamos las pendientes −x + 8 −1 x + 8y − 8 = 0 ⇒ y= ⇒m = 8 8 −1 −1 = ⇒ − 3x 2 + 4 = − 8 ⇒ − 3x 2 + 12 = 0 ⇒ x 2 = 4 ⇒ x = + 2 8 3x 2 − 4 − sustituir en la ec. de la curva para calcular los valores de y: y = x 3 − 4x → x=2 ⇒ Punto (2,0); x = − 2 ⇒ Punto ( − 2,0) −1 −1 Para L1 : Punto (2,0); m = ⇒ y − 0 = ( x − 2) ⇒ x + 8y − 2 = 0 8 8 −1 −1 Para L2 : Punto (−2,0); m = ⇒ y − 0 = ( x + 2) ⇒ x + 8y + 2 = 0 8 8 6.- Encontrar una ecuación para cada una de las rectas tangentes a la curva 3 y = x 3 − 3 x 2 + 6 x + 4 que sean paralelas a la recta 12 x − 7 y + 2 = 0 ⎡( x + Δx)3 4⎤ x3 2 4 − ( x + Δx) + 2( x + Δx) + ⎥ − + x − 2x − 2 ⎢ x3 4 ⎢ 3 3⎥ 3 3 0 f(x) = − x2 + 2x + ⇒f′(x) = Lím⎣ ⎦ = Ind 3 3 Δx→0 Δx 0 (x3 + 3x2 Δx + 3xΔx2 + Δx3) x3 − ( x2 + 2xΔx + Δx2 ) + 2x + 2Δx − + x2 − 2x f′(x) = Lím 3 3 Δx→0 Δx x3 2 Δx3 2 x3 + x Δx + xΔx2 + −x − 2xΔx − Δx2 + 2x + 2Δx − + x2 − 2x f′(x) = Lím 3 3 3 Δx→0 Δx 14 E-mail: damasorojas8@gmail.com, damasorojas8@galeon.com, joeldama@yahoo.com
  • 15.
    INSTITUTO UNIVERSITARIO DETECNOLOGÍA “JOSÉ ANTONIO ANZOÁTEGUI” EL TIGRE-EDO-ANZOÁTEGUI Cátedra: Matemática II Especialidades: Mecánica - Química Lic. MSc. DÁMASO ROJAS Δx ⎡x2 + xΔx − 2x − Δx + 2 ⎤ // x2 Δx + xΔx2 − 2xΔx − Δx2 + 2Δx ⎢ ⎥ f ′(x) = Lím ⇒ m(x ) = Lím ⎣ ⎦ Δx→0 Δx 1 Δx→0 Δx / m(x1) = x2 − 2x + 2 mtg a la curva sus pendientes son iguales (paralelas) mtg = m (recta dada) 12 12x − 7y + 2 = 0 ⇒−7y = −12x − 2 → mRD = 7 12 = x2 − 2x + 2 → 12 = 7x2 −14x + 14 ⇒ 7x2 −14x + 2 = 0 7 ( −14) ± ( −14)2 − 4 ( 7)( 2) 14 ±12 x=− ⇒ x= 2 ( 7) 14 14 +12 26 14 −12 2 1 x = → x = → x = 2; x = → x = → x = 1 14 1 14 1 2 14 2 14 2 7 Sust los valores de x en la curva para x = 2 23 4 8 4 8 4 y= − ( 2)2 + ( 2)2 + → y = − 4 + 4 + ⇒y = + → y=4 Punto (2,4) 3 3 3 3 3 3 3 1 ⎛1⎞ ⎜ ⎟ 2 3 1 ⎛1⎞ ⎛1⎞ 4 1 2 4 Para x = ⇒ y = ⎝ ⎠ − ⎜ ⎟ + 2⎜ ⎟ + 7 → y= 7 − + + 7 3 ⎝7⎠ ⎝7⎠ 3 3 72 7 3 1 1 2 4 1 − 21 + 1666 1646 y= − + + → y= → y= ⇒ y = 1,59 ≅ y = 1,6 3( 7)3 49 7 3 1029 1029 Las ecuaciones son: 1 tg ( 1 ) y − y = m x − x ⇒ Para L : 1 m= 12 7 Punto (2,4) ⇒ y − 4 = 12 7 ( x − 2) ⇒12x − 7y + 4 = 0 12 ⎛1 ⎞ Para L : m= Punto ⎜ , 1.6⎟ 2 7 ⎝7 ⎠ 12 ⎛ 1⎞ y − 1.6 = ⎜x − ⎟ → 7 y −11.2 = 12x − 0.14⇒ 12x − 7 y +11.06 = 0 7⎝ 7⎠ 15 E-mail: damasorojas8@gmail.com, damasorojas8@galeon.com, joeldama@yahoo.com
  • 16.
    INSTITUTO UNIVERSITARIO DETECNOLOGÍA “JOSÉ ANTONIO ANZOÁTEGUI” EL TIGRE-EDO-ANZOÁTEGUI Cátedra: Matemática II Especialidades: Mecánica - Química Lic. MSc. DÁMASO ROJAS 7.- Hallar el ángulo determinado por la tangente a la curva y = x 3 en el punto 3 x = 3 2 (x + Δx) 3 − x 3 0 x 3 + 3x Δx + 3x Δx 2 + Δx 3 − x 3 m(x ) = Lím = ind ⇒ m(x ) = Lím 1 Δx → 0 Δx 0 1 Δx → 0 Δx Δx ⎢⎡3x 2 + 3x Δx + Δx 2 ⎤ 2 / 3x Δx + 3x Δx 2 + Δx 3 ⎣ ⎥ ⎦ m(x ) = Lím ⇒ m(x ) = Lím 1 Δx → 0 Δx 1 Δx → 0 Δx/ 2 2 ⎛ 3⎞ ⎛ 3⎞ ⎛ 3⎞ m(x ) = 3x sus t ⇒ m ⎜ ⎟ ⎜ ⎟ ⎜ ⎟ ⎜ 3 ⎟ = 3⎜ 3 ⎟ ⇒ m ⎜ 3 ⎟ = 1 ⇒ m sec = tg θ ⇒ tg θ = 1 ⇒ θ = 45 ° 1 ⎝ ⎠ ⎝ ⎠ ⎝ ⎠ 8.- Determinar los parámetros “a”, “b” y “c” en la ecuación de la parábola y = ax 2 + bx + c de tal manera que la recta y = x sea tangente a ella en x = 1 y dicha curva pase por el punto (-1, 0). a(x + Δx) 2 + b (x + Δx) + c − ⎡ ax 2 + bx + c ⎤ ⎢ ⎣ ⎥ 0 ⎦ = ind m(x ) = Lím 1 Δx → 0 Δx 0 ax 2 + 2ax Δx + a Δ x 2 + bx + b ΔΔ + c − ax 2 − bx − c m(x ) = Lím 1 Δx → 0 Δx 2ax Δx + a Δ x 2 + b ΔΔ Δx [2ax + a Δ x + b ] m(x ) = Lím ⇒ m(x ) = Lím 1 Δx → 0 Δx 1 Δx → 0 Δx m(x ) = 2ax + b m tg 1 R tg y = x es tg a la parábola en x = 1 ⇒ p tg (1,1) Sust : m(1) = 2a + b de la ec. de la recta y=x ⇒ m =1 1 = 2a + b → 2a + b = 1 Ec (1) Sust el p tg en la parábola ⇒ y = ax 2 + bx + c ⇒ a + b + c = 1 Ec( 2) la parábola pasa por ( − 1, 0) ⇒ y = ax 2 + bx + c → a − b + c = 0 Ec( 3) Tenemos tres ecuaciones : 1) 2a + b = 1 2) a + b + c = 1 3) a − b + c = 0 1 a + c + b =1 ⇒ b + b =1 ⇒ b = 2 1 1 2a + 1 → a= 2 4 1 a+ c =b → c =b − a → c = 4 16 E-mail: damasorojas8@gmail.com, damasorojas8@galeon.com, joeldama@yahoo.com
  • 17.
    INSTITUTO UNIVERSITARIO DETECNOLOGÍA “JOSÉ ANTONIO ANZOÁTEGUI” EL TIGRE-EDO-ANZOÁTEGUI Cátedra: Matemática II Especialidades: Mecánica - Química Lic. MSc. DÁMASO ROJAS El proceso de calcular la derivada de una función en forma directa a partir de su definición, puede consumir mucho tiempo y ser tedioso. Esta sección contiene reglas que simplifican la tarea de encontrar derivadas de las funciones más complicadas en forma casi instantánea. Notaciones para la derivada. Cuando y = f (x ) se utilizan las siguientes notaciones para las derivadas. f ´(x) = Dx [ f ( x)] = d x y = y´= dy / dx = d / dx[ f ( x)] Todas las notaciones anteriores se utilizan en las matemáticas y sus aplicaciones, es recomendable que el lector se familiarice con ellas. El subíndice x en el símbolo Dx y se utiliza para designar a la variable independiente, y Dx para derivar la función. Teoremas para Determinar Derivadas. Sea f ' (u ) el símbolo para denotar derivadas, podemos enunciar los siguientes teoremas. (No se demostrará ninguno de los teoremas, ya que no es objetivo de este trabajo). A.- Teoremas Fundamentales de funciones Algebraicas. Teorema 1: Derivada de una constante. f (u ) = a ⇒ f ' (u ) = 0 Teorema 2: Derivada de una variable. f (u ) = u ⇒ f ' (u ) = 1 Teorema 3: Derivada de la potencia de una Variable. f (u ) = u n ⇒ f ' (u ) = nu n − 1 Teorema 4: Derivada para la suma algebraica de funciones. f (u ) = F (u ) ± G (u ) ⇒ f ' (u ) = F ' (u ) ± G ' (u ) Teorema 5: Derivada del producto de dos funciones f (u ) = F (u ) G (u ) ⇒ f ' (u ) = F ' (u ) G (u ) + F (u ) G ' (u ) Teorema 6: Derivada de un cociente de funciones. F (u ) F ' (u ) G (u ) − F (u ) G ' (u ) f (u ) = ⇒ f ' (u ) = , G (u) ≠ 0. G (u ) G (u ) 2 Teorema 7: Derivada de una función Compuesta. Sea y = f (u ) y u = g ( x ) que determinan una función compuesta y = f ( g ( x )). Si g es diferenciable en x y ƒ es diferenciable en u = g (x ) , entonces: Dx y = Dx y Dx u 17 E-mail: damasorojas8@gmail.com, damasorojas8@galeon.com, joeldama@yahoo.com
  • 18.
    INSTITUTO UNIVERSITARIO DETECNOLOGÍA “JOSÉ ANTONIO ANZOÁTEGUI” EL TIGRE-EDO-ANZOÁTEGUI Cátedra: Matemática II Especialidades: Mecánica - Química Lic. MSc. DÁMASO ROJAS Una de las aplicaciones principales del teorema anterior es para desarrollar otras fórmulas de derivación, por ejemplo: Regla de la potencia para funciones. f (u ) = [ F (u )]n ⇒ f ' (u ) = n[ F (u )]F ' (u ) B.- Teoremas de funciones trascendentales. a.- Teoremas de las funciones Exponenciales y Logarítmicas. Teorema 8: Derivada de la función logaritmo natural. F(u) > 0 F ' (u ) f (u ) = Ln[ F (u )] ⇒ f ' (u ) = F (u ) Teorema 9: Derivada de la función logaritmo de base a de u. F ' (u ) f (u ) = Log [ F (u )] ⇒ f ' (u ) = , para u =F(u) ≠ 0, ( a > 0 , a ≠ 1) a F (u ) Ln ( a ) Teorema 10: Derivada para las funciones logaritmo y exponencial generales. F (u ) F (u ) f (u ) = a ⇒ f ' (u ) = a Ln(a) F ' (u ) (a>0) Teorema 11: Regla para la función exponencial natural. F (u ) F (u ) f (u ) = e ⇒ f ' (u ) = e F ' (u ) b.- Teoremas Trigonométricos para la Derivación. A continuación se presentan las derivadas de las seis funciones trigonométricas. En el enunciado de los teoremas se supone que u = g (x ), donde g es una función derivable y x se restringe a los valores para los que la función trigonométrica está definida. Teorema 12: Derivada de la función seno. f (u ) = Sen[F (u )] → f ´(u ) = (cos u ) F´(u ) Teorema 13: Derivada de la función coseno. f (u ) = Cos[F (u )] → f ´(u ) = ( Sen u ) F´(u ) Teorema 14: Derivada de la función tangente. f (u ) = Tag [F (u )] → f ´(u ) = ( Sec 2 u ) F ´(u ) 18 E-mail: damasorojas8@gmail.com, damasorojas8@galeon.com, joeldama@yahoo.com
  • 19.
    INSTITUTO UNIVERSITARIO DETECNOLOGÍA “JOSÉ ANTONIO ANZOÁTEGUI” EL TIGRE-EDO-ANZOÁTEGUI Cátedra: Matemática II Especialidades: Mecánica - Química Lic. MSc. DÁMASO ROJAS Teorema 15: Derivada de la función cosecante. f (u ) = Csc[F (u )] → f ´(u ) = −(Csc u )(Ctg u ) F´(u ) Teorema 16: Derivada de la función secante. f (u ) = Sec[F (u )] → f ´(u ) = ( Sec u ) (tg u ) F´(u ) Teorema 17: Derivada de la función cotangente. f (u ) = Ctg [F (u )] → f ´(u ) = (Csc 2u ) F´(u ) c.- Teoremas Trigonométricos Inversos sobre la Derivación. En los teoremas siguientes se supone que u = g(x), donde g es una función derivable y x se restringe a los valores para los que las expresiones indicadas tienen sentido. Teorema 18: Derivada para la función arco seno. F´(u ) f (u ) = Arc Sen[F (u )] → f ´(u ) = 1 − [F (u )] 2 Teorema 19: Derivada para la función arco coseno. − F´(u ) f (u ) = Arc Cos[F (u )] → f ´(u ) = 1 − [F (u )] 2 Teorema 20: Derivada para la función arco tangente. F´( u ) f (u ) = Arc Tg [F (u ) ] → f´( u ) = 1 + [F (u ) ] 2 Teorema 21: Regla para la función arco cotangente. − F ´(u ) f (u ) = Arc Ctg [F (u )] → f ´(u ) = 1 + [F (u )] 2 Teorema 22: Derivada para la función arco secante. F´(u ) f (u ) = Arc Sec[F (u )] → f ´(u ) = F (u ) [F (u )] −1 2 Teorema 23: Derivada para la función arco cosecante. − F´(u ) f (u ) = Arc Csc[F (u )] → f ´(u ) = F (u ) [F (u )] −1 2 19 E-mail: damasorojas8@gmail.com, damasorojas8@galeon.com, joeldama@yahoo.com
  • 20.
    INSTITUTO UNIVERSITARIO DETECNOLOGÍA “JOSÉ ANTONIO ANZOÁTEGUI” EL TIGRE-EDO-ANZOÁTEGUI Cátedra: Matemática II Especialidades: Mecánica - Química Lic. MSc. DÁMASO ROJAS Derivar y Simplificar a) Funciones Algebraicas 1 4 1 1− . y = + = x − 2 + 4 x − 1/2 2x 2 x 2 dy ⎛ 1⎞ ⎛ 1 2 ⎞ = − x − 3 + 4 ⎜ − ⎟ x −3/2 = − ⎜ + ⎟ dx ⎝ 2⎠ ⎜ x3 ⎟ ⎝ x3 ⎠ ( ) ( )( ) ( )( ) 4 3 3 2 − . f ( x ) = 3x − x 3 + 1 ; f´ ( x ) = 4 3x − x 3 + 1 3 − 3 x 2 = 12 3x − x 3 + 1 1 − x2 ( ) 1 −1/2 2−x 3−. y = 3 + 4x − x 2 ; y´ = 3 + 4x − x 2 ( 4 − 2x ) ⇒ f ´( x ) = 2 3 + 4x − x 2 3 r + 2 d θ (2r + 3)3 − (3r + 2)2 6r + 9 − 6r − 4 5 4 −. θ = ; = 2 → ⇒ θ ´( r ) = 2 2r + 3 dr (2r + 3) ( 2 r + 3) ( 2 r + 3 )2 5 ⎛ x ⎞ 5−. y = ⎜ ;y= x5 ; y´ = (1 + x )5 . 5 x 4 − x 5 (1 + x )4 . 5 ⎟ ⎝1 + x ⎠ (1 + x )5 (1 + x )10 y´ = (1 + x )4 . 5 x 4 (1 + x − x) = 5 x4 (1 + x )10 (1 + x )6 6 − . y = ( x − 1) x 2 − 2 x + 2 ; y´ = x2 − 2 x + 2 + (x − 1) ( 2x − 2 ) 2 x 2 − 2x + 2 y´ = x2 − 2 x + 2 + (x − 1) 2 = ( x 2 − 2 x + 2 ) + ( x − 1)2 = 2 x 2 − 4x + 3 x2 − 2 x + 2 x 2 − 2x + 2 x 2 − 2x + 2 ( ) − 1/2 1 − 4 w 2 − w (1/2 ) 1 − 4 w 2 ( −8 w ) w dz 7 −. z = ; = = 1 − 4 w2 dw 1 − 4 w2 4 w2 1 − 4 w2 + = 1 − 4 w2 = (1 − 4 w 2 ) + 4 w 2 = 1 1 − 4 w2 1 − 4 w 2 (1 − 4 w 2 ) (1 − 4 w 2 ) 3 x +1 x −1 (x + 1) − ( x − 1) − x −1 2 x −1 2 x +1 2 (x − 1)( x + 1) 8 − . f (x) = ; f ´(x) = = x +1 x +1 x +1 x +1− x +1 1 f ´(x) = = 2 ( x + 1) x 2 − 1 ( x + 1) x 2 − 1 20 E-mail: damasorojas8@gmail.com, damasorojas8@galeon.com, joeldama@yahoo.com
  • 21.
    INSTITUTO UNIVERSITARIO DETECNOLOGÍA “JOSÉ ANTONIO ANZOÁTEGUI” EL TIGRE-EDO-ANZOÁTEGUI Cátedra: Matemática II Especialidades: Mecánica - Química Lic. MSc. DÁMASO ROJAS 9 − . y = ( x2 + 3) ( 2x − 5) ; y´ = 4( x + 3) 2x ( 2x − 5) + 3( 6 x) ( 2x − 5) ( x2 + 3) 4 3 3 2 3 3 3 2 3 2 4 y´= 2x ( 2x − 5) ( x + 3) ⎡4 ( 2x − 5) + 9( x + 3)⎤ 3 2 2 3 3 2 ⎣ ⎦ y ´ = 2x ( 2x − 5) ( x + 3) (17x + 27x − 20) 3 2 2 3 3 10. − f(x) = x(x −1)2 (x − 2)3 f´(x) = (x −1)2 (x − 2)3 + 2x(x −1)(x − 2)3 + 3x(x −1)2 (x − 2)2 f´(x) = (x −1)(x − 2)2 [ (x −1)(x − 2) + 2x(x − 2) + 3x(x −1)] f´(x) = (x −1)(x − 2)2 ⎡6x2 −10x + 2⎤ ⇒ f´(x) = 2(x −1)(x − 2)2 ⎡3x2 − 5x +1⎤ ⎣ ⎦ ⎣ ⎦ x3 3x2 (x2 + 3) − x2 (2x) x2 (x2 + 9) 11. − f(x) = ⇒ f´(x) = ⇒ f´(x) = 2 x2 + 3 (x2 + 3)2 (x + 3)2 4x 4(x2 + 4) − 4x(2x) 4(4 − x2 ) 12. − f(x) = ⇒ f´(x) = ⇒ f(x) = 2 x2 + 4 (x2 + 4)2 x +4 13. − f(x) = x 4 − x2 x f´(x) = 4 − x2 + (4 − x2 )−1 2 ( − 2x) ⇒ f´x) = (4 − x2 )−1 2 ⎡4 − x2 − x2 ⎤ ⇒ f´x) = 2(4 − x2 )−1 2 ⎡2 − x2 ⎤ ⎣ ⎦ ⎣ ⎦ 2 2 ⎡2 − x2 ⎤ f´x) = ⎣ ⎦ 4−x 2 14. − f(x) = 10x3 (x −1)2 f´(x) = 30x2 (x −1)2 + 20x3 (x −1) ⇒ f´(x) = 10x3 (x −1)(5x − 3) 15. − f(x) = (x − 2)3 (x +1)4 f´(x) = 3(x − 2)2 (x +1)4 + 4(x − 2)3 (x +1)3 ⇒ f´(x) = (x − 2)2 (x +1)3 [3(x +1) + 4(x − 2)] f´(x) = (x − 2)2 (x +1)3 [3x + 3 + 4x − 8)] ⇒ f´(x) = (x − 2)2 (x +1)3 [ 7x − 5] 2x2 16. − f(x) = 9 − x2 4x(9 − x2 ) − 2x2 ( − 2x) 4x(9 − x2 + x2 ) 36x f´(x) = ⇒ f´(x) = ⇒ f´(x) = (9 − x ) 2 2 (9 − x ) 2 2 (9 − x2 )2 36x 17. − f(x) = (9 − x2 )2 36(9 − x2 )2 − 36x ⎡−4x(9 − x2 )⎤ ⎣ ⎦ 36(9 − x2 ) ⎡9 − x2 + 4x2 ⎤ ⎣ ⎦ 108 ⎡3 + x2 ⎤ ⎣ ⎦ f´(x) = ⇒ f´(x) = ⇒ f´(x) = (9 − x2 )4 (9 − x2 )4 (9 − x2 )3 21 E-mail: damasorojas8@gmail.com, damasorojas8@galeon.com, joeldama@yahoo.com
  • 22.
    INSTITUTO UNIVERSITARIO DETECNOLOGÍA “JOSÉ ANTONIO ANZOÁTEGUI” EL TIGRE-EDO-ANZOÁTEGUI Cátedra: Matemática II Especialidades: Mecánica - Química Lic. MSc. DÁMASO ROJAS x 2 − 2x + 2 18. − f(x) = x −1 (2x − 2)(x − 1) − (x 2 − 2x + 2) (2x − 2)(x − 1) − (x 2 − 2x + 2) x(x − 2) f´(x) = ⇒ f´(x) = ⇒ f´(x) = (x − 1) 2 (x − 1) 2 (x − 1)2 x 2 − 2x 19. − f(x) = (x − 1)2 (2x − 2)(x − 1)2 − 2(x 2 − 2x)(x − 1)3 2(x − 1)3 − 2(x 2 − 2x)(x − 1) f´(x) = ⇒ f´(x) = (x − 1)4 (x − 1)4 2(x − 1) ⎡(x − 1)2 − (x 2 − 2x) ⎤ ⎣ ⎦ 2 f´(x) = ⇒ f´(x) = (x − 1)4 (x − 1)3 x 2 − 2x 20. − f(x) = (x − 1)2 (2x − 2)(x − 1)2 − 2(x 2 − 2x)(x − 1)3 2(x − 1)3 − 2(x 2 − 2x)(x − 1) f´(x) = ⇒ f´(x) = (x − 1) 4 (x − 1)4 2(x − 1) ⎡(x − 1)2 − (x 2 − 2x) ⎤ ⎣ ⎦ 2 f´(x) = ⇒ f´(x) = (x − 1) 4 (x − 1)3 2 + x − x2 21. − f(x) = (x − 1)2 (1 − 2x)(x − 1)2 − 2(2 + x − x 2 )(x − 1) (x − 1) ⎡(1 − 2x)(x − 1) − 2(2 + x − x 2 ) ⎤ ⎣ ⎦ f´(x) = ⇒ f´(x) = (x − 1)4 (x − 1)4 ⎡(1 − 2x)(x − 1) − 2(2 + x − x 2 ) ⎤ ⎦ ⇒ f´(x) = x − 5 f´(x) = ⎣ (x − 1)3 (x − 1)3 (x − 1)2 (x + 2) 22. − f(x) x3 (3x 2 − 3)x 3 − (x 3 − 3x + 2)3x 2 3x 2 ⎡(x 2 − 1)x − (x 3 − 3x + 2⎤ ⎣ ⎦ f´(x) = ⇒ f´(x) = x6 x6 ⎡ ⎤ 3 ⎣ x 3 − x − x 3 + 3x − 2⎦ 6 [ x − 1] f´(x) = 4 ⇒ f´(x) = x x4 (x − 1) 2 23. − f(x) = x +1 2(x − 1)(x + 1) − (x − 1)2 (x − 1) [ 2(x + 1) − (x − 1)] (x − 1) [ x + 3] f´(x) = ⇒ f´(x) = ⇒ f´(x) = (x + 1) 2 (x + 1) 2 (x + 1)2 (x − 1)(x + 3) 2(x + 1)(x + 1)2 − 2(x 2 + 2x − 3)(x + 1) 24. − f(x) = ⇒ f´(x) = ⇒ (x + 1) 2 (x + 1)4 2(x + 1) ⎡ x 2 + 2x + 1 − x 2 − 2x + 3⎤ ⎣ ⎦ 2 [ 4] f´(x) = ⇒ f´(x) = (x + 1) 4 (x + 1)3 22 E-mail: damasorojas8@gmail.com, damasorojas8@galeon.com, joeldama@yahoo.com
  • 23.
    INSTITUTO UNIVERSITARIO DETECNOLOGÍA “JOSÉ ANTONIO ANZOÁTEGUI” EL TIGRE-EDO-ANZOÁTEGUI Cátedra: Matemática II Especialidades: Mecánica - Química Lic. MSc. DÁMASO ROJAS −1/2 ⎡ 1 − x ) − (1 + x )( −1) ⎤ 25. − F(x) = 1+ x 1 ⎛1 + x ⎞ ⇒ f´(x) = ⎜ ⎟ ⎢( ⎥ 1 −x 2 ⎝1 − x ⎠ ⎢ 2 ⎥ ⎣ (1 − x ) ⎦ −1/2 ⎡ ⎤ −1/2 ⎡ ⎤ 1 ⎛1 + x ⎞ ⎛ ⎞ ⎢1 − x + 1 + x ⎥ ⇒ f´(x) = 1 ⎜ 1 + x ⎟ ⎢ / 2 ⎥ f´(x) = ⎜ ⎟ 2 ⎝1 − x ⎠ ⎢ (1 − x )2 ⎥ / 2 ⎝1 − x ⎠ ⎢ (1 − x )2 ⎥ ⎣ ⎦ ⎣ ⎦ −1/2 1 ⎛1 + x ⎞ 1 1 1 f´(x) = ⎜ ⎟ ⇒ f´(x) = ⇒ f´(x) = / 2 ⎝1 − x ⎠ (1 − x )2 1+ x / (1 − x )4 (1 + x ) (1 − x )3 1− x x (x 2 + 3) 2 − (x 2 + 3) − 2 2x 1 1 x 2 26. − f(x) = ⇒ f´(x) = x2 − 3 (x 2 + 3) (x 2 + 3) − 2 ⎡ x 2 + 3 − x 2 ⎤ 1 ⎣ ⎦ ⇒ f´(x) = 3 f´(x) = (x + 3) 2 (x + 3)3 2 2x 2 4x(x 2 − x − 2) − 2x 2 (2x − 1) −2x(x + 4) 27. − f(x) = ⇒ f´(x) = ⇒ f´(x) = 2 x2 − x − 2 (x 2 − x − 2) 2 (x − x − 2) 2 x 2 − 3x + 2 (2x − 3)(x 2 + 2x + 1) − (x 2 − 3x + 2)(2x + 2) 28. − f(x) = ⇒ f´(x) = x + 2x + 1 2 (x 2 + 2x + 1)2 2x 3 + 4x 2 + 2x − 3x 2 − 6x − 3 − 2x 3 + 6x 2 − 4x − 2x 2 + 6x − 4 f´(x) = (x 2 + 2x + 1) 2 4x 2 + 2x − 3x 2 − 3 + 6x 2 − 4x − 2x 2 − 4 5x 2 − 2x − 7 f´(x) = ⇒ f´(x) = 2 (x 2 + 2x + 1) 2 (x + 2x + 1) 2 x2 +1 29. − f(x) = x2 −1 2x 2 2x(x 2 − 1) 2 − (x 2 + 1)(x − 1) − 2 1 1 x(x 2 − 1)− 2 ⎡ 2(x 2 − 1) − (x 2 + 1) ⎤ 1 f´(x) = 2 ⇒ f´(x) = ⎣ ⎦ x −1 2 x −1 2 x ⎡ 2x − 2 − x − 1⎤ 2 2 ⎦ ⇒ f´(x) = x(x − 3) 2 f´(x) = ⎣ (x − 1) 2 3 (x 2 − 1)3 30. − F(x) = (1 − 2x ) ( 3x + 2 ) ⇒ F(x) = 3x + 2 − 6x 2 − 4x ⇒ F(x) = ( −6x 2 − x + 2 ) ( 5x − 4 ) ( 5x − 4 ) ( 5x − 4 ) F´(x) = ( −12x − 1)( 5x − 4 ) − ( −6x2 − x + 2) (5) ( 5x − 4 )2 6 ⎡ −5x 2 + 8x −1⎤ −60x 2 + 48x − 5x + 4 + 30x 2 + 5x −10 −30x 2 + 48x − 6 ⎢ ⎥ F´(x) = ⇒ F´(x) = ⇒ F´(x) = ⎣ ⎦ 2 2 2 5x − 4( ) 5x − 4 ( ) 5x − 4 ( ) 23 E-mail: damasorojas8@gmail.com, damasorojas8@galeon.com, joeldama@yahoo.com
  • 24.
    INSTITUTO UNIVERSITARIO DETECNOLOGÍA “JOSÉ ANTONIO ANZOÁTEGUI” EL TIGRE-EDO-ANZOÁTEGUI Cátedra: Matemática II Especialidades: Mecánica - Química Lic. MSc. DÁMASO ROJAS 1 + x2 31. − y = 3 1 − x2 −2/3 ⎡ 2x (1 − x2 ) − (1 + x2 ) ( −2x ) ⎤ 2 −2/3 ⎡ ⎤ 1 ⎡1 + x2 ⎤ ⎢ ⎥ ⇒ y´ = 1 ⎡1 + x ⎤ ⎢ 4x ⎥ y´ = ⎢ 3 ⎣ 1 − x2 ⎥ ⎦ ⎢ (1 − x2 ) 2 ⎥ 3 ⎢ 1 − x2 ⎥ ⎢ (1− x2 )2 ⎥ ⎣ ⎦ ⎣ ⎣ ⎦ ⎦ 4x 4x y´ = ⇒ y´ = 2 2 ⎛ 1 + x2 ⎞ ⎛ 1 + x2 ⎞ 3 (1− x ) 3 ⎜ 2 ⎟ (1− x2 ) 2 2 6 ⎜ 2 ⎟ 3 ⎝1 − x ⎠ ⎝1 − x ⎠ 4x 4x y´ = ⇒ y´ = (1 + x ) 1 − x 2 2 3 3 (1 + x2 ) (1 − x2 ) 2 4 3 3 ( ) 2 6 (1 − x ) 2 2 2x 32. − y = x +1 1/2 −1/2 ⎡ 2 ( x + 1) − 2x (1) ⎤ 2x ⎛ 2x ⎞ 1 ⎛ 2x ⎞ y= ⇒ y=⎜ ⎟ → y´ = ⎜ ⎟ ⎢ ⎥ x +1 ⎝ x + 1⎠ 2 ⎝ x + 1⎠ ⎢ ⎣ ( x + 1)2 ⎥ ⎦ ⎡ ⎤ y´ = ⎢ 2x + 2 − 2x ⎥ ⇒ y´ = 1 1 1 → y´ = 1 1/2 ⎢ x + 1 2 ⎥ 2 ⎛ 2x ⎞ ⎣ ( ) ⎦ 2x ( x +1) 2x ( x + 1)3 2⎜ ⎟ x +1 ⎝ x + 1⎠ 2x2 − 1 2x2 − 1 2x2 − 1 33. − y = ⇒y = ⇒ y= x 1 + x2 ( ) ( x2 1 + x2 ) x2 + x4 1/2 4x ( x2 + x4 ) − ( 2x2 − 1) 1 ( x2 + x4 ) ( 2x + 4x3 ) 1/2 −1/2 2 y´ = (x ) 2 + x4 ( x2 + x4 ) ⎡⎢⎣4x ( x2 + x4 ) − ( 2x2 − 1)( x + 2x3)⎤⎥⎦ ⇒ y' = 4x + 4x − 2x − 4x + x + 2x −1/2 3 5 3 5 3 y' = ( x2 + x 4 ) ( x 2 + x4 ) 3 4x3 + x x ( 4x2 −1) y' = → y' = (x + x4 ) (x + x4 ) 2 3 2 3 24 E-mail: damasorojas8@gmail.com, damasorojas8@galeon.com, joeldama@yahoo.com
  • 25.
    INSTITUTO UNIVERSITARIO DETECNOLOGÍA “JOSÉ ANTONIO ANZOÁTEGUI” EL TIGRE-EDO-ANZOÁTEGUI Cátedra: Matemática II Especialidades: Mecánica - Química Lic. MSc. DÁMASO ROJAS ⎡1 ⎞⎤ 1+ x 2 ⎛ 1 − 1/2 ⎢ x − 1/2 1 − x − 1 + x ⎜ − x − 1/2 ⎟ ⎥ 1 ⎛1 + ⎝ 2 x⎞ ⎠⎥ ( ) ( ) 34)F(x) = ⎢ ⇒ y´ = ⎜ ⎟ ⎜ ⎟ ( ) 1− x ⎢2 ⎝1 − 2 x⎠ ⎥ 1− x ⎢ ⎣ ⎥ ⎦ 1 ⎡ 1 − 1/2 ⎡ ⎢2x ⎣ 1 − x + 1 + x ⎤⎥ ⎦ ⎤ ( ) ( ) y´ = ⎢ ⎥ ( ) 1+ x ⎢ 2 2 1− x ⎥ ⎣ ⎦ 1− x ⎡ 1 − 1/2 ⎤ ⎡ ⎤ ⎢2x ⎢ x − 1/2 ⎥ (2) ⎥ 1 1 y´ = ⎢ ⎥ → y´ = ⎢ 2⎥ ( ) ( ) 1+ x 2 1+ x 2 ⎢ 1− x ⎥ 2 ⎢ 1− x ⎥ ⎣ ⎦ ⎣ ⎦ 1− x 1− x ⎡ ⎤ 1 ⎢ 1 ⎥ 1 1 y´ = ⎢ ⇒ y´ = ⇒ y´ = 2⎥ 2 1+ x ⎢ x1/2 1 − x ⎥ ⎣ ⎦ ( 2x1/2 ) 1+ x (1 − x ) 4 2 x (1 + x ) (1 − x ) 3 1− x (1 − x ) x ( − 2 x ) (π 2 − x 2 ) − 1/ 2 π2 ⎛1⎞ 35) y = x π − x ⇒ y ' = (π − x 2 2 2 ) 2 1/ 2 + + ⎜ ⎟ 2 x ⎝π ⎠ 2 1− π2 π y ' = (π 2 − x 2 ) − x 2 (π 2 − x 2 ) ⇒ y ' = (π 2 − x 2 ) − x 2 (π 2 − x 2 ) + π 2 (π 2 − x 2 ) 1/ 2 − 1/ 2 1/ 2 − 1/ 2 − 1/ 2 + π 2 − x2 π y ' = (π 2 − x 2 ) ⎡ (π 2 − x 2 ) − x 2 + π 2 ⎤ ⇒ y ' = (π 2 − x 2 ) − 1/ 2 − 1/ 2 ⎡π 2 − x 2 − x 2 + π 2 ⎤ ⎣ ⎦ ⎣ ⎦ y ' = (π 2 − x 2 ) 2 (π 2 − x 2 ) ⇒ y `= 2 π 2 − x 2 − 1/ 2 36) f ( x ) = x 2 − 4 Re cordar que : a = a 2 ⇒ f ( x ) = ( x 2 − 4) 2 ⇒ f ( x ) = (( x 2 − 4) 2 ) 1 2 1 1 f ´( x ) = (( x 2 − 4) 2 ) − 2 (( x 2 − 4) 2 )′ ⇒ f ´( x ) = (( x 2 − 4) 2 ) − 2 (2( x 2 − 4)2 x ) 1 1 2 2 2 x ( x 2 − 4) 2 x ( x 2 − 4) f ´( x ) = ⇒ f ´( x ) = ( x 2 − 4)2 x2 − 4 3 37)f(x) = x 1 2 −1 2 f(x) = ( x 2 ) 3 ⇒ f´(x) = 3( x 2 ) 2 ( x 2 )´ ⇒ f´(x) = 3( x 2 ) 2 (x ) 2x 2 2 3x( x 2 ) 2 3x x f´(x) = ⇒ f´(x) = ⇒ f´(x) = 3x x ( x2 ) x 25 E-mail: damasorojas8@gmail.com, damasorojas8@galeon.com, joeldama@yahoo.com
  • 26.
    INSTITUTO UNIVERSITARIO DETECNOLOGÍA “JOSÉ ANTONIO ANZOÁTEGUI” EL TIGRE-EDO-ANZOÁTEGUI Cátedra: Matemática II Especialidades: Mecánica - Química Lic. MSc. DÁMASO ROJAS b. Funciones Trigonométricas. 38)y = Sen (3x) + Cos (2x) ⇒ y´ = 3 cos (3x) − 2 Sen (2x) 39) y = tan 2 (x 2 ) ⇒ y´ = 2 tan (x 2 )Sec2 (x 2 ) 2x 40)y = Cot (1 − 2 x 2 ) ⇒ y´ = − Csc 2 (1 − 2 x 2 ) ( −4x ) ⇒ 4x Cosec2 (1 − 2 x 2 ) 2 2 ⎛ 2 ⎞ 2 2 41)y = Sen ( ) ⇒ y´ = Cos ( ) ⎜ − 2 ⎟ y´= − 2 Cos ( ) x x ⎝ x ⎠ x x 42)y = Cos 2 (1 − x 2 ) ⇒ y´ = 2 Cos (1 − x 2 ) ⎡ − Sen (1 − x 2 ) ⎤ ( −2x ) ⇒ y´ = 2xSen 2 (1 − x 2 ) ⎣ ⎦ 43)y = Sen ( 2x − 3) ⇒ y´ = 3sen ( 2x − 3) Cos ( 2x − 3) 2x ⇒ y´ = 3xsen2 ( 2x − 3) Sen ( 2x − 3) 3 2 1 1 44)y = Sec2 ( x 2 − 1) ⇒ y´ = 2( )Sec ( x 2 −1) sec ( x 2 −1) tan ( x 2 −1) 2x 2 2 2xSen ( x 2 − 1) y´ = 2x sec2 ( x 2 −1) tan ( x 2 −1) ⇒ y´= Cos3 ( x 2 − 1) 1/2 1 dz -3/2 ( Sec (2w) −1) Sec (2w)tan (2w) 2 45)z ( w) = ⇒ = (Sec (2w) −1)3/2 dw (Sec (2w) −1)3 dz -3 Sec(2w)tan (2w) = dw ( Sec(2w) −1)5/2 46).y = Senx + Cosx ⇒ y' = ( Cosx − Senx )( Senx − Cosx ) − (Senx + Cosx )( Cosx + Senx ) Senx − Cosx ( Senx − Cosx )2 − ( Senx − Cosx )( Senx − Cosx ) − ( Senx + Cosx )2 − ⎡( Senx − Cosx )2 + ( Senx + Cosx )2 ⎤ ⎢ ⎥ y' = ⇒ y' = ⎣ ⎦ 2 2 ( Senx − Cosx ) ( Senx − Cosx ) ⎡Sen 2 x − 2Senx Cosx + Cos2 x + Sen 2 x + 2Senx Cosx + Cos 2 x ⎤ ⎢ ⎣ ⎥ ⎦ y' = − 2 ( Senx − Cosx ) − ⎡ 2(Sen x + Cos x) ⎦ 2 ⎤ 2 −2 y' = ⎣ → y' = [Senx − Cosx ] [Senx − Cosx ] 2 2 47)y = 3Senx Cos 2 x + Sen 3 x y' = 3 ⎡Cosx Cos 2 x + 2SenxCosx( − Senx) ⎤ + 3Sen 2 x Cosx ⎣ ⎦ y' = 3Cos3 x − 6Sen 2 x Cosx + 3Sen 2 x Cosx ⇒ y' = 3Cos3 x − 3Sen 2 x Cosx y' = 3Cosx ⎡Cos 2 x − Sen 2 x ⎤ ⇒ y' = 3Cosx Cos(2x) ⎣ ⎦ 26 E-mail: damasorojas8@gmail.com, damasorojas8@galeon.com, joeldama@yahoo.com
  • 27.
    INSTITUTO UNIVERSITARIO DETECNOLOGÍA “JOSÉ ANTONIO ANZOÁTEGUI” EL TIGRE-EDO-ANZOÁTEGUI Cátedra: Matemática II Especialidades: Mecánica - Química Lic. MSc. DÁMASO ROJAS 1 1 48)y = 3 Sen 2 x + 3 ⇒ y = (Sen 2 x)1/3 + ⇒ y = (Sen 2 x)1/3 + Cos−3x Cos x Cos3x 1 2Senx Cosx 3Senx y' = (Sen 2 x)2/3 2Senx Cosx + ⎡−3Cos−4 x ( − Senx)⎤ ⇒ y' = ⎣ ⎦ + 4 3 3Senx 3 (Sen x) Cos x 2 2 2Cosx 3Senx y' = + 4 3 3 Senx Cos x 49)y = 3Senx Cos2 x + Sen3x y' = 3 ⎡Cosx Cos2 x + 2SenxCosx( − Senx) ⎤ + 3Sen 2 x Cosx ⎣ ⎦ y' = 3Cos3x − 6Sen 2 x Cosx + 3Sen 2 x Cosx ⇒ y' = 3Cos3x − 3Sen 2 x Cosx y' = 3Cosx ⎡Cos2 x − Sen 2 x ⎤ ⇒ y' = 3Cosx Cos(2x) ⎣ ⎦ Cosx 4 50)y =− + Ctgx 3Sen3x 3 −1 ⎡ −Senx(Sen3x) − 3CosxSen 2 x Cosx ⎤ 4 1 ⎡ −Sen 4 x − 3Cos2 xSen 2 x ⎤ 4 y' = − (Csc 2 x) ⇒ y' =− ⎢ ⎥ − 3 Csc x 2 3⎢ ⎣ (Sen3x)2 ⎥ 3 ⎦ 3⎣ Sen6 x ⎦ 1 Sen 2 x(Sen 2 x + 3Cos2 x) 4 1 Sen 2 x + 3Cos2 x 4 y' = 6 − 2 ⇒ y' = 4 − 3 Sen x 3Sen x 3 Sen x 3Sen 2 x 1 ⎡ Sen 2 x + 3Cos2 x − 4Sen 2 x ⎤ 1 ⎡ −3Sen 2 x + 3Cos2 x ⎤ Cos2x y' = ⎢ 4 ⎥ ⇒ y' = ⎢ 4 ⎥ ⇒ y' = Sen 4 x 3⎣ Sen x ⎦ 3⎣ Sen x ⎦ 1 + Cos(2x) 51). − y = 1 − Cos(2x) −2Senx (2x) [1 − Cos(2x)] − [1 + Cos(2x)] 2Senx (2x) y' = [1− Cos(2x)] 2 −2Senx (2x) [1 − Cos(2x) + 1 + Cos(2x ] −4Senx (2x) y' = ⇒ y' = [1 − Cos(2x)] [1 − Cos(2x)] 2 2 1 − Cos 2x 1 + Cos 2x Sen(2x) = 2CosxSenx;Cos(2x) = Cos2 x − Sen 2 x; Senx = ;Cosx = 2 2 −4[ 2CosxSenx] −4[ 2CosxSenx ] −2Cosx y' = 2 ⇒ y' = 4 ⇒ y' = ⎡2Sen x ⎤ 2 4Sen x Sen3x ⎣ ⎦ 27 E-mail: damasorojas8@gmail.com, damasorojas8@galeon.com, joeldama@yahoo.com
  • 28.
    INSTITUTO UNIVERSITARIO DETECNOLOGÍA “JOSÉ ANTONIO ANZOÁTEGUI” EL TIGRE-EDO-ANZOÁTEGUI Cátedra: Matemática II Especialidades: Mecánica - Química Lic. MSc. DÁMASO ROJAS ⎛a⎞ 52)y = Sen (x 2 − 5x + 1) + Tg ⎜ ⎟ ⎝x⎠ ⎛ ⎛ a ⎞⎞⎛ a ⎞ ⎛ a ⎞ ⎛a⎞ y' = Cos (x 2 − 5x + 1) (2x − 5) + ⎜ Sec 2 ⎜ ⎟ ⎟ ⎜ − 2 ⎟ ⇒ y' = (2x − 5) Cos (x 2 − 5x + 1) − ⎜ 2 ⎟ Sec 2 ⎜ ⎟ ⎝ ⎝ x ⎠⎠⎝ x ⎠ ⎝x ⎠ ⎝x⎠ 53) F ( x) = α Sen 2 ( β x) + β Cos 2 ( β x) 2 α Sen ( β x) Cos ( β x) + 2 β 2Cos ( β x)(− Sen β x) 2 β Sen ( β x) Cos( β x) [α − β ] F´( x) = ⇒ F '( x) = 2 α Sen β x + β Cos β x 2 2 2 α Sen 2 ( β x) + β Cos 2 ( β x) β (α − β ) Sen 2( β x) Pero :2 Cos β x Sen β x = Sen 2( β x) ⇒ F '( x) = 2 α Sen 2 ( β x) + β Cos 2 ( β x) ⎡ ⎛ S en ( x 2 ) ⎞ ⎤ 5 4 ) y = S en 3 ⎢ x 2 + S en ⎜ x 2 + ⎟⎥ ⎢ ⎜ x3 ⎟⎥ ⎣ ⎝ ⎠⎦ ⎡ ⎛ S en ( x ) ⎞ ⎤ 2 ⎡ ⎛ S en ( x 2 ) ⎞ ⎤ y ′ = 3 S en ⎢ x + S en ⎜ x + 2 2 2 ⎟ ⎥ C o s ⎢ x + S en ⎜ x + 2 2 ⎟⎥ ⎢ ⎜ x3 ⎟⎥ ⎢ ⎜ x3 ⎟⎥ ⎣ ⎝ ⎠⎦ ⎣ ⎝ ⎠⎦ ⎡ ⎛ S en ( x 2 ) ⎞ ⎤ ⎡ ( C o s( x 2 ) ) (2 x ) x 3 − (S en (x 2 ) ) 3 x 2 ⎤ ⎢2x + C os ⎜ x 2 + ⎟⎥ ⎢2x + ⎥ ⎢ ⎜ x3 ⎟⎥ ⎢ x6 ⎥ ⎣ ⎝ ⎠⎦ ⎣ ⎦ ⎡ ⎛ S en (x 2 ) ⎞ ⎤ ⎡ ⎛ S en (x 2 ) ⎞ ⎤ y ′ = 3 S en 2 ⎢ x 2 + S en ⎜ x 2 + ⎟⎥ C o s ⎢ x 2 + S en ⎜ x 2 + ⎟⎥ ⎣ ⎝ x3 ⎠⎦ ⎣ ⎝ x3 ⎠⎦ ⎛ x ´6 + S en (x 2 ) ⎞ ⎤ ⎡ 2 x + 2 x C o s ( x ) − 3 S en ( x ) ⎤ 5 2 2 2 ⎡ ⎢ 2x + C os ⎜ ⎟⎥ ⎢ ⎥ ⎣ ⎝ x3 ⎠⎦ ⎣ ⎢ x4 ⎥ ⎦ ⎛x⎞ ⎛x⎞ tg ⎜ ⎟ + ctg ⎜ ⎟ 55) y = ⎝2⎠ ⎝2⎠ x ⎡1 2 ⎛ x ⎞ 1⎛ 2 ⎛ x ⎞ ⎞⎤ ⎡ ⎛x⎞ ⎛ x ⎞⎤ ⎢ 2 S ec ⎜ 2 ⎟ + 2 ⎜ − csc ⎜ 2 ⎟ ⎟ ⎥ x + ⎢ tg ⎜ 2 ⎟ + ctg ⎜ 2 ⎟ ⎥ ⎝ ⎠ ⎝ ⎝ ⎠ ⎠⎦ ⎣ ⎝ ⎠ ⎝ ⎠⎦ y′ = ⎣ 2 x x ⎡ 2 ⎛ x⎞ 2 ⎛ x ⎞⎤ ⎡ ⎛ x ⎞ ⎛ x ⎞⎤ 2 ⎣⎢ S ec ⎜ 2 ⎟ − csc ⎜ 2 ⎟ ⎥ + ⎢ tg ⎜ 2 ⎟ + ctg ⎜ 2 ⎟ ⎥ ⎝ ⎠ ⎝ ⎠⎦ ⎣ ⎝ ⎠ ⎝ ⎠⎦ y′ = 2 x ⎡ ⎤ ⎡ ⎛x⎞ ⎛ x ⎞⎤ x ⎢ 1 1 ⎥ ⎢ S en ⎜ 2 ⎟ C o s ⎜ 2 ⎟ ⎥ − ⎢ − ⎥+⎢ ⎝ ⎠+ ⎝ ⎠⎥ 2 ⎢ 2 ⎛ x ⎞ 2 ⎛ x ⎞ ⎥ ⎢ C os ⎛x⎞ ⎛ x ⎞⎥ S en ⎜ ⎟ C o s ⎜ ⎟ ⎜ ⎟ S en ⎜ ⎟ ⎥ ⎢ ⎣ ⎝2⎠ ⎝ 2 ⎠⎥ ⎢⎦ ⎣ ⎝2⎠ ⎝ 2⎠⎦ y′ = 2 x 28 E-mail: damasorojas8@gmail.com, damasorojas8@galeon.com, joeldama@yahoo.com
  • 29.
    INSTITUTO UNIVERSITARIO DETECNOLOGÍA “JOSÉ ANTONIO ANZOÁTEGUI” EL TIGRE-EDO-ANZOÁTEGUI Cátedra: Matemática II Especialidades: Mecánica - Química Lic. MSc. DÁMASO ROJAS ⎡ ⎛x⎞ 2 ⎛ x ⎞⎤ ⎡ ⎛x⎞ 2 ⎛ x ⎞⎤ Cos 2 ⎜ ⎟ − Sen ⎜ ⎟ ⎥ ⎢ Sen 2 ⎜ ⎟ + Cos ⎜ ⎟ ⎥ x ⎢ ⎝2⎠ ⎝ 2 ⎠⎥ + ⎢ ⎝2⎠ ⎝ 2 ⎠⎥ − ⎢ 2 ⎢ 2 ⎛ x ⎞ 2 ⎛ x ⎞ ⎥ ⎢ Cos ⎛ x ⎞ Sen ⎛ x ⎞ ⎥ Sen ⎜ ⎟ Cos ⎜ ⎟ ⎜ ⎟ ⎜ ⎟ ⎥ ⎢ ⎣ ⎝2⎠ ⎝2⎠ ⎥ ⎢ ⎦ ⎣ ⎝2⎠ ⎝2⎠ ⎦ y′ = 2 x Sen 2 u = 2 Sen u Cos u ; Cos 2 u = Cos 2 u − Sen 2 u ; Sen 2 u + Cos 2 u = 1 ⎡ ⎛x⎞ ⎤ ⎡ ⎤ ⎛x⎞ ⎛x⎞ ⎛ x⎞ Cos 2 ⎜ ⎟ − x Cos 2 ⎜ ⎟ + 2 Cos ⎜ ⎟ Sen ⎜ ⎟ x⎢ ⎝2⎠ ⎥ ⎢ 1 ⎥ ⎝ 2⎠ ⎝ 2⎠ ⎝2⎠ − ⎢ ⎥ + ⎢ ⎥ 2⎢ ⎛ x⎞ ⎛ x ⎞⎥ ⎢ Cos ⎛ x⎞ ⎛ x ⎞⎥ ⎛x⎞ ⎛x⎞ Sen 2 ⎜ ⎟ Cos 2 ⎜ ⎟ ⎜ ⎟ Sen ⎜ ⎟ ⎥ Sen 2 ⎜ ⎟ Cos 2 ⎜ ⎟ ⎢ ⎣ ⎝2⎠ ⎝ 2 ⎠⎦⎥ ⎢ ⎣ ⎝2⎠ ⎝ 2 ⎠⎦ ⎝2⎠ ⎝2⎠ y′ = y′ = x2 2x2 ⎛x⎞ ⎛x⎞ − x Cos ( x ) + 2 Sen ⎜ ⎟ Cos ⎜ ⎟ y′ = ⎝ 2⎠ ⎝2⎠ ⎡ 2 2 ⎛ x ⎞ 2 ⎛ x ⎞⎤ ⎢ 2 x Sen ⎜ 2 ⎟ Cos ⎜ 2 ⎟ ⎥ ⎣ ⎝ ⎠ ⎝ ⎠⎦ 3Sen x − 2Cos x 3Sen x − 2Cos x 1 56) y = ⇒y = ⇒y= 3Sen x − 2Cos x 5 5 5 1 ⎡1 ⎤ ⎢ 2 ( 3Sen x − 2Cos x ) ( 3Sen x − 2Cos x ) ′ ⎥ −1 y′ = 2 5 ⎣ ⎦ 1 ⎡1 −1 ⎤ y′ = ⎢ 2 ( 3Sen x − 2Cos x ) 2 ( (3Sen x)′ − ( 2Cos x)′ ) ⎥ 5 ⎣ ⎦ 1 ⎡1 −1 ⎤ 3 Cos x + 2 Sen x y′ = ⎢ 2 ( 3Sen x − 2Cos x ) 2 (3 Cos x + 2 Sen x) ⎥ ⇒ y′ = 5 ⎣ ⎦ 2 5 3Sen x − 2Cos x 57)f(x) = αSen 2 (βx) + βCos 2 (βx) 2 αSen( βx) Cos (βx) + 2 β 2 Cos (βx) ( − Sen (βx)) 2 Sen (βx) Cos (βx) [ α − β ] f'(x) = ⇒ f'(x) = 2 αSen (βx) + βCos (βx) 2 2 2 αSen 2 (βx) + βCos 2 (βx) 2 (Sen (βx) Cos (βx)) β [ α − β ] f'(x) = Pero:2 Cos (βx) Sen (βx) = Sen( 2 β x ) 2 αSen 2 (βx) + βCos 2 (βx) β(α − β) Sen (2 β x ) f'(x) = 2 αSen 2βx + β Cos 2 βx Senx − Cosx 58).y = Senx + Cosx ⎡ ⎛ Cosx ⎢⎜ + Senx ⎞ ⎟ ⎝ 2 Senx 2 Cosx ⎠ ( Senx + Cosx − ) ( Senx − ) ⎛ 2Cosx − 2 Senx ⎞ ⎤ Cosx ⎜ ⎝ Senx ⎟⎥ Cosx ⎠ y' = ⎢ ⎥ ⎢ ( ) ⎥ 2 ⎢ Senx + Cosx ⎥ ⎣ ⎦ 29 E-mail: damasorojas8@gmail.com, damasorojas8@galeon.com, joeldama@yahoo.com
  • 30.
    INSTITUTO UNIVERSITARIO DETECNOLOGÍA “JOSÉ ANTONIO ANZOÁTEGUI” EL TIGRE-EDO-ANZOÁTEGUI Cátedra: Matemática II Especialidades: Mecánica - Química Lic. MSc. DÁMASO ROJAS (Cosx Cosx) + Senx( Senx) ( Senx + ) ( Senx − ) (Cosx2Cosx) − Senx()Senx) 2 ( Senx Cosx) ( Senx Cosx Cosx − Cosx y' = 2 ( Senx + Cosx ) 2 2 2 2 Cosx Senx Cosx + (Cos x + Sen x) + Senx Senx Cosx − Senx Cosx Cosx + (Sen x + Cos x) − Senx Senx Cosx Y' = 2 (2 Senx Cosx Senx + Cosx )( ) Cosx Senx Cosx + 1 + Senx Senx Cosx − Senx Cosx Cosx + 1 − Senx Senx Cosx Y´= 2 ( Senx + Cosx (2 Senx Cosx ) ) 2 y' = 2 ( Senx + Cosx (2 Senx Cosx ) ) c. Funciones Trigonométricas Inversas. 1 d ( 2x − 3) 59)y = arcsen ( 2 x − 3) ⇒ y´ = . 1 − ( 2x − 3) dx 2 2 2 1 y´ = ⇒ y´ = ⇒ y´ = 1 − 4x + 12x − 9 2 −4x + 12x − 8 2 3x − x2 − 2 2x 2x 60)y = arccos(x2 ) ⇒ y´ =− ⇒ y´ =− 1 − (x2 )2 1 − x4 1 6x 61) y = arc tan(3x2 ) ⇒ y´ = 6x ⇒ y´ = 1 + ( 3x ) 2 2 1 + 9x4 ⎡1 + x ⎤ 62)y = arccot ⎢ (1 − x ) 1 − (1 + x ) ( −1) ⎥ ⇒ y´ =− ⎣1 − x ⎦ 2 ⎛1 + x ⎞ ⎟ (1 − x ) 2 1+ ⎜ ⎝1 − x ⎠ −(1 − x + 1 + x) − 2 (1 − 2x + x2 ) y´ = ⇒ y´ = ⎡ 1 + 2x + x2 ⎤ (1 − 2x + x2 + 1 + 2x + x2 ) (1 − x ) 2 (1 − x ) 2 1+ ⎢ 1 − 2x + x2 ⎥ ⎣ ⎦ − 2 (1 − x ) 2 1 y´ = ⇒ y´ = − 2 (1 + x ) (1 − x ) 1 + x2 2 2 30 E-mail: damasorojas8@gmail.com, damasorojas8@galeon.com, joeldama@yahoo.com
  • 31.
    INSTITUTO UNIVERSITARIO DETECNOLOGÍA “JOSÉ ANTONIO ANZOÁTEGUI” EL TIGRE-EDO-ANZOÁTEGUI Cátedra: Matemática II Especialidades: Mecánica - Química Lic. MSc. DÁMASO ROJAS ⎡1⎤ 63) y = x arc csc ⎢ ⎥ + 1 − x 2 ⎣x⎦ ⎡1⎤ y ´ = arc csc ⎢ ⎥ + x ( −1) ⎛ − 1 ⎞ + −2 x ⎜ 2⎟ ⎣x⎦ 1 1 2 −1 ⎝ x ⎠ 2 1 − x x x 2 1 x x ⎡1⎤ y ´ = arc csc + − ⇒ y´= arc csc ⎢ ⎥ x ⎣x⎦ 1 − x2 1 − x2 b sec 2 x 1 ⎛b ⎞ 1 a 64)y = arc tan ⎜ tan x ⎟ ⇒ y´ = 2 ab ⎝a ⎠ ab ⎛b ⎞ 1 + ⎜ tan x ⎟ ⎝a ⎠ 1 b Sec 2 x Sec 2 x 1 y´ = ⇒ y´ = 2 ⇒ y´ = 2 2 ab a (a + b an x) 2 2 2 a + b tan x 2 2 a cos x + b 2 sen 2 x a2 x2 − 4 1 ⎡x ⎤ 1 ⎡x⎤ + arc sec ⎢ ⎥ ⇒ y = x −2 ( x 2 − 4 ) + arc sec ⎢ ⎥ 1/2 65) y = 2 x 2 ⎣2 ⎦ 2 ⎣2⎦ 1/2 2x 1 1 1 y´ = − 2x −3 ( x 2 − 4 ) + x −2 ( x 2 − 4 ) 1/2 + 1/2 ( ) 2 2 x ⎛ x2 ⎞ 2 ⎜ − 1⎟ 2 ⎝ 4 ⎠ −2 ( x 2 − 4 ) 1/2 1 1 y ´= + + x (x2 − 4) x (x2 − 4) 3 1/2 1/2 x −2 ( x 2 − 4 ) + x 2 + x 2 8 y´ = ⇒ y´ = x3 ( x2 − 4) 1/2 x3 x2 − 4 x−a 66) y = ( x − a ) 2 a x − x 2 + a 2 arc sen a y´ = 2ax − x 2 + ( x − a )( 2a − 2x ) + a2 1 2 2ax − x (x − a) a 2 2 1− a2 y´ = 2ax − x 2 + ( x − a ) (a − x ) + a2 2ax − x 2 2ax − x 2 y´= 2ax − x 2 + xa − a 2 − x 2 + ax + a 2 ⇒ y´ = ( 2ax − x ) 2 ⇒ y´ = 2 2ax − x 2 2ax − x 2 2ax − x 2 31 E-mail: damasorojas8@gmail.com, damasorojas8@galeon.com, joeldama@yahoo.com
  • 32.
    INSTITUTO UNIVERSITARIO DETECNOLOGÍA “JOSÉ ANTONIO ANZOÁTEGUI” EL TIGRE-EDO-ANZOÁTEGUI Cátedra: Matemática II Especialidades: Mecánica - Química Lic. MSc. DÁMASO ROJAS 1 − tg x 67)y = arc tg 1 + tg x ⎡ ⎤ ⎢ ⎡ − Sec2 x (1 + tg x) − (1 − tg x) Sec2 x ⎤ ⎥ 1 ⎢ 1 y′ = ⎢ ⎥⎥ ⎡1 − tg x ⎤ ⎢ 1 − tg x ⎢ (1 + tg x ) 2 ⎥⎥ 1+ ⎢ ⎥ ⎢ 2 1 + tg x ⎣ 1 + tg x ⎦ ⎣ ⎦⎥ ⎣ ⎦ ⎡ ⎤ ⎡ ⎤ y′ = 1 ⎢ ⎢ 1 ⎡ − Sec2 x (1 + tg x + 1 − tg x ⎤ ⎢ ⎥ ⎥ ⎢ ⎥ ⇒ y′ = (1 + tg x) ⎢ 1 ( − Sec x ) ⎥ 2 ⎥ 1 + tg x + 1 − tg x ⎢ 1 − tg x ⎢ (1 + tg x ) 2 ⎥ ⎥ 2 ⎢ 1 − tg x (1 + tg x )2 ⎥ ⎢2 ⎣ ⎦⎥ ⎢2 ⎥ 1 + tg x 1 + tg x ⎣ ⎦ ⎣ 1 + tg x ⎦ − Sec x 2 − Sec x 2 − Sec x 2 − Sec x 2 y′ = ⇒ y′ = ⇒ y′ = ⇒ y′ = 1 − tg x 1 − tg x 2 (1 − tg x )(1 + tg x ) 2 1 − tg 2 x (1 + tg x ) (1 + tg x ) 2 2 2 2 1 + tg x 1 + tg x 1 b 68) y = arcsen x b a ⎡ ⎤ ⎡ ⎤ ⎢ ⎥ ⎢ ⎥ ⎡ b ⎤ 1 ⎢ 1 ⎥⎛ b⎞ 1 ⎢ 1 b⎥ 1 ⎢⎢ ⎥ y′ = a ⎥ ⎢ 2⎥ ⎜ ⎜ ⎟ ⇒ y′ = ⎟ ⎢ ⎥ ⇒ y′ = b ⎢a + x b⎥ 2 2 b ⎢ ⎡ b⎤ ⎥ ⎝ a ⎠ b ⎢ ⎡ b⎤ a⎥ ⎢1 + ⎢x ⎥ ⎥ ⎢1 + ⎢ x a ⎥ ⎥ ⎢ ⎣ a ⎥ ⎦ ⎣ ⎣ a⎦ ⎦ ⎣ ⎣ ⎦ ⎦ 1 ⎡ a b ⎤ a a y′ = ⎢ ⎥ ⇒ y′ = ⇒ y′ = ⎢ a (a + x b) ⎥ a (a + x 2 b) a + x2 b 2 b ⎣ ⎦ ⎡x⎤ 69)f(x) = x a 2 − x 2 + a 2arcsen ⎢ ⎥ ⇒ f´(x) = a 2 − x 2 + x ( −2x ) + a 2 1 ⎡1⎤ ⎣a ⎦ ⎢a ⎥ 2 a2 − x2 x ⎣ ⎦ 2 1− 2 a x2 a a2 − x2 − x2 + a2 f ´(x) = a 2 − x 2 − + ⇒ f´(x) = ⇒ f ´ (x) = 2 a 2 − x 2 a −x 2 2 a −x 2 2 a −x 2 2 a2 x 70) y = 3a 2 arc tg − ( 3a + 2x ) a x − x 2 a−x 3a 2 ⎡1 ⎛ x ⎞ −1 2 ⎛ ( a − x ) − x ( −1) ⎞ ⎤ ⎡ 1 ⎤ ⎟ ⎥ − ⎢2 ax − x 2 + ( 3a + 2x ) ( ax − x 2 ) 2 ( a − 2x ) ⎥ −1 y′ = ⎢ ⎜ ⎟ ⎜ ⎛ x ⎞ ⎢2 ⎝ a −x ⎠ ⎜ ( a − x ) ⎠⎦ 2 ⎟⎥ ⎣ 2 ⎦ 1− ⎜ ⎟ ⎣ ⎝ ⎝ a−x ⎠ 32 E-mail: damasorojas8@gmail.com, damasorojas8@galeon.com, joeldama@yahoo.com
  • 33.
    INSTITUTO UNIVERSITARIO DETECNOLOGÍA “JOSÉ ANTONIO ANZOÁTEGUI” EL TIGRE-EDO-ANZOÁTEGUI Cátedra: Matemática II Especialidades: Mecánica - Química Lic. MSc. DÁMASO ROJAS ⎡ ⎤ ⎢ ⎥ 3a ⎢2 a −x +x ⎥ − ⎡2 ax − x2 + ( 3a + 2x) 1 ( ax − x2 ) 2 ( a − 2x) ⎤ −1 y′ = ⎢ ⎥ a −x−x ⎢ 2⎥ ( a − x) ⎥ ⎣ x 2 ⎦ ⎢ 2 ( a − x) ⎣ a − x ⎦ ⎡ ⎤ 2 ⎢ ⎥ 3a ⎢ a ( ⎥ − ⎡( ax − x2 ) 2 2( ax − x2 ) + ( 3a + 2x)( a − 2x) ⎤) −1 y′ = ⎢ ⎥ a − 2x ⎢ x 2⎥ ⎣ ⎦ ⎢2 ( a − x) ⎥ ⎣ a −x ⎦ 3a3 − ⎡( ax − x2 ) ( 2ax − 2x + 3a2 − 6ax + 2ax − 4x2 ) ⎤ −1 y′ = 2 2 2(a − 2x) x ( a − x) ⎢⎣ ⎥ ⎦ ⎡ 3a3 ⎤ ⎡3a2 − 6x2 − 2ax ⎤ ⎡ 3a3 ⎤ ⎡3a2 − 6x2 − 2ax ⎤ y′ = ⎢ ⎥−⎢ ⎥ ⇒ y′ = ⎢ ⎥−⎢ ⎥ ⎢ 2( a − 2x) ax − x2 ⎥ ⎢ ( ax − x2 ) 2 ⎥ ⎢ 2( a − 2x) ax − x2 ⎥ ⎣ 1 ⎣ ⎦ ⎢ ⎣ ⎦ ⎢ ax − x2 ⎥ ⎦ ⎣ ⎥ ⎦ Sen x − 1 71) y = arc ctg Senx + 1 −1 ⎡ 1 ⎛ Senx − 1⎞−12 ⎛ Cosx ( Sen x + 1) − ( Senx − 1) Cosx ⎞⎤ y′ = ⎢ ⎜ ⎟ ⎜ ⎟⎥ ⎛ Senx − 1⎞ ⎢ 2 ⎝ Senx + 1⎠ ⎜ (Senx + 1) 2 ⎟ 1+ ⎜ ⎟ ⎣ ⎝ ⎠⎥ ⎦ ⎝ Senx + 1⎠ ⎡ ⎤ ⎢ ⎥ −1 ⎢ 1 ⎛ Cosx ( Sen x + 1 − Senx + 1) ⎞⎥ y′ = ⎜ ⎟⎥ Senx + 1 + Senx − 1 ⎢ ⎛ 1 ⎜ (Senx + 1) 2 ⎟ ⎢ 2 Senx − 1⎞ 2 ⎝ ⎠⎥ Sen x + 1 ⎜ ⎢ Sen x + 1 ⎟ ⎥ ⎣ ⎝ ⎠ ⎦ ⎡ ⎤ ⎢ ⎥ y′ = −1 ⎢ 1 ( 2Cosx) ⎥ 2Sen x ⎢ ⎛ 2⎥ ⎢ 2 Sen x − 1⎞ ( Senx + 1) ⎥ 1 2 Senx + 1 ⎢ ⎜ ⎟ ⎥ ⎣ ⎝ Senx + 1⎠ ⎦ − Cosx − Cosx y′ = ⇒ y′ = Sen x − 1 (Sen x − 1) (Senx + 1) 2 2Sen x (Sen x + 1) 2 Senx Senx + 1 (Senx + 1) − Cosx − Cosx − ctgx y′ = ⇒ y′ = ⇒ y′ = 2 Sen x (Sen x − 1) (Senx + 1) 2 Senx Sen2 x − 1 2 Sen2 x − 1 33 E-mail: damasorojas8@gmail.com, damasorojas8@galeon.com, joeldama@yahoo.com
  • 34.
    INSTITUTO UNIVERSITARIO DETECNOLOGÍA “JOSÉ ANTONIO ANZOÁTEGUI” EL TIGRE-EDO-ANZOÁTEGUI Cátedra: Matemática II Especialidades: Mecánica - Química Lic. MSc. DÁMASO ROJAS ⎛ 1+ x ⎞ ⎡ (1 − x) − (1 + x)( − 1) ⎤ 1 72) y = Arctg ⎜ ⎟ ⇒ y' = ⎢ ⎥ ⎝ 1− x ⎠ (1 − x)2 2 ⎛ 1+ x ⎞ ⎣ ⎦ 1+ ⎜ ⎟ ⎝ 1− x ⎠ (1 − x) + (1 + x) ⎡1 − x + 1 + x ⎤ 2 2 2 2 y' = ⎢ (1 − x)2 ⎥ ⇒ y' = (1 + x)2 + (1 + x)2 ⇒ y' = 1 − 2x + x 2 + 1 + 2x + x 2 (1 − x) 2 ⎣ ⎦ 2 2 1 y' = → y' = ⇒ y' = 2 + 2x 2 2(1 + x ) 2 1+ x2 1 1 ⎡ 2( Arcsenx) ( Arcsenx)2 (−1) ⎤ 73) y = ( Arcsenx)2 Arc cos x) ⇒ y ' = ⎢ Arc cos x + ⎥ 2 2 ⎣ 1 − x2 1 − x2 ⎦ Arcsenx Arcsenx(2 Arc cos x − Arcsenx ) y' = [ 2 Arc cos x − Arcsenx ] ⇒ y ' = 2 1− x 2 2 1 − x2 ′ ⎛ x ⎞ ⎜ ⎟ ⎛ x ⎞ ⎝ 1+ x ⎠ 2 74)y = Arcsen ⎜ ⎟ ⇒ y' = ⎝ 1+ x ⎠ 2 2 ⎛ x ⎞ 1− ⎜ ⎟ ⎝ 1+ x ⎠ 2 ⎡1 ⎤ 1 + x 2 − x ⎢ (1 + x 2 )−1/2 (2x) ⎥ ⎣2 ⎦ (1 + x 2 )1/2 − x 2 (1 + x 2 )−1/2 (1 + x ) 2 (1 + x 2 ) y' = ⇒ y' = x2 1+ x2 − x2 1− 1+ x2 1+ x2 (1 + x 2 )−1/2 ⎡1 + x 2 − x 2 ⎤ ⎣ ⎦ 1 (1 + x )2 (1 + x 2 ) 3 1+ x2 1+ x2 1 y' = ⇒ y' = ⇒ y' = ⇒ y' = ⇒ y' = 1 1 (1 + x 2 ) 3 (1 + x ) 2 3 1+ x2 1+ x2 1+ x2 ⎡ xsenx ⎤ 75)y = Arctg ⎢ ⎣1 − xcosx ⎥⎦ 1 ⎡ (Senx + x(Cosx))(1 − xcosx) + (xsenx)(Cosx + x( − Senx) ⎤ y' = ⎢ ⎥ 2 x Sen x2 (1 − xcosx)2 +1 ⎣ ⎦ (1 − xCosx)2 (Senx + xcosx)(1 − xcosx) + (xsenx)(Cosx − xSenx) y' = ⎛ (1 − xcosx)2 + (xsenx)2 ⎞ ⎟ (1 − xcosx) 2 ⎜ ⎝ (1 − xcosx)2 ⎠ 34 E-mail: damasorojas8@gmail.com, damasorojas8@galeon.com, joeldama@yahoo.com
  • 35.
    INSTITUTO UNIVERSITARIO DETECNOLOGÍA “JOSÉ ANTONIO ANZOÁTEGUI” EL TIGRE-EDO-ANZOÁTEGUI Cátedra: Matemática II Especialidades: Mecánica - Química Lic. MSc. DÁMASO ROJAS Senx − xsenx Cosx + xcosx − x 2Cos2 x + xsenx Cosx − x 2Sen 2 x y' = 1 − 2xcosx + x 2Cos2 x + x 2Sen 2 x Senx + xcosx − x 2Cos2 x − x 2Sen 2 x y' = 1 − 2xcosx + x 2 (Cos2 x + Sen 2 x) Senx + xcosx − x 2 (Cos2 x + Sen 2 x) Senx + xcosx − x 2 y' = ⇒ y' = (1 − 2xcosx + x2 ) (1 − 2xcosx + x 2 ) 1 ′ ⇒ y = ( Arctgx ) ⇒ y' =−1( Arctgx ) ( Arctgx ) −1 −2 76)y = Arctgx −1 ⎛ 1 ⎞ −1 y' = 2 ⎜ 2 ⎟ ⇒ y' = (Arctgx) ⎝ 1 + x ⎠ (1+ x ) (Arctgx)2 2 1 ′ ( Arctgx ) − (Arcsenx)3 ⇒ y' = ( Arctgx ) ( Arctgx ) −1/2 77)y = − 3(Arcsenx)2 (Arcsenx)′ 2 1 ⎛ 1 ⎞ ⎛ 1 ⎞ 1 −3(Arcsenx)2 y' = ⎜ 2 ⎟ − 3(Arcsenx)2 ⎜ ⎟ ⇒ y' = 2 Arctgx ⎝ 1 + x ⎠ ⎝ 1+ x 2 ⎠ 2 (1 + x 2 ) Arctgx 1 + x2 1 − Cosx 78)y = ArcTg 1 + Cosx −1/2 1 ⎛ 1 − Cosx ⎞ ⎜ ⎟ 2 1 + Cosx ⎠ ⎡ Senx(1 + Cosx) − (1 − Cosx)( − Senx) ⎤ y' = ⎝ ⎢ ⎥ ⎛ 1 − Cosx ⎞ ⎣ (1 + Cosx)2 ⎦ 1+ ⎜ ⎟ ⎝ 1 + Cosx ⎠ y' = [Senx(1+ Cosx +1− Cosx)] ⎛ ⎛ 1 − Cosx ⎞ ⎞ 1 − Cosx ⎜1 + ⎜ 1 + Cosx ⎟ ⎟ 2 1 + Cosx (1 + Cosx) 2 ⎝ ⎝ ⎠⎠ y' = [ 2Senx] ⇒ y' = (1 + Cosx)Senx ⎛ 1 + Cosx + 1 − Cosx ⎞ 1 − Cosx 1 − Cosx ⎜ ⎟2 (1 + Cosx)2 2 (1 + Cosx)2 ⎝ 1 + Cosx ⎠ 1 + Cosx 1 + Cosx Senx Senx y' = ⇒ y' = ⇒ 1 − Cosx 2 (1 − Cosx)(1 + Cosx) 2 (1 + Cosx) 2 1 + Cosx Senx Senx 1 y' = ⇒ y' = ⇒ y' = 2 1 − Cos x 2 2Senx 2 35 E-mail: damasorojas8@gmail.com, damasorojas8@galeon.com, joeldama@yahoo.com
  • 36.
    INSTITUTO UNIVERSITARIO DETECNOLOGÍA “JOSÉ ANTONIO ANZOÁTEGUI” EL TIGRE-EDO-ANZOÁTEGUI Cátedra: Matemática II Especialidades: Mecánica - Química Lic. MSc. DÁMASO ROJAS d. Funciones Logarítmicas y Exponenciales. ( ) ( ) 1 d ⎛ 6x log e ⎞ 79)y = log 3x 2 − 5 ⇒ y ´ = log e 3x 2 − 5 ⇒ y´ = ⎜ a ⎟ a 3x 2 − 5 a dx ⎜ 3x 2 − 5 ⎟ ⎝ ⎠ 2 ( x + 3) 2 80)y = Ln ( x + 3)2 ⇒ y´ = ⇒ y´ = ( x + 3)2 x+3 1 2 Ln ( x + 3) 81)y = Ln 2 ( x + 3) ⇒ y´ = 2 Ln ( x + 3) ⇒ y´ = x+3 x+3 sec x + tanx + sec2 x 82)y = Ln ( sec x + tanx ) ⇒ y´ = ⇒ y´ = sec x sec x + tanx 83)y = x ( sen (ln x) − cos(ln x) ) ⎛ cos(ln x) sen (ln x) ⎞ y´ = ( sen (ln x) − cos(ln x) ) + x ⎜ + ⎟ ⇒ y´ = 2sen (ln x) ⎝ x x ⎠ 3 3 84)y = ex ⇒ y´ = ex 3x 2 sen (3x) sen (3x) 85)y = e ⇒ y´ = 3cos(3x)e 86) y = x 2 ex ⇒ y´ = 2x ex + x 2ex ⇒ y´ = ex ( x 2 + 2x ) 87)y = e−x cos (x) ⇒ y´ = − e−x cos (x) + e−x ( − sen ( x) ) ⇒ y´ = e−x ( sen (x) + cos( x) ) 36 E-mail: damasorojas8@gmail.com, damasorojas8@galeon.com, joeldama@yahoo.com
  • 37.
    INSTITUTO UNIVERSITARIO DETECNOLOGÍA “JOSÉ ANTONIO ANZOÁTEGUI” EL TIGRE-EDO-ANZOÁTEGUI Cátedra: Matemática II Especialidades: Mecánica - Química Lic. MSc. DÁMASO ROJAS 88)y = x 2 e 2x cos (3x) y´ = 2x e2x cos (3x) + x 2 (2 e2x )cos(3x) + x 2 e 2x ( −3sen (3x) ) y´ = x e2x ( 2 cos (3x) + 2x cos (3x) − 3x sen (3x) ) ( )⎤ ⎡ ( 3x 2 ) ⎤ (1 − x3 ) (1 − x3 ) 89).y = ⎡ Ln ( x 3 + 2 ) ⎤ ⎡e + Ln ( x 3 + 2 ) e ( −3x 2 ) 1 − x3 ⇒ y´ = ⎢ 3 ⎥e ⎣ ⎦⎢⎣ ⎥ ⎦ ⎢ ( x + 2) ⎥ ⎣ ⎦ (1 − x3 ) ⎡1 − ( x + 2 ) Ln ( x + 2 ) ⎤ 3 3 (1 − x ) ⎡ 1 ⎤ − Ln ( x 3 + 2 ) ⎥ ⇒ y´ = 3x 2 e 3 y´ = 3x 2 e ⎢ x3 + 2 ⎢ ⎥ ⎣ ⎦ ⎢ ⎣ ( x3 + 2) ⎥ ⎦ (1 − x ) 1 − x 3 + 2 Ln x 3 + 2 ( ( ) ( ) ) 3 3x 2 e y´ = (x 3 + 2) ' x2 − 1 x2 − 1 ⎛ 2 ⎞ 90)y = 4e ⇒ y′ = 4e Ln 4 ⎜ e x − 1 ⎟ ⎜ ⎟ ⎝ ⎠ x −1 2 ⎡ 1 −1 ⎤ Ln 4 ⎢e x − 1 ( x 2 − 1) 2 (2x) ⎥ 2 y′ = 4e ⎢ ⎣ 2 ⎥ ⎦ ⎛ x2 − 1 ⎞ Ln 4 ⎟ x e x − 1 2 ⎜ 4e ⎜ ⎟ x2 − 1 ⎡ −1 ⎤ Ln 4 ⎢ x e x − 1 ( x 2 − 1) 2 ⎥ ⇒ y′ = ⎝ ⎠ 2 y′ = 4e ⎢ ⎣ ⎥ ⎦ x2 − 1 e 2x − 1 e x − e− x e2x − 1ex 91)F(x) = ⇒ F(x) = 2x ⇒ F(x) = 2x e x + e− x e +1 e +1 e x 2 e 2x ( e2x + 1) − ( e2x − 1)( 2 e 2x ) 2 e 2x ⎡ e 2x + 1 − e2x + 1⎤ ⎣ ⎦ 4e 2x F´(x) = ⇒ F´(x) = ⇒ F´(x) = (e + 1) (e + 1) (e + 1) 2x 2 2x 2 2x 2 37 E-mail: damasorojas8@gmail.com, damasorojas8@galeon.com, joeldama@yahoo.com
  • 38.
    INSTITUTO UNIVERSITARIO DETECNOLOGÍA “JOSÉ ANTONIO ANZOÁTEGUI” EL TIGRE-EDO-ANZOÁTEGUI Cátedra: Matemática II Especialidades: Mecánica - Química Lic. MSc. DÁMASO ROJAS e− x 92) y = x ⇒ y´= −e −x ( e + 1) − e ( e ) x −x x e +1 ( e + 1) x 2 −e − x ⎡ e x + 1 + e x ⎤ ⎣ ⎦ ⇒ y´= − e ⎡ 2e + 1⎤ −x ⎣ x ⎦ y´ = ( e + 1) ( e + 1) x 2 x 2 1+ 1 (1 + x 2 )−1/2 ( 2x ) ( 93)y = Ln x + 1 + x 2 ) ⇒ y´ = 2 x + 1+ x 2 1 + x (1 + x )1/2 + x 2 y´ = (1 + x )1/2 ⇒ y´ = 2 (1 + x )1/2 2 1/2 1/2 x + (1 + x ) 2 x + (1 + x ) 2 ⎡ 2 1/2 ⎤ ⎢ (1 + x ) ⎣ + x⎥ ⎦ 1 y´ = ⇒ y´ = ⎡ 1/2 ⎤ ⎢ x + (1 + x ) ⎦ (1 + x ) 2 ⎥ 2 1/2 (1 + x )2 ⎣ 1 ⎛ 1 − x2 1 − x2 ⎞ 2 ⎜ ⎟ ⎜ ⎟ x2 + 1 x + 1⎟ 2 94)F(x) = e ⎜ ⇒ y =e ⎜ ⎟ ⎝ ⎠ 1 ⎛ 1 − x2 ⎞ 2 −1 ⎛ 2 ⎞ ⎜1 − x ⎟ 2 ⎜ ⎟ ⎛ ⎞ ⎜ ( − 2x) ( x + 1) − (1 − x 2x ) ⎟ ⎜ ⎟ 2 2 ⎜ x + 1⎠ 1 ⎜ x + 1⎟ 2 ⎟ ⎜ y´ = e ⎜ ⎝ ⎟ ⎜ ⎝ 2 ⎟ ⎟ ⎠ ⎜ ⎟ 2 ⎜ ⎝ ( x 2 + 1)2 ⎟ ⎠ 1 − x2 1 − x2 ( ) ⎥ ⇒ y´ = 1 e x + 1 x 2 + 1 ⎡ −2x x 2 + 1 + 1 − x 2 ⎤ 2 ⎡ ⎤ 1e ⎢ ⎢ −2 x (2) ⎥ y´ = 1 − x2 ⎢ ( x 2 + 1) ⎥ ⎢ ( x 2 + 1)2 ⎥ 2 2 2 1 − x2 ⎣ ⎦ ⎣ ⎦ x2 + 1 x2 + 1 1 − x2 1 − x2 x2 + 1 x2 + 1 −2 x e −2 x e y´ = ⇒ y´ = (1 − x ) ( x 2 2 + 1) (1 − x ) ( x 2 2 + 1) 3 ( x + 1) 2 38 E-mail: damasorojas8@gmail.com, damasorojas8@galeon.com, joeldama@yahoo.com
  • 39.
    INSTITUTO UNIVERSITARIO DETECNOLOGÍA “JOSÉ ANTONIO ANZOÁTEGUI” EL TIGRE-EDO-ANZOÁTEGUI Cátedra: Matemática II Especialidades: Mecánica - Química Lic. MSc. DÁMASO ROJAS ( ) 2 ( x + 4 + x2 )′ ( ) ⇒y= 2 95)y = Ln x + 4 + x2 (x + 4+ x ) 2 2 y' = ( 2 x + 4 + x2 (1+ ) 1 2 ( 4 + x2 ) ( 2x) ) −1/2 2 ⎡1+ ( 4 + x2 ) ⎤ ⇒ y' = ⎣ ⎢ −1/2 ⎥ ⎦ ( x + 4 + x2 2 ) x + 4+ x 2 ( ) 2 ⎢( 4 + x2 ) + x⎤ ⎡ 1/2 ⎡ ⎤ ⎡ ( 4 + x2 )1/2 + x ⎤ 2⎢1+ x ⎥ ⇒ y' = 2 ⎢ ⎥ ⇒ y' = ⎣ ⎥ ⎦ 2 y' = ⇒ y' = x + 4 + x2 ⎢ ( 4 + x2 ) ⎥ ⎢ ( 4 + x2 ) ⎥ ⎡( 4 + x2 )1/2 + x⎤ ( 4 + x2 )1/2 1/2 1/2 x + 4 + x2 4 − x2 ⎣ ⎦ ⎣ ⎦ ⎢ ⎣ ⎥ ⎦ 2Lnx 1 2Ln x − x 2 96)y = Ln2x − Ln(Lnx) ⇒ y' = − ⇒ y' = x xLnx xLnx (α x) (αsen(βx) −βCos(βx)) e 97)f(x) = α 2 + β2 ⎡ ⎤ ⎡−α βCos(βx) − β2Sen(βx)⎤ eα x + ⎢α 2eα xSen(βx) −αβeα xCos(βx)⎥ ⎣ ⎦ f'(x) = ⎣ ⎦ α +β 2 2 α x ⎡2α βCos(βx) + Sen(βx)(β2 −α 2 )⎤ −eα x (α βCos(βx) + β2Sen(βx) −α 2Sen(βx) + α βCos(βx)) −e ⎣ ⎦ f'(x) = ⇒ f'(x) = α 2 + β2 α +β 2 2 ⎡1+ Cosx ⎤ 98)y = Ln ⎢ ⎥ + 2ArcTg ( Cosx ) ⎣1− Cosx ⎦ 1 −1/2 1 −1/2 ( Cosx) ( − Senx) ⎡1 − Cosx ⎤ − (1 + Cosx) ( Cosx) ⎣ ⎦ ( − Senx)1 2( 1( Cosx)−1/2 (−Senx)) y' = 2 2 + 2 ( 1+ Cosx 1− Cosx ⎣ ) ⎡1 − Cosx ⎤ ⎦ 2 1+Cosx y' = −Senx 2 Cosx [ 1− Cosx −(1+ Cosx) Senx ] 2 Cosx + Senx ( ) (1+ Cosx)(1− Cosx) (1+Cosx) Cosx −Senx 2 Cosx ( 1− Cosx +1+ Cosx Senx ) y' = + (1+ Cosx)(1− Cosx) (1+Cosx) Cosx 39 E-mail: damasorojas8@gmail.com, damasorojas8@galeon.com, joeldama@yahoo.com
  • 40.
    INSTITUTO UNIVERSITARIO DETECNOLOGÍA “JOSÉ ANTONIO ANZOÁTEGUI” EL TIGRE-EDO-ANZOÁTEGUI Cátedra: Matemática II Especialidades: Mecánica - Química Lic. MSc. DÁMASO ROJAS −2Senx −Senx 2 Cosx Senx Cosx Senx y' = + ⇒ y' = − (1 + Cosx)(1 − Cosx) (1+Cosx) Cosx (1+ Cosx)(1− Cosx) (1+Cosx) Cosx Senx Cosx − Senx Senx Senx y' = ⇒ y' = − (1−Cosx) (1+Cosx) Cosx (1−Cosx) Cosx (1+Cosx) Cosx Senx(1+Cosx)−Senx(1−Cosx) Senx(1+Cosx−1+Cosx) y' = ⇒ y' = (1−Cosx)(1+Cosx) Cosx (1−Cos2x) Cosx Senx(2Cosx) (2Cosx) 2Ctgx y' = 2 ⇒ y' = ⇒ y' = Sen x Cosx Senx Cosx Cosx 2 tg x − 2 tg x + 1 99)y = 4 ln tg x + 2 tg x + 1 + 2 2 arctg ( 2 tg x −1 + ) 2 2 arctg ( ) 2 tg x + 1 ⎛ ⎛ 2 Sec2 x ⎞ ⎛ 2 Sec2 x ⎞ ⎞ ⎜ ⎜ Sec x − ⎜ ⎛ 2 ⎞ ⎜ tg x +1 + 2tg x ⎝ ⎟ 2tg x ⎠ ( ⎟ tgx +1+ 2tg x − ⎜ Sec x + ⎜ ⎟ 2tg x ⎠ ) ⎟ tgx +1− 2tg x ( )⎟ ⎟ y´ = ⎜ ⎟ ⎜ ⎝ ⎜ 4 ⎟ tg x + 1− 2tg x ⎟ ( ) 2 ⎝ ⎠⎜ tgx + 1 + 2tg x ⎟ ⎜ ⎟ ⎝ ⎠ ⎛ ⎞ ⎛ ⎞ ⎜ 2 Sec2 x ⎟ ⎜ 2 Sec2 x ⎟ +⎜ . + . ( ) 2tg x ⎟ ⎜ 1 + 2tg x − 1( 2tg x ⎟ ) 2 2 ⎜ 1 + 2tg x − 1 ⎟ ⎜ ⎟ ⎝ ⎠ ⎝ ⎠ 2 Sec x Factor común: 2tg x ( )( ) ( ⎛ 2 Sec2 x ⎞ ⎛ 2tg x −1 tg x +1+ 2tg x − 2tg x + 1 tg x +1− 2tgx ⎞ y´ = ⎜ ⎜ ⎟ )( ) ⎜ 4 2tg x ⎟ ⎜ ⎝ ⎟ ⎠⎝ ( )( tg x +1− 2tg x tg x +1+ 2tg x ⎟ ⎠ ) ⎛ 2 ( tg x + 1) ⎞ +⎜ ⎟ ( )( ⎜ tg x +1− 2tg x tg x +1+ 2tg x ⎟ ⎝ ⎠ ) Sec2 x 4tg x y´ = . = tg x 2tg x ( tg x + 1) − 2tg2 x 2 2 ⎛ 1 ⎞ 1 2x ⎜x + ⎟ +2 + ln ⎝ 2⎠ 100)y = 2 arctg 1 − x2 ⎛ 1 ⎞ 2 1 ⎜x − ⎟ +2 ⎝ 2⎠ ⎡ ⎤⎡ ⎡ 2 ⎤ ⎡ 2 ⎤⎤ 1 ⎥ ⎢ 2 ⎛ x + 1 ⎞ ⎢⎛ x + 1 ⎞ + 1 ⎥ − 2 ⎛ x + 1 ⎞ ⎢⎛ x + 1 ⎞ + 1 ⎥ ⎥ 2 ⎢ ⎛ 1 ⎞ x− + ⎜ ⎟ ⎜ ⎟ 2 ⎜ ⎟ ⎜ ⎟ ⎢ 2 2 (1 − x + 2x ) ⎜ ⎟ 2⎥⎢ ⎝ 2⎦ ⎥ 2 2 ⎝ 2⎠ 2 ⎠ ⎣⎝ ⎢ 2⎠ ⎥ ⎦ ⎝ 2 ⎠ ⎣⎝ ⎢ 2⎠ ⎥ y´= ⎢ 2 + 2 ⎥⎢ 2 ⎥ ⎢ ⎛ 2x ⎞ ⎛ 1 ⎞ 1 ⎥⎢ ⎡⎛ 1 ⎞ 2 1⎤ ⎥ ⎢1 + ⎜ 1 − x2 ⎟ (1 − x ) ⎜ 2 2 x+ ⎟ +2 ⎥⎢ ⎢⎜ x + ⎟ + 2⎥ ⎥ ⎝ 2⎠ ⎣ ⎝ ⎠ ⎦⎢⎣ ⎣⎝ ⎢ 2⎠ ⎥ ⎦ ⎥ ⎦ 40 E-mail: damasorojas8@gmail.com, damasorojas8@galeon.com, joeldama@yahoo.com
  • 41.
    INSTITUTO UNIVERSITARIO DETECNOLOGÍA “JOSÉ ANTONIO ANZOÁTEGUI” EL TIGRE-EDO-ANZOÁTEGUI Cátedra: Matemática II Especialidades: Mecánica - Química Lic. MSc. DÁMASO ROJAS 2 2 (1− x2 ) 2 y´ = + (*) ⎡(1 − x2 )2 + 2x2 ⎤ (1 − x2 ) 2 ⎢ ⎣ ⎥ ⎦ ⎡⎛ 1 ⎞⎛ 1 ⎞ 2 1⎛ 1 ⎞ ⎛ 1 ⎞⎛ 1 ⎞ 2 1⎛ 1 ⎞⎤ 2 ⎢⎜ x + ⎟⎜ x + ⎟ + 2⎜x + ⎟ − ⎜x − ⎟⎜ x + ⎟ − 2⎜x + ⎟⎥ ⎢⎝ 2 ⎠⎝ 2⎠ ⎝ 2⎠ ⎝ 2 ⎠⎝ 2⎠ ⎝ 2⎠⎥ (*) ⎣ ⎦ ⎡⎛ 1 ⎞ 2 1 ⎤ ⎡⎛ 1 ⎞ 2 1 ⎤ ⎢⎜ x + ⎟ + 2 ⎥ ⎢⎜ x − ⎟ + 2⎥ ⎢⎝ ⎣ 2⎠ ⎥ ⎢⎝ ⎦⎣ 2⎠ ⎥ ⎦ ⎧⎛ 1 ⎞⎛ 1 ⎞ ⎡⎛ 1 ⎞ ⎛ 1 ⎞⎤ 1 ⎡⎛ 1 ⎞ ⎛ 1 ⎞⎤ ⎫ 2 2 (1− x ) 2 ⎨⎜ x + 2 ⎟⎜ x − ⎟ ⎢⎜ x − ⎟ −⎜ x + ⎟⎥ + 2 ⎢⎜ x + ⎟− ⎜ x− ⎟⎥ ⎬ ⎩⎝ 2 ⎠⎝ 2 ⎠ ⎣⎝ 2⎠ ⎝ 2 ⎠⎦ ⎣⎝ 2⎠ ⎝ 2 ⎠⎦ ⎭ y´ = + 1 + x4 ⎡( x2 + 1) + 2 x ⎤ ⎡( x2 +1) − 2 x ⎤ ⎣ ⎦⎣ ⎦ ⎡ 2 ⎤⎛ 1 ⎞⎛ 1 ⎞ 1 2 ⎡ ⎛ 2 1 ⎞ ⎤ 2 2 (1− x ) 2 ⎢− ⎥ ⎜ x + 2 ⎟⎜ x + ⎟+ 2 2 (1− x ) 2 ⎢−2 ⎜ x − ⎟ + 1⎥ ⎣ 2 ⎦⎝ 2 ⎠⎝ 2⎠ 2 2 ⎣ ⎝ 2⎠ ⎦ y´ = + ⇒ y´= + 1 + x4 ( x2 + 1) − 2 x2 1 + x4 1+ x4 2 2 2 (1 + x2 ) 2 ( −2 x2 + 2) y´= + 1 + x4 1 + x4 2 2 (1 + x2 ) + 2 2 (1 − x2 ) 2 2 ⎡(1 + x2 ) + 2 2 (1 − x2 ) ⎤ ⎣ ⎦= 4 2 y´ = = 1 + x4 1+ x 4 1 + x4 1 5 1 ( x + 2) + LN ( 2x2 − 4x + 3) − 2 arctg ⎡ 2 ( x −1) ⎤ 2 101)y = ⎣ ⎦ 2 4 2 5 ( 4x − 4) 2⎡ 2 ⎤ y' = ( x + 2) + − ⎢ 2⎥ 4 ( 2x 2 − 4x + 3) 2 ⎢1 + 2 ( x −1) ⎥ ⎣ ⎦ 20 ( x −1) 1 5 ( x −1) 1 y' = ( x + 2) + − ⇒ y' = ( x + 2) + − 2 4 ( 2x − 4x + 3) 1 + 2x − 4x + 2 ( 2x − 4x + 3) 2x − 4x + 3 2 2 2 ( x + 2) ( 2x2 − 4x + 3) + 5x − 5 −1 2x3 − 4x 2 + 3x + 4x 2 − 8x + 6 + 5x − 5 − 1 2x3 y' = ⇒ y' = ⇒y= 2 ( 2x 2 − 4x + 3) 2x 2 − 4x + 3 2x − 4x + 3 41 E-mail: damasorojas8@gmail.com, damasorojas8@galeon.com, joeldama@yahoo.com
  • 42.
    INSTITUTO UNIVERSITARIO DETECNOLOGÍA “JOSÉ ANTONIO ANZOÁTEGUI” EL TIGRE-EDO-ANZOÁTEGUI Cátedra: Matemática II Especialidades: Mecánica - Química Lic. MSc. DÁMASO ROJAS ⎛ π⎞ ⎛ π⎞ ⎛ π ⎞⎛ 1 ⎞ 102)y = Xsen ⎜ Lnx − ⎟ ⇒ y' = Sen ⎜ Lnx − ⎟ + Xcos ⎜ Lnx − ⎟ ⎜ ⎟ ⎝ 4⎠ ⎝ 4⎠ ⎝ 4 ⎠⎝ x ⎠ ⎛ π⎞ ⎛ π⎞ y' = Sen ⎜ Lnx − ⎟ + Cos ⎜ Lnx − ⎟ ⇒ Sen(A ± B) = SenA.CosB ± CosA.SenB; ⎝ 4⎠ ⎝ 4⎠ Cos(A ± B) = CosA.CosB ∓ SenA.SenB ⎛π⎞ ⎛π⎞ ⎛π⎞ ⎛π⎞ y' = Sen (Lnx) Cos ⎜ ⎟ − Cos(Lnx)Sen ⎜ ⎟ + Cos(Lnx) Cos ⎜ ⎟ + Sen ⎜ ⎟ Sen (Lnx) ⎝4⎠ ⎝4⎠ ⎝4⎠ ⎝4⎠ 2 2 2 2 y' = Sen(Lnx) − Cos(Lnx) + Cos(Lnx) + Sen(Lnx) ⇒ y' = 2 Sen(Lnx) 2 2 2 2 e. Derivadas Implícitas. −2x x 103)x 2 + y2 = 1 ⇒ 2x + 2yy´ = 0 ⇒ y´ = ⇒ y´ =− 2y y y y [ y + xy´] 104)ex + e + Ln (x y) = 2 ⇒ ex + y´e − =0 xy y xyex + xyy´e − ( y + xy´) y = 0 ⇒ xyex + xyy´e − ( y + xy´) = 0 x.y xyex − y + y´ ⎡xye − x ⎤ = 0 ⇒ ⎡ xye − x ⎤ = − xyex + y ⇒ y´ = y y ( − xyex − y ⇒ y´ = ) y − xyex ⇒ y´ = y(1 − xex ) ⎢ ⎣ ⎥ ⎦ ⎢ ⎣ ⎥ ⎦ y y y x ye − x xye − x x(ye − 1) 105)x 2 + y2 + 2x − 4y − 6 = 0 ⇒ 2x + 2yy´ + 2 − 4y´ = 0 2x + 2 + y´ ( 2y − 4) = 0 ⇒ y´ = − ( 2x + 2) ⇒ y´ = − ( x + 1) 2y − 4 ( y − 2) y 1 y y 1 106)ex + Lny = e Ln x ⇒ ex + y´ = y´ e Lnx + e y x y y y y´ y e xyex + xy´ − xyy´e Lnx − ye ex + − y´e Lnx − = 0⇒ =0 y x xy y y y y y xyex + xy´ − xyy´e Lnx − ye = 0 ⇒ xy´ − xyy´e Lnx − ye =− xyex + ye x y y´ ⎡ x − xyey Ln x ⎤ =− xyex + yey ⇒ y´ = y(-xe + e ) ⎢ ⎣ ⎥ ⎦ y x(1− ye Ln x) 42 E-mail: damasorojas8@gmail.com, damasorojas8@galeon.com, joeldama@yahoo.com
  • 43.
    INSTITUTO UNIVERSITARIO DETECNOLOGÍA “JOSÉ ANTONIO ANZOÁTEGUI” EL TIGRE-EDO-ANZOÁTEGUI Cátedra: Matemática II Especialidades: Mecánica - Química Lic. MSc. DÁMASO ROJAS 1 1 107). + xy + = 0 ⇒ x − 1 + xy + y − 1 = 0 ⇒ −x − 2 + y + xy′ − y − 2 y′ = 0 x y −1 y′ − y2 + x2 y3 + x3y2y1 − x2y1 + y + xy′ − = 0⇒ = 0 x2 y 2 x2y2 − y2 + x2y3 + x3 y2 y′ − x2 y′ = 0 ⇒ x3 y2 y′ − x2 y′ = y2 − x2y3 2 2 3 y2 ⎛1 − x2y ⎞ ⎜ ⎟ y´ ⎡x3 y2 − x2 ⎤ = y2 − x2 y3 ⇒ y´ = y − x y ⇒ y´ = ⎝ ⎠ ⎢ ⎣ ⎥ ⎦ ⎡x3 y2 − x2 ⎤ x2 ⎡xy2 − 1⎤ ⎢ ⎣ ⎥ ⎦ ⎢ ⎣ ⎥ ⎦ 108).xy + x − 2y − 1 = 0 ⇒ y + xy´ + 1 − 2y´ = 0 xy´ − 2y´ + y + 1 = 0 ⇒ y´ (x − 2) = − (y + 1) − (y + 1) − (y + 1) y´ = ⇒ y´ = (x − 2) (2 − x ) 109). x2y − xy2 − x2 + y2 = 0 ⇒ 2xy + x2y´ − ⎛ y2 + 2x yy´⎞ − 2x + 2yy´ = 0 ⎜ ⎟ ⎝ ⎠ 2xy + x2y´ − y2 − 2x yy´ − 2x + 2yy′ = 0 ⇒ x2y′ − 2xyy´ + 2yy´ = − 2xy + y2 + 2x − 2xy + y2 − 2x y ⎡x2 − 2xy + 2y ⎤ − 2xy + y2 + 2x ⇒ y´ = ⎢ ⎥ ⎣ ⎦ x2 − 2xy + 2y 110). x3 y + xy3 = 2 ⇒ 3xy + x3y´ + y3 + 3x y2y´ = 0 − ⎛ 3xy + y3 ⎞ ⎜ ⎟ y´ ⎡x3 + 3xy2 ⎤ = − 3xy − y3 ⇒ y´ = ⎝ ⎠ ⎢ ⎥ ⎣ ⎦ x3 + 3xy2 111). x2 − xy + y2 = 3 ⇒ 2x − y − xy ′ + 2yy ′ = 0 y − 2x − xy ′+2yy ′ = y − 2x ⇒ (2y − x ) y´ = y − 2x ⇒ y´ = 2y − x 43 E-mail: damasorojas8@gmail.com, damasorojas8@galeon.com, joeldama@yahoo.com
  • 44.
    INSTITUTO UNIVERSITARIO DETECNOLOGÍA “JOSÉ ANTONIO ANZOÁTEGUI” EL TIGRE-EDO-ANZOÁTEGUI Cátedra: Matemática II Especialidades: Mecánica - Química Lic. MSc. DÁMASO ROJAS 112) y ´ = y − 2x ⇒ y´ = ( 2y − x )( y´ − 2 ) − ( y − 2x )( 2y´ − 1) 2y − x ( 2y − x ) 2 y´ = ( 2y − x ) y´-2 ( 2y − x ) − y ( 2y′ − 1) + 2 x ( 2y′ − 1) ( 2y − x ) 2 2yy′ − xy´-4y + 2x − 2yy′ + y + 4 xy ′ − 2 x y′ = ( 2y − x ) 2 y´ = ( 2y − x − 2y + 4x ) y´ − 3y = 3x y´ − 3y = (y − 2x)(3x − 3y) ( 2y − x ) 2 ( 2y − x ) 2 ( 2y − x ) 2 (2y − x) 3xy − 6x 2 − 6y 2 + 3xy 6 ( xy − x − y ) 2 2 18 y´ = = =− ( 2y − x ) 3 ( 2y − x ) 3 ( 2y − x ) 3 113)3x 4 y 2 − 7xy 3 = 4 − 8y ⇒ 12x 3 y 2 + 6x 4 yy´ + 7y 3 + 27xy 2 y´ − 8y 12x 3 y 2 + 7y 3 2x 3 y 2 + 7y 3 = 8y´ − 6x 4 yy´ − 21xy 2 y ⇒ = y´ 8 − 6x 4 y − 21xy 2 ( ⎢ ⎣ ) 114) 3 − 3 ln ⎡ y 2 + 1 − 3 ln x ⎤ + 3 + ⎥ ⎦ ( ) ( ) ( 3 ln ⎡ y 2 + 1 + 3 ln x ⎤ = c ⎢ ⎣ ⎥ ⎦ ) 1− 3 1+ 3 2yy´ + 2yy´ ( 3− 3 ) x + 3+ 3 x =0 ( ) y 2 + 1 − 3 ln x ( y ) 2 + 1 + 3 ln x ( ) 2xyy ´ + 1 − 3 ( ) 2xyy´ + 1 + ( 3 ) (3 − 3 ) x ⎡ y =0 ( + 3+ 3 ) x ⎡y ⎣ + 1 − 3 ln x ⎤ 2 ⎦ ( ⎣ 2 ) + 1 + 3 ln x ⎤ ⎦ ( ) ( ) ( ) ( 3 − 3 ⎡ y + 1 + 3 ln x ⎤ ⎡ 2xyy´ + 1 − 3 ⎤ + 3 + 3 ⎡ y + 1 − 3 ln x ⎤ ⎡ 2xyy´ + 1 + 3 ⎤ = 0 ⎣ 2 ⎦⎣ ⎦ ⎣ 2 ⎦⎣ ⎦ ) ( ) ( ) ( ) 2xyy´ 3 − ( ) ( ) 3 ⎡ y 2 + 1 + 3 ln x ⎤ + 3 − 3 1 − 3 ⎡ y 2 + 1 + 3 ln x ⎤ + (*) ⎣ ⎦ ⎣ ⎦ ( )( ) ( ) ( ) ( (*) 2xyy´ 3 + 3 ⎡ y 2 + 1 − 3 ln x ⎤ + 3 + 3 1 + 3 ⎡ y 2 + 1 − 3 ln x ⎤ = 0 ⎣ ⎦ ⎣ ⎦ ) ( )( ) ( ) ⎣{ ( 2xyy´ y 2 ⎡ 3 − ) ( 3 )⎤ + ⎣(3 − 3 )(1 + 3 ) + (3 + 3 )(1 − 3 )⎤ ln x} = 3 + 3+ ⎦ ⎡ ⎦ { ( − y2 ⎡ 3 − ⎣ 3 )(1 − 3 ) + ( 3 + 3 )(1 + 3 ) ⎤ + ⎡( 3 − 3 )(1 − 3 )(1 + 3 ) + ( 3 + 3 )(1 + 3 )(1 − 3 ) ⎤ ln x} ⎦ ⎣ ⎦ − (12y 2 − 12 ln x ) 12 ( ln x − y 2 ) ln x − y 2 y´ = = = 2xy ( 6y 2 ) 12xy 3 xy 3 44 E-mail: damasorojas8@gmail.com, damasorojas8@galeon.com, joeldama@yahoo.com
  • 45.
    INSTITUTO UNIVERSITARIO DETECNOLOGÍA “JOSÉ ANTONIO ANZOÁTEGUI” EL TIGRE-EDO-ANZOÁTEGUI Cátedra: Matemática II Especialidades: Mecánica - Química Lic. MSc. DÁMASO ROJAS f. Derivación logarítmica. Este método consiste en aplicar Logaritmos en ambos lados de la ecuación, luego se utilizan las propiedades logarítmicas y después, los teoremas sobre derivación, para determinar la primera derivada. x (1 − x 2 ) 2 1 115) y = ⇒ Lny = Ln x + 2Ln (1 − x 2 ) − Ln (1 + x 2 ) (1 + x ) 1 2 2 2 1 1 2 x 1 1 − 4x x 2 ( y´ = + − 2x ) − ⇒ y´ = + − x 1− x 2 (1 + x ) 1− x 2 (1 + x 2 ) 2 2 y y x x (1 − x 2 ) 2 ⎡1 4x x ⎤ ⎡1 4x x ⎤ y´ = y ⎢ − − ⎥ ⇒ y´ = ⎢ − − ⎥ ⎢x 1 − x 2 (1 + x 2 ) ⎥ (1 + x 2 ) 2 ⎢x 1 − x 2 (1 + x 2 ) ⎥ 2 1 2 ⎣ ⎦ ⎣ ⎦ 3 ⎡ 2x − 1 ⎤ ⎢(1 − 2x) e ⎡ ( 2x − 1) − 2Lnx − 1 Ln( 2−3x)⎤ 1/2 ⎥ 116)F(x) = Ln ⎢ ⎥ ⇒ F(x) = 3⎢Ln (1− 2x) + Lne ⎥ ⎢ x2 2 − 3x ⎥ ⎢ ⎣ 2 ⎥ ⎦ ⎣ ⎦ F´(x) =3⎢ ⎡ ( −2) 1 + ( 2x − 1)−1/2 ( 2) − − 2 ( −3) ⎤ ⇒ F´(x) = 3⎡ −2 + ⎢ 1 2 − + 3 ⎤ ⎥ ⎥ ⎣ (1 − 2x) 2 x 2 ( 2 −3x) ⎦ ⎢(1 − 2x) ( 2x − 1)1/2 x 2 ( 2 − 3x) ⎥ ⎣ ⎦ ⎡⎛ −2 + 2 2x − 1 1/2 ⎞ F´(x) = 3⎢⎜ ( ) ⎟ − ⎛ 4 ( 2 − 3x) + 3x ⎞⎤ ⎥ ⎜ ⎜ 2x ( 2 −3x) ⎟⎥ ⎟ ⎢⎜ (1 − 2x) ⎟ ⎝ ⎠⎦ ⎣⎝ ⎠ 1 117)y = (1 + x) ⇒ Lny = Ln (1 + x) ⇒ Lny = Ln (1 + x) 1/x 1/x x y´ 1 1 ⎡ 1 ⎤ y´ 1 ⎡ Ln (1 + x) 1 ⎤ 1/x 1 ⎡ Ln (1 + x) 1 ⎤ = − Ln (1+ x) + ⎢ ⎥⇒ y = x ⎢ + ⎥ ⇒ y´=(1 + x) ⎢ + ⎥ y x2 x ⎣1 + x ⎦ ⎣ x 1 + x⎦ x⎣ x 1 + x⎦ ( ) ( ) ( ) 1 1 1 118) y = 1 − x2 x2 ⇒ Lny = Ln 1 − x2 x2 ⇒ Lny = Ln 1 − x2 x2 y′ −2 = y x3 ( Ln 1 − x2 + ⎜ x ⎝ ) 1 ⎛ −2x ⎞ y′ −2 ⎟⇒ = 2 ⎜ 1 − x2 ⎟ y x3 ⎠ Ln 1 − x2 − 2 x (1 − x2) ( ) ( y′ = − 2 1 − x 1 ⎡ Ln 1 − x2 2 x2 ⎢ ) + 1 ⎤ ⎥ ( ) ⎢ ⎢ ⎣ x3 ⎥ x − x2 + 1 ⎥ ⎦ ( ) 45 E-mail: damasorojas8@gmail.com, damasorojas8@galeon.com, joeldama@yahoo.com
  • 46.
    INSTITUTO UNIVERSITARIO DETECNOLOGÍA “JOSÉ ANTONIO ANZOÁTEGUI” EL TIGRE-EDO-ANZOÁTEGUI Cátedra: Matemática II Especialidades: Mecánica - Química Lic. MSc. DÁMASO ROJAS y y ⎛1⎞ ⎛1⎞ y ⎛1⎞ 119)y x ⇒ ln y = ln x 3x ⎜ ⎟ 3x ⎜ ⎟ = ⎝3⎠ ⎝3⎠ ⇒ 3x ln y = ⎜ ⎟ ln x ⎝3⎠ y y y y y´ ⎛1⎞ 1 ⎛1⎞ 1 3x y´ ⎛1⎞ 1 ⎛1⎞ 1 (3x) (ln 3) ln y + (3x ) = y´ ⎜ ⎟ ln .ln x + ⎜ ⎟ ⇒ − y´ ⎜ ⎟ ln .ln x = ⎜ ⎟ − 3x ln 3.ln y y ⎝ 3⎠ 3 ⎝ 3⎠ x y ⎝ 3⎠ 3 ⎝ 3⎠ x ⎛ x y ⎞ ⎛ 1 ⎞y ⎡⎛ 1 ⎞ y ⎤ ⎛1⎞ y ⎢ ⎜ ⎟ − x3x ln 3.lny ⎥ ⎜ 3 + y ⎜ ⎟ ln 3.ln x ⎟ ⎜ ⎟ − x3 ln 3.ln y x ⎝3⎠ ⎟= ⎝ 3⎠ ⎢⎝ 3 ⎠ ⎥ y´ ⎜ ⇒ y´ = ⎣ ⎦ ⎜ y ⎟ x ⎛1⎞ y ⎜ ⎟ y 3x + y ⎜ ⎟ ln3.ln x ⎝ ⎠ ⎝3⎠ 1 Cos x 1 (Cos x) 2 120) y = Cos x a ⇒ Ln y = Ln ( Cos x ) 2 + Ln a 1 y′ 1 Sen x 1 −1 Ln y = Ln Cos x + Cos x Ln a ⇒ =− + ( Cos x ) 2 ( − Sen x ) Ln a 2 y 2 Cos x 2 ⎡ ⎤ y′ 1 = − tg x + ( − Sen x ) Ln a ⇒ y′ = y ⎢ − 1 tg x − Sen x Ln a ⎥ y 2 2 Cos x ⎢ 2 −1 ⎥ ⎢ ⎣ 2 Cos x ( Cos x ) 2 ⎥ ⎦ ⎡ ⎤ ⎢ − 1 tg x − tg x ⎡ 1 tg x ⎤ y′ = y Ln a ⎥ ⇒ y′ = y ⎢ − tg x − Cos x Ln a ⎥ ⎢ 2 −1 ⎥ ⎣ 2 2 ⎦ ⎢ ⎣ 2 ( Cos x ) 2 ⎥ ⎦ y y′ = − tg x ⎡1 − Cos x Ln a ⎤ ⇒ y′ = − ( Cos x a Cos x ) tg x ⎡1 − Cos x Ln a ⎤ 2 ⎣ ⎦ 2 ⎣ ⎦ y′ ⎡ 1 ⎛ 1 ⎞⎤ 121)y = ( arc tg x ) y → Ln y = y Ln arc tg x ⇒ = y′ Ln arc tg x + y ⎢ ⎜ 2 ⎟⎥ y ⎣ arc tg x ⎝ 1 + x ⎠⎦ y′ y ⎡1 ⎤ y = y′ Ln arc tg x + ⇒ y′ ⎢ − Ln arc tg x ⎥ = y (1 + x ) arc tg x 2 ⎣y ⎦ (1 + x ) arc tg x 2 y y y′ = (1 + x ) arc tg x ⇒ y′ = (1 + x ) arc tg x 2 2 → ⇒ y′ = y2 1 1 − y Ln arc tg x ⎡ (1 + x 2 ) arc tg x ⎤ [1 − y Ln arc tg x ] − Ln arc tg x ⎢ ⎥ y y ⎣ ⎦ y y 1 xy′ 122)x = yx ⇒ Ln x = Ln y x ⇒ y Ln x = x Ln y ⇒ y′ Ln x + y = Ln y + x y y x y′ xy′ y ⎛ x⎞ y y′ Ln x + = Ln y + ⇒ y′ Ln x − = Ln y − ⇒ y′ ⎜ Ln x − ⎟ = Ln y − x y y x ⎝ y⎠ x 46 E-mail: damasorojas8@gmail.com, damasorojas8@galeon.com, joeldama@yahoo.com
  • 47.
    INSTITUTO UNIVERSITARIO DETECNOLOGÍA “JOSÉ ANTONIO ANZOÁTEGUI” EL TIGRE-EDO-ANZOÁTEGUI Cátedra: Matemática II Especialidades: Mecánica - Química Lic. MSc. DÁMASO ROJAS y x Ln y − y Ln y − y ( x Ln y − y ) y′ = x ⇒ y′ = x ⇒ y′ = Ln x − x y Ln x − x x ( y Ln x − x ) y y ' ⎛y⎞ ⎛ 2 ⎞ 2 ' ⎛y⎞ 1 ⎜ ⎟ 1 ⎜ (x + y ) ⎟ 123) arc tg ⎜ ⎟ = Ln ( x + y ) ⇒ 2 2 ⎝x⎠ = ⎜ 2 ⎝x⎠ 2 ⎛ y⎞ 2 2 ⎜ ( x + y2 ) ⎟ ⎟ 1+ ⎜ ⎟ ⎝ ⎠ ⎝x⎠ y′ x − y 1 ⎛ 2x + 2 y y′ ⎞ 1 y′ x − y 2(x + y y′) = ⎜ 2 ⎟ ⇒ 2 = ⎛ ⎛ y ⎞ ⎞ 2 2 ⎝ (x + y ) ⎠ ⎜ ⎟ x +y 2 ( x 2 + y2 ) 2 2 2 x2 ⎜1 + ⎜ ⎟ ⎟ x ⎜ ⎝x⎠ ⎟ 2 x ⎝ ⎠ x 2 (y′ x − y) 2 (x + y y′) y′ x − y x + y y′ x + yy′ = ⇒ = ⇒ y′ x − y = 2 ( x 2 + y2 ) x 2 ( x 2 + y2 ) 2 ( x 2 + y2 ) ( x 2 + y2 ) ( x 2 + y2 ) ( x + y2 ) y+x y′ x − y y′ = y + x ⇒ y′ = (x − y) = y + x ⇒ y′ = x−y Sen ( Ln x ) Sen ( Ln x ) ⎛ x2 + b ⎞ ⎛ x2 + b ⎞ ⎛ x2 + b ⎞ 124) y = ⎜ 2 ⎟ ⇒ Ln y = Ln ⎜ 2 ⎟ ⇒ Ln y = ( Sen (Ln x) ) Ln ⎜ 2 ⎟ ⎝ x ⎠ ⎝ x ⎠ ⎝ x ⎠ y′ ⎡1⎤ ⎛ x2 + b ⎞ 1 ⎡ ( 2x ) x 2 − ( x 2 + b ) 2x ⎤ = Cos ( Ln x ) ⎢ ⎥ Ln ⎜ ⎟ + ( Sen ( Ln x ) ) 2 ⎢ ⎥ y ⎣x⎦ ⎝ x ⎠ 2 ⎛x + b⎞⎢ x2 ⎥ ⎜ 2 ⎟⎣ ⎦ ⎝ x ⎠ y′ Cos ( Ln x ) ⎛ x 2 + b ⎞ ( Sen Ln x ) x 2 ⎛ 2x 3 − 2x 3 − 2xb ⎞ = Ln ⎜ ⎟+ ⎜ ⎟ y x ⎝ x ⎠ 2 x2 + b ⎝ x4 ⎠ ⎛ x2 + b ⎞ Ln ⎜ ⎟ Cos ( Ln x ) y′ Cos ( Ln x ) ⎛ x 2 + b ⎞ Sen ( Ln x ) ( −2xb ) Sen ( Ln x ) ( −2b ) 2 y′ ⎝ x ⎠ = Ln ⎜ ⎟+ ⇒ = + y x ⎝ x ⎠ 2 x +b 2 x 2 y x ( x2 + b) x ⎛ 1⎞ ⎡ ⎛ x + b ⎞ 2 −2b Sen ( Ln x ) ⎤ y′ = y ⎜ ⎟ ⎢ Ln ⎜ ⎟ Cos ( Ln x ) ⎥ ⎝ x ⎠⎣ ⎝ x ⎠ 2 x2 + b ⎦ Sen ( Ln x ) ⎛ x2 + b ⎞ ⎛ 1⎞ ⎡ ⎛ x + b ⎞ 2 −2b Sen ( Ln x ) ⎤ y' = ⎜ ⎟ ⎜ ⎟ ⎢ Ln ⎜ ⎟ Cos ( Ln x ) ⎥ ⎝ x ⎠ 2 ⎝ x ⎠⎣ ⎝ x ⎠ 2 x2 + b ⎦ 47 E-mail: damasorojas8@gmail.com, damasorojas8@galeon.com, joeldama@yahoo.com
  • 48.
    INSTITUTO UNIVERSITARIO DETECNOLOGÍA “JOSÉ ANTONIO ANZOÁTEGUI” EL TIGRE-EDO-ANZOÁTEGUI Cátedra: Matemática II Especialidades: Mecánica - Química Lic. MSc. DÁMASO ROJAS 125)X a Y b = ( X + Y ) a +b ⇒ a Lnx + bLny = (a + b) Ln (x + y) a b y' ⎛ a + b ⎞ ⎡ a b y' ⎤ + =⎜ ⎟ (1 + y' ) ⇒ ( x + y ) ⎢ + ⎥ = ( a + b )(1 + y') x y ⎝x+y⎠ ⎣x y ⎦ ⎛x+y⎞ b y' ( x + y ) b y' ( x + y ) ⎛x+y⎞ ⎜ ⎟a + = ( a + b ) + ( a + b ) y' ⇒ − ( a + b ) y' = ( a + b ) − ⎜ ⎟a ⎝ x ⎠ y y ⎝ x ⎠ ⎛x+y⎞ ⎡ ⎛ ( x + y) ⎞ ⎤ (a + b) − ⎜ ⎟a ⎛x+y⎞ ⎝ x ⎠ y' ⎢ b ⎜ ⎟ − ( a + b )⎥ = ( a + b ) − ⎜ ⎟ a ⇒ y' = ⎣ ⎝ y ⎠ ⎢ ⎥ ⎦ ⎝ x ⎠ ⎛ ( x + y) ⎞ b⎜ ⎟ − (a + b) ⎝ y ⎠ ax + bx − ax − ay x (bx − ay) y y y' = ⇒ y' = → y' = bx + by − ay − by x (bx − ay) x y ⎛ x2 + a2 + x ⎞ 126).y = Ln ⎜ ⎟ ⇒ y = Ln( x 2 + a 2 + x) − Ln( x 2 + a 2 − x) ⎜ x2 + a2 − x ⎟ ⎝ ⎠ ( x 2 + a 2 + x)1 ( x 2 + a 2 − x)1 y' = − x2 + a2 + x x2 + a2 − x ⎛1 2 2 −1/2 ⎞ ⎛1 2 2 −1/2 ⎞ ⎜ (x + a ) (2x) + 1⎟ ⎜ (x + a ) (2x) − 1⎟ 2 y' = ⎝ ⎠−⎝2 ⎠ ( x + a + x) 2 2 ( x + a − x) 2 2 x ( x2 + a2 ) +1 x ( x2 + a2 ) −1 −1/2 −1/2 y' = − x2 + a2 + x x2 + a2 − x y' = ( ⎣ ) ⎥ ⎦ ⎢ ⎣ ( x 2 + a 2 − x ⎡ x ( x 2 + a 2 ) + 1⎤ − x 2 + a 2 + x ⎡ x ( x 2 + a 2 ) − 1⎤ ⎢ −1/2 −1/2 ) ⎥ ⎦ (x + a − x ) 2 2 2 x + x2 + a2 − x2 ( x2 + a2 ) − x − x + x2 + a2 − x2 ( x2 + a2 ) −1/2 −1/2 +x y' = 2 a 2 ⎡ x2 + a2 − x2 ( x2 + a ) 2 −1/2 ⎤ 2 ⎡( x 2 + a 2 ) − x 2 ( x 2 + a 2 ) ⎤ −1/2 −1/2 ⎢ ⎥ ⎢ ⎥ y' = ⎣ ⎦ ⇒ y' = ⎣ ⎦ a2 a 2 2 ( x2 + a2 ) −1/2 ⎡x2 + a2 − x2 ⎤ ⎣ ⎦ ⇒ y' = 2 y' = 2 a x2 + a2 48 E-mail: damasorojas8@gmail.com, damasorojas8@galeon.com, joeldama@yahoo.com
  • 49.
    INSTITUTO UNIVERSITARIO DETECNOLOGÍA “JOSÉ ANTONIO ANZOÁTEGUI” EL TIGRE-EDO-ANZOÁTEGUI Cátedra: Matemática II Especialidades: Mecánica - Química Lic. MSc. DÁMASO ROJAS Senx 127)y = ⎡ Tg ( 3x ) ⎤ ⎣ ⎦ ⇒ Lny = Senx Ln (Tg(3x)) y' Cosx Ln (Tg(3x)) Senx Sec 2 (3x) y' 1 ⎡ 6Senx ⎤ = + ⇒ = ⎢Cosx Ln (Tg(3x)) + Senx (3x) (Cos(3x)) ⎥ y 2 Senx Tg(3x) y 2 Senx ⎣ ⎦ Sec 2 (3x) Sec(3x)Sec(3x) 1 NOTA: = = Tg(3x) Tg(3x) Sen(3x) Cos (3x) Senx ⎡ 6Senx ⎤ ⎡Tg ( 3x ) ⎤ ⎣ ⎦ ⎢Cosx Ln (Tg(3x)) + Senx (3x) (Cos(3x)) ⎥ y= ⎣ ⎦ 2 Senx x 128)y = x y Ln ⎛ arc sen 1 − y 2 ⎞ ⇒ y = x y x Ln ⎛ arc sen ⎞ 1 − y2 ⎟ ⎜ ⎟ ⎜ ⎝ ⎠ ⎝ ⎠ ⎛ ⎞ y = x y + 1 Ln ⎜ arc sen 1 − y2 ⎟ ⎝ ⎠ ' ( ) ' ⎡ ⎛ ⎞⎤ y′ = x y + 1 Ln arc sen 1 − y 2 + x y + 1 ⎢ Ln ⎜ arc sen 1 − y2 ⎟ ⎥ ⎣ ⎝ ⎠⎦ Por partes:z = x y + 1 ⇒ Ln z = ( y + 1 Ln x) z' = y′ Ln x + ( y +1 ) → z′ = x ⎛ ⎜ ⎜ ⎝ ⎟ ⎠ ⎢ ( y + 1⎟ ⎡ x y′ Ln x + 2 y ⎞ )( y +1 ⎤ ⎥ ) z 2 y x ⎢ 2x y ⎥ ⎣ ⎦ z′ = (x y ( x) xy′ Ln x + 2 y ( )( y +1 ) ) ⇒ z′ = x y ⎡ ⎣ ( xy′ Ln x + 2 y )( y +1 ⎤ ⎦ ) 2x y 2 y ⎡ ⎤ ⎢ ⎥ 1 ⎢ 1 2 y y′ ⎥ w = Ln arc sen 1 − y 2 ⇒ w′ = ⎢ ⎥ arc sen 1 − y 2 ⎢ 1 − y2 ⎥ ⎢ 1− 1− y ⎣ 2 2 2 ( ) ⎥ ⎦ 1 2 y y′ 1 y y′ w′ = ( ) ⇒ w′ = arc sen 1 − y 2 2 1 − 1 − y 2 1 − y 2 ( ) arc sen 1 − y2 y 1 − y2 1 y′ y +1 w′ = ⇒ y′ = z′ Ln arc sen 1 − y2 + x w′ arc sen 1 − y 2 1 − y2 49 E-mail: damasorojas8@gmail.com, damasorojas8@galeon.com, joeldama@yahoo.com
  • 50.
    INSTITUTO UNIVERSITARIO DETECNOLOGÍA “JOSÉ ANTONIO ANZOÁTEGUI” EL TIGRE-EDO-ANZOÁTEGUI Cátedra: Matemática II Especialidades: Mecánica - Química Lic. MSc. DÁMASO ROJAS ' yx ( x y ) + ⎛ e y ⎞ = ( x y )' ⇒ ( x y ) = A ; ⎛ e y ⎞ = B ; ( x y ) = C ' x x 129) x y + e = x y ⇒ Ec (*)⎜ ⎝ ⎟ ⎠ ⎜ ⎝ ⎟ ⎠ A′ y A = x y ⇒ Ln A = Ln x y ⇒ Ln A = y Ln x ⇒ = y ′ Ln x + A x ⎛ y⎞ ⎛ y⎞ A′ = A ⎜ y ′ Ln x + ⎟ ⇒ A′ = x y ⎜ y ′ Ln x + ⎟ ⎝ x⎠ ⎝ x⎠ yx ⎛ 1 ⎞ ⎛ B′ ⎞ x y′ B = e ⇒ Ln B = y x Ln e ⇒ Ln B = y x ⇒ Ln (Ln B) = x Ln y ⇒ ⎜ ⎟ ⎜ ⎟ = Ln y + ⎝ Ln B ⎠ ⎝ B ⎠ y ⎛ x y′ ⎞ yx ⎛ x y′ ⎞ B ′ = B LnB ⎜ Ln y + ⎟⇒ B ′ = y x e ⎜ Ln y + ⎟ ⎝ y ⎠ ⎝ y ⎠ C = xy ⇒ C′ = y + x y′ ⎡ y⎤ ⎡ yx x y′ ⎤ Sust en la ec (*): x y ⎢ y ′ Ln x + ⎥ + y x ⎣ x⎦ e ⎢ Ln y + y ⎥ = y + x y ′ ⎣ ⎦ xy y yx yx x y′ x y y ′ Ln x + x + yx e Ln y + y x e y = y + x y′ yx x y′ yx xy y x y y ′ Ln x + y x e y − x y′ = y − y x e Ln y − x yx xy y ⎡ yx yx e x ⎤ yx y x y y − yx e Ln y − x y ′ ⎢ x Ln x + y − x ⎥ = y − yx e Ln y − ⇒ y′ = ⎢ y ⎥ x yx e x yx ⎣ ⎦ x Ln x + y − x y Arc tag Y 1 y' y' Lnx arctg y 130) y = x ⇒ Lny = arctg y Lnx ⇒ = + 2 2y 2 y (1 + y ) x y' y' Lnx arctg y ⎛ 1 Lnx ⎞ arct y − = ⇒ y' ⎜ − ⎟= 2y 2 y (1 + y ) x ⎜ 2y 2 y (1 + y ) ⎟ x ⎝ ⎠ arctg y x ⎛ ⎝ ( ⎞ 2 arctg y ⎜ y3 ⎟ (1 + y ) ⎠ )2 y3 arctg y (1 + y ) ( ) y' = = y' = ⇒ y' = y (1 + y ) − yLnx x ⎡ y (1 + y ) − yLnx ⎤ x y ⎡(1 + y ) − y Lnx ⎤ ⎣ ⎦ ⎣ ⎦ 2 y (3 1+ y ) y' = ( 2y (1 + y ) arctg y ) x ⎡(1 + y ) − y Lnx ⎤ ⎣ ⎦ 50 E-mail: damasorojas8@gmail.com, damasorojas8@galeon.com, joeldama@yahoo.com
  • 51.
    INSTITUTO UNIVERSITARIO DETECNOLOGÍA “JOSÉ ANTONIO ANZOÁTEGUI” EL TIGRE-EDO-ANZOÁTEGUI Cátedra: Matemática II Especialidades: Mecánica - Química Lic. MSc. DÁMASO ROJAS y 131) x = y ArcsenX y' y ( cosx ) Lny ( arcsenx ) y' y Lnx = arcsenx Lnx → Lnx + = + 2 y x 1− x 2 ( y ) y'Lnx ( arcsenx ) y' ( cosx ) Lny y − = − 2 y y x 1− x2 ⎛ ⎞ xcosx Lny − y ⎜ 1 − x 2 ⎟ ⎛ Lnx arcsenx ⎞ ⎝ ⎠ y' ⎜ − ⎟= ⎜2 y y ⎟ 2 ⎝ ⎠ x 1− x ⎛ ⎞ xcosx Lny − y ⎜ 1 − x 2 ⎟ ⎝ ⎠ ⎡ ⎛ ⎞⎤ 2 y3 ⎢ x cosx Lny − y ⎜ 1 − x 2 ⎟ ⎥ y' = x 1− x2 ⇒ y' = ⎣ ⎝ ⎠⎦ yLnx − 2 y arcsenx ( x 1 − x 2 y Lnx − 2 y arcsenx ) 2 y3 y' = ⎣ ( 2 y 3 ⎡ xcosx Lny − y 1 − x ⎤ ) ⎦ ⇒ y' = ( 2y ⎡ xcosx Lny − y 1 − x ⎤ ⎣ ⎦ ) ⎛ ( ⎞ y ⎜ x 1 − x 2 ⎟ y Lnx − 2arcsenx ⎝ ⎠ ) ⎛ ⎝ 2⎞ ( ⎜ x 1 − x ⎟ y Lnx − 2arcsenx ⎠ ) 1 y y −x −x ⇒ Ln ⎛ x yx ⎞ = Ln ⎡ex − y − 2 ⎤ y y 132) x yx = ex − y − 2 ⎜ ⎟ ⎢ ⎥ ⎝ ⎠ ⎣ ⎦ 1⎡ −x 1 1 −x Ln x + Ln yx ⎤ = Ln ⎡ex − y − 2 ⎤ ⇒ (y)Ln x + (x)Ln y = Ln ⎡ex − y − 2 ⎤ y y⎢⎣ ⎥ ⎦ ⎢ ⎣ ⎥ ⎦ y y ⎢ ⎣ ⎥ ⎦ xLn y ⎡ −x⎤ Ln x + = Ln ⎢ex − y − 2 ⎥ y ⎣ ⎦ ⎛ 1 ⎞ ⎜ Ln y + x y y′ y − ( x Ln y ) ( y′) ⎟ ⎡(1 − y′) e(x − y) − 2− x Ln2( −1)⎤ 1 ⎝ ⎠ =⎣ ⎦ + −x e −2 2 x−y x y 1 ⎡ ( Ln y + x y′− ( x Ln y) ( y′)) ⎤ ⎣(1 − y′) e + 2 Ln2⎦ ⎡ ⎤ x−y −x +⎢ ⎥= −x e −2 x−y x ⎢ ⎣ y2 ⎥ ⎦ 51 E-mail: damasorojas8@gmail.com, damasorojas8@galeon.com, joeldama@yahoo.com
  • 52.
    INSTITUTO UNIVERSITARIO DETECNOLOGÍA “JOSÉ ANTONIO ANZOÁTEGUI” EL TIGRE-EDO-ANZOÁTEGUI Cátedra: Matemática II Especialidades: Mecánica - Química Lic. MSc. DÁMASO ROJAS ⎡ y 2 + x ( Ln y + x y′ − ( x Ln y ) ( y ′) ) ⎤ ⎢ ⎥ = (1 − y′ ) e x − y + 2 − x Ln 2 ⎢ x y2 ⎥ e x−y − 2− x ⎣ ⎦ (e x−y − 2 − x ) ⎡ y 2 + x Ln y + x 2 y ′ − ( x 2 Ln y ) ( y ′) ⎤ = x y 2 ⎡ (1 − y′ ) e x − y + 2 − x Ln 2 ⎤ ⎣ ⎦ ⎣ ⎦ (e x−y − 2 ) ⎣ y + xLny + x y ′ − ( x Ln y ) ( y ′) ⎦ = xy e − y'xy e + xy 2 Ln2 −x ⎡ 2 2 2 ⎤ 2 x−y 2 x−y 2 −x x 2 y' e x − y y 2 + e x − y xLny + x 2 y'e x − y − e x − y ( x 2 Ln y ) ( y ′) − y 2 2 − x − xlny2 − x − 2 − x = (*) y (*) xy 2 e x − y − y'xye x − y + xy 2 2 − x Ln2 ⎡ x 2 ex−y 2−x x 2 ⎤ y' ⎢ − e x − y ( x 2 Ln y ) − + xye x − y ⎥ = xy 2 e x − y + xy 2 2 − x Ln2 − e x − y y 2 − e x − y xLny ⎣ y y ⎦ xy 2 e x − y + xy 2 2 − x Ln2 − e x − y y 2 − e x − y xLny y' = x 2 ex−y 2− x x 2 − e x − y ( x 2 Ln y ) ( y ′) − + xye x − y y y 1 y 133). x x y x = e x + y + ⎛ y ⎞ 2x ⇒ ⎜ x y x ⎟ x = ex + y + 2x ⎝ ⎠ 1 ⎛ ⎞ 1 2 x ⎤ ⇒ ⎡ Ln x + Ln y x ⎤ = Ln ⎣ e x + y + y y = Ln ⎡ e x + y + x Ln ⎜ x yx ⎟ ⎡ ⎤ 2x ⎦ ⎝ ⎠ ⎢ ⎣ ⎥ ⎦ x⎣⎢ ⎥ ⎦ y x ⎛ y⎞ Ln x + Ln y = Ln ⎡ e x + y + 2 x ⎤ ⇒ ⎜ ⎟ Ln x + Ln y = Ln ⎡ e x + y + ⎣ 2x ⎤ ⎦ x x ⎢ ⎣ ⎥ ⎦ ⎝x⎠ ⎛ y′ x + y ⎞ y⎛1⎞ y′ 1 ⎜ ⎟ Ln x + ⎜ ⎟ + = ⎡ (1 + y ′ ) e x + y + 2 x Ln 2 ⎤ ⎡e 2x ⎤ ⎣ ⎦ 2 ⎝ x ⎠ x⎝x⎠ y ⎣ x+ y + ⎦ ( y′ x + y ) Ln x + y + y′ = 1 ⎡ (1 + y ′ ) e x + y + 2 x Ln 2 ⎤ ⎡e 2 ⎤ ⎣ ⎦ 2 x y ⎣ x+ y + x ⎦ y ⎡ ( y ′ x + y ) Ln x + y ⎤ + x 2 y ′ (1 + y ′ ) e x + y + 2 x Ln 2 ⎣ ⎦ = x2 y e x+ y + 2x 52 E-mail: damasorojas8@gmail.com, damasorojas8@galeon.com, joeldama@yahoo.com
  • 53.
    INSTITUTO UNIVERSITARIO DETECNOLOGÍA “JOSÉ ANTONIO ANZOÁTEGUI” EL TIGRE-EDO-ANZOÁTEGUI Cátedra: Matemática II Especialidades: Mecánica - Química Lic. MSc. DÁMASO ROJAS (e x+ y ( + 2 x ) ⎡ y y′ x Ln x + y 2 Ln x + y 2 + x 2 y′⎤ = x 2 y e x + y + y′ e x + y + 2 x Ln 2 ⎣ ⎦ ) [ y y′ x Ln x ] ( e x + y + 2 x ) + y 2 Ln x ( e x + y + 2 x ) + y 2 ( e x + y + 2 x ) + x 2 y ' ( e x + y + 2 x ) = (*) (*) x 2 y ( e x + y ) + y′ e x + y x 2 y + 2 x Ln 2 x 2 y y y ′ x Ln x ( e x + y + 2 x ) + x 2 y ' ( e x + y + 2 x ) − y′ e x + y x 2 y = (**) (**) − y 2 Ln ( e x + y + 2 x ) − y 2 ( e x + y + 2 x ) + x 2 y ( e x + y ) + 2 x Ln 2 x 2 y y′ ⎡ y x Ln ( e x + y + 2 x ) + x 2 ( e x + y + 2 x ) − e x + y x 2 y ⎤ = (***) ⎣ ⎦ (***) − y 2 Ln x ( e x + y + 2 x ) − y 2 ( e x + y + 2 x ) + x 2 y ( e x + y ) + 2 x Ln 2 x 2 y − y 2 Ln x ( e x + y + 2 x ) − y 2 ( e x + y + 2 x ) + x 2 y ( e x + y ) + 2 x Ln 2 x 2 y y′ = y x Ln x ( e x + y + 2 x ) + x 2 ( e x + y + 2 x ) − e x + y x 2 y g. Ejercicios Varios 1−x e 134) Demostrar que la derivada de F ( x ) = LN ⎡ e2x ⎤ ⎥ es F ′(x) = 1 + ⎢ ⎢ 1 −e ⎣ 1− x ⎥ ⎦ ( 2 1 − e1−x ) ⎡ ⎤ F(x) = Ln ⎢ e 2x (1 − x) ⎥⇒ y = 1 2 [ ( 1 )] Ln e 2x − Ln 1 − e1 − x ⇒ y = 2x − Ln 1 − e1 − x 2 [ ( )] ⎢ 1−e ⎣ ⎥ ⎦ 2 − ( 1 − e1 − x (−1) ) 1 − e1 − x e1 − x y´ = ⇒ y´ = 1 + 2 2 1 − e1 − x ( ) x3 x + 1 5x + 3 135) Demostrar que la derivada de Ln , es y ' = − csc x sec x. Senx Secx 6 x (x + 1) Lnx 1 y= + Ln(x + 1) − (Ln Senx + Ln Secx ) 2 3 1 1 ⎛ Cosx Secx Tgx ⎞ 3x + 3 + 2x ⎛ Cosx 2 + Senx 2 ⎞ y' = + −⎜ + ⎟ → y' = −⎜ ⎟ 2x 3(x + 1) ⎝ Senx Secx ⎠ 6x(x + 1) ⎜ ⎝ Senx Cosx ⎟ ⎠ 5x + 3 1 5x + 3 y' = − ⇒ y' = − cscx secx 6x(x + 1) Senx Cosx 6x(x + 1) 53 E-mail: damasorojas8@gmail.com, damasorojas8@galeon.com, joeldama@yahoo.com
  • 54.
    INSTITUTO UNIVERSITARIO DETECNOLOGÍA “JOSÉ ANTONIO ANZOÁTEGUI” EL TIGRE-EDO-ANZOÁTEGUI Cátedra: Matemática II Especialidades: Mecánica - Química Lic. MSc. DÁMASO ROJAS 136) Demostrar que la derivada de y = x π 2 − x 2 ; es y´= 2 π 2 − x 2 x( −2x) (π2 − x2 ) −1/2 π2 ⎛ 1 ⎞ π y' = (π − x ) + 2 2 1/2 + ⎜ ⎟ ⇒ y ' = ( π − x ) − x (π − x ) + 2 2 2 2 1/2 2 2 2 −1/2 2 x2 ⎝ π ⎠ π −x 1− 2 π π y' = (π2 − x2 ) − x2 (π2 − x2 ) +π2 (π2 − x2 ) ⇒ y' = (π2 − x2 ) ⎡(π2 − x2 ) − x2 +π2 ⎤ ⇒ 1/2 −1/2 −1/2 −1/2 ⎣ ⎦ y' = (π2 − x2 ) ⎡π2 − x2 − x2 +π2 ⎤ ⇒ y' = (π2 − x2 ) 2(π2 − x2 ) ⇒ y`= 2 π2 − x2 −1/2 −1/2 ⎣ ⎦ 137) Demuestre que: f (x) = ⎡ a−b 1⎛ x ⎞⎤ 1 Arctg ⎢ Tg ⎜ ⎟⎥ ⇒ f ′(x) = a2 − b 2 ⎢ a+b ⎣ ⎝ 2 ⎠⎦ ⎥ 2 [a + b Cosx] ⎛ ⎞⎛ a − b 2⎛ x⎞ ⎞ 1 ⎡ a −b ⎛ x⎞ ⎤ 1 ⎜ 1 ⎟ ⎜ a + b Sec ⎜ 2 ⎟ ⎟ f ( x) = Arctg ⎢ Tg ⎜ ⎟ ⎥ ⇒ f '( x) = ⎜ ⎟⎜ ⎝ ⎠⎟ a −b 2 2 ⎣ a+b ⎝ 2 ⎠⎦ a − b ⎜1+ ⎛ 2 2 a − b ⎞ 2 ⎛ x ⎞ ⎟⎜ 2 ⎟ ⎜ ⎜ a + b ⎟ Tg ⎜ 2 ⎟ ⎟⎜ ⎟ ⎝ ⎝ ⎠ ⎝ ⎠ ⎠⎝ ⎠ ⎛ ⎛x⎞ ⎞ ⎜ a − b Sec 2 ⎜ ⎟ ⎟ ⎜ ⎝2⎠ ⎟ ⎛x⎞ (a + b) a − b Sec 2 ⎜ ⎟ 1 ⎜ 2 a+b ⎟ ⎝2⎠ f '( x) = ⇒ f '( x) = 2 ⎜ ⎛x⎞⎟ ⎡ a − b ⎜ (a + b) + (a − b) Tg 2 2 ⎛ x ⎞⎤ ⎜ ⎟⎟ 2 a 2 − b 2 a + b ⎢(a + b) + (a − b) Tg 2 ⎜ ⎟ ⎥ ⎜ ⎝2⎠ ⎟ ⎣ ⎝ 2 ⎠⎦ ⎜ ( a + b) ⎟ ⎝ ⎠ ⎛ x⎞ ⎛ x⎞ (a + b) 2 (a − b) Sec 2 ⎜ ⎟ Sec 2 ⎜ ⎟ f '( x) = ⎝2⎠ ⇒ f '( x) = ⎝2⎠ ⎡ ⎛ x ⎞⎤ ⎡ ⎛ x ⎞⎤ 2 (a − b)(a + b)(a + b) ⎢(a + b) + (a − b)Tg 2 ⎜ ⎟ ⎥ 2 ⎢ (a + b) + (a − b) Tg 2 ⎜ ⎟ ⎥ ⎣ ⎝ 2 ⎠⎦ ⎣ ⎝ 2 ⎠⎦ 1 1 f '( x) = ⇒ f'(x) = ⎡ ⎛ x ⎞⎤ ⎛ x⎞ ⎡ ⎛x⎞ ⎛x⎞ ⎛ x ⎞⎤ 2 ⎢(a + b) + (a − b) Tg 2 ⎜ ⎟ ⎥ Cos 2 ⎜ ⎟ 2 ⎢(a + b)Cos 2 ⎜ ⎟ + (a − b) Tg 2 ⎜ ⎟ Cos 2 ⎜ ⎟ ⎥ ⎣ ⎝ 2 ⎠⎦ ⎝2⎠ ⎣ ⎝ 2⎠ ⎝ 2⎠ ⎝ 2 ⎠⎦ 1 f'(x) = ⎡ ⎛x⎞ ⎛x⎞ ⎛x⎞ ⎛ x ⎞⎤ 2 ⎢a Cos 2 ⎜ ⎟ + b Cos 2 ⎜ ⎟ + a Sen 2 ⎜ ⎟ − bSen 2 ⎜ ⎟ ⎥ ⎣ ⎝ 2⎠ ⎝ 2⎠ ⎝ 2⎠ ⎝ 2 ⎠⎦ 54 E-mail: damasorojas8@gmail.com, damasorojas8@galeon.com, joeldama@yahoo.com
  • 55.
    INSTITUTO UNIVERSITARIO DETECNOLOGÍA “JOSÉ ANTONIO ANZOÁTEGUI” EL TIGRE-EDO-ANZOÁTEGUI Cátedra: Matemática II Especialidades: Mecánica - Química Lic. MSc. DÁMASO ROJAS 1 1 f'(x) = ⇒ f'(x) = ⎡ ⎡ ⎛x⎞ ⎛ x ⎞⎤ ⎡ 1 ⎛ x⎞ ⎛ x ⎞⎤⎤ ⎡ ⎡ ⎛x⎞ ⎛ x ⎞⎤⎤ 2 ⎢a ⎢ Cos2 ⎜ ⎟ +Sen2 ⎜ ⎟⎥ + b ⎢Cos2 ⎜ ⎟ − Sen2 ⎜ ⎟⎥⎥ 2 ⎢a + b ⎢Cos2 ⎜ ⎟ − Sen2 ⎜ ⎟⎥⎥ ⎢ ⎣ ⎝ 2⎠ ⎝ 2 ⎠⎦ ⎣ ⎝ 2⎠ ⎝ 2 ⎠⎦⎥ ⎣ ⎣ ⎝ 2⎠ ⎝ 2 ⎠⎦⎦ ⎣ ⎦ 1 1 f'(x) = ⇒ f'(x) = ⎡ ⎡ ⎛x⎞ ⎛ x ⎞⎤⎤ ⎡ ⎡ ⎛ x ⎞ ⎤⎤ 2 ⎢a + b ⎢Cos2 ⎜ ⎟ −1+ Cos2 ⎜ ⎟⎥⎥ 2 ⎢a + b ⎢2Cos2 ⎜ ⎟ −1⎥⎥ ⎣ ⎣ ⎝ 2⎠ ⎝ 2 ⎠⎦⎦ ⎣ ⎣ ⎝ 2 ⎠ ⎦⎦ ⎛ θ ⎞ ⎛ 1+ Cosθ ⎞ 1 1 1 Pero:Cos2 ⎜ ⎟ =⎜ ⎟ ⇒ f'(x) = ⇒ f'(x) = ⇒ f'(x) = ⎝ 2⎠ ⎝ 2 ⎠ ⎡ ⎡ ⎛ 1+ Cosθ ⎞ ⎤⎤ 2[ a + b(1+ Cosθ −1)] 2[ a + bCosθ] 2 ⎢a + b ⎢2⎜ ⎟ −1⎥⎥ ⎣ ⎣ ⎝ 2 ⎠ ⎦⎦ y 138) Demuestre que si x 2 y 5 = ( x + y ) , entonces y´ = 7 . x 6 [ 2 xy 5 + 5 x 2 y 4 y´ = 7 (x + y ) (1 + y´) ⇒ y´ 5 x 2 y 4 − 7 (x + y ) = 7 (x + y ) − 2 xy 5 6 ] 6 7 (x + y ) 6 − 2 xy 5 y´ = 5 x 2 y 4 − 7 (x + y ) 6 Multiplicando numerador y denominador por x.y: y´ = 7 xy( x + y ) − 2 y x2 y5 6 ( = ) 7 xy(x + y ) − 2 y( x + y ) = y( x + y ) [7 x − 2(x + y )] y(5x − 2 y ) y 6 7 = 6 = ( 2 5 ) 5x x y − 7 xy(x + y ) 6 5x( x + y ) − 7 xy( x + y ) 7 6 x( x + y ) [5(x + y ) − 7 y] x(5x − 2 y ) x 6 xy y2 + x2 139) Demostrar que y' = es la derivada de y = arctg y y 4 − x 4 + x2 y2 − x2 ( 2yy' + x )( y 2 2 − x 2 ) − ( y 2 + x 2 )( 2yy' − x 2 ) (y − x2 ) 2 2 1 y' = ⎛ y2 + x 2 ⎞ ⎛ y2 + x 2 ⎞ 1+ ⎜ 2 2 ⎟ 2 ⎜ 2 2 ⎟ ⎝ y −x ⎠ ⎝ y −x ⎠ 55 E-mail: damasorojas8@gmail.com, damasorojas8@galeon.com, joeldama@yahoo.com
  • 56.
    INSTITUTO UNIVERSITARIO DETECNOLOGÍA “JOSÉ ANTONIO ANZOÁTEGUI” EL TIGRE-EDO-ANZOÁTEGUI Cátedra: Matemática II Especialidades: Mecánica - Química Lic. MSc. DÁMASO ROJAS 2y3y' − 2x2 yy' + 2xy2 − 2x3 − 2y3y' + 2xy2 − 2x2yy' + 2x3 −4y2 yy' + 4xy2 y' = (y −x ) 2 2 2 ⇒ y' = (y −x ) 2 2 2 ⎛ y2 − x2 + y2 + x2 ⎞ ⎛ y2 + x2 ⎞ ⎛ y2 ⎞ ⎛ ⎛ y2 + x2 ⎞ ⎞ 2⎜ ⎟ ⎜ 2 2⎟ 2⎜ 2 2 ⎟ ⎜ ⎜ 2 2 ⎟ ⎟ ⎝ y2 − x2 ⎠ ⎝ y −x ⎠ ⎜ ⎟ ⎝ y − x ⎠⎝ ⎝ y − x ⎠ ⎠ −4y2 yy' + 4xy2 y' = ( y − x ) ⇒y' = ( −4x yy' + 4xy )( y − x ) y − x 2 2 2 2 2 2 2 2 2 2( 2y ) y + x 2 2 4y y + x ( y − x ) 2 2 2 2 2 2 2 (y −x ) y −x 2 2 2 2 ( −4x yy' + 4xy ) ( y − x ) 2 2 −4x yy' + 4xy 2 2 3 4y ( xy − x y') 2 2 2 y' = ⇒ y' = ⇒ y' = 4y y + x ( y − x ) 4y y + x y − x 2 2 4y ( y + x )( y − x ) 2 2 2 2 2 2 2 2 2 2 2 2 2 2 ( ) ⇒ y' y y4 − x4 = xy − x2 y' ⇒ y' y y4 − x4 + x2 = xy ⇒ y' = ( ) xy y y4 − x4 + x2 140) Demuestre que la derivada Lny = 2 ⎛ 4y + x ⎞ arctg⎜ ⎟ es y' = − y2 ⎜ ⎟ 15 ⎝ 15x ⎠ 2⎛ x 2 + y 2 ⎞ ⎜ ⎟ ⎝ ⎠ ⎡ ⎤ y' 2 ⎢ 1 ⎥ ⎡ (4y'+1)(x ) − (4y + x ) ⎤ y' 2[(4y'+1)x − (4y + x )] = ⎢ ⎥⎢ ⎥⇒ = y 15 ⎢ 1+ (4y + x )2 ⎥⎣ 15 x 2 ⎦ y 2 15 x + (4y + x ) ⎡ 2 2 ⎤ ⎢ ⎥ 15 x ⎢ ⎥ ⎣ 15x 2 ⎦ ⎢ ⎣ 15 x 2 ⎥ ⎦ y' 2[(4y'+1)x − (4y + x )] = ⇒ y' ⎛16x 2 + 16y 2 + 8xy ⎞ = 2y[4y' x + x − 4y − x] ⎜ ⎟ y 15x 2 + 16y 2 + 8xy + x ⎝ ⎠ 2 y' ⎛16x 2 + 16y 2 + 8xy ⎞ = 8yy' x − 8y 2 ⇒ y' ⎛16x2 + 16y2 + 8xy − 8xy ⎞ = −8y2 ⎜ ⎟ ⎜ ⎟ ⎝ ⎠ ⎝ ⎠ − 8y2 − y2 y' ⎛16x 2 + 16y2 ⎟ = −8y2 ⇒ y' = ⎜ ⎞ ⇒ y' = ⎝ ⎠ 16⎛ x2 + y2 ⎞ 2⎛ x2 + y2 ⎞ ⎜ ⎟ ⎜ ⎟ ⎝ ⎠ ⎝ ⎠ 56 E-mail: damasorojas8@gmail.com, damasorojas8@galeon.com, joeldama@yahoo.com
  • 57.
    INSTITUTO UNIVERSITARIO DETECNOLOGÍA “JOSÉ ANTONIO ANZOÁTEGUI” EL TIGRE-EDO-ANZOÁTEGUI Cátedra: Matemática II Especialidades: Mecánica - Química Lic. MSc. DÁMASO ROJAS ( ) y+ 1 x y( x 2 − 1) 141) Demostrar que la derivada de y = Cxe es y ' = x(1 − y ) ⎡ ( ) y+ 1 x ( )⎛ y+ 1 1 ⎞⎥ ⎤ ( ) y+ 1 ( ) y+ 1 C ( ) y+ 1 y ' = C ⎢e x ⎢ + xe x ⎜ y '− 2 ⎟ ⎥ ⇒ y ' = Ce + Cxy ′e x − 2 e x ⎝ x ⎠ x ⎢ ⎣ ⎥ ⎦ ( ) y+ 1 ( ) y+ 1 x Cx 2 e x − ce ⎡ ( )⎤y+ 1 x ( ) y+ 1 C ( ) y+ 1 x x2 y ' ⎢1 − Cxe ⎥ = Ce − e ⇒ y' = x ⎢ ⎢ ⎣ ⎥ ⎥ ⎦ x2 ⎡ ⎢1 − Cxe ( )⎤ y+ ⎥ 1 x ⎢ ⎥ ⎣ ⎦ ⎛ 1 ⎞ y yx 2 − y ⎜ ⎜y+ ⎟ ⎟ yx − ⎜ x ⎟ x → y' = x y( x 2 − 1) pero y = Cxe ⎝ ⎠ ⇒ y' = 2 ⇒ y' = x [1 − y ] x 2 [1 − y ] x [1 − y ] 5(1 − y ) 142) Pruebe que si e − y 1 + x 2 ( ) 5/2 = cx 5 ( y − 1), entonces y ′ = . xy 1 + x 2 ( ) − y + ln (1+ x 2 ) = ln c + 5 ln x + ln ( y − 1) ⇒ − y ´ + 5 5x y´ = ⇒ 2 1+ x 2 y −1 yy´ −5 5 (1 − y ) = ⇒ y´ = . y − 1 x (1 + x )2 xy (1 + x 2 ) Ctg(1/x) 3Ctg(1/x) Ln3 143) Demostrar que la derivada de y = 3 es y' = ⎛1⎞ X 2 sen2 ⎜ ⎟ ⎝x⎠ ⎛ ⎛ 1 ⎞⎞ y = 3 Ctg(1/x) ⇒ y' = 3 Ctg(1/x) Ln3 ⎜ Ctg ⎜ ⎟ ⎟ ⎜ ⎟ ⎝ ⎝ x ⎠⎠ ⎛ ⎛ 1 ⎞⎞ ⎛ 1 ⎞ ⎟ ⇒ y' = 3 Ctg(1/x) Ln3 ⇒ y' = 3 Ctg(1/x) Ln3 y' = 3 Ctg(1/x) Ln3 ⎜ − Csc 2 ⎜ ⎟ ⎟ ⎜ − ⎜ ⎝ ⎝ x ⎠ ⎟ ⎜ x2 ⎟ ⎠⎝ ⎠ ⎛ ⎛ 1 ⎞⎞ 2 ⎜ Xsen ⎜ ⎟ ⎟ ⎜ ⎟ ⎝ ⎝ x ⎠⎠ 3 Ctg(1/x) Ln3 y' = ⎛1⎞ X 2 sen 2 ⎜ ⎟ ⎝x⎠ 57 E-mail: damasorojas8@gmail.com, damasorojas8@galeon.com, joeldama@yahoo.com
  • 58.
    INSTITUTO UNIVERSITARIO DETECNOLOGÍA “JOSÉ ANTONIO ANZOÁTEGUI” EL TIGRE-EDO-ANZOÁTEGUI Cátedra: Matemática II Especialidades: Mecánica - Química Lic. MSc. DÁMASO ROJAS x(m + n) − na 144) Demuestre que la derivada de y = m Lnx2 − a2 ) + mLn⎛ x − a⎞ es: y' = ( ⎜ ⎟ 2 2a ⎝ x + a⎠ x2 − a2 2mx n ⎡(x + a) − (x − a )⎤ y' = + ⎢ ⎥⇒ 2 ( x 2 − a 2 ) 2a ⎛ x − a ⎞ ⎢ (x + a) 2 ⎥ ⎜ ⎟⎣ ⎦ ⎝x+a⎠ 2mx n ⎡ 2a ⎤ y' = + 2 ( x 2 − a 2 ) 2a ( x − a ) ⎢ x + a ⎥ ⎣ ⎦ mx n mx + n ( x − a ) x ( m + n ) − na y' = + ⇒ y' = ⇒ y' = x2 − a2 (x + a ) (x2 − a2 ) x2 − a2 sen x ⎛π x ⎞ 145) Verifique que: si y = − ln tg ⎜ − ⎟ entonces y´ = 2 sec x. 3 cos2 x ⎝ 4 2⎠ 1 sen x sec x = , tg x = , sen 2x = 2 sen x . cos x, cos x cos x sen (α − β ) = sen α . cos β − sen β . cosα 1 + tg2 x = sec2 x, ⎛π x⎞ sec2 ⎜ − ⎟ ⎛π x⎞ ⎝4 2⎠ y = sec x tg x − ln tg ⎜ − ⎟ ⇒ y´= sec xtg2 x + sec3 x + ⎝4 2⎠ ⎛π x⎞ 2tg ⎜ − ⎟ ⎝4 2⎠ 1 y ′ = sec x tg2 x + sec3 x + ⎛π x⎞ ⎛π x⎞ 2 sen⎜ − ⎟ cos⎜ − ⎟ ⎝4 2⎠ ⎝4 2⎠ 1 1 y´= sec x tg2 x + sec3 x + ⇒ y´= sec x.tg2 x + sec3 x + ⎛π ⎞ cos x sen⎜ − x ⎟ ⎝2 ⎠ ( ) y´= sec xtg2 x + sec3 x + sec x ⇒ y ′ = sec3 x + sec x 1 + tg2 x y ′ = sec3 x + sec x sec2 x y´ = sec3 x + sec3 x ⇒ y ′ = 2 sec3 x 58 E-mail: damasorojas8@gmail.com, damasorojas8@galeon.com, joeldama@yahoo.com
  • 59.
    INSTITUTO UNIVERSITARIO DETECNOLOGÍA “JOSÉ ANTONIO ANZOÁTEGUI” EL TIGRE-EDO-ANZOÁTEGUI Cátedra: Matemática II Especialidades: Mecánica - Química Lic. MSc. DÁMASO ROJAS 146) Demuestre que y´ = 1 es la derivada de: y=2 2x +2 x+4+4 2ln 2 2− x+4 x −2 ( )( ) 2x − x + 4 x−4 2 2− x+4 x −4= ( x +2 )( ) x − 2 ⇒ y = 2 2x + 2 x + 4 + 4 2 ln x+2 y = ⎡2 2x − 4 2 ln ⎣ ( ) ( x + 2 ⎤ + ⎡2 x + 4 + 4 2 ln 2 2 − x + 4 ⎤ ⎦ ⎣ ⎦ ) ⎡ ⎤ ⎡ ⎤ ⎢ 1 2 ⎥ ⎢ 1 2 2 ⎥ y´ = 2 ⎢ − + − ⎢ ⎣ 2x 2x x + 2 ( ) ⎥ ⎢ x+4 ⎥ ⎣ ⎦ x+4 2 2− x+4 ( ) ⎥ ⎦ 2 ⎛ 2 ⎞ 1 ⎛ 2 2 ⎞ y′ = ⎜1 − ⎟+ ⎜1 − ⎜ ⎟ 2x ⎝ x + 2⎠ x+4 ⎝ 2 2 − x + 4⎟ ⎠ 2 x x+4 2 1 y´ = − ⇒ y′ = − 2 2x ( x +2 ) x+4 2 2− ( x+4 ) x +2 2 2 − x + 4 y′ = 2 ( x −2 ) − (2 2+ x+4 ) ( x +2 )( x −2 ) (2 2 − x+4 ) (2 2+ x+4 ) y´ = 2 ( x −2 )+2 2+ x + 4 ⇒ y′ = 2x + x + 4 ⇒ y′ = ( 2x + x + 4 )( 2x − x + 4 ) x− 4 x −4 x−4 ( x − 4) ( 2x − x + 4 ) x −4 1 y′ = ⇒ y′ = ( x − 4) ( 2x − x + 4 ) 2x − x + 4 59 E-mail: damasorojas8@gmail.com, damasorojas8@galeon.com, joeldama@yahoo.com
  • 60.
    INSTITUTO UNIVERSITARIO DETECNOLOGÍA “JOSÉ ANTONIO ANZOÁTEGUI” EL TIGRE-EDO-ANZOÁTEGUI Cátedra: Matemática II Especialidades: Mecánica - Química Lic. MSc. DÁMASO ROJAS Senax Cosbx 1 Sen3(ax ) 147) Determine la primera derivada de y =3 + 3 Cos 3(bx ) ' ⎛ ( ' )( )( '⎞ )( ) Sen ax Cos bx ⎛ Senax ⎞ ⎜ ⎛ 1 ⎞ Sen 3 (ax ) Cos 3 (bx ) − Sen 3 (ax ) Cos 3 (bx ) ⎟ y ′ =3 Ln3⎜ ⎜ Cosbx ⎟ + ⎜ ⎜ 3 ⎟ ⎟ ⎝ ⎠ ⎜⎝ ⎠ ⎝ ( Cos 3 (bx ) 2 ) ⎟ ⎟ ⎠ Sen ax Cos bx ⎡ (a(Cos(ax ))(Cos(bx ))+ b(Sen(ax ))(Sen(bx )))⎤ y ′ =3 Ln3⎢ ⎥ + (*) ⎣ ( Cos 2 (bx ) ) ⎦ ( ) ( 1 ⎡ 3aSen2 (ax )Cos (ax ) Cos 3 (bx )+ Sen3 (ax ) 3bCos 2 (bx )Sen(bx ) ⎤ (*) ⎢ ⎥ ) 3⎢⎣ Cos 3 (bx ) 2 ( ) ⎥ ⎦ Sen ax y′= 3 Cos bx Ln3 ⎡ (aCos(ax )Cos(bx )+ bSen(ax )Sen(bx ))⎤ + (**) ⎢ ⎣ ( Cos 2 (bx ) ) ⎥ ⎦ 1 ⎡ 3Sen2 (ax )Cos 2 (bx )[aCos(ax )Cos(bx )+ bSen(ax )Sen(bx )]⎤ (**) ⎢ 3⎣ ( Cos 6 (bx ) ) ⎥ ⎦ ⎛ ⎞ Senax ⎜ (aCos(ax )Cos(bx )+ bSen( ax )Sen(bx )) ⎟ ⎛ Cos bx Sen2 ax ⎟ ⎞ y′= ⎜ ⎟⎜ 3 Ln3+ ⎜ ⎛ Cos 2 (bx )⎞ ⎟⎜⎜ Cos 2 bx ⎟ ⎟ ⎜ ⎜ ⎟ ⎟⎝ ⎠ ⎝ ⎝ ⎠ ⎠ Nota: Los ejercicios resueltos anteriormente han sido tomados de textos, guías y exámenes aplicados en el IUTJAA. Muchos de ellos son recopilaciones de mis colegas y amigos Germán Narváez y Orlando Rodríguez profesores ya jubilados en la institución, y otros resueltos por el autor. Por favor a los lectores espero su valiosa colaboración, en la revisión de los mismos y hacerme llegar las sugerencias y correcciones necesarias a las direcciones electrónicas publicadas. Gracias. Dámaso Rojas Octubre 2007 60 E-mail: damasorojas8@gmail.com, damasorojas8@galeon.com, joeldama@yahoo.com