UNIVERSIDAD CENTRAL DEL ECUADOR ADMINISTRACIÓN DE EMPRESAS
ELABORACIÓN Y EVALUACIÓN DE PROYECTOS
1. Países de destino, cantidad y valores FOB, serie mínimo de 10 años,
porcentaje de participación de cada país (2002 al 2011).
AÑO 2002
UNIVERSIDAD CENTRAL DEL ECUADOR ADMINISTRACIÓN DE EMPRESAS
AÑO 2003
AÑO 2004
UNIVERSIDAD CENTRAL DEL ECUADOR ADMINISTRACIÓN DE EMPRESAS
AÑO 2005
AÑO 2006
UNIVERSIDAD CENTRAL DEL ECUADOR ADMINISTRACIÓN DE EMPRESAS
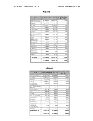
AÑO 2007
AÑO 2008
UNIVERSIDAD CENTRAL DEL ECUADOR ADMINISTRACIÓN DE EMPRESAS
AÑO 2009
AÑO 2010
UNIVERSIDAD CENTRAL DEL ECUADOR ADMINISTRACIÓN DE EMPRESAS
AÑO 2011
2. Proyección de la demanda utilizando los métodos de mínimo
cuadrados y la tasa media de crecimiento (5 años).
Cálculo de la demanda proyectada en base a la tasa media de
crecimiento:
AÑO TONELADAS METRICAS
2002 97.119,84
2003 92.463,73
2004 100.852,82
2005 115.559,04
2006 110.768,54
2007 120.829,16
2008 132.345,59
2009 220.465,95
2010 162.050,94
2011 216.364,76
TOTAL 1.368.820,37
UNIVERSIDAD CENTRAL DEL ECUADOR ADMINISTRACIÓN DE EMPRESAS
AÑO
TONELADAS
METRICAS
TASA CRECIMIENTO
MEDIA
2002 97.119,84 0
2003 92.463,73 -0,047941904
2004 100.852,82 0,09072844
2005 115.559,04 0,14581863
2006 110.768,54 -0,041455
2007 120.829,16 0,090825608
2008 132.345,59 0,095311678
2009 220.465,95 0,665835258
2010 162.050,94 -0,264961596
2011 216.364,76 0,335165103
TOTAL 1.368.820,37 1,069326217
=> 11,88%
AÑOS
PROYECCIÓN DE LA
DEMANDA
2012 242.071,93
2013 270833,4676
2014 303012,2817
2015 339014,3903
2016 379294,0542
UNIVERSIDAD CENTRAL DEL ECUADOR ADMINISTRACIÓN DE EMPRESAS
Cálculo de la demanda proyectada en base al método de mínimos
cuadrados
AÑO TONELADAS METRICAS
2002 97.119,84
2003 92.463,73
2004 100.852,82
2005 115.559,04
2006 110.768,54
2007 120.829,16
2008 132.345,59
2009 220.465,95
2010 162.050,94
2011 216.364,76
TOTAL 1.368.820,37
METODO DE MÍNIMOS CUADRADOS
AÑOS X Demanda Y (T.M.) XY X2
Y2
2002 -9 97.119,84 - 874.078,56 81 9.432.263.321,6
2003 -7 92.463,73 - 647.246,11 49 8.549.541.365,5
2004 -5 100.852,82 - 504.264,10 25 10.171.291.302,0
2005 -3 115.559,04 - 346.677,12 9 13.353.891.725,7
2006 -1 110.768,54 - 110.768,54 1 12.269.669.453,7
2007 1 120.829,16 120.829,16 1 14.599.685.906,3
2008 3 132.345,59 397.036,77 9 17.515.355.192,4
2009 5 220.465,95 1.102.329,75 25 48.605.235.109,4
2010 7 162.050,94 1.134.356,58 49 26.260.507.154,9
2011 9 216.364,76 1.947.282,84 81 46.813.709.369,9
Totales 0 1.368.820,37 2.218.800,67 330 207.571.149.901,4
Medias 0 136.882,04 221.880,07 33 20.757.114.990,14
a10 a01 a11 a20 a02
UNIVERSIDAD CENTRAL DEL ECUADOR ADMINISTRACIÓN DE EMPRESAS
DETERMINAR
Encontramos b
Encontramos a
ESTABLECER ECUACIÓN
PROYECCIÓN DE LA DEMANDA
AÑOS X TONELADAS (miles) TONELADAS
2012 11 242.071,93 210.842,06
2013 13 270.833,4676 224.289,34
2014 15 303.012,2817 237.736,61
2015 17 339.014,3903 251.183,89
2016 19 379.294,0542 264.631,17
UNIVERSIDAD CENTRAL DEL ECUADOR ADMINISTRACIÓN DE EMPRESAS
COEFICIENTE DE CORRELACIÓN
UNIVERSIDAD CENTRAL DEL ECUADOR ADMINISTRACIÓN DE EMPRESAS
3. Aranceles de ingreso a los países de destino.
Países Tarifa Aplicada
Rusia 3,75%
EE.UU 0%
Italia 11,10%
Alemania 11,10%
Bélgica 11,10%
Chile 0%
Argentina 0%
Japón 10%
Holanda 11,10%
y = 6723.x + 13688
R² = 0.738
-
50,000.00
100,000.00
150,000.00
200,000.00
250,000.00
-10 -5 0 5 10
Demanda Y (T.M.)
Linear (Demanda Y
(T.M.))
UNIVERSIDAD CENTRAL DEL ECUADOR ADMINISTRACIÓN DE EMPRESAS
4. ¿Qué países podrán considerarse en el futuro como mercados
alternativos, especialmente en la época de crisis donde bajan las
exportaciones.
MERCADOS ALTERNATIVOS
El Ecuador busca mercados alternativos para el banano ecuatoriano, una
vez que la Comunidad Europea (CE) anunció restricciones a la fruta
latinoamericana. Y con la crisis inesperada con Estados Unidos, el
Gobierno tendrá que acelerar el proceso de búsqueda de mercados
alternativos, que, en el caso del banano, podría comercializarse con el
Estado turco.También otros mercados para exportar la fruta, en la época
de crisis, por eso se podrán considerarse a países del Medio Oriente, Libia,
China entre otros. Debido a que el mercado europeo está “saturado” por las
multinacionales, por lo que tienen que abrirse a nuevos nichos.Y con esto
dos millones decajas de banano (32 mil toneladas) podrán ser colocadas en
MedioOriente, concretamente en Irán y se busca ingresar al
mercadoasiático. Se busca una comercialización directa sin intermediarios,
para afianzar la oferta exportable ecuatoriana.
5. Determine la época de crisis en las exportaciones.
El comercio exterior ha jugado un papel muy importante en la economía
nacional. Los incrementos o crisis en las exportaciones han determinado
épocas de auge o de recesión en nuestra economía.
El sector bananero atraviesa momentos de expectativa entre el nuevo pago
de tributos a escala interna y el comportamiento de precios en el mercado
externo.Lo primero lo enfrentan directamente los 10 mil productores
bananeros que existen en el país y que al año cosechan 300 millones de
cajas para la exportación.El Servicio de Rentas Internas (SRI), a través de
su director, Carlos Marx Carrasco; y los ministerios de Coordinación de la
Productividad y de Agricultura Ganadería y Pesca (Magap), presididos por
NathalieCely y Stanley Vera, decidieron colocar un tributo del 2% a cada
caja vendida de banano.El anuncio de la medida comenzó a inicios de julio
con una socialización directa a los productores de El Oro, en Machala,
considerada la capital bananera, que se dedican a la producción de banano
y están en manos de 3 000 pequeños propietarios.La aplicación de tributos,
según las autoridades gubernamentales, fue acogida de buena manera,
porque el Impuesto a la Renta (IR) a la caja de la fruta eliminaba el que los
productores, de manera individual, pagan al año.
UNIVERSIDAD CENTRAL DEL ECUADOR ADMINISTRACIÓN DE EMPRESAS
Además con el 2% de impuesto, que significan cerca de ¢11 por caja, el
Estado obtendría una recaudación de $33 millones, con un precio oficial de
sustentación para el productor fijado en $5,50.
Pero allí no termina todo: desde hace dos semanas comenzó una reducción
de volumen en el consumo del banano.
Normalmente en esta época las exportaciones caían en precio debido a que
bajaba la demanda internacional, según Eduardo Ledesma, director de la
Asociación de Exportadores de Banano del Ecuador. Pero la crisis
bananera no sólo tiene que ver con las exportaciones. La realidad de los
productores también es crítica. Debido a la caída de las exportaciones, el
producto no sale y se pudre en finca. “Hay productores que no hay hecho
cortes en el cultivo varios días porque no tienen a quién vender”, dijo
Eduardo Nieto, productor.A la falta de demanda internacional se suma que
la producción creció a nivel global. Según estimaciones del Ministerio de
Agricultura, en el caso de Ecuador pasó de 140 millones de cajas de la fruta
vendida en el primer semestre de 2010 a 152 millones de cajas en el mismo
período de este año.La sobreproducción, más la caída de la demanda, que
también se profundizó en este año por los conflictos en Libia y Egipto (la
fruta no puede ingresar allá). La emergencia bananera busca mitigar la
situación interna e internacional. El Gobierno dijo que se comprará 15
millones de dólares en banano a 2 dólares cada caja, para dar liquidez a los
agricultores. Sin embargo, el Régimen también planea reducir la oferta
exportable aminorar así la presión del precio internacional.
En el caso que la caída de las exportaciones fuese de 1 millón de cajas
semanales fijas, implicaría que queden apenas 500 mil semanales para
reducir la cuota de exportación.
En el país son bien conocidos estos mercaderes del banano. Muchos de
ellos gozan de la confianza y amistad de las autoridades del MAGAP. Y si
bien en un mercado enceguecido ellos son los tuertos y aparecen como los
guías, después de más de cien años de historia bananera Ecuador debió
haber desterrado la informalidad de la venta de su principal producto de
exportación.
El año anterior se exportó un aproximado de 280 millones de cajas. Todo un
record. Sin embargo un sabor amargo y halo de nervios crispados quedo en
una gran mayoría de productores, especialmente pequeños que vieron
como se les esfumó en menos de tres meses sus esfuerzos de años debido
a las magras ganancias que les arrojo su plantación bananera. Algunos ya
no están produciendo.

Elaboración

  • 1.
    UNIVERSIDAD CENTRAL DELECUADOR ADMINISTRACIÓN DE EMPRESAS ELABORACIÓN Y EVALUACIÓN DE PROYECTOS 1. Países de destino, cantidad y valores FOB, serie mínimo de 10 años, porcentaje de participación de cada país (2002 al 2011). AÑO 2002
  • 2.
    UNIVERSIDAD CENTRAL DELECUADOR ADMINISTRACIÓN DE EMPRESAS AÑO 2003 AÑO 2004
  • 3.
    UNIVERSIDAD CENTRAL DELECUADOR ADMINISTRACIÓN DE EMPRESAS AÑO 2005 AÑO 2006
  • 4.
    UNIVERSIDAD CENTRAL DELECUADOR ADMINISTRACIÓN DE EMPRESAS AÑO 2007 AÑO 2008
  • 5.
    UNIVERSIDAD CENTRAL DELECUADOR ADMINISTRACIÓN DE EMPRESAS AÑO 2009 AÑO 2010
  • 6.
    UNIVERSIDAD CENTRAL DELECUADOR ADMINISTRACIÓN DE EMPRESAS AÑO 2011 2. Proyección de la demanda utilizando los métodos de mínimo cuadrados y la tasa media de crecimiento (5 años). Cálculo de la demanda proyectada en base a la tasa media de crecimiento: AÑO TONELADAS METRICAS 2002 97.119,84 2003 92.463,73 2004 100.852,82 2005 115.559,04 2006 110.768,54 2007 120.829,16 2008 132.345,59 2009 220.465,95 2010 162.050,94 2011 216.364,76 TOTAL 1.368.820,37
  • 7.
    UNIVERSIDAD CENTRAL DELECUADOR ADMINISTRACIÓN DE EMPRESAS AÑO TONELADAS METRICAS TASA CRECIMIENTO MEDIA 2002 97.119,84 0 2003 92.463,73 -0,047941904 2004 100.852,82 0,09072844 2005 115.559,04 0,14581863 2006 110.768,54 -0,041455 2007 120.829,16 0,090825608 2008 132.345,59 0,095311678 2009 220.465,95 0,665835258 2010 162.050,94 -0,264961596 2011 216.364,76 0,335165103 TOTAL 1.368.820,37 1,069326217 => 11,88% AÑOS PROYECCIÓN DE LA DEMANDA 2012 242.071,93 2013 270833,4676 2014 303012,2817 2015 339014,3903 2016 379294,0542
  • 8.
    UNIVERSIDAD CENTRAL DELECUADOR ADMINISTRACIÓN DE EMPRESAS Cálculo de la demanda proyectada en base al método de mínimos cuadrados AÑO TONELADAS METRICAS 2002 97.119,84 2003 92.463,73 2004 100.852,82 2005 115.559,04 2006 110.768,54 2007 120.829,16 2008 132.345,59 2009 220.465,95 2010 162.050,94 2011 216.364,76 TOTAL 1.368.820,37 METODO DE MÍNIMOS CUADRADOS AÑOS X Demanda Y (T.M.) XY X2 Y2 2002 -9 97.119,84 - 874.078,56 81 9.432.263.321,6 2003 -7 92.463,73 - 647.246,11 49 8.549.541.365,5 2004 -5 100.852,82 - 504.264,10 25 10.171.291.302,0 2005 -3 115.559,04 - 346.677,12 9 13.353.891.725,7 2006 -1 110.768,54 - 110.768,54 1 12.269.669.453,7 2007 1 120.829,16 120.829,16 1 14.599.685.906,3 2008 3 132.345,59 397.036,77 9 17.515.355.192,4 2009 5 220.465,95 1.102.329,75 25 48.605.235.109,4 2010 7 162.050,94 1.134.356,58 49 26.260.507.154,9 2011 9 216.364,76 1.947.282,84 81 46.813.709.369,9 Totales 0 1.368.820,37 2.218.800,67 330 207.571.149.901,4 Medias 0 136.882,04 221.880,07 33 20.757.114.990,14 a10 a01 a11 a20 a02
  • 9.
    UNIVERSIDAD CENTRAL DELECUADOR ADMINISTRACIÓN DE EMPRESAS DETERMINAR Encontramos b Encontramos a ESTABLECER ECUACIÓN PROYECCIÓN DE LA DEMANDA AÑOS X TONELADAS (miles) TONELADAS 2012 11 242.071,93 210.842,06 2013 13 270.833,4676 224.289,34 2014 15 303.012,2817 237.736,61 2015 17 339.014,3903 251.183,89 2016 19 379.294,0542 264.631,17
  • 10.
    UNIVERSIDAD CENTRAL DELECUADOR ADMINISTRACIÓN DE EMPRESAS COEFICIENTE DE CORRELACIÓN
  • 11.
    UNIVERSIDAD CENTRAL DELECUADOR ADMINISTRACIÓN DE EMPRESAS 3. Aranceles de ingreso a los países de destino. Países Tarifa Aplicada Rusia 3,75% EE.UU 0% Italia 11,10% Alemania 11,10% Bélgica 11,10% Chile 0% Argentina 0% Japón 10% Holanda 11,10% y = 6723.x + 13688 R² = 0.738 - 50,000.00 100,000.00 150,000.00 200,000.00 250,000.00 -10 -5 0 5 10 Demanda Y (T.M.) Linear (Demanda Y (T.M.))
  • 12.
    UNIVERSIDAD CENTRAL DELECUADOR ADMINISTRACIÓN DE EMPRESAS 4. ¿Qué países podrán considerarse en el futuro como mercados alternativos, especialmente en la época de crisis donde bajan las exportaciones. MERCADOS ALTERNATIVOS El Ecuador busca mercados alternativos para el banano ecuatoriano, una vez que la Comunidad Europea (CE) anunció restricciones a la fruta latinoamericana. Y con la crisis inesperada con Estados Unidos, el Gobierno tendrá que acelerar el proceso de búsqueda de mercados alternativos, que, en el caso del banano, podría comercializarse con el Estado turco.También otros mercados para exportar la fruta, en la época de crisis, por eso se podrán considerarse a países del Medio Oriente, Libia, China entre otros. Debido a que el mercado europeo está “saturado” por las multinacionales, por lo que tienen que abrirse a nuevos nichos.Y con esto dos millones decajas de banano (32 mil toneladas) podrán ser colocadas en MedioOriente, concretamente en Irán y se busca ingresar al mercadoasiático. Se busca una comercialización directa sin intermediarios, para afianzar la oferta exportable ecuatoriana. 5. Determine la época de crisis en las exportaciones. El comercio exterior ha jugado un papel muy importante en la economía nacional. Los incrementos o crisis en las exportaciones han determinado épocas de auge o de recesión en nuestra economía. El sector bananero atraviesa momentos de expectativa entre el nuevo pago de tributos a escala interna y el comportamiento de precios en el mercado externo.Lo primero lo enfrentan directamente los 10 mil productores bananeros que existen en el país y que al año cosechan 300 millones de cajas para la exportación.El Servicio de Rentas Internas (SRI), a través de su director, Carlos Marx Carrasco; y los ministerios de Coordinación de la Productividad y de Agricultura Ganadería y Pesca (Magap), presididos por NathalieCely y Stanley Vera, decidieron colocar un tributo del 2% a cada caja vendida de banano.El anuncio de la medida comenzó a inicios de julio con una socialización directa a los productores de El Oro, en Machala, considerada la capital bananera, que se dedican a la producción de banano y están en manos de 3 000 pequeños propietarios.La aplicación de tributos, según las autoridades gubernamentales, fue acogida de buena manera, porque el Impuesto a la Renta (IR) a la caja de la fruta eliminaba el que los productores, de manera individual, pagan al año.
  • 13.
    UNIVERSIDAD CENTRAL DELECUADOR ADMINISTRACIÓN DE EMPRESAS Además con el 2% de impuesto, que significan cerca de ¢11 por caja, el Estado obtendría una recaudación de $33 millones, con un precio oficial de sustentación para el productor fijado en $5,50. Pero allí no termina todo: desde hace dos semanas comenzó una reducción de volumen en el consumo del banano. Normalmente en esta época las exportaciones caían en precio debido a que bajaba la demanda internacional, según Eduardo Ledesma, director de la Asociación de Exportadores de Banano del Ecuador. Pero la crisis bananera no sólo tiene que ver con las exportaciones. La realidad de los productores también es crítica. Debido a la caída de las exportaciones, el producto no sale y se pudre en finca. “Hay productores que no hay hecho cortes en el cultivo varios días porque no tienen a quién vender”, dijo Eduardo Nieto, productor.A la falta de demanda internacional se suma que la producción creció a nivel global. Según estimaciones del Ministerio de Agricultura, en el caso de Ecuador pasó de 140 millones de cajas de la fruta vendida en el primer semestre de 2010 a 152 millones de cajas en el mismo período de este año.La sobreproducción, más la caída de la demanda, que también se profundizó en este año por los conflictos en Libia y Egipto (la fruta no puede ingresar allá). La emergencia bananera busca mitigar la situación interna e internacional. El Gobierno dijo que se comprará 15 millones de dólares en banano a 2 dólares cada caja, para dar liquidez a los agricultores. Sin embargo, el Régimen también planea reducir la oferta exportable aminorar así la presión del precio internacional. En el caso que la caída de las exportaciones fuese de 1 millón de cajas semanales fijas, implicaría que queden apenas 500 mil semanales para reducir la cuota de exportación. En el país son bien conocidos estos mercaderes del banano. Muchos de ellos gozan de la confianza y amistad de las autoridades del MAGAP. Y si bien en un mercado enceguecido ellos son los tuertos y aparecen como los guías, después de más de cien años de historia bananera Ecuador debió haber desterrado la informalidad de la venta de su principal producto de exportación. El año anterior se exportó un aproximado de 280 millones de cajas. Todo un record. Sin embargo un sabor amargo y halo de nervios crispados quedo en una gran mayoría de productores, especialmente pequeños que vieron como se les esfumó en menos de tres meses sus esfuerzos de años debido a las magras ganancias que les arrojo su plantación bananera. Algunos ya no están produciendo.