Incrustar presentación
Descargar como PDF, PPTX








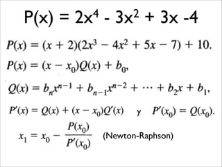
Este documento describe métodos para encontrar las raíces de un polinomio como el método de Horner y Newton-Raphson. Explica que todo polinomio tiene al menos una raíz compleja de acuerdo al teorema fundamental del álgebra. Además, presenta un ejemplo para aplicar el método de Horner para encontrar las raíces de un polinomio de grado cuatro.







