INTEGRACION DE FUNCIONES RACIONLES Toda función racional puede ser expresada como un cociente de dos polinomios, es decir, como una fracción racional. Se llaman fracciones elementales o simples. El cálculo de la integrales de las fracciones elementales es sencillo. Para poder identificar la forma de resolución de esta integral se debe observar el denominador para su resolución y expresarlo en la forma simple (factorar según el caso), existen cuatro casos para resolver este tipo de integral Caso 1 ........ Denominador de primer grado Caso 2 ........ Denominador de primer grado elevado a potencia n Caso 3 ........ Denominador de segundo grado Caso 4 ........ Denominador de segundo grado elevado a potencia n 
Caso 1 Los factores del denominador son todos de primer grado y ningún factor se repite, son de la forma: HALLAR:
Factorando el denominador Olvidemos por un instante la integral y pongamos la función racional de la siguiene forma: factor comun en el denominador Simplificando los denominadores, tenemos: Para resolver la equivalencia, tenemos que las incógnitas son iguales tales como sus términos; por lo tanto tenemos el siguiente sistema de ecuaciones:
Una vez obtenido los valores de A , B y C regresemos a la ecuacion planteada y reemplazemos los valores encontrados
Caso 2 Los factores del denominador son todos de primer grado y algunos se repiten, son de la forma:
Caso 3 El denominador contiene factores de segundo grado, pero ninguno de estos factores se repiten, son de la forma:
Caso 4: El denominador contiene factores de segundo grado y algunos de estos se repiten, son de la forma: Regresando a la integral tenemos: Esta integral la podemos resolver con la siguiente fórmula:
Regresando a la integral nos queda como respuesta: En este caso de integración de funciones racionales, se debe tener en cuenta el grado del numerador con respecto al denominador; si el numerador es mayor grado que el denominador, se debe dividir primero
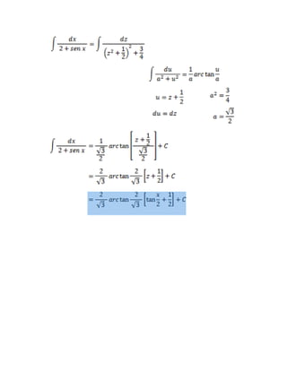
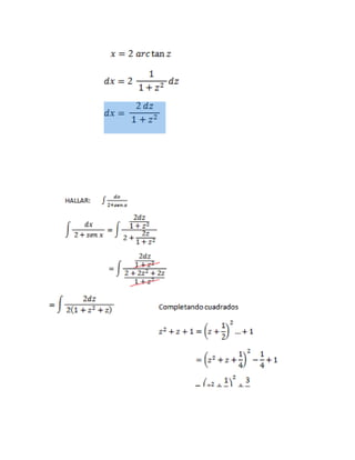
INTEGRACION DE FUNCIONES RACIONALES SENO, COSENO Y OTRA FUNCIONES TRIGONOMETRICAS
Integracion de funciones racionales
Integracion de funciones racionales
Integracion de funciones racionales

Integracion de funciones racionales

  • 1.
    INTEGRACION DE FUNCIONESRACIONLES Toda función racional puede ser expresada como un cociente de dos polinomios, es decir, como una fracción racional. Se llaman fracciones elementales o simples. El cálculo de la integrales de las fracciones elementales es sencillo. Para poder identificar la forma de resolución de esta integral se debe observar el denominador para su resolución y expresarlo en la forma simple (factorar según el caso), existen cuatro casos para resolver este tipo de integral Caso 1 ........ Denominador de primer grado Caso 2 ........ Denominador de primer grado elevado a potencia n Caso 3 ........ Denominador de segundo grado Caso 4 ........ Denominador de segundo grado elevado a potencia n Caso 1 Los factores del denominador son todos de primer grado y ningún factor se repite, son de la forma: HALLAR:
  • 2.
    Factorando el denominadorOlvidemos por un instante la integral y pongamos la función racional de la siguiene forma: factor comun en el denominador Simplificando los denominadores, tenemos: Para resolver la equivalencia, tenemos que las incógnitas son iguales tales como sus términos; por lo tanto tenemos el siguiente sistema de ecuaciones:
  • 3.
    Una vez obtenidolos valores de A , B y C regresemos a la ecuacion planteada y reemplazemos los valores encontrados
  • 4.
    Caso 2 Losfactores del denominador son todos de primer grado y algunos se repiten, son de la forma:
  • 5.
    Caso 3 Eldenominador contiene factores de segundo grado, pero ninguno de estos factores se repiten, son de la forma:
  • 7.
    Caso 4: Eldenominador contiene factores de segundo grado y algunos de estos se repiten, son de la forma: Regresando a la integral tenemos: Esta integral la podemos resolver con la siguiente fórmula:
  • 8.
    Regresando a laintegral nos queda como respuesta: En este caso de integración de funciones racionales, se debe tener en cuenta el grado del numerador con respecto al denominador; si el numerador es mayor grado que el denominador, se debe dividir primero
  • 9.
    INTEGRACION DE FUNCIONESRACIONALES SENO, COSENO Y OTRA FUNCIONES TRIGONOMETRICAS