1
UNIVERSIDAD NACIONAL DE LOJA
ÁREA JURÍDICA, SOCIAL Y ADMINISTRATIVA
CARRERA DE ADMINISTRACIÓN TURÍSTICA
FORMULACIÓN,ELABORACIÓN
Y EVALUACIÓN DE
PROYECTOS TURÍSTICOS
Período Académico: Marzo Julio 2011
Duración: 30 créditos
LOJA ECUADOR
2.011
2
UNIVERSIDAD NACIONAL DE LOJA
ÁREA JURÍDICA, SOCIAL Y ADMINISTRATIVA
CARRERA DE INGENIERÍA EN ADMINISTRACIÓN TURÍSTICA
Dr. Gustavo Villacís Rivas, Mg. Sc.
RECTOR DE LA UNIVERSIDAD
NACIONAL DE LOJA
Dr. Ernesto González Pesántes, Mg. Sc.
VICERRECTOR DE LA UNIVERSIDAD
NACIONAL DE LOJA
Dr. Rogelio CastilloBermeo, Mg, Sc.
DIRECTOR DEL ÁREA JURÍDICA, SOCIAL Y ADMINISTRATIVA
Dr. Mauricio AguirreAguirre, Mg. Sc.
COORDINADOR DE PREGRADO
Lic. Diana Nagua Suing, Mg. Sc.
COORDINADORA DE LA CARRERA DE INGENIERÍA EN
ADMINISTRACIÓN TURÍSTICA
RESPONSABLES DEL REDISEÑO:
Eco. Rodrigo Enrique Estrella Torres
Lcda. María Paulina Paladines Ludeña
Ing. Víctor Antonio Paredes Ortega
3
MÓDULO 10
FORMULACIÓN, ELABORACIÓN Y EVALUACIÓN
DE PROYECTOS TURÍ STICOS
CONTENIDO
I. PRESENTACIÓN
II. DESCRIPCIÓN DE LA PROBLEMÁTICA QUE ABORDA
EL MÓDULO .
III. OBJETO DE TRANSFORMACIÓN
IV. OBJETIVOS
V. COMPETENCIAS O PRÁCTICAS PROFESIONALES
VI. PERFIL PROFESIONAL QUE CUBRE EL MÓDULO.
VII. DESCRIPCIÓN DEL PROCESO DE INVESTIGACIÓN
FORMATIVA, EXPLICITANDO LAS CARACTERÍSTICAS
DE LAS
ACTIVIDADES ..
VIII. REFERENTES TEÓRICOS Y ACTIVIDADES
PRÁCTICAS .
IX. PRACTICAS PRE-PROFESIONALES O PASANTÍAS Y,
ACTIVIDADES DE VINCULACIÓN CON LA
COLECTIVIDAD
X. METODOLOGÍA
XI. DETERMINACIÓN DE TIEMPO Y CRÉDITOS ..
XII. PRODUCTOS ACREDITABLES
4
XIII. CRITERIOS PARA LA EVALUACIÓN, ACREDITACIÓN Y
CALIFICACIÓN DE LOS
APRENDIZAJES
XIV. EQUIPO DOCENTE
XV. BIBLIOGRAFÍA
XVI. MATRIZ DE DESARROLLO DEL MÓDULO
5
PROGRAMACIÓN MICRO CURRICULAR
1. PRESENTACIÓN
Los cambios en el medio ambiente de las organizaciones turísticas es cada vez más
dinámica. La globalización, la competitividad, los cambios económicos, tecnológicos,
legales, de mercado, etc. aunado a su crecimiento e integración hacen más compleja la
tarea administrativa de los recursos turísticos.
Las empresas turísticas requieren eliminar subjetividad en la toma de decisiones,
manteniendo una visión de largo plazo en un ambiente internacional, por lo que se
requiere su profesionalización, mediante el uso de herramientas administrativas que
permitan alcanzar sus objetivos con eficiencia.
El Estudio de Formulación, Elaboración y Evaluación de Proyectos Turísticos y su
incidencia en el fomento y desarrollo de la Actividad Turística en la región Sur del
Ecuador, corresponde al Módulo 10 de la Carrera de Administración Turística.
Este Módulo tiene como propósito involucrar al estudiante universitario que esta por
culminar su Carrera Universitaria en el conocimiento, análisis e interpretación de los
sistemas de Formulación, Elaboración y Evaluación de Proyectos Turísticos, propuestos
desde un punto de vista técnico, económico, financiero, administrativo y medio ambiental,
con énfasis en el ámbito local regional.
Esta nueva propuesta científica de investigación y desarrollo consideran un amplio
espacio de accionar de las prácticas profesionales, puesto que se constituyen en el
epílogo de formación académica de quienes como estudiantes han cumplido con su
formación básica elemental, con su Formación General en Turismo, con los tres
componentes de Administración Hotelera, Administración de Alimentos y Bebidas y
Administración de Agencias de Viajes y Transportes.
Este antecedente que orienta un período de formación en Gestión de Empresas
Turísticas, tiene como consecuente ineludible la presente propuesta de Formulación,
Elaboración y Evaluación de Proyectos Turísticos.
Pues será el período académico modular en donde los estudiantes que egresan de las
aulas universitarias estén en plena capacidad de proponer como entes generadores de
trabajo y desarrollo empresarial un esquema de procedimiento encaminados a ofertar a la
comunidad de su localidad, de la región y del país en general un nuevo diseño de
alternativas de inversión, construcción y gestión de actividad turística.
El objetivo de este Módulo 10, es generar estudiantes que se formen como profesionales
con elevados principios éticos, con aptitudes para la comunicación y con habilidades
naturales de liderazgo y capacidad emprendedora para aprovechar los recursos naturales
de la ciudad y provincia de Loja.
Este profesional formado en el área de la Administración Turística estará en la capacidad
de Formular, elaborar y evaluar proyectos de emprendimientos turísticos como un proceso
técnico administrativo que sustente la toma de decisiones
6
Indudablemente el estudiante deberá demostrar su predisposición en relación con: la
nueva metodología de trabajo; para observar la normatividad, reglas y principios de la
carrera de Administración Turística, del Área Jurídica, Social y Administrativa de la
Universidad Nacional de Loja; para identificarse con la visión y misión de estas y actuar
de acuerdo a las normas y principios establecidos con anterioridad por el Alma Máter
Lojana.
2. PROBLEMÁTICA
Sin duda alguna este se concentra en el desconocimiento del estudiante de un
procedimiento que le otorgue la plena capacidad de cómo generar una Planificación y
Organización Empresarial, a través de la propuesta de Proyectos de desarrollo, la misma
que le permita enfrentar una crisis científico técnica y medio ambiental que afecta
negativamente al desarrollo turístico y humano, expresándose en un deterioro de las
condiciones de la calidad de vida de la sociedad en general.
La inobservancia de una estructura curricular uniforme. La dependencia de factores
analíticos y de procedimiento que no confluían en un esquema tangible y real de
características moldeables; de acuerdo a la necesidad de este mundo globalizado en
todos los sectores empresariales; y. de manera particular en el sector empresarial
turístico: como incidencia directa de la relevancia que ha presentado este rubro
económico en las tres últimas décadas.
La dimensión socio económica considera: la deuda externa, economía social de mercado,
apertura del capital extranjero, privatización de las empresas estatales, recesión
económica, políticas de precios reales, eliminación de subsidios, altas tasas de los
servicios públicos, inflación, dolarización, reducción del tamaño del estado, corrupción,
desempleo, pobreza, miseria, desatención general al sector turístico, educación, vivienda,
flujo migratorio, violación a los derechos humanos, etc.
En lo ideológico político jurídico se considera: La ideología neoliberal, crisis
institucional de las Empresas Turísticas Privadas y Estatales, reforma del marco jurídico
del Estado, irrespeto a la soberanía nacional, promulgación de leyes sin sustento jurídico,
etc.
Lo histórico cultural del hombre: pérdida de valores ético morales, irrespeto a la
identidad cultural y de género, inconvenientes respecto a la unidad en la diversidad
pluricultural y pluriétnica, etc.
En el aspecto científico técnico: Utilización limitada de los aportes de desarrollo en
cuanto tiene que ver con la Formulación, Elaboración y Evaluación de Proyectos
Turísticos.
En la dimensión medio ambiental: Limitaciones para garantizar un desarrollo sostenible y
sustentable turístico en todas sus manifestaciones, problemas medio ambientales
relacionados con la desertificación, degradación de los recursos, contaminación del medio
ambiente, zonas francas de turismo, destrucción de la capa de ozono, deforestación,
7
explotación irracional de los recursos naturales renovables y no renovables, etc.
Frente a esta realidad, la propuesta de proyectos turísticos realizables requiere de
características específicas. Esto es: profesionales con conocimiento profundo de las tres
etapas incluidas:
Ø Formulación
Ø Elaboración
Ø Evaluación
Estas características consideran un conocimiento profundo de la realidad de la
explotación turística en el Ecuador, un análisis reflexivo de esta problemática y una
propuesta ética y profesional con perspectivas de profesionalización y transformación del
accionar en el manejo administrativo de las bondades turísticas de la provincia y del país.
3. OBJETO DE TRANSFORMACIÓN
El proceso de Elaboración de Proyectos Turísticos se consolida como un antecedente
técnico con direccionalidad a promover emprendimientos turísticos y establecer
parámetros para su fortalecimiento, proyección y sostenibilidad, con el objetivo de
fundamentarlos, orientarlos y dinamizarlos; y, sobre esta base generar respuestas
permanentes a las demandas del desarrollo local, regional y nacional.
4. OBJETIVOS
1) Conocer los antecedentes y ámbitos de la Elaboración de Proyectos a través de la
Investigación, generados alrededor del desarrollo empresarial turístico.
2) Estudiar los alcances, relevancia, metodológicas y técnicas de Investigación
aplicadas al desarrollo y fomento de emprendimientos turísticos y su gestión
empresarial en relación con el desarrollo local, regional y nacional.
3) Definir líneas de recolección de información para los diferentes tipos de
emprendimientos turísticos; y establecer las estrategias para viabilizar los
proyectos que se deriven de tales líneas, y;
4) Formular participativamente la Elaboración del Proyecto de emprendimientos
turísticos como propuesta de temas de tesis.
5. PRÁCTICAS PROFESIONALES ALTERNATIVAS
Este módulo habilita al estudiante para las siguientes prácticas:
Ø Genera destrezas en la recolección y manejo de la información, previos a la
Elaboración de Proyectos Turísticos;
Ø Fomenta el conocimiento, reflexión y explicación extensa y complementaria de la
realidad y la problemática de una explotación turística racional;
Ø Promueve una actitud objetiva, crítica y humanista, frente a los hechos y
fenómenos, variables y constantes de los mecanismos técnicos como
fundamento para la Elaboración de Proyectos Turísticos.
Ø Suscita habilidades y destrezas para formular, elaborar y evaluar
permanentemente Emprendimientos Turísticos que conviertan al Profesionista de
la Administración Turística en parte implícita del rol para el que ha sido preparado
8
y del objetivo para el que ha sido formado.
Ø Impulsa la capacidad para el razonamiento lógico a través de la obtención de un
sentido común proactivo que genere en el integrante de esta rama una aptitud
sobresaliente y una actitud positiva en la búsqueda permanente de la excelencia
académica y profesional.
6.- PERFIL PROFESIONAL QUE CUBRE EL MÓDULO
El perfil profesional que cubre el Módulo está argumentado en los siguientes elementos:
Ø Genera destrezas en la recolección y manejo de la información, previos a la
Elaboración de Proyectos Turísticos:
· Vastos conocimientos para la determinación de la muestra; y, recolección,
análisis, tabulación, ponderación e interpretación de resultados;
Ø Fomenta el conocimiento, reflexión y explicación extensa y complementaria de la
realidad y la problemática a través de una explotación turística racional:
· Conocimientos para determinar la incidencia de los Emprendimientos
Turísticos y su influencia en el medio ambiente;
Ø Promueve una actitud objetiva, crítica y humanista, frente a los hechos y fenómenos,
variables y constantes de los mecanismos técnicos como fundamento para la
Elaboración de Proyectos Turísticos.
· Comprensión de elementos administrativos, técnicos, económicos,
financieros, sociales y ambientales;
Ø Suscita habilidades y destrezas para formular, elaborar y evaluar permanentemente
Emprendimientos Turísticos que conviertan al Profesionista de la Administración
Turística en parte implícita del rol para el que ha sido preparado y del objetivo para el
que ha sido formado.
· Uso de herramientas técnicas previas a la evaluación económica,
financiera, social y ambiental de Emprendimientos Turísticos.
Ø Impulsa la capacidad para el razonamiento lógico a través de la obtención de un
sentido común proactivo que genere en el integrante de esta rama una aptitud
sobresaliente y una actitud positiva en la búsqueda permanente de la excelencia
académica y profesional.
· Identificación y propuesta de soluciones técnicas alternativas previas a la
formulación, elaboración y evaluación de Emprendimientos Turísticos.
9
7.- PROCESO DE INVESTIGACIÓN FORMATIVA (MOMENTOS)
Investigación Formativa
El estudiante en base a los copiados y con conocimiento de la nuestra realidad analizará
la situación y la problemática de los componentes de la formulación elaboración y
evaluación de proyectos turísticos y su concordancia con los problemas de la actividad
empresarial turística local, previa a encontrar los elementos concordantes que generen
desarrollo social, económico y social.
El desarrollo del módulo implica un proceso de investigación acción participativa que se
concretará en las siguientes tareas: Revisión de la información sobre los Proyectos
turísticos locales, relacionados con: La generación de proyectos y programas turísticos;
identificación y selección de sitios y programas de desarrollo turístico; los estudios de pre
inversión y los componentes de un proyectos de factibilidad; evaluación financiera de las
inversiones turísticas; y elaboración de un plan de negocios
Primer Momento: Generación de proyectos y programas turísticos: Los programas y
proyectos derivados de un plan nacional de turismo, los programas y proyectos surgidos
en forma individual y autónoma, identificación y selección de sitios y programas de
desarrollo turístico, surgimiento de las ideas a considerar, criterios técnicos para formular
la proposición inicial, la selección de sitios y alternativas para los paquetes de inversiones
Segundo Momento: Los estudios de pre inversión y los componentes de un proyecto de
factibilidad: Estudios de previos de factibilidad, objetivos básicos de un estudio definitivo
de factibilidad, Esquema formal de un estudio definitivo de factibilidad, Presentación del
estudio general, Resumen e introducción técnica del estudio definitivo, Estudio de
mercado, Estudio técnico, Estudio financiero
Tercer Momento: Evaluación financiera de las inversiones turísticas: El concepto de
evaluación, Tipos de evaluación, objetivos, instrumentos básicos de la evaluación,
Conceptos de base y casos de evaluación privada en inversiones turísticas, Evaluación
económica social, Elaboración de un Plan de Negocios: Resumen ejecutivo, situación
actual, ambiente externo, estrategia de negocios, recursos e inversiones necesarias,
factibilidad técnica, factibilidad económica y financiera, responsables del proyecto,
anexos
La coherencia y asesoría del proceso de la investigación formativa. Por parte del docente
debe hacerse tomando en cuenta que esta consiste en el estudio o indagación sobre el
OT, en un contexto témpora-espacial delimitado, la reflexión crítica sobre la problemática,
su comprensión y explicación teóricas y, el planteamiento de propuestas que contribuyan
a revertir la situación problemática. Para el desarrollo de esta práctica profesional el
docente se debe apoyar en los distintos métodos de conocimiento: el análisis, la síntesis,
la inducción, la deducción, la dialéctica, entre otros.
En consecuencia la investigación en el módulo puede definirse como el proceso de
indagación que permite abordar una problemática u objeto ya conocido (OT) a través de
los contenidos teóricos que se trata en el módulo y reconstruirla y ampliarla por la vía
científica, a fin de que el conjunto de categorías, métodos y técnicas que permiten su
apropiación, y contrastándolas con escenarios reales, interactuando con los sujetos
10
sociales de tal manera, que se integran en el módulo la docencia, la investigación y la
vinculación con la colectividad.
La problemática global del Módulo, para su tratamiento y por didáctica, debe
descomponerse en problemáticas de análisis más concretas.
Para el abordaje de cada una de estas últimas se utilizará un proceso investigativo que
contemple momentos y referentes teórico prácticos como los detallados a continuación:
8.-REFERENTES TEÓRICO PRÁCTICOS
8.1. PRIMER MOMENTO.- REVISIÓN Y SISTEMATIZACIÓN DE LA INFORMACIÓN
SOBRE TEMAS RELACIONADOS CON LA GENERACIÓN DE PROYECTOS Y
PROGRAMAS TURÍSTICOS
1. Generación de proyectos y programas turísticos
1.1 Los programas y proyectos derivados de un plan nacional de turismo
1.2 A partir de prioridades nacionales
1.3 A partir del mercado
1.4 A partir de requerimientos específicos de la planta turística
1.5 Otras fuentes
1.6 A partir de la combinación de criterios
1.7 Los programas y proyectos surgidos en forma individual o autónoma
2. Identificación y selección de sitios y programas de desarrollo turístico
2.1 Surgimiento de las ideas por considerar
2.2 Criterios técnicos auxiliares para formular la proposición inicial
2.3 La selección de sitios y alternativas para los paquetes de inversiones.
2.4 La proposición inicial
8.2. SEGUNDO MOMENTO.- LOS ESTUDIOS DE PREINVERSION Y LOS
COMPONENTES DE UN ESTUDIO DE FACTIBILIDAD
3. La Puesta en valor
3.1 Puesta en valor del atractivo turístico
3.2 Aspectos que determinan la puesta en valor
3.3 Resultados de la Puesta en Valor
3.4 Desarrollo de nuevos destinos turísticos a base de inversión
4. Los estudios de pre inversión
4.1 Introducción
4.2 Estudios previos de factibilidad
5. Estructura y componentes de un estudio definitivo de factibilidad
11
5.1 Introducción
5.2 Objetivos básicos de un estudio definitivo de factibilidad
5.3 Esquema formal de un estudio definitivo de factibilidad
5.4 Presentación del estudio general
5.5 Resumen e introducción técnica del estudio definitivo
5.6 Estudio de mercado
5.7 Estudio técnico
5.8 Estudio financiero
5.9 Estudio complementario
8.3. TERCER MOMENTO.- EVALUACIÓN FINANCIERA Y SOCIOECONÓMICA DE
LAS INVERSIONES TURÍSTICAS, PLAN DE NEGOCIOS
6. Evaluación financiera de las inversiones turísticas
6.1 El concepto de evaluación
6.2 Tipos de evaluación
6.3 Objetivos
6.4 Instrumentos básicos de la evaluación
6.5 Conceptos de base y casos de evaluación privada en inversiones turísticas
6.6 Evaluación económica social
7. Plan de negocios
7.1. Resumen ejecutivo
7.2. Situación actual
7.3. Ambiente externo
7.4. Estrategia de negocios
7.5. Recursos e inversiones necesarias
7.6. Factibilidad técnica
7.7. Factibilidad económica y financiera
7.8. Responsables del proyecto
7.9. Anexos
9.- PRACTICAS PRE-PROFESIONALES O PASANTÍAS Y, ACTIVIDADES DE VINCULACIÓN
CON LA COLECTIVIDAD
Prácticas pre profesionales
Los estudiantes realizarán las prácticas profesionales en las diferentes empresas turísticas, así
como el desarrollo de investigaciones y propuestas que contribuyan al adelanto empresarial
turístico de la región Sur-
Giras de Estudio e Investigación
Los Estudiantes del Módulo 10 de la Carrera de Ingeniería en Administración Turística
realizarán una Gira de Estudio e Investigación, con destino a Galápagos o al exterior; en
12
donde a más de conocer los diferentes atractivos turísticos, visitarán varias empresas
turísticas y serán parte de talleres de capacitación
Salidas de Observación
Los estudiantes realizarán las salidas de observación a las diferentes empresas turísticas
de la ciudad y de las parroquias aledañas
10.-METODOLOGÍA
ü Cada grupo tendrá a un Coordinador Docente que se encargará de hacer el
seguimiento del estudio de los referentes teóricos y brindará las orientaciones
necesarias a lo largo del proceso de investigación para el logro de los resultados
esperados;
ü La conformación de varios grupos de estudiantes determinarán una problemática
de estudio para investigar;
ü El manejo de herramientas y materiales didácticos previo al reconocimiento de los
diferentes tipos de Proyectos turísticos;
ü El estudio personal de los referentes teóricos previstos y la consecuente
elaboración de mapas conceptuales, resúmenes, reportes individuales, grupales y
otros.
ü El desarrollo de talleres y otras estrategias para la construcción de los productos
acreditables de cada momento de investigación, como para su socialización y
enriquecimiento;
ü El desarrollo de diversas actividades como conferencias, paneles, mesas
redondas, socialización de temas pertinentes y especializados para profundizar en
el conocimiento del tema central del Módulo;
ü El Estudiante tendrá salidas de observación y visitas técnicas, lo que le permitirá
ver con claridad la estructura organizacional de las empresas turísticas y en
función de ello estar en capacidad de formular sus propias iniciativas de proyectos
turísticos
11.-DETERMINACIÓN DE TIEMPO Y CRÉDITOS
El módulo tendrá una duración de 96 días laborables equivalentes a 30 créditos,
con un total de 480 horas, cumpliendo con lo estipulado en el Reglamento de
Régimen Académico de la Universidad Nacional de Loja, Art. 70; programados en
un período académico de un quimestre.
12.- PRODUCTOS ACREDITABLES.
Los productos acreditables del módulo son el resultado del proceso académico
investigativo que serán evaluados y calificados en forma permanente, sistemática e
integral, mediante las evidencias de aprendizaje logradas a través del conjunto de
estrategias didácticas planificadas en el Módulo.
13
Primer momento:
En el estudio de la generación de proyectos y programas turísticos, el estudiante
elaborará un informe sobre los posibles sitios y programas identificados como desarrollo
turístico que se pueden generar en la ciudad y provincia de Loja
Segundo momento:
El estudiante presentará un ensayo sobre los componentes de un estudio de factibilidad
Tercer momento:
El estudiante realizará visitas técnicas a las Empresas Turísticas más representativas de
la ciudad y realizará un diagnóstico socio económico de las inversiones turísticas, así
mismo presentará una propuesta para la elaboración de un Plan de negocios, que ayude
a mejorar la actividad empresarial turística local
Serán acreditados, evaluados y calificados los siguientes procedimientos:
ü El proceso didáctico para el empoderamiento teórico, el proceso de investigación
modular y las actividades de interacción con la comunidad;
ü Las estrategias didácticas para la socialización y evaluación de los aprendizajes y los
resultados generados como producto del trabajo académico modular;
ü La elaboración integral del Proyecto de Investigación Modular;
ü Los informes de los Talleres de desarrollo y apoyo académico en cada uno de los
Momentos;
ü Los informes de la caracterización de las prácticas pre profesionales en el S.A.M.O.T;
ü Las Actas del Trabajo Grupal.
13.- LINEAMIENTOS PARA LA EVALUACIÓN, ACREDITACIÓN Y CALIFICACIÓN.
La evaluación estará presente desde el momento de la planificación del módulo,
durante su desarrollo y en todas y cada una de las actividades que se llevan a cabo,
de modo que lleguemos a interpretar, comprender y explicar teórica y
axiológicamente que está pasando con el aprendizaje individual y colectivo de los
estudiantes, con las condiciones que propician o dificultan el aprendizaje que se está
logrando, que se ha producido como se puede potenciar el proceso y sus resultados.
Se evaluará cuatro esferas del conocimiento que son:
ü La esfera cognoscitiva;
ü La esfera psicomotriz;
ü La esfera afectiva;
ü El proceso de investigación;
ü La acreditación requiere que en forma consciente y comprometida los
participantes.
a) Con referencia a la evaluación de los contenidos conceptuales: Éstos se
refieren a conceptos, hechos o datos.- Para la evaluación de conceptos se pueden
presentar tareas de definición de significados, en las cuales se reproduce una
definición; tareas de reconocimiento de definición, en la que se le pide al alumno que
reconozca el significado de un concepto entre varias alternativas; la exposición
sistemática, en la que el alumno realiza una composición oral o escrita sobre un
concepto; la identificación de ejemplos o situaciones relacionadas con un concepto; la
14
resolución de problemas, en ella se presenta un problema cuya resolución pasa por la
utilización de un concepto antes aprendido.
b) Con referencia a la evaluación de contenidos procedimentales: Su sentido es
comprobar su funcionalidad, es decir, evaluar si el alumno es capaz de utilizar el
procedimiento en otras situaciones, como es el caso de la investigación.
Deberemos tener en cuenta como indicadores:
ü Si se tiene un conocimiento suficiente del procedimiento;
ü Si lo utiliza de manera correcta y precisa;
ü Si lo generaliza a otras situaciones;
ü Si lo tiene automatizado.
c) Con referencia a la evaluación de las actitudes: Debemos tener en cuenta que
las respuestas son verbales o mentales. Las respuestas verbales se utilizan en la
aplicación de escalas de actitudes y/o cuestionarios, (pero éstas pueden ser
engañosas, el alumno contesta lo que el profesor espera de él). Sería más
importante evaluar las actitudes a partir de comportamientos observables en los que
tendremos que precisar los tres componentes de una actitud (cognitivo o capacidad
del alumno para pensar, afectivo o sentimientos, espíritu, emociones o pasiones; y
tendencia a la acción). Estos tres componentes se pueden invalidar mutuamente ya
que el alumno puede pensar y sentir de una manera y actuar de otra.
La calificación será la valoración de los productos acreditables en una escala de 1 a
10 puntos, siendo necesario para su aprobación obtener una calificación mínima de
7,0 puntos (Art. 55).
Consecuentemente, la calificación y la acreditación, estarán en relación con la
evaluación de los aprendizajes; y, todo este proceso deberá permitir constatar el nivel
del logro de los aprendizajes previstos (prácticas profesionales y perfil profesional
que cubre el módulo).
En esta perspectiva, la evaluación-calificación-acreditación de los aprendizajes se
asumirá en referencia a cuatro aspectos:
ü La esfera cognoscitiva (pruebas) 20%
ü La esfera psicomotriz (tareas individuales y grupales) 20%
ü La esfera afectiva (actividad intra y extra aula) 20%
ü El proceso de investigación 40%
La calificación final del módulo será el promedio ponderado de las calificaciones de
cada uno de sus momentos y; las notas de cada uno de los talleres del módulo.
14.- EQUIPO DOCENTE.
El equipo estará conformado por los Coordinadores Docentes asignados a los
diferentes paralelos existentes del Módulo 10.
15
15.- BIBLIOGRAFÍA
Ø APAZA MEZA, Mario. Gerencia Estratégica y del Valor. Instituto de Investigaciones
del Pacífico;
Ø BACA URBINA Gabriel.- Evaluación de proyectos
Ø CORPORACION FINANCIERA NACIONAL Diseño y evaluación de proyectos de
inversión ;
Ø HERNÁNDEZ, Edgar. Proyectos Turísticos, Formulación y Evaluación. Disco ver,
Ecuador;
Ø FONTAINE, Ernesto.- Evaluación social de proyectos
Ø MARÍN, J.N. HETELHÖHN, W. Inversiones Estratégicas.
Ø MIRANDA, Juan José, Gestión de proyectos
Ø SALVARREDY Julián Raúl. Gestión económica y financiera de proyectos con
Excel
Ø STANLEY, Block.- Fundamentos de Gerencia Financiera
Ø SAPAG CHAIN, Nassir.- Preparación y evaluación de proyectos
Ø BORELLO Antonio.- El Plan de negocios
Ø STUTELY Richard.- El Plan de negocios: estrategia inteligente
Ø BANGS David.- El Plan de negocios: Guía completa para definir un producto
16
16.- MATRIZ DE DESARROLLO DEL MÓDULO
MODULO 10.- FORMULACIÓN, ELABORACIÓN Y EVALUACIÓN DE PROYECTOS TURÍSTICOS
Primer Momento: Revisión y sistematización de la información sobre temas relacionados con la generación de proyectos y programas turísticos
PERIODO
PROCESO DE
INVESTIGACIÓN
ESTRATEGIAS DE
INVESTIGACIÓN REFERENTES TEÓRICOS ESTRATEGIAS ACADÉMICAS ACTIVIDADES PRÁCTICAS PRODUCTOS
ACREDITABLES
32 días
10
CRÉDITOS
Explicación del
proceso de
Investigación
Formativa
Ø Socialización del
Plan del Módulo.
Ø Representación
en cuadros
sinópticos de
Proyectos
Turísticos
Posibilidades
Empresariales
Ø Explicación del
Objeto de
Transformación.
Ø Sondeo de
problemas de
comprensión
Ø Paradigmas de
los Proyectos
Turísticos.
Diagnóstico de
las experiencias
prácticas.
Ejercicios
Prácticos.
Conformación de
los Equipos de
Trabajo. Taller.
Ø Ejercicios
prácticos
Propuesta de temas
para elaborar el plan
de Negocios
Ø Encuadre del Programa: lectura
dirigida. Análisis.
Ø Sistema Académico Modular por
Objeto de Transformación.
Coordinación de los Grupos de
Investigación y Trabajo.
Ø Clasificación de actividades
individuales y grupales.
Ø Análisis de los aspectos teóricos
y prácticos de la explotación
turística.
Ø Globalización. Los Proyectos
Turísticos como rubro
económico. Economía Turística.
Fichas. Mapas conceptuales. El
Turismo como actividad
empresarial. La actividad
turística. El Turismo como
actividad social. El turismo como
fuente generadora de empleos.
Función socioeconómica del
Turismo. Efectos sobre el
ingreso nacional. Análisis de
tendencias.
Ø El anteproyecto
Formulación, Elaboración y
Evaluación. El Plan de Negocios.
Perfil de Anteproyecto. La
Elaboración del Proyecto
Encuadre del módulo
Cuadros sinópticos,
Esquemas,
Diagramas
Resúmenes
Preguntas y respuestas
- Taller de :Análisis de
costos para la toma de
decisiones
Organizadores previos
Síntesis de contenidos
ilustraciones,
Estructuras textuales
Actividades de inicio
Técnicas de presentación
Lectura carta descriptiva
Definición de acuerdos y
compromisos
Exposición del contenido del módulo
Dinámica grupal
Investigación y análisis de
documentos
- Sistematización de la información
- Definición de grupos de trabajo
- Socialización de trabajo
- Actividades de cierre
Estudio de la generación
de proyectos y
programas turísticos
Informe sobre los
posibles sitios y
programas identificados
como desarrollo turístico
que se pueden generar
en la ciudad y provincia
de Loja
17
MATRIZ DE DESARROLLO DEL MÓDULO
MODULO 10.- FORMULACIÓN, ELABORACIÓN Y EVALUACIÓN DE PROYECTOS TURÍSTICOS
Segundo Momento: Los estudios de pre-inversión y los componentes de un estudio de factibilidad
PERIODO
PROCESO DE
INVESTIGACIÓN
ESTRATEGIAS DE
INVESTIGACIÓN
REFERENTES TEÓRICOS
ESTRATEGIAS ACADÉMICAS ACTIVIDADES PRÁCTICAS PRODUCTOS,
ACREDITABLES
32 DÍAS:
10
CRÉDITO
S
Ø Estructura del
Plan de
Investigación.
Ø Construcción del
Problema en los
Equipos de
Investigación.
Ø Construcción de
esquemas
referenciales y
conceptuales
para explicar el
proceso de
desarrollo de la
Elaboración del
Proyecto.
Ø Determinar los
indicadores
socioeconómico
s que
constituyen los
aspectos
sociales,
económicos,
políticos y
culturales de un
proyecto
turístico.
Ø Planificación de
la observación
a los lugares
designados,
incluyendo
elementos que
refieran un
contexto de
desarrollo.
Ø Observación
del lugar.
Descripción de
la realidad de
los factores.
Ø La puesta en valor de destinos
turísticos
Ø Elaboración de preparación del
proyecto. El estudio del proyecto
como proceso. Etapas del
estudio de Elaboración de
Proyectos Turísticos.
Ø Ideas de Negocios. El estudio de
Mercado. El Proceso de
Investigación de mercados
turísticos. Análisis del entorno. El
Planeamiento estratégico. El
Plan de Negocios. Análisis
técnico. Análisis Administrativo.
Análisis legal y social. Análisis
económico. Análisis de valores
personales. Análisis financiero.
Análisis de riesgos e intangibles.
Evaluación integral del Proyecto
turístico. El planeamiento
estratégico.
Ø El Plan de Mercadotecnia. Plan
de operaciones. El Aspecto
financiero. Efectos del desarrollo
de los polos turísticos.
Redistribución de las rentas que
generan los proyectos turísticos.
Generación de rentas fiscales
para el Estado. Acción del
turismo sobre las importaciones
y las exportaciones. El estudio
estadístico del turismo. Técnicas
econométricas.
Lectura comentada,
subrayado
Mesa redonda: Los
programas y proyectos
turísticos ha realizar en la
ciudad y provincia de Loja
Estudio de Caso
Resúmenes
Peguntas intercaladas
Ilustraciones
Conferencia, El análisis
financiero en las empresas
turísticas
Extracción de conceptos,
resúmenes.
Organizadores previos
Ilustraciones descriptivas
Mapas conceptuales
Exposición del Docente
Trabajo individual extra
clases
Extracción de conceptos
Conformación de grupos y
definición de temática,
moderador,
Definición de escenario del
problema, problematización,
problema, objetivos
Trabajo grupal intraclase,
definición de objetivos,
internet y bibliografía
Trabajo individual extra
clases
Elaboración informe
Presentación del trabajo
Elaboración de resúmenes
Trabajo grupal intraclases,
Investigación bibliográfica
Exposición del Docente
Lectura y subrayado,
investigación bibliográfica,
Definición de grupos de
trabajo
Ensayo sobre los
componentes de un estudio
de factibilidad
18
MATRIZ DE DESARROLLO DEL MÓDULO
MODULO 10.- FORMULACIÓN, ELABORACIÓN Y EVALUACIÓN DE PROYECTOS TURÍSTICOS, PLAN DE NEGOCIOS
Tercer Momento: Evaluación financiera y socioeconómica se las inversiones turísticas, propuesta para la elaboración de un Plan de negocios
PERIODO PROCESO DE
INVESTIGACIÓN
ESTRATEGIAS DE
INVESTIGACIÓN
REFERENTES TEÓRICOS ESTRATEGIAS ACADÉMICAS ACTIVIDADES PRODUCTOS ACREDITABLES
32 DÍAS:
10
CRÉDITO
S
Ø Estructura del
Plan de
Investigación.
Ø Construcción del
Problema en los
Equipos de
Investigación.
Ø Construcción de
esquemas
referenciales y
conceptuales
para explicar el
proceso de
desarrollo de la
Elaboración del
Proyecto.
Ø Estructura del
Plan de Negocios
Ø Elementos de un
plan de negocios.
Ø Determinar los
indicadores
socioeconómicos
que constituyen
los aspectos
sociales,
económicos,
políticos y
culturales de un
proyecto turístico.
Ø Planificación de la
observación a los
lugares
designados,
incluyendo
elementos que
refieran un
contexto de
desarrollo.
Ø Observación del
lugar. Descripción
de la realidad de
los factores.
Ø Determinar los
indicadores
socioeconómicos
que constituyen
los aspectos
sociales,
económicos,
políticos y
culturales de un
Plan de negocios.
Ø Elaboración de
preparación del
proyecto. El estudio del
proyecto como proceso.
Etapas del estudio de
Elaboración de
Proyectos Turísticos.
Ø Ideas de Negocios. El
estudio de Mercado. El
Proceso de
Investigación de
mercados turísticos.
Análisis del entorno. El
Planeamiento
estratégico. El Plan de
Negocios. Análisis
técnico. Análisis
Administrativo. Análisis
legal y social. Análisis
económico. Análisis de
valores personales.
Análisis financiero.
Análisis de riesgos e
intangibles. Evaluación
integral del Proyecto
turístico. El
planeamiento
estratégico.
Ø El Plan de
Mercadotecnia. Plan de
operaciones. El Aspecto
financiero. Efectos del
desarrollo de los polos
turísticos. Redistribución
de las rentas que
generan los proyectos
Cuadros sinópticos,
Esquemas,
Diagramas
Resúmenes
Preguntas y respuestas
- Taller de Evaluación económica y
financiera de proyectos
Organizadores previos
Síntesis de contenidos
ilustraciones,
Estructuras textuales
Uso de los modelos de evaluación
de la gestión empresarial turística
Mapas mentales
Cuadros Sinópticos
Exposición Magistral
Evaluación Final del Módulo
Exposición del docente
Escenario del problema,
problematización, definición
del problema, objetivos,
pertinencia
Presentación de informe
Investigación bibliográfica
sobre los proyectos de
factibilidad y las etapas que
lo componen
Análisis e interpretación de l
matriz FODA
Investigación bibliográfica,
exposiciones individuales y
grupales previo a la salida
Salidas de campo, visita a
las Empresas Turísticas de
la localidad
.
Aplicación de plantillas para
realizar la evaluación
financiera de proyectos:
Período de recuperación,
beneficio costo, VAN, TIR
Aplicación de plantillas para
el cálculo de las tablas de
amortización, en el
otorgamiento de créditos
Investigación bibliográfica
Visitas técnicas a las
Empresas Turísticas más
representativas de la ciudad
Diagnóstico socio
económico de las
inversiones turísticas
Propuesta para la
elaboración de un Plan de
negocios
19
Ø Construcción de
esquemas
referenciales y
conceptuales
para explicar el
proceso de
elaboración de un
Plan de negocios.
Ø Planificación de la
observación a los
lugares
designados,
incluyendo
elementos que
refieran un
contexto de
desarrollo.
turísticos. Generación
de rentas fiscales para
el Estado. Acción del
turismo sobre las
importaciones y las
exportaciones. El
estudio estadístico del
turismo.
Ø Aspectos básicos de un
Plan de negocios.
Ø El resumen ejecutivo
Ø Situación actual
Ø Ambiente externo
Ø Estrategia de negocio
Ø Recursos e inversiones
necesarias
Ø Factibilidad Técnica
Ø Factibilidad económica
financiera
Ø Responsables del
proyecto
Ø Conclusiones
Ø Anexos
Ø Aplicación práctica.
de los principales
contenidos teóricos
Elaboración de mapas
mentales de cada uno de
los procesos
Presentación de mapas
mentales de cada uno de
los procesos
Elaboración de Cuadro de
ubicación de Estrategias
Visita técnica, principales
Empresas Turísticas de la
ciudad de Loja
Revisión del proceso de
Investigación Formativa
Socialización de los
Proyectos de Investigación
Modular
Desarrollo de la
Autoevaluación
20
ÍNDICE DE CONTENIDO
Presentación 22
Introducción . 23
1. Generación de proyectos y programas turísticos ... 28
1.1. Los programas y proyectos derivados de un plan nacional de turismo 28
1.2. A partir de prioridades nacionales . 34
1.3. A partir del mercado 35
1.4. A partir de requerimientos específicos de la planta turística . 35
1.5. Otras fuentes .. 35
1.6. A partir de la combinación de criterios . 36
1.7. Los programas y proyectos surgidos en forma individual o autónoma 36
2. Identificación y selección de sitios y programas de desarrollo turístico.. 38
2.1. Surgimiento de las ideas por considerar .. 39
2.2. Criterios técnicos auxiliares para formular la proposición inicial .. 40
2.3. La selección de sitios y alternativas para los paquetes de inversiones .. 46
2.4. La proposición inicial . 48
3. La Puesta en valor.............................................................................................. 52
3.1 Puesta en valor del atractivo turístico ................ 52
3.2 Aspectos que determinan la puesta en valor . 53
3.3 Resultados de la Puesta en Valor 53
3.4 Desarrollo de nuevos destinos turísticos a base de inversión . 56
4. Los estudios de preinversión .. 57
4.1 Introducción 57
4.2 Estudios previos de factibilidad 58
5 Estructura y componentes de un estudio definitivo de factibilidad 63
5.1 Introducción 63
5.2 Objetivos básicos de un estudio definitivo de factibilidad ... 64
5.3 Esquema formal de un estudio definitivo de factibilidad . 65
5.4 Presentación del estudio general 66
5.5 Resumen e introducción técnica del estudio definitivo 67
5.6 Estudio de mercado . 68
5.7 Estudio técnico .. 89
5.8 Estudio financiero . 94
5.9 Estudio complementario .. 138
6. Evaluación financiera y socioeconómica de las inversiones turísticas . 144
6.1 Introducción .144
6.2 El concepto de evaluación .144
6.3 Tipos de evaluación .145
21
6.4 Objetivos .. 145
6.5 Instrumentos básicos de la evaluación 145
6.6 Conceptos de base y casos de evaluación privada en inversiones turísticas .. 145
6.7 Evaluación económica social 170
7.- Plan de negocios 218
7.1 Resumen ejecutivo 219
7.2 Situación actual . 221
7.3 Ambiente externo .. 221
7.4 Estrategia de negocios 224
7.5. Recursos e inversiones necesarias .. 226
7.6. Factibilidad técnica . 226
7.7. Factibilidad económica y financiera 226
7.8. Responsables del proyecto ..... 228
7.9. Anexos 228
22
PRESENTACIÓN
Las empresas turísticas requieren eliminar subjetividad en la toma de decisiones,
manteniendo una visión de largo plazo en un ambiente internacional, por lo que se
requiere su profesionalización, mediante el uso de herramientas administrativas que
permitan alcanzar sus objetivos con eficiencia.
El Estudio de Formulación, Elaboración y Evaluación de Proyectos Turísticos y su
incidencia en el fomento y desarrollo de la Actividad Turística en la región Sur del
Ecuador, corresponde al Módulo 10 de la Carrera de Administración Turística.
Este Módulo tiene como propósito involucrar al estudiante universitario que egresa de
su Carrera Universitaria en el conocimiento, análisis e interpretación de los sistemas
de Formulación, Elaboración y Evaluación de Proyectos Turísticos sostenibles,
propuestos desde un punto de vista científico técnico y medio ambiental, en el ámbito
local, regional y nacional.
Esta nueva propuesta científica de investigación y desarrollo consideran un amplio
espacio de accionar de las prácticas profesionales, puesto que se constituyen en el
epílogo de formación la académica de quienes como estudiantes han cumplido con su
formación básica elemental, con su Formación General en Turismo, con los tres
componentes de Administración Hotelera, Administración de Alimentos y Bebidas y
Administración de Agencias de Viajes y Transportes.
Este antecedente que orienta un período de formación en Gestión de Empresas
Turísticas, tiene como consecuente ineludible la presente propuesta de Formulación,
Elaboración y Evaluación de Proyectos Turísticos.
Pues será el período académico modular en donde los estudiantes que egresan de las
aulas universitarias estén en plena capacidad de proponer como entes generadores de
trabajo y desarrollo empresarial un esquema de procedimiento encaminados a ofertar
a la comunidad de su localidad, de la región y del país en general un nuevo diseño de
alternativas de inversión, construcción y gestión de actividad turística.
El objetivo de este Módulo 10, es generar estudiantes que se formen como
profesionales con elevados principios éticos, con aptitudes para la comunicación y con
habilidades naturales de liderazgo y capacidad para aprovechar y dimensionar las
manifestaciones culturales, musicales y tradicionales de la ciudad y provincia de Loja,
de la región sur del Ecuador y del país en general.
Este profesional formado en el área de la Administración Turística estará en la
capacidad de Planear, Organizar, Dirigir y Controlar las actividades de la gestión
empresarial como un proceso administrativo que sustente la toma de decisiones, a
través de la definición del problema, de la identificación de alternativas, de la
evaluación y de la elección de una de ellas, de la consideración de una decisión y de
la capacidad individual de controlar los resultados obtenidos.
Indudablemente el estudiante deberá demostrar su predisposición en relación con: la
nueva metodología de trabajo; para observar la normatividad, reglas y principios de la
carrera de Administración Turística, del Área Jurídica, Social y Administrativa de la
Universidad Nacional de Loja; para identificarse con la visión y misión de estas y
actuar de acuerdo a las normas y principios establecidos con anterioridad por el Alma
Máter Lojana.
23
INTRODUCCIÓN
Como ya se mencionó, la finalidad de los siguientes capítulos es presentar un esquema teórico
idóneo para la elaboración de estudios de preinversión en proyectos de carácter turístico.
En segundo lugar, intenta aplicar a la problemática de la actividad las técnicas más conocidas
para la evaluación de inversiones, las cuales se ilustran a través de algunos casos prácticos.
Se ha considerado que el incluir, previamente, una revisión general sobre las vías a través de
las cuales tienen lugar los proyectos contribuye a la mejor comprensión del proceso. En
especial, se hace referencia a la metodología del inventario turístico, que introduce en la
planificación de esta actividad un enfoque técnico físico de gran importancia, por su
contribución para la selección de zonas y áreas turísticas en función de a concentración y
calidad de los atractivos que poseen.
Se inicia el desarrollo técnico de los estudios de factibilidad con la fase llamada identificación
técnica de la idea . A través de ella se cumple también una selección primaria de proyectos.
Se hace especial hincapié en la problemática de los grandes planes y programas de inversión,
propios de los complejos turísticos. Estos en general integran proyectos íntimamente ligados
entre sí, lo que obliga en ciertas circunstancias a contemplarlos en conjunto para fines de
evaluación y financiamiento.
Todos los capítulos siguientes se referirán sólo a proyectos turísticos de obras físicas, tales
como la infraestructura de apoyo, el equipamiento de servicios y obras conexas. Esto se debe
a que la presentación metodológica que aquí se desarrolla, ha sido concebida originalmente
para aplicarse en inversiones de naturaleza semejante y por lo tanto sería un error tratar de
extenderla a otros campos, por ejemplo, los de promoción y organización.
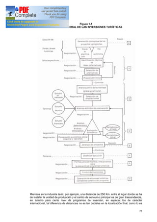
El proceso completo comprende las siguientes fases:
a) Generación conceptual de los proyectos
b) Identificación y selección de alternativas para proyectos
c) Formulación de los estudios de preinversión (análisis previos y estudios definitivos)
d) Evaluación económica de inversiones
e) Jerarquización de proyectos
f) Diseño de ejecución y documentación de obra
g) Formas, procedimientos y mecanismos para la ejecución de programas de turismo
h) Operación de empresas turísticas y proyectos conexos del programa
Gráficamente puede apreciarse el flujo técnico desagregado de estas fases, en la figura 1.1:
En esta obra se revisa sólo hasta la evaluación y alguna parte de las técnicas de
jerarquización, dejando las otras fases para próximos trabajos.
La formulación de los estudios de preinversión tiene una ruta metodológica expresada por un
proceso que va de lo superficial a lo complejo, en todos sus elementos. Dicho en otros
términos, aun cuando desde las primeras etapas de los estudios se tocan genéricamente la
mayoría de los criterios técnicos por considerar a lo largo del proceso, en cada uno de ellos se
va progresando paulatinamente hasta conocerlos y manejarlos con la suficiente exactitud como
para garantizar, con un margen de seguridad establecido, el éxito privado y social de las
inversiones.
El método en cuestión tiene entre otras, las siguientes ventajas:
a) Técnicas. Porque permite el análisis de cada una de las partes que conforman los
estudios de preinversión a diferentes niveles, con lo que se reducen las posibilidades
de error. Asimismo, va ampliando la gama de sus conocimientos en forma piramidal, o
sea, a partir de una base de estudio que va incrementándose gradualmente con
nuevos elementos. Esto hace que se mejore su campo de acción y el de las
24
investigaciones y análisis.
b) Pecuniarias. Porque al ir cubriendo los elementos del proceso por fases y a diferentes
niveles, facilita la depuración de ideas y alternativas. De esta manera, aquellos
estudios que implican mayores costos monetarios sólo se realizan para posibilidades
que realmente lo justifiquen, ahorrando grandes cantidades de recursos en estudios
sobre alternativas que a través de las primeras instancias de análisis puede
demostrarse su inviabilidad.
Los estudios de preinversión, tal como se describen aquí, cubren tres etapas en las que se han
de revisar en general los mismos tópicos, sólo que a diferente nivel en cada una. Estos últimos
son en lo esencial, como lo veremos más adelante, las principales bases para la decisión final
sobre la factibilidad y rentabilidad de los proyectos.
En la mayoría de los enfoques metodológicos para la formulación de estudios de preinversión,
la macro y micro localización de las inversiones es un dato más del problema, y depende
básicamente de la minimización de los costos de transporte para materias primas y productos.
Esto se debe a que tales enfoques han sido elaborados pensando fundamentalmente en
proyectos agropecuarios e industriales.
En turismo, el problema de la localización es uno de los más importantes dentro del estudio de
preinversión, ya que buena parte de él, está en función del elemento principal de esta rama,
que es el atractivo turístico. Las distancias económicas (por costo de transporte) tienen un peso
inferior al que adquieren en otras ramas ya que las diferencias por distancia lineal, en la
mayoría de los casos, resienten dentro de ciertos límites, una reducida influencia en turismo.
25
Figura 1.1
PROCESO GENERAL DE LAS INVERSIONES TURÍSTICAS
Mientras en la industria textil, por ejemplo, una distancia de 250 Km. entre el lugar donde se ha
de instalar la unidad de producción y el centro de consumo principal es de gran trascendencia,
en turismo para cierto nivel de programas de inversión, en especial los de carácter
internacional, tal diferencia de distancias no es tan decisiva en la localización final, como lo es
26
la disparidad de atractivos, sobre todo tomando en cuenta las actuales modalidades del
transporte aéreo en el que se mueve gran parte del turismo.
Sabemos que la mayor parte de los proyectos en turismo, no siguen un proceso tan largo,
costoso y quizás complicado, como el que se presenta en este trabajo. En muchos casos,
después de identificar un sitio y concebir en él un paquete de inversiones lógicas , se efectúan
sondeos, más o menos satisfactorios, sobre el mercado, se hacen algunos análisis de tipo
financiero, con el objeto de conseguir créditos, y se pasa directamente a contratar
constructoras que elaboren el diseño arquitectónico y realicen las inversiones. Este
procedimiento puede ser justificable en áreas tradicionales de desarrollo turístico, o en evidente
auge, así como para inversiones modestas que no necesitarían aparentemente estudios
profundos de preinversión o no les resultaría rentable llevarlos a cabo. Sin embargo, habremos
de asumir que el enfoque metodológico que aquí se describe, está orientado hacia programas
de turismo que buscan lograr un alto grado de racionalidad y facilitar una correcta toma de
decisiones.
Se considera que en estos casos es adecuado desarrollar todo un proceso analítico de
preinversión, que limite al máximo las posibilidades de error y el riesgo en el empleo de
recursos productivos.
Finalmente, algo más debe destacarse en esta introducción. Las fases que aquí se describen,
no siguen un desarrollo rectilíneo inflexible, se encuentran estrechamente interrelacionadas,
dependiendo unas de otras.
En la realidad se retroalimentan en flujos de ida y vuelta. Y no se presentan necesariamente en
el orden en que aquí se describen, es decir, no guardan la prelación en que aparecen en esta
obra, en la cual su colocación obedece a razones de carácter metodológico.
27
PRIMER MOMENTO:
Revisión y sistematización de la información sobre
temas relacionados con la generación de proyectos
y programas turísticos
OBJETIVOS
ü Conocer e interpretar los aspectos teóricos del ámbito
turístico
ü Definir los proyectos turísticos como rubro económico en
el ámbito turístico
ü Establecer la diferencia entre el ante proyecto, plan de
negocios y proyectos de factibilidad
CONTENIDOS
1. Generación de proyectos y programas turísticos
1.1. Los programas y proyectos derivados de un plan
nacional de turismo
1.2. A partir de prioridades nacionales
1.3. A partir del mercado
1.4. A partir de requerimientos específicos de la planta
turística
1.5. Otras fuentes
1.6. A partir de la combinación de criterios
1.7. Los programas y proyectos surgidos en forma individual
o autónoma
2. Identificación y selección de sitios y programas de desarrollo
turístico
2.1. Surgimiento de las ideas por considerar
2.2. Criterios técnicos auxiliares para formular la proposición
inicial
2.3. La selección de sitios y alternativas para los paquetes
de inversiones.
2.4. La proposición inicial
BIBLIOGRAFIA
Hernández Edgar.- Proyectos turísticos, formulación y
evaluación
SapagChain.- Preparación y evaluación de proyectos
28
1. GENERACIÓN DE PROYECTOS
Y PROGRAMAS TURÍSTICOS
En Latinoamérica las situaciones y motivos que han dado lugar a complejos
turísticos y proyectos específicos son muy diversos. En este capítulo se
analizan, en forma genérica las principales, sin entrar a experiencias concretas.
El objetivo es brindar un panorama de las más importantes fuentes que pueden
originar inversiones en este ramo, a fin de que se tengan en cuenta, bajo un
cierto ordenamiento, y sean aprovechadas para el desarrollo de la planta
turística aquellas que se adecuen más fácil mente a cada realidad.
Con frecuencia se observa una vinculación entre los mecanismos de gestación
de los proyectos turísticos con las maneras como se han elegido las zonas
donde éstos se habrán de ubicar. En turismo, cuando los proyectos se originan
dentro de un proceso de planificación, es muy importante la aplicación de
ciertos instrumentos metodológicos para la selección de zonas y áreas
turísticas1
.
1.1 LOS PROGRAMAS Y PROYECTOS DERIVADOS DE UN PLAN
NACIONAL DE TURISMO
En virtud de que el plan debe contener una visión global del fenómeno y a que
debe elaborarse teniendo en cuenta las prioridades nacionales y los mejores
objetivos para el desarrollo del turismo en cada país, los proyectos y pr ogramas
derivados de aquel tendrán como finalidad contribuir al logro de los fines
conscientemente establecidos.
Los métodos y criterios que pueden dar lugar a tales proyectos dentro del plan
son diversos.
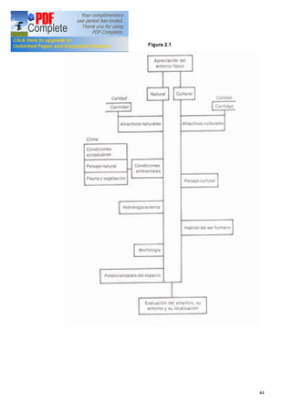
1.1.1 A partir de los atractivos turísticos
(Individualmente o por zonas)
El diagnóstico de un plan global, siempre ha de contener un detallado
inventario de los atractivos turísticos con que cuenten el país o la región, a fin
de utilizarlo como uno de los elementos indispensables para determinar el tipo
y la ubicación de las inversiones que han de venir a reforzar la planta turística
del país.
En función de este inventario es posible definir las zonas que pueden
considerarse como turísticas, dado el criterio psicofísico que toma en cuenta
como prioritaria la motivación y el interés que despierta o puede despertarle al
turista un lugar, una manifestación (acontecimiento) o un elemento
determinado.
1
Para una definición y ordenación de estos conceptos, véase el documento 5/002 del CICATUR/MEX., y
anexo 1
29
La jerarquización de zonas depende precisamente de la concentración en
calidad o en cantidad de los atractivos que contenga cada una.
Realizarla es uno de los pasos decisivos para avanzar sobre el diseño de la
estrategia espacial y general del plan.
Una metodología para llevar a cabo la compilación de atractivos a nivel
nacional está desarrollada en la metodología que propone el Ministerio de
Turismo el en donde las categorías básicas diferencian: sitios naturales y
manifestaciones culturales.
Esta metodología permite registrar ordenadamente los factores físicos,
biológicos y culturales que como conjunto de atractivos, efectiva o
potencialmente puestos en el mercado, contribuyen a confrontar la oferta
turística del país. Proporcionan información importante para el desarrollo del
turismo, su tecnificación, evaluación y zonificación en el sentido de diversificar
las áreas del desarrollo turístico, así mismo permite unificar los criterios para el
registro de información sobre los atractivos turísticos. Posibilita además brindar
tanto a las entidades públicas como privadas ligadas al turismo, información
actualizada de la localización de los atractivos, su calidad, facilidades de
acceso y disfrute en su entorno, a más de una evaluación y valoración de los
mismos por sus características.
1.2 Etapas para la elaborar el inventario de atractivos
1.2.1 Clasificación de los atractivos
Consiste en identificar claramente la categoría, tipo y subtipo, al cual pertenece
el atractivo a inventariar.
1.2.2 Recopilación de información
En esta fase se selecciona tentativamente los atractivos para lo cual se
investigan sus características relevantes. Esta fase de investigación es
documental, cuya información debe obtenerse en las oficinas relacionadas con
su manejo.
1.2.3. Trabajo de campo
Consiste en la visita a efectuarse a los sitios para verificar la información sobre
cada atractivo. Es el procedimiento mediante el cual se le asignan las
características al atractivo.
El trabajo de campo debe ordenarse en función de los desplazamientos para
estimar el tiempo total que demande esta actividad. Es recomendable dirigirse
a las oficinas públicas que puedan dotar de información adicional, como
Municipios y Consejos Cantonales, Gobernaciones, Casas Parroquiales, así
como de informantes locales, y tratar de visitar con alguno de ellos el atractivo,
del que se harán al menos 5 fotografías.
30
1.2.4 Evaluación y jerarquización
Consiste en el análisis individual de cada atractivo, con el fin de calificarlo en
función de la información y las variables seleccionadas: calidad, apoyo y
significado. Permite valorar los atractivos objetiva y subjetivamente y se
definen de la siguiente manera:
Jerarquía 4. Atractivo excepcional y de gran significación para el mercado
turístico internacional, capaz por sí solo de motivar una
importante corriente de visitantes (actual o potencial)
Jerarquía 3. Atractivo con rasgos excepcionales en un país, capaz de motivar
una corriente importante (actual o potencial) de visitantes
nacionales por sí solo, o en conjunto con otros atractivos
contiguos; y la extranjera, sólo en conjunto con otros atractivos.
Jerarquía 2. Atractivo con algún rasgo llamativo, capaz de interesar a visitantes
de larga distancia que hubiesen llegado a su zona por otras
motivaciones turísticas o de motivar corrientes turísticas locales.
Jerarquía 1. Atractivos sin méritos suficientes para considerarlos a nivel de las
jerarquías anteriores, pero que igualmente forman parte del
patrimonio turístico como elementos que pueden complementar a
otros de mayor jerarquía en el desarrollo de complejos turísticos.
Resulta de cardinal importancia, para la generación de programas y proyectos
turísticos de inversión, tener definidos y esta mentalizarlos los atractivos, ya
que éstos son la base del impulso que origina la demanda de servicios
turísticos.
La metodología antes citada, determina la preeminencia de los elementos que
motivan al visitante, en función de factores tanto objetivos como subjetivos.
Los primeros resultan de tomar en cuenta los efectos reales que provocan un
atractivo sea por sí solo o en conjunto y tienen una evidencia observable en la
realidad. Así, por ejemplo, si tomásemos un atractivo de jerarquía 4 que en sí
mismo puede motivar una importante corriente de visitantes extranjeros ,
encontraríamos que empíricamente este hecho es perfectamente comprobable.
Bastaría una somera investigación de mercado o simplemente una encuesta
directa a sus visitantes para ratificar la asignación de su calificación. Casos de
esta máxima jerarquía son, para América Latina, el de Cuzco y Machu Picchu,
en Perú; el de las Cataratas de I guazú, Galápagos en Ecuador , en Sudamérica;
Tikal, en Guatemala; el carnaval de Brasil; y una gran cantidad de muchos
otros, que guardando las proporciones de su área de mercado internacional,
originan en forma individual movimientos importantes de turismo foráneo.
Ahora bien, el problema radica en saber y definir con claridad cuándo se puede
afirmar que los flujos estimulados autónomamente por un atractivo son
importantes , ya que ese calificativo se deja al criterio del planificador que
puede variar del optimismo al pesimismo, conforme la preferencia personal que
tenga. En el mejor de los casos varía en función de cad a realidad en estudio.
31
Para solucionar este aspecto podrían proponerse dos caminos, el primero sería
el de la proporcionalidad, o sea, el mecanismo mediante el cual se relacionan
los atractivos del país entre sí y se determina cuáles, de entre los que generan
flujos de turismo internacional por sí solos , lo hacen en cantidades
importantes para esa nación, de acuerdo a los montos de demanda total que
ésta reciba.
El segundo mecanismo sería el de rangos para índices o cantidades relativas
estimuladas por cada atractivo. Una alternativa sería fijar un porcentaje de la
demanda total de un país que tendría que motivar un atractivo para que pudiera
alcanzar la máxima calificación. Dicho porcentaje sería el promedio aproximado
de los flujos que motivan los principales atractivos de características similares
en cada país.
Este último procedimiento requeriría encuestas e investigaciones más
profundas que el anterior, aunque quizás fuera más preciso. En cualquier caso,
su validez se reduce al espacio geográfico de cada nación, ya que hay países
con gran monto de afluencia internacional para los cuales un porcentaje aún
moderado implica cantidades muy elevadas, mientras que comparativamente
para los que sólo tienen pequeñas cantidades de turismo receptivo los
porcentajes altos equivalen a números absolutos reducidos. Esta circunstancia
obliga a que sólo sean posibles comparaciones entre éstos, dentro de un
mismo país.
Mientras no se posean investigaciones y sistemas estadísticos más exactos,
será la apreciación del planificador la que seguirá determinando, en última
instancia, la asignación de jerarquías para los atractivos.
No obstante, es recomendable que para aplicar con mayor claridad la
metodología antes citada, en especial las clasificaciones 4 y 3, se introduzca
algún elemento que nos permita ubicar con mayor precisión cuándo y en qué
grado son importantes las corrientes turísticas incentivadas por un atractivo en
particular, ya que éste es el punto de partida en la fijación de calificaciones, no
sólo para los atractivos, sino indirectamente para las zonas y áreas, con lo cual
su incidencia alcanza hasta la estrategia espacial del plan.
Respecto a los efectos potenciales de un atractivo, su estimación debe
reducirse casi exclusivamente a la opinión del planificador, lo que implica
trabajar con mayores grados de subjetividad, en comparación con el
mecanismo usado para los flujos actuales . Por el momento, y en tanto no se
avance en una técnica que mida y relacione la gran cantidad de elementos que
inciden en la potencialidad fisicomotivacional de los atractivos, parece ser la
única manera de ordenar aquellos que no están estimulando de hecho
movimientos turísticos, pero que resultan obvias sus posibilidades intrínsecas
para hacerlo.
Una vez que se tienen perfectamente definidos, jerarquizados y organizados
los sujetos de interés turístico, se procede a la señalización de zonas, primero,
y áreas turísticas, después, en un proceso de reducción y delimitación de los
espacios geográficos, según los atractivos que contengan.
32
Como es lógico suponer a partir de este criterio, la selección de las zonas
turísticas prioritarias se hará según la concentración de atractivos con que
cuenta cada una, tanto por su cantidad como por su calidad y, dependiendo de
los recursos económicos disponibles, la atención en materia de inversiones se
fijará, como es natural, en aquélla o aquéllas que resulten mas beneficiadas a
este respecto.
En el documento número 5/008 del CICATUR MÉX., encontramos una
representación matemática que nos ayuda precisamente a seleccionar las
zonas turísticas en base al mayor puntaje alcanzado por sus atractivos y la
diversidad que exista de éstos.
1. P2 = D . P2 = D(2 P1 + P2 + P3 + P4 + P5 )
Donde:
P2 = puntaje total alcanzado por cada zona
Pz1 = puntaje por cantidad de atractivos
D = diversidad de atractivos con que cuenta la zona
P1 = puntaje de la categoría sitios naturales , en la zona, multiplicado por la
diversidad de tipos de esta categor ía en la zona
P2 = puntaje de la categoría museos y manifestaciones culturales de la zona ,
multiplicado por la diversidad de tipos de esta categor ía en la zona.
P3 = puntaje de la categoría folklore , en la zona, multiplicado por la
diversidad de tipos de esta categor ía en la zona.
P4 = puntaje de la categoría realizaciones técnicas científicas o artísticas , en
la zona, multiplicado por la diversidad de tipos de esta categoría en la
zona.
P5 = puntaje de la categoría acontecimientos programados , en la zona,
multiplicado por la diversidad de tipos de esta categor ía en la zona.
Para definir el puntaje de cada categoría (P1 , P2 , etc.), el documento en
cuestión determina la ponderación de una zona considerando los puntajes de
sus distintos atractivos. Tomando como ejemplo el caso de los sitios
naturales , donde los tipos van de 1 a 12 tenemos:
2. P1 = å=
12
1i
ú
û
ù
ê
ë
é
å=
k
k
ik JN
4
1
Donde:
i = tipos de la categoría sitios naturales
k = 1 a 4, o sea las jerarquías posibles de cada atractivo
Nik = número de atractivos de jerarquía k del tipo i
Jk = ponderación para cada jerarquía del tipo i, donde:
jerarquía 4 = 10; jerarquía 3 = 3; jerarquía 2 = 1; jerarquía 1 = 1/3,
3. P1 = P1 . D; siendo D la relación entre la diversidad de tipos en la zona y
los posibles en la categoría.
Como se verá en la fórmula 1, el P1 está doblemente ponderado (al
multiplicarse por el factor 2) y esto se debe a que el documento contempl a a los
33
sitios naturales como dos veces más destacados que el resto de categorías
en sus posibilidades para estimular al turismo. Sin embargo, ésta es una
simplificación sobre el mercado, que podría no ser válida en todos los casos.
Una manera de contribuir a la aplicación de esta fórmula podría ser estudiar las
motivaciones de los mercados más importantes para cada zona y darle la
ponderación a cada categoría en función de su trascendencia para los
mercados citados.
Por ejemplo, para una zona en particular la fórmula podría quedar así:
P2 = D Ÿ P1 = D (2 P1 + 1.5 P2 +0.5 P3 + 0.2 P4 + 1.8 P5 )
En la cual se ha supuesto que los sitios naturales siguen conservando su
doble impacto, pero los mercados de esa nación han demostrado que los
museos y manifestaciones culturales , que posee la zona son el tercer
estímulo en importancia y alcanza hasta el 1.5 aproximadamente, mientras el
folklore sólo representa el 50% de una motivación normal (0.5) y las
realizaciones técnicas, científicas o artísticas adquieren para este caso
concreto una ínfima calificación en las plazas principales. En cambio los
acontecimientos programados están en segundo lugar y casi llegan a la
ponderación de sitios naturales , pero como usan de complemento la cuarta
categoría, se les asignó un coeficiente de 1.8.
Por otra parte, dentro de este enfoque físico debería también ponderarse para
la elección de zonas, la disponibilidad respectiva que exista en materia de
facilidades turísticas, en especial infraestructura, equipamiento y servicios
conexos.
El documento citado, después de exponer algunos de los problemas técnicos
que implica introducir estas variables en la clasificación de zonas, propone
sobre este aspecto la realización de un análisis más general sobre la planta
turística, de manera que simplemente se diferencien según: las zonas
turísticas ya desarrolladas, las zonas turísticas en crecimiento, las estancadas
y las vírgenes, entendiéndose por estas últimas aquéllas que carecen de planta
turística o ésta es hincapié . 0p. cit.
En un primer estrato del análisis sería recomendable esta diferenciación
general, pero para efectos de ubicar el esfuerzo en materia de inversiones,
parece imprescindible incluir en los estudios sobre zonas, por lo menos las
variables de infraestructura y servicios básicos, ya que este tipo de proyectos
no siempre pueden ser emprendidos a partir de un programa de turismo y si en
cambio determina con mucho las características y posibilidades de los mismos.
Lo anterior está íntimamente ligado con otro elemento que incide sobre la
elección de zonas y áreas y que es la disponibilidad de recursos económicos,
especialmente capital. En este sentido, zonas con un alto puntaje pero con
escasos servicios e infraestructura, difícilmente en el corto y mediano plazo
serán sujetos de planes turísticos. La elección antes de aplicarla a la
identificación de proyectos, debe observar las perspectivas reales que existen
sobre financiamiento.
34
Finalmente, ya ubicadas las zonas turísticas que cuentan con mayores
recursos físicos para el desarrollo de actividades turísticas, tendrán que
volverse a revisar con mayor profundidad los atractivos que posee cada una
con el propósito de detectar los corredores turísticos más aptos para ponerlos
en valor o reforzarlos, así como las alternativas para complejos y unidades.
Estas últimas acciones orientan poderosamente la identificación de ideas para
futuros proyectos y la selección de sitios específicos de desarrollo.
1.3 A PARTIR DE PRIORIDADES NACIONALES
Complementando al criterio físico-motivacional que destaca las cualidades de
orden turístico reunidas en un espacio geográfico, deben contemplarse para la
selección de zonas otros factores, como la fijación de prioridades nacionales
que hayan realizado las autoridades de planeación o las ejecutivas del país y
los criterios de la planificación económica regional.
En este sentido, si tales prioridades señalan por ejemplo, al turismo interno y a
la recreación como un objetivo de mayor rango que la captación de divisas,
entonces los proyectos turísticos definidos en torno a los atractivos con
jerarquía 3 podrían tener una mayor prioridad y su realización sería resultado
esencialmente de consideraciones económico sociales desprendidas de una
perspectiva nacional. En este caso el criterio de decisión no obedecerá
directamente a la sel ección física de los atractivos.
Por lo regular, dentro de los países latinoamericanos se da precisamente el
caso contrario al del ejemplo anterior. Las prioridades nacionales explícita o
implícitamente asignan al turismo como primer objetivo la captación de divisas
y como segundo la creación de empleo. Esto hace que se complementen el
criterio físico, expresado a través de la metodología antes descrita, y el criterio
que obedece a las prioridades nacionales dentro de los planes de turismo.
Es por esto que para muchos casos se ha podido asignar prioridades a los
programas de turismo, según la importancia física del atractivo que vayan a
explotar, con lo cual buena parte de la selección se limita al campo de los
clasificados con 3.
Podemos citar concretamente al Programa Tornasol , en la República de
Honduras, donde las cualidades de los atractivos turísticos principales, de
haberse seleccionado con esta metodología, hubiesen alcanzado fácilmente la
jerarquía 4, lo cual coincidía con las prioridades nacionales que fijaban la
captación de divisas como uno de los más altos objetivos para el ramo de
turismo.
Respecto a la creación de empleos, como prioridad nacional, debe decirse que
difícilmente se originan programas de turismo tomando en consideración la
finalidad prioritaria de aminorar el problema de la ocupación. Se tomo como un
objetivo a cumplir y aun cuando se deberían diseñar las inversiones de manera
que se lograra el mayor monto posible de empleos de acuerdo a ciertos
requisitos, en muy pocas ocasiones el motivo principal para llevar a cabo
35
proyectos turísticos es crear empleos. Esto es por demás lógico en tanto se
ocupa mano de obra, como un medio para conseguir un resultado y no como
un fin en sí mismo (excepto raras ocasiones). Por lo tanto esta prioridad no
entra en conflicto con la generación de proyectos turísticos que se efectúen a
partir del criterio físicomotivacional (1.1).
Algunas otras disposiciones de orden general expresadas en las prioridades
pueden eventualmente entrar en contradicción con la generación de programas
turísticos que se hayan realizado a partir del criterio físico, antes mencionado.
Así, por ejemplo, algunas zonas económicamente deprimidas pueden tener
atractivos de mediana y poca jerarquía, mientras que las zonas más
desarrolladas pueden tener los mejores. En estas circunstancias si la política
económica de la nación determina que el desarrollo de la zona deprimida debe
iniciarse con inversiones en el campo del turismo, antes que en ningún otro, el
criterio de las prioridades está en capacidad de imponerse, disponiendo la
creación de proyectos turísticos en lugares donde la ordenación de atractivos
por la vía metodológica del inventario turístico, no lo hubiese hecho.
1.4 A PARTIR DEL MERCADO
En ocasiones los programas de inversión para turismo se origina en zonas en
las cuales el elemento de decisión no es la calidad de los atractivos ni las
prioridades nacionales de orden socioeconómico, sino las contundentes
posibilidades que ofrece el mercado de consumidores, sea, por la cercanía de
la zona a éste, por las grandes facilidades que ella tiene para el arribo y estadía
de los visitantes, o por la combinación de ambos; de manera que los proyectos
se conciben para lugares que por sí mismos destacan como turísticos, a
pesar de la clasificación técnica que se lleve a cabo o de las prioridades
nacionales establecidas. Éste es el caso de aquellos centros que ya están en
funcionamiento y tienen un crecimiento natural, para los cuales se elaboran
inversiones de regulación y fomento.
1.5 A PARTIR DE REQUERIMIENTOS ESPECÍFICOS DE LA PLANTA
TURÍSTICA
En otros casos, la estrategia sectorial de turismo es la que determina la
necesidad de reforzar la oferta de servicios, incrementándola, mejorándola o
integrándola en circuitos y centros que fomenten que est o se haga dentro de un
proceso técnico de ordenamiento y selección, en el que se hayan jerarquizado
las zonas y los atractivos correspondientes.
1.6 OTRAS FUENTES
Algunos otros elementos en la práctica han dado lugar a programas de
inversión dentro de los planes turísticos. Entre éstos destacan las decisiones
políticas que obedecen a necesidades, como la integración nacional de un
territorio determinado, el reforzamiento de la imagen que un país requiere
proyectar hacia el exterior, o bien el impulso que una provincia o localidad
desea adquirir en el contexto de la nación, a través de fomentar la afluencia de
visitantes para que la conozcan.
36
1.7 A PARTIR DE LA COMBINACIÓN DE CRITERIOS
Debe tratar de lograrse la armonización de los criterios a través de los cuales
tiene lugar la gestación de proyectos y programas dentro de un plan de turismo,
a fin de garantizar tanto la racionalización de inversiones como su efectiva
realización.
La creación de programas ha de estar avalada y dirigida de preferencia por los
criterios técnicos, pero éstos no deben aislarse de las consideraciones
sociopolíticas de las cuales, en última instancia, depende la ejecución de
dichos programas.
Ha de buscarse por lo tanto la compatibilización entre la estrategia físico-
motivacional con las prioridades nacionales, las mejores alternativas del
mercado, los requerimientos específicos de la realidad turística en el país y las
consideraciones político administrativas vigentes.
1.8 LOS PROGRAMAS Y PROYECTOS SURGIDOS EN FORMA
INDIVIDUAL O AUTÓNOMA
La gran mayoría de los proyectos de turismo en Latinoamérica se originan por
determinación autónoma a través de capitales privados. El elemento decisivo
en estos casos es casi siempre el mercado, por medio del cual se asegura la
rentabilidad de las inversiones.
La existencia de un monto suficiente de consumidores que justifiquen con su
demanda efectiva la instalación de ciertas empresas de servicios turísticos,
provoca con regularidad la colocación natural de capitales de inversión en esta
rama.
En estos casos, la fuente generadora de los proyectos consiste en el interés
que despiertan los beneficios económicos que se esperan obtener, y la
ubicación de las inversiones en el radio de ciertos atractivos turísticos proviene
de una decisión independiente, que no necesariamente se inserta en una
perspectiva general del país, sino que puede depender de una análisis físico
particularizado con anterioridad de zonas ubicadas, sobre las cuales de hecho
ya se tiene cierta elección superficial previa.
Lo anterior no implica que para inversiones privadas independientes dejen de
realizarse estudios de preinversión; éstos se elaboran también y muchas veces
con más profundidad que cuando se derivan de planes, pero el proyecto en sí
parte de análisis muy específicos, que tienen en su mayoría como génesis y
elemento rector las expectativas de ganancia.
Los proyectos turísticos originados de esta manera pueden surgir
espontáneamente o por inducción. El primer caso se da bajo condiciones muy
favorables en las que se tiene un amplio margen de seguridad para la
rentabilidad del capital y generalmente se localizan en centros y zonas
turísticas o urbanas que, por estar ya en funcionamiento, tienen los servicios
mínimos y es más factible que tengan asegurada la demanda indispensable
37
para que la empresa pueda operar.
En el segundo caso, hay una promoción externa que toma en cuenta el interés
principal bajo el cual se motivan los proyectos privados y los estimula por
medio de políticas económicas que utilizan exenciones fiscales, facilidades
crediticias, permisos de importación y otros instrumentos concretos cuyo
objetivo es hacer atractiva a los particulares la inversión en empresas turísticas.
Bajo esta situación se han desarrollado nuevos centr os de servicios y reforzado
ciertas áreas turísticas, en donde por diversas razones su oferta había
desmerecido.
En otros casos y dentro de la vía autónoma, aparecen proyectos oficiales
originados en decisiones aisladas de entidades gubernamentales, que ante
situaciones de coyuntura llevan adelante acciones dispersas. La ubicación de
estos proyectos obedece ent onces a múltiples razones y por lo regular no están
enmarcadas en un desar rollo técnico e integral de la actividad turística.
REFERENCIA BIBLIOGRÁFICA
ü HERNÁNDEZ, Edgar. Proyectos Turísticos, Formulación y Evaluación,
Ecuador
ü BACA Urbina Gbriel, Evaluaci ón de Proyectos
38
2. IDENTIFICACIÓN Y SELECCIÓN DE SITIOS Y
PROGRAMAS DE DESARROLLO TURÍSTICO
Esta fase del proceso abre la etapa de los estudios de preinversión. Es un
primer intento por seleccionar los sitios1
específicos de desarrollo y por definir
técnicamente ideas agrupadas sobre las características de los programas de
inversión que se han de empr ender.
Se inicia a partir de la macro localización efectuada con anterioridad, ya sea
por la desagregación progresiva que resulta de una estrategia general o por la
determinación autónoma de inversionistas privados y entidades federales.
Representa, por lo tanto, el paso metodológico inmediatamente posterior a la
selección de zonas y áreas prioritarias.
Por lo regular, cuando se trata de planes turísticos, e inclusive de programas y
proyectos aislados, muchos antes de proceder a la macro localización, se
tienen acumuladas ciertas ideas sobre las características y destino de las
futuras inversiones en un conjunto, tanto como de su mercado y de algunos
indicadores sobre los márgenes aproximados de capital que eventualmente se
podrían obtener,
Estas ideas orientan la macro localización y dependen fundamentalmente del
interés que motive a la fuente generadora , así como de las particularidades
de ésta.
En este sentido, puede decirse que los proyectos gestados en el sector privado
a partir, verbigracia, de fuertes expectativas de ganancia, han de depender,
principalmente en su configuración final, de las consideraciones que sobre este
tópico se efectúen, y ejercerán el mayor paso relativo sobre el conjunto de
factores a examinar. En cambio, si las consideraciones iniciales sobre los
proyectos provienen de un proceso de planificación más amplio, aunque
siempre se mantendrá la influencia del aspecto preponderante que les dio
lugar, es más factible la combinación y retroalimentación de todas las
incidencias causales que actúan dentro de un pl an2
.
Antes de emitir ideas sobre los sitios y proyectos que se piensa deben ser
considerados en el área elegida, habrá que precisar y ordenar con toda
rigurosidad los atractivos a explotar, así como efectuar un diagnóstico
particularizado del espacio geográfico y económico de dicha área. En este
sentido, es conveniente examinar, como ya lo expresamos, la existencia y
repercusiones de los corredores, complejos y centros turísticos que son
susceptibles de implementarse.
1
Sitio: Es el lugar preciso donde se van a construir las instalaciones, equipos, y obras generales
necesarias para la explotación de una atractivo turístico . (Obra citada). Para efectos de este trabajo.
lugar preciso no debe entenderse como el punto concreto para cada una de las instalaciones (definido
en planos y por m
2
), sino como el espacio exacto donde el conjunto de ellas se localizan. O sea, es el
territorio que legalmente comprendería el programa a ejecutarse.
2
Véase Cap. 4.1. La planificación económica y los proyectos de inversión en turismo, CICATUR/MÉX.
39
2.1 SURGIMIENTO DE LAS IDEAS A CONSIDERAR
La evaluación de los proyectos es un actividad continua que se inicia desde el
momento mismo en que se e mpiezan a concebir ; sin embargo, el primer estrato
técnico del análisis de factibilidad (que es constante), lo constituye la fase
llamada identificación técnica de las ideas , donde éstas surgen de un
procedimiento en cierta forma metódico y sufren, además, una selección
primaria.
Dentro de esta fase se avanza hasta la elaboración de un bosquejo el cual
ilustre sobre el complejo de inversiones que los responsables de ella juzgan
como deseables y posibles.
Las ideas que emerjan al respecto, tendrán una base de factibilidad lógica.
Deben ser aportadas por un estaf de técnicos creado exprofeso y de
preferencia interdisciplinario, cuyo trabajo serán es de considerar alternativas
razonables, tomando en cuenta una amplia gama de ítem y sobre todos el
interés motriz de las personas físicas o morales e instituciones que fungen
como promotoras en todos el proceso.
Debe dejarse aclarado que las ideas a as cuales nos referimos en este
capítulo, no alcanzan a esta altura (salvo raras excepciones) el grado de detalle
que implicaría, por ejemplo, dimensionar unidades específicas. Son
simplemente representaciones generales sobre conjuntos que se expresan con
el fin de ser estudiadas a profundidad. En la mayoría de los casos resultan de
una combinación entre la observación que se realice sobre el área, los
supuestos previos y la experiencia de situaciones análogas.
El número y la calificación del estaf responsable dependen fundamentalmente
del monto e importancia de las futuras inversiones. La especialidad de sus
integrantes está en función de los tipos de proyectos que se conciban, y la
procedencia de los técnicos (sector público, organismos internacionales o
sector privado), en la mayoría de los casos, es una consecuencia del origen
previsto de los capitales con que se han de ejecutar las ideas que se detecten.
En cualquier circunstancia, dicho estaf debe estar constituido por expertos en el
ramo, ya que sus propuestas implican desencadenar hacia delante un aserie
de acciones que representen considerables esfuerzos técnicos, económicos,
políticos, administrativos y sociales.
Para determinar las ideas generales y específicas, el estaf tiene un trabajo en
conjunto y otro por especialidades. Para el primero, el equipo se nutre de los
siguientes aspectos: observación; experiencia y conocimiento previo; datos
generales de primera mano; o sea, al alcance inmediato del que observa y la
opinión de profesionales y personas conectadas con el ramo
2.1.1 La observación
La inspección ocular por parte de especialistas es decisiva, ya que de esta
40
manera pueden recogerse dictámenes calificados sobre la base del espacio
real en que se han de desenvolver las actividades turísticas, así como de las
interconexiones entre éste y la zona o región en donde se encuentre.
2.1.2 La experiencia y conocimiento previos
Comparar el potencial turístico y las posibilidades de éxito a priori, es algo que
requiere de un gran conocimiento por parte del estaf responsable, no sólo
sobre el área, la zona y el país sino en general del la actividad turística.
Asimismo, seleccionar sitios y proponer alternativas para unidades de inversión
implica la experiencia suficiente sobre casos históricos semejantes, como para
haber asimilado los resultados positivos y negativos que se hayan encontrado.
2.1.3 Los datos de primera mano
Son, en principio, la estadística y la información general cuya consecución no
requiera un mayor esfuerzo ni para la cual haya que realizar investigaciones
específicas. En general debe disponerse de ella en forma inmediata, a manera
de un auxiliar cotidiano en la toma de decisiones, tanto de los profesionales y
expertos cuyas opiniones se han de recabar, como del estaf responsable.
2.1.4 Opinión de profesionales, empresarios y personas relacionadas
con el ramo
Es imprescindible que el estad se auxilie de aquellos conocimientos obre la
actividad turística, que sólo se adquieren a través del trabajo cotidiano y del
contacto directo con la problemática del turismo en una zona o región
determinada. No obstante, los entrevistados e informantes deben gozar de una
experiencia y de un juicio comprobado, ya que sus opiniones eventualmente
pueden conducir a robustecer o rectificar el encuadre general que el estaf
elabore.
2.2 CRITERIOS TÉCNICOS AUXILIARES PARA FORMULAR LA
PROPOSICIÓN INICIAL
Dentro del trabajo por especialidades (aunque manteniéndose como equipo), el
estaf deberá recurrir en forma superficial a los criterios técnicos de decisión,
pero con la seriedad suficiente como para seleccionar alternativas y detectar
aquéllas que justifiquen mayores estudios. De los criterios que se mencionen a
continuación algunos son preponderantes par la decisión de seguir adelante,
mientras que otros podrán ser complementarios. Todos ellos son partes
interrelacionadas en un todo. En algunas ocasiones el análisis sobre sólo uno
de ellos, es suficiente para tomar una resolución. Sin embargo, lo correcto es
apreciar la incidencia que cada uno puede tener en el problema.
2.2.1 Criterios de orden físico
Corresponden a las consideraciones que le merecen al estaf, el entorno físico
de cada uno de los sitios que identifique dentro del área turística seleccionada.
Estos criterios son quizás los más importantes en esta fase, ya que l os sitios de
41
desarrollo deben quedar definidos en ella.
Dicho entorno puede estar constituido por elementos tanto naturales como
culturales. Los primeros son aquéllos que el hombre no ha llegado a cambiar, ni
en su forma, ni en su esencia, aunque pueden estar sujetos a su observación,
conservación y análisis. Los segundos son, por el contrario, los que el ser
humano no sólo conoce, sino además transforma de acuerdo a sus intereses
económicos, políticos, sociales o estéticos.
2.2.1.1 Naturales
1. Atractivos naturales
Son las manifestaciones, lugares o elementos naturales sobre los cuales el
estaf lleva a cabo una revisión somera para determinar el grado de interés
turístico que aquéllos pueden despertar (calidad del atractivo), tratando de
concebir las posibilidades de integrarlos en paquetes de manera que se
complementen y puedan ser explotados en conjunto. En este punto se realiza
la evaluación de atractivos.
2. Condiciones ambientales
Ø Clima. A través de algunos indicadores tales como los días de sol, el
promedio de temperaturas en el año o el de los periodos en que se
prevean las temporadas altas , se obtendrá una idea del
comportamiento aproximado que tiene el clima en el lugar.
Ø Condiciones eco salubres. La observación sobre los sitios y el tipo de
enfermedades en la población nativa, puede informar sobre los
elementos de insalubridad que el ecosistema natural produzca, y
evaluarlos con una primera aproximación.
Ø Paisaje natural. Las potencialidades estéticas del ambiente natural
deben también considerarse en función del impacto psíquico que causen
al visitante.
Ø Condiciones de la fauna y vegetación. La riqueza o pobreza de la
población animal con que cuente cada sitio o área y en especial la
variedad y tipo de sus especies llega a determinar por un lado las
necesidades de alterar el ecosistema y por otro las de reforzarlos, así
como el incremento de actividades turísticos susceptibles de desarrollar.
Por otra parte, la vegetación natural tiene implicaciones directas sobre el
paisaje original o creado que pueden aprovecharse; y, en gran parte,
sobre las potencialidades general del sitio.
3. Hidrología
En esta fase se hace una primera observación sobre las potencialidades
relativas al uso de los ríos externos y de las lagunas de los sitios, así como
sobre los problemas que puede ocasionar su comportamiento, condiciones y
formas.
42
4. Morfología
Conviene hacer una revisión inicial sobre las formas geográficas que presenta
el sitio sin llegar a un análisis de los accidentes y particularidades de su
superficie (topografía), pues en realidad esto sólo se justifica en niveles de
estudios posteriores, en donde ya han sido elegi dos los sitios.
5. Potencialidades del espacio
Sobre la base de una medición primaria y el uso de coeficientes, el estaf puede
realizar aproximaciones o por lo menos comparaciones entre las
potencialidades físicas de cada sitio, para el desarrollo de actividades
turísticas. En especial, el uso que podría hacerse de cada terreno en virtud de
su capacidad y calidad.
2.2.1.2 Culturales
1. Atractivos culturales
Se destacan aquellas manifestaciones, elementos o espacios creados o
transformados por el ser humano que pudieran funcionar como atractivos para
los visitantes del área. Se seleccionan y ordenan.
2. Paisaje cultural
Se hacen las consideraciones pertinentes sobre el ambiente físico creado por
el hombre y su posible impacto psíquico en el visitante.
3. Hábitat humano
Se registran las características y la diversidad de los elementos con función
utilitaria que se encuentran en el ambiente creado por el hombre. en éste
entran todas las facilidades y servicios con que cuenta cada sitio
(infraestructura, equipamiento y servicios conexos).
2.2.1.3 Resumen de las apreciaciones sobre el entorno físico de cada
sitio, así como de sus necesidad es y restricciones físicas
Una vez que los expertos del estaf responsable han madurado sus
apreciaciones sobre el contexto físico de cada sitio, conviene elaborar un
resumen de éstas, mencionando la calificación que les merece cada uno en
función de sus potenci alidades para el desarrollo de actividades turísticas.
Asimismo, resulta muy útil una orientación sobre las carencias físicas que el
estaf considere como deficiencias imprescindibles de cubrir en los sitios
correspondientes, para cualquiera que fuese el tipo de proyecto turístico que se
determinase más tarde.
Como es natural, tales deficiencias o necesidades se refieren a obras de
infraestructura y servicios esenciales. Ir más allá puede ser erróneo, ya que
determinar incluso obras de apoyo a las inversiones de equipamiento, equivale
43
a suponer algunas características de estas últimas sin saber con certeza si
realmente existirán. El diseño, tamaño e inclusive el punto exacto en que se
ubicarán los proyectos de equipamiento, corresponde establecerlo después de
realizado el estudio de mercado, de manera que se tenga una buena y
justificada aproximación sobre perfil del turista y los monto de afluencia a que
se aspira.
En caso de que existan, y si la observación superficial lo ha detectado, se
explicarán las restricciones físicas encontradas en cada lugar, tanto para el
desarrollo de actividades turísticas, como para la construcción de cierto tipo de
proyectos.
Finalmente, dentro de este resumen debe intentarse una jerarquización
tentativa de los sitios estudiados, la cual será ratificada o rectificada por el
empleo de los demás criterios técnicos.
2.2.2 Criterios de orden económico financiero
La disponibilidad de los recursos financieros es una limitante que se deberá
considerar en todas las fases de los estudios de preinversión. En esta etapa se
buscará contribuir a seleccionar los sitios de desarrollo. Tomando en cuenta las
fronteras aproximadas sobre las cuales se supone que están los montos de
capital a los que podría recurrirse, de manera que se descarten aquellas
alternativas que francamente impliquen cantidades inaccesibles, según se
pueda deducir de las revisiones superficiales efectuadas. En realidad, la
mayoría de las deducciones a este respecto provienen de las necesidades que
en materia de infraestructura y servicios básicos pudieron ser detectadas en el
análisis físico realizado sobre cada sitio.
Por otra parte, se aplicarán estos criterios en la revisión de los análisis
regionales de que se disponga para estudiar los diagramas de flujos
económicos en la región, así como sus redes de comunicación y grados de
concentración, de manera que puedan preverse las posibilidades que tiene
cada sitio de aprovechar la existencia de economías e xternas o bien, si fuese el
caso, el que su desarrollo contribuya la desconcentración especial.
En cuanto a las ideas generales sobre los programas de equipamiento por
desarrollar desprendidas del análisis sobre el entorno físico de cada sitio, se
tratará de apreciar las diferencias descollantes entre distintas alternativas
según dos elementos básicos:
44
Figura 2.1
45
Ø Los efectos socioeconómicos previstos para la región.
Ø Los niveles aproximados en materia de financiamiento.
2.2.3 Criterios legales
En algunas naciones donde se combinan diferentes tipos de propiedad sobre la
tierra, los conflictos jurídicos a este respecto llegan a impedir el asentamiento
de proyectos turísticos en determinadas áreas.
Por esta razón, y dependiendo del país o zona en estudio, es recomendable
darle la mayor atención a las formas de propiedad y tenencia que rijan en cada
uno de los sitios por elegir, de manera que se consideren en el análisis de
factibilidad desde su primera fase.
En algunos casos, las situaciones difíciles en materia de propiedad territorial
pueden ser solucionadas fácilmente; en otros requiere de procedimientos
legales largos y complicados, pero a veces los obstáculos se mantienen por
periodos tan amplios que la rentabilidad de los proyectos se reduce
notablemente o desapar ece.
En otras ocasiones, ciertos sitios están regidos por disposiciones y reglamentos
que pueden modi ficar demasiado las ideas originales, a tal grado que la entidad
o persona promotora de los proyectos no esté dispuesta a llevarlos adelante
bajo características tan diferentes alas que en principio concibió para ellos.
En el campo de lo legal, las situaciones son muy diferentes de una zona a otra,
por lo que el estaf deberá recurrir a especialistas y a personas con experiencia
de la localidad, ya que en este ámbito sus ideas se normarán por opiniones y
consultas. Como hemos mencionado, en esta fase no es recomendable dedicar
esfuerzos a investigaciones específicas, especialmente en esta mater ia.
2.2.4 Criterios de mercado
En conjunto con los otros criterios, el estaf considerará las peculiaridades de
los principales mercados con que cuenta el área donde se están seleccionando
los sitios. A la altura de esta fase sólo se recurre a la información y
conocimiento, con que normalmente trabaja el estaf y los profesionales
consultados, para establecer con estos elementos hipótesis lógicas sobre los
mercados y fundamentar sobre ellas las ideas generales que se propongan
para cada sitio.
En especial, los supuestos sobre algunas características socioeconómicas de
los turistas actuales y futuros, contribuyen poderosamente a la selección de los
sitios. Dado que cada uno de éstos presenta diferentes posibilidades físicas
para el desarrollo de actividades turísticas, en cierta forma la diversidad de
instalaciones en donde éstas se efectúen depende del consumo previsto que
se espere y, por lo tanto, del tipo de consumidores futuros, o sea, del segmento
de mercado a captar.
46
2.2.5 Otros criterios
La determinación de sitios y la identificación de ideas para proyectos de
inversión, puede eventualmente verse influida por decisiones políticas o por
criterios administrativos. No obstante, es más frecuente que estos criterios
intervengan en la asignación de prioridades a nivel de las zonas que de los
sitios, ya que la selección de estos últimos está sujeta a mayores requisitos
técnicos.
2.3 LA SELECCIÓN DE SITIOS Y ALTERNATIVAS PARA LOS
PAQUETES DE INVERSIONES
Realizado el primer análisis sobre los sitios posibles por desarrollar, en el área
elegida, y estructuradas diversas ideas globales sobre programas de inversión
en turismo, se procederá a seleccionar formalmente las alternativas, a fin de
escoger una o más de ellas para la presentación de la proposición inicial.
2.3.1 Ordenamiento de las ideas en programas (alternativas)
En cada sitio estudiado se habrán pronunciado muchas y diversas ideas sobre
posibles proyectos. Éstas se integrarán según características afines o
necesidades de conjunto, en paquetes o programas coherentes; de manera
que para cada sitio se tenga una o varias alternativas de inversión las cuales
equivalen precisamente a dichos programas.
Representando la situación por conjuntos quedaría según la figura 2.2
Figura 2.2 Programas identificados en el sitio X
Como se ve en dicha figura. Algunas ideas pueden estar contenidas en dos o
más alternativas, o sea, ser comunes a todos los programas integrales que se
identifiquen en cada sitio. Podría ser éste el caso de los proyectos de
infraestructura y el de algunos de equipamiento (ruta de acceso, hoteles,
47
servicios básicos, energía, etc.) cuya realización suele ser imprescindible
(proyecto básicos) para el desarrollo de cualquier conjunto (en la figura los
proyectos del área).
Debe repetirse aquí, que las ideas que conforman cada programa están
expresadas en su mayoría a nivel genérico (tipos), sin llegar a particularizar
demasiado. Así, se mencionarán los tipos hoteles, aeropuertos, rutas de
acceso, condominios y otros, sin definir qué clase de hoteles y de qué
capacidad o, verbigracia, qué características definirían a las rutas de acceso.
En algunos casos, la clase de proyectos dentro de un tipo, es lo
suficientemente evidente como para adelantarse ( aeropuerto de clase
internacional para recibir incluso aeronaves Dc 10, por ejemplo), pero en
general cada idea global sobre los tipos de proyectos conviene mantenerla en
su forma indefinida, para que sea precisada con más elementos de juicio, en
los estudios definitivos de preinversión.
2.3.2 Selección de sitios y alternativas
Como puede apreciarse, en ese enfoque metodológico las alternativas por
seleccionar, son programas integrales y no proyectos aislados.
No obstante, es perfectamente posible reducir la perspectiva y aplicar en sus
líneas generales este procedimiento para proyectos específicos, que por ser
independientes no se contempl an en programas o paquetes de inver sión.
Cada alternativa ha sido concebida en el marco de un determinado sitio, por lo
que, una manera de seleccionar entre el conjunto de aquéllas es mediante la
elección del o de los lugares de desarrollo; de forma tal que sólo compitan para
pasar a las fases siguientes los programas identificados en los principales sitios
elegidos.
Un mecanismo para escoger los sitios prioritarios a partir del trabajo efectuado
por el estaf con los elementos y criterios descritos en los puntos 1 y 2 de este
capítulo, es el de ordenar por jerarquías los lugares estudiados.
Los sitios quedarían arreglados en columna y el lugar mencionado en el primer
renglón, expresaría que a juicio del equipo responsable es el prioritario. En
forma descendente, todos los demás quedarían ordenados según el orden de
su importancia.
Igualmente, las alternativas estarían acomodadas en forma individual, por
pares, tercias, etc., (dependiendo del número de programas que compitan entre
sí para cada sitio) y esta mentalizadas según los sitios a los que pertenezcan.
En cualquier caso, se tratará de obtener sólo un programa de inversiones
físicas en cada sitio elegido, auque éste posteriormente se desagregue en
subprogramas y proyectos específicos.
Gráficamente la ordenación podría ejemplificarse con el siguiente esquema.
48
0rden de prioridad Sitios elegidos Alternativas identificadas
en cada sitio
1
2
3
4
Sitio A
Sitio B
Sitio C
Sitio D
Programa 1
Programa 2
Programa 1
Programa 2
Programa 3
Programa 1
Programa 3
El ordenamiento de los sitios está en función de los criterios técnicos ya
descritos, pero la determinación de cuántos de ellos se han de desarrollar y en
qué períodos o lapsos, depende primordialmente de las prioridades nacionales
y de las posibilidades financieras que se prevean. Dicho ordenamiento facilita y
hace más expedito el desarrollo global de los análisis de preinversión, ya que
en el caso de que no sea factible (según se demuestre en los estudios de
preinversión posteriores) desarrollar alguno de los sitios escogidos (bajo
ninguna de las modalidades o programas identificados), podrá desecharse
aquél, y adoptarse el sitio (y sus correspondientes programas) que le siga en la
escala jerárquica elaborada en esta fase.
La proposición inicial, con la que se concluye este primer nivel en el análisis de
factibilidad, comprenderá los sitios elegidos y el conjunto de programas o
alternativas identificadas para ellos.
En el esquema anterior, por ejemplo, si se seleccionan los sitios A y B, la
proposición inicial integrará las alternativas 1, 2 y 1 . En el caso de esta última
habrá necesidad de filtrarla en competencia con otra, puesto que fue la única
identificada en el sitio B.
El proceso de selección de alternativas en esta fase, queda representado en la
gráfica de la página siguiente.
2.4 LA PROPOSICIÓN INICIAL
Este apartado comprende una recopilación de las conclusiones que se
desprenden de los trabajos realizados durante la identificación y selección de
sitios y alternativas.
Para efectos de mayor claridad en su presentación, conviene que incluya una
breve síntesis de las actividades desarrolladas en esta fase, así como de las
fuentes y consideraciones que las originaron.
Su objetivo es facilitar la comprensión y aplicación de los resultados obtenidos.
En tanto sinopsis, se convierte en un elemento indispensable para las
instancias ejecutivas, ya que comúnmente al finalizar cada fase, hay que tomar
la decisión de seguir adelante con los estudios de factibilidad, concluirlos,
revisar los efectuados o simplemente someterlos a un período de espera. La
49
toma de decisiones y la negociación, en general, se agilizan notablemente
teniendo para la discusión un corolario de las proposiciones y deducciones
elaboradas.
Gráfica 2.3
Precisamente, éste es uno de los puntos donde la negociación adquiere mayor
importancia dentro del proceso, ya que con escasos elementos hay que decidir
la inversión correspondiente en estudios profundos de preinversión o, si es el
caso, la tramitación de su financiamiento. Asimismo, es normal que sea a este
nivel cuando se empiecen a formalizar los contactos y gestiones con los
organismos crediticios, a los cuales se piensa recurrir para el futuro
financiamiento de la inversión.
Debe destacarse que la proposición inicial es, en gran parte, el extracto elegido
de un proceso en el cual se han aportado ideas lógicas sobre futuros
proyectos, en el contexto de sitios diferentes. Por lo tanto, representa, en cierta
forma, un producto consciente de la intuición creativa del estaf, y de los
ejecutivos comprometidos. En este sentido, tanto la selección de sitios como la
de alternativas, deben estar perfectamente avalados por fundamentos de orden
analítico y técnico.
La proposición inicial se divide básicamente en tres partes: antecedentes,
conclusiones y recomendaciones.
2.4.1 Antecedentes
Están constituidos por dos tipos de referencias. Las primeras se refieren a las
disposiciones, acuerdos y decisiones que hicieron posible los trabajos de
identificación y selección, propios de esta fase. Estos antecedentes dan cuenta
de las características que haya adoptado el proceso de análisis realizado hasta
50
el momento.
El segundo tipo, lo conforman el grupo de elementos, diagnósticos y
consideraciones de carácter técnico a los cuales se ha recurrido en el
transcurso de esta etapa. En especial deben mencionarse las características
del estaf responsable, el método de trabajo utilizado y las relaciones, informes,
datos, precedentes, etc. , que se hayan apli cado como auxiliares.
Dentro de los antecedentes de or den técnico se incluye la descripción r esumida
de las acciones que fueron necesarias para lograr la identificación y la
selección de los sitios y de las alternativas.
2.4.2 Conclusiones
En este título se hace la presentación ordenada de los sitios identificados
dentro del área designada para el estudio, así como de las razones que
justifican dicha identificación.
En seguida se mostrará el orden de prioridades de los sitios y los que
finalmente hayan resultado elegidos en esta primera aproximación, se definirán
con mayor exactitud, ya que tentativamente son los sujetos de análisis para los
estudios de preinversión.
En forma correlativa, se describirán las alternativas o paquetes de inversión
identificados en cada sitio elegido, de manera que sean considerados como
marcos de referencia en los próximos estudios de factibilidad.
2.4.3 Recomendaciones
Es pertinente, en este apartado de resumen, tratar de elaborar un cuadro de
recomendaciones, a manera de guía, para las acciones de seguimiento.
El carácter de las sugerencias que se inscriban aquí será de índol e diversa. Por
un lado, se mencionarán los estudios indispensables, necesarios y
convenientes, para garantizar en todos sus ámbitos la viabilidad de las
inversiones, en cada uno de los sitios seleccionados. Por otro lado, tendrá que
aludirse al conjunto de investigaciones, tramitaciones, negociaciones, etc., que
en el ámbito legal, social, administrativo, político y financiero debe efectuarse, a
fin de completar el examen global de factibilidad.
Tales recomendaciones serán recogidas y desarrolladas en los estudios
previos o definitivos de factibilidad, si se decide proseguir con éstos en el
proceso de preinver sión.
REFERENCIA BIBLIOGRÁFICA
· Hernández Edgar.- Proyectos turísticos, formulación y evaluación
· SapagChain.- Preparación y evaluaci ón de proyectos
51
SEGUNDO MOMENTO:
Los estudios de pre-inversión y los componentes de
un estudio de factibilidad
OBJETIVOS
ü Analizar e interpretar los componentes de los estudios
de pre inversión
ü Identificar los elementos de la puesta en valor de los
atractivos turísticos locales previo a la generación de
emprendimientos turísticos
ü Conocer los aspectos básicos de un estudio de
CONTENIDOS
3.- Puesta en Valor
3.1. Puesta en valor de un atractivo turístico
3.2. Aspectos que determinan la puesta en valor
3.3. Resultados de la puesta en valor
4. Los estudios de pre inversión
4.1 Introducción
4.2 Estudios previos de factibilidad
5. Estructura y componentes de un estudio definitivo de
factibilidad
5.1 Introducción
5.2 Objetivos básicos de un estudio definitivo de factibilidad
5.3 Esquema formal de un estudio definitivo de factibilidad
5.4 Presentación del estudio general
5.5 Resumen e introducción técnica del estudio definitivo
5.6 Estudio de mercado
5.7 Estudio técnico
5.8 Estudio financiero
5.9 Estudio complementario
BIBLIOGRAFIA
Baca Urbina Gabriel.- Evaluación de proyectos
SapagChain.- Preparación y evaluación de proyectos
Apuntes.- Maestría en Planificación de destinos Turísticos
52
3.- PUESTA EN VALOR
3.1. Puesta en Valor del Atractivo Turístico
La valorización o puesta en valor turística del patrimonio es un término
reciente aunque frecuentemente utilizado en la literatura científica actual. No
obstante, son escasas las reflexiones existentes sobre su verdadero alcance y
significado; hecho que genera confusiones y graves problemas conceptuales.
Por ello, se ha creído conveniente revisar este concepto atendiendo a la
bibliografía y documentación existente procedente tanto de los organismos
internacionales como de los especialistas en la materia.
Palabras clave: Desarrollo turístico - Puesta en valor turístico. - Patrimonio
Turismo
La puesta en valor del patrimonio cultural o natural se concibe como la
recuperación y rehabilitación de los bienes culturales o naturales con el objetivo
de dotarle de nuevos usos (turísticos, culturales, deportivos, residenciales, etc.)
y reinsertarlo nuevamente en el tejido social para asegurar su protección.
Se ajusta a lo que hoy día se entiende como conservación integrada, es decir,
el resultado de la acción conjunta de técnicas de conservación, de
investigación y adaptación de ese patrimonio a las necesidades de la sociedad
del momento. A partir de los años noventa diferentes autores comenzaron a
reflexionar sobre la puesta en valor turística del patrimonio. Aunque no existe
un modelo teórico concreto sobre la valorización de estos bienes culturales, a
través del análisis de las iniciativas llevadas a cabo por los diferentes países,
se pueden observar cuales son los planteamientos seguidos por los mismos y
sacar conclusiones generales al respecto.
Puesta en valor de un yacimiento arqueológico
Marco normativo Marco CIENTÍFICO Marco
SOCIAL
Instituciones Públicas
Administraciones
Instituciones
Privadas
Criterios de selección y evaluación
Contexto socioeconómico
Entorno medioambiental
PUESTA EN VALOR
YACIMIENTO
S
Incremento del
tiempo libre
Demanda de
consumo
Nuevas formas
deocio
53
La puesta en val or de los recursos naturales y culturales que son patrimonio de
un territorio. Dicho proceso es complejo puesto que en él intervienen:
Las necesidades de los mercados
El diseño de las condiciones de uso
La preservación de los valores intrínsecos del recurso
3.2. Aspectos que determinan la Puesta en Valor
La imagen: cuyo diseño puede garantizar por si sólo el reconocimiento
del recurso en el mercado
El tipo de gestión: que es determinada por factores como el tipo de
propiedad (pública o privada), el soporte técnico que se proporciona al
atractivo, las condiciones de accesibili dad, etc.
La gestión sostenible: que incluye los parámetros anteriores pero
considerando los efectos sobre el atractivo y su entorno a largo plazo,
minimizando los impactos no deseabl es para su óptima conservación
La accesibilidad: determinante en cuanto a la capacidad de carga del
atractivo y que debe diseñarse consecuentemente con los tres
apartados anteriores.
¿Cómo poner en Valor un sitio sin atractivos naturales o culturales?
3.2.1. Desarrollar atracciones totalmente artificiales.
Equipamientos tales como parques temáticos, resorts vacacionales.
Eventos especiales: Los festivales anuales o eventos diversos pueden generar
flujos significativos de turistas aunque sea en un plazo corto de tiempo.
3.2.2. Promover la práctica de actividades recreativas en lugares con cierto
atractivo
El desarrollo de pequeñas infraestructuras y medios organizativos
(puentes, senderos, pasarelas, muelles, observatorios de pájaros, etc.)
Práctica de actividades deportivas y recreativas tales como: ciclismo,
senderismo, pesca, observación de pájaros, etc.
3.2.3. Agrupar atracciones del mismo tipo o relacionadas para crear una ruta o
marca de destino que aumente el valor del conjunto.
Ejemplos de este tipo de enfoque son:
Ruta del Spondylus (Ecuador)
Ruta del Libertador (Ecuador)
Ruta de la Seda (Asia)
54
3.3. Resultados de la Puesta en Valor
1. Crear oportunidades de empleo
Trabajos con poca experi encia y formación
Trabajos directivos con formación universitaria
Se generan mas plazas de trabajo para la gente local, minimizando la
importación de profesionales extranjeros.
Alternativa de trabajo ante el desempleo en otros sectores
2. Estimular la creació n de pequeñas empresas
El turismo es una actividad económica en la que dominan la micro, la
pequeña y mediana empresa
Producción de recuerdos y artesanías, producción de alimentos,
alojamiento, operadores de receptivo, guías de turismo, taxis y
transporte local, operadores de atracciones y actividades de ocio.
Oportunidades a emprendedores locales, y en fomentar la movilidad de
los profesionales a través de programas de formación.
4. Conservación y puesta en valor de la cultura local
Fortalecimiento de la cultura local, evitando la influencia de la cultura occidental
.
Aumento de la autoestima en los residentes locales, reduciendo la
inferioridad de los mismos al sentirse como espectáculo para turistas.
Gobiernos dan importancia a la promoción de tipos de turismo
alternativo .
5. Atraer inversión extranjera
El desarrollo de nuevas infraestructuras (tales como carreteras, centros
de atención sanitaria, aeropuertos, etc.) que benefician a toda la zona y
sus residentes
6. Creación de nuevas actividades turístico-recreativas que también
beneficien a la población local
El ecoturismo y el turismo de aventura soft aportan también beneficios a
la población local y no sólo a los turistas.
Los senderos de naturaleza y observación de pájaros, miradores, rutas
para bicicletas, muelles para botes y balsas, etc. pueden ser utilizados
55
como equipamientos recreativos por la gente local y contribuirán a que
valoren más su propio entorno.
7. Promover usos alternativos del suelo
Mejor uso de suelos, ya que las atracciones turísticas pueden situarse
en terrenos que no sean apr opiados para un uso agrícola o industrial.
Construcción en zonas rurales que en un principio no tenían un atractivo
propio.
Ejemplo: Branson, Misouri (USA), capital mundial de la música
country , destino que rivaliza con Hawai en número de visitantes.
8. Incrementar los ingresos fiscales
Creación de oportunidades de negocio para la población local, nuevos
empleos, atracción de inversiones para la construcción de hoteles y
teatros, etc.
Caso Chemainus encue ntra una solución!!
Se decidió renovar Chemainus como un centro tur ístico.
El plan requería:
La colaboración de los empresarios locales que deberían invertir
en nuevas aceras, la limpieza de las calles y otras mejoras
urbanas que aumentasen el atractivo.
¿Como?:
La idea central era contratar a cinco artistas para pintar las
paredes de algunos edificios seleccionados con cinco murales
gigantes ilustrativos de la historia de la industria maderera.
Resultados:
Al evento lo llamaron el Festival de Murales de Chemainus y tuvo
un gran éxito, a raíz del mismo se fueron añadiendo 25 murales
más, lo cual elevó el número total a 30.
Se incrementaron 70 nuevos negocios, generando mas plazas de
trabajo.
Con la difusión de la existencia de los murales, cientos de miles
de turistas han visitado Chemainus
56
3.4. Desarrollo de nuevos destinos turísticos a base de inversión
Florida era una zona pantanosa infestada de mosquitos que carecía de
industria casi por completo.
La oferta de empleo y las oportunidades de negocio eran muy limitadas y,
como resultado, los ingresos fiscales y el nivel de inversión eran bajos. Hasta
que... llegó Disney!!.
Otros ejemplos similares son la ciudad de Las Vegas en USA o el complejo de
Sun City en Sudáfrica.
En ambos casos, la evolución actual es hacia grandes centros para
convenciones e incentivos y ocio familiar
57
4. LOS ESTUDIOS DE PREINVERSIÓN
INTRODUCCIÓN
Existen dos niveles en los estudios de preinversión. El primero, se denomina
estudio previo de factibilidad o estudio de prefactibilidad. El segundo, se
conoce como estudio definitivo de factibilidad o simplemente estudio de
factibilidad.
Se diferencian por la profundidad a la que trascienden sus análisis e
investigaciones. El primero, en realidad, una escala intermedia entre el
momento en que se define el sitio y las alternativas de inversión y los estudios
definitivos. La información que producen los estudios definitivos, es la que
finalmente se tiene en cuenta para la evaluación económica de proyectos y
programas y el diseño de ingeniería con que se ejecutarán las inversiones.
El estudio previo de factibilidad sólo se justifica cuando para un mismo sitio se
conciben técnicamente dos o más programas contrapuestos entre sí, ninguno
de los cuales puede ser eliminado con la información de que se dispone en la
primera fase, o bien cuando los montos de la inversión son tan grandes que es
necesario tener un grado de apr oximación mayor sobre las condiciones del sitio
y su mercado, antes de iniciar los estudios definitivos.
Como ejemplo de la primera situación cabría imaginar un atractivo de orden
internacional (jerarquía 4) donde el estaf y los ejecutivos han definido dos
alternativas que se excluyen a corto plazo. La primera da mayor énfasis a las
facilidades para el turismo de carretera que se mueve por trailers, y la segunda
al turismo de altos ingresos movilizado por la vía aérea. Antes de decidi r invertir
en los estudios de mercado y técnicos que además de implicar altos costos,
quizá se iniciarían en la desorientación por falta de claridad en cuanto a lo que
se pretende, convendría tener elegida una alternativa a fin de poder guiar los
estudios mencionados en una dirección; de esta manera se ahorra tiempo y
dinero haciéndolos más expeditos y eficaces.
La segunda situación es más frecuente, y se presenta para grandes programas
de inversión en los cuales no basta que la fase de identificación haya sido
efectuada por profesionales con experiencia, altamente calificados y bajo
métodos técnicamente irreprochables.
En estos casos, antes de llevar adelante los estudios definitivos de factibilidad,
se procura dar un paso intermedio que defina con un poco más de exactitud, la
alternativa que hasta el momento aparece como viable (si sólo hay una), ya
que en última instancia a excepción de los fondos no reembolsables para
estudios de preinversión, el costo de estos últimos ha de cubrirse en forma
diferida con los beneficios de las inversiones para las cuales se prepararon. Si
los proyectos no se ejecutan, el gasto en estudios definitivos se pierde y si éste
es muy alto, la pérdida será naturalmente onerosa.
Puede presentarse también la combinación de las dos situaciones, o sea, que
para un programa de grandes inversiones, se encuentren definidas dos o más
alternativas para elegir.
58
En estas circunstancias, conviene definitivamente filtrar dichas alternativas,
ya que es un error iniciar los estudios definitivos y en particular el análisis de
mercado a profundidad, bajo una perspectiva demasiado amplia, en el caso de
programas de importancia nacional, pues se crea la dispersión en los estudios
y se amplía el tiempo y costo en que éstos se r ealizan.
Es deseable orientar los estudios definitivos presentándoles una sola
alternativa, la cual puede ser seleccionada con los nuevos elementos de juicio
que reúna el estudio previo.
ESTUDIOS PREVIOS DE FACTIBILIDAD
Los objetivos básicos del estudio previo son los siguientes:
Ø Seleccionar la alternativa o paquete integral de inversión, que concebido
a grandes rasgos (de acuerdo a su función turística) se demuestra como
el más adecuado, de acuerdo a los fines que se persigan y siempre que
sea competitivo con otras propuestas.
Ø Profundizar en las principales variables que determinan la viabilidad de
los proyectos turísticos, cuando éstos están incorporados en programas
de interés nacional .
Ø Preparar y facilitar el desarrollo de los estudios definitivos de
preinversión.
Ø Contribuir a la obtención del financiamiento para los estudios definitivos.
Ø Contribuir a las negociaciones para conseguir los créditos necesarios
para las inversiones del programa.
Los estudios previos de factibilidad se concentran en el análisis de dos
elementos básicos: las peculiaridades de los mercados naturales y factibles al
área del sitio y las posibilidades físicas (calidad, cantidad y diversidad) del
entorno en cuestión, par a el desarrollo de actividades turísticas.
En forma complementaria y cuando el área donde está ubicado el sitio así lo
requiera, tendrá que investigarse a este nivel su problemática social, para
establecer entre otras cosas, la actitud y disponibilidad de la población local
ante los cambios que puedan producir los programas de turismo.
Asimismo, otro elemento que puede ser enfatizado en este estudio es el legal,
ya que en algunos países, dada su especial problemática, requiere ser tratado
a diferente nivel en cada fase.
Revisiones sobre las condiciones del mercado
Durante el estudio previo se acumulan nuevos argumentos técnicos para
seleccionar, reafirmar o rediseñar la alternativa definitiva en materia de
inversiones. A la altura de este estudio, sólo se justifican investigaciones de
mercado primarias o de gabinete . Con ellas se procuran aquellos datos
elaborados, o por elaborar, a los que no se había r ecurrido hasta el momento.
59
Algunas de las incógnitas fundamentales en este campo, sobre la que se
puede ir avanzando en el estudio previo, se refieren a las principales plazas del
mercado actual, futuro y potencial.
Interesa, en especial, encontrar información sobre el perfil socio-económico
del turista y sus hábitos, en cuanto a actividades turísticas, así como sobre las
vías de comunicación que normalmente utiliza para viajes de turismo, formas
de promoción a las que recurre, preferencias, etc., y, en general, sobre todos
aquellos elementos que nos permitan desagregar la función turística del
programa global que se esté discutiendo.
De esta manera, estaremos en condiciones de ir comparando y rediseñando
las inversiones identificadas en cada programa con el tipo de demanda que
ejerce el mercado al cual pretendemos dirigirnos.
Revisiones del entorno físico elegido
El sitio para ubicar las instalaciones turísticas, generalmente queda
seleccionado en la fase de identificación. No obstante, la selección puede ser
revocada y cambiada, si en el estudio previo o en el definitivo se reúnen
nuevos argumentos que indiquen la necesidad de hacerl o.
Destaca la importancia de las revisiones que a este respecto se llevan a cabo
durante el estudio previo, porque deben intentar una buena aproximación
cuantitativa de las potencialidades que ofrece el sitio para la instalación de
unidades de inversión, mediante la asignación y dimensionamiento de terrenos,
según la función que se les pueda otorgar dentro del sitio.
Parece conveniente que lo anterior se realice antes de iniciar los estudios
definitivos, ya que de esta manera el estudio de mercado final puede diseñarse
conociendo las posibilidades físicas reales del lugar seleccionado y con esto,
orientarse hacia los estratos del mercado que coincidan en sus hábitos con la
mejor alternativa de inversión planteada. El análisis del sitio brinda, junto con
los supuestos de financiamiento y capital que se están manejando, un marco
de referencia sobre la cantidad y calidad de los servicios que eventualmente se
estaría en capacidad de ofrecer al mercado a partir de este programa.
Dicha información permite fijarle al estudio definitivo de mercado, objetivos
concretos y encauzarlo bajo procedimientos claros y evaluables.
Sin embargo, este procedimiento no debe interpretarse erróneamente,
pensando que la asignación de funciones y el dimensionamiento de espacios,
preceden a toda consideración sobre el mercado. Debe recordarse que, tanto
en la primera fase del proceso (identificatoria) como en el propio estudio previo,
se ha señalado con énfasis la aplicación de los criterios de mercado y la
revisión sobre estos tópicos.
En cambio, un estudio de mercado a profundidad implica, por lo regular, una
mayor definición sobre el producto que se pretende vender .
60
En los casos que se determina injustificable o incosteable la elaboración del
estudio previo, el dimensionamiento de terrenos y su asignación de funciones
se tiene que realizar dentro del estudio definitivo. Aún así sigue siendo
recomendable que precedan al estudio de mercado.
Asignación y dimensionamiento de terrenos
La asignación de terrenos implica una previsión de los espacios que
comprendería cada proyecto específico o cada grupo de ellos, cuando por sus
características requieran vecindad. Con ello se cumple un primer
dimensionamiento de terrenos y de esta manera, el Staff técnico podrá
conformarse una idea de la capacidad máxima que aproximadamente presenta
el sitio, para cada tipo de servicios.
A manera de ejemplo, podríamos mencionar el análisis de un sitio donde se
hubiesen considerado 20.000 m2
como única extensión susceptible de
aprovecharse para la ubicación de las instalaciones de equipamiento turístico;
mediante la aplicación de estándares, el Staff podría adelantar opciones y
márgenes, dentro de los cuales se inscribieran las inversiones
correspondientes.
En algunos casos, un sitio puede ser dividido en sectores que incluyen
espacios de diversa índole, con usos diferentes dentro del programa turístico.
Bajo estas circunstancias, el dimensionamiento de terrenos tendrá que
efectuarse para cada sector, pero finalmente se deben ofrecer estimaciones
agregadas en función del uso turístico que se le determine a cada tipo de
espacio. Ilustremos lo anterior con una situación hipotética, en donde se ha
identificado el sitio para un programa turístico de importancia.
Tal sitio comprende un frente de playa equivalente a 4 kilómetros con un fondo
promedio de 2 sectores el espacio total. Como es natural, cada sector tendrá
así, terrenos para instalaciones de servicios turísticos y terrenos de recreación.
No obstante, el sitio en su conjunto deberá dimensionarse según tipos de
terrenos .
El resultado será la suma de los espacios que tengan funciones turísticas
homogéneas, no importa el sector a que pertenezcan.
Con este dato el estaf tendrá una noción de las capacidades del sitio para cada
tipo de servicios.
El dimensionamiento de terrenos y espacios es interdependiente dentro del
conjunto. Ciertos espacios determinan la utilización de otros. Los programas
turísticos, que toman, verbigracia, a la playa como motivación principal, deben
considerar el tamaño de este recurso como uno de los determinantes que
pesan sobre la asignación de terrenos para obras de hospedaje. Un programa
con gran capacidad para instalaciones de alojamiento, pero con reducidos
espacios destinados a la recreación tendrá que relacionar estos elementos y
finalmente reducir el primero o en todo caso su cali dad.
61
Revisiones sobre la evaluación del sitio de desarrollo
Cuando el sitio elegido para el desarrollo del programa es extenso, para
efectos de los estudios de preinversión, cabe dividirlo en sectores específicos.
En este sentido se verificará otra evaluación y selección de atractivos, tomando
en cuenta también las posibilidades y problemas de cada espacio.
Bajo este título se llevan a cabo los estudios técnicos que se juzguen
convenientes, como continuación de la fase anterior, y siempre que sea
indispensable contar con su información antes de pasar a los estudios
definitivos. Entre aquellos pudieran contarse los análisis de fotografía aérea
vertical y oblicua, de topografía, geología y suelos, y si se considera pertinente
profundizar sobre hidrología, aguas subterr áneas, vegetaci ón, oceanografía ( en
el caso de programas sobre playas), espacios arqueológicos, etc.
Conclusiones del estudio previo
Este estudio comprende una fase del proceso y al finalizarlo es necesario
ofrecer un resumen de conclusiones en el que se describa el grado de
cumplimiento que se ha dado a sus obj etivos.
En primer lugar, interesa la depuración de alternativas efectuada, dado que la
última fase de los estudios de factibilidad debe iniciarse aceptando en principio
como soporte y referencia la alternativa seleccionada en esta fase, en función
de su viabilidad y rentabilidad aparentes. Por otra parte, el sitio de desarrollo
presentado en el estudio previo será caso definitivo, considerando que en sus
trabajos se ha llegado a un nivel de detalle satisfactorio, en cuanto a los
análisis e investigaciones sobre el entorno físico.
Como en la fase de identificación, las conclusiones del estudio previo
incorporarán una breve síntesis de los trabajos realizados, de los auxiliares
técnicos a los que se haya recurrido y de los principales antecedentes. En
seguida, se enumerarán los resultados obtenidos, destacándose las
características del programa turístico, sobre el cual se orientarán los trabajos
siguientes y, en especial, la función turística esperada para el complejo de
inversiones delineado, así como el sitio o área de desarrollo.
Finalmente los estudios y trámites recomendados, así como los avances
alcanzados en los organismos de crédito y en las instancias ejecutivas,
administrativas y de la comunidad local.
Factibilidad y rentabilidad
Antes de pasara a describir y analizar los componentes y la estructura de un
estudio definitivo de preinversión conviene precisar dos de los términos más
utilizados en materia de proyectos, que desafortunadamente suelen emplearse
como sinónimos, aun cuando responden a conceptos distintos. Tal precisión es
importante porque su manejo diferenciado permite comprender con mayor
facilidad los últimos adelantos metodológicos sobre evaluación de inversiones.
62
Estos términos son los de factibilidad y rentabilidad. El primero está relacionado
con la idea de posible, esto es, con la determinación de juzgar una futura
acción como capaz de realizarse, salvando las distancias limitantes que
pudieran presentársele. Dichas limitantes dependerán de la envergadura de
esa acción y del entorno socioeconómico y físico donde habrá de desarrollarse.
Por lo tanto, el concepto de factible se desprende como conclusión de todo
análisis, sea superficial, profundo, metódico o arbitrario, sobre una acción a
ejecutar. Si la misma implica la inversión de un monto considerable de recursos
económicos se buscará un estudio exhaustivo que comprenda variables tan
diversas como las culturales y las físico térmicas. En cambio si se tratase de
una acción relativamente sencilla y habitual, el manejo de elementos por
considerar se reduce al mínimo, lo que permite mecanizar mentalmente los
actos por ejecutar.
A manera de ejemplos cabría citar la construcción de un sistema colectivo de
transporte, como el llamado metro , y el cumplimiento de una cita cotidiana de
negocios, respectivamente. En el primer caso, afirmar como factible su
ejecución y operación requiere, independientemente de la ciudad por afectar,
de análisis metódicos sobre una enorme gama de variables, tanto técnicas
como sociales, económicas y políticas.
En cambio, en el segundo caso, un ejecutivo acostumbrado a tales citas
tenderá a mecanizar no sólo el proceso de establecer una hora y sitio
determinado para celebrarlas, sino incluso la manera de introducir, desarrollar y
concluir los asuntos por ventilar sin requerir para ello un análisis específico y
documentado, con excepción quizás de aquellas citas que implicasen
decisiones de gran trascendencia para sus intereses.
Por lo antes mencionado, debe pensarse que cualquiera que sea el nivel de
recursos por comprometer en una futura acción, la viabilidad o factibilidad de
que se materialice o se lleve a cabo, es una conclusión emanada de la revisión
efectuada sobr e las condicionantes que la determinan.
Ahora bien, un análisis totalmente distinto al mencionado es el que implica el
concepto de rentabilidad. Este último será siempre relacionado con la selección
de alternativas. Aun cuando una futura acción, una vez analizada a partir del
concepto de factibilidad, se considere ejecutable desde cualquier punto de
vista, no necesariamente será la mejor opción respecto a otras que cabría
emprender con el empleo de los mismos recursos de tiempo, capital o trabajo.
En otros términos, una acción o una inversión puede realizarse en tanto se
sabe que no tiene obstáculos que se lo eviten o puede superar los previstos
pero ello no conduce a suponer que sea la mejor dentro del panorama de
alternativas elegibles.
Como se verá, se sugiere en los párrafos anteriores un nuevo concepto de
rentabilidad aplicable no sólo a cuestiones monetarias o financieras, sino de
hecho a toda decisión sobre acciones por tomar a futuro. Si bien originalmente
el término de rentable se ligaba a la concepción de recuperación financiera a
63
través de una obtención satisfactoria de utilidades, en la actualidad requiere
una adecuación.
En efecto, hoy en día toda acción por realizar insume recursos y enfrenta
criterios eficientistas de optimización, no sólo en el ámbito de los negocios, sino
incluso en la asignación ordinaria del tiempo a la que se ven sujetos la mayoría
de los hombres urbanos.
Por ello, constantemente se pretende alcanzar la alternativa óptima expresada
por aquella que supera el resto de las viables, lo que representa una búsqueda
permanente de las opciones rentables. Esto es, habrá que hacer equivalentes
las nociones de rentable y mejor alternativa, con lo cual aquella trasciende el
ámbito financiero y penetra en el mundo de las deci siones a todo nivel.
Es así que lo factible y lo rentable adquieren dimensiones distintas. Ya que ser
factible es una condición necesaria y suficiente para ser rentable, pero esto
último no deviene directamente de la condición de factibilidad.
Lo rentable requiere, además erigirse como la mejor opción dentro de
posibilidades de carácter y naturaleza diversa, siempre y cuando comprometan
montos y calidades semejantes de recursos.
5.-ESTRUCTURA Y COMPONENTES DE UN ESTUDIO
DEFINITIVO DE FACTIBILIDAD
INTRODUCCIÓN
El proceso económico al que se han visto sujetas las economías capitalistas,
especialmente las de menor desarrollo, se ha caracterizado por una tendencia
definitiva a la concentración de los recursos económicos, tecnológicos, políticos
y con ello, de los propios mecanismos de poder. Esta circunstancia le ha
permitido al sistema capitalista, en su conjunto, subsistir a sus crisis y a las
profundas tensiones sociales que genera, pero al mismo tiempo le impone
restricciones que reducen su expansión, ya que lo conducen necesariamente a
mantener alejados de las expresiones y formas de bienestar que él mismo
produce, a las grandes mayorías de la sociedad y a depender para su
crecimiento de las minorías constituidas por contingentes de consumidores
provenientes de las clases privilegiadas o cercanas a ell as.
Esa dependencia presiona hacia una racionalización sui géneris muy propia de
una cultura acostumbrada a las contradicciones constantes. Por un lado, se
buscan y encuentran procedimientos de producción en serie y a gran escala,
pero por el otro, se limitan los grupos de demandantes a través de la
apropiación selectiva del ingreso y el manejo del proceso inflacionario, cuyo
saldo favorece permanentemente a los mismos beneficiarios del sistema. Lo
anterior obliga a optimizar las decisiones sobre qué y cuánto produci r ya que se
64
cuenta con mecanismos sofisticados para poner en el mercado grandes
cantidades de satisfactores que sólo podrán ser adquiridos por un reducido
segmento poblacional de compradores.
Es en esa perspectiva que los llamados estudi os de preinversión adquieren una
decisiva importancia para el crecimiento de las llamadas economías de
mercado , ya que respetando sus propias limitaciones, se convierten en fieles
instrumentos detectores que ayudan a encontrar las líneas de producción más
rentables, los ámbitos donde se concentra la demanda efectiva1
y los
mecanismos técnicos que exhiben mejores grados de eficiencia. Por el
momento, las adecuaciones propuestas por las técnicas de evaluación social
de proyectos para alterar su exclusiva utilización para la acumulación privada
han logrado poco éxito en la práctica.
Ahora bien, para cumplir sus funciones tecnoeconómicas, tanto a nivel privado
como social, dichos estudios de preinversión deben ajustarse a ciertos
procedimientos metodológicos cuyo cumplimiento avale sus conclusiones, y en
base a las cuales puedan tomarse decisiones sobre el empleo y destino de los
excedentes económi cos que genera una formación social.
En el núcleo central de este capítulo se hace, precisamente, un planteamiento
metodológico general para la elaboración de los estudios definitivos de
factibilidad con la intención de brindar a los técnicos y profesionales
comprometidos en el ámbito de las inversiones, la planificación económica y la
toma de decisiones, una guía básica para la formulación de proyectos
turísticos.
Debe reiterarse que existe suficiente documentación previa para suponer
relativamente avanzada la metodología sobre formulación de proyectos en sus
líneas generales, sin embargo, cuando se pr etende adecuar tales metodologías
a sectores o actividades específicas como el turismo, se incurre normalmente
en dos tipos de errores. En algunos casos se deforma materialmente el caso
analizado al querer ajustarlo a las normas o lineamientos diseñados en función
de proyectos de otros sectores económicos. En otros casos, se pretende
enfrentar la singularidad de cada inversión con procedimientos arbitrarios que
en muchas ocasiones generan equivocaciones decisivas u omisiones de grave
trascendencia.
Por medio del presente capítulo se desea colaborar con los esfuerzos teóricos,
que ya se intentan desde la perspectiva del fenómeno turístico, para desarrollar
y adecuar las metodologías de identificación, formulación y evaluación de
proyectos a las características muy particulares del turismo. Ello se hará
pensando fundamentalmente en la problemática que sufre el sector en los
países capitalistas de menor crecimiento.
OBJETIVOS BÁSICOS DE UN ESTUDIO DEFINITIVO DE FACTIBILIDAD
Una vez elaborado un estudio definitivo de factibilidad, en relación con una
1
En el concepto keynesiano de demanda efectiva, esto es, aquella que se apoya en recursos económicos
para la compra.
65
futura inversión, se podrá decidir con un alto grado de seguridad sobre la
posibilidad y conveniencia de llevarla a cabo. Los objetivos de dicho estudio se
resumirán en dos:
· Analizar y presentar todas las variables que condicionan la realización
de una futura inversión, destacando aquéllas que exhiban mayores
niveles de complejidad y estableciendo con toda claridad si el resultado
analítico garantiza la factibilidad de su ejecución y operación.
· Demostrar la rentabilidad económica para el capital invertido y para los
recursos económicos nacionales comprometidos en el proyecto a través
de su correcta comparación con otras alternativas intra o extra
sectoriales.
ESQUEMA FORMAL DE UN ESTUDIO DEFINITIVO DE FACTIBILIDAD
El esquema que en seguida será mostrado no responde a los pasos que en la
realidad se siguen cuando se elabora un estudio de factibilidad, sino a la
estructura formal con que se recomienda presentar un estudio completo de
esta índole, en especial para el caso de proyectos turísticos.
Ello se debe al intenso proceso de feedback (r etroalimentación) que se da en la
realización misma del estudio, el cual no tendrá caso tratar de exponer
teóricamente tanto por la diversidad que alcanza según el proyecto de que se
trate como por la dinámica que logra.
En cambio, si el técnico conoce cuál es la estructura de presentación a la que
deberá llegar no sólo podrá ofrecer su producto en forma diáfana y ordenada,
sino que, además, independientemente del procedimiento concreto que adopte
el estaf profesional comprometido en la elaboración del proyecto sabrá cada
participante y, sobre todo, la coordinación del mismo, donde ensamblar las
partes al todo.
Dicho esquema comprende siete (7) partes básicas que funcionan como
subconjuntos de un estudi o general (proyecto) y son las siguientes:
· Presentación general del estudio definitivo de factibilidad
· Resumen e introducción técnica del estudio definitivo
· Análisis o estudio de mercado
· Análisis o estudio técnico
· Análisis o estudio financiero
· Estudio complementario
· Evaluación financiera y socioeconómica
Como se verá, tales subconjuntos respetan los títulos tradicionales de las
metodologías más conocidas en materia de proyectos, aun cuando su
contenido y ordenación suele variar en relación con aquéllas.
Por ejemplo, como se mencionó, en materia de proyectos industriales los
factores que determinan la localización de una planta productora son entre
66
otros las distancias económicas entre esta última y los centros de consumo, por
un lado, así como los costos de transporte de los insumos, por el otro. En
cambio, en ese sentido los criterios básicos en turismo son la calidad, cantidad
y diversidad de los atractivos, las condiciones físico climáticas y la existencia
de economías externas aprovechables. A lo largo del desarrollo que se
efectuará en este capítulo sobre cada subconjunto o estudio particularizado, se
buscará presentar tanto los objetivos parciales que debe cumplir cada uno
como de los elementos que lo integran.
Lo anterior tiene dos finalidades. Por un lado, facilitar a quien revisa un estudio
general de factibilidad si este último cumple los requisitos esenciales de cada
parte y, por acumulación, de todo el conjunto. Para comprobarlo bastará con
evaluar el alcance que logra cada parte sobre los objetivos parciales que aquí
se presentan.
La segunda finalidad es contribuir a facilitarle su trabajo, a quien realiza tales
análisis particularizados apuntándole los componentes básicos que cada uno
deberá contener. De esa manera contará con algunos lineamientos básicos
que le permitan orientar sus esfuerzos.
PRESENTACIÓN DEL ESTUDIO GENERAL
Todo estudio definitivo de factibilidad requiere un pequeño apartado inicial que
permita comprender a quien lo lee o analiza, cuál es el origen del mismo, qué
inversión pretende justificar, cuáles son los promotores de esta última y qué
trámites cursará para lograr la ejecución y operación de la empresa que lo
generó.
Todo ello se alcanza mediante una fachada sintética y clara en la cual se
muestra la personalidad del proyecto en sus ámbitos legales y organizativos e
incluso, en ciertos casos, los político-institucionales.
Objetivos particularizados
Los objetivos específicos que debe cubrir una buena presentación de un
estudio definitivo son tres, a saber:
Presentar el proyecto
Ello significa mostrar la naturaleza de la inversión o empresa por crear
(industrial, agrícola, turística, de transporte, etc.) y sus finalidades
fundamentales (atender el turismo internacional, al nacional a la recreación,
captar divisas, generar empleos, apoyar al desarrollo regional, incrementar la
oferta nacional de un cierto producto, sustituir importaciones, etc.).
Facilitar los trámites y negociaciones para la realización de la obra en
estudio.
Todo estudio de factibilidad es, en esencia, un instrumento de promoción y
negociación con el cual se busca, habitualmente, demostrar en los niveles
67
ejecutivos y técnicos a los que tenga que recurrir, la bondad de la inversión
analizada y con ello lograr los apoyos del caso, ya sea en las entidades
crediticias, gubernamentales o, incluso, entre los posibles socios
coparticipantes.
Lo anterior no significa que un estudi o definitivo de preinversión deba llevarse a
cabo exclusivamente para justificar una inversión con independencia de los
verdaderos resultados que arroje su análisis. De ninguna manera. Hemos
mencionado que los objetivos centrales de tal estudio son determinar la
factibilidad y rentabilidad de una inversión. Por lo tanto, si el resultado sobre
una u otra resulta negativo no sería correcto tratar de realizar las inversiones
contempladas en el proyecto por presiones externas al mismo, ya sean de
índole política o sigla.
Presentar las características y cualidades administrativas, financieras
y técnicas de la(s) entidad(es) responsable(s) del proyecto en sus
fases preoperativa y operativa.
Toda futura inversión debe ser promovida por una cierta cantidad que puede
comprometerse a operar posteriormente las empresas que aquélla genere o a
ceder la función operativa a otras entidades.
En cualquier caso, será de decisiva importancia para el éxito futuro del
proyecto la capacidad de la entidad promotora del mismo en sus niveles
administrativos, financieros y técnicos. Dicha entidad puede ser una sociedad
privada, una asociación, una dependencia gubernamental, una empresa de
capital mixto o cualquier otra forma jurídica, cuya responsabilidad sea aceptada
y facultada por las leyes para tales fines.
En el supuesto de que sean distintas, convendrá destacar, en la presentación
general del proyecto, el historial por separado de la entidad que se encargará
de llevar a cabo el proceso de ejecución del mismo, así como de aquella que
se responsabilizará del manejo corriente de los créditos solicitados y de la(s)
entidad(es) que previsiblemente estará al frente de la operación futura de las
obras por construir.
Cuando cualquiera de ellas sea de nueva creación lo pertinente es señalar los
apoyos jurídicos, económicos e institucionales con los cuales surgirá la entidad
responsable, así como los currículum que demuestren la preparación y
experiencia de los técnicos y profesionales que integrarán tal entidad.
RESUMEN E INTRODUCCIÓN TÉCNICA DEL ESTUDIO DEFINITIVO
Es natural que un estudio definitivo de factibilidad que normalmente contiene
un volumen considerable de páginas no pueda ser leído completamente por
ciertas instancias ejecutivas tanto de los organismos de crédito, como de las
esferas gubernamentales e incluso de las propias sociedades de inversionistas
privados.
Además, resulta difícil destacar, en el desarrollo del documento, los elementos
68
y las variables fundamentales y críticas del proyecto de manera que será de
gran utilidad abrir un capítulo específico, inmediatamente después de la
presentación general, que señale con toda precisión los puntos de mercado,
técnicos, de localización, financieros, legales, ecológicos, sociales, económicos
y sobre todo los referentes al rendimiento esperado de la inversión, en su
ámbito privado y social, que arrojó el estudio definitivo a lo largo de su
desarrollo.
Tales puntos, ordenados según se habrán de encontrar a lo largo del cuerpo
básico del proyecto, deben estar bien diferenciados unos de otros, ya que
sirven no sólo como un resumen del conjunto, sino como una introducción de
carácter técnico al proyecto y, en alguna medida, como una síntesis de
conclusiones.
Es evidente que numerosos consultores prefieren incluir el cuadro básico de
síntesis y conclusiones al final del proyecto, esto es, después del cuerpo
documental que lo integra. Sin embargo, parece más conveniente la posición
propuesta, a fin de dar continuidad a las secciones introductorias, así como
para facilitar la lectura rápida y resumida del estudio definitivo por parte de los
niveles ejecutivos que deberán tomar decisiones rápidas, pero fundamentales
en torno al proyecto.
ESTUDIO DE MERCADO
Toda inversión de recursos tiene como finalidad producir directa o
indirectamente bienes y/o servicios para satisfacer necesidades concretas.
Esas necesidades pueden o no estar respaldadas por medios de cambio
(moneda).
Cuando las necesidades se manifiestan y están apoyadas en dichos medios
dan lugar a la llamada demanda efectiva, ya que el grupo social, la empresa o
el individuo que la ejerce tiene la posibilidad de ofrecer a cambio de un
producto otro u otros productos (trueque), o una cierta cantidad de circulante.
No obstante, para que un consumidor se localice dentro de la demanda efectiva
no le basta con poseer medios de cambio, será imprescindible, además, que
esté dispuesto a cederl os por las cantidades impuestas en el mercado a través
de los precios o simplemente que pueda hacerlo. Si se toma en cuenta que
toda persona o familia requiere diversos satisfactores para lograr un mínimo
equilibrio psicofisiológico y social será comprensible la imposibilidad real de
muchos consumidores para sumarse a la demanda efecti va de todos los bienes
y servicios que requiere, en especial cuando su ingreso o disponibilidad de
medios para el intercambio es limitada.
Por lo tanto, la demanda efectiva en una economía estará dada por la que
ejerzan aquellos grupos de consumidores con el ingreso y las preferencias
necesarias para adquirir los satisfactores, según los precios fijados en el
mercado.
Ahora bien, cuando las necesidades no pueden respaldarse con los medios de
69
cambio suficientes se presenta una demanda denominada real, para cuya
satisfacción se requiere de productores que obtengan sus recursos económicos
de una fuente distinta al proceso directo de intercambio. En este último caso se
encontrarían todos los bienes y servicios ofrecidos por el sector público a
precios y tarifas inferiores a las que normalmente fijaría el mercado o exigiría
su proceso productivo en materia de costos, gastos e inversión.
En el ámbito del turismo, se presenta también la confluencia de demanda
efectiva y demanda real identificándose con la primera al turismo comercial,
tanto interno como receptivo y agresivo. Para la segunda se han manejado
distintas denominaciones como las de turismo subvencional y turismo social,
sin que ello signifique que son los mismos fenómenos.
De hecho, la diferencia entre ambas demandas está dada por los precios de
mercado para paquetes mínimos de viaje, en función de un ingreso disponible
que permitiese satisfacer las necesidades psicosociológicas relacionadas con
esta actividad.
En la mayoría de los países pobres o de menor crecimiento relativo, debido a
su inequitativa distribución del ingreso, existe apenas una minoría en
posibilidades de integrarse a la demanda efectiva para los bienes y servicios
utilizados por un turista, con lo cual se genera una enorme demanda real, a la
que normalmente se le mantiene insatisfecha.
En contrapartida, la inmensa mayoría de las inversiones en este campo se
orienta a producir para la demanda real, no obstante que es cuantitativamente
la menor.
Por ejemplo, en los primeros trabajos del Plan Nacional de Turismo elaborado
por el Programa de Desarrollo Turístico de la Organización de los Estados
Americanos para el gobierno de México se encontró que, según la encuesta de
ingresos y gastos elaborada por el Banco Central de la Nación, apenas un 9%
de la población en todo el territorio nacional se halla en posibilidades de
incorporarse a la demanda efectiva del turismo interno, mientras el 91%
restante quedaría supeditado a los esfuerzos de un sector público que, en este
sentido, no ha mostrado verdadero interés por impulsar el turismo social o por
lo menos subvencionado, aduciendo prioridades en otros campos aun cuando
el despilfarro de recursos es frecuente y ampliamente comprobable dentro del
aparato burocrático gubernamental.
Ahora bien, considerando que las inversiones generadas por el desarrollo del
turismo en un país se ocupan de tres niveles distintos, como son los de
infraestructura, equipamiento y superestructura y que en el primero de ellos
aparecen obras de acceso (carreteras, aeropuertos y muelles, entre otros),
obras de servicios (redes de alcantarillado, agua potable, electricidad,
teléfonos, etc.) y obras de mejoramiento habitacional (tratamiento de fachadas,
urbanización, vías peatonales, adecuaciones urbanas, etc.), se deberán tomar
muy en cuenta las metodologías para el estudio de la demanda real, ya que
muchas de esas inversiones en infraestructura se justifican económica y
socialmente por su orientación indirecta hacia ese tipo de necesidades.
70
Dados los fines de este trabajo, nos limitaremos a delinear en grandes rasgos
las áreas que corresponden a un estudio de m ercado (incorporado a un estudi o
de preinversión) cuyos fines tienden a verificar la viabilidad operativa de
empresas turísticas que pretendan enfrentar una demanda efectiva. Será
motivo de un segundo esfuerzo, seguramente más rico en su proceso analítico,
el enfrentar las áreas propias a un estudio de mercado para la demanda real.
Análisis de la demanda
Enmarcados en los estudios de mercado para el tipo de empresas comerciales
que conforman habitualmente el equipamiento turístico de un país, habría que
señalar las variables básicas por analizar en el área de la demanda (efectiva).
Dichas variables son, en la mayoría de los casos, las siguientes:
Afluencia esperada de demandantes
Como se sabe, dada la naturaleza de la actividad turística, son los
demandantes los que acuden al sitio o centro de producción, mientras en la
mayoría de las líneas económicas son los productos los que se trasladan a las
áreas del mercado donde habitan o trabajan los consumidores. En virtud de
esa particularidad, las empresas turísticas buscan captar físicamente al
demandante que pertenecerá a dos ámbitos geográficos. El primero, formado
por los visitantes cuya residencia habitual se encuentra lo suficientemente
alejada del área donde se ha previsto ubicar la empresa analizada por el
proyecto como para obligar por lo menos a una pernoctación, representa la
demanda de viajeros o turistas y requerirá de un estudio particularizado en el
cual deben emplearse técnicas específicas.
El segundo, integrado por los residentes del área seleccionada para el
proyecto, conformarán la demanda local, cuyos parámetros cuantitativos y
cualitativos implicarán una investigación por separado para considerar sus
especificidades y adecuar a ellas el diseño del futuro producto.
AFLUENCIA DE VIAJEROS
Como se ha explicado en la obra Planificación turística un enfoque
metodológico21
, la única manera de establecer una clasificación objetiva y
universal para precisar cuándo una empresa es realmente turística y cuándo no
lo es, independientemente del giro comercial que ejerza (hotel, restaurante,
etc.), consiste en definir la estructura de su demanda, considerándola como
turística si efectivamente la mayoría numérica de ésta es realizada por viajeros.
Para estimar la afluencia de viajeros por captar en una futura empresa, habrá
que partir de la respuesta a la siguiente pregunta: ¿el medio donde la misma se
ubicará se encuentra desarrollado turísticamente o es nuevo ? en el primer
caso se dispondrá de estadísticas confiables recopiladas a lo largo de un cierto
período, de las cuales podría partirse para proyectar montos de demanda
1
Planificación turística. Un enfoque metodológico E. Hdz., Ed. Trillas.
71
respecto de los períodos en los cuales la empresa por crear estará en
operaciones.
En cambio, si el sitio es nuevo los primeros pasos para estimar la demanda
de viajeros tendrán que ser totalmente distintos, ya que no se contará con
estadísticas confiables para efectos de proyecciones aceptables.
Lo anterior nos lleva a establecer las siguientes definiciones:
Demanda histórica. Es la demanda registrada por estadísticas, en
cualquiera de las unidades en que se mida,2
para una serie de períodos
a lo largo del tiempo y cuyos datos pertenecen a levantamientos reales.
Demanda futura. Es la demanda proyectada o prevista3
con base a la
tendencia general, mostrada por los datos históricos.
Demanda potencial. Es la demanda que podría ser captada por encima de
la demanda futura, a condición de que sean habilitados instrumentos de
captación no aplicados anteriormente o de que se debiliten los ejercicios
por oferentes sustitutos.
Demanda objetivo. Es la parte de la demanda potencial que ha sido
prefijada para ser captada en un hori zonte temporal definido.
Dados los anteriores conceptos, cabe mencionar que la demanda de viajeros,
en el aspecto cuantitativo, normalmente se fija cuando se trata de proyectos
situados en áreas turísticamente desarrolladas a base de la demanda futura,
o sea, mediante proyecciones. En cambio en sitios nuevos es imprescindible
recurrir a la demanda potenci al y a partir de ella, a la demanda objetivo.
Conviene aclarar que un sitio nuevo (y por ello las comillas) no
necesariamente se trata de un territorio inexplorado o totalmente aislado, ya
que cabría darle esa denominación para fines de análisis a las áreas donde no
se ha emprendido un importante esfuerzo de crecimiento turístico.
Por ejemplo, existen multitud de playas y centros de descanso o diversión en
América Latina cuyos atractivos son de alta jerarquía, incluso internacional. Sin
embargo, por falta de infraestructura, equi pamiento, promoción y otros factores,
el desarrollo turístico de tales sitios se ha mantenido estancado.
En tales circunstancias, el estudio de mercado que intentase justificar la
creación de un importante complejo hotelero o inmobiliario se enfrentaría a la
existencia de datos históricos raquíticos que al ser proyectados no respaldarían
la construcción de mayor oferta, ni siquiera para períodos posteriores a 5 ó 10
años. Ello no sólo mantendría el estancamiento de muchas zonas turísticas,
sino que incluso llevaría a errores trascendentales en el ámbito de las
inversiones privadas.
2
Viajeros o pernoctaciones en el caso de turismo.
3
Existe una diferencia conceptual entre proyección y previsión. La primera resulta al estimar cantidades a
futuro con respecto estricto a la tendencia registrada por los datos históricos y asumiendo que las
variables presentadas en el pasado se mantendrán con su respectivo peso en el futuro. En cambio la
previsión hace jugar la aparición de nuevas variables o la desaparición de viejos factores en sus
cálculos.
72
Por lo tanto, cuando un destino turístico no ha sido desarrollado en una
proporción al menos parcial respecto a sus posibilidades en atractivos o
posición geográfica, deberá dársele el tratamiento de sitio nuevo, no obstante
que haya venido recibiendo pequeños flujos de viajeros durante un lapso
histórico prolongado. Lo anterior resulta especialmente válido cuando en tales
sitios se pretende ejecutar y operar grandes conjuntos turísticos que rebasarán
notablemente la oferta existente.
Las metodologías de proyección para encontrar demanda futura, no presentan
mayores problemas, ya que existen distintos enfoques utilizables como el de
proyección por mínimos cuadrados, proyección exponencial, parabólica, por
tasa anual acumulativa, tasa de incremento compuesto, etc.
En cambio, la fijación de una demanda potencial y su correspondiente
demanda objetivo se complica por el manejo de variables que debe hacerse y
el destacado papel que juega en este proceso el criterio del analista.
En efecto, consideramos el caso de un nuevo complejo turístico en el Caribe
como lo fue el caso de Cancún, en México. De hecho no existían datos
históricos representativos con los cuales pensar en etapas constructivas de
10.000 o más habitaciones turísticas. No obstante el proyecto consideraba
tales dimensiones a partir de una demanda potencial representada por los
flujos esperados a los distintos destinos del Caribe más los posibles viajeros
procedentes de la costa este de Norteamérica, la costa oeste (especialmente
California), el sureste, algunos países europeos y el turismo interno mexicano.
Evaluando ese enorme mercado potencial cabría manejar dimensiones
exorbitantes de demanda, por lo cual el siguiente paso consiste en fijar una
demanda objetivo , representada por un porcentaje de la potencial, que
conservadora u optimista cabrá esperar datos un esfuerzo de comercialización
y un producto competitivo previamente diseñado.
Tanto la dimensión de la demanda potencial, como la que corresponda a la
objetivo requiere de posiciones relativamente subjetivas y de aproximación
por parte del analista en mercados, ya que para sus decisiones sólo dependerá
de datos generales, conocimientos relativos, lógica inventiva y sobre todo de la
experiencia ganada a lo largo de los años.
A distintos niveles el problema de la demanda potencial y la fijación de
demandas objetivos se presenta constantemente en sitios nuevos o de poco
desarrollo, ya sea para hoteles, restaurantes, agencias de viajes, empresas
transportistas o grandes complejos turísticos.
En cualquier caso, parece recomendable suponer comportamientos de la
demanda para sitios nuevos, semejantes a los registrados en casos realmente
similares, ajustando las estimaciones en función de las variaciones geográficas,
climáticas, de atractivo, comerciales, de distancia económica y regional que
verifiquen para cada situación específica.
73
AFLUENCIA DE RESIDENTES LOCALES
Cuando un proyecto implica el estudio de mercado para una futura empresa
turística por localizarse en un centro urbano de cierta magnitud, debe pensarse
en que los bienes y servicios que se ofrecerán podrán demandarse no sólo por
viajeros, sino además, y en algunos casos en una medida muy sustancial, por
residentes locales del área donde dicha empresa se ubicará.
Para estimar los montos de la demanda local para líneas como alimentos,
bebidas, diversiones, servicios deportivos de piscinas o gimnasio,
estacionamiento y otros, es necesario recurrir al análisis de casos semejantes
ya que el procedimiento de fijar demandas potenciales y su objetivo, podría
producir ejercicios teóricos tan complejos como innecesarios o incosteables.
Permanencia
Una variable básica tanto para dimensionar como para diseñar una futura
empresa es la de permanencia o pernocte que habitualmente es medida por el
número de noches que como tendencia central, mantienen los viajeros en un
destino turístico.
En este caso, el primer problema consiste en el manejo de las propias
estadísticas. En efecto, es costumbre utilizar las medidas aritméticas, aun
cuando estas últimas producen graves errores de estimación, ya que hacen
confluir cifras extremas. Por ejemplo, algunas estadísticas oficiales de México
sitúan la permanencia promedio del turismo receptivo cercana a los 10 días a
pesar de que ese dato resulta a todas luces exagerado, según lo demostraría
cualquier investigación, tanto en los centros de playa nacionales, como incluso
en los de montaña y evi dentemente en las áreas ur banas.
Ello se debe al resultado que generan las medias aritméticas, considerando
que en el caso comentado, se reciben residentes americanos de origen
mexicano cuyas motivaciones para visitar el país y facilidades para alojarse en
casas de amigos o familiares les llevan a estadías superiores a los 30 días.
Los datos de tales segmentos presionan, aún cuando son pequeños en el total,
para que los promedios rebasen los 10 días, no obstante que la inmensa
mayoría (dato modal) del flujo receptivo no permanece en México más allá de 5
ó 6 días.
Lo anterior lleva a recomendar el uso de datos modales para la aplicación de
permanencias en las cifras de demanda, tratando de obtener los datos
específicos que en ese sent ido, registra cada región.
La importancia de los coeficientes de estadía en los estudios de mercado es
definitiva, ya que la demanda debe medirse en noches turista o
pernoctaciones para calcular los déficit o los superávit de oferta en un sitio
específico. Las mediciones de personas físicas conducen a profundas
distorsiones que imposibilitan las relaciones cuantitativas entre la oferta y la
74
demanda. Considerando que estas últimas muestran las oportunidades reales
del mercado para una nueva empresa turística, resalta la necesidad estratégica
de manejar datos confiables en materia de permanencia.
A manera de ejemplo, podrían suponerse dos sitios cuyos flujos de visitantes
tuviesen motivaciones distintas. En el primer caso, un centro urbano, industrial
y comercial de relevancia, visitado por viajeros de negocios y turistas que
hagan escalas inmediatas, cuya estadía tendería necesariamente a ser
pequeña. En el segundo caso, un centro turístico de sol, playa y mar de
destino con fines recreacionales, la estadía propendería a ser relativamente
larga.
Para efectos de ilustración consideremos cifras hipotéticas y tendremos que,
aun cuando en el primer caso la afluencia de viajeros hubiese sido de 250.000
en 1980 y en el segundo de 120.00 para el mismo año, si la permanencia en el
centro urbano alcanzase en términos modales 2.3 días y en el centro de playa
5.4 días, sería necesario contar con mayor oferta hotelera en el segundo sitio,
si hemos de tener en cuenta que en este último la demanda medida en noches
turista habría alcanzado una cifra de 648.000, mientras en el área urbana sería
apenas de 575 .000.
Tal situación, aun cuando parezca elemental, sólo busca subrayar la
importancia de manejar las cifras de demanda en el área de hotelería en una
variable homogénea y confiable como las pernoctaciones o noches turistas .
Cuando los coeficientes de permanencia sean distintos para los flujos
nacionales o extranjeros o incluso entre distintos segmentos, conviene hacer
las conversiones a noches turista por separado y adecuarl as posteriormente a
fin de eludir los problemas cuantitativos de las tendencias centrales.
Estacionalidad en la afluencia de viajero s
Al igual que en la variable de pernoctaciones, la que corresponde a
estacionalidad se aplica exclusivamente para el análisis sobre la parte de la
demanda que cor responde a la ejercida por los viajeros.
La estacionalidad es fundamental por los efectos que produce en el manejo
financiero de las empresas turísticas y en particular en la hotelería, así como
para su diseño y dimensionamiento. Si la misma es muy pronunciada, generará
fuertes inconvenientes y exigirá gastos de comercialización o sacrificios
promocionales de especial envergadura que finalmente pueden incidir en la
rentabilidad del proyecto.
Aun cuando normalmente la estacionalidad es un dato dado para un cierto
destino turístico, debe analizarse en el proyecto la posibilidad de alterar sus
inconvenientes mediante esfuerzos individuales y/o colectivos.
Asimismo, resulta de trascendencia para el resto del estudio fijar los problemas
básicos que muestra el mercado en las épocas de alta afluencia y los sistemas
de competencia más generalizados en las de baja demanda.
75
Perfil general del consumidor a captar
Una de las áreas más interesantes, esclarecedoras y definitivas en un estudio
de mercado es aquélla que está referida al perfil general del consumidor. Para
fijarlo se recurre normalmente al proceso de segmentación que consiste
básicamente en agrupar subconjuntos al gran conglomerado de consumidores
que conforman la demanda futura, pot encial u objetivo.
Para dicho agrupamiento se utilizan cinco tipos de variables que son:
socioeconómicas, geográficas, motivacionales, de hábitos, gastos,
preferencias y de personalidad.
Mucho se ha escrito sobre la famosa segmentación de mercados, pero de
hecho su utilidad práctica en materia de proyectos está dada en torno a la
información que de ella puede obtenerse para definir las características de las
instalaciones que convendría incorporar a la futura obra, sobre todo en materia
de dimensiones, ubicación, calidades y diseño. En base a tal segmentación se
pueden apoyar también decisiones en materia de precios y tarifas, servicios a
integrar y formas de comercialización por desarrollar.
a) VARIABLES SOCIOECONÓMICAS
Entre las principales variables de esta naturaleza que se utilizan para definir al
posible o futuro consumidor de un bien o servicio turístico se encuentra el nivel
de su ingreso familiar, su edad, número de familia, posesión de casa particular,
posesión de automóvil , sexo, nivel educacional, posición profesional o técnica y
posición de acceso a los medios usuales de comercialización.
En general, la mayoría de tales variables coinciden entre grupos sociales
relativamente homogéneos, de manera que resulta en cierta forma sencillo
determinar mediante una investigación específica el grupo mayoritario al que
se dirigirá la futura empresa.
Existen investigaciones de mercado que se concentran en este tipo de
variables como las del Departamento de Comer cio de Estados Uni dos4
sobre el
mercado de viajeros europeos que ofrecen entre otros los siguientes datos:
Inglaterra. En 1976 viajaron 11.1 millones de ciudadanos británicos, teniendo
como principales destinos España, Francia y la República de Irlanda, a Estados
Unidos de América correspondió apenas un 5% del total.
Alemania. Para dicho año se contabilizó un total de 20 millones de viajeros
alemanes al exterior, los cuales tuvieron como principal destino la región
europea. Estados Uni dos de América captó apenas un 2% de la cifra.
Francia. Manteniendo la misma fuente de información se menciona que el
principal destino internacional de los ciudadanos franceses en el exterior, es
4
U.S. Departament of Commerce, International Travel Market Reviews of Selected Major Tourism
Generating Countries.
76
España, seguida de Italia y Suiza. Estados Unidos captó en 1976, apenas un
2% del flujo francés hacia el exterior, cuyo total fue calculado por el U.S.
Departament of Commerce en 10.9 millones de personas.
Consolidando las variables socioeconómicas de los tres mercados citados
(Inglaterra, Alemania y Francia), según las investigaciones de mercado
registradas en la fuente citada, se elaboraron los siguientes cuadros 4.1, 4.2 y
4.3. Ellos muestran la importancia que las autoridades de comercio y turismo
de Estados Unidos otorgan a los aspectos socioeconómicos de sus mercados
emisores.
b) VARIABLES GEOGRÁFICAS
Si bien es cierto que una de las circunstancias que particularizan al turismo en
relación a otras actividades económicas es el traslado que implica del
consumidor al sitio donde se producen los bienes y servicios, también es cierto
que la venta de estos últimos no se efectúa necesariamente en el área de
producción ya que frecuentemente la acción de compraventa se verifica en la
zona donde residen los demandantes.
Cuadro 4.1
NIVEL EDUCACIONAL DE LOS VIAJEROS INTERNACIONALES DE INGLATERRA,
ALEMANIA Y FRANCIA SEGÚN TIPOS DE DESTINO EN EL EXTERIOR
Año 1976
(%)
Nivel
educativo
Inglaterra Alemania Francia
Viajeros
de larga
distancia
1
Viajeros
de corta
distancia
2
Viajeros
a EUA
Viajeros
de larga
distancia
Viajeros
de corta
distancia
Viajeros
a EUA
Viajeros
de larga
distancia
Viajeros
de corta
distancia
Viajeros
a EUA
Primaria
Secundaria
Bachillerato
vocacional
Universitaria
7.7
39.8
9.9
42.6
6.5
44.0
13.0
36.5
7.4
35.6
13.6
43.4
19.4
23.7
24.7
7.5
24.7
32.4
20.9
19.8
9.3
17.6
22.7
18.2
23.4
8.6
27.1
3.1
6.7
7.8
82.4
9.2
11.4
10.2
69.2
2.2
5.9
6.7
85.2
Total 100.0 100.0 100.0 100.0 100.0 100.0 100.0 100.0 100.0
Fuente: U.S. DEPARTAMENT OF COMMERCE
Cuadro 4.2
DISTRIBUCIÓN PORCENTUAL DE LOS VIAJEROS INTERNACIONALES DE
INGLATERRA, ALEMANIA Y FRANCIA SEGÚN CATEGORÍAS DE INGRESO FAMILIAR Y
TIPOS DE DESTINO
Año 1976
(%)
Ingreso
familiar
anual
(dólares
EUA)
Inglaterra Alemania Francia
Larga
distancia
Corta
distancia
EUA Larga
distancia
Corta
distancia
EUA Larga
distancia
Corta
distancia
EUA
Menos
de
$10.550
De
10.551 a
$ 21.100
Más de $
21.101.
45.5
38.1
16.4
46.5
41.4
12.1
39.8
35.6
24.5
1
Más allá de los países que representan frontera geográfica o natural.
2
Dentro de la región establecida por los países fronterizos.
77
Total 100.0 100.0 100.0
Menos
de $
9.325
De 9.326
a $
18.650
Más de $
18.651
24.1
37.9
38.0
30.5
49.0
20.5
21.4
43.3
35.3
Total 100.0 100.0 100.0
Menos
de $
10.970
De
10.971 a
$ 16.460
Más de $
16.460
31.1
23.9
45.0
48.8
22.0
29.2
42.9
17.9
39.2
Total 100.0 100.0 100.0
Fuente: U.S. DEPARTAMENT OF COMMERCE
Cuadro 4.3
DISTRIBUCIÓN PORCENTUAL DE LOS VIAJEROS INTERNACIONALES DE
INGLATERRA, ALEMANIA Y FRANCIA SEGÚN OCUPACIÓN Y TIPO DE DESTINO EN EL
EXTERIOR
Año 1976
(%)
Ocupación
Inglaterra Alemania Francia
Larga
distancia
Corta
distancia
EUA Larga
distancia
Corta
distancia
EUA Larga
distancia
Corta
distancia
EUA
Profesionales
Ejecutivos y
gerentes
Técnicos
Clérigos
Estudiantes
Vendedores
Ocupados
por cuenta
propia y
pequeños
comerciantes
Retirados
Otros
28.9
25.0
7.0
4.0
2.7
7.9
14.5
10.0
27.3
26.6
9.3
4.0
4.7
11.5
4.6
12.0
27.2
30.5
7.9
3.8
3.3
11.5
7.2
8.6
10.9
19.6
22.8
13.0
7.6
10.9
4.3
10.9
5.5
18.5
31.5
14.0
8.1
3.1
5.2
14.1
6.2
23.2
20.9
13.3
10.1
8.4
7.4
10.5
60.7
3.5
2.4
5.1
2.0
8.6
17.7
43.8
1.6
10.8
4.8
4.4
5.8
28.8
49.5
2.0
9.9
3.2
2.5
9.4
23.5
Total 100.0 100.0 100.0 100.0 100.0 100.0 100.0 100.0 100.0
Fuente: U.S. DEPARTAMENT OF COMMERCE
Por ejemplo, para que un ciudadano francés consuma y di sfrute de un recorrido
en crucero por las islas del Caribe es imprescindible que se traslade a un punto
desde el cual se pueda iniciar físicamente el viaje como podría ser San Juan de
Puerto Rico o la Guaira, en Venezuela. Sin embargo, esa misma persona
puede perfectamente (y en el caso de este ejemplo sería lo usual) comprar el
paquete turístico integral en el área o la ciudad donde reside.
Lo anterior implica que territorialmente, el mercado (espacio de compraventa)
se traslada continuamente a las zonas donde habitan los viajeros reales o
potenciales y ello obliga a manejar las variables llamadas geográficas para
78
identificar al segmento o parte del mercado que nos interesaría captar.
La segmentación geográfica, puede darse a distintos niveles según se trate de
continentes, regiones internacionales, zonas internacionales, estados y
finalmente plazas o centros urbanos.
En ese sentido, la demanda queda clasificada según el origen o lugar de
residencia de los consumidores utilizando una o varias de las instancias
geográficas antes mencionadas. A manera de ejemplo cabría citar un proyecto
turístico en las costas del estado de Oaxaca, en México, localizado en las
costas sureñas del Pacífico mexicano. En ese caso l a segmentación geográfica
del mercado turístico por captar podría darse en el nivel continental según el
americano y europeo ya que el resto sería insignificante.
A nivel región internacional tendríamos en forma prioritaria la de Norteamérica,
incluyendo Canadá y Estados Unidos, así como eventualmente los países de
Centro América.
En el nivel de zonas intranacionales cabría manejar el segmento formado por
los posibles consumidores que radican principalmente en las áreas del oeste,
centro y sureste de Estados Unidos.
Por último, en el renglón de plazas podría pensarse en los segmentos
integrados por los demandantes de ciudades como Los Ángeles, San
Francisco y San Diego, en California; Houston y Dallas en Texas; Atlanta, en
Georgia; y Miami entre otras, en el mercado interno.
Es obvio que cualquier segmentación geográfica debe complementarse con el
resto de las segmentaciones posibles ya que en sí misma no agotaría, de
ninguna manera, la definición del consumidor en cuanto a su perfil. No
obstante, ésta es una de las variables fundamentales en el estudio de mercado
para proyectos turísticos ya que aporta informaciones estratégicas para los
futuros esfuerzos de comercialización de la empresa por crear, tanto en su fase
preoperativa como a lo largo de su vida útil .
c) VARIABLES MOTIVACIONALES
La mayoría de los estudios de mercado en turismo, cuando buscan definir el
perfil del futuro consumidor hacen un énfasis especial en la segmentación
motivacional del mismo ya que efectivamente representa uno de los
indicadores más importantes para elaborar un producto acorde con los
requerimientos de la demanda por captar y ofrece datos fundamentales para
las campañas promocionales.
No obstante, es muy común que se exagere al identificar los segmentos
motivacionales hasta llegar a definir un número tan grande de posibles
segmentos que sólo se logre confundir el análisis o volverlo poco práctico.
En el estudio de la demanda sólo responden a las exigencias de una
79
satisfactoria segmentación5
los siguientes segmentos motivacionales: 1.
negocios o actividades profesionales, 2. vacaciones o uso de tiempo libre y 3.
congresos, convenciones y/o reuniones.
A su vez, cada uno de esos tres tipos de segmentos motivacionales puede
subdividirse en diversos renglones. En especial el segmento de vacacionistas
daría lugar a distintas clasificaciones como lo mostraría el cuadro 4.4.
La clasificación del cuadro 4.4 plantea para una empresa turística, en especial
de alojamiento, los segmentos motivacionales básicos o diferenciables con los
cuales puede definir su mezcla de mercado o su producto mixto, así como
sus prioridades.
Sin embargo, ello no impide que al interior de cada segmento diferenciable
puedan elegirse subsegmentos prioritarios que en muchos casos surgen de la
propia localización del proyecto.
De hecho, la mezcla que se prefiera entre los segmentos motivacionales habrá
de influir fundamentalmente en las dimensiones generales y específicas (por
áreas) de la futura empresa, sobre su diseño, localización específica (céntrica,
periférica, aislada, a pie de carretera, etc.), tipo y diversidad de instalaciones,
decoración, mobiliario, equipo y otras especificaciones técnicas, así como en
sus estructuras de comercialización.
Por otra parte, tampoco los segmentos motivacionales básicos o diferenciables
son químicamente puros ya que es normal que un viaje de negocios o por
convención pueda ser combinado con actividades recreacionales. No obstante,
se recurre a la motivación esencial para clasificarlos, la cual sí resulta
totalmente clara y suficientemente específica como para suponer pautas de
comportamientos, gustos, preferencias, formas o hábitos de consumo,
permanencias, medios de acceso y necesidades distintas en cada caso. Tal
distinción no se da con tanta fuerza respecto a los subsegmentos.
d) VARIABLES DE HÁBITOS DE CONSUMO, GUSTOS Y
PREFERENCIAS
En la mayoría de los casos, el perfil del consumidor que pretenderá captarse (o
la mezcla del mismo) se estructura en su base por medio de las variables
socioeconómicas, geográficas y motivacionales para posteriormente
completarse con las de hábitos, gustos y preferencias y las de personalidad.
Los hábitos de consumo están dados por las formas como usualmente se
compran los bienes y servicios que la empresa en estudio considera poner en
el mercado. En cuanto a la demanda ejercida por viajeros, de dichos hábitos
destacan el consumo directo o por intermediario (agencia de viajes), grupal o
individual, por adquisición de paquete integral (alojamiento, alimentación,
diversiones, transportación, etc.) o en formas independientes, por pago con
tarjeta de crédito, o en efectivo para vacaciones fijas y definidas (veraneo en
5
Como se sabe esas exigencias son: diferenciación (ningún segmento se confunde con el otro),
conmensurabilidad (es posible medir cada segmento) y dimensión o magnitud (cada segmento está
conformado por un número justificable de elementos como para considerarlo).
80
Europa y Sudamérica) o para pequeñas y aisladas temporadas ( puentes en
México y Centroamérica), con un uso de tramo aéreo y/o de transporte
terrestre.
Respecto a los gustos y preferencias son variables que normalmente se
definen por investigaciones directas sobre el comportamiento de personas
representativas en los segmentos elegi dos, efectuándolas in situ y a través de
observaciones directas, por estadísticas de casos similares al proyectado o por
encuestas a base de muestr as sobre tales segmentos.
Cuadro 4.4
CLASIFICACIÓN DE LOS SEGMENTOS MOTIVACIONALES PROPIOS A LA
DEMANDA TURÍSTICA Y SUBSEGMENTOS RESPECTIVOS
Con estas últimas variables aparecen informaciones claves para el diseño del
producto y en particular para la definición de sus instalaciones
complementarias como canchas de tenis, tamaño y diseño de piscinas, de
habitaciones, de áreas comunes, campos de gol f, gimnasios y otros.
e) VARIABLES DE PERSONALIDAD
Buscando un perfil integral pueden ser redondeadas las variables antes
mencionadas con la definición del consumidor esperado en sus rasgos básicos
de personalidad, por lo menos en lo que a las empresas turísticas importaría,
esto es, en sus caracter es de vanguardismo o conservadurismo.
Definiciones en tal sentido, en especial para el segmento fundamental o
mayoritario, permitirán ofrecer informes de orientación para el diseño técnico
del producto sobre todo en lo que hace a las formas constructivas, mobiliario,
decoraciones e instalaciones especi ales.
El cruce de las distintas variables de segmentación mostrará un espectro
primario de mercado, del cual surgirán horizontalmente distintos grupos
relativamente homogéneos de consumidores a los que conviene darles una
cierta denominación a fin de ubicarlos y darles prioridad en el análisis.
Una vez concluido el cuadro general de segmentos, se deberá intentar
dimensionar en términos aproximados a los grupos encontrados
horizontalmente para revisar la prioridad inicial y otorgar una definitiva.
En base a esta última se estará en condiciones de establecer con precisión la
mezcla de mercado elegida para el proyecto en análisis y con ella se podrá
ajustar el diseño final del producto que se ofrecerá.
A manera de ejemplo cabría citar un proyecto hotelero para un establecimiento
cuya categoría quedaría por determinar en el orden de tres a cinco estrellas en
una ciudad turística que estuviese sujeta al mismo tiempo a un rápido
crecimiento comercial e industrial.
Con tales características, podría manejarse tentativamente distintas opciones
81
para la mezcla a elegir entre segmentos posi bles de captar en el mercado.
En la combinación de grupos según variables socioeconómicas podrán
manejarse por lo menos dos segmentos como los de: 1. clase alta, que busca
buenos servicios, adecuada localización y cierto prestigio; 2, la clase media,
susceptible en mayor medida a precios y tarifas moderadas y a sistemas
promocionales como los paquetes integrales .
Dentro de este tipo de variables se pensará en distintos segmentos según
edad, ocupación y nivel educacional de manera que coincidieran en buena
medida con los conjuntos identificados según nivel de ingresos y se decidirá la
combinación que en este sentido será buscada para el éxito del proyecto en el
mercado.
82
De igual manera pueden fijarse mezclas a través de jerarquizar los segmentos
de mercado según variables geográficas (nacionales y extranjeras) y
motivacionales (viajeros por negocios, vacacionistas y congresos,
convenciones y reuniones, etc.) de manera que se jerarquicen hasta encontrar
los segmentos prioritarios y complementarios.
Una vez establecidos, se complementarán a base de investigaciones
específicas para precisar los llamados hábitos de consumo, gustos,
preferencias y tendencias de personalidad.
Inventario de la oferta sustitutiva y complementaria
En todo sitio turístico se encontrarán habitualmente tanto sustitutos como
complementarios al o los productos que se pretenden poner en el mercado. Se
conocen como sustitutos a los bienes y/o servicios que pueden ser consumidos
a cambios del que se piensa producir ya que satisfacen aproximadamente y
con niveles parecidos de calidad las mismas necesidades.
En cambio, los complementarios no están destinados a satisfacer las mismas
necesidades que el producto sujeto del proyecto e incluso sirven de apoyo y
atracción al mismo. En ese sentido y como regla general, las oportunidades del
mercado para cualquier proyecto serán mayores en cuanto existan en la zona
donde se ubicará, menores sustitutivos y mayores complementarios.
Para conocer la situación prevaleciente en materia de oferta deberá levantarse,
dentro del estudio, un inventario general que cubra tanto los tipos de
establecimiento disponibles en la región (desde hoteles hasta cines, teatros y
empresas generales de esparcimiento) como sus categorías, capacidades,
precios, tarifas y relaciones de cercanía al proyecto. A manera de ejemplo, y
como propuesta de organización, se ha desarrollado el cuadro 4.5 que puede
ser ampliado tanto como se consi dere necesario.
Proyección de la oferta inmediatamente sustitutiva
A fin de contar con la información necesaria para medir las oportunidades del
mercado, será necesario no sólo proyectar la demanda futura y/u objetivo3
, sino
establecer los incrementos previsibles de la oferta.
Dado que sería tan complicado como innecesario el estimar dichos
incrementos para toda la oferta inventariada, conviene seleccionar
exclusivamente la inmediatamente sustitutiva , esto es, aquélla que según el
tipo de establecimiento y calidad ejercerá una efectiva competencia sobre la
empresa que se encuentr a en proyecto.
3
Véanse los conceptos mencionados en el punto 4.6.1.1
83
Cuadro 4.5
CUADRO ORGANIZADOR PARA EL LEVANTAMIENTO DEL INVENTARIO DE OFERTA
SUSTITUTIVA Y COMPLEMENTARIA EN EL SITIO DONDE SE PREVÉ LOCALIZAR LA
INVERSIÓN
Tipo de establecimiento Categoría Capacidad
disponible
Precios y tarifas
promedio
Relación de
cercanía
Hotelería
Restaurantes
independientes de
especialidades
Restaurantes
generalizados o
5 estrellas
4 estrellas
3 estrellas
2 estrellas
1 estrella
4,3,2, o 1
tenedores
X1 habitaciones
X2 habitaciones
X3 habitaciones
X4 habitaciones
X5 habitaciones
y4, y3, y2 o y1
X11
X21
X31
X41
X51
y41, y42, y43, y44
Alta
Baja
Intermedia
Alta
Baja
Respectiva
independientes
Cafeterías
Snack bar
Bares independientes
Transporte terrestre
Aeropuerto
Carretera internacional
Agencias de viaje
Atractivos turísticos
Discotecas
Centros nocturnos
Artesanías
Cines y teatros
Otros
La que corresponda
La que corresponda
La que corresponda
La que corresponda
La que corresponda
La que corresponda
La que corresponda
La que corresponda
La que corresponda
La que corresponda
La que corresponda
La que corresponda
La que corresponda
La que corresponda
La que corresponda
La que corresponda
La que corresponda
La que corresponda
La que corresponda
La que corresponda
La que corresponda
La que corresponda
La que corresponda
La que corresponda
La que corresponda
La que corresponda
La que corresponda
La que corresponda
Esa selección deberá elaborarse con cierto conocimiento de la plaza en
cuestión y de su mercado, ya que varía según cada caso. En ese sentido,
habrá sitios donde para un hotel de 5 estrellas la oferta sustitutiva queda
representada sólo por los alojamientos de 4 y 5 estrellas, mientras que en otros
destinos turísticos llega a ampliarse hasta los hoteles de 3 estrellas. El territorio
de competencia también varía según el caso.
Por lo tanto, la determinación de los sustitutos reales no es siempre fácil o
sencilla ya que depende de las características y particularidades de la
demanda en cada centro o complejo turístico, pero al mismo tiempo es de
fundamental importancia ya que fija el punto de partida para el balance
cuantitativo entre oferta y demanda.
Una vez decidida la base que representa nuestra efectiva competencia habrá
que investigar los datos referentes a: 1, oferta en construcción; 2, oferta en
trámite crediticio, fiscal y legal; 3, oferta en estudio de preinversión y 4, oferta
por desaparecer4
.
Para la organización de tales datos se propone el cuadro 4.6, según los
períodos en los que podría entrar a operar un proyecto hipotético, consistente
en un hotel de 5 estrellas al cual se le asignaría como oferta sustitutiva, todos
4
La oferta por desaparecer incluye no sólo eliminación física (demolición o semejantes), sino también
baja de categoría, suficiente para considerársele que deja de ser sustituto.
84
los establecimientos de 3 a 5 estrellas en un radio territorial de 20 kilómetros.
Cuadro 4.6
CUADRO ORGANIZADOR DE LA INFORMACIÓN PARA ESTIMAR LOS INCREMENTOS DE
OFERTA SUSTITUTIVA DE UN HOTEL DE
5 ESTRELLAS *****
Año Oferta competitiva en
función de 20(km)
Oferta en
construcción
Oferta en trámite
crediticio, fiscal y
legal
Oferta en estudio de
preinversión
1981
1982
1983
600 habitaciones
1.400 habitaciones1
2.000 habitaciones
4
800 habitaciones
600 habitaciones2
1.200 habitaciones
(50%)
600 habitaciones
1.500 habitaciones
3
Determinación de las oportunidades cuantitativas de el mercado
(balance oferta demanda).
Para establecer en forma cuantitativa las oportunidades que el mercado habrá
de brindarle al proyecto en estudio, es necesario partir de las proyecciones en
materia de oferta y demanda. Con estas últimas, elaboradas a un horizonte
temporal mínimo de cinco años y período a período, es factible, mediante su
comparación, prever la futura existencia y magnitud de los superávit o los
déficit de la oferta.
Si con tales proyecciones se esperan déficit en los mercados ampliamente
superiores a los que cubriría el proyecto con un dimensionamiento
mínimamente rentable (de 100 ó 150 habitaciones), será posible concluir en
sentido positivo respecto a las oportunidades cuantitativas de dicho mercado.
En apartados anteriores hemos referido ya al procedimiento metodológico para
efectuar las proyecciones de demanda, haciendo énfasis en la conveniencia de
manejar la llamada futura para sitios con estadísticas confiables, en
condiciones de maduración dentro del mercado y tratándose de inversiones
en empresas tradicionales , (hoteles, restaurantes, etc.). Asimismo se ha
insistido en trabajar con proyecciones a base de demandas objetivo cuando se
trate de inversiones novedosas, en zonas turísticas no desarrolladas o en sitios
que simplemente no cuentan con estadísti cas adecuadas o conf iables.
Cabe aclarar que el tratamiento de la demanda esperada o proyectada puede
resultar de una combinación entre demanda futura y objetivo cuando se
consideran excelentes expectativas de mercado en relación al proyecto.
Ahora bien, conviene subrayar que en las previsiones de oferta se incluyen no
1
Se habría investigado las fechas de terminación y entrega de las habitaciones en construcción a 1981,
concluyéndose todas a fines de este año.
2
Se estimaría que un 50% de las habitaciones en trámite pasarían en 1982 a la fase de construcción.
3
Las habitaciones en estudio no se consideran para otra etapa (trámite y construcción) excepto que se
disponga de datos definitivos que permita hacerlo.
4
Estimación según programas de construcción.
85
sólo los incrementos que resultan de nuevas construcciones, sino también los
estimados a dos, tres y hasta cuatro años a partir de las habitaciones que se
encuentran en trámite y estudio según lo demuestra el cuadro 4.6. Con ello se
tiene un espectro aproximado sobre la dinámica esperada dentro de la
competencia.
A fin de evitar errores elementales, pero que suelen cometerse, es necesario
mencionar lo inadecuado de pr oyectar la oferta con los métodos utili zables para
la demanda (regresión lineal, tasa de incremento compuesto, tasas anuales
acumulativas, etc.) dado que la oferta nunca mantiene una tendencia de
crecimiento regular. Por ejemplo, la inauguración de un solo hotel con
dimensiones superiores a las 1.000 habitaciones (como El Hotel de México en
la capital mexicana) haría que la oferta de alojamiento en cualquier sitio
turístico sufriera un aumento despr oporcionado de un año para otro.
Este tipo de incrementos no pueden ser estimados a base de proyecciones por
tendencias, requieren de investigaciones específicas y tratamientos particulares
como el sugerido a través del cuadro 4.6.
En cuanto a la definición de déficit o superávit, la misma requiere de trabajarse
a base de una ecuación que tome en cuenta el porcentaje de ocupación
promedio y general aceptable para la planta instalada, los hábitos de ocupación
para las plazas (camas) en relación a las habitaciones y el período anual de
apertura para los establecimientos hoteleros.
Cabe aclarar que esa ecuación es aplicable a los estudios de mercado para
proyectos hoteleros. Sin embargo, las respectivas para otro tipo de proyectos
turísticos pueden ser desprendidas de esa misma.
La ecuación quedaría expresada como sigue:
).)()((
))........((
.
ALRP
EV
DH =
en la que:
H.D. : Habitaciones demandadas
V : Visitantes esperados en personas
E : Estadía o permanencia (promedio simple o ponderado)
P : Promedio de ocupación aceptado para la planta
R : Relación de camas ocupadas a las habitaciones ocupadas
L.A. : Lapso o período anual que permanecerá abierto el establecimiento
La utilización de la ecuación anterior quedaría de manifiesto en el caso hipotético que a
continuación insertamos:
Supongamos un destino turístico urbano cuya proyección de demanda para alojamiento de 3 a
5 estrellas se ha efectuado por tasa de incremento compuesto (8.6% anual) y expresa a cinco
años los siguientes datos:
Año
Proyección de la demanda futura
(en viajeros)
1983
1984
1985
1986
1987
185.500
201.453
218.778
237.593
258.026
86
Se analizan las oportunidades cuantitativas del mercado para un proyecto
hotelero cuyo tamaño preliminar oscilaría entre 150 y 200 habitaciones siendo
posible iniciar su operación a partir de 1984. Su nivel estaría dado entre 4 y 5
estrellas.
Las investigaciones y estadísticas de mercado muestran una estadía promedio
general de 4.3 días en los hoteles de la competencia (inmediatamente
sustitutivos) y un coeficiente de ocupación cama/habitación de 1.8. No existen
variables que permitan suponer su futura variación. A su vez se prevé que no
sería adecuado invertir en dicho proyecto hasta que la ocupación de la planta
existente se encuentre por lo menos en un 70%; a pesar de que en 1981
alcanzaba el 65%.
Finalmente, el lapso o período en que se mantienen abiertos los hoteles de la
categoría mencionada, en el sitio del proyecto, es de 365 días y por lo tanto el
mismo se mantiene para el balance oferta demandada a futur o.
Por lo que respecta a las pr evisiones de oferta en la categoría de 3 a 5 estrellas
dentro de un radio territorial de 25 kilómetros, las mismas quedan registradas
en la siguiente relación de datos:
Año Oferta disponible
(habitaciones)
Oferta en
construcción
Oferta en
estudio
Oferta por
desaparecer
1983
1984
1985
1986
1987
1.700
1.900
1.900
1.900
1.900
200
-
-
-
-
-
-
-
-
-
-
-
-
-
-
Aplicando la ecuación
ALRP
EV
DH
.
.......
.
´´
´
= , en cada año de estimación se tendrían de 1983 a
1987 las siguientes habitaciones demandadas:
Año Habitaciones demandadas en el mercado estudiado de 3
a 5 estrellas
1983
1984
1985
1986
1987
1734*
1883
2045
2221
2412
*185.500 x 4.3 = 797.650/(0.7 x 1.8 x 365) = 1734
Efectuando la comparación entre oferta y demanda esperada, se determinarán los déficit y
superávit respectivos y con ellos las posibilidades del mercado en cuestión, según lo muestra la
siguiente relación:
Año Habitaciones
demandadas
Habitaciones
ofrecidas
Déficit ( - )
Superávit (+)
1983
1984
1985
1986
1987
1734
1883
2045
2221
2412
1700
1900
1900
1900
1900
- 34
+ 17
- 145
- 321
- 512
87
Con las cifras manejadas en este caso hipotético los déficit y superávit del
mercado durante 1983 y 1984 son prácticamente irrelevantes, lo que permite
esperar el equilibrio de este último a un porcentaje de ocupación en la planta
instalada del 70%.
Sin embargo, a partir de 1985 el déficit de habitaciones en la categoría
mencionada se acentuaría pasando de -145 a -512 en tres años. De hecho,
todo proyecto debe considerarse oportuno cuando su oferta cubra como
máximo el 50% del déficit encontrado. Esa situación sucedería en nuestro
ejemplo hasta 1986 o 1987.
Como resulta obvio, la estimación sobre las oportunidades del mercado con la
metodología descrita depende de la precisión que se alcance, tanto en las
proyecciones de la demanda co mo en las de oferta y en especial del porcentaje
de ocupación al cual se esté dispuesto a invertir.
Investigación y análisis de la competencia
Hemos definido a la competencia, dentro de los estudios de mercado para
proyectos de inversión, como la oferta inmediatamente sustitutiva de los bienes
y servicios que serán producidos por la nueva inversión.
Esa competencia la ejercen empresas específicas que normalmente ya tienen
una adecuada experiencia de la cual puede valerse el promotor de un nuevo
proyecto para definir su producto, omitiendo las fallas que han cometido los
competidores y acentuando sus acier tos.
En el caso de inversiones novedosas o en sitios no desarrollados
turísticamente, debe considerarse como competencia a las empresas similares
que estén ubicadas en áreas distantes, a pesar de su lejanía espacial. Esto
último se justifica no tanto porque efectivamente sean sustitutos a considerar
para el segmento de la demanda que interese captar, sino por la experiencia
que es posible aprovechar en beneficio del diseño final del proyecto.
Para conocer las peculiaridades funcionales y físicas de la competencia es
necesario emprender investigaciones específicas que levanten toda la
información sobre este aspecto.
Dicha información se subdivide en tres grandes áreas: a) formas de
comercialización; b) características físicas y c) datos generales de operación.
a) FORMAS DE COMERC IALIZACIÓN
En este sentido, conviene conocer y describir los mecanismos de
comercialización que utiliza la competencia, en sus ámbitos de publicidad
(directa al público consumidor, a través de medios masivos de comunicación,
selectiva, por intermediarios, en revistas especializadas, etc.) de promoción
(tarifas, paquetes, temporadas, intermediarios, claves, niveles de comisiones,
etc.) de relaciones públicas (visitas y viajes de familiarización, banquetes, etc.)
88
y de acción directa de venta y de afiliación (uso de nombres internacionales,
patente u operación por cadena).
La investigación sobre los sistemas de comercialización que emplea la
competencia debe abarcar todos los niveles del tema e incluir una
recomendación concreta sobre los que consideren de mayor eficiencia para la
futura empresa, de manera que tales recomendaciones puedan ser
contempladas en el estudio financiero del proyecto. Tanto en la fijación de
precios y tarifas como en el cálculo de sus gastos r espectivos.
b) CARACTERÍSTICAS FÍSICAS DE LAS EMPRESAS COMPETIDORAS
Pueden ser divididas en cuatro gr andes grupos: 1. generales, 2. hospedaje, 3.
alimentos y bebidas y 4. servicios complementarios.
1. Generales: Aquí se incluyen las de localización (céntrico periférico, de
aeropuerto, de autopistas, etc.) y diseño (modernista, conservador,
rústico, etc.)
2. Hospedaje: Entre otras deben precisarse las de estructura para el
mercado (suites, dobles, sencillas, cabañas, etc.) estilo, decoración,
equipo, superficie, facilidades (en las habitaciones), porcentajes de
ocupación (por mes, temporada y anual).
3. Alimento y bebidas: Tipo de áreas para alimentos (restaurantes de
especialidades, temático, cafeterías, parrillada, al aire libre, snack bar,
etc.), tipos de áreas para bebidas (bar temático, lobby bar, bar de
piscina, bar intermedio, etc.), capacidad de áreas, superficie, calidad del
decorado, equipo, mobiliario, formas de acceso, calidad de servicios y
productos, sistemas confort, áreas de banquetes, cócteles, reuniones,
etc.
4. Servicios complementarios: Calidad y capacidad de las instalaciones
para convenciones, congresos, actividades deportivas (golf, tenis, casa
club, piscinas, equitación, etc.) y recreación (cine, teatro, casino, etc.)
c) DATOS GENERALES DE OPERACIÓN
Para integrar el esquema de la competencia habrán de resaltarse los datos
sobre la mezcla de mercado o segmentario que vienen utilizando las empresas
competidoras según convenciones, negocios, vacacionistas y, en algunos
casos, tripulaciones; los pesos en los ingresos de alimentos, bebidas y otros
servicios registrados por la demanda local (residentes del área); los
porcentajes de ocupación general que han venido logrando, asó como otros de
naturaleza financiera, si fuese posible obtenerlos, tales como estructura de
costos y gastos, puntos de equilibrio, perspectivas de venta, planes de
diversificación, expansión y nómina.
89
Síntesis y conclusiones del estudio de mercado
Como puede observarse un estudio de mercado para un proyecto turístico, es
relativamente complejo y suficientemente amplio como para requerir un
apartado que señale sintéticamente sus resultados y establezca conclusiones
básicas. Las mismas servirán como fuentes de información tanto para el
estudio técnico que define las particularidades físicas de los productos que
habrán de ofrecerse a la demanda lo mismo que para el análisis financiero.
Entre los datos más relevantes a destacar en materia de mercado se apuntan
los siguientes:
Ø Naturaleza de la demanda prevista: futura u objetiva
Ø Proyección de la demanda turística y local
Ø Proyección de la oferta
Ø Estacionalidad de la demanda
Ø Cobertura cuantitativa que ofrecerá el mercado (balance oferta
demanda)
Ø Características diversas del consumidor por captar (perfil del
consumidor)
Ø Magnitud aceptable por el mercado para el proyecto según análisis
cuantitativo entre oferta y demanda por tipos de servicios (hospedaje,
alimentos y bebidas y otros)
Ø Tasas previsibles de ocupación a corto y mediano plazo (5 ó 6 años)
Ø Mezcla del mercado esperado (negocios, vacacionistas y congresos,
etc.)
Ø Precios y tarifas de introducción y de temporada, de paquete integral,
normales y de grupo
Ø Instalaciones complementarias por construir
Ø Formas de comercialización recomendadas y ni veles de gasto
ESTUDIO TÉCNICO
Con la información proporcionada por el estudio de mercado y las variables
preestablecidas8
que existiesen en torno al proyecto se procede a desarrollar el
planteamiento técnico del mismo, cuyo objetivo central es definir las
características de la futura empresa y de los productos que pondrá en el
mercado.
Para ello, sus áreas de análisis se concentrarán en seis campos que son: 1.
localización (macro y micro), 2. programa arquitectónico, 3. dimensión
amientos, 4. diseño, 5. costeo de obras y 6. calendarización de inversiones en
activos fijos.
Localización
En toda inversión turística de equipamiento la localización es fundamental y en
ciertos casos como el hotelero se convierte en un factor determinante para el
8
En numerosas ocasiones algunas variables técnicas como la localización son previamente establecidas
por conveniencias particulares del promotor del proyecto.
90
éxito comercial, cualquiera que se la mezcla segmentaria de mercado que se
elija.
La elección de la macro localización (zona turística, región socioeconómica,
centro urbano o polo turístico) depende de distintos factores generales, entre
los cuales destacan los siguientes:
Dinamismo económico del área
Las posibilidades comerciales de una inversión turística se incrementan
notablemente cuando el área donde se localiza experimenta un importante
crecimiento económico ya sea en general o a partir de alguna actividad
económica en particular. Existen numerosos ejemplos de proyectos hoteleros,
o de otros tipos como restaurantes, centros de diversión y similares, cuya
justificación no radica en las ventajas de una atractivo turístico y sí en el
desarrollo petrolero, industrial o comercial del área donde habrá de situarse.
La conveniencia de localizarse en un área que registre un desenvolvimiento
económico satisfactorio se encuentra plenamente comprobada por los altos
porcentajes de ocupación que suelen registrar los hoteles y empresas turísticas
que en ellas se ubican. Además, en épocas de r etracción económica e inflación
las empresas situadas en dichos centros pueden sustituir segmentos de
vacacionistas por hombres de negocios y convencionistas, alternativa que
difícilmente logran habilitar los establecimientos localizados en centros
puramente turísticos como los de playa sol y mar .
Una tercera ventaja sobre la macro localización en áreas de crecimiento
económico se desprende del aprovechamiento que las empresas turísticas
pueden hacer en esas condiciones de la demanda local para mejorar sus
ingresos como en los casos de alimentos, bebidas, transporte local, utilización
de instalaciones complementarias y otros.
Relevancia del conjunto geográfico, climatológico, turístico y/o
cultural
Cuando se establecen posibilidades satisfactorias sobre el segmento
vacacionista en el estudio de mercado resulta ventajosa la macro localización
de empresas turísticas para sitios que se destacan por sus características
geoclimatológicas y en especial por sus atractivos tanto naturales como
culturales.
En el caso de México, por ejemplo, una enorme cantidad de inversiones se han
destinado al equipamiento turístico en las zonas costeras apoyándose en las
expectativas de los segmentos de vacacionistas tanto internos como
provenientes de Estados Uni dos de Norteamérica y Canadá.
En esos casos, las ventajas del entorno físico y de sus atractivos resulta
especialmente importante, ya que incide en forma directa sobre las
motivaciones esenciales del segmento primordial a captar.
91
Ventajas económicas especiales
En algunos proyectos la macrolocalización no viene dada por el dinamismo
económico del área o la fuerza de su entorno físico, los cuales pueden estar
ausentes o minimizados.
Para ciertas situaciones habrá que considerar el peso de la demanda o de los
apoyos gubernamentales en materia fiscal y crediticia. En el primer caso de
trata de nudos turísticos ubicados en puntos clave de un corredor terrestre,
donde por necesidad o costumbre suelen pernoctar los viajeros dando lugar a
una demanda que justifica empresas de alojamiento, alimentación y servicios
varios. También suelen encontrarse en esta situación numerosos
establecimientos turísticos localizados en áreas fronterizas.
En el segundo caso (apoyos gubernamentales) se trata de localizaciones que
basan su decisión en el manejo de apoyos financieros a través de exenciones
fiscales o la obtención de créditos oficiales subsidiados cuando al Estado le
interesa la ubicación de empresas turísticas en sitios conflictivos, alejados, en
disputa internacional, despoblados o estratégicos en el contexto de la política
nacional a los cuales sea más fácil integrar por medio del movimiento turístico.
En cuanto a la microlocalización, ésta se refiere a la elección de los terrenos
específicos o las edificaciones que habrá de requerir el proyecto una vez
seleccionada la macrolocalización.
Es ese sentido, la decisión depende los segmentos preferidos del mercado,
pudiendo la misma ser de carácter céntrico, periférico, de aeropuerto, a pie de
playa, a pie de carretera, panorámico, en zona industrial o en zona comercial.
Frecuentemente la microlocalización depende de aspectos económicos como
la disponibilidad de recursos financieros, en base a los cuales debe preferirse
terrenos cuyo costo unitario sea menor y permita destinar mayores montos a la
edificación, al equipo y al mobiliario del inmueble.
Programa arquitectónico
De hecho, mediante el programa arquitectónico, se precisa el producto, o
productos, que serán puestos en el mercado, su calidad y particularidades
físicas. Es a través de este programa que se establecen las edificaciones e
instalaciones necesarias para cumplir con los requerimientos del mercado y en
particular para situar en una posición adecuada al proyecto en relación con su
competencia. El plan maestro con el cual se indican distribuciones espaciales
de las distintas obras detectadas en el programa arquitectónico podrá incluirse
en este apartado o desarrollarse por separado.
A mayor abundamiento cabe afirmar que en el programa arquitectónico se
indican entre otras variables y suponiendo el caso de un establecimiento
hotelero, el número y tipo de unidades para alojamiento con las cuales deberá
contar la futura empresa, los tipos de restaurantes, bares, cafeterías, piscinas,
instalaciones deportivas y áreas comunes de facilitación, como
92
estacionamientos, corredores, etc.
Dimensionamientos
Especificada la microlocalización y con ella los terrenos o edificaciones (en el
caso particular de restaurantes independientes) por disponer, es factible
considerar el manejo de dimensiones por departamentos operacionales o
líneas de producción y por áreas de apoyo y facilitación. Para ello será
fundamental apoyarse en el estudio de mercado, que nos deberá informar
sobre pautas de comportamiento, gustos y preferencias del futuro consumidor,
así como de las soluciones arquitectónicas adoptadas por la competencia.
Dicho dimensionamiento no es sólo a nivel departamental (número de
habitaciones, de restaurantes, cafeterías, bares, piscinas, canchas de tenis,
etc.). requiere un nivel mayor de aproximación, considerando por un lado áreas
cubiertas, semicubiertas y descubiertas, además de metros cuadrados para
habitación tipo, suite, restaurante, cafetería, piscina, áreas verdes, corredores,
espacios deportivos al aire libre, casa club, etc.
En otros términos, el dimensionamiento requiere ir hasta la determinación
según espacios operacionales y funcionales, además de proporcionar los datos
generales de capacidad tanto en materia de alojamiento, como de alimentos,
bebidas y otros servicios tratándose de proyectos hoteleros.
Diseño
El diseño representa en la problemática comercial de un establecimiento
turístico un elemento básico para apoyar su éxito en el mercado, ya que aun
entre los segmentos motivados por viajes de negocios y convenciones, una
empresa turística se encuentra siempre ligada a la idea de placer, descanso y
recreación.
Por lo tanto, la capacidad para hacer alegre, motivante y placenter o un espacio,
no obstante que se use sólo para alojarse durante unas horas es determinante
y requiere de un cuidado especial al emprenderse.
A nivel de un estudio de preinversión es viable enfrentar el diseño a dos niveles
de profundidad. El primero, que podría denominarse bosquejo de intenciones ,
recurre a planteos preliminares sobre trazos verticales, horizontales, fachadas y
esquemas básicos de apariencia y distribución.
El segundo, ampliamente conocido como anteproyecto arquitectónico es más
preciso y normalmente incluye los siguientes aspectos:
1. Planta de conjunto (escala 1:200 ó 1:500), cotas externas e internas con
tratamiento de espacios exteriores
2. plantas por pisos y unidades (escala 1:100) con cotas parciales y
acumuladas. Incluidas áreas sociales (con equipamiento)
3. Dos cortes como mínimo (escala 1:100) con otras parciales
4. Todas las fachadas para la comprensión de las unidades que incluye el
93
proyecto (escala 1:100) con cotas generales, parciales y totales
5. Sistema de construcción corte 1:20 con especificaciones de los sistemas
constructivos (si es hotel, destacar habitaciones)
6. Planta de detalle
7. Perspectivas exteriores de conjunto e interiores de recogimiento
8. Especificaciones generales
Es obvio que el costo de cada estudio ( bosquejo de intenciones anteproyecto
arquitectónico ) varía notablemente por los grados de profundidad que exige
cada uno. Sin embargo en los dos casos debe obser varse la idea del diseñador
en cuanto al carácter que supone para la obra y sus rasgos centrales de
apariencia.
Asimismo, el diseño debe expresar la imagen general de inmueble y la
particular para las unidades de venta como habitación tipo, restaurante,
cafetería, lobby bar, piscina, áreas jardinadas, etc.
Costeo de obras
Estimar las inversiones que requerirán las edificaciones e instalaciones no es
sencillo con la información disponible en la etapa de preinversión y sin análisis
finales de ingeniería que determinen los parámetros específicos según
materiales de construcción, áreas de tratamiento y desgloses por tipos de
costo.
No obstante la importancia que reviste el costo de tales obras, es determinante
en cualquier proyecto, ya que absorbe el peso fundamental de la inversión
global, en el caso de las empresas turísticas, y ello exige el esfuerzo de
aproximación respectivo.
Con frecuencia el método más utilizado para el costeo consiste en subdividir
las edificaciones en áreas cubiertas, semicubiertas y descubiertas, precisando
sus áreas y encontrando el producto de ellas por los precios unitarios de metro
cuadrado que le corresponde a cada una.
Respecto a las instalaciones especiales como campos de golf, canchas de
tenis, piscinas y similares su costeo dadas sus particularidades, requiere de
utilizar parámetros específicos para cada caso.
Calendarización de inversiones en activos fijos
Una de las informaciones estratégicas en el estudio técnico para la elaboración
del estudio financiero y la evaluación de inversiones es precisamente el cálculo
de las erogaciones que requerirán las obras físicas del proyecto,
complementadas con las correspondientes a la adquisición de terrenos, según
el período que corresponda, en relación a un programa preliminar de
construcciones.
La posición en el tiempo de las inversiones es de fundamental importancia no
sólo para el cálculo de rentabilidad, sino esencialmente para la negociación de
créditos, reducción de intereses y estimación en el escalamiento inflacionario
94
de los costos.
Ese calendario puede ser fijado a este nivel en forma mensual, semestral o
anual, según corresponda.
ESTUDIO FINANCIERO
El análisis financiero actúa dentro de un estudio de preinversión como un
sintetizador, concentrando de manera cuantitativa las principales conclusiones
logradas durante el análisis de mercado y el técnico arquitectónico. Del primero
recoge, principalmente, los datos relativos a la cantidad de demanda que
cabría satisfacer mediante la inversión durante un cierto período, así como los
precios y tarifas adecuados, en función de las posibilidades que demuestre la
competencia y los futuros consumidores.
En cuanto al estudio técnico, las variables de mayor trascendencia para la
elaboración del estudio financiero se refieren tanto al monto de inversión en
terrenos y construcciones como al calendario de obras y a las condicionantes
de localización y dimensionamiento. Estas últimas influyen en los otros rubros
de inversión (como equipos, mobiliario, gastos preoperativos, etc.) en el
establecimiento de los costos y gastos pr eoperativos.
Los apartados básicos para la elaboración de un estudio financiero son seis: 1.
presupuesto de inversiones; 2. calendario de inversiones; 3. estructura de
capital; 4. pronósticos de ingresos; 5. pronóstico de costos y gastos
operacionales y 6. análisis de la posición financiera esperada (PFE). Como se
observará, en este enfoque metodológico el análisis de rentabilidad y su
respectiva sensibilidad financiera no se incluye dentro de este estudio, ya que
se prefiere abrir un capítulo separado de evaluación, en el cual se considere
tanto el rendimiento del capital de riesgo como el del total (evaluación privada),
así como el de los factores productivos requeridos socialmente por dicha
inversión (evaluación social).
Cabe no obstante, abrir desde ya una aclaración sobre el problema de la
rentabilidad. El rendimiento de todo capital obligado contra una inversión
productiva depende en esencia de tres grandes aspectos que son: a) el monto
d ese capital; b) los rendimientos financieros esperados que pasarían a la
propiedad de quien arriesga el capital y c) el nivel alcanzado por el costo de
oportunidad con el cual compare cada inversionista la alternativa de participar
en la inversión analizada.
Normalmente el monto de la inversión y los rendimientos financieros esperados
son elementos cuyos grados de flexibilidad permiten al proyectista o analista
financiero tratar de manejar los rendimientos de cada opción. En cambio, el
costo de oportunidad representa en la mayoría de los casos un factor exógeno
al proyecto, sobre el cual no puede trabajar a nivel macroeconómico.
Por otra parte, tales rendimientos financieros esperados b), dependen a su vez
de tres aspectos que son: la estructura adoptada para el capital total del
proyecto, el pronóstico de ventas y el pronóstico de costos y gastos operativos.
95
Todos los aspectos mencionados en los tres párrafos anteriores, a excepción
del llamado costo de oportunidad, se determinan precisamente en este
apartado (estudio financiero) y por tanto en él se sientan las bases de la
rentabilidad.
Presupuesto de inversión
Le denominaremos Inversión al monto de recursos que en forma de capital
requiere la empresa en proyecto para materializarse y poder iniciar
operaciones, así como aquellas erogaciones que se requerirán durante su
funcionamiento para reponer activos fijos obsoletos o para permitir
ampliaciones en la planta productiva original. A estas últimas se les conoce
también con el término de reinversiones.
La mayoría de los proyectos turísticos permiten agrupar su presupuesto en
once apartados específicos que son: 1. terreno; 2. adecuaciones
infraestructurales; 3. edificaciones; 4. equipo; 5. mobiliario y decoración; 6.
instalaciones especiales; 7. blancos y lencería; 8. gastos preoperatorios; 9.
capital de trabajo; 10. gastos financieros de preoperación y 11. imprevistos.
Terreno
Para la mayor parte de las empresas turísticas, las adquisiciones inmobiliarias
representan una protección financiera de gran importancia, dados los valores
de recuperación reales que pueden alcanzar y la eventual función de
compraventa parcial a la que pueden ser aplicados.
Algunos giros comerciales del ramo como los restaurantes independientes no
incluyen en sus presupuestos de inversión la adquisición de terrenos ni las
edificaciones, ya que suelen alquilar los inmuebles en los cuales trabajan. Esa
opción les reduce notablemente el capital a invertir, pero les limita, también, la
rentabilidad global del proyecto y las posibilidades de obtener crédito bancario.
Las estimaciones en este renglón son relativamente sencillas, ya que bastará
con disponer de la microlocalización y los dimensionamientos necesarios
aportados por el estudio técnico para saber cuál será la extensión del terreno
prevista para el proyecto. En consecuencia y previa una investigación
específica sobre el precio unitario de tierra en el mercado (por metro cuadrado),
según el lugar seleccionado, se obtendrá presupuesto específico que le
corresponda.
Es de uso común cargar en esta línea los costos de limpieza y adecuación que
requiera el terreno, pero no su urbanización o dotación de servicios básicos, ya
que para esto úl timo se emplea el rubro de adecuaciones infraestructurales, por
las razones que más adelante se expresan. A su vez, las erogaciones por los
trámites propios de la acción de compraventa del mismo, tales como servicios
notariales, impuestos, avalúos, delimitaciones, etc. no se incluyen en el costo
asignado por terreno, ya que son costos posibles de amortizar a las tasas
legales reconocidas para los llamados gastos preoperatorios y por lo tanto se
96
acumulan a estos últimos.
Adecuaciones infraestructurales
La actividad turística se caracteriza, incluso en los países con una intensa
participación estatal en la economía, por el predominio de la inversión privada.
Esta última suele aprovechar la infraestructura existente y pocas veces lleva a
cabo obras de tal índole aún en sitios que disponen de excelentes atractivos,
cuando los mismos se encuentr an en sitios apartados.
No obstante, existen numerosos casos, especialmente en México y algunos
países de Latinoamérica, donde han surgido proyectos turísticos de capital
mixto (público y privado) en cuyo presupuesto de inversión aparecen renglones
con cifras elevadas en rubros, como caminos pavimentados de acceso,
electrificación, redes de agua potable e incluso aeropuertos y aeropistas.
El esfuerzo por aprovechar un sitio privilegiado en materia de atractivos,
generalmente naturales y en algunos casos culturales (como ruinas
prehispánicas e incluso coloniales), a costa de insertar en el presupuesto del
proyecto las obras de infraestructura necesarias para ponerlo en el mercado,
debe ser estimado y evaluado, para lo cual es necesario establecer un renglón
específico que puede denomi narse adecuaciones infraestructurales .
La razón de llamarle adecuaciones se desprende de la práctica histórica a la
que estamos acostumbrados, desde la configuración del Estado moderno. Esto
es, el sector público ha sido responsabilizado de hecho por la construcción de
la infraestructura de un país, mientras que las empresas privadas y el
conglomerado social en su conjunto, simplemente se sirven de sus respectivas
obras a un precio variable el cual depende de su relación institucional, fiscal y
social con dicho Estado.
Por lo tanto, la creación de instalaciones específicas en materia de
comunicación, acceso y servicios básicos no recae habitualmente en el
presupuesto de los proyectos turísticos, exceptuando casos particulares en los
cuales se torna imprescindible una adecuación de tal tipo. Contemplando la
existencia de esos casos se considera metodológicamente este rubro,
destacando su importancia social en regiones poco atendidas dentro de las
cuales el turismo es una opción dinámica de crecimiento para el corto y
mediano plazo.
La elaboración del presupuesto parcial de este renglón, depende obviamente
de cada caso en lo particular pues en algunos se requerirán fuertes
adecuaciones en materia de acceso, servicios y otros, mientras que para
ciertos proyectos puede bastar con la penetración de un servicio específico
como el drenaje o el agua potable.
A su vez, el costeo de obras infraestructurales obedece a parámetros muy
específicos, cuya aplicación y actualización requiere de una adecuada
experiencia en el área, de manera que en estos casos suele solicitarse la
participación de técnicos especializados.
97
Edificaciones
Por lo regular, el renglón de edificaciones es el más importante
cualitativamente y cuantitativamente en los presupuestos globales de inversión
de los proyectos turísticos. De hecho, comprometen en forma habitual el mayor
porcentaje de la erogación inicial y su dimensionamiento, localización diseño y
costeo son sujetos de análi sis particularizados, dado que pueden r epresentar la
diferencia entre el éxito y el fracaso del proyecto.
Como se anotó en el apartado dedicado al estudio técnico, existen distintos
procedimientos para llegar a determinar los costos aproximados de edificación,
pasando de los más superficiales (según costo promedio por habitación, en
relación a la calidad prevista del establecimiento o metros cuadrados
construidos) a los intermedios (metro cuadrado diferenciado por área cubierta,
semicubierta o descubierta) hasta los detallados por parámetros o líneas de
costeo.
Para los efectos del estudio financiero basta con señalar que el cálculo
correspondiente se obtendrá precisamente del análisis técnico, ajustándolo si
fuese necesario e incorporándole la cuota necesaria para cubrir, en su
momento, los estudios de ingeniería final y seguimiento de obra.
Es conveniente, asimismo, dejar por separado el costeo de las instalaciones
especiales dedicadas al desarrollo de actividades turísticas específicas,
restringiendo por lo tanto este renglón a la construcción básica con la cual se
ofrecerán los servicios de hospedaje, alimentación, diversiones y servicios
diversos.
Equipo
Se considera como equipo a todos los instrumentos mecánicos adaptados que
serán imprescindibles para la producción de los bienes y servicios que llevará a
cabo la empresa. Frecuentemente, algunos equipos estructurales como
elevadores, calderas, sistemas de bombeo e incluso generadores auxiliares de
energía son presupuestados dentro del rubro de edificaciones, lo que lleva a
excluirlos de este apartado.
Sin embargo, la experiencia parece recomendar tener aglutinados en un solo
apartado los costos completos del equipamiento, tanto estructural10
como de
servicio complementario, siempre y cuando se efectúe su diferenciación de
acuerdo a una clasificación funcional como la señalada. Así, el equipamiento
complementario estará constituido por los aditamentos para el servicio directo
al cliente, como los de aire acondicionado, cocina, bar, espectáculos, servibar
en las habitaciones y operación general. Este último guarda una relación mas
estrecha con la calidad del establecimiento que el estructural, aun cuando los
dos lo hacen.
Una de las razones de mayor peso para acumular la inversión global del equipo
10
Véanse anexo 1 con detalle sobre el equipo tipo de operación en un hotel.
98
dentro de un apartado específico, está dada por la posibilidad de manejar
distintas opciones presupuestarias, ya sea reduciendo exprofeso la categoría
del establecimiento o incluso sin llegar a ese extremo.
Mobiliario y decoración
El peso de este apartado dentro de un proyecto turístico depende tanto del tipo
de empresa por crear como de su categoría y diseño. Por ejemplo, un
restaurante independiente, cuya penetración en el mercado guarde una fuerte
relación con su temática y decoración, demandará en su inversión inicial una
cantidad considerable para este rubro, que podría ser incluso la más cuantiosa
en el total si los terrenos y edificaciones se alquilasen.
En algunos estudios de preinversión el presupuesto parcial para el mobiliario y
la decoración se obtiene a partir de una simple relación con respecto a las
erogaciones en inmuebles o en equipo. Sin embargo, cuando estas últimas no
existen o se requiere una mayor precisión, en virtud de las peculiaridades que
alcanzará la futura empresa, es menester efectuar una investigación específica
a partir de la cual se obtengan los datos necesar ios.
Instalaciones especiales
Como se mencionó, las inversiones turísticas están relacionadas
inevitablemente con el concepto de diversión, descanso y placer, incluso
aquellos en cuya mezcla de mercado predomine el segmento de viajeros por
razones de negocios, trámites oficiales o tránsito. Ello ha obligado a que
numerosas empresas habiliten instalaciones adicionales fuera del núcleo
constructivo básico, donde habrán de concentrar los servicios esenciales para
el visitante.
En tanto más se diversifique la oferta que pondrá en el mercado la futura
empresa, se eleve su categoría y se incline por captar la demanda de
vacacionistas o consumidores de destino, mayor será el número y la variedad
de instalaciones especiales por construir en el área del proyecto.
Este tipo de inversiones debe responder a la programación de actividades
prevista para los demandantes foráneos (turistas o viajeros) y a las tendencias
del mercado local ya que en la actualidad es de fundamental importancia para
la empresa los ingresos que la misma pudiese captar brindando facilidades de
esparcimiento, deporte y recreación a la población que reside en su área
contigua.
Se entenderá entonces que tales instalaciones especiales comprenden obras
como canchas de tenis, campos de golf, piscinas, gimnasios, campos de
equitación, áreas de esquí, muelles y otros.
Conviene insistir en la inclinación actual de muchas inversiones originalmente
destinadas a la demanda de viajeros que gracias a una adecuada
diversificación en sus instalaciones especiales, logran captar importantes
montos de afluencia local y con ello robustecer sus ingresos, absorbiendo una
99
demanda más sólida y constante como es la formada por los residentes en el
área de la empresa.
Lencería y cristalería
En los proyectos turísticos es común que dent ro de la inversión inicial se asigne
un renglón específico a las inversiones preoperativas en el área de blancos,
lencería y cristalería, debido a su particular período de amortización (mucho
menor al del mobiliario y la decoración normal). El mismo ha sido fijado en
muchos países alrededor del 50% anual, aun cuando de hecho cabría
establecerlo en el 75% dado el régimen de desecho al que se ven sujetos estos
activos en las empresas comerciales de cierta categoría.
Algunos estudios de preinversión incluyen estimaciones para este apartado
empleando relaciones porcentuales respecto a las cantidades asignadas para
el mobiliario y la decoración. Sin embargo, es más confiable tratar de
aproximarse al monto correspondiente mediante una investigación directa o al
menos un costeo unitario que tome como base el equipo de operación
asignado a los departamentos de hospedaje, alimentos, bebidas y otros, en el
caso de proyectos hoteleros.
Es recomendable también, no incluir en el presupuesto de reinversiones, si el
mismo se elaborase, las periódicas adquisiciones para lencería y cristalería, ya
que pueden ser consideradas con la frecuencia necesaria dentro del
presupuesto de costos y gastos oper ativos.
Gastos preoperativos
Diversos gastos son efectuados por una empresa antes de iniciar sus
operaciones, sin que puedan ser clasificados en los puntos mencionados.
Algunos de ellos se identifican simplemente como preoperatorios dada su
naturaleza y la posibilidad financiera de amortizarlos bajo el concepto de
intangibles.
Como es natural, la diversidad y el monto de dichos gastos preoperatorios
están en función del tiempo que requiera llevar a cabo la inversión, así como de
la complejidad que alcance el proceso de su ejecución; sin embargo, entre los
más comunes podemos citar las erogaciones en estudios de factibilidad,
trámites legales, ciertos impuestos y en particular las que provengan de
habilitar empresas encargadas de administrar, coordinar y supervisar los
esfuerzos necesarios para alcanzar el nivel operativo. De hecho entre estas
últimas destacan a su vez los gastos de personal, alquileres, comisiones,
relaciones públicas, instrumentos promocionales y otros.
Es usual estimar este apartado dentro de los presupuestos de inversión como
un porcentaje respecto a la suma de los siete anteriores ya que esta última en
cierta medida expresa precisamente la envergadura del proyecto. Aun así, será
adecuado tener presente las particularidades de la empresa en estudio ya que
en algunos casos no se manti enen las proporciones comunes.
100
Capital de trabajo
Es habitual que una empresa no se encuentre en condiciones de cubrir todos
sus costos y gastos operacionales con el flujo normal de sus ingresos durante
sus primeros períodos de funcionamiento. Además, antes de abrir las puertas
al mercado, la empresa deberá contar con dotaciones suficientes de insumos o
de mercancía para poder realizar las primeras ventas. En este sentido, dentro
del presupuesto de inversión deberá contemplarse una partida específica
dedicada a cubrir los dos aspectos antes mencionados.
Aun cuando hasta ahora los apartados de inversión se han descrito sin tomar
en cuenta la estructura del capital o la distribución de participaciones entre
financiamiento y capital de riesgo, conviene comenzar en este caso la
importancia que suele jugar el crédito de corto plazo otorgado por los
proveedores para conformar el llamado capital de trabajo. En efecto, buena
parte de este último puede ser cubierto mediante suministros físicos de las
casas proveedoras a pagar en 60, 90 y hasta 180 días.
Para estimar los montos asignables a este renglón es recomendable efectuar
una investigación directa sobre casos análogos, evaluando las características
particulares de la empresa en estudio, según su área de localización, giro
comercial, problemática de abastecimiento y variables afines. No obstante, en
muchos proyectos se utiliza, como mera aproximación, una cifra equivalente a
los costos y gastos directos de los 6 ó 7 primeros meses de operación cuando
la inversión es relativamente mediana y con expectativas normales en el área
de ventas.
Cuando se trata de complejos de inversión o empresas muy grandes o
superiores a las medidas predominantes en una línea comercial, es frecuente
reducir el período mencionado ya que de otra manera el presupuesto en capital
de trabajo se elevaría por arriba de las cifras aceptables.
Gastos financieros de preoperación
En la actualidad, prácticamente todas las inversiones turísticas de cierta
envergadura requieren la participación de financiamientos bancarios, durante
su fase preoperativa a fin de cubrir sus necesidades en campos como la
adquisición y construcción de inmuebles, el lanzamiento promocional de las
nuevas empresas y sus variados gastos iniciales.
En principio, los organismos de crédito, una vez aprobado el mismo, liberan las
partidas acordadas en los tiempos contratados según los programas de obra y
requerimientos del prestatario. Sin embargo, por cada parte del crédito que la
empresa responsable del proyecto recibe y a partir del momento en que lo hace
se generan intereses por pagar cuyo período de vencimiento depende de cada
caso concreto.
En procesos de inflación como los presentes, dichos períodos se acortan cada
vez más, aunque cabría pensar, según las prácticas comerciales más
101
comunes, en meses, bimestres o trimestres. Si se toma en cuenta que la
ejecución de un proyecto turístico suele ampliarse a uno o varios años según el
caso, se entenderá que durante la construcción de las obras y su puesta en
marcha llegan a generarse importantes montos por pagar solo en el renglón de
los intereses.
A su vez, otro tipo de gastos financieros como las diversas comisiones
cobradas por las entidades bancarias y los gastos de tramitación respectivos
deben contemplarse en este rubro.
Como es obvio, los montos específicos por concepto de cargos financieros
preoperatorios se encuentran en relación directa a los créditos obtenidos
durante la ejecución del proyecto, del tiempo que consuma esta última fase, de
las tasas de interés contratadas, la dimensión de las comisiones y los términos
básicos en que se efectúen las contrataciones.
Imprevistos
Para cubrir en un grado aceptable de probabilidad la presencia de erogaciones
no consideradas en sí mismas se anexa un margen de protección conocido
como imprevistos. Este renglón es fundamental en las circunstancias
inflacionarias que viven las economías occidentales, dado que por un lado
resguarda cualitativamente al proyecto de gastos no previstos y por el otro
reduce los riesgos de estimaciones incorrectas.
Los imprevistos no deben conf undirse con el escalamiento de precios estimable
para la ejecución del proyecto. Esto es, par a toda la etapa constructiva deberán
tomarse en cuenta en forma separada los aumentos de precios esperados e
incluirse en cada apartado específico del presupuesto global de inversiones.
Una vez aplicado ese proceso se incluirán al final los imprevistos, como una
prevención ante posibles equivocaciones cometidas en el escalamiento
utilizado.
Las cifras asignables a imprevistos dependen del monto global de inversiones y
debe cuidarse no caer en estimaciones muy elevadas que atenten contra la
rentabilidad del proyecto ni tan reducidas que eliminen su objetivo.
Porcentualmente gira del 3 hasta al 8% de dicha inversión.
Calendario de inversiones
En nuestros días resulta casi imposible obtener un apoyo financiero de los
organismos de crédito, sin contar con un programa de obras y por lo tanto con
un calendario preciso de inversiones, ya que las deliberaciones crediticias se
suelen efectuar, como se había mencionado, precisamente en los momentos
previamente establecidos por los acuerdos o contratos a que da lugar cada
financiamiento.
En otras palabras, el calendario de inversiones junto con el programa de obras
no sólo representa un instrumento técnico fundamental para el proceso de
evaluación y el cálculo de rentabilidad, sino que además es prácticamente
indispensable para la negociación y obtención de créditos, lo cual realza su
102
posición en cualquier proyecto.
Las unidades de tiempo para efectuar la calendarización respectiva suelen ser
menores a las que se practican en los pronósticos de ingresos, costos y gastos
de operación con los cuales deben interrelacionarse las inversiones en el
proceso evaluativo. En efecto, mientras estas últimas por las precisión que
requieren lo hacen semanal, mensual o bimestralmente, los datos
operacionales reciben por lo regular, dentro de un proyecto, tratamientos
anuales.
Para satisfacer tanto las exigencias económicas de los organismos crediticios,
que buscan detallar en el tiempo la evaluación constructiva del proyecto y la
homologación periódica con los cuadros de ingresos y costos de operación, a
fin de poder estimar rentabilidades, lo recomendable es construir dos
calendarios de inversiones. Uno semanal o mensual según lo requiera en el
seguimiento de ejecución y otro anual.
A manera de ejemplo se estructuró el cuadro 4.7 (hipotético), que muestra un
calendario anual de inversiones una vez que el presupuesto respectivo se
concluyó.
Estructura de capital
Se denomina estructura del capital a la forma como se distribuye la inversión
total de un proyecto entre sus posibles orígenes financieros, clasificándose
inicialmente en dos grandes rubros: aportación propia o de riesgo y
participación de crédito.
La aportación propia está constituida por el monto de recursos que deberá
comprometer la (o las) entidad (es) responsables del proyecto para su
ejecución, pudiendo ser de carácter privado (sociedad anónima) o público
(dependencia gubernamental o empresa descentralizada). A su vez, la
participación de crédito quedará integrada por los aportes que previsiblemente
se obtendrán entre los organismos bancarios, a fin de cubrir la parte de la
inversión total no financiada directamente por la entidad responsable.
Cuadro 4.7
ESTRUCTURA ANUAL DE UN CALENDARIO DE INVERSIONES
(miles de US dólares)
Grupo de
inversión
Concepto Origen del capital
Años de aplicación Monto total del
concepto1º 2º 3º
1o.
2o.
3.1
3.2
3.3
3o.
4o.
5o.
6o.
7o.
Terreno
Adecuaciones infraes-
tructura
Edificaciones (1)
Edificaciones (2)
Edificaciones (3)
Total edificaciones
Equipo
Mobiliario y decoración
Instalaciones especiales
Blancos y lencería
Aportación propia
Crédito banco A
Aportación propia
Banco A
Banco B
Aportación propia,
bancos A y B
Aportación propia
Banco B
Banco A
Aportación propia
1.806
210
380
-
750
1.130
940
710
890
2.570
840
250
45
202
975
343
1.520
1.560
1.400
36
28
1.552
1.685
1.983
1.806
210
5.220
2.400
1.650
81
28
103
8o.
9o.
10o.
110.
Gastos preoperativos
Capital de trabajo
Gastos financieros
preoperativos
Imprevistos
Total inversión
% en el total
Liberaciones de crédito
Aportaciones propias
Aportación propia
Aportación propia2
Aportación propia
Aportación propia
123
1
126
3.395
25%
960
2.435
353
148
4.206
31%
1.895
2.311
55
320
806
257
5.982
44%
2.754
3.228
(41%)
(59%)
55
320
1.282
531
13.583
100%
5.609
7.974
Los porcentajes o coeficientes de participación en el presupuesto global de
inversión son determinantes para mostrar los grados de riesgo en el proyecto
analizado, tanto por parte de los prestamistas como de los prestatarios.
La desagregación de dicha estructura a un segundo nivel, implica precisar las
entidades copartícipes en el capital de riesgo cuando sean más de una, así
como sus respectivos montos y porcentajes. Lo mismo ocurre con las fuentes
de financiamiento de carácter crediticio tanto internas o nacionales como
externas o extranjeras. Toda la información deberá quedar asentada por
períodos, según se r equieran los aportes respectivos en el tiempo.
Los datos que apor ta la estructura de capital son básicos para poder desarrollar
el proceso de eval uación financiera, ya que esta úl tima se subdivide en relación
a los orígenes del capital por comprometer, efectuándose una para la inversión
con capital de riesgo y otra para el total. Una idea sobre la integración de las
cifras en cuestión puede obtenerse del cuadro 4.7 donde aparecen año con
año los montos que correspondería, en un presupuesto hipotético, a los
organismos de crédito y a la sociedad presupuestaria del proyecto (inversión de
riesgo), en un primer estadio de desagregaci ón.
Por l oque se refiere al crédito previsto, dentro de dicha estructura deberán
adelantarse variables esenciales para la conformación de todo el análisis
financiero entre las que se destacan: 1. el monto total a contratar; 2. las
entidades por comprometer; 3. las tasas de interés esperadas; 4. el (los) tipo
(s) de moneda de crédito; 5. el o los períodos de amortización o pago del
principal; 6. las comisiones por pagar en cada caso, incluidos gastos de
apertura y administrativos o legales; 7. período de gracia necesario u obtenible;
8. garantías exigidas; 9. avales; 10. exigencias colaterales y 11. requisitos
contractuales.
Pronóstico de ingresos
Una vez que el proyecto llega a la etapa del estudio financiero, ya se tendrán
definidos los tipos de bienes y servicios que pondrán en el mercado la futura
empresa, así como los márgenes por considerar en materia de precios y tarifas,
al igual que los volúmenes previstos de la demanda por captar, sea en la forma
de porcentaje de ocupación o en cualquier otra medida.
No obstante, compete al propio análisis financiero elaborar los pronósticos
2
Se considera como aportación en la estructura de inversiones, no obstante que se obtienen usualmente
a corto plazo de proveedores.
1
Incluye comisiones y gastos generales de apertura
104
específicos de ingresos o ventas en función de dichas variables, considerando
las restricciones impuestas por aspectos como la dimensión del proyecto
(estudio técnico) y sus compromisos operacionales.
Como se sabe, el ingreso bruto resulta de multiplicar las cantidades a vender
por sus respectivos precios o tarifas unitarias. Tales ingresos quedarán
consignados en un pronóstico por períodos a lo largo de un lapso prudencial
que en el caso de los proyectos turísticos suele ser de 10 años. Las razones
que justifican esa amplitud temporal son varias, pero destacan las siguientes: 1.
es un tiempo intermedio entre los distintos períodos de amortización legal
asignados a los principales activos fijos de una empresa turística que van
aproximadamente desde los 20 años para las construcciones, 10 años para
cierto mobiliario y equipo y 5 años para equipo móvil y ligero; 2. aun cuando es
difícil y arriesgado hacer previsiones de mercado a 10 años, las inversiones
turísticas requieren un tiempo de maduración financiera relativamente largo por
lo cual a un menor plazo se obtendrían conclusiones equivocadas y 3. la
rentabilidad de una empresa turística no puede ser evaluada con justicia
tomando un flujo de beneficios menor al señalado con el riesgo de encontrar
coeficientes inferiores a los reales.
La elaboración concreta de cada pronóstico de ingresos depende del tipo de
proyecto en análisis. Nosotros tomaremos, como ejemplo, el caso de la
hotelería moderna, ya que ha mostr ado en los últimos años una cl ara tendencia
a diversificarse en distintos giros comerciales (hospedaje, alimentación,
bebidas, diversiones, etc.), de manera que por su intermedio podamos
incursionar en los principales temas de la planta turística.
Existen dos procedimientos para estructurar el propósito de ingresos, en el
caso de los proyectos hoteleros: el directo y el indirecto. En cuanto por el
primero se busca determinar los volúmenes esperados de ingreso por la vía de
estimaciones directas en cada departamento sobre cuánto se vendrá y a qué
precio. En cambio, el segundo recurre a los datos aportados por casos
similares y con base a r elaciones comparativas asume volúmenes aproximados
de ingreso para cada línea de producción.
Aplicando la clasificación departamental de la firma Horwath and Horwath
International, para el ordenamiento de la contabilidad hotelera, se podrá
explicar con mayor claridad la diferencia entre los procesos antes enunciados.
Dicha firma ha logrado generalizar su esquema financiero, en Estados Unidos
de Norteamérica, en Canadá y en un gran número de países europeos y
latinoamericanos, el cual consiste en formular una contabilidad intermedia
(entre analítica y de concepto) a la que se conoce como UniformSystem of
AccountsforHotels.
Ese sistema contable diferencia los departamentos de una organización
hotelera en operacionales y funcionales, incluyendo entre los primeros
exclusivamente a los que generan ingresos para la empresa en su conjunto y
por lo tanto se constituyen en líneas de producción, ya se a de bienes
(restaurantes y bares) o de servicios (alojamiento). Según este ordenamiento
existen actualmente cuatro posibles tipos de departamentos operacionales en
105
la hotelería comercial que son: 1. habitaciones, 2. alimentos, 3. bebidas y 4.
otros servicios.
Los departamentos funcionales son aquellos que no producen ingresos a la
empresa, pero que de hecho le son indispensables porque en ellos recae la
mayor responsabilidad sobre la conducción, el éxito, la expansión y el
adecuado funcionamiento de todo su si stema.
El enfoque contable citado los clasificaba, al igual que a los operacionales, en
cuatro: 1. administración y gestión; 2. publicidad y promoción; 3. luz, agua y
energéticos y 4. mantenimiento. Recientemente, ha unido el (3) y el (4), bajo la
sigla en inglés de POMEC10
. No obstante, nos parece más conveniente
mantener la primera clasificación, de dichos departamentos funcionales, por el
peso y la importancia que en algunos destinos turísticos mantienen los gastos
en agua y combustibles, de manera que el confundirlos con mantenimiento,
limita las posibilidades analíticas de la información.
El pronóstico de ingresos en los proyectos hoteleros debe efectuar se para cada
departamento operacional, lográndose el total por la acumulación de ellos. El
único que requiere indefectiblemente el proceso directo de estimación, es el de
hospedaje; ya que cuando se aplican coeficientes de relación (método
indirecto) se le toma como base abso luta para los respectivos cálculos.
Adoptemos el caso de un proyecto hotelero cuya dimensión alcance las 200
habitaciones disponibles y contemple la operación de otros departamentos
como alimentos, bebidas y servicios varios.
Para elaborar el pronóstico de ingresos en la división cuartos, requerimos de
tres informaciones previamente i nvestigadas y comprobadas: a) oferta que será
puesta en el mercado; b) porcentaje de ocupación previsto para alcanzar
durante el período analítico del proyecto11
y c) tarifas promedio considerando
temporalidades, grupos, promociones, etc., según los distintos tipos de
alojamiento en el estudio técnico-arquitectónico.
En este ejemplo, tal oferta ya ha sido precisada en 200 habitaciones diarias.
Sin embargo, no siempre el número de cuartos diseñados y construidos
corresponde a los que efectivamente se ofrecen en el mercado, pues debe
considerarse un porcentaje de reducción sobre aquellos, proveniente de las
habitaciones utilizadas por el estaf gerencial para usos privados y comerciales
o por las sujetas a un manteni miento mayor.
Los porcentajes de ocupación variarán en función de la situación que guarde el
mercado y, como se trata de una prospección, dependerán también del
conocimiento, experiencia y capacidad del técnico que los estima. Lo usual es
suponer niveles de ocupación menores a la competencia, en los primeros años
de operación, para incrementarlos paulatinamente hasta llegar a coeficientes
adecuados en un horizonte de 3 ó 4 años. El ritmo de ese incremento, el
porcentaje de partida y el de estabilidad dependerán de las expectativas
10
Property Operation, maintenance & energy costs.
11
Como se comentó, se extiende normalmente a 10 años.
106
ofrecidas por el mercado y el déficit que muestre el balance oferta-demanda
respectivo.
Buscando construir numéricamente nuestro ejemplo, estructuraremos dos
cuadros. El primeo (4.8), a partir de tarifas diferenciadas para una distribución
hipotética entre distintos tipos de habitación. El segundo (4.9) para la
presentación de un pronóstico de ingresos en el departamento de hospedaje
tomando en cuenta las variables de ocupación a lo largo del tiempo.
Como se observará en el cuadro 4.9 el pronóstico a diez años se hace a
precios constantes, según los valores del primero, por lo cual las
modificaciones en los ingresos resultan de incrementos reales en las ventas y
no por cambios monetarios de las tarifas a cobrar, hasta que se alcanza una
madurez en el mercado (6o. año), a partir de la cual se supone un porcentaje
de ocupación relativamente continuo.
Para estimar los ingresos en el resto de los departamentos, según el método
directo, habrá que identificar unidades de venta en cada uno de ellos y precios
unitarios promedio. Por lo que se refiere a las líneas de alimentos y de bebi das,
usualmente se miden con espacios disponibles y medias de consumo
respectivamente. El producto de ambos equivale al ingreso unitario. Sin
embargo, en estos casos tendrá que considerarse la rotación esperada por día
a fin de que se pueda calcular el ingreso departamental para cada año y
también la evolución de ocupaciones para establecer todo el pronóstico.
Cuadro 4.8
DETERMINACIÓN DE LOS INGRESOS, CONTEMPLANDO TIPOS DE HABITACIÓN Y
TARIFAS DIFERENCIALES EN LA DIVISIÓN CUARTOS
(proyecto hotel 200 habitaciones)
Tipos de
habitación
demandadas
Estructura
porcentual
1
Número de
habitaciones
Alojamientos
vendibles2
al
100% ocupados
anualmente
Tarifas diarias
promedio
dólares US
Ingresos anuales
al 100%.
Ocupación según
tarifa promedio
dólares US
Sencillas
Dobles
Suites
Total
35%
60%
5%
100%
70
120
10
200
25.500
43.800
13.650
-
180.00
110.00
130.00
-
2.044.000
4.818.000
474.500
7.336.500
Finalmente, el procedimiento directo para el último departamento operacional
llamado de otros servicios , suele ser demasiado complicado y poco
justificativo ya que engloba percepciones tan diversas como teléfono, valet,
estacionamiento, telex, etc. Hay excepciones, como la de los hoteles urbanos
muy importantes, cuya concepción implica trabajar la demanda local con base
en gimnasios, alquiler de piscinas, canchas deportivas, salones y semejantes
para los cuales el renglón de otros servicios merece estimaciones
1
Esa estructura porcentual se obtiene en el estudio de mercado de la situación que rige entre los
competidores más cercanos.
2
Suponiendo una operación corrida durante los 365 días del año.
107
particularizadas porque se amplía notablemente.
Ahora bien, resulta más común en los proyectos hoteleros emplear el método
indirecto que el método directo, sobre todo cuando se procuran las cifras de los
ingresos distintos al de hospedaje siempre y cuando se disponga de una
información correcta además de actualizada y de empresas similares, con el
propósito de ahorrar esfuerzos e investigaciones muchas veces i nnecesarios.
Según la firma Horwath International, en su publicación World Wide
OperatingStatistics of theIndustry, en 1974 los ingresos promedio de la
hotelería internacional se distribuían en la forma que aparece a continuación:
hospedaje 43.8%; alimentación 30.9%; bebidas 14.2%; otros departamentos
6.7%; otros ingresos 2.5% y alquiler de boutiques 1.9%12
En cambio, en México, según una firma asociada a la anterior, denominada
Maldonado y asociados , en 1979 la distribución de dichos ingresos totales en
el país era de 53.1% para hospedajes, 26.4% por venta de alimentos, 15.3%
por bebidas, 3.3% proveniente de otros departamentos menores y 1.9% de
rentas y otros ingresos.
De hecho, la estructura distributiva de los ingresos totales en la hotelería
cambian en una proporción importante para cada país y dentro de ellos en
cada plaza específica. Incluso se modifica temporalmente y por categorías.
Todo ello obliga, cuando se apliquen los coeficientes de relación en el método
indirecto, a contar con una información actualizada que provenga de empresas
muy similares a la estudiada.
Asumiendo que se dispone de tales indicadores, la elaboración de los
pronósticos de ingresos totales se simplifica de tal manera que, con la ayuda
de una computadora y con bases proporcionadas por los programas lineales,
pueden manejarse un gran número de alternativas hasta elegir la o las más
aceptables.
Continuando con el ejemplo utilizado y aplicando los coeficientes promedio de
la hotelería en México, estamos en condiciones de construir un pronóstico
global de ingresos para un proyecto hotelero mediante el método indirecto,
según lo expreso el cuadro 4.10.
Una vez más, debe reiterarse que el procedimiento indirecto tiene varios
problemas metodológicos, además de exigir una adecuada información. Entre
ellos destaca el suponer que los ingresos de alimentos, bebidas y otros
guardan una estrecha relación con los de hospedaje, semejante a la expresada
por los coeficientes utilizados. No obstant e, en algunos proyectos el hotel podrá
penetrar tanto en el mercado local, que se rompen dichas proporciones. Por
otro lado, no siempre los ingresos colaterales han de poder evolucionar al ritmo
que se tenía pronost icado para el hospedaje.
12
Véase Estudio metodológico de factibilidad hotelera, Centro de Altos Estudios, Universidad de Aix-en-
Provence, Francia.
108
En cualquier circunstancia, antes de elegir el método para elaborar los
pronósticos de ingresos, conviene estudiar las particularidades del proyecto de
manera que se logre una solución técni ca y económicamente satisfactoria.
Se apreciará en el cuadro 4.10 que después de alcanzar el subtotal
correspondiente a los ingresos de los departamentos operacionales, se anexa
un renglón llamado otras percepciones hasta llegar por acumulación a los
ingresos globales. Ese ordenamiento se debe a que exi sten ciertas entradas en
una empresa, como la hotelera, que no provienen de sus actividades normales
para las cuales fue creada. Podemos citar entre otras cosas el alquiler de
locales comerciales (negocio inmobiliario), así como también los rendimientos
financieros y operaciones de compraventa inmobiliaria.
109
Cuadro 4.9
PRONÓSTICO DE INGRESOS EN EL DEPARTAMENTO DE HOSPEDAJE SEGÚN
OCUPACIONES PROMEDIO EN EL QUE SE CONSIDERAN HABITACIONES Y TARIFAS
DIFERENCIADAS
(Miles de dólares US a precios constantes)
Años de operación pronosticados
Años - 1o. 2o. 3o. 4o. 5o. 6o. 7o. 8o. 9o. 10o.
%
ocupación
previsto
Ingreso
anual en el
departament
o hospedaje
100%
7.336.
5
55%
4.03
5
60%
4.401.
9
65%
4.768.
7
70%
5.135.
5
75%
5.502.
3
80%
5.869.
2
80%
5.869.
2
80%
5.869.
2
80%
5869.
2
80%
5.869.
2
Cuadro 4.10
PRONÓSTICO GLOBAL DE INGRESOS PARA UN PROYECTO HOTELERO DE 200
HABITACIONES
(Miles de dólares US a precios constantes)
Años
-
1o. 2o. 3o. 4o. 5o. 6o. 7o. 8o. 9o. 10o.
% ocupación
departamento
s
(53.1%)
habitación.
(26.4%)
Alimentac.
(15.3)
Bebidas
(3.3%) Otros
servic.
Total
Departamen.
Operacionales
(1.9%) Otras
Percepciones
Total ingresos
55%
4.03
5
2.00
6
1.16
3
251
7.45
5
145
7.60
0
60%
4.401.
9
2.188.
5
1.268.
3
273.5
8.132.
2
157.5
8.290.
7
65%
4.768.
7
2.370.
8
1.374.
0
296.3
8.809.
8
170.6
8.890.
4
70%
5.135.
5
2.553.
2
1.479.
7
319.1
9.487.
5
183.7
9.671.
2
75%
5.502.3
2.735.6
1.585.4
341.9
10.165.
2
196.8
10.362.
0
80%
5.869.2
2.918.0
1.691.1
364.7
10.843.
0
210.0
11.053.
0
80%
5.869.2
2.918.0
1.691.1
364.7
10.843.
0
210.0
11.053.
0
80%
5.869.2
2.918.0
1.691.1
364.7
10.843.
0
210.0
11.053.
0
80%
5869.2
2.918.0
1.691.1
364.7
10.843.
0
210.0
11.053.
0
80%
5.869.2
2.918.0
1.691.1
364.7
10.843.
0
210.0
11.053.
0
Si confundiésemos tales percepciones con los ingresos operacionales, se
obtendrían indicadores financieros equivocados, en cuanto a la futura eficiencia
operacional de la empresa.
Por último, es conveniente hacer cuatro aclaraciones más sobre la elaboración
de los pronósticos de ingresos.
Primera: aun cuando el pronóstico se desarrolle a precios constantes es usual
introducir para el primer año operativo precios y tarifas especialmente
promocionales con el fin de asegurar la penetración inicial en el mercado. Ello
110
reduce los volúmenes de ventas esper adas para dicho período13
.
Segunda: cuando los giros comerciales de una empresa, la estructura del
mercado al que se enfrenta a los controles oficiales de precios, no permitan
suponer que su administración elevará regularmente los precios de venta, en
relación directa o proporcional a los incrementos que sufran sus costos y
gastos operacionales, será necesario elaborar el pronóstico de ingresos a
precios corrientes. Ello exige trabajar con probabilidades para cada precio o
tarifa en los distintos departamentos e incluso con modelos estocásticos, dado
que los ritmos de inflación son poco pronosticables en nuestros días.
Tercera: se emplea habitualmente un lapso de 10 años como horizonte de
análisis, para establecer los pronósticos de ingresos, por las razones ya
comentadas en este apartado, pero es obvio que al cabo de ellos la entidad
propietaria de la empresa contará con diversos activos, los cuales podrá,
teóricamente, realizar en el mercado al undécimo año y obtener un ingreso final
adicional. Este último es de tal importancia que muchas inversiones turísticas
pueden llegar a justificarse en el plano financiero al reconocerlo.
Dicho ingreso se debe concebir como el último flujo de beneficios que el
proyecto ofrecerá a su propietario y se contabilizará como uno más en la serie.
Se podrán utilizar los precios previsibles de compraventa en el mercado o los
valores posdepreciativos que resulten de aplicar las tasas legalmente
establecidas, dependiendo de la holgura que cada inversión presente. A su
vez, deberá dár sele el mismo tratamiento utilizado para el resto de los ingresos,
según se hayan apli cado precios constantes o corrientes.
En el caso de existir pasivos por amortizar en el undécimo año (por créditos
hipotecarios a 15 o más años) se requerirá descontar a ese ingreso final,
llamado también valor de recuperación o salvamento, los montos de dichos
pasivos con el objeto de encontr ar la cifra neta del ingreso en cuestión.
Cuarta: cada proyecto, incluso en el área específica del turismo, obliga a un
tratamiento particular de sus ingresos y a un pronóstico cuidadosamente
estructurado, en función de sus particularidades, especialmente cuando se
observa la cercanía existente entre las inversiones turísticas y aquellas de corte
inmobiliario.
Pronóstico de costos y gastos operacionales
Los costos y gastos operacionales están constituidos por todas las erogaciones
periódicas a que la empresa se verá comprometida, con el fin de mantener su
funcionamiento. Se calculan para extensiones temporales uniformes a lo largo
de un horizonte analítico que usualmente abarca, como en el caso de los
ingresos, los 10 años.
En este enfoque, la diferencia conceptual entre costos y gastos está
determinada por el destino y la naturaleza de cada erogación, con base en un
principio económico. Se clasifican como costos a los egresos que una empresa
13
Dicha hipótesis no fue contemplada en el cuadro 4.10
111
realiza para adquirir los insumos físicos indispensables al interior de sus
procesos de producción, mientras los gastos se r efieren al resto de egresos por
cubrir, incluida la mano de obra, los indirectos, financieros e impuestos.
Las características de cada proyecto dan lugar a una organización contable
distinta y a la aparición de partidas específicas, en materia de costos y gastos.
No obstante, los rubros básicos pueden apreciarse en la que utiliza el
UniformSystem of AccountsforHotels, la cual mantiene la diferencia conceptual
mencionada en el párrafo anterior, pero la combina con su clasificación
departamental, según áreas operacionales y funcionales. Está claro que la
misma es aplicable a proyectos hoteleros, exigiendo fuertes adecuaciones para
otro tipo de inversiones. A pesar de esto último, su ordenamiento nos permite
observar la estructura general a la que obedece una pl antilla de costos y gastos
y sus posibilidades para elaborar un pronóstico.
En ese sentido, mencionaremos sus conceptos siguiendo nuestro ejemplo, así
como los coeficientes consignados en las estadísticas internacionales y las del
caso mexicano, a fin de ofrecer una idea sobre los parámetros que suelen
emplearse. Como se verá, algunos costos y gastos son sujetos de
agrupamiento, mientras otros deben considerarse en forma independiente
(contabilidad intermedia).
Las agrupaciones responden a las necesidades de la contabilidad analística ya
que asocian los costos y gastos por departamentos tanto operacionales como
funcionales.
De todos ellos, los únicos que incorporan insumos físicos en su proceso
productivo dentro de una estructura hotelera moderna son los departamentos
de alimentos, de bebidas y de otros servicios . Por lo tanto, el total de costos
se reparte entre ellos. El resto de los departamentos incurren, según la propia
metodología del UniformSystem sólo en gastos a l os cuales se l es subdivide en
sueldos y salarios reales y otros gastos .
Los sueldos y salarios reales se componen de la nómina prevista para cada
departamento, más los egresos que correspondan a las prestaciones sociales
que ella implique, conforme la legislación vigente en cada país14
. En México,
por ejemplo, se supone que alrededor de un 35% de dicha nómina debe
adicionarse para cubrir tales prestaciones. Este renglón comprende las
retribuciones a los trabajadores que tienen asignado un departamento
específico sin importar su jerarquía.
Los llamados otros gastos están compuestos por una serie de item
específicos que difieren según cada departamento. En el caso de la división
cuartos comprende aspectos como: 1. la adquisición continua de porcelana y
cristalería; 2. los productos de limpieza; 3. la decoración perecedera; 4. los
suministros a clientes (fósforos, jabones, papel higiénico, dulces, cremas de
baño, etc.); 5. la limpieza especial de artículos decorativos; 6. la adquisición de
blancos y lencería; 7. la papelería e impresos; 8. la lavandería en general; 9. la
adquisición de uniformes; 10. comunicaciones; y con particular mención; 11. las
14
Seguro Social, alimentos, retiro, vacaciones, vivienda, etc.
112
comisiones a las agencias de viajes y 12. los gastos de reservación, a pesar de
que estos dos últimos renglones podrían distribuirse entre el conjunto de los
departamentos operacionales o conformar un gasto indirecto adicional.
Para los departamentos de alimentos y bebidas se contabilizan en el renglón
de otros gastos , lo que se espera corresponderá por cada período a sus
respectivas erogaciones en 1. cristalería y porcelana; 2. decoración
perecedera; 3. productos de limpieza; 4. estacionamiento; 5. uniformes; 6.
limpieza y lavandería; 7. adquisiciones de blancos y lencería; 8. impresos y
papelería; 9. hielo; 10. suministros a clientes; 11. elaboración de menús; 12.
música y diversión; 13. comunicaciones y 14. diversos.
Para concluir con los operacionales, la línea de otros servicios , que incluye
aspectos como el teléfono a clientes; valet y telex, considera en la cuenta de
otros gastos rubros como contratos de mantenimiento, papelería e impresos,
uniformes y diversos.
La importancia del apartado otros gastos , en los departamentos funcionales,
también es decisiva ya que por su naturaleza ellos sólo enfrentan ese tipo de
erogaciones y las que les correspondan por sueldos y salarios reales .
En el área de administración y gestión general se adscriben a dicho apartado
las previsiones para cubrir: 1. seguros; 2. comisiones a tarjetas de crédito; 3.
diferencias de caja y cargos; 4. honorarios y descuentos; 5. gastos de
representación; 6. estímulos especiales; 7. papelería e impresos no asignados
departamentales; 8. suscripciones y asociaciones; 9. uniformes de
administración; 10. lavandería y limpieza en administración; 11. daños sufridos
por el cliente; 12. teléfono y telex no asignados; 13. trámites y 14. diversos.
Respecto al departamento de promoción y publicidad los llamados otros
gastos son fundamentales porque incluyen todo el material de apoyo a las
campañas promocionales continuas de la futura empresa, tales como: 1.
honorarios de agencias publicitarias; 2. instrumentos publicitarios en áreas
públicas; 3. impresos publicitarios en medios masivos y selectivos de
información (revistas, periódicos, guías, etc.); 4. radio, televisión y cine; 5.
gastos de representación; 6. gastos en eventos de relaciones públicas; 7.
publicaciones e impresos propios (folletos, carteles, etc.); 8. gastos de correo y
telégrafo; 9. material de oficina y 10. diversos.
Para el área funcional de energía, agua y combustibles los otros gastos
comprenden las erogaciones constantes de la empresa en líneas como el pago
de agua, los recibos generales de electricidad, gas y combustibles diversos, así
como el pago específico de facturas provenientes de empresas exteriores para
el suministro de tales servicios.
Por último, queda el departamento de mantenimiento cuyos otros gastos
incluyen partidas de cierto peso, por ejemplo, la adquisición de instrumentos,
herramientas y partes para reparaciones continuas y habituales, así como el
pago de servicios exteriores para mantener activos específicos como
elevadores, maquinaria pesada y otros.
113
Es necesario destacar el principio funcional en materia de proyectos que
justifica el apartado de otros gastos . Si bien, el mismo resultaría poco práctico
para la administración de muchas empresas hoteleras en su fase operativa,
para construir los análisis financieros en la etapa de pre inversión resulta de
gran utilidad ya que permite englobar una serie de pequeñas partidas, aplicar
coeficientes de relación y con ello elaborar pronósticos de mediano plazo.
Con la intención de clarificar a base de esquemas sencillos la estructura
propuesta de costos y gastos se ha elaborado la figura 4.11 que muestra su
distribución según los departamentos señalados por el UniformSystem.
La estructura a que da lugar el ordenamiento de costos y gastos presentado en
la figura 4.11 permite construir con cierta facilidad los pronósticos respectivos.
Las estimaciones pueden realizarse al igual que en el caso de los ingresos en
forma directa o indirecta.
En el primer caso (vía directa), las investigaciones son laboriosas y requieren
de un profundo conocimiento sobre el tipo de empresa en proyecto, debido a la
especificidad alcanzada por las múltiples cuentas incluidas en el apartado
otros gastos . En efecto, utilizando este proceso deberán detallarse variables
como los kilowats/hora que la empresa consumirá anualmente, así como sus
precios y la evolución de ambos, sólo por mencionar un aspecto aun cuando
cabría considerar múltiples renglones de gasto que irían desde el fluido de
agua, la adquisición periódica de cristalería, o los artículos cotidianos de
mantenimiento.
Cuando las características o importancia de una inversión lleguen a justificarlo,
cabrá pensar en el procedimiento directo. Sin embargo, es usual emplear el
llamado indirecto que se apoya en los estándares o coeficientes ya conocidos
cuya obtención ha sido posible gracias a la recopilación, tratamiento y análisis
que algunas firmas consultoras han efectuado sobre los estados financieros de
empresas hoteleras en funcionamiento.
Es cierto que el proceso directo permite llegar a mayores niveles de
confiabilidad, pero al mismo tiempo exige una intensidad de trabajo pocas
veces factible en un estudio de preinversión. El indirecto tiene todos los
inconvenientes de la generalidad, aunque sus posibilidades prácticas le
otorguen puntos decisivos a su favor.
A este respecto, será recomendable contar en el medio de la consultoría con
investigaciones constantes y adecuadamente diferenciadas para los distintos
tipos de inversiones, tanto en el campo del turismo como en otros. Las mismas
ofrecerían indicadores específicos, confiables y actualizados sobre las
estructuras de costos y gastos prevalecientes en las distintas empresas de
cada ramo.
114
Figura. 4.11
ESTRUCTURA CONCEPTUAL DE LOS COSTOS Y GASTOS
OPERACIONALES PARA LA ELABORACIÓN DE
PRONÓSTICOS EN PROYECTOS HOTELEROS
Figura 4.11
ESTRUCTURA CONCEPTUAL DE LOS COSTOS Y GASTOS
OPERACIONALES PARA LA ELABORACIÓN DE
PRONÓSTICOS EN PROYECTOS HOTELEROS
A manera de orientación se ha preparado el cuadro 4.12 que utilizando la
estructura ya descrita exhibe algunos coeficientes internacionales y nacionales
de referencia provenientes de hoteles con categoría también internacional en el
primer caso y variada en el segundo. Debe precisarse que tales indicadores
están, como es natural, en relación a determinadas variables absolutas de las
cuales dependen. Se destaca que los costos y gastos de los departamentos
operacionales (en porcentajes), guardan relación con los ingresos de su
correspondiente departamento; en cambio, los coeficientes de gastos en las
áreas funcionales se encuentran relacionados con los volúmenes globales de
ingreso.
Siguiendo el caso hipotético que adoptamos para mostrar en términos muy
simplificados la elaboración de un pronóstico de ingresos, podemos aplicar los
coeficientes mencionados en el cuadro 4.12 relativos a los promedios
nacionales de México, para construir a su vez un pronóstico de costos y gastos
departamentales.
115
Cuadro 4.12
COEFICIENTES SELECCIONADOS A ESCALA INTERNACIONAL Y
NACIONAL QUE CONFORMAN DISTINTAS ESTRUCTURAS
DE COSTOS Y GASTOS DEPARTAMENTALES
Costos y gastos departamentales %
Coeficientes
Internacionales
%
Coeficientes
nacionales(México)
Operacionales (% Ingresos del departamento) (1974) (1979)
Departamento habitaciones
Sueldos y salarios
Otros gastos
15.0
7 a 14
11.1
11.4
Departamento de alimentos
Costos 36.6 32.3
Departamento de bebidas
Costos 28.3 19.3
Departamento de alimentos y bebidas1
Sueldos y salarios
Otros gastos
33.2
8 a 15
23.0
15.6
Departamento otros servicios 3
Costos
Sueldos y salarios
Otros gastos
75.0
43.9
2.0
30.4
25.9
12.3
Funcionales (% a ingreso departamento)
Departamento de administración y gestión
Sueldos y salarios
Otros gastos
9.5
4.7
4.8
12.2
2
Departamento de promoción y publicidad
Sueldos y salarios
Otros gastos
3.4
0.8
2.6
4.32
Departamento energía, agua y combustible
Sueldos y salarios
Otros gastos
5.2
0.9
4.3
3.1
2
Departamento de mantenimiento
Sueldos y salarios
Otros gastos
4.5
1.9
2.6
7.1
2
1
Las estadísticas nacionales e internacionales no discriminan los coeficientes para sueldos y salarios y
otros gastos , según corresponda al departamento de alimentos y al de bebidas por separado, ya que
los unifican en estos renglones. Sin embargo, es previsible dado el nivel promedio de calificación
exigido habitualmente en el área de alimentos que la nómina de este departamento sea más alta que la
de bebidas, en la mayoría de los casos.
3
Obsérvese que, según las estadísticas internacionales, el departamento otros servicios tiende a dar
pérdidas, mientras que en México no sucede eso.
Fuente: PannellKerrForster ¬ Co., citado por Estudio metodológico de factibilidad hotelera, Universidad
de Derecho, Economía y Ciencias. Aix en Provence, Grancia. Maldonado y asociados , La industria
hotelera en cifras, México 1980.
2
Se ofrece sólo el coeficiente acumulado del departamento (en relación a ingresos totales), dado que la
publicación mencionada no los desglosa según sueldos y salarios y otros gastos .
116
Cuadro 4.13
ELABORACIÓN DE UN PRONÓSTICO DE COSTOS Y GASTOS DEPARTAMENTALES EN BASE A LOS
INGRESOS PREVISTOS PARA UN PROYECTO TURÍSTICO (HOTEL 200 HABITACIONES)
Años: 1o. 2o. 3o. 4o. 5o. 6o. 7o. 10o.
Conceptos (Miles de dólares US a precios constantes
-Ingresos-
Departamento de habitaciones
Departamento alimentos
Departamento bebidas
Departamento otros servicios
Ventas departamentos operario-
nales
Otros ingresos
Total ingresos
-Costos y gastos operacionales-
Departamento de habitaciones
Sueldos y salarios (11.1%% sobre
los ingresos del departamento)
Otros gastos (11.4% sobre los
ingresos del departamento)
(A) Utilidad bruta departamento
habitación el (77.5% sobre los
ingresos del departamento)
-Departamento alimentos y bebidas-
Costos
1
(29% sobre los ingresos del
departamento)
Sueldos y salarios (23% sobre los
ingresos del departamento)
Otros gastos (15.6% sobre los
ingresos del departamento)
4.035
2.006
1.163
251
7.455
145
7.600
447.8
459.9
3.127.3
919.0
728.8
494.3
4.401.9
2.188.5
1.268.3
273.5
8.132.2
157.5
8.290.7
488.6
501.8
3.411.5
1.002.4
795.0
539.2
4.768.7
2.370.8
1.374.0
296.3
8.809.8
170.6
8.980.4
529.3
543.6
3.695.8
1.085.9
861.3
584.1
5.135.5
2.553.2
1.479.7
319.1
9.487.2
183.7
9.671.2
570.0
585.4
3.980.1
1.169.5
927.5
629.1
5.302.3
2.735.6
1.585.4
341.9
9.965.2
196.8
10.162.0
588.5
604.4
4.109.4
1.253.0
993.8
674.0
5.809.2
2.918.0
1.691.1
364.7
10.783.0
210.0
10.993.0
644.8
662.2
4.502.2
1.336.6
1.060.0
719.0
5.809.2
2.918.0
1.691.1
364.7
10.783.0
210.0
10.993.0
644.8
662.2
4.502.2
1.336.6
1.060.0
719.0
5.809.2
2.918.0
1.691.1
364.7
10.783.0
210.0
10.993.0
644.8
662.2
4.502.2
1.336.6
1.060.0
719.0
1
Se establece el promedio ponderado de ambos departamentos
117
Cuadro 4.13. Continuación
Años: 1o. 2o. 3o. 4o. 5o. 6o. 7o. 10o.
Conceptos (Miles de dólares US a precios constantes
(B)Utilidad bruta departamento de
alimentos y bebidas (32.4% sobre
los ingresos del departamento)
-Departamento otros servicios
Costos (30.4% sobre los ingresos
del departamento)
Sueldos y salarios (25.9% sobre los
ingresos del departamento)
Otros gastos (12.3% sobre los
ingresos del departamento)
(C)Utilidad bruta departamento otros
servicios (31.4% sobre los ingresos
del departamento)
(U.B.O.) Utilidad bruta operacional (de
A, B y C)
-Gastos funcionales-
Gastos departamento administración y
gestión (12.2% sobre los ingresos
del total)
Gastos departamento promoción y
publicidad (4.3% sobre ingresos del
total)
Gastos departamento energía, agua y
combustible (3.1% sobre ingresos
del total)
Gastos departamento mantenimiento
(7.1% sobre ingreso total)
Suma de gastos funcionales
Utilidad neta operacional (utilidad
bruta de operación gastos
funcionales ¸otros ingresos)
1.026.9
76.3
65.0
30.8
78.9
4.233.1
927.2
326.8
235.6
539.6
2.029.2
2.348.9
1.120.2
83.1
70.8
33.6
86.0
4.617.7
1.011.4
356.5
257.0
588.6
2.213.5
2.561.7
1.213.5
90.0
76.7
36.4
93.2
5.002.5
1.095.6
386.1
278.3
637.6
2.397.6
2.775.5
1.306.8
97.0
82.6
39.2
100.3
5.387.2
1.179.8
415.8
299.8
686.6
2.582.0
2.988.9
1.400.2
103.9
88.5
42.0
107.5
5.617.1
1.239.7
436.9
315.0
721.5
2.713.1
3.100.8
1.493.5
110.8
94.4
44.8
114.7
6.110.4
1.341.1
472.6
340.7
780.5
2.934.9
3.385.5
1.493.5
110.8
94.4
44.8
114.7
6.110.4
1.341.1
472.6
340.7
780.5
2.934.9
3.385.5
1.493.5
110.8
94.4
44.8
114.7
6.110.4
1.341.1
472.6
340.7
780.5
2.934.9
3.385.5
118
Relacionado el cuadro 4.14 con el mencionado en el párrafo anterior, estaremos en
condiciones de alcanzar un primer esquema para la construcción de las cuentas
productivas que ofrece el estudio financiero de un proyecto específico, así como su
previsible generación de utilidades brutas, sea por departamento o conjuntas y el
rendimiento operacional de la empresa como un todo.
Ahora bien, los gastos operacionales de una empresa no se limitan a los que
analíticamente se clasifican en departamentos y que han sido mencionados. Existen
otros cuya presentación financiera es autónoma o no agrupada, siendo en su
mayoría de carácter fijo.
Se conoce co mo gastos fijos a todas las erogaciones cuyo monto no var ía durante el
horizonte activo de la empresa a pesar de que la misma experimente variaciones en
su nivel de producción o no están en función de él.
En contrapartida, las erogaciones variables mantienen una relación proporcional a
dicho nivel perteneciendo a esta categoría los costos de producción y algunos
gastos parciales.
Entre los gastos fijos por considerar se destacan: 1. las depreciaciones de activos
fijos y amortizaciones de intangibles; 2. los gastos financieros; 3. los seguros; 4. las
rentas y alquileres; 5. las franquicias. Completarían los gastos independientes o sin
asignación departamental, los impuestos a la renta de las empresas (ISR), el reparto
de utilidades a los trabajadores y las comisiones a las entidades operadoras.
Los seis tipos de egresos señalados en el párrafo anterior podrán apreciarse en su
articulación con el pronóstico de ingresos y con el de costos y gastos
departamentales (cuadro 4.13); en el apartado 4.8.6, cuando revisemos la
conformación de un estado de resultados o pérdidas y ganancias , ya que al
integrarse estructuran de hecho ese tipo de estados financieros a los cuales se les
denomina pro forma, en tanto se elaboran a base de proyecciones y no como
resultado de cuentas reales.
No obstante, abri remos algunas consideraciones sobre estos gastos aut ónomos, con
la única intención de poder manejarlos con mayor fluidez en el próximo apartado,
cuando comentemos l a utilidad de ciertos indicadores financieros que los emplean.
Depreciación de activos y amortización de intangibles
Contable y legalmente se encuentra aceptado que las empresas consideren a
manera de gasto, una partida para la reposición periódica de activos y la
recuperación de erogaciones previas efectuadas en intangibles. No obstante, en el
más estricto sentido financiero y económico este renglón constituye un flujo de
efectivo que en realidad se incorpora a las utilidades netas de la empresa y
asimismo de sus beneficios finales al cabo de cada período operativo.
De manera que si bien los montos consignados para cubrir la depreciación de
119
activos y amortizar intangibles aparecen como un egreso independiente en la
estructura general de estos costos y gastos dentro de un estado de resultados, con
posterioridad lo contemplaremos como fuente de efectivo en los análisis de
rentabilidad financiera.
Cuadro 4.14
ESTIMACIÓN SIMPLIFICADA DE LOS MONTOS ANUALES
POR CONCEPT O DE DEPRECIACIÓN DE ACTIVOS
Y AMORTIZACIÓN DE INTANGIBLES
Hotel de 200 habitaciones
(Miles de dólares US)
Concepto Inversión inicial
1
Tasa legal Monto anual por
depreciación y
amortización
Terreno
2
Construcciones
Equipo
3 y 4
Mobiliario y decoración
4
Subtotal
Depreciación
Gastos
Amortizables
5
Subtotal
Amortización
TOTAL
1.806
5.511
2.400
1.650
44
--
3%
20%
10%
10%
--
165.3
480.0
165.0
810.3
4.4
4.4
814.7
Los montos respectivos a considerar en cada período dependen de tres variables: 1.
los precios base para efectuar los cálculos correspondientes de los activos sujetos a
depreciación y el monto de los intangibles aceptables de amortizar; 2. las tasas
legales aplicables según los distintos activos y 3. los apoyos fiscales en materia de
depreciación.
1
Tratando de mantener el ejemplo desarrollado a lo largo del estudio financiero se han tomado las cifras del
cuadro 4.7
2
Como se sabe, el terreno no está sujeto a régimen legal de depreciación e incluso en algunos sistemas fiscales
está afectado por cargas impositivas a su revaluación.
3 y 4
En un caso real, deben desglosarse cuando así se requiera, los montos asignados a estas partidas, según lo
establezcan, las diferentes tasas legales de depreciación para cada tipo de equipo o mobiliario.
5
Los gastos preoperatorios susceptibles de amortizar se calculan en un 80% sobre el total consignado en este
renglón dentro del cuadro 4.7.
120
Como ejemplo, cabría suponer ciertos rubros y tasas para mostrar en forma
simplificada la estimación de las cifras correspondientes a este concepto en un caso
hipotético, como el desarrollado hasta el momento de manera que nos sirva para
construir más adelante un estado financiero pro forma.
Gastos financieros
Este tipo de egresos tiene dos etapas. La de preoperación, que fue desarrollada en
el punto 4.8.1.10, y la operativa que se describe en la presente sección dentro de la
estructura global de costos y gastos.
Los gastos financieros se originarán en el compromiso que la entidad promotora del
proyecto establecerá con organismos de crédito, para que éstos aporten una parte
de la inversión inicial, según lo establezca la propia estructura del capital
predeterminada en cada caso. Ahora bien, al obtener un crédito la empresa tendrá
que devolver al prestamista el monto del mismo a lo largo de un período
preestablecido más una suma adicional que representa, de hecho, el precio del
capital prestado.
Ese precio se traduce en un porcentaje (tasa de interés) respecto al monto adquirido
en préstamo, más el pago de las comi siones que rijan en su momento. Pues bien, en
el renglón de gastos financieros sólo se registran los egresos en que la empresa
incurrirá para pagar dichos intereses y comisiones, consignándose la devolución del
principal por separado.
Debido a que tanto los pronósticos de ingresos, como los de costos y gastos
corrientes, se elaboran anualmente dichos gastos financieros deberán consignarse
también en esa forma, no obstante que los intereses en cuestión se liquiden
mensual o trimestralmente.
Este renglón es de trascendental importancia en todo proyecto, ya que representa
una de las principales erogaciones de las empresas que se inician y con frecuencia
decide la factibilidad, rentabilidad y liquidez de una nueva inversión. En esencia, el
volumen de los gastos financieros depende de tres aspectos: 1. el monto del crédito
a contratar; 2. la tasa de interés y las comisiones por pagar (precio del capital) y; 3.
el régimen de amortización del principal obtenido.
Normalmente, el período de gracia o lapso en el cual el prestamista no exige pagos
al prestatario, es otorgado por aquél sólo en lo que se refiere a la devolución de su
monto prestado y no sobre intereses, dado que estos últimos se calculan siempre
sobre el capital no amortizado. Por lo tanto, no se considera como definitivo dicho
período de gracia para establecer los gastos financieros.
En todo proyecto deben manejarse distintas alternativas financieras hasta encontrar
aquélla que minimice este tipo de gastos dentro de un riesgo aceptable. Para ello
será necesario contemplar diferentes estructuras de capital y diversas fuentes
financieras, tanto nacionales como extranjeras, ya que suelen ofrecer tasas de
121
interés y regímenes de amortización disímiles.
A su vez, pueden encontrarse distintos encadenamientos para el pago de los gastos
financieros cuando se acumulan directamente a las amortizaciones del principal,
estableciendo en conjunto el llamado servicio de la deuda . Cuando este servicio
se cumple de manera uniforme, o sea, a base de erogaciones iguales durante todo
el horizonte de amortización, se suele ir de menos a más en la devolución del
principal con lo cual el pago de intereses resulta excesivamente elevado.
En cambio, en la amortización lineal o por pagos equivalentes del principal, se
bonifican los intereses sobre saldos insolutos. De esa manera se logra disminuir con
mayor rapidez los gastos financieros.
Un ejemplo sencillo sobre esta segunda opción, que a su vez nos permite observar
en forma rápida y esquemática el cálculo de tales gastos y lo respectivo para la
amortización del principal, aparece en el cuadro 4.15. Para ello empleamos la
estructura de capital descrita en el cuadro 4.7, suponiendo que finalmente el crédito
total se otorga en las mismas condiciones. De no hacerlo tendríamos que elaborar
distintos cuadros, según cada tipo de crédito.
Se asumen también los siguientes parámetros en la contratación del crédito: 1. tasa
de interés, 12% anual; 2. moneda en dólares americanos; 3. período de
amortización: 7 años; 4. período de gracia en amortización 3 años; 5. comisiones y
gastos varios incluidos en la tasa de interés y 6. Gastos financieros preoperativos
calculados por separado. El resto de las condiciones habituales se cumplirán
satisfactoriamente y de acuerdo a las determinaciones habituales de la fuente
financiera.
Los gastos financieros exigen su estimación directa, ya que aun cuando existen
porcentajes históricos al respecto, no son generalizables. Además, el peso de los
intereses en el cuadro de erogaciones es tan fuerte que debe analizársele por
separado y considerando las particularidades de cada caso.
Seguros
La operación normal de una empresa le exige actualmente una gran variedad de
seguros, los cuales comprenden distintas coberturas. Podría hablarse de los
generales, que cubren aspectos como el incendio, el robo o la destrucción parcial y
total de activos básicos y de específicos cuya protección se orienta a eventualidades
propias de la actividad como el seguro contra reclamaciones legales por enfermedad
surgidas de clientes en las áreas de alimentos y bebidas.
La estimación de los gastos totales en este renglón es relativamente laboriosa ya
que requiere elaborar un análisis particular sobre el caso, tomando en cuenta la
relación de activos, los niveles de cuotas en el mercado y las necesidades de la
empresa en relación al tipo de servicios que ofrece.
122
Por lo tanto, es usual manejar el procedimiento de coeficientes para el renglón de
seguros, obteniéndolos de unidades similares que se encuentran en funcionamiento
o por lo menos de los promedios que rigen en la localidad del proyecto. En ese
sentido, en el cuadro 4.16 se presentan algunas medias nacionales (México), de
1979, para dichos gastos, en función de los ingresos totales.
Cuadro 4.15
ESTIMACIÓN DE LOS GASTOS FINANCIEROS Y PAGO DEL PRINCIPAL
(PROYECTO HOTELERO)
Años
Operativos
Monto del principal
por amortizar
Gastos
financieros
Amortizaciones1
Servicio de
la deuda
(miles de dólares US)
1
2
3
4
5
6
7
5.609
4.807.7
4.006.4
3.205.1
2.403.8
1.602.5
801.2
673.08
576.92
480.77
384.61
288.45
192.30
96.14
801.3
801.3
801.3
801.3
801.3
801.3
801.3
1.474.38
1.378.22
1.282.07
1.185.91
1.089.75
993.60
897.34
1
El período de gracia en amortizaciones se habría consumido durante la construcción de la obra
Rentas y alquileres
Con frecuencia no es posible o rentable que una empresa adquiera en propiedad
todos los inmuebles necesarios para desarrollar sus actividades comerciales.
Asimismo, para ciertos proyectos deben pr everse requerimientos futuros en servicios
como estacionamiento, cuya satisfacción exija renta de terrenos o construcciones
adyacentes.
Algunas de las líneas que suelen comprometer recursos en este renglón son las
relacionadas como estacionamiento, cuyas actividades exigen ante todo oficinas de
reservas, representación, promoción y relaciones públicas.
En términos generales se habla de rentas cuando se adquier e en uso y disfrute, pero
no es propiedad, bienes muebles durante un corto o mediano plazo, mientras se le
denominan alquileres a ese tipo de adquisiciones para bienes inmuebles
generalmente a largo plazo.
Las cifras asignables a estos gastos en un proyecto pueden calcularse en forma
directa con cierta sencillez, aun cuando existen también parámetros al respecto que
pueden ser utilizados en sí mismos o mediante las adecuaciones del caso (cuadro
4.16).
Franquicias
Dado el nivel moderado de la tecnología que exigen habitualmente las empresas
123
turísticas, los gastos en franquicias se presentan por lo regular en el uso de nombres
reconocidos internacionalmente tanto en unidades hoteleras como en sitios de
campismo y similares.
El pago por usar el nombre que ostentan los establecimientos afiliados a una
cadena, no implica necesariamente que la empresa propietaria del mismo habrá de
operar la nueva inversión. En caso de hacerlo, además, o en sustitución de la
franquicia por la denominación, se tendrán gastos variables específicos destinados a
cubrir los servicios de la operadora.
Por lo tanto, las franquicias sólo se refieren a un gasto fijo en la mayoría de los
casos, consignable a la utilización de marcas o nombres de firmas.
Impuesto sobre la renta de las empresas (ISR)
Esta clase de gravamen recae sobre las utilidades finales de la empresa, una vez
deducidos de sus ingresos todos los costos y gastos antes mencionados más los
que correspondan a las entidades operadoras, cuando los mismos se estipulen
antes de impuestos.
Se fijan a base de índices o porcentajes establecidos legalmente en relación al
volumen de dichas utilidades, llegando en la mayoría de los países a proporciones
importantes como el generalizado 42% en el caso de México.
Reparto de utilidades a los trabajadores
Aun cuando depende de cada legislación, se consigna este tipo de erogación porque
opera en un gran número de naciones, como una conquista social de trascendencia.
La erogación respectiva para la empresa se fija como en el caso del ISR sobre el
volumen generado anualmente en materia de utilidades y corresponde en México al
8% de las mismas.
Comisiones a las entidades operadoras
El surgimiento de egresos por este concepto muestra la división, cada vez más
clara, en nuestros días, entre inversionistas y operador dentro de las empresas
turísticas. En efecto, las peculiaridades operativas y administrativas que requieren
estas últimas ha permitido que firmas especializadas se encarguen de hoteles,
restaurantes, transportadoras y similares sin que comprometan cantidades
considerables en su habilitación.
El pago de comisiones a las empresas operadoras tendrá que contemplarse en los
análisis financieros de un proyecto, cuando su empl eo sea indispensable o ventajoso
para los inversionistas dada la naturaleza de la entidad promotora, la situación del
mercado o la problemática del sitio seleccionado.
Es común que dichas comisiones se expresen en forma de porcentajes, aplicándose
124
tanto a las ventas totales como a las utilidades antes de impuestos sobre la renta.
No obstante, las especificaciones y los coeficientes concretos difieren según la
situación y la empresa operadora por contratar.
Cuadro 4.16
PORCENTAJES PROMEDIO DE ALGUNOS GASTOS INDIVIDUALES EN LA
HOTELERÍA MEXICANA EN RELACIÓN CON INGRESOS TOTALES
Gasto Acapulco
%
Cancún
%
México D.F
%
Nacional
%
Intereses
Depreciación
Impuestos
Seguros
Retas y franquicias
4.1
3.6
1.0
0.8
1.1
8.1
3.5
0.7
1.5
6.7
1.3
3.5
0.9
0.8
7.6
3.5
2.8
0.6
0.7
7.6
FUENTE: Maldonado y asociados. La industria hotelera en México, 1980.
Como un esfuerzo ilustrativo, en el cuadro 4.16 aparecen los porcentajes con
respecto a ingresos totales obtenidos por la firma Maldonado y asoci ados , en 1979,
en la hotelería comercial, relativos a los gastos individuales aquí mencionados. Se
anotan los financieros, las depreciaciones, los impuestos, los seguros, y finalmente
las rentas y franquicias.
Para que se puedan observar las diferencias, han sido consignados los que
corresponden tanto al promedio nacional como los de ciudades seleccionadas en
México.
La integración de los gastos comentados con los agrupados por departamentos y los
pronósticos de ingresos pueden apreciarse en el siguiente apartado, al interior de un
estado de resultados (véase cuadro 4.17).
Análisis sobre la posición financiera esperada
(PFE) del proyecto
Con los elementos financieros descritos hasta el momento (presupuesto y calendario
de inversiones, estructura del capital y pronósticos de ingresos, cosos y gastos)
estaríamos en condiciones de analizar a lo largo del tiempo, la posición financiera
que deberá alcanzar la empresa, así como sus rendimientos operacionales, su
capacidad de endeudami ento y sus expectativas de r ecuperación.
Sin embargo, para poder emitir juicios correctos en ese sentido y avalarlos con
indicadores específicos, será necesario trabajar con instrumentos contables y
financieros que al elaborar la información existente nos ofrezcan resultados
concretos sobre áreas tan importantes como los niveles de utilidades o pérdidas por
alcanzar, la liquidez esperada, los cambios en la estructura financiera, los grados
máximos y mínimos exigibles de producción, los volúmenes de beneficios netos, la
eficiencia de explotación, las posibilidades futuras de endeudamiento y otras que
125
tienen similar trascendencia.
En materia de proyectos se trabaja, por lo regular, con siete instrumentos básicos
que son: 1. el estado de resultados pro forma; 2. el balance pro forma; 3. el estado
de cambio en situación financiera; 4. el estado de origen y aplicación de fondos pro
forma; 5. el flujo de caja pro forma; 6. el sistema de punto de equilibrio y 7. las
razones o ratios financieros.
Debido a que esta obr a no tiene entre sus finalidades introducir al lector en el cuerpo
teórico de la contabilidad, de hecho le estaremos exigiendo una cierta familiaridad
con ellos y por lo tanto el haber desarrollado previamente los principios de esa
materia e incluso los fundamentos que rigen el estudio de las finanzas.
4.8.6.1 Estado de resultados proforma
Para la formulación de los proyectos, este instrumento contable es quizás el más
apreciado, efectivo e importante, no obstante que cada uno tiene su función en el
conjunto.
Como explicamos con anterioridad, se le denomina pro forma porque se construye
con datos estimados y para todo el horizonte temporal que establece la vida útil del
proyecto (10 años). Esta explicación es aplicable a los otros estados financieros.
Al estado de resultados se le conoce también con el nombre de pérdidas y
ganancias y tiene como objetivos centrales en el estudio de preinversión mostrar: 1.
los volúmenes y ritmos de ventas esperados; 2. la estructura de costos y gastos
consolidada, así como su evolución; 3. los montos y coeficientes de utilidades por
alcanzar tanto en el ámbito operacional como en sus resultados finales; 4. los
niveles de pérdidas y los períodos en que se presentan.
La utilidad del mismo depende, en gran medida, de la claridad y amplitud con que se
presente y sólo podrá manejársele y entenderlo cuando se estudia o practica en
forma detallada. Como un ejemplo del mismo hemos elaborado el cuadro 4.17, dado
que un caso concreto facili tará su comprensión.
4.8.6.2 Balance pro forma
La meticulosidad con que pueden regirse todas las cuentas históricas de una
empresa en el interior de un balance, es una de las ventajas técnicas que ha hecho
tan famoso este instrumento de organización contable en el medio de la
administración y las finanzas.
No obstante, esa misma característica limita su utilidad en la elaboración de
proyectos, debido a la naturaleza prospectiva de éstos. La misma obliga a manejar
los análisis financieros con un cierto grado de generalidad, de manera que proyectar
el comportamiento futuro de los renglones contenidos en un balance, no pasaría de
126
convertirse en un ejercicio aritmético, bastante laborioso por cierto, sí se pretende
alcanzar una alta desagregación durante el proceso.
127
Cuadro 4.17
ESTADO DE RESULTADOS PROFORMA (SIMPLIFICADO)
(Miles de dólares US precios constantes)
Conceptos 1o. 2o. 3o. 4o. 5o. 6o. 7o. 8o. 9. 10o.
Ingresos totales
1
Costos y gastos operacionales
2
Utilidad bruta operacional
*
Gastos funcionales
2
Utilidad neta operacional
Gastos financieros
3
Depreciación
4
(2.8% de ingresos
totales)
Seguros4
(0.7% de ingresos
totales)
Rentas, alquiler y franquicias
4
(7.6% de ingresos totales)
Total gastos no departamen-
tales
Utilidad antes de impuesto
sobre la renta y reparto de
utilidades a los trabajadores
5
ISR (42% de utilidad) y reparto
de utilidades a los traba-
jadores (8%)
Utilidad ( + ) o pérdida 8 - ) final
1
Véase cuadro 4.10
2
Véase cuadro 4.13
3
Véase cuadro 4.11
4
Véase cuadro 4.16
5
Impuesto sobre la renta y pago de utilidades a los trabajadores
* La utilidad bruta operacional no se encuentra por la diferencia directa entre los ingresos totales y los costos y gastos
operacionales, ya que aquella no considera los llamados otros ingresos porque no provienen de las actividades
normales de la empresa.
128
A su vez, la posibilidad de expresar la estructura financiera de la empresa a lo largo
del tiempo y en forma global, es un incentivo analítico lo suficientemente productivo
como para no desechar en su totalidad el uso del balance pro forma. El problema
radica por lo tanto en el grado de concreción con que se elabore.
Como se sabe, las cuentas básicas del mismo se agrupan en tres grandes
apartados que son: el activo, donde quedan registrados todos los recursos de que
dispone la empresa en un momento determinado; el pasivo, que consigna el total de
deudas contraídas y por pagar en la fecha prevista y finalmente, el capital, cuya
suma establece los recursos propios o de la empresa.
En su interior, el activo puede subdividirse en circulante (realizable a corto plazo); fijo
(de realización mediata con uso indirecto) y diferido. El pasivo, según sea exigible, a
corto plazo (hasta un año), a largo plazo (más de un año), o se encuentre diferido.
Por su parte, el capital se presenta en múltiples renglones que van desde el capital
social, las reservas legales, las utilidades acumuladas y otros.
Es obvio que un balance proforma exige una presentación vertical, a fin de poder
proyectar sus cuentas a futuro, pero se acostumbra desarrollarlo con intermitencias,
de manera que llega a expresarse año con año durante los primeros tres del
proyecto, pasando con posteri oridad al quinto y al décimo.
Con frecuencia se destaca entre el activo circulante las cuentas de efectivo, las
cuentas por cobrar y el inventario entre otros. Del activo fijo los rubros de inmuebles,
equipo y mobiliario, así como entre el pasivo de corto plazo las deudas con
proveedores y créditos cortos, siendo las cifras de los créditos hipotecarios las más
importantes en el pasivo de largo plazo.
Con la única intención de ofrecer una idea esquemática sobre un balance pro forma,
elaborado para el caso de un proyecto hotelero (500 habitaciones), se presenta el
cuadro 4.18, donde puede apreciarse el nivel de acumulación asignado a ls cuentas
respectivas. Por simplicidad, se incluyen solamente los tres primeros años de
operación.
4.8.6.3 Estado de cambio en situación financiera
En los análisis de preinversión este instrumento tiene un empleo limitado pero
valioso. Se construye por la comparación cuantitativa entre balances de años
distintos para apreciar la dirección y el monto de los cambios que se prevén en la
estructura financiera de la empresa.
En efecto, cuando se pr oyectan alteraciones de cierta importancia en rubros básicos,
como el pasivo de corto plazo, los inventarios, o los efectivos en caja y bancos, la
elaboración de un estado que muestre con claridad las modificaciones esperadas en
dicha situación, ayuda a estudiarlas y, en su caso, tr ansformarlas o justificarlas.
Suele emplearse sólo en los casos que exhiben y requieren cambios muy
129
destacados o cuando el análisis financiero pretende un tratamiento de cierta
profundidad en períodos clave. A manera de ejemplo, podríamos aplicar las cifras
del cuadro 4.18 en la elaboración de un cuadro si mplificado de este tipo (4.19.).
Cuadro 4.18
BALANCE GENERAL PRO FORMA
(Cifras en miles de dólares US a precios constantes)
Activo circulante
Caja y bancos
Cuentas por cobrar (neto)
Inventarios
Otros activos
Subtotal
Activo fijo
Terrenos
Edificios y construcciones
Maquinaria, mobiliario y equipo
Imprevistos
Menos: depreciación acumulada
Subtotal
Gastos de organización
Total
Pasivo circulante
Cuentas a pagar comercio
Pasivo fijo
Préstamos bancarios
Subtotal
Capital
Capital acciones
Utilidades
Subtotal
Total
Primer año
286
240
98
87
711
1.000
8.325
1.790
1.335
1.019
11.431
1.786
13.928
58
11.929
11.987
1.000
441
1.941
13.928
Segundo año
1.228
252
103
87
1670
1.000
8.325
1.790
1.335
2.038
10.412
1.340
13.422
61
9.941
10.002
1.000
2.420
3.420
13.422
Tercer año
2.638
264
108
87
3.097
1.000
8.325
1.790
1.335
3.057
9.393
893
13.383
64
7.953
8.017
1.000
4.366
5.366
13.383
En el cuadro se observa con nitidez un incremento decisivo en el renglón de caja y
bancos, quizás excesivamente elevado, mientras los otros activos prácticamente se
mantienen constantes. Ello invita al análisis para manejar alternativas que mejoren
eventualmente la situación financiera del proyecto.
Como se ve, son practicables una serie de inspecciones a partir de este estado que
enriquecen el estudio en su conjunto.
130
4.8.6.4 Estado de origen y aplicación de fondos pro forma
Este estado identifica y exhibe las fuentes de efectivo a las cuales la empresa
recurrirá y los destinos o usos que le dará al mismo, durante ciertos períodos
críticos, en el horizonte temporal considerado por el estudio.
Cuadro 4.19
ESTADO SIMPLIFICADO DE CAMBIO EN LA SITUACIÓN FINANCIERA
PARA LOS PERÍODOS DEL 2o AL 3o AÑO
(Miles de dólares US a precios constantes)
Conceptos Incrementos (+) o
decrementos ( - )
esperados
Variación porcentual respecto a
la cantidad de base
Activo circulante
Caja y bancos
Cuentas por cobrar (neto)
Inventarios
Otros activos circulantes
Subtotal
Activo fijo
Terrenos
Edificios y construcciones
Maquinaria, mobiliario y equipo
Imprevistos
Menos: depreciación acumul.
Subtotal
Gastos de organización
Total
Pasivo circulante
Cuentas a pagar comercio
Pasivo fijo
Préstamos bancarios
Subtotal
Capital
Total
+ 1.410
+ 12
+ 5
---
+ 1.427
--
--
--
--
1.019
1.019
- 447
- 39
+ 3
- 1.988
- 1.985
+ 1.946
- 39
115%
4%
5%
--
85%
50%
50%
- 33%
- 0.3%
5%
- 20%
- 19.8%
+ 57%
- 0.3%
Sus principales objetivos son: 1. demostrar que la estructura financiera proyectada y
la generación de utilidades prevista, son adecuadas como para solventar todos los
compromisos monetarios esperados y 2. estimar los niveles de liquidez que logrará
el proyecto en distintos períodos, así como la suficiencia de los mismos.
En el caso de este instrumento, lo pertinente es elaborado tanto para la fase
preoperatorio como para la de funcionamiento, ya que en el primer caso los
inconvenientes de liquidez pueden llegar a retrasar las obras, alterando los supuesto
de la inversión.
131
Es habitual que los períodos registrados en la fase constructiva sean como máximo
semestrales. En cambio, para la operativa lo común es ampliarlos a un año con un
análisis regular o intermitente a lo largo de los diez que usualmente comprenden la
vida útil del proyecto.
Las cifras para construir un estado de origen y aplicación de fondos se obtienen de
los correspondientes balances y estados de resultados ya que las fuentes de
efectivo son, en términos generales, cuatro: utilidades del ejercicio anterior,
incremento del capital, decremento de activos y/o incremento de pasivos.
A su vez, las aplicaciones o usos de tales fondos se clasifican en: incremento de
activos, decremento de pasivos, incremento o decremento de capital y amortización
de pérdidas en el ejercicio.
4.8.6.5 Flujo de caja ( cash flow ) proforma
En los estudios de preinversión, éste es el instrumento financiero que,
conjuntamente con el estado de resultados, ofrece la principal información de base
para calcular el flujo total de beneficios destinados al inversionista promotor.
Se construye a partir de los datos registrados en el cuadro de pérdidas y
ganancias , reajustando la ordenación de los valores hasta alcanzar la suma de
fondos que gener ará la inversión de cada periodo anual de operaciones.
A pesar de su nombre, no debe pensarse que el objetivo central de esta estado es
mostrar la liquidez esperada del proyecto, ya que para ello contamos con el cuadro
de origen y aplicación de fondos, ya que para ello contamos con el cuadro de origen
y aplicación de fondos, cuya estructura está di señada precisamente para cumplir con
tal finalidad.
La gran utilidad del flujo de cada proforma en materia de proyectos, radica en la
claridad con la cual nos presenta los beneficios finales que una inversión ha de
producir para la sociedad propietaria de la empresa a lo largo de un tiempo
predeterminado (10 años).
En términos generales, contiene los siguientes renglones:
Utilidades finales del ejercicio
+
Depreciación de activos y amortización de intangibles
+
Devolución de impuestos
-
Amortización o devolución de los principales obtenidos en forma de préstamo.
Flujo de caja
Para cada año, la utilidad final aparecerá en el estado de resultados una vez
deducidos los impuestos a la renta de las empresas y del reparto de utilidades a los
132
trabajadores.
Al monto de esa utilidad (o pérdida en su caso), se le incrementa la cifra asignada
legalmente por concepto de depreciación y amortización de intangibles, ya que en
realidad esta última no significa un egreso auténtico para la empresa como
contablemente se supone.
En efecto, aun cuando los activos van perdiendo gradualmente parte de su valor
inicial a través del tiempo y por su participación en los procesos productivos, al
comparar la inversión inicial con los beneficios que ella generará, sería incorrecto
excluir a los comprendidos en el rubro de depreciación porque no es
económicamente válido pretender una recuperación competitiva y mantener al
mismo tiempo los valores originales de los medios productivos adquiridos.
Asimismo, se contempla como un renglón adicional de beneficios la devolución de
impuestos , por cuanto que en algunos países con disposiciones fiscales
promotoras, la hacienda pública condona a la empresa inversionista el monto total o
un porcentaje dado de los impuestos pagados durante la construcción de las obras,
o de aquellos gravámenes indirectos que dicha empresa ha retenido de sus clientes
(IVA), durante su operación.
En la práctica, ello representa una fuente adicional de recursos para las empresas la
cual, durante los primeros años de funcionamiento, puede significar una ayuda
definitiva.
Por último, a la suma de los tres aspectos citados, se le resta el monto de las
amortizaciones destinadas al pago de los créditos contraídos, para llegar al flujo neto
de caja que expresa el beneficio anual enajenable por el capital de riesgo.
Un ejemplo en ese sentido puede observarse en el cuadro 4.20, construido sobre los
datos ofrecidos por el estado de resultados del cuadro 4.17.
En dicho ejemplo se observará que, debido al peso de la amortización o devolución
anual del crédito, el flujo de caja es negativo durante los dos primeros años de
operación, recuperándose paulatinamente a partir del tercero.
Detectado el problema, una posible solución sería el negociar la amortización total
de esos pasivos a un plazo mayor, quizás a 15 años.
4.8.6.6 Sistema del punto de equilibrio
Se conoce como punto de equilibrio al nivel de actividad y ventas en el cual los
ingresos de una empresa se igualan a sus costos y gastos totales. Será por lo tanto
aquél donde no se registren ni pérdidas ni ganancias.
En un estudio de preinversión permite fundamentalmente: 1. establecer la línea
mínima de ventas por obtener (en moneda o porcentaje de ocupación), según la
estructura financiera prevista; 2. relacionar los grados mínimos de venta señalados
en el punto de equilibrio con el comportamiento y expectativas del mercado; 3.
133
observar la formación global de costos y gastos, así como su incidencia en las cifras
de ingresos exigidas por el punto de equilibrio; 4. efectuar comparaciones iniciales
con empresas competidoras; 5. desarrollar ejercicios preliminares sobre la
sensibilidad financiera del proyecto, según el comportamiento de su punto de
equilibrio ante cambios en el volumen de sus gastos fijos, sus costos variables o sus
precios y 6. perfilar las áreas de actividad donde se pr esentarán tanto pérdidas como
ganancias para el proyecto.
Cuadro 4.20
FLUJO DE CAJA PROFORMA
Años
CONCEPTOS 1o. 2o. 3o. 4o. 5o. 6o. 7o. 8o. 9o. 10o.
Utilidad final
Depreciación
(-) Amortización
del crédito
Flujo de caja
416.2
212.8
-801.3
-172.3
532.4
232.1
-801.3
-36.8
650.1
251.4
-801.3
100.2
765.5
270.7
-801.3
234.9
842.3
284.5
-801.3
325.5
986.6
307.8
-801.3
493.1
1034.7
307.8
-801.2
541.3
1082.7
307.8
1390.5
1082.7
307.8
1390.5
1082.7
307.8
1390.5
Este instrumento exige la desagregación concreta entre costos variables y gastos
fijos a fin de poder obtenerlo. Existen además tres procedimientos para su
resolución, y elegir cada uno depende del caso concr eto que deseemos tratar.
En efecto, cuando las unidades físicas o de servicio que se lanzarán a la venta no
sean homogéneas y por lo tanto su precio unitario sea disímil, el punto de equilibrio
no podrá calcularse en nivel de actividad (o número de unidades necesarias a
vender para alcanzarlo). Ante esa situación, el punto se estima en unidades
monetarias o ventas, según la fórmula siguiente:
cv
GF
V
-
=
1
Donde: V repr esenta el nivel de ventas para alcanzar el punto de equilibrio
GF el volumen de gastos fijos y
cv la relación de los costos variables con las ventas
Pensemos en un caso sencillo, como sería el de una agencia de viajes cuyos gastos
fijos anuales sumasen $ 7850.000 y la relación guardada entre sus costos variables
y las ventas sean apenas de un 12%. ¿Cuál sería el volumen anual de ventas para
llegar a su punto de equilibrio?
134
Sustituyendo en la ecuaci ón, la respuesta se obtiene inmediatamente:
454.8920
88.0
000.7850
12.01
000.7850
=
=
-
=
V
V
V
De manera que en este ejemplo, la empresa en cuestión tendrá como indicador de
referencia un monto cercano a los $ 8921.000, que definirán el nivel de ventas
anuales necesario para encontrarse en punto de equilibrio.
En principio, cabría suponer que las ventas superiores a ese margen representan
ganancias. Sin embargo, debido a que los costos variables mantienen una
proporción con las propias ventas, todo incremento de éstas implica un crecimiento
de aquéllos.
En consecuencia, para determinar con mayor precisión el área de ganancias, habrá
que eliminar tales costos. Asumiendo, en nuestro ejemplo, que el pronóstico de
ventas para el año analizado se hubiese fijado en $ 12 500.000, el margen de
utilidades estaría dado por: $ 12 500.000 (0.12 x 12 500.000 + 8 921.000). El
resultado equivale a $ 2 079.000.
Como se mencionó, el punto de equilibrio es un instrumento básicamente
comparativo, ya que los renglones de utilidades se fijan con mayor ajuste a partir de
los estados de resultado proforma.
Ahora bien, cuando las unidades de venta son sufi cientemente uniformes, se emplea
una ecuación distinta, que se expresa de la siguiente manera:
)( pcvp
GF
X
-
=
Donde: X número de unidades necesarias a vender para alcanzar el punto de
equilibrio
GF suma anual de gastos fijos
p precio unitario de venta
cv relación de costos variables a precio unitario
A través de un ejemplo, el empleo de este método ha de clarificarse. Pensemos que
deseamos calcular el punto de equilibrio para la división cuartos en un proyecto
hotelero cuya capacidad alcanza las 200 habitaciones. Por otra parte, sus tarifas
pueden unificarse en un promedio de US $ 85 dólares y la suma anual de los gastos
fijos departamentales es de US $ 3125.000. Por último, la relación de costos
135
variables (o en este caso gastos) alcanza apenas el 5%.
Aplicando la ecuación del caso, tendríamos:
( )( ) ][ 8505.085
3125000
)(
-
=XPEq
Sin embargo, dado que el dato de tarifas (p), está dado por noche/habitación y los
gastos fijos en términos anuales, será necesario homogenizarlos temporalmente, de
donde:
3125000 / 360 = 8681
107
81
8681
485
8681
=
-
De manera que el punto de equilibrio en la división cuartos de nuestro proyecto se
alcanzaría cuando se ocuparan 107 habitaciones, que en porcentaje cabe aceptarlo
directamente como anual .
Si la plaza donde se ubicará el proyecto muestra coeficientes de ocupación
modestos (55 ó 60%) o las empresas competidoras parecen trabajar con puntos de
equilibrio más bajos que el encontrado, el resultado obtenido mediante este
instrumento nos destacará la pertinencia de verificar la estructura de costos y gastos
pronosticada, las tarifas promedio establecidas o incluso el tamaño elegido para la
división cuartos.
Figura 4.1
DETERMINACIÓN GRÁFICA DEL PUNTO DE EQUILIBRIO
136
Finalmente, tenemos la gráfica, por medio de la cual podemos identificar tanto el
nivel de actividad como de ventas que señalan el punto de equilibrio según los datos
del caso anterior. A este respecto puede observarse la figura 4.1.
4.8.6.7 Razones o ratios financieros
Algunos indicadores de uso habitual en el campo de la administración empresarial,
suelen emplearse para analizar y valorar las características asignadas a la
estructura financiera del proyecto.
Existe una gran variedad de ellos, ya que simplemente son coeficientes que indican
la relación existente entre dos variables seleccionadas y obtenidas de los propios
estados financieros. No obstante, mencionaremos sólo las más utilizadas en los
estudios de factibilidad, dado el tipo de información que ofrecen.
Ø Razones de liquidez. A pesar de contar con un estado cuya función esencial
es mostrar los niveles de liquidez esperados para el proyecto, sus resultados
no pueden ser fácilmente comparables con otros casos o con los promedios
vigentes en el sector económico que se trate. En cambio, ante la
generalización lograda por los ratios (en muchos países se publican en los
diarios especializados, por ramas económicas), dichas comparaciones
permiten análisis sencillos y fructíferos en esa área.
Por lo regular, se emplean dos clases de razones para identificar grados de
liquidez, contemplando un momento determinado de la empresa. En ambas,
su información proviene de los balances proforma. La primera se denomina
razón de circulante y se expresa:
Activo circulante
Razón del circulante = -------------------------
Pasivo circulante
Como es obvio, muestra la proporción existente entre los recursos disponibles
y realizables por la empresa a corto plazo, respecto a los pasivos que
eventualmente puedan ser exigidos a la misma, también en el corto plazo.
Un coeficiente unitario (1), significaría una relación aparentemente
equilibrada. Sin embargo, deben considerarse siempre las peculiaridades del
ramo, así como el lugar y la categoría en los cuales se desenvolverá la
inversión, ya que no puede calificarse en forma definitiva cada indicador en
particular.
Por ejemplo, mantener elevados volúmenes de r ecursos en términos de activo
circulante cuando el ramo donde se ubicará la inversión no lo ha exigido, ni
existen supuestos sólidos de que lo hará, sería limitar su aplicación en
destinos más rentables, contemplados en los renglones del activo fijo.
137
Por otra parte, tales coeficientes son instrumentos de aproximación a posibles
problemas financieros cuyo grado de detección es relativo y como tal deben
manejarse.
La segunda razón de liquidez se conoce como ácida porque es más estricta,
ya que del activo circulante sólo acepta como recursos realizables en el corto
plazo a los renglones de caja y bancos y cuentas por cobrar.
Su expresión es:
Caja, bancos y cuentas por cobrar (efectivo)
Razón ácida = -------------------------------------------------------------
Pasivo circulante
Ø Razones de endeudamiento. Este indicador llamado también palanca
financiera , relaciona el volumen total de pasivos que la empresa manejará en
un momento determinado, con el capital global de la misma. Gracias al
balance proforma, que es su fuente de información, puede estimarse para
diferentes situaciones. Se trata también de un ratio utilizable en análisis
comparativos. Suele empleársele en proyectos para reforzar conclusiones
sobre los grados de endeudamiento pronosticados y para observar las
alternativas de incrementar los créditos en el mediano o largo plazo.
Se expresa como sigue:
Pasivos totales
Razón de endeudami ento = ------------------------
Capital total
Ø Razones de eficiencia. A partir del estado de resultados proforma, pueden
obtenerse ciertos indicadores sobre los niveles de eficiencia previstos para la
empresa. Estos últimos contribuyen a evaluar, tanto el pronóstico de ingresos
como la estructura de costos y gastos concebi da.
Entre los principales ratios de eficiencia, cabría mencionar los siguientes:
v Ingresos departamento habitaciones/ingresos totales
v Ingresos departamento de alimento y bebidas/ingresos totales
v Ingresos departamento otros servicios/ingresos totales
v Costo de alimentos y bebidas/costos y gastos oper acionales
v Sueldos y salarios departamento habitaciones/sueldos y sal ario totales
v Sueldos y salarios departamento de alimentos y bebidas/sueldos y
salarios totales
v Sueldos y salarios totales/ingresos totales
v Otros gastos habitaciones/costos y gastos operacionales
v Otros gastos de alimentos y bebidas/costos y gastos operacionales
138
v Gastos de administración y gestión/ingresos totales
v Gastos de promoción/ingresos totales
v Gastos de ener gía, agua y combusti bles/ingresos totales
v Gastos de manteni miento/ingresos totales
v Utilidad bruta operacional/ingresos totales
v Utilidad neta operacional/ingresos totales
v Gastos financieros/ingresos totales
v Depreciación/ingresos totales
v Seguros y licencias/ingresos totales
v Rentas y alquileres/ingresos totales
v Franquicias/ingresos totales
v Comisiones a operadora/ingresos totales
v Utilidad final/ingresos totales
Como todas las razones financieras, las de eficiencia sólo refuerzan los análisis
específicos que se practican sobre cada estado proforma. Se emplean en
deducciones comparativas, una vez que se dispone de estadísticas fehacientes
surgidas de casos similares, siempre y cuando esos dat os estén actualizados.
A través de las mismas, se suele observar la coherencia y lógica financiera del
proyecto, brindándonos en muchos casos la oportunidad de detectar fallas evidentes
en forma rápida y sencilla.
4.9 ESTUDIO COMPLEMENTARIO
Por lo regular, los estudios de preinversión se limitan a integrar análisis de carácter
técnico, financiero y de mercado. Existen, sin embargo, otros elementos tan
importantes como aquellos cuya trascendencia llega a sobre determinar la viabilidad
de ciertas inversiones, bajo coyunturas específicas.
Nos referimos a la problemática legal, social, política, cultural y ecológica, que
envuelven a cada proyecto o se generan ante la presencia del mismo. Cuando el
análisis de factibilidad no alcanza con suficiencia tales aspectos, además de quedar
incompleto puede volverse contraproducente y riesgoso, ya que omite renglones
capaces de eliminar la realización de las obras.
Para no ampliar demasiado estos lineamientos metodológicos, nos referimos muy
superficialmente a las cuestiones citadas. En su presentación puede englobárseles
en un solo apartado al cual denominamos estudio complementario o estudiarlas por
separado. Todo dependerá de la trascendencia previsible de cada una en el
proyecto particular que se esté configurando.
Incluso, es habitual no profundizar dicho estudio cuando se trata de inversiones
pequeñas y medianas, de giros ampliamente conocidos y localizadas en áreas con
tradición turística, cuya receptividad a empresas del ramo ha sido probada. En
cambio, cuando nos encontramos ante proyectos innovadores, en zonas turísticas
139
relativamente inexploradas o cuyas obras comprometen elevados montos de
recursos, es conveniente investigar estos elementos con adecuada precisión.
4.9.1 Problemática legal
Tanto a los condicionamientos legales, como al resto de los contemplados en el
estudio complementario se les clasifica con el título de problemática. Ello se debe al
conjunto de variables y situaciones que deben estudiarse en cada caso, hasta
alcanzar un juicio en torno a las mismas, según faciliten, obstaculicen o impidan la
realización del proyecto.
La de carácter legal, implica una investigación adecuada sobre todo el cuerpo de
leyes, reglamentos, disposiciones y demás normas emitidas por las autoridades
competentes, cuya letra y/o espíritu se relacione con la ejecución y operación de la
empresa en estudio.
Deberá conocerse también, antes de emitir conclusiones definitivas, si se han
presentado conflictos con uso de argumentos legales, contrarios a la naturaleza del
proyecto o situaciones de hecho , no obstante que por derecho estuviesen fuera de
lugar.
Asimismo, cuando las particularidades de la inversión lo requiera, habrá que
desarrollar las propuestas legales pertinentes a fin de adecuar la legislación vigente
a sus necesidades y que el proyecto contemple la explotación de técnicas, procesos
o ideas sin los suficientes antecedentes.
En países como México, donde los absurdos y las yuxtaposiciones en el régimen de
tenencia de la tierra son crónicos y generalizados, esta problemática adquiere una
relevancia inusitada al interior de cualquier proyecto. A través de su análisis se
buscará identificar, no sólo los estrangulamientos, sino fundamentalmente las
soluciones que la madeja legal ofrezca.
4.9.2 Problemática social
Han sido ampliamente comentados los efectos sociales que suele provocar el
fenómeno del turismo, aun cuando se les confunde frecuentemente con los de
carácter cultural. A dichos efectos se debe el impacto que produce en cualquier
agregado humano el contacto de sus integrantes con personas que provienen de
otros lugares.
Estas últimas presentan pautas de comportamiento distintas e imponen ciertas
relaciones sociales que no siempre son benéficas para las poblaciones receptoras.
En materia de inversiones, el análisis sobre la problemática social se concreta a una
estimación general sobre los grados de rechazo o aceptabilidad que se esperan por
parte de los residentes, respecto al proyecto, así como de aquellos involucrados
directa o indirectamente por el mismo. Ello comprende tanto la fase constructiva
como la operativa.
140
No es difícil encontrar sitios cuyos atractivos turísticos son notables pero cuya
población original muestra una evidente resistencia a la instalación de equipamiento
turístico, en especial si se trata de instalaciones sofisticadas y de grandes
proporciones.
Muchos dirigentes o grupos dominantes de regiones aisladas saben que la aparición
de empresas turísticas importantes altera la estructura económica del área, así como
los niveles de precios tanto para los bienes de consumo como para la mano de obra.
Además, esto posiblemente puede ser lo que más les preocupa, tienden a modificar
las estructuras vigentes de poder.
Tales alteraciones pueden ser previstas y manejadas por dichos grupos para
promover las fuerzas sociales del lugar en contra de proyectos específicos. Ante esa
eventualidad, la fundamental es detectar la situación y las posibilidades de
contrarrestarla hasta el nivel que garantice la viabilidad de la inversión.
En otros casos, la problemática social se encuentra en el contorno físico, psíquico y
humano que encontrarían los trabajadores de la empresa tanto en su etapa de
ejecución como de funcionamiento y las complicaciones que el mismo presentaría
para asegurar una actividad laboral continua y normal.
Por lo tanto, cuando el tipo y la envergadura del proyecto lo justifique, será
imprescindible realizar investigaciones concretas sobre el posible comportamiento
de la población local y los trabajadores que involucrará la inversión a fin de detectar,
hasta donde sea posible, futuras manifestaciones sociales que impidan u
obstaculicen la marcha de la empresa.
4.9.3 Problemática política
Para evitar errores de interpretación, utilizaremos el término político en un sentido
restringido. Se referirá a las tendencias centrales de las personas y grupos en el
poder a nivel de un país o región de manera que sus decisiones concretas y
habituales responden a ellas, generalmente.
Según lo anterior, un proyecto específico tendrá mayores o menores grados de
factibilidad política dependiendo de la relación que guarden sus particulares
(localización, dimensiones, tipo, categoría, naturaleza, etc.) con las orientaciones
básicas que rigen en las instancias del poder.
La principal dificultad analítica, en este ámbito, radica en descubrir tales
orientaciones cuando no son suficientemente explícitas o se encuentran matizadas
por distintas presentaciones.
Algunos casos clarifican tales planteos. Por ejemplo, aislando un momento los
argumentos a favor y en contra de instalar casinos de juego en territorio mexicano,
es un hecho la inviabilidad política y no económica ni social ni cultural ni técnica que
141
todavía existe en este país para manejar ese tipo de proyectos.
Por otro lado, se sabe que de 1970 a 1976, aproximadamente, los grandes
proyectos turísticos en zonas apartadas de México, cuya habilitación requería de
enormes inversiones gubernamentales para infraestructura y equipamiento (como
Cancún e Ixtapa) gozaron de una gran viabilidad política a nivel federal. En los
últimos años, tales proyectos se enfrentan a una fuer te reducción de la misma.
4.9.4 Problemática cultural
En este campo se requieren también ciertas precisiones conceptuales que ayuden a
precisarlo. Se entiende por cultura, al conjunto de respuestas psicosociales y físicas
que todo conglomerado urbano produce para satisfacer sus necesidades tanto
individuales como grupales.
Históricamente, las agrupaciones humanas se han diferenciado en ese tipo de
respuestas (culturales) ya sea a través del tiempo, geográfica o espacialmente o
según sus posibilidades económicas (apropiación de la riqueza colectiva).
Ahora bien, cuando ciertas formaciones o capas sociales entran en contacto con
otras, tienden a transmitir y en algunos casos a imponer sus formas culturales con
resultados algunas veces positivos y otros negativos para quien las recibe o es
obligado a vivir y comportarse de acuerdo a ell as.
Los proyectos turísticos pensados en zonas aisladas, se convierten en vehículos de
contacto entre dichas formaciones y capas, generando con ello entrelazamientos
culturales. Cuando los grupos receptores son económica, técnica y globalmente más
débiles, tienden a verse dominados por quienes acuden a su lugar de residencia.
Esa dominación, si no se encuentra bien manejada o de hecho es negat iva dado que
las nuevas respuestas no obedecen o no se adecuan a las necesidades que
pretenden resolver, produce enfrentamiento cuyo nivel inmediato por alcanzar es el
social, y en este último la violencia suele ser común.
4.9.5 Problemática ecológica
Es lamentable que en la actualidad, cuando se han acumulado históricamente y se
encuentran en franco crecimiento acelerado los estragos de la acción humana sobre
el medio ambiente, todavía se elaboren proyectos que se asumen como
instrumentos de racionalidad y no se incluyan en los mismos, análisis ecológicos
específicos.
Es obvio que los efectos de cada inversión en el entorno natural del cual se sirve
dependan del tipo y monto de l a misma. Sin embargo, en los casos donde el impacto
ecológico sea evidente es necesario contemplarlo y buscar la menor depredación
posible e incluso eliminar aquellas obras cuya ejecución o funcionamiento atenten
contra el equilibrio físico del entorno.
142
Por desgracia, en la mayoría de los países, incluso desarrollados, no existen (o no
se respetan), legislaciones estrictas que impidan acciones negativas en relación a la
ecología de un sitio. Por lo pronto, queda apenas para impedirlas el buen juicio del
propio ser humano ya sea por intermedio de sus entidades gubernamentales, en
forma individual si se trata del ejecutor o a través del movimiento social directo.
En el caso de los proyectos turísticos debe tenerse muy en cuenta que éstos utilizan
como materia prima el atractivo turístico natural y quebrantarlo o destruirlo en
cualquiera de sus maneras, significa eliminar a largo plazo las posibilidades de
subsistir como empresa, además de coartar las potencialidades del sitio y alterar la
vida de muchas personas.
REFERENCIA BIBLIOGRÁFICA
· Baca Urbina Gabriel.- Evaluación de proyectos
· SapagChain.- Preparación y evaluaci ón de proyectos
· Apuntes.- Maestría en Planificación de destinos Turísticos
143
TERCER MOMENTO:
Evaluación financiera y socioeconómica de las
inversiones turísticas
OBJETIVOS
ü Analizar e interpretar los indicadores de la evaluación
financiera
ü Realizar la evaluación económica social aplicada a
proyectos turísticos
CONTENIDOS
6. Evaluación financiera y socioeconómica de las inversiones
turísticas
6.1 Introducción
6.2 El concepto de evaluación
6.3 Tipos de evaluación
6.4 Objetivos
6.5 Instrumentos básicos de la evaluación
6.6 Conceptos de base y casos de evaluación privada en
inversiones turísticas
6.7 Evaluación económica social
BIBLIOGRAFIA
Hernández Edgar.- Proyectos turísticos, formulación y
evaluación
SapagChain.- Preparación y evaluación de proyectos
Baca Urbina Gabriel.- Evaluación de proyectos
144
5. EVALUACIÓN FINANCIERA Y SOCIOECONÓMICA
DE LAS INVERSIONES TURÍSTICAS
6.1 INTRODUCCIÓN
Con la intención de complementar el acercamiento metodológico al problema de los
proyectos turísticos, cerraremos su esquema general mediante el capítulo de
evaluación.
Las derivaciones técnicas, económicas, sociales e incluso políticas que pueden
obtenerse a propósito de los procedimientos para evaluar inversiones, son tan
amplias que han dado lugar a numerosos estudios y seguirán haciéndolo.
En nuestro caso sólo pretendemos introducir al lector en los principios técnicos de la
evaluación financiera y socioeconómica; así como en las particularidades que
adoptan cuando se trata de proyectos turísticos.
A la evaluación financiera se le conoce también con el nombre de privada, en tanto
establece y analiza los beneficios netos que obtendría exclusivamente el factor
capital, al comprometerse en un proyecto específico.
En cambio, la evaluación socioeconómica, busca considerar la conveniencia de
todos los factores productivos (capital y trabajo) a ser incluidos en el proyecto
correspondiente, tomando en cuenta la problemática socioeconómica en la cual se
desenvuelven.
En el más amplio sentido del término, cuando se entra en la fase evaluativo habrá
que revisar todos los supuestos del proyecto, en especial los referidos al mercado, a
sus supuestos técnicos y a sus pronósticos financieros. Sin embargo, en los
ejemplos manejados dentro de este capítulo, se asume que dicha revisión ha sido
previamente efectuada, de manera que puedan realizarse los cálculos para
encontrar el rendimiento de la inversión, bajo grados aceptables de confiabilidad.
Posteriormente y para mejorar aún más el problema probabilística de las cifras,
cabrá utilizar instrumentos como los modelos estocásticos y las variantes de
sensibilidad.
6.2EL CONCEPTO DE EVALUACIÓN
La evaluación es la comparación de carácter económico que se efectúa entre las
ventajas y desventajas que resultan de emplear ciertos factores productivos en la
realización de un programa o de un pr oyecto de inversión.
Se le conoce también como análisis beneficio costo (b/c); esta aceptación técnica
es más exacta, dado que el término costo puede manejarse en forma tanto explícita
145
como implícita.
La evaluación puede efectuarse ya sea en función de uno solo de los factores
productivos a intervenir (regularmente se toma el capital) o tomar al conjunto
(evaluación socioeconómica). Asimismo, es susceptible de ejecutarse por
ponderación, según los efectos estimados que un progr ama pueda gener ar.
6.3TIPOS DE EVALUACIÓN
Evaluación
Privada o financiera Del proyecto en sí (rentabilidad del capital total
a intervenir)
Socio- económica Estimación de rentabilidad social
ponderación de los efectos socioeconómicos
6.4OBJETIVOS
Calcular, estimar o ponderar los beneficios netos privados y/o sociales que se
esperan como resultado de una inversión determinada.
6.5INSTRUMENTOS BÁSICOS DE LA EVALUACIÓN
6.5.1 Información
6.5.2 Mecanismos correctos
6.5.3 Indicadores
6.5.4 Juicio inicial
6.5.5 Marco macroeconómico y de planificación
6.5.6 Juicio definitivo, jerarquización y selección
6.6CONCEPTOS DE BASE Y CASOS DE EVALUACIÓN PRIVADA EN
INVERSIONES TURÍSTICAS
La evaluación de proyectos de inversión en turismo es una tarea que exige un
amplio manejo de las principales técnicas de evaluación económica, por un lado, y
por el otro, de un profundo conocimiento sobre las peculiaridades que tiene el
mercado turístico, el diseño y la localización de sus empresas y en especial sus
requisitos de orden financiero.
No obstante, todo ello es un problema menor, si lo compramos con la exigencia que
debe hacerse sobre el grado de seguridad que han de tener las informaciones sobre
las cuales se trabaja, así como de su confiabilidad. Como hemos mencionado dichas
informaciones provienen de los estudios definitivos de preinversión por lo que es de
gran importancia su correcta formulación.
146
Los métodos de evaluación se han desarrollado rápidamente en los últimos años,
casi en correlación con el mundo de las finanzas y la gama de posibilidades que se
le presenta al capitalista para localizar su dinero.
Figura 5.1
Presentación gráfica del mecanismo para la evaluación de inversiones
Hasta hace poco tiempo al evaluar las inversiones, se cometían graves errores
metodológicos, debido a que el criterio predominante para estos efectos era el
contable y no el económico.
147
Por ejemplo, si en los libros se asentaba que la depreciación era un costo para el
empresario, esto se mantenía en la evaluación, sin considerar las razones
económicas que justificaran este procedimiento.
En otros casos para el cálculo de la rentabilidad en un proyecto específico, se
recurría a los estados financieros y, sin trabajar o corregir su información,
simplemente, se le utilizaba en forma directa para emitir juicios sobre la inversión.
De esta manera, si cualquier individuo decidía emplear su capital en un proyecto
de éste le rendía un beneficios relativamente mayor que el mejor interés bancario en
el mercado, aparentemente en sí misma esta acción podría ser correcta.
Sin embargo, la manera como en muchos casos se estimaba el rendimiento de las
empresas era mediante la tasa contable de rentabilidad, lo que hacía que no se
considerara el valor cronológico del dinero y sobre todo su costo de oportunidad.
Dicha tasa resultaba, de dividir la utilidad neta que se encontraba al final de los
estados financieros de resultados, entre el capital propio invertido por el
empresario.
6.6.1 Valor cronológico del dinero
Este concepto se sustenta en dos elementos: el riesgo y la utilización rentable del
capital. El primero actúa bajo ciertos límites como indicador de las posibilidades
entre éxito o fracaso y depende fundamentalmente de la objetividad con que hayan
sido formulados los estudios definitivos de preinversión o, en todo caso, de la forma
como venga oper ando una empresa y los fundamentos que den lugar a la decisión.
En la mayoría de las inversiones, es evidente que siempre existe mayor riesgo
cuando los ingresos de un inversionista están distantes en el tiempo que cuando lo
están en un horizonte temporal relativamente corto. Por lo regular cualquier persona
que invierte en un proyecto o en una empresa consolidada, prefiere a cantidades
iguales de ingresos, recibirlos lo más pronto posible.
Cuando los tienen que recibir a largo plazo impone un coto al riesgo de esperar por
un tiempo mayor.
Ejemplo: si el inversionista A tiene que elegir entre dos proyectos diferentes (X1 y
X2) analizará las formas cómo éstos le prometen sus ingresos. Si X1 le devuelve su
inversión más el 20% de utilidad, A exigirá que X2 por lo menos, le dé más que el
20% de utilidad, ya que el riesgo es mayor al tener que esperar cuatro años en lugar
de dos.
El segundo elemento (la utilización rentable del capital) es aún más contundente y
definitivo como argumento para tomar en cuanto el valor cronológico del dinero al
analizar una inversión.
Tomando el ejemplo anterior, podemos decir que el inversionista A cuando está
analizando los proyectos X1 y X2 pensará así:
148
Si invierto en X1, y este proyecto me devuelve mi inversión más el 20% en dos
años, ese capital que obtenga podré colocarlo en valores bancarios y ganar un
interés .
Si invierto en X2, mi inversión le recuperaré hasta dentro de 4 años, de manera que,
si los dos me dieran el mismo ingreso estaría perdiendo el interés bancario que gano
con X1 entre el año 2 y el año 4.
En cambio si X2 me da más utilidad que X1, y la diferencia supera o por lo menos
iguala al interés bancario que ganaría entre el segundo y el cuarto año, escogeré
X2.
Es obvio entonces que le inversionista preferirá el proyecto que recupera más rápido
su dinero, debido al riesgo que implica esperar y a la utilización contable que puede
hacer de los ingresos que recibe, siempre y cuando el proyecto que le promete una
recuperación más tardía no le dé un porcentaje de utilidad tal que compense y
supere el riesgo y la utilización rentable que el inversionista pueda efectuar.
6.6.2 Costo de oportunidad
Ya hemos dicho que en la actualidad existen para quienes han podido acumular
capital, diversas alternativas o posibilidades económicas de invertirlo de tal manera
que les produzca una utilidad o beneficio; su alternativa básica o mínima es meter el
dinero en el banco , lo que además implica uno de los menores riesgos.
Por lo tanto, todo capital tiene como alternativa la tasa de beneficios o interés que le
ofrezca el banco; la decisión dependerá de varias circunstancias como montos,
plazos, etcétera.
En este sentido cualquier capital que piense invertirse en un proyecto determinado,
tendrá un costo de oportunidad, o sea, un costo por no emplearse en la mejor
alternativa que deseche ante una decisión. El proyecto en cuestión deberá,
necesariamente, tener una rentabilidad mayor a la que presenta el costo de
oportunidad del capital en un momento y sitio determinado, para que sea bueno
desde el punto de vista del propietario de dicho capital y se decida a invertirlo en
esta opción.
Al recurrir a una situación sencilla podemos dejarlo aún más claro. Pensemos que el
ingeniero Roberto García ha logrado ahorrar $ 500.000.00 dólares US y quiere
invertirlos en algún negocio productivo. Encuentra un socio y deciden instalar un
pequeño hotel en una playa cercana a un centro turístico de expansión. Al hacer los
estudios respectivos se encuentran con que las informaciones condensadas en el
estudio financiero tienen que evaluarlas, para finalmente conocer la rentabilidad que
les promete el proyecto en estudio.
Dicha rentabilidad tendrá que superar el costo de oportunidad que tiene el capital
con el cual se ha de construir el hotel.
149
El costo de oportunidad en este caos será la tasa de interés que el ingeniero García
obtenía en el banco. El proyecto deberá por lo menos superarla.
Si existiese un proyecto industrial, además del hotel, que le ofreciera una tasa de
ganancia mayor que el interés que le propone el banco, entonces el nuevo costo de
oportunidad del capital para el ingeniero García sería el equivalente a la tasa de
ganancia del proyecto industrial.
Estamos ahora en condiciones de tratar de definir lo que entendemos como costo de
oportunidad:
Como puede verse, por la definición anterior, el concepto de costo de oportunidad
rige para todos los factores productivos y no sólo para el capital, o sea, es adecuado
utilizarlo en la evaluación social de proyectos para la fuerza de trabajo, la tierra y
como caso especial las divisas por ser este último elemento crucial en el desarrollo
económico de los países subdesarrollados. En su ausencia tanto los recursos
naturales como las divisas son formas de capital en todo sistema capitalista.
Aclarados los dos conceptos básicos en la evaluación económica ( valor cronológico
del dinero y costo de oportunidad ) podemos retomar nuestra crítica a la tasa
contable de rentabilidad.
Pongamos un pequeño ej emplo:
Existen tres proyectos que compiten entre sí y cuyos estudios financieros nos
describen sus flujos de efectivo en los siguientes términos:
Flujos efectivo (miles de dólares)
Concepto Años Proyecto A Proyecto B Proyecto
C
Inversión
Flujos de efectivo
0
1
2
3
4
5
6
2.000
500
500
500
500
500
500
2.000
800
600
500
500
300
300
2.000
1.200
800
500
300
100
100
Total inversión proyecto A B y C = $ 2.000.000
Total flujos proyectos A B y C = $ 3.000.000
Ingreso promedio
Tasa contable de rentabilidad = ------------------------
Inversión
500.000
Proyecto A = ------------------------ = 25%
2.000.000
500.000
Proyecto B = ------------------------ = 25%
2.000.000
150
500.000
Proyecto C = ------------------------ = 25%
2.000.000
Según la tasa contable de rentabilidad cualquiera de los tres proyectos puede ser
elegido pero ¿son realmente iguales? ¿Es efectivamente indiferente invertir en
cualquiera de los tres?
Desde luego, la respuesta es no; ya que como hemos mencionado es muy
importante la estructura financiera de cualquier proyecto, a cantidades iguales de
ingreso, el proyecto que recupere más rápido la inversión tendrá al final mayor
rentabilidad efectiva.
En nuestro ejemplo deberíamos elegir C , debido a que los mayores ingresos están
ubicados en los primeros años de operación y eso equivale, por un lado, a un menor
riesgo para el inversionista y, por el otro, a una más alta utilidad, en tanto el
propietario puede ir localizando sus gananci as a interés bancario (utilización rentable
del capital) lo que en la práctica equivale a mayores ingresos totales.
6.6.3 Valor presente neto
Ahora bien, si la llamada tasa contable de rentabilidad no es un indicador correcto
para estimar el rendimiento al capital en una inversión determinada, entonces, ¿qué
indicadores podemos utilizar para ello?
Presentemos uno: valor presente neto. Este indicador nos muestra el monto de
beneficios reales que un proyecto aportaría al inversionista privado y considera tanto
el valor cronológico del dinero, como su costo de oportunidad. En el presente trabajo
lo abreviamos V.P.N.
Lo definiríamos como: la cantidad absoluta que resulta de deducir a la suma de
ingresos netos actualizados, el total de inversiones actualizadas.
6.6.3.1 Expresión del indicador
V.P.N. = flujos de efectivo actualizado inversiones actualizadas
Por lo tanto el indicador será un número absoluto (la cantidad de beneficios o
pérdidas) y la comparación entre proyectos sólo podrá efectuarse observando cuál
tiene la cantidad mayor o menor, según sean utilidades o pérdidas, con el empleo
de un mismo costo de opor tunidad para todos.
Como es obvio las inversiones, en tanto egresos o salidas para el inversionista, se
inscriben con signo negativo, mientras que los flujos de efectivo lo harán con signo
positivo. Cuando la cantidad que resulte tenga signo positivo, el V.P.N. mostrará un
resultado satisfactorio, en caso de ser negativo será lo contrario.
151
Ejemplo
V.P.N. = + 10.500 10.000
V.P.N. + 500
O bien:
V.P.N. = + 12.000 13.000
V.P.N. = - 1.000
Sin embargo, hemos dicho el V.P.N. toma en cuenta el costo de oportunidad para el
capital y el valor cronológico de los lujos de efectivo, intentaremos describir el
método que sigue para hacerlo.
6.6.3.2 Método de obtención
a) Tanto las inversiones como los ingresos netos se actualizan.
b) Al actualizar los flujos de efectivo se toma en cuenta implícita y explícitamente
el costo de oportunidad y el valor cronológico.
c) Para · actualizar , los flujos de efectivo se llevan todos ellos a un mismo año,
para que todos tengan el mismo valor cronológico .
d) Para llevarlos a un año se descuentan o revalúan según el caso, hasta darles
un valor que represente lo que realmente valdrían en ese año1
en función de
su aplicación rentable en otros usos.
e) Para llevarlos a un año determinado o actualizarlos (si es que se traen de un
año o período futuro el año en que se ini cia la serie de flujos), se usa una tasa
de descuento que simboliza o representa la mejor alternativa con que cuenta
el capital o sea, su costo de oportunidad.
f) La tasa de descuento al capital que se utiliza en un proyecto concreto debe
ser igual a la rentabilidad que dicho capital obtendría realmente de no
localizarse en el proyecto según puede comprobarse en el mercado y se le
demoniza tasa relevante .
6.6.3.3 Manera de actualizar los flujos de efectivo
Es muy sencilla, simplemente se multiplican por un factor de actualización, que es el
inverso del factor del interés compuesto.
La idea que lo sustenta es simple, ejemplifiquemos:
Si tenemos un capital en este momento y queremos prestarlo ganando un interés
anual, obtendremos después de un lapso determinado cierta cantidad. Este monto
futuro dependerá de tres elementos:
v Capital presente
v Tasa de interés
v Años o periodos en que se mantiene ganando interés.
Por supuesto que se supone que localizaremos nuestro dinero a interés compuesto
1
Estamos haciendo caso omiso por completo de la inflación, sólo estimamos dicho valor a partir de la utilización
rentable de los flujos financieros.
152
o sea aquél en el que no sólo el capital que tenemos gana interés, sino además lo
obtenemos también sobre los intereses que vamos ganando peri odo tras periodo.
De los elementos citados, los dos últimos se expresan para su aplicación en
matemáticas financieras y en múltiples transacciones mediante un factor de interés
compuesto de la siguiente manera:
(1+i)n
Donde:
i= tasa de interés
n= periodos en que se gana el interés
Resulta así que para conocer el capital futuro, puesto a interés compuesto durante
un periodo de n años tendremos simplemente que multiplicarlo por este factor.
Capital futuro = Capital presente (1+i)n
Ejemplo:
Invertimos $ 10.000 al 12% de interés anual durante 6 años y queremos cuándo
tendremos al finalizar el sexenio.
Capital futuro = 10.000 ( 1+0.12)6
Capital futuro = 10.000 ( 1.94)
Capital futuro = 19.500
Manteniendo el razonamiento anterior, si lo que conocemos son los capitales futuros
(dadas las proyecciones financieras del proyecto) y queremos saber su valor
actual 2
tendremos respectivamente que multiplicarlos por un factor de actualización.
Como suponemos que todo capital es susceptible de ganar interés compuesto, al
actualizar los capitales futuros tendremos necesariamente que considerarlos y por lo
tanto el factor de actualización será precisamente el inverso del factor de interés
compuesto. Esto se escl arece en la siguiente expresión:
Capital futuro = Capital presente (1+i)n
Si queremos saber el capital presente tendremos que:
n
I)1(
1
+
Capital futuro = Capital presente
Por lo tanto, factor de actualización = n
I)1(
1
+
Utilicemos el ejemplo anterior para lo que asumimos que hemos proyectado nuestro ingreso futuro en
el año sexto y queremos saber cómo se expresa esa cantidad actualizada .
2
Inclusive si los tuviéramos expresados en documentos podríamos, a través de ellos, obtener en este momento
el ingreso descontado respectivo.
153
Capital presente = Capital futuro = n
I)1(
1
+
Capital presente = 19500 = 6
)12.01(
1
+
6
)12.01(
1
+
= 0.5128
19.500 (0.5128) = 10.000
Capital presente = 10.000
6.6.3.4 Ejercicios de aplicación
Veamos la manera de obtener el valor presente neto por medio de un ejercicio:
Fórmula:
V.P.N. = Flujo efectivo actual Inversiones actualizadas
Ejemplo:
Plan de inversiones (miles de pesos)
Factor de actualización
*
Años Montos (Tasa relevante:12%) Inversión actualizada
0
1
2
3
600
800
700
500
2.600
0
(0.8929)
(0.7972)
(0.7118)
600
714
558
356
2.228
*
El factor de actualización se obtiene en las tablas financieras , sólo debe definirse el período y la tasa de
interés. Esta última será aquélla que represente el costo de oportunidad del capital, para el caso concreto de
que se trate.
154
Pronóstico de flujos o cada
(Miles de pesos)
Años Montos Factores Montos
Actualizados (12%) actualizados
3
4
5
6
7
8
300
600
600
600
600
600
(0.7118)
(0.6355)
(0.5674)
(0.5066)
(0.4523)
(0.4039)
213
381
340
303
271
242
Suma 3300 1750
V.P.N. = 1.750 2.228
V.P.N. 478
Conclusiones:
a) El V.P.N. es negativo, por lo tanto el proyecto no deberá realizarse, ya que su
costo de oportunidad es mayor, o sea localizar el capital en el banco al 12%
nos daría mayores utilidades que este pr oyecto.
b) Si usáramos la tasa contable de rentabilidad, esto es, dividiéramos el ingreso
promedio anual (550.000) entre la inversión total (3.300.000) tendríamos un
índice equivalente al 16.67%, el cual al se mayor que 12%, aparentemente
aconsejaría invertir en el proyecto, y esto sería un gran error.
c) En realidad el inversionista no tiene que invertir en este proyecto $ 2600000,
como podría pensarse observando el plan de inversiones; sólo tiene que
invertir $ 2.280.000, ya que las cantidades no invertidas el primer año puede
localizarlas a interés bancarios del 12% mientras no las utiliza y de esta
manera reducir sus inversiones reales.
6.6.3.5 Métodos para el cálculo del V.P.N. según la serie de flujos financieros
No todos los proyectos tienen el mismo tipo de estructura financiera, algunos tienen
flujos iguales durante un cierto periodo, mientras en otros son totalmente diferentes.
En ocasiones, el horizonte de tiempo durante el cual se manifiesta es tan amplio que
presenta serios problemas de cálculo y en otras el peri odo de operación es limitado.
Mencionaremos solamente algunos tipos de los que con mayor frecuencia se
presentan en proyectos conectados con programas de turismo.
v Series finitas uniformes. Es el caso de las inversiones cuya recuperación se
da en flujos iguales y abarca un lapso identificable.
v Series finitas no uniformes. Se trata de la misma situación que el anterior, sólo
que los flujos son totalmente diferentes unos de otros.
v Series infinitas no uniformes. En estos casos los ingresos por la inversión
además de ser diferentes entre sí, se prolongan por un periodo tan amplio (15
155
años o más) que para facilitar su estimación pueden tratárseles con un
método especial. En turismo algunos proyectos importantes deben ser
incluidos en este tipo de inversiones.
Antes de finalizar algunos casos hi potéticos sencillos que ilustren la aplicación de las
metodologías del V.P.N., para estas diversas posibilidades y en proyectos de
turismo o conectados al sector, es necesario mencionar algo más sobre el uso de
este indicador.
En primer lugar, el V.P.N., es una cantidad absoluta y para usarla como punto de
referencia con el cual comparar proyectos, es indispensable someter a todos los
casos en análisis a la misma tasa alternativa .
En segundo lugar, existen muchos proyectos que están emprendidos como tales
dentro de programas integrales y sólo al interior de dichos programas es correcto
evaluarlos y no en sí mismos. Lo anterior implica que antes de decidir en función de
un indicador de este tipo de requiere observar el contexto en el cual se entienden los
proyectos y únicamente usarlo cuando procede dentro del marco general.
En este sentido podemos adelantar una pequeña clasificación a fin de que se
considere cuando se están eval uando proyectos de turismo.
Existen:
Proyectos alternativos: son aquéllos que se contraponen (uno o el otro) física o
financieramente (disponibilidad de recursos).
a) Absolutamente alternativos
b) Parcialmente alternativos
Proyectos complementarios:
Son aquéllos que se integran en un conjunto sirviéndose unos de otros, ya sea en
forma biunívoca, lineal o múltiple.
a) Absolutamente complementarios o interdependientes. Son aquéllos que se
requieren entre sí necesariamente.
b) Parcialmente complementarios.
6.6.3.6 Casos de aplicación
a) Series finitas uniformes
Supongamos un proyecto que por sus características ha de tener una vida útil
limitada.
Ejemplo 1
No localizamos en un polo de desarrollo turístico que comprende un conjunto de
proyectos específicos. Algunos son para explotación directa del turismo y otros
156
serán de apoyo.
Dentro del segundo caso analizamos una fábrica de tabiques que, dadas las
circunstancias de la región, no podrá operar rentablemente, sino en relación directa
a la demanda que realice la construcción de la zona turística.
Como se ha calculado que en cuatro años quedará terminada la fase de
construcción que requiere de este material, la vida de la fábrica mencionada quedará
circunscrita a dicho periodo y sus flujos de beneficios a un contrato específico con la
parte compradora.
Los estudios realizados nos presentan la siguiente estructura financiera:
Es necesario invertir inicialmente $ 1.500.000 y tendremos un flujo neto de los
beneficios de $ 500.000 anual es.
Como es imprescindible definir la tasa alternativa que tiene nuestro capital inicial,
para poder encontrar el V.P.N., consideramos que, de no invertir en el proyecto
obtendríamos el 10% de interés en bonos. Sin embargo, dado que de no realizar el
proyecto tendríamos que comprar el tabique en una ciudad relativamente lejana, con
problemas de organización y con reducción del impacto regional favorable del
conjunto, la tasa relevante se reduce al 8%.
La estructura financiera podemos representarla gráficamente de la siguiente manera:
500.000 500.000 500.000 500.000
Años
1 2 3 4
1.500.000
De esta manera tenemos que el cálculo del valor presente neto será el siguiente:
V.P.N. = - 1.500.000 La inversión inicial se presenta con signo negativo.
+ 500.000
(0.9259) La cantidad entre paréntesis es el factor de actualización del flujo
neto. Este número ha sido localizado en las tablas financieras
mencionadas buscando en la tabla de n
i)1(
1
+
con i = 8% y el año
correspondiente.
+ 500.000 (0.8573) (P/F)
+ 500.000 (0.7938) (P/F)
+ 500.000 (0.7350) (P/F)
Horizontalmente:
V.P.N. = - 1.500.000 + 500.000 (0.9259) + 500.000 (0.8573) + 500.000 (0.7938) + 500.000 (0.7350)
Sacando 500.000 como factor común:
V.P.N. = - 1.500.000 + 500.000 (0.9259) + 500.000 (0.8573) + 500.000 (0.7938) + 500000 (0.7350)
157
V.P.N. = - 1.500.000 + 500.000 (3,3120)
V.P.N. = - 1.500.000 + 1.656.000
V.P.N. = 1.656.000
Observaciones:
1. (3,3120) se convierte en el factor de valor presente general para toda serie
uniforme que abarque un periodo de cuatro anualidades o pagos, por loo que
calculando, no es necesario hacer la reducción de cada pago por separado.
En la misma forma puede hacerse para toda serie uniforme. Basta calcular el
factor de actualización de la serie y multiplicarlo por el monto del pago para
finalmente restarle a la cantidad que resulte los montos de inversión
previamente actualizados y tendremos el V.P.N., de esta serie. Además los
factores para pagos iguales puede encontrarse también en cualquier serie de
tablas financieras
2. Como observa en el ejemplo el resultado es positivo, resulta entonces mejor
la inversión en el proyecto que la alternativa relevante.
b) Series finitas no uniformes (parcialmente)
Ejemplo 2.
Supongamos ahora que consideramos otra fábrica de apoyo, como podría ser la de
herrería. Las consideraciones que se hicieron en el caso anterior sobre la demanda
son válidas también aquí, con la única diferencia que mientras para el tabique la
demanda se mantiene estable y se reduce a un periodo de cuatro años, para la
herrería la demanda se amplía a todo el periodo de construcción, que dura
aproximadamente 8 años. Además los requerimientos de este material no serán
uniformes, pues variarán en sentido directo al ritmo de la construcción acelerándose
cuando la infraestructura queda lista y el programa entre en la fase propia al
levantamiento de toda la estructura de servicios. Esta última fase se considera entre
el cuarto y el octavo año. No obstante, ambos periodos quedaron sujetos a contrato
con los compradores.
La tasa alternativa seguirá planteada en 8% como en el ejemplo 1 y por las
mismas consideraciones.
Para facilitar el análisis y las operaciones nos desligaremos de la realidad,
estableciendo cantidades hipotéticas tanto en la inversión como en los flujos netos.
En la práctica es muy útil el contacto con profesionales ad hoc, tales como
ingenieros o constructores, o bien empresarios, a efecto de conocer índices
generales estándar de cada ramo. Es útil además de conocer dichos índices,
ficharlos y archivarlos a fin de estar en condiciones, cuando se nos presente un
proyecto, de juzgarlo a todos niveles.
158
Así, entonces, encontramos que la inversión inicial en la fábrica de herrerías
asciende a $ 1.500.000 y los primeros cuatro años los ingresos netos a $ 200.000.
Del quinto al octavo año la actividad se acelera y los ingresos netos se elevan a $
300.000.
Gráficamente tenemos l a siguiente estructura financiera:
200.000 200.000 200.000 200.000 300.000 300.000 300.000 300.000
Años 1 2 3 4 5 6 7 8
1.500.000
Como puede observarse, en realidad los primeros cuatro años conforman una serie
finita uniforme, semejante a la del ejemplo anterior. De ahí que bastará con
multiplicar los $ 200.000, que recibimos uniformemente, por un factor de
actualización propio a la tasa relevante que usamos (8%) y el número de
anualidades, para encontrar el primer monto de ingresos netos actualizados. Como
vimos anteriormente, éste equivale a 3,312.
El problema ahora reside en actualizar el segundo monto de ingresos que van del
5o. al 8o. año. Dado que en las tablas financieras sólo encontramos factores de
actualización para series que parten del año 1.
La operación tendrá que ser la siguiente:
Al factor que resulte para una serie de 8 años, le restaremos el factor para series de
4 años, y multiplicamos el número que obtengamos por 300.000. Habremos definido
el ingreso neto actualizado del segundo grupo (año 5 a 8). Finalmente sumaremos
los ingresos actualizados de uno y otro grupo y obtendremos el total.
Gráficamente:
C A + B = YNA (total)
C A (300.000) + A (200.000) = flujo neto actualizado total
Donde:
159
C = flujos de efectivo del 1 al 8
A = flujos de efectivo del 1 al 4
B = flujos de efectivo del 5 al 8
Matemáticamente:
V.P.N. = - 1.500.000 + 200.000 (3.312) + 300.000 (5.747) 300.000 (3.312)
V.P.N. = - 1.500.000 + 200.000 (3.312) + 300.000 (5.747) (3.312)
V.P.N. = - 1.500.000 + 200.000 (3.312) + 300.000 (2.435)
V.P.N. = - 1.500.000 + 662.400 + 730.500
V.P.N. = - 107.100
Observaciones
1. Como se sabe ante un V.P.N. de signo negativo, el proyecto no debe ser
llevado a cabo en estas condiciones, dado que la alternativa considerada no
obstante haber sido reduci da por argumentos de car ácter regional, es mejor.
2. Cuando un proyecto tiene vida limitada, pero sus ingresos netos y/o sus
inversiones son definitiva y generalizadamente irregulares, sólo es posible
actualizar los flujos monetarios mediante la multiplicación parcial, año por
año, de cada cantidad por su correspondiente factor de actualización.
Estrictamente se tomaría cada anuali dad como un capi tal a futuro, para lo que
se aplicaría, en esta situación, la tabla que actualiza el futuro al presente
(P/F).
c) Series infinitas
Para los casos de proyectos en que se propone una vida útil de amplio e indefinido
horizonte, la estructura financiera propia en el rubro de flujos netos se antoja difícil
de establecer previamente, por lo que su tratamiento matemático será totalmente
diferente a los casos de vida útil limitada.
Para el sector turismo el tipo que se describe ahora tiene especial importancia dado
que es uno de los pocos donde llega a presentarse.
No basta que se delimiten con claridad los períodos de operación si éstos alcanzan
un horizonte tan amplio que superan los 20 años. Para fines prácticos es más
sencillo operar esta clase de proyectos para lo que les suponemos una vida infinita y
les aplicamos la fórmula que en seguida veremos:
V.P.N. = - C + BO +
i
B
+1
1
+ 2
2
)1( i
B
+
+ 3
3
)1( i
B
+
+ +
a
a
)1( i+
Simbología:
B = beneficio neto
i = tasa de descuento
Tendremos ahora V.P.B. o valor presente de los beneficios netos.
V.P.B. = BO +
i
B
+1
1
+ 2
2
)1( i
B
+
+ 3
3
)1( i
B
+
+ +
)1( i
B
+
Introduzcamos un elemento que se presenta frecuentemente en la realidad. Los beneficios netos
160
pueden crecer anualmente a cierta tasa promedio, en una serie infinita. Esta tasa la denominaremos
con la letra g .
V.P.N = BO +
i
gBo
+
+
1
)1(
+ 2
2
)1(
)1(
i
gBo
+
+
+ 2
2
)1(
)1(
i
gBo
+
+
+ 3
3
)1(
)1(
i
gBo
+
+
+
4
4
)1(
)1(
i
gBo
+
+
+ +
)1(
)1(
i
gBo
+
+
Si: Bo (1 + g) = B1 o beneficio neto al año 1
2
2
)1(
)1(
i
gBo
+
+
= B2
3
3
)1(
)1(
i
gBo
+
+
= B3
Sacamos Bo, como factor común:
V.P.N. = BO 1 +
i
g
i
g
i
g
i
g
+
+
+
+
+
+
+
+
+
+
+
1
)1(
...
1
)1(
1
)1(
1
1 32
a
En el inverso tenemos:
V.P.B. = Bo
g
i t
+
+
å 1
)1(a
Donde T = (1, 2, a )
g < i < 1
Obtenemos el límite de å>-- +
+a
a
0 1
)1(
t
t
g
i
Encontramos:
V.P.N. = Bo
gi
i
-
+1
Ejemplifiquemos:
Se plantea construir un polo de desarrollo regional que por las características de la
zona ha de iniciarse con una planta turística. El programa inicial es múltiple en la
medida de que integra a un conjunto de tipos diferentes. (Hoteles, moteles,
restaurantes, trailerspark, etc.)
La entidad responsable será la compañía estatal Mexicana hotelera . El crédito
tendrá el respaldo financiero del gobierno pero lo obtendrán los campesinos de un
banco internacional. La planta en cuestión se localizará en tierras ejidales y los
campesinos, además de ser socios capitalistas, utilizarán tierras en los alrededores
161
que destinarán a producir para la demanda regional, impulsada por el turismo y
pasarán posteriormente a exportar regionalmente, en la medida de su crecimiento.
El proyecto plantea un contrato entre campesinos y Mexicana hotelera de 30 años
y una cláusula donde se especifi ca que puede ser renovado.
A los campesinos se les pagará una r enta no por la utilización de la tierra, sino sobre
el beneficio estimado de la explotación de cada establecimiento prestador de
servicios.
La compañía hotelera equipará por su cuenta los establecimientos y dará asesoría
para la construcción de los mismos. Las organizaciones campesinas prefieren
utilizar autónomamente el crédito y construir con la asesoría de técnicos oficiales.
La construcción tendr á las siguientes características, calendario y costos:
Año Orden de
antigüedad
Establecimiento Costo
(miles dólares)
2000
2001
2002
2003
2004
2005
1
2
3
4
5
6
Infraestructura, parador, restaurante
1a. fase de equipamiento hotelero
2a. fase de equipamiento hotelero
3a. fase de equipamiento hotelero
1a. fase complejo de diversiones
2a. fase complejo de diversiones
Total:
5.400
10.800
10.800
10.800
10.800
10.800
59.400
Descripción sumaria:
2000. Se plantea construir una infraestructura mínima compuesta por un camino de
acceso, ampliación de las redes eléctricas, de agua potable, cablegráfica, de gas,
etc., que ya existen en la zona, además de todas las adecuaciones en el terreno que
sean pertinentes.
Por otra parte, como punta de lanza se proyecta la construcción de un restaurante
y de un parador que inicien la planta y permitan los primeros pasos en materia de
capacitación de la fuerza de trabajo, publicidad, promoción etc.
2001, 2002 y 2003. En estos tres años se construirá todo el equipo de alojamiento,
distribuido en varios tipos. El renglón de hoteles sería el principal rubro, los cuales
serían de varias categorías, las más altas con todos los servicios propios de un hotel
de gran categoría, aunque en algunos de caracter ísticas modestas en el servicio.
Independientemente de dichos servicios, se proyectan otros establecimientos como
moteles, restaurantes, bares, centros nocturnos, distribuidos en forma planificada en
el complejo turístico.
Se debe aclarar que a 30 km, se encuentra la ciudad más próxima, la cual tiene un
aeropuerto internacional con equipamiento para todo tipo de vuelos.
162
2004 y 2005. El llamado complejo de diversiones será construido y equipado en
dos etapas, divididas según los años mencionados. Se integrará por un conjunto de
elementos de índole variada, como el club náutico que incluye equipamiento
deportivo de todo tipo (buceo, veleros, pesca, etc.) el club de golf, y la casa club. En
la segunda etapa se plantea la reservación de un área para juegos diversos, así
como la construcción de un número limitado de salas para espar cimiento nocturno.
Finalmente y dentro de esta fase, una sala de actos utilizable para convenciones.
Debe aclararse que la administración de muchos establecimientos, en especial
comercios, no quedará en manos de la compañía hotelera mencionada. Sin
embargo, aquellas sociedades o empresarios particulares que se propongan
administrar algún negocio de los proyectados, deberán atenerse a las condiciones
establecidas en el contrato mencionado. Además, se les fijará una renta por el uso
de los inmuebles o de los terrenos cuando sea el caso.
Se estiman los siguientes beneficios por concepto de rentas:
Grupo año 2000 2001 2002 2003 2004 2005 2006
1
2
3
4
5
6
292 450
716
450
1.166
716
450
1.166
1.166
716
450
1.166
1.166
1.166
716
450
1.166
1.166
1.166
1.166
716
450
1.166
1.166
1.166
1.166
1.166
Total beneficios 292 1.166 2.332 3.498 4.664 5.830 6.280
Los beneficios anuales, a partir de 2.006, hasta la terminación del contrato (año
2030) serán uniformes y ascenderán a 6.280. 000 dólares.
Solución:
1a. Pregunta: ¿A qué tasa obtendrán los campesinos el crédito necesario?
El crédito está respaldado por el sector público y será prestado por el banco al 12%.
Esta tasa actúa como alternativa relevante para el proyecto, o sea, su rentabilidad
deberá excederla.
2a. Pregunta: ¿Cómo se podrá deter minar la rentabilidad del proyecto propuesto?
En la realidad existen muchos proyectos que se evalúan a través de una simple
razón de utilidad del tipo contable. Así buscaríamos el beneficio típico de 6.280.000
dólares que aporta el proyecto durante 24 años; lo dividiríamos entre el total de la
inversión y resultaría una tasa de rentabilidad del 9.4%. El juicio inmediato que
podría emitirse rechazaría el proyecto al no cubrir su tasa de rendimiento ni siquiera
aquella a la que se concedió el crédito.
Este juicio se basaría, en un procedimiento erróneo y por lo tanto, sería en sí mismo
equivocado.
En la razón mencionada el dividendo es incorrecto, si tomamos en cuenta las rentas
163
anuales que se empiezan a pagar desde el primer año.
Esto da lugar a un t ercer esquema:
(1) (2) (1) (2)
Año Costos de
Construcción
Rentas Egresos netos
2000
2001
2002
2003
2004
2005
5.400
10.800
10.800
10.800
10.800
10.800
292
1.166
2.332
3.498
4.664
5.830
5.108
9.634
8.468
7.302
6.136
4.970
Totales 59.400 17.782 41.618
Dividamos ahora los 6.280.000 dólares entre los 41.618.000 dólares y tendremos
una tasa contabl e de rentabilidad de 15.09%.
Resulta ahora que el proyecto es mejor que la alternativa relevante , y la decisión
sería aprobatoria.
Sin embargo, hay una nueva equivocación en la consideración de egresos netos,
dado que no hemos tomado en cuenta los intereses que habrán de pagarse por el
crédito.
Construyamos un cuarto cuadro que los tome en cuenta:
(y) Cf = Co (1 + i)n
Año Ingreso Capital + Intereses Tasas de rendi-
miento contable
2003*
2004
2005
2006 (0)
2007 (1)
2008 (2)
2009 (3)
2010 (4)
3.498
4.664
5.830
6.280
6.280
6.280
6.280
6.280
41.618
41.618
41.618
41.618
41.618
41.618
41.618
41.618
(1.12)
(1.25)
(1.40)
(1.57)
(1.76)
(1.97)
(2.21)
(2.47)
7.50%
8.97%
10.01%
9.61%
8.57%
7.66%
6.83%
6.11%
Utilizando los ingresos para amortizar el capital y los intereses, el cuadro quedaría:
(y) Cf = Co (1 + i)n
Año Ingreso Cf = Co (1 + i)n
Saldo deudor Tasas de rendi-
miento contable
2003
*
2004
2005
2006 (0)
2007 (1)
2008 (2)
2009 (3)
2010 (4)
--
--
--
6.280
6.280
6.280
6.280
6.280
46.612
52.023
58.265
63.340
73.248
81.987
81.976
102.796
--
--
--
59.060
66.968
75.707
85.696
96.516
--
--
--
10.63%
9.38%
8.30%
7.33%
6.51%
*
Se suponen tres años de gracia en el préstamo
*
164
De todo el desarrollo anterior nos interesa esencialmente la comprobación del primer
aspecto que en seguida mencionaremos y secundariamente el juicio que, a partir de
los cuadros precedentes, podemos realizar sobre el proyecto ejemplificado.
Esto es, no es válida la tasa contable, en tanto ésta toma un beneficio neto que se
considera como estadígrafo confiable y lo divide entre el egreso de inversión total.
Como hemos visto en el tercero y cuarto cuadro, la tasa de rentabilidad, que utiliza la
metodología contable antes descrita, varía constantemente año con año, no
obstante que el ingreso neto que se tomó representativo se mantiene constante.
Esto comprueba que definitivamente no es valedero ni confiable establecer la
rentabilidad de un proyecto por el método mencionado ya que no ofrece una tasa
estable contra la cual comparar la alternativa relevante .
Es claro, además, que aun amortizando capital e intereses con el ingreso recibido, el
saldo deudor crece anualmente y la tasa de rendimiento decrece al mismo ritmo.
Ello demuestra que los ingresos netos no alcanzan a cubrir el servicio de la deuda
por lo que el proyecto, en los términos propuestos, es inferior a la tasa mínima
posible que se tomó como relevante, esto es, la requerida por la institución
financiera (12%) por lo cual dicho proyecto deberá rechazarse.
En el ejemplo se han extendido las operaciones con el objeto de mostrar la
ineficiencia de usar la razón de utilidad contable como medida eficaz en la
evaluación de proyectos. Se ha comprobado que no sólo porque el valor del dinero
es diferente en el tiempo debe utilizarse la técnica de V.P.N., sino además porque no
es posible detectar una tasa contable de cierta estabilidad como para ser
contrastada con otra que sea su competi tiva.
El período de operación del proyecto es tan largo que puede ser tratado por la
fórmula de valor presente neto, para series infinitas.
Como veremos, se simplifican notoriamente las operaciones matemáticas a través
de esta metodol ogía.
Resolvamos ahora nuestro ejercicio:
b. Existen egresos netos de 2000 a 2005 y a partir del 2006 sólo se reciben
beneficios
c. Supongamos que al término de los 30 años no se obtiene un valor de
salvamento, pues se establece previamente la posibilidad de seguir en
operación y darles un buen mantenimiento con cargo a la compañía
operadora.
d. Se considerará a 2006 como el año cero, con lo que se combinan así series
165
finitas con series infinitas y se facilita el tratamiento matemático.
e. Fórmula: V P N (1981) =
g
iBo
-
+
1
)1(
; en donde g = 0; i = 0.12
V P N (1981) =
12.0
)12.1(6280
V P N (1981) = 58.617.00
58.617.000 dólares serán los beneficios totales acumulados en el año de 2006 y
estamos en condiciones de obtener el V.P.N. del proyecto de la siguiente forma:
Año Egresos (-) y
beneficios netos (+)
V P al 2%
2000 (0)
2001 (1)
2002 (2)
2003 (3)
2004 (4)
2005 (5)
2006 (6)
- 5.108
- 9.634
- 8.468
- 7.302
- 6.136
- 4.970
+ 58.617
- 5.108.0
9.634 (0.8929) = - 8.602.0
8.468 (0.7972) = - 6.751.0
7.302 (0.7118) = - 5.198.0
6.136 (0.6355) = - 3.899.0
4.970 (0.5674) = - 2.820.0
58.617 (0.5066) = + 29.695.0
Total = - 2.683.0
La cantidad absoluta de 2.683.0 nos muestra un V.P.N. negativo, lo que indica que
no es conveniente que la organización campesina pida el crédito para el proyecto
turístico citado en tanto las utilidades, en forma de renta, que se recibirían no serían
lo suficiente ni siquiera para pagar el préstamo solicitado.
6.6.4 La tasa interna de retorno
Se dice que la TIR es aquella en la cual el V.P.N. = 0, o sea, donde los ingresos
netos y egresos de inversión se igualan en sus valores actualizados.
En el caso en que se determina el signo del V.P.N., podemos tomar decisiones de
orden cualitativo. Decisiones determinantes. Sin embargo, no estamos en posibilidad
de encontrar qué tanto en porcentajes es mejor a partir de su tasa relevante.
Cuando nos proponemos decidir sobre la base de coeficientes relativos habrá que
encontrar un índice de rentabilidad confiable, que nos ubique en un marco más
definido.
Al hablar de confiabilidad pretendemos incluir las consideraciones hechas a
propósito de los conceptos emitidos anteriormente sobre evaluación privada. En
particular aquellos sobre los que se sustenta la técnica de V.P.N. Es por eso que la
TIR incluye el valor actualizado en su cál culo. Aún así, hay una di ferencia clara entre
la toma de decisiones vía V.P.N., y la que se realiza en base a la TIR. Del primero
obtenemos una cant idad absoluta cuyo signo es el ilustrativo.
De la segunda se desprende un índice que, como todo número relativo, nos muestra
166
una relación aproximada, que en este caso es de r entabilidad.
Como veremos más adelante la etapa de evaluación se caracteriza por corregir
ciertos parámetros que nos vienen dados en los estudios que la anteceden en el
documento del proyecto . Es válido afirmar que la TIR representa la principal
corrección en este sentido dentro de la evaluación económica privada. Algunas
metodologías la extienden inclusive a la evaluación social.
En la parte del V.P.N. hablamos de la tasa contable como el índice, que resulta de
dividir un flujo neto representativo sobre el total de la inversión. Se comprobó y
argumentó el por qué no es correcto tomar dicho índice como tasa de rentabilidad
del proyecto.
Mencionaremos ahora algunas divergencias entre la TIR y la tasa contable , los
cuales enfrentamos a l os requerimientos de la evaluación.
1. La tasa contable no toma en cuenta el valor cronológico del dinero que,
como revisamos anteriormente, es definitivo en la evaluación de proyectos.
En el otro lado, la TIR al incluir el valor actualizado neto en su cálculo
considera explícitamente el diferencial de valor en el tiempo.
2. La tasa contable aparece como estática, pero sí toda empresa es un
elemento con movimiento constante en el tiempo, debe tratársele como tal. La
TIR abarca un conjunto de informaciones que surgen de situaciones
diferentes a lo largo de un período determinado del proyecto por lo que se
torna dinámica y nos facilita, además, la decisión correcta y la planeación
conjunta.
3. De las dos consideraciones anteriores, se desprende un defecto de
inflexibilidad en la tasa contable, expresado por su incapacidad para evaluar
un proyecto, cuando éste tiene rendimientos anuales variables. Este defecto
no puede ser soslayados por promedios estadísticos, en razón a los defectos
naturales que éstos tienen y a la exactitud que se solicita de un índice de
rentabilidad. Sobra decir que la TIR trata de superar dicho defecto con
suficiente éxito.
4. Un cuarto aspecto, que es deci sivo, centra su atención en los llamados costos
implícitos. Nos referimos a ellos en su oportunidad. Basta decir por lo pronto
que la tasa contable sólo toma en cuenta los costos explícitos, vale decir,
aquellos que se anotan en los libros de contabilidad, mientras la TIR, incluye
costos implícitos y explícitos, por lo menos para el factor capital.
5. En las metodologías para evaluación social donde se utiliza la TIR se da otra
corrección que hace diferir ésta de la tasa contable. Los impuestos pasan a
ser beneficios.
Por otra parte, la TIR se basa en los mismos conceptos económicos que sustenten
167
la justificación del V.P.N., por lo tanto, tomará para su cálculo la actualización como
un elemento determinante, la cual conjuga con el de tasa alternativa . Sin embargo
será necesario estimar tasas límites entre las cuales se juzgue lógico se encuentra
la TIR. Dado que la actualización se efectúa a través de tasas relevantes, tendremos
que localizar igualmente dos tipos de valores presentes: uno positivo y otro negativo.
Por el método interactivo y con operación de estos dos tipos de tasas; ahí donde el
V.P.N., sea igual a cero hallaremos del otro lado de la ecuación un índice que nos
representará la TIR.
Se desprende de lo anterior que el método de cálculo es por aproximaciones e
interpolación y que no se tr ata ahora de saber si el proyecto es bueno a par tir de una
cierta tasa, sino de encontrar la tasa que nos represente la rentabilidad del proyecto,
que nos deja así un signo más claro e independiente para ser tomado en cuenta. Al
contar con un programa de computación ya preparado, esa labor se simplifica en
forma asombrosa.
ú
û
ù
ê
ë
é
-
-+=
21
1
121 )(
VPiVPi
VPi
iiiTIR
Ejemplificando:
Localicémonos en un caso sencillo que suponga una empresa en particular, a fin de
observar con toda claridad el cálculo de la TIR.
En los ejemplos anteriores, se ha omitido un aspecto de las actualizaciones en los
flujos monetarios. Todo proyecto tiene al final de su vida un valor de salvamento ,
representado por el precio al cual se considera posible realizar el conjunto de
medios de producción (terrenos, edificios, royalties, equipo, instalaciones, etc.) con
los cuales se oper ó.
Sería totalmente erróneo en los casos reales, que no se tomara en cuenta este
valor, ya que en función de cada tipo de proyecto llega a ser definitivo cuando se
evalúan.
Es un beneficio para la fase de operación que debe ser actualizado.
Recurramos a un caso hi potético:
El costo total de un proyecto alcanza los tres millones de dólares. Se estiman en 500
mil dólares las ventas anuales y en 200 mil los egresos correspondientes. Al fin de
10 años el terreno, construcción, instalación, equipo, etc., habrá llegado a un valor
recuperable de un millón y medio de dólares. Se pide encontrar la TIR.
El cuadro de flujos netos sería el siguiente:
168
Año Ventas Egresos Flujo neto
0
1
2
3
4
5
6
7
8
9
10
101
+ 500.000
+ 500.000
+ 500.000
+ 500.000
+ 500.000
+ 500.000
+ 500.000
+ 500.000
+ 500.000
+ 500.000
+ 500.000
+ 1.500.000
- 3.000.000
- 200.000
- 200.000
- 200.000
- 200.000
- 200.000
- 200.000
- 200.000
- 200.000
- 200.000
- 200.000
--
- 3.000.000
+ 300.000
+ 300.000
+ 300.000
+ 300.000
+ 300.000
+ 300.000
+ 300.000
+ 300.000
+ 300.000
+ 300.000
+ 1.500.000
El paso siguiente sería encontrar los valores de los elementos que integran la fórmula de la TIR.
Recordémosla:
ú
û
ù
ê
ë
é
-
-+=
21
1
221 )(
VPiVPi
VPi
iiiTIR
Tanto la determinación de i1, e i2, como el cálculo de los valores presentes que
correspondan, implican una estimación apriorística de las tasas frontera entre los
cuales suponemos esté la del proyecto en que trabajamos. En la mayoría de los
casos el técnico especializado en los mecanismos de evaluación tiene por
observación y experiencia ideas más o menos cercanas a la realidad, con sólo
revisar la estructura financiera del proyecto, o con el auxilio de una máquina
calculadora que se lo efectúa en pocos minutos. No obstante presentaremos el
método con el fin de poder comprenderlo. Se estima una tasa determinada y se
calcula el V.P.N. Si es negativo, se procede a calcular el VPi1 estableciéndose
índices que representen el i1 de la fórmula hasta encontrar aquel que nos dé un
V.P.N. positivo para el proyecto. Es recomendable que se localicen los polos más
cercanos y con base en índi ces enteros.
Por supuesto que puede procederse a la inversa, como se verá en seguida:
Volvamos al ejemplo:
Si i1 = 6%
V.P.N. = - 3.000.000 + 300.000 (7.360) + 1.500.000 (0.5584)
V.P.N. = - 3.000.000 + 2.208.000 + 837.600
V.P.N. = - 3.000.000 + 3.045.600
V.P.N. = + 45.600
Si i2 = 7%
V.P.N. = - 3.000.000 + 300.000 (7.024) + 1.500.000 (0.5083)
V.P.N. = - 3.000.000 + 2.107.200 + 762.450
V.P.N. = - 130.350
Interpolando:
1
Valor del salvamento
169
TIR = 6% + (7% - 6%)
350.130600.45
600.45
+
TIR = 6 +
595.175
600.45
TIR = 6 + 0.26
TIR = 6.26%
Período de recuperación
Un indicador más, para la evaluación económica privada, es el llamado período de
recuperación . En algunos casos, cuando las disponibilidades de recursos
financieros son pocas y las oportunidades de colocación del capital son pocas y las
oportunidades de colocación del capital son numerosas, es importante saber cuáles
son las alternativas que implican menores períodos de recuperación para capital
invertido, de manera que pueda usa rse éste en nuevos pr oyectos.
Este indicador es perfectamente compatible con el cálculo del V.P.N. o la tasa
interna de retorno y puede servir como auxiliar a esto, de manera que los
complemente en la decisión final.
Su estimación es sencilla y consiste en definir el momento en que la suma de
beneficios netos equivale a la suma de inversiones, dependiendo del origen que
tenga cada capi tal.
En cuanto a la suma de beneficios, deberá contabilizarse su costo de opor tunidad.
Podemos ejemplificar este indicador con el caso desarrollado anteriormente para el
cálculo de la TIR.
Como vimos, el costo total alcanzaba los tres millones de pesos en dicho ejemplo y
los beneficios eran homogéneos dur ante 10 años, equivalentes a 300.000.
Si quisiéramos saber el período de recuperación para este proyecto bastaría con
sumar los beneficios hasta el momento en que llegaran a los tres millones.
Aparentemente en este caso sería hasta el décimo año cuando se recuperará la
inversión, sin embargo, si consideramos el costo de oportunidad de cada beneficio
hay que observar que cada uno puede obtener productos financieros y de esta
manera se reducirá el período de recuperación.
Puede verse más claro en las siguientes expresiones:
Ingresos anuales = 300 x 10 años = 3.000.000
Al finalizar 10 años tendríamos = $ 3.000.000
Pero como los ingresos anuales deben por lo menos ganar un interés bancario
(compuesto) supuestamente del 10%, tenemos que:
170
Ingresos anuales = 300 x factor interés compuesto (15.937)
Al final de 10 años tenemos: $ 4.781.100
Por lo tanto el período de recuperación es menor a los diez años.
Observando el factor de interés compuesto para anualidades, en nuestras tablas
financieras, encontramos los siguientes datos:
Año Factor de interés
compuesto (A)
Ingreso anual Ingreso total
7
8
9.487
11.436
300.000
300.000
2.846.100
3.430.800
Los resultados del período de recuperación están realmente entre el séptimo y el octavo año.
Si quisiéramos saber el momento exacto, bastaría con interpolar nuestros datos.
7 + (8 7)
800.430.3100.846.2
100.846.2
+
7 + 1
900.276.6
100.846.2
7 + 10.45
7.45
De donde el momento exacto sería 7 años con 6 meses y 7 días
6.7EVALUACIÓN ECONÓMICA SOCIAL
De hecho, hemos dividido el capítulo de evaluación en dos categorías la
socioeconómica y la privada.
Con frecuencia estos dos enfoques arrojan resultados contrarios, ya que son
numerosos los proyectos cuya rentabilidad privada es muy alta, pero cuya
contrapartida social es negativa en tanto que, por ejemplo, un gran beneficio privado
llega a implicar cuantiosos montos de importación o incluso la explotación, en
términos destructivos, de recursos no renovables.
Por suerte pueden encontrarse también proyectos que alcanzan una rentabilidad
privada aceptable y que además funci onan con ofrecimiento del nivel de empleo más
alto posible, de acuerdo a los requerimientos de su producción. Así también utilizan
recursos nacionales y fomentan su renovación, explotan racionalmente el ambiente
físico donde operan y reinvierten en su mayor proporción los beneficios que
obtienen.
171
Aun cuando, en términos generales, cabría aceptar la incompatibilidad intrínseca
entre la evaluación privada y la social dada la distribución que implica cada una con
respecto a la riqueza generada a nivel macro o macroeconómico. No obstante a
corto plazo, lo conducente para el proyecto es tratar de buscar coincidencias entre
ambas.
Existen ramas que históricamente se han caracterizado por no obtener directamente
beneficios privados, como son las inversiones en educación, salud, servicios
públicos, etc. En turismo, existen casos de inversiones cuyos administradores tienen
que operar las empresas prestadoras de servicio a precios muy bajos. Generalmente
el Estado, a través de organismos descentralizados y especializados en la
prestación de servicios a las clase sociales de menores ingresos, otorga créditos
para la construcción de conjuntos turísticos integrales, cerca de los núcleos de
población más numerosa. En estas ocasiones los precios a que se ofrece el servicio
necesariamente tendrán que tener un nivel que permita y motive el turismo entre los
trabajadores de menor ingreso. Si se pretende por otro lado dar el mínimo de
servicios indispensables a todo centro turístico y en una categoría decorosa, por lo
regular, la evaluación privada tenderá a rechazar este tipo de proyectos, pero la
social deberá justificarlos.
Ante tales casos, la evaluación económico - social busca tomar en cuenta aspectos
que en la privada omite y reformula los datos con que originalmente se trabaja en la
construcción y evaluación de todo proyecto.
Antes de introducirnos en el desarrollo de algunas metodologías, que recientemente
han tratado de solucionar el problema cuantitativo de la evaluación social, es
conveniente reconsiderar algunos elementos conceptuales concernientes al proceso
de la evaluación en sí. Mediante una figura que insista en la importancia de la
planeación sectorial en el caso de la evaluación social de los proyectos.
a) Evaluación económica privada
Figura 5.1
b) Evaluación
Económica
Social
Información Corrección de
parámetros
Juicio de rentabilidad
financiera
Corrección de
parámetros según
valores
socioeconómicos
Plan
Juicio y decisiones en
el sector público y
social
172
Como mencionamos, la evaluación no sólo consiste en realizar juicios ante datos o
índices que nos vienen dados; consiste fundamentalmente en corregirlos con base a
ciertos criterios económicos, los cuales pueden emanar de fuentes alternativas o
convergentes. Los juicios correspondientes vienen después de la corrección. Con
singularidad, la evaluación social se caracteriza por un conjunto de adecuaciones en
las cuales implícitamente aplica los criterios elegidos.
Se habrá notado en la figura 5.1. que se intercaló un filtro entre la evaluación
privada y la social. El objetivo de un planificador es comprobar que todo proyecto
contribuye a lograr las metas y objetivos planteados a nivel nacional, regional y
sectorial. Inclusive en ausencia de un plan, por lo regular existen en nuestros países
pronunciamientos del tipo económico político a nivel del sector, en donde podemos
encontrar indicaciones sobre el rumbo que trata de imprimírsele a una actividad
determinada. Debemos tratar de encontrar las orientaciones generales, para
traducirlas en instrumentos técnicos que nos faciliten una evaluación social acertada.
Un caso concreto puede reforzar lo antes dicho. Supongamos que el plan nacional
específica, como un objetivo de primer orden, aumentar el empleo principalmente en
la zona del noreste del país. El sector turismo recogiendo dicho objetivo y dada su
prioridad, lo incluye en su plan sectori al y opera la evaluación social de los proyectos
que tiene establ ecidos en su programa de inversiones con instrumentos técnicos que
reflejan el objetivo mencionado. De esta manera, el organismo oficial encargado del
turismo podrá trabajar, por ejemplo, con menores costos de oportunidad a nivel
socioeconómico y/o tasas alternativas para aquellos proyectos que se establezcan
en la zona que se consideró preferente, resultando finalmente parámetros corregidos
que dictaminen beneficios sociales mayores a este tipo de inversiones y con ellos
preferencias para apoyarlas en los niveles gubernamentales.
Las discusiones técnicas sobre el tema de evaluación social se encuentran en el
apartado propio a la definición de una metodología que permita en un grado
confiable, corregir los parámetros que nos ofrece el documento de un proyecto.
Una corrección definitiva se realiza cuando tomamos el precio de un factor de
producción no por su precio en el mercado, sino por su precio social o precio
sombra.
Imaginemos un proyecto turístico que utiliza en su construcción y mobiliario
principalmente productos elaborados en el país donde se localiza. Del otro lado,
capta por concepto de ingresos una cantidad importante de moneda extranjera.
Suponiendo que el 85% de éstos fuer an dólares estadounidenses y que su pr ecio en
el mercado interno llegara a 30 unidades monetarias por dólar, sería erróneo en la
evaluación social tomar como bueno este precio en tanto la economía local, por
razones de diversas índoles, requiere en forma importante de dicha divisa.
Seguramente el precio sombra del dólar tendría en este caso un nivel superior al
precio de mercado.
En las ciencias sociales siempre se establece la polémica entre los que buscan
173
constantemente el lenguaje matemático como vía para alcanzar juicios absolutistas y
aquellos que prefieren el relativismo apoyado en consideraciones, tanto
socioculturales como políticas y económicas.
Sin embargo, en la evaluación social los métodos cuantitativos se complican ante las
dificultades de abarcar sus distintas facetas numéricamente y en especial ante las
imprecisiones que se cometan par a corregir los parámetros.
En los casos donde no existe un plan que delimite perfectamente la dirección de un
sector, sus objetivos y metas, el pr oblema aumenta en for ma considerable.
Por ejemplo, si no se sabe con certeza la preferencia que tiene la inversión para
turismo interno sobre la destinada a captar turismo externo, o viceversa, no
podremos operar en la evaluación social, instrumentos técnicos que introduzcan la
diferencia, y por lo tanto tendremos que guiarnos con criterios que quizás no
contribuyan al mejor desarrollo del turismo.
¿Qué tan importante puede ser para un país llevar a cabo proyectos donde el capital
invertido, el 50% sea para pagar trabajadores?
O por el contrario, ¿qué preferencia puede dársele a los intensivos en capital?
En realidad, la respuesta depende de criterios macroeconómicos donde coinciden
argumentos políticos, sociales, económicos, etc.
6.7.1 Criterios para la evaluación social
Parece aceptable explicar los criterios que se manejan en este tipo de evaluación:
Políticos
En primer lugar, toda evaluación social de un proyecto implica diagnosticar y
pronosticar la realidad socioeconómica de un país, así como adoptar una posición
ante ella. Si existe desempleo y pobreza, independientemente del trato técnico que
justifique un precio social determinado al factor fuerza de trabajo, el reconocimiento
político de esta realidad permitirá dar un lugar preferencial al proyecto que con
menor capital ofrezca mayores puestos de trabajo.
Terno-económicos
Dicha evaluación, invoca la aplicación de criterios técnicos que reflejen fielmente la
realidad y contribuyan a superarla con métodos cor rectos de aplicación general.
Físicos
Los criterios de racionalización en el espacio geográfico y en la naturaleza de éste,
son especialmente importantes en turismo y de ellos depende frecuentemente la
evaluación social de los proyectos destinados a explotar un recurso natural. La
aplicación de herramientas técnicas que cristalicen consideraciones de este tipo no
tiene muchos antecedentes en la actualidad. Un reto muy fuerte se plantea para ser
174
resuelto por las metodologías de evaluación, cuando se piensa en la posibilidad de
incluir parámetros y convergencias que manifiesten argumentos sobre lo positivo o lo
negativo que resultaría para el medio ambiente (en su acepción más amplia) que el
hombre, en la forma que lo plantee el proyecto, lo explote en su beneficio.
6.7.2 El precio sombra
El concepto de precio sombra
Como hemos señalado, una de las principales adecuaciones que se efectúan al
evaluar socialmente un proyecto, radica en corregir los parámetros del mismo,
convirtiendo los precios de mercado, que utiliza, en precios sociales. Ello se basa en
la siguiente afirmación: si los mercados están deformados, los precios que de ellos
resultan deberán estarl o también .
A este precio social suele llamárseles precio sombra como una traducción directa
del término inglés shadowprice , que originalmente se usó para denominar a los
valores reales que están atrás de cada bien y servicio. Estos valores se
encontrarían si se fijaran libremente por el juego de la oferta y la demanda, en el
interior de una economía si n mercados alterados por intereses de clase o de grupo.
Es difícil encontrar alguna época y algún lugar donde hayan existido formaciones
sociales regidas económicamente por mercados libres de tales alteraciones. Sin
embargo, dejando a un lado esta discusión histórica de tanta trascendencia, es
evidente que en la actualidad todas las economías de mercado se encuentran
fuertemente distorsionadas tanto en sus mecanismos de demanda como de oferta.
Son estos últimos los que han tendido con mayor fuerza a viciarse por el proceso
obligado de concentración, implícito en las economías capi talistas.
Por lo tanto, la distribución que sufren los precios de mercados se explica ante las
imposiciones y actos de poder que ejercen los oferentes, el Estado y algunas veces
los demandantes, en el funcionamiento de los mercados específicos.
Ahora bien, ante la existencia y predominio de esos actos de poder que manipulan
precios, tarifas, cantidades y calidades, en casi todos los mercados, los precios
sombra actúan eliminándolos teóricamente de manera que pueda observarse la
auténtica relación beneficio costo, para una economía, como producto de la
ejecución y operación de un proyecto en particular.
Así, por ejemplo, cuando el Estado interviene (acto de poder) para establecer
artificialmente el precio de ciertas divisas por medio de la fijación oficial de tipos de
cambio o lo ubica en estrechos límites de flotación, al participar en su mercado con
intenciones regulatorias, está determinando un precio de mercado irreal para la
divisa. Con el propósito de efectuar una evaluación social correcta para los
proyectos en donde intervenga moneda extranjera, se utiliza el valor que ella tendría
en ausencia de dicha intervención con el objeto de estimarles sus auténticos
beneficios y costos.
175
El principal problema metodológico radica en encontrar, precisamente, los órdenes
de magnitud para los precios sombra , ya que su determinación obliga a efectuar en
lo individual. Con frecuencia, las autoridades nacionales no se preocupan por
establecer esos coeficientes o no generalizan la información ante el temor de
reconocer públicamente situaciones adversas a sus intereses políticos.
En efecto, fijar un precio sombra para la fuerza de trabajo requiere tomar en cuenta
los niveles de subempleo y desocupación nacional y regional, los cuales no siempre
son aceptados políticamente . Lo mismo ocurre con numerosos productos sujetos a
subsidios, aranceles, gravámenes diferencia torios, regímenes de oligopolio,
diferenciaciones promociónales, etc.
En ese sentido, la aplicación de los precios sombra en la evaluación social
depende y está sujeta a su previa estimación por parte de las autoridades y
organismos técnicos competentes. No obstante, como veremos más adelante,
pueden practicarse evaluaciones sociales en ausencia de dichos precios, pero con la
aceptación de las imprecisiones que de ello resulte.
Por otra parte, al desarrollar el enfoque que envuel ve al concepto de precio sombra
podría pensarse que se le dio una inclinación liberal en el sentido ideológicamente
antiestatizante que se le da al término. Para evitar interpretaciones erróneas
haremos la siguiente aclaración.
En primer lugar, es cierto que los distintos mercados, a que dan lugar las complejas
economías capitalistas de la actualidad, están manejas y distorsionadas en función
de intereses perfectamente por la actividad del Estado (subvenciones, gravámenes
proteccionistas, participación gubernamental en los ámbitos de la demanda y la
oferta, etc.) o por la actividad de uniones y sindicatos (salario mínimo, prestaciones,
etc.), como pretenden argumentar algunos escritos de corte liberal .
De hecho, las empresas oferentes iniciaron históricamente la alteración de los
mercados, mediante prácticas devastadoras, gracias a sus procesos oligopólicos y
de concentración.
Como respuesta, el estado, los trabajadores y, en los últimos tiempos, algunos
grupos demandantes, han generalizado intervenciones en la economía, en procura
de defender intereses ajenos o propios. Como resultado, puede observarse una
enorme distancia entre los precios de mercado y aquellos que coadyuvarían a
mejorar el beneficio y equilibrio de nuestras sociedades.
6.7.3 Casos de evaluación económica social para proyectos turísticos
utilizando el indicador de la tasa interna de retorno (TIR social)
6.7.3.1 Ventajas y desventajas metodológicas en la utilización de la TIR
social para la evaluación socioeconómica de proyectos
Ventajas
Ø Permite una mejor comparación entre proyectos, ya que éstos son evaluados
176
a partir de un índice específico y bajo una metodología homogénea
Ø Considera la remuneración a todos los factores productivos
Ø Permite utilizar los precios sombra en estimaciones globales
Desventajas
Ø No siempre es posible contemplar a través de esta metodología, objetivos de
política y de planeación tales como la redistribución personal del ingreso,
pues se considera como beneficios todos los que se generan para los
propietarios de los factores económicos, sin discriminar
Ø La contabilización de los rubros puede ser desigual cuando se utilizan
precios sombra porque en algunos casos no se conocen o son de difícil
estimación.
6.7.3.2 Método de obtención
a) Se contabiliza como beneficios todos los i ngresos obtenidos por los diferentes
sectores de la sociedad (ingreso nacional) se registran con signo negativo los
pagos al exterior.
Producto nacional bruto = ingreso nacional + depreciación + impuestos
pagos al exterior
v Utilidades, depreciación y amortización de intangibles
v Sueldos y salarios
v Intereses y beneficios
v Arrendamientos
v Impuestos
Valor
agregado
b) Se contabilizan como costos, todos los egresos del proyecto
v Compra de insumos e inversión
CASO 1
Consideramos la evaluación social de un proyecto específico, un complejo hotelero,
en este caso, que es financiado con fondos nacionales en su totalidad y cuyas
inversiones están ordenadas en el cuadro 5.1.
Su estado de resultados se proyectó a diez años de operación y se presenta en el
cuadro 5.2.
Se trata de evaluarlo socialmente mediante la metodología de la TIR social, o sea su
contribución al PIB. Los precios de los factores de la producción NO se
contabilizaron según sus precios sociales, para facilitar la comprensión del ejercicio.
Se efectúa también la evaluación privada del proyecto para fines de comparación
entre la tasa privada y la social.
177
Características del mercado
v Está orientado hacia un mercado de medios y altos ingresos que requiere las
actividades normales en un complejo de playa. La evolución de su demanda
se ha estimado en base a series históricas de la afluencia en el lugar, en
centros cercanos semejantes y para experiencias similares.
Características técnicas
v Localización. Zona en auge turístico (costa del Caribe) en área ligeramente
alejada del centro turístico principal, pero con atractivos excepcionales.
v Dimensionamiento de terrenos 30.000 m2
de superficie total con 10.000 m2
aproximadamente de terrenos para construcción. Los terrenos de
construcción han sido localizados en el frente norte de playa en una franja
horizontal.
v Dimensionamiento de unidades. Las unidades de alojamiento alcanzan una
capacidad de di seño de 150 habitaciones.
v Se estima un precio promedio anual de $ 300 por persona en cuarto doble.
JUICIO DE EVALUACIÓN ECONÓMICA PRIVADA
La tasa interna de rentabilidad para el capital privado alcanzó un índice de 10.55%.
1o. Si el capital privado puede encontrar una colocación que le rinda más que el
10.55% anual tomando en cuenta el valor cronológico de sus flujos monetarios, el
capitalista privado deberá rechazar el proyecto.
2o. Si la TIR del capital privado es superior a cualquier que éste pudiera obtener, el
proyecto en términos de rendimiento al capital deberá ser realizado.
3o. Un elemento de juicio es el riesgo. Si el capitalista encuentra otro proyecto que le
ofrezca igual o un poco menos en cuanto a tasa de rendimiento, pero estima que
con menor riesgo, por lógica escogerá este otro. Si al contrario, encuentra un
proyecto que le ofrece igual o un poco más pero a mayor riesgo, tenderá a escoger
el proyecto en cuestión.
178
Cuadro 5.1
PLAN DE INVERSIONES (CASO 1)
(miles de dólares)
PIB EMP Rubros Origen del
financiamiento
0 1 2 3 4 5 6 7 8 9 10 11 12 13*
(A)
-
-
-
-
-
-
-
-
-
0
-
o
-
-
o
0
-
0
Inversión fija
Infraestructura
Terrenos
Construcciones
(59%)
Construcciones
(59%)
Mobiliario
Equipo
Vehículos
Obras adicionales
(60%)
Obras adicionales
(40%)
Préstamo nacional
Fondos propios
Préstamo nacional
Fondos propios
Fondos propios
Préstamo nacional
Préstamo nacional
Fondos propios
Préstamo nacional
8.500
500
3.000
5.000
7.000
5.000
2.000
20.500
5.000
5.000
3.000
4.500
2.000
1.500
1.500
17.500
400
3.000
5.000
5.000
600
1.000
1.000
1.000
500
Cuadro 5.1 (continuación)
179
PIB
1
EMP
2
Rubros Origen del
financiamiento
0 1 2 3 4 5 6 7 8 9 10 11 12 13
*
B) -
C) -
D) -
-
-
-
Costos de
organización
Gastos de
apertura
Adiestramiento de
personal
Segur e
impuestos en la
construcción
Lencería, enseres
y similares
Promoción y
publicidad
Capital de trabajo
Imprevistos (10%
de A + B + C)
Fondos propios
Fondos propios
Fondos propios
120
862
50
50
180
1.223
600
150
200
150
50
50
220
2.132
300
180
-
-
-
-
-
-
-
-
Total -9.482 -8.453 -23.452 -1.98 +17.500
1
En las columnas del PIB (producto interno bruto) se inscriben con signo negativo los rubros que implican absorción para la economía nacional para destinarlas al
proyecto.
2
En las columnas de Empresarios se inscriben con signo negativo los rubros que implican absorción de recursos propiedad inicial del empresario (capital de riesgo)
*
Año de recuperación
180
Cuadro 5.2
Estimación de beneficios en3
la fase de operación
PIB
5
Capital
privado
5
Conceptos 3
40%
4
50%
0
+
0
0
0
0
0
+
0
0
0
0
0
+
0
+
0
0
O
+
0
0
0
0
0
0
0
+
0
0
0
0
0
0
0
0
0
0
+
1. 1
Ingresos
Habitaciones (60%)
Alimentos (24%)
Bebidas (15)
Otros (0.1%)
2. Costos de operación
2
Sueldos y salarios reales (72% 1er año)
Materias primas
Mantenimiento y reparaciones
Energía y alumbrado
Agua y combustible
Otros
3. Depreciación y amortización intangible
Utilidades brutas
4. Gastos directos seguros e imprevistos
(10%)
Utilidades directas
5. Gastos indirectos y de administración
(del 8 al 10%)
Utilidades antes de gastos financieros
6. Gastos financieros (intereses) y amortizaciones4
Utilidades de operación
7. Impuestos indirectos (4%)
8. Otros ingresos ( + )
Utilidades antes de impuesto
9. Impuesto a la renta (40%)
Flujo neto para el empresario
10.800
6.480
2.592
1.600
108
42%
4.536
3.285
907
344
6.264
626
5.638
563
5.075
4.625
450
18
200
268
100
168
13.500
8.100
3.240
2.025
135
43%
5.805
3.777
1.161
867
7.695
769
6.926
692
6.234
4.347.5
1.886.5
75.4
250.0
2.060
824
1.236
Cuadro 5.2. (continuación)
3
Todas la estimaciones son a precios constantes
5
Los signos positivos expresan renglones de beneficios según se trate de capital de riesgo (empresario) o el PIB
(social)
1
Los precios de los servicios del proyecto se han mantenido constantes
2
Los salarios suben al 15% anual excepto del año 11 al 12 en que lo hacen al 5%
4
En los gastos financieros se consolidan amortizaciones del principal e intereses sólo para facilitar el cálculo de
la evaluación social, la estimación del ISR se efectúa desagregando entre ambos.
20% aprox.
madamente
181
5
60%
6
65%
7
70%
8
75%
9
75%
10
75%
11
75%
12
75%
13
16.200
9.720
3.888
2.460
162
44%
7.128
4.270
1.425
1.433
9.072
907
8.165
816
7.349
4.070
3.279
131
250
3.398
1.359
2.039
17.550
10.530
4.212
2.632
176
45%
7.897
4.763
1.579
1.555
9.653
965
8.688
868
7.820
3.792.5
4.027.5
161
250
4.116
1.646
2.470
18.900
11.340
4.536
2.835
189
46%
8.694
5.256
1.738
1.700
10.026
1.020
9.186
918
8.268
3.515
4.753
190
250
4.813
1.925
2.888
20.250
12.150
4.860
3.037
203
47%
9.517
5.748
1.903
1.866
10.733
1.073
9.660
966
8.694
3.237
5.456.5
218
250
5.488
2.195
3.293
20.250
12.150
4.860
3.037
203
47%
9.517
6.241
1.903
1.373
10.733
1.073
9.660
966
8.694
2.960
5.734
229
250
5.755
2.302
3.453
20.250
12.150
4.860
3.037
203
47%
9.517
6.734
1.903
800
10.733
1.073
9.660
966
8.694
2.682
6.011.5
240
250
6.021
2.408
3.613
20.250
12.150
4.860
3.037
203
47%
9.517
7.227
1.903
387
10.733
1.073
9.660
966
8.694
2.405
6.289
251
250
6.288
2.515
3.773
20.250
12.150
4.860
3.037
203
47%
9.517
7.614
1.903
10.733
1.073
9.660
966
8.694
2.127
6.566.5
262
250
6.578
2.631
3.947
Cuadro 5.3
Alos Principal Intereses* Amortización
del principal
Total gastos
financieros
3
4
5
6
7
8
9
10
11
12
18.500.000
16.650.000
14.800.000
12.950.000
11.100.000
9.250.000
7.400.000
5.550.000
3.700.000
1.850.000
2.775.000
2.497.500
2.220.000
1.942.500
1.665.000
1.387.500
1.110.000
832.500
555.500
277.500
1.850.000
1.850.000
1.850.000
1.850.000
1.850.000
1.850.000
1.850.000
1.850.000
1.850.000
1.850.000
4.625.000
4.347.500
4.070.000
3.792.500
3.515.000
3.237.500
2.960.000
2.682.500
2.405.000
2.127.500
182
Cuadro 5.4
RESUMEN DE INVERSIONES
Inversión total:
Fondos propios (capital privado)
Préstamos nacional (m.n.):
$ 43.367.000
24.967.000
18.500.000
100 %
57.3 %
42.66 %
Esquema de ingresos
(miles de dólares)
3 4 5 6 7 8 9 10 11 12 13
P.I.B.
Empresario
8.540
512
11.126
2.103
13.302
3.472
14.387
4.025
15.474
4.588
16.547
5.159
16.558
4.826
16.557
4.493
16.558
4.160
16.581
3.947
17.500
17.500
Esquema de inversiones
(miles de dólares)
P.I.B.
Empresario
0
9.482
3.980
1
8.453
8.453
2
23.452
11.952
3
1.980
480
183
Cuadro 5.5
P.I.B. (actualizando capital al 25%)
( tasa social 25%*
)
Inversiones
Años Montos Factor activo
1
Montos actuales
0
1
2
3
Suma
9.482
8.453
23.452
1.980
--
(0.8000)
(0.6400)
(0.5120)
9.482.000
6.672.400
15.009.280
1.013.760
32.267.440
Beneficios
Años Montos Factor activo Montos actuales
3
4
5
6
7
8
9
10
11
12
13
Suma
8.540
11.126
13.302
14.387
15.474
16.547
16.558
16.557
16.558
16.581
17.500
(0.5120)
(0.4096)
(0.3277)
(0.2621)
(0.2097)
(0.1678)
(0.1342)
(0.1074)
(0.0859)
(0.0687)
(0.0550)
4.372.480
4.557.210
4.359.065
3.770.833
3.244.898
2.776.587
2.222.084
1.778.222
1.422.332
1.139.115
962.500
30.605.326
VPN = valor presente neto
VPN (25%) = - 32.266 + 30.601.000
VPN (25%) = - 1.662.114
Cuadro 5.6
PIB (actualizando capital al 20% como costo social)
( tasa social 20%**
)
*
Se considera una posible tasa social de descuento entre 20 y 25%, superior a la del mercado, tomando en
cuenta la necesidad de este factor en otras actividades económicas y los efectos sociales favorables que
podría generar en otras ramas de mayor impacto intersectorial.
1
)1(
1
i+
*
Se considera la tasa de 20% como el costo parcial mínimo exigible en este caso, para una inversión en el
factor turismo.
184
Inversiones
Años Montos Factor activo Monto actualizado
0
1
2
3
Suma
9.482
8.453
23.452
1.980
(0.8333)
(0.6944)
(0.5787)
9.482.000
7.043.885
16.285.069
1.145.826
33.956.780
Beneficios
Años Montos Factor activo Monto actualizado
3
4
5
6
7
8
9
10
11
12
13
Suma
8.540
11.126
13.302
14.387
15.474
16.547
16.558
16.557
16.558
16.581
17.500
(0.5787)
(0.4823)
(0.4019)
(0.3349)
(0.2791)
(0.2326)
(0.1938)
(0.1615)
(0.1346)
(0.1122)
(0.0935)
4.942.098
5.366.070
5.346.074
4.818.206
4.318.793
3.858.832
3.208.940
2.673.956
2.228.707
1.860.388
1.636.250
40.248.314
* Se considera la tasa de 20% como el costo parcial mínimo exigible en este caso, para una inversión en el factor
turismo
VPN (20%) = - 33.956.780 + 40.248.314
VPN (20%) = + 6.291.534
Cálculo TIR social o tasa de rendimiento y contribución del proyecto al PIB
TIR = tasa interna de rendimiento o de retorno
)7910.0(
648.953.7
534.291.6
114.662.1534.291.6
534.291.6
21
1
+
-VPiVPi
VPiTIR = i1 + (i2 i1)
TIR Social = 20 + (25 20)
TIR Social = 20 + 5
TIR Social 20 + 5
TIR Social = 20 + 3.9550
TIR Social = 23.95%
185
Cuadro 5.7
RENTABILIDAD DEL EMPRESARIO
(tasa de descuento 12%*
)
Inversiones
Años Montos Factor activo Monto actualizado
0
1
2
3
Suma
3.982
8.453
11.952
480
(0.0000)
(0.8929)
(0.7972)
(0.7118)
3.982
7.547
9.528
341
21.398
Beneficios
Años Montos Factor activo Monto actualizado
3
4
5
6
7
8
9
10
11
12
13
Suma
512
2.103
3.472
4.025
4.588
5.159
4.826
4.493
4.160
3.947
17.500
(0.7118)
(0.6355)
(0.5674)
(0.5066)
(0.4523)
(0.4039)
(0.3606)
(0.3220)
(0.2875)
(0.2567)
(0.2292)
364
1.336
1.970
2.039
2.482
2.083
1.740
1.446
1.196
1.013
4.011
19.680
V.P.N. (12%) = - 21.398 + 19.680 = - 1.718
Cuadro 5.8
RENTABILIDAD DEL EMPRESARIO
(tasa de descuento 10%)
Inversiones
Años Montos Factor activo Monto actualizado
0
1
2
3
Suma
3.982
8.453
11.952
480
( 0 )
(0.9091)
(0.8264)
(0.7513)
3.982
7.684
9.877
360
21.903
Beneficios
Años Montos Factor activo Monto actualizado
3
4
5
6
7
8
512
2.103
3.472
4.025
4.588
5.159
(0.7513)
(0.6830)
(0.6209)
(0.5645)
(0.5132)
(0.4665)
364
1.436
2.155
2.272
2.354
2.406
*
Se considera entre 10 y 12% el costo de oportunidad para el capital a nivel privado, tomando en cuenta la tasa
bancaria positiva (por encima de la inflación).
186
9
10
11
12
13
Suma
4.826
4.493
4.160
3.947
17.500
(0.4241)
(0.3855)
(0.3505)
(0.3186)
(0.2897)
2.046
1.733
1.458
1.257
5.069
22.570
VPN (10%) = 21.903 + 22.570 = + 667
Cuadro 5.9
CÁLCULO DE LA TASA INTERNA DE RETORNO
PARA EL CAPITAL PRIVADO
Fórmula TIR =
21
1
121 )(
VPiVPi
VPi
iii
-
-+
Sustituyendo:
%55.10
5594.010
)2797.0(210
385.2
667
210
718.1667
667
)1012(10
=
+=
+=
+=
+
-+=
TIR
TIR
TIR
TIR
TIR
Esquema de decisión privada
Decisión analizada Proyecto Otra opción Riesgo
1. SI
2. NO
3. SI
4. NO
Ejecutó el proyecto
Ejecutó el proyecto
Ejecutó el proyecto
Ejecutó el proyecto
10.55% >
10.55% <
10.55% =
10.55% =
X1
X1
X1
X1
Menor riesgo del proyecto
Menor riesgo de la otra opción
Menor riesgo en 10.55%
Menor riesgo en X
JUICIO DE LA EVALUACIÓN ECONÓMICA SOCIAL
Los resultados encontrados nos dan un índice de rentabilidad social equivalente a
una tasa de 23.95%.
187
Si se considera que está por arriba de la tasa social de descuento que rija en el país
para el factor capital, el proyecto es bueno y debe realizarse (según la perspectiva
del beneficio nacional).
Por el contrario, si estuviese por debajo de dicha tasa, tendrá que rechazarse en
función de este criterio.
Existen otros indicadores para evaluación social y además ponderaciones. Estas
últimas se realizan a través de un análisis cualitativo y cuantitativo de los efectos
socioeconómicos que puede representar para el país y la región, la ejecución del
proyecto; en especial, se toman en cuenta sus impulsos favorables al crecimiento de
otras ramas por medio de un análisis intersectorial, la creación de empleo y el
mejoramiento de las condiciones económicas y ambientales en la zona donde se
ubica.
No obstante, es conveniente recordar que una de las grandes ventajas del índice de
la TIR social es la facilidad que brinda para comparar y asegurar jerarquías a los
proyectos. Por ejemplo, supongamos que una vez efectuada la evaluación del
proyecto en función de los intereses del capital privado o propio, el empresario (o la
asociación civil respectiva) decide llevarlo adelante. Como para ejecutar el proyecto
se requieren los préstamos solicitados y ellos dependen de la aprobación de las
instituciones públicas encargadas de la planeación en el sector, éstas evalúan
socialmente el proyecto en cuestión y encuentran que tiene una TIR social de
23.95%. Si existiese otro proyecto que compitiese con esta inversión y su tasa
interna de rendimiento social fuese más alta, los préstamos nacionales se
aprobarían para el segundo proyecto ci tado.
De esta manera, se ejercería una planeación indirecta ya que la jerarquía y la
prioridad se conferirían con un criterio social.
Esquema de deci sión del sector público
Decisión de la entidad pública encargada de planeación Proyecto
analizado
Proyecto
competitivo
1. Se aprueba el crédito al proyecto analizado.
2. Se aprueba el crédito al proyecto competitivo.
3. Se pasa a otros indicadores y a ponderaciones
socioeconómicas.
4. *Se pasa a otros indicadores y a ponderaciones
socioeconómicas.
23.95% > X
23.95% < X
23.95% = X
23.95% > X
23.95% < X
* Cuando existe desacuerdo sobre lo acertado que puede ser el indicador de la TIR
social para evaluar socialmente un proyecto a partir de esta metodología, se pasa
a ratificar o rectificar el juicio de aprobación, mediante otros índices o
consideraciones, antes de tomar la decisión final.
188
Como mencionamos, no se han corregido los precios de mercado en los factores
que intervienen dentro del proyecto analizado, a excepción hecha del capital.
Si lo hiciésemos tendríamos que desagregar los ingresos según se recibieran de
turismo extranjero y turismo nacional, la pare darle al primero una valoración
adecuada según el precio sombra que se asignase en el país a las divisas. Si la
moneda nacional está subvaluada, los ingresos en divisas se incrementarán.
Asimismo, las compras de activos en el extranjero incrementarán su valor al ser
corregidos sus precios de mercados por precios sociales .
En el caso de la fuerza de trabajo, habría que estimar el costo social que implica
destinar los empleados respectivos al proyecto analizado. Si estaban desocupados
el beneficio comprende la totalidad de los sueldos y salarios registrados*
; si estaban
ocupados en otras actividades, habrá que contabilizar el costo de oportunidad
correspondiente que equivale en rasgos generales a la producción que generaban
anteriormente.
Para las materias primas y otros insumos estimar las desviaciones que contengan
sus precios de mercado suele ser más complicado; si puede realizarse, habrá que
hacerlo.
También conviene estudiar el caso concreto del factor tierra, para los terrenos que
serán utilizados por el proyecto. Si estaban aplicados a una actividad productiva o
podían hacerlo, sus costos de oportunidad deberá registrarse en lugar de su costo
monetario en función del ingreso que pudiese obtenerse de su utilización.
CASO 2
Introducción. En el caso 1 se ha supuest o que todos los fondos son n acionales y que
aun cuando pudieran existir compras de activos de origen extranjero, no hay
participación de capitales foráneos y por lo tanto salida de divisas en términos de
pagos o retribuciones directas y constantes. Si n embargo, en América Latina un gran
número de proyectos turísticos se emprenden con la participación de fondos
extranjeros, lo que provoca normalmente que buena parte de los rendimientos
obtenidos del proyecto salgan del país durante su etapa de oper ación
La concurrencia de capital externo en las inversiones que se llevan a cabo dentro de
un país, se consideran y evalúan en función de la política general que cada nación
tenga a este respecto. Tanto los créditos como la inversión extranjera directa son
elementos sobre los cuales se ejercen decisiones de nivel macroeconómico, político
y social. No obstante, tales decisiones deben tener su expresión en instrumentos
técnicos concretos, que pueden ser aplicados por las oficinas de planeación en cada
sector y para cada situación.
En este sentido, la metodología que aquí se presenta es sólo una de tantas
posibilidades a emplear en la evaluación social de proyectos con participación de
capital extranjero; uno de sus objetivos es proteger en la medida de lo posible, las
*
En algunos casos se les deduce una pequeña cantidad según el salario de reserva que se estime.
189
economías internas, sancionando la salida de divisas y estimulando su entrada para
lo que se utilizan correctores (véase segunda parte del ejercicio), y eventualmente
tasas adicionales que penalicen las compras de activos en el extranjero.
Por otra parte, según esta metodología, el crédito y la inversión extranjera no le
presentan al país directamente un costo, ya que es capital que proviene del exterior
y por lo tanto no tiene que distraerse de otras actividades al interior de la economía
nacional.
En cambio los pagos al exterior, aun cuando son ingresos para los factores
productivos que intervienen en el proyecto, debido a que salen del país, no se
contabilizan como beneficios desde el punto de vista del PIB.
Tomando el proyecto del caso 1 podemos introducirle variables de acuerdo a esta
nueva situación (caso 2 participación de capital extranjero), y trabajar con precios
sociales para los recursos nacionales (primera parte) y las divisas,; (segunda parte)
suponiendo que la inmensa mayoría de la mano de obra por ocupar estaba
desocupada y la tierra a comprometer, ociosa.
Primera parte Caso 2
Cuadro 10
ESTRUCTURA DEL CAPITAL
Concepto Monto % según origen % sobre inversión
total
Préstamo externo
Préstamo nacional
Empresario extranjero
Empresario nacional
Totales
12.500.000
6.000.000
10.397.000
14.470.000
43.367.000
67.67%
32.33%
58.19%
41.81%
28.52%
13.84%
33.37%
23.97%
100.00%
Cuadro 5.11
DESGLOSE DE LA ESTRUCTURA FINANCIERA
Préstamo nacional
Año Principal Intereses* Amortización
Total pagos
Financiamiento
interno
3
4
5
6
7
8
9
10
11
12
6.000.000
5.400.000
4.800.000
4.200.000
3.600.000
3.000.000
2.400.000
1.800.000
1.200.000
600.000
900.000
810.000
720.000
630.000
540.000
450.000
360.000
270.000
180.000
90.000
600.000
600.000
600.000
600.000
600.000
600.000
600.000
600.000
600.000
600.000
1.500.000
1.410.000
1.320.000
1.230.000
1.140.000
1.050.000
960.000
870.000
780.000
690.000
Totales 4.950.000 6.000.000 10.950.000
* 15% anual sobre saldos insolutos
190
Préstamo externo
Año Principal Intereses* 15%
sobre saldos
insolutos
Amortización
Total pagos
Financiamiento
externa
3
4
5
6
7
8
9
10
11
12
12.500.000
11.250.000
10.000.000
8.750.000
7.500.000
6.250.000
5.000.000
3.750.000
2.500.000
1.250.000
1.000.000
900.000
800.000
700.000
600.000
500.000
400.000
300.000
200.000
100.000
1.250.000
1.250.000
1.250.000
1.250.000
1.250.000
1.250.000
1.250.000
1.250.000
1.250.000
1.250.000
2.250.000
2.150.000
2.050.000
1.950.000
1.850.000
1.750.000
1.650.000
1.550.000
1.450.000
1.350.000
Totales 4.950.000 6.000.000 10.950.000
* 8% anual sobre saldos insolutos
191
Cuadro 5.12
PLAN DE INVERSIONES
(miles de dólares)
PIB EMP Rubros
1
Origen del
financiamiento
0 1 2 3 4 5 6 7 8 9 10 11 12 13*
0
-
-
0
0
-
-
0
0
0
-
-
0
-
0
0
0
0
Inversión fija
Préstamo externo
Terrenos
Construcciones
(50%)
Construcciones
(60%)
Mobiliario2
Equipo
3
Vehículos
Obras adicionales
(66%)
Obras adicionales
(34%)
Préstamo externo
Empresario
nacional
Empresario
nacional
Préstamo externo
Empresario
foráneo
Préstamo nacional
Préstamo nacional
Empresario
foráneo
Préstamo externo
8.500
500
3.000
5.000
7.000
5.000
2.000
20.500
5.000
5.000
3.000
4.500
1.000
2.000
1.500
1.500
Subtotales 17.500
400
3.000
5.000
5.000
600
1.000
1.000
1.000
500
192
Cuadro 5.12 (continuación)
PIB EMP Rubros1 Origen del
financiamiento
0 1 2 3 4 5 6 7 8 9 10 11 12 13*
*
-
-
-
-
0
Totales
-
-
-
-
-
-
Cotos de
organización
Gastos de
apertura
Adiestramiento de
personal
Segur e impuestos
en la construcción
Lencería, enseres
y similares
Promoción y
publicidad
Capital de trabajo
Imprevistos
Empresario
nacional
Empresario
nacional
Empresario
nacional
Empresario
nacional
Empresario
nacional
Empresario
nacional
Empresario
nacional
Empresario
extranjero
120
862
9.482
50
50
180
1.223
8.453
600
150
200
150
50
50
220
2.132
23.452
300
180
1.980
Subtotales
Subtotales
Subtotales
17.500*
1
Se consideran con signo negativo los rubros que implican comprometer recursos en el proyecto, según se trate de la economía nacional (PIB) o del
empresario (capital de riesgo)
0 = sin extracción de recursos
- = con extracción de recursos
2
El mobiliario se compra fuera del país
3
El equipo se compra fuera del país
* Año de recuperación de activos fijos
193
Cuadro 5.13
FLUJOS DE EFECTIVO EN LA FASE DE OPERACIÓN3
(miles de dólares)
Empres
ario
naciona
PIB
Capital
privado Conceptos
Años de operación y porcentajes de ocupación (estimación rigurosa)
3
40%
4
50%
5
60%
6
65%
7
70%
8
75%
9
75%
10
75%
11
75%
12
75%
13
0
0
0
0
0
0
0
0
+
4
0
0
0
0
0
0
0
0
0
0
0
0
1. Ingresos
Habitaciones (60%)
Alimentos (24%)
Bebidas (15%)
Otros (0.1%)
2. Costos de operación
2
Sueldos y salarios
reales
1er año 72%
Materias primas
Mantenimiento y
reparaciones
Energía y
alumbrado
Agua y
combustibles
Otros
10.800
6.480
2.592
1.600
108
42%
4.53%
3.285
907
13.500
8.100
3.240
2.025
135
43%
5.805
3.777
1.161
16.200
9.720
3.888
2.430
162
44%
7.128
4.270
1.425
17.550
10.530
4.212
2.632
176
45%
7.897
4.763
1.579
18.900
11.340
4.536
2.835
189
46%
8.694
5.256
1.738
20.250
12.150
4.860
3.037
203
46%
9.517
5.748
1.903
20.250
12.150
4.860
3.037
203
47%
9.517
6.241
1.903
20.250
12.150
4.860
3.037
203
47%
9.517
6.734
1.903
20.250
12.150
4.860
3.037
203
47%
9.517
7.227
1.903
20.250
12.150
4.860
3.037
203
47%
9.517
7.614
1.903
20%APROX.
..
194
Cuadro 5.13 (continuación)
Empres
ario
naciona
PIB
Capital
privado Conceptos
Años de operación y porcentajes de ocupación (estimación rigurosa)
3
40%
4
50%
5
60%
6
65%
7
70%
8
75%
9
75%
10
75%
11
75%
12
75%
13
0
0
0
0
0
0
0
0
0
0
0
0
0
0
0
0
0
0
0
+
0
0
0
0
0
+
0
0
0
0
0
0
0
0
0
0
0
3. Depreciación y
amortización
intangible
Utilidades brutas
4. Gastos directos
seguros e imprevistos
(10%)
Utilidades directas
5. Gastos indirectos y
de administración
(del 8 al 10%)*
Utilidades antes de
gastos financieros
6. Amortización e
intereses del crédito
externo
6 Amortización a
intereses al préstamo
nacional
Utilidad de operación
7. Impuestos indirectos
(4%)
8. Otros ingresos ( + )
344
6.264
626
5.638
563
5.075
2.250
1.500
1.325
53
200
20
6
867
7.695
769
6.926
692
6.234
2.150
1.410
2.674
106
250
20
6
1.433
9.072
907
8.165
816
7.349
2.050
1.320
3.979
159
250
20
6
1.555
9.663
965
8.688
868
7.820
1.950
1.230
4.640
185
250
20
6
1.700
10.206
1.020
9.186
918
8.268
1.850
1.140
5.278
211
250
20
6
1.866
10.733
1.073
9.660
966
8.694
1.750
1.050
5.894
235
250
20
6
1.373
10.733
1.073
9.660
966
8.694
1.650
960
6.084
243
250
20
6
880
10.733
1.073
9.660
966
8.694
1.550
870
6.274
251
250
20
6
387
10.733
1.073
9.660
966
8.694
1.450
780
6.464
258
250
20
6
10.733
1.073
9.660
966*
8.694
1.350
690
6.654
266
250
20
6
195
9. Usos de patentes y
marcas extranjeras
10. Gastos de
comercialización en
el extranjero
196
Empres
ario
naciona
PIB
Capital
privado Conceptos
Años de operación y porcentajes de ocupación (estimación rigurosa)
3
40%
4
50%
5
60%
6
65%
7
70%
8
75%
9
75%
10
75%
11
75%
12
75%
13
0
0
0
0
0
0
+
+
0
0
+
0
0
0
+
+
0
0
0
+
0
0
0
0
11. Gastos de
comercialización en
el país
Utilidades de
impuestos directos
12. Impuestos a la
renta
(40%)
Utilidades netas
Utilidades para el
empre-sario
extranjero
(41.81%)
Depreciación y
amortiza-ción de
intangibles al capital
extranjero
(41.81%)
Depreciación y
amortiza-ción de
intangibles atribui-
bles al capital
nacional (58.19%)
Utilidades para el
empre-sario nacional
(58.29%)
4
1.442
576
866
362
143
201
504
4
2.788
1.115
1.673
699
362
505
974
4
4.040
1.616
2.424
1.013
599
834
1.411
4
4.675
1.870
2.805
1.172
650
905
1.633
6
5.282
2.112
3.170
1.325
710
990
1.845
6
5.875
2.350
3.524
1.473
780
1.086
2.051
6
6.112
2.444
3.668
1.533
574
799
2.135
6
6.310
2.524
3.786
1.583
362
512
2.203
6
6.507
2.602
3.905
1.633
161
226
2.272
6
6.705
2.682
4.023
1.682
2.341
* Sobrestimado para seguridad
1
Los precios de los servicios del proyecto se han mantenido constantes
2
Los salarios suben al 15% anual excepto del año 11 al 12 que lo hacen al 5%
197
3
Los pronósticos se efectúan a precios constantes
4
Los signos positivos señalan los renglones a ser considerados como flujos de efectivo (beneficios) según se trate del PIB, del capital de riesgo
(empresario) o del capital total (capital privado). Este último no desglosa entre nacional y extranjero
0 = sin aportaciones de recursos
+ = con aportación de recursos
198
Cuadro 5.14
FLUJOS DE EFECTIVO SEGÚN DIFERENTES PARTICIPANTES EN EL PROYECTO
Sujetos de la
evaluación
0 1 2 3 4 5 6 7 8 9 10 11 12 13*
Capital
privado
Empresario
nacional
PIB
-
8.982
-
8.120
-
8.120
-
3.453
- 230
- 230
-
11.952
-
5.820
-
10.320
+ 730
+ 405
+
4.319
+
2540
+
1.479
+
7.887
+
3.857
+
2.245
+
9.610
+
4.360
+
2.538
+
10.586
+
4.870
+
2.835
+
11.554
+
5.386
+
3.137
+
12.520
+
5.041
+
2.934
+
12.822
+
4.666
+
2.715
+
13.094
+
4.292
+
2.498
+
13.635
+
4.023
+
2.341
+
13.593
+
17.500
+
10.183
+
10.183
* Año de recuperación de activos fijos
199
Cuadro 5.15
CÁLCULO DEL VALOR PRESENTE NETO PARA EL
CAPITAL PRIVADO, SUPONIÉNDOLE UN
COSTO DE OPORTUNIDAD DEL 12%*
Inversiones
Años Montos (Factor activo) Inversiones
actualizadas
0
1
2
3
Suma
- 8.982
- 3.453
- 11.952
(0.8929)
(0.7972)
- 8.982
- 3.083
- 9.528
- 21.593
Ingresos
Años Montos (Factor activo) Ingreso actual
3
4
5
6
7
8
9
10
11
12
13
Suma
+ 730
+ 2.540
+ 3.857
+ 4.360
+ 4.870
+ 5.386
+ 5.041
+ 4.666
+ 4.292
+ 4.023
+ 17.500
(0.7118)
(0.6355)
(0.5674)
(0.5066)
(0.4523)
(0.4039)
(0.3606)
(0.3220)
(0.2875)
(0.2567)
(0.2292)
519
1.614
2.188
2.208
2.202
2.175
1.817
1.502
1.233
1.032
4.011
20.501.00
V.P.N. = - 21.593 + 20.501 = - 1.092
*
Se supone una tasa competitiva de 12% al capital privado y con ella se calcula el V.P.N. del proyecto según el
capital privado total.
200
Cuadro 5.16
CÁLCULO DEL VPN PARA EL CAPITAL PRIVADO
SUPONIENDO UN COSTO DE OPORTUNIDAD DE 10%*
Inversiones
Años Montos Factor activo Inversiones
actualizadas
0
1
2
3
Suma
- 8.982
- 3.453
- 11.952
(0.9091)
(0.8264)
- 8.982
- 3.139
- 9.877
- 21.998
Ingresos
Años Montos Factor activo Ingresos
actualizados
3
4
5
6
7
8
9
10
11
12
13
Suma
+ 730
+ 2.540
+ 3.857
+ 4.360
+ 4.870
+ 5.386
+ 5.041
+ 4.666
+ 4.292
+ 4.023
+ 17.500
(0.7513)
(0.6830)
(0.6209)
(0.5645)
(0.5132)
(0.4665)
(0.4241)
(0.3855)
(0.3505)
(0.3186)
(0.2897)
+ 548
+ 1.734
+ 2.394
+ 2.461
+ 2.449
+ 2.512
+ 2.137
+ 1.798
+ 1.504
+ 1.281
+ 5.069
23.937
V.P.N.(10%) = - 21.998 + 23.937 = - 1.939
Cuadro 5.17
CÁLCULO TIR PARA EL CAPITAL PRIVADO EN ESTE PROYECTO
Fórmula:
TIR = i1 + (i2 i1) ú
û
ù
ê
ë
é
- 21
1
VPiVPi
VP
Sustituyendo valores:
*
Se supone ahora una tasa competitiva de 10% (más baja que la anterior) para obtener en estas nuevas cantidades
el V.P.N. de nuestro proyecto según los intereses globales del capital privado.
201
TIR = 10 + (12 10) úû
ù
êë
é
+ 092.1939.1
939.1
TIR = 10 + 2 úû
ù
êë
é
031.3
939.1
TIR = 10 + 2 [0.64]
TIR = 10 + 1.28
TIR + 11.28%
Cuadro 5.18
CÁLCULO DEL VALOR PRESENTE NETO PARA EL CAPITAL
DEL EMPRESARIO NACIONAL SUPONIÉNDOLE UN
COSTO DE OPORTUNIDAD DEL 12%*
Inversiones
Años Montos Factores
actualizados
Inversiones
actualizadas
0
1
2
Suma
- 8.120
- 230
- 5.820
(0.8929)
(0.7972)
- 8.120
- 205
- 4.639
- 12.964
Beneficios
Años Montos Factores
actualizados
Ingresos
actualizados
3
4
5
6
7
8
9
405
1.479
2.245
2.538
2.835
3.137
2.934
(0.7118)
(0.6355)
(0.5674)
(0.5066)
(0.4523)
(0.4039)
(0.3606)
288
939
1.273
1.285
1.282
1.267
1.058
Beneficios
Años Montos Factor activo Beneficios
actualizados
10
11
12
13
Suma
2.715
2.498
2.341
10.183
(0.3220)
(0.2875)
(0.2567)
(0.2292)
874
718
600
2.333
+ 11.917
VPN (12%) = - 12.964 + 11.917 = + 1.047
*
Se supone que ésta es una de las tasa competitivas en el mercado nacional
202
Cuadro 5.19
CÁLCULO DEL VPN PARA EL CAPITAL DEL EMPRESARIO NACIONAL
SUPONIÉNDOLE UN COSTO DE OPORTUNIDAD DEL 10%
Inversiones
Años Montos Factor activo Inversión actualizada
0
1
2
3
Suma
- 8.120
- 230
- 5.820
------------
(0.9091)
(0.8264)
-------------
- 8.120
- 209
- 4.809
-------------
- 13.138
Beneficios
Años Montos Factor activo Beneficios
actualizados
3
4
5
6
7
8
9
10
11
12
13
Suma
405
1.479
1.145
2.538
2.835
3.137
2.934
2.715
2.498
2.341
10.183
(0.7513)
(0.6830)
(0.6209)
(0.5645)
(0.5132)
(0.4665)
(0.4241)
(0.3855)
(0.3505)
(0.3186)
(0.2897)
304
1.010
1.393
1.432
1.454
1.163
1.244
1.046
845
745
2.950
+ 13.913
VPN (10%) = - 13.138 + 13.913 = + 775
203
Cuadro 5.20
CÁLCULO DE LA TIR PARA EL EMPRESARIO NACIONAL
EN ESTE PROYECTO
Fórmula: ú
û
ù
ê
ë
é
-
-+=
21
121 )(
VPiVPi
VP
iiiTIR
Sustituyendo valores:
[ ]
%84.10
84.010
42.0210
1822
775
210
047.1775
775
)1012(10
=
+=
+=
úû
ù
êë
é
+=
ú
û
ù
ê
ë
é
+
-+=
TIR
TIR
TIR
TIR
TIR
Cuadro 5.21
CÁLCULO DEL VALOR PRESENTE NETO PARA LA CONTRIBUCIÓN
DEL PROYECTO AL PIB, SUPONIÉNDOLE AL CAPITAL NACIONAL
UN COSTO DE OPORTUNIDAD SOCIAL QUE INCLUYE EFECTOS
EN OTRAS RAMAS EQUIVALENTE AL 25%
Inversiones
Años Montos Factor activo Inversiones
actualizadas
0
1
2
3
Suma
- 8.120
- 230
- 10.320
------------
(0.8000)
(0.6400)
-------------
- 8.120
- 184
- 6.604
-------------
- 14.908
Beneficios
Años Montos Factor activo Beneficios
actualizados
3
4
5
4.314
7.887
9.610
(0.5120)
(0.4096)
(0.3277)
2.208
3.230
3.149
204
6
7
8
9
10
11
12
13
Suma
10.586
11.554
12.520
12.822
13.094
13.365
13.593
20.183
(0.2621)
(0.2097)
(0.1678)
(0.1342)
(0.1074)
(0.0859)
(0.0687)
(0.0440)
2.774
2.422
2.100
1.720
1.406
1.148
650
560
+ 21.650
VPN PIB (25%) = - 14.908 + 21.650 = + 6.742
Cuadro 5.22
CÁLCULO DEL VPN PARA LA CONTRIBUCIÓN DEL PROYECTO AL PIB,
SUPONIÉNDOLE AL CAPITAL NACIONAL (O DE ORIGEN INTERNO) UN
COSTO DE OPORTUNIDAD SOCIAL (QUE INCLUYE EFECTOS EN
OTRAS RAMAS) EQUIVALENTE AL 35%
Inversiones
Años Montos Factor activo Inversiones
actualizadas
0
1
2
3
Suma
- 8.120
- 230
- 10.320
------------
(0.7407)
(0.5487)
-------------
- 8.120
- 170
- 5.662
-------------
- 13.952
Beneficios
Años Montos Factor activo Beneficios
actualizados
3
4
5
6
7
8
9
10
11
4.314
7.887
9.610
10.586
11.554
12.520
12.822
13.094
13.365
(0.4064)
(0.3011)
(0.2330)
(0.1652)
(0.1224)
(0.0906)
(0.0671)
(0.0497)
(0.0368)
1.753
2.374
2.140
1.748
1.414
1.134
860
650
491
205
Suma
Beneficios
Años Monto Factor activo Beneficios
actualizados
12
13
Suma
13.593
10.183
(0.0273)
(0.0202)
371
205
+ 13.140
VPN PIB (35%) = - 13.952 + 13.140 = - 812
Cuadro 5.23
CÁLCULO DE LA TIR SOCIAL DEL PROYECTO, EN BASE A SU
CONTRIBUCIÓN AL PIB
Fórmula: ú
û
ù
ê
ë
é
-
-+=
21
121 )(
VPiVPi
VP
iiiTIR
Sustituyendo valores:
[ ]
%92.33
92.825
8925.01025
554.7
742.6
1025
812742.6
742.6
)2535(25
=
+=
+=
úû
ù
êë
é
+=
úû
ù
êë
é
+
-+=
TIR
TIR
TIR
TIR
TIR
Segunda parte Caso 2
Evaluación social del proyecto considerando su impacto en la balanza de pagos y
precio sombra de las divisas
Suponiendo que para este caso hipotético el precio sombra de las divisas supera en
48% el precio de mercado oficial o tipo de cambio nominal y asumiendo que sólo hay
uno de éstos para cualquier tipo de transacción, tendremos que tanto las inversiones,
como los ingresos y egresos que se efectúan en divisas deberán multiplicarse por un
factor de conversión que dé, a sus correspondientes montos, su valor social. Tal factor
será: 1.48. Todas las cifras siguientes se expresan en miles de pesos.
206
Inversiones
Años Monto Factor de conversión Inversiones a
precios sombra
0
1
2
2
3
Suma
+ 1.362
+ 8.223
+ 10.132
- 4.500
+ 180
+ 15.397
(1.48)
(1.48)
(1.48)
(1.48)
(1.48)
+ 2.015
+ 12.170
+ 14.995
- 6.660
+ 266
+ 22.786
Beneficios:
En el estudio de mercado se estima que la demanda futura del proyecto turístico en
estudio, estará comprendida en un 60% de turistas nacionales y en un 40% de turistas
extranjeros. Por lo tanto, los ingresos de divisas equivaldrían a un 40%
aproximadamente del total. En este sentido se calcula la entrada de divisas al país por
gasto turístico atribuible al proyecto en dicha proporción.
Beneficios
Años Montos totales % turismo
extranjero (40%)
Factor
conversión
Divisas a precio
sombra
3
4
5
6
7
8
9
10
11
12
13
Suma
10.800
13500
16.200
17.550
18.900
20.250
20.250
20.250
20.250
20.250
20.250
198.450
4.320
5.400
6.480
7.020
7.560
8.100
8.100
8.100
8.100
8.100
8.100
79.380
(1.48)
(1.48)
(1.48)
(1.48)
(1.48)
(1.48)
(1.48)
(1.48)
(1.48)
(1.48)
(1.48)
6.393
7.992
9.590
10.389
11.188
11.988
11.988
11.988
11.988
11.988
11.988
117.482
Total positivos = inversiones + ingresos = 22.786 + 117.482 = 140.268
207
Egresos (gastos de operación)
Conceptos
a) Materias primas, reparaciones y combustibles; algunos de los insumos para los
departamentos de alimentos y bebidas, así como refacciones y combustibles,
son importados por lo que previo a un estudio sobre el porcentaje de
importaciones se estimó una cantidad relativa sobre los costos de operación
registrados en paquete y equivalentes al 20% del total (véase cuadro 5.14
Estado de resultados). Dicha cantidad (asignable a salida de divisas por
importaciones) es de 25% o sea el 5% de los gastos de operación totales.
Ejemplificando, tenemos:
Concepto Años
3 4 5 6 12
Paquete
Costos de operación
Sueldos y salarios
Materias primas
Mantenimiento y
reparaciones
Energía y alumbrado
Agua y combustibles
Otros
Depreciación y
amortización de intangibles
% Importado
4.536
907
226*
5.805
1.161
290
7.128
1.425
356
7.897
1.579
394
9.517
1.903
475
b) Amortización e intereses al crédito extranjero; en tanto salida de divisas, este
concepto debe registrarse con signo negativo para la evaluación específica que
busca observar el impacto del proyecto en la balanza de pagos.
c) Uso de patentes y marcas extranjeras
d) Gastos de comercialización en el extranjero
e) Utilidades para el empresario extranjero
f) Depreciación y amortización de intangibles, atribuibles al capital extranjero
g) Monto de recuperación final (año 13) para el capital extranjero
Resumen de egresos
Concepto Montos totales Factores de
conversión
Egresos a costo
social
a 4.075 (1.48) 6.031
*
La cantidad de 226 es un porcentaje equivalente al 25% de 907 (del grupo denominado paquete ) y resulta ser el
5% de 4536 correspondiente a los costos totales de operación.
208
b
c
d
e
f
g
Suma
18.000
200
0
12.475
4.346
7.316
(1.48)
(1.48)
(1.48)
(1.48)
(1.48)
(1.48)
26.640
296
88
18.463
6.432
10.827
- 68.777
Estimación de la contribución del proyecto a la balanza de pagos del país.
Entrada de divisas: + 140.268 .
Salida de divisas : - 68.777.
Diferencia : + 71.491
La diferencia es favorables al país por: + 71.491
Nota aclaratoria. De tenerse certeza e investigados los coeficientes de importación
para los bienes y servicios requeridos durante la inversión inicial del proyecto, deberán
descontarse las sumas respectivas al total de ingresos en divisas registra durante tales
inversiones. En nuestro ejemplo, a los 11.786 (miles de pesos).
6.7.4 Utilización de otros indicadores
6.7.4.1 Ocupación directa por unidad de capital
Cuando uno de los objetivos prioritarios es dar ocupación a la mano de obra
desempleada o subocupada, uno de los índices más importantes en la decisión y
asignación de prioridades sobre los proyectos de inversión, es el número de empleos
que se pueden crear por cada unidad de capital invertido.
En turismo este aspecto depende esencialmente, del tipo de turista a cuya demanda
esté dirigido el proyecto y de la calidad de las instalaciones con que éste se configure.
Además, cada país tiene relaciones diferentes según las formas que adquiere en cada
sector la prestación de servicios.
Tomando en cuenta los elementos antes anotados, deberá medirse la ocupación directa
que genera cada unidad de capital en el proyecto específico de que se trate, y
comparárselo con el promedio de la zona o con proyectos que le sean competitivos.
La obtención de este indicador es sumamente sencilla y está dada por la siguiente
razón:
Capital total invertido
-------------------------------------------------------
Número de empleos directos generados
El capital total invertido incluye tanto el financiamiento (créditos) como el capital privado
sin importar su origen.
209
En el número de empleos directos, para efectos de comparación entre diferentes
proyectos (dentro de una misma rama económica), conviene contabilizar solamente las
plazas creadas durante la operación y como trabajadores de planta o fijos.
Sobre los empleos en la ejecución, los variables o los indirectos, es recomendable
utilizar otros indicadores que los registre, pero aparte de los puestos normales y
estables.
En el ejemplo que hemos venido manejando cabe suponer que para 150 habitaciones
que tendría el complejo turístico, se crearán aproximadamente 150 empleos fijos de
acuerdo a los índices del país y la calidad de los servicios que se esperan para el
proyecto. Si la inversión total alcanza $ 43.367.000 . a precios de mercado, se obtendrá
el siguiente índice:
113.289$
150
000.367.43
....
...
==
GDEN
ITC
por ejemplo
En el cuadro índices de relación empleo directo/habitación turística según distintos
países se ofrecen distintos indicadores para el caso de la hotelería, referidos a empleos
directos. Puede observarse la gran diferencia entre casos como el de la Unión
Americana (0.48) y el continente africano (1.8) ,explicados por sus diferencias
tecnológicas. Tales indicadores (a 1975) seguramente han tendido a separarse aún
más en los últimos años.
Índices de relación empleo directo/habitación turística según distintos países
Número de empleados/habitaciones (índices a 1975)
Internacional
Europa
E.U.A.
Canadá
Medio Oriente
Asia
Extremo Oriente
Australia
Hawai, Islas del Pacífico
México
América Central
América del Sur
Caribe
África
0.94
0.79
0.48
0.84
1.03
1.64
1.05
0.95
0.83
1.06
1.11
1.10
1.20
1.80
Fuente: Citado por el documento Estudios Preliminares sobre la inversión hotelera. Elementos:
producto, mercado y rendimiento previsible de producción. Christian Laporte según
estadísticas de L&H, WorldwideOperationStatistics, PKF and C. International Hotel
Trenes.
210
6.7.4.2 Intensidad de capital
Capital
-----------------------------------------------------------
Valor bruto anual de producción (promedio)
Uno de los indicadores que nos permiten tener una idea de la eficiencia con que se
utilizaría uno de los factores de producción más escasos en los países atrasados, o sea
el capital, surge de relacionar la inversión total de éste con el valor bruto anual de
producción que indirectamente contribuye a lograr mediante el proyecto en estudio.
En nuestro ejemplo las cifras quedarían como sigue:
2433.0
000.200.178
000.367.43
6.7.4.3 Relación valor agregado/capital
Una modalidad y simplificación a la tasa de rendimiento social ejemplificada en los
casos 1 y 2 ya vistos, es el índice que relaciona directamente el valor agregado
generado por el proyecto y el capital total que en él se emplea, de manera que se
pueda observar superficialmente la eficacia con que se utiliza el capital según el interés
social.
Capital total
e = -----------------------
Valor agregado
En nuestro ejemplo:
2658.0
000.130.163
000.367.43
=
6.7.4.4 Índice de relación ingresos al trabajador
Retribución a la fuerza de trabajo
Relación: -----------------------------------------------------
Valor agregado total del proyecto
211
El objetivo del indicador es observar el porcentaje del valor agregado generado por el
proyecto que se convierte en ingresos para los trabajadores.
Es necesario aclarar que en muchos planes nacionales se destaca dentro de los
objetivos, una mejor redistribución del ingreso por capas de población y por lo tanto es
conveniente clasificar los proyectos según su contribución a mejorar las condiciones
socioeconómicas de los grupos con menores ingresos.
Este índice puede calcularse según el precio de mercado de la fuerza de trabajo
(sueldos y salarios) o bien si consideramos su precio sombra . Este último depende de
diversas situaciones. Mencionemos algunas de las más conocidas en los países
subdesarrollados.
PRECIO SOMBRA DE LA FUERZA DE TRABAJO
1. En desocupación disfrazada. Cuando un trabajador se mantiene en una actividad
económica, pero en realidad su productividad marginal es igual a cero, se dice
que está en una desocupación disfrazada , o sea, que se encuentra
desocupado, pero su situación no es evidente ni siquiera para él mismo.
Si esta persona dejara la actividad que realiza, la producción de su área
económica no bajaría en absoluto; está empleado en forma artificial . Podría ser
el caso de un gran número de individuos que se dedican en las ciudades a
cuidar automóviles y vender artículos para los cuales ya existen canales de
comercialización e inclusive un buen porcentaje de empleados gubernamentales
cuyas funciones son de difícil justificación.
Implican, por decirlo así, uno más de los empleos improductivos del excedente
económico que genera un país, aunque bien podría considerarse costo por
atenuar las presiones sociales en busca de empleos.
El precio social para un proyecto que capte mano de obra ubicada en esta
situación equivale a los recursos necesarios para el traslado de los trabajadores,
incluyendo todas las obras necesarias para construir su nuevo hábitat (ciudad
de servicios).
2. Desocupación friccional. (Ha llegado a existir en los países industrializados,
principalmente en las zonas urbanas); se denomina así a la desocupación que se
presenta cuando entre un trabajo y otro los trabajadores quedan temporalmente
sin ocupación.
212
Se supone que en algunos países europeos se dan porcentajes de hasta 1% de
la P.E.A. y en Estados Unidos aproximadamente del 2.5%.
Resulta sumamente complicado definir con certeza el impacto de un proyecto en
este tipo de desocupación en una zona determinada, especialmente en los
países subdesarrollados donde la desocupación es básicamente estructural.
En el caso de que se fundamente la contribución de un proyecto en este sentido
se podrá considerar a un porcentaje ligeramente menor al salario de mercado.
3. Desocupación estacional. En el agro es más frecuente esta clase de
desocupación cuando el trabajo en la agricultura es el único y está sujeto a las
temporadas.
El precio social se fijaría en un porcentaje equivalente al salario de mercado
durante las épocas de empleo.
4. Desocupación estructural. Se presenta por desequilibrios estructurales, una
economía es definitivamente incapaz a largo y mediano plazo de dar empleo a
una gran población bajo los procesos normales e históricos de desarrollo
económico.
En estos casos, un proyecto puede, en una zona, introducir un impacto
modernista creando empleo.
El precio social para fines prácticos es igual a cero, aunque quizás conviene
tener presente el concepto de salario de reserva *
6.7.5 Evaluación social de inversiones por ponderación de efectos
Los indicadores de evaluación social revisados, no toman en cuenta gran parte de los
efectos socioeconómicos que un proyecto produce en el medio donde ha de operar.
Dichos efectos son naturalmente de diversos tipos y van desde modificaciones de los
hábitos y costos en el ámbito local, hasta estímulos a otras actividades económicas.
Por su naturaleza, la mayoría de estos efectos no pueden ser sujetos a mediciones y
por lo tanto hay que ponderarlos con un criterio social, tratando de estimar las ventajas
y desventajas que producirían a la región o al país donde se presenten.
*
Se conoce como salario de reserva al mínimo necesario para que una persona esté dispuesta a emplearse, aun
cuando esté sin ocupación.
213
6.7.5.1 Impactos en otras actividades económicas
El turismo, como cualquier otra actividad económica, está inserto en un conjunto de
relaciones con el que mantiene nexos de interdependencia. Cuando hay una expansión
o una retracción en la actividad turística, las ramas conectadas directa e indirectamente
con ella, lo resienten, y viceversa, cuando ciertas actividades o el conjunto
experimentan cambios, estos últimos se reflejan (en mayor o menor medida
dependiendo del país) en el funcionamiento de las empresas turísticas.
Las inversiones en unidades para oferta de servicios turísticos producen efectos en las
economías regionales o nacionales dinamizando la producción en un buen número de
líneas agropecuarias, industriales y de servicios.
Ahora bien, como a su vez las empresas directamente estimuladas por las unidades
turísticas demandan insumos a otras ramas productivas, en realidad el impacto se
incrementa o multiplica .
Si deseamos evaluar un proyecto turístico a partir de los efectos que puede producir en
otras actividades económicas a través de la demanda de insumos que ejerce en su
ejecución y operación, deberemos considerar tanto los inmediatos como los mediatos.
En este sentido, es correcto adelantar que los proyectos y programas de mayor
inversión, generalmente, producen los mayores impactos, por lo que adquieren con
frecuencia la más alta prioridad. Sin embargo, tales impactos dependen de la
integración que haya logrado la economía en cada país o región. Un gran programa de
inversiones en el campo turístico dentro de una estructura económica, poco
diversificada, puede implicarle al conjunto un efecto reducido, mientras un proyecto
pequeño que utilice sólo productos del país quizás sea más beneficioso para el
desarrollo de empresas productivas de origen nacional.
Las empresas de servicios turísticos al crear un producto de consumo directo que no
puede utilizarse como insumo por otras actividades tiene sólo efectos económicos
hacia atrás o sea hacia las ramas sobre las cuales ejerce una demanda y no hacia
delante .
Dada esta situación, para este tipo de efectos, el turismo está en desventaja con otras
actividades. La industria siderúrgica, por ejemplo, no sólo demanda una gran cantidad
de insumos, sino que además produce a su vez bienes que otras ramas utilizan para
crear diversos artículos. De esta manera impacta hacia atrás y hacia delante . En
cambio, las empresas turísticas sólo pueden dinamizar a través de su demanda de
insumos, líneas productivas que estén atrás de ellas.
Los efectos de un programa de oferta turística que alcance grandes dimensiones en
una región de escaso desarrollo pueden llegarse a estimar en términos cuantitativos
214
siempre y cuando se cuente con los instrumentos técnicos necesarios. Las matrices de
insumo producto regionales son de gran utilidad, pero presentan serios problemas para
su construcción y en muy pocas ocasiones se dispone de ellas.
En la mayoría de las ocasiones es conveniente tratar de inducir cuáles son los efectos
económicos de un proyecto para evaluarlos y clasificarlos sólo a partir de claras y
evidentes diferencias en los impactos que se espera producirán en otras actividades
económicas.
6.7.5.2 Otros efectos económicos
Existen otros efectos de carácter económico que no se refieren a los impactos del
proyecto en otras actividades económicas, sino a las consecuencias previsibles que su
operación puede desencadenar en el funcionamiento general de una economía local,
regional o nacional.
a) EFECTOS EN EL NIVEL DE PRECIOS
Cuando el programa turístico es de considerables proporciones, hay que prever las
posibilidades de que la afluencia turística ejerza, sobre una amplia gama de artículos,
una demanda adicional capaz de pagar altos precios. Como en general esta demanda
es eventual y la estructura productiva en la mayoría de los países subdesarrollados es
relativamente inelástica, por su capitalización limitada, se crea una fuerte tendencia
inflacionaria en la región o localidad y cuando el país es pequeño inclusive a nivel
nacional.
Este efecto inflacionario va en detrimento de la economía del país y sobre todo de los
grupos de menores ingresos y en un efecto negativo que debe considerarse desde el
punto de vista social.
En otros casos el programa puede incrementar la producción de ciertos artículos o
servicios y con ello provocar, en alguna medida la caída de los precios generales en la
localidad. Este efecto social benéfico puede llegar a estimarse mediante la medición del
excedente del consumidor .
b) CAPACIDAD NACIONAL DE IMPORTACIÓN
Mediante la captación de divisas, un proyecto turístico puede incrementar la capacidad
nacional para importar. Es un efecto cualitativo referido a potencialidades
macroeconómicas y no a montos específicos de divisas obtenidas por conducto del
proyecto.
215
6.7.5.3 Efectos en el medio natural y en el hábitat
Cuando un proyecto se presenta en términos que implican la transformación de
recursos naturales ( manglares , por ejemplo) o del hábitat en que se desenvuelven
los grupos humanos del área donde se ha de localizar, deberá evaluarse con las
ventajas y desventajas sociales de tales transformaciones.
6.7.5.4 Efectos sociales
Quizás entre todos los efectos potenciales de un proyecto o un programa de inversión
en turismo, los sociales son los más discutibles y evaluarlos representa un problema de
criterios y orientaciones.
a) DEMOGRÁFICOS
Principalmente en las zonas deprimidas, un proyecto de importancia puede provocar
movimientos demográficos por la atracción de mayores ingresos y mejores condiciones
de vida. En algunos casos esto trae consecuencias beneficiosas por la creación de
empleo o incremento de ingresos, pero en otros crea intrincados problemas sociales
que se ven reflejados en mayores niveles de criminalidad, marginación, etc.,
especialmente cuando el programa de inversiones no satisface (como es frecuente) la
demanda de empleos o bien cuando se pasa de la fase de ejecución a la de operación
desempleando un gran número de trabajadores sin darles a cambio ninguna ocupación
remunerada.
Estas situaciones deben preverse al evaluar el proyecto, por lo que debemos revisar si
contempla su solución o no.
b) CULTURALES
Como mencionamos, la cultura es básicamente el conjunto de manifestaciones
fenomenológicas que una formación social crea para enfrentar y transformar su realidad
socioeconómica. En este sentido, el turismo es un agente de contacto entre filosofías y
hábitos, formas de comportamiento, técnicas e instrumentos de diferentes formaciones
y grupos sociales.
Las modificaciones que implica tal contacto a través del turismo pueden ser positivas a
la sociedad receptora (según beneficie a la mayoría de sus integrantes) o negativa. La
evaluación social deberá averiguarlo y emitir un juicio.
Por otra parte y dentro del ámbito cultural, las manifestaciones fenomenológicas de los
antecesores de estas formaciones sociales, pueden alterarse, deformarse o inclusive
desaparecer a consecuencia del turismo. Sería el caso de las depredaciones y
216
distorsiones que se provocan en sitios arqueológicos para hacerlos más turísticos . No
son raros tampoco los sitios en que el turismo trae consigo saqueadores que roban al
país sus riquezas históricas y parte del mismo atractivo que motiva a los flujos
turísticos. Un programa de inversiones que no contempla la protección al patrimonio
nacional deberá ser evaluado en las consecuencias que representa.
c) EDUCACIONALES
Las condiciones educacionales pueden también alterarse a favor o en contra de las
poblaciones que sufren una transformación como resultado de un programa turístico.
Su parte física o equipamiento necesario (comprendido en muchos casos dentro del
hábitat ) se mejora en numerosas ocasiones al formar parte de las obras generales
para las ciudades de servicios. Asimismo, los habitantes locales se ven impulsados
ante el contacto modernizador del turismo, a incrementar su educación, lo que se logra
en un buen número de individuos cuando esto se fija como objetivo dentro del
programa de inversión. La capacitación es uno de los rubros más importantes en todo
proyecto, y contribuye de alguna manera a elevar el nivel educacional en la zona,
siempre y cuando los trabajadores sean originarios de ella y se les ofrezca un constante
desarrollo.
d) SALUD
Algunos proyectos incorporan dentro de sus inversiones, fondos para obras básicas a
través de las cuales se mejoran las condiciones salubres en la zona donde se localiza.
En algunos casos, se llega a reacondicionar el medio ambiente natural con resultados
positivos para la flora y fauna local. Sin embargo, en la mayoría de las ocasiones lo más
que se realiza en este sentido (y sólo en programas turísticos de gran inversión) son
obras de infraestructura, complementadas con estaciones de servicio médico y
asistencial, lo que en sí mismo es de gran importancia, principalmente en las regiones
atrasadas.
Entre los efectos negativos experimentados y potenciales de un proyecto turístico
podemos anotar la contaminación del medio ambiente; la introducción, vía turismo, de
costumbres insalubres, etc. En cualquier caso conviene evaluar socialmente un
programa de turismo ponderando estos elementos.
6.7.5.5 Otros efectos generales
a) CREACIÓN DE UNA IMAGEN TURÍSTICA
Existen muchas razones e inclusive países, que no son conocidos en los principales
mercados internacionales de turismo. A través de importantes proyectos de inversión
217
para oferta de servicios la imagen del país o la región se fortalece, lo que deriva
finalmente no sólo en mayores flujos turísticos para ella, sino inclusive en el desarrollo
del reconocimiento público con lo que se mejoran las expectativas económicas para las
diferentes actividades localizadas en la zona del proyecto. Éste es un elemento
subjetivo, pero que se manifiesta en acciones concretas dentro de la realidad, por lo
que deberá considerarse al evaluar un proyecto.
b) EFECTOS SOBRE LAS CONDICIONES DE DEPENDENCIA
Los países con una industrialización limitada tienden a depender económicamente de
las naciones desarrolladas. Un proyecto turístico de grandes dimensiones puede crearle
o reforzarle a una sociedad semi-industrializada, lazos de dependencia por diversas
vías. Este hecho, si bien en algunos casos genera beneficios directos a corto plazo
(mayores ingresos sobre todo), en el largo plazo tiene un costo social inapreciable.
Es conveniente tener en cuenta las relaciones entre naciones o grupos económicos
regionales a las que eventualmente podrían dar lugar un proyecto específico. Su
evaluación en este campo, si bien pertenece a las esferas ejecutivas, no impide que en
el área técnica no se efectúen las acotaciones que correspondan.
REFERENCIA BIBLIOGRÁFICA
· Hernández Edgar.- Proyectos turísticos, formulación y evaluación
· SapagChain.- Preparación y evaluación de proyectos
· Baca Urbina Gabriel.- Evaluación de proyectos
218
7. PLAN DE NEGOCIOS
Elaborar un Plan de Negocios es fundamental para el éxito de cualquier proyecto.
Un Plan de Negocios bien preparado y periódicamente actualizado, es un valioso
instrumento de gestión, ya que durante su preparación se analiza la factibilidad de un
proyecto, se buscan alternativas y se proponen directrices del mismo.
A su vez, presentar el Plan de Negocios es indispensable a la hora de buscar
financiamiento para el proyecto, ya que reúne en un único documento, toda la
información para evaluar un negocio y los lineamientos para ponerlo en marcha.
Como definición, podemos decir que un plan de negocios es un documento que se
utiliza para analizar, evaluar y presentar un proyecto:
Un plan de negocios bien realizado indica qué hacer y cómo hacerlo; por lo tanto, si
bien el tiempo invertido en confeccionarlo puede significar costos, en realidad se trata
de una inversión.
Durante su elaboración se debe tener en cuenta qué se quiere lograr con él, por
ejemplo:
· Aprobación de una idea
· Conseguir un préstamo
· Análisis para uso interno
· Financiamiento de inversores al proyecto
· Venta o fusión de una empresa
Un Plan de Negocios es un instrumento de comunicación de una idea. Es importante
entender los códigos y prioridades de quien recibe el mensaje. Por ejemplo, si se trata
de un banquero, un industrial, un comerciante, la información será analizada desde
diferentes perspectivas.
En este capítulo, se desarrollarán los ítems que componen un plan de negocios. En
función del objetivo y los receptores, como se ha explicado, se deben analizar qué
puntos conviene profundizar o subrayar y cuáles simplemente mencionar.
Una vez definido el objetivo, podrá diseñar el plan considerando qué información le
interesa, quién la recibirá y de qué se intenta convencerlo.
219
Los Planes de Negocios deben ser concisos y de fácil lectura, deben ser tan breves
como sea posible.
Un plan de negocios analiza todos los aspectos de un proyecto, y se encuentran
generalmente, desarrollado de la siguiente manera:
1. Resumen Ejecutivo
2. Situación Actual
3. Ambiente Externo
4. Estrategia de Negocio
5. Recursos e inversiones necesarias
6. Factibilidad Técnica
7. Factibilidad Económica y Financiera
8. Responsables del Proyecto
9. Conclusiones
10. Anexos
7.1 RESUMEN EJECUTIVO
Es un breve análisis de los puntos relevantes del proyecto. Se debe describir en una
página, quién es usted, qué productos o servicios ofrece, destacando aquello que los
hace especiales, la estrategia de éxito del proyecto, los resultados esperados, qué
necesidades tiene y finalmente, las conclusiones.
Es decir, no es una mera introducción, sino que es un resumen del Plan de Negocios.
Por lo tanto, antes de escribir el resumen ejecutivo, se debe tener en cuenta por qué se
está redactando el plan, por ejemplo podemos citar.
Ø Búsqueda de financiamiento
Ø Convencer a un posible inversionista
Ø Conseguir una aprobación interna dentro de la organización
Ø Crear una herramienta administrativa para el equipo de trabajo
A modo de ejemplo, a continuación se presenta un resumen ejecutivo:
Resumen ejecutivo
Es una breve introducción en la que se describe el objetivo del plan, lo que se ofrece y
las posibles recompensas. Se debe hincar directamente, indicando qué es lo que se
desea obtener con el plan.
ANDAMIOS S.A. busca un financiamiento del 50% para realizar un plan de 50 viviendas
en el barrio Los Sauces. Este proyecto rendirá en 2 años utilidades neta de
220
Historia de la organización
Aquí, es donde se describe muy brevemente, quién es la organización encargada de
llevar a cabo el proyecto.
ANDAMIOS S.A. es una empresa constructora que brinda servicios para la construcción
de obras civiles desde 1990. nos destacamos por
Mercado
Es necesario indicar a qué mercado va dirigido el producto.
Ejm.- Las viviendas están dirigidas a la población de menores recursos de un sector
urbano
Descripción del producto o servicio ofrecido
Se debe indicar qué producto ofrece la empresa, enfatizando en qué se destaca.
El conjunto de viviendas está construido bajo un sistema de construcción que ofrece:
acortamiento de plazos de construcción, mejor aislamiento térmico que los sistemas
tradicionales
Estrategia
Hay que incorporar unja breve descripción de la estrategia, que permitirá el éxito del
proyecto.
La empresa busca con este proyecto, recuperar participación en ese mercado que tuvo
durante el período
Datos financieros
Se indican los datos financieros claves del proyecto, así como el financiamiento
requerido.
La utilidad el proyecto Con un flujo de fondos que presenta
Si bien el resumen ejecutivo se incluye al comienzo del Plan de Negocios, y es
conveniente redactarlo antes que las demás secciones del plan, se recomienda, una
vez concluido todo el Plan de Negocios, volver al resumen ejecutivo y reescribirlo si
fuera necesario, ya que en ese momento se cuenta con una visión mucho más profunda
del negocio.
221
7.2 SITUACIÓN ACTUAL
Antes de realizar el análisis de mercado, se debe brindar información básica del
proyecto como:
Ø Información básica de la empresa
Ø Cuál es el negocio que se desarrollará
Ø Quiénes presentan el plan
Ø Historial del negocio
Ø En caso de una empresa en marcha, la visión y misión de la misma
Ø Resumidamente, qué actividades recientes ha realizado la empresa
En esta etapa del plan de negocio, el interés debe estar puesto en conocer a fondo el
estado interno de su negocio.
7.3 AMBIENTE EXTERNO
Análisis de mercado y competidores
Así como en el apartado anterior del plan, uno se ocupaba de la situación interna, ahora
lo que se evaluará es la situación externa, todo aquello que rodea al negocio; es decir,
sus proveedores, sus competidores, canales de distribución, influencias económicas y
políticas, y obviamente, sus clientes (potenciales y reales). Si bien usted podrá influir
sobre algunos de estos factores, generalmente los más cercanos a su negocio, deberá
conocerlos a todos tan profundamente como le sea posible.
La idea es que logre conocer al ambiente externo y sepa qué factores puede controlar,
cuáles no, cuáles influyen mucho en su negocio y cuáles lo hacen en menor medida. En
aquellos factores que influyen mucho en su proyecto y que usted no puede controlar,
deberá buscar cómo responderá sus proyectos ante diversos escenarios.
Es importante recalcar que en todo plan de negocios, se debe realizar cuidadosamente
todos los factores externos, no sólo porque es una parte infaltable en el documento,
sino porque el análisis de todos estos factores nos permite conocer en qué mundo se
desarrollará nuestro proyecto.
A continuación, describimos dos factores centrales para el análisis del ambiente
externo: el mercado y la competencia.
Análisis de mercado
Se realiza el análisis de mercado para conocer la demanda del producto o servicio; se
222
decir, se busca conocer quiénes son y qué quieren clientes o consumidores.
Cuando hablamos de mercado, nos referimos a todos los clientes, reales y potenciales,
que existen para nuestro producto o servicio.
Para poder calcular la demanda, lo que se realiza generalmente es una segmentación
del mercado. Con la segmentación, lo que se logra es agrupar a los posibles clientes en
grupos que puedan recibir el mismo enfoque.
Dos datos importantes debe obtener en esta parte del plan de negocios: debe
demostrar que conoce bien a los clientes a los que se dirige (la segmentación lo
ayudará a determinar una estrategia para tratar a sus clientes) y debe conocer la
potencial demanda, es decir, cuánto podrá venderse del producto o servicio.
Análisis de competidores
Es importante que se identifique y sepa quiénes son las principales empresas que
operan en su mercado, intentando no dejar de lado aquellas empresas que pueden ser
potenciales competidores.
Los competidores se agrupan en tres categorías:
Ø Competidores directos
Ø Competidores indirectos
Ø Competidores potenciales
Competidores directos
Son aquellos más fácil de identificar, ya que son los que ofrecen el mismo servicio o
producto.
Competidores indirectos
Son aquellos que ofrecen productos o servicio que podrían llegar a ser sustituidos de
los productos o servicios propios.
Competidores potenciales
Son los que hoy por hoy no ofrecen productos o servicios similares, pero que por sus
características podrán llegar a ofrecerlas en el futuro.
Principalmente, se debe listar en el plan de negocios, a los competidores y su
participación en el mercado (market share).
223
Para realizar un correcto análisis de los competidores, será importante que conozca los
clientes a los que se dirige, la política de precios y la estrategia para el futuro. Es
importante conocer las ventajas competitivas que cada uno de los competidores
presentan.
Es recomendable, para hacer este análisis, realizar un benchmarking con la
competencia. Lo que se realiza en esta caso, es una evaluación de aquellos factores
que se consideran importantes para cada una de las empresas de la competencia.
Con esta evaluación, se podrá detectar las ventajas competitivas que tiene cada
organización, para poder determinar la manera en que el negocio propio va a
interactuar en ese entorno. De identificarán cuáles son los límites para entrar en el
mercado propuesto.
Una vez conocidos los competidores, es posible conocer las ventajas competitivas del
negocio propio, basándose en el análisis de benchmarking descrito más arriba y en el
análisis FODA que se desarrolla en el punto siguiente.
Se busca conocer aquellos puntos en los que el negocio aventaja a la competencia,
teniendo en cuenta que muchas veces, una fortaleza propia no es una ventaja
competitiva en el mercado porque la competencia realiza esa actividad igual de bien y
en caso contrario, quizás una debilidad propia, es una ventaja competitiva porque la
competencia lo realiza peor. Es importante, no confundir ventajas con las fortalezas
internas del negocio, pueden o no coincidir.
Análisis FODA
El análisis FODA (Fortalezas, Oportunidades Debilidades y Amenazas, SWOT, son sus
siglas en inglés) es una herramienta de análisis estratégico, con el que se identifican
fortalezas y debilidades del negocio, y amenazas y oportunidades que existen en el
entorno en el que se va a desarrollar el proyecto. En líneas muy generales, se puede
decir que las oportunidades y las amenazas, son factores externos al negocio que no se
pueden controlar; y que las fortalezas y debilidades, son factores internos del negocio
sobre los que se tiene control.
Este análisis sirve para conocer con mayor detenimiento la situación actual del negocio
y actuar basándose en ese conocimiento. Conocer las fortalezas permite apoyar el
negocio en ellas, así como identificar las debilidades hará que el equipo de trabajo
busque la manera de subsanarlas. Con respecto a las amenazas que no se pueden
controlar y que se reciben del ambiente externo, se debe elaborar la estrategia de
negocio que permita enfrentarse a ella.
El análisis FODA, es un punto de apoyo para elaborar el plan estratégico, permite
aprovechar las ventajas de la organización y sirve para analizar los posibles riesgos del
negocio.
224
A modo de ejemplos de fortalezas, podemos citar:
Ø En el área de proceso, la alta productividad
Ø Habilidades en diferentes áreas, como marketing o investigación
Ø Poseer tecnología de punta para realizar el proceso
Ø Buen flujo de efectivo
Ø Personal calificado
Ø Buena capacidad para satisfacer el cliente
En lo que se refiere a debilidades, podemos citar:
Ø Altos lead time
Ø Gran carga de deudas
Ø Equipos obsoletos y mal mantenimiento de los mismos
Ø Personal poco calificado
Ø Mala investigación de mercado
Con respecto a oportunidades:
Ø Un mercado que crece rápidamente
Ø Posibilidad de obtener fondos a bajos costos
Ø Crecimiento económico de la región, que implicará mayor demanda
Ø Competencia fragmentaria
Con respecto a oportunidades:
Ø Un mercado que crece rápidamente
Ø Posibilidad de obtener fondos a bajos costos
Ø Crecimiento económico de la región, que implicará mayor demanda
Ø Competencia fragmentaria
Por último, en lo que se refiere a amenazas, podemos dar a modo de ejemplos:
Ø Un mercado saturado
Ø Altos costos para obtener fondos
Ø Mala situación económica de la región
Ø Competencia fuerte con un departamento fuerte en investigación
7.4 ESTRATEGIA DE NEGOCIOS
Al llegar a este punto, se ha realizado una parte importante del análisis del negocio
propiamente dicho. Se efectuó un estudio del ambiente que rodea al negocio (mercado
y competencia). A su vez, de identificaron mediante el análisis FODA y el análisis de la
competencia, las ventajas competitivas. Basándose en la información obtenida se
puede definir la estrategia que sea más adecuada al proyecto en cuestión.
225
Según Stutely, una estrategia es un mapa de caminos, que indica a dónde se quiere
llegar, por qué medios se pretende conseguirlo, pero que no señala cómo se debe
conducir o cómo franquear los pequeños obstáculos que salgan al paso (Stutley
Richard 2000). Es decir la estrategia no dice qué hacer, sino que marca el rumboi del
proyecto, es una guía para dirigirse a los objetivos propuestos.
Podemos citar como estrategias de negocios:
Ø Estrategias que buscan integración (hacia atrás, horizontales, hacia delante)
Ø Estrategias orientadas al mercado (penetración de mercado, desarrollo de
productos nuevos y mercados nuevos)
Ø Estrategias de diversificación (conglomerados, horizontales)
Ø Estrategias de defensa (unión de compañías)
Una herramienta utilizada para el análisis estratégico, es la matriz de estrategias
genéricas de Michael Porter, según el cual las empresas pueden optar entre tres tipos
de estrategias posibles:
1) Estrategia de foco: lo que se busca es identificar un nicho en el mercado que aún
no ha sido explotado. En esta estrategia, se reconoce, que el mercado busca
productos o servicios especializados.
2) Costos: el foco está puesto en competir a través de los costos con los
competidores. Poseer costos menores que la competencia permitirá reinvertir en
el negocio o brindar precios más bajos.
3) Diferenciación: lo que se busca con esta estrategia es diferenciar el producto o
servicio para hacer de su estrategia un éxito; es decir, se deben identificar los
factores críticos de éxito, aquellos que aseguren el éxito del plan, si se cumplen.
Podemos citar como ejemplos de factores críticos de éxito:
Ø Costo de insumos
Ø Ventas
Ø Logística
Ø Índice de devoluciones
Ø Recursos humanos
Ø Penetración en el mercado
Una vez que se eligió una estrategia de negocios, lo que se hace es desarrollar una
serie de estrategias departamentales: investigación y desarrollo, producción, marketing,
recursos humanos, etc.
Se debe profundizar más en los detalles, y en que cada uno de los sectores del
proyecto estén alineados con la estrategia de negocios. Si por ejemplo, su estrategia de
negocios es aumentar la participación en el mercado, la estrategia del departamento de
marketing, será una estrategia para atacar a la competencia y así desplazarlos.
226
Al plantear la estrategia, se debe buscar inspirar credibilidad, en el personal. Es
importante que los gerentes participen en el proceso de planeación, ya que permite que
asuman sus compromisos.
7.5 RECURSOS E INVERSIONES NECESARIAS
Es importante mostrar en el plan de negocios, cuáles son los recursos que se necesitan
para poner en marcha el proyecto y de donde se obtendrán.
A su vez, se deben detallar las necesidades de inversión. Desde especificarse cuál es
el capital de trabajo, que es el que necesitará la empresa para funcionar hasta producir
ingresos propios.
También es central, conocer el momento en que cada inversión se hará necesaria. Por
ejemplo, cuál será el capital inicial.
Es necesario describir, cuál será el origen del capital a invertir. Básicamente, las
alternativas de financiamiento son: el capital propio de la empresa o personas que
realizan el plan y el capital ajeno, obtenido a través de préstamos o inversiones.
7.6 FACTIBILIDAD TÉCNICA
Se debe incluir aquí, el estudio de factibilidad técnica, que permite observar las
posibilidades de concreción técnica del proyecto.
Lo que se evalúa con este estudio es, cuáles son las probabilidades reales de realizar el
proyecto, qué tipo de riesgos técnicos se está corriendo y qué medidas se pueden
tomar, para prevenir o disminuir los riesgos.
Se debe considerar en este estudio:
Ø Disponibilidad y costo de los insumos
Ø Estructura de la Organización
Ø Análisis del marco legal del proyecto
Ø Análisis del impacto ambiental
7.7 FACTIBILIDAD ECONÓMICA Y FINANCIERA
Otro estudio que debe incluirse en el Plan de Negocios, es el estudio de factibilidad
económica y financiera, que estudia las posibilidades de concreción económica y
financiera del proyecto.
Esta parte del plan debe mostrar que el proyecto presentado es factible
económicamente. Es decir, que la inversión a realizarse es justificada por las ganancias
227
que generará.
Asimismo, se debe evaluar qué tipo de riesgos financieros aparecen en el proyecto, y
cuáles son las áreas de mayor riesgo. Las alternativas de financiamiento del proyecto,
deben describirse en este punto.
Se debe incluir en éste análisis:
Ø Análisis de mercado
Ø Análisis impositivo
Ø Flujo de caja (proyección de ingresos y egresos del proyecto)
Ø Valor Actual Neto (VAN)
Ø Tasa Interna de Retorno (TIR)
Ø Período de Recuperación
Análisis de sensibilidad
Al realizar el flujo de fondos, se efectuaron una serie de supuestos sobre el
comportamiento de variables que afectan al proyecto. El análisis de sensibilidad, es una
herramienta que permite evaluar el impacto e las modificaciones de los valores de las
variables sobre el proyecto.
Cuando hablamos de variables que afectan al proyecto, nos referimos por ejemplo:
Variables del proyecto:
Ø Pronóstico de Ventas
Ø Presupuesto de Costos
Ø Comportamiento de la Competencia
Ø Crecimiento del Negocio
Variables del Contexto:
Ø Inflación
Ø Tipo de Cambio
Ø Tasa de Interés
Ø Impuestos
Estos factores varían considerablemente para cada proyecto en particular, por lo que
deben estudiarse cuidadosamente todos los factores, para poder identificar cuáles son
los que afectan efectivamente al proyecto.
Este tipo de análisis se incluye en el Plan de Negocios porque muestra que se ha
pensado en las posibles contingencias y cómo afectan el resultado del proyecto, siendo
una herramienta importante para la toma de decisiones.
Un mayor desarrollo sobre este punto se encuentra en el capítulo 2 de este libro.
228
7.8 RESPONSABLES DEL PROYECTO
Es importante para el receptor del Plan de Negocios, conocer quiénes son los
responsables del proyecto, ya que un proyecto que funciones técnica y
económicamente puede fracasar si está en manos inexpertas.
Una forma simple de presentar a los responsables del proyecto, es a través de un
Organigrama, ya que rápidamente se visualiza la relación existente entre todos los
miembros del equipo y sus responsabilidades.
Además de presentar el organigrama de la organización, es conveniente destacar a las
personas claves para el éxito del proyecto, brindando una breve descripción de su
trayectoria y comentar, en caso de que hayan participado en proyectos similares, al que
se presenta en el plan de negocios.
Quien lea el plan de negocios, debe confiar que el equipo encargado de realizar el proyecto es idóneo.
CONCLUSIONES
En esta parte del plan, lo que se realiza es una interpretación de los hechos. Es el
momento en el que el autor del plan busca convencer al destinatario del mismo, que
debe realizar la inversión en su proyecto.
Se debe ser lo más conciso posible, utilizando datos concretos y significativos del
proyecto propuesto.
No debe ser un mero resumen del plan de negocios (el resumen ya fue redactado en el
resumen ejecutivo), sino que se debe tomar inteligentemente los datos más
significativos y destacados del negocio para convencer al receptor del plan.
7.9 ANEXOS
En la última parte del Plan e Negocios, se ubican los anexos en los que se ofrece toda
aquella información que brinda soporte a los datos presentados en el plan.
Es recomendable evitar incluir en los anexos, información que podría ir perfectamente
en el cuerpo central del Plan de Negocios.
Anexos posibles de incluir en un plan de negocios:
Ø Currículum Vitae si son muy extensos
Ø Informes de auditores
Ø Proyectos actuales
Ø Información financiera detallada
229
BIBLIOGRAFIA
· Borello Antonio.- El Plan de negocios
· Stutely Richard.- El Plan de negocios: estrategia inteligente
· Bangs David.- El Plan de negocios: Guía completa para definir un producto
ADENDUM
ANALISIS DE DECISIONES PARA EMPRENDIMIENTOS TURISTICOS
1.- INTRODUCCION
Todos y cada uno de nosotros pasamos los días y las horas de nuestra vida teniendo
que tomar decisiones. Algunas decisiones tienen una importancia relativa en el
desarrollo de nuestra vida, mientras otras son gravitantes en ella.
Para los administradores, el proceso de toma de decisión es sin duda una de las
mayores responsabilidades.
La toma de decisiones en una organización se circunscribe a una serie de personas que
están apoyando el mismo proyecto. Debemos empezar por hacer una selección de
decisiones, y esta selección es una de las tareas de gran trascendencia. Con frecuencia
se dice que las decisiones son algo así como el motor de los negocios y en efecto, de la
adecuada selección de alternativas depende en gran parte el éxito de cualquier
organización. Una decisión puede variar en trascendencia y connotación.
Los administradores consideran a veces la toma de decisiones como su trabajo
principal, porque constantemente tienen que decidir lo que debe hacerse, quién ha de
hacerlo, cuándo y dónde, y en ocasiones hasta cómo se hará. Sin embargo, la toma de
decisiones sólo es un paso de la planeación, incluso cuando se hace con rapidez y
dedicándole poca atención o cuando influye sobre la acción sólo durante unos minutos.
230
¿Qué es la toma de decisiones? La toma de decisiones es un proceso de definición de
problemas, recopilación de datos, generación de alternativas y selección de un curso de
acción.
PROCESO DE TOMAS DE DECISIONES - Strong
Precondiciones para la toma de decisiones Los fundamentos de la toma de decisiones
entran en juego cada vez que en una organización se realizan actividades de
planeación, organización, dirección y control. Sin embargo, para que un proceso de
toma de decisiones pueda considerarse completo es preciso que existan ciertas
precondiciones. Estas precondiciones se cumplen cuando es posible responder sí a
las cuatro preguntas siguiente:
1. ¿Existe una diferencia entre la situación presente y las metas deseadas?
2. ¿El responsable de tomar la decisión está consciente del significado de la
diferencia?
3. ¿El responsable de tomar la decisión se siente motivado a actuar para eliminar la
diferencia?
4. ¿El responsable de tomar la decisión cuenta con los recursos necesarios
(capacidad y dinero, por ejemplo) para actuar a
De no existir alternativas, no existe AD. Además, el decisor está interesado en tomar la
mejor decisión posible, la que será el resultado de la información y el tiempo disponible.
ANÁLISIS DE DECISIONES (A.D.): Consiste en un conjunto de técnicas y
procedimientos orientados a reducir el margen de error en las decisiones adoptadas en
el marco de la administración de negocios turísticos. Suele también denominarse AD
(Análisis de Decisiones); son sus elementos constitutivos:
§ El Objetivo o problema a solucionar
§ Las alternativas de elección
§ Los atributos o condiciones y su valoración
§ La probabilidad asociada a cada alternativa
Este taller: Análisis de Decisión (DA), resuelve cuatro problemas de decisión típicos:
Análisis de Bayes, análisis de tabla de pagos, análisis de árbol de decisión, y teoría de
juegos de suma-cero. Las capacidades específicas incluyen:
231
· Resuelve Problemas del Análisis de Bayes
· Encuentra las probabilidades posteriores dado un estudio o información de la
muestra
· Analiza la tabla de pagos
· Usa siete criterios para tomar la decisión para la situación de pagos. También se
evalúan valores de información perfecta y/o información de la muestra.
· Analiza el árbol de decisión
· Evalúa valores esperados por cada nodo o evento y elige la opción.
· Resuelve juegos de suma-cero de dos jugadores
· Halla el Punto de silla de montar para la solución estable o las probabilidades
óptimas para la solución inestable.
· Dibuja el gráfico del árbol de decisión para Análisis de Bayes, tabla de pagos, y
problemas de árbol de decisión
· Realiza una simulación Monte Carlo para el problema de juego de suma-cero
· La introducción de datos se da en formato de hoja de cálculo
REFERENCIA BIBLIOGRAFICA
· León Orfelio.- Análisis de decisiones: Técnicas y situaciones aplicables a las
empresas
· Cañabate Antonio.- Toma de decisiones: Análisis y entorno organizativo
· Urquijo de la Puente José Luis.- Análisis para decisiones financieras: Análisis y
estados financieros
232
EVALUACIÓN ECONÓMICA Y FINANCIERA DE PROYECTOS DE INVERSIÓN
(BASADA EN LA TEORÍA DE OPCIONES REALES)
1.- INTRODUCCION
Uno de los mayores problemas que se presenta al realizar el estudio y evaluación
económicade proyectos, es justificar económicamente la inversión de recursos en un
proyecto que se enfrenta acondiciones de alta volatilidad e incertidumbre. Esto, debido
a que los flujos de caja obtenidos en lapráctica, probablemente diferirán de los
pronosticados por los ejecutivos a cargo de la evaluación. Por lomismo, al arribar nueva
información producto del paso del tiempo, ocurriendo la disipación de laincertidumbre
sobre las condiciones de mercado y los montos de los futuros flujos de caja, los
ejecutivos
El presente taller ha sido diseñado para los futuros profesionales de la carrera de
administración turística de la Universidad Nacional de Loja, en el desarrollo del taller
tendrán la flexibilidad de alterar la estrategia operativa inicialmente propuesta, para así
capitalizar lasoportunidades de negocio que se le presenten o para evitar y/o disminuir
pérdidas.
Al evaluar este tipo de proyectos dos visiones saltan a la palestra: la evaluación
estratégica,que se enfoca en lo que el proyecto puede llegar a lograr cualitativamente y
la teoría financiera, que seenfoca en lo que el proyecto puede llegar a lograr
cuantitativamente.
Los métodos tradicionales de evaluación económica de proyectos, basados en la
teoríafinanciera, como son el VAN, el TIR, los árboles de decisión y la Simulación de
Montecarlo, se muestran incapacesde realizar una correcta evaluación de la mayoría de
233
los proyectos de inversión, sometidos a condicionesde alta incertidumbre, ya que no
son capaces de capturar adecuadamente la flexibilidad intrínseca de losproyectos, en
términos de revisar las decisiones en respuesta a los movimientos inesperados del
Mercado.
Estos métodos, consideran un único escenario esperado de flujos de caja del
proyecto, asumiendo unagestión estática en el desarrollo del mismo, apegados a una
única estrategia operativa.
Por otra parte, la flexibilidad administrativa de adaptar las acciones futuras de un
proyecto,sí puede ser capturada mediante el análisis estratégico, donde la consecución
de la ventaja competitivay el liderazgo de mercado, pueden ser medidos en términos de
un análisis de la sustentación, flexibilidady posicionamiento que posee el proyecto,
como elementos fundamentales a la hora de evaluar. Sinembargo, su aplicación ha
llevado a que condiciones como el juicio e intuición del evaluador cobrenimportancia,
produciendo subjetividad y diferencias al momento de evaluar un mismo proyecto.
Estefenómeno, ha acelerado la búsqueda y el desarrollo de nuevas técnicas que
permitan adecuar la decisióna este tipo de condiciones, surgiendo como una visión
alternativa la Teoría de Opciones Reales.
2.- OBJETIVO.- Aportar con elementos teóricos y prácticos que facilitenla tarea de
quienes llevan adelante proyectos; brindándoles herramientas para analizar, evaluar,
seguir y controlar los mismos desde el punto de vista económico y financiero
3. METODOLOGÍA
A la hora de realizar la valoración de las Opciones Reales presentes en un proyecto
deinversión, se ha propuesto una regla general de aplicación, llamada Modelo de los
Cuatro Pasos [Amram&Kulatilaka, 2000]. Esta técnica, describe el proceso a seguir al
234
analizar todo proyecto de inversión,con el fin de determinar cuál de las distintas técnicas
de solución de Opciones Reales propuestas, debe ser aplicada en cada caso particular.
Para llegar a proponer una metodología específica de evaluación económica de
proyectosde inversión a partir de la Teoría de Opciones Reales, se realizó la reducción
de la técnica de los cuatropasos, realizando una serie de consideraciones y supuestos,
con el fin de llegar hasta una metodologíaespecífica, que facilite y simplifique la
aplicación del complejo fondo teórico de las Opciones Reales,permitiendo que ésta sea
utilizada de forma común por todos los estudiantes que están por culminar su formación
académica
El valor de un conjunto de Opciones no es igual a la suma de las Opciones
individualesque lo componen, ya que durante la vida del proyecto existen interacciones
entre las Opciones presentes,cuya incidencia en el valor del proyecto no puede ser
determinada a priori. Por esto, será muy importantea la hora de realizar la valoración de
Opciones Reales, considerar métodos capaces de medir estasinteracciones. De entre
los métodos analizados se concluyó que el método Binomial con
transformadalogarítmica permite manejar fácilmente la interacción de los diversos tipos
de Opciones Reales, permitiendo
de esta manera, realizar una evaluación económica bastante fiel de los proyectos de
inversión con altavolatilidad.
Es así, como se tratamos de proponer una Metodología de Evaluación Económica de
proyectos de inversión a partir de la Teoría de Opciones Reales , la cual considera los
siguientes seis pasos de aplicación:
Paso 1: Realizar la evaluación económica del proyecto de inversión mediante la
Metodología Tradicional.Esto es, calcular el VAN del proyecto a partir de la estimación
de los Ingresos, Costos e Inversionesque involucra el proyecto durante su vida útil,
235
realizando el cálculo de los Flujos de Caja anuales,los cuales serán descontados a
partir de una cierta tasa de descuento.
Paso 2: Calcular el VAN del proyecto a partir de los Ingresos y Costos. Calcular un
nuevo VAN, utilizandopara ello sólo los Ingresos y Costos calculados anteriormente,
realizando el cálculo de nuevosFlujos de Caja Anuales y descontándolos con la tasa de
descuento.
Paso 3: Construir diagramas de Flujos de Caja y política de Inversiones. Los nuevos
Flujos de Cajacalculados al considerar sólo los Ingresos y Costos y la serie de
Inversiones, no consideradapara este particular, deberán ser resumidos en un
Diagrama de Flujos de Caja que representelos egresos e ingresos que ocurrirán
durante el horizonte de evaluación del proyecto de inversión.
Paso 4: Identificar las Opciones Reales presentes en el proyecto de inversión. A partir
del Diagramarealizado en el Paso 3, se deberán identificar dentro del Horizonte de
evaluación del proyecto lapresencia y ubicación temporal de las Opciones Reales de
Esperar, Abandonar, Contraer,Expandir y Cambio a mejor uso alternativo. De modo de
facilitar el análisis, estas podrán serplasmadas en una figura que permita representarlas
dentro del horizonte de evaluación delproyecto de inversión.
Paso 5: Realizar el cálculo del valor del Proyecto incorporando el valor de las Opciones,
utilizando elMétodo Binomial con Transformada Logarítmica. Se realizarán los 4 pasos
del proceso desolución del Método Binomial con transformada logarítmica, realizando el
ingreso de losparámetros iniciales y de las características de las Opciones Reales, el
cálculo de los parámetrosinternos del Modelo, el Desarrollo del árbol Binomial con la
evolución estocástica del proyectoen el tiempo, para finalmente obtener el valor del
Proyecto mediante un proceso interactivo haciaatrás, realizando ajustes según una
cierta política al encontrarse con determinado tipo deOpciones Reales.
236
Paso 6: Análisis de Resultados. Finalmente se analizarán y contrastarán los Resultados
obtenidos enlos Pasos 1 y 5, realizando una toma de decisiones que incorpore el valor
de la flexibilidadestratégica del proyecto, producto de la existencia e interacción de las
Opciones Reales.
4.- CONTENIDOS
1.- Métodos de evaluación que toman en cuenta el valor del dinero a través del tiempo
2.- Métodos de Evaluación que no toman en cuenta el valor del dinero a través del
tiempo
3.- Razones de liquidez
4.- Razones de Rentabilidad
5.- Razones de Cobertura
6.- Razón de la capacidad de pago de intereses
REFERENCIA BIBLIOGRÁFICA
ü VARELA V Rodrigo, Innovación Empresarial el arte y la ciencia de la creación de
empresas

Módulo 10-formulación-elaboración-y-evaluación-de-proyectos-turísticos1

  • 1.
    1 UNIVERSIDAD NACIONAL DELOJA ÁREA JURÍDICA, SOCIAL Y ADMINISTRATIVA CARRERA DE ADMINISTRACIÓN TURÍSTICA FORMULACIÓN,ELABORACIÓN Y EVALUACIÓN DE PROYECTOS TURÍSTICOS Período Académico: Marzo Julio 2011 Duración: 30 créditos LOJA ECUADOR 2.011
  • 2.
    2 UNIVERSIDAD NACIONAL DELOJA ÁREA JURÍDICA, SOCIAL Y ADMINISTRATIVA CARRERA DE INGENIERÍA EN ADMINISTRACIÓN TURÍSTICA Dr. Gustavo Villacís Rivas, Mg. Sc. RECTOR DE LA UNIVERSIDAD NACIONAL DE LOJA Dr. Ernesto González Pesántes, Mg. Sc. VICERRECTOR DE LA UNIVERSIDAD NACIONAL DE LOJA Dr. Rogelio CastilloBermeo, Mg, Sc. DIRECTOR DEL ÁREA JURÍDICA, SOCIAL Y ADMINISTRATIVA Dr. Mauricio AguirreAguirre, Mg. Sc. COORDINADOR DE PREGRADO Lic. Diana Nagua Suing, Mg. Sc. COORDINADORA DE LA CARRERA DE INGENIERÍA EN ADMINISTRACIÓN TURÍSTICA RESPONSABLES DEL REDISEÑO: Eco. Rodrigo Enrique Estrella Torres Lcda. María Paulina Paladines Ludeña Ing. Víctor Antonio Paredes Ortega
  • 3.
    3 MÓDULO 10 FORMULACIÓN, ELABORACIÓNY EVALUACIÓN DE PROYECTOS TURÍ STICOS CONTENIDO I. PRESENTACIÓN II. DESCRIPCIÓN DE LA PROBLEMÁTICA QUE ABORDA EL MÓDULO . III. OBJETO DE TRANSFORMACIÓN IV. OBJETIVOS V. COMPETENCIAS O PRÁCTICAS PROFESIONALES VI. PERFIL PROFESIONAL QUE CUBRE EL MÓDULO. VII. DESCRIPCIÓN DEL PROCESO DE INVESTIGACIÓN FORMATIVA, EXPLICITANDO LAS CARACTERÍSTICAS DE LAS ACTIVIDADES .. VIII. REFERENTES TEÓRICOS Y ACTIVIDADES PRÁCTICAS . IX. PRACTICAS PRE-PROFESIONALES O PASANTÍAS Y, ACTIVIDADES DE VINCULACIÓN CON LA COLECTIVIDAD X. METODOLOGÍA XI. DETERMINACIÓN DE TIEMPO Y CRÉDITOS .. XII. PRODUCTOS ACREDITABLES
  • 4.
    4 XIII. CRITERIOS PARALA EVALUACIÓN, ACREDITACIÓN Y CALIFICACIÓN DE LOS APRENDIZAJES XIV. EQUIPO DOCENTE XV. BIBLIOGRAFÍA XVI. MATRIZ DE DESARROLLO DEL MÓDULO
  • 5.
    5 PROGRAMACIÓN MICRO CURRICULAR 1.PRESENTACIÓN Los cambios en el medio ambiente de las organizaciones turísticas es cada vez más dinámica. La globalización, la competitividad, los cambios económicos, tecnológicos, legales, de mercado, etc. aunado a su crecimiento e integración hacen más compleja la tarea administrativa de los recursos turísticos. Las empresas turísticas requieren eliminar subjetividad en la toma de decisiones, manteniendo una visión de largo plazo en un ambiente internacional, por lo que se requiere su profesionalización, mediante el uso de herramientas administrativas que permitan alcanzar sus objetivos con eficiencia. El Estudio de Formulación, Elaboración y Evaluación de Proyectos Turísticos y su incidencia en el fomento y desarrollo de la Actividad Turística en la región Sur del Ecuador, corresponde al Módulo 10 de la Carrera de Administración Turística. Este Módulo tiene como propósito involucrar al estudiante universitario que esta por culminar su Carrera Universitaria en el conocimiento, análisis e interpretación de los sistemas de Formulación, Elaboración y Evaluación de Proyectos Turísticos, propuestos desde un punto de vista técnico, económico, financiero, administrativo y medio ambiental, con énfasis en el ámbito local regional. Esta nueva propuesta científica de investigación y desarrollo consideran un amplio espacio de accionar de las prácticas profesionales, puesto que se constituyen en el epílogo de formación académica de quienes como estudiantes han cumplido con su formación básica elemental, con su Formación General en Turismo, con los tres componentes de Administración Hotelera, Administración de Alimentos y Bebidas y Administración de Agencias de Viajes y Transportes. Este antecedente que orienta un período de formación en Gestión de Empresas Turísticas, tiene como consecuente ineludible la presente propuesta de Formulación, Elaboración y Evaluación de Proyectos Turísticos. Pues será el período académico modular en donde los estudiantes que egresan de las aulas universitarias estén en plena capacidad de proponer como entes generadores de trabajo y desarrollo empresarial un esquema de procedimiento encaminados a ofertar a la comunidad de su localidad, de la región y del país en general un nuevo diseño de alternativas de inversión, construcción y gestión de actividad turística. El objetivo de este Módulo 10, es generar estudiantes que se formen como profesionales con elevados principios éticos, con aptitudes para la comunicación y con habilidades naturales de liderazgo y capacidad emprendedora para aprovechar los recursos naturales de la ciudad y provincia de Loja. Este profesional formado en el área de la Administración Turística estará en la capacidad de Formular, elaborar y evaluar proyectos de emprendimientos turísticos como un proceso técnico administrativo que sustente la toma de decisiones
  • 6.
    6 Indudablemente el estudiantedeberá demostrar su predisposición en relación con: la nueva metodología de trabajo; para observar la normatividad, reglas y principios de la carrera de Administración Turística, del Área Jurídica, Social y Administrativa de la Universidad Nacional de Loja; para identificarse con la visión y misión de estas y actuar de acuerdo a las normas y principios establecidos con anterioridad por el Alma Máter Lojana. 2. PROBLEMÁTICA Sin duda alguna este se concentra en el desconocimiento del estudiante de un procedimiento que le otorgue la plena capacidad de cómo generar una Planificación y Organización Empresarial, a través de la propuesta de Proyectos de desarrollo, la misma que le permita enfrentar una crisis científico técnica y medio ambiental que afecta negativamente al desarrollo turístico y humano, expresándose en un deterioro de las condiciones de la calidad de vida de la sociedad en general. La inobservancia de una estructura curricular uniforme. La dependencia de factores analíticos y de procedimiento que no confluían en un esquema tangible y real de características moldeables; de acuerdo a la necesidad de este mundo globalizado en todos los sectores empresariales; y. de manera particular en el sector empresarial turístico: como incidencia directa de la relevancia que ha presentado este rubro económico en las tres últimas décadas. La dimensión socio económica considera: la deuda externa, economía social de mercado, apertura del capital extranjero, privatización de las empresas estatales, recesión económica, políticas de precios reales, eliminación de subsidios, altas tasas de los servicios públicos, inflación, dolarización, reducción del tamaño del estado, corrupción, desempleo, pobreza, miseria, desatención general al sector turístico, educación, vivienda, flujo migratorio, violación a los derechos humanos, etc. En lo ideológico político jurídico se considera: La ideología neoliberal, crisis institucional de las Empresas Turísticas Privadas y Estatales, reforma del marco jurídico del Estado, irrespeto a la soberanía nacional, promulgación de leyes sin sustento jurídico, etc. Lo histórico cultural del hombre: pérdida de valores ético morales, irrespeto a la identidad cultural y de género, inconvenientes respecto a la unidad en la diversidad pluricultural y pluriétnica, etc. En el aspecto científico técnico: Utilización limitada de los aportes de desarrollo en cuanto tiene que ver con la Formulación, Elaboración y Evaluación de Proyectos Turísticos. En la dimensión medio ambiental: Limitaciones para garantizar un desarrollo sostenible y sustentable turístico en todas sus manifestaciones, problemas medio ambientales relacionados con la desertificación, degradación de los recursos, contaminación del medio ambiente, zonas francas de turismo, destrucción de la capa de ozono, deforestación,
  • 7.
    7 explotación irracional delos recursos naturales renovables y no renovables, etc. Frente a esta realidad, la propuesta de proyectos turísticos realizables requiere de características específicas. Esto es: profesionales con conocimiento profundo de las tres etapas incluidas: Ø Formulación Ø Elaboración Ø Evaluación Estas características consideran un conocimiento profundo de la realidad de la explotación turística en el Ecuador, un análisis reflexivo de esta problemática y una propuesta ética y profesional con perspectivas de profesionalización y transformación del accionar en el manejo administrativo de las bondades turísticas de la provincia y del país. 3. OBJETO DE TRANSFORMACIÓN El proceso de Elaboración de Proyectos Turísticos se consolida como un antecedente técnico con direccionalidad a promover emprendimientos turísticos y establecer parámetros para su fortalecimiento, proyección y sostenibilidad, con el objetivo de fundamentarlos, orientarlos y dinamizarlos; y, sobre esta base generar respuestas permanentes a las demandas del desarrollo local, regional y nacional. 4. OBJETIVOS 1) Conocer los antecedentes y ámbitos de la Elaboración de Proyectos a través de la Investigación, generados alrededor del desarrollo empresarial turístico. 2) Estudiar los alcances, relevancia, metodológicas y técnicas de Investigación aplicadas al desarrollo y fomento de emprendimientos turísticos y su gestión empresarial en relación con el desarrollo local, regional y nacional. 3) Definir líneas de recolección de información para los diferentes tipos de emprendimientos turísticos; y establecer las estrategias para viabilizar los proyectos que se deriven de tales líneas, y; 4) Formular participativamente la Elaboración del Proyecto de emprendimientos turísticos como propuesta de temas de tesis. 5. PRÁCTICAS PROFESIONALES ALTERNATIVAS Este módulo habilita al estudiante para las siguientes prácticas: Ø Genera destrezas en la recolección y manejo de la información, previos a la Elaboración de Proyectos Turísticos; Ø Fomenta el conocimiento, reflexión y explicación extensa y complementaria de la realidad y la problemática de una explotación turística racional; Ø Promueve una actitud objetiva, crítica y humanista, frente a los hechos y fenómenos, variables y constantes de los mecanismos técnicos como fundamento para la Elaboración de Proyectos Turísticos. Ø Suscita habilidades y destrezas para formular, elaborar y evaluar permanentemente Emprendimientos Turísticos que conviertan al Profesionista de la Administración Turística en parte implícita del rol para el que ha sido preparado
  • 8.
    8 y del objetivopara el que ha sido formado. Ø Impulsa la capacidad para el razonamiento lógico a través de la obtención de un sentido común proactivo que genere en el integrante de esta rama una aptitud sobresaliente y una actitud positiva en la búsqueda permanente de la excelencia académica y profesional. 6.- PERFIL PROFESIONAL QUE CUBRE EL MÓDULO El perfil profesional que cubre el Módulo está argumentado en los siguientes elementos: Ø Genera destrezas en la recolección y manejo de la información, previos a la Elaboración de Proyectos Turísticos: · Vastos conocimientos para la determinación de la muestra; y, recolección, análisis, tabulación, ponderación e interpretación de resultados; Ø Fomenta el conocimiento, reflexión y explicación extensa y complementaria de la realidad y la problemática a través de una explotación turística racional: · Conocimientos para determinar la incidencia de los Emprendimientos Turísticos y su influencia en el medio ambiente; Ø Promueve una actitud objetiva, crítica y humanista, frente a los hechos y fenómenos, variables y constantes de los mecanismos técnicos como fundamento para la Elaboración de Proyectos Turísticos. · Comprensión de elementos administrativos, técnicos, económicos, financieros, sociales y ambientales; Ø Suscita habilidades y destrezas para formular, elaborar y evaluar permanentemente Emprendimientos Turísticos que conviertan al Profesionista de la Administración Turística en parte implícita del rol para el que ha sido preparado y del objetivo para el que ha sido formado. · Uso de herramientas técnicas previas a la evaluación económica, financiera, social y ambiental de Emprendimientos Turísticos. Ø Impulsa la capacidad para el razonamiento lógico a través de la obtención de un sentido común proactivo que genere en el integrante de esta rama una aptitud sobresaliente y una actitud positiva en la búsqueda permanente de la excelencia académica y profesional. · Identificación y propuesta de soluciones técnicas alternativas previas a la formulación, elaboración y evaluación de Emprendimientos Turísticos.
  • 9.
    9 7.- PROCESO DEINVESTIGACIÓN FORMATIVA (MOMENTOS) Investigación Formativa El estudiante en base a los copiados y con conocimiento de la nuestra realidad analizará la situación y la problemática de los componentes de la formulación elaboración y evaluación de proyectos turísticos y su concordancia con los problemas de la actividad empresarial turística local, previa a encontrar los elementos concordantes que generen desarrollo social, económico y social. El desarrollo del módulo implica un proceso de investigación acción participativa que se concretará en las siguientes tareas: Revisión de la información sobre los Proyectos turísticos locales, relacionados con: La generación de proyectos y programas turísticos; identificación y selección de sitios y programas de desarrollo turístico; los estudios de pre inversión y los componentes de un proyectos de factibilidad; evaluación financiera de las inversiones turísticas; y elaboración de un plan de negocios Primer Momento: Generación de proyectos y programas turísticos: Los programas y proyectos derivados de un plan nacional de turismo, los programas y proyectos surgidos en forma individual y autónoma, identificación y selección de sitios y programas de desarrollo turístico, surgimiento de las ideas a considerar, criterios técnicos para formular la proposición inicial, la selección de sitios y alternativas para los paquetes de inversiones Segundo Momento: Los estudios de pre inversión y los componentes de un proyecto de factibilidad: Estudios de previos de factibilidad, objetivos básicos de un estudio definitivo de factibilidad, Esquema formal de un estudio definitivo de factibilidad, Presentación del estudio general, Resumen e introducción técnica del estudio definitivo, Estudio de mercado, Estudio técnico, Estudio financiero Tercer Momento: Evaluación financiera de las inversiones turísticas: El concepto de evaluación, Tipos de evaluación, objetivos, instrumentos básicos de la evaluación, Conceptos de base y casos de evaluación privada en inversiones turísticas, Evaluación económica social, Elaboración de un Plan de Negocios: Resumen ejecutivo, situación actual, ambiente externo, estrategia de negocios, recursos e inversiones necesarias, factibilidad técnica, factibilidad económica y financiera, responsables del proyecto, anexos La coherencia y asesoría del proceso de la investigación formativa. Por parte del docente debe hacerse tomando en cuenta que esta consiste en el estudio o indagación sobre el OT, en un contexto témpora-espacial delimitado, la reflexión crítica sobre la problemática, su comprensión y explicación teóricas y, el planteamiento de propuestas que contribuyan a revertir la situación problemática. Para el desarrollo de esta práctica profesional el docente se debe apoyar en los distintos métodos de conocimiento: el análisis, la síntesis, la inducción, la deducción, la dialéctica, entre otros. En consecuencia la investigación en el módulo puede definirse como el proceso de indagación que permite abordar una problemática u objeto ya conocido (OT) a través de los contenidos teóricos que se trata en el módulo y reconstruirla y ampliarla por la vía científica, a fin de que el conjunto de categorías, métodos y técnicas que permiten su apropiación, y contrastándolas con escenarios reales, interactuando con los sujetos
  • 10.
    10 sociales de talmanera, que se integran en el módulo la docencia, la investigación y la vinculación con la colectividad. La problemática global del Módulo, para su tratamiento y por didáctica, debe descomponerse en problemáticas de análisis más concretas. Para el abordaje de cada una de estas últimas se utilizará un proceso investigativo que contemple momentos y referentes teórico prácticos como los detallados a continuación: 8.-REFERENTES TEÓRICO PRÁCTICOS 8.1. PRIMER MOMENTO.- REVISIÓN Y SISTEMATIZACIÓN DE LA INFORMACIÓN SOBRE TEMAS RELACIONADOS CON LA GENERACIÓN DE PROYECTOS Y PROGRAMAS TURÍSTICOS 1. Generación de proyectos y programas turísticos 1.1 Los programas y proyectos derivados de un plan nacional de turismo 1.2 A partir de prioridades nacionales 1.3 A partir del mercado 1.4 A partir de requerimientos específicos de la planta turística 1.5 Otras fuentes 1.6 A partir de la combinación de criterios 1.7 Los programas y proyectos surgidos en forma individual o autónoma 2. Identificación y selección de sitios y programas de desarrollo turístico 2.1 Surgimiento de las ideas por considerar 2.2 Criterios técnicos auxiliares para formular la proposición inicial 2.3 La selección de sitios y alternativas para los paquetes de inversiones. 2.4 La proposición inicial 8.2. SEGUNDO MOMENTO.- LOS ESTUDIOS DE PREINVERSION Y LOS COMPONENTES DE UN ESTUDIO DE FACTIBILIDAD 3. La Puesta en valor 3.1 Puesta en valor del atractivo turístico 3.2 Aspectos que determinan la puesta en valor 3.3 Resultados de la Puesta en Valor 3.4 Desarrollo de nuevos destinos turísticos a base de inversión 4. Los estudios de pre inversión 4.1 Introducción 4.2 Estudios previos de factibilidad 5. Estructura y componentes de un estudio definitivo de factibilidad
  • 11.
    11 5.1 Introducción 5.2 Objetivosbásicos de un estudio definitivo de factibilidad 5.3 Esquema formal de un estudio definitivo de factibilidad 5.4 Presentación del estudio general 5.5 Resumen e introducción técnica del estudio definitivo 5.6 Estudio de mercado 5.7 Estudio técnico 5.8 Estudio financiero 5.9 Estudio complementario 8.3. TERCER MOMENTO.- EVALUACIÓN FINANCIERA Y SOCIOECONÓMICA DE LAS INVERSIONES TURÍSTICAS, PLAN DE NEGOCIOS 6. Evaluación financiera de las inversiones turísticas 6.1 El concepto de evaluación 6.2 Tipos de evaluación 6.3 Objetivos 6.4 Instrumentos básicos de la evaluación 6.5 Conceptos de base y casos de evaluación privada en inversiones turísticas 6.6 Evaluación económica social 7. Plan de negocios 7.1. Resumen ejecutivo 7.2. Situación actual 7.3. Ambiente externo 7.4. Estrategia de negocios 7.5. Recursos e inversiones necesarias 7.6. Factibilidad técnica 7.7. Factibilidad económica y financiera 7.8. Responsables del proyecto 7.9. Anexos 9.- PRACTICAS PRE-PROFESIONALES O PASANTÍAS Y, ACTIVIDADES DE VINCULACIÓN CON LA COLECTIVIDAD Prácticas pre profesionales Los estudiantes realizarán las prácticas profesionales en las diferentes empresas turísticas, así como el desarrollo de investigaciones y propuestas que contribuyan al adelanto empresarial turístico de la región Sur- Giras de Estudio e Investigación Los Estudiantes del Módulo 10 de la Carrera de Ingeniería en Administración Turística realizarán una Gira de Estudio e Investigación, con destino a Galápagos o al exterior; en
  • 12.
    12 donde a másde conocer los diferentes atractivos turísticos, visitarán varias empresas turísticas y serán parte de talleres de capacitación Salidas de Observación Los estudiantes realizarán las salidas de observación a las diferentes empresas turísticas de la ciudad y de las parroquias aledañas 10.-METODOLOGÍA ü Cada grupo tendrá a un Coordinador Docente que se encargará de hacer el seguimiento del estudio de los referentes teóricos y brindará las orientaciones necesarias a lo largo del proceso de investigación para el logro de los resultados esperados; ü La conformación de varios grupos de estudiantes determinarán una problemática de estudio para investigar; ü El manejo de herramientas y materiales didácticos previo al reconocimiento de los diferentes tipos de Proyectos turísticos; ü El estudio personal de los referentes teóricos previstos y la consecuente elaboración de mapas conceptuales, resúmenes, reportes individuales, grupales y otros. ü El desarrollo de talleres y otras estrategias para la construcción de los productos acreditables de cada momento de investigación, como para su socialización y enriquecimiento; ü El desarrollo de diversas actividades como conferencias, paneles, mesas redondas, socialización de temas pertinentes y especializados para profundizar en el conocimiento del tema central del Módulo; ü El Estudiante tendrá salidas de observación y visitas técnicas, lo que le permitirá ver con claridad la estructura organizacional de las empresas turísticas y en función de ello estar en capacidad de formular sus propias iniciativas de proyectos turísticos 11.-DETERMINACIÓN DE TIEMPO Y CRÉDITOS El módulo tendrá una duración de 96 días laborables equivalentes a 30 créditos, con un total de 480 horas, cumpliendo con lo estipulado en el Reglamento de Régimen Académico de la Universidad Nacional de Loja, Art. 70; programados en un período académico de un quimestre. 12.- PRODUCTOS ACREDITABLES. Los productos acreditables del módulo son el resultado del proceso académico investigativo que serán evaluados y calificados en forma permanente, sistemática e integral, mediante las evidencias de aprendizaje logradas a través del conjunto de estrategias didácticas planificadas en el Módulo.
  • 13.
    13 Primer momento: En elestudio de la generación de proyectos y programas turísticos, el estudiante elaborará un informe sobre los posibles sitios y programas identificados como desarrollo turístico que se pueden generar en la ciudad y provincia de Loja Segundo momento: El estudiante presentará un ensayo sobre los componentes de un estudio de factibilidad Tercer momento: El estudiante realizará visitas técnicas a las Empresas Turísticas más representativas de la ciudad y realizará un diagnóstico socio económico de las inversiones turísticas, así mismo presentará una propuesta para la elaboración de un Plan de negocios, que ayude a mejorar la actividad empresarial turística local Serán acreditados, evaluados y calificados los siguientes procedimientos: ü El proceso didáctico para el empoderamiento teórico, el proceso de investigación modular y las actividades de interacción con la comunidad; ü Las estrategias didácticas para la socialización y evaluación de los aprendizajes y los resultados generados como producto del trabajo académico modular; ü La elaboración integral del Proyecto de Investigación Modular; ü Los informes de los Talleres de desarrollo y apoyo académico en cada uno de los Momentos; ü Los informes de la caracterización de las prácticas pre profesionales en el S.A.M.O.T; ü Las Actas del Trabajo Grupal. 13.- LINEAMIENTOS PARA LA EVALUACIÓN, ACREDITACIÓN Y CALIFICACIÓN. La evaluación estará presente desde el momento de la planificación del módulo, durante su desarrollo y en todas y cada una de las actividades que se llevan a cabo, de modo que lleguemos a interpretar, comprender y explicar teórica y axiológicamente que está pasando con el aprendizaje individual y colectivo de los estudiantes, con las condiciones que propician o dificultan el aprendizaje que se está logrando, que se ha producido como se puede potenciar el proceso y sus resultados. Se evaluará cuatro esferas del conocimiento que son: ü La esfera cognoscitiva; ü La esfera psicomotriz; ü La esfera afectiva; ü El proceso de investigación; ü La acreditación requiere que en forma consciente y comprometida los participantes. a) Con referencia a la evaluación de los contenidos conceptuales: Éstos se refieren a conceptos, hechos o datos.- Para la evaluación de conceptos se pueden presentar tareas de definición de significados, en las cuales se reproduce una definición; tareas de reconocimiento de definición, en la que se le pide al alumno que reconozca el significado de un concepto entre varias alternativas; la exposición sistemática, en la que el alumno realiza una composición oral o escrita sobre un concepto; la identificación de ejemplos o situaciones relacionadas con un concepto; la
  • 14.
    14 resolución de problemas,en ella se presenta un problema cuya resolución pasa por la utilización de un concepto antes aprendido. b) Con referencia a la evaluación de contenidos procedimentales: Su sentido es comprobar su funcionalidad, es decir, evaluar si el alumno es capaz de utilizar el procedimiento en otras situaciones, como es el caso de la investigación. Deberemos tener en cuenta como indicadores: ü Si se tiene un conocimiento suficiente del procedimiento; ü Si lo utiliza de manera correcta y precisa; ü Si lo generaliza a otras situaciones; ü Si lo tiene automatizado. c) Con referencia a la evaluación de las actitudes: Debemos tener en cuenta que las respuestas son verbales o mentales. Las respuestas verbales se utilizan en la aplicación de escalas de actitudes y/o cuestionarios, (pero éstas pueden ser engañosas, el alumno contesta lo que el profesor espera de él). Sería más importante evaluar las actitudes a partir de comportamientos observables en los que tendremos que precisar los tres componentes de una actitud (cognitivo o capacidad del alumno para pensar, afectivo o sentimientos, espíritu, emociones o pasiones; y tendencia a la acción). Estos tres componentes se pueden invalidar mutuamente ya que el alumno puede pensar y sentir de una manera y actuar de otra. La calificación será la valoración de los productos acreditables en una escala de 1 a 10 puntos, siendo necesario para su aprobación obtener una calificación mínima de 7,0 puntos (Art. 55). Consecuentemente, la calificación y la acreditación, estarán en relación con la evaluación de los aprendizajes; y, todo este proceso deberá permitir constatar el nivel del logro de los aprendizajes previstos (prácticas profesionales y perfil profesional que cubre el módulo). En esta perspectiva, la evaluación-calificación-acreditación de los aprendizajes se asumirá en referencia a cuatro aspectos: ü La esfera cognoscitiva (pruebas) 20% ü La esfera psicomotriz (tareas individuales y grupales) 20% ü La esfera afectiva (actividad intra y extra aula) 20% ü El proceso de investigación 40% La calificación final del módulo será el promedio ponderado de las calificaciones de cada uno de sus momentos y; las notas de cada uno de los talleres del módulo. 14.- EQUIPO DOCENTE. El equipo estará conformado por los Coordinadores Docentes asignados a los diferentes paralelos existentes del Módulo 10.
  • 15.
    15 15.- BIBLIOGRAFÍA Ø APAZAMEZA, Mario. Gerencia Estratégica y del Valor. Instituto de Investigaciones del Pacífico; Ø BACA URBINA Gabriel.- Evaluación de proyectos Ø CORPORACION FINANCIERA NACIONAL Diseño y evaluación de proyectos de inversión ; Ø HERNÁNDEZ, Edgar. Proyectos Turísticos, Formulación y Evaluación. Disco ver, Ecuador; Ø FONTAINE, Ernesto.- Evaluación social de proyectos Ø MARÍN, J.N. HETELHÖHN, W. Inversiones Estratégicas. Ø MIRANDA, Juan José, Gestión de proyectos Ø SALVARREDY Julián Raúl. Gestión económica y financiera de proyectos con Excel Ø STANLEY, Block.- Fundamentos de Gerencia Financiera Ø SAPAG CHAIN, Nassir.- Preparación y evaluación de proyectos Ø BORELLO Antonio.- El Plan de negocios Ø STUTELY Richard.- El Plan de negocios: estrategia inteligente Ø BANGS David.- El Plan de negocios: Guía completa para definir un producto
  • 16.
    16 16.- MATRIZ DEDESARROLLO DEL MÓDULO MODULO 10.- FORMULACIÓN, ELABORACIÓN Y EVALUACIÓN DE PROYECTOS TURÍSTICOS Primer Momento: Revisión y sistematización de la información sobre temas relacionados con la generación de proyectos y programas turísticos PERIODO PROCESO DE INVESTIGACIÓN ESTRATEGIAS DE INVESTIGACIÓN REFERENTES TEÓRICOS ESTRATEGIAS ACADÉMICAS ACTIVIDADES PRÁCTICAS PRODUCTOS ACREDITABLES 32 días 10 CRÉDITOS Explicación del proceso de Investigación Formativa Ø Socialización del Plan del Módulo. Ø Representación en cuadros sinópticos de Proyectos Turísticos Posibilidades Empresariales Ø Explicación del Objeto de Transformación. Ø Sondeo de problemas de comprensión Ø Paradigmas de los Proyectos Turísticos. Diagnóstico de las experiencias prácticas. Ejercicios Prácticos. Conformación de los Equipos de Trabajo. Taller. Ø Ejercicios prácticos Propuesta de temas para elaborar el plan de Negocios Ø Encuadre del Programa: lectura dirigida. Análisis. Ø Sistema Académico Modular por Objeto de Transformación. Coordinación de los Grupos de Investigación y Trabajo. Ø Clasificación de actividades individuales y grupales. Ø Análisis de los aspectos teóricos y prácticos de la explotación turística. Ø Globalización. Los Proyectos Turísticos como rubro económico. Economía Turística. Fichas. Mapas conceptuales. El Turismo como actividad empresarial. La actividad turística. El Turismo como actividad social. El turismo como fuente generadora de empleos. Función socioeconómica del Turismo. Efectos sobre el ingreso nacional. Análisis de tendencias. Ø El anteproyecto Formulación, Elaboración y Evaluación. El Plan de Negocios. Perfil de Anteproyecto. La Elaboración del Proyecto Encuadre del módulo Cuadros sinópticos, Esquemas, Diagramas Resúmenes Preguntas y respuestas - Taller de :Análisis de costos para la toma de decisiones Organizadores previos Síntesis de contenidos ilustraciones, Estructuras textuales Actividades de inicio Técnicas de presentación Lectura carta descriptiva Definición de acuerdos y compromisos Exposición del contenido del módulo Dinámica grupal Investigación y análisis de documentos - Sistematización de la información - Definición de grupos de trabajo - Socialización de trabajo - Actividades de cierre Estudio de la generación de proyectos y programas turísticos Informe sobre los posibles sitios y programas identificados como desarrollo turístico que se pueden generar en la ciudad y provincia de Loja
  • 17.
    17 MATRIZ DE DESARROLLODEL MÓDULO MODULO 10.- FORMULACIÓN, ELABORACIÓN Y EVALUACIÓN DE PROYECTOS TURÍSTICOS Segundo Momento: Los estudios de pre-inversión y los componentes de un estudio de factibilidad PERIODO PROCESO DE INVESTIGACIÓN ESTRATEGIAS DE INVESTIGACIÓN REFERENTES TEÓRICOS ESTRATEGIAS ACADÉMICAS ACTIVIDADES PRÁCTICAS PRODUCTOS, ACREDITABLES 32 DÍAS: 10 CRÉDITO S Ø Estructura del Plan de Investigación. Ø Construcción del Problema en los Equipos de Investigación. Ø Construcción de esquemas referenciales y conceptuales para explicar el proceso de desarrollo de la Elaboración del Proyecto. Ø Determinar los indicadores socioeconómico s que constituyen los aspectos sociales, económicos, políticos y culturales de un proyecto turístico. Ø Planificación de la observación a los lugares designados, incluyendo elementos que refieran un contexto de desarrollo. Ø Observación del lugar. Descripción de la realidad de los factores. Ø La puesta en valor de destinos turísticos Ø Elaboración de preparación del proyecto. El estudio del proyecto como proceso. Etapas del estudio de Elaboración de Proyectos Turísticos. Ø Ideas de Negocios. El estudio de Mercado. El Proceso de Investigación de mercados turísticos. Análisis del entorno. El Planeamiento estratégico. El Plan de Negocios. Análisis técnico. Análisis Administrativo. Análisis legal y social. Análisis económico. Análisis de valores personales. Análisis financiero. Análisis de riesgos e intangibles. Evaluación integral del Proyecto turístico. El planeamiento estratégico. Ø El Plan de Mercadotecnia. Plan de operaciones. El Aspecto financiero. Efectos del desarrollo de los polos turísticos. Redistribución de las rentas que generan los proyectos turísticos. Generación de rentas fiscales para el Estado. Acción del turismo sobre las importaciones y las exportaciones. El estudio estadístico del turismo. Técnicas econométricas. Lectura comentada, subrayado Mesa redonda: Los programas y proyectos turísticos ha realizar en la ciudad y provincia de Loja Estudio de Caso Resúmenes Peguntas intercaladas Ilustraciones Conferencia, El análisis financiero en las empresas turísticas Extracción de conceptos, resúmenes. Organizadores previos Ilustraciones descriptivas Mapas conceptuales Exposición del Docente Trabajo individual extra clases Extracción de conceptos Conformación de grupos y definición de temática, moderador, Definición de escenario del problema, problematización, problema, objetivos Trabajo grupal intraclase, definición de objetivos, internet y bibliografía Trabajo individual extra clases Elaboración informe Presentación del trabajo Elaboración de resúmenes Trabajo grupal intraclases, Investigación bibliográfica Exposición del Docente Lectura y subrayado, investigación bibliográfica, Definición de grupos de trabajo Ensayo sobre los componentes de un estudio de factibilidad
  • 18.
    18 MATRIZ DE DESARROLLODEL MÓDULO MODULO 10.- FORMULACIÓN, ELABORACIÓN Y EVALUACIÓN DE PROYECTOS TURÍSTICOS, PLAN DE NEGOCIOS Tercer Momento: Evaluación financiera y socioeconómica se las inversiones turísticas, propuesta para la elaboración de un Plan de negocios PERIODO PROCESO DE INVESTIGACIÓN ESTRATEGIAS DE INVESTIGACIÓN REFERENTES TEÓRICOS ESTRATEGIAS ACADÉMICAS ACTIVIDADES PRODUCTOS ACREDITABLES 32 DÍAS: 10 CRÉDITO S Ø Estructura del Plan de Investigación. Ø Construcción del Problema en los Equipos de Investigación. Ø Construcción de esquemas referenciales y conceptuales para explicar el proceso de desarrollo de la Elaboración del Proyecto. Ø Estructura del Plan de Negocios Ø Elementos de un plan de negocios. Ø Determinar los indicadores socioeconómicos que constituyen los aspectos sociales, económicos, políticos y culturales de un proyecto turístico. Ø Planificación de la observación a los lugares designados, incluyendo elementos que refieran un contexto de desarrollo. Ø Observación del lugar. Descripción de la realidad de los factores. Ø Determinar los indicadores socioeconómicos que constituyen los aspectos sociales, económicos, políticos y culturales de un Plan de negocios. Ø Elaboración de preparación del proyecto. El estudio del proyecto como proceso. Etapas del estudio de Elaboración de Proyectos Turísticos. Ø Ideas de Negocios. El estudio de Mercado. El Proceso de Investigación de mercados turísticos. Análisis del entorno. El Planeamiento estratégico. El Plan de Negocios. Análisis técnico. Análisis Administrativo. Análisis legal y social. Análisis económico. Análisis de valores personales. Análisis financiero. Análisis de riesgos e intangibles. Evaluación integral del Proyecto turístico. El planeamiento estratégico. Ø El Plan de Mercadotecnia. Plan de operaciones. El Aspecto financiero. Efectos del desarrollo de los polos turísticos. Redistribución de las rentas que generan los proyectos Cuadros sinópticos, Esquemas, Diagramas Resúmenes Preguntas y respuestas - Taller de Evaluación económica y financiera de proyectos Organizadores previos Síntesis de contenidos ilustraciones, Estructuras textuales Uso de los modelos de evaluación de la gestión empresarial turística Mapas mentales Cuadros Sinópticos Exposición Magistral Evaluación Final del Módulo Exposición del docente Escenario del problema, problematización, definición del problema, objetivos, pertinencia Presentación de informe Investigación bibliográfica sobre los proyectos de factibilidad y las etapas que lo componen Análisis e interpretación de l matriz FODA Investigación bibliográfica, exposiciones individuales y grupales previo a la salida Salidas de campo, visita a las Empresas Turísticas de la localidad . Aplicación de plantillas para realizar la evaluación financiera de proyectos: Período de recuperación, beneficio costo, VAN, TIR Aplicación de plantillas para el cálculo de las tablas de amortización, en el otorgamiento de créditos Investigación bibliográfica Visitas técnicas a las Empresas Turísticas más representativas de la ciudad Diagnóstico socio económico de las inversiones turísticas Propuesta para la elaboración de un Plan de negocios
  • 19.
    19 Ø Construcción de esquemas referencialesy conceptuales para explicar el proceso de elaboración de un Plan de negocios. Ø Planificación de la observación a los lugares designados, incluyendo elementos que refieran un contexto de desarrollo. turísticos. Generación de rentas fiscales para el Estado. Acción del turismo sobre las importaciones y las exportaciones. El estudio estadístico del turismo. Ø Aspectos básicos de un Plan de negocios. Ø El resumen ejecutivo Ø Situación actual Ø Ambiente externo Ø Estrategia de negocio Ø Recursos e inversiones necesarias Ø Factibilidad Técnica Ø Factibilidad económica financiera Ø Responsables del proyecto Ø Conclusiones Ø Anexos Ø Aplicación práctica. de los principales contenidos teóricos Elaboración de mapas mentales de cada uno de los procesos Presentación de mapas mentales de cada uno de los procesos Elaboración de Cuadro de ubicación de Estrategias Visita técnica, principales Empresas Turísticas de la ciudad de Loja Revisión del proceso de Investigación Formativa Socialización de los Proyectos de Investigación Modular Desarrollo de la Autoevaluación
  • 20.
    20 ÍNDICE DE CONTENIDO Presentación22 Introducción . 23 1. Generación de proyectos y programas turísticos ... 28 1.1. Los programas y proyectos derivados de un plan nacional de turismo 28 1.2. A partir de prioridades nacionales . 34 1.3. A partir del mercado 35 1.4. A partir de requerimientos específicos de la planta turística . 35 1.5. Otras fuentes .. 35 1.6. A partir de la combinación de criterios . 36 1.7. Los programas y proyectos surgidos en forma individual o autónoma 36 2. Identificación y selección de sitios y programas de desarrollo turístico.. 38 2.1. Surgimiento de las ideas por considerar .. 39 2.2. Criterios técnicos auxiliares para formular la proposición inicial .. 40 2.3. La selección de sitios y alternativas para los paquetes de inversiones .. 46 2.4. La proposición inicial . 48 3. La Puesta en valor.............................................................................................. 52 3.1 Puesta en valor del atractivo turístico ................ 52 3.2 Aspectos que determinan la puesta en valor . 53 3.3 Resultados de la Puesta en Valor 53 3.4 Desarrollo de nuevos destinos turísticos a base de inversión . 56 4. Los estudios de preinversión .. 57 4.1 Introducción 57 4.2 Estudios previos de factibilidad 58 5 Estructura y componentes de un estudio definitivo de factibilidad 63 5.1 Introducción 63 5.2 Objetivos básicos de un estudio definitivo de factibilidad ... 64 5.3 Esquema formal de un estudio definitivo de factibilidad . 65 5.4 Presentación del estudio general 66 5.5 Resumen e introducción técnica del estudio definitivo 67 5.6 Estudio de mercado . 68 5.7 Estudio técnico .. 89 5.8 Estudio financiero . 94 5.9 Estudio complementario .. 138 6. Evaluación financiera y socioeconómica de las inversiones turísticas . 144 6.1 Introducción .144 6.2 El concepto de evaluación .144 6.3 Tipos de evaluación .145
  • 21.
    21 6.4 Objetivos ..145 6.5 Instrumentos básicos de la evaluación 145 6.6 Conceptos de base y casos de evaluación privada en inversiones turísticas .. 145 6.7 Evaluación económica social 170 7.- Plan de negocios 218 7.1 Resumen ejecutivo 219 7.2 Situación actual . 221 7.3 Ambiente externo .. 221 7.4 Estrategia de negocios 224 7.5. Recursos e inversiones necesarias .. 226 7.6. Factibilidad técnica . 226 7.7. Factibilidad económica y financiera 226 7.8. Responsables del proyecto ..... 228 7.9. Anexos 228
  • 22.
    22 PRESENTACIÓN Las empresas turísticasrequieren eliminar subjetividad en la toma de decisiones, manteniendo una visión de largo plazo en un ambiente internacional, por lo que se requiere su profesionalización, mediante el uso de herramientas administrativas que permitan alcanzar sus objetivos con eficiencia. El Estudio de Formulación, Elaboración y Evaluación de Proyectos Turísticos y su incidencia en el fomento y desarrollo de la Actividad Turística en la región Sur del Ecuador, corresponde al Módulo 10 de la Carrera de Administración Turística. Este Módulo tiene como propósito involucrar al estudiante universitario que egresa de su Carrera Universitaria en el conocimiento, análisis e interpretación de los sistemas de Formulación, Elaboración y Evaluación de Proyectos Turísticos sostenibles, propuestos desde un punto de vista científico técnico y medio ambiental, en el ámbito local, regional y nacional. Esta nueva propuesta científica de investigación y desarrollo consideran un amplio espacio de accionar de las prácticas profesionales, puesto que se constituyen en el epílogo de formación la académica de quienes como estudiantes han cumplido con su formación básica elemental, con su Formación General en Turismo, con los tres componentes de Administración Hotelera, Administración de Alimentos y Bebidas y Administración de Agencias de Viajes y Transportes. Este antecedente que orienta un período de formación en Gestión de Empresas Turísticas, tiene como consecuente ineludible la presente propuesta de Formulación, Elaboración y Evaluación de Proyectos Turísticos. Pues será el período académico modular en donde los estudiantes que egresan de las aulas universitarias estén en plena capacidad de proponer como entes generadores de trabajo y desarrollo empresarial un esquema de procedimiento encaminados a ofertar a la comunidad de su localidad, de la región y del país en general un nuevo diseño de alternativas de inversión, construcción y gestión de actividad turística. El objetivo de este Módulo 10, es generar estudiantes que se formen como profesionales con elevados principios éticos, con aptitudes para la comunicación y con habilidades naturales de liderazgo y capacidad para aprovechar y dimensionar las manifestaciones culturales, musicales y tradicionales de la ciudad y provincia de Loja, de la región sur del Ecuador y del país en general. Este profesional formado en el área de la Administración Turística estará en la capacidad de Planear, Organizar, Dirigir y Controlar las actividades de la gestión empresarial como un proceso administrativo que sustente la toma de decisiones, a través de la definición del problema, de la identificación de alternativas, de la evaluación y de la elección de una de ellas, de la consideración de una decisión y de la capacidad individual de controlar los resultados obtenidos. Indudablemente el estudiante deberá demostrar su predisposición en relación con: la nueva metodología de trabajo; para observar la normatividad, reglas y principios de la carrera de Administración Turística, del Área Jurídica, Social y Administrativa de la Universidad Nacional de Loja; para identificarse con la visión y misión de estas y actuar de acuerdo a las normas y principios establecidos con anterioridad por el Alma Máter Lojana.
  • 23.
    23 INTRODUCCIÓN Como ya semencionó, la finalidad de los siguientes capítulos es presentar un esquema teórico idóneo para la elaboración de estudios de preinversión en proyectos de carácter turístico. En segundo lugar, intenta aplicar a la problemática de la actividad las técnicas más conocidas para la evaluación de inversiones, las cuales se ilustran a través de algunos casos prácticos. Se ha considerado que el incluir, previamente, una revisión general sobre las vías a través de las cuales tienen lugar los proyectos contribuye a la mejor comprensión del proceso. En especial, se hace referencia a la metodología del inventario turístico, que introduce en la planificación de esta actividad un enfoque técnico físico de gran importancia, por su contribución para la selección de zonas y áreas turísticas en función de a concentración y calidad de los atractivos que poseen. Se inicia el desarrollo técnico de los estudios de factibilidad con la fase llamada identificación técnica de la idea . A través de ella se cumple también una selección primaria de proyectos. Se hace especial hincapié en la problemática de los grandes planes y programas de inversión, propios de los complejos turísticos. Estos en general integran proyectos íntimamente ligados entre sí, lo que obliga en ciertas circunstancias a contemplarlos en conjunto para fines de evaluación y financiamiento. Todos los capítulos siguientes se referirán sólo a proyectos turísticos de obras físicas, tales como la infraestructura de apoyo, el equipamiento de servicios y obras conexas. Esto se debe a que la presentación metodológica que aquí se desarrolla, ha sido concebida originalmente para aplicarse en inversiones de naturaleza semejante y por lo tanto sería un error tratar de extenderla a otros campos, por ejemplo, los de promoción y organización. El proceso completo comprende las siguientes fases: a) Generación conceptual de los proyectos b) Identificación y selección de alternativas para proyectos c) Formulación de los estudios de preinversión (análisis previos y estudios definitivos) d) Evaluación económica de inversiones e) Jerarquización de proyectos f) Diseño de ejecución y documentación de obra g) Formas, procedimientos y mecanismos para la ejecución de programas de turismo h) Operación de empresas turísticas y proyectos conexos del programa Gráficamente puede apreciarse el flujo técnico desagregado de estas fases, en la figura 1.1: En esta obra se revisa sólo hasta la evaluación y alguna parte de las técnicas de jerarquización, dejando las otras fases para próximos trabajos. La formulación de los estudios de preinversión tiene una ruta metodológica expresada por un proceso que va de lo superficial a lo complejo, en todos sus elementos. Dicho en otros términos, aun cuando desde las primeras etapas de los estudios se tocan genéricamente la mayoría de los criterios técnicos por considerar a lo largo del proceso, en cada uno de ellos se va progresando paulatinamente hasta conocerlos y manejarlos con la suficiente exactitud como para garantizar, con un margen de seguridad establecido, el éxito privado y social de las inversiones. El método en cuestión tiene entre otras, las siguientes ventajas: a) Técnicas. Porque permite el análisis de cada una de las partes que conforman los estudios de preinversión a diferentes niveles, con lo que se reducen las posibilidades de error. Asimismo, va ampliando la gama de sus conocimientos en forma piramidal, o sea, a partir de una base de estudio que va incrementándose gradualmente con nuevos elementos. Esto hace que se mejore su campo de acción y el de las
  • 24.
    24 investigaciones y análisis. b)Pecuniarias. Porque al ir cubriendo los elementos del proceso por fases y a diferentes niveles, facilita la depuración de ideas y alternativas. De esta manera, aquellos estudios que implican mayores costos monetarios sólo se realizan para posibilidades que realmente lo justifiquen, ahorrando grandes cantidades de recursos en estudios sobre alternativas que a través de las primeras instancias de análisis puede demostrarse su inviabilidad. Los estudios de preinversión, tal como se describen aquí, cubren tres etapas en las que se han de revisar en general los mismos tópicos, sólo que a diferente nivel en cada una. Estos últimos son en lo esencial, como lo veremos más adelante, las principales bases para la decisión final sobre la factibilidad y rentabilidad de los proyectos. En la mayoría de los enfoques metodológicos para la formulación de estudios de preinversión, la macro y micro localización de las inversiones es un dato más del problema, y depende básicamente de la minimización de los costos de transporte para materias primas y productos. Esto se debe a que tales enfoques han sido elaborados pensando fundamentalmente en proyectos agropecuarios e industriales. En turismo, el problema de la localización es uno de los más importantes dentro del estudio de preinversión, ya que buena parte de él, está en función del elemento principal de esta rama, que es el atractivo turístico. Las distancias económicas (por costo de transporte) tienen un peso inferior al que adquieren en otras ramas ya que las diferencias por distancia lineal, en la mayoría de los casos, resienten dentro de ciertos límites, una reducida influencia en turismo.
  • 25.
    25 Figura 1.1 PROCESO GENERALDE LAS INVERSIONES TURÍSTICAS Mientras en la industria textil, por ejemplo, una distancia de 250 Km. entre el lugar donde se ha de instalar la unidad de producción y el centro de consumo principal es de gran trascendencia, en turismo para cierto nivel de programas de inversión, en especial los de carácter internacional, tal diferencia de distancias no es tan decisiva en la localización final, como lo es
  • 26.
    26 la disparidad deatractivos, sobre todo tomando en cuenta las actuales modalidades del transporte aéreo en el que se mueve gran parte del turismo. Sabemos que la mayor parte de los proyectos en turismo, no siguen un proceso tan largo, costoso y quizás complicado, como el que se presenta en este trabajo. En muchos casos, después de identificar un sitio y concebir en él un paquete de inversiones lógicas , se efectúan sondeos, más o menos satisfactorios, sobre el mercado, se hacen algunos análisis de tipo financiero, con el objeto de conseguir créditos, y se pasa directamente a contratar constructoras que elaboren el diseño arquitectónico y realicen las inversiones. Este procedimiento puede ser justificable en áreas tradicionales de desarrollo turístico, o en evidente auge, así como para inversiones modestas que no necesitarían aparentemente estudios profundos de preinversión o no les resultaría rentable llevarlos a cabo. Sin embargo, habremos de asumir que el enfoque metodológico que aquí se describe, está orientado hacia programas de turismo que buscan lograr un alto grado de racionalidad y facilitar una correcta toma de decisiones. Se considera que en estos casos es adecuado desarrollar todo un proceso analítico de preinversión, que limite al máximo las posibilidades de error y el riesgo en el empleo de recursos productivos. Finalmente, algo más debe destacarse en esta introducción. Las fases que aquí se describen, no siguen un desarrollo rectilíneo inflexible, se encuentran estrechamente interrelacionadas, dependiendo unas de otras. En la realidad se retroalimentan en flujos de ida y vuelta. Y no se presentan necesariamente en el orden en que aquí se describen, es decir, no guardan la prelación en que aparecen en esta obra, en la cual su colocación obedece a razones de carácter metodológico.
  • 27.
    27 PRIMER MOMENTO: Revisión ysistematización de la información sobre temas relacionados con la generación de proyectos y programas turísticos OBJETIVOS ü Conocer e interpretar los aspectos teóricos del ámbito turístico ü Definir los proyectos turísticos como rubro económico en el ámbito turístico ü Establecer la diferencia entre el ante proyecto, plan de negocios y proyectos de factibilidad CONTENIDOS 1. Generación de proyectos y programas turísticos 1.1. Los programas y proyectos derivados de un plan nacional de turismo 1.2. A partir de prioridades nacionales 1.3. A partir del mercado 1.4. A partir de requerimientos específicos de la planta turística 1.5. Otras fuentes 1.6. A partir de la combinación de criterios 1.7. Los programas y proyectos surgidos en forma individual o autónoma 2. Identificación y selección de sitios y programas de desarrollo turístico 2.1. Surgimiento de las ideas por considerar 2.2. Criterios técnicos auxiliares para formular la proposición inicial 2.3. La selección de sitios y alternativas para los paquetes de inversiones. 2.4. La proposición inicial BIBLIOGRAFIA Hernández Edgar.- Proyectos turísticos, formulación y evaluación SapagChain.- Preparación y evaluación de proyectos
  • 28.
    28 1. GENERACIÓN DEPROYECTOS Y PROGRAMAS TURÍSTICOS En Latinoamérica las situaciones y motivos que han dado lugar a complejos turísticos y proyectos específicos son muy diversos. En este capítulo se analizan, en forma genérica las principales, sin entrar a experiencias concretas. El objetivo es brindar un panorama de las más importantes fuentes que pueden originar inversiones en este ramo, a fin de que se tengan en cuenta, bajo un cierto ordenamiento, y sean aprovechadas para el desarrollo de la planta turística aquellas que se adecuen más fácil mente a cada realidad. Con frecuencia se observa una vinculación entre los mecanismos de gestación de los proyectos turísticos con las maneras como se han elegido las zonas donde éstos se habrán de ubicar. En turismo, cuando los proyectos se originan dentro de un proceso de planificación, es muy importante la aplicación de ciertos instrumentos metodológicos para la selección de zonas y áreas turísticas1 . 1.1 LOS PROGRAMAS Y PROYECTOS DERIVADOS DE UN PLAN NACIONAL DE TURISMO En virtud de que el plan debe contener una visión global del fenómeno y a que debe elaborarse teniendo en cuenta las prioridades nacionales y los mejores objetivos para el desarrollo del turismo en cada país, los proyectos y pr ogramas derivados de aquel tendrán como finalidad contribuir al logro de los fines conscientemente establecidos. Los métodos y criterios que pueden dar lugar a tales proyectos dentro del plan son diversos. 1.1.1 A partir de los atractivos turísticos (Individualmente o por zonas) El diagnóstico de un plan global, siempre ha de contener un detallado inventario de los atractivos turísticos con que cuenten el país o la región, a fin de utilizarlo como uno de los elementos indispensables para determinar el tipo y la ubicación de las inversiones que han de venir a reforzar la planta turística del país. En función de este inventario es posible definir las zonas que pueden considerarse como turísticas, dado el criterio psicofísico que toma en cuenta como prioritaria la motivación y el interés que despierta o puede despertarle al turista un lugar, una manifestación (acontecimiento) o un elemento determinado. 1 Para una definición y ordenación de estos conceptos, véase el documento 5/002 del CICATUR/MEX., y anexo 1
  • 29.
    29 La jerarquización dezonas depende precisamente de la concentración en calidad o en cantidad de los atractivos que contenga cada una. Realizarla es uno de los pasos decisivos para avanzar sobre el diseño de la estrategia espacial y general del plan. Una metodología para llevar a cabo la compilación de atractivos a nivel nacional está desarrollada en la metodología que propone el Ministerio de Turismo el en donde las categorías básicas diferencian: sitios naturales y manifestaciones culturales. Esta metodología permite registrar ordenadamente los factores físicos, biológicos y culturales que como conjunto de atractivos, efectiva o potencialmente puestos en el mercado, contribuyen a confrontar la oferta turística del país. Proporcionan información importante para el desarrollo del turismo, su tecnificación, evaluación y zonificación en el sentido de diversificar las áreas del desarrollo turístico, así mismo permite unificar los criterios para el registro de información sobre los atractivos turísticos. Posibilita además brindar tanto a las entidades públicas como privadas ligadas al turismo, información actualizada de la localización de los atractivos, su calidad, facilidades de acceso y disfrute en su entorno, a más de una evaluación y valoración de los mismos por sus características. 1.2 Etapas para la elaborar el inventario de atractivos 1.2.1 Clasificación de los atractivos Consiste en identificar claramente la categoría, tipo y subtipo, al cual pertenece el atractivo a inventariar. 1.2.2 Recopilación de información En esta fase se selecciona tentativamente los atractivos para lo cual se investigan sus características relevantes. Esta fase de investigación es documental, cuya información debe obtenerse en las oficinas relacionadas con su manejo. 1.2.3. Trabajo de campo Consiste en la visita a efectuarse a los sitios para verificar la información sobre cada atractivo. Es el procedimiento mediante el cual se le asignan las características al atractivo. El trabajo de campo debe ordenarse en función de los desplazamientos para estimar el tiempo total que demande esta actividad. Es recomendable dirigirse a las oficinas públicas que puedan dotar de información adicional, como Municipios y Consejos Cantonales, Gobernaciones, Casas Parroquiales, así como de informantes locales, y tratar de visitar con alguno de ellos el atractivo, del que se harán al menos 5 fotografías.
  • 30.
    30 1.2.4 Evaluación yjerarquización Consiste en el análisis individual de cada atractivo, con el fin de calificarlo en función de la información y las variables seleccionadas: calidad, apoyo y significado. Permite valorar los atractivos objetiva y subjetivamente y se definen de la siguiente manera: Jerarquía 4. Atractivo excepcional y de gran significación para el mercado turístico internacional, capaz por sí solo de motivar una importante corriente de visitantes (actual o potencial) Jerarquía 3. Atractivo con rasgos excepcionales en un país, capaz de motivar una corriente importante (actual o potencial) de visitantes nacionales por sí solo, o en conjunto con otros atractivos contiguos; y la extranjera, sólo en conjunto con otros atractivos. Jerarquía 2. Atractivo con algún rasgo llamativo, capaz de interesar a visitantes de larga distancia que hubiesen llegado a su zona por otras motivaciones turísticas o de motivar corrientes turísticas locales. Jerarquía 1. Atractivos sin méritos suficientes para considerarlos a nivel de las jerarquías anteriores, pero que igualmente forman parte del patrimonio turístico como elementos que pueden complementar a otros de mayor jerarquía en el desarrollo de complejos turísticos. Resulta de cardinal importancia, para la generación de programas y proyectos turísticos de inversión, tener definidos y esta mentalizarlos los atractivos, ya que éstos son la base del impulso que origina la demanda de servicios turísticos. La metodología antes citada, determina la preeminencia de los elementos que motivan al visitante, en función de factores tanto objetivos como subjetivos. Los primeros resultan de tomar en cuenta los efectos reales que provocan un atractivo sea por sí solo o en conjunto y tienen una evidencia observable en la realidad. Así, por ejemplo, si tomásemos un atractivo de jerarquía 4 que en sí mismo puede motivar una importante corriente de visitantes extranjeros , encontraríamos que empíricamente este hecho es perfectamente comprobable. Bastaría una somera investigación de mercado o simplemente una encuesta directa a sus visitantes para ratificar la asignación de su calificación. Casos de esta máxima jerarquía son, para América Latina, el de Cuzco y Machu Picchu, en Perú; el de las Cataratas de I guazú, Galápagos en Ecuador , en Sudamérica; Tikal, en Guatemala; el carnaval de Brasil; y una gran cantidad de muchos otros, que guardando las proporciones de su área de mercado internacional, originan en forma individual movimientos importantes de turismo foráneo. Ahora bien, el problema radica en saber y definir con claridad cuándo se puede afirmar que los flujos estimulados autónomamente por un atractivo son importantes , ya que ese calificativo se deja al criterio del planificador que puede variar del optimismo al pesimismo, conforme la preferencia personal que tenga. En el mejor de los casos varía en función de cad a realidad en estudio.
  • 31.
    31 Para solucionar esteaspecto podrían proponerse dos caminos, el primero sería el de la proporcionalidad, o sea, el mecanismo mediante el cual se relacionan los atractivos del país entre sí y se determina cuáles, de entre los que generan flujos de turismo internacional por sí solos , lo hacen en cantidades importantes para esa nación, de acuerdo a los montos de demanda total que ésta reciba. El segundo mecanismo sería el de rangos para índices o cantidades relativas estimuladas por cada atractivo. Una alternativa sería fijar un porcentaje de la demanda total de un país que tendría que motivar un atractivo para que pudiera alcanzar la máxima calificación. Dicho porcentaje sería el promedio aproximado de los flujos que motivan los principales atractivos de características similares en cada país. Este último procedimiento requeriría encuestas e investigaciones más profundas que el anterior, aunque quizás fuera más preciso. En cualquier caso, su validez se reduce al espacio geográfico de cada nación, ya que hay países con gran monto de afluencia internacional para los cuales un porcentaje aún moderado implica cantidades muy elevadas, mientras que comparativamente para los que sólo tienen pequeñas cantidades de turismo receptivo los porcentajes altos equivalen a números absolutos reducidos. Esta circunstancia obliga a que sólo sean posibles comparaciones entre éstos, dentro de un mismo país. Mientras no se posean investigaciones y sistemas estadísticos más exactos, será la apreciación del planificador la que seguirá determinando, en última instancia, la asignación de jerarquías para los atractivos. No obstante, es recomendable que para aplicar con mayor claridad la metodología antes citada, en especial las clasificaciones 4 y 3, se introduzca algún elemento que nos permita ubicar con mayor precisión cuándo y en qué grado son importantes las corrientes turísticas incentivadas por un atractivo en particular, ya que éste es el punto de partida en la fijación de calificaciones, no sólo para los atractivos, sino indirectamente para las zonas y áreas, con lo cual su incidencia alcanza hasta la estrategia espacial del plan. Respecto a los efectos potenciales de un atractivo, su estimación debe reducirse casi exclusivamente a la opinión del planificador, lo que implica trabajar con mayores grados de subjetividad, en comparación con el mecanismo usado para los flujos actuales . Por el momento, y en tanto no se avance en una técnica que mida y relacione la gran cantidad de elementos que inciden en la potencialidad fisicomotivacional de los atractivos, parece ser la única manera de ordenar aquellos que no están estimulando de hecho movimientos turísticos, pero que resultan obvias sus posibilidades intrínsecas para hacerlo. Una vez que se tienen perfectamente definidos, jerarquizados y organizados los sujetos de interés turístico, se procede a la señalización de zonas, primero, y áreas turísticas, después, en un proceso de reducción y delimitación de los espacios geográficos, según los atractivos que contengan.
  • 32.
    32 Como es lógicosuponer a partir de este criterio, la selección de las zonas turísticas prioritarias se hará según la concentración de atractivos con que cuenta cada una, tanto por su cantidad como por su calidad y, dependiendo de los recursos económicos disponibles, la atención en materia de inversiones se fijará, como es natural, en aquélla o aquéllas que resulten mas beneficiadas a este respecto. En el documento número 5/008 del CICATUR MÉX., encontramos una representación matemática que nos ayuda precisamente a seleccionar las zonas turísticas en base al mayor puntaje alcanzado por sus atractivos y la diversidad que exista de éstos. 1. P2 = D . P2 = D(2 P1 + P2 + P3 + P4 + P5 ) Donde: P2 = puntaje total alcanzado por cada zona Pz1 = puntaje por cantidad de atractivos D = diversidad de atractivos con que cuenta la zona P1 = puntaje de la categoría sitios naturales , en la zona, multiplicado por la diversidad de tipos de esta categor ía en la zona P2 = puntaje de la categoría museos y manifestaciones culturales de la zona , multiplicado por la diversidad de tipos de esta categor ía en la zona. P3 = puntaje de la categoría folklore , en la zona, multiplicado por la diversidad de tipos de esta categor ía en la zona. P4 = puntaje de la categoría realizaciones técnicas científicas o artísticas , en la zona, multiplicado por la diversidad de tipos de esta categoría en la zona. P5 = puntaje de la categoría acontecimientos programados , en la zona, multiplicado por la diversidad de tipos de esta categor ía en la zona. Para definir el puntaje de cada categoría (P1 , P2 , etc.), el documento en cuestión determina la ponderación de una zona considerando los puntajes de sus distintos atractivos. Tomando como ejemplo el caso de los sitios naturales , donde los tipos van de 1 a 12 tenemos: 2. P1 = å= 12 1i ú û ù ê ë é å= k k ik JN 4 1 Donde: i = tipos de la categoría sitios naturales k = 1 a 4, o sea las jerarquías posibles de cada atractivo Nik = número de atractivos de jerarquía k del tipo i Jk = ponderación para cada jerarquía del tipo i, donde: jerarquía 4 = 10; jerarquía 3 = 3; jerarquía 2 = 1; jerarquía 1 = 1/3, 3. P1 = P1 . D; siendo D la relación entre la diversidad de tipos en la zona y los posibles en la categoría. Como se verá en la fórmula 1, el P1 está doblemente ponderado (al multiplicarse por el factor 2) y esto se debe a que el documento contempl a a los
  • 33.
    33 sitios naturales comodos veces más destacados que el resto de categorías en sus posibilidades para estimular al turismo. Sin embargo, ésta es una simplificación sobre el mercado, que podría no ser válida en todos los casos. Una manera de contribuir a la aplicación de esta fórmula podría ser estudiar las motivaciones de los mercados más importantes para cada zona y darle la ponderación a cada categoría en función de su trascendencia para los mercados citados. Por ejemplo, para una zona en particular la fórmula podría quedar así: P2 = D Ÿ P1 = D (2 P1 + 1.5 P2 +0.5 P3 + 0.2 P4 + 1.8 P5 ) En la cual se ha supuesto que los sitios naturales siguen conservando su doble impacto, pero los mercados de esa nación han demostrado que los museos y manifestaciones culturales , que posee la zona son el tercer estímulo en importancia y alcanza hasta el 1.5 aproximadamente, mientras el folklore sólo representa el 50% de una motivación normal (0.5) y las realizaciones técnicas, científicas o artísticas adquieren para este caso concreto una ínfima calificación en las plazas principales. En cambio los acontecimientos programados están en segundo lugar y casi llegan a la ponderación de sitios naturales , pero como usan de complemento la cuarta categoría, se les asignó un coeficiente de 1.8. Por otra parte, dentro de este enfoque físico debería también ponderarse para la elección de zonas, la disponibilidad respectiva que exista en materia de facilidades turísticas, en especial infraestructura, equipamiento y servicios conexos. El documento citado, después de exponer algunos de los problemas técnicos que implica introducir estas variables en la clasificación de zonas, propone sobre este aspecto la realización de un análisis más general sobre la planta turística, de manera que simplemente se diferencien según: las zonas turísticas ya desarrolladas, las zonas turísticas en crecimiento, las estancadas y las vírgenes, entendiéndose por estas últimas aquéllas que carecen de planta turística o ésta es hincapié . 0p. cit. En un primer estrato del análisis sería recomendable esta diferenciación general, pero para efectos de ubicar el esfuerzo en materia de inversiones, parece imprescindible incluir en los estudios sobre zonas, por lo menos las variables de infraestructura y servicios básicos, ya que este tipo de proyectos no siempre pueden ser emprendidos a partir de un programa de turismo y si en cambio determina con mucho las características y posibilidades de los mismos. Lo anterior está íntimamente ligado con otro elemento que incide sobre la elección de zonas y áreas y que es la disponibilidad de recursos económicos, especialmente capital. En este sentido, zonas con un alto puntaje pero con escasos servicios e infraestructura, difícilmente en el corto y mediano plazo serán sujetos de planes turísticos. La elección antes de aplicarla a la identificación de proyectos, debe observar las perspectivas reales que existen sobre financiamiento.
  • 34.
    34 Finalmente, ya ubicadaslas zonas turísticas que cuentan con mayores recursos físicos para el desarrollo de actividades turísticas, tendrán que volverse a revisar con mayor profundidad los atractivos que posee cada una con el propósito de detectar los corredores turísticos más aptos para ponerlos en valor o reforzarlos, así como las alternativas para complejos y unidades. Estas últimas acciones orientan poderosamente la identificación de ideas para futuros proyectos y la selección de sitios específicos de desarrollo. 1.3 A PARTIR DE PRIORIDADES NACIONALES Complementando al criterio físico-motivacional que destaca las cualidades de orden turístico reunidas en un espacio geográfico, deben contemplarse para la selección de zonas otros factores, como la fijación de prioridades nacionales que hayan realizado las autoridades de planeación o las ejecutivas del país y los criterios de la planificación económica regional. En este sentido, si tales prioridades señalan por ejemplo, al turismo interno y a la recreación como un objetivo de mayor rango que la captación de divisas, entonces los proyectos turísticos definidos en torno a los atractivos con jerarquía 3 podrían tener una mayor prioridad y su realización sería resultado esencialmente de consideraciones económico sociales desprendidas de una perspectiva nacional. En este caso el criterio de decisión no obedecerá directamente a la sel ección física de los atractivos. Por lo regular, dentro de los países latinoamericanos se da precisamente el caso contrario al del ejemplo anterior. Las prioridades nacionales explícita o implícitamente asignan al turismo como primer objetivo la captación de divisas y como segundo la creación de empleo. Esto hace que se complementen el criterio físico, expresado a través de la metodología antes descrita, y el criterio que obedece a las prioridades nacionales dentro de los planes de turismo. Es por esto que para muchos casos se ha podido asignar prioridades a los programas de turismo, según la importancia física del atractivo que vayan a explotar, con lo cual buena parte de la selección se limita al campo de los clasificados con 3. Podemos citar concretamente al Programa Tornasol , en la República de Honduras, donde las cualidades de los atractivos turísticos principales, de haberse seleccionado con esta metodología, hubiesen alcanzado fácilmente la jerarquía 4, lo cual coincidía con las prioridades nacionales que fijaban la captación de divisas como uno de los más altos objetivos para el ramo de turismo. Respecto a la creación de empleos, como prioridad nacional, debe decirse que difícilmente se originan programas de turismo tomando en consideración la finalidad prioritaria de aminorar el problema de la ocupación. Se tomo como un objetivo a cumplir y aun cuando se deberían diseñar las inversiones de manera que se lograra el mayor monto posible de empleos de acuerdo a ciertos requisitos, en muy pocas ocasiones el motivo principal para llevar a cabo
  • 35.
    35 proyectos turísticos escrear empleos. Esto es por demás lógico en tanto se ocupa mano de obra, como un medio para conseguir un resultado y no como un fin en sí mismo (excepto raras ocasiones). Por lo tanto esta prioridad no entra en conflicto con la generación de proyectos turísticos que se efectúen a partir del criterio físicomotivacional (1.1). Algunas otras disposiciones de orden general expresadas en las prioridades pueden eventualmente entrar en contradicción con la generación de programas turísticos que se hayan realizado a partir del criterio físico, antes mencionado. Así, por ejemplo, algunas zonas económicamente deprimidas pueden tener atractivos de mediana y poca jerarquía, mientras que las zonas más desarrolladas pueden tener los mejores. En estas circunstancias si la política económica de la nación determina que el desarrollo de la zona deprimida debe iniciarse con inversiones en el campo del turismo, antes que en ningún otro, el criterio de las prioridades está en capacidad de imponerse, disponiendo la creación de proyectos turísticos en lugares donde la ordenación de atractivos por la vía metodológica del inventario turístico, no lo hubiese hecho. 1.4 A PARTIR DEL MERCADO En ocasiones los programas de inversión para turismo se origina en zonas en las cuales el elemento de decisión no es la calidad de los atractivos ni las prioridades nacionales de orden socioeconómico, sino las contundentes posibilidades que ofrece el mercado de consumidores, sea, por la cercanía de la zona a éste, por las grandes facilidades que ella tiene para el arribo y estadía de los visitantes, o por la combinación de ambos; de manera que los proyectos se conciben para lugares que por sí mismos destacan como turísticos, a pesar de la clasificación técnica que se lleve a cabo o de las prioridades nacionales establecidas. Éste es el caso de aquellos centros que ya están en funcionamiento y tienen un crecimiento natural, para los cuales se elaboran inversiones de regulación y fomento. 1.5 A PARTIR DE REQUERIMIENTOS ESPECÍFICOS DE LA PLANTA TURÍSTICA En otros casos, la estrategia sectorial de turismo es la que determina la necesidad de reforzar la oferta de servicios, incrementándola, mejorándola o integrándola en circuitos y centros que fomenten que est o se haga dentro de un proceso técnico de ordenamiento y selección, en el que se hayan jerarquizado las zonas y los atractivos correspondientes. 1.6 OTRAS FUENTES Algunos otros elementos en la práctica han dado lugar a programas de inversión dentro de los planes turísticos. Entre éstos destacan las decisiones políticas que obedecen a necesidades, como la integración nacional de un territorio determinado, el reforzamiento de la imagen que un país requiere proyectar hacia el exterior, o bien el impulso que una provincia o localidad desea adquirir en el contexto de la nación, a través de fomentar la afluencia de visitantes para que la conozcan.
  • 36.
    36 1.7 A PARTIRDE LA COMBINACIÓN DE CRITERIOS Debe tratar de lograrse la armonización de los criterios a través de los cuales tiene lugar la gestación de proyectos y programas dentro de un plan de turismo, a fin de garantizar tanto la racionalización de inversiones como su efectiva realización. La creación de programas ha de estar avalada y dirigida de preferencia por los criterios técnicos, pero éstos no deben aislarse de las consideraciones sociopolíticas de las cuales, en última instancia, depende la ejecución de dichos programas. Ha de buscarse por lo tanto la compatibilización entre la estrategia físico- motivacional con las prioridades nacionales, las mejores alternativas del mercado, los requerimientos específicos de la realidad turística en el país y las consideraciones político administrativas vigentes. 1.8 LOS PROGRAMAS Y PROYECTOS SURGIDOS EN FORMA INDIVIDUAL O AUTÓNOMA La gran mayoría de los proyectos de turismo en Latinoamérica se originan por determinación autónoma a través de capitales privados. El elemento decisivo en estos casos es casi siempre el mercado, por medio del cual se asegura la rentabilidad de las inversiones. La existencia de un monto suficiente de consumidores que justifiquen con su demanda efectiva la instalación de ciertas empresas de servicios turísticos, provoca con regularidad la colocación natural de capitales de inversión en esta rama. En estos casos, la fuente generadora de los proyectos consiste en el interés que despiertan los beneficios económicos que se esperan obtener, y la ubicación de las inversiones en el radio de ciertos atractivos turísticos proviene de una decisión independiente, que no necesariamente se inserta en una perspectiva general del país, sino que puede depender de una análisis físico particularizado con anterioridad de zonas ubicadas, sobre las cuales de hecho ya se tiene cierta elección superficial previa. Lo anterior no implica que para inversiones privadas independientes dejen de realizarse estudios de preinversión; éstos se elaboran también y muchas veces con más profundidad que cuando se derivan de planes, pero el proyecto en sí parte de análisis muy específicos, que tienen en su mayoría como génesis y elemento rector las expectativas de ganancia. Los proyectos turísticos originados de esta manera pueden surgir espontáneamente o por inducción. El primer caso se da bajo condiciones muy favorables en las que se tiene un amplio margen de seguridad para la rentabilidad del capital y generalmente se localizan en centros y zonas turísticas o urbanas que, por estar ya en funcionamiento, tienen los servicios mínimos y es más factible que tengan asegurada la demanda indispensable
  • 37.
    37 para que laempresa pueda operar. En el segundo caso, hay una promoción externa que toma en cuenta el interés principal bajo el cual se motivan los proyectos privados y los estimula por medio de políticas económicas que utilizan exenciones fiscales, facilidades crediticias, permisos de importación y otros instrumentos concretos cuyo objetivo es hacer atractiva a los particulares la inversión en empresas turísticas. Bajo esta situación se han desarrollado nuevos centr os de servicios y reforzado ciertas áreas turísticas, en donde por diversas razones su oferta había desmerecido. En otros casos y dentro de la vía autónoma, aparecen proyectos oficiales originados en decisiones aisladas de entidades gubernamentales, que ante situaciones de coyuntura llevan adelante acciones dispersas. La ubicación de estos proyectos obedece ent onces a múltiples razones y por lo regular no están enmarcadas en un desar rollo técnico e integral de la actividad turística. REFERENCIA BIBLIOGRÁFICA ü HERNÁNDEZ, Edgar. Proyectos Turísticos, Formulación y Evaluación, Ecuador ü BACA Urbina Gbriel, Evaluaci ón de Proyectos
  • 38.
    38 2. IDENTIFICACIÓN YSELECCIÓN DE SITIOS Y PROGRAMAS DE DESARROLLO TURÍSTICO Esta fase del proceso abre la etapa de los estudios de preinversión. Es un primer intento por seleccionar los sitios1 específicos de desarrollo y por definir técnicamente ideas agrupadas sobre las características de los programas de inversión que se han de empr ender. Se inicia a partir de la macro localización efectuada con anterioridad, ya sea por la desagregación progresiva que resulta de una estrategia general o por la determinación autónoma de inversionistas privados y entidades federales. Representa, por lo tanto, el paso metodológico inmediatamente posterior a la selección de zonas y áreas prioritarias. Por lo regular, cuando se trata de planes turísticos, e inclusive de programas y proyectos aislados, muchos antes de proceder a la macro localización, se tienen acumuladas ciertas ideas sobre las características y destino de las futuras inversiones en un conjunto, tanto como de su mercado y de algunos indicadores sobre los márgenes aproximados de capital que eventualmente se podrían obtener, Estas ideas orientan la macro localización y dependen fundamentalmente del interés que motive a la fuente generadora , así como de las particularidades de ésta. En este sentido, puede decirse que los proyectos gestados en el sector privado a partir, verbigracia, de fuertes expectativas de ganancia, han de depender, principalmente en su configuración final, de las consideraciones que sobre este tópico se efectúen, y ejercerán el mayor paso relativo sobre el conjunto de factores a examinar. En cambio, si las consideraciones iniciales sobre los proyectos provienen de un proceso de planificación más amplio, aunque siempre se mantendrá la influencia del aspecto preponderante que les dio lugar, es más factible la combinación y retroalimentación de todas las incidencias causales que actúan dentro de un pl an2 . Antes de emitir ideas sobre los sitios y proyectos que se piensa deben ser considerados en el área elegida, habrá que precisar y ordenar con toda rigurosidad los atractivos a explotar, así como efectuar un diagnóstico particularizado del espacio geográfico y económico de dicha área. En este sentido, es conveniente examinar, como ya lo expresamos, la existencia y repercusiones de los corredores, complejos y centros turísticos que son susceptibles de implementarse. 1 Sitio: Es el lugar preciso donde se van a construir las instalaciones, equipos, y obras generales necesarias para la explotación de una atractivo turístico . (Obra citada). Para efectos de este trabajo. lugar preciso no debe entenderse como el punto concreto para cada una de las instalaciones (definido en planos y por m 2 ), sino como el espacio exacto donde el conjunto de ellas se localizan. O sea, es el territorio que legalmente comprendería el programa a ejecutarse. 2 Véase Cap. 4.1. La planificación económica y los proyectos de inversión en turismo, CICATUR/MÉX.
  • 39.
    39 2.1 SURGIMIENTO DELAS IDEAS A CONSIDERAR La evaluación de los proyectos es un actividad continua que se inicia desde el momento mismo en que se e mpiezan a concebir ; sin embargo, el primer estrato técnico del análisis de factibilidad (que es constante), lo constituye la fase llamada identificación técnica de las ideas , donde éstas surgen de un procedimiento en cierta forma metódico y sufren, además, una selección primaria. Dentro de esta fase se avanza hasta la elaboración de un bosquejo el cual ilustre sobre el complejo de inversiones que los responsables de ella juzgan como deseables y posibles. Las ideas que emerjan al respecto, tendrán una base de factibilidad lógica. Deben ser aportadas por un estaf de técnicos creado exprofeso y de preferencia interdisciplinario, cuyo trabajo serán es de considerar alternativas razonables, tomando en cuenta una amplia gama de ítem y sobre todos el interés motriz de las personas físicas o morales e instituciones que fungen como promotoras en todos el proceso. Debe dejarse aclarado que las ideas a as cuales nos referimos en este capítulo, no alcanzan a esta altura (salvo raras excepciones) el grado de detalle que implicaría, por ejemplo, dimensionar unidades específicas. Son simplemente representaciones generales sobre conjuntos que se expresan con el fin de ser estudiadas a profundidad. En la mayoría de los casos resultan de una combinación entre la observación que se realice sobre el área, los supuestos previos y la experiencia de situaciones análogas. El número y la calificación del estaf responsable dependen fundamentalmente del monto e importancia de las futuras inversiones. La especialidad de sus integrantes está en función de los tipos de proyectos que se conciban, y la procedencia de los técnicos (sector público, organismos internacionales o sector privado), en la mayoría de los casos, es una consecuencia del origen previsto de los capitales con que se han de ejecutar las ideas que se detecten. En cualquier circunstancia, dicho estaf debe estar constituido por expertos en el ramo, ya que sus propuestas implican desencadenar hacia delante un aserie de acciones que representen considerables esfuerzos técnicos, económicos, políticos, administrativos y sociales. Para determinar las ideas generales y específicas, el estaf tiene un trabajo en conjunto y otro por especialidades. Para el primero, el equipo se nutre de los siguientes aspectos: observación; experiencia y conocimiento previo; datos generales de primera mano; o sea, al alcance inmediato del que observa y la opinión de profesionales y personas conectadas con el ramo 2.1.1 La observación La inspección ocular por parte de especialistas es decisiva, ya que de esta
  • 40.
    40 manera pueden recogersedictámenes calificados sobre la base del espacio real en que se han de desenvolver las actividades turísticas, así como de las interconexiones entre éste y la zona o región en donde se encuentre. 2.1.2 La experiencia y conocimiento previos Comparar el potencial turístico y las posibilidades de éxito a priori, es algo que requiere de un gran conocimiento por parte del estaf responsable, no sólo sobre el área, la zona y el país sino en general del la actividad turística. Asimismo, seleccionar sitios y proponer alternativas para unidades de inversión implica la experiencia suficiente sobre casos históricos semejantes, como para haber asimilado los resultados positivos y negativos que se hayan encontrado. 2.1.3 Los datos de primera mano Son, en principio, la estadística y la información general cuya consecución no requiera un mayor esfuerzo ni para la cual haya que realizar investigaciones específicas. En general debe disponerse de ella en forma inmediata, a manera de un auxiliar cotidiano en la toma de decisiones, tanto de los profesionales y expertos cuyas opiniones se han de recabar, como del estaf responsable. 2.1.4 Opinión de profesionales, empresarios y personas relacionadas con el ramo Es imprescindible que el estad se auxilie de aquellos conocimientos obre la actividad turística, que sólo se adquieren a través del trabajo cotidiano y del contacto directo con la problemática del turismo en una zona o región determinada. No obstante, los entrevistados e informantes deben gozar de una experiencia y de un juicio comprobado, ya que sus opiniones eventualmente pueden conducir a robustecer o rectificar el encuadre general que el estaf elabore. 2.2 CRITERIOS TÉCNICOS AUXILIARES PARA FORMULAR LA PROPOSICIÓN INICIAL Dentro del trabajo por especialidades (aunque manteniéndose como equipo), el estaf deberá recurrir en forma superficial a los criterios técnicos de decisión, pero con la seriedad suficiente como para seleccionar alternativas y detectar aquéllas que justifiquen mayores estudios. De los criterios que se mencionen a continuación algunos son preponderantes par la decisión de seguir adelante, mientras que otros podrán ser complementarios. Todos ellos son partes interrelacionadas en un todo. En algunas ocasiones el análisis sobre sólo uno de ellos, es suficiente para tomar una resolución. Sin embargo, lo correcto es apreciar la incidencia que cada uno puede tener en el problema. 2.2.1 Criterios de orden físico Corresponden a las consideraciones que le merecen al estaf, el entorno físico de cada uno de los sitios que identifique dentro del área turística seleccionada. Estos criterios son quizás los más importantes en esta fase, ya que l os sitios de
  • 41.
    41 desarrollo deben quedardefinidos en ella. Dicho entorno puede estar constituido por elementos tanto naturales como culturales. Los primeros son aquéllos que el hombre no ha llegado a cambiar, ni en su forma, ni en su esencia, aunque pueden estar sujetos a su observación, conservación y análisis. Los segundos son, por el contrario, los que el ser humano no sólo conoce, sino además transforma de acuerdo a sus intereses económicos, políticos, sociales o estéticos. 2.2.1.1 Naturales 1. Atractivos naturales Son las manifestaciones, lugares o elementos naturales sobre los cuales el estaf lleva a cabo una revisión somera para determinar el grado de interés turístico que aquéllos pueden despertar (calidad del atractivo), tratando de concebir las posibilidades de integrarlos en paquetes de manera que se complementen y puedan ser explotados en conjunto. En este punto se realiza la evaluación de atractivos. 2. Condiciones ambientales Ø Clima. A través de algunos indicadores tales como los días de sol, el promedio de temperaturas en el año o el de los periodos en que se prevean las temporadas altas , se obtendrá una idea del comportamiento aproximado que tiene el clima en el lugar. Ø Condiciones eco salubres. La observación sobre los sitios y el tipo de enfermedades en la población nativa, puede informar sobre los elementos de insalubridad que el ecosistema natural produzca, y evaluarlos con una primera aproximación. Ø Paisaje natural. Las potencialidades estéticas del ambiente natural deben también considerarse en función del impacto psíquico que causen al visitante. Ø Condiciones de la fauna y vegetación. La riqueza o pobreza de la población animal con que cuente cada sitio o área y en especial la variedad y tipo de sus especies llega a determinar por un lado las necesidades de alterar el ecosistema y por otro las de reforzarlos, así como el incremento de actividades turísticos susceptibles de desarrollar. Por otra parte, la vegetación natural tiene implicaciones directas sobre el paisaje original o creado que pueden aprovecharse; y, en gran parte, sobre las potencialidades general del sitio. 3. Hidrología En esta fase se hace una primera observación sobre las potencialidades relativas al uso de los ríos externos y de las lagunas de los sitios, así como sobre los problemas que puede ocasionar su comportamiento, condiciones y formas.
  • 42.
    42 4. Morfología Conviene haceruna revisión inicial sobre las formas geográficas que presenta el sitio sin llegar a un análisis de los accidentes y particularidades de su superficie (topografía), pues en realidad esto sólo se justifica en niveles de estudios posteriores, en donde ya han sido elegi dos los sitios. 5. Potencialidades del espacio Sobre la base de una medición primaria y el uso de coeficientes, el estaf puede realizar aproximaciones o por lo menos comparaciones entre las potencialidades físicas de cada sitio, para el desarrollo de actividades turísticas. En especial, el uso que podría hacerse de cada terreno en virtud de su capacidad y calidad. 2.2.1.2 Culturales 1. Atractivos culturales Se destacan aquellas manifestaciones, elementos o espacios creados o transformados por el ser humano que pudieran funcionar como atractivos para los visitantes del área. Se seleccionan y ordenan. 2. Paisaje cultural Se hacen las consideraciones pertinentes sobre el ambiente físico creado por el hombre y su posible impacto psíquico en el visitante. 3. Hábitat humano Se registran las características y la diversidad de los elementos con función utilitaria que se encuentran en el ambiente creado por el hombre. en éste entran todas las facilidades y servicios con que cuenta cada sitio (infraestructura, equipamiento y servicios conexos). 2.2.1.3 Resumen de las apreciaciones sobre el entorno físico de cada sitio, así como de sus necesidad es y restricciones físicas Una vez que los expertos del estaf responsable han madurado sus apreciaciones sobre el contexto físico de cada sitio, conviene elaborar un resumen de éstas, mencionando la calificación que les merece cada uno en función de sus potenci alidades para el desarrollo de actividades turísticas. Asimismo, resulta muy útil una orientación sobre las carencias físicas que el estaf considere como deficiencias imprescindibles de cubrir en los sitios correspondientes, para cualquiera que fuese el tipo de proyecto turístico que se determinase más tarde. Como es natural, tales deficiencias o necesidades se refieren a obras de infraestructura y servicios esenciales. Ir más allá puede ser erróneo, ya que determinar incluso obras de apoyo a las inversiones de equipamiento, equivale
  • 43.
    43 a suponer algunascaracterísticas de estas últimas sin saber con certeza si realmente existirán. El diseño, tamaño e inclusive el punto exacto en que se ubicarán los proyectos de equipamiento, corresponde establecerlo después de realizado el estudio de mercado, de manera que se tenga una buena y justificada aproximación sobre perfil del turista y los monto de afluencia a que se aspira. En caso de que existan, y si la observación superficial lo ha detectado, se explicarán las restricciones físicas encontradas en cada lugar, tanto para el desarrollo de actividades turísticas, como para la construcción de cierto tipo de proyectos. Finalmente, dentro de este resumen debe intentarse una jerarquización tentativa de los sitios estudiados, la cual será ratificada o rectificada por el empleo de los demás criterios técnicos. 2.2.2 Criterios de orden económico financiero La disponibilidad de los recursos financieros es una limitante que se deberá considerar en todas las fases de los estudios de preinversión. En esta etapa se buscará contribuir a seleccionar los sitios de desarrollo. Tomando en cuenta las fronteras aproximadas sobre las cuales se supone que están los montos de capital a los que podría recurrirse, de manera que se descarten aquellas alternativas que francamente impliquen cantidades inaccesibles, según se pueda deducir de las revisiones superficiales efectuadas. En realidad, la mayoría de las deducciones a este respecto provienen de las necesidades que en materia de infraestructura y servicios básicos pudieron ser detectadas en el análisis físico realizado sobre cada sitio. Por otra parte, se aplicarán estos criterios en la revisión de los análisis regionales de que se disponga para estudiar los diagramas de flujos económicos en la región, así como sus redes de comunicación y grados de concentración, de manera que puedan preverse las posibilidades que tiene cada sitio de aprovechar la existencia de economías e xternas o bien, si fuese el caso, el que su desarrollo contribuya la desconcentración especial. En cuanto a las ideas generales sobre los programas de equipamiento por desarrollar desprendidas del análisis sobre el entorno físico de cada sitio, se tratará de apreciar las diferencias descollantes entre distintas alternativas según dos elementos básicos:
  • 44.
  • 45.
    45 Ø Los efectossocioeconómicos previstos para la región. Ø Los niveles aproximados en materia de financiamiento. 2.2.3 Criterios legales En algunas naciones donde se combinan diferentes tipos de propiedad sobre la tierra, los conflictos jurídicos a este respecto llegan a impedir el asentamiento de proyectos turísticos en determinadas áreas. Por esta razón, y dependiendo del país o zona en estudio, es recomendable darle la mayor atención a las formas de propiedad y tenencia que rijan en cada uno de los sitios por elegir, de manera que se consideren en el análisis de factibilidad desde su primera fase. En algunos casos, las situaciones difíciles en materia de propiedad territorial pueden ser solucionadas fácilmente; en otros requiere de procedimientos legales largos y complicados, pero a veces los obstáculos se mantienen por periodos tan amplios que la rentabilidad de los proyectos se reduce notablemente o desapar ece. En otras ocasiones, ciertos sitios están regidos por disposiciones y reglamentos que pueden modi ficar demasiado las ideas originales, a tal grado que la entidad o persona promotora de los proyectos no esté dispuesta a llevarlos adelante bajo características tan diferentes alas que en principio concibió para ellos. En el campo de lo legal, las situaciones son muy diferentes de una zona a otra, por lo que el estaf deberá recurrir a especialistas y a personas con experiencia de la localidad, ya que en este ámbito sus ideas se normarán por opiniones y consultas. Como hemos mencionado, en esta fase no es recomendable dedicar esfuerzos a investigaciones específicas, especialmente en esta mater ia. 2.2.4 Criterios de mercado En conjunto con los otros criterios, el estaf considerará las peculiaridades de los principales mercados con que cuenta el área donde se están seleccionando los sitios. A la altura de esta fase sólo se recurre a la información y conocimiento, con que normalmente trabaja el estaf y los profesionales consultados, para establecer con estos elementos hipótesis lógicas sobre los mercados y fundamentar sobre ellas las ideas generales que se propongan para cada sitio. En especial, los supuestos sobre algunas características socioeconómicas de los turistas actuales y futuros, contribuyen poderosamente a la selección de los sitios. Dado que cada uno de éstos presenta diferentes posibilidades físicas para el desarrollo de actividades turísticas, en cierta forma la diversidad de instalaciones en donde éstas se efectúen depende del consumo previsto que se espere y, por lo tanto, del tipo de consumidores futuros, o sea, del segmento de mercado a captar.
  • 46.
    46 2.2.5 Otros criterios Ladeterminación de sitios y la identificación de ideas para proyectos de inversión, puede eventualmente verse influida por decisiones políticas o por criterios administrativos. No obstante, es más frecuente que estos criterios intervengan en la asignación de prioridades a nivel de las zonas que de los sitios, ya que la selección de estos últimos está sujeta a mayores requisitos técnicos. 2.3 LA SELECCIÓN DE SITIOS Y ALTERNATIVAS PARA LOS PAQUETES DE INVERSIONES Realizado el primer análisis sobre los sitios posibles por desarrollar, en el área elegida, y estructuradas diversas ideas globales sobre programas de inversión en turismo, se procederá a seleccionar formalmente las alternativas, a fin de escoger una o más de ellas para la presentación de la proposición inicial. 2.3.1 Ordenamiento de las ideas en programas (alternativas) En cada sitio estudiado se habrán pronunciado muchas y diversas ideas sobre posibles proyectos. Éstas se integrarán según características afines o necesidades de conjunto, en paquetes o programas coherentes; de manera que para cada sitio se tenga una o varias alternativas de inversión las cuales equivalen precisamente a dichos programas. Representando la situación por conjuntos quedaría según la figura 2.2 Figura 2.2 Programas identificados en el sitio X Como se ve en dicha figura. Algunas ideas pueden estar contenidas en dos o más alternativas, o sea, ser comunes a todos los programas integrales que se identifiquen en cada sitio. Podría ser éste el caso de los proyectos de infraestructura y el de algunos de equipamiento (ruta de acceso, hoteles,
  • 47.
    47 servicios básicos, energía,etc.) cuya realización suele ser imprescindible (proyecto básicos) para el desarrollo de cualquier conjunto (en la figura los proyectos del área). Debe repetirse aquí, que las ideas que conforman cada programa están expresadas en su mayoría a nivel genérico (tipos), sin llegar a particularizar demasiado. Así, se mencionarán los tipos hoteles, aeropuertos, rutas de acceso, condominios y otros, sin definir qué clase de hoteles y de qué capacidad o, verbigracia, qué características definirían a las rutas de acceso. En algunos casos, la clase de proyectos dentro de un tipo, es lo suficientemente evidente como para adelantarse ( aeropuerto de clase internacional para recibir incluso aeronaves Dc 10, por ejemplo), pero en general cada idea global sobre los tipos de proyectos conviene mantenerla en su forma indefinida, para que sea precisada con más elementos de juicio, en los estudios definitivos de preinversión. 2.3.2 Selección de sitios y alternativas Como puede apreciarse, en ese enfoque metodológico las alternativas por seleccionar, son programas integrales y no proyectos aislados. No obstante, es perfectamente posible reducir la perspectiva y aplicar en sus líneas generales este procedimiento para proyectos específicos, que por ser independientes no se contempl an en programas o paquetes de inver sión. Cada alternativa ha sido concebida en el marco de un determinado sitio, por lo que, una manera de seleccionar entre el conjunto de aquéllas es mediante la elección del o de los lugares de desarrollo; de forma tal que sólo compitan para pasar a las fases siguientes los programas identificados en los principales sitios elegidos. Un mecanismo para escoger los sitios prioritarios a partir del trabajo efectuado por el estaf con los elementos y criterios descritos en los puntos 1 y 2 de este capítulo, es el de ordenar por jerarquías los lugares estudiados. Los sitios quedarían arreglados en columna y el lugar mencionado en el primer renglón, expresaría que a juicio del equipo responsable es el prioritario. En forma descendente, todos los demás quedarían ordenados según el orden de su importancia. Igualmente, las alternativas estarían acomodadas en forma individual, por pares, tercias, etc., (dependiendo del número de programas que compitan entre sí para cada sitio) y esta mentalizadas según los sitios a los que pertenezcan. En cualquier caso, se tratará de obtener sólo un programa de inversiones físicas en cada sitio elegido, auque éste posteriormente se desagregue en subprogramas y proyectos específicos. Gráficamente la ordenación podría ejemplificarse con el siguiente esquema.
  • 48.
    48 0rden de prioridadSitios elegidos Alternativas identificadas en cada sitio 1 2 3 4 Sitio A Sitio B Sitio C Sitio D Programa 1 Programa 2 Programa 1 Programa 2 Programa 3 Programa 1 Programa 3 El ordenamiento de los sitios está en función de los criterios técnicos ya descritos, pero la determinación de cuántos de ellos se han de desarrollar y en qué períodos o lapsos, depende primordialmente de las prioridades nacionales y de las posibilidades financieras que se prevean. Dicho ordenamiento facilita y hace más expedito el desarrollo global de los análisis de preinversión, ya que en el caso de que no sea factible (según se demuestre en los estudios de preinversión posteriores) desarrollar alguno de los sitios escogidos (bajo ninguna de las modalidades o programas identificados), podrá desecharse aquél, y adoptarse el sitio (y sus correspondientes programas) que le siga en la escala jerárquica elaborada en esta fase. La proposición inicial, con la que se concluye este primer nivel en el análisis de factibilidad, comprenderá los sitios elegidos y el conjunto de programas o alternativas identificadas para ellos. En el esquema anterior, por ejemplo, si se seleccionan los sitios A y B, la proposición inicial integrará las alternativas 1, 2 y 1 . En el caso de esta última habrá necesidad de filtrarla en competencia con otra, puesto que fue la única identificada en el sitio B. El proceso de selección de alternativas en esta fase, queda representado en la gráfica de la página siguiente. 2.4 LA PROPOSICIÓN INICIAL Este apartado comprende una recopilación de las conclusiones que se desprenden de los trabajos realizados durante la identificación y selección de sitios y alternativas. Para efectos de mayor claridad en su presentación, conviene que incluya una breve síntesis de las actividades desarrolladas en esta fase, así como de las fuentes y consideraciones que las originaron. Su objetivo es facilitar la comprensión y aplicación de los resultados obtenidos. En tanto sinopsis, se convierte en un elemento indispensable para las instancias ejecutivas, ya que comúnmente al finalizar cada fase, hay que tomar la decisión de seguir adelante con los estudios de factibilidad, concluirlos, revisar los efectuados o simplemente someterlos a un período de espera. La
  • 49.
    49 toma de decisionesy la negociación, en general, se agilizan notablemente teniendo para la discusión un corolario de las proposiciones y deducciones elaboradas. Gráfica 2.3 Precisamente, éste es uno de los puntos donde la negociación adquiere mayor importancia dentro del proceso, ya que con escasos elementos hay que decidir la inversión correspondiente en estudios profundos de preinversión o, si es el caso, la tramitación de su financiamiento. Asimismo, es normal que sea a este nivel cuando se empiecen a formalizar los contactos y gestiones con los organismos crediticios, a los cuales se piensa recurrir para el futuro financiamiento de la inversión. Debe destacarse que la proposición inicial es, en gran parte, el extracto elegido de un proceso en el cual se han aportado ideas lógicas sobre futuros proyectos, en el contexto de sitios diferentes. Por lo tanto, representa, en cierta forma, un producto consciente de la intuición creativa del estaf, y de los ejecutivos comprometidos. En este sentido, tanto la selección de sitios como la de alternativas, deben estar perfectamente avalados por fundamentos de orden analítico y técnico. La proposición inicial se divide básicamente en tres partes: antecedentes, conclusiones y recomendaciones. 2.4.1 Antecedentes Están constituidos por dos tipos de referencias. Las primeras se refieren a las disposiciones, acuerdos y decisiones que hicieron posible los trabajos de identificación y selección, propios de esta fase. Estos antecedentes dan cuenta de las características que haya adoptado el proceso de análisis realizado hasta
  • 50.
    50 el momento. El segundotipo, lo conforman el grupo de elementos, diagnósticos y consideraciones de carácter técnico a los cuales se ha recurrido en el transcurso de esta etapa. En especial deben mencionarse las características del estaf responsable, el método de trabajo utilizado y las relaciones, informes, datos, precedentes, etc. , que se hayan apli cado como auxiliares. Dentro de los antecedentes de or den técnico se incluye la descripción r esumida de las acciones que fueron necesarias para lograr la identificación y la selección de los sitios y de las alternativas. 2.4.2 Conclusiones En este título se hace la presentación ordenada de los sitios identificados dentro del área designada para el estudio, así como de las razones que justifican dicha identificación. En seguida se mostrará el orden de prioridades de los sitios y los que finalmente hayan resultado elegidos en esta primera aproximación, se definirán con mayor exactitud, ya que tentativamente son los sujetos de análisis para los estudios de preinversión. En forma correlativa, se describirán las alternativas o paquetes de inversión identificados en cada sitio elegido, de manera que sean considerados como marcos de referencia en los próximos estudios de factibilidad. 2.4.3 Recomendaciones Es pertinente, en este apartado de resumen, tratar de elaborar un cuadro de recomendaciones, a manera de guía, para las acciones de seguimiento. El carácter de las sugerencias que se inscriban aquí será de índol e diversa. Por un lado, se mencionarán los estudios indispensables, necesarios y convenientes, para garantizar en todos sus ámbitos la viabilidad de las inversiones, en cada uno de los sitios seleccionados. Por otro lado, tendrá que aludirse al conjunto de investigaciones, tramitaciones, negociaciones, etc., que en el ámbito legal, social, administrativo, político y financiero debe efectuarse, a fin de completar el examen global de factibilidad. Tales recomendaciones serán recogidas y desarrolladas en los estudios previos o definitivos de factibilidad, si se decide proseguir con éstos en el proceso de preinver sión. REFERENCIA BIBLIOGRÁFICA · Hernández Edgar.- Proyectos turísticos, formulación y evaluación · SapagChain.- Preparación y evaluaci ón de proyectos
  • 51.
    51 SEGUNDO MOMENTO: Los estudiosde pre-inversión y los componentes de un estudio de factibilidad OBJETIVOS ü Analizar e interpretar los componentes de los estudios de pre inversión ü Identificar los elementos de la puesta en valor de los atractivos turísticos locales previo a la generación de emprendimientos turísticos ü Conocer los aspectos básicos de un estudio de CONTENIDOS 3.- Puesta en Valor 3.1. Puesta en valor de un atractivo turístico 3.2. Aspectos que determinan la puesta en valor 3.3. Resultados de la puesta en valor 4. Los estudios de pre inversión 4.1 Introducción 4.2 Estudios previos de factibilidad 5. Estructura y componentes de un estudio definitivo de factibilidad 5.1 Introducción 5.2 Objetivos básicos de un estudio definitivo de factibilidad 5.3 Esquema formal de un estudio definitivo de factibilidad 5.4 Presentación del estudio general 5.5 Resumen e introducción técnica del estudio definitivo 5.6 Estudio de mercado 5.7 Estudio técnico 5.8 Estudio financiero 5.9 Estudio complementario BIBLIOGRAFIA Baca Urbina Gabriel.- Evaluación de proyectos SapagChain.- Preparación y evaluación de proyectos Apuntes.- Maestría en Planificación de destinos Turísticos
  • 52.
    52 3.- PUESTA ENVALOR 3.1. Puesta en Valor del Atractivo Turístico La valorización o puesta en valor turística del patrimonio es un término reciente aunque frecuentemente utilizado en la literatura científica actual. No obstante, son escasas las reflexiones existentes sobre su verdadero alcance y significado; hecho que genera confusiones y graves problemas conceptuales. Por ello, se ha creído conveniente revisar este concepto atendiendo a la bibliografía y documentación existente procedente tanto de los organismos internacionales como de los especialistas en la materia. Palabras clave: Desarrollo turístico - Puesta en valor turístico. - Patrimonio Turismo La puesta en valor del patrimonio cultural o natural se concibe como la recuperación y rehabilitación de los bienes culturales o naturales con el objetivo de dotarle de nuevos usos (turísticos, culturales, deportivos, residenciales, etc.) y reinsertarlo nuevamente en el tejido social para asegurar su protección. Se ajusta a lo que hoy día se entiende como conservación integrada, es decir, el resultado de la acción conjunta de técnicas de conservación, de investigación y adaptación de ese patrimonio a las necesidades de la sociedad del momento. A partir de los años noventa diferentes autores comenzaron a reflexionar sobre la puesta en valor turística del patrimonio. Aunque no existe un modelo teórico concreto sobre la valorización de estos bienes culturales, a través del análisis de las iniciativas llevadas a cabo por los diferentes países, se pueden observar cuales son los planteamientos seguidos por los mismos y sacar conclusiones generales al respecto. Puesta en valor de un yacimiento arqueológico Marco normativo Marco CIENTÍFICO Marco SOCIAL Instituciones Públicas Administraciones Instituciones Privadas Criterios de selección y evaluación Contexto socioeconómico Entorno medioambiental PUESTA EN VALOR YACIMIENTO S Incremento del tiempo libre Demanda de consumo Nuevas formas deocio
  • 53.
    53 La puesta enval or de los recursos naturales y culturales que son patrimonio de un territorio. Dicho proceso es complejo puesto que en él intervienen: Las necesidades de los mercados El diseño de las condiciones de uso La preservación de los valores intrínsecos del recurso 3.2. Aspectos que determinan la Puesta en Valor La imagen: cuyo diseño puede garantizar por si sólo el reconocimiento del recurso en el mercado El tipo de gestión: que es determinada por factores como el tipo de propiedad (pública o privada), el soporte técnico que se proporciona al atractivo, las condiciones de accesibili dad, etc. La gestión sostenible: que incluye los parámetros anteriores pero considerando los efectos sobre el atractivo y su entorno a largo plazo, minimizando los impactos no deseabl es para su óptima conservación La accesibilidad: determinante en cuanto a la capacidad de carga del atractivo y que debe diseñarse consecuentemente con los tres apartados anteriores. ¿Cómo poner en Valor un sitio sin atractivos naturales o culturales? 3.2.1. Desarrollar atracciones totalmente artificiales. Equipamientos tales como parques temáticos, resorts vacacionales. Eventos especiales: Los festivales anuales o eventos diversos pueden generar flujos significativos de turistas aunque sea en un plazo corto de tiempo. 3.2.2. Promover la práctica de actividades recreativas en lugares con cierto atractivo El desarrollo de pequeñas infraestructuras y medios organizativos (puentes, senderos, pasarelas, muelles, observatorios de pájaros, etc.) Práctica de actividades deportivas y recreativas tales como: ciclismo, senderismo, pesca, observación de pájaros, etc. 3.2.3. Agrupar atracciones del mismo tipo o relacionadas para crear una ruta o marca de destino que aumente el valor del conjunto. Ejemplos de este tipo de enfoque son: Ruta del Spondylus (Ecuador) Ruta del Libertador (Ecuador) Ruta de la Seda (Asia)
  • 54.
    54 3.3. Resultados dela Puesta en Valor 1. Crear oportunidades de empleo Trabajos con poca experi encia y formación Trabajos directivos con formación universitaria Se generan mas plazas de trabajo para la gente local, minimizando la importación de profesionales extranjeros. Alternativa de trabajo ante el desempleo en otros sectores 2. Estimular la creació n de pequeñas empresas El turismo es una actividad económica en la que dominan la micro, la pequeña y mediana empresa Producción de recuerdos y artesanías, producción de alimentos, alojamiento, operadores de receptivo, guías de turismo, taxis y transporte local, operadores de atracciones y actividades de ocio. Oportunidades a emprendedores locales, y en fomentar la movilidad de los profesionales a través de programas de formación. 4. Conservación y puesta en valor de la cultura local Fortalecimiento de la cultura local, evitando la influencia de la cultura occidental . Aumento de la autoestima en los residentes locales, reduciendo la inferioridad de los mismos al sentirse como espectáculo para turistas. Gobiernos dan importancia a la promoción de tipos de turismo alternativo . 5. Atraer inversión extranjera El desarrollo de nuevas infraestructuras (tales como carreteras, centros de atención sanitaria, aeropuertos, etc.) que benefician a toda la zona y sus residentes 6. Creación de nuevas actividades turístico-recreativas que también beneficien a la población local El ecoturismo y el turismo de aventura soft aportan también beneficios a la población local y no sólo a los turistas. Los senderos de naturaleza y observación de pájaros, miradores, rutas para bicicletas, muelles para botes y balsas, etc. pueden ser utilizados
  • 55.
    55 como equipamientos recreativospor la gente local y contribuirán a que valoren más su propio entorno. 7. Promover usos alternativos del suelo Mejor uso de suelos, ya que las atracciones turísticas pueden situarse en terrenos que no sean apr opiados para un uso agrícola o industrial. Construcción en zonas rurales que en un principio no tenían un atractivo propio. Ejemplo: Branson, Misouri (USA), capital mundial de la música country , destino que rivaliza con Hawai en número de visitantes. 8. Incrementar los ingresos fiscales Creación de oportunidades de negocio para la población local, nuevos empleos, atracción de inversiones para la construcción de hoteles y teatros, etc. Caso Chemainus encue ntra una solución!! Se decidió renovar Chemainus como un centro tur ístico. El plan requería: La colaboración de los empresarios locales que deberían invertir en nuevas aceras, la limpieza de las calles y otras mejoras urbanas que aumentasen el atractivo. ¿Como?: La idea central era contratar a cinco artistas para pintar las paredes de algunos edificios seleccionados con cinco murales gigantes ilustrativos de la historia de la industria maderera. Resultados: Al evento lo llamaron el Festival de Murales de Chemainus y tuvo un gran éxito, a raíz del mismo se fueron añadiendo 25 murales más, lo cual elevó el número total a 30. Se incrementaron 70 nuevos negocios, generando mas plazas de trabajo. Con la difusión de la existencia de los murales, cientos de miles de turistas han visitado Chemainus
  • 56.
    56 3.4. Desarrollo denuevos destinos turísticos a base de inversión Florida era una zona pantanosa infestada de mosquitos que carecía de industria casi por completo. La oferta de empleo y las oportunidades de negocio eran muy limitadas y, como resultado, los ingresos fiscales y el nivel de inversión eran bajos. Hasta que... llegó Disney!!. Otros ejemplos similares son la ciudad de Las Vegas en USA o el complejo de Sun City en Sudáfrica. En ambos casos, la evolución actual es hacia grandes centros para convenciones e incentivos y ocio familiar
  • 57.
    57 4. LOS ESTUDIOSDE PREINVERSIÓN INTRODUCCIÓN Existen dos niveles en los estudios de preinversión. El primero, se denomina estudio previo de factibilidad o estudio de prefactibilidad. El segundo, se conoce como estudio definitivo de factibilidad o simplemente estudio de factibilidad. Se diferencian por la profundidad a la que trascienden sus análisis e investigaciones. El primero, en realidad, una escala intermedia entre el momento en que se define el sitio y las alternativas de inversión y los estudios definitivos. La información que producen los estudios definitivos, es la que finalmente se tiene en cuenta para la evaluación económica de proyectos y programas y el diseño de ingeniería con que se ejecutarán las inversiones. El estudio previo de factibilidad sólo se justifica cuando para un mismo sitio se conciben técnicamente dos o más programas contrapuestos entre sí, ninguno de los cuales puede ser eliminado con la información de que se dispone en la primera fase, o bien cuando los montos de la inversión son tan grandes que es necesario tener un grado de apr oximación mayor sobre las condiciones del sitio y su mercado, antes de iniciar los estudios definitivos. Como ejemplo de la primera situación cabría imaginar un atractivo de orden internacional (jerarquía 4) donde el estaf y los ejecutivos han definido dos alternativas que se excluyen a corto plazo. La primera da mayor énfasis a las facilidades para el turismo de carretera que se mueve por trailers, y la segunda al turismo de altos ingresos movilizado por la vía aérea. Antes de decidi r invertir en los estudios de mercado y técnicos que además de implicar altos costos, quizá se iniciarían en la desorientación por falta de claridad en cuanto a lo que se pretende, convendría tener elegida una alternativa a fin de poder guiar los estudios mencionados en una dirección; de esta manera se ahorra tiempo y dinero haciéndolos más expeditos y eficaces. La segunda situación es más frecuente, y se presenta para grandes programas de inversión en los cuales no basta que la fase de identificación haya sido efectuada por profesionales con experiencia, altamente calificados y bajo métodos técnicamente irreprochables. En estos casos, antes de llevar adelante los estudios definitivos de factibilidad, se procura dar un paso intermedio que defina con un poco más de exactitud, la alternativa que hasta el momento aparece como viable (si sólo hay una), ya que en última instancia a excepción de los fondos no reembolsables para estudios de preinversión, el costo de estos últimos ha de cubrirse en forma diferida con los beneficios de las inversiones para las cuales se prepararon. Si los proyectos no se ejecutan, el gasto en estudios definitivos se pierde y si éste es muy alto, la pérdida será naturalmente onerosa. Puede presentarse también la combinación de las dos situaciones, o sea, que para un programa de grandes inversiones, se encuentren definidas dos o más alternativas para elegir.
  • 58.
    58 En estas circunstancias,conviene definitivamente filtrar dichas alternativas, ya que es un error iniciar los estudios definitivos y en particular el análisis de mercado a profundidad, bajo una perspectiva demasiado amplia, en el caso de programas de importancia nacional, pues se crea la dispersión en los estudios y se amplía el tiempo y costo en que éstos se r ealizan. Es deseable orientar los estudios definitivos presentándoles una sola alternativa, la cual puede ser seleccionada con los nuevos elementos de juicio que reúna el estudio previo. ESTUDIOS PREVIOS DE FACTIBILIDAD Los objetivos básicos del estudio previo son los siguientes: Ø Seleccionar la alternativa o paquete integral de inversión, que concebido a grandes rasgos (de acuerdo a su función turística) se demuestra como el más adecuado, de acuerdo a los fines que se persigan y siempre que sea competitivo con otras propuestas. Ø Profundizar en las principales variables que determinan la viabilidad de los proyectos turísticos, cuando éstos están incorporados en programas de interés nacional . Ø Preparar y facilitar el desarrollo de los estudios definitivos de preinversión. Ø Contribuir a la obtención del financiamiento para los estudios definitivos. Ø Contribuir a las negociaciones para conseguir los créditos necesarios para las inversiones del programa. Los estudios previos de factibilidad se concentran en el análisis de dos elementos básicos: las peculiaridades de los mercados naturales y factibles al área del sitio y las posibilidades físicas (calidad, cantidad y diversidad) del entorno en cuestión, par a el desarrollo de actividades turísticas. En forma complementaria y cuando el área donde está ubicado el sitio así lo requiera, tendrá que investigarse a este nivel su problemática social, para establecer entre otras cosas, la actitud y disponibilidad de la población local ante los cambios que puedan producir los programas de turismo. Asimismo, otro elemento que puede ser enfatizado en este estudio es el legal, ya que en algunos países, dada su especial problemática, requiere ser tratado a diferente nivel en cada fase. Revisiones sobre las condiciones del mercado Durante el estudio previo se acumulan nuevos argumentos técnicos para seleccionar, reafirmar o rediseñar la alternativa definitiva en materia de inversiones. A la altura de este estudio, sólo se justifican investigaciones de mercado primarias o de gabinete . Con ellas se procuran aquellos datos elaborados, o por elaborar, a los que no se había r ecurrido hasta el momento.
  • 59.
    59 Algunas de lasincógnitas fundamentales en este campo, sobre la que se puede ir avanzando en el estudio previo, se refieren a las principales plazas del mercado actual, futuro y potencial. Interesa, en especial, encontrar información sobre el perfil socio-económico del turista y sus hábitos, en cuanto a actividades turísticas, así como sobre las vías de comunicación que normalmente utiliza para viajes de turismo, formas de promoción a las que recurre, preferencias, etc., y, en general, sobre todos aquellos elementos que nos permitan desagregar la función turística del programa global que se esté discutiendo. De esta manera, estaremos en condiciones de ir comparando y rediseñando las inversiones identificadas en cada programa con el tipo de demanda que ejerce el mercado al cual pretendemos dirigirnos. Revisiones del entorno físico elegido El sitio para ubicar las instalaciones turísticas, generalmente queda seleccionado en la fase de identificación. No obstante, la selección puede ser revocada y cambiada, si en el estudio previo o en el definitivo se reúnen nuevos argumentos que indiquen la necesidad de hacerl o. Destaca la importancia de las revisiones que a este respecto se llevan a cabo durante el estudio previo, porque deben intentar una buena aproximación cuantitativa de las potencialidades que ofrece el sitio para la instalación de unidades de inversión, mediante la asignación y dimensionamiento de terrenos, según la función que se les pueda otorgar dentro del sitio. Parece conveniente que lo anterior se realice antes de iniciar los estudios definitivos, ya que de esta manera el estudio de mercado final puede diseñarse conociendo las posibilidades físicas reales del lugar seleccionado y con esto, orientarse hacia los estratos del mercado que coincidan en sus hábitos con la mejor alternativa de inversión planteada. El análisis del sitio brinda, junto con los supuestos de financiamiento y capital que se están manejando, un marco de referencia sobre la cantidad y calidad de los servicios que eventualmente se estaría en capacidad de ofrecer al mercado a partir de este programa. Dicha información permite fijarle al estudio definitivo de mercado, objetivos concretos y encauzarlo bajo procedimientos claros y evaluables. Sin embargo, este procedimiento no debe interpretarse erróneamente, pensando que la asignación de funciones y el dimensionamiento de espacios, preceden a toda consideración sobre el mercado. Debe recordarse que, tanto en la primera fase del proceso (identificatoria) como en el propio estudio previo, se ha señalado con énfasis la aplicación de los criterios de mercado y la revisión sobre estos tópicos. En cambio, un estudio de mercado a profundidad implica, por lo regular, una mayor definición sobre el producto que se pretende vender .
  • 60.
    60 En los casosque se determina injustificable o incosteable la elaboración del estudio previo, el dimensionamiento de terrenos y su asignación de funciones se tiene que realizar dentro del estudio definitivo. Aún así sigue siendo recomendable que precedan al estudio de mercado. Asignación y dimensionamiento de terrenos La asignación de terrenos implica una previsión de los espacios que comprendería cada proyecto específico o cada grupo de ellos, cuando por sus características requieran vecindad. Con ello se cumple un primer dimensionamiento de terrenos y de esta manera, el Staff técnico podrá conformarse una idea de la capacidad máxima que aproximadamente presenta el sitio, para cada tipo de servicios. A manera de ejemplo, podríamos mencionar el análisis de un sitio donde se hubiesen considerado 20.000 m2 como única extensión susceptible de aprovecharse para la ubicación de las instalaciones de equipamiento turístico; mediante la aplicación de estándares, el Staff podría adelantar opciones y márgenes, dentro de los cuales se inscribieran las inversiones correspondientes. En algunos casos, un sitio puede ser dividido en sectores que incluyen espacios de diversa índole, con usos diferentes dentro del programa turístico. Bajo estas circunstancias, el dimensionamiento de terrenos tendrá que efectuarse para cada sector, pero finalmente se deben ofrecer estimaciones agregadas en función del uso turístico que se le determine a cada tipo de espacio. Ilustremos lo anterior con una situación hipotética, en donde se ha identificado el sitio para un programa turístico de importancia. Tal sitio comprende un frente de playa equivalente a 4 kilómetros con un fondo promedio de 2 sectores el espacio total. Como es natural, cada sector tendrá así, terrenos para instalaciones de servicios turísticos y terrenos de recreación. No obstante, el sitio en su conjunto deberá dimensionarse según tipos de terrenos . El resultado será la suma de los espacios que tengan funciones turísticas homogéneas, no importa el sector a que pertenezcan. Con este dato el estaf tendrá una noción de las capacidades del sitio para cada tipo de servicios. El dimensionamiento de terrenos y espacios es interdependiente dentro del conjunto. Ciertos espacios determinan la utilización de otros. Los programas turísticos, que toman, verbigracia, a la playa como motivación principal, deben considerar el tamaño de este recurso como uno de los determinantes que pesan sobre la asignación de terrenos para obras de hospedaje. Un programa con gran capacidad para instalaciones de alojamiento, pero con reducidos espacios destinados a la recreación tendrá que relacionar estos elementos y finalmente reducir el primero o en todo caso su cali dad.
  • 61.
    61 Revisiones sobre laevaluación del sitio de desarrollo Cuando el sitio elegido para el desarrollo del programa es extenso, para efectos de los estudios de preinversión, cabe dividirlo en sectores específicos. En este sentido se verificará otra evaluación y selección de atractivos, tomando en cuenta también las posibilidades y problemas de cada espacio. Bajo este título se llevan a cabo los estudios técnicos que se juzguen convenientes, como continuación de la fase anterior, y siempre que sea indispensable contar con su información antes de pasar a los estudios definitivos. Entre aquellos pudieran contarse los análisis de fotografía aérea vertical y oblicua, de topografía, geología y suelos, y si se considera pertinente profundizar sobre hidrología, aguas subterr áneas, vegetaci ón, oceanografía ( en el caso de programas sobre playas), espacios arqueológicos, etc. Conclusiones del estudio previo Este estudio comprende una fase del proceso y al finalizarlo es necesario ofrecer un resumen de conclusiones en el que se describa el grado de cumplimiento que se ha dado a sus obj etivos. En primer lugar, interesa la depuración de alternativas efectuada, dado que la última fase de los estudios de factibilidad debe iniciarse aceptando en principio como soporte y referencia la alternativa seleccionada en esta fase, en función de su viabilidad y rentabilidad aparentes. Por otra parte, el sitio de desarrollo presentado en el estudio previo será caso definitivo, considerando que en sus trabajos se ha llegado a un nivel de detalle satisfactorio, en cuanto a los análisis e investigaciones sobre el entorno físico. Como en la fase de identificación, las conclusiones del estudio previo incorporarán una breve síntesis de los trabajos realizados, de los auxiliares técnicos a los que se haya recurrido y de los principales antecedentes. En seguida, se enumerarán los resultados obtenidos, destacándose las características del programa turístico, sobre el cual se orientarán los trabajos siguientes y, en especial, la función turística esperada para el complejo de inversiones delineado, así como el sitio o área de desarrollo. Finalmente los estudios y trámites recomendados, así como los avances alcanzados en los organismos de crédito y en las instancias ejecutivas, administrativas y de la comunidad local. Factibilidad y rentabilidad Antes de pasara a describir y analizar los componentes y la estructura de un estudio definitivo de preinversión conviene precisar dos de los términos más utilizados en materia de proyectos, que desafortunadamente suelen emplearse como sinónimos, aun cuando responden a conceptos distintos. Tal precisión es importante porque su manejo diferenciado permite comprender con mayor facilidad los últimos adelantos metodológicos sobre evaluación de inversiones.
  • 62.
    62 Estos términos sonlos de factibilidad y rentabilidad. El primero está relacionado con la idea de posible, esto es, con la determinación de juzgar una futura acción como capaz de realizarse, salvando las distancias limitantes que pudieran presentársele. Dichas limitantes dependerán de la envergadura de esa acción y del entorno socioeconómico y físico donde habrá de desarrollarse. Por lo tanto, el concepto de factible se desprende como conclusión de todo análisis, sea superficial, profundo, metódico o arbitrario, sobre una acción a ejecutar. Si la misma implica la inversión de un monto considerable de recursos económicos se buscará un estudio exhaustivo que comprenda variables tan diversas como las culturales y las físico térmicas. En cambio si se tratase de una acción relativamente sencilla y habitual, el manejo de elementos por considerar se reduce al mínimo, lo que permite mecanizar mentalmente los actos por ejecutar. A manera de ejemplos cabría citar la construcción de un sistema colectivo de transporte, como el llamado metro , y el cumplimiento de una cita cotidiana de negocios, respectivamente. En el primer caso, afirmar como factible su ejecución y operación requiere, independientemente de la ciudad por afectar, de análisis metódicos sobre una enorme gama de variables, tanto técnicas como sociales, económicas y políticas. En cambio, en el segundo caso, un ejecutivo acostumbrado a tales citas tenderá a mecanizar no sólo el proceso de establecer una hora y sitio determinado para celebrarlas, sino incluso la manera de introducir, desarrollar y concluir los asuntos por ventilar sin requerir para ello un análisis específico y documentado, con excepción quizás de aquellas citas que implicasen decisiones de gran trascendencia para sus intereses. Por lo antes mencionado, debe pensarse que cualquiera que sea el nivel de recursos por comprometer en una futura acción, la viabilidad o factibilidad de que se materialice o se lleve a cabo, es una conclusión emanada de la revisión efectuada sobr e las condicionantes que la determinan. Ahora bien, un análisis totalmente distinto al mencionado es el que implica el concepto de rentabilidad. Este último será siempre relacionado con la selección de alternativas. Aun cuando una futura acción, una vez analizada a partir del concepto de factibilidad, se considere ejecutable desde cualquier punto de vista, no necesariamente será la mejor opción respecto a otras que cabría emprender con el empleo de los mismos recursos de tiempo, capital o trabajo. En otros términos, una acción o una inversión puede realizarse en tanto se sabe que no tiene obstáculos que se lo eviten o puede superar los previstos pero ello no conduce a suponer que sea la mejor dentro del panorama de alternativas elegibles. Como se verá, se sugiere en los párrafos anteriores un nuevo concepto de rentabilidad aplicable no sólo a cuestiones monetarias o financieras, sino de hecho a toda decisión sobre acciones por tomar a futuro. Si bien originalmente el término de rentable se ligaba a la concepción de recuperación financiera a
  • 63.
    63 través de unaobtención satisfactoria de utilidades, en la actualidad requiere una adecuación. En efecto, hoy en día toda acción por realizar insume recursos y enfrenta criterios eficientistas de optimización, no sólo en el ámbito de los negocios, sino incluso en la asignación ordinaria del tiempo a la que se ven sujetos la mayoría de los hombres urbanos. Por ello, constantemente se pretende alcanzar la alternativa óptima expresada por aquella que supera el resto de las viables, lo que representa una búsqueda permanente de las opciones rentables. Esto es, habrá que hacer equivalentes las nociones de rentable y mejor alternativa, con lo cual aquella trasciende el ámbito financiero y penetra en el mundo de las deci siones a todo nivel. Es así que lo factible y lo rentable adquieren dimensiones distintas. Ya que ser factible es una condición necesaria y suficiente para ser rentable, pero esto último no deviene directamente de la condición de factibilidad. Lo rentable requiere, además erigirse como la mejor opción dentro de posibilidades de carácter y naturaleza diversa, siempre y cuando comprometan montos y calidades semejantes de recursos. 5.-ESTRUCTURA Y COMPONENTES DE UN ESTUDIO DEFINITIVO DE FACTIBILIDAD INTRODUCCIÓN El proceso económico al que se han visto sujetas las economías capitalistas, especialmente las de menor desarrollo, se ha caracterizado por una tendencia definitiva a la concentración de los recursos económicos, tecnológicos, políticos y con ello, de los propios mecanismos de poder. Esta circunstancia le ha permitido al sistema capitalista, en su conjunto, subsistir a sus crisis y a las profundas tensiones sociales que genera, pero al mismo tiempo le impone restricciones que reducen su expansión, ya que lo conducen necesariamente a mantener alejados de las expresiones y formas de bienestar que él mismo produce, a las grandes mayorías de la sociedad y a depender para su crecimiento de las minorías constituidas por contingentes de consumidores provenientes de las clases privilegiadas o cercanas a ell as. Esa dependencia presiona hacia una racionalización sui géneris muy propia de una cultura acostumbrada a las contradicciones constantes. Por un lado, se buscan y encuentran procedimientos de producción en serie y a gran escala, pero por el otro, se limitan los grupos de demandantes a través de la apropiación selectiva del ingreso y el manejo del proceso inflacionario, cuyo saldo favorece permanentemente a los mismos beneficiarios del sistema. Lo anterior obliga a optimizar las decisiones sobre qué y cuánto produci r ya que se
  • 64.
    64 cuenta con mecanismossofisticados para poner en el mercado grandes cantidades de satisfactores que sólo podrán ser adquiridos por un reducido segmento poblacional de compradores. Es en esa perspectiva que los llamados estudi os de preinversión adquieren una decisiva importancia para el crecimiento de las llamadas economías de mercado , ya que respetando sus propias limitaciones, se convierten en fieles instrumentos detectores que ayudan a encontrar las líneas de producción más rentables, los ámbitos donde se concentra la demanda efectiva1 y los mecanismos técnicos que exhiben mejores grados de eficiencia. Por el momento, las adecuaciones propuestas por las técnicas de evaluación social de proyectos para alterar su exclusiva utilización para la acumulación privada han logrado poco éxito en la práctica. Ahora bien, para cumplir sus funciones tecnoeconómicas, tanto a nivel privado como social, dichos estudios de preinversión deben ajustarse a ciertos procedimientos metodológicos cuyo cumplimiento avale sus conclusiones, y en base a las cuales puedan tomarse decisiones sobre el empleo y destino de los excedentes económi cos que genera una formación social. En el núcleo central de este capítulo se hace, precisamente, un planteamiento metodológico general para la elaboración de los estudios definitivos de factibilidad con la intención de brindar a los técnicos y profesionales comprometidos en el ámbito de las inversiones, la planificación económica y la toma de decisiones, una guía básica para la formulación de proyectos turísticos. Debe reiterarse que existe suficiente documentación previa para suponer relativamente avanzada la metodología sobre formulación de proyectos en sus líneas generales, sin embargo, cuando se pr etende adecuar tales metodologías a sectores o actividades específicas como el turismo, se incurre normalmente en dos tipos de errores. En algunos casos se deforma materialmente el caso analizado al querer ajustarlo a las normas o lineamientos diseñados en función de proyectos de otros sectores económicos. En otros casos, se pretende enfrentar la singularidad de cada inversión con procedimientos arbitrarios que en muchas ocasiones generan equivocaciones decisivas u omisiones de grave trascendencia. Por medio del presente capítulo se desea colaborar con los esfuerzos teóricos, que ya se intentan desde la perspectiva del fenómeno turístico, para desarrollar y adecuar las metodologías de identificación, formulación y evaluación de proyectos a las características muy particulares del turismo. Ello se hará pensando fundamentalmente en la problemática que sufre el sector en los países capitalistas de menor crecimiento. OBJETIVOS BÁSICOS DE UN ESTUDIO DEFINITIVO DE FACTIBILIDAD Una vez elaborado un estudio definitivo de factibilidad, en relación con una 1 En el concepto keynesiano de demanda efectiva, esto es, aquella que se apoya en recursos económicos para la compra.
  • 65.
    65 futura inversión, sepodrá decidir con un alto grado de seguridad sobre la posibilidad y conveniencia de llevarla a cabo. Los objetivos de dicho estudio se resumirán en dos: · Analizar y presentar todas las variables que condicionan la realización de una futura inversión, destacando aquéllas que exhiban mayores niveles de complejidad y estableciendo con toda claridad si el resultado analítico garantiza la factibilidad de su ejecución y operación. · Demostrar la rentabilidad económica para el capital invertido y para los recursos económicos nacionales comprometidos en el proyecto a través de su correcta comparación con otras alternativas intra o extra sectoriales. ESQUEMA FORMAL DE UN ESTUDIO DEFINITIVO DE FACTIBILIDAD El esquema que en seguida será mostrado no responde a los pasos que en la realidad se siguen cuando se elabora un estudio de factibilidad, sino a la estructura formal con que se recomienda presentar un estudio completo de esta índole, en especial para el caso de proyectos turísticos. Ello se debe al intenso proceso de feedback (r etroalimentación) que se da en la realización misma del estudio, el cual no tendrá caso tratar de exponer teóricamente tanto por la diversidad que alcanza según el proyecto de que se trate como por la dinámica que logra. En cambio, si el técnico conoce cuál es la estructura de presentación a la que deberá llegar no sólo podrá ofrecer su producto en forma diáfana y ordenada, sino que, además, independientemente del procedimiento concreto que adopte el estaf profesional comprometido en la elaboración del proyecto sabrá cada participante y, sobre todo, la coordinación del mismo, donde ensamblar las partes al todo. Dicho esquema comprende siete (7) partes básicas que funcionan como subconjuntos de un estudi o general (proyecto) y son las siguientes: · Presentación general del estudio definitivo de factibilidad · Resumen e introducción técnica del estudio definitivo · Análisis o estudio de mercado · Análisis o estudio técnico · Análisis o estudio financiero · Estudio complementario · Evaluación financiera y socioeconómica Como se verá, tales subconjuntos respetan los títulos tradicionales de las metodologías más conocidas en materia de proyectos, aun cuando su contenido y ordenación suele variar en relación con aquéllas. Por ejemplo, como se mencionó, en materia de proyectos industriales los factores que determinan la localización de una planta productora son entre
  • 66.
    66 otros las distanciaseconómicas entre esta última y los centros de consumo, por un lado, así como los costos de transporte de los insumos, por el otro. En cambio, en ese sentido los criterios básicos en turismo son la calidad, cantidad y diversidad de los atractivos, las condiciones físico climáticas y la existencia de economías externas aprovechables. A lo largo del desarrollo que se efectuará en este capítulo sobre cada subconjunto o estudio particularizado, se buscará presentar tanto los objetivos parciales que debe cumplir cada uno como de los elementos que lo integran. Lo anterior tiene dos finalidades. Por un lado, facilitar a quien revisa un estudio general de factibilidad si este último cumple los requisitos esenciales de cada parte y, por acumulación, de todo el conjunto. Para comprobarlo bastará con evaluar el alcance que logra cada parte sobre los objetivos parciales que aquí se presentan. La segunda finalidad es contribuir a facilitarle su trabajo, a quien realiza tales análisis particularizados apuntándole los componentes básicos que cada uno deberá contener. De esa manera contará con algunos lineamientos básicos que le permitan orientar sus esfuerzos. PRESENTACIÓN DEL ESTUDIO GENERAL Todo estudio definitivo de factibilidad requiere un pequeño apartado inicial que permita comprender a quien lo lee o analiza, cuál es el origen del mismo, qué inversión pretende justificar, cuáles son los promotores de esta última y qué trámites cursará para lograr la ejecución y operación de la empresa que lo generó. Todo ello se alcanza mediante una fachada sintética y clara en la cual se muestra la personalidad del proyecto en sus ámbitos legales y organizativos e incluso, en ciertos casos, los político-institucionales. Objetivos particularizados Los objetivos específicos que debe cubrir una buena presentación de un estudio definitivo son tres, a saber: Presentar el proyecto Ello significa mostrar la naturaleza de la inversión o empresa por crear (industrial, agrícola, turística, de transporte, etc.) y sus finalidades fundamentales (atender el turismo internacional, al nacional a la recreación, captar divisas, generar empleos, apoyar al desarrollo regional, incrementar la oferta nacional de un cierto producto, sustituir importaciones, etc.). Facilitar los trámites y negociaciones para la realización de la obra en estudio. Todo estudio de factibilidad es, en esencia, un instrumento de promoción y negociación con el cual se busca, habitualmente, demostrar en los niveles
  • 67.
    67 ejecutivos y técnicosa los que tenga que recurrir, la bondad de la inversión analizada y con ello lograr los apoyos del caso, ya sea en las entidades crediticias, gubernamentales o, incluso, entre los posibles socios coparticipantes. Lo anterior no significa que un estudi o definitivo de preinversión deba llevarse a cabo exclusivamente para justificar una inversión con independencia de los verdaderos resultados que arroje su análisis. De ninguna manera. Hemos mencionado que los objetivos centrales de tal estudio son determinar la factibilidad y rentabilidad de una inversión. Por lo tanto, si el resultado sobre una u otra resulta negativo no sería correcto tratar de realizar las inversiones contempladas en el proyecto por presiones externas al mismo, ya sean de índole política o sigla. Presentar las características y cualidades administrativas, financieras y técnicas de la(s) entidad(es) responsable(s) del proyecto en sus fases preoperativa y operativa. Toda futura inversión debe ser promovida por una cierta cantidad que puede comprometerse a operar posteriormente las empresas que aquélla genere o a ceder la función operativa a otras entidades. En cualquier caso, será de decisiva importancia para el éxito futuro del proyecto la capacidad de la entidad promotora del mismo en sus niveles administrativos, financieros y técnicos. Dicha entidad puede ser una sociedad privada, una asociación, una dependencia gubernamental, una empresa de capital mixto o cualquier otra forma jurídica, cuya responsabilidad sea aceptada y facultada por las leyes para tales fines. En el supuesto de que sean distintas, convendrá destacar, en la presentación general del proyecto, el historial por separado de la entidad que se encargará de llevar a cabo el proceso de ejecución del mismo, así como de aquella que se responsabilizará del manejo corriente de los créditos solicitados y de la(s) entidad(es) que previsiblemente estará al frente de la operación futura de las obras por construir. Cuando cualquiera de ellas sea de nueva creación lo pertinente es señalar los apoyos jurídicos, económicos e institucionales con los cuales surgirá la entidad responsable, así como los currículum que demuestren la preparación y experiencia de los técnicos y profesionales que integrarán tal entidad. RESUMEN E INTRODUCCIÓN TÉCNICA DEL ESTUDIO DEFINITIVO Es natural que un estudio definitivo de factibilidad que normalmente contiene un volumen considerable de páginas no pueda ser leído completamente por ciertas instancias ejecutivas tanto de los organismos de crédito, como de las esferas gubernamentales e incluso de las propias sociedades de inversionistas privados. Además, resulta difícil destacar, en el desarrollo del documento, los elementos
  • 68.
    68 y las variablesfundamentales y críticas del proyecto de manera que será de gran utilidad abrir un capítulo específico, inmediatamente después de la presentación general, que señale con toda precisión los puntos de mercado, técnicos, de localización, financieros, legales, ecológicos, sociales, económicos y sobre todo los referentes al rendimiento esperado de la inversión, en su ámbito privado y social, que arrojó el estudio definitivo a lo largo de su desarrollo. Tales puntos, ordenados según se habrán de encontrar a lo largo del cuerpo básico del proyecto, deben estar bien diferenciados unos de otros, ya que sirven no sólo como un resumen del conjunto, sino como una introducción de carácter técnico al proyecto y, en alguna medida, como una síntesis de conclusiones. Es evidente que numerosos consultores prefieren incluir el cuadro básico de síntesis y conclusiones al final del proyecto, esto es, después del cuerpo documental que lo integra. Sin embargo, parece más conveniente la posición propuesta, a fin de dar continuidad a las secciones introductorias, así como para facilitar la lectura rápida y resumida del estudio definitivo por parte de los niveles ejecutivos que deberán tomar decisiones rápidas, pero fundamentales en torno al proyecto. ESTUDIO DE MERCADO Toda inversión de recursos tiene como finalidad producir directa o indirectamente bienes y/o servicios para satisfacer necesidades concretas. Esas necesidades pueden o no estar respaldadas por medios de cambio (moneda). Cuando las necesidades se manifiestan y están apoyadas en dichos medios dan lugar a la llamada demanda efectiva, ya que el grupo social, la empresa o el individuo que la ejerce tiene la posibilidad de ofrecer a cambio de un producto otro u otros productos (trueque), o una cierta cantidad de circulante. No obstante, para que un consumidor se localice dentro de la demanda efectiva no le basta con poseer medios de cambio, será imprescindible, además, que esté dispuesto a cederl os por las cantidades impuestas en el mercado a través de los precios o simplemente que pueda hacerlo. Si se toma en cuenta que toda persona o familia requiere diversos satisfactores para lograr un mínimo equilibrio psicofisiológico y social será comprensible la imposibilidad real de muchos consumidores para sumarse a la demanda efecti va de todos los bienes y servicios que requiere, en especial cuando su ingreso o disponibilidad de medios para el intercambio es limitada. Por lo tanto, la demanda efectiva en una economía estará dada por la que ejerzan aquellos grupos de consumidores con el ingreso y las preferencias necesarias para adquirir los satisfactores, según los precios fijados en el mercado. Ahora bien, cuando las necesidades no pueden respaldarse con los medios de
  • 69.
    69 cambio suficientes sepresenta una demanda denominada real, para cuya satisfacción se requiere de productores que obtengan sus recursos económicos de una fuente distinta al proceso directo de intercambio. En este último caso se encontrarían todos los bienes y servicios ofrecidos por el sector público a precios y tarifas inferiores a las que normalmente fijaría el mercado o exigiría su proceso productivo en materia de costos, gastos e inversión. En el ámbito del turismo, se presenta también la confluencia de demanda efectiva y demanda real identificándose con la primera al turismo comercial, tanto interno como receptivo y agresivo. Para la segunda se han manejado distintas denominaciones como las de turismo subvencional y turismo social, sin que ello signifique que son los mismos fenómenos. De hecho, la diferencia entre ambas demandas está dada por los precios de mercado para paquetes mínimos de viaje, en función de un ingreso disponible que permitiese satisfacer las necesidades psicosociológicas relacionadas con esta actividad. En la mayoría de los países pobres o de menor crecimiento relativo, debido a su inequitativa distribución del ingreso, existe apenas una minoría en posibilidades de integrarse a la demanda efectiva para los bienes y servicios utilizados por un turista, con lo cual se genera una enorme demanda real, a la que normalmente se le mantiene insatisfecha. En contrapartida, la inmensa mayoría de las inversiones en este campo se orienta a producir para la demanda real, no obstante que es cuantitativamente la menor. Por ejemplo, en los primeros trabajos del Plan Nacional de Turismo elaborado por el Programa de Desarrollo Turístico de la Organización de los Estados Americanos para el gobierno de México se encontró que, según la encuesta de ingresos y gastos elaborada por el Banco Central de la Nación, apenas un 9% de la población en todo el territorio nacional se halla en posibilidades de incorporarse a la demanda efectiva del turismo interno, mientras el 91% restante quedaría supeditado a los esfuerzos de un sector público que, en este sentido, no ha mostrado verdadero interés por impulsar el turismo social o por lo menos subvencionado, aduciendo prioridades en otros campos aun cuando el despilfarro de recursos es frecuente y ampliamente comprobable dentro del aparato burocrático gubernamental. Ahora bien, considerando que las inversiones generadas por el desarrollo del turismo en un país se ocupan de tres niveles distintos, como son los de infraestructura, equipamiento y superestructura y que en el primero de ellos aparecen obras de acceso (carreteras, aeropuertos y muelles, entre otros), obras de servicios (redes de alcantarillado, agua potable, electricidad, teléfonos, etc.) y obras de mejoramiento habitacional (tratamiento de fachadas, urbanización, vías peatonales, adecuaciones urbanas, etc.), se deberán tomar muy en cuenta las metodologías para el estudio de la demanda real, ya que muchas de esas inversiones en infraestructura se justifican económica y socialmente por su orientación indirecta hacia ese tipo de necesidades.
  • 70.
    70 Dados los finesde este trabajo, nos limitaremos a delinear en grandes rasgos las áreas que corresponden a un estudio de m ercado (incorporado a un estudi o de preinversión) cuyos fines tienden a verificar la viabilidad operativa de empresas turísticas que pretendan enfrentar una demanda efectiva. Será motivo de un segundo esfuerzo, seguramente más rico en su proceso analítico, el enfrentar las áreas propias a un estudio de mercado para la demanda real. Análisis de la demanda Enmarcados en los estudios de mercado para el tipo de empresas comerciales que conforman habitualmente el equipamiento turístico de un país, habría que señalar las variables básicas por analizar en el área de la demanda (efectiva). Dichas variables son, en la mayoría de los casos, las siguientes: Afluencia esperada de demandantes Como se sabe, dada la naturaleza de la actividad turística, son los demandantes los que acuden al sitio o centro de producción, mientras en la mayoría de las líneas económicas son los productos los que se trasladan a las áreas del mercado donde habitan o trabajan los consumidores. En virtud de esa particularidad, las empresas turísticas buscan captar físicamente al demandante que pertenecerá a dos ámbitos geográficos. El primero, formado por los visitantes cuya residencia habitual se encuentra lo suficientemente alejada del área donde se ha previsto ubicar la empresa analizada por el proyecto como para obligar por lo menos a una pernoctación, representa la demanda de viajeros o turistas y requerirá de un estudio particularizado en el cual deben emplearse técnicas específicas. El segundo, integrado por los residentes del área seleccionada para el proyecto, conformarán la demanda local, cuyos parámetros cuantitativos y cualitativos implicarán una investigación por separado para considerar sus especificidades y adecuar a ellas el diseño del futuro producto. AFLUENCIA DE VIAJEROS Como se ha explicado en la obra Planificación turística un enfoque metodológico21 , la única manera de establecer una clasificación objetiva y universal para precisar cuándo una empresa es realmente turística y cuándo no lo es, independientemente del giro comercial que ejerza (hotel, restaurante, etc.), consiste en definir la estructura de su demanda, considerándola como turística si efectivamente la mayoría numérica de ésta es realizada por viajeros. Para estimar la afluencia de viajeros por captar en una futura empresa, habrá que partir de la respuesta a la siguiente pregunta: ¿el medio donde la misma se ubicará se encuentra desarrollado turísticamente o es nuevo ? en el primer caso se dispondrá de estadísticas confiables recopiladas a lo largo de un cierto período, de las cuales podría partirse para proyectar montos de demanda 1 Planificación turística. Un enfoque metodológico E. Hdz., Ed. Trillas.
  • 71.
    71 respecto de losperíodos en los cuales la empresa por crear estará en operaciones. En cambio, si el sitio es nuevo los primeros pasos para estimar la demanda de viajeros tendrán que ser totalmente distintos, ya que no se contará con estadísticas confiables para efectos de proyecciones aceptables. Lo anterior nos lleva a establecer las siguientes definiciones: Demanda histórica. Es la demanda registrada por estadísticas, en cualquiera de las unidades en que se mida,2 para una serie de períodos a lo largo del tiempo y cuyos datos pertenecen a levantamientos reales. Demanda futura. Es la demanda proyectada o prevista3 con base a la tendencia general, mostrada por los datos históricos. Demanda potencial. Es la demanda que podría ser captada por encima de la demanda futura, a condición de que sean habilitados instrumentos de captación no aplicados anteriormente o de que se debiliten los ejercicios por oferentes sustitutos. Demanda objetivo. Es la parte de la demanda potencial que ha sido prefijada para ser captada en un hori zonte temporal definido. Dados los anteriores conceptos, cabe mencionar que la demanda de viajeros, en el aspecto cuantitativo, normalmente se fija cuando se trata de proyectos situados en áreas turísticamente desarrolladas a base de la demanda futura, o sea, mediante proyecciones. En cambio en sitios nuevos es imprescindible recurrir a la demanda potenci al y a partir de ella, a la demanda objetivo. Conviene aclarar que un sitio nuevo (y por ello las comillas) no necesariamente se trata de un territorio inexplorado o totalmente aislado, ya que cabría darle esa denominación para fines de análisis a las áreas donde no se ha emprendido un importante esfuerzo de crecimiento turístico. Por ejemplo, existen multitud de playas y centros de descanso o diversión en América Latina cuyos atractivos son de alta jerarquía, incluso internacional. Sin embargo, por falta de infraestructura, equi pamiento, promoción y otros factores, el desarrollo turístico de tales sitios se ha mantenido estancado. En tales circunstancias, el estudio de mercado que intentase justificar la creación de un importante complejo hotelero o inmobiliario se enfrentaría a la existencia de datos históricos raquíticos que al ser proyectados no respaldarían la construcción de mayor oferta, ni siquiera para períodos posteriores a 5 ó 10 años. Ello no sólo mantendría el estancamiento de muchas zonas turísticas, sino que incluso llevaría a errores trascendentales en el ámbito de las inversiones privadas. 2 Viajeros o pernoctaciones en el caso de turismo. 3 Existe una diferencia conceptual entre proyección y previsión. La primera resulta al estimar cantidades a futuro con respecto estricto a la tendencia registrada por los datos históricos y asumiendo que las variables presentadas en el pasado se mantendrán con su respectivo peso en el futuro. En cambio la previsión hace jugar la aparición de nuevas variables o la desaparición de viejos factores en sus cálculos.
  • 72.
    72 Por lo tanto,cuando un destino turístico no ha sido desarrollado en una proporción al menos parcial respecto a sus posibilidades en atractivos o posición geográfica, deberá dársele el tratamiento de sitio nuevo, no obstante que haya venido recibiendo pequeños flujos de viajeros durante un lapso histórico prolongado. Lo anterior resulta especialmente válido cuando en tales sitios se pretende ejecutar y operar grandes conjuntos turísticos que rebasarán notablemente la oferta existente. Las metodologías de proyección para encontrar demanda futura, no presentan mayores problemas, ya que existen distintos enfoques utilizables como el de proyección por mínimos cuadrados, proyección exponencial, parabólica, por tasa anual acumulativa, tasa de incremento compuesto, etc. En cambio, la fijación de una demanda potencial y su correspondiente demanda objetivo se complica por el manejo de variables que debe hacerse y el destacado papel que juega en este proceso el criterio del analista. En efecto, consideramos el caso de un nuevo complejo turístico en el Caribe como lo fue el caso de Cancún, en México. De hecho no existían datos históricos representativos con los cuales pensar en etapas constructivas de 10.000 o más habitaciones turísticas. No obstante el proyecto consideraba tales dimensiones a partir de una demanda potencial representada por los flujos esperados a los distintos destinos del Caribe más los posibles viajeros procedentes de la costa este de Norteamérica, la costa oeste (especialmente California), el sureste, algunos países europeos y el turismo interno mexicano. Evaluando ese enorme mercado potencial cabría manejar dimensiones exorbitantes de demanda, por lo cual el siguiente paso consiste en fijar una demanda objetivo , representada por un porcentaje de la potencial, que conservadora u optimista cabrá esperar datos un esfuerzo de comercialización y un producto competitivo previamente diseñado. Tanto la dimensión de la demanda potencial, como la que corresponda a la objetivo requiere de posiciones relativamente subjetivas y de aproximación por parte del analista en mercados, ya que para sus decisiones sólo dependerá de datos generales, conocimientos relativos, lógica inventiva y sobre todo de la experiencia ganada a lo largo de los años. A distintos niveles el problema de la demanda potencial y la fijación de demandas objetivos se presenta constantemente en sitios nuevos o de poco desarrollo, ya sea para hoteles, restaurantes, agencias de viajes, empresas transportistas o grandes complejos turísticos. En cualquier caso, parece recomendable suponer comportamientos de la demanda para sitios nuevos, semejantes a los registrados en casos realmente similares, ajustando las estimaciones en función de las variaciones geográficas, climáticas, de atractivo, comerciales, de distancia económica y regional que verifiquen para cada situación específica.
  • 73.
    73 AFLUENCIA DE RESIDENTESLOCALES Cuando un proyecto implica el estudio de mercado para una futura empresa turística por localizarse en un centro urbano de cierta magnitud, debe pensarse en que los bienes y servicios que se ofrecerán podrán demandarse no sólo por viajeros, sino además, y en algunos casos en una medida muy sustancial, por residentes locales del área donde dicha empresa se ubicará. Para estimar los montos de la demanda local para líneas como alimentos, bebidas, diversiones, servicios deportivos de piscinas o gimnasio, estacionamiento y otros, es necesario recurrir al análisis de casos semejantes ya que el procedimiento de fijar demandas potenciales y su objetivo, podría producir ejercicios teóricos tan complejos como innecesarios o incosteables. Permanencia Una variable básica tanto para dimensionar como para diseñar una futura empresa es la de permanencia o pernocte que habitualmente es medida por el número de noches que como tendencia central, mantienen los viajeros en un destino turístico. En este caso, el primer problema consiste en el manejo de las propias estadísticas. En efecto, es costumbre utilizar las medidas aritméticas, aun cuando estas últimas producen graves errores de estimación, ya que hacen confluir cifras extremas. Por ejemplo, algunas estadísticas oficiales de México sitúan la permanencia promedio del turismo receptivo cercana a los 10 días a pesar de que ese dato resulta a todas luces exagerado, según lo demostraría cualquier investigación, tanto en los centros de playa nacionales, como incluso en los de montaña y evi dentemente en las áreas ur banas. Ello se debe al resultado que generan las medias aritméticas, considerando que en el caso comentado, se reciben residentes americanos de origen mexicano cuyas motivaciones para visitar el país y facilidades para alojarse en casas de amigos o familiares les llevan a estadías superiores a los 30 días. Los datos de tales segmentos presionan, aún cuando son pequeños en el total, para que los promedios rebasen los 10 días, no obstante que la inmensa mayoría (dato modal) del flujo receptivo no permanece en México más allá de 5 ó 6 días. Lo anterior lleva a recomendar el uso de datos modales para la aplicación de permanencias en las cifras de demanda, tratando de obtener los datos específicos que en ese sent ido, registra cada región. La importancia de los coeficientes de estadía en los estudios de mercado es definitiva, ya que la demanda debe medirse en noches turista o pernoctaciones para calcular los déficit o los superávit de oferta en un sitio específico. Las mediciones de personas físicas conducen a profundas distorsiones que imposibilitan las relaciones cuantitativas entre la oferta y la
  • 74.
    74 demanda. Considerando queestas últimas muestran las oportunidades reales del mercado para una nueva empresa turística, resalta la necesidad estratégica de manejar datos confiables en materia de permanencia. A manera de ejemplo, podrían suponerse dos sitios cuyos flujos de visitantes tuviesen motivaciones distintas. En el primer caso, un centro urbano, industrial y comercial de relevancia, visitado por viajeros de negocios y turistas que hagan escalas inmediatas, cuya estadía tendería necesariamente a ser pequeña. En el segundo caso, un centro turístico de sol, playa y mar de destino con fines recreacionales, la estadía propendería a ser relativamente larga. Para efectos de ilustración consideremos cifras hipotéticas y tendremos que, aun cuando en el primer caso la afluencia de viajeros hubiese sido de 250.000 en 1980 y en el segundo de 120.00 para el mismo año, si la permanencia en el centro urbano alcanzase en términos modales 2.3 días y en el centro de playa 5.4 días, sería necesario contar con mayor oferta hotelera en el segundo sitio, si hemos de tener en cuenta que en este último la demanda medida en noches turista habría alcanzado una cifra de 648.000, mientras en el área urbana sería apenas de 575 .000. Tal situación, aun cuando parezca elemental, sólo busca subrayar la importancia de manejar las cifras de demanda en el área de hotelería en una variable homogénea y confiable como las pernoctaciones o noches turistas . Cuando los coeficientes de permanencia sean distintos para los flujos nacionales o extranjeros o incluso entre distintos segmentos, conviene hacer las conversiones a noches turista por separado y adecuarl as posteriormente a fin de eludir los problemas cuantitativos de las tendencias centrales. Estacionalidad en la afluencia de viajero s Al igual que en la variable de pernoctaciones, la que corresponde a estacionalidad se aplica exclusivamente para el análisis sobre la parte de la demanda que cor responde a la ejercida por los viajeros. La estacionalidad es fundamental por los efectos que produce en el manejo financiero de las empresas turísticas y en particular en la hotelería, así como para su diseño y dimensionamiento. Si la misma es muy pronunciada, generará fuertes inconvenientes y exigirá gastos de comercialización o sacrificios promocionales de especial envergadura que finalmente pueden incidir en la rentabilidad del proyecto. Aun cuando normalmente la estacionalidad es un dato dado para un cierto destino turístico, debe analizarse en el proyecto la posibilidad de alterar sus inconvenientes mediante esfuerzos individuales y/o colectivos. Asimismo, resulta de trascendencia para el resto del estudio fijar los problemas básicos que muestra el mercado en las épocas de alta afluencia y los sistemas de competencia más generalizados en las de baja demanda.
  • 75.
    75 Perfil general delconsumidor a captar Una de las áreas más interesantes, esclarecedoras y definitivas en un estudio de mercado es aquélla que está referida al perfil general del consumidor. Para fijarlo se recurre normalmente al proceso de segmentación que consiste básicamente en agrupar subconjuntos al gran conglomerado de consumidores que conforman la demanda futura, pot encial u objetivo. Para dicho agrupamiento se utilizan cinco tipos de variables que son: socioeconómicas, geográficas, motivacionales, de hábitos, gastos, preferencias y de personalidad. Mucho se ha escrito sobre la famosa segmentación de mercados, pero de hecho su utilidad práctica en materia de proyectos está dada en torno a la información que de ella puede obtenerse para definir las características de las instalaciones que convendría incorporar a la futura obra, sobre todo en materia de dimensiones, ubicación, calidades y diseño. En base a tal segmentación se pueden apoyar también decisiones en materia de precios y tarifas, servicios a integrar y formas de comercialización por desarrollar. a) VARIABLES SOCIOECONÓMICAS Entre las principales variables de esta naturaleza que se utilizan para definir al posible o futuro consumidor de un bien o servicio turístico se encuentra el nivel de su ingreso familiar, su edad, número de familia, posesión de casa particular, posesión de automóvil , sexo, nivel educacional, posición profesional o técnica y posición de acceso a los medios usuales de comercialización. En general, la mayoría de tales variables coinciden entre grupos sociales relativamente homogéneos, de manera que resulta en cierta forma sencillo determinar mediante una investigación específica el grupo mayoritario al que se dirigirá la futura empresa. Existen investigaciones de mercado que se concentran en este tipo de variables como las del Departamento de Comer cio de Estados Uni dos4 sobre el mercado de viajeros europeos que ofrecen entre otros los siguientes datos: Inglaterra. En 1976 viajaron 11.1 millones de ciudadanos británicos, teniendo como principales destinos España, Francia y la República de Irlanda, a Estados Unidos de América correspondió apenas un 5% del total. Alemania. Para dicho año se contabilizó un total de 20 millones de viajeros alemanes al exterior, los cuales tuvieron como principal destino la región europea. Estados Uni dos de América captó apenas un 2% de la cifra. Francia. Manteniendo la misma fuente de información se menciona que el principal destino internacional de los ciudadanos franceses en el exterior, es 4 U.S. Departament of Commerce, International Travel Market Reviews of Selected Major Tourism Generating Countries.
  • 76.
    76 España, seguida deItalia y Suiza. Estados Unidos captó en 1976, apenas un 2% del flujo francés hacia el exterior, cuyo total fue calculado por el U.S. Departament of Commerce en 10.9 millones de personas. Consolidando las variables socioeconómicas de los tres mercados citados (Inglaterra, Alemania y Francia), según las investigaciones de mercado registradas en la fuente citada, se elaboraron los siguientes cuadros 4.1, 4.2 y 4.3. Ellos muestran la importancia que las autoridades de comercio y turismo de Estados Unidos otorgan a los aspectos socioeconómicos de sus mercados emisores. b) VARIABLES GEOGRÁFICAS Si bien es cierto que una de las circunstancias que particularizan al turismo en relación a otras actividades económicas es el traslado que implica del consumidor al sitio donde se producen los bienes y servicios, también es cierto que la venta de estos últimos no se efectúa necesariamente en el área de producción ya que frecuentemente la acción de compraventa se verifica en la zona donde residen los demandantes. Cuadro 4.1 NIVEL EDUCACIONAL DE LOS VIAJEROS INTERNACIONALES DE INGLATERRA, ALEMANIA Y FRANCIA SEGÚN TIPOS DE DESTINO EN EL EXTERIOR Año 1976 (%) Nivel educativo Inglaterra Alemania Francia Viajeros de larga distancia 1 Viajeros de corta distancia 2 Viajeros a EUA Viajeros de larga distancia Viajeros de corta distancia Viajeros a EUA Viajeros de larga distancia Viajeros de corta distancia Viajeros a EUA Primaria Secundaria Bachillerato vocacional Universitaria 7.7 39.8 9.9 42.6 6.5 44.0 13.0 36.5 7.4 35.6 13.6 43.4 19.4 23.7 24.7 7.5 24.7 32.4 20.9 19.8 9.3 17.6 22.7 18.2 23.4 8.6 27.1 3.1 6.7 7.8 82.4 9.2 11.4 10.2 69.2 2.2 5.9 6.7 85.2 Total 100.0 100.0 100.0 100.0 100.0 100.0 100.0 100.0 100.0 Fuente: U.S. DEPARTAMENT OF COMMERCE Cuadro 4.2 DISTRIBUCIÓN PORCENTUAL DE LOS VIAJEROS INTERNACIONALES DE INGLATERRA, ALEMANIA Y FRANCIA SEGÚN CATEGORÍAS DE INGRESO FAMILIAR Y TIPOS DE DESTINO Año 1976 (%) Ingreso familiar anual (dólares EUA) Inglaterra Alemania Francia Larga distancia Corta distancia EUA Larga distancia Corta distancia EUA Larga distancia Corta distancia EUA Menos de $10.550 De 10.551 a $ 21.100 Más de $ 21.101. 45.5 38.1 16.4 46.5 41.4 12.1 39.8 35.6 24.5 1 Más allá de los países que representan frontera geográfica o natural. 2 Dentro de la región establecida por los países fronterizos.
  • 77.
    77 Total 100.0 100.0100.0 Menos de $ 9.325 De 9.326 a $ 18.650 Más de $ 18.651 24.1 37.9 38.0 30.5 49.0 20.5 21.4 43.3 35.3 Total 100.0 100.0 100.0 Menos de $ 10.970 De 10.971 a $ 16.460 Más de $ 16.460 31.1 23.9 45.0 48.8 22.0 29.2 42.9 17.9 39.2 Total 100.0 100.0 100.0 Fuente: U.S. DEPARTAMENT OF COMMERCE Cuadro 4.3 DISTRIBUCIÓN PORCENTUAL DE LOS VIAJEROS INTERNACIONALES DE INGLATERRA, ALEMANIA Y FRANCIA SEGÚN OCUPACIÓN Y TIPO DE DESTINO EN EL EXTERIOR Año 1976 (%) Ocupación Inglaterra Alemania Francia Larga distancia Corta distancia EUA Larga distancia Corta distancia EUA Larga distancia Corta distancia EUA Profesionales Ejecutivos y gerentes Técnicos Clérigos Estudiantes Vendedores Ocupados por cuenta propia y pequeños comerciantes Retirados Otros 28.9 25.0 7.0 4.0 2.7 7.9 14.5 10.0 27.3 26.6 9.3 4.0 4.7 11.5 4.6 12.0 27.2 30.5 7.9 3.8 3.3 11.5 7.2 8.6 10.9 19.6 22.8 13.0 7.6 10.9 4.3 10.9 5.5 18.5 31.5 14.0 8.1 3.1 5.2 14.1 6.2 23.2 20.9 13.3 10.1 8.4 7.4 10.5 60.7 3.5 2.4 5.1 2.0 8.6 17.7 43.8 1.6 10.8 4.8 4.4 5.8 28.8 49.5 2.0 9.9 3.2 2.5 9.4 23.5 Total 100.0 100.0 100.0 100.0 100.0 100.0 100.0 100.0 100.0 Fuente: U.S. DEPARTAMENT OF COMMERCE Por ejemplo, para que un ciudadano francés consuma y di sfrute de un recorrido en crucero por las islas del Caribe es imprescindible que se traslade a un punto desde el cual se pueda iniciar físicamente el viaje como podría ser San Juan de Puerto Rico o la Guaira, en Venezuela. Sin embargo, esa misma persona puede perfectamente (y en el caso de este ejemplo sería lo usual) comprar el paquete turístico integral en el área o la ciudad donde reside. Lo anterior implica que territorialmente, el mercado (espacio de compraventa) se traslada continuamente a las zonas donde habitan los viajeros reales o potenciales y ello obliga a manejar las variables llamadas geográficas para
  • 78.
    78 identificar al segmentoo parte del mercado que nos interesaría captar. La segmentación geográfica, puede darse a distintos niveles según se trate de continentes, regiones internacionales, zonas internacionales, estados y finalmente plazas o centros urbanos. En ese sentido, la demanda queda clasificada según el origen o lugar de residencia de los consumidores utilizando una o varias de las instancias geográficas antes mencionadas. A manera de ejemplo cabría citar un proyecto turístico en las costas del estado de Oaxaca, en México, localizado en las costas sureñas del Pacífico mexicano. En ese caso l a segmentación geográfica del mercado turístico por captar podría darse en el nivel continental según el americano y europeo ya que el resto sería insignificante. A nivel región internacional tendríamos en forma prioritaria la de Norteamérica, incluyendo Canadá y Estados Unidos, así como eventualmente los países de Centro América. En el nivel de zonas intranacionales cabría manejar el segmento formado por los posibles consumidores que radican principalmente en las áreas del oeste, centro y sureste de Estados Unidos. Por último, en el renglón de plazas podría pensarse en los segmentos integrados por los demandantes de ciudades como Los Ángeles, San Francisco y San Diego, en California; Houston y Dallas en Texas; Atlanta, en Georgia; y Miami entre otras, en el mercado interno. Es obvio que cualquier segmentación geográfica debe complementarse con el resto de las segmentaciones posibles ya que en sí misma no agotaría, de ninguna manera, la definición del consumidor en cuanto a su perfil. No obstante, ésta es una de las variables fundamentales en el estudio de mercado para proyectos turísticos ya que aporta informaciones estratégicas para los futuros esfuerzos de comercialización de la empresa por crear, tanto en su fase preoperativa como a lo largo de su vida útil . c) VARIABLES MOTIVACIONALES La mayoría de los estudios de mercado en turismo, cuando buscan definir el perfil del futuro consumidor hacen un énfasis especial en la segmentación motivacional del mismo ya que efectivamente representa uno de los indicadores más importantes para elaborar un producto acorde con los requerimientos de la demanda por captar y ofrece datos fundamentales para las campañas promocionales. No obstante, es muy común que se exagere al identificar los segmentos motivacionales hasta llegar a definir un número tan grande de posibles segmentos que sólo se logre confundir el análisis o volverlo poco práctico. En el estudio de la demanda sólo responden a las exigencias de una
  • 79.
    79 satisfactoria segmentación5 los siguientessegmentos motivacionales: 1. negocios o actividades profesionales, 2. vacaciones o uso de tiempo libre y 3. congresos, convenciones y/o reuniones. A su vez, cada uno de esos tres tipos de segmentos motivacionales puede subdividirse en diversos renglones. En especial el segmento de vacacionistas daría lugar a distintas clasificaciones como lo mostraría el cuadro 4.4. La clasificación del cuadro 4.4 plantea para una empresa turística, en especial de alojamiento, los segmentos motivacionales básicos o diferenciables con los cuales puede definir su mezcla de mercado o su producto mixto, así como sus prioridades. Sin embargo, ello no impide que al interior de cada segmento diferenciable puedan elegirse subsegmentos prioritarios que en muchos casos surgen de la propia localización del proyecto. De hecho, la mezcla que se prefiera entre los segmentos motivacionales habrá de influir fundamentalmente en las dimensiones generales y específicas (por áreas) de la futura empresa, sobre su diseño, localización específica (céntrica, periférica, aislada, a pie de carretera, etc.), tipo y diversidad de instalaciones, decoración, mobiliario, equipo y otras especificaciones técnicas, así como en sus estructuras de comercialización. Por otra parte, tampoco los segmentos motivacionales básicos o diferenciables son químicamente puros ya que es normal que un viaje de negocios o por convención pueda ser combinado con actividades recreacionales. No obstante, se recurre a la motivación esencial para clasificarlos, la cual sí resulta totalmente clara y suficientemente específica como para suponer pautas de comportamientos, gustos, preferencias, formas o hábitos de consumo, permanencias, medios de acceso y necesidades distintas en cada caso. Tal distinción no se da con tanta fuerza respecto a los subsegmentos. d) VARIABLES DE HÁBITOS DE CONSUMO, GUSTOS Y PREFERENCIAS En la mayoría de los casos, el perfil del consumidor que pretenderá captarse (o la mezcla del mismo) se estructura en su base por medio de las variables socioeconómicas, geográficas y motivacionales para posteriormente completarse con las de hábitos, gustos y preferencias y las de personalidad. Los hábitos de consumo están dados por las formas como usualmente se compran los bienes y servicios que la empresa en estudio considera poner en el mercado. En cuanto a la demanda ejercida por viajeros, de dichos hábitos destacan el consumo directo o por intermediario (agencia de viajes), grupal o individual, por adquisición de paquete integral (alojamiento, alimentación, diversiones, transportación, etc.) o en formas independientes, por pago con tarjeta de crédito, o en efectivo para vacaciones fijas y definidas (veraneo en 5 Como se sabe esas exigencias son: diferenciación (ningún segmento se confunde con el otro), conmensurabilidad (es posible medir cada segmento) y dimensión o magnitud (cada segmento está conformado por un número justificable de elementos como para considerarlo).
  • 80.
    80 Europa y Sudamérica)o para pequeñas y aisladas temporadas ( puentes en México y Centroamérica), con un uso de tramo aéreo y/o de transporte terrestre. Respecto a los gustos y preferencias son variables que normalmente se definen por investigaciones directas sobre el comportamiento de personas representativas en los segmentos elegi dos, efectuándolas in situ y a través de observaciones directas, por estadísticas de casos similares al proyectado o por encuestas a base de muestr as sobre tales segmentos. Cuadro 4.4 CLASIFICACIÓN DE LOS SEGMENTOS MOTIVACIONALES PROPIOS A LA DEMANDA TURÍSTICA Y SUBSEGMENTOS RESPECTIVOS Con estas últimas variables aparecen informaciones claves para el diseño del producto y en particular para la definición de sus instalaciones complementarias como canchas de tenis, tamaño y diseño de piscinas, de habitaciones, de áreas comunes, campos de gol f, gimnasios y otros. e) VARIABLES DE PERSONALIDAD Buscando un perfil integral pueden ser redondeadas las variables antes mencionadas con la definición del consumidor esperado en sus rasgos básicos de personalidad, por lo menos en lo que a las empresas turísticas importaría, esto es, en sus caracter es de vanguardismo o conservadurismo. Definiciones en tal sentido, en especial para el segmento fundamental o mayoritario, permitirán ofrecer informes de orientación para el diseño técnico del producto sobre todo en lo que hace a las formas constructivas, mobiliario, decoraciones e instalaciones especi ales. El cruce de las distintas variables de segmentación mostrará un espectro primario de mercado, del cual surgirán horizontalmente distintos grupos relativamente homogéneos de consumidores a los que conviene darles una cierta denominación a fin de ubicarlos y darles prioridad en el análisis. Una vez concluido el cuadro general de segmentos, se deberá intentar dimensionar en términos aproximados a los grupos encontrados horizontalmente para revisar la prioridad inicial y otorgar una definitiva. En base a esta última se estará en condiciones de establecer con precisión la mezcla de mercado elegida para el proyecto en análisis y con ella se podrá ajustar el diseño final del producto que se ofrecerá. A manera de ejemplo cabría citar un proyecto hotelero para un establecimiento cuya categoría quedaría por determinar en el orden de tres a cinco estrellas en una ciudad turística que estuviese sujeta al mismo tiempo a un rápido crecimiento comercial e industrial. Con tales características, podría manejarse tentativamente distintas opciones
  • 81.
    81 para la mezclaa elegir entre segmentos posi bles de captar en el mercado. En la combinación de grupos según variables socioeconómicas podrán manejarse por lo menos dos segmentos como los de: 1. clase alta, que busca buenos servicios, adecuada localización y cierto prestigio; 2, la clase media, susceptible en mayor medida a precios y tarifas moderadas y a sistemas promocionales como los paquetes integrales . Dentro de este tipo de variables se pensará en distintos segmentos según edad, ocupación y nivel educacional de manera que coincidieran en buena medida con los conjuntos identificados según nivel de ingresos y se decidirá la combinación que en este sentido será buscada para el éxito del proyecto en el mercado.
  • 82.
    82 De igual manerapueden fijarse mezclas a través de jerarquizar los segmentos de mercado según variables geográficas (nacionales y extranjeras) y motivacionales (viajeros por negocios, vacacionistas y congresos, convenciones y reuniones, etc.) de manera que se jerarquicen hasta encontrar los segmentos prioritarios y complementarios. Una vez establecidos, se complementarán a base de investigaciones específicas para precisar los llamados hábitos de consumo, gustos, preferencias y tendencias de personalidad. Inventario de la oferta sustitutiva y complementaria En todo sitio turístico se encontrarán habitualmente tanto sustitutos como complementarios al o los productos que se pretenden poner en el mercado. Se conocen como sustitutos a los bienes y/o servicios que pueden ser consumidos a cambios del que se piensa producir ya que satisfacen aproximadamente y con niveles parecidos de calidad las mismas necesidades. En cambio, los complementarios no están destinados a satisfacer las mismas necesidades que el producto sujeto del proyecto e incluso sirven de apoyo y atracción al mismo. En ese sentido y como regla general, las oportunidades del mercado para cualquier proyecto serán mayores en cuanto existan en la zona donde se ubicará, menores sustitutivos y mayores complementarios. Para conocer la situación prevaleciente en materia de oferta deberá levantarse, dentro del estudio, un inventario general que cubra tanto los tipos de establecimiento disponibles en la región (desde hoteles hasta cines, teatros y empresas generales de esparcimiento) como sus categorías, capacidades, precios, tarifas y relaciones de cercanía al proyecto. A manera de ejemplo, y como propuesta de organización, se ha desarrollado el cuadro 4.5 que puede ser ampliado tanto como se consi dere necesario. Proyección de la oferta inmediatamente sustitutiva A fin de contar con la información necesaria para medir las oportunidades del mercado, será necesario no sólo proyectar la demanda futura y/u objetivo3 , sino establecer los incrementos previsibles de la oferta. Dado que sería tan complicado como innecesario el estimar dichos incrementos para toda la oferta inventariada, conviene seleccionar exclusivamente la inmediatamente sustitutiva , esto es, aquélla que según el tipo de establecimiento y calidad ejercerá una efectiva competencia sobre la empresa que se encuentr a en proyecto. 3 Véanse los conceptos mencionados en el punto 4.6.1.1
  • 83.
    83 Cuadro 4.5 CUADRO ORGANIZADORPARA EL LEVANTAMIENTO DEL INVENTARIO DE OFERTA SUSTITUTIVA Y COMPLEMENTARIA EN EL SITIO DONDE SE PREVÉ LOCALIZAR LA INVERSIÓN Tipo de establecimiento Categoría Capacidad disponible Precios y tarifas promedio Relación de cercanía Hotelería Restaurantes independientes de especialidades Restaurantes generalizados o 5 estrellas 4 estrellas 3 estrellas 2 estrellas 1 estrella 4,3,2, o 1 tenedores X1 habitaciones X2 habitaciones X3 habitaciones X4 habitaciones X5 habitaciones y4, y3, y2 o y1 X11 X21 X31 X41 X51 y41, y42, y43, y44 Alta Baja Intermedia Alta Baja Respectiva independientes Cafeterías Snack bar Bares independientes Transporte terrestre Aeropuerto Carretera internacional Agencias de viaje Atractivos turísticos Discotecas Centros nocturnos Artesanías Cines y teatros Otros La que corresponda La que corresponda La que corresponda La que corresponda La que corresponda La que corresponda La que corresponda La que corresponda La que corresponda La que corresponda La que corresponda La que corresponda La que corresponda La que corresponda La que corresponda La que corresponda La que corresponda La que corresponda La que corresponda La que corresponda La que corresponda La que corresponda La que corresponda La que corresponda La que corresponda La que corresponda La que corresponda La que corresponda Esa selección deberá elaborarse con cierto conocimiento de la plaza en cuestión y de su mercado, ya que varía según cada caso. En ese sentido, habrá sitios donde para un hotel de 5 estrellas la oferta sustitutiva queda representada sólo por los alojamientos de 4 y 5 estrellas, mientras que en otros destinos turísticos llega a ampliarse hasta los hoteles de 3 estrellas. El territorio de competencia también varía según el caso. Por lo tanto, la determinación de los sustitutos reales no es siempre fácil o sencilla ya que depende de las características y particularidades de la demanda en cada centro o complejo turístico, pero al mismo tiempo es de fundamental importancia ya que fija el punto de partida para el balance cuantitativo entre oferta y demanda. Una vez decidida la base que representa nuestra efectiva competencia habrá que investigar los datos referentes a: 1, oferta en construcción; 2, oferta en trámite crediticio, fiscal y legal; 3, oferta en estudio de preinversión y 4, oferta por desaparecer4 . Para la organización de tales datos se propone el cuadro 4.6, según los períodos en los que podría entrar a operar un proyecto hipotético, consistente en un hotel de 5 estrellas al cual se le asignaría como oferta sustitutiva, todos 4 La oferta por desaparecer incluye no sólo eliminación física (demolición o semejantes), sino también baja de categoría, suficiente para considerársele que deja de ser sustituto.
  • 84.
    84 los establecimientos de3 a 5 estrellas en un radio territorial de 20 kilómetros. Cuadro 4.6 CUADRO ORGANIZADOR DE LA INFORMACIÓN PARA ESTIMAR LOS INCREMENTOS DE OFERTA SUSTITUTIVA DE UN HOTEL DE 5 ESTRELLAS ***** Año Oferta competitiva en función de 20(km) Oferta en construcción Oferta en trámite crediticio, fiscal y legal Oferta en estudio de preinversión 1981 1982 1983 600 habitaciones 1.400 habitaciones1 2.000 habitaciones 4 800 habitaciones 600 habitaciones2 1.200 habitaciones (50%) 600 habitaciones 1.500 habitaciones 3 Determinación de las oportunidades cuantitativas de el mercado (balance oferta demanda). Para establecer en forma cuantitativa las oportunidades que el mercado habrá de brindarle al proyecto en estudio, es necesario partir de las proyecciones en materia de oferta y demanda. Con estas últimas, elaboradas a un horizonte temporal mínimo de cinco años y período a período, es factible, mediante su comparación, prever la futura existencia y magnitud de los superávit o los déficit de la oferta. Si con tales proyecciones se esperan déficit en los mercados ampliamente superiores a los que cubriría el proyecto con un dimensionamiento mínimamente rentable (de 100 ó 150 habitaciones), será posible concluir en sentido positivo respecto a las oportunidades cuantitativas de dicho mercado. En apartados anteriores hemos referido ya al procedimiento metodológico para efectuar las proyecciones de demanda, haciendo énfasis en la conveniencia de manejar la llamada futura para sitios con estadísticas confiables, en condiciones de maduración dentro del mercado y tratándose de inversiones en empresas tradicionales , (hoteles, restaurantes, etc.). Asimismo se ha insistido en trabajar con proyecciones a base de demandas objetivo cuando se trate de inversiones novedosas, en zonas turísticas no desarrolladas o en sitios que simplemente no cuentan con estadísti cas adecuadas o conf iables. Cabe aclarar que el tratamiento de la demanda esperada o proyectada puede resultar de una combinación entre demanda futura y objetivo cuando se consideran excelentes expectativas de mercado en relación al proyecto. Ahora bien, conviene subrayar que en las previsiones de oferta se incluyen no 1 Se habría investigado las fechas de terminación y entrega de las habitaciones en construcción a 1981, concluyéndose todas a fines de este año. 2 Se estimaría que un 50% de las habitaciones en trámite pasarían en 1982 a la fase de construcción. 3 Las habitaciones en estudio no se consideran para otra etapa (trámite y construcción) excepto que se disponga de datos definitivos que permita hacerlo. 4 Estimación según programas de construcción.
  • 85.
    85 sólo los incrementosque resultan de nuevas construcciones, sino también los estimados a dos, tres y hasta cuatro años a partir de las habitaciones que se encuentran en trámite y estudio según lo demuestra el cuadro 4.6. Con ello se tiene un espectro aproximado sobre la dinámica esperada dentro de la competencia. A fin de evitar errores elementales, pero que suelen cometerse, es necesario mencionar lo inadecuado de pr oyectar la oferta con los métodos utili zables para la demanda (regresión lineal, tasa de incremento compuesto, tasas anuales acumulativas, etc.) dado que la oferta nunca mantiene una tendencia de crecimiento regular. Por ejemplo, la inauguración de un solo hotel con dimensiones superiores a las 1.000 habitaciones (como El Hotel de México en la capital mexicana) haría que la oferta de alojamiento en cualquier sitio turístico sufriera un aumento despr oporcionado de un año para otro. Este tipo de incrementos no pueden ser estimados a base de proyecciones por tendencias, requieren de investigaciones específicas y tratamientos particulares como el sugerido a través del cuadro 4.6. En cuanto a la definición de déficit o superávit, la misma requiere de trabajarse a base de una ecuación que tome en cuenta el porcentaje de ocupación promedio y general aceptable para la planta instalada, los hábitos de ocupación para las plazas (camas) en relación a las habitaciones y el período anual de apertura para los establecimientos hoteleros. Cabe aclarar que esa ecuación es aplicable a los estudios de mercado para proyectos hoteleros. Sin embargo, las respectivas para otro tipo de proyectos turísticos pueden ser desprendidas de esa misma. La ecuación quedaría expresada como sigue: ).)()(( ))........(( . ALRP EV DH = en la que: H.D. : Habitaciones demandadas V : Visitantes esperados en personas E : Estadía o permanencia (promedio simple o ponderado) P : Promedio de ocupación aceptado para la planta R : Relación de camas ocupadas a las habitaciones ocupadas L.A. : Lapso o período anual que permanecerá abierto el establecimiento La utilización de la ecuación anterior quedaría de manifiesto en el caso hipotético que a continuación insertamos: Supongamos un destino turístico urbano cuya proyección de demanda para alojamiento de 3 a 5 estrellas se ha efectuado por tasa de incremento compuesto (8.6% anual) y expresa a cinco años los siguientes datos: Año Proyección de la demanda futura (en viajeros) 1983 1984 1985 1986 1987 185.500 201.453 218.778 237.593 258.026
  • 86.
    86 Se analizan lasoportunidades cuantitativas del mercado para un proyecto hotelero cuyo tamaño preliminar oscilaría entre 150 y 200 habitaciones siendo posible iniciar su operación a partir de 1984. Su nivel estaría dado entre 4 y 5 estrellas. Las investigaciones y estadísticas de mercado muestran una estadía promedio general de 4.3 días en los hoteles de la competencia (inmediatamente sustitutivos) y un coeficiente de ocupación cama/habitación de 1.8. No existen variables que permitan suponer su futura variación. A su vez se prevé que no sería adecuado invertir en dicho proyecto hasta que la ocupación de la planta existente se encuentre por lo menos en un 70%; a pesar de que en 1981 alcanzaba el 65%. Finalmente, el lapso o período en que se mantienen abiertos los hoteles de la categoría mencionada, en el sitio del proyecto, es de 365 días y por lo tanto el mismo se mantiene para el balance oferta demandada a futur o. Por lo que respecta a las pr evisiones de oferta en la categoría de 3 a 5 estrellas dentro de un radio territorial de 25 kilómetros, las mismas quedan registradas en la siguiente relación de datos: Año Oferta disponible (habitaciones) Oferta en construcción Oferta en estudio Oferta por desaparecer 1983 1984 1985 1986 1987 1.700 1.900 1.900 1.900 1.900 200 - - - - - - - - - - - - - - Aplicando la ecuación ALRP EV DH . ....... . ´´ ´ = , en cada año de estimación se tendrían de 1983 a 1987 las siguientes habitaciones demandadas: Año Habitaciones demandadas en el mercado estudiado de 3 a 5 estrellas 1983 1984 1985 1986 1987 1734* 1883 2045 2221 2412 *185.500 x 4.3 = 797.650/(0.7 x 1.8 x 365) = 1734 Efectuando la comparación entre oferta y demanda esperada, se determinarán los déficit y superávit respectivos y con ellos las posibilidades del mercado en cuestión, según lo muestra la siguiente relación: Año Habitaciones demandadas Habitaciones ofrecidas Déficit ( - ) Superávit (+) 1983 1984 1985 1986 1987 1734 1883 2045 2221 2412 1700 1900 1900 1900 1900 - 34 + 17 - 145 - 321 - 512
  • 87.
    87 Con las cifrasmanejadas en este caso hipotético los déficit y superávit del mercado durante 1983 y 1984 son prácticamente irrelevantes, lo que permite esperar el equilibrio de este último a un porcentaje de ocupación en la planta instalada del 70%. Sin embargo, a partir de 1985 el déficit de habitaciones en la categoría mencionada se acentuaría pasando de -145 a -512 en tres años. De hecho, todo proyecto debe considerarse oportuno cuando su oferta cubra como máximo el 50% del déficit encontrado. Esa situación sucedería en nuestro ejemplo hasta 1986 o 1987. Como resulta obvio, la estimación sobre las oportunidades del mercado con la metodología descrita depende de la precisión que se alcance, tanto en las proyecciones de la demanda co mo en las de oferta y en especial del porcentaje de ocupación al cual se esté dispuesto a invertir. Investigación y análisis de la competencia Hemos definido a la competencia, dentro de los estudios de mercado para proyectos de inversión, como la oferta inmediatamente sustitutiva de los bienes y servicios que serán producidos por la nueva inversión. Esa competencia la ejercen empresas específicas que normalmente ya tienen una adecuada experiencia de la cual puede valerse el promotor de un nuevo proyecto para definir su producto, omitiendo las fallas que han cometido los competidores y acentuando sus acier tos. En el caso de inversiones novedosas o en sitios no desarrollados turísticamente, debe considerarse como competencia a las empresas similares que estén ubicadas en áreas distantes, a pesar de su lejanía espacial. Esto último se justifica no tanto porque efectivamente sean sustitutos a considerar para el segmento de la demanda que interese captar, sino por la experiencia que es posible aprovechar en beneficio del diseño final del proyecto. Para conocer las peculiaridades funcionales y físicas de la competencia es necesario emprender investigaciones específicas que levanten toda la información sobre este aspecto. Dicha información se subdivide en tres grandes áreas: a) formas de comercialización; b) características físicas y c) datos generales de operación. a) FORMAS DE COMERC IALIZACIÓN En este sentido, conviene conocer y describir los mecanismos de comercialización que utiliza la competencia, en sus ámbitos de publicidad (directa al público consumidor, a través de medios masivos de comunicación, selectiva, por intermediarios, en revistas especializadas, etc.) de promoción (tarifas, paquetes, temporadas, intermediarios, claves, niveles de comisiones, etc.) de relaciones públicas (visitas y viajes de familiarización, banquetes, etc.)
  • 88.
    88 y de accióndirecta de venta y de afiliación (uso de nombres internacionales, patente u operación por cadena). La investigación sobre los sistemas de comercialización que emplea la competencia debe abarcar todos los niveles del tema e incluir una recomendación concreta sobre los que consideren de mayor eficiencia para la futura empresa, de manera que tales recomendaciones puedan ser contempladas en el estudio financiero del proyecto. Tanto en la fijación de precios y tarifas como en el cálculo de sus gastos r espectivos. b) CARACTERÍSTICAS FÍSICAS DE LAS EMPRESAS COMPETIDORAS Pueden ser divididas en cuatro gr andes grupos: 1. generales, 2. hospedaje, 3. alimentos y bebidas y 4. servicios complementarios. 1. Generales: Aquí se incluyen las de localización (céntrico periférico, de aeropuerto, de autopistas, etc.) y diseño (modernista, conservador, rústico, etc.) 2. Hospedaje: Entre otras deben precisarse las de estructura para el mercado (suites, dobles, sencillas, cabañas, etc.) estilo, decoración, equipo, superficie, facilidades (en las habitaciones), porcentajes de ocupación (por mes, temporada y anual). 3. Alimento y bebidas: Tipo de áreas para alimentos (restaurantes de especialidades, temático, cafeterías, parrillada, al aire libre, snack bar, etc.), tipos de áreas para bebidas (bar temático, lobby bar, bar de piscina, bar intermedio, etc.), capacidad de áreas, superficie, calidad del decorado, equipo, mobiliario, formas de acceso, calidad de servicios y productos, sistemas confort, áreas de banquetes, cócteles, reuniones, etc. 4. Servicios complementarios: Calidad y capacidad de las instalaciones para convenciones, congresos, actividades deportivas (golf, tenis, casa club, piscinas, equitación, etc.) y recreación (cine, teatro, casino, etc.) c) DATOS GENERALES DE OPERACIÓN Para integrar el esquema de la competencia habrán de resaltarse los datos sobre la mezcla de mercado o segmentario que vienen utilizando las empresas competidoras según convenciones, negocios, vacacionistas y, en algunos casos, tripulaciones; los pesos en los ingresos de alimentos, bebidas y otros servicios registrados por la demanda local (residentes del área); los porcentajes de ocupación general que han venido logrando, asó como otros de naturaleza financiera, si fuese posible obtenerlos, tales como estructura de costos y gastos, puntos de equilibrio, perspectivas de venta, planes de diversificación, expansión y nómina.
  • 89.
    89 Síntesis y conclusionesdel estudio de mercado Como puede observarse un estudio de mercado para un proyecto turístico, es relativamente complejo y suficientemente amplio como para requerir un apartado que señale sintéticamente sus resultados y establezca conclusiones básicas. Las mismas servirán como fuentes de información tanto para el estudio técnico que define las particularidades físicas de los productos que habrán de ofrecerse a la demanda lo mismo que para el análisis financiero. Entre los datos más relevantes a destacar en materia de mercado se apuntan los siguientes: Ø Naturaleza de la demanda prevista: futura u objetiva Ø Proyección de la demanda turística y local Ø Proyección de la oferta Ø Estacionalidad de la demanda Ø Cobertura cuantitativa que ofrecerá el mercado (balance oferta demanda) Ø Características diversas del consumidor por captar (perfil del consumidor) Ø Magnitud aceptable por el mercado para el proyecto según análisis cuantitativo entre oferta y demanda por tipos de servicios (hospedaje, alimentos y bebidas y otros) Ø Tasas previsibles de ocupación a corto y mediano plazo (5 ó 6 años) Ø Mezcla del mercado esperado (negocios, vacacionistas y congresos, etc.) Ø Precios y tarifas de introducción y de temporada, de paquete integral, normales y de grupo Ø Instalaciones complementarias por construir Ø Formas de comercialización recomendadas y ni veles de gasto ESTUDIO TÉCNICO Con la información proporcionada por el estudio de mercado y las variables preestablecidas8 que existiesen en torno al proyecto se procede a desarrollar el planteamiento técnico del mismo, cuyo objetivo central es definir las características de la futura empresa y de los productos que pondrá en el mercado. Para ello, sus áreas de análisis se concentrarán en seis campos que son: 1. localización (macro y micro), 2. programa arquitectónico, 3. dimensión amientos, 4. diseño, 5. costeo de obras y 6. calendarización de inversiones en activos fijos. Localización En toda inversión turística de equipamiento la localización es fundamental y en ciertos casos como el hotelero se convierte en un factor determinante para el 8 En numerosas ocasiones algunas variables técnicas como la localización son previamente establecidas por conveniencias particulares del promotor del proyecto.
  • 90.
    90 éxito comercial, cualquieraque se la mezcla segmentaria de mercado que se elija. La elección de la macro localización (zona turística, región socioeconómica, centro urbano o polo turístico) depende de distintos factores generales, entre los cuales destacan los siguientes: Dinamismo económico del área Las posibilidades comerciales de una inversión turística se incrementan notablemente cuando el área donde se localiza experimenta un importante crecimiento económico ya sea en general o a partir de alguna actividad económica en particular. Existen numerosos ejemplos de proyectos hoteleros, o de otros tipos como restaurantes, centros de diversión y similares, cuya justificación no radica en las ventajas de una atractivo turístico y sí en el desarrollo petrolero, industrial o comercial del área donde habrá de situarse. La conveniencia de localizarse en un área que registre un desenvolvimiento económico satisfactorio se encuentra plenamente comprobada por los altos porcentajes de ocupación que suelen registrar los hoteles y empresas turísticas que en ellas se ubican. Además, en épocas de r etracción económica e inflación las empresas situadas en dichos centros pueden sustituir segmentos de vacacionistas por hombres de negocios y convencionistas, alternativa que difícilmente logran habilitar los establecimientos localizados en centros puramente turísticos como los de playa sol y mar . Una tercera ventaja sobre la macro localización en áreas de crecimiento económico se desprende del aprovechamiento que las empresas turísticas pueden hacer en esas condiciones de la demanda local para mejorar sus ingresos como en los casos de alimentos, bebidas, transporte local, utilización de instalaciones complementarias y otros. Relevancia del conjunto geográfico, climatológico, turístico y/o cultural Cuando se establecen posibilidades satisfactorias sobre el segmento vacacionista en el estudio de mercado resulta ventajosa la macro localización de empresas turísticas para sitios que se destacan por sus características geoclimatológicas y en especial por sus atractivos tanto naturales como culturales. En el caso de México, por ejemplo, una enorme cantidad de inversiones se han destinado al equipamiento turístico en las zonas costeras apoyándose en las expectativas de los segmentos de vacacionistas tanto internos como provenientes de Estados Uni dos de Norteamérica y Canadá. En esos casos, las ventajas del entorno físico y de sus atractivos resulta especialmente importante, ya que incide en forma directa sobre las motivaciones esenciales del segmento primordial a captar.
  • 91.
    91 Ventajas económicas especiales Enalgunos proyectos la macrolocalización no viene dada por el dinamismo económico del área o la fuerza de su entorno físico, los cuales pueden estar ausentes o minimizados. Para ciertas situaciones habrá que considerar el peso de la demanda o de los apoyos gubernamentales en materia fiscal y crediticia. En el primer caso de trata de nudos turísticos ubicados en puntos clave de un corredor terrestre, donde por necesidad o costumbre suelen pernoctar los viajeros dando lugar a una demanda que justifica empresas de alojamiento, alimentación y servicios varios. También suelen encontrarse en esta situación numerosos establecimientos turísticos localizados en áreas fronterizas. En el segundo caso (apoyos gubernamentales) se trata de localizaciones que basan su decisión en el manejo de apoyos financieros a través de exenciones fiscales o la obtención de créditos oficiales subsidiados cuando al Estado le interesa la ubicación de empresas turísticas en sitios conflictivos, alejados, en disputa internacional, despoblados o estratégicos en el contexto de la política nacional a los cuales sea más fácil integrar por medio del movimiento turístico. En cuanto a la microlocalización, ésta se refiere a la elección de los terrenos específicos o las edificaciones que habrá de requerir el proyecto una vez seleccionada la macrolocalización. Es ese sentido, la decisión depende los segmentos preferidos del mercado, pudiendo la misma ser de carácter céntrico, periférico, de aeropuerto, a pie de playa, a pie de carretera, panorámico, en zona industrial o en zona comercial. Frecuentemente la microlocalización depende de aspectos económicos como la disponibilidad de recursos financieros, en base a los cuales debe preferirse terrenos cuyo costo unitario sea menor y permita destinar mayores montos a la edificación, al equipo y al mobiliario del inmueble. Programa arquitectónico De hecho, mediante el programa arquitectónico, se precisa el producto, o productos, que serán puestos en el mercado, su calidad y particularidades físicas. Es a través de este programa que se establecen las edificaciones e instalaciones necesarias para cumplir con los requerimientos del mercado y en particular para situar en una posición adecuada al proyecto en relación con su competencia. El plan maestro con el cual se indican distribuciones espaciales de las distintas obras detectadas en el programa arquitectónico podrá incluirse en este apartado o desarrollarse por separado. A mayor abundamiento cabe afirmar que en el programa arquitectónico se indican entre otras variables y suponiendo el caso de un establecimiento hotelero, el número y tipo de unidades para alojamiento con las cuales deberá contar la futura empresa, los tipos de restaurantes, bares, cafeterías, piscinas, instalaciones deportivas y áreas comunes de facilitación, como
  • 92.
    92 estacionamientos, corredores, etc. Dimensionamientos Especificadala microlocalización y con ella los terrenos o edificaciones (en el caso particular de restaurantes independientes) por disponer, es factible considerar el manejo de dimensiones por departamentos operacionales o líneas de producción y por áreas de apoyo y facilitación. Para ello será fundamental apoyarse en el estudio de mercado, que nos deberá informar sobre pautas de comportamiento, gustos y preferencias del futuro consumidor, así como de las soluciones arquitectónicas adoptadas por la competencia. Dicho dimensionamiento no es sólo a nivel departamental (número de habitaciones, de restaurantes, cafeterías, bares, piscinas, canchas de tenis, etc.). requiere un nivel mayor de aproximación, considerando por un lado áreas cubiertas, semicubiertas y descubiertas, además de metros cuadrados para habitación tipo, suite, restaurante, cafetería, piscina, áreas verdes, corredores, espacios deportivos al aire libre, casa club, etc. En otros términos, el dimensionamiento requiere ir hasta la determinación según espacios operacionales y funcionales, además de proporcionar los datos generales de capacidad tanto en materia de alojamiento, como de alimentos, bebidas y otros servicios tratándose de proyectos hoteleros. Diseño El diseño representa en la problemática comercial de un establecimiento turístico un elemento básico para apoyar su éxito en el mercado, ya que aun entre los segmentos motivados por viajes de negocios y convenciones, una empresa turística se encuentra siempre ligada a la idea de placer, descanso y recreación. Por lo tanto, la capacidad para hacer alegre, motivante y placenter o un espacio, no obstante que se use sólo para alojarse durante unas horas es determinante y requiere de un cuidado especial al emprenderse. A nivel de un estudio de preinversión es viable enfrentar el diseño a dos niveles de profundidad. El primero, que podría denominarse bosquejo de intenciones , recurre a planteos preliminares sobre trazos verticales, horizontales, fachadas y esquemas básicos de apariencia y distribución. El segundo, ampliamente conocido como anteproyecto arquitectónico es más preciso y normalmente incluye los siguientes aspectos: 1. Planta de conjunto (escala 1:200 ó 1:500), cotas externas e internas con tratamiento de espacios exteriores 2. plantas por pisos y unidades (escala 1:100) con cotas parciales y acumuladas. Incluidas áreas sociales (con equipamiento) 3. Dos cortes como mínimo (escala 1:100) con otras parciales 4. Todas las fachadas para la comprensión de las unidades que incluye el
  • 93.
    93 proyecto (escala 1:100)con cotas generales, parciales y totales 5. Sistema de construcción corte 1:20 con especificaciones de los sistemas constructivos (si es hotel, destacar habitaciones) 6. Planta de detalle 7. Perspectivas exteriores de conjunto e interiores de recogimiento 8. Especificaciones generales Es obvio que el costo de cada estudio ( bosquejo de intenciones anteproyecto arquitectónico ) varía notablemente por los grados de profundidad que exige cada uno. Sin embargo en los dos casos debe obser varse la idea del diseñador en cuanto al carácter que supone para la obra y sus rasgos centrales de apariencia. Asimismo, el diseño debe expresar la imagen general de inmueble y la particular para las unidades de venta como habitación tipo, restaurante, cafetería, lobby bar, piscina, áreas jardinadas, etc. Costeo de obras Estimar las inversiones que requerirán las edificaciones e instalaciones no es sencillo con la información disponible en la etapa de preinversión y sin análisis finales de ingeniería que determinen los parámetros específicos según materiales de construcción, áreas de tratamiento y desgloses por tipos de costo. No obstante la importancia que reviste el costo de tales obras, es determinante en cualquier proyecto, ya que absorbe el peso fundamental de la inversión global, en el caso de las empresas turísticas, y ello exige el esfuerzo de aproximación respectivo. Con frecuencia el método más utilizado para el costeo consiste en subdividir las edificaciones en áreas cubiertas, semicubiertas y descubiertas, precisando sus áreas y encontrando el producto de ellas por los precios unitarios de metro cuadrado que le corresponde a cada una. Respecto a las instalaciones especiales como campos de golf, canchas de tenis, piscinas y similares su costeo dadas sus particularidades, requiere de utilizar parámetros específicos para cada caso. Calendarización de inversiones en activos fijos Una de las informaciones estratégicas en el estudio técnico para la elaboración del estudio financiero y la evaluación de inversiones es precisamente el cálculo de las erogaciones que requerirán las obras físicas del proyecto, complementadas con las correspondientes a la adquisición de terrenos, según el período que corresponda, en relación a un programa preliminar de construcciones. La posición en el tiempo de las inversiones es de fundamental importancia no sólo para el cálculo de rentabilidad, sino esencialmente para la negociación de créditos, reducción de intereses y estimación en el escalamiento inflacionario
  • 94.
    94 de los costos. Esecalendario puede ser fijado a este nivel en forma mensual, semestral o anual, según corresponda. ESTUDIO FINANCIERO El análisis financiero actúa dentro de un estudio de preinversión como un sintetizador, concentrando de manera cuantitativa las principales conclusiones logradas durante el análisis de mercado y el técnico arquitectónico. Del primero recoge, principalmente, los datos relativos a la cantidad de demanda que cabría satisfacer mediante la inversión durante un cierto período, así como los precios y tarifas adecuados, en función de las posibilidades que demuestre la competencia y los futuros consumidores. En cuanto al estudio técnico, las variables de mayor trascendencia para la elaboración del estudio financiero se refieren tanto al monto de inversión en terrenos y construcciones como al calendario de obras y a las condicionantes de localización y dimensionamiento. Estas últimas influyen en los otros rubros de inversión (como equipos, mobiliario, gastos preoperativos, etc.) en el establecimiento de los costos y gastos pr eoperativos. Los apartados básicos para la elaboración de un estudio financiero son seis: 1. presupuesto de inversiones; 2. calendario de inversiones; 3. estructura de capital; 4. pronósticos de ingresos; 5. pronóstico de costos y gastos operacionales y 6. análisis de la posición financiera esperada (PFE). Como se observará, en este enfoque metodológico el análisis de rentabilidad y su respectiva sensibilidad financiera no se incluye dentro de este estudio, ya que se prefiere abrir un capítulo separado de evaluación, en el cual se considere tanto el rendimiento del capital de riesgo como el del total (evaluación privada), así como el de los factores productivos requeridos socialmente por dicha inversión (evaluación social). Cabe no obstante, abrir desde ya una aclaración sobre el problema de la rentabilidad. El rendimiento de todo capital obligado contra una inversión productiva depende en esencia de tres grandes aspectos que son: a) el monto d ese capital; b) los rendimientos financieros esperados que pasarían a la propiedad de quien arriesga el capital y c) el nivel alcanzado por el costo de oportunidad con el cual compare cada inversionista la alternativa de participar en la inversión analizada. Normalmente el monto de la inversión y los rendimientos financieros esperados son elementos cuyos grados de flexibilidad permiten al proyectista o analista financiero tratar de manejar los rendimientos de cada opción. En cambio, el costo de oportunidad representa en la mayoría de los casos un factor exógeno al proyecto, sobre el cual no puede trabajar a nivel macroeconómico. Por otra parte, tales rendimientos financieros esperados b), dependen a su vez de tres aspectos que son: la estructura adoptada para el capital total del proyecto, el pronóstico de ventas y el pronóstico de costos y gastos operativos.
  • 95.
    95 Todos los aspectosmencionados en los tres párrafos anteriores, a excepción del llamado costo de oportunidad, se determinan precisamente en este apartado (estudio financiero) y por tanto en él se sientan las bases de la rentabilidad. Presupuesto de inversión Le denominaremos Inversión al monto de recursos que en forma de capital requiere la empresa en proyecto para materializarse y poder iniciar operaciones, así como aquellas erogaciones que se requerirán durante su funcionamiento para reponer activos fijos obsoletos o para permitir ampliaciones en la planta productiva original. A estas últimas se les conoce también con el término de reinversiones. La mayoría de los proyectos turísticos permiten agrupar su presupuesto en once apartados específicos que son: 1. terreno; 2. adecuaciones infraestructurales; 3. edificaciones; 4. equipo; 5. mobiliario y decoración; 6. instalaciones especiales; 7. blancos y lencería; 8. gastos preoperatorios; 9. capital de trabajo; 10. gastos financieros de preoperación y 11. imprevistos. Terreno Para la mayor parte de las empresas turísticas, las adquisiciones inmobiliarias representan una protección financiera de gran importancia, dados los valores de recuperación reales que pueden alcanzar y la eventual función de compraventa parcial a la que pueden ser aplicados. Algunos giros comerciales del ramo como los restaurantes independientes no incluyen en sus presupuestos de inversión la adquisición de terrenos ni las edificaciones, ya que suelen alquilar los inmuebles en los cuales trabajan. Esa opción les reduce notablemente el capital a invertir, pero les limita, también, la rentabilidad global del proyecto y las posibilidades de obtener crédito bancario. Las estimaciones en este renglón son relativamente sencillas, ya que bastará con disponer de la microlocalización y los dimensionamientos necesarios aportados por el estudio técnico para saber cuál será la extensión del terreno prevista para el proyecto. En consecuencia y previa una investigación específica sobre el precio unitario de tierra en el mercado (por metro cuadrado), según el lugar seleccionado, se obtendrá presupuesto específico que le corresponda. Es de uso común cargar en esta línea los costos de limpieza y adecuación que requiera el terreno, pero no su urbanización o dotación de servicios básicos, ya que para esto úl timo se emplea el rubro de adecuaciones infraestructurales, por las razones que más adelante se expresan. A su vez, las erogaciones por los trámites propios de la acción de compraventa del mismo, tales como servicios notariales, impuestos, avalúos, delimitaciones, etc. no se incluyen en el costo asignado por terreno, ya que son costos posibles de amortizar a las tasas legales reconocidas para los llamados gastos preoperatorios y por lo tanto se
  • 96.
    96 acumulan a estosúltimos. Adecuaciones infraestructurales La actividad turística se caracteriza, incluso en los países con una intensa participación estatal en la economía, por el predominio de la inversión privada. Esta última suele aprovechar la infraestructura existente y pocas veces lleva a cabo obras de tal índole aún en sitios que disponen de excelentes atractivos, cuando los mismos se encuentr an en sitios apartados. No obstante, existen numerosos casos, especialmente en México y algunos países de Latinoamérica, donde han surgido proyectos turísticos de capital mixto (público y privado) en cuyo presupuesto de inversión aparecen renglones con cifras elevadas en rubros, como caminos pavimentados de acceso, electrificación, redes de agua potable e incluso aeropuertos y aeropistas. El esfuerzo por aprovechar un sitio privilegiado en materia de atractivos, generalmente naturales y en algunos casos culturales (como ruinas prehispánicas e incluso coloniales), a costa de insertar en el presupuesto del proyecto las obras de infraestructura necesarias para ponerlo en el mercado, debe ser estimado y evaluado, para lo cual es necesario establecer un renglón específico que puede denomi narse adecuaciones infraestructurales . La razón de llamarle adecuaciones se desprende de la práctica histórica a la que estamos acostumbrados, desde la configuración del Estado moderno. Esto es, el sector público ha sido responsabilizado de hecho por la construcción de la infraestructura de un país, mientras que las empresas privadas y el conglomerado social en su conjunto, simplemente se sirven de sus respectivas obras a un precio variable el cual depende de su relación institucional, fiscal y social con dicho Estado. Por lo tanto, la creación de instalaciones específicas en materia de comunicación, acceso y servicios básicos no recae habitualmente en el presupuesto de los proyectos turísticos, exceptuando casos particulares en los cuales se torna imprescindible una adecuación de tal tipo. Contemplando la existencia de esos casos se considera metodológicamente este rubro, destacando su importancia social en regiones poco atendidas dentro de las cuales el turismo es una opción dinámica de crecimiento para el corto y mediano plazo. La elaboración del presupuesto parcial de este renglón, depende obviamente de cada caso en lo particular pues en algunos se requerirán fuertes adecuaciones en materia de acceso, servicios y otros, mientras que para ciertos proyectos puede bastar con la penetración de un servicio específico como el drenaje o el agua potable. A su vez, el costeo de obras infraestructurales obedece a parámetros muy específicos, cuya aplicación y actualización requiere de una adecuada experiencia en el área, de manera que en estos casos suele solicitarse la participación de técnicos especializados.
  • 97.
    97 Edificaciones Por lo regular,el renglón de edificaciones es el más importante cualitativamente y cuantitativamente en los presupuestos globales de inversión de los proyectos turísticos. De hecho, comprometen en forma habitual el mayor porcentaje de la erogación inicial y su dimensionamiento, localización diseño y costeo son sujetos de análi sis particularizados, dado que pueden r epresentar la diferencia entre el éxito y el fracaso del proyecto. Como se anotó en el apartado dedicado al estudio técnico, existen distintos procedimientos para llegar a determinar los costos aproximados de edificación, pasando de los más superficiales (según costo promedio por habitación, en relación a la calidad prevista del establecimiento o metros cuadrados construidos) a los intermedios (metro cuadrado diferenciado por área cubierta, semicubierta o descubierta) hasta los detallados por parámetros o líneas de costeo. Para los efectos del estudio financiero basta con señalar que el cálculo correspondiente se obtendrá precisamente del análisis técnico, ajustándolo si fuese necesario e incorporándole la cuota necesaria para cubrir, en su momento, los estudios de ingeniería final y seguimiento de obra. Es conveniente, asimismo, dejar por separado el costeo de las instalaciones especiales dedicadas al desarrollo de actividades turísticas específicas, restringiendo por lo tanto este renglón a la construcción básica con la cual se ofrecerán los servicios de hospedaje, alimentación, diversiones y servicios diversos. Equipo Se considera como equipo a todos los instrumentos mecánicos adaptados que serán imprescindibles para la producción de los bienes y servicios que llevará a cabo la empresa. Frecuentemente, algunos equipos estructurales como elevadores, calderas, sistemas de bombeo e incluso generadores auxiliares de energía son presupuestados dentro del rubro de edificaciones, lo que lleva a excluirlos de este apartado. Sin embargo, la experiencia parece recomendar tener aglutinados en un solo apartado los costos completos del equipamiento, tanto estructural10 como de servicio complementario, siempre y cuando se efectúe su diferenciación de acuerdo a una clasificación funcional como la señalada. Así, el equipamiento complementario estará constituido por los aditamentos para el servicio directo al cliente, como los de aire acondicionado, cocina, bar, espectáculos, servibar en las habitaciones y operación general. Este último guarda una relación mas estrecha con la calidad del establecimiento que el estructural, aun cuando los dos lo hacen. Una de las razones de mayor peso para acumular la inversión global del equipo 10 Véanse anexo 1 con detalle sobre el equipo tipo de operación en un hotel.
  • 98.
    98 dentro de unapartado específico, está dada por la posibilidad de manejar distintas opciones presupuestarias, ya sea reduciendo exprofeso la categoría del establecimiento o incluso sin llegar a ese extremo. Mobiliario y decoración El peso de este apartado dentro de un proyecto turístico depende tanto del tipo de empresa por crear como de su categoría y diseño. Por ejemplo, un restaurante independiente, cuya penetración en el mercado guarde una fuerte relación con su temática y decoración, demandará en su inversión inicial una cantidad considerable para este rubro, que podría ser incluso la más cuantiosa en el total si los terrenos y edificaciones se alquilasen. En algunos estudios de preinversión el presupuesto parcial para el mobiliario y la decoración se obtiene a partir de una simple relación con respecto a las erogaciones en inmuebles o en equipo. Sin embargo, cuando estas últimas no existen o se requiere una mayor precisión, en virtud de las peculiaridades que alcanzará la futura empresa, es menester efectuar una investigación específica a partir de la cual se obtengan los datos necesar ios. Instalaciones especiales Como se mencionó, las inversiones turísticas están relacionadas inevitablemente con el concepto de diversión, descanso y placer, incluso aquellos en cuya mezcla de mercado predomine el segmento de viajeros por razones de negocios, trámites oficiales o tránsito. Ello ha obligado a que numerosas empresas habiliten instalaciones adicionales fuera del núcleo constructivo básico, donde habrán de concentrar los servicios esenciales para el visitante. En tanto más se diversifique la oferta que pondrá en el mercado la futura empresa, se eleve su categoría y se incline por captar la demanda de vacacionistas o consumidores de destino, mayor será el número y la variedad de instalaciones especiales por construir en el área del proyecto. Este tipo de inversiones debe responder a la programación de actividades prevista para los demandantes foráneos (turistas o viajeros) y a las tendencias del mercado local ya que en la actualidad es de fundamental importancia para la empresa los ingresos que la misma pudiese captar brindando facilidades de esparcimiento, deporte y recreación a la población que reside en su área contigua. Se entenderá entonces que tales instalaciones especiales comprenden obras como canchas de tenis, campos de golf, piscinas, gimnasios, campos de equitación, áreas de esquí, muelles y otros. Conviene insistir en la inclinación actual de muchas inversiones originalmente destinadas a la demanda de viajeros que gracias a una adecuada diversificación en sus instalaciones especiales, logran captar importantes montos de afluencia local y con ello robustecer sus ingresos, absorbiendo una
  • 99.
    99 demanda más sóliday constante como es la formada por los residentes en el área de la empresa. Lencería y cristalería En los proyectos turísticos es común que dent ro de la inversión inicial se asigne un renglón específico a las inversiones preoperativas en el área de blancos, lencería y cristalería, debido a su particular período de amortización (mucho menor al del mobiliario y la decoración normal). El mismo ha sido fijado en muchos países alrededor del 50% anual, aun cuando de hecho cabría establecerlo en el 75% dado el régimen de desecho al que se ven sujetos estos activos en las empresas comerciales de cierta categoría. Algunos estudios de preinversión incluyen estimaciones para este apartado empleando relaciones porcentuales respecto a las cantidades asignadas para el mobiliario y la decoración. Sin embargo, es más confiable tratar de aproximarse al monto correspondiente mediante una investigación directa o al menos un costeo unitario que tome como base el equipo de operación asignado a los departamentos de hospedaje, alimentos, bebidas y otros, en el caso de proyectos hoteleros. Es recomendable también, no incluir en el presupuesto de reinversiones, si el mismo se elaborase, las periódicas adquisiciones para lencería y cristalería, ya que pueden ser consideradas con la frecuencia necesaria dentro del presupuesto de costos y gastos oper ativos. Gastos preoperativos Diversos gastos son efectuados por una empresa antes de iniciar sus operaciones, sin que puedan ser clasificados en los puntos mencionados. Algunos de ellos se identifican simplemente como preoperatorios dada su naturaleza y la posibilidad financiera de amortizarlos bajo el concepto de intangibles. Como es natural, la diversidad y el monto de dichos gastos preoperatorios están en función del tiempo que requiera llevar a cabo la inversión, así como de la complejidad que alcance el proceso de su ejecución; sin embargo, entre los más comunes podemos citar las erogaciones en estudios de factibilidad, trámites legales, ciertos impuestos y en particular las que provengan de habilitar empresas encargadas de administrar, coordinar y supervisar los esfuerzos necesarios para alcanzar el nivel operativo. De hecho entre estas últimas destacan a su vez los gastos de personal, alquileres, comisiones, relaciones públicas, instrumentos promocionales y otros. Es usual estimar este apartado dentro de los presupuestos de inversión como un porcentaje respecto a la suma de los siete anteriores ya que esta última en cierta medida expresa precisamente la envergadura del proyecto. Aun así, será adecuado tener presente las particularidades de la empresa en estudio ya que en algunos casos no se manti enen las proporciones comunes.
  • 100.
    100 Capital de trabajo Eshabitual que una empresa no se encuentre en condiciones de cubrir todos sus costos y gastos operacionales con el flujo normal de sus ingresos durante sus primeros períodos de funcionamiento. Además, antes de abrir las puertas al mercado, la empresa deberá contar con dotaciones suficientes de insumos o de mercancía para poder realizar las primeras ventas. En este sentido, dentro del presupuesto de inversión deberá contemplarse una partida específica dedicada a cubrir los dos aspectos antes mencionados. Aun cuando hasta ahora los apartados de inversión se han descrito sin tomar en cuenta la estructura del capital o la distribución de participaciones entre financiamiento y capital de riesgo, conviene comenzar en este caso la importancia que suele jugar el crédito de corto plazo otorgado por los proveedores para conformar el llamado capital de trabajo. En efecto, buena parte de este último puede ser cubierto mediante suministros físicos de las casas proveedoras a pagar en 60, 90 y hasta 180 días. Para estimar los montos asignables a este renglón es recomendable efectuar una investigación directa sobre casos análogos, evaluando las características particulares de la empresa en estudio, según su área de localización, giro comercial, problemática de abastecimiento y variables afines. No obstante, en muchos proyectos se utiliza, como mera aproximación, una cifra equivalente a los costos y gastos directos de los 6 ó 7 primeros meses de operación cuando la inversión es relativamente mediana y con expectativas normales en el área de ventas. Cuando se trata de complejos de inversión o empresas muy grandes o superiores a las medidas predominantes en una línea comercial, es frecuente reducir el período mencionado ya que de otra manera el presupuesto en capital de trabajo se elevaría por arriba de las cifras aceptables. Gastos financieros de preoperación En la actualidad, prácticamente todas las inversiones turísticas de cierta envergadura requieren la participación de financiamientos bancarios, durante su fase preoperativa a fin de cubrir sus necesidades en campos como la adquisición y construcción de inmuebles, el lanzamiento promocional de las nuevas empresas y sus variados gastos iniciales. En principio, los organismos de crédito, una vez aprobado el mismo, liberan las partidas acordadas en los tiempos contratados según los programas de obra y requerimientos del prestatario. Sin embargo, por cada parte del crédito que la empresa responsable del proyecto recibe y a partir del momento en que lo hace se generan intereses por pagar cuyo período de vencimiento depende de cada caso concreto. En procesos de inflación como los presentes, dichos períodos se acortan cada vez más, aunque cabría pensar, según las prácticas comerciales más
  • 101.
    101 comunes, en meses,bimestres o trimestres. Si se toma en cuenta que la ejecución de un proyecto turístico suele ampliarse a uno o varios años según el caso, se entenderá que durante la construcción de las obras y su puesta en marcha llegan a generarse importantes montos por pagar solo en el renglón de los intereses. A su vez, otro tipo de gastos financieros como las diversas comisiones cobradas por las entidades bancarias y los gastos de tramitación respectivos deben contemplarse en este rubro. Como es obvio, los montos específicos por concepto de cargos financieros preoperatorios se encuentran en relación directa a los créditos obtenidos durante la ejecución del proyecto, del tiempo que consuma esta última fase, de las tasas de interés contratadas, la dimensión de las comisiones y los términos básicos en que se efectúen las contrataciones. Imprevistos Para cubrir en un grado aceptable de probabilidad la presencia de erogaciones no consideradas en sí mismas se anexa un margen de protección conocido como imprevistos. Este renglón es fundamental en las circunstancias inflacionarias que viven las economías occidentales, dado que por un lado resguarda cualitativamente al proyecto de gastos no previstos y por el otro reduce los riesgos de estimaciones incorrectas. Los imprevistos no deben conf undirse con el escalamiento de precios estimable para la ejecución del proyecto. Esto es, par a toda la etapa constructiva deberán tomarse en cuenta en forma separada los aumentos de precios esperados e incluirse en cada apartado específico del presupuesto global de inversiones. Una vez aplicado ese proceso se incluirán al final los imprevistos, como una prevención ante posibles equivocaciones cometidas en el escalamiento utilizado. Las cifras asignables a imprevistos dependen del monto global de inversiones y debe cuidarse no caer en estimaciones muy elevadas que atenten contra la rentabilidad del proyecto ni tan reducidas que eliminen su objetivo. Porcentualmente gira del 3 hasta al 8% de dicha inversión. Calendario de inversiones En nuestros días resulta casi imposible obtener un apoyo financiero de los organismos de crédito, sin contar con un programa de obras y por lo tanto con un calendario preciso de inversiones, ya que las deliberaciones crediticias se suelen efectuar, como se había mencionado, precisamente en los momentos previamente establecidos por los acuerdos o contratos a que da lugar cada financiamiento. En otras palabras, el calendario de inversiones junto con el programa de obras no sólo representa un instrumento técnico fundamental para el proceso de evaluación y el cálculo de rentabilidad, sino que además es prácticamente indispensable para la negociación y obtención de créditos, lo cual realza su
  • 102.
    102 posición en cualquierproyecto. Las unidades de tiempo para efectuar la calendarización respectiva suelen ser menores a las que se practican en los pronósticos de ingresos, costos y gastos de operación con los cuales deben interrelacionarse las inversiones en el proceso evaluativo. En efecto, mientras estas últimas por las precisión que requieren lo hacen semanal, mensual o bimestralmente, los datos operacionales reciben por lo regular, dentro de un proyecto, tratamientos anuales. Para satisfacer tanto las exigencias económicas de los organismos crediticios, que buscan detallar en el tiempo la evaluación constructiva del proyecto y la homologación periódica con los cuadros de ingresos y costos de operación, a fin de poder estimar rentabilidades, lo recomendable es construir dos calendarios de inversiones. Uno semanal o mensual según lo requiera en el seguimiento de ejecución y otro anual. A manera de ejemplo se estructuró el cuadro 4.7 (hipotético), que muestra un calendario anual de inversiones una vez que el presupuesto respectivo se concluyó. Estructura de capital Se denomina estructura del capital a la forma como se distribuye la inversión total de un proyecto entre sus posibles orígenes financieros, clasificándose inicialmente en dos grandes rubros: aportación propia o de riesgo y participación de crédito. La aportación propia está constituida por el monto de recursos que deberá comprometer la (o las) entidad (es) responsables del proyecto para su ejecución, pudiendo ser de carácter privado (sociedad anónima) o público (dependencia gubernamental o empresa descentralizada). A su vez, la participación de crédito quedará integrada por los aportes que previsiblemente se obtendrán entre los organismos bancarios, a fin de cubrir la parte de la inversión total no financiada directamente por la entidad responsable. Cuadro 4.7 ESTRUCTURA ANUAL DE UN CALENDARIO DE INVERSIONES (miles de US dólares) Grupo de inversión Concepto Origen del capital Años de aplicación Monto total del concepto1º 2º 3º 1o. 2o. 3.1 3.2 3.3 3o. 4o. 5o. 6o. 7o. Terreno Adecuaciones infraes- tructura Edificaciones (1) Edificaciones (2) Edificaciones (3) Total edificaciones Equipo Mobiliario y decoración Instalaciones especiales Blancos y lencería Aportación propia Crédito banco A Aportación propia Banco A Banco B Aportación propia, bancos A y B Aportación propia Banco B Banco A Aportación propia 1.806 210 380 - 750 1.130 940 710 890 2.570 840 250 45 202 975 343 1.520 1.560 1.400 36 28 1.552 1.685 1.983 1.806 210 5.220 2.400 1.650 81 28
  • 103.
    103 8o. 9o. 10o. 110. Gastos preoperativos Capital detrabajo Gastos financieros preoperativos Imprevistos Total inversión % en el total Liberaciones de crédito Aportaciones propias Aportación propia Aportación propia2 Aportación propia Aportación propia 123 1 126 3.395 25% 960 2.435 353 148 4.206 31% 1.895 2.311 55 320 806 257 5.982 44% 2.754 3.228 (41%) (59%) 55 320 1.282 531 13.583 100% 5.609 7.974 Los porcentajes o coeficientes de participación en el presupuesto global de inversión son determinantes para mostrar los grados de riesgo en el proyecto analizado, tanto por parte de los prestamistas como de los prestatarios. La desagregación de dicha estructura a un segundo nivel, implica precisar las entidades copartícipes en el capital de riesgo cuando sean más de una, así como sus respectivos montos y porcentajes. Lo mismo ocurre con las fuentes de financiamiento de carácter crediticio tanto internas o nacionales como externas o extranjeras. Toda la información deberá quedar asentada por períodos, según se r equieran los aportes respectivos en el tiempo. Los datos que apor ta la estructura de capital son básicos para poder desarrollar el proceso de eval uación financiera, ya que esta úl tima se subdivide en relación a los orígenes del capital por comprometer, efectuándose una para la inversión con capital de riesgo y otra para el total. Una idea sobre la integración de las cifras en cuestión puede obtenerse del cuadro 4.7 donde aparecen año con año los montos que correspondería, en un presupuesto hipotético, a los organismos de crédito y a la sociedad presupuestaria del proyecto (inversión de riesgo), en un primer estadio de desagregaci ón. Por l oque se refiere al crédito previsto, dentro de dicha estructura deberán adelantarse variables esenciales para la conformación de todo el análisis financiero entre las que se destacan: 1. el monto total a contratar; 2. las entidades por comprometer; 3. las tasas de interés esperadas; 4. el (los) tipo (s) de moneda de crédito; 5. el o los períodos de amortización o pago del principal; 6. las comisiones por pagar en cada caso, incluidos gastos de apertura y administrativos o legales; 7. período de gracia necesario u obtenible; 8. garantías exigidas; 9. avales; 10. exigencias colaterales y 11. requisitos contractuales. Pronóstico de ingresos Una vez que el proyecto llega a la etapa del estudio financiero, ya se tendrán definidos los tipos de bienes y servicios que pondrán en el mercado la futura empresa, así como los márgenes por considerar en materia de precios y tarifas, al igual que los volúmenes previstos de la demanda por captar, sea en la forma de porcentaje de ocupación o en cualquier otra medida. No obstante, compete al propio análisis financiero elaborar los pronósticos 2 Se considera como aportación en la estructura de inversiones, no obstante que se obtienen usualmente a corto plazo de proveedores. 1 Incluye comisiones y gastos generales de apertura
  • 104.
    104 específicos de ingresoso ventas en función de dichas variables, considerando las restricciones impuestas por aspectos como la dimensión del proyecto (estudio técnico) y sus compromisos operacionales. Como se sabe, el ingreso bruto resulta de multiplicar las cantidades a vender por sus respectivos precios o tarifas unitarias. Tales ingresos quedarán consignados en un pronóstico por períodos a lo largo de un lapso prudencial que en el caso de los proyectos turísticos suele ser de 10 años. Las razones que justifican esa amplitud temporal son varias, pero destacan las siguientes: 1. es un tiempo intermedio entre los distintos períodos de amortización legal asignados a los principales activos fijos de una empresa turística que van aproximadamente desde los 20 años para las construcciones, 10 años para cierto mobiliario y equipo y 5 años para equipo móvil y ligero; 2. aun cuando es difícil y arriesgado hacer previsiones de mercado a 10 años, las inversiones turísticas requieren un tiempo de maduración financiera relativamente largo por lo cual a un menor plazo se obtendrían conclusiones equivocadas y 3. la rentabilidad de una empresa turística no puede ser evaluada con justicia tomando un flujo de beneficios menor al señalado con el riesgo de encontrar coeficientes inferiores a los reales. La elaboración concreta de cada pronóstico de ingresos depende del tipo de proyecto en análisis. Nosotros tomaremos, como ejemplo, el caso de la hotelería moderna, ya que ha mostr ado en los últimos años una cl ara tendencia a diversificarse en distintos giros comerciales (hospedaje, alimentación, bebidas, diversiones, etc.), de manera que por su intermedio podamos incursionar en los principales temas de la planta turística. Existen dos procedimientos para estructurar el propósito de ingresos, en el caso de los proyectos hoteleros: el directo y el indirecto. En cuanto por el primero se busca determinar los volúmenes esperados de ingreso por la vía de estimaciones directas en cada departamento sobre cuánto se vendrá y a qué precio. En cambio, el segundo recurre a los datos aportados por casos similares y con base a r elaciones comparativas asume volúmenes aproximados de ingreso para cada línea de producción. Aplicando la clasificación departamental de la firma Horwath and Horwath International, para el ordenamiento de la contabilidad hotelera, se podrá explicar con mayor claridad la diferencia entre los procesos antes enunciados. Dicha firma ha logrado generalizar su esquema financiero, en Estados Unidos de Norteamérica, en Canadá y en un gran número de países europeos y latinoamericanos, el cual consiste en formular una contabilidad intermedia (entre analítica y de concepto) a la que se conoce como UniformSystem of AccountsforHotels. Ese sistema contable diferencia los departamentos de una organización hotelera en operacionales y funcionales, incluyendo entre los primeros exclusivamente a los que generan ingresos para la empresa en su conjunto y por lo tanto se constituyen en líneas de producción, ya se a de bienes (restaurantes y bares) o de servicios (alojamiento). Según este ordenamiento existen actualmente cuatro posibles tipos de departamentos operacionales en
  • 105.
    105 la hotelería comercialque son: 1. habitaciones, 2. alimentos, 3. bebidas y 4. otros servicios. Los departamentos funcionales son aquellos que no producen ingresos a la empresa, pero que de hecho le son indispensables porque en ellos recae la mayor responsabilidad sobre la conducción, el éxito, la expansión y el adecuado funcionamiento de todo su si stema. El enfoque contable citado los clasificaba, al igual que a los operacionales, en cuatro: 1. administración y gestión; 2. publicidad y promoción; 3. luz, agua y energéticos y 4. mantenimiento. Recientemente, ha unido el (3) y el (4), bajo la sigla en inglés de POMEC10 . No obstante, nos parece más conveniente mantener la primera clasificación, de dichos departamentos funcionales, por el peso y la importancia que en algunos destinos turísticos mantienen los gastos en agua y combustibles, de manera que el confundirlos con mantenimiento, limita las posibilidades analíticas de la información. El pronóstico de ingresos en los proyectos hoteleros debe efectuar se para cada departamento operacional, lográndose el total por la acumulación de ellos. El único que requiere indefectiblemente el proceso directo de estimación, es el de hospedaje; ya que cuando se aplican coeficientes de relación (método indirecto) se le toma como base abso luta para los respectivos cálculos. Adoptemos el caso de un proyecto hotelero cuya dimensión alcance las 200 habitaciones disponibles y contemple la operación de otros departamentos como alimentos, bebidas y servicios varios. Para elaborar el pronóstico de ingresos en la división cuartos, requerimos de tres informaciones previamente i nvestigadas y comprobadas: a) oferta que será puesta en el mercado; b) porcentaje de ocupación previsto para alcanzar durante el período analítico del proyecto11 y c) tarifas promedio considerando temporalidades, grupos, promociones, etc., según los distintos tipos de alojamiento en el estudio técnico-arquitectónico. En este ejemplo, tal oferta ya ha sido precisada en 200 habitaciones diarias. Sin embargo, no siempre el número de cuartos diseñados y construidos corresponde a los que efectivamente se ofrecen en el mercado, pues debe considerarse un porcentaje de reducción sobre aquellos, proveniente de las habitaciones utilizadas por el estaf gerencial para usos privados y comerciales o por las sujetas a un manteni miento mayor. Los porcentajes de ocupación variarán en función de la situación que guarde el mercado y, como se trata de una prospección, dependerán también del conocimiento, experiencia y capacidad del técnico que los estima. Lo usual es suponer niveles de ocupación menores a la competencia, en los primeros años de operación, para incrementarlos paulatinamente hasta llegar a coeficientes adecuados en un horizonte de 3 ó 4 años. El ritmo de ese incremento, el porcentaje de partida y el de estabilidad dependerán de las expectativas 10 Property Operation, maintenance & energy costs. 11 Como se comentó, se extiende normalmente a 10 años.
  • 106.
    106 ofrecidas por elmercado y el déficit que muestre el balance oferta-demanda respectivo. Buscando construir numéricamente nuestro ejemplo, estructuraremos dos cuadros. El primeo (4.8), a partir de tarifas diferenciadas para una distribución hipotética entre distintos tipos de habitación. El segundo (4.9) para la presentación de un pronóstico de ingresos en el departamento de hospedaje tomando en cuenta las variables de ocupación a lo largo del tiempo. Como se observará en el cuadro 4.9 el pronóstico a diez años se hace a precios constantes, según los valores del primero, por lo cual las modificaciones en los ingresos resultan de incrementos reales en las ventas y no por cambios monetarios de las tarifas a cobrar, hasta que se alcanza una madurez en el mercado (6o. año), a partir de la cual se supone un porcentaje de ocupación relativamente continuo. Para estimar los ingresos en el resto de los departamentos, según el método directo, habrá que identificar unidades de venta en cada uno de ellos y precios unitarios promedio. Por lo que se refiere a las líneas de alimentos y de bebi das, usualmente se miden con espacios disponibles y medias de consumo respectivamente. El producto de ambos equivale al ingreso unitario. Sin embargo, en estos casos tendrá que considerarse la rotación esperada por día a fin de que se pueda calcular el ingreso departamental para cada año y también la evolución de ocupaciones para establecer todo el pronóstico. Cuadro 4.8 DETERMINACIÓN DE LOS INGRESOS, CONTEMPLANDO TIPOS DE HABITACIÓN Y TARIFAS DIFERENCIALES EN LA DIVISIÓN CUARTOS (proyecto hotel 200 habitaciones) Tipos de habitación demandadas Estructura porcentual 1 Número de habitaciones Alojamientos vendibles2 al 100% ocupados anualmente Tarifas diarias promedio dólares US Ingresos anuales al 100%. Ocupación según tarifa promedio dólares US Sencillas Dobles Suites Total 35% 60% 5% 100% 70 120 10 200 25.500 43.800 13.650 - 180.00 110.00 130.00 - 2.044.000 4.818.000 474.500 7.336.500 Finalmente, el procedimiento directo para el último departamento operacional llamado de otros servicios , suele ser demasiado complicado y poco justificativo ya que engloba percepciones tan diversas como teléfono, valet, estacionamiento, telex, etc. Hay excepciones, como la de los hoteles urbanos muy importantes, cuya concepción implica trabajar la demanda local con base en gimnasios, alquiler de piscinas, canchas deportivas, salones y semejantes para los cuales el renglón de otros servicios merece estimaciones 1 Esa estructura porcentual se obtiene en el estudio de mercado de la situación que rige entre los competidores más cercanos. 2 Suponiendo una operación corrida durante los 365 días del año.
  • 107.
    107 particularizadas porque seamplía notablemente. Ahora bien, resulta más común en los proyectos hoteleros emplear el método indirecto que el método directo, sobre todo cuando se procuran las cifras de los ingresos distintos al de hospedaje siempre y cuando se disponga de una información correcta además de actualizada y de empresas similares, con el propósito de ahorrar esfuerzos e investigaciones muchas veces i nnecesarios. Según la firma Horwath International, en su publicación World Wide OperatingStatistics of theIndustry, en 1974 los ingresos promedio de la hotelería internacional se distribuían en la forma que aparece a continuación: hospedaje 43.8%; alimentación 30.9%; bebidas 14.2%; otros departamentos 6.7%; otros ingresos 2.5% y alquiler de boutiques 1.9%12 En cambio, en México, según una firma asociada a la anterior, denominada Maldonado y asociados , en 1979 la distribución de dichos ingresos totales en el país era de 53.1% para hospedajes, 26.4% por venta de alimentos, 15.3% por bebidas, 3.3% proveniente de otros departamentos menores y 1.9% de rentas y otros ingresos. De hecho, la estructura distributiva de los ingresos totales en la hotelería cambian en una proporción importante para cada país y dentro de ellos en cada plaza específica. Incluso se modifica temporalmente y por categorías. Todo ello obliga, cuando se apliquen los coeficientes de relación en el método indirecto, a contar con una información actualizada que provenga de empresas muy similares a la estudiada. Asumiendo que se dispone de tales indicadores, la elaboración de los pronósticos de ingresos totales se simplifica de tal manera que, con la ayuda de una computadora y con bases proporcionadas por los programas lineales, pueden manejarse un gran número de alternativas hasta elegir la o las más aceptables. Continuando con el ejemplo utilizado y aplicando los coeficientes promedio de la hotelería en México, estamos en condiciones de construir un pronóstico global de ingresos para un proyecto hotelero mediante el método indirecto, según lo expreso el cuadro 4.10. Una vez más, debe reiterarse que el procedimiento indirecto tiene varios problemas metodológicos, además de exigir una adecuada información. Entre ellos destaca el suponer que los ingresos de alimentos, bebidas y otros guardan una estrecha relación con los de hospedaje, semejante a la expresada por los coeficientes utilizados. No obstant e, en algunos proyectos el hotel podrá penetrar tanto en el mercado local, que se rompen dichas proporciones. Por otro lado, no siempre los ingresos colaterales han de poder evolucionar al ritmo que se tenía pronost icado para el hospedaje. 12 Véase Estudio metodológico de factibilidad hotelera, Centro de Altos Estudios, Universidad de Aix-en- Provence, Francia.
  • 108.
    108 En cualquier circunstancia,antes de elegir el método para elaborar los pronósticos de ingresos, conviene estudiar las particularidades del proyecto de manera que se logre una solución técni ca y económicamente satisfactoria. Se apreciará en el cuadro 4.10 que después de alcanzar el subtotal correspondiente a los ingresos de los departamentos operacionales, se anexa un renglón llamado otras percepciones hasta llegar por acumulación a los ingresos globales. Ese ordenamiento se debe a que exi sten ciertas entradas en una empresa, como la hotelera, que no provienen de sus actividades normales para las cuales fue creada. Podemos citar entre otras cosas el alquiler de locales comerciales (negocio inmobiliario), así como también los rendimientos financieros y operaciones de compraventa inmobiliaria.
  • 109.
    109 Cuadro 4.9 PRONÓSTICO DEINGRESOS EN EL DEPARTAMENTO DE HOSPEDAJE SEGÚN OCUPACIONES PROMEDIO EN EL QUE SE CONSIDERAN HABITACIONES Y TARIFAS DIFERENCIADAS (Miles de dólares US a precios constantes) Años de operación pronosticados Años - 1o. 2o. 3o. 4o. 5o. 6o. 7o. 8o. 9o. 10o. % ocupación previsto Ingreso anual en el departament o hospedaje 100% 7.336. 5 55% 4.03 5 60% 4.401. 9 65% 4.768. 7 70% 5.135. 5 75% 5.502. 3 80% 5.869. 2 80% 5.869. 2 80% 5.869. 2 80% 5869. 2 80% 5.869. 2 Cuadro 4.10 PRONÓSTICO GLOBAL DE INGRESOS PARA UN PROYECTO HOTELERO DE 200 HABITACIONES (Miles de dólares US a precios constantes) Años - 1o. 2o. 3o. 4o. 5o. 6o. 7o. 8o. 9o. 10o. % ocupación departamento s (53.1%) habitación. (26.4%) Alimentac. (15.3) Bebidas (3.3%) Otros servic. Total Departamen. Operacionales (1.9%) Otras Percepciones Total ingresos 55% 4.03 5 2.00 6 1.16 3 251 7.45 5 145 7.60 0 60% 4.401. 9 2.188. 5 1.268. 3 273.5 8.132. 2 157.5 8.290. 7 65% 4.768. 7 2.370. 8 1.374. 0 296.3 8.809. 8 170.6 8.890. 4 70% 5.135. 5 2.553. 2 1.479. 7 319.1 9.487. 5 183.7 9.671. 2 75% 5.502.3 2.735.6 1.585.4 341.9 10.165. 2 196.8 10.362. 0 80% 5.869.2 2.918.0 1.691.1 364.7 10.843. 0 210.0 11.053. 0 80% 5.869.2 2.918.0 1.691.1 364.7 10.843. 0 210.0 11.053. 0 80% 5.869.2 2.918.0 1.691.1 364.7 10.843. 0 210.0 11.053. 0 80% 5869.2 2.918.0 1.691.1 364.7 10.843. 0 210.0 11.053. 0 80% 5.869.2 2.918.0 1.691.1 364.7 10.843. 0 210.0 11.053. 0 Si confundiésemos tales percepciones con los ingresos operacionales, se obtendrían indicadores financieros equivocados, en cuanto a la futura eficiencia operacional de la empresa. Por último, es conveniente hacer cuatro aclaraciones más sobre la elaboración de los pronósticos de ingresos. Primera: aun cuando el pronóstico se desarrolle a precios constantes es usual introducir para el primer año operativo precios y tarifas especialmente promocionales con el fin de asegurar la penetración inicial en el mercado. Ello
  • 110.
    110 reduce los volúmenesde ventas esper adas para dicho período13 . Segunda: cuando los giros comerciales de una empresa, la estructura del mercado al que se enfrenta a los controles oficiales de precios, no permitan suponer que su administración elevará regularmente los precios de venta, en relación directa o proporcional a los incrementos que sufran sus costos y gastos operacionales, será necesario elaborar el pronóstico de ingresos a precios corrientes. Ello exige trabajar con probabilidades para cada precio o tarifa en los distintos departamentos e incluso con modelos estocásticos, dado que los ritmos de inflación son poco pronosticables en nuestros días. Tercera: se emplea habitualmente un lapso de 10 años como horizonte de análisis, para establecer los pronósticos de ingresos, por las razones ya comentadas en este apartado, pero es obvio que al cabo de ellos la entidad propietaria de la empresa contará con diversos activos, los cuales podrá, teóricamente, realizar en el mercado al undécimo año y obtener un ingreso final adicional. Este último es de tal importancia que muchas inversiones turísticas pueden llegar a justificarse en el plano financiero al reconocerlo. Dicho ingreso se debe concebir como el último flujo de beneficios que el proyecto ofrecerá a su propietario y se contabilizará como uno más en la serie. Se podrán utilizar los precios previsibles de compraventa en el mercado o los valores posdepreciativos que resulten de aplicar las tasas legalmente establecidas, dependiendo de la holgura que cada inversión presente. A su vez, deberá dár sele el mismo tratamiento utilizado para el resto de los ingresos, según se hayan apli cado precios constantes o corrientes. En el caso de existir pasivos por amortizar en el undécimo año (por créditos hipotecarios a 15 o más años) se requerirá descontar a ese ingreso final, llamado también valor de recuperación o salvamento, los montos de dichos pasivos con el objeto de encontr ar la cifra neta del ingreso en cuestión. Cuarta: cada proyecto, incluso en el área específica del turismo, obliga a un tratamiento particular de sus ingresos y a un pronóstico cuidadosamente estructurado, en función de sus particularidades, especialmente cuando se observa la cercanía existente entre las inversiones turísticas y aquellas de corte inmobiliario. Pronóstico de costos y gastos operacionales Los costos y gastos operacionales están constituidos por todas las erogaciones periódicas a que la empresa se verá comprometida, con el fin de mantener su funcionamiento. Se calculan para extensiones temporales uniformes a lo largo de un horizonte analítico que usualmente abarca, como en el caso de los ingresos, los 10 años. En este enfoque, la diferencia conceptual entre costos y gastos está determinada por el destino y la naturaleza de cada erogación, con base en un principio económico. Se clasifican como costos a los egresos que una empresa 13 Dicha hipótesis no fue contemplada en el cuadro 4.10
  • 111.
    111 realiza para adquirirlos insumos físicos indispensables al interior de sus procesos de producción, mientras los gastos se r efieren al resto de egresos por cubrir, incluida la mano de obra, los indirectos, financieros e impuestos. Las características de cada proyecto dan lugar a una organización contable distinta y a la aparición de partidas específicas, en materia de costos y gastos. No obstante, los rubros básicos pueden apreciarse en la que utiliza el UniformSystem of AccountsforHotels, la cual mantiene la diferencia conceptual mencionada en el párrafo anterior, pero la combina con su clasificación departamental, según áreas operacionales y funcionales. Está claro que la misma es aplicable a proyectos hoteleros, exigiendo fuertes adecuaciones para otro tipo de inversiones. A pesar de esto último, su ordenamiento nos permite observar la estructura general a la que obedece una pl antilla de costos y gastos y sus posibilidades para elaborar un pronóstico. En ese sentido, mencionaremos sus conceptos siguiendo nuestro ejemplo, así como los coeficientes consignados en las estadísticas internacionales y las del caso mexicano, a fin de ofrecer una idea sobre los parámetros que suelen emplearse. Como se verá, algunos costos y gastos son sujetos de agrupamiento, mientras otros deben considerarse en forma independiente (contabilidad intermedia). Las agrupaciones responden a las necesidades de la contabilidad analística ya que asocian los costos y gastos por departamentos tanto operacionales como funcionales. De todos ellos, los únicos que incorporan insumos físicos en su proceso productivo dentro de una estructura hotelera moderna son los departamentos de alimentos, de bebidas y de otros servicios . Por lo tanto, el total de costos se reparte entre ellos. El resto de los departamentos incurren, según la propia metodología del UniformSystem sólo en gastos a l os cuales se l es subdivide en sueldos y salarios reales y otros gastos . Los sueldos y salarios reales se componen de la nómina prevista para cada departamento, más los egresos que correspondan a las prestaciones sociales que ella implique, conforme la legislación vigente en cada país14 . En México, por ejemplo, se supone que alrededor de un 35% de dicha nómina debe adicionarse para cubrir tales prestaciones. Este renglón comprende las retribuciones a los trabajadores que tienen asignado un departamento específico sin importar su jerarquía. Los llamados otros gastos están compuestos por una serie de item específicos que difieren según cada departamento. En el caso de la división cuartos comprende aspectos como: 1. la adquisición continua de porcelana y cristalería; 2. los productos de limpieza; 3. la decoración perecedera; 4. los suministros a clientes (fósforos, jabones, papel higiénico, dulces, cremas de baño, etc.); 5. la limpieza especial de artículos decorativos; 6. la adquisición de blancos y lencería; 7. la papelería e impresos; 8. la lavandería en general; 9. la adquisición de uniformes; 10. comunicaciones; y con particular mención; 11. las 14 Seguro Social, alimentos, retiro, vacaciones, vivienda, etc.
  • 112.
    112 comisiones a lasagencias de viajes y 12. los gastos de reservación, a pesar de que estos dos últimos renglones podrían distribuirse entre el conjunto de los departamentos operacionales o conformar un gasto indirecto adicional. Para los departamentos de alimentos y bebidas se contabilizan en el renglón de otros gastos , lo que se espera corresponderá por cada período a sus respectivas erogaciones en 1. cristalería y porcelana; 2. decoración perecedera; 3. productos de limpieza; 4. estacionamiento; 5. uniformes; 6. limpieza y lavandería; 7. adquisiciones de blancos y lencería; 8. impresos y papelería; 9. hielo; 10. suministros a clientes; 11. elaboración de menús; 12. música y diversión; 13. comunicaciones y 14. diversos. Para concluir con los operacionales, la línea de otros servicios , que incluye aspectos como el teléfono a clientes; valet y telex, considera en la cuenta de otros gastos rubros como contratos de mantenimiento, papelería e impresos, uniformes y diversos. La importancia del apartado otros gastos , en los departamentos funcionales, también es decisiva ya que por su naturaleza ellos sólo enfrentan ese tipo de erogaciones y las que les correspondan por sueldos y salarios reales . En el área de administración y gestión general se adscriben a dicho apartado las previsiones para cubrir: 1. seguros; 2. comisiones a tarjetas de crédito; 3. diferencias de caja y cargos; 4. honorarios y descuentos; 5. gastos de representación; 6. estímulos especiales; 7. papelería e impresos no asignados departamentales; 8. suscripciones y asociaciones; 9. uniformes de administración; 10. lavandería y limpieza en administración; 11. daños sufridos por el cliente; 12. teléfono y telex no asignados; 13. trámites y 14. diversos. Respecto al departamento de promoción y publicidad los llamados otros gastos son fundamentales porque incluyen todo el material de apoyo a las campañas promocionales continuas de la futura empresa, tales como: 1. honorarios de agencias publicitarias; 2. instrumentos publicitarios en áreas públicas; 3. impresos publicitarios en medios masivos y selectivos de información (revistas, periódicos, guías, etc.); 4. radio, televisión y cine; 5. gastos de representación; 6. gastos en eventos de relaciones públicas; 7. publicaciones e impresos propios (folletos, carteles, etc.); 8. gastos de correo y telégrafo; 9. material de oficina y 10. diversos. Para el área funcional de energía, agua y combustibles los otros gastos comprenden las erogaciones constantes de la empresa en líneas como el pago de agua, los recibos generales de electricidad, gas y combustibles diversos, así como el pago específico de facturas provenientes de empresas exteriores para el suministro de tales servicios. Por último, queda el departamento de mantenimiento cuyos otros gastos incluyen partidas de cierto peso, por ejemplo, la adquisición de instrumentos, herramientas y partes para reparaciones continuas y habituales, así como el pago de servicios exteriores para mantener activos específicos como elevadores, maquinaria pesada y otros.
  • 113.
    113 Es necesario destacarel principio funcional en materia de proyectos que justifica el apartado de otros gastos . Si bien, el mismo resultaría poco práctico para la administración de muchas empresas hoteleras en su fase operativa, para construir los análisis financieros en la etapa de pre inversión resulta de gran utilidad ya que permite englobar una serie de pequeñas partidas, aplicar coeficientes de relación y con ello elaborar pronósticos de mediano plazo. Con la intención de clarificar a base de esquemas sencillos la estructura propuesta de costos y gastos se ha elaborado la figura 4.11 que muestra su distribución según los departamentos señalados por el UniformSystem. La estructura a que da lugar el ordenamiento de costos y gastos presentado en la figura 4.11 permite construir con cierta facilidad los pronósticos respectivos. Las estimaciones pueden realizarse al igual que en el caso de los ingresos en forma directa o indirecta. En el primer caso (vía directa), las investigaciones son laboriosas y requieren de un profundo conocimiento sobre el tipo de empresa en proyecto, debido a la especificidad alcanzada por las múltiples cuentas incluidas en el apartado otros gastos . En efecto, utilizando este proceso deberán detallarse variables como los kilowats/hora que la empresa consumirá anualmente, así como sus precios y la evolución de ambos, sólo por mencionar un aspecto aun cuando cabría considerar múltiples renglones de gasto que irían desde el fluido de agua, la adquisición periódica de cristalería, o los artículos cotidianos de mantenimiento. Cuando las características o importancia de una inversión lleguen a justificarlo, cabrá pensar en el procedimiento directo. Sin embargo, es usual emplear el llamado indirecto que se apoya en los estándares o coeficientes ya conocidos cuya obtención ha sido posible gracias a la recopilación, tratamiento y análisis que algunas firmas consultoras han efectuado sobre los estados financieros de empresas hoteleras en funcionamiento. Es cierto que el proceso directo permite llegar a mayores niveles de confiabilidad, pero al mismo tiempo exige una intensidad de trabajo pocas veces factible en un estudio de preinversión. El indirecto tiene todos los inconvenientes de la generalidad, aunque sus posibilidades prácticas le otorguen puntos decisivos a su favor. A este respecto, será recomendable contar en el medio de la consultoría con investigaciones constantes y adecuadamente diferenciadas para los distintos tipos de inversiones, tanto en el campo del turismo como en otros. Las mismas ofrecerían indicadores específicos, confiables y actualizados sobre las estructuras de costos y gastos prevalecientes en las distintas empresas de cada ramo.
  • 114.
    114 Figura. 4.11 ESTRUCTURA CONCEPTUALDE LOS COSTOS Y GASTOS OPERACIONALES PARA LA ELABORACIÓN DE PRONÓSTICOS EN PROYECTOS HOTELEROS Figura 4.11 ESTRUCTURA CONCEPTUAL DE LOS COSTOS Y GASTOS OPERACIONALES PARA LA ELABORACIÓN DE PRONÓSTICOS EN PROYECTOS HOTELEROS A manera de orientación se ha preparado el cuadro 4.12 que utilizando la estructura ya descrita exhibe algunos coeficientes internacionales y nacionales de referencia provenientes de hoteles con categoría también internacional en el primer caso y variada en el segundo. Debe precisarse que tales indicadores están, como es natural, en relación a determinadas variables absolutas de las cuales dependen. Se destaca que los costos y gastos de los departamentos operacionales (en porcentajes), guardan relación con los ingresos de su correspondiente departamento; en cambio, los coeficientes de gastos en las áreas funcionales se encuentran relacionados con los volúmenes globales de ingreso. Siguiendo el caso hipotético que adoptamos para mostrar en términos muy simplificados la elaboración de un pronóstico de ingresos, podemos aplicar los coeficientes mencionados en el cuadro 4.12 relativos a los promedios nacionales de México, para construir a su vez un pronóstico de costos y gastos departamentales.
  • 115.
    115 Cuadro 4.12 COEFICIENTES SELECCIONADOSA ESCALA INTERNACIONAL Y NACIONAL QUE CONFORMAN DISTINTAS ESTRUCTURAS DE COSTOS Y GASTOS DEPARTAMENTALES Costos y gastos departamentales % Coeficientes Internacionales % Coeficientes nacionales(México) Operacionales (% Ingresos del departamento) (1974) (1979) Departamento habitaciones Sueldos y salarios Otros gastos 15.0 7 a 14 11.1 11.4 Departamento de alimentos Costos 36.6 32.3 Departamento de bebidas Costos 28.3 19.3 Departamento de alimentos y bebidas1 Sueldos y salarios Otros gastos 33.2 8 a 15 23.0 15.6 Departamento otros servicios 3 Costos Sueldos y salarios Otros gastos 75.0 43.9 2.0 30.4 25.9 12.3 Funcionales (% a ingreso departamento) Departamento de administración y gestión Sueldos y salarios Otros gastos 9.5 4.7 4.8 12.2 2 Departamento de promoción y publicidad Sueldos y salarios Otros gastos 3.4 0.8 2.6 4.32 Departamento energía, agua y combustible Sueldos y salarios Otros gastos 5.2 0.9 4.3 3.1 2 Departamento de mantenimiento Sueldos y salarios Otros gastos 4.5 1.9 2.6 7.1 2 1 Las estadísticas nacionales e internacionales no discriminan los coeficientes para sueldos y salarios y otros gastos , según corresponda al departamento de alimentos y al de bebidas por separado, ya que los unifican en estos renglones. Sin embargo, es previsible dado el nivel promedio de calificación exigido habitualmente en el área de alimentos que la nómina de este departamento sea más alta que la de bebidas, en la mayoría de los casos. 3 Obsérvese que, según las estadísticas internacionales, el departamento otros servicios tiende a dar pérdidas, mientras que en México no sucede eso. Fuente: PannellKerrForster ¬ Co., citado por Estudio metodológico de factibilidad hotelera, Universidad de Derecho, Economía y Ciencias. Aix en Provence, Grancia. Maldonado y asociados , La industria hotelera en cifras, México 1980. 2 Se ofrece sólo el coeficiente acumulado del departamento (en relación a ingresos totales), dado que la publicación mencionada no los desglosa según sueldos y salarios y otros gastos .
  • 116.
    116 Cuadro 4.13 ELABORACIÓN DEUN PRONÓSTICO DE COSTOS Y GASTOS DEPARTAMENTALES EN BASE A LOS INGRESOS PREVISTOS PARA UN PROYECTO TURÍSTICO (HOTEL 200 HABITACIONES) Años: 1o. 2o. 3o. 4o. 5o. 6o. 7o. 10o. Conceptos (Miles de dólares US a precios constantes -Ingresos- Departamento de habitaciones Departamento alimentos Departamento bebidas Departamento otros servicios Ventas departamentos operario- nales Otros ingresos Total ingresos -Costos y gastos operacionales- Departamento de habitaciones Sueldos y salarios (11.1%% sobre los ingresos del departamento) Otros gastos (11.4% sobre los ingresos del departamento) (A) Utilidad bruta departamento habitación el (77.5% sobre los ingresos del departamento) -Departamento alimentos y bebidas- Costos 1 (29% sobre los ingresos del departamento) Sueldos y salarios (23% sobre los ingresos del departamento) Otros gastos (15.6% sobre los ingresos del departamento) 4.035 2.006 1.163 251 7.455 145 7.600 447.8 459.9 3.127.3 919.0 728.8 494.3 4.401.9 2.188.5 1.268.3 273.5 8.132.2 157.5 8.290.7 488.6 501.8 3.411.5 1.002.4 795.0 539.2 4.768.7 2.370.8 1.374.0 296.3 8.809.8 170.6 8.980.4 529.3 543.6 3.695.8 1.085.9 861.3 584.1 5.135.5 2.553.2 1.479.7 319.1 9.487.2 183.7 9.671.2 570.0 585.4 3.980.1 1.169.5 927.5 629.1 5.302.3 2.735.6 1.585.4 341.9 9.965.2 196.8 10.162.0 588.5 604.4 4.109.4 1.253.0 993.8 674.0 5.809.2 2.918.0 1.691.1 364.7 10.783.0 210.0 10.993.0 644.8 662.2 4.502.2 1.336.6 1.060.0 719.0 5.809.2 2.918.0 1.691.1 364.7 10.783.0 210.0 10.993.0 644.8 662.2 4.502.2 1.336.6 1.060.0 719.0 5.809.2 2.918.0 1.691.1 364.7 10.783.0 210.0 10.993.0 644.8 662.2 4.502.2 1.336.6 1.060.0 719.0 1 Se establece el promedio ponderado de ambos departamentos
  • 117.
    117 Cuadro 4.13. Continuación Años:1o. 2o. 3o. 4o. 5o. 6o. 7o. 10o. Conceptos (Miles de dólares US a precios constantes (B)Utilidad bruta departamento de alimentos y bebidas (32.4% sobre los ingresos del departamento) -Departamento otros servicios Costos (30.4% sobre los ingresos del departamento) Sueldos y salarios (25.9% sobre los ingresos del departamento) Otros gastos (12.3% sobre los ingresos del departamento) (C)Utilidad bruta departamento otros servicios (31.4% sobre los ingresos del departamento) (U.B.O.) Utilidad bruta operacional (de A, B y C) -Gastos funcionales- Gastos departamento administración y gestión (12.2% sobre los ingresos del total) Gastos departamento promoción y publicidad (4.3% sobre ingresos del total) Gastos departamento energía, agua y combustible (3.1% sobre ingresos del total) Gastos departamento mantenimiento (7.1% sobre ingreso total) Suma de gastos funcionales Utilidad neta operacional (utilidad bruta de operación gastos funcionales ¸otros ingresos) 1.026.9 76.3 65.0 30.8 78.9 4.233.1 927.2 326.8 235.6 539.6 2.029.2 2.348.9 1.120.2 83.1 70.8 33.6 86.0 4.617.7 1.011.4 356.5 257.0 588.6 2.213.5 2.561.7 1.213.5 90.0 76.7 36.4 93.2 5.002.5 1.095.6 386.1 278.3 637.6 2.397.6 2.775.5 1.306.8 97.0 82.6 39.2 100.3 5.387.2 1.179.8 415.8 299.8 686.6 2.582.0 2.988.9 1.400.2 103.9 88.5 42.0 107.5 5.617.1 1.239.7 436.9 315.0 721.5 2.713.1 3.100.8 1.493.5 110.8 94.4 44.8 114.7 6.110.4 1.341.1 472.6 340.7 780.5 2.934.9 3.385.5 1.493.5 110.8 94.4 44.8 114.7 6.110.4 1.341.1 472.6 340.7 780.5 2.934.9 3.385.5 1.493.5 110.8 94.4 44.8 114.7 6.110.4 1.341.1 472.6 340.7 780.5 2.934.9 3.385.5
  • 118.
    118 Relacionado el cuadro4.14 con el mencionado en el párrafo anterior, estaremos en condiciones de alcanzar un primer esquema para la construcción de las cuentas productivas que ofrece el estudio financiero de un proyecto específico, así como su previsible generación de utilidades brutas, sea por departamento o conjuntas y el rendimiento operacional de la empresa como un todo. Ahora bien, los gastos operacionales de una empresa no se limitan a los que analíticamente se clasifican en departamentos y que han sido mencionados. Existen otros cuya presentación financiera es autónoma o no agrupada, siendo en su mayoría de carácter fijo. Se conoce co mo gastos fijos a todas las erogaciones cuyo monto no var ía durante el horizonte activo de la empresa a pesar de que la misma experimente variaciones en su nivel de producción o no están en función de él. En contrapartida, las erogaciones variables mantienen una relación proporcional a dicho nivel perteneciendo a esta categoría los costos de producción y algunos gastos parciales. Entre los gastos fijos por considerar se destacan: 1. las depreciaciones de activos fijos y amortizaciones de intangibles; 2. los gastos financieros; 3. los seguros; 4. las rentas y alquileres; 5. las franquicias. Completarían los gastos independientes o sin asignación departamental, los impuestos a la renta de las empresas (ISR), el reparto de utilidades a los trabajadores y las comisiones a las entidades operadoras. Los seis tipos de egresos señalados en el párrafo anterior podrán apreciarse en su articulación con el pronóstico de ingresos y con el de costos y gastos departamentales (cuadro 4.13); en el apartado 4.8.6, cuando revisemos la conformación de un estado de resultados o pérdidas y ganancias , ya que al integrarse estructuran de hecho ese tipo de estados financieros a los cuales se les denomina pro forma, en tanto se elaboran a base de proyecciones y no como resultado de cuentas reales. No obstante, abri remos algunas consideraciones sobre estos gastos aut ónomos, con la única intención de poder manejarlos con mayor fluidez en el próximo apartado, cuando comentemos l a utilidad de ciertos indicadores financieros que los emplean. Depreciación de activos y amortización de intangibles Contable y legalmente se encuentra aceptado que las empresas consideren a manera de gasto, una partida para la reposición periódica de activos y la recuperación de erogaciones previas efectuadas en intangibles. No obstante, en el más estricto sentido financiero y económico este renglón constituye un flujo de efectivo que en realidad se incorpora a las utilidades netas de la empresa y asimismo de sus beneficios finales al cabo de cada período operativo. De manera que si bien los montos consignados para cubrir la depreciación de
  • 119.
    119 activos y amortizarintangibles aparecen como un egreso independiente en la estructura general de estos costos y gastos dentro de un estado de resultados, con posterioridad lo contemplaremos como fuente de efectivo en los análisis de rentabilidad financiera. Cuadro 4.14 ESTIMACIÓN SIMPLIFICADA DE LOS MONTOS ANUALES POR CONCEPT O DE DEPRECIACIÓN DE ACTIVOS Y AMORTIZACIÓN DE INTANGIBLES Hotel de 200 habitaciones (Miles de dólares US) Concepto Inversión inicial 1 Tasa legal Monto anual por depreciación y amortización Terreno 2 Construcciones Equipo 3 y 4 Mobiliario y decoración 4 Subtotal Depreciación Gastos Amortizables 5 Subtotal Amortización TOTAL 1.806 5.511 2.400 1.650 44 -- 3% 20% 10% 10% -- 165.3 480.0 165.0 810.3 4.4 4.4 814.7 Los montos respectivos a considerar en cada período dependen de tres variables: 1. los precios base para efectuar los cálculos correspondientes de los activos sujetos a depreciación y el monto de los intangibles aceptables de amortizar; 2. las tasas legales aplicables según los distintos activos y 3. los apoyos fiscales en materia de depreciación. 1 Tratando de mantener el ejemplo desarrollado a lo largo del estudio financiero se han tomado las cifras del cuadro 4.7 2 Como se sabe, el terreno no está sujeto a régimen legal de depreciación e incluso en algunos sistemas fiscales está afectado por cargas impositivas a su revaluación. 3 y 4 En un caso real, deben desglosarse cuando así se requiera, los montos asignados a estas partidas, según lo establezcan, las diferentes tasas legales de depreciación para cada tipo de equipo o mobiliario. 5 Los gastos preoperatorios susceptibles de amortizar se calculan en un 80% sobre el total consignado en este renglón dentro del cuadro 4.7.
  • 120.
    120 Como ejemplo, cabríasuponer ciertos rubros y tasas para mostrar en forma simplificada la estimación de las cifras correspondientes a este concepto en un caso hipotético, como el desarrollado hasta el momento de manera que nos sirva para construir más adelante un estado financiero pro forma. Gastos financieros Este tipo de egresos tiene dos etapas. La de preoperación, que fue desarrollada en el punto 4.8.1.10, y la operativa que se describe en la presente sección dentro de la estructura global de costos y gastos. Los gastos financieros se originarán en el compromiso que la entidad promotora del proyecto establecerá con organismos de crédito, para que éstos aporten una parte de la inversión inicial, según lo establezca la propia estructura del capital predeterminada en cada caso. Ahora bien, al obtener un crédito la empresa tendrá que devolver al prestamista el monto del mismo a lo largo de un período preestablecido más una suma adicional que representa, de hecho, el precio del capital prestado. Ese precio se traduce en un porcentaje (tasa de interés) respecto al monto adquirido en préstamo, más el pago de las comi siones que rijan en su momento. Pues bien, en el renglón de gastos financieros sólo se registran los egresos en que la empresa incurrirá para pagar dichos intereses y comisiones, consignándose la devolución del principal por separado. Debido a que tanto los pronósticos de ingresos, como los de costos y gastos corrientes, se elaboran anualmente dichos gastos financieros deberán consignarse también en esa forma, no obstante que los intereses en cuestión se liquiden mensual o trimestralmente. Este renglón es de trascendental importancia en todo proyecto, ya que representa una de las principales erogaciones de las empresas que se inician y con frecuencia decide la factibilidad, rentabilidad y liquidez de una nueva inversión. En esencia, el volumen de los gastos financieros depende de tres aspectos: 1. el monto del crédito a contratar; 2. la tasa de interés y las comisiones por pagar (precio del capital) y; 3. el régimen de amortización del principal obtenido. Normalmente, el período de gracia o lapso en el cual el prestamista no exige pagos al prestatario, es otorgado por aquél sólo en lo que se refiere a la devolución de su monto prestado y no sobre intereses, dado que estos últimos se calculan siempre sobre el capital no amortizado. Por lo tanto, no se considera como definitivo dicho período de gracia para establecer los gastos financieros. En todo proyecto deben manejarse distintas alternativas financieras hasta encontrar aquélla que minimice este tipo de gastos dentro de un riesgo aceptable. Para ello será necesario contemplar diferentes estructuras de capital y diversas fuentes financieras, tanto nacionales como extranjeras, ya que suelen ofrecer tasas de
  • 121.
    121 interés y regímenesde amortización disímiles. A su vez, pueden encontrarse distintos encadenamientos para el pago de los gastos financieros cuando se acumulan directamente a las amortizaciones del principal, estableciendo en conjunto el llamado servicio de la deuda . Cuando este servicio se cumple de manera uniforme, o sea, a base de erogaciones iguales durante todo el horizonte de amortización, se suele ir de menos a más en la devolución del principal con lo cual el pago de intereses resulta excesivamente elevado. En cambio, en la amortización lineal o por pagos equivalentes del principal, se bonifican los intereses sobre saldos insolutos. De esa manera se logra disminuir con mayor rapidez los gastos financieros. Un ejemplo sencillo sobre esta segunda opción, que a su vez nos permite observar en forma rápida y esquemática el cálculo de tales gastos y lo respectivo para la amortización del principal, aparece en el cuadro 4.15. Para ello empleamos la estructura de capital descrita en el cuadro 4.7, suponiendo que finalmente el crédito total se otorga en las mismas condiciones. De no hacerlo tendríamos que elaborar distintos cuadros, según cada tipo de crédito. Se asumen también los siguientes parámetros en la contratación del crédito: 1. tasa de interés, 12% anual; 2. moneda en dólares americanos; 3. período de amortización: 7 años; 4. período de gracia en amortización 3 años; 5. comisiones y gastos varios incluidos en la tasa de interés y 6. Gastos financieros preoperativos calculados por separado. El resto de las condiciones habituales se cumplirán satisfactoriamente y de acuerdo a las determinaciones habituales de la fuente financiera. Los gastos financieros exigen su estimación directa, ya que aun cuando existen porcentajes históricos al respecto, no son generalizables. Además, el peso de los intereses en el cuadro de erogaciones es tan fuerte que debe analizársele por separado y considerando las particularidades de cada caso. Seguros La operación normal de una empresa le exige actualmente una gran variedad de seguros, los cuales comprenden distintas coberturas. Podría hablarse de los generales, que cubren aspectos como el incendio, el robo o la destrucción parcial y total de activos básicos y de específicos cuya protección se orienta a eventualidades propias de la actividad como el seguro contra reclamaciones legales por enfermedad surgidas de clientes en las áreas de alimentos y bebidas. La estimación de los gastos totales en este renglón es relativamente laboriosa ya que requiere elaborar un análisis particular sobre el caso, tomando en cuenta la relación de activos, los niveles de cuotas en el mercado y las necesidades de la empresa en relación al tipo de servicios que ofrece.
  • 122.
    122 Por lo tanto,es usual manejar el procedimiento de coeficientes para el renglón de seguros, obteniéndolos de unidades similares que se encuentran en funcionamiento o por lo menos de los promedios que rigen en la localidad del proyecto. En ese sentido, en el cuadro 4.16 se presentan algunas medias nacionales (México), de 1979, para dichos gastos, en función de los ingresos totales. Cuadro 4.15 ESTIMACIÓN DE LOS GASTOS FINANCIEROS Y PAGO DEL PRINCIPAL (PROYECTO HOTELERO) Años Operativos Monto del principal por amortizar Gastos financieros Amortizaciones1 Servicio de la deuda (miles de dólares US) 1 2 3 4 5 6 7 5.609 4.807.7 4.006.4 3.205.1 2.403.8 1.602.5 801.2 673.08 576.92 480.77 384.61 288.45 192.30 96.14 801.3 801.3 801.3 801.3 801.3 801.3 801.3 1.474.38 1.378.22 1.282.07 1.185.91 1.089.75 993.60 897.34 1 El período de gracia en amortizaciones se habría consumido durante la construcción de la obra Rentas y alquileres Con frecuencia no es posible o rentable que una empresa adquiera en propiedad todos los inmuebles necesarios para desarrollar sus actividades comerciales. Asimismo, para ciertos proyectos deben pr everse requerimientos futuros en servicios como estacionamiento, cuya satisfacción exija renta de terrenos o construcciones adyacentes. Algunas de las líneas que suelen comprometer recursos en este renglón son las relacionadas como estacionamiento, cuyas actividades exigen ante todo oficinas de reservas, representación, promoción y relaciones públicas. En términos generales se habla de rentas cuando se adquier e en uso y disfrute, pero no es propiedad, bienes muebles durante un corto o mediano plazo, mientras se le denominan alquileres a ese tipo de adquisiciones para bienes inmuebles generalmente a largo plazo. Las cifras asignables a estos gastos en un proyecto pueden calcularse en forma directa con cierta sencillez, aun cuando existen también parámetros al respecto que pueden ser utilizados en sí mismos o mediante las adecuaciones del caso (cuadro 4.16). Franquicias Dado el nivel moderado de la tecnología que exigen habitualmente las empresas
  • 123.
    123 turísticas, los gastosen franquicias se presentan por lo regular en el uso de nombres reconocidos internacionalmente tanto en unidades hoteleras como en sitios de campismo y similares. El pago por usar el nombre que ostentan los establecimientos afiliados a una cadena, no implica necesariamente que la empresa propietaria del mismo habrá de operar la nueva inversión. En caso de hacerlo, además, o en sustitución de la franquicia por la denominación, se tendrán gastos variables específicos destinados a cubrir los servicios de la operadora. Por lo tanto, las franquicias sólo se refieren a un gasto fijo en la mayoría de los casos, consignable a la utilización de marcas o nombres de firmas. Impuesto sobre la renta de las empresas (ISR) Esta clase de gravamen recae sobre las utilidades finales de la empresa, una vez deducidos de sus ingresos todos los costos y gastos antes mencionados más los que correspondan a las entidades operadoras, cuando los mismos se estipulen antes de impuestos. Se fijan a base de índices o porcentajes establecidos legalmente en relación al volumen de dichas utilidades, llegando en la mayoría de los países a proporciones importantes como el generalizado 42% en el caso de México. Reparto de utilidades a los trabajadores Aun cuando depende de cada legislación, se consigna este tipo de erogación porque opera en un gran número de naciones, como una conquista social de trascendencia. La erogación respectiva para la empresa se fija como en el caso del ISR sobre el volumen generado anualmente en materia de utilidades y corresponde en México al 8% de las mismas. Comisiones a las entidades operadoras El surgimiento de egresos por este concepto muestra la división, cada vez más clara, en nuestros días, entre inversionistas y operador dentro de las empresas turísticas. En efecto, las peculiaridades operativas y administrativas que requieren estas últimas ha permitido que firmas especializadas se encarguen de hoteles, restaurantes, transportadoras y similares sin que comprometan cantidades considerables en su habilitación. El pago de comisiones a las empresas operadoras tendrá que contemplarse en los análisis financieros de un proyecto, cuando su empl eo sea indispensable o ventajoso para los inversionistas dada la naturaleza de la entidad promotora, la situación del mercado o la problemática del sitio seleccionado. Es común que dichas comisiones se expresen en forma de porcentajes, aplicándose
  • 124.
    124 tanto a lasventas totales como a las utilidades antes de impuestos sobre la renta. No obstante, las especificaciones y los coeficientes concretos difieren según la situación y la empresa operadora por contratar. Cuadro 4.16 PORCENTAJES PROMEDIO DE ALGUNOS GASTOS INDIVIDUALES EN LA HOTELERÍA MEXICANA EN RELACIÓN CON INGRESOS TOTALES Gasto Acapulco % Cancún % México D.F % Nacional % Intereses Depreciación Impuestos Seguros Retas y franquicias 4.1 3.6 1.0 0.8 1.1 8.1 3.5 0.7 1.5 6.7 1.3 3.5 0.9 0.8 7.6 3.5 2.8 0.6 0.7 7.6 FUENTE: Maldonado y asociados. La industria hotelera en México, 1980. Como un esfuerzo ilustrativo, en el cuadro 4.16 aparecen los porcentajes con respecto a ingresos totales obtenidos por la firma Maldonado y asoci ados , en 1979, en la hotelería comercial, relativos a los gastos individuales aquí mencionados. Se anotan los financieros, las depreciaciones, los impuestos, los seguros, y finalmente las rentas y franquicias. Para que se puedan observar las diferencias, han sido consignados los que corresponden tanto al promedio nacional como los de ciudades seleccionadas en México. La integración de los gastos comentados con los agrupados por departamentos y los pronósticos de ingresos pueden apreciarse en el siguiente apartado, al interior de un estado de resultados (véase cuadro 4.17). Análisis sobre la posición financiera esperada (PFE) del proyecto Con los elementos financieros descritos hasta el momento (presupuesto y calendario de inversiones, estructura del capital y pronósticos de ingresos, cosos y gastos) estaríamos en condiciones de analizar a lo largo del tiempo, la posición financiera que deberá alcanzar la empresa, así como sus rendimientos operacionales, su capacidad de endeudami ento y sus expectativas de r ecuperación. Sin embargo, para poder emitir juicios correctos en ese sentido y avalarlos con indicadores específicos, será necesario trabajar con instrumentos contables y financieros que al elaborar la información existente nos ofrezcan resultados concretos sobre áreas tan importantes como los niveles de utilidades o pérdidas por alcanzar, la liquidez esperada, los cambios en la estructura financiera, los grados máximos y mínimos exigibles de producción, los volúmenes de beneficios netos, la eficiencia de explotación, las posibilidades futuras de endeudamiento y otras que
  • 125.
    125 tienen similar trascendencia. Enmateria de proyectos se trabaja, por lo regular, con siete instrumentos básicos que son: 1. el estado de resultados pro forma; 2. el balance pro forma; 3. el estado de cambio en situación financiera; 4. el estado de origen y aplicación de fondos pro forma; 5. el flujo de caja pro forma; 6. el sistema de punto de equilibrio y 7. las razones o ratios financieros. Debido a que esta obr a no tiene entre sus finalidades introducir al lector en el cuerpo teórico de la contabilidad, de hecho le estaremos exigiendo una cierta familiaridad con ellos y por lo tanto el haber desarrollado previamente los principios de esa materia e incluso los fundamentos que rigen el estudio de las finanzas. 4.8.6.1 Estado de resultados proforma Para la formulación de los proyectos, este instrumento contable es quizás el más apreciado, efectivo e importante, no obstante que cada uno tiene su función en el conjunto. Como explicamos con anterioridad, se le denomina pro forma porque se construye con datos estimados y para todo el horizonte temporal que establece la vida útil del proyecto (10 años). Esta explicación es aplicable a los otros estados financieros. Al estado de resultados se le conoce también con el nombre de pérdidas y ganancias y tiene como objetivos centrales en el estudio de preinversión mostrar: 1. los volúmenes y ritmos de ventas esperados; 2. la estructura de costos y gastos consolidada, así como su evolución; 3. los montos y coeficientes de utilidades por alcanzar tanto en el ámbito operacional como en sus resultados finales; 4. los niveles de pérdidas y los períodos en que se presentan. La utilidad del mismo depende, en gran medida, de la claridad y amplitud con que se presente y sólo podrá manejársele y entenderlo cuando se estudia o practica en forma detallada. Como un ejemplo del mismo hemos elaborado el cuadro 4.17, dado que un caso concreto facili tará su comprensión. 4.8.6.2 Balance pro forma La meticulosidad con que pueden regirse todas las cuentas históricas de una empresa en el interior de un balance, es una de las ventajas técnicas que ha hecho tan famoso este instrumento de organización contable en el medio de la administración y las finanzas. No obstante, esa misma característica limita su utilidad en la elaboración de proyectos, debido a la naturaleza prospectiva de éstos. La misma obliga a manejar los análisis financieros con un cierto grado de generalidad, de manera que proyectar el comportamiento futuro de los renglones contenidos en un balance, no pasaría de
  • 126.
    126 convertirse en unejercicio aritmético, bastante laborioso por cierto, sí se pretende alcanzar una alta desagregación durante el proceso.
  • 127.
    127 Cuadro 4.17 ESTADO DERESULTADOS PROFORMA (SIMPLIFICADO) (Miles de dólares US precios constantes) Conceptos 1o. 2o. 3o. 4o. 5o. 6o. 7o. 8o. 9. 10o. Ingresos totales 1 Costos y gastos operacionales 2 Utilidad bruta operacional * Gastos funcionales 2 Utilidad neta operacional Gastos financieros 3 Depreciación 4 (2.8% de ingresos totales) Seguros4 (0.7% de ingresos totales) Rentas, alquiler y franquicias 4 (7.6% de ingresos totales) Total gastos no departamen- tales Utilidad antes de impuesto sobre la renta y reparto de utilidades a los trabajadores 5 ISR (42% de utilidad) y reparto de utilidades a los traba- jadores (8%) Utilidad ( + ) o pérdida 8 - ) final 1 Véase cuadro 4.10 2 Véase cuadro 4.13 3 Véase cuadro 4.11 4 Véase cuadro 4.16 5 Impuesto sobre la renta y pago de utilidades a los trabajadores * La utilidad bruta operacional no se encuentra por la diferencia directa entre los ingresos totales y los costos y gastos operacionales, ya que aquella no considera los llamados otros ingresos porque no provienen de las actividades normales de la empresa.
  • 128.
    128 A su vez,la posibilidad de expresar la estructura financiera de la empresa a lo largo del tiempo y en forma global, es un incentivo analítico lo suficientemente productivo como para no desechar en su totalidad el uso del balance pro forma. El problema radica por lo tanto en el grado de concreción con que se elabore. Como se sabe, las cuentas básicas del mismo se agrupan en tres grandes apartados que son: el activo, donde quedan registrados todos los recursos de que dispone la empresa en un momento determinado; el pasivo, que consigna el total de deudas contraídas y por pagar en la fecha prevista y finalmente, el capital, cuya suma establece los recursos propios o de la empresa. En su interior, el activo puede subdividirse en circulante (realizable a corto plazo); fijo (de realización mediata con uso indirecto) y diferido. El pasivo, según sea exigible, a corto plazo (hasta un año), a largo plazo (más de un año), o se encuentre diferido. Por su parte, el capital se presenta en múltiples renglones que van desde el capital social, las reservas legales, las utilidades acumuladas y otros. Es obvio que un balance proforma exige una presentación vertical, a fin de poder proyectar sus cuentas a futuro, pero se acostumbra desarrollarlo con intermitencias, de manera que llega a expresarse año con año durante los primeros tres del proyecto, pasando con posteri oridad al quinto y al décimo. Con frecuencia se destaca entre el activo circulante las cuentas de efectivo, las cuentas por cobrar y el inventario entre otros. Del activo fijo los rubros de inmuebles, equipo y mobiliario, así como entre el pasivo de corto plazo las deudas con proveedores y créditos cortos, siendo las cifras de los créditos hipotecarios las más importantes en el pasivo de largo plazo. Con la única intención de ofrecer una idea esquemática sobre un balance pro forma, elaborado para el caso de un proyecto hotelero (500 habitaciones), se presenta el cuadro 4.18, donde puede apreciarse el nivel de acumulación asignado a ls cuentas respectivas. Por simplicidad, se incluyen solamente los tres primeros años de operación. 4.8.6.3 Estado de cambio en situación financiera En los análisis de preinversión este instrumento tiene un empleo limitado pero valioso. Se construye por la comparación cuantitativa entre balances de años distintos para apreciar la dirección y el monto de los cambios que se prevén en la estructura financiera de la empresa. En efecto, cuando se pr oyectan alteraciones de cierta importancia en rubros básicos, como el pasivo de corto plazo, los inventarios, o los efectivos en caja y bancos, la elaboración de un estado que muestre con claridad las modificaciones esperadas en dicha situación, ayuda a estudiarlas y, en su caso, tr ansformarlas o justificarlas. Suele emplearse sólo en los casos que exhiben y requieren cambios muy
  • 129.
    129 destacados o cuandoel análisis financiero pretende un tratamiento de cierta profundidad en períodos clave. A manera de ejemplo, podríamos aplicar las cifras del cuadro 4.18 en la elaboración de un cuadro si mplificado de este tipo (4.19.). Cuadro 4.18 BALANCE GENERAL PRO FORMA (Cifras en miles de dólares US a precios constantes) Activo circulante Caja y bancos Cuentas por cobrar (neto) Inventarios Otros activos Subtotal Activo fijo Terrenos Edificios y construcciones Maquinaria, mobiliario y equipo Imprevistos Menos: depreciación acumulada Subtotal Gastos de organización Total Pasivo circulante Cuentas a pagar comercio Pasivo fijo Préstamos bancarios Subtotal Capital Capital acciones Utilidades Subtotal Total Primer año 286 240 98 87 711 1.000 8.325 1.790 1.335 1.019 11.431 1.786 13.928 58 11.929 11.987 1.000 441 1.941 13.928 Segundo año 1.228 252 103 87 1670 1.000 8.325 1.790 1.335 2.038 10.412 1.340 13.422 61 9.941 10.002 1.000 2.420 3.420 13.422 Tercer año 2.638 264 108 87 3.097 1.000 8.325 1.790 1.335 3.057 9.393 893 13.383 64 7.953 8.017 1.000 4.366 5.366 13.383 En el cuadro se observa con nitidez un incremento decisivo en el renglón de caja y bancos, quizás excesivamente elevado, mientras los otros activos prácticamente se mantienen constantes. Ello invita al análisis para manejar alternativas que mejoren eventualmente la situación financiera del proyecto. Como se ve, son practicables una serie de inspecciones a partir de este estado que enriquecen el estudio en su conjunto.
  • 130.
    130 4.8.6.4 Estado deorigen y aplicación de fondos pro forma Este estado identifica y exhibe las fuentes de efectivo a las cuales la empresa recurrirá y los destinos o usos que le dará al mismo, durante ciertos períodos críticos, en el horizonte temporal considerado por el estudio. Cuadro 4.19 ESTADO SIMPLIFICADO DE CAMBIO EN LA SITUACIÓN FINANCIERA PARA LOS PERÍODOS DEL 2o AL 3o AÑO (Miles de dólares US a precios constantes) Conceptos Incrementos (+) o decrementos ( - ) esperados Variación porcentual respecto a la cantidad de base Activo circulante Caja y bancos Cuentas por cobrar (neto) Inventarios Otros activos circulantes Subtotal Activo fijo Terrenos Edificios y construcciones Maquinaria, mobiliario y equipo Imprevistos Menos: depreciación acumul. Subtotal Gastos de organización Total Pasivo circulante Cuentas a pagar comercio Pasivo fijo Préstamos bancarios Subtotal Capital Total + 1.410 + 12 + 5 --- + 1.427 -- -- -- -- 1.019 1.019 - 447 - 39 + 3 - 1.988 - 1.985 + 1.946 - 39 115% 4% 5% -- 85% 50% 50% - 33% - 0.3% 5% - 20% - 19.8% + 57% - 0.3% Sus principales objetivos son: 1. demostrar que la estructura financiera proyectada y la generación de utilidades prevista, son adecuadas como para solventar todos los compromisos monetarios esperados y 2. estimar los niveles de liquidez que logrará el proyecto en distintos períodos, así como la suficiencia de los mismos. En el caso de este instrumento, lo pertinente es elaborado tanto para la fase preoperatorio como para la de funcionamiento, ya que en el primer caso los inconvenientes de liquidez pueden llegar a retrasar las obras, alterando los supuesto de la inversión.
  • 131.
    131 Es habitual quelos períodos registrados en la fase constructiva sean como máximo semestrales. En cambio, para la operativa lo común es ampliarlos a un año con un análisis regular o intermitente a lo largo de los diez que usualmente comprenden la vida útil del proyecto. Las cifras para construir un estado de origen y aplicación de fondos se obtienen de los correspondientes balances y estados de resultados ya que las fuentes de efectivo son, en términos generales, cuatro: utilidades del ejercicio anterior, incremento del capital, decremento de activos y/o incremento de pasivos. A su vez, las aplicaciones o usos de tales fondos se clasifican en: incremento de activos, decremento de pasivos, incremento o decremento de capital y amortización de pérdidas en el ejercicio. 4.8.6.5 Flujo de caja ( cash flow ) proforma En los estudios de preinversión, éste es el instrumento financiero que, conjuntamente con el estado de resultados, ofrece la principal información de base para calcular el flujo total de beneficios destinados al inversionista promotor. Se construye a partir de los datos registrados en el cuadro de pérdidas y ganancias , reajustando la ordenación de los valores hasta alcanzar la suma de fondos que gener ará la inversión de cada periodo anual de operaciones. A pesar de su nombre, no debe pensarse que el objetivo central de esta estado es mostrar la liquidez esperada del proyecto, ya que para ello contamos con el cuadro de origen y aplicación de fondos, ya que para ello contamos con el cuadro de origen y aplicación de fondos, cuya estructura está di señada precisamente para cumplir con tal finalidad. La gran utilidad del flujo de cada proforma en materia de proyectos, radica en la claridad con la cual nos presenta los beneficios finales que una inversión ha de producir para la sociedad propietaria de la empresa a lo largo de un tiempo predeterminado (10 años). En términos generales, contiene los siguientes renglones: Utilidades finales del ejercicio + Depreciación de activos y amortización de intangibles + Devolución de impuestos - Amortización o devolución de los principales obtenidos en forma de préstamo. Flujo de caja Para cada año, la utilidad final aparecerá en el estado de resultados una vez deducidos los impuestos a la renta de las empresas y del reparto de utilidades a los
  • 132.
    132 trabajadores. Al monto deesa utilidad (o pérdida en su caso), se le incrementa la cifra asignada legalmente por concepto de depreciación y amortización de intangibles, ya que en realidad esta última no significa un egreso auténtico para la empresa como contablemente se supone. En efecto, aun cuando los activos van perdiendo gradualmente parte de su valor inicial a través del tiempo y por su participación en los procesos productivos, al comparar la inversión inicial con los beneficios que ella generará, sería incorrecto excluir a los comprendidos en el rubro de depreciación porque no es económicamente válido pretender una recuperación competitiva y mantener al mismo tiempo los valores originales de los medios productivos adquiridos. Asimismo, se contempla como un renglón adicional de beneficios la devolución de impuestos , por cuanto que en algunos países con disposiciones fiscales promotoras, la hacienda pública condona a la empresa inversionista el monto total o un porcentaje dado de los impuestos pagados durante la construcción de las obras, o de aquellos gravámenes indirectos que dicha empresa ha retenido de sus clientes (IVA), durante su operación. En la práctica, ello representa una fuente adicional de recursos para las empresas la cual, durante los primeros años de funcionamiento, puede significar una ayuda definitiva. Por último, a la suma de los tres aspectos citados, se le resta el monto de las amortizaciones destinadas al pago de los créditos contraídos, para llegar al flujo neto de caja que expresa el beneficio anual enajenable por el capital de riesgo. Un ejemplo en ese sentido puede observarse en el cuadro 4.20, construido sobre los datos ofrecidos por el estado de resultados del cuadro 4.17. En dicho ejemplo se observará que, debido al peso de la amortización o devolución anual del crédito, el flujo de caja es negativo durante los dos primeros años de operación, recuperándose paulatinamente a partir del tercero. Detectado el problema, una posible solución sería el negociar la amortización total de esos pasivos a un plazo mayor, quizás a 15 años. 4.8.6.6 Sistema del punto de equilibrio Se conoce como punto de equilibrio al nivel de actividad y ventas en el cual los ingresos de una empresa se igualan a sus costos y gastos totales. Será por lo tanto aquél donde no se registren ni pérdidas ni ganancias. En un estudio de preinversión permite fundamentalmente: 1. establecer la línea mínima de ventas por obtener (en moneda o porcentaje de ocupación), según la estructura financiera prevista; 2. relacionar los grados mínimos de venta señalados en el punto de equilibrio con el comportamiento y expectativas del mercado; 3.
  • 133.
    133 observar la formaciónglobal de costos y gastos, así como su incidencia en las cifras de ingresos exigidas por el punto de equilibrio; 4. efectuar comparaciones iniciales con empresas competidoras; 5. desarrollar ejercicios preliminares sobre la sensibilidad financiera del proyecto, según el comportamiento de su punto de equilibrio ante cambios en el volumen de sus gastos fijos, sus costos variables o sus precios y 6. perfilar las áreas de actividad donde se pr esentarán tanto pérdidas como ganancias para el proyecto. Cuadro 4.20 FLUJO DE CAJA PROFORMA Años CONCEPTOS 1o. 2o. 3o. 4o. 5o. 6o. 7o. 8o. 9o. 10o. Utilidad final Depreciación (-) Amortización del crédito Flujo de caja 416.2 212.8 -801.3 -172.3 532.4 232.1 -801.3 -36.8 650.1 251.4 -801.3 100.2 765.5 270.7 -801.3 234.9 842.3 284.5 -801.3 325.5 986.6 307.8 -801.3 493.1 1034.7 307.8 -801.2 541.3 1082.7 307.8 1390.5 1082.7 307.8 1390.5 1082.7 307.8 1390.5 Este instrumento exige la desagregación concreta entre costos variables y gastos fijos a fin de poder obtenerlo. Existen además tres procedimientos para su resolución, y elegir cada uno depende del caso concr eto que deseemos tratar. En efecto, cuando las unidades físicas o de servicio que se lanzarán a la venta no sean homogéneas y por lo tanto su precio unitario sea disímil, el punto de equilibrio no podrá calcularse en nivel de actividad (o número de unidades necesarias a vender para alcanzarlo). Ante esa situación, el punto se estima en unidades monetarias o ventas, según la fórmula siguiente: cv GF V - = 1 Donde: V repr esenta el nivel de ventas para alcanzar el punto de equilibrio GF el volumen de gastos fijos y cv la relación de los costos variables con las ventas Pensemos en un caso sencillo, como sería el de una agencia de viajes cuyos gastos fijos anuales sumasen $ 7850.000 y la relación guardada entre sus costos variables y las ventas sean apenas de un 12%. ¿Cuál sería el volumen anual de ventas para llegar a su punto de equilibrio?
  • 134.
    134 Sustituyendo en laecuaci ón, la respuesta se obtiene inmediatamente: 454.8920 88.0 000.7850 12.01 000.7850 = = - = V V V De manera que en este ejemplo, la empresa en cuestión tendrá como indicador de referencia un monto cercano a los $ 8921.000, que definirán el nivel de ventas anuales necesario para encontrarse en punto de equilibrio. En principio, cabría suponer que las ventas superiores a ese margen representan ganancias. Sin embargo, debido a que los costos variables mantienen una proporción con las propias ventas, todo incremento de éstas implica un crecimiento de aquéllos. En consecuencia, para determinar con mayor precisión el área de ganancias, habrá que eliminar tales costos. Asumiendo, en nuestro ejemplo, que el pronóstico de ventas para el año analizado se hubiese fijado en $ 12 500.000, el margen de utilidades estaría dado por: $ 12 500.000 (0.12 x 12 500.000 + 8 921.000). El resultado equivale a $ 2 079.000. Como se mencionó, el punto de equilibrio es un instrumento básicamente comparativo, ya que los renglones de utilidades se fijan con mayor ajuste a partir de los estados de resultado proforma. Ahora bien, cuando las unidades de venta son sufi cientemente uniformes, se emplea una ecuación distinta, que se expresa de la siguiente manera: )( pcvp GF X - = Donde: X número de unidades necesarias a vender para alcanzar el punto de equilibrio GF suma anual de gastos fijos p precio unitario de venta cv relación de costos variables a precio unitario A través de un ejemplo, el empleo de este método ha de clarificarse. Pensemos que deseamos calcular el punto de equilibrio para la división cuartos en un proyecto hotelero cuya capacidad alcanza las 200 habitaciones. Por otra parte, sus tarifas pueden unificarse en un promedio de US $ 85 dólares y la suma anual de los gastos fijos departamentales es de US $ 3125.000. Por último, la relación de costos
  • 135.
    135 variables (o eneste caso gastos) alcanza apenas el 5%. Aplicando la ecuación del caso, tendríamos: ( )( ) ][ 8505.085 3125000 )( - =XPEq Sin embargo, dado que el dato de tarifas (p), está dado por noche/habitación y los gastos fijos en términos anuales, será necesario homogenizarlos temporalmente, de donde: 3125000 / 360 = 8681 107 81 8681 485 8681 = - De manera que el punto de equilibrio en la división cuartos de nuestro proyecto se alcanzaría cuando se ocuparan 107 habitaciones, que en porcentaje cabe aceptarlo directamente como anual . Si la plaza donde se ubicará el proyecto muestra coeficientes de ocupación modestos (55 ó 60%) o las empresas competidoras parecen trabajar con puntos de equilibrio más bajos que el encontrado, el resultado obtenido mediante este instrumento nos destacará la pertinencia de verificar la estructura de costos y gastos pronosticada, las tarifas promedio establecidas o incluso el tamaño elegido para la división cuartos. Figura 4.1 DETERMINACIÓN GRÁFICA DEL PUNTO DE EQUILIBRIO
  • 136.
    136 Finalmente, tenemos lagráfica, por medio de la cual podemos identificar tanto el nivel de actividad como de ventas que señalan el punto de equilibrio según los datos del caso anterior. A este respecto puede observarse la figura 4.1. 4.8.6.7 Razones o ratios financieros Algunos indicadores de uso habitual en el campo de la administración empresarial, suelen emplearse para analizar y valorar las características asignadas a la estructura financiera del proyecto. Existe una gran variedad de ellos, ya que simplemente son coeficientes que indican la relación existente entre dos variables seleccionadas y obtenidas de los propios estados financieros. No obstante, mencionaremos sólo las más utilizadas en los estudios de factibilidad, dado el tipo de información que ofrecen. Ø Razones de liquidez. A pesar de contar con un estado cuya función esencial es mostrar los niveles de liquidez esperados para el proyecto, sus resultados no pueden ser fácilmente comparables con otros casos o con los promedios vigentes en el sector económico que se trate. En cambio, ante la generalización lograda por los ratios (en muchos países se publican en los diarios especializados, por ramas económicas), dichas comparaciones permiten análisis sencillos y fructíferos en esa área. Por lo regular, se emplean dos clases de razones para identificar grados de liquidez, contemplando un momento determinado de la empresa. En ambas, su información proviene de los balances proforma. La primera se denomina razón de circulante y se expresa: Activo circulante Razón del circulante = ------------------------- Pasivo circulante Como es obvio, muestra la proporción existente entre los recursos disponibles y realizables por la empresa a corto plazo, respecto a los pasivos que eventualmente puedan ser exigidos a la misma, también en el corto plazo. Un coeficiente unitario (1), significaría una relación aparentemente equilibrada. Sin embargo, deben considerarse siempre las peculiaridades del ramo, así como el lugar y la categoría en los cuales se desenvolverá la inversión, ya que no puede calificarse en forma definitiva cada indicador en particular. Por ejemplo, mantener elevados volúmenes de r ecursos en términos de activo circulante cuando el ramo donde se ubicará la inversión no lo ha exigido, ni existen supuestos sólidos de que lo hará, sería limitar su aplicación en destinos más rentables, contemplados en los renglones del activo fijo.
  • 137.
    137 Por otra parte,tales coeficientes son instrumentos de aproximación a posibles problemas financieros cuyo grado de detección es relativo y como tal deben manejarse. La segunda razón de liquidez se conoce como ácida porque es más estricta, ya que del activo circulante sólo acepta como recursos realizables en el corto plazo a los renglones de caja y bancos y cuentas por cobrar. Su expresión es: Caja, bancos y cuentas por cobrar (efectivo) Razón ácida = ------------------------------------------------------------- Pasivo circulante Ø Razones de endeudamiento. Este indicador llamado también palanca financiera , relaciona el volumen total de pasivos que la empresa manejará en un momento determinado, con el capital global de la misma. Gracias al balance proforma, que es su fuente de información, puede estimarse para diferentes situaciones. Se trata también de un ratio utilizable en análisis comparativos. Suele empleársele en proyectos para reforzar conclusiones sobre los grados de endeudamiento pronosticados y para observar las alternativas de incrementar los créditos en el mediano o largo plazo. Se expresa como sigue: Pasivos totales Razón de endeudami ento = ------------------------ Capital total Ø Razones de eficiencia. A partir del estado de resultados proforma, pueden obtenerse ciertos indicadores sobre los niveles de eficiencia previstos para la empresa. Estos últimos contribuyen a evaluar, tanto el pronóstico de ingresos como la estructura de costos y gastos concebi da. Entre los principales ratios de eficiencia, cabría mencionar los siguientes: v Ingresos departamento habitaciones/ingresos totales v Ingresos departamento de alimento y bebidas/ingresos totales v Ingresos departamento otros servicios/ingresos totales v Costo de alimentos y bebidas/costos y gastos oper acionales v Sueldos y salarios departamento habitaciones/sueldos y sal ario totales v Sueldos y salarios departamento de alimentos y bebidas/sueldos y salarios totales v Sueldos y salarios totales/ingresos totales v Otros gastos habitaciones/costos y gastos operacionales v Otros gastos de alimentos y bebidas/costos y gastos operacionales
  • 138.
    138 v Gastos deadministración y gestión/ingresos totales v Gastos de promoción/ingresos totales v Gastos de ener gía, agua y combusti bles/ingresos totales v Gastos de manteni miento/ingresos totales v Utilidad bruta operacional/ingresos totales v Utilidad neta operacional/ingresos totales v Gastos financieros/ingresos totales v Depreciación/ingresos totales v Seguros y licencias/ingresos totales v Rentas y alquileres/ingresos totales v Franquicias/ingresos totales v Comisiones a operadora/ingresos totales v Utilidad final/ingresos totales Como todas las razones financieras, las de eficiencia sólo refuerzan los análisis específicos que se practican sobre cada estado proforma. Se emplean en deducciones comparativas, una vez que se dispone de estadísticas fehacientes surgidas de casos similares, siempre y cuando esos dat os estén actualizados. A través de las mismas, se suele observar la coherencia y lógica financiera del proyecto, brindándonos en muchos casos la oportunidad de detectar fallas evidentes en forma rápida y sencilla. 4.9 ESTUDIO COMPLEMENTARIO Por lo regular, los estudios de preinversión se limitan a integrar análisis de carácter técnico, financiero y de mercado. Existen, sin embargo, otros elementos tan importantes como aquellos cuya trascendencia llega a sobre determinar la viabilidad de ciertas inversiones, bajo coyunturas específicas. Nos referimos a la problemática legal, social, política, cultural y ecológica, que envuelven a cada proyecto o se generan ante la presencia del mismo. Cuando el análisis de factibilidad no alcanza con suficiencia tales aspectos, además de quedar incompleto puede volverse contraproducente y riesgoso, ya que omite renglones capaces de eliminar la realización de las obras. Para no ampliar demasiado estos lineamientos metodológicos, nos referimos muy superficialmente a las cuestiones citadas. En su presentación puede englobárseles en un solo apartado al cual denominamos estudio complementario o estudiarlas por separado. Todo dependerá de la trascendencia previsible de cada una en el proyecto particular que se esté configurando. Incluso, es habitual no profundizar dicho estudio cuando se trata de inversiones pequeñas y medianas, de giros ampliamente conocidos y localizadas en áreas con tradición turística, cuya receptividad a empresas del ramo ha sido probada. En cambio, cuando nos encontramos ante proyectos innovadores, en zonas turísticas
  • 139.
    139 relativamente inexploradas ocuyas obras comprometen elevados montos de recursos, es conveniente investigar estos elementos con adecuada precisión. 4.9.1 Problemática legal Tanto a los condicionamientos legales, como al resto de los contemplados en el estudio complementario se les clasifica con el título de problemática. Ello se debe al conjunto de variables y situaciones que deben estudiarse en cada caso, hasta alcanzar un juicio en torno a las mismas, según faciliten, obstaculicen o impidan la realización del proyecto. La de carácter legal, implica una investigación adecuada sobre todo el cuerpo de leyes, reglamentos, disposiciones y demás normas emitidas por las autoridades competentes, cuya letra y/o espíritu se relacione con la ejecución y operación de la empresa en estudio. Deberá conocerse también, antes de emitir conclusiones definitivas, si se han presentado conflictos con uso de argumentos legales, contrarios a la naturaleza del proyecto o situaciones de hecho , no obstante que por derecho estuviesen fuera de lugar. Asimismo, cuando las particularidades de la inversión lo requiera, habrá que desarrollar las propuestas legales pertinentes a fin de adecuar la legislación vigente a sus necesidades y que el proyecto contemple la explotación de técnicas, procesos o ideas sin los suficientes antecedentes. En países como México, donde los absurdos y las yuxtaposiciones en el régimen de tenencia de la tierra son crónicos y generalizados, esta problemática adquiere una relevancia inusitada al interior de cualquier proyecto. A través de su análisis se buscará identificar, no sólo los estrangulamientos, sino fundamentalmente las soluciones que la madeja legal ofrezca. 4.9.2 Problemática social Han sido ampliamente comentados los efectos sociales que suele provocar el fenómeno del turismo, aun cuando se les confunde frecuentemente con los de carácter cultural. A dichos efectos se debe el impacto que produce en cualquier agregado humano el contacto de sus integrantes con personas que provienen de otros lugares. Estas últimas presentan pautas de comportamiento distintas e imponen ciertas relaciones sociales que no siempre son benéficas para las poblaciones receptoras. En materia de inversiones, el análisis sobre la problemática social se concreta a una estimación general sobre los grados de rechazo o aceptabilidad que se esperan por parte de los residentes, respecto al proyecto, así como de aquellos involucrados directa o indirectamente por el mismo. Ello comprende tanto la fase constructiva como la operativa.
  • 140.
    140 No es difícilencontrar sitios cuyos atractivos turísticos son notables pero cuya población original muestra una evidente resistencia a la instalación de equipamiento turístico, en especial si se trata de instalaciones sofisticadas y de grandes proporciones. Muchos dirigentes o grupos dominantes de regiones aisladas saben que la aparición de empresas turísticas importantes altera la estructura económica del área, así como los niveles de precios tanto para los bienes de consumo como para la mano de obra. Además, esto posiblemente puede ser lo que más les preocupa, tienden a modificar las estructuras vigentes de poder. Tales alteraciones pueden ser previstas y manejadas por dichos grupos para promover las fuerzas sociales del lugar en contra de proyectos específicos. Ante esa eventualidad, la fundamental es detectar la situación y las posibilidades de contrarrestarla hasta el nivel que garantice la viabilidad de la inversión. En otros casos, la problemática social se encuentra en el contorno físico, psíquico y humano que encontrarían los trabajadores de la empresa tanto en su etapa de ejecución como de funcionamiento y las complicaciones que el mismo presentaría para asegurar una actividad laboral continua y normal. Por lo tanto, cuando el tipo y la envergadura del proyecto lo justifique, será imprescindible realizar investigaciones concretas sobre el posible comportamiento de la población local y los trabajadores que involucrará la inversión a fin de detectar, hasta donde sea posible, futuras manifestaciones sociales que impidan u obstaculicen la marcha de la empresa. 4.9.3 Problemática política Para evitar errores de interpretación, utilizaremos el término político en un sentido restringido. Se referirá a las tendencias centrales de las personas y grupos en el poder a nivel de un país o región de manera que sus decisiones concretas y habituales responden a ellas, generalmente. Según lo anterior, un proyecto específico tendrá mayores o menores grados de factibilidad política dependiendo de la relación que guarden sus particulares (localización, dimensiones, tipo, categoría, naturaleza, etc.) con las orientaciones básicas que rigen en las instancias del poder. La principal dificultad analítica, en este ámbito, radica en descubrir tales orientaciones cuando no son suficientemente explícitas o se encuentran matizadas por distintas presentaciones. Algunos casos clarifican tales planteos. Por ejemplo, aislando un momento los argumentos a favor y en contra de instalar casinos de juego en territorio mexicano, es un hecho la inviabilidad política y no económica ni social ni cultural ni técnica que
  • 141.
    141 todavía existe eneste país para manejar ese tipo de proyectos. Por otro lado, se sabe que de 1970 a 1976, aproximadamente, los grandes proyectos turísticos en zonas apartadas de México, cuya habilitación requería de enormes inversiones gubernamentales para infraestructura y equipamiento (como Cancún e Ixtapa) gozaron de una gran viabilidad política a nivel federal. En los últimos años, tales proyectos se enfrentan a una fuer te reducción de la misma. 4.9.4 Problemática cultural En este campo se requieren también ciertas precisiones conceptuales que ayuden a precisarlo. Se entiende por cultura, al conjunto de respuestas psicosociales y físicas que todo conglomerado urbano produce para satisfacer sus necesidades tanto individuales como grupales. Históricamente, las agrupaciones humanas se han diferenciado en ese tipo de respuestas (culturales) ya sea a través del tiempo, geográfica o espacialmente o según sus posibilidades económicas (apropiación de la riqueza colectiva). Ahora bien, cuando ciertas formaciones o capas sociales entran en contacto con otras, tienden a transmitir y en algunos casos a imponer sus formas culturales con resultados algunas veces positivos y otros negativos para quien las recibe o es obligado a vivir y comportarse de acuerdo a ell as. Los proyectos turísticos pensados en zonas aisladas, se convierten en vehículos de contacto entre dichas formaciones y capas, generando con ello entrelazamientos culturales. Cuando los grupos receptores son económica, técnica y globalmente más débiles, tienden a verse dominados por quienes acuden a su lugar de residencia. Esa dominación, si no se encuentra bien manejada o de hecho es negat iva dado que las nuevas respuestas no obedecen o no se adecuan a las necesidades que pretenden resolver, produce enfrentamiento cuyo nivel inmediato por alcanzar es el social, y en este último la violencia suele ser común. 4.9.5 Problemática ecológica Es lamentable que en la actualidad, cuando se han acumulado históricamente y se encuentran en franco crecimiento acelerado los estragos de la acción humana sobre el medio ambiente, todavía se elaboren proyectos que se asumen como instrumentos de racionalidad y no se incluyan en los mismos, análisis ecológicos específicos. Es obvio que los efectos de cada inversión en el entorno natural del cual se sirve dependan del tipo y monto de l a misma. Sin embargo, en los casos donde el impacto ecológico sea evidente es necesario contemplarlo y buscar la menor depredación posible e incluso eliminar aquellas obras cuya ejecución o funcionamiento atenten contra el equilibrio físico del entorno.
  • 142.
    142 Por desgracia, enla mayoría de los países, incluso desarrollados, no existen (o no se respetan), legislaciones estrictas que impidan acciones negativas en relación a la ecología de un sitio. Por lo pronto, queda apenas para impedirlas el buen juicio del propio ser humano ya sea por intermedio de sus entidades gubernamentales, en forma individual si se trata del ejecutor o a través del movimiento social directo. En el caso de los proyectos turísticos debe tenerse muy en cuenta que éstos utilizan como materia prima el atractivo turístico natural y quebrantarlo o destruirlo en cualquiera de sus maneras, significa eliminar a largo plazo las posibilidades de subsistir como empresa, además de coartar las potencialidades del sitio y alterar la vida de muchas personas. REFERENCIA BIBLIOGRÁFICA · Baca Urbina Gabriel.- Evaluación de proyectos · SapagChain.- Preparación y evaluaci ón de proyectos · Apuntes.- Maestría en Planificación de destinos Turísticos
  • 143.
    143 TERCER MOMENTO: Evaluación financieray socioeconómica de las inversiones turísticas OBJETIVOS ü Analizar e interpretar los indicadores de la evaluación financiera ü Realizar la evaluación económica social aplicada a proyectos turísticos CONTENIDOS 6. Evaluación financiera y socioeconómica de las inversiones turísticas 6.1 Introducción 6.2 El concepto de evaluación 6.3 Tipos de evaluación 6.4 Objetivos 6.5 Instrumentos básicos de la evaluación 6.6 Conceptos de base y casos de evaluación privada en inversiones turísticas 6.7 Evaluación económica social BIBLIOGRAFIA Hernández Edgar.- Proyectos turísticos, formulación y evaluación SapagChain.- Preparación y evaluación de proyectos Baca Urbina Gabriel.- Evaluación de proyectos
  • 144.
    144 5. EVALUACIÓN FINANCIERAY SOCIOECONÓMICA DE LAS INVERSIONES TURÍSTICAS 6.1 INTRODUCCIÓN Con la intención de complementar el acercamiento metodológico al problema de los proyectos turísticos, cerraremos su esquema general mediante el capítulo de evaluación. Las derivaciones técnicas, económicas, sociales e incluso políticas que pueden obtenerse a propósito de los procedimientos para evaluar inversiones, son tan amplias que han dado lugar a numerosos estudios y seguirán haciéndolo. En nuestro caso sólo pretendemos introducir al lector en los principios técnicos de la evaluación financiera y socioeconómica; así como en las particularidades que adoptan cuando se trata de proyectos turísticos. A la evaluación financiera se le conoce también con el nombre de privada, en tanto establece y analiza los beneficios netos que obtendría exclusivamente el factor capital, al comprometerse en un proyecto específico. En cambio, la evaluación socioeconómica, busca considerar la conveniencia de todos los factores productivos (capital y trabajo) a ser incluidos en el proyecto correspondiente, tomando en cuenta la problemática socioeconómica en la cual se desenvuelven. En el más amplio sentido del término, cuando se entra en la fase evaluativo habrá que revisar todos los supuestos del proyecto, en especial los referidos al mercado, a sus supuestos técnicos y a sus pronósticos financieros. Sin embargo, en los ejemplos manejados dentro de este capítulo, se asume que dicha revisión ha sido previamente efectuada, de manera que puedan realizarse los cálculos para encontrar el rendimiento de la inversión, bajo grados aceptables de confiabilidad. Posteriormente y para mejorar aún más el problema probabilística de las cifras, cabrá utilizar instrumentos como los modelos estocásticos y las variantes de sensibilidad. 6.2EL CONCEPTO DE EVALUACIÓN La evaluación es la comparación de carácter económico que se efectúa entre las ventajas y desventajas que resultan de emplear ciertos factores productivos en la realización de un programa o de un pr oyecto de inversión. Se le conoce también como análisis beneficio costo (b/c); esta aceptación técnica es más exacta, dado que el término costo puede manejarse en forma tanto explícita
  • 145.
    145 como implícita. La evaluaciónpuede efectuarse ya sea en función de uno solo de los factores productivos a intervenir (regularmente se toma el capital) o tomar al conjunto (evaluación socioeconómica). Asimismo, es susceptible de ejecutarse por ponderación, según los efectos estimados que un progr ama pueda gener ar. 6.3TIPOS DE EVALUACIÓN Evaluación Privada o financiera Del proyecto en sí (rentabilidad del capital total a intervenir) Socio- económica Estimación de rentabilidad social ponderación de los efectos socioeconómicos 6.4OBJETIVOS Calcular, estimar o ponderar los beneficios netos privados y/o sociales que se esperan como resultado de una inversión determinada. 6.5INSTRUMENTOS BÁSICOS DE LA EVALUACIÓN 6.5.1 Información 6.5.2 Mecanismos correctos 6.5.3 Indicadores 6.5.4 Juicio inicial 6.5.5 Marco macroeconómico y de planificación 6.5.6 Juicio definitivo, jerarquización y selección 6.6CONCEPTOS DE BASE Y CASOS DE EVALUACIÓN PRIVADA EN INVERSIONES TURÍSTICAS La evaluación de proyectos de inversión en turismo es una tarea que exige un amplio manejo de las principales técnicas de evaluación económica, por un lado, y por el otro, de un profundo conocimiento sobre las peculiaridades que tiene el mercado turístico, el diseño y la localización de sus empresas y en especial sus requisitos de orden financiero. No obstante, todo ello es un problema menor, si lo compramos con la exigencia que debe hacerse sobre el grado de seguridad que han de tener las informaciones sobre las cuales se trabaja, así como de su confiabilidad. Como hemos mencionado dichas informaciones provienen de los estudios definitivos de preinversión por lo que es de gran importancia su correcta formulación.
  • 146.
    146 Los métodos deevaluación se han desarrollado rápidamente en los últimos años, casi en correlación con el mundo de las finanzas y la gama de posibilidades que se le presenta al capitalista para localizar su dinero. Figura 5.1 Presentación gráfica del mecanismo para la evaluación de inversiones Hasta hace poco tiempo al evaluar las inversiones, se cometían graves errores metodológicos, debido a que el criterio predominante para estos efectos era el contable y no el económico.
  • 147.
    147 Por ejemplo, sien los libros se asentaba que la depreciación era un costo para el empresario, esto se mantenía en la evaluación, sin considerar las razones económicas que justificaran este procedimiento. En otros casos para el cálculo de la rentabilidad en un proyecto específico, se recurría a los estados financieros y, sin trabajar o corregir su información, simplemente, se le utilizaba en forma directa para emitir juicios sobre la inversión. De esta manera, si cualquier individuo decidía emplear su capital en un proyecto de éste le rendía un beneficios relativamente mayor que el mejor interés bancario en el mercado, aparentemente en sí misma esta acción podría ser correcta. Sin embargo, la manera como en muchos casos se estimaba el rendimiento de las empresas era mediante la tasa contable de rentabilidad, lo que hacía que no se considerara el valor cronológico del dinero y sobre todo su costo de oportunidad. Dicha tasa resultaba, de dividir la utilidad neta que se encontraba al final de los estados financieros de resultados, entre el capital propio invertido por el empresario. 6.6.1 Valor cronológico del dinero Este concepto se sustenta en dos elementos: el riesgo y la utilización rentable del capital. El primero actúa bajo ciertos límites como indicador de las posibilidades entre éxito o fracaso y depende fundamentalmente de la objetividad con que hayan sido formulados los estudios definitivos de preinversión o, en todo caso, de la forma como venga oper ando una empresa y los fundamentos que den lugar a la decisión. En la mayoría de las inversiones, es evidente que siempre existe mayor riesgo cuando los ingresos de un inversionista están distantes en el tiempo que cuando lo están en un horizonte temporal relativamente corto. Por lo regular cualquier persona que invierte en un proyecto o en una empresa consolidada, prefiere a cantidades iguales de ingresos, recibirlos lo más pronto posible. Cuando los tienen que recibir a largo plazo impone un coto al riesgo de esperar por un tiempo mayor. Ejemplo: si el inversionista A tiene que elegir entre dos proyectos diferentes (X1 y X2) analizará las formas cómo éstos le prometen sus ingresos. Si X1 le devuelve su inversión más el 20% de utilidad, A exigirá que X2 por lo menos, le dé más que el 20% de utilidad, ya que el riesgo es mayor al tener que esperar cuatro años en lugar de dos. El segundo elemento (la utilización rentable del capital) es aún más contundente y definitivo como argumento para tomar en cuanto el valor cronológico del dinero al analizar una inversión. Tomando el ejemplo anterior, podemos decir que el inversionista A cuando está analizando los proyectos X1 y X2 pensará así:
  • 148.
    148 Si invierto enX1, y este proyecto me devuelve mi inversión más el 20% en dos años, ese capital que obtenga podré colocarlo en valores bancarios y ganar un interés . Si invierto en X2, mi inversión le recuperaré hasta dentro de 4 años, de manera que, si los dos me dieran el mismo ingreso estaría perdiendo el interés bancario que gano con X1 entre el año 2 y el año 4. En cambio si X2 me da más utilidad que X1, y la diferencia supera o por lo menos iguala al interés bancario que ganaría entre el segundo y el cuarto año, escogeré X2. Es obvio entonces que le inversionista preferirá el proyecto que recupera más rápido su dinero, debido al riesgo que implica esperar y a la utilización contable que puede hacer de los ingresos que recibe, siempre y cuando el proyecto que le promete una recuperación más tardía no le dé un porcentaje de utilidad tal que compense y supere el riesgo y la utilización rentable que el inversionista pueda efectuar. 6.6.2 Costo de oportunidad Ya hemos dicho que en la actualidad existen para quienes han podido acumular capital, diversas alternativas o posibilidades económicas de invertirlo de tal manera que les produzca una utilidad o beneficio; su alternativa básica o mínima es meter el dinero en el banco , lo que además implica uno de los menores riesgos. Por lo tanto, todo capital tiene como alternativa la tasa de beneficios o interés que le ofrezca el banco; la decisión dependerá de varias circunstancias como montos, plazos, etcétera. En este sentido cualquier capital que piense invertirse en un proyecto determinado, tendrá un costo de oportunidad, o sea, un costo por no emplearse en la mejor alternativa que deseche ante una decisión. El proyecto en cuestión deberá, necesariamente, tener una rentabilidad mayor a la que presenta el costo de oportunidad del capital en un momento y sitio determinado, para que sea bueno desde el punto de vista del propietario de dicho capital y se decida a invertirlo en esta opción. Al recurrir a una situación sencilla podemos dejarlo aún más claro. Pensemos que el ingeniero Roberto García ha logrado ahorrar $ 500.000.00 dólares US y quiere invertirlos en algún negocio productivo. Encuentra un socio y deciden instalar un pequeño hotel en una playa cercana a un centro turístico de expansión. Al hacer los estudios respectivos se encuentran con que las informaciones condensadas en el estudio financiero tienen que evaluarlas, para finalmente conocer la rentabilidad que les promete el proyecto en estudio. Dicha rentabilidad tendrá que superar el costo de oportunidad que tiene el capital con el cual se ha de construir el hotel.
  • 149.
    149 El costo deoportunidad en este caos será la tasa de interés que el ingeniero García obtenía en el banco. El proyecto deberá por lo menos superarla. Si existiese un proyecto industrial, además del hotel, que le ofreciera una tasa de ganancia mayor que el interés que le propone el banco, entonces el nuevo costo de oportunidad del capital para el ingeniero García sería el equivalente a la tasa de ganancia del proyecto industrial. Estamos ahora en condiciones de tratar de definir lo que entendemos como costo de oportunidad: Como puede verse, por la definición anterior, el concepto de costo de oportunidad rige para todos los factores productivos y no sólo para el capital, o sea, es adecuado utilizarlo en la evaluación social de proyectos para la fuerza de trabajo, la tierra y como caso especial las divisas por ser este último elemento crucial en el desarrollo económico de los países subdesarrollados. En su ausencia tanto los recursos naturales como las divisas son formas de capital en todo sistema capitalista. Aclarados los dos conceptos básicos en la evaluación económica ( valor cronológico del dinero y costo de oportunidad ) podemos retomar nuestra crítica a la tasa contable de rentabilidad. Pongamos un pequeño ej emplo: Existen tres proyectos que compiten entre sí y cuyos estudios financieros nos describen sus flujos de efectivo en los siguientes términos: Flujos efectivo (miles de dólares) Concepto Años Proyecto A Proyecto B Proyecto C Inversión Flujos de efectivo 0 1 2 3 4 5 6 2.000 500 500 500 500 500 500 2.000 800 600 500 500 300 300 2.000 1.200 800 500 300 100 100 Total inversión proyecto A B y C = $ 2.000.000 Total flujos proyectos A B y C = $ 3.000.000 Ingreso promedio Tasa contable de rentabilidad = ------------------------ Inversión 500.000 Proyecto A = ------------------------ = 25% 2.000.000 500.000 Proyecto B = ------------------------ = 25% 2.000.000
  • 150.
    150 500.000 Proyecto C =------------------------ = 25% 2.000.000 Según la tasa contable de rentabilidad cualquiera de los tres proyectos puede ser elegido pero ¿son realmente iguales? ¿Es efectivamente indiferente invertir en cualquiera de los tres? Desde luego, la respuesta es no; ya que como hemos mencionado es muy importante la estructura financiera de cualquier proyecto, a cantidades iguales de ingreso, el proyecto que recupere más rápido la inversión tendrá al final mayor rentabilidad efectiva. En nuestro ejemplo deberíamos elegir C , debido a que los mayores ingresos están ubicados en los primeros años de operación y eso equivale, por un lado, a un menor riesgo para el inversionista y, por el otro, a una más alta utilidad, en tanto el propietario puede ir localizando sus gananci as a interés bancario (utilización rentable del capital) lo que en la práctica equivale a mayores ingresos totales. 6.6.3 Valor presente neto Ahora bien, si la llamada tasa contable de rentabilidad no es un indicador correcto para estimar el rendimiento al capital en una inversión determinada, entonces, ¿qué indicadores podemos utilizar para ello? Presentemos uno: valor presente neto. Este indicador nos muestra el monto de beneficios reales que un proyecto aportaría al inversionista privado y considera tanto el valor cronológico del dinero, como su costo de oportunidad. En el presente trabajo lo abreviamos V.P.N. Lo definiríamos como: la cantidad absoluta que resulta de deducir a la suma de ingresos netos actualizados, el total de inversiones actualizadas. 6.6.3.1 Expresión del indicador V.P.N. = flujos de efectivo actualizado inversiones actualizadas Por lo tanto el indicador será un número absoluto (la cantidad de beneficios o pérdidas) y la comparación entre proyectos sólo podrá efectuarse observando cuál tiene la cantidad mayor o menor, según sean utilidades o pérdidas, con el empleo de un mismo costo de opor tunidad para todos. Como es obvio las inversiones, en tanto egresos o salidas para el inversionista, se inscriben con signo negativo, mientras que los flujos de efectivo lo harán con signo positivo. Cuando la cantidad que resulte tenga signo positivo, el V.P.N. mostrará un resultado satisfactorio, en caso de ser negativo será lo contrario.
  • 151.
    151 Ejemplo V.P.N. = +10.500 10.000 V.P.N. + 500 O bien: V.P.N. = + 12.000 13.000 V.P.N. = - 1.000 Sin embargo, hemos dicho el V.P.N. toma en cuenta el costo de oportunidad para el capital y el valor cronológico de los lujos de efectivo, intentaremos describir el método que sigue para hacerlo. 6.6.3.2 Método de obtención a) Tanto las inversiones como los ingresos netos se actualizan. b) Al actualizar los flujos de efectivo se toma en cuenta implícita y explícitamente el costo de oportunidad y el valor cronológico. c) Para · actualizar , los flujos de efectivo se llevan todos ellos a un mismo año, para que todos tengan el mismo valor cronológico . d) Para llevarlos a un año se descuentan o revalúan según el caso, hasta darles un valor que represente lo que realmente valdrían en ese año1 en función de su aplicación rentable en otros usos. e) Para llevarlos a un año determinado o actualizarlos (si es que se traen de un año o período futuro el año en que se ini cia la serie de flujos), se usa una tasa de descuento que simboliza o representa la mejor alternativa con que cuenta el capital o sea, su costo de oportunidad. f) La tasa de descuento al capital que se utiliza en un proyecto concreto debe ser igual a la rentabilidad que dicho capital obtendría realmente de no localizarse en el proyecto según puede comprobarse en el mercado y se le demoniza tasa relevante . 6.6.3.3 Manera de actualizar los flujos de efectivo Es muy sencilla, simplemente se multiplican por un factor de actualización, que es el inverso del factor del interés compuesto. La idea que lo sustenta es simple, ejemplifiquemos: Si tenemos un capital en este momento y queremos prestarlo ganando un interés anual, obtendremos después de un lapso determinado cierta cantidad. Este monto futuro dependerá de tres elementos: v Capital presente v Tasa de interés v Años o periodos en que se mantiene ganando interés. Por supuesto que se supone que localizaremos nuestro dinero a interés compuesto 1 Estamos haciendo caso omiso por completo de la inflación, sólo estimamos dicho valor a partir de la utilización rentable de los flujos financieros.
  • 152.
    152 o sea aquélen el que no sólo el capital que tenemos gana interés, sino además lo obtenemos también sobre los intereses que vamos ganando peri odo tras periodo. De los elementos citados, los dos últimos se expresan para su aplicación en matemáticas financieras y en múltiples transacciones mediante un factor de interés compuesto de la siguiente manera: (1+i)n Donde: i= tasa de interés n= periodos en que se gana el interés Resulta así que para conocer el capital futuro, puesto a interés compuesto durante un periodo de n años tendremos simplemente que multiplicarlo por este factor. Capital futuro = Capital presente (1+i)n Ejemplo: Invertimos $ 10.000 al 12% de interés anual durante 6 años y queremos cuándo tendremos al finalizar el sexenio. Capital futuro = 10.000 ( 1+0.12)6 Capital futuro = 10.000 ( 1.94) Capital futuro = 19.500 Manteniendo el razonamiento anterior, si lo que conocemos son los capitales futuros (dadas las proyecciones financieras del proyecto) y queremos saber su valor actual 2 tendremos respectivamente que multiplicarlos por un factor de actualización. Como suponemos que todo capital es susceptible de ganar interés compuesto, al actualizar los capitales futuros tendremos necesariamente que considerarlos y por lo tanto el factor de actualización será precisamente el inverso del factor de interés compuesto. Esto se escl arece en la siguiente expresión: Capital futuro = Capital presente (1+i)n Si queremos saber el capital presente tendremos que: n I)1( 1 + Capital futuro = Capital presente Por lo tanto, factor de actualización = n I)1( 1 + Utilicemos el ejemplo anterior para lo que asumimos que hemos proyectado nuestro ingreso futuro en el año sexto y queremos saber cómo se expresa esa cantidad actualizada . 2 Inclusive si los tuviéramos expresados en documentos podríamos, a través de ellos, obtener en este momento el ingreso descontado respectivo.
  • 153.
    153 Capital presente =Capital futuro = n I)1( 1 + Capital presente = 19500 = 6 )12.01( 1 + 6 )12.01( 1 + = 0.5128 19.500 (0.5128) = 10.000 Capital presente = 10.000 6.6.3.4 Ejercicios de aplicación Veamos la manera de obtener el valor presente neto por medio de un ejercicio: Fórmula: V.P.N. = Flujo efectivo actual Inversiones actualizadas Ejemplo: Plan de inversiones (miles de pesos) Factor de actualización * Años Montos (Tasa relevante:12%) Inversión actualizada 0 1 2 3 600 800 700 500 2.600 0 (0.8929) (0.7972) (0.7118) 600 714 558 356 2.228 * El factor de actualización se obtiene en las tablas financieras , sólo debe definirse el período y la tasa de interés. Esta última será aquélla que represente el costo de oportunidad del capital, para el caso concreto de que se trate.
  • 154.
    154 Pronóstico de flujoso cada (Miles de pesos) Años Montos Factores Montos Actualizados (12%) actualizados 3 4 5 6 7 8 300 600 600 600 600 600 (0.7118) (0.6355) (0.5674) (0.5066) (0.4523) (0.4039) 213 381 340 303 271 242 Suma 3300 1750 V.P.N. = 1.750 2.228 V.P.N. 478 Conclusiones: a) El V.P.N. es negativo, por lo tanto el proyecto no deberá realizarse, ya que su costo de oportunidad es mayor, o sea localizar el capital en el banco al 12% nos daría mayores utilidades que este pr oyecto. b) Si usáramos la tasa contable de rentabilidad, esto es, dividiéramos el ingreso promedio anual (550.000) entre la inversión total (3.300.000) tendríamos un índice equivalente al 16.67%, el cual al se mayor que 12%, aparentemente aconsejaría invertir en el proyecto, y esto sería un gran error. c) En realidad el inversionista no tiene que invertir en este proyecto $ 2600000, como podría pensarse observando el plan de inversiones; sólo tiene que invertir $ 2.280.000, ya que las cantidades no invertidas el primer año puede localizarlas a interés bancarios del 12% mientras no las utiliza y de esta manera reducir sus inversiones reales. 6.6.3.5 Métodos para el cálculo del V.P.N. según la serie de flujos financieros No todos los proyectos tienen el mismo tipo de estructura financiera, algunos tienen flujos iguales durante un cierto periodo, mientras en otros son totalmente diferentes. En ocasiones, el horizonte de tiempo durante el cual se manifiesta es tan amplio que presenta serios problemas de cálculo y en otras el peri odo de operación es limitado. Mencionaremos solamente algunos tipos de los que con mayor frecuencia se presentan en proyectos conectados con programas de turismo. v Series finitas uniformes. Es el caso de las inversiones cuya recuperación se da en flujos iguales y abarca un lapso identificable. v Series finitas no uniformes. Se trata de la misma situación que el anterior, sólo que los flujos son totalmente diferentes unos de otros. v Series infinitas no uniformes. En estos casos los ingresos por la inversión además de ser diferentes entre sí, se prolongan por un periodo tan amplio (15
  • 155.
    155 años o más)que para facilitar su estimación pueden tratárseles con un método especial. En turismo algunos proyectos importantes deben ser incluidos en este tipo de inversiones. Antes de finalizar algunos casos hi potéticos sencillos que ilustren la aplicación de las metodologías del V.P.N., para estas diversas posibilidades y en proyectos de turismo o conectados al sector, es necesario mencionar algo más sobre el uso de este indicador. En primer lugar, el V.P.N., es una cantidad absoluta y para usarla como punto de referencia con el cual comparar proyectos, es indispensable someter a todos los casos en análisis a la misma tasa alternativa . En segundo lugar, existen muchos proyectos que están emprendidos como tales dentro de programas integrales y sólo al interior de dichos programas es correcto evaluarlos y no en sí mismos. Lo anterior implica que antes de decidir en función de un indicador de este tipo de requiere observar el contexto en el cual se entienden los proyectos y únicamente usarlo cuando procede dentro del marco general. En este sentido podemos adelantar una pequeña clasificación a fin de que se considere cuando se están eval uando proyectos de turismo. Existen: Proyectos alternativos: son aquéllos que se contraponen (uno o el otro) física o financieramente (disponibilidad de recursos). a) Absolutamente alternativos b) Parcialmente alternativos Proyectos complementarios: Son aquéllos que se integran en un conjunto sirviéndose unos de otros, ya sea en forma biunívoca, lineal o múltiple. a) Absolutamente complementarios o interdependientes. Son aquéllos que se requieren entre sí necesariamente. b) Parcialmente complementarios. 6.6.3.6 Casos de aplicación a) Series finitas uniformes Supongamos un proyecto que por sus características ha de tener una vida útil limitada. Ejemplo 1 No localizamos en un polo de desarrollo turístico que comprende un conjunto de proyectos específicos. Algunos son para explotación directa del turismo y otros
  • 156.
    156 serán de apoyo. Dentrodel segundo caso analizamos una fábrica de tabiques que, dadas las circunstancias de la región, no podrá operar rentablemente, sino en relación directa a la demanda que realice la construcción de la zona turística. Como se ha calculado que en cuatro años quedará terminada la fase de construcción que requiere de este material, la vida de la fábrica mencionada quedará circunscrita a dicho periodo y sus flujos de beneficios a un contrato específico con la parte compradora. Los estudios realizados nos presentan la siguiente estructura financiera: Es necesario invertir inicialmente $ 1.500.000 y tendremos un flujo neto de los beneficios de $ 500.000 anual es. Como es imprescindible definir la tasa alternativa que tiene nuestro capital inicial, para poder encontrar el V.P.N., consideramos que, de no invertir en el proyecto obtendríamos el 10% de interés en bonos. Sin embargo, dado que de no realizar el proyecto tendríamos que comprar el tabique en una ciudad relativamente lejana, con problemas de organización y con reducción del impacto regional favorable del conjunto, la tasa relevante se reduce al 8%. La estructura financiera podemos representarla gráficamente de la siguiente manera: 500.000 500.000 500.000 500.000 Años 1 2 3 4 1.500.000 De esta manera tenemos que el cálculo del valor presente neto será el siguiente: V.P.N. = - 1.500.000 La inversión inicial se presenta con signo negativo. + 500.000 (0.9259) La cantidad entre paréntesis es el factor de actualización del flujo neto. Este número ha sido localizado en las tablas financieras mencionadas buscando en la tabla de n i)1( 1 + con i = 8% y el año correspondiente. + 500.000 (0.8573) (P/F) + 500.000 (0.7938) (P/F) + 500.000 (0.7350) (P/F) Horizontalmente: V.P.N. = - 1.500.000 + 500.000 (0.9259) + 500.000 (0.8573) + 500.000 (0.7938) + 500.000 (0.7350) Sacando 500.000 como factor común: V.P.N. = - 1.500.000 + 500.000 (0.9259) + 500.000 (0.8573) + 500.000 (0.7938) + 500000 (0.7350)
  • 157.
    157 V.P.N. = -1.500.000 + 500.000 (3,3120) V.P.N. = - 1.500.000 + 1.656.000 V.P.N. = 1.656.000 Observaciones: 1. (3,3120) se convierte en el factor de valor presente general para toda serie uniforme que abarque un periodo de cuatro anualidades o pagos, por loo que calculando, no es necesario hacer la reducción de cada pago por separado. En la misma forma puede hacerse para toda serie uniforme. Basta calcular el factor de actualización de la serie y multiplicarlo por el monto del pago para finalmente restarle a la cantidad que resulte los montos de inversión previamente actualizados y tendremos el V.P.N., de esta serie. Además los factores para pagos iguales puede encontrarse también en cualquier serie de tablas financieras 2. Como observa en el ejemplo el resultado es positivo, resulta entonces mejor la inversión en el proyecto que la alternativa relevante. b) Series finitas no uniformes (parcialmente) Ejemplo 2. Supongamos ahora que consideramos otra fábrica de apoyo, como podría ser la de herrería. Las consideraciones que se hicieron en el caso anterior sobre la demanda son válidas también aquí, con la única diferencia que mientras para el tabique la demanda se mantiene estable y se reduce a un periodo de cuatro años, para la herrería la demanda se amplía a todo el periodo de construcción, que dura aproximadamente 8 años. Además los requerimientos de este material no serán uniformes, pues variarán en sentido directo al ritmo de la construcción acelerándose cuando la infraestructura queda lista y el programa entre en la fase propia al levantamiento de toda la estructura de servicios. Esta última fase se considera entre el cuarto y el octavo año. No obstante, ambos periodos quedaron sujetos a contrato con los compradores. La tasa alternativa seguirá planteada en 8% como en el ejemplo 1 y por las mismas consideraciones. Para facilitar el análisis y las operaciones nos desligaremos de la realidad, estableciendo cantidades hipotéticas tanto en la inversión como en los flujos netos. En la práctica es muy útil el contacto con profesionales ad hoc, tales como ingenieros o constructores, o bien empresarios, a efecto de conocer índices generales estándar de cada ramo. Es útil además de conocer dichos índices, ficharlos y archivarlos a fin de estar en condiciones, cuando se nos presente un proyecto, de juzgarlo a todos niveles.
  • 158.
    158 Así, entonces, encontramosque la inversión inicial en la fábrica de herrerías asciende a $ 1.500.000 y los primeros cuatro años los ingresos netos a $ 200.000. Del quinto al octavo año la actividad se acelera y los ingresos netos se elevan a $ 300.000. Gráficamente tenemos l a siguiente estructura financiera: 200.000 200.000 200.000 200.000 300.000 300.000 300.000 300.000 Años 1 2 3 4 5 6 7 8 1.500.000 Como puede observarse, en realidad los primeros cuatro años conforman una serie finita uniforme, semejante a la del ejemplo anterior. De ahí que bastará con multiplicar los $ 200.000, que recibimos uniformemente, por un factor de actualización propio a la tasa relevante que usamos (8%) y el número de anualidades, para encontrar el primer monto de ingresos netos actualizados. Como vimos anteriormente, éste equivale a 3,312. El problema ahora reside en actualizar el segundo monto de ingresos que van del 5o. al 8o. año. Dado que en las tablas financieras sólo encontramos factores de actualización para series que parten del año 1. La operación tendrá que ser la siguiente: Al factor que resulte para una serie de 8 años, le restaremos el factor para series de 4 años, y multiplicamos el número que obtengamos por 300.000. Habremos definido el ingreso neto actualizado del segundo grupo (año 5 a 8). Finalmente sumaremos los ingresos actualizados de uno y otro grupo y obtendremos el total. Gráficamente: C A + B = YNA (total) C A (300.000) + A (200.000) = flujo neto actualizado total Donde:
  • 159.
    159 C = flujosde efectivo del 1 al 8 A = flujos de efectivo del 1 al 4 B = flujos de efectivo del 5 al 8 Matemáticamente: V.P.N. = - 1.500.000 + 200.000 (3.312) + 300.000 (5.747) 300.000 (3.312) V.P.N. = - 1.500.000 + 200.000 (3.312) + 300.000 (5.747) (3.312) V.P.N. = - 1.500.000 + 200.000 (3.312) + 300.000 (2.435) V.P.N. = - 1.500.000 + 662.400 + 730.500 V.P.N. = - 107.100 Observaciones 1. Como se sabe ante un V.P.N. de signo negativo, el proyecto no debe ser llevado a cabo en estas condiciones, dado que la alternativa considerada no obstante haber sido reduci da por argumentos de car ácter regional, es mejor. 2. Cuando un proyecto tiene vida limitada, pero sus ingresos netos y/o sus inversiones son definitiva y generalizadamente irregulares, sólo es posible actualizar los flujos monetarios mediante la multiplicación parcial, año por año, de cada cantidad por su correspondiente factor de actualización. Estrictamente se tomaría cada anuali dad como un capi tal a futuro, para lo que se aplicaría, en esta situación, la tabla que actualiza el futuro al presente (P/F). c) Series infinitas Para los casos de proyectos en que se propone una vida útil de amplio e indefinido horizonte, la estructura financiera propia en el rubro de flujos netos se antoja difícil de establecer previamente, por lo que su tratamiento matemático será totalmente diferente a los casos de vida útil limitada. Para el sector turismo el tipo que se describe ahora tiene especial importancia dado que es uno de los pocos donde llega a presentarse. No basta que se delimiten con claridad los períodos de operación si éstos alcanzan un horizonte tan amplio que superan los 20 años. Para fines prácticos es más sencillo operar esta clase de proyectos para lo que les suponemos una vida infinita y les aplicamos la fórmula que en seguida veremos: V.P.N. = - C + BO + i B +1 1 + 2 2 )1( i B + + 3 3 )1( i B + + + a a )1( i+ Simbología: B = beneficio neto i = tasa de descuento Tendremos ahora V.P.B. o valor presente de los beneficios netos. V.P.B. = BO + i B +1 1 + 2 2 )1( i B + + 3 3 )1( i B + + + )1( i B + Introduzcamos un elemento que se presenta frecuentemente en la realidad. Los beneficios netos
  • 160.
    160 pueden crecer anualmentea cierta tasa promedio, en una serie infinita. Esta tasa la denominaremos con la letra g . V.P.N = BO + i gBo + + 1 )1( + 2 2 )1( )1( i gBo + + + 2 2 )1( )1( i gBo + + + 3 3 )1( )1( i gBo + + + 4 4 )1( )1( i gBo + + + + )1( )1( i gBo + + Si: Bo (1 + g) = B1 o beneficio neto al año 1 2 2 )1( )1( i gBo + + = B2 3 3 )1( )1( i gBo + + = B3 Sacamos Bo, como factor común: V.P.N. = BO 1 + i g i g i g i g + + + + + + + + + + + 1 )1( ... 1 )1( 1 )1( 1 1 32 a En el inverso tenemos: V.P.B. = Bo g i t + + å 1 )1(a Donde T = (1, 2, a ) g < i < 1 Obtenemos el límite de å>-- + +a a 0 1 )1( t t g i Encontramos: V.P.N. = Bo gi i - +1 Ejemplifiquemos: Se plantea construir un polo de desarrollo regional que por las características de la zona ha de iniciarse con una planta turística. El programa inicial es múltiple en la medida de que integra a un conjunto de tipos diferentes. (Hoteles, moteles, restaurantes, trailerspark, etc.) La entidad responsable será la compañía estatal Mexicana hotelera . El crédito tendrá el respaldo financiero del gobierno pero lo obtendrán los campesinos de un banco internacional. La planta en cuestión se localizará en tierras ejidales y los campesinos, además de ser socios capitalistas, utilizarán tierras en los alrededores
  • 161.
    161 que destinarán aproducir para la demanda regional, impulsada por el turismo y pasarán posteriormente a exportar regionalmente, en la medida de su crecimiento. El proyecto plantea un contrato entre campesinos y Mexicana hotelera de 30 años y una cláusula donde se especifi ca que puede ser renovado. A los campesinos se les pagará una r enta no por la utilización de la tierra, sino sobre el beneficio estimado de la explotación de cada establecimiento prestador de servicios. La compañía hotelera equipará por su cuenta los establecimientos y dará asesoría para la construcción de los mismos. Las organizaciones campesinas prefieren utilizar autónomamente el crédito y construir con la asesoría de técnicos oficiales. La construcción tendr á las siguientes características, calendario y costos: Año Orden de antigüedad Establecimiento Costo (miles dólares) 2000 2001 2002 2003 2004 2005 1 2 3 4 5 6 Infraestructura, parador, restaurante 1a. fase de equipamiento hotelero 2a. fase de equipamiento hotelero 3a. fase de equipamiento hotelero 1a. fase complejo de diversiones 2a. fase complejo de diversiones Total: 5.400 10.800 10.800 10.800 10.800 10.800 59.400 Descripción sumaria: 2000. Se plantea construir una infraestructura mínima compuesta por un camino de acceso, ampliación de las redes eléctricas, de agua potable, cablegráfica, de gas, etc., que ya existen en la zona, además de todas las adecuaciones en el terreno que sean pertinentes. Por otra parte, como punta de lanza se proyecta la construcción de un restaurante y de un parador que inicien la planta y permitan los primeros pasos en materia de capacitación de la fuerza de trabajo, publicidad, promoción etc. 2001, 2002 y 2003. En estos tres años se construirá todo el equipo de alojamiento, distribuido en varios tipos. El renglón de hoteles sería el principal rubro, los cuales serían de varias categorías, las más altas con todos los servicios propios de un hotel de gran categoría, aunque en algunos de caracter ísticas modestas en el servicio. Independientemente de dichos servicios, se proyectan otros establecimientos como moteles, restaurantes, bares, centros nocturnos, distribuidos en forma planificada en el complejo turístico. Se debe aclarar que a 30 km, se encuentra la ciudad más próxima, la cual tiene un aeropuerto internacional con equipamiento para todo tipo de vuelos.
  • 162.
    162 2004 y 2005.El llamado complejo de diversiones será construido y equipado en dos etapas, divididas según los años mencionados. Se integrará por un conjunto de elementos de índole variada, como el club náutico que incluye equipamiento deportivo de todo tipo (buceo, veleros, pesca, etc.) el club de golf, y la casa club. En la segunda etapa se plantea la reservación de un área para juegos diversos, así como la construcción de un número limitado de salas para espar cimiento nocturno. Finalmente y dentro de esta fase, una sala de actos utilizable para convenciones. Debe aclararse que la administración de muchos establecimientos, en especial comercios, no quedará en manos de la compañía hotelera mencionada. Sin embargo, aquellas sociedades o empresarios particulares que se propongan administrar algún negocio de los proyectados, deberán atenerse a las condiciones establecidas en el contrato mencionado. Además, se les fijará una renta por el uso de los inmuebles o de los terrenos cuando sea el caso. Se estiman los siguientes beneficios por concepto de rentas: Grupo año 2000 2001 2002 2003 2004 2005 2006 1 2 3 4 5 6 292 450 716 450 1.166 716 450 1.166 1.166 716 450 1.166 1.166 1.166 716 450 1.166 1.166 1.166 1.166 716 450 1.166 1.166 1.166 1.166 1.166 Total beneficios 292 1.166 2.332 3.498 4.664 5.830 6.280 Los beneficios anuales, a partir de 2.006, hasta la terminación del contrato (año 2030) serán uniformes y ascenderán a 6.280. 000 dólares. Solución: 1a. Pregunta: ¿A qué tasa obtendrán los campesinos el crédito necesario? El crédito está respaldado por el sector público y será prestado por el banco al 12%. Esta tasa actúa como alternativa relevante para el proyecto, o sea, su rentabilidad deberá excederla. 2a. Pregunta: ¿Cómo se podrá deter minar la rentabilidad del proyecto propuesto? En la realidad existen muchos proyectos que se evalúan a través de una simple razón de utilidad del tipo contable. Así buscaríamos el beneficio típico de 6.280.000 dólares que aporta el proyecto durante 24 años; lo dividiríamos entre el total de la inversión y resultaría una tasa de rentabilidad del 9.4%. El juicio inmediato que podría emitirse rechazaría el proyecto al no cubrir su tasa de rendimiento ni siquiera aquella a la que se concedió el crédito. Este juicio se basaría, en un procedimiento erróneo y por lo tanto, sería en sí mismo equivocado. En la razón mencionada el dividendo es incorrecto, si tomamos en cuenta las rentas
  • 163.
    163 anuales que seempiezan a pagar desde el primer año. Esto da lugar a un t ercer esquema: (1) (2) (1) (2) Año Costos de Construcción Rentas Egresos netos 2000 2001 2002 2003 2004 2005 5.400 10.800 10.800 10.800 10.800 10.800 292 1.166 2.332 3.498 4.664 5.830 5.108 9.634 8.468 7.302 6.136 4.970 Totales 59.400 17.782 41.618 Dividamos ahora los 6.280.000 dólares entre los 41.618.000 dólares y tendremos una tasa contabl e de rentabilidad de 15.09%. Resulta ahora que el proyecto es mejor que la alternativa relevante , y la decisión sería aprobatoria. Sin embargo, hay una nueva equivocación en la consideración de egresos netos, dado que no hemos tomado en cuenta los intereses que habrán de pagarse por el crédito. Construyamos un cuarto cuadro que los tome en cuenta: (y) Cf = Co (1 + i)n Año Ingreso Capital + Intereses Tasas de rendi- miento contable 2003* 2004 2005 2006 (0) 2007 (1) 2008 (2) 2009 (3) 2010 (4) 3.498 4.664 5.830 6.280 6.280 6.280 6.280 6.280 41.618 41.618 41.618 41.618 41.618 41.618 41.618 41.618 (1.12) (1.25) (1.40) (1.57) (1.76) (1.97) (2.21) (2.47) 7.50% 8.97% 10.01% 9.61% 8.57% 7.66% 6.83% 6.11% Utilizando los ingresos para amortizar el capital y los intereses, el cuadro quedaría: (y) Cf = Co (1 + i)n Año Ingreso Cf = Co (1 + i)n Saldo deudor Tasas de rendi- miento contable 2003 * 2004 2005 2006 (0) 2007 (1) 2008 (2) 2009 (3) 2010 (4) -- -- -- 6.280 6.280 6.280 6.280 6.280 46.612 52.023 58.265 63.340 73.248 81.987 81.976 102.796 -- -- -- 59.060 66.968 75.707 85.696 96.516 -- -- -- 10.63% 9.38% 8.30% 7.33% 6.51% * Se suponen tres años de gracia en el préstamo *
  • 164.
    164 De todo eldesarrollo anterior nos interesa esencialmente la comprobación del primer aspecto que en seguida mencionaremos y secundariamente el juicio que, a partir de los cuadros precedentes, podemos realizar sobre el proyecto ejemplificado. Esto es, no es válida la tasa contable, en tanto ésta toma un beneficio neto que se considera como estadígrafo confiable y lo divide entre el egreso de inversión total. Como hemos visto en el tercero y cuarto cuadro, la tasa de rentabilidad, que utiliza la metodología contable antes descrita, varía constantemente año con año, no obstante que el ingreso neto que se tomó representativo se mantiene constante. Esto comprueba que definitivamente no es valedero ni confiable establecer la rentabilidad de un proyecto por el método mencionado ya que no ofrece una tasa estable contra la cual comparar la alternativa relevante . Es claro, además, que aun amortizando capital e intereses con el ingreso recibido, el saldo deudor crece anualmente y la tasa de rendimiento decrece al mismo ritmo. Ello demuestra que los ingresos netos no alcanzan a cubrir el servicio de la deuda por lo que el proyecto, en los términos propuestos, es inferior a la tasa mínima posible que se tomó como relevante, esto es, la requerida por la institución financiera (12%) por lo cual dicho proyecto deberá rechazarse. En el ejemplo se han extendido las operaciones con el objeto de mostrar la ineficiencia de usar la razón de utilidad contable como medida eficaz en la evaluación de proyectos. Se ha comprobado que no sólo porque el valor del dinero es diferente en el tiempo debe utilizarse la técnica de V.P.N., sino además porque no es posible detectar una tasa contable de cierta estabilidad como para ser contrastada con otra que sea su competi tiva. El período de operación del proyecto es tan largo que puede ser tratado por la fórmula de valor presente neto, para series infinitas. Como veremos, se simplifican notoriamente las operaciones matemáticas a través de esta metodol ogía. Resolvamos ahora nuestro ejercicio: b. Existen egresos netos de 2000 a 2005 y a partir del 2006 sólo se reciben beneficios c. Supongamos que al término de los 30 años no se obtiene un valor de salvamento, pues se establece previamente la posibilidad de seguir en operación y darles un buen mantenimiento con cargo a la compañía operadora. d. Se considerará a 2006 como el año cero, con lo que se combinan así series
  • 165.
    165 finitas con seriesinfinitas y se facilita el tratamiento matemático. e. Fórmula: V P N (1981) = g iBo - + 1 )1( ; en donde g = 0; i = 0.12 V P N (1981) = 12.0 )12.1(6280 V P N (1981) = 58.617.00 58.617.000 dólares serán los beneficios totales acumulados en el año de 2006 y estamos en condiciones de obtener el V.P.N. del proyecto de la siguiente forma: Año Egresos (-) y beneficios netos (+) V P al 2% 2000 (0) 2001 (1) 2002 (2) 2003 (3) 2004 (4) 2005 (5) 2006 (6) - 5.108 - 9.634 - 8.468 - 7.302 - 6.136 - 4.970 + 58.617 - 5.108.0 9.634 (0.8929) = - 8.602.0 8.468 (0.7972) = - 6.751.0 7.302 (0.7118) = - 5.198.0 6.136 (0.6355) = - 3.899.0 4.970 (0.5674) = - 2.820.0 58.617 (0.5066) = + 29.695.0 Total = - 2.683.0 La cantidad absoluta de 2.683.0 nos muestra un V.P.N. negativo, lo que indica que no es conveniente que la organización campesina pida el crédito para el proyecto turístico citado en tanto las utilidades, en forma de renta, que se recibirían no serían lo suficiente ni siquiera para pagar el préstamo solicitado. 6.6.4 La tasa interna de retorno Se dice que la TIR es aquella en la cual el V.P.N. = 0, o sea, donde los ingresos netos y egresos de inversión se igualan en sus valores actualizados. En el caso en que se determina el signo del V.P.N., podemos tomar decisiones de orden cualitativo. Decisiones determinantes. Sin embargo, no estamos en posibilidad de encontrar qué tanto en porcentajes es mejor a partir de su tasa relevante. Cuando nos proponemos decidir sobre la base de coeficientes relativos habrá que encontrar un índice de rentabilidad confiable, que nos ubique en un marco más definido. Al hablar de confiabilidad pretendemos incluir las consideraciones hechas a propósito de los conceptos emitidos anteriormente sobre evaluación privada. En particular aquellos sobre los que se sustenta la técnica de V.P.N. Es por eso que la TIR incluye el valor actualizado en su cál culo. Aún así, hay una di ferencia clara entre la toma de decisiones vía V.P.N., y la que se realiza en base a la TIR. Del primero obtenemos una cant idad absoluta cuyo signo es el ilustrativo. De la segunda se desprende un índice que, como todo número relativo, nos muestra
  • 166.
    166 una relación aproximada,que en este caso es de r entabilidad. Como veremos más adelante la etapa de evaluación se caracteriza por corregir ciertos parámetros que nos vienen dados en los estudios que la anteceden en el documento del proyecto . Es válido afirmar que la TIR representa la principal corrección en este sentido dentro de la evaluación económica privada. Algunas metodologías la extienden inclusive a la evaluación social. En la parte del V.P.N. hablamos de la tasa contable como el índice, que resulta de dividir un flujo neto representativo sobre el total de la inversión. Se comprobó y argumentó el por qué no es correcto tomar dicho índice como tasa de rentabilidad del proyecto. Mencionaremos ahora algunas divergencias entre la TIR y la tasa contable , los cuales enfrentamos a l os requerimientos de la evaluación. 1. La tasa contable no toma en cuenta el valor cronológico del dinero que, como revisamos anteriormente, es definitivo en la evaluación de proyectos. En el otro lado, la TIR al incluir el valor actualizado neto en su cálculo considera explícitamente el diferencial de valor en el tiempo. 2. La tasa contable aparece como estática, pero sí toda empresa es un elemento con movimiento constante en el tiempo, debe tratársele como tal. La TIR abarca un conjunto de informaciones que surgen de situaciones diferentes a lo largo de un período determinado del proyecto por lo que se torna dinámica y nos facilita, además, la decisión correcta y la planeación conjunta. 3. De las dos consideraciones anteriores, se desprende un defecto de inflexibilidad en la tasa contable, expresado por su incapacidad para evaluar un proyecto, cuando éste tiene rendimientos anuales variables. Este defecto no puede ser soslayados por promedios estadísticos, en razón a los defectos naturales que éstos tienen y a la exactitud que se solicita de un índice de rentabilidad. Sobra decir que la TIR trata de superar dicho defecto con suficiente éxito. 4. Un cuarto aspecto, que es deci sivo, centra su atención en los llamados costos implícitos. Nos referimos a ellos en su oportunidad. Basta decir por lo pronto que la tasa contable sólo toma en cuenta los costos explícitos, vale decir, aquellos que se anotan en los libros de contabilidad, mientras la TIR, incluye costos implícitos y explícitos, por lo menos para el factor capital. 5. En las metodologías para evaluación social donde se utiliza la TIR se da otra corrección que hace diferir ésta de la tasa contable. Los impuestos pasan a ser beneficios. Por otra parte, la TIR se basa en los mismos conceptos económicos que sustenten
  • 167.
    167 la justificación delV.P.N., por lo tanto, tomará para su cálculo la actualización como un elemento determinante, la cual conjuga con el de tasa alternativa . Sin embargo será necesario estimar tasas límites entre las cuales se juzgue lógico se encuentra la TIR. Dado que la actualización se efectúa a través de tasas relevantes, tendremos que localizar igualmente dos tipos de valores presentes: uno positivo y otro negativo. Por el método interactivo y con operación de estos dos tipos de tasas; ahí donde el V.P.N., sea igual a cero hallaremos del otro lado de la ecuación un índice que nos representará la TIR. Se desprende de lo anterior que el método de cálculo es por aproximaciones e interpolación y que no se tr ata ahora de saber si el proyecto es bueno a par tir de una cierta tasa, sino de encontrar la tasa que nos represente la rentabilidad del proyecto, que nos deja así un signo más claro e independiente para ser tomado en cuenta. Al contar con un programa de computación ya preparado, esa labor se simplifica en forma asombrosa. ú û ù ê ë é - -+= 21 1 121 )( VPiVPi VPi iiiTIR Ejemplificando: Localicémonos en un caso sencillo que suponga una empresa en particular, a fin de observar con toda claridad el cálculo de la TIR. En los ejemplos anteriores, se ha omitido un aspecto de las actualizaciones en los flujos monetarios. Todo proyecto tiene al final de su vida un valor de salvamento , representado por el precio al cual se considera posible realizar el conjunto de medios de producción (terrenos, edificios, royalties, equipo, instalaciones, etc.) con los cuales se oper ó. Sería totalmente erróneo en los casos reales, que no se tomara en cuenta este valor, ya que en función de cada tipo de proyecto llega a ser definitivo cuando se evalúan. Es un beneficio para la fase de operación que debe ser actualizado. Recurramos a un caso hi potético: El costo total de un proyecto alcanza los tres millones de dólares. Se estiman en 500 mil dólares las ventas anuales y en 200 mil los egresos correspondientes. Al fin de 10 años el terreno, construcción, instalación, equipo, etc., habrá llegado a un valor recuperable de un millón y medio de dólares. Se pide encontrar la TIR. El cuadro de flujos netos sería el siguiente:
  • 168.
    168 Año Ventas EgresosFlujo neto 0 1 2 3 4 5 6 7 8 9 10 101 + 500.000 + 500.000 + 500.000 + 500.000 + 500.000 + 500.000 + 500.000 + 500.000 + 500.000 + 500.000 + 500.000 + 1.500.000 - 3.000.000 - 200.000 - 200.000 - 200.000 - 200.000 - 200.000 - 200.000 - 200.000 - 200.000 - 200.000 - 200.000 -- - 3.000.000 + 300.000 + 300.000 + 300.000 + 300.000 + 300.000 + 300.000 + 300.000 + 300.000 + 300.000 + 300.000 + 1.500.000 El paso siguiente sería encontrar los valores de los elementos que integran la fórmula de la TIR. Recordémosla: ú û ù ê ë é - -+= 21 1 221 )( VPiVPi VPi iiiTIR Tanto la determinación de i1, e i2, como el cálculo de los valores presentes que correspondan, implican una estimación apriorística de las tasas frontera entre los cuales suponemos esté la del proyecto en que trabajamos. En la mayoría de los casos el técnico especializado en los mecanismos de evaluación tiene por observación y experiencia ideas más o menos cercanas a la realidad, con sólo revisar la estructura financiera del proyecto, o con el auxilio de una máquina calculadora que se lo efectúa en pocos minutos. No obstante presentaremos el método con el fin de poder comprenderlo. Se estima una tasa determinada y se calcula el V.P.N. Si es negativo, se procede a calcular el VPi1 estableciéndose índices que representen el i1 de la fórmula hasta encontrar aquel que nos dé un V.P.N. positivo para el proyecto. Es recomendable que se localicen los polos más cercanos y con base en índi ces enteros. Por supuesto que puede procederse a la inversa, como se verá en seguida: Volvamos al ejemplo: Si i1 = 6% V.P.N. = - 3.000.000 + 300.000 (7.360) + 1.500.000 (0.5584) V.P.N. = - 3.000.000 + 2.208.000 + 837.600 V.P.N. = - 3.000.000 + 3.045.600 V.P.N. = + 45.600 Si i2 = 7% V.P.N. = - 3.000.000 + 300.000 (7.024) + 1.500.000 (0.5083) V.P.N. = - 3.000.000 + 2.107.200 + 762.450 V.P.N. = - 130.350 Interpolando: 1 Valor del salvamento
  • 169.
    169 TIR = 6%+ (7% - 6%) 350.130600.45 600.45 + TIR = 6 + 595.175 600.45 TIR = 6 + 0.26 TIR = 6.26% Período de recuperación Un indicador más, para la evaluación económica privada, es el llamado período de recuperación . En algunos casos, cuando las disponibilidades de recursos financieros son pocas y las oportunidades de colocación del capital son pocas y las oportunidades de colocación del capital son numerosas, es importante saber cuáles son las alternativas que implican menores períodos de recuperación para capital invertido, de manera que pueda usa rse éste en nuevos pr oyectos. Este indicador es perfectamente compatible con el cálculo del V.P.N. o la tasa interna de retorno y puede servir como auxiliar a esto, de manera que los complemente en la decisión final. Su estimación es sencilla y consiste en definir el momento en que la suma de beneficios netos equivale a la suma de inversiones, dependiendo del origen que tenga cada capi tal. En cuanto a la suma de beneficios, deberá contabilizarse su costo de opor tunidad. Podemos ejemplificar este indicador con el caso desarrollado anteriormente para el cálculo de la TIR. Como vimos, el costo total alcanzaba los tres millones de pesos en dicho ejemplo y los beneficios eran homogéneos dur ante 10 años, equivalentes a 300.000. Si quisiéramos saber el período de recuperación para este proyecto bastaría con sumar los beneficios hasta el momento en que llegaran a los tres millones. Aparentemente en este caso sería hasta el décimo año cuando se recuperará la inversión, sin embargo, si consideramos el costo de oportunidad de cada beneficio hay que observar que cada uno puede obtener productos financieros y de esta manera se reducirá el período de recuperación. Puede verse más claro en las siguientes expresiones: Ingresos anuales = 300 x 10 años = 3.000.000 Al finalizar 10 años tendríamos = $ 3.000.000 Pero como los ingresos anuales deben por lo menos ganar un interés bancario (compuesto) supuestamente del 10%, tenemos que:
  • 170.
    170 Ingresos anuales =300 x factor interés compuesto (15.937) Al final de 10 años tenemos: $ 4.781.100 Por lo tanto el período de recuperación es menor a los diez años. Observando el factor de interés compuesto para anualidades, en nuestras tablas financieras, encontramos los siguientes datos: Año Factor de interés compuesto (A) Ingreso anual Ingreso total 7 8 9.487 11.436 300.000 300.000 2.846.100 3.430.800 Los resultados del período de recuperación están realmente entre el séptimo y el octavo año. Si quisiéramos saber el momento exacto, bastaría con interpolar nuestros datos. 7 + (8 7) 800.430.3100.846.2 100.846.2 + 7 + 1 900.276.6 100.846.2 7 + 10.45 7.45 De donde el momento exacto sería 7 años con 6 meses y 7 días 6.7EVALUACIÓN ECONÓMICA SOCIAL De hecho, hemos dividido el capítulo de evaluación en dos categorías la socioeconómica y la privada. Con frecuencia estos dos enfoques arrojan resultados contrarios, ya que son numerosos los proyectos cuya rentabilidad privada es muy alta, pero cuya contrapartida social es negativa en tanto que, por ejemplo, un gran beneficio privado llega a implicar cuantiosos montos de importación o incluso la explotación, en términos destructivos, de recursos no renovables. Por suerte pueden encontrarse también proyectos que alcanzan una rentabilidad privada aceptable y que además funci onan con ofrecimiento del nivel de empleo más alto posible, de acuerdo a los requerimientos de su producción. Así también utilizan recursos nacionales y fomentan su renovación, explotan racionalmente el ambiente físico donde operan y reinvierten en su mayor proporción los beneficios que obtienen.
  • 171.
    171 Aun cuando, entérminos generales, cabría aceptar la incompatibilidad intrínseca entre la evaluación privada y la social dada la distribución que implica cada una con respecto a la riqueza generada a nivel macro o macroeconómico. No obstante a corto plazo, lo conducente para el proyecto es tratar de buscar coincidencias entre ambas. Existen ramas que históricamente se han caracterizado por no obtener directamente beneficios privados, como son las inversiones en educación, salud, servicios públicos, etc. En turismo, existen casos de inversiones cuyos administradores tienen que operar las empresas prestadoras de servicio a precios muy bajos. Generalmente el Estado, a través de organismos descentralizados y especializados en la prestación de servicios a las clase sociales de menores ingresos, otorga créditos para la construcción de conjuntos turísticos integrales, cerca de los núcleos de población más numerosa. En estas ocasiones los precios a que se ofrece el servicio necesariamente tendrán que tener un nivel que permita y motive el turismo entre los trabajadores de menor ingreso. Si se pretende por otro lado dar el mínimo de servicios indispensables a todo centro turístico y en una categoría decorosa, por lo regular, la evaluación privada tenderá a rechazar este tipo de proyectos, pero la social deberá justificarlos. Ante tales casos, la evaluación económico - social busca tomar en cuenta aspectos que en la privada omite y reformula los datos con que originalmente se trabaja en la construcción y evaluación de todo proyecto. Antes de introducirnos en el desarrollo de algunas metodologías, que recientemente han tratado de solucionar el problema cuantitativo de la evaluación social, es conveniente reconsiderar algunos elementos conceptuales concernientes al proceso de la evaluación en sí. Mediante una figura que insista en la importancia de la planeación sectorial en el caso de la evaluación social de los proyectos. a) Evaluación económica privada Figura 5.1 b) Evaluación Económica Social Información Corrección de parámetros Juicio de rentabilidad financiera Corrección de parámetros según valores socioeconómicos Plan Juicio y decisiones en el sector público y social
  • 172.
    172 Como mencionamos, laevaluación no sólo consiste en realizar juicios ante datos o índices que nos vienen dados; consiste fundamentalmente en corregirlos con base a ciertos criterios económicos, los cuales pueden emanar de fuentes alternativas o convergentes. Los juicios correspondientes vienen después de la corrección. Con singularidad, la evaluación social se caracteriza por un conjunto de adecuaciones en las cuales implícitamente aplica los criterios elegidos. Se habrá notado en la figura 5.1. que se intercaló un filtro entre la evaluación privada y la social. El objetivo de un planificador es comprobar que todo proyecto contribuye a lograr las metas y objetivos planteados a nivel nacional, regional y sectorial. Inclusive en ausencia de un plan, por lo regular existen en nuestros países pronunciamientos del tipo económico político a nivel del sector, en donde podemos encontrar indicaciones sobre el rumbo que trata de imprimírsele a una actividad determinada. Debemos tratar de encontrar las orientaciones generales, para traducirlas en instrumentos técnicos que nos faciliten una evaluación social acertada. Un caso concreto puede reforzar lo antes dicho. Supongamos que el plan nacional específica, como un objetivo de primer orden, aumentar el empleo principalmente en la zona del noreste del país. El sector turismo recogiendo dicho objetivo y dada su prioridad, lo incluye en su plan sectori al y opera la evaluación social de los proyectos que tiene establ ecidos en su programa de inversiones con instrumentos técnicos que reflejan el objetivo mencionado. De esta manera, el organismo oficial encargado del turismo podrá trabajar, por ejemplo, con menores costos de oportunidad a nivel socioeconómico y/o tasas alternativas para aquellos proyectos que se establezcan en la zona que se consideró preferente, resultando finalmente parámetros corregidos que dictaminen beneficios sociales mayores a este tipo de inversiones y con ellos preferencias para apoyarlas en los niveles gubernamentales. Las discusiones técnicas sobre el tema de evaluación social se encuentran en el apartado propio a la definición de una metodología que permita en un grado confiable, corregir los parámetros que nos ofrece el documento de un proyecto. Una corrección definitiva se realiza cuando tomamos el precio de un factor de producción no por su precio en el mercado, sino por su precio social o precio sombra. Imaginemos un proyecto turístico que utiliza en su construcción y mobiliario principalmente productos elaborados en el país donde se localiza. Del otro lado, capta por concepto de ingresos una cantidad importante de moneda extranjera. Suponiendo que el 85% de éstos fuer an dólares estadounidenses y que su pr ecio en el mercado interno llegara a 30 unidades monetarias por dólar, sería erróneo en la evaluación social tomar como bueno este precio en tanto la economía local, por razones de diversas índoles, requiere en forma importante de dicha divisa. Seguramente el precio sombra del dólar tendría en este caso un nivel superior al precio de mercado. En las ciencias sociales siempre se establece la polémica entre los que buscan
  • 173.
    173 constantemente el lenguajematemático como vía para alcanzar juicios absolutistas y aquellos que prefieren el relativismo apoyado en consideraciones, tanto socioculturales como políticas y económicas. Sin embargo, en la evaluación social los métodos cuantitativos se complican ante las dificultades de abarcar sus distintas facetas numéricamente y en especial ante las imprecisiones que se cometan par a corregir los parámetros. En los casos donde no existe un plan que delimite perfectamente la dirección de un sector, sus objetivos y metas, el pr oblema aumenta en for ma considerable. Por ejemplo, si no se sabe con certeza la preferencia que tiene la inversión para turismo interno sobre la destinada a captar turismo externo, o viceversa, no podremos operar en la evaluación social, instrumentos técnicos que introduzcan la diferencia, y por lo tanto tendremos que guiarnos con criterios que quizás no contribuyan al mejor desarrollo del turismo. ¿Qué tan importante puede ser para un país llevar a cabo proyectos donde el capital invertido, el 50% sea para pagar trabajadores? O por el contrario, ¿qué preferencia puede dársele a los intensivos en capital? En realidad, la respuesta depende de criterios macroeconómicos donde coinciden argumentos políticos, sociales, económicos, etc. 6.7.1 Criterios para la evaluación social Parece aceptable explicar los criterios que se manejan en este tipo de evaluación: Políticos En primer lugar, toda evaluación social de un proyecto implica diagnosticar y pronosticar la realidad socioeconómica de un país, así como adoptar una posición ante ella. Si existe desempleo y pobreza, independientemente del trato técnico que justifique un precio social determinado al factor fuerza de trabajo, el reconocimiento político de esta realidad permitirá dar un lugar preferencial al proyecto que con menor capital ofrezca mayores puestos de trabajo. Terno-económicos Dicha evaluación, invoca la aplicación de criterios técnicos que reflejen fielmente la realidad y contribuyan a superarla con métodos cor rectos de aplicación general. Físicos Los criterios de racionalización en el espacio geográfico y en la naturaleza de éste, son especialmente importantes en turismo y de ellos depende frecuentemente la evaluación social de los proyectos destinados a explotar un recurso natural. La aplicación de herramientas técnicas que cristalicen consideraciones de este tipo no tiene muchos antecedentes en la actualidad. Un reto muy fuerte se plantea para ser
  • 174.
    174 resuelto por lasmetodologías de evaluación, cuando se piensa en la posibilidad de incluir parámetros y convergencias que manifiesten argumentos sobre lo positivo o lo negativo que resultaría para el medio ambiente (en su acepción más amplia) que el hombre, en la forma que lo plantee el proyecto, lo explote en su beneficio. 6.7.2 El precio sombra El concepto de precio sombra Como hemos señalado, una de las principales adecuaciones que se efectúan al evaluar socialmente un proyecto, radica en corregir los parámetros del mismo, convirtiendo los precios de mercado, que utiliza, en precios sociales. Ello se basa en la siguiente afirmación: si los mercados están deformados, los precios que de ellos resultan deberán estarl o también . A este precio social suele llamárseles precio sombra como una traducción directa del término inglés shadowprice , que originalmente se usó para denominar a los valores reales que están atrás de cada bien y servicio. Estos valores se encontrarían si se fijaran libremente por el juego de la oferta y la demanda, en el interior de una economía si n mercados alterados por intereses de clase o de grupo. Es difícil encontrar alguna época y algún lugar donde hayan existido formaciones sociales regidas económicamente por mercados libres de tales alteraciones. Sin embargo, dejando a un lado esta discusión histórica de tanta trascendencia, es evidente que en la actualidad todas las economías de mercado se encuentran fuertemente distorsionadas tanto en sus mecanismos de demanda como de oferta. Son estos últimos los que han tendido con mayor fuerza a viciarse por el proceso obligado de concentración, implícito en las economías capi talistas. Por lo tanto, la distribución que sufren los precios de mercados se explica ante las imposiciones y actos de poder que ejercen los oferentes, el Estado y algunas veces los demandantes, en el funcionamiento de los mercados específicos. Ahora bien, ante la existencia y predominio de esos actos de poder que manipulan precios, tarifas, cantidades y calidades, en casi todos los mercados, los precios sombra actúan eliminándolos teóricamente de manera que pueda observarse la auténtica relación beneficio costo, para una economía, como producto de la ejecución y operación de un proyecto en particular. Así, por ejemplo, cuando el Estado interviene (acto de poder) para establecer artificialmente el precio de ciertas divisas por medio de la fijación oficial de tipos de cambio o lo ubica en estrechos límites de flotación, al participar en su mercado con intenciones regulatorias, está determinando un precio de mercado irreal para la divisa. Con el propósito de efectuar una evaluación social correcta para los proyectos en donde intervenga moneda extranjera, se utiliza el valor que ella tendría en ausencia de dicha intervención con el objeto de estimarles sus auténticos beneficios y costos.
  • 175.
    175 El principal problemametodológico radica en encontrar, precisamente, los órdenes de magnitud para los precios sombra , ya que su determinación obliga a efectuar en lo individual. Con frecuencia, las autoridades nacionales no se preocupan por establecer esos coeficientes o no generalizan la información ante el temor de reconocer públicamente situaciones adversas a sus intereses políticos. En efecto, fijar un precio sombra para la fuerza de trabajo requiere tomar en cuenta los niveles de subempleo y desocupación nacional y regional, los cuales no siempre son aceptados políticamente . Lo mismo ocurre con numerosos productos sujetos a subsidios, aranceles, gravámenes diferencia torios, regímenes de oligopolio, diferenciaciones promociónales, etc. En ese sentido, la aplicación de los precios sombra en la evaluación social depende y está sujeta a su previa estimación por parte de las autoridades y organismos técnicos competentes. No obstante, como veremos más adelante, pueden practicarse evaluaciones sociales en ausencia de dichos precios, pero con la aceptación de las imprecisiones que de ello resulte. Por otra parte, al desarrollar el enfoque que envuel ve al concepto de precio sombra podría pensarse que se le dio una inclinación liberal en el sentido ideológicamente antiestatizante que se le da al término. Para evitar interpretaciones erróneas haremos la siguiente aclaración. En primer lugar, es cierto que los distintos mercados, a que dan lugar las complejas economías capitalistas de la actualidad, están manejas y distorsionadas en función de intereses perfectamente por la actividad del Estado (subvenciones, gravámenes proteccionistas, participación gubernamental en los ámbitos de la demanda y la oferta, etc.) o por la actividad de uniones y sindicatos (salario mínimo, prestaciones, etc.), como pretenden argumentar algunos escritos de corte liberal . De hecho, las empresas oferentes iniciaron históricamente la alteración de los mercados, mediante prácticas devastadoras, gracias a sus procesos oligopólicos y de concentración. Como respuesta, el estado, los trabajadores y, en los últimos tiempos, algunos grupos demandantes, han generalizado intervenciones en la economía, en procura de defender intereses ajenos o propios. Como resultado, puede observarse una enorme distancia entre los precios de mercado y aquellos que coadyuvarían a mejorar el beneficio y equilibrio de nuestras sociedades. 6.7.3 Casos de evaluación económica social para proyectos turísticos utilizando el indicador de la tasa interna de retorno (TIR social) 6.7.3.1 Ventajas y desventajas metodológicas en la utilización de la TIR social para la evaluación socioeconómica de proyectos Ventajas Ø Permite una mejor comparación entre proyectos, ya que éstos son evaluados
  • 176.
    176 a partir deun índice específico y bajo una metodología homogénea Ø Considera la remuneración a todos los factores productivos Ø Permite utilizar los precios sombra en estimaciones globales Desventajas Ø No siempre es posible contemplar a través de esta metodología, objetivos de política y de planeación tales como la redistribución personal del ingreso, pues se considera como beneficios todos los que se generan para los propietarios de los factores económicos, sin discriminar Ø La contabilización de los rubros puede ser desigual cuando se utilizan precios sombra porque en algunos casos no se conocen o son de difícil estimación. 6.7.3.2 Método de obtención a) Se contabiliza como beneficios todos los i ngresos obtenidos por los diferentes sectores de la sociedad (ingreso nacional) se registran con signo negativo los pagos al exterior. Producto nacional bruto = ingreso nacional + depreciación + impuestos pagos al exterior v Utilidades, depreciación y amortización de intangibles v Sueldos y salarios v Intereses y beneficios v Arrendamientos v Impuestos Valor agregado b) Se contabilizan como costos, todos los egresos del proyecto v Compra de insumos e inversión CASO 1 Consideramos la evaluación social de un proyecto específico, un complejo hotelero, en este caso, que es financiado con fondos nacionales en su totalidad y cuyas inversiones están ordenadas en el cuadro 5.1. Su estado de resultados se proyectó a diez años de operación y se presenta en el cuadro 5.2. Se trata de evaluarlo socialmente mediante la metodología de la TIR social, o sea su contribución al PIB. Los precios de los factores de la producción NO se contabilizaron según sus precios sociales, para facilitar la comprensión del ejercicio. Se efectúa también la evaluación privada del proyecto para fines de comparación entre la tasa privada y la social.
  • 177.
    177 Características del mercado vEstá orientado hacia un mercado de medios y altos ingresos que requiere las actividades normales en un complejo de playa. La evolución de su demanda se ha estimado en base a series históricas de la afluencia en el lugar, en centros cercanos semejantes y para experiencias similares. Características técnicas v Localización. Zona en auge turístico (costa del Caribe) en área ligeramente alejada del centro turístico principal, pero con atractivos excepcionales. v Dimensionamiento de terrenos 30.000 m2 de superficie total con 10.000 m2 aproximadamente de terrenos para construcción. Los terrenos de construcción han sido localizados en el frente norte de playa en una franja horizontal. v Dimensionamiento de unidades. Las unidades de alojamiento alcanzan una capacidad de di seño de 150 habitaciones. v Se estima un precio promedio anual de $ 300 por persona en cuarto doble. JUICIO DE EVALUACIÓN ECONÓMICA PRIVADA La tasa interna de rentabilidad para el capital privado alcanzó un índice de 10.55%. 1o. Si el capital privado puede encontrar una colocación que le rinda más que el 10.55% anual tomando en cuenta el valor cronológico de sus flujos monetarios, el capitalista privado deberá rechazar el proyecto. 2o. Si la TIR del capital privado es superior a cualquier que éste pudiera obtener, el proyecto en términos de rendimiento al capital deberá ser realizado. 3o. Un elemento de juicio es el riesgo. Si el capitalista encuentra otro proyecto que le ofrezca igual o un poco menos en cuanto a tasa de rendimiento, pero estima que con menor riesgo, por lógica escogerá este otro. Si al contrario, encuentra un proyecto que le ofrece igual o un poco más pero a mayor riesgo, tenderá a escoger el proyecto en cuestión.
  • 178.
    178 Cuadro 5.1 PLAN DEINVERSIONES (CASO 1) (miles de dólares) PIB EMP Rubros Origen del financiamiento 0 1 2 3 4 5 6 7 8 9 10 11 12 13* (A) - - - - - - - - - 0 - o - - o 0 - 0 Inversión fija Infraestructura Terrenos Construcciones (59%) Construcciones (59%) Mobiliario Equipo Vehículos Obras adicionales (60%) Obras adicionales (40%) Préstamo nacional Fondos propios Préstamo nacional Fondos propios Fondos propios Préstamo nacional Préstamo nacional Fondos propios Préstamo nacional 8.500 500 3.000 5.000 7.000 5.000 2.000 20.500 5.000 5.000 3.000 4.500 2.000 1.500 1.500 17.500 400 3.000 5.000 5.000 600 1.000 1.000 1.000 500 Cuadro 5.1 (continuación)
  • 179.
    179 PIB 1 EMP 2 Rubros Origen del financiamiento 01 2 3 4 5 6 7 8 9 10 11 12 13 * B) - C) - D) - - - - Costos de organización Gastos de apertura Adiestramiento de personal Segur e impuestos en la construcción Lencería, enseres y similares Promoción y publicidad Capital de trabajo Imprevistos (10% de A + B + C) Fondos propios Fondos propios Fondos propios 120 862 50 50 180 1.223 600 150 200 150 50 50 220 2.132 300 180 - - - - - - - - Total -9.482 -8.453 -23.452 -1.98 +17.500 1 En las columnas del PIB (producto interno bruto) se inscriben con signo negativo los rubros que implican absorción para la economía nacional para destinarlas al proyecto. 2 En las columnas de Empresarios se inscriben con signo negativo los rubros que implican absorción de recursos propiedad inicial del empresario (capital de riesgo) * Año de recuperación
  • 180.
    180 Cuadro 5.2 Estimación debeneficios en3 la fase de operación PIB 5 Capital privado 5 Conceptos 3 40% 4 50% 0 + 0 0 0 0 0 + 0 0 0 0 0 + 0 + 0 0 O + 0 0 0 0 0 0 0 + 0 0 0 0 0 0 0 0 0 0 + 1. 1 Ingresos Habitaciones (60%) Alimentos (24%) Bebidas (15) Otros (0.1%) 2. Costos de operación 2 Sueldos y salarios reales (72% 1er año) Materias primas Mantenimiento y reparaciones Energía y alumbrado Agua y combustible Otros 3. Depreciación y amortización intangible Utilidades brutas 4. Gastos directos seguros e imprevistos (10%) Utilidades directas 5. Gastos indirectos y de administración (del 8 al 10%) Utilidades antes de gastos financieros 6. Gastos financieros (intereses) y amortizaciones4 Utilidades de operación 7. Impuestos indirectos (4%) 8. Otros ingresos ( + ) Utilidades antes de impuesto 9. Impuesto a la renta (40%) Flujo neto para el empresario 10.800 6.480 2.592 1.600 108 42% 4.536 3.285 907 344 6.264 626 5.638 563 5.075 4.625 450 18 200 268 100 168 13.500 8.100 3.240 2.025 135 43% 5.805 3.777 1.161 867 7.695 769 6.926 692 6.234 4.347.5 1.886.5 75.4 250.0 2.060 824 1.236 Cuadro 5.2. (continuación) 3 Todas la estimaciones son a precios constantes 5 Los signos positivos expresan renglones de beneficios según se trate de capital de riesgo (empresario) o el PIB (social) 1 Los precios de los servicios del proyecto se han mantenido constantes 2 Los salarios suben al 15% anual excepto del año 11 al 12 en que lo hacen al 5% 4 En los gastos financieros se consolidan amortizaciones del principal e intereses sólo para facilitar el cálculo de la evaluación social, la estimación del ISR se efectúa desagregando entre ambos. 20% aprox. madamente
  • 181.
    181 5 60% 6 65% 7 70% 8 75% 9 75% 10 75% 11 75% 12 75% 13 16.200 9.720 3.888 2.460 162 44% 7.128 4.270 1.425 1.433 9.072 907 8.165 816 7.349 4.070 3.279 131 250 3.398 1.359 2.039 17.550 10.530 4.212 2.632 176 45% 7.897 4.763 1.579 1.555 9.653 965 8.688 868 7.820 3.792.5 4.027.5 161 250 4.116 1.646 2.470 18.900 11.340 4.536 2.835 189 46% 8.694 5.256 1.738 1.700 10.026 1.020 9.186 918 8.268 3.515 4.753 190 250 4.813 1.925 2.888 20.250 12.150 4.860 3.037 203 47% 9.517 5.748 1.903 1.866 10.733 1.073 9.660 966 8.694 3.237 5.456.5 218 250 5.488 2.195 3.293 20.250 12.150 4.860 3.037 203 47% 9.517 6.241 1.903 1.373 10.733 1.073 9.660 966 8.694 2.960 5.734 229 250 5.755 2.302 3.453 20.250 12.150 4.860 3.037 203 47% 9.517 6.734 1.903 800 10.733 1.073 9.660 966 8.694 2.682 6.011.5 240 250 6.021 2.408 3.613 20.250 12.150 4.860 3.037 203 47% 9.517 7.227 1.903 387 10.733 1.073 9.660 966 8.694 2.405 6.289 251 250 6.288 2.515 3.773 20.250 12.150 4.860 3.037 203 47% 9.517 7.614 1.903 10.733 1.073 9.660 966 8.694 2.127 6.566.5 262 250 6.578 2.631 3.947 Cuadro 5.3 Alos PrincipalIntereses* Amortización del principal Total gastos financieros 3 4 5 6 7 8 9 10 11 12 18.500.000 16.650.000 14.800.000 12.950.000 11.100.000 9.250.000 7.400.000 5.550.000 3.700.000 1.850.000 2.775.000 2.497.500 2.220.000 1.942.500 1.665.000 1.387.500 1.110.000 832.500 555.500 277.500 1.850.000 1.850.000 1.850.000 1.850.000 1.850.000 1.850.000 1.850.000 1.850.000 1.850.000 1.850.000 4.625.000 4.347.500 4.070.000 3.792.500 3.515.000 3.237.500 2.960.000 2.682.500 2.405.000 2.127.500
  • 182.
    182 Cuadro 5.4 RESUMEN DEINVERSIONES Inversión total: Fondos propios (capital privado) Préstamos nacional (m.n.): $ 43.367.000 24.967.000 18.500.000 100 % 57.3 % 42.66 % Esquema de ingresos (miles de dólares) 3 4 5 6 7 8 9 10 11 12 13 P.I.B. Empresario 8.540 512 11.126 2.103 13.302 3.472 14.387 4.025 15.474 4.588 16.547 5.159 16.558 4.826 16.557 4.493 16.558 4.160 16.581 3.947 17.500 17.500 Esquema de inversiones (miles de dólares) P.I.B. Empresario 0 9.482 3.980 1 8.453 8.453 2 23.452 11.952 3 1.980 480
  • 183.
    183 Cuadro 5.5 P.I.B. (actualizandocapital al 25%) ( tasa social 25%* ) Inversiones Años Montos Factor activo 1 Montos actuales 0 1 2 3 Suma 9.482 8.453 23.452 1.980 -- (0.8000) (0.6400) (0.5120) 9.482.000 6.672.400 15.009.280 1.013.760 32.267.440 Beneficios Años Montos Factor activo Montos actuales 3 4 5 6 7 8 9 10 11 12 13 Suma 8.540 11.126 13.302 14.387 15.474 16.547 16.558 16.557 16.558 16.581 17.500 (0.5120) (0.4096) (0.3277) (0.2621) (0.2097) (0.1678) (0.1342) (0.1074) (0.0859) (0.0687) (0.0550) 4.372.480 4.557.210 4.359.065 3.770.833 3.244.898 2.776.587 2.222.084 1.778.222 1.422.332 1.139.115 962.500 30.605.326 VPN = valor presente neto VPN (25%) = - 32.266 + 30.601.000 VPN (25%) = - 1.662.114 Cuadro 5.6 PIB (actualizando capital al 20% como costo social) ( tasa social 20%** ) * Se considera una posible tasa social de descuento entre 20 y 25%, superior a la del mercado, tomando en cuenta la necesidad de este factor en otras actividades económicas y los efectos sociales favorables que podría generar en otras ramas de mayor impacto intersectorial. 1 )1( 1 i+ * Se considera la tasa de 20% como el costo parcial mínimo exigible en este caso, para una inversión en el factor turismo.
  • 184.
    184 Inversiones Años Montos Factoractivo Monto actualizado 0 1 2 3 Suma 9.482 8.453 23.452 1.980 (0.8333) (0.6944) (0.5787) 9.482.000 7.043.885 16.285.069 1.145.826 33.956.780 Beneficios Años Montos Factor activo Monto actualizado 3 4 5 6 7 8 9 10 11 12 13 Suma 8.540 11.126 13.302 14.387 15.474 16.547 16.558 16.557 16.558 16.581 17.500 (0.5787) (0.4823) (0.4019) (0.3349) (0.2791) (0.2326) (0.1938) (0.1615) (0.1346) (0.1122) (0.0935) 4.942.098 5.366.070 5.346.074 4.818.206 4.318.793 3.858.832 3.208.940 2.673.956 2.228.707 1.860.388 1.636.250 40.248.314 * Se considera la tasa de 20% como el costo parcial mínimo exigible en este caso, para una inversión en el factor turismo VPN (20%) = - 33.956.780 + 40.248.314 VPN (20%) = + 6.291.534 Cálculo TIR social o tasa de rendimiento y contribución del proyecto al PIB TIR = tasa interna de rendimiento o de retorno )7910.0( 648.953.7 534.291.6 114.662.1534.291.6 534.291.6 21 1 + -VPiVPi VPiTIR = i1 + (i2 i1) TIR Social = 20 + (25 20) TIR Social = 20 + 5 TIR Social 20 + 5 TIR Social = 20 + 3.9550 TIR Social = 23.95%
  • 185.
    185 Cuadro 5.7 RENTABILIDAD DELEMPRESARIO (tasa de descuento 12%* ) Inversiones Años Montos Factor activo Monto actualizado 0 1 2 3 Suma 3.982 8.453 11.952 480 (0.0000) (0.8929) (0.7972) (0.7118) 3.982 7.547 9.528 341 21.398 Beneficios Años Montos Factor activo Monto actualizado 3 4 5 6 7 8 9 10 11 12 13 Suma 512 2.103 3.472 4.025 4.588 5.159 4.826 4.493 4.160 3.947 17.500 (0.7118) (0.6355) (0.5674) (0.5066) (0.4523) (0.4039) (0.3606) (0.3220) (0.2875) (0.2567) (0.2292) 364 1.336 1.970 2.039 2.482 2.083 1.740 1.446 1.196 1.013 4.011 19.680 V.P.N. (12%) = - 21.398 + 19.680 = - 1.718 Cuadro 5.8 RENTABILIDAD DEL EMPRESARIO (tasa de descuento 10%) Inversiones Años Montos Factor activo Monto actualizado 0 1 2 3 Suma 3.982 8.453 11.952 480 ( 0 ) (0.9091) (0.8264) (0.7513) 3.982 7.684 9.877 360 21.903 Beneficios Años Montos Factor activo Monto actualizado 3 4 5 6 7 8 512 2.103 3.472 4.025 4.588 5.159 (0.7513) (0.6830) (0.6209) (0.5645) (0.5132) (0.4665) 364 1.436 2.155 2.272 2.354 2.406 * Se considera entre 10 y 12% el costo de oportunidad para el capital a nivel privado, tomando en cuenta la tasa bancaria positiva (por encima de la inflación).
  • 186.
    186 9 10 11 12 13 Suma 4.826 4.493 4.160 3.947 17.500 (0.4241) (0.3855) (0.3505) (0.3186) (0.2897) 2.046 1.733 1.458 1.257 5.069 22.570 VPN (10%) =21.903 + 22.570 = + 667 Cuadro 5.9 CÁLCULO DE LA TASA INTERNA DE RETORNO PARA EL CAPITAL PRIVADO Fórmula TIR = 21 1 121 )( VPiVPi VPi iii - -+ Sustituyendo: %55.10 5594.010 )2797.0(210 385.2 667 210 718.1667 667 )1012(10 = += += += + -+= TIR TIR TIR TIR TIR Esquema de decisión privada Decisión analizada Proyecto Otra opción Riesgo 1. SI 2. NO 3. SI 4. NO Ejecutó el proyecto Ejecutó el proyecto Ejecutó el proyecto Ejecutó el proyecto 10.55% > 10.55% < 10.55% = 10.55% = X1 X1 X1 X1 Menor riesgo del proyecto Menor riesgo de la otra opción Menor riesgo en 10.55% Menor riesgo en X JUICIO DE LA EVALUACIÓN ECONÓMICA SOCIAL Los resultados encontrados nos dan un índice de rentabilidad social equivalente a una tasa de 23.95%.
  • 187.
    187 Si se consideraque está por arriba de la tasa social de descuento que rija en el país para el factor capital, el proyecto es bueno y debe realizarse (según la perspectiva del beneficio nacional). Por el contrario, si estuviese por debajo de dicha tasa, tendrá que rechazarse en función de este criterio. Existen otros indicadores para evaluación social y además ponderaciones. Estas últimas se realizan a través de un análisis cualitativo y cuantitativo de los efectos socioeconómicos que puede representar para el país y la región, la ejecución del proyecto; en especial, se toman en cuenta sus impulsos favorables al crecimiento de otras ramas por medio de un análisis intersectorial, la creación de empleo y el mejoramiento de las condiciones económicas y ambientales en la zona donde se ubica. No obstante, es conveniente recordar que una de las grandes ventajas del índice de la TIR social es la facilidad que brinda para comparar y asegurar jerarquías a los proyectos. Por ejemplo, supongamos que una vez efectuada la evaluación del proyecto en función de los intereses del capital privado o propio, el empresario (o la asociación civil respectiva) decide llevarlo adelante. Como para ejecutar el proyecto se requieren los préstamos solicitados y ellos dependen de la aprobación de las instituciones públicas encargadas de la planeación en el sector, éstas evalúan socialmente el proyecto en cuestión y encuentran que tiene una TIR social de 23.95%. Si existiese otro proyecto que compitiese con esta inversión y su tasa interna de rendimiento social fuese más alta, los préstamos nacionales se aprobarían para el segundo proyecto ci tado. De esta manera, se ejercería una planeación indirecta ya que la jerarquía y la prioridad se conferirían con un criterio social. Esquema de deci sión del sector público Decisión de la entidad pública encargada de planeación Proyecto analizado Proyecto competitivo 1. Se aprueba el crédito al proyecto analizado. 2. Se aprueba el crédito al proyecto competitivo. 3. Se pasa a otros indicadores y a ponderaciones socioeconómicas. 4. *Se pasa a otros indicadores y a ponderaciones socioeconómicas. 23.95% > X 23.95% < X 23.95% = X 23.95% > X 23.95% < X * Cuando existe desacuerdo sobre lo acertado que puede ser el indicador de la TIR social para evaluar socialmente un proyecto a partir de esta metodología, se pasa a ratificar o rectificar el juicio de aprobación, mediante otros índices o consideraciones, antes de tomar la decisión final.
  • 188.
    188 Como mencionamos, nose han corregido los precios de mercado en los factores que intervienen dentro del proyecto analizado, a excepción hecha del capital. Si lo hiciésemos tendríamos que desagregar los ingresos según se recibieran de turismo extranjero y turismo nacional, la pare darle al primero una valoración adecuada según el precio sombra que se asignase en el país a las divisas. Si la moneda nacional está subvaluada, los ingresos en divisas se incrementarán. Asimismo, las compras de activos en el extranjero incrementarán su valor al ser corregidos sus precios de mercados por precios sociales . En el caso de la fuerza de trabajo, habría que estimar el costo social que implica destinar los empleados respectivos al proyecto analizado. Si estaban desocupados el beneficio comprende la totalidad de los sueldos y salarios registrados* ; si estaban ocupados en otras actividades, habrá que contabilizar el costo de oportunidad correspondiente que equivale en rasgos generales a la producción que generaban anteriormente. Para las materias primas y otros insumos estimar las desviaciones que contengan sus precios de mercado suele ser más complicado; si puede realizarse, habrá que hacerlo. También conviene estudiar el caso concreto del factor tierra, para los terrenos que serán utilizados por el proyecto. Si estaban aplicados a una actividad productiva o podían hacerlo, sus costos de oportunidad deberá registrarse en lugar de su costo monetario en función del ingreso que pudiese obtenerse de su utilización. CASO 2 Introducción. En el caso 1 se ha supuest o que todos los fondos son n acionales y que aun cuando pudieran existir compras de activos de origen extranjero, no hay participación de capitales foráneos y por lo tanto salida de divisas en términos de pagos o retribuciones directas y constantes. Si n embargo, en América Latina un gran número de proyectos turísticos se emprenden con la participación de fondos extranjeros, lo que provoca normalmente que buena parte de los rendimientos obtenidos del proyecto salgan del país durante su etapa de oper ación La concurrencia de capital externo en las inversiones que se llevan a cabo dentro de un país, se consideran y evalúan en función de la política general que cada nación tenga a este respecto. Tanto los créditos como la inversión extranjera directa son elementos sobre los cuales se ejercen decisiones de nivel macroeconómico, político y social. No obstante, tales decisiones deben tener su expresión en instrumentos técnicos concretos, que pueden ser aplicados por las oficinas de planeación en cada sector y para cada situación. En este sentido, la metodología que aquí se presenta es sólo una de tantas posibilidades a emplear en la evaluación social de proyectos con participación de capital extranjero; uno de sus objetivos es proteger en la medida de lo posible, las * En algunos casos se les deduce una pequeña cantidad según el salario de reserva que se estime.
  • 189.
    189 economías internas, sancionandola salida de divisas y estimulando su entrada para lo que se utilizan correctores (véase segunda parte del ejercicio), y eventualmente tasas adicionales que penalicen las compras de activos en el extranjero. Por otra parte, según esta metodología, el crédito y la inversión extranjera no le presentan al país directamente un costo, ya que es capital que proviene del exterior y por lo tanto no tiene que distraerse de otras actividades al interior de la economía nacional. En cambio los pagos al exterior, aun cuando son ingresos para los factores productivos que intervienen en el proyecto, debido a que salen del país, no se contabilizan como beneficios desde el punto de vista del PIB. Tomando el proyecto del caso 1 podemos introducirle variables de acuerdo a esta nueva situación (caso 2 participación de capital extranjero), y trabajar con precios sociales para los recursos nacionales (primera parte) y las divisas,; (segunda parte) suponiendo que la inmensa mayoría de la mano de obra por ocupar estaba desocupada y la tierra a comprometer, ociosa. Primera parte Caso 2 Cuadro 10 ESTRUCTURA DEL CAPITAL Concepto Monto % según origen % sobre inversión total Préstamo externo Préstamo nacional Empresario extranjero Empresario nacional Totales 12.500.000 6.000.000 10.397.000 14.470.000 43.367.000 67.67% 32.33% 58.19% 41.81% 28.52% 13.84% 33.37% 23.97% 100.00% Cuadro 5.11 DESGLOSE DE LA ESTRUCTURA FINANCIERA Préstamo nacional Año Principal Intereses* Amortización Total pagos Financiamiento interno 3 4 5 6 7 8 9 10 11 12 6.000.000 5.400.000 4.800.000 4.200.000 3.600.000 3.000.000 2.400.000 1.800.000 1.200.000 600.000 900.000 810.000 720.000 630.000 540.000 450.000 360.000 270.000 180.000 90.000 600.000 600.000 600.000 600.000 600.000 600.000 600.000 600.000 600.000 600.000 1.500.000 1.410.000 1.320.000 1.230.000 1.140.000 1.050.000 960.000 870.000 780.000 690.000 Totales 4.950.000 6.000.000 10.950.000 * 15% anual sobre saldos insolutos
  • 190.
    190 Préstamo externo Año PrincipalIntereses* 15% sobre saldos insolutos Amortización Total pagos Financiamiento externa 3 4 5 6 7 8 9 10 11 12 12.500.000 11.250.000 10.000.000 8.750.000 7.500.000 6.250.000 5.000.000 3.750.000 2.500.000 1.250.000 1.000.000 900.000 800.000 700.000 600.000 500.000 400.000 300.000 200.000 100.000 1.250.000 1.250.000 1.250.000 1.250.000 1.250.000 1.250.000 1.250.000 1.250.000 1.250.000 1.250.000 2.250.000 2.150.000 2.050.000 1.950.000 1.850.000 1.750.000 1.650.000 1.550.000 1.450.000 1.350.000 Totales 4.950.000 6.000.000 10.950.000 * 8% anual sobre saldos insolutos
  • 191.
    191 Cuadro 5.12 PLAN DEINVERSIONES (miles de dólares) PIB EMP Rubros 1 Origen del financiamiento 0 1 2 3 4 5 6 7 8 9 10 11 12 13* 0 - - 0 0 - - 0 0 0 - - 0 - 0 0 0 0 Inversión fija Préstamo externo Terrenos Construcciones (50%) Construcciones (60%) Mobiliario2 Equipo 3 Vehículos Obras adicionales (66%) Obras adicionales (34%) Préstamo externo Empresario nacional Empresario nacional Préstamo externo Empresario foráneo Préstamo nacional Préstamo nacional Empresario foráneo Préstamo externo 8.500 500 3.000 5.000 7.000 5.000 2.000 20.500 5.000 5.000 3.000 4.500 1.000 2.000 1.500 1.500 Subtotales 17.500 400 3.000 5.000 5.000 600 1.000 1.000 1.000 500
  • 192.
    192 Cuadro 5.12 (continuación) PIBEMP Rubros1 Origen del financiamiento 0 1 2 3 4 5 6 7 8 9 10 11 12 13* * - - - - 0 Totales - - - - - - Cotos de organización Gastos de apertura Adiestramiento de personal Segur e impuestos en la construcción Lencería, enseres y similares Promoción y publicidad Capital de trabajo Imprevistos Empresario nacional Empresario nacional Empresario nacional Empresario nacional Empresario nacional Empresario nacional Empresario nacional Empresario extranjero 120 862 9.482 50 50 180 1.223 8.453 600 150 200 150 50 50 220 2.132 23.452 300 180 1.980 Subtotales Subtotales Subtotales 17.500* 1 Se consideran con signo negativo los rubros que implican comprometer recursos en el proyecto, según se trate de la economía nacional (PIB) o del empresario (capital de riesgo) 0 = sin extracción de recursos - = con extracción de recursos 2 El mobiliario se compra fuera del país 3 El equipo se compra fuera del país * Año de recuperación de activos fijos
  • 193.
    193 Cuadro 5.13 FLUJOS DEEFECTIVO EN LA FASE DE OPERACIÓN3 (miles de dólares) Empres ario naciona PIB Capital privado Conceptos Años de operación y porcentajes de ocupación (estimación rigurosa) 3 40% 4 50% 5 60% 6 65% 7 70% 8 75% 9 75% 10 75% 11 75% 12 75% 13 0 0 0 0 0 0 0 0 + 4 0 0 0 0 0 0 0 0 0 0 0 0 1. Ingresos Habitaciones (60%) Alimentos (24%) Bebidas (15%) Otros (0.1%) 2. Costos de operación 2 Sueldos y salarios reales 1er año 72% Materias primas Mantenimiento y reparaciones Energía y alumbrado Agua y combustibles Otros 10.800 6.480 2.592 1.600 108 42% 4.53% 3.285 907 13.500 8.100 3.240 2.025 135 43% 5.805 3.777 1.161 16.200 9.720 3.888 2.430 162 44% 7.128 4.270 1.425 17.550 10.530 4.212 2.632 176 45% 7.897 4.763 1.579 18.900 11.340 4.536 2.835 189 46% 8.694 5.256 1.738 20.250 12.150 4.860 3.037 203 46% 9.517 5.748 1.903 20.250 12.150 4.860 3.037 203 47% 9.517 6.241 1.903 20.250 12.150 4.860 3.037 203 47% 9.517 6.734 1.903 20.250 12.150 4.860 3.037 203 47% 9.517 7.227 1.903 20.250 12.150 4.860 3.037 203 47% 9.517 7.614 1.903 20%APROX. ..
  • 194.
    194 Cuadro 5.13 (continuación) Empres ario naciona PIB Capital privadoConceptos Años de operación y porcentajes de ocupación (estimación rigurosa) 3 40% 4 50% 5 60% 6 65% 7 70% 8 75% 9 75% 10 75% 11 75% 12 75% 13 0 0 0 0 0 0 0 0 0 0 0 0 0 0 0 0 0 0 0 + 0 0 0 0 0 + 0 0 0 0 0 0 0 0 0 0 0 3. Depreciación y amortización intangible Utilidades brutas 4. Gastos directos seguros e imprevistos (10%) Utilidades directas 5. Gastos indirectos y de administración (del 8 al 10%)* Utilidades antes de gastos financieros 6. Amortización e intereses del crédito externo 6 Amortización a intereses al préstamo nacional Utilidad de operación 7. Impuestos indirectos (4%) 8. Otros ingresos ( + ) 344 6.264 626 5.638 563 5.075 2.250 1.500 1.325 53 200 20 6 867 7.695 769 6.926 692 6.234 2.150 1.410 2.674 106 250 20 6 1.433 9.072 907 8.165 816 7.349 2.050 1.320 3.979 159 250 20 6 1.555 9.663 965 8.688 868 7.820 1.950 1.230 4.640 185 250 20 6 1.700 10.206 1.020 9.186 918 8.268 1.850 1.140 5.278 211 250 20 6 1.866 10.733 1.073 9.660 966 8.694 1.750 1.050 5.894 235 250 20 6 1.373 10.733 1.073 9.660 966 8.694 1.650 960 6.084 243 250 20 6 880 10.733 1.073 9.660 966 8.694 1.550 870 6.274 251 250 20 6 387 10.733 1.073 9.660 966 8.694 1.450 780 6.464 258 250 20 6 10.733 1.073 9.660 966* 8.694 1.350 690 6.654 266 250 20 6
  • 195.
    195 9. Usos depatentes y marcas extranjeras 10. Gastos de comercialización en el extranjero
  • 196.
    196 Empres ario naciona PIB Capital privado Conceptos Años deoperación y porcentajes de ocupación (estimación rigurosa) 3 40% 4 50% 5 60% 6 65% 7 70% 8 75% 9 75% 10 75% 11 75% 12 75% 13 0 0 0 0 0 0 + + 0 0 + 0 0 0 + + 0 0 0 + 0 0 0 0 11. Gastos de comercialización en el país Utilidades de impuestos directos 12. Impuestos a la renta (40%) Utilidades netas Utilidades para el empre-sario extranjero (41.81%) Depreciación y amortiza-ción de intangibles al capital extranjero (41.81%) Depreciación y amortiza-ción de intangibles atribui- bles al capital nacional (58.19%) Utilidades para el empre-sario nacional (58.29%) 4 1.442 576 866 362 143 201 504 4 2.788 1.115 1.673 699 362 505 974 4 4.040 1.616 2.424 1.013 599 834 1.411 4 4.675 1.870 2.805 1.172 650 905 1.633 6 5.282 2.112 3.170 1.325 710 990 1.845 6 5.875 2.350 3.524 1.473 780 1.086 2.051 6 6.112 2.444 3.668 1.533 574 799 2.135 6 6.310 2.524 3.786 1.583 362 512 2.203 6 6.507 2.602 3.905 1.633 161 226 2.272 6 6.705 2.682 4.023 1.682 2.341 * Sobrestimado para seguridad 1 Los precios de los servicios del proyecto se han mantenido constantes 2 Los salarios suben al 15% anual excepto del año 11 al 12 que lo hacen al 5%
  • 197.
    197 3 Los pronósticos seefectúan a precios constantes 4 Los signos positivos señalan los renglones a ser considerados como flujos de efectivo (beneficios) según se trate del PIB, del capital de riesgo (empresario) o del capital total (capital privado). Este último no desglosa entre nacional y extranjero 0 = sin aportaciones de recursos + = con aportación de recursos
  • 198.
    198 Cuadro 5.14 FLUJOS DEEFECTIVO SEGÚN DIFERENTES PARTICIPANTES EN EL PROYECTO Sujetos de la evaluación 0 1 2 3 4 5 6 7 8 9 10 11 12 13* Capital privado Empresario nacional PIB - 8.982 - 8.120 - 8.120 - 3.453 - 230 - 230 - 11.952 - 5.820 - 10.320 + 730 + 405 + 4.319 + 2540 + 1.479 + 7.887 + 3.857 + 2.245 + 9.610 + 4.360 + 2.538 + 10.586 + 4.870 + 2.835 + 11.554 + 5.386 + 3.137 + 12.520 + 5.041 + 2.934 + 12.822 + 4.666 + 2.715 + 13.094 + 4.292 + 2.498 + 13.635 + 4.023 + 2.341 + 13.593 + 17.500 + 10.183 + 10.183 * Año de recuperación de activos fijos
  • 199.
    199 Cuadro 5.15 CÁLCULO DELVALOR PRESENTE NETO PARA EL CAPITAL PRIVADO, SUPONIÉNDOLE UN COSTO DE OPORTUNIDAD DEL 12%* Inversiones Años Montos (Factor activo) Inversiones actualizadas 0 1 2 3 Suma - 8.982 - 3.453 - 11.952 (0.8929) (0.7972) - 8.982 - 3.083 - 9.528 - 21.593 Ingresos Años Montos (Factor activo) Ingreso actual 3 4 5 6 7 8 9 10 11 12 13 Suma + 730 + 2.540 + 3.857 + 4.360 + 4.870 + 5.386 + 5.041 + 4.666 + 4.292 + 4.023 + 17.500 (0.7118) (0.6355) (0.5674) (0.5066) (0.4523) (0.4039) (0.3606) (0.3220) (0.2875) (0.2567) (0.2292) 519 1.614 2.188 2.208 2.202 2.175 1.817 1.502 1.233 1.032 4.011 20.501.00 V.P.N. = - 21.593 + 20.501 = - 1.092 * Se supone una tasa competitiva de 12% al capital privado y con ella se calcula el V.P.N. del proyecto según el capital privado total.
  • 200.
    200 Cuadro 5.16 CÁLCULO DELVPN PARA EL CAPITAL PRIVADO SUPONIENDO UN COSTO DE OPORTUNIDAD DE 10%* Inversiones Años Montos Factor activo Inversiones actualizadas 0 1 2 3 Suma - 8.982 - 3.453 - 11.952 (0.9091) (0.8264) - 8.982 - 3.139 - 9.877 - 21.998 Ingresos Años Montos Factor activo Ingresos actualizados 3 4 5 6 7 8 9 10 11 12 13 Suma + 730 + 2.540 + 3.857 + 4.360 + 4.870 + 5.386 + 5.041 + 4.666 + 4.292 + 4.023 + 17.500 (0.7513) (0.6830) (0.6209) (0.5645) (0.5132) (0.4665) (0.4241) (0.3855) (0.3505) (0.3186) (0.2897) + 548 + 1.734 + 2.394 + 2.461 + 2.449 + 2.512 + 2.137 + 1.798 + 1.504 + 1.281 + 5.069 23.937 V.P.N.(10%) = - 21.998 + 23.937 = - 1.939 Cuadro 5.17 CÁLCULO TIR PARA EL CAPITAL PRIVADO EN ESTE PROYECTO Fórmula: TIR = i1 + (i2 i1) ú û ù ê ë é - 21 1 VPiVPi VP Sustituyendo valores: * Se supone ahora una tasa competitiva de 10% (más baja que la anterior) para obtener en estas nuevas cantidades el V.P.N. de nuestro proyecto según los intereses globales del capital privado.
  • 201.
    201 TIR = 10+ (12 10) úû ù êë é + 092.1939.1 939.1 TIR = 10 + 2 úû ù êë é 031.3 939.1 TIR = 10 + 2 [0.64] TIR = 10 + 1.28 TIR + 11.28% Cuadro 5.18 CÁLCULO DEL VALOR PRESENTE NETO PARA EL CAPITAL DEL EMPRESARIO NACIONAL SUPONIÉNDOLE UN COSTO DE OPORTUNIDAD DEL 12%* Inversiones Años Montos Factores actualizados Inversiones actualizadas 0 1 2 Suma - 8.120 - 230 - 5.820 (0.8929) (0.7972) - 8.120 - 205 - 4.639 - 12.964 Beneficios Años Montos Factores actualizados Ingresos actualizados 3 4 5 6 7 8 9 405 1.479 2.245 2.538 2.835 3.137 2.934 (0.7118) (0.6355) (0.5674) (0.5066) (0.4523) (0.4039) (0.3606) 288 939 1.273 1.285 1.282 1.267 1.058 Beneficios Años Montos Factor activo Beneficios actualizados 10 11 12 13 Suma 2.715 2.498 2.341 10.183 (0.3220) (0.2875) (0.2567) (0.2292) 874 718 600 2.333 + 11.917 VPN (12%) = - 12.964 + 11.917 = + 1.047 * Se supone que ésta es una de las tasa competitivas en el mercado nacional
  • 202.
    202 Cuadro 5.19 CÁLCULO DELVPN PARA EL CAPITAL DEL EMPRESARIO NACIONAL SUPONIÉNDOLE UN COSTO DE OPORTUNIDAD DEL 10% Inversiones Años Montos Factor activo Inversión actualizada 0 1 2 3 Suma - 8.120 - 230 - 5.820 ------------ (0.9091) (0.8264) ------------- - 8.120 - 209 - 4.809 ------------- - 13.138 Beneficios Años Montos Factor activo Beneficios actualizados 3 4 5 6 7 8 9 10 11 12 13 Suma 405 1.479 1.145 2.538 2.835 3.137 2.934 2.715 2.498 2.341 10.183 (0.7513) (0.6830) (0.6209) (0.5645) (0.5132) (0.4665) (0.4241) (0.3855) (0.3505) (0.3186) (0.2897) 304 1.010 1.393 1.432 1.454 1.163 1.244 1.046 845 745 2.950 + 13.913 VPN (10%) = - 13.138 + 13.913 = + 775
  • 203.
    203 Cuadro 5.20 CÁLCULO DELA TIR PARA EL EMPRESARIO NACIONAL EN ESTE PROYECTO Fórmula: ú û ù ê ë é - -+= 21 121 )( VPiVPi VP iiiTIR Sustituyendo valores: [ ] %84.10 84.010 42.0210 1822 775 210 047.1775 775 )1012(10 = += += úû ù êë é += ú û ù ê ë é + -+= TIR TIR TIR TIR TIR Cuadro 5.21 CÁLCULO DEL VALOR PRESENTE NETO PARA LA CONTRIBUCIÓN DEL PROYECTO AL PIB, SUPONIÉNDOLE AL CAPITAL NACIONAL UN COSTO DE OPORTUNIDAD SOCIAL QUE INCLUYE EFECTOS EN OTRAS RAMAS EQUIVALENTE AL 25% Inversiones Años Montos Factor activo Inversiones actualizadas 0 1 2 3 Suma - 8.120 - 230 - 10.320 ------------ (0.8000) (0.6400) ------------- - 8.120 - 184 - 6.604 ------------- - 14.908 Beneficios Años Montos Factor activo Beneficios actualizados 3 4 5 4.314 7.887 9.610 (0.5120) (0.4096) (0.3277) 2.208 3.230 3.149
  • 204.
    204 6 7 8 9 10 11 12 13 Suma 10.586 11.554 12.520 12.822 13.094 13.365 13.593 20.183 (0.2621) (0.2097) (0.1678) (0.1342) (0.1074) (0.0859) (0.0687) (0.0440) 2.774 2.422 2.100 1.720 1.406 1.148 650 560 + 21.650 VPN PIB(25%) = - 14.908 + 21.650 = + 6.742 Cuadro 5.22 CÁLCULO DEL VPN PARA LA CONTRIBUCIÓN DEL PROYECTO AL PIB, SUPONIÉNDOLE AL CAPITAL NACIONAL (O DE ORIGEN INTERNO) UN COSTO DE OPORTUNIDAD SOCIAL (QUE INCLUYE EFECTOS EN OTRAS RAMAS) EQUIVALENTE AL 35% Inversiones Años Montos Factor activo Inversiones actualizadas 0 1 2 3 Suma - 8.120 - 230 - 10.320 ------------ (0.7407) (0.5487) ------------- - 8.120 - 170 - 5.662 ------------- - 13.952 Beneficios Años Montos Factor activo Beneficios actualizados 3 4 5 6 7 8 9 10 11 4.314 7.887 9.610 10.586 11.554 12.520 12.822 13.094 13.365 (0.4064) (0.3011) (0.2330) (0.1652) (0.1224) (0.0906) (0.0671) (0.0497) (0.0368) 1.753 2.374 2.140 1.748 1.414 1.134 860 650 491
  • 205.
    205 Suma Beneficios Años Monto Factoractivo Beneficios actualizados 12 13 Suma 13.593 10.183 (0.0273) (0.0202) 371 205 + 13.140 VPN PIB (35%) = - 13.952 + 13.140 = - 812 Cuadro 5.23 CÁLCULO DE LA TIR SOCIAL DEL PROYECTO, EN BASE A SU CONTRIBUCIÓN AL PIB Fórmula: ú û ù ê ë é - -+= 21 121 )( VPiVPi VP iiiTIR Sustituyendo valores: [ ] %92.33 92.825 8925.01025 554.7 742.6 1025 812742.6 742.6 )2535(25 = += += úû ù êë é += úû ù êë é + -+= TIR TIR TIR TIR TIR Segunda parte Caso 2 Evaluación social del proyecto considerando su impacto en la balanza de pagos y precio sombra de las divisas Suponiendo que para este caso hipotético el precio sombra de las divisas supera en 48% el precio de mercado oficial o tipo de cambio nominal y asumiendo que sólo hay uno de éstos para cualquier tipo de transacción, tendremos que tanto las inversiones, como los ingresos y egresos que se efectúan en divisas deberán multiplicarse por un factor de conversión que dé, a sus correspondientes montos, su valor social. Tal factor será: 1.48. Todas las cifras siguientes se expresan en miles de pesos.
  • 206.
    206 Inversiones Años Monto Factorde conversión Inversiones a precios sombra 0 1 2 2 3 Suma + 1.362 + 8.223 + 10.132 - 4.500 + 180 + 15.397 (1.48) (1.48) (1.48) (1.48) (1.48) + 2.015 + 12.170 + 14.995 - 6.660 + 266 + 22.786 Beneficios: En el estudio de mercado se estima que la demanda futura del proyecto turístico en estudio, estará comprendida en un 60% de turistas nacionales y en un 40% de turistas extranjeros. Por lo tanto, los ingresos de divisas equivaldrían a un 40% aproximadamente del total. En este sentido se calcula la entrada de divisas al país por gasto turístico atribuible al proyecto en dicha proporción. Beneficios Años Montos totales % turismo extranjero (40%) Factor conversión Divisas a precio sombra 3 4 5 6 7 8 9 10 11 12 13 Suma 10.800 13500 16.200 17.550 18.900 20.250 20.250 20.250 20.250 20.250 20.250 198.450 4.320 5.400 6.480 7.020 7.560 8.100 8.100 8.100 8.100 8.100 8.100 79.380 (1.48) (1.48) (1.48) (1.48) (1.48) (1.48) (1.48) (1.48) (1.48) (1.48) (1.48) 6.393 7.992 9.590 10.389 11.188 11.988 11.988 11.988 11.988 11.988 11.988 117.482 Total positivos = inversiones + ingresos = 22.786 + 117.482 = 140.268
  • 207.
    207 Egresos (gastos deoperación) Conceptos a) Materias primas, reparaciones y combustibles; algunos de los insumos para los departamentos de alimentos y bebidas, así como refacciones y combustibles, son importados por lo que previo a un estudio sobre el porcentaje de importaciones se estimó una cantidad relativa sobre los costos de operación registrados en paquete y equivalentes al 20% del total (véase cuadro 5.14 Estado de resultados). Dicha cantidad (asignable a salida de divisas por importaciones) es de 25% o sea el 5% de los gastos de operación totales. Ejemplificando, tenemos: Concepto Años 3 4 5 6 12 Paquete Costos de operación Sueldos y salarios Materias primas Mantenimiento y reparaciones Energía y alumbrado Agua y combustibles Otros Depreciación y amortización de intangibles % Importado 4.536 907 226* 5.805 1.161 290 7.128 1.425 356 7.897 1.579 394 9.517 1.903 475 b) Amortización e intereses al crédito extranjero; en tanto salida de divisas, este concepto debe registrarse con signo negativo para la evaluación específica que busca observar el impacto del proyecto en la balanza de pagos. c) Uso de patentes y marcas extranjeras d) Gastos de comercialización en el extranjero e) Utilidades para el empresario extranjero f) Depreciación y amortización de intangibles, atribuibles al capital extranjero g) Monto de recuperación final (año 13) para el capital extranjero Resumen de egresos Concepto Montos totales Factores de conversión Egresos a costo social a 4.075 (1.48) 6.031 * La cantidad de 226 es un porcentaje equivalente al 25% de 907 (del grupo denominado paquete ) y resulta ser el 5% de 4536 correspondiente a los costos totales de operación.
  • 208.
    208 b c d e f g Suma 18.000 200 0 12.475 4.346 7.316 (1.48) (1.48) (1.48) (1.48) (1.48) (1.48) 26.640 296 88 18.463 6.432 10.827 - 68.777 Estimación dela contribución del proyecto a la balanza de pagos del país. Entrada de divisas: + 140.268 . Salida de divisas : - 68.777. Diferencia : + 71.491 La diferencia es favorables al país por: + 71.491 Nota aclaratoria. De tenerse certeza e investigados los coeficientes de importación para los bienes y servicios requeridos durante la inversión inicial del proyecto, deberán descontarse las sumas respectivas al total de ingresos en divisas registra durante tales inversiones. En nuestro ejemplo, a los 11.786 (miles de pesos). 6.7.4 Utilización de otros indicadores 6.7.4.1 Ocupación directa por unidad de capital Cuando uno de los objetivos prioritarios es dar ocupación a la mano de obra desempleada o subocupada, uno de los índices más importantes en la decisión y asignación de prioridades sobre los proyectos de inversión, es el número de empleos que se pueden crear por cada unidad de capital invertido. En turismo este aspecto depende esencialmente, del tipo de turista a cuya demanda esté dirigido el proyecto y de la calidad de las instalaciones con que éste se configure. Además, cada país tiene relaciones diferentes según las formas que adquiere en cada sector la prestación de servicios. Tomando en cuenta los elementos antes anotados, deberá medirse la ocupación directa que genera cada unidad de capital en el proyecto específico de que se trate, y comparárselo con el promedio de la zona o con proyectos que le sean competitivos. La obtención de este indicador es sumamente sencilla y está dada por la siguiente razón: Capital total invertido ------------------------------------------------------- Número de empleos directos generados El capital total invertido incluye tanto el financiamiento (créditos) como el capital privado sin importar su origen.
  • 209.
    209 En el númerode empleos directos, para efectos de comparación entre diferentes proyectos (dentro de una misma rama económica), conviene contabilizar solamente las plazas creadas durante la operación y como trabajadores de planta o fijos. Sobre los empleos en la ejecución, los variables o los indirectos, es recomendable utilizar otros indicadores que los registre, pero aparte de los puestos normales y estables. En el ejemplo que hemos venido manejando cabe suponer que para 150 habitaciones que tendría el complejo turístico, se crearán aproximadamente 150 empleos fijos de acuerdo a los índices del país y la calidad de los servicios que se esperan para el proyecto. Si la inversión total alcanza $ 43.367.000 . a precios de mercado, se obtendrá el siguiente índice: 113.289$ 150 000.367.43 .... ... == GDEN ITC por ejemplo En el cuadro índices de relación empleo directo/habitación turística según distintos países se ofrecen distintos indicadores para el caso de la hotelería, referidos a empleos directos. Puede observarse la gran diferencia entre casos como el de la Unión Americana (0.48) y el continente africano (1.8) ,explicados por sus diferencias tecnológicas. Tales indicadores (a 1975) seguramente han tendido a separarse aún más en los últimos años. Índices de relación empleo directo/habitación turística según distintos países Número de empleados/habitaciones (índices a 1975) Internacional Europa E.U.A. Canadá Medio Oriente Asia Extremo Oriente Australia Hawai, Islas del Pacífico México América Central América del Sur Caribe África 0.94 0.79 0.48 0.84 1.03 1.64 1.05 0.95 0.83 1.06 1.11 1.10 1.20 1.80 Fuente: Citado por el documento Estudios Preliminares sobre la inversión hotelera. Elementos: producto, mercado y rendimiento previsible de producción. Christian Laporte según estadísticas de L&H, WorldwideOperationStatistics, PKF and C. International Hotel Trenes.
  • 210.
    210 6.7.4.2 Intensidad decapital Capital ----------------------------------------------------------- Valor bruto anual de producción (promedio) Uno de los indicadores que nos permiten tener una idea de la eficiencia con que se utilizaría uno de los factores de producción más escasos en los países atrasados, o sea el capital, surge de relacionar la inversión total de éste con el valor bruto anual de producción que indirectamente contribuye a lograr mediante el proyecto en estudio. En nuestro ejemplo las cifras quedarían como sigue: 2433.0 000.200.178 000.367.43 6.7.4.3 Relación valor agregado/capital Una modalidad y simplificación a la tasa de rendimiento social ejemplificada en los casos 1 y 2 ya vistos, es el índice que relaciona directamente el valor agregado generado por el proyecto y el capital total que en él se emplea, de manera que se pueda observar superficialmente la eficacia con que se utiliza el capital según el interés social. Capital total e = ----------------------- Valor agregado En nuestro ejemplo: 2658.0 000.130.163 000.367.43 = 6.7.4.4 Índice de relación ingresos al trabajador Retribución a la fuerza de trabajo Relación: ----------------------------------------------------- Valor agregado total del proyecto
  • 211.
    211 El objetivo delindicador es observar el porcentaje del valor agregado generado por el proyecto que se convierte en ingresos para los trabajadores. Es necesario aclarar que en muchos planes nacionales se destaca dentro de los objetivos, una mejor redistribución del ingreso por capas de población y por lo tanto es conveniente clasificar los proyectos según su contribución a mejorar las condiciones socioeconómicas de los grupos con menores ingresos. Este índice puede calcularse según el precio de mercado de la fuerza de trabajo (sueldos y salarios) o bien si consideramos su precio sombra . Este último depende de diversas situaciones. Mencionemos algunas de las más conocidas en los países subdesarrollados. PRECIO SOMBRA DE LA FUERZA DE TRABAJO 1. En desocupación disfrazada. Cuando un trabajador se mantiene en una actividad económica, pero en realidad su productividad marginal es igual a cero, se dice que está en una desocupación disfrazada , o sea, que se encuentra desocupado, pero su situación no es evidente ni siquiera para él mismo. Si esta persona dejara la actividad que realiza, la producción de su área económica no bajaría en absoluto; está empleado en forma artificial . Podría ser el caso de un gran número de individuos que se dedican en las ciudades a cuidar automóviles y vender artículos para los cuales ya existen canales de comercialización e inclusive un buen porcentaje de empleados gubernamentales cuyas funciones son de difícil justificación. Implican, por decirlo así, uno más de los empleos improductivos del excedente económico que genera un país, aunque bien podría considerarse costo por atenuar las presiones sociales en busca de empleos. El precio social para un proyecto que capte mano de obra ubicada en esta situación equivale a los recursos necesarios para el traslado de los trabajadores, incluyendo todas las obras necesarias para construir su nuevo hábitat (ciudad de servicios). 2. Desocupación friccional. (Ha llegado a existir en los países industrializados, principalmente en las zonas urbanas); se denomina así a la desocupación que se presenta cuando entre un trabajo y otro los trabajadores quedan temporalmente sin ocupación.
  • 212.
    212 Se supone queen algunos países europeos se dan porcentajes de hasta 1% de la P.E.A. y en Estados Unidos aproximadamente del 2.5%. Resulta sumamente complicado definir con certeza el impacto de un proyecto en este tipo de desocupación en una zona determinada, especialmente en los países subdesarrollados donde la desocupación es básicamente estructural. En el caso de que se fundamente la contribución de un proyecto en este sentido se podrá considerar a un porcentaje ligeramente menor al salario de mercado. 3. Desocupación estacional. En el agro es más frecuente esta clase de desocupación cuando el trabajo en la agricultura es el único y está sujeto a las temporadas. El precio social se fijaría en un porcentaje equivalente al salario de mercado durante las épocas de empleo. 4. Desocupación estructural. Se presenta por desequilibrios estructurales, una economía es definitivamente incapaz a largo y mediano plazo de dar empleo a una gran población bajo los procesos normales e históricos de desarrollo económico. En estos casos, un proyecto puede, en una zona, introducir un impacto modernista creando empleo. El precio social para fines prácticos es igual a cero, aunque quizás conviene tener presente el concepto de salario de reserva * 6.7.5 Evaluación social de inversiones por ponderación de efectos Los indicadores de evaluación social revisados, no toman en cuenta gran parte de los efectos socioeconómicos que un proyecto produce en el medio donde ha de operar. Dichos efectos son naturalmente de diversos tipos y van desde modificaciones de los hábitos y costos en el ámbito local, hasta estímulos a otras actividades económicas. Por su naturaleza, la mayoría de estos efectos no pueden ser sujetos a mediciones y por lo tanto hay que ponderarlos con un criterio social, tratando de estimar las ventajas y desventajas que producirían a la región o al país donde se presenten. * Se conoce como salario de reserva al mínimo necesario para que una persona esté dispuesta a emplearse, aun cuando esté sin ocupación.
  • 213.
    213 6.7.5.1 Impactos enotras actividades económicas El turismo, como cualquier otra actividad económica, está inserto en un conjunto de relaciones con el que mantiene nexos de interdependencia. Cuando hay una expansión o una retracción en la actividad turística, las ramas conectadas directa e indirectamente con ella, lo resienten, y viceversa, cuando ciertas actividades o el conjunto experimentan cambios, estos últimos se reflejan (en mayor o menor medida dependiendo del país) en el funcionamiento de las empresas turísticas. Las inversiones en unidades para oferta de servicios turísticos producen efectos en las economías regionales o nacionales dinamizando la producción en un buen número de líneas agropecuarias, industriales y de servicios. Ahora bien, como a su vez las empresas directamente estimuladas por las unidades turísticas demandan insumos a otras ramas productivas, en realidad el impacto se incrementa o multiplica . Si deseamos evaluar un proyecto turístico a partir de los efectos que puede producir en otras actividades económicas a través de la demanda de insumos que ejerce en su ejecución y operación, deberemos considerar tanto los inmediatos como los mediatos. En este sentido, es correcto adelantar que los proyectos y programas de mayor inversión, generalmente, producen los mayores impactos, por lo que adquieren con frecuencia la más alta prioridad. Sin embargo, tales impactos dependen de la integración que haya logrado la economía en cada país o región. Un gran programa de inversiones en el campo turístico dentro de una estructura económica, poco diversificada, puede implicarle al conjunto un efecto reducido, mientras un proyecto pequeño que utilice sólo productos del país quizás sea más beneficioso para el desarrollo de empresas productivas de origen nacional. Las empresas de servicios turísticos al crear un producto de consumo directo que no puede utilizarse como insumo por otras actividades tiene sólo efectos económicos hacia atrás o sea hacia las ramas sobre las cuales ejerce una demanda y no hacia delante . Dada esta situación, para este tipo de efectos, el turismo está en desventaja con otras actividades. La industria siderúrgica, por ejemplo, no sólo demanda una gran cantidad de insumos, sino que además produce a su vez bienes que otras ramas utilizan para crear diversos artículos. De esta manera impacta hacia atrás y hacia delante . En cambio, las empresas turísticas sólo pueden dinamizar a través de su demanda de insumos, líneas productivas que estén atrás de ellas. Los efectos de un programa de oferta turística que alcance grandes dimensiones en una región de escaso desarrollo pueden llegarse a estimar en términos cuantitativos
  • 214.
    214 siempre y cuandose cuente con los instrumentos técnicos necesarios. Las matrices de insumo producto regionales son de gran utilidad, pero presentan serios problemas para su construcción y en muy pocas ocasiones se dispone de ellas. En la mayoría de las ocasiones es conveniente tratar de inducir cuáles son los efectos económicos de un proyecto para evaluarlos y clasificarlos sólo a partir de claras y evidentes diferencias en los impactos que se espera producirán en otras actividades económicas. 6.7.5.2 Otros efectos económicos Existen otros efectos de carácter económico que no se refieren a los impactos del proyecto en otras actividades económicas, sino a las consecuencias previsibles que su operación puede desencadenar en el funcionamiento general de una economía local, regional o nacional. a) EFECTOS EN EL NIVEL DE PRECIOS Cuando el programa turístico es de considerables proporciones, hay que prever las posibilidades de que la afluencia turística ejerza, sobre una amplia gama de artículos, una demanda adicional capaz de pagar altos precios. Como en general esta demanda es eventual y la estructura productiva en la mayoría de los países subdesarrollados es relativamente inelástica, por su capitalización limitada, se crea una fuerte tendencia inflacionaria en la región o localidad y cuando el país es pequeño inclusive a nivel nacional. Este efecto inflacionario va en detrimento de la economía del país y sobre todo de los grupos de menores ingresos y en un efecto negativo que debe considerarse desde el punto de vista social. En otros casos el programa puede incrementar la producción de ciertos artículos o servicios y con ello provocar, en alguna medida la caída de los precios generales en la localidad. Este efecto social benéfico puede llegar a estimarse mediante la medición del excedente del consumidor . b) CAPACIDAD NACIONAL DE IMPORTACIÓN Mediante la captación de divisas, un proyecto turístico puede incrementar la capacidad nacional para importar. Es un efecto cualitativo referido a potencialidades macroeconómicas y no a montos específicos de divisas obtenidas por conducto del proyecto.
  • 215.
    215 6.7.5.3 Efectos enel medio natural y en el hábitat Cuando un proyecto se presenta en términos que implican la transformación de recursos naturales ( manglares , por ejemplo) o del hábitat en que se desenvuelven los grupos humanos del área donde se ha de localizar, deberá evaluarse con las ventajas y desventajas sociales de tales transformaciones. 6.7.5.4 Efectos sociales Quizás entre todos los efectos potenciales de un proyecto o un programa de inversión en turismo, los sociales son los más discutibles y evaluarlos representa un problema de criterios y orientaciones. a) DEMOGRÁFICOS Principalmente en las zonas deprimidas, un proyecto de importancia puede provocar movimientos demográficos por la atracción de mayores ingresos y mejores condiciones de vida. En algunos casos esto trae consecuencias beneficiosas por la creación de empleo o incremento de ingresos, pero en otros crea intrincados problemas sociales que se ven reflejados en mayores niveles de criminalidad, marginación, etc., especialmente cuando el programa de inversiones no satisface (como es frecuente) la demanda de empleos o bien cuando se pasa de la fase de ejecución a la de operación desempleando un gran número de trabajadores sin darles a cambio ninguna ocupación remunerada. Estas situaciones deben preverse al evaluar el proyecto, por lo que debemos revisar si contempla su solución o no. b) CULTURALES Como mencionamos, la cultura es básicamente el conjunto de manifestaciones fenomenológicas que una formación social crea para enfrentar y transformar su realidad socioeconómica. En este sentido, el turismo es un agente de contacto entre filosofías y hábitos, formas de comportamiento, técnicas e instrumentos de diferentes formaciones y grupos sociales. Las modificaciones que implica tal contacto a través del turismo pueden ser positivas a la sociedad receptora (según beneficie a la mayoría de sus integrantes) o negativa. La evaluación social deberá averiguarlo y emitir un juicio. Por otra parte y dentro del ámbito cultural, las manifestaciones fenomenológicas de los antecesores de estas formaciones sociales, pueden alterarse, deformarse o inclusive desaparecer a consecuencia del turismo. Sería el caso de las depredaciones y
  • 216.
    216 distorsiones que seprovocan en sitios arqueológicos para hacerlos más turísticos . No son raros tampoco los sitios en que el turismo trae consigo saqueadores que roban al país sus riquezas históricas y parte del mismo atractivo que motiva a los flujos turísticos. Un programa de inversiones que no contempla la protección al patrimonio nacional deberá ser evaluado en las consecuencias que representa. c) EDUCACIONALES Las condiciones educacionales pueden también alterarse a favor o en contra de las poblaciones que sufren una transformación como resultado de un programa turístico. Su parte física o equipamiento necesario (comprendido en muchos casos dentro del hábitat ) se mejora en numerosas ocasiones al formar parte de las obras generales para las ciudades de servicios. Asimismo, los habitantes locales se ven impulsados ante el contacto modernizador del turismo, a incrementar su educación, lo que se logra en un buen número de individuos cuando esto se fija como objetivo dentro del programa de inversión. La capacitación es uno de los rubros más importantes en todo proyecto, y contribuye de alguna manera a elevar el nivel educacional en la zona, siempre y cuando los trabajadores sean originarios de ella y se les ofrezca un constante desarrollo. d) SALUD Algunos proyectos incorporan dentro de sus inversiones, fondos para obras básicas a través de las cuales se mejoran las condiciones salubres en la zona donde se localiza. En algunos casos, se llega a reacondicionar el medio ambiente natural con resultados positivos para la flora y fauna local. Sin embargo, en la mayoría de las ocasiones lo más que se realiza en este sentido (y sólo en programas turísticos de gran inversión) son obras de infraestructura, complementadas con estaciones de servicio médico y asistencial, lo que en sí mismo es de gran importancia, principalmente en las regiones atrasadas. Entre los efectos negativos experimentados y potenciales de un proyecto turístico podemos anotar la contaminación del medio ambiente; la introducción, vía turismo, de costumbres insalubres, etc. En cualquier caso conviene evaluar socialmente un programa de turismo ponderando estos elementos. 6.7.5.5 Otros efectos generales a) CREACIÓN DE UNA IMAGEN TURÍSTICA Existen muchas razones e inclusive países, que no son conocidos en los principales mercados internacionales de turismo. A través de importantes proyectos de inversión
  • 217.
    217 para oferta deservicios la imagen del país o la región se fortalece, lo que deriva finalmente no sólo en mayores flujos turísticos para ella, sino inclusive en el desarrollo del reconocimiento público con lo que se mejoran las expectativas económicas para las diferentes actividades localizadas en la zona del proyecto. Éste es un elemento subjetivo, pero que se manifiesta en acciones concretas dentro de la realidad, por lo que deberá considerarse al evaluar un proyecto. b) EFECTOS SOBRE LAS CONDICIONES DE DEPENDENCIA Los países con una industrialización limitada tienden a depender económicamente de las naciones desarrolladas. Un proyecto turístico de grandes dimensiones puede crearle o reforzarle a una sociedad semi-industrializada, lazos de dependencia por diversas vías. Este hecho, si bien en algunos casos genera beneficios directos a corto plazo (mayores ingresos sobre todo), en el largo plazo tiene un costo social inapreciable. Es conveniente tener en cuenta las relaciones entre naciones o grupos económicos regionales a las que eventualmente podrían dar lugar un proyecto específico. Su evaluación en este campo, si bien pertenece a las esferas ejecutivas, no impide que en el área técnica no se efectúen las acotaciones que correspondan. REFERENCIA BIBLIOGRÁFICA · Hernández Edgar.- Proyectos turísticos, formulación y evaluación · SapagChain.- Preparación y evaluación de proyectos · Baca Urbina Gabriel.- Evaluación de proyectos
  • 218.
    218 7. PLAN DENEGOCIOS Elaborar un Plan de Negocios es fundamental para el éxito de cualquier proyecto. Un Plan de Negocios bien preparado y periódicamente actualizado, es un valioso instrumento de gestión, ya que durante su preparación se analiza la factibilidad de un proyecto, se buscan alternativas y se proponen directrices del mismo. A su vez, presentar el Plan de Negocios es indispensable a la hora de buscar financiamiento para el proyecto, ya que reúne en un único documento, toda la información para evaluar un negocio y los lineamientos para ponerlo en marcha. Como definición, podemos decir que un plan de negocios es un documento que se utiliza para analizar, evaluar y presentar un proyecto: Un plan de negocios bien realizado indica qué hacer y cómo hacerlo; por lo tanto, si bien el tiempo invertido en confeccionarlo puede significar costos, en realidad se trata de una inversión. Durante su elaboración se debe tener en cuenta qué se quiere lograr con él, por ejemplo: · Aprobación de una idea · Conseguir un préstamo · Análisis para uso interno · Financiamiento de inversores al proyecto · Venta o fusión de una empresa Un Plan de Negocios es un instrumento de comunicación de una idea. Es importante entender los códigos y prioridades de quien recibe el mensaje. Por ejemplo, si se trata de un banquero, un industrial, un comerciante, la información será analizada desde diferentes perspectivas. En este capítulo, se desarrollarán los ítems que componen un plan de negocios. En función del objetivo y los receptores, como se ha explicado, se deben analizar qué puntos conviene profundizar o subrayar y cuáles simplemente mencionar. Una vez definido el objetivo, podrá diseñar el plan considerando qué información le interesa, quién la recibirá y de qué se intenta convencerlo.
  • 219.
    219 Los Planes deNegocios deben ser concisos y de fácil lectura, deben ser tan breves como sea posible. Un plan de negocios analiza todos los aspectos de un proyecto, y se encuentran generalmente, desarrollado de la siguiente manera: 1. Resumen Ejecutivo 2. Situación Actual 3. Ambiente Externo 4. Estrategia de Negocio 5. Recursos e inversiones necesarias 6. Factibilidad Técnica 7. Factibilidad Económica y Financiera 8. Responsables del Proyecto 9. Conclusiones 10. Anexos 7.1 RESUMEN EJECUTIVO Es un breve análisis de los puntos relevantes del proyecto. Se debe describir en una página, quién es usted, qué productos o servicios ofrece, destacando aquello que los hace especiales, la estrategia de éxito del proyecto, los resultados esperados, qué necesidades tiene y finalmente, las conclusiones. Es decir, no es una mera introducción, sino que es un resumen del Plan de Negocios. Por lo tanto, antes de escribir el resumen ejecutivo, se debe tener en cuenta por qué se está redactando el plan, por ejemplo podemos citar. Ø Búsqueda de financiamiento Ø Convencer a un posible inversionista Ø Conseguir una aprobación interna dentro de la organización Ø Crear una herramienta administrativa para el equipo de trabajo A modo de ejemplo, a continuación se presenta un resumen ejecutivo: Resumen ejecutivo Es una breve introducción en la que se describe el objetivo del plan, lo que se ofrece y las posibles recompensas. Se debe hincar directamente, indicando qué es lo que se desea obtener con el plan. ANDAMIOS S.A. busca un financiamiento del 50% para realizar un plan de 50 viviendas en el barrio Los Sauces. Este proyecto rendirá en 2 años utilidades neta de
  • 220.
    220 Historia de laorganización Aquí, es donde se describe muy brevemente, quién es la organización encargada de llevar a cabo el proyecto. ANDAMIOS S.A. es una empresa constructora que brinda servicios para la construcción de obras civiles desde 1990. nos destacamos por Mercado Es necesario indicar a qué mercado va dirigido el producto. Ejm.- Las viviendas están dirigidas a la población de menores recursos de un sector urbano Descripción del producto o servicio ofrecido Se debe indicar qué producto ofrece la empresa, enfatizando en qué se destaca. El conjunto de viviendas está construido bajo un sistema de construcción que ofrece: acortamiento de plazos de construcción, mejor aislamiento térmico que los sistemas tradicionales Estrategia Hay que incorporar unja breve descripción de la estrategia, que permitirá el éxito del proyecto. La empresa busca con este proyecto, recuperar participación en ese mercado que tuvo durante el período Datos financieros Se indican los datos financieros claves del proyecto, así como el financiamiento requerido. La utilidad el proyecto Con un flujo de fondos que presenta Si bien el resumen ejecutivo se incluye al comienzo del Plan de Negocios, y es conveniente redactarlo antes que las demás secciones del plan, se recomienda, una vez concluido todo el Plan de Negocios, volver al resumen ejecutivo y reescribirlo si fuera necesario, ya que en ese momento se cuenta con una visión mucho más profunda del negocio.
  • 221.
    221 7.2 SITUACIÓN ACTUAL Antesde realizar el análisis de mercado, se debe brindar información básica del proyecto como: Ø Información básica de la empresa Ø Cuál es el negocio que se desarrollará Ø Quiénes presentan el plan Ø Historial del negocio Ø En caso de una empresa en marcha, la visión y misión de la misma Ø Resumidamente, qué actividades recientes ha realizado la empresa En esta etapa del plan de negocio, el interés debe estar puesto en conocer a fondo el estado interno de su negocio. 7.3 AMBIENTE EXTERNO Análisis de mercado y competidores Así como en el apartado anterior del plan, uno se ocupaba de la situación interna, ahora lo que se evaluará es la situación externa, todo aquello que rodea al negocio; es decir, sus proveedores, sus competidores, canales de distribución, influencias económicas y políticas, y obviamente, sus clientes (potenciales y reales). Si bien usted podrá influir sobre algunos de estos factores, generalmente los más cercanos a su negocio, deberá conocerlos a todos tan profundamente como le sea posible. La idea es que logre conocer al ambiente externo y sepa qué factores puede controlar, cuáles no, cuáles influyen mucho en su negocio y cuáles lo hacen en menor medida. En aquellos factores que influyen mucho en su proyecto y que usted no puede controlar, deberá buscar cómo responderá sus proyectos ante diversos escenarios. Es importante recalcar que en todo plan de negocios, se debe realizar cuidadosamente todos los factores externos, no sólo porque es una parte infaltable en el documento, sino porque el análisis de todos estos factores nos permite conocer en qué mundo se desarrollará nuestro proyecto. A continuación, describimos dos factores centrales para el análisis del ambiente externo: el mercado y la competencia. Análisis de mercado Se realiza el análisis de mercado para conocer la demanda del producto o servicio; se
  • 222.
    222 decir, se buscaconocer quiénes son y qué quieren clientes o consumidores. Cuando hablamos de mercado, nos referimos a todos los clientes, reales y potenciales, que existen para nuestro producto o servicio. Para poder calcular la demanda, lo que se realiza generalmente es una segmentación del mercado. Con la segmentación, lo que se logra es agrupar a los posibles clientes en grupos que puedan recibir el mismo enfoque. Dos datos importantes debe obtener en esta parte del plan de negocios: debe demostrar que conoce bien a los clientes a los que se dirige (la segmentación lo ayudará a determinar una estrategia para tratar a sus clientes) y debe conocer la potencial demanda, es decir, cuánto podrá venderse del producto o servicio. Análisis de competidores Es importante que se identifique y sepa quiénes son las principales empresas que operan en su mercado, intentando no dejar de lado aquellas empresas que pueden ser potenciales competidores. Los competidores se agrupan en tres categorías: Ø Competidores directos Ø Competidores indirectos Ø Competidores potenciales Competidores directos Son aquellos más fácil de identificar, ya que son los que ofrecen el mismo servicio o producto. Competidores indirectos Son aquellos que ofrecen productos o servicio que podrían llegar a ser sustituidos de los productos o servicios propios. Competidores potenciales Son los que hoy por hoy no ofrecen productos o servicios similares, pero que por sus características podrán llegar a ofrecerlas en el futuro. Principalmente, se debe listar en el plan de negocios, a los competidores y su participación en el mercado (market share).
  • 223.
    223 Para realizar uncorrecto análisis de los competidores, será importante que conozca los clientes a los que se dirige, la política de precios y la estrategia para el futuro. Es importante conocer las ventajas competitivas que cada uno de los competidores presentan. Es recomendable, para hacer este análisis, realizar un benchmarking con la competencia. Lo que se realiza en esta caso, es una evaluación de aquellos factores que se consideran importantes para cada una de las empresas de la competencia. Con esta evaluación, se podrá detectar las ventajas competitivas que tiene cada organización, para poder determinar la manera en que el negocio propio va a interactuar en ese entorno. De identificarán cuáles son los límites para entrar en el mercado propuesto. Una vez conocidos los competidores, es posible conocer las ventajas competitivas del negocio propio, basándose en el análisis de benchmarking descrito más arriba y en el análisis FODA que se desarrolla en el punto siguiente. Se busca conocer aquellos puntos en los que el negocio aventaja a la competencia, teniendo en cuenta que muchas veces, una fortaleza propia no es una ventaja competitiva en el mercado porque la competencia realiza esa actividad igual de bien y en caso contrario, quizás una debilidad propia, es una ventaja competitiva porque la competencia lo realiza peor. Es importante, no confundir ventajas con las fortalezas internas del negocio, pueden o no coincidir. Análisis FODA El análisis FODA (Fortalezas, Oportunidades Debilidades y Amenazas, SWOT, son sus siglas en inglés) es una herramienta de análisis estratégico, con el que se identifican fortalezas y debilidades del negocio, y amenazas y oportunidades que existen en el entorno en el que se va a desarrollar el proyecto. En líneas muy generales, se puede decir que las oportunidades y las amenazas, son factores externos al negocio que no se pueden controlar; y que las fortalezas y debilidades, son factores internos del negocio sobre los que se tiene control. Este análisis sirve para conocer con mayor detenimiento la situación actual del negocio y actuar basándose en ese conocimiento. Conocer las fortalezas permite apoyar el negocio en ellas, así como identificar las debilidades hará que el equipo de trabajo busque la manera de subsanarlas. Con respecto a las amenazas que no se pueden controlar y que se reciben del ambiente externo, se debe elaborar la estrategia de negocio que permita enfrentarse a ella. El análisis FODA, es un punto de apoyo para elaborar el plan estratégico, permite aprovechar las ventajas de la organización y sirve para analizar los posibles riesgos del negocio.
  • 224.
    224 A modo deejemplos de fortalezas, podemos citar: Ø En el área de proceso, la alta productividad Ø Habilidades en diferentes áreas, como marketing o investigación Ø Poseer tecnología de punta para realizar el proceso Ø Buen flujo de efectivo Ø Personal calificado Ø Buena capacidad para satisfacer el cliente En lo que se refiere a debilidades, podemos citar: Ø Altos lead time Ø Gran carga de deudas Ø Equipos obsoletos y mal mantenimiento de los mismos Ø Personal poco calificado Ø Mala investigación de mercado Con respecto a oportunidades: Ø Un mercado que crece rápidamente Ø Posibilidad de obtener fondos a bajos costos Ø Crecimiento económico de la región, que implicará mayor demanda Ø Competencia fragmentaria Con respecto a oportunidades: Ø Un mercado que crece rápidamente Ø Posibilidad de obtener fondos a bajos costos Ø Crecimiento económico de la región, que implicará mayor demanda Ø Competencia fragmentaria Por último, en lo que se refiere a amenazas, podemos dar a modo de ejemplos: Ø Un mercado saturado Ø Altos costos para obtener fondos Ø Mala situación económica de la región Ø Competencia fuerte con un departamento fuerte en investigación 7.4 ESTRATEGIA DE NEGOCIOS Al llegar a este punto, se ha realizado una parte importante del análisis del negocio propiamente dicho. Se efectuó un estudio del ambiente que rodea al negocio (mercado y competencia). A su vez, de identificaron mediante el análisis FODA y el análisis de la competencia, las ventajas competitivas. Basándose en la información obtenida se puede definir la estrategia que sea más adecuada al proyecto en cuestión.
  • 225.
    225 Según Stutely, unaestrategia es un mapa de caminos, que indica a dónde se quiere llegar, por qué medios se pretende conseguirlo, pero que no señala cómo se debe conducir o cómo franquear los pequeños obstáculos que salgan al paso (Stutley Richard 2000). Es decir la estrategia no dice qué hacer, sino que marca el rumboi del proyecto, es una guía para dirigirse a los objetivos propuestos. Podemos citar como estrategias de negocios: Ø Estrategias que buscan integración (hacia atrás, horizontales, hacia delante) Ø Estrategias orientadas al mercado (penetración de mercado, desarrollo de productos nuevos y mercados nuevos) Ø Estrategias de diversificación (conglomerados, horizontales) Ø Estrategias de defensa (unión de compañías) Una herramienta utilizada para el análisis estratégico, es la matriz de estrategias genéricas de Michael Porter, según el cual las empresas pueden optar entre tres tipos de estrategias posibles: 1) Estrategia de foco: lo que se busca es identificar un nicho en el mercado que aún no ha sido explotado. En esta estrategia, se reconoce, que el mercado busca productos o servicios especializados. 2) Costos: el foco está puesto en competir a través de los costos con los competidores. Poseer costos menores que la competencia permitirá reinvertir en el negocio o brindar precios más bajos. 3) Diferenciación: lo que se busca con esta estrategia es diferenciar el producto o servicio para hacer de su estrategia un éxito; es decir, se deben identificar los factores críticos de éxito, aquellos que aseguren el éxito del plan, si se cumplen. Podemos citar como ejemplos de factores críticos de éxito: Ø Costo de insumos Ø Ventas Ø Logística Ø Índice de devoluciones Ø Recursos humanos Ø Penetración en el mercado Una vez que se eligió una estrategia de negocios, lo que se hace es desarrollar una serie de estrategias departamentales: investigación y desarrollo, producción, marketing, recursos humanos, etc. Se debe profundizar más en los detalles, y en que cada uno de los sectores del proyecto estén alineados con la estrategia de negocios. Si por ejemplo, su estrategia de negocios es aumentar la participación en el mercado, la estrategia del departamento de marketing, será una estrategia para atacar a la competencia y así desplazarlos.
  • 226.
    226 Al plantear laestrategia, se debe buscar inspirar credibilidad, en el personal. Es importante que los gerentes participen en el proceso de planeación, ya que permite que asuman sus compromisos. 7.5 RECURSOS E INVERSIONES NECESARIAS Es importante mostrar en el plan de negocios, cuáles son los recursos que se necesitan para poner en marcha el proyecto y de donde se obtendrán. A su vez, se deben detallar las necesidades de inversión. Desde especificarse cuál es el capital de trabajo, que es el que necesitará la empresa para funcionar hasta producir ingresos propios. También es central, conocer el momento en que cada inversión se hará necesaria. Por ejemplo, cuál será el capital inicial. Es necesario describir, cuál será el origen del capital a invertir. Básicamente, las alternativas de financiamiento son: el capital propio de la empresa o personas que realizan el plan y el capital ajeno, obtenido a través de préstamos o inversiones. 7.6 FACTIBILIDAD TÉCNICA Se debe incluir aquí, el estudio de factibilidad técnica, que permite observar las posibilidades de concreción técnica del proyecto. Lo que se evalúa con este estudio es, cuáles son las probabilidades reales de realizar el proyecto, qué tipo de riesgos técnicos se está corriendo y qué medidas se pueden tomar, para prevenir o disminuir los riesgos. Se debe considerar en este estudio: Ø Disponibilidad y costo de los insumos Ø Estructura de la Organización Ø Análisis del marco legal del proyecto Ø Análisis del impacto ambiental 7.7 FACTIBILIDAD ECONÓMICA Y FINANCIERA Otro estudio que debe incluirse en el Plan de Negocios, es el estudio de factibilidad económica y financiera, que estudia las posibilidades de concreción económica y financiera del proyecto. Esta parte del plan debe mostrar que el proyecto presentado es factible económicamente. Es decir, que la inversión a realizarse es justificada por las ganancias
  • 227.
    227 que generará. Asimismo, sedebe evaluar qué tipo de riesgos financieros aparecen en el proyecto, y cuáles son las áreas de mayor riesgo. Las alternativas de financiamiento del proyecto, deben describirse en este punto. Se debe incluir en éste análisis: Ø Análisis de mercado Ø Análisis impositivo Ø Flujo de caja (proyección de ingresos y egresos del proyecto) Ø Valor Actual Neto (VAN) Ø Tasa Interna de Retorno (TIR) Ø Período de Recuperación Análisis de sensibilidad Al realizar el flujo de fondos, se efectuaron una serie de supuestos sobre el comportamiento de variables que afectan al proyecto. El análisis de sensibilidad, es una herramienta que permite evaluar el impacto e las modificaciones de los valores de las variables sobre el proyecto. Cuando hablamos de variables que afectan al proyecto, nos referimos por ejemplo: Variables del proyecto: Ø Pronóstico de Ventas Ø Presupuesto de Costos Ø Comportamiento de la Competencia Ø Crecimiento del Negocio Variables del Contexto: Ø Inflación Ø Tipo de Cambio Ø Tasa de Interés Ø Impuestos Estos factores varían considerablemente para cada proyecto en particular, por lo que deben estudiarse cuidadosamente todos los factores, para poder identificar cuáles son los que afectan efectivamente al proyecto. Este tipo de análisis se incluye en el Plan de Negocios porque muestra que se ha pensado en las posibles contingencias y cómo afectan el resultado del proyecto, siendo una herramienta importante para la toma de decisiones. Un mayor desarrollo sobre este punto se encuentra en el capítulo 2 de este libro.
  • 228.
    228 7.8 RESPONSABLES DELPROYECTO Es importante para el receptor del Plan de Negocios, conocer quiénes son los responsables del proyecto, ya que un proyecto que funciones técnica y económicamente puede fracasar si está en manos inexpertas. Una forma simple de presentar a los responsables del proyecto, es a través de un Organigrama, ya que rápidamente se visualiza la relación existente entre todos los miembros del equipo y sus responsabilidades. Además de presentar el organigrama de la organización, es conveniente destacar a las personas claves para el éxito del proyecto, brindando una breve descripción de su trayectoria y comentar, en caso de que hayan participado en proyectos similares, al que se presenta en el plan de negocios. Quien lea el plan de negocios, debe confiar que el equipo encargado de realizar el proyecto es idóneo. CONCLUSIONES En esta parte del plan, lo que se realiza es una interpretación de los hechos. Es el momento en el que el autor del plan busca convencer al destinatario del mismo, que debe realizar la inversión en su proyecto. Se debe ser lo más conciso posible, utilizando datos concretos y significativos del proyecto propuesto. No debe ser un mero resumen del plan de negocios (el resumen ya fue redactado en el resumen ejecutivo), sino que se debe tomar inteligentemente los datos más significativos y destacados del negocio para convencer al receptor del plan. 7.9 ANEXOS En la última parte del Plan e Negocios, se ubican los anexos en los que se ofrece toda aquella información que brinda soporte a los datos presentados en el plan. Es recomendable evitar incluir en los anexos, información que podría ir perfectamente en el cuerpo central del Plan de Negocios. Anexos posibles de incluir en un plan de negocios: Ø Currículum Vitae si son muy extensos Ø Informes de auditores Ø Proyectos actuales Ø Información financiera detallada
  • 229.
    229 BIBLIOGRAFIA · Borello Antonio.-El Plan de negocios · Stutely Richard.- El Plan de negocios: estrategia inteligente · Bangs David.- El Plan de negocios: Guía completa para definir un producto ADENDUM ANALISIS DE DECISIONES PARA EMPRENDIMIENTOS TURISTICOS 1.- INTRODUCCION Todos y cada uno de nosotros pasamos los días y las horas de nuestra vida teniendo que tomar decisiones. Algunas decisiones tienen una importancia relativa en el desarrollo de nuestra vida, mientras otras son gravitantes en ella. Para los administradores, el proceso de toma de decisión es sin duda una de las mayores responsabilidades. La toma de decisiones en una organización se circunscribe a una serie de personas que están apoyando el mismo proyecto. Debemos empezar por hacer una selección de decisiones, y esta selección es una de las tareas de gran trascendencia. Con frecuencia se dice que las decisiones son algo así como el motor de los negocios y en efecto, de la adecuada selección de alternativas depende en gran parte el éxito de cualquier organización. Una decisión puede variar en trascendencia y connotación. Los administradores consideran a veces la toma de decisiones como su trabajo principal, porque constantemente tienen que decidir lo que debe hacerse, quién ha de hacerlo, cuándo y dónde, y en ocasiones hasta cómo se hará. Sin embargo, la toma de decisiones sólo es un paso de la planeación, incluso cuando se hace con rapidez y dedicándole poca atención o cuando influye sobre la acción sólo durante unos minutos.
  • 230.
    230 ¿Qué es latoma de decisiones? La toma de decisiones es un proceso de definición de problemas, recopilación de datos, generación de alternativas y selección de un curso de acción. PROCESO DE TOMAS DE DECISIONES - Strong Precondiciones para la toma de decisiones Los fundamentos de la toma de decisiones entran en juego cada vez que en una organización se realizan actividades de planeación, organización, dirección y control. Sin embargo, para que un proceso de toma de decisiones pueda considerarse completo es preciso que existan ciertas precondiciones. Estas precondiciones se cumplen cuando es posible responder sí a las cuatro preguntas siguiente: 1. ¿Existe una diferencia entre la situación presente y las metas deseadas? 2. ¿El responsable de tomar la decisión está consciente del significado de la diferencia? 3. ¿El responsable de tomar la decisión se siente motivado a actuar para eliminar la diferencia? 4. ¿El responsable de tomar la decisión cuenta con los recursos necesarios (capacidad y dinero, por ejemplo) para actuar a De no existir alternativas, no existe AD. Además, el decisor está interesado en tomar la mejor decisión posible, la que será el resultado de la información y el tiempo disponible. ANÁLISIS DE DECISIONES (A.D.): Consiste en un conjunto de técnicas y procedimientos orientados a reducir el margen de error en las decisiones adoptadas en el marco de la administración de negocios turísticos. Suele también denominarse AD (Análisis de Decisiones); son sus elementos constitutivos: § El Objetivo o problema a solucionar § Las alternativas de elección § Los atributos o condiciones y su valoración § La probabilidad asociada a cada alternativa Este taller: Análisis de Decisión (DA), resuelve cuatro problemas de decisión típicos: Análisis de Bayes, análisis de tabla de pagos, análisis de árbol de decisión, y teoría de juegos de suma-cero. Las capacidades específicas incluyen:
  • 231.
    231 · Resuelve Problemasdel Análisis de Bayes · Encuentra las probabilidades posteriores dado un estudio o información de la muestra · Analiza la tabla de pagos · Usa siete criterios para tomar la decisión para la situación de pagos. También se evalúan valores de información perfecta y/o información de la muestra. · Analiza el árbol de decisión · Evalúa valores esperados por cada nodo o evento y elige la opción. · Resuelve juegos de suma-cero de dos jugadores · Halla el Punto de silla de montar para la solución estable o las probabilidades óptimas para la solución inestable. · Dibuja el gráfico del árbol de decisión para Análisis de Bayes, tabla de pagos, y problemas de árbol de decisión · Realiza una simulación Monte Carlo para el problema de juego de suma-cero · La introducción de datos se da en formato de hoja de cálculo REFERENCIA BIBLIOGRAFICA · León Orfelio.- Análisis de decisiones: Técnicas y situaciones aplicables a las empresas · Cañabate Antonio.- Toma de decisiones: Análisis y entorno organizativo · Urquijo de la Puente José Luis.- Análisis para decisiones financieras: Análisis y estados financieros
  • 232.
    232 EVALUACIÓN ECONÓMICA YFINANCIERA DE PROYECTOS DE INVERSIÓN (BASADA EN LA TEORÍA DE OPCIONES REALES) 1.- INTRODUCCION Uno de los mayores problemas que se presenta al realizar el estudio y evaluación económicade proyectos, es justificar económicamente la inversión de recursos en un proyecto que se enfrenta acondiciones de alta volatilidad e incertidumbre. Esto, debido a que los flujos de caja obtenidos en lapráctica, probablemente diferirán de los pronosticados por los ejecutivos a cargo de la evaluación. Por lomismo, al arribar nueva información producto del paso del tiempo, ocurriendo la disipación de laincertidumbre sobre las condiciones de mercado y los montos de los futuros flujos de caja, los ejecutivos El presente taller ha sido diseñado para los futuros profesionales de la carrera de administración turística de la Universidad Nacional de Loja, en el desarrollo del taller tendrán la flexibilidad de alterar la estrategia operativa inicialmente propuesta, para así capitalizar lasoportunidades de negocio que se le presenten o para evitar y/o disminuir pérdidas. Al evaluar este tipo de proyectos dos visiones saltan a la palestra: la evaluación estratégica,que se enfoca en lo que el proyecto puede llegar a lograr cualitativamente y la teoría financiera, que seenfoca en lo que el proyecto puede llegar a lograr cuantitativamente. Los métodos tradicionales de evaluación económica de proyectos, basados en la teoríafinanciera, como son el VAN, el TIR, los árboles de decisión y la Simulación de Montecarlo, se muestran incapacesde realizar una correcta evaluación de la mayoría de
  • 233.
    233 los proyectos deinversión, sometidos a condicionesde alta incertidumbre, ya que no son capaces de capturar adecuadamente la flexibilidad intrínseca de losproyectos, en términos de revisar las decisiones en respuesta a los movimientos inesperados del Mercado. Estos métodos, consideran un único escenario esperado de flujos de caja del proyecto, asumiendo unagestión estática en el desarrollo del mismo, apegados a una única estrategia operativa. Por otra parte, la flexibilidad administrativa de adaptar las acciones futuras de un proyecto,sí puede ser capturada mediante el análisis estratégico, donde la consecución de la ventaja competitivay el liderazgo de mercado, pueden ser medidos en términos de un análisis de la sustentación, flexibilidady posicionamiento que posee el proyecto, como elementos fundamentales a la hora de evaluar. Sinembargo, su aplicación ha llevado a que condiciones como el juicio e intuición del evaluador cobrenimportancia, produciendo subjetividad y diferencias al momento de evaluar un mismo proyecto. Estefenómeno, ha acelerado la búsqueda y el desarrollo de nuevas técnicas que permitan adecuar la decisióna este tipo de condiciones, surgiendo como una visión alternativa la Teoría de Opciones Reales. 2.- OBJETIVO.- Aportar con elementos teóricos y prácticos que facilitenla tarea de quienes llevan adelante proyectos; brindándoles herramientas para analizar, evaluar, seguir y controlar los mismos desde el punto de vista económico y financiero 3. METODOLOGÍA A la hora de realizar la valoración de las Opciones Reales presentes en un proyecto deinversión, se ha propuesto una regla general de aplicación, llamada Modelo de los Cuatro Pasos [Amram&Kulatilaka, 2000]. Esta técnica, describe el proceso a seguir al
  • 234.
    234 analizar todo proyectode inversión,con el fin de determinar cuál de las distintas técnicas de solución de Opciones Reales propuestas, debe ser aplicada en cada caso particular. Para llegar a proponer una metodología específica de evaluación económica de proyectosde inversión a partir de la Teoría de Opciones Reales, se realizó la reducción de la técnica de los cuatropasos, realizando una serie de consideraciones y supuestos, con el fin de llegar hasta una metodologíaespecífica, que facilite y simplifique la aplicación del complejo fondo teórico de las Opciones Reales,permitiendo que ésta sea utilizada de forma común por todos los estudiantes que están por culminar su formación académica El valor de un conjunto de Opciones no es igual a la suma de las Opciones individualesque lo componen, ya que durante la vida del proyecto existen interacciones entre las Opciones presentes,cuya incidencia en el valor del proyecto no puede ser determinada a priori. Por esto, será muy importantea la hora de realizar la valoración de Opciones Reales, considerar métodos capaces de medir estasinteracciones. De entre los métodos analizados se concluyó que el método Binomial con transformadalogarítmica permite manejar fácilmente la interacción de los diversos tipos de Opciones Reales, permitiendo de esta manera, realizar una evaluación económica bastante fiel de los proyectos de inversión con altavolatilidad. Es así, como se tratamos de proponer una Metodología de Evaluación Económica de proyectos de inversión a partir de la Teoría de Opciones Reales , la cual considera los siguientes seis pasos de aplicación: Paso 1: Realizar la evaluación económica del proyecto de inversión mediante la Metodología Tradicional.Esto es, calcular el VAN del proyecto a partir de la estimación de los Ingresos, Costos e Inversionesque involucra el proyecto durante su vida útil,
  • 235.
    235 realizando el cálculode los Flujos de Caja anuales,los cuales serán descontados a partir de una cierta tasa de descuento. Paso 2: Calcular el VAN del proyecto a partir de los Ingresos y Costos. Calcular un nuevo VAN, utilizandopara ello sólo los Ingresos y Costos calculados anteriormente, realizando el cálculo de nuevosFlujos de Caja Anuales y descontándolos con la tasa de descuento. Paso 3: Construir diagramas de Flujos de Caja y política de Inversiones. Los nuevos Flujos de Cajacalculados al considerar sólo los Ingresos y Costos y la serie de Inversiones, no consideradapara este particular, deberán ser resumidos en un Diagrama de Flujos de Caja que representelos egresos e ingresos que ocurrirán durante el horizonte de evaluación del proyecto de inversión. Paso 4: Identificar las Opciones Reales presentes en el proyecto de inversión. A partir del Diagramarealizado en el Paso 3, se deberán identificar dentro del Horizonte de evaluación del proyecto lapresencia y ubicación temporal de las Opciones Reales de Esperar, Abandonar, Contraer,Expandir y Cambio a mejor uso alternativo. De modo de facilitar el análisis, estas podrán serplasmadas en una figura que permita representarlas dentro del horizonte de evaluación delproyecto de inversión. Paso 5: Realizar el cálculo del valor del Proyecto incorporando el valor de las Opciones, utilizando elMétodo Binomial con Transformada Logarítmica. Se realizarán los 4 pasos del proceso desolución del Método Binomial con transformada logarítmica, realizando el ingreso de losparámetros iniciales y de las características de las Opciones Reales, el cálculo de los parámetrosinternos del Modelo, el Desarrollo del árbol Binomial con la evolución estocástica del proyectoen el tiempo, para finalmente obtener el valor del Proyecto mediante un proceso interactivo haciaatrás, realizando ajustes según una cierta política al encontrarse con determinado tipo deOpciones Reales.
  • 236.
    236 Paso 6: Análisisde Resultados. Finalmente se analizarán y contrastarán los Resultados obtenidos enlos Pasos 1 y 5, realizando una toma de decisiones que incorpore el valor de la flexibilidadestratégica del proyecto, producto de la existencia e interacción de las Opciones Reales. 4.- CONTENIDOS 1.- Métodos de evaluación que toman en cuenta el valor del dinero a través del tiempo 2.- Métodos de Evaluación que no toman en cuenta el valor del dinero a través del tiempo 3.- Razones de liquidez 4.- Razones de Rentabilidad 5.- Razones de Cobertura 6.- Razón de la capacidad de pago de intereses REFERENCIA BIBLIOGRÁFICA ü VARELA V Rodrigo, Innovación Empresarial el arte y la ciencia de la creación de empresas