1
I-ASPECTOS GENERALES
1-Introducción
Todos los productos agroindustriales tienen una gran importancia en el mercado
nacional, ya que estos satisfacen necesidades que se procrean en la población, además
que son vitales en la cadena alimenticia de los humanos.
Actualmente el pan sigue teniendo nuevas formas de elaboración, entre estos tenemos el
pan de coco que es una alternativa más de alimentación para la población, este se
caracteriza por contener nuevos ingredientes nutritivos, con respecto al pan común, y
por medio de estos lo hacen tener una preferencia dentro de los consumidores.
Este producto se elabora con la combinación de harina y coco como ingrediente
especial, con un sabor único que los diferencian de los otros tipos de panes.
Este pan que fórmula a base de coco y harina, posee una gran importancia debido a
que los ingredientes son de una calidad altamente nutritiva. El consumo de este
producto puede ser adlibitum es decir no provoca problemas digestivos en las personas
al consumirlo en grandes y pequeñas cantidades.
Otro producto que tiene gran relevancia en la nutrición, que su consumo nunca deja de
existir y que se encuentran diversificado en nuestro país y en todo el mundo es el postre.
El postre es el plato de sabor dulce que se toma al final de la comida , sobre todo en
verano. Cuando se habla de postres se entiende alguna preparación dulce, bien sean
cremas, tortas, pasteles, helados, bombones, etc. la harina de trigo, también se utiliza el
centeno, la cebada, el maíz, el arroz.
Dentro de esta variedad de postres se encuentra el requesón dulce que es un postre muy
nutritivo pero que no tiene una gran diversificación aun en nuestro medio debido a las
falta de desconocimiento de las personas, este producto es muy llamativo por sus
características deliciosas que posee, por la facilidad de su preparación, además que los
productos que se necesitan para su elaboración se encuentran con mucha facilidad y
están disponibles en todo el país.
2
Estas dos variedades de producto como el pan de coco y el requesón dulce se
encuentran totalmente en una evidencia cultural desconocida en nuestro medio, ya que
en los lugares que los producen no han logrado tener un gran margen de producción que
puedan alcanzar todo los mercado nacionales, esto debido a que estas persona
productoras, los producen de forma artesanal quizás por falta de recursos económicos o
por no tener una amplia visión en sus negocios.
Con una buena información acerca de la explotación de estos productos alimenticios,
las posibilidades de crecimiento serán una fortaleza para la empresa, ya que los
pequeños productores que producen esto alimentos la facultad para la demanda no es
una dificultad para su estancamiento de su crecimiento por lo que se cree que una buena
información y un buen manejo del negocio se lograra crecer y expandirse el producto.
Por este motivo se ha creado la implementación de un negocio agroindustrial que
fomente el abastecimiento seguro de estos productos dentro del mercado, teniendo el
deseo de complacer a sus clientes seguramente con productos de gran calidad.
3
2- Antecedentes
La nutrición es parte vital del ser humano, cada día el hombre dedica gran parte de su
tiempo para consumir alimentos y mientras mejor lo haga, en el sentido de la calidad de
lo que consume y del tiempo que le tome, su salud mejorará o se verá empobrecida, por
eso es que cada día nos vemos rodeado de nuevas líneas productoras de fuentes
alimenticias con el fin de vivir una vida con muchas energías y para eso se siguen
explorando distintas calidades de alimento que no han tenido gran demanda en el
mercado, debido a que la mayor parte de la población de nuestro país desconocen la
importancia de su existencia como es el caso del pan de coco y el requesón dulce.
El pan de coco es un rubro que ha sufrido transformaciones desde nuestros ancestros,
por medio de estas modificaciones ha causado gran impacto en la población donde se ha
comenzado a elaborar, de igual modo el requesón dulce mediante el transcurso del
tiempo ha venido teniendo algunas transformaciones las cuales lo han ayudado a ser un
producto especial en medio del segmento de los postres, pero en nuestro país la
producción y elaboración de estos rubros ha sido limitada debido a que se ha producido
rústicamente .
El pan de coco tiene un surgimiento en países extranjeros, pero que fue adoptado en la
costa Caribe de nuestro país que es donde actualmente se genera básicamente la mayor
producción. En cuanto al requesón dulce ha sido creado en nuestro país siendo su centro
de procreación mayormente en las comunidades rurales en donde su elaboración es
normalmente para el autoconsumo de ellos mismos.
En la costa Caribe existen culturas diferentes, hay alimento que se pueden decir exótico,
por los ingredientes que se utilizan, pero además de eso le da un sabor diferente, pero
único que lo diferencia de los demás productos. Se utiliza mucho el coco en todos los
alimentos, básicamente es el ingrediente secreto que le da ese sabor tan especial a todos
los alimentos que son proveídos a través de este.
4
Este pan de coco surgió aprovechando que la mayoría de las comidas eran a base de
coco, entonces intentaron probar combinar la harina con el coco, el cual experimento
trajo consigo buenos resultados, que hasta la fecha es uno de los platillos más populares
en toda la costa atlántica, mientras que el origen de estos azucarados postres
alimenticios se remonta a tiempos inmemorables, pero uno de los postres más
solicitados y con historia es el chocolate, cuyo origen fue en América, donde era
consumido por los indígenas aztecas .
La existencia de los postres se encuentra marcada por una enorme variedad de tipos y
estilos. Se puede escoger postres que no son más que simples golosinas como el
algodón de azúcar y los caramelos, hasta aquellos que son verdaderos alimentos como
es el caso de las tortas y de los quesillos y el requesón dulce disponible en :
http://catarina.udlap.mx/u_dl_a/tales/documentos/lim/garcia_c_oc/capitulo2.pdf
El requesón dulce es uno de los postres rápidamente perecedero; para incrementar su
período de consumo, se le somete a varios procesos de elaboración. El sabor y el valor
nutricional dependen en gran medida de la leche empleada.
En cuanto al funcionamiento del requesón dulce se ha venido comportando de una
manera limitada, que actualmente siempre se encuentra sumergido dentro del
tradicionalismo rural y que ha sido imposible introducirlo a una línea mayor en el
comercio de la que empezó a funcionar como alimento nutritivo.
Según las informaciones previstas estos productos están en manos de pequeños
productores, que por insuficiencia económica y por falta de una visión amplia no han
sacado a luz estos productos, dando como consecuencia un limitado posesiona miento
dentro del mercado, lo cual esto ha causado un desequilibrio en la inestabilidad
tradicional de estos rubros dentro de la sociedad nicaragüense.
Debido a que se sabe que estos productos son muy importantes y que por ende están
ausentes en la mayor parte de nuestro país y que existe una oportunidad de entrar sin
competidores al mercado se ha creado este negocio, con el objetivo de sustentar algunas
necesidades en la sociedad.
5
3- Justificación
Los postres y los panes surgieron como una necesidad para la población, para una nueva
forma de alimentación y nutrición diaria en su vida cotidiana, estos fueron producidos
para satisfacer la mayor parte de sus necesidades, los cuales han ocupado un lugar muy
importante dentro de la dieta diaria de los humanos.
El pan de coco y el requesón dulce son productos difícilmente encontrados en la mayor
parte de Nicaragua, ya que se producen en determinada región o lugar específico y que
por falta de recursos económicos y conocimientos técnicos no se ha logrado obtener una
mayor expansión en el mercado, pero si estos productos se explotaran y se dieran a
conocer a la población su comercialización no tendrían ningún estancamiento en el
proceso de venta ya que son productos nuevos y que por su naturaleza son llamativos
para los ciudadanos.
Estos productos son totalmente nuevos en nuestro medio, para establecerlos en el
municipio se emplearan estrategias de aceptación dentro del mercado (calidad, valor,
promoción) la ausencia de los competidores lo cual genera una fortaleza a la empresa
productora, dentro de la población contribuye a tener una nueva opción alimentaria, por
lo tanto sería una explotación generadora de nuevas líneas alimenticias.
El propósito de este proyecto es la elaboración de productos alimenticios que
actualmente son existentes en nuestro país, pero que por falta de hábito cultural de
consumo no tienen auge en su comercialización debido a un desconocimiento de ellos.
Para dar inicio al proyecto se iniciaran ofreciendo los productos a pulperías y
restaurante de la ciudad de Rivas, se depositaran en estos puestos de comercialización
para determinar si tendrán buena demanda, de ser positivos los resultados se
incrementará la producción a niveles mayores, por lo tanto se expandirán las líneas de
comercialización hacia otros puesto de negocios, en todo el departamento de Rivas y en
otros mercados nacionales del país.
6
4-Objetivos y Metas.
Objetivo general
 Elaborar y comercializar dos productos agroindustriales de orden alimenticios
que puedan ser adquiridos por la población de la ciudad de Rivas.
Objetivos especifico
 Establecer una unidad de producción para la elaboración de dos productos (pan
de coco y requesón dulce).
 Emplear estrategias de mercadeo, para el logro del posicionamiento de los
productos en el mercadeo.
 Ampliar el nivel de producción y comercialización de ambos productos.
 Lograr una mejor rentabilidad a través de la ampliación de los niveles de
producción.
Metas.
 Incrementar los niveles de producción en un 18%, después del tercer año de
funcionamiento de la empresa.
 Expandir las líneas de comercialización hacia otros mercados después de los
primeros cinco años de funcionamiento del negocio.
 Bajar los costos de producción en un 2%, después de los primeros tres años
de comercializar estos productos.
 Aumentar los equipos y maquinarias para producir mayores cantidades
después de los tres primeros años de funcionamiento de la empresa.
7
5-Benifeciarios.
Beneficiarios directos
 Carlos Zúniga Escalante.
 Elver Antonio Somarriba.
 Steven Gomes Gaitán.
 Mauricio Salinas.
 Melquisedec Espinoza García.
Beneficiarios indirectos
 Trabajadores temporales de la construcción de la infraestructura.
 Ocho trabajadores permanentes para efectuar la producción.
 Población en general.
 Turistas.
8
II – ESTUDIO DE MERCADO
2.1- Definición y caracterización del producto.
El pan de coco es un producto de gran relevancia para la alimentación humana, debido
a sus características nutricionales, se caracteriza por tener una forma alargada, su
tamaño es mediano, con un peso de 454gr, su color es café, su sabor es característico a
coco, su conservación es en bolsas, su forma de consumo puede ser acompañado de
otros alimentos, con un refresco, café o por si solo.
El requesón dulce es un producto nutricional que se puede consumir después de cada
comida o en cualquier momento, su forma es de acuerdo al recipiente que se incluya,
igualmente tamaño, color blanquecino dorado, su sabor es dulce y se concentra en la
leche, su conservación puede ser en envasé retornable o desechable.
Tabla 1 composición de los productos.
Composición del pan de coco Composición del requesón dulce
Ingredientes %
Proteínas
Vitaminas
Carbohidratos
Minerales
azucares
. fuente internett
Fuente internett
Ingredientes %
Proteína
Vitamina
carbohidratos
minerales
Azúcares
9
2.2- Análisis de la demanda.
Actualmente estos productos que se introduciran al mercado no tienen demanda en el
municipio de Rivas, debido a la ausencia de ellos, para obtener datos de la demanda
futura que estos productos tendrán, se realizaron encuestas directamente en pulperías y
restaurantes, ya que en estos comercios es donde se pretende vender estos productos,
además se aplicaron encuesta directamente al consumidor final que son los que
compraran el producto en los centros de distribucion.
2.2.1- Análisis de datos de fuentes primarias.
Debido a que el proyecto es nuevo, se ha decidido comercializar estos productos en
pequeños distribuidores minoristas (pulpería y restaurantes), las cuales son 147
pulperías y 7 restaurantes, decidiéndose aplicar las encuestas al 10% de este universo,
en cuanto al consumidor final se aplicaron 50 encuestas a personas que compran los
productos en pulpería y restaurantes para su alimentación.
Con la aplicación de esta encuestas se pretende determinar si los producto generaran
buenos resultados en la aceptación por los distribuidores y consumidores de la
demanda futura y asegurarnos que este negocio tendrá un buen desarrollo en su
comercialización y por tanto una buena rentabilidad.
2.2.2- Encuesta aplicada para cuantificar el consumo total del producto.
Para cuantificar la demanda en la población de Rivas se encuestaron 15 pulperías
representando un 10% de las existentes, y 2 restaurantes.
A continuación se presentaran las preguntas reflejadas en grafica en términos
porcentuales, las que se realizaron a través de encuesta aplicadas a pulperías y
restaurantes.
10
A, ¿Ofrece pan de coco y requesón dulce en su negocio?
Si, (0%)
No, (100%)
De los 17 negocios encuestado ni uno ofrecía estos productos y nunca los han ofrecido.
B) ¿Ha ofertado y demandado alguna vez el pan de coco y el requesón dulce en su
negocio?
Si, (0%)
No, (100%)
Estas personas explicaron que en sus negocios ninguna empresa o negocio les ha
ofrecido estos productos ya que no son culturales en el municipio de Rivas.
100%
Demanda y oferta
No
Oferta
No
11
C) ¿Si existiera un distribuidor seguro que le abasteciera permanentemente con nuevos
productos como el requesón dulce y el pan de coco lo compraría?
Si, (90%) les gustaría ofrecerlos
No, (10%)
De los 17 negocios encuestado el 90% que corresponde a 15 de ellos, estuvieron de
acuerdo en intentar distribuir estos productos, pero con la inconveniente de ver si estos
serán aceptados por los consumidores, es decir que los aceptaran desde un inicio de
elaboración para ofrecerlos a la población para observar la demanda.
Para ver si estos productos podrían ser aceptados por la población, se realizaron
encuesta a los consumidores del pan y postres comunes, se hizo en 50 de ellos, para
sacar la demanda que estos productos podrían tener en el futuro. Todos contestaron que
no conocían el producto, algunos han escuchado hablar sobre ellos pero no lo han
consumido, para darles a entender como son, se les explico las características que estos
poseen y el 70% de ellos tuvieron inquietudes para consumirlos.
Grafica 2-Encuestas aplicadas al consumidor.
1. ¿Consume pan y postres? Si (100%) No (0%)
90%
10%
SI
NO
100%
Ventas
SI
12
2. ¿Ha consumido pan de coco y requesón dulce?
No (100%) Si (0%)
Del 100% de encuestado, todos opinaron que no, aunque algunos han escuchado hablar
del pan de coco.
3. ¿Si existieran estos productos en pulperías y restaurantes lo compraría?
Si (70%) No (30%)
Muchos encuestados han escuchado hablar del pan de coco y por eso les gustaría
probarlo y si les gusta estarían de acuerdo en consumirlo, mientras que otros por
haberles explicado las características de estos decidieron intentar consumirlos.
4. ¿Cada cuanto lo compraría y en que cantidad el pan de coco?
Lo comprarían mensual, con una proporción de 1 lb promedio por mes de cada uno de
los encuestados en el pan de coco. Mientras que el requesón dulce es de 0.5 lb mensual
como promedio del consumo del producto. Ellos explicaron que por no conocer estos
productos podrían iniciar consumiéndolos en estas dimensiones, pero si les llegara a
gustar, aumentarían los niveles de consumo en una doble escala.
100
%
Ventas
NO
70%
30%
Ventas
SI
NO
13
2.2.3 Análisis de los resultados de la encuesta.
De acuerdo con la encuestas realizadas, se obtuvo que no hay demanda de ninguno de
los productos a comercializar debido a que no hay oferta, pero del 100% de las
personas que tienen negocios el 90% estuvo de acuerdo con intentar comercializar estos
productos, mientras que el 10% se restringieron en intentar ofertarlos, en cuanto a los
consumidores el 70% de los encuestados dieron posibilidad de poder comprar el
producto, por lo tanto se cree que existen buenas posibilidades de crecimiento del
negocio.
2.2.4 Cálculos de consumo del producto a partir de los resultados de las encuestas.
Debido a la ausencia de demanda de estos productos en el lugar donde se establecerá el
negocio no existen cálculos que puedan determinar con seguridad que existen líneas de
demanda.
De acuerdo con las informaciones recopiladas mediante preguntas dirigidas hacia los
distribuidores de panes y postres, estos productos nunca han formado parte de la dieta
alimenticia de la población de Rivas porque nunca han sido culturalmente consumidos
en este municipio.
2.2.5 Proyecciones de la demanda.
Para realizar la proyección de la demanda se realizaron encuestas directamente a los
posibles consumidores de estos productos, con las cuales se obtuvo que el 70% de los
encuestados estén de acuerdo en consumir estos productos, el 70% de los habitantes del
municipio de Rivas son 18, 086 individuos, según los datos obtenidos la cantidad a
demandar de pan mensualmente es de 0.5 libra y 0.2 lbs. De requesón dulce.
Tabla 2: Proyección de la demanda futura del pan de coco.
Año Población Consumo
promedio lbs.
por año
Demanda
anual lb
Demanda
anual qq
0 18,086 6 108,516 1,085
1 18,550 6 111,300 1,113
2 19,515 6 117,090 1171
3 21,059 6 126,354 1,264
4 23,309 7 163,163 1632
5 26,462 7 185,234 1852
Fuente propia.
14
Tabla 3: Proyección futura de demanda del requesón dulce.
Año Población Consumo
promedio lbs.
por año
Demanda
anual lb
Demanda
anual qq
0 18,086 2.4 43,406 434
1 18,550 2.4 44,520 445
2 19,515 2.4 46,836 468
3 21,059 2.4 50,542 505
4 23,309 2.5 58,272 1632
5 26,462 2.5 185,234 1852
Fuente propia.
Para sacar el crecimiento poblacional se usó la formula Pf =Po (1+2.57)n, como se
puede observar estos productos tendrán buenos resultados en su comercialización, ya
que llamo la atención a la mayoría de los consumidores encuestados.
2.3- Análisis de la oferta.
2.3.1- Análisis histórico de oferta total del producto.
Al realizar las encuestas se observó que las personas que actualmente tienen negocios
jamás han ofertado estos productos, por lo tanto no hay datos que sustentes el
comportamiento que estos productos anteriormente han tenido, pero serán introducidos
por primera vez en el mercado.
2.3.2- Proyección de la oferta del producto.
Tabla 4: Proyección de la oferta del pan de coco.
Año Oferta total.
1 40,000
2 40.000
3 40,000
4 45,000
5 50,000
Fuente propia
15
Tabla 5: proyección de la oferta del requesón dulce.
Año Oferta total del requesón dulce.
1 20,000
2 20,000
3 20,000
4 30,000
5 32,000
Fuente propia.
Estas proyecciones se realizaron de acuerdo a la capacidad que la empresa tendrá en
sus primeros años de funcionamiento, además que no se pude iniciar con grandes
cantidades debido a que no se conoce la aceptabilidad que tendrán estos productos
dentro del mercado y de consumidor final.
2.5- Análisis de los precios.
Estos precios son los que estos productos tienen en su comercialización en los lugares
en donde los elaboran.
Tabla 6: Análisis de los precios del pan de coco y requesón dulce.
Producto ( pan de
coco) empacado
Precio en
distribuidoras
minoristas C$
Producto( requesón
dulce) envasado
Precio en
comerciantes
minoristas C$
Embolsado(227gr) 20 Grande(1/2lb) 15
Fuente propia.
2.5.1- Proyección de los precios del producto.
Tabla 8: Porcentaje de inflación del precio del Tabla 7:
Porcentaje de inflación del precio del pan de coco.
Año % de inflación anual. Precio C$
1 5 20
2 5 21
3 5 22
4 5 23.1
5 5 24.15
Fuente propia.
16
Tabla 9: Porcentaje de inflación del precio
Año % de inflación anual Precio C$ / libra
1 5 15
2 5 15.75
3 5 16.53
4 5 17.35
5 5 18.21
Fuente propia.
Para valorar el costo de los productos se usaron todos los costos y gastos que se
utilizara para fabricarlos y se dividió entre el volumen de los productos elaborados, en
cuanto a la información se obtuvo del BCN.
2.6- Estudio de la comercialización del producto.
Tabla 10: Distribución de venta.
Canal de distribución Porcentaje (%)
Distribuidores minoristas 80
Restaurantes 20
Fuente propia.
El 90% de los distribuidores se encuentran ubicados en el centro de la ciudad y un 10%
en barrios aledaños de la ciudad.
Estos productos se distribuirán de la siguiente manera:
En las pulperías se distribuirá semanalmente y la forma de pago será inmediatamente se
constara con un sistema de publicidad atravez de rótulos, la entrega será a domicilio
con un precio favorable.
En los restaurantes se distribuirá cada tres días y la forma de pago será inmediata con
un sistema de publicidad atravez de rótulos la entrega será a domicilio con un precio
accesible. La estrategia de aceptación será comenzando por pequeñas pulperías y
restaurantes para saber la aceptación de este producto, y dando resultados positivos se
distribuirá a distribuidores mayoristas.
17
2.6- Conclusiones generales del estudio de mercado.
Los productos que actualmente ofertara este negocio serán de necesidad básica para la
población debido a que son productos alimenticios, en cuanto a su conservación
requieren de cuidados especiales para protegerlo del polvo o de la contaminación
exógena del ambiente. En cuanto a la demanda poseen variaciones de ventas en distintos
meses del año debido a ocasiones especiales que se realizan en los distintos meses del
año.
Por ser un producto nuevo en el mercado no presenta demanda potencial insatisfecha, la
estimación de sobrevivencia de este proyecto es de 5 años, con una capacidad de ofertar
inicialmente por año 40,000 libras de pan y 20,000 libras de postres.
De acuerdo a las condiciones favorables que el mercado presenta para la penetración de
estos productos, este proyecto presenta buenas oportunidades para su efectuación.
18
III- ESTUDIO TECNICO
3.1.1 Macro localización.
Aspecto geográfico.
El municipio de Rivas cuenta con una extensión territorial actual de 146 km², la altitud
en la cabecera del municipio alcanza 60 metros sobre el nivel del mar. En Rivas el
clima es semi- húmedo, conocido como tropical de sabanas, la temperatura oscila entre
los 27ºC, la precipitación promedio anual es de 1600 mm.
Colinda:
Norte: Municipios de Buenos Aires, Belén y Potosí.
Sur: Municipios de San Juan del Sur y Cárdenas.
Este: San Jorge.
Oeste: Municipios de Tola y San Juan del Sur.
Sus coordenadas geográficas son las siguientes:
Entre las coordenadas 11°26' latitud norte y 85°49' longitud oeste.
Aspectos socioeconómicos.
El municipio contaba con una población total de 25,837 habitantes en 2009, con una
tasa media de crecimiento de 2010 respecto al año 2005.
La densidad poblacional en el municipio alcanzó la cifra de 3,467 habitantes por Km2. y
en las áreas urbanas se elevó a 9.38% ,142 habitantes por Km2.
La población del municipio casi en la totalidad de su territorio cuenta con los servicios
de agua entubada es decir agua potable, luz eléctrica, pavimentación, drenaje, teléfono,
correo, transporte terrestre, bancos, centros comerciales, iglesias, centros de salud,
escuelas, panteones, parques, canchas deportivas, áreas verdes, etc. La población rural
correspondía a 1.3%, mientras que la población urbana el 98.7%.
19
Aspecto de infraestructura.
Aspectos institucionales.
El municipio de Rivas, sigue una política de rápido desarrollo urbano que se debe al
incremento poblacional que se ha dado en los últimos años, surgiendo de este modo
nuevas necesidades que cubrir. Y cuya responsabilidad de ejecución corresponde
primordialmente al gobierno del estado de Nicaragua y al municipio en particular con
el objeto de procurar cumplir y satisfacer las directrices de bienestar social.
3.1.2 Micro localización.
Para la instalación de este negocio se dispone de un terreno de 450 m2. (15 m. ancho x
30 m. largo) que se encuentra ubicado en la zona oeste del Municipio, carretera hacia
Tola. Dicho terreno colinda al norte con la familia Rugama; al sur con la carretera hacia
Tola, al este con el taller de mecánica, al oeste con y al Oeste con la calle del Amor.
3. Programa y proceso de producción.
3.3.1 programa de producción:
Estos productos se elaboraran de lunes a viernes, con volúmenes de 151 lbs. de pan de
coco y 64 lbs. De requesón dulce diario.
3.3.1.1 capacidad actual y proyectada.
Los equipos que se emplearan tendrán la capacidad para producir volúmenes mayores
a los que se pretenden alcanzar inicialmente en los primeros cinco años de
funcionamiento del negocio, además se aumentaran los equipos mediante el
crecimiento del negocio.
Estos equipos serán combinados (industriales y artesanales) debido a que los volúmenes
de producción se iniciaran en pequeñas cantidades y no se pueden comprar solo equipos
industriales por el costo, pero se cree que los volúmenes de producción aumentaran y
por lo tanto se necesita tener equipos que no sean solo artesanales.
Los volúmenes de producción calculados para los cinco años de funcionamiento se
reflejan en la tabla siguiente.
20
Tabla 11: Volumen de producción del pan de coco.
Año Oferta total de pan de coco
1 40,000
2 40.000
3 40,000
4 45,000
5 50,000
Fuente propia.
Tabla 12: Volumen de producción del requesón dulce
Año Oferta total del requesón dulce
1 20,000
2 20,000
3 20,000
4 30,000
5 32,000
Fuente propia
3.3.2. Descripción del proceso productivo.
El coco se obtendrá de la isla de Ometepe con total de 635 semanal, lo cual será 33,020
cada año
A continuación se detalla cada uno de los pasos que se ejercen para la elaboración del
pan de coco:
 Recepción del coco: se utilizara sacos de nilón, luego se lava el coco para
eliminar cualquier tipo de suciedad, posterior mente se procede a pelarlo con un
machete, luego con el mismo machete se le quita la cascara para obtener la carne
del coco, después pasa por el rayado que es donde se obtiene la leche de coco
amasándola con agua. Y con esto se obtiene el primer producto.
 Proceso de la levadura: esta se coloca sobre una panita por 15 a 20 minutos
hasta que se provoque un efecto de crecimiento.
21
 Mezcla de los ingredientes: en este aspecto se realizan lo que es la mezcla de
los ingredientes sobre una mesa metálica (harina, leche de coco, mantequilla,
azúcar, y sal), esto con el objetivo de darle forma y tamaño a los panes.
 Proceso de post elaborado: una vez ya combinado los ingredientes y elaborado
el pan de coco se colocan sobre cazuela de aluminio esperando por unos 20
minutos que crezca para que obtenga el crecimiento adecuado.
 Proceso de horneado: ya listo pasado los 20 minutos y con el crecimiento ideal,
como labor final se coloca en el horno y se espera unos 10 minutos para
sacarlos.
 Proceso de empacado: se espera un tiempo de reposar para que se enfrié, luego
se empaca y listo para comercializarlo.
Proceso de elaboración del requesón:
Para la elaboración de requesón dulce se llevara a cabo los pasos en donde tendremos
nuestro proceso de producción con cada cantidad que se va a aplicar:
 Proceso de recepción de leche: para esto se utilizaran baldes de 20 litros
posteriormente esto se pasara a un proceso de baja de ph lo cual se le bajara a un
2% utilizando limón agregando 0.2 gotas por litro de leche ósea que para cada
100 lts se le proporcionara 20 gotas. Luego pasara al proceso de colado en el
cual se utilizara panas plásticas y luego se cuela con un colador de tela como
pase final.
La baja de ph a 2% se hace con el objetivo que el producto tenga mayor
durabilidad en cuanto a su almacenamiento ya sea refrigerado.
 Proceso de cocinado: para esto utilizaremos peroles grandes que faciliten el
espacio para remover la leche con cucharones de aluminio este estará expuesto
a una cocina a base de gas a temperaturas medias.
 Proceso de mesclado o formulación: este será un proceso mediante el cual
todos los ingredientes (azúcar, limón, canela, vainilla o saborizante) estarán
22
expuestos a mezclarse en peroles y darán una concentración moderada y un
sabor dulce agradable.
 Proceso de enfriamiento: para esto utilizaremos bandejas plásticas en donde
abra un traslado de los peroles a las bandejas este será expuesto al aire libre para
bajarla a una temperatura o determinada utilizaremos manteles para tapar y
luego sacar la medida con vasos pequeños.
 Proceso de empacado: aquí será donde nuestro producto se pesara en pesa de
reloj para llevar un control de rendimiento luego recibirá un tratamiento de
empacado en el cual utilizaremos vasos descartable y un plástico que servirá
como sellador.
3.2.2. Diagrama de flujo de proceso.
Acondicionamiento
de la materia prima
Preparación de
ingredientes
Acopio de coco
Lavado
Rayado
Extracción de leche
Amasado Mezclado Harina
Leche
Coco
Mantequilla
Azúcar
Sal
Fermentación
Horneado
Enfriado
Empacado
Levadura
23
3.3.2.2. Diagrama de flujo de proceso del requesón dulce.
Recepción de
materia prima
Reposo
Baja el pH
de la leche
2%
Cocción
Formulación
Concentración
Enfriamiento
Empacado
Comercialización
24
3.4. Requerimiento utilizado en la ejecución y producción del proyecto.
Para la elaboración del pan de coco se utilizó los insumos siguientes: harina, leche de
coco, levadura, mantequilla, azúcar y sal. Se utilizaran 2 trabajadores para elaborar el
pan de coco, se necesitara servicio de energía eléctrica, agua, teléfono, abastecimiento
de gas y medios de transporte. Los productos que se utilizaran para la producción de
este pan se compraran en casas distribuidoras de productos al por mayor (harina,
levadura, mantequilla, azúcar y sal), mientras que el coco se obtendrá mediante el
convenio con personas que tienen plantaciones de coco y directamente del mercado.
Para la elaboración del requesón dulce los insumos utilizados serán los siguientes:
leche bovina, azúcar, vainilla, canela, sal y limón acido. Se utilizaran tres trabajadores
para elaborar el producto de requesón dulce, por el cual se necesitara servicios de
energía, agua potable, teléfono, cocina, abastecimiento de gas y transporte.
Los insumos que se utilizaran para la producción de requesón dulce se compraran en
casas comerciales al por mayor (azúcar, canela, vainilla, sal y el limón acido se
comprara en el mercado según las cantidades necesitadas y en el caso de la leche será
comprada en la Escuela Internacional de Agricultura y Ganadería, este será nuestro
centro de acopio.
3.4.1 Detalle (cálculos) y descripción de los equipos, maquinarias, herramientas y
mobiliario.
Los equipos que se utilizaran para la elaboración del pan de coco son los siguientes:
Panas plásticas para la recolección de la leche de coco, machetes o macanas para la
pelada del coco, un rayador de coco, cazuela para colocar el pan una vez elaborado, un
colador para colar la leche de coco, mesas metálicas para amasar el pan junto con los
ingredientes, un horno para hornear el pan, cazueleja para introducir al horno el pan.
25
Tabla 13: Equipos para la elaboración del pan de coco.
Equipos Características Tamaño físico cantidad
Pana onda Plástica Grande pequeña 5
Machete Alargado 0.5 metro 2
Rayador Rectangular Grande 5
Mesa Rectangular,
metálica
5 m2 1
Colador Redonda, metálica Mediano 2
Cazuela Aluminio,
rectangular
Grand 15
Sacos Nilón Grande 5
Fuente propia
Tabla 14: Equipos que se utilizaran para la elaboración del requesón dulce.
Equipos Características Tamaño Cantidad
Cocina
industrial
4 quemadores 1m de alto y 1 de ancho 2
Pesas De reloj y aluminio
graduada en lbs.
0.3 mt (25 lb) 1
Peroles Aluminio Grandes y medianos 4
Mesas
Metal
5mt2 1
Cucharones Aluminio
Grandes 4
Baldes
Plásticos 20 lts 4
Panas Plásticas Grandes y medianas 5
Coladores Tela Grandes 2
Bandejas Plásticas 0.5 mt de largo y 0.2 de
ancho
6
Manteles Tela 2 yardas 6
vasos
Plásticos Pequeños y de medida
2
Vasos Descartables resistentes
al calor
Pequeños unidades
Plástico
sellador
Royos grandes 2
Fuente propia
26
Detalles de equipos, herramientas y mobiliarios para la elaboración del pan de
coco (según proceso productivo).
Tabla 15: Detalles de equipos, herramientas y mobiliarios (según proceso
productivo).
Descripción de la
actividad
Equipo y/o
herramienta,
materiales
Proveedor Cantidad
Acopio y procesado
del coco
Sacos Mercado 5
Machete Ferretería 2
Rayador y panas Plastinic 2 – 5
Mezcla ingredientes Mesa metálica ESCASAN 1
Post elaboración Cazuela Mercado 15
Horneado Horno casero, leña Albañil, aserrío 1
Empacado bolsas Plastinic 200,000
Fuente propia
Tabla 16. Detalles de equipos, herramientas y mobiliarios para la elaboración del
requesón dulce (según proceso productivo).
Descripción de las
actividades
Equipos o
herramientas.
materiales
Proveedor Cantidad
Proceso de recepción
de leche
Baldes plásticos de
20 lts
Plastinic 7
Panas plásticas de
100 lts
Plastinic 5
Colador de plástico Plastinic 2
Proceso de cocinado Peroles ESCASAN 4
Cucharones ESCASAN 4
Cocinas industrial
de 4 quemadores
El gallo más
gallo
2
Gas Tropigas 1
Proceso de mesclado o
formulación
Peroles ESCASAN 4
Proceso de
enfriamiento
Bandejas Plastinic 6
Vasos pequeños Plastinic 2
27
Manteles Mercado 6 yardas
Proceso de empacado Pesas Mercado 1
Vasos Mercado Unidades
Plástico Sellador Mercado 2
mesa ESCASAN 1
Fuente propia
Tabla 17: Equipos de oficina
Descripción U/M Cantidad Costo
unitario
Costo total
Escritorio unidad 1 5,000 5,000
Calculadora unidad 1 250 250
Archivador unidad 1 5,000 5,000
Lápiz unidad 5 3 15
Cuaderno Unidad 4 25 100
Computadora Unidad 1 12,000 12,000
Borrador Unidad 2 5 10
Agua purificada Unidad 1 110 110
Engrapadora Unidad 1 120 120
Sellador Unidad 1 300 300
Total 22,905
Fuente propia
3.4.2. Detalle y descripción de la infraestructura.
La característica de esta oficina será la siguiente: La capacidad de la infraestructura será
de buenas condiciones por lo que tendrá la facilidad de producir los volúmenes de
producción proyectada, el tipo de infraestructura que se realizara será de concreto, las
dimensiones de estos será de 10m x 20m con 200m2, esta estar distribuida en una
bodega, una pequeña oficina, el lugar de fabricación y empacado, baños y un predio
donde estará el horno y donde pueden entrar vehículos, para esta infraestructura se
necesitara un terreno de 15 x 30 con 450mt2 . para la construcción de esta
28
infraestructura se contactó el precio de un metro cuadrado, según las condiciones que
se quieren y el costo es de C$ 2000 por metro cuadrado con todo y los materiales que se
necesitan, por lo tanto esta inversión será de Ç$ 400,000, por todo.
3.4.3. Cálculo y descripción de mano de obra en la etapa de ejecución y
funcionamiento del proyecto.
En esta actividad se dará a conocer cada función y tiempo que desempeñarán los
obreros, por lo tanto se realizaron cálculos para obtener las cantidades a utilizar durante
todo el proceso de producción, esto se procederá de acuerdo al flujo de proceso de cada
producto, el cual tiene mucha importancia saber el proceso para llevar un orden de las
actividades a realizar en el tiempo destinado a elaborar el producto.
terreno
Oficina Bodega
Puerta salidas puerta
Horno
ooo
Baños
Bodegade
materia
prima
Bodegade
productos
terminados
Bodegade
insumos
Bodegade
materialesy
equipos,
otros
Recepción
Materia
prima
Entrada
29
Tabla 18: Mano de obra para la elaboración del pan de coco.
Actividad Descripción Tiempo de
operación
Capacidad
del equipo
Frecuencia
por día
Mano de
obra o
necesaria
Tiempo
total/día
1 y 6 Recepción
de materia
prima
(harina,
coco) y
otras
materias
primas
Se recibirán
640 lb de
harina, 635
cocos.
Azúcar 26
lb.516onza
levadura,
285 barritas
mantequilla,
12 lb sal,
640 bolsa
semanal.
1 1 3 horas
Fuente propia
Tabla 19: Mano de obra para elaboración del requesón dulce.
Fuente propia
Actividad Descripción Tiempo de
operación.
Capacidad
del equipo.
Frecuencia
por día.
Mano de
obra.
Tiempo
total/día
1 y 5 Recepción
de leche y
la otra
materia
primas.
Se
recibirán
64 lts
leche
diarios y
materias
primas
como,
azúcar 115
lbs.,
vainilla
2.5 ,
canela 25
bolsas ,sal
2.5 y 15
limones,
semanal
todos
Se
utilizaran
bidones de
20 lts
diarios.
1 1 2 horas
30
3.4.3.1. Mano de obra, costos, disponibilidad y productividad.
Para el manejo de la micro empresa se requerirá de un personal como: un responsable
de producción, 5 personas en el área de fabricación de los productos , un responsable de
limpieza y un responsable de distribución de los productos y recolector de la materia
prima, este grupo de personal será ocupado toda la época del año.
Tabla 20: Personal administrativo o mano de obra directa.
Ocupa N( traba) Salario
mensual
Vacacione
tres mes
Inss
(6.25%)
IR Total anual
Resp.
produ
1 5,000 8,432 3,744 5,748 58,940
Total
anual
1 5,000 8,432 3,744 5,748 58,940
Fuente propia.
Este pequeño negocio estará a cargo de un responsable de producción quien será el que
llevara la responsabilidad de que se genere la producción, también de coordinar,
programar y planificar todas las actividades para la subsistencia del negocio, además
llevará la contabilidad y administración de la empresa y será responsable de la
comercialización de los productos y de asegurarse de que los trabajadores estén
realizando su actividad en tiempo y forma. También de realizar los pedidos que se
requerirán por semana.
31
Tabla 21: Personal operativo o mano de obra directa en el proceso productivo
Ocupación N. trabajadores Salario
mensual
Vacacione
tres mes
Inss
(6.25%)
Total anual
Obreros en el
área de
producción
1 3,000 6996 2,250 26,724
1 3,000 6,996 2,250 26,724
1 3,000 6,996 2,250 26,724
1 3,000 6,996 2,250 26,724
1 3,000 6,996 2,250 26,724
Limpieza 1 1,500 8,484 1,128 8,388
Resp, distribuí 1 1,500 8,484 1,128 8,388
Total 150,396
Fuente propia.
Se ocupara 5 trabajadores de operación, de los cuales 2 estarán elaborando el pan de
coco y 3 el requesón dulce, estos trabajadores tendrán la labor de recibir al responsable
de distribución de los productos, la materia prima que se necesitara para producir,
además tendrá la responsabilidad de llevar a cabo todas las fases productivas desde su
inicio hasta su final. Mientras la de limpieza se encargara de mantener limpio el local y
los utensilios q se utilizaran y el responsable de distribución tiene que distribuir estos
productos en los puestos de ventas, también tendrá la tarea de recolectar la materia
prima que se necesitara en la semana.
Disponibilidad de la mano de obra.
De los ocho cargos uno será el que lleva la dirección de la empresa y el sentido de este
será en mantener el equilibrio de la productividad, cinco de ellos ejercerán la función de
que se logren las metas propuestas de la cantidades de libras a producir diarias, los
cuales uno de ellos será beneficiado por las ganancias que del negocio obtenga ya que
el será el dueño del negocio, mientras que el responsable de limpieza y distribución no
formaran parte de las ganancias, si no que únicamente obtendrá su salario mensual.
32
Productividad de la mano de obra.
La productividad de la mano de obra serán las 128 lb de pan que se pretenden realizar
diario y de requesón dulce serán de 64 lb, con el cumplimiento de las metas propuestas
por día.
3.4.4. Detalle y descripción de los insumos, materia prima y otros gastos indirectos
de producción.
La materia prima necesaria para producir los distintos productos durante un mes son los
siguientes:
Tabla 22: Insumos para elaborar el Pan de coco
Descripción Características Unidad de medida Cantidad/mes
Harina Fina, pulverizada Libras 3,333
Coco Seco y sazón Unidad 600
Levadura Fina, pulverizada Onza 3,333
Mantequilla En barra Caja 201
Sal Fina, pulverizada Lb 12.58
Azúcar Fina, pulverizada Lb 503
Fuente propia.
Tabla 23: Insumos para la elaboración del Requesón dulce.
Descripción Características Unidad de medida Cantidad/mes
Leche Color blanco. Litro 1666
Azúcar Refinada lbs. 333
Vainilla Sabor, olor, agrada botella 13
Canela Bolsa grande bolsa 130
Sal Refinada lbs. 13
Limón Sazones, maduros docenas 78
Fuente propia.
33
Para la obtención de esta materia prima se determinaran los proveedores permanentes de
los insumos, esto con el fin de tener un abastecimiento seguro y permanente por medio
de convenios y arreglos que se efectuaran para mantener la seguridad productiva.
Quizás algunas de las materias primas provocaran mayor dificultad para obtenerla pero
a medida de que la empresa esté funcionando se crearan fuentes seguras de esas
materias primas, por lo tanto se iniciara comprándolas la mayor parte de esta en el
mercado o puestos de venta, mientras que otras se obtendrán directamente de las
distribuidoras.
Tabla 24. Productores de la materia prima.
Nombre del productor Cantidad/producción/día m. prima dirección
Mercado / Rivas 128 lbs. Harina Frente de la
terminal de los
buses, costado sur.
Mercado 30 unidades Cocos
Distribuidoras 42.4 lbs. Azúcar
Pulperías 1.27 lbs. Sal
Pulperías 516 onza Levadura
Pulperías 10 onza Mantequilla
EIAG 140 lts Leche
Pulperías 0.65 lts Vainilla
Fuente propia.
Para la obtención de estos recursos algunos se tendrá que traerlos de los puestos de
ventas, estos son los que se necesitaran en pequeñas cantidades, mientras que los
insumos que se ocuparan en grandes cantidades se harán convenios con las empresas
productoras para que lo depositen directamente en el negocio.
En cuanto a los precios, se piensa comprar en mayores volúmenes los productos que lo
permitan para bajar los costos de producción.
34
3.7 Cronograma de actividades (etapa de ejecución y funcionamiento).
En el siguiente cronograma están plasmadas las actividades de mayor relevancia para la
ejercitación de este negocio, que es la elaboración del pan de coco y el requesón dulce.
Tabla 25. Cronograma de actividades.
meses
Planificación de actividades 1 2 3 4 5 6 7 8 9 10 11 12
Registro de la empresa x
Compra del terreno x
Compra de los mater. para
infraestructura
x
Construcción de la infraestructura x
Visitas a proveedores de insumos x
Compra e instalación de equipos x
Contratación de mano de obra y
resp.prd
x
Compra y traslado de insumos x x x x x x x x x x
Capacitación de los trabajadores x
Elaboración y
comercialización(producto
x x x x x x x x x x
Publicidad x x x x x x x x x x
Promoción x x x
Compra de equipos de oficina x
Transporte del producto x x x x x x x x x x x x
Financiamiento x
Fuente propia.
3.8 Organigrama del proyecto (para la etapa de ejecución y operación,
organización del recurso humano).
3.8.1 Organización para la ejecución y funcionamiento del proyecto.
A continuación se presenta la estructura organizativa de este pequeño proyecto, que
debido a que está iniciando tendrá poco personal tanto administrativo como laboral.
35
3.8.1.1 Detalle de funciones por cargo.
Responsable de producción: Este cargo lo ejercerá una sola persona, tendrá bajo su
responsabilidad a los demás trabajadores, además será quien llevara el control del
negocio por medio de la contabilidad, administración, y será quien garantizara la
entrada y salida de los bienes y materiales de la empresa.
Personal laboral: La tarea de estos será garantizar la calidad y cantidad de vienes a
producir.
Responsable de distribución:
El cargo de este trabajador será garantizar el abastecimiento seguro de materia prima
para la empresa y la distribución de los bienes producidos para la población.
Encargado de limpieza:
Este garantizara la higiene de la empresa, para asegurar la salud de los trabajadores y
consumidores.
Administrador
Responsable de
producción
Responsable de
comercializació
n
Responsable de
distribución.
Obrerode
elaboraciónde
producto.
Personal de
limpieza.
36
3.9. Aspectos legales.
3.9.1 Aspecto legal del negocio o empresa y factores relevantes.
Primeramente se buscara un topógrafo para que efectuara las medidas correctas del
terreno, después se contratara a un abogado para que realice el proceso de legalización
del terreno, unas ves realizadas estas actividades y construida la infraestructura, se
juntaran los cinco socios del negocio para firmar el acta de constitución de la empresa,
luego realizaran la escritura del negocio.
Registro mercantil en Managua:
Solicitud de inscripción como comerciante en papel sellado.
Libros contables (Diario y mayor)
Fotocopia de cédula de identidad.
Aranceles a pagar.
1. Solicitud de comerciante C$100
2. Inscripción de libros contables C$ 50 cada uno.
Dirección general de ingresos.
 Registro único del contribuyente
1. Fotocopia de solicitud de comerciante, presentada en registro mercantiles.
2. Fotocopia de la minuta cancelada del pago en el registro mercantil.
3. Fotocopia de cédula de identidad Nicaragüense.
4. Fotocopia de constancia de disponibilidad de servicio público.
Alcaldía de Rivas.
 Matricula municipal.
1. Fotocopia de solicitud de comerciante, inscrita en el registro mercantil.
2. Fotocopia del RUC.
3. Fotocopia de cedula de identidad.
4. Carta de solicitud de matrícula.
5. Inscripción en el INSS
Aranceles: Formato de solicitud de matrícula C$ 5,00.
Capital menor o igual C$25,00.
Matricula C$250,00.
Capital mayor C$ 250,00
37
IV Estudio Financiero
El estudio financiero tiene como objetivo analizar la viabilidad financiera de un
proyecto. Se sistematiza la información monetaria de los estudios precedentes y se
analiza su financiamiento con lo cual se está en condiciones de efectuar su evaluación.
La sistematización de la información financiera consiste en identificar y ordenar todos
los ítems de inversiones, costos e ingresos que pueden deducirse de los estudios previos.
4.1 Inversión fija
Se llama Inversión fija porque el Proyecto no puede desprenderse fácilmente de el sin
que con ello perjudique la actividad productiva. Todos los activos que componen la
Inversión fija deben ser valorizados mediante licitaciones o cotizaciones pero forma
entregados por los proveedores de equipos, maquinarias, muebles, enseres, vehículos,
etc. Los precios para los edificios, obras civiles e instalaciones se 8pueden obtener sobre
la base de las cotizaciones de las Empresas constructoras.
Aquí estaremos reflejando la compra de nuestro terreno ya que en esto valoramos
cuanto tiene el valor de una mz. En dólar y de ahí sacamos la cantidad en córdoba
nuestro terreno está valorado en mt2.
Tabla 26. Compra de terreno
Descripción u.m cantidad Costo unit.
C$
Costo
total c$
Compra de terreno. Mz 0.25 52500 52500
Total 52500
Fuente propia
Después de haber comprado el terreno reflejamos todo los insumos que vamos a ocupar
para la construcción de la instalación y vamos valorando tanto nuestro espacio, cantidad
a utilizar, el valor década uno de ellos. Esto se determinó con la ayuda de un ingeniero
en construcción Wilfredo canales.
38
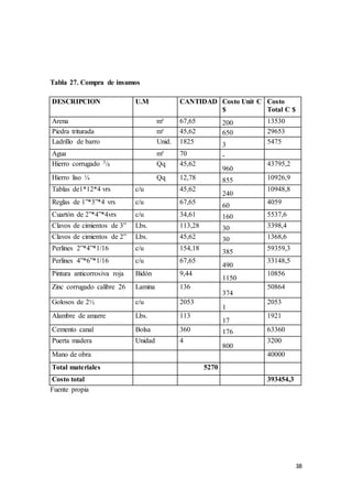
Tabla 27. Compra de insumos
DESCRIPCION U.M CANTIDAD Costo Unit C
$
Costo
Total C $
Arena m³ 67,65 200 13530
Piedra triturada m³ 45,62 650 29653
Ladrillo de barro Unid. 1825 3 5475
Agua m³ 70 -
Hierro corrugado 3/8 Qq 45,62
960
43795,2
Hierro liso ¼ Qq 12,78 855 10926,9
Tablas de1*12*4 vrs c/u 45,62
240
10948,8
Reglas de 1”*3”*4 vrs c/u 67,65
60
4059
Cuartón de 2”*4”*4vrs c/u 34,61 160 5537,6
Clavos de cimientos de 3” Lbs. 113,28 30 3398,4
Clavos de cimientos de 2” Lbs. 45,62 30 1368,6
Perlines 2”*4”*1/16 c/u 154,18
385
59359,3
Perlines 4”*6”*1/16 c/u 67,65
490
33148,5
Pintura anticorrosiva roja Bidón 9,44
1150
10856
Zinc corrugado calibre 26 Lamina 136
374
50864
Golosos de 2½ c/u 2053
1
2053
Alambre de amarre Lbs. 113
17
1921
Cemento canal Bolsa 360 176 63360
Puerta madera Unidad 4
800
3200
Mano de obra 40000
Total materiales 5270
Costo total 393454,3
Fuente propia
39
Después de la compra del terreno y los insumos a utilizar para la construcción se
procederá a la compra de los materiales y equipos, esto se determinó mediante a la
cotización de precios en los diferentes lugares de comercialización donde se venden los
productos que utilizaremos, luego con la cantidad y el costo de cada uno determinamos
el costo total. Se trabajó con un imprevisto del 3% ya que no se sabe los diferentes
gastos que tendremos además de este.
Tabla 28: Materiales y equipos.
Categoría U.M Cantidad Cost. Unit. Costo total
Pana onda plástica Unid. 5 62 310
Rayador Unid. 5 25 125
Delantales Unid. 5 100 500
Panita Unid. 5 15 75
Machete Unid. 2 90 180
Colador Unid. 4 20 80
Mesa metálica Unid. 2 2500 5000
Balde Unid. 4 76 304
Bandeja Unid. 6 65 390
Perol Unid. 4 650 2600
Cucharon Unid. 4 15 60
Cocina de gas Unid. 2 6000 12000
Plástico sellador Rollos 2 1300 2600
Tela Lb 2 15 30
Vasos medianos Unid. 2 8 16
Guantes Par 5 180 900
Gorro Unid. 5 3 15
Tapa boca Unid. 5 3 15
Pesa Unid. 1 5000 5000
Cazueleja Unid. 15 250 3750
Gas 100 lb 24 1350 32400
Sub total 66350
Imprevisto 3% 2001
Total 68351
Fuente propia
En esta tabla se reflejan las materiales utilizados en todo el proceso de funcionamiento
del proyecto
40
4.2. Inversión diferida o tangible.
Se caracteriza por su inmaterialidad y son derechos adquiridos y servicios necesarios
para el estudio e implementación del Proyecto, no están sujetos a desgaste físico.
Usualmente está conformada por gastos de organización y supervisión, gastos de puesta
en marcha de la planta, gastos de administración, intereses, gastos de asistencia técnica
y capacitación de personal, gastos en patentes y licencias, etc.
Tabla 29: Inversión diferida
Se detalla la inscripción de la empresa, esta información se obtuvo de un abogado Cesar
Gómez, facilitando los gastos totales de la inscripción. También se determinó que solo
la actividad de inscripción de registro mercantil ocupa un 92% lo que significa que la
mayor inversión estas en la inscripción de la empresa. También se dará una capacitación
de mano de obra a los personal este tendrá una participación del 8% en los gastos
totales.
Descripción U.M Cantidad Costo unitario Costo
total
Aspectos legales 1400
Capacitación de mano de
obra
Día. 6 500 3000
Total 4400
Fuente Cesar Gómez
El capital de trabajo (también denominado capital corriente, capital circulante, capital
de rotación, fondo de rotación o fondo de maniobra) es una medida de la capacidad que
tiene una empresa para continuar con el normal desarrollo de sus actividades en el corto
plazo. Se calcula como el excedente de activos de corto plazo sobre pasivos de corto
plazo.
4.3 Costos de operación.
La fase operacional comienza cuando por primera vez sale hacia el mercado el bien o
servicio. Generalmente esta fase de operación y producción es la que tiene mayor
duración y corresponde al periodo en el que se espera que el proyecto genere los flujos
de efectivo neto que permitan recuperar el capital invertido.
41
4.4 Costos de producción.
Los costos de producción (también llamados costos de operación) son los gastos
necesarios para mantener un proyecto, línea de procesamiento o un equipo en
funcionamiento.
Se están reflejando todos los insumos a utilizar para el proceso de producción y los
insumos de limpieza que se ocuparan de los cuales se indica con detalles la cantidad,
costo unitario y costo total lo cual esto será durante un año.
Tabla 30: costo de producción
Descripción U.M. Cantidad Costo unitario
C$
Costo total
C$
Harina Lb 28525 4 114100
Coco Unid. 33020 7 231140
Levadura Onza 25673 2 51346
Azúcar Lb 6284 6 37704
Sal Lb 646 2 1292
Leche Lts 5705 10 57050
Canela Bolsa 1114 1 1114
Vainilla Botella 111 16 1776
mantequilla Barras 12702 20 254040
Limones Unid. 668 0,5 334
bolsa Unid 28525 0,5 14262,5
Vasos descartabl Docena 35657 0,44 15689,08
Escobas Unid. 2 45 90
Cepillos Unid. 3 40 120
Jabón liquido Galón 3 75 225
Jabón Fax Tacos 6 12 72
Cloro al 20% Galón 2 75 150
Barriles Unid. 2 250 500
Lampazo Unid. 3 80 240
Mecha Unid. 3 30 90
Agua Mes 12 250 3000
Energía Mes 12 150 1800
Obreros Día 30 500 15000
Limpieza Día 30 50 1500
Gas Tanque 12 300 3600
Leñas Carretada 30 300 9000
total 815234,58
42
Fuente propia1
Tabla 31: costo de producción directa
Costos de producción directo Costo totales
Harina 114100
Coco 231140
Levadura 51346
Azúcar 37704
Sal 1292
Leche 57050
Canela 1114
Vainilla 1776
mantequilla 254040
Limones 334
Agua 3000
Mano de obra 15000
Carretada de leña 9000
Tanque de gas 3600
Total 780496
Fuente propia.
La tabla # 31 muestra como están distribuidos los insumos de acuerdo a su ocupación y
utilización en la elaboración de los diferentes productos.
Costos de producción indirecto Costos totales
bolsa 14262.5
Vasos descartable 15689.08
Escobas 90
Cepillos 120
Jabón liquido 225
Jabón Fax 72
Cloro al 20% 150
Barriles 500
Lampazo 240
Mecha 90
Mano de obra (limpieza) 1500
Energía 1800
Total 34738.58
43
Fuente propia
4.5 Costos de administración.
En este gasto se estarán reflejados todos los salarios de cada personal según el área
correspondiente donde su salario estará detalladamente calculado por día, cantidad,
costo unitario, costo total, esto será para un mejor proceso administrativo. Y los gastos
de oficina donde se refleja en el estudio técnico en la tabla numero 17, en este cuadro
solo se detallará el costo total. El responsable de producción cubre el 17% de los costos
que realizara el trabajo de general.
Tabla 32: costo de administración
Descripción U.M. Cantidad Costo
unitario
Costo
total
anual
Responsable producción mes 1 5000 60000
Responsable distribución mes 1 1500 18000
Equipos de oficina Unid ------- ---------- 22,905
total 78022,905
Fuente propia
4.6 Costo de venta
El costo de venta es el costo en que se incurre para comercializar un bien, o para prestar
un servicio. Es el valor en que se ha incurrido para producir o comprar un bien que se
vende.
Para obtener nuestros ingresos tenemos que realizar gastos de transporte de materia
prima y de producto, también de propaganda que se realizara cada 3 meses y el viatico
que se suministrará al personal que se ocupará en todo el proceso de transporte.
Tabla 33: costos de venta
Descripción U.M. Cantidad Costo
unitario
Costo
total
Transporte Viaje/semana 52 100 5200
Propaganda Viaje/3mes 3 300 900
viatico Córdobas/año 6 600 3600
total 9700
44
4.7 ingresos
Los ingresos sirven además como motor para la futura inversión y crecimiento ya que,
aparte de servir para mejorar las condiciones de vida, pueden ser utilizados en parte para
mantener y acrecentar la dinámica productiva.
Los ingresos que vamos a obtener del proyecto son necesarios para cubrir los costos de
operación del producto estos ingresos serán producidos mediante las ventas de cada año
y también la oferta del producto de cada año vida útil del proyecto.
4.7.1 ingreso directo
Tabla 34: Ingreso del pan de coco
año cantidad Precio C$ Ingresos totales
2011 40000 20 800000
2012 40.000 21 840000
2013 40000 22 880000
2014 45000 23,1 1039500
2015 50000 25,15 1257500
total 4817000
Fuente propia
Tabal 35: Ingreso requesón dulce
año cantidad Precio C$ Ingresos totales
2010 20,000 15 300,000
2011 20,000 15.75 315,000
2012 20,000 16.53 330,600
2013 30,000 17.35 520,500
2014 32,000 18.21 582,720
total
2,048,820
Fuente propia
4.8 Clasificación de todo el costo.
Tabla 36: Inversión fija
Descripción valor
Terreno 52500
infraestructura 393454,3
Material y equipo 68351
45
Total 514305.3
Fuente propia,
Tabla 37: Inversión diferida
Descripción valor
Aspecto legales 1400
Capacitación de mano de obra 3000
Total 4400
Amortización: 4,400/5=880.
La presente tabla muestra el valor total de los costos de inversión.
Tabla # 38. Inversión total
Descripción valor
Inversión fija 514305.3
Inversión diferida 4400
Capital de trabajo 225739.37
Total 744444.67
Tabla 40: Gastos de administración
Descripción valor
Responsable producción 5,000
Responsable distribución 1, 500
Equipo de oficina 22,905
Total 29,405
Fuente propia
Tabla 41: Gastos de venta
Descripción valor
Transporte 5,200
Propaganda 900
Viatico 1,200
Total 7,300
Fuente propia
Tabla 42: costos operativos
Descripción valor
Costos de producción 815234.58
Gastos administrativos 78022.90
Gastos de veta 9700
Total 902957.48
46
Capital de trabajo
Anual: 902957.485= 75246.45 x 3=225739.37 C$
---------------12
Para calcular el capital de trabajo se tomaron en cuenta el total de todos los costos
operativos y como este estaba en base a cinco años se dividió entre cinco para sacarlo
anual y luego entre doce para obtener los costos mensual y después se procedió a
multiplicarlo por tres porque son tres meses que se necesita el capital de trabajo en el
proyecto.
Depreciación
En esta tabla se tomaron todo los aspecto tomado en la tabla de los costo fijo también se
tomaron tanto los porcentaje de la infraestructura, material y equipo. Excepto el terreno
el cual se despreciara en el último año, del proyecto esta estará reflejada en el flujo
financiero.
Tabla 43: Depreciación
Descripción valor 2011 2012 2013 2014 2015
Infraestructura 393454.3 39345.43 39345.43 39345.43 39345.43 39345.43
Material y equipo 68351 13670.2 13670.2 13670.2 13670.2 13670.2
D. acumulada 461805.3 53015.63 53015.63 53015.63 53015.63 53015.63
Valor de rescate. 408789.67 355774.04 302758.41 249742.78 196727.15
Fuente propia
Infraestructura 10%= 10 años
Materiales y equipos 20%= 5 años
Tabla 44: Servicio de deuda.
Año Préstamo Salo inicial Abono
principal
Interés 13%
anual
Mantenimiento
5%
Total cuota Saldo final
2011 372222.33 372222.33 74444.46 48388.90 18611.11 141444.48 297777.86
2012 297777.86 74444.467 38711.12 14888.89 128044.48 223333.40
2013 223333.40 74444.467 29033.34 11166.67 114644.479 148888.93
2014 148888.93 74444.467 19355.56 7444.44 101244.47 74444.467
2015 74444.46 74444.467 9677.78 3722.22 87844.47 0
Total 372222.33 145166.71 55833.35 573222.39
47
Fuente propia
Para sacar el préstamo tuvimos que cotizar los precio en el banco tanto como el interés y
mantenimiento, nuestro préstamo lo sacamos en caruna ya que nos da un buen plazo de
pago. Este préstamo lo trabajamos con un 50%. Inversión total 744444,6713.
Tabla # 45. Costos totales de los dos productros.
Ingresos
Años directos Directos Ingresos totales
2011 800000 300000 1100000
2012 840000 315000 1155000
2013 880000 330600 1210600
2014 1039500 520500 1560000
2015 1257500 582720 1840220
FLUJO FINANCIERO DEL PROYECTO CON FINANCIAMIENTO
En este flujo daremos a conocer todo nuestros costo y gasto que nos asume el proyecto
para llevar a cabo una inversión de la cual sacaremos un préstamo en caruna para 5 año
valorando pago al 50% con una tasa de interés de 13% y una tasa de mantenimiento de
5%.
En este también llevara ingreso, egreso, nuestro capital de trabajo, depreciaciones,
amortización, utilidad bruta todo esto calculado en los cuadros anteriores.
Tomando el aspecto dicho anteriormente nuestro resultado estará reflejado en el flujo
neto financiero.
48
Tabla 46: flujo financiero con financiamiento
DESCRIPCION
2010 2011 2012 2013 2014 2015
(_) INVERCION TOTAL 744444.67
FIJAS 514305.3
Diferida 4400
CAPITAL DE TRABAJO 225739.37
Total ingreso 1100000 1155000 1210600 1560000 1840220
Total de egresos 1023853.14 1010453.13 997053.13 983653.12 970253.11
Costos de operación 969957.50 956557.50 943157.50 929757.49 916357.48
Costos de producción 815234.58 815234.58 815234.58 815234.58 815234.58
Gastos administrativos 78022.90 78022.90 78022.90 78022.90 78022.90
Gastos de venta 9700 9700 9700 9700 9700
Mantenimiento al valor 18611.11 14888.89 11166.67 7444.44 3722.22
Gastos financieros 48388.90 38711.12 29033.34 19355.56 9677.78
Depreciación 53015.63 53015.63 53015.63 53015.63 53015.63
Amortización 880 880 880 880 880
UTILIDAD BRUTA 76146.8646 144546.86 213546.87 576346.88 869966.88
Impuestos / renta 30% 22844.05 43364.06 64064.06 172904.06 260990.06
Utili: después de impuestos 53302.80 101182.80 149482.81 403442.81 608976.81
Depreciación 53015.63 53015.63 53015.63 53015.63 53015.63
Amortización 880 880 880 880 880
Valor de rescate 196727.15
Crédito 372222.3356
compra del terreno 63000
pago principal 74444.46 74444.46 74444.46 74444.46 74444.46
capital de trabajo 225739.37
flujo neto financiero -372222.33 32753.96 80633.97 128933.97 382893.98 1073894.50
Fuente propia
El flujo es una de las fases muy importante del estudio financiero porque muestra bien
detallada todas las inversiones que se realizan en el proyecto.
49
Cuadro de amortización
Todos los aspecto reflejados en este cuadro se amortizaran con el fin de darnos cuentas
cual es valor que tendrán en los 5 años de funcionamiento del proyecto.
Tabla 47: amortización
Descripción valor 2011 2012 2013 2014 2015
Aspecto
legales
1,400 1,400 1,400 1,400 1,400 1,400
Capacitación
de mano de
obra
3,000 3,000 3,000 3,000 3,000 3,000
amortización 4,400 880 880 880 880 880
Fuente propia
La inflación en el 2009 es de: 13.77 (el cual el rango de la inflación anda en 5 a 8) el
cual nosotros agarramos el rango de 8 para sacar la proyección del 2010 esta es
18.77.
Sumamos la inflación de 2009 y la proyección del 2010, y la dividimos entre 2 para
sacar una media esta nos dio un resultado de: 16.27.
13.77 + 18.77 = 16.27
2
Formula para sacar la trema
Trema = i + if + (0.1627 * 0.12)
28.27 + 0.019 = 28.28
Formula para sacar el van: 1/(1+i)n
Calculo de la VAN positiva
Tabla 48: VAN positiva con financiamiento
Año Flujo neto financiero Factor de descuento 28.28% Flujo neto descontado
2010 -372222.33 1 -372222.33
2011 32753.96 0.77 25220.55
2012 80633.97 0.6 48380.38
2013 128933.97 0.47 60598.96
2014 382893.97 0.36 137841.83
50
2015 1073894.50 0.28 300690.46
Total 572732.19
VAN: 200509.86
Fuente propia
VAN: 572732,19--372222,33=200509.86
Calculo de la VAN negativa
Tabla 49: VAN negativa con financiamiento
Año Flujo neto financiero Factor de descuento 50% Flujo neto descontado
2010 -372222.33 1 -372222.33
2011 32753.96 0.66 21617.61
2012 80633.97 0.44 35478.94
2013 128933.97 0.29 37390.85
2014 382893.97 0.19 72749.85
2015 1073894.50 0.13 139606,28
total 306843.55
VAN -65378.77
Fuente propia
VAN= 306843,5592-372222.33= -65378.77
RB/C= 572732.19/372222.33=1.53
TIR=T1 + (T2-T1)*VAN1
VAN1+VAN2
TIR=28+ (50-28) *200509.86/200509.86+65378.77
TIR=28+22*0.75
TIR=28+16.5
TIR=44.5
Además de ganar 44.5%se va a ganar adicionalmente16.5% por cada córdoba invertido
TIR=28%
TIR=44.5%
---------------------
16.5%
51
Consolidado de los indicadores
En esta tabla se están reflejando los siguientes indicadores, cada uno con su respectivo
valor los cuales tienen resultados con exactitud por lo tanto este proyecto es rentable
por que todos los valores de los indicadores cumplen con lo reglamentado
Tabla 50: de indicadores
Indicador Resultado Criterio
Van 200509.86 Mayor que 0
Tir 44.5 Mayor/trema
Rb/c 1.53 Mayor que 1
Fuente propia
FLUJO FINANCIERO SIN FINANCIAMIENTO
En este flujo reflejaremos todo los gasto y costo ya que esto demostrara la inversión que
se estará viendo en el proyecto ya que nuestro dinero esta en proceso de desarrollo
donde se tomara en cuenta todo los aspecto que esta en el flujo para poder tener uno
buenos resulta se calculara con la debida precaución todo los acontecimiento dicho
anteriormente.
52
Tabla 51: flujo financiero sin financiamiento
DESCRIPCION
2010 2011 2012 2013 2014 2015
(_) INVERCION TOTAL 744444.67
FIJAS 514305.3
Diferido 4400
CAPITAL DE TRABAJO 225739.37
Total ingreso 1100000 1155000 1210600 1560000 1840220
Total egresos 956853.11 956853.11 956853.12 956853.12 956853.11
Costos de operación 902957.48 902957.48 902957.49 902957.49 902957.48
Costos de produccion 815234.58 815234.58 815234.58 815234.58 815234.58
Depreciación 53015.63 53015.63 53015.63 53015.63 53015.63
Amortización 880 880 880 880 880
Gastos administrativos 78022.90 78022.90 78022.90 78022.90 78022.90
Gastos de venta 9700 9700 9700 9700 9700
UTILIDAD BRUTA 143146.88 198146.88 253746.89 603146.89 883366.88
Impuestos de renta 30% 42944.06 59444.06 76124.06 180944.07 265010.06
Utili: después de impuestos 100202.82 138702.81 177622.82 422202.82 618356.81
Depreciación 53015.63 53015.63 53015.63 53015.63 53015.63
Amortización 880 880 880 880 880
Valor de rescate 196727.15
Terreno 63000
Capital de trabajo 225739.37
Flujo neto financiero -744444.67 154098.45 192598.44 231518.45 476098.45 931979.59
La inflación en el 2009 es de: 13.77 (el cual el rango de la inflación anda en 5 a 8) el
cual nosotros agarramos el rango de 8 para sacar la proyección del 2010 esta es
18.77.
Sumamos la inflación de 2009 y la proyección del 2010, y la dividimos entre 2 para
sacar una media esta nos dio un resultado de: 16.27.
13.77 + 18.77 = 16.27
2
53
Formula para sacar la trema
Trema = i + if + (0.1627 * 0.12)
28.27 + 0.019 = 28.28
Calculo de la VAN positiva
Tabla 52: VAN positiva sin financiamiento
Año Flujo neto financiero Factor de descuento 28.28% Flujo neto descontado
2010 -744444.67 1 -744444.67
2011 154098.44 0.77 118655.80
2012 192598.44 0.6 115559.06
2013 231518.44 0.47 108813.67
2014 476098.44 0.36 171395.44
2015 931979.59 0.28 260954.28
Total 775378.27
Van 30933.60
Fuente propia
VAN: 775378.27-744444.67=30933.60
Tabla 53: Calculo de la van negativa
Año Flujo neto financiero Factor de descuento 40% Flujo neto descontado
2010 -744444.67 1 -744444.67
2011 154098.44 0.71 109409.89
2012 192598.44 0.51 98225.20
2013 231518.44 0.36 83346.64
2014 476098.44 0.26 123785.59
2015 931979.59 0.18 167756.32
Total 582523.67
VAN -161920.99
54
VAN: 582523.67-744444.67=-161920.99
RB/C= 775378.27/744444.67=1.04
TIR=T1 + (T2-T1)*VAN1
VAN1+VAN2
TIR=28+ (40-28)* 30933.60/30933.60+161920.99
TIR=28+ (12)*0.16
TIR=28+1.92
TIR= 29.92
Además de ganar el 29.92% nosotros vamos a ganar adicionalmente1.92 %
Por cada córdoba invertido.
TIR=28%
TIR=29.92 %
-------------------
1.92%
Consolidado de los indicadores
En esta tabla se están reflejando los siguientes indicadores de lo resultados del flujo sin
financiamiento, cada uno con su respectivo valor los cuales tienen resultados con
exactitud por lo tanto este proyecto es rentable por que todos los valores de los
indicadores cumplen con lo reglamentado
Tabla 54 indicadores
Indicador Resultado Criterio
Van 30933.60 Mayor que 0
Tir 29.92 Mayor/trema
Rb/c 1.04 Mayor que 1
Fuente propia
55
Impacto ambiental
De acuerdo a lo estudiado acerca del impacto ambiental, este proyecto se considera que
tendrá un grado de afectación leve para el medio ambiente, ya que para obtener la
producción no se requieren de insumos y materiales que son dañinos para el ambiente,
de acuerdo a los perjuicios que se provoquen en la etapa del procesamiento de
producción se implementaran estrategias para bajar los índices de afectación del medio
ambiente.
Perjuicios de afectación al medio ambiente
1. contaminación atravez del humo de la leña que se utilizara para fabricar el pan de
coco
2. contaminación atravez de la liberación del humo del gas que se utilizara para la
fabricación del requesón dulce
3. residuos plásticos sobrantes después del empacado
Estrategias a utilizar para bajar los índices de contaminación
1. utilizar leñas finas para que no provoquen demasiada liberación de humo
2. mantener la seguridad de las llaves de los chimbos y la cocina
3. seleccionar un lugar adecuado para el depósito de los residuos plásticos
De acuerdo a las condiciones en que se encuentra el proyecto, es aceptable por las
instituciones que son encargadas para la protección del medio ambiente
56
Conclusiones
En síntesis el proyecto de producto de elaboración de pan de coco y requesón dulce en
el estudio técnico nos permite concluir.
El proyecto tiene la oportunidad de vender el producto de pan de coco y requesón dulce
a la población urbana del municipio de Rivas el cual hemos propuesto una buena
demanda proyectada.
Los precios de venta (C$/Kg) estarán en dependencia de la inflación proyectada en los 5
años de ciclo de vida del proyecto. El valor de cada producto incrementara en cada año.
La oferta del pan de coco y requesón dulce se elevara desde el tercer año hasta el quinto
con un 10%.
Una vez concluido el estudio financiero se calculó la VAN, con una trema 28.28% y
resulto VAN positiva con financiamiento y sin financiamiento nos resultó una VAN
negativa esto quiere decir que este proyecto desde el punto de vista financiero es viable
(rentable) por lo que se recomienda ejecutarlo con financiamiento.
En el cálculo de relación beneficio costo se obtuvo un resultado 1.53 lo cual desde el
punto de vista es excelente por que se obtiene ganancias 16.5% por cada C$1 invertido.
En el caso de TIR nos da como referencia que se obtuvo que la Tir es mayor que la
trema lo cual es otro motivo de valor para llevar acabo la inversión de los productos de
pan de coco y requesón dulce.
Desde el punto de vista contable en el flujo financiero de pues de lograr observar que se
obtiene utilidades desde el primer año en adelante. Es por eso que se recomienda
financiamiento bancario.
57
Bibliografía
1. www.alimentacionsana.com
2. www.grupoese.com.ni.
3. http://catarina.udlap.mx/u_dl_a/tales/documentos/lim/garcia_c_oc/capitulo2.pdf

PAN DE COCO AGROINDUSTRAI

  • 1.
    1 I-ASPECTOS GENERALES 1-Introducción Todos losproductos agroindustriales tienen una gran importancia en el mercado nacional, ya que estos satisfacen necesidades que se procrean en la población, además que son vitales en la cadena alimenticia de los humanos. Actualmente el pan sigue teniendo nuevas formas de elaboración, entre estos tenemos el pan de coco que es una alternativa más de alimentación para la población, este se caracteriza por contener nuevos ingredientes nutritivos, con respecto al pan común, y por medio de estos lo hacen tener una preferencia dentro de los consumidores. Este producto se elabora con la combinación de harina y coco como ingrediente especial, con un sabor único que los diferencian de los otros tipos de panes. Este pan que fórmula a base de coco y harina, posee una gran importancia debido a que los ingredientes son de una calidad altamente nutritiva. El consumo de este producto puede ser adlibitum es decir no provoca problemas digestivos en las personas al consumirlo en grandes y pequeñas cantidades. Otro producto que tiene gran relevancia en la nutrición, que su consumo nunca deja de existir y que se encuentran diversificado en nuestro país y en todo el mundo es el postre. El postre es el plato de sabor dulce que se toma al final de la comida , sobre todo en verano. Cuando se habla de postres se entiende alguna preparación dulce, bien sean cremas, tortas, pasteles, helados, bombones, etc. la harina de trigo, también se utiliza el centeno, la cebada, el maíz, el arroz. Dentro de esta variedad de postres se encuentra el requesón dulce que es un postre muy nutritivo pero que no tiene una gran diversificación aun en nuestro medio debido a las falta de desconocimiento de las personas, este producto es muy llamativo por sus características deliciosas que posee, por la facilidad de su preparación, además que los productos que se necesitan para su elaboración se encuentran con mucha facilidad y están disponibles en todo el país.
  • 2.
    2 Estas dos variedadesde producto como el pan de coco y el requesón dulce se encuentran totalmente en una evidencia cultural desconocida en nuestro medio, ya que en los lugares que los producen no han logrado tener un gran margen de producción que puedan alcanzar todo los mercado nacionales, esto debido a que estas persona productoras, los producen de forma artesanal quizás por falta de recursos económicos o por no tener una amplia visión en sus negocios. Con una buena información acerca de la explotación de estos productos alimenticios, las posibilidades de crecimiento serán una fortaleza para la empresa, ya que los pequeños productores que producen esto alimentos la facultad para la demanda no es una dificultad para su estancamiento de su crecimiento por lo que se cree que una buena información y un buen manejo del negocio se lograra crecer y expandirse el producto. Por este motivo se ha creado la implementación de un negocio agroindustrial que fomente el abastecimiento seguro de estos productos dentro del mercado, teniendo el deseo de complacer a sus clientes seguramente con productos de gran calidad.
  • 3.
    3 2- Antecedentes La nutriciónes parte vital del ser humano, cada día el hombre dedica gran parte de su tiempo para consumir alimentos y mientras mejor lo haga, en el sentido de la calidad de lo que consume y del tiempo que le tome, su salud mejorará o se verá empobrecida, por eso es que cada día nos vemos rodeado de nuevas líneas productoras de fuentes alimenticias con el fin de vivir una vida con muchas energías y para eso se siguen explorando distintas calidades de alimento que no han tenido gran demanda en el mercado, debido a que la mayor parte de la población de nuestro país desconocen la importancia de su existencia como es el caso del pan de coco y el requesón dulce. El pan de coco es un rubro que ha sufrido transformaciones desde nuestros ancestros, por medio de estas modificaciones ha causado gran impacto en la población donde se ha comenzado a elaborar, de igual modo el requesón dulce mediante el transcurso del tiempo ha venido teniendo algunas transformaciones las cuales lo han ayudado a ser un producto especial en medio del segmento de los postres, pero en nuestro país la producción y elaboración de estos rubros ha sido limitada debido a que se ha producido rústicamente . El pan de coco tiene un surgimiento en países extranjeros, pero que fue adoptado en la costa Caribe de nuestro país que es donde actualmente se genera básicamente la mayor producción. En cuanto al requesón dulce ha sido creado en nuestro país siendo su centro de procreación mayormente en las comunidades rurales en donde su elaboración es normalmente para el autoconsumo de ellos mismos. En la costa Caribe existen culturas diferentes, hay alimento que se pueden decir exótico, por los ingredientes que se utilizan, pero además de eso le da un sabor diferente, pero único que lo diferencia de los demás productos. Se utiliza mucho el coco en todos los alimentos, básicamente es el ingrediente secreto que le da ese sabor tan especial a todos los alimentos que son proveídos a través de este.
  • 4.
    4 Este pan decoco surgió aprovechando que la mayoría de las comidas eran a base de coco, entonces intentaron probar combinar la harina con el coco, el cual experimento trajo consigo buenos resultados, que hasta la fecha es uno de los platillos más populares en toda la costa atlántica, mientras que el origen de estos azucarados postres alimenticios se remonta a tiempos inmemorables, pero uno de los postres más solicitados y con historia es el chocolate, cuyo origen fue en América, donde era consumido por los indígenas aztecas . La existencia de los postres se encuentra marcada por una enorme variedad de tipos y estilos. Se puede escoger postres que no son más que simples golosinas como el algodón de azúcar y los caramelos, hasta aquellos que son verdaderos alimentos como es el caso de las tortas y de los quesillos y el requesón dulce disponible en : http://catarina.udlap.mx/u_dl_a/tales/documentos/lim/garcia_c_oc/capitulo2.pdf El requesón dulce es uno de los postres rápidamente perecedero; para incrementar su período de consumo, se le somete a varios procesos de elaboración. El sabor y el valor nutricional dependen en gran medida de la leche empleada. En cuanto al funcionamiento del requesón dulce se ha venido comportando de una manera limitada, que actualmente siempre se encuentra sumergido dentro del tradicionalismo rural y que ha sido imposible introducirlo a una línea mayor en el comercio de la que empezó a funcionar como alimento nutritivo. Según las informaciones previstas estos productos están en manos de pequeños productores, que por insuficiencia económica y por falta de una visión amplia no han sacado a luz estos productos, dando como consecuencia un limitado posesiona miento dentro del mercado, lo cual esto ha causado un desequilibrio en la inestabilidad tradicional de estos rubros dentro de la sociedad nicaragüense. Debido a que se sabe que estos productos son muy importantes y que por ende están ausentes en la mayor parte de nuestro país y que existe una oportunidad de entrar sin competidores al mercado se ha creado este negocio, con el objetivo de sustentar algunas necesidades en la sociedad.
  • 5.
    5 3- Justificación Los postresy los panes surgieron como una necesidad para la población, para una nueva forma de alimentación y nutrición diaria en su vida cotidiana, estos fueron producidos para satisfacer la mayor parte de sus necesidades, los cuales han ocupado un lugar muy importante dentro de la dieta diaria de los humanos. El pan de coco y el requesón dulce son productos difícilmente encontrados en la mayor parte de Nicaragua, ya que se producen en determinada región o lugar específico y que por falta de recursos económicos y conocimientos técnicos no se ha logrado obtener una mayor expansión en el mercado, pero si estos productos se explotaran y se dieran a conocer a la población su comercialización no tendrían ningún estancamiento en el proceso de venta ya que son productos nuevos y que por su naturaleza son llamativos para los ciudadanos. Estos productos son totalmente nuevos en nuestro medio, para establecerlos en el municipio se emplearan estrategias de aceptación dentro del mercado (calidad, valor, promoción) la ausencia de los competidores lo cual genera una fortaleza a la empresa productora, dentro de la población contribuye a tener una nueva opción alimentaria, por lo tanto sería una explotación generadora de nuevas líneas alimenticias. El propósito de este proyecto es la elaboración de productos alimenticios que actualmente son existentes en nuestro país, pero que por falta de hábito cultural de consumo no tienen auge en su comercialización debido a un desconocimiento de ellos. Para dar inicio al proyecto se iniciaran ofreciendo los productos a pulperías y restaurante de la ciudad de Rivas, se depositaran en estos puestos de comercialización para determinar si tendrán buena demanda, de ser positivos los resultados se incrementará la producción a niveles mayores, por lo tanto se expandirán las líneas de comercialización hacia otros puesto de negocios, en todo el departamento de Rivas y en otros mercados nacionales del país.
  • 6.
    6 4-Objetivos y Metas. Objetivogeneral  Elaborar y comercializar dos productos agroindustriales de orden alimenticios que puedan ser adquiridos por la población de la ciudad de Rivas. Objetivos especifico  Establecer una unidad de producción para la elaboración de dos productos (pan de coco y requesón dulce).  Emplear estrategias de mercadeo, para el logro del posicionamiento de los productos en el mercadeo.  Ampliar el nivel de producción y comercialización de ambos productos.  Lograr una mejor rentabilidad a través de la ampliación de los niveles de producción. Metas.  Incrementar los niveles de producción en un 18%, después del tercer año de funcionamiento de la empresa.  Expandir las líneas de comercialización hacia otros mercados después de los primeros cinco años de funcionamiento del negocio.  Bajar los costos de producción en un 2%, después de los primeros tres años de comercializar estos productos.  Aumentar los equipos y maquinarias para producir mayores cantidades después de los tres primeros años de funcionamiento de la empresa.
  • 7.
    7 5-Benifeciarios. Beneficiarios directos  CarlosZúniga Escalante.  Elver Antonio Somarriba.  Steven Gomes Gaitán.  Mauricio Salinas.  Melquisedec Espinoza García. Beneficiarios indirectos  Trabajadores temporales de la construcción de la infraestructura.  Ocho trabajadores permanentes para efectuar la producción.  Población en general.  Turistas.
  • 8.
    8 II – ESTUDIODE MERCADO 2.1- Definición y caracterización del producto. El pan de coco es un producto de gran relevancia para la alimentación humana, debido a sus características nutricionales, se caracteriza por tener una forma alargada, su tamaño es mediano, con un peso de 454gr, su color es café, su sabor es característico a coco, su conservación es en bolsas, su forma de consumo puede ser acompañado de otros alimentos, con un refresco, café o por si solo. El requesón dulce es un producto nutricional que se puede consumir después de cada comida o en cualquier momento, su forma es de acuerdo al recipiente que se incluya, igualmente tamaño, color blanquecino dorado, su sabor es dulce y se concentra en la leche, su conservación puede ser en envasé retornable o desechable. Tabla 1 composición de los productos. Composición del pan de coco Composición del requesón dulce Ingredientes % Proteínas Vitaminas Carbohidratos Minerales azucares . fuente internett Fuente internett Ingredientes % Proteína Vitamina carbohidratos minerales Azúcares
  • 9.
    9 2.2- Análisis dela demanda. Actualmente estos productos que se introduciran al mercado no tienen demanda en el municipio de Rivas, debido a la ausencia de ellos, para obtener datos de la demanda futura que estos productos tendrán, se realizaron encuestas directamente en pulperías y restaurantes, ya que en estos comercios es donde se pretende vender estos productos, además se aplicaron encuesta directamente al consumidor final que son los que compraran el producto en los centros de distribucion. 2.2.1- Análisis de datos de fuentes primarias. Debido a que el proyecto es nuevo, se ha decidido comercializar estos productos en pequeños distribuidores minoristas (pulpería y restaurantes), las cuales son 147 pulperías y 7 restaurantes, decidiéndose aplicar las encuestas al 10% de este universo, en cuanto al consumidor final se aplicaron 50 encuestas a personas que compran los productos en pulpería y restaurantes para su alimentación. Con la aplicación de esta encuestas se pretende determinar si los producto generaran buenos resultados en la aceptación por los distribuidores y consumidores de la demanda futura y asegurarnos que este negocio tendrá un buen desarrollo en su comercialización y por tanto una buena rentabilidad. 2.2.2- Encuesta aplicada para cuantificar el consumo total del producto. Para cuantificar la demanda en la población de Rivas se encuestaron 15 pulperías representando un 10% de las existentes, y 2 restaurantes. A continuación se presentaran las preguntas reflejadas en grafica en términos porcentuales, las que se realizaron a través de encuesta aplicadas a pulperías y restaurantes.
  • 10.
    10 A, ¿Ofrece pande coco y requesón dulce en su negocio? Si, (0%) No, (100%) De los 17 negocios encuestado ni uno ofrecía estos productos y nunca los han ofrecido. B) ¿Ha ofertado y demandado alguna vez el pan de coco y el requesón dulce en su negocio? Si, (0%) No, (100%) Estas personas explicaron que en sus negocios ninguna empresa o negocio les ha ofrecido estos productos ya que no son culturales en el municipio de Rivas. 100% Demanda y oferta No Oferta No
  • 11.
    11 C) ¿Si existieraun distribuidor seguro que le abasteciera permanentemente con nuevos productos como el requesón dulce y el pan de coco lo compraría? Si, (90%) les gustaría ofrecerlos No, (10%) De los 17 negocios encuestado el 90% que corresponde a 15 de ellos, estuvieron de acuerdo en intentar distribuir estos productos, pero con la inconveniente de ver si estos serán aceptados por los consumidores, es decir que los aceptaran desde un inicio de elaboración para ofrecerlos a la población para observar la demanda. Para ver si estos productos podrían ser aceptados por la población, se realizaron encuesta a los consumidores del pan y postres comunes, se hizo en 50 de ellos, para sacar la demanda que estos productos podrían tener en el futuro. Todos contestaron que no conocían el producto, algunos han escuchado hablar sobre ellos pero no lo han consumido, para darles a entender como son, se les explico las características que estos poseen y el 70% de ellos tuvieron inquietudes para consumirlos. Grafica 2-Encuestas aplicadas al consumidor. 1. ¿Consume pan y postres? Si (100%) No (0%) 90% 10% SI NO 100% Ventas SI
  • 12.
    12 2. ¿Ha consumidopan de coco y requesón dulce? No (100%) Si (0%) Del 100% de encuestado, todos opinaron que no, aunque algunos han escuchado hablar del pan de coco. 3. ¿Si existieran estos productos en pulperías y restaurantes lo compraría? Si (70%) No (30%) Muchos encuestados han escuchado hablar del pan de coco y por eso les gustaría probarlo y si les gusta estarían de acuerdo en consumirlo, mientras que otros por haberles explicado las características de estos decidieron intentar consumirlos. 4. ¿Cada cuanto lo compraría y en que cantidad el pan de coco? Lo comprarían mensual, con una proporción de 1 lb promedio por mes de cada uno de los encuestados en el pan de coco. Mientras que el requesón dulce es de 0.5 lb mensual como promedio del consumo del producto. Ellos explicaron que por no conocer estos productos podrían iniciar consumiéndolos en estas dimensiones, pero si les llegara a gustar, aumentarían los niveles de consumo en una doble escala. 100 % Ventas NO 70% 30% Ventas SI NO
  • 13.
    13 2.2.3 Análisis delos resultados de la encuesta. De acuerdo con la encuestas realizadas, se obtuvo que no hay demanda de ninguno de los productos a comercializar debido a que no hay oferta, pero del 100% de las personas que tienen negocios el 90% estuvo de acuerdo con intentar comercializar estos productos, mientras que el 10% se restringieron en intentar ofertarlos, en cuanto a los consumidores el 70% de los encuestados dieron posibilidad de poder comprar el producto, por lo tanto se cree que existen buenas posibilidades de crecimiento del negocio. 2.2.4 Cálculos de consumo del producto a partir de los resultados de las encuestas. Debido a la ausencia de demanda de estos productos en el lugar donde se establecerá el negocio no existen cálculos que puedan determinar con seguridad que existen líneas de demanda. De acuerdo con las informaciones recopiladas mediante preguntas dirigidas hacia los distribuidores de panes y postres, estos productos nunca han formado parte de la dieta alimenticia de la población de Rivas porque nunca han sido culturalmente consumidos en este municipio. 2.2.5 Proyecciones de la demanda. Para realizar la proyección de la demanda se realizaron encuestas directamente a los posibles consumidores de estos productos, con las cuales se obtuvo que el 70% de los encuestados estén de acuerdo en consumir estos productos, el 70% de los habitantes del municipio de Rivas son 18, 086 individuos, según los datos obtenidos la cantidad a demandar de pan mensualmente es de 0.5 libra y 0.2 lbs. De requesón dulce. Tabla 2: Proyección de la demanda futura del pan de coco. Año Población Consumo promedio lbs. por año Demanda anual lb Demanda anual qq 0 18,086 6 108,516 1,085 1 18,550 6 111,300 1,113 2 19,515 6 117,090 1171 3 21,059 6 126,354 1,264 4 23,309 7 163,163 1632 5 26,462 7 185,234 1852 Fuente propia.
  • 14.
    14 Tabla 3: Proyecciónfutura de demanda del requesón dulce. Año Población Consumo promedio lbs. por año Demanda anual lb Demanda anual qq 0 18,086 2.4 43,406 434 1 18,550 2.4 44,520 445 2 19,515 2.4 46,836 468 3 21,059 2.4 50,542 505 4 23,309 2.5 58,272 1632 5 26,462 2.5 185,234 1852 Fuente propia. Para sacar el crecimiento poblacional se usó la formula Pf =Po (1+2.57)n, como se puede observar estos productos tendrán buenos resultados en su comercialización, ya que llamo la atención a la mayoría de los consumidores encuestados. 2.3- Análisis de la oferta. 2.3.1- Análisis histórico de oferta total del producto. Al realizar las encuestas se observó que las personas que actualmente tienen negocios jamás han ofertado estos productos, por lo tanto no hay datos que sustentes el comportamiento que estos productos anteriormente han tenido, pero serán introducidos por primera vez en el mercado. 2.3.2- Proyección de la oferta del producto. Tabla 4: Proyección de la oferta del pan de coco. Año Oferta total. 1 40,000 2 40.000 3 40,000 4 45,000 5 50,000 Fuente propia
  • 15.
    15 Tabla 5: proyecciónde la oferta del requesón dulce. Año Oferta total del requesón dulce. 1 20,000 2 20,000 3 20,000 4 30,000 5 32,000 Fuente propia. Estas proyecciones se realizaron de acuerdo a la capacidad que la empresa tendrá en sus primeros años de funcionamiento, además que no se pude iniciar con grandes cantidades debido a que no se conoce la aceptabilidad que tendrán estos productos dentro del mercado y de consumidor final. 2.5- Análisis de los precios. Estos precios son los que estos productos tienen en su comercialización en los lugares en donde los elaboran. Tabla 6: Análisis de los precios del pan de coco y requesón dulce. Producto ( pan de coco) empacado Precio en distribuidoras minoristas C$ Producto( requesón dulce) envasado Precio en comerciantes minoristas C$ Embolsado(227gr) 20 Grande(1/2lb) 15 Fuente propia. 2.5.1- Proyección de los precios del producto. Tabla 8: Porcentaje de inflación del precio del Tabla 7: Porcentaje de inflación del precio del pan de coco. Año % de inflación anual. Precio C$ 1 5 20 2 5 21 3 5 22 4 5 23.1 5 5 24.15 Fuente propia.
  • 16.
    16 Tabla 9: Porcentajede inflación del precio Año % de inflación anual Precio C$ / libra 1 5 15 2 5 15.75 3 5 16.53 4 5 17.35 5 5 18.21 Fuente propia. Para valorar el costo de los productos se usaron todos los costos y gastos que se utilizara para fabricarlos y se dividió entre el volumen de los productos elaborados, en cuanto a la información se obtuvo del BCN. 2.6- Estudio de la comercialización del producto. Tabla 10: Distribución de venta. Canal de distribución Porcentaje (%) Distribuidores minoristas 80 Restaurantes 20 Fuente propia. El 90% de los distribuidores se encuentran ubicados en el centro de la ciudad y un 10% en barrios aledaños de la ciudad. Estos productos se distribuirán de la siguiente manera: En las pulperías se distribuirá semanalmente y la forma de pago será inmediatamente se constara con un sistema de publicidad atravez de rótulos, la entrega será a domicilio con un precio favorable. En los restaurantes se distribuirá cada tres días y la forma de pago será inmediata con un sistema de publicidad atravez de rótulos la entrega será a domicilio con un precio accesible. La estrategia de aceptación será comenzando por pequeñas pulperías y restaurantes para saber la aceptación de este producto, y dando resultados positivos se distribuirá a distribuidores mayoristas.
  • 17.
    17 2.6- Conclusiones generalesdel estudio de mercado. Los productos que actualmente ofertara este negocio serán de necesidad básica para la población debido a que son productos alimenticios, en cuanto a su conservación requieren de cuidados especiales para protegerlo del polvo o de la contaminación exógena del ambiente. En cuanto a la demanda poseen variaciones de ventas en distintos meses del año debido a ocasiones especiales que se realizan en los distintos meses del año. Por ser un producto nuevo en el mercado no presenta demanda potencial insatisfecha, la estimación de sobrevivencia de este proyecto es de 5 años, con una capacidad de ofertar inicialmente por año 40,000 libras de pan y 20,000 libras de postres. De acuerdo a las condiciones favorables que el mercado presenta para la penetración de estos productos, este proyecto presenta buenas oportunidades para su efectuación.
  • 18.
    18 III- ESTUDIO TECNICO 3.1.1Macro localización. Aspecto geográfico. El municipio de Rivas cuenta con una extensión territorial actual de 146 km², la altitud en la cabecera del municipio alcanza 60 metros sobre el nivel del mar. En Rivas el clima es semi- húmedo, conocido como tropical de sabanas, la temperatura oscila entre los 27ºC, la precipitación promedio anual es de 1600 mm. Colinda: Norte: Municipios de Buenos Aires, Belén y Potosí. Sur: Municipios de San Juan del Sur y Cárdenas. Este: San Jorge. Oeste: Municipios de Tola y San Juan del Sur. Sus coordenadas geográficas son las siguientes: Entre las coordenadas 11°26' latitud norte y 85°49' longitud oeste. Aspectos socioeconómicos. El municipio contaba con una población total de 25,837 habitantes en 2009, con una tasa media de crecimiento de 2010 respecto al año 2005. La densidad poblacional en el municipio alcanzó la cifra de 3,467 habitantes por Km2. y en las áreas urbanas se elevó a 9.38% ,142 habitantes por Km2. La población del municipio casi en la totalidad de su territorio cuenta con los servicios de agua entubada es decir agua potable, luz eléctrica, pavimentación, drenaje, teléfono, correo, transporte terrestre, bancos, centros comerciales, iglesias, centros de salud, escuelas, panteones, parques, canchas deportivas, áreas verdes, etc. La población rural correspondía a 1.3%, mientras que la población urbana el 98.7%.
  • 19.
    19 Aspecto de infraestructura. Aspectosinstitucionales. El municipio de Rivas, sigue una política de rápido desarrollo urbano que se debe al incremento poblacional que se ha dado en los últimos años, surgiendo de este modo nuevas necesidades que cubrir. Y cuya responsabilidad de ejecución corresponde primordialmente al gobierno del estado de Nicaragua y al municipio en particular con el objeto de procurar cumplir y satisfacer las directrices de bienestar social. 3.1.2 Micro localización. Para la instalación de este negocio se dispone de un terreno de 450 m2. (15 m. ancho x 30 m. largo) que se encuentra ubicado en la zona oeste del Municipio, carretera hacia Tola. Dicho terreno colinda al norte con la familia Rugama; al sur con la carretera hacia Tola, al este con el taller de mecánica, al oeste con y al Oeste con la calle del Amor. 3. Programa y proceso de producción. 3.3.1 programa de producción: Estos productos se elaboraran de lunes a viernes, con volúmenes de 151 lbs. de pan de coco y 64 lbs. De requesón dulce diario. 3.3.1.1 capacidad actual y proyectada. Los equipos que se emplearan tendrán la capacidad para producir volúmenes mayores a los que se pretenden alcanzar inicialmente en los primeros cinco años de funcionamiento del negocio, además se aumentaran los equipos mediante el crecimiento del negocio. Estos equipos serán combinados (industriales y artesanales) debido a que los volúmenes de producción se iniciaran en pequeñas cantidades y no se pueden comprar solo equipos industriales por el costo, pero se cree que los volúmenes de producción aumentaran y por lo tanto se necesita tener equipos que no sean solo artesanales. Los volúmenes de producción calculados para los cinco años de funcionamiento se reflejan en la tabla siguiente.
  • 20.
    20 Tabla 11: Volumende producción del pan de coco. Año Oferta total de pan de coco 1 40,000 2 40.000 3 40,000 4 45,000 5 50,000 Fuente propia. Tabla 12: Volumen de producción del requesón dulce Año Oferta total del requesón dulce 1 20,000 2 20,000 3 20,000 4 30,000 5 32,000 Fuente propia 3.3.2. Descripción del proceso productivo. El coco se obtendrá de la isla de Ometepe con total de 635 semanal, lo cual será 33,020 cada año A continuación se detalla cada uno de los pasos que se ejercen para la elaboración del pan de coco:  Recepción del coco: se utilizara sacos de nilón, luego se lava el coco para eliminar cualquier tipo de suciedad, posterior mente se procede a pelarlo con un machete, luego con el mismo machete se le quita la cascara para obtener la carne del coco, después pasa por el rayado que es donde se obtiene la leche de coco amasándola con agua. Y con esto se obtiene el primer producto.  Proceso de la levadura: esta se coloca sobre una panita por 15 a 20 minutos hasta que se provoque un efecto de crecimiento.
  • 21.
    21  Mezcla delos ingredientes: en este aspecto se realizan lo que es la mezcla de los ingredientes sobre una mesa metálica (harina, leche de coco, mantequilla, azúcar, y sal), esto con el objetivo de darle forma y tamaño a los panes.  Proceso de post elaborado: una vez ya combinado los ingredientes y elaborado el pan de coco se colocan sobre cazuela de aluminio esperando por unos 20 minutos que crezca para que obtenga el crecimiento adecuado.  Proceso de horneado: ya listo pasado los 20 minutos y con el crecimiento ideal, como labor final se coloca en el horno y se espera unos 10 minutos para sacarlos.  Proceso de empacado: se espera un tiempo de reposar para que se enfrié, luego se empaca y listo para comercializarlo. Proceso de elaboración del requesón: Para la elaboración de requesón dulce se llevara a cabo los pasos en donde tendremos nuestro proceso de producción con cada cantidad que se va a aplicar:  Proceso de recepción de leche: para esto se utilizaran baldes de 20 litros posteriormente esto se pasara a un proceso de baja de ph lo cual se le bajara a un 2% utilizando limón agregando 0.2 gotas por litro de leche ósea que para cada 100 lts se le proporcionara 20 gotas. Luego pasara al proceso de colado en el cual se utilizara panas plásticas y luego se cuela con un colador de tela como pase final. La baja de ph a 2% se hace con el objetivo que el producto tenga mayor durabilidad en cuanto a su almacenamiento ya sea refrigerado.  Proceso de cocinado: para esto utilizaremos peroles grandes que faciliten el espacio para remover la leche con cucharones de aluminio este estará expuesto a una cocina a base de gas a temperaturas medias.  Proceso de mesclado o formulación: este será un proceso mediante el cual todos los ingredientes (azúcar, limón, canela, vainilla o saborizante) estarán
  • 22.
    22 expuestos a mezclarseen peroles y darán una concentración moderada y un sabor dulce agradable.  Proceso de enfriamiento: para esto utilizaremos bandejas plásticas en donde abra un traslado de los peroles a las bandejas este será expuesto al aire libre para bajarla a una temperatura o determinada utilizaremos manteles para tapar y luego sacar la medida con vasos pequeños.  Proceso de empacado: aquí será donde nuestro producto se pesara en pesa de reloj para llevar un control de rendimiento luego recibirá un tratamiento de empacado en el cual utilizaremos vasos descartable y un plástico que servirá como sellador. 3.2.2. Diagrama de flujo de proceso. Acondicionamiento de la materia prima Preparación de ingredientes Acopio de coco Lavado Rayado Extracción de leche Amasado Mezclado Harina Leche Coco Mantequilla Azúcar Sal Fermentación Horneado Enfriado Empacado Levadura
  • 23.
    23 3.3.2.2. Diagrama deflujo de proceso del requesón dulce. Recepción de materia prima Reposo Baja el pH de la leche 2% Cocción Formulación Concentración Enfriamiento Empacado Comercialización
  • 24.
    24 3.4. Requerimiento utilizadoen la ejecución y producción del proyecto. Para la elaboración del pan de coco se utilizó los insumos siguientes: harina, leche de coco, levadura, mantequilla, azúcar y sal. Se utilizaran 2 trabajadores para elaborar el pan de coco, se necesitara servicio de energía eléctrica, agua, teléfono, abastecimiento de gas y medios de transporte. Los productos que se utilizaran para la producción de este pan se compraran en casas distribuidoras de productos al por mayor (harina, levadura, mantequilla, azúcar y sal), mientras que el coco se obtendrá mediante el convenio con personas que tienen plantaciones de coco y directamente del mercado. Para la elaboración del requesón dulce los insumos utilizados serán los siguientes: leche bovina, azúcar, vainilla, canela, sal y limón acido. Se utilizaran tres trabajadores para elaborar el producto de requesón dulce, por el cual se necesitara servicios de energía, agua potable, teléfono, cocina, abastecimiento de gas y transporte. Los insumos que se utilizaran para la producción de requesón dulce se compraran en casas comerciales al por mayor (azúcar, canela, vainilla, sal y el limón acido se comprara en el mercado según las cantidades necesitadas y en el caso de la leche será comprada en la Escuela Internacional de Agricultura y Ganadería, este será nuestro centro de acopio. 3.4.1 Detalle (cálculos) y descripción de los equipos, maquinarias, herramientas y mobiliario. Los equipos que se utilizaran para la elaboración del pan de coco son los siguientes: Panas plásticas para la recolección de la leche de coco, machetes o macanas para la pelada del coco, un rayador de coco, cazuela para colocar el pan una vez elaborado, un colador para colar la leche de coco, mesas metálicas para amasar el pan junto con los ingredientes, un horno para hornear el pan, cazueleja para introducir al horno el pan.
  • 25.
    25 Tabla 13: Equipospara la elaboración del pan de coco. Equipos Características Tamaño físico cantidad Pana onda Plástica Grande pequeña 5 Machete Alargado 0.5 metro 2 Rayador Rectangular Grande 5 Mesa Rectangular, metálica 5 m2 1 Colador Redonda, metálica Mediano 2 Cazuela Aluminio, rectangular Grand 15 Sacos Nilón Grande 5 Fuente propia Tabla 14: Equipos que se utilizaran para la elaboración del requesón dulce. Equipos Características Tamaño Cantidad Cocina industrial 4 quemadores 1m de alto y 1 de ancho 2 Pesas De reloj y aluminio graduada en lbs. 0.3 mt (25 lb) 1 Peroles Aluminio Grandes y medianos 4 Mesas Metal 5mt2 1 Cucharones Aluminio Grandes 4 Baldes Plásticos 20 lts 4 Panas Plásticas Grandes y medianas 5 Coladores Tela Grandes 2 Bandejas Plásticas 0.5 mt de largo y 0.2 de ancho 6 Manteles Tela 2 yardas 6 vasos Plásticos Pequeños y de medida 2 Vasos Descartables resistentes al calor Pequeños unidades Plástico sellador Royos grandes 2 Fuente propia
  • 26.
    26 Detalles de equipos,herramientas y mobiliarios para la elaboración del pan de coco (según proceso productivo). Tabla 15: Detalles de equipos, herramientas y mobiliarios (según proceso productivo). Descripción de la actividad Equipo y/o herramienta, materiales Proveedor Cantidad Acopio y procesado del coco Sacos Mercado 5 Machete Ferretería 2 Rayador y panas Plastinic 2 – 5 Mezcla ingredientes Mesa metálica ESCASAN 1 Post elaboración Cazuela Mercado 15 Horneado Horno casero, leña Albañil, aserrío 1 Empacado bolsas Plastinic 200,000 Fuente propia Tabla 16. Detalles de equipos, herramientas y mobiliarios para la elaboración del requesón dulce (según proceso productivo). Descripción de las actividades Equipos o herramientas. materiales Proveedor Cantidad Proceso de recepción de leche Baldes plásticos de 20 lts Plastinic 7 Panas plásticas de 100 lts Plastinic 5 Colador de plástico Plastinic 2 Proceso de cocinado Peroles ESCASAN 4 Cucharones ESCASAN 4 Cocinas industrial de 4 quemadores El gallo más gallo 2 Gas Tropigas 1 Proceso de mesclado o formulación Peroles ESCASAN 4 Proceso de enfriamiento Bandejas Plastinic 6 Vasos pequeños Plastinic 2
  • 27.
    27 Manteles Mercado 6yardas Proceso de empacado Pesas Mercado 1 Vasos Mercado Unidades Plástico Sellador Mercado 2 mesa ESCASAN 1 Fuente propia Tabla 17: Equipos de oficina Descripción U/M Cantidad Costo unitario Costo total Escritorio unidad 1 5,000 5,000 Calculadora unidad 1 250 250 Archivador unidad 1 5,000 5,000 Lápiz unidad 5 3 15 Cuaderno Unidad 4 25 100 Computadora Unidad 1 12,000 12,000 Borrador Unidad 2 5 10 Agua purificada Unidad 1 110 110 Engrapadora Unidad 1 120 120 Sellador Unidad 1 300 300 Total 22,905 Fuente propia 3.4.2. Detalle y descripción de la infraestructura. La característica de esta oficina será la siguiente: La capacidad de la infraestructura será de buenas condiciones por lo que tendrá la facilidad de producir los volúmenes de producción proyectada, el tipo de infraestructura que se realizara será de concreto, las dimensiones de estos será de 10m x 20m con 200m2, esta estar distribuida en una bodega, una pequeña oficina, el lugar de fabricación y empacado, baños y un predio donde estará el horno y donde pueden entrar vehículos, para esta infraestructura se necesitara un terreno de 15 x 30 con 450mt2 . para la construcción de esta
  • 28.
    28 infraestructura se contactóel precio de un metro cuadrado, según las condiciones que se quieren y el costo es de C$ 2000 por metro cuadrado con todo y los materiales que se necesitan, por lo tanto esta inversión será de Ç$ 400,000, por todo. 3.4.3. Cálculo y descripción de mano de obra en la etapa de ejecución y funcionamiento del proyecto. En esta actividad se dará a conocer cada función y tiempo que desempeñarán los obreros, por lo tanto se realizaron cálculos para obtener las cantidades a utilizar durante todo el proceso de producción, esto se procederá de acuerdo al flujo de proceso de cada producto, el cual tiene mucha importancia saber el proceso para llevar un orden de las actividades a realizar en el tiempo destinado a elaborar el producto. terreno Oficina Bodega Puerta salidas puerta Horno ooo Baños Bodegade materia prima Bodegade productos terminados Bodegade insumos Bodegade materialesy equipos, otros Recepción Materia prima Entrada
  • 29.
    29 Tabla 18: Manode obra para la elaboración del pan de coco. Actividad Descripción Tiempo de operación Capacidad del equipo Frecuencia por día Mano de obra o necesaria Tiempo total/día 1 y 6 Recepción de materia prima (harina, coco) y otras materias primas Se recibirán 640 lb de harina, 635 cocos. Azúcar 26 lb.516onza levadura, 285 barritas mantequilla, 12 lb sal, 640 bolsa semanal. 1 1 3 horas Fuente propia Tabla 19: Mano de obra para elaboración del requesón dulce. Fuente propia Actividad Descripción Tiempo de operación. Capacidad del equipo. Frecuencia por día. Mano de obra. Tiempo total/día 1 y 5 Recepción de leche y la otra materia primas. Se recibirán 64 lts leche diarios y materias primas como, azúcar 115 lbs., vainilla 2.5 , canela 25 bolsas ,sal 2.5 y 15 limones, semanal todos Se utilizaran bidones de 20 lts diarios. 1 1 2 horas
  • 30.
    30 3.4.3.1. Mano deobra, costos, disponibilidad y productividad. Para el manejo de la micro empresa se requerirá de un personal como: un responsable de producción, 5 personas en el área de fabricación de los productos , un responsable de limpieza y un responsable de distribución de los productos y recolector de la materia prima, este grupo de personal será ocupado toda la época del año. Tabla 20: Personal administrativo o mano de obra directa. Ocupa N( traba) Salario mensual Vacacione tres mes Inss (6.25%) IR Total anual Resp. produ 1 5,000 8,432 3,744 5,748 58,940 Total anual 1 5,000 8,432 3,744 5,748 58,940 Fuente propia. Este pequeño negocio estará a cargo de un responsable de producción quien será el que llevara la responsabilidad de que se genere la producción, también de coordinar, programar y planificar todas las actividades para la subsistencia del negocio, además llevará la contabilidad y administración de la empresa y será responsable de la comercialización de los productos y de asegurarse de que los trabajadores estén realizando su actividad en tiempo y forma. También de realizar los pedidos que se requerirán por semana.
  • 31.
    31 Tabla 21: Personaloperativo o mano de obra directa en el proceso productivo Ocupación N. trabajadores Salario mensual Vacacione tres mes Inss (6.25%) Total anual Obreros en el área de producción 1 3,000 6996 2,250 26,724 1 3,000 6,996 2,250 26,724 1 3,000 6,996 2,250 26,724 1 3,000 6,996 2,250 26,724 1 3,000 6,996 2,250 26,724 Limpieza 1 1,500 8,484 1,128 8,388 Resp, distribuí 1 1,500 8,484 1,128 8,388 Total 150,396 Fuente propia. Se ocupara 5 trabajadores de operación, de los cuales 2 estarán elaborando el pan de coco y 3 el requesón dulce, estos trabajadores tendrán la labor de recibir al responsable de distribución de los productos, la materia prima que se necesitara para producir, además tendrá la responsabilidad de llevar a cabo todas las fases productivas desde su inicio hasta su final. Mientras la de limpieza se encargara de mantener limpio el local y los utensilios q se utilizaran y el responsable de distribución tiene que distribuir estos productos en los puestos de ventas, también tendrá la tarea de recolectar la materia prima que se necesitara en la semana. Disponibilidad de la mano de obra. De los ocho cargos uno será el que lleva la dirección de la empresa y el sentido de este será en mantener el equilibrio de la productividad, cinco de ellos ejercerán la función de que se logren las metas propuestas de la cantidades de libras a producir diarias, los cuales uno de ellos será beneficiado por las ganancias que del negocio obtenga ya que el será el dueño del negocio, mientras que el responsable de limpieza y distribución no formaran parte de las ganancias, si no que únicamente obtendrá su salario mensual.
  • 32.
    32 Productividad de lamano de obra. La productividad de la mano de obra serán las 128 lb de pan que se pretenden realizar diario y de requesón dulce serán de 64 lb, con el cumplimiento de las metas propuestas por día. 3.4.4. Detalle y descripción de los insumos, materia prima y otros gastos indirectos de producción. La materia prima necesaria para producir los distintos productos durante un mes son los siguientes: Tabla 22: Insumos para elaborar el Pan de coco Descripción Características Unidad de medida Cantidad/mes Harina Fina, pulverizada Libras 3,333 Coco Seco y sazón Unidad 600 Levadura Fina, pulverizada Onza 3,333 Mantequilla En barra Caja 201 Sal Fina, pulverizada Lb 12.58 Azúcar Fina, pulverizada Lb 503 Fuente propia. Tabla 23: Insumos para la elaboración del Requesón dulce. Descripción Características Unidad de medida Cantidad/mes Leche Color blanco. Litro 1666 Azúcar Refinada lbs. 333 Vainilla Sabor, olor, agrada botella 13 Canela Bolsa grande bolsa 130 Sal Refinada lbs. 13 Limón Sazones, maduros docenas 78 Fuente propia.
  • 33.
    33 Para la obtenciónde esta materia prima se determinaran los proveedores permanentes de los insumos, esto con el fin de tener un abastecimiento seguro y permanente por medio de convenios y arreglos que se efectuaran para mantener la seguridad productiva. Quizás algunas de las materias primas provocaran mayor dificultad para obtenerla pero a medida de que la empresa esté funcionando se crearan fuentes seguras de esas materias primas, por lo tanto se iniciara comprándolas la mayor parte de esta en el mercado o puestos de venta, mientras que otras se obtendrán directamente de las distribuidoras. Tabla 24. Productores de la materia prima. Nombre del productor Cantidad/producción/día m. prima dirección Mercado / Rivas 128 lbs. Harina Frente de la terminal de los buses, costado sur. Mercado 30 unidades Cocos Distribuidoras 42.4 lbs. Azúcar Pulperías 1.27 lbs. Sal Pulperías 516 onza Levadura Pulperías 10 onza Mantequilla EIAG 140 lts Leche Pulperías 0.65 lts Vainilla Fuente propia. Para la obtención de estos recursos algunos se tendrá que traerlos de los puestos de ventas, estos son los que se necesitaran en pequeñas cantidades, mientras que los insumos que se ocuparan en grandes cantidades se harán convenios con las empresas productoras para que lo depositen directamente en el negocio. En cuanto a los precios, se piensa comprar en mayores volúmenes los productos que lo permitan para bajar los costos de producción.
  • 34.
    34 3.7 Cronograma deactividades (etapa de ejecución y funcionamiento). En el siguiente cronograma están plasmadas las actividades de mayor relevancia para la ejercitación de este negocio, que es la elaboración del pan de coco y el requesón dulce. Tabla 25. Cronograma de actividades. meses Planificación de actividades 1 2 3 4 5 6 7 8 9 10 11 12 Registro de la empresa x Compra del terreno x Compra de los mater. para infraestructura x Construcción de la infraestructura x Visitas a proveedores de insumos x Compra e instalación de equipos x Contratación de mano de obra y resp.prd x Compra y traslado de insumos x x x x x x x x x x Capacitación de los trabajadores x Elaboración y comercialización(producto x x x x x x x x x x Publicidad x x x x x x x x x x Promoción x x x Compra de equipos de oficina x Transporte del producto x x x x x x x x x x x x Financiamiento x Fuente propia. 3.8 Organigrama del proyecto (para la etapa de ejecución y operación, organización del recurso humano). 3.8.1 Organización para la ejecución y funcionamiento del proyecto. A continuación se presenta la estructura organizativa de este pequeño proyecto, que debido a que está iniciando tendrá poco personal tanto administrativo como laboral.
  • 35.
    35 3.8.1.1 Detalle defunciones por cargo. Responsable de producción: Este cargo lo ejercerá una sola persona, tendrá bajo su responsabilidad a los demás trabajadores, además será quien llevara el control del negocio por medio de la contabilidad, administración, y será quien garantizara la entrada y salida de los bienes y materiales de la empresa. Personal laboral: La tarea de estos será garantizar la calidad y cantidad de vienes a producir. Responsable de distribución: El cargo de este trabajador será garantizar el abastecimiento seguro de materia prima para la empresa y la distribución de los bienes producidos para la población. Encargado de limpieza: Este garantizara la higiene de la empresa, para asegurar la salud de los trabajadores y consumidores. Administrador Responsable de producción Responsable de comercializació n Responsable de distribución. Obrerode elaboraciónde producto. Personal de limpieza.
  • 36.
    36 3.9. Aspectos legales. 3.9.1Aspecto legal del negocio o empresa y factores relevantes. Primeramente se buscara un topógrafo para que efectuara las medidas correctas del terreno, después se contratara a un abogado para que realice el proceso de legalización del terreno, unas ves realizadas estas actividades y construida la infraestructura, se juntaran los cinco socios del negocio para firmar el acta de constitución de la empresa, luego realizaran la escritura del negocio. Registro mercantil en Managua: Solicitud de inscripción como comerciante en papel sellado. Libros contables (Diario y mayor) Fotocopia de cédula de identidad. Aranceles a pagar. 1. Solicitud de comerciante C$100 2. Inscripción de libros contables C$ 50 cada uno. Dirección general de ingresos.  Registro único del contribuyente 1. Fotocopia de solicitud de comerciante, presentada en registro mercantiles. 2. Fotocopia de la minuta cancelada del pago en el registro mercantil. 3. Fotocopia de cédula de identidad Nicaragüense. 4. Fotocopia de constancia de disponibilidad de servicio público. Alcaldía de Rivas.  Matricula municipal. 1. Fotocopia de solicitud de comerciante, inscrita en el registro mercantil. 2. Fotocopia del RUC. 3. Fotocopia de cedula de identidad. 4. Carta de solicitud de matrícula. 5. Inscripción en el INSS Aranceles: Formato de solicitud de matrícula C$ 5,00. Capital menor o igual C$25,00. Matricula C$250,00. Capital mayor C$ 250,00
  • 37.
    37 IV Estudio Financiero Elestudio financiero tiene como objetivo analizar la viabilidad financiera de un proyecto. Se sistematiza la información monetaria de los estudios precedentes y se analiza su financiamiento con lo cual se está en condiciones de efectuar su evaluación. La sistematización de la información financiera consiste en identificar y ordenar todos los ítems de inversiones, costos e ingresos que pueden deducirse de los estudios previos. 4.1 Inversión fija Se llama Inversión fija porque el Proyecto no puede desprenderse fácilmente de el sin que con ello perjudique la actividad productiva. Todos los activos que componen la Inversión fija deben ser valorizados mediante licitaciones o cotizaciones pero forma entregados por los proveedores de equipos, maquinarias, muebles, enseres, vehículos, etc. Los precios para los edificios, obras civiles e instalaciones se 8pueden obtener sobre la base de las cotizaciones de las Empresas constructoras. Aquí estaremos reflejando la compra de nuestro terreno ya que en esto valoramos cuanto tiene el valor de una mz. En dólar y de ahí sacamos la cantidad en córdoba nuestro terreno está valorado en mt2. Tabla 26. Compra de terreno Descripción u.m cantidad Costo unit. C$ Costo total c$ Compra de terreno. Mz 0.25 52500 52500 Total 52500 Fuente propia Después de haber comprado el terreno reflejamos todo los insumos que vamos a ocupar para la construcción de la instalación y vamos valorando tanto nuestro espacio, cantidad a utilizar, el valor década uno de ellos. Esto se determinó con la ayuda de un ingeniero en construcción Wilfredo canales.
  • 38.
    38 Tabla 27. Comprade insumos DESCRIPCION U.M CANTIDAD Costo Unit C $ Costo Total C $ Arena m³ 67,65 200 13530 Piedra triturada m³ 45,62 650 29653 Ladrillo de barro Unid. 1825 3 5475 Agua m³ 70 - Hierro corrugado 3/8 Qq 45,62 960 43795,2 Hierro liso ¼ Qq 12,78 855 10926,9 Tablas de1*12*4 vrs c/u 45,62 240 10948,8 Reglas de 1”*3”*4 vrs c/u 67,65 60 4059 Cuartón de 2”*4”*4vrs c/u 34,61 160 5537,6 Clavos de cimientos de 3” Lbs. 113,28 30 3398,4 Clavos de cimientos de 2” Lbs. 45,62 30 1368,6 Perlines 2”*4”*1/16 c/u 154,18 385 59359,3 Perlines 4”*6”*1/16 c/u 67,65 490 33148,5 Pintura anticorrosiva roja Bidón 9,44 1150 10856 Zinc corrugado calibre 26 Lamina 136 374 50864 Golosos de 2½ c/u 2053 1 2053 Alambre de amarre Lbs. 113 17 1921 Cemento canal Bolsa 360 176 63360 Puerta madera Unidad 4 800 3200 Mano de obra 40000 Total materiales 5270 Costo total 393454,3 Fuente propia
  • 39.
    39 Después de lacompra del terreno y los insumos a utilizar para la construcción se procederá a la compra de los materiales y equipos, esto se determinó mediante a la cotización de precios en los diferentes lugares de comercialización donde se venden los productos que utilizaremos, luego con la cantidad y el costo de cada uno determinamos el costo total. Se trabajó con un imprevisto del 3% ya que no se sabe los diferentes gastos que tendremos además de este. Tabla 28: Materiales y equipos. Categoría U.M Cantidad Cost. Unit. Costo total Pana onda plástica Unid. 5 62 310 Rayador Unid. 5 25 125 Delantales Unid. 5 100 500 Panita Unid. 5 15 75 Machete Unid. 2 90 180 Colador Unid. 4 20 80 Mesa metálica Unid. 2 2500 5000 Balde Unid. 4 76 304 Bandeja Unid. 6 65 390 Perol Unid. 4 650 2600 Cucharon Unid. 4 15 60 Cocina de gas Unid. 2 6000 12000 Plástico sellador Rollos 2 1300 2600 Tela Lb 2 15 30 Vasos medianos Unid. 2 8 16 Guantes Par 5 180 900 Gorro Unid. 5 3 15 Tapa boca Unid. 5 3 15 Pesa Unid. 1 5000 5000 Cazueleja Unid. 15 250 3750 Gas 100 lb 24 1350 32400 Sub total 66350 Imprevisto 3% 2001 Total 68351 Fuente propia En esta tabla se reflejan las materiales utilizados en todo el proceso de funcionamiento del proyecto
  • 40.
    40 4.2. Inversión diferidao tangible. Se caracteriza por su inmaterialidad y son derechos adquiridos y servicios necesarios para el estudio e implementación del Proyecto, no están sujetos a desgaste físico. Usualmente está conformada por gastos de organización y supervisión, gastos de puesta en marcha de la planta, gastos de administración, intereses, gastos de asistencia técnica y capacitación de personal, gastos en patentes y licencias, etc. Tabla 29: Inversión diferida Se detalla la inscripción de la empresa, esta información se obtuvo de un abogado Cesar Gómez, facilitando los gastos totales de la inscripción. También se determinó que solo la actividad de inscripción de registro mercantil ocupa un 92% lo que significa que la mayor inversión estas en la inscripción de la empresa. También se dará una capacitación de mano de obra a los personal este tendrá una participación del 8% en los gastos totales. Descripción U.M Cantidad Costo unitario Costo total Aspectos legales 1400 Capacitación de mano de obra Día. 6 500 3000 Total 4400 Fuente Cesar Gómez El capital de trabajo (también denominado capital corriente, capital circulante, capital de rotación, fondo de rotación o fondo de maniobra) es una medida de la capacidad que tiene una empresa para continuar con el normal desarrollo de sus actividades en el corto plazo. Se calcula como el excedente de activos de corto plazo sobre pasivos de corto plazo. 4.3 Costos de operación. La fase operacional comienza cuando por primera vez sale hacia el mercado el bien o servicio. Generalmente esta fase de operación y producción es la que tiene mayor duración y corresponde al periodo en el que se espera que el proyecto genere los flujos de efectivo neto que permitan recuperar el capital invertido.
  • 41.
    41 4.4 Costos deproducción. Los costos de producción (también llamados costos de operación) son los gastos necesarios para mantener un proyecto, línea de procesamiento o un equipo en funcionamiento. Se están reflejando todos los insumos a utilizar para el proceso de producción y los insumos de limpieza que se ocuparan de los cuales se indica con detalles la cantidad, costo unitario y costo total lo cual esto será durante un año. Tabla 30: costo de producción Descripción U.M. Cantidad Costo unitario C$ Costo total C$ Harina Lb 28525 4 114100 Coco Unid. 33020 7 231140 Levadura Onza 25673 2 51346 Azúcar Lb 6284 6 37704 Sal Lb 646 2 1292 Leche Lts 5705 10 57050 Canela Bolsa 1114 1 1114 Vainilla Botella 111 16 1776 mantequilla Barras 12702 20 254040 Limones Unid. 668 0,5 334 bolsa Unid 28525 0,5 14262,5 Vasos descartabl Docena 35657 0,44 15689,08 Escobas Unid. 2 45 90 Cepillos Unid. 3 40 120 Jabón liquido Galón 3 75 225 Jabón Fax Tacos 6 12 72 Cloro al 20% Galón 2 75 150 Barriles Unid. 2 250 500 Lampazo Unid. 3 80 240 Mecha Unid. 3 30 90 Agua Mes 12 250 3000 Energía Mes 12 150 1800 Obreros Día 30 500 15000 Limpieza Día 30 50 1500 Gas Tanque 12 300 3600 Leñas Carretada 30 300 9000 total 815234,58
  • 42.
    42 Fuente propia1 Tabla 31:costo de producción directa Costos de producción directo Costo totales Harina 114100 Coco 231140 Levadura 51346 Azúcar 37704 Sal 1292 Leche 57050 Canela 1114 Vainilla 1776 mantequilla 254040 Limones 334 Agua 3000 Mano de obra 15000 Carretada de leña 9000 Tanque de gas 3600 Total 780496 Fuente propia. La tabla # 31 muestra como están distribuidos los insumos de acuerdo a su ocupación y utilización en la elaboración de los diferentes productos. Costos de producción indirecto Costos totales bolsa 14262.5 Vasos descartable 15689.08 Escobas 90 Cepillos 120 Jabón liquido 225 Jabón Fax 72 Cloro al 20% 150 Barriles 500 Lampazo 240 Mecha 90 Mano de obra (limpieza) 1500 Energía 1800 Total 34738.58
  • 43.
    43 Fuente propia 4.5 Costosde administración. En este gasto se estarán reflejados todos los salarios de cada personal según el área correspondiente donde su salario estará detalladamente calculado por día, cantidad, costo unitario, costo total, esto será para un mejor proceso administrativo. Y los gastos de oficina donde se refleja en el estudio técnico en la tabla numero 17, en este cuadro solo se detallará el costo total. El responsable de producción cubre el 17% de los costos que realizara el trabajo de general. Tabla 32: costo de administración Descripción U.M. Cantidad Costo unitario Costo total anual Responsable producción mes 1 5000 60000 Responsable distribución mes 1 1500 18000 Equipos de oficina Unid ------- ---------- 22,905 total 78022,905 Fuente propia 4.6 Costo de venta El costo de venta es el costo en que se incurre para comercializar un bien, o para prestar un servicio. Es el valor en que se ha incurrido para producir o comprar un bien que se vende. Para obtener nuestros ingresos tenemos que realizar gastos de transporte de materia prima y de producto, también de propaganda que se realizara cada 3 meses y el viatico que se suministrará al personal que se ocupará en todo el proceso de transporte. Tabla 33: costos de venta Descripción U.M. Cantidad Costo unitario Costo total Transporte Viaje/semana 52 100 5200 Propaganda Viaje/3mes 3 300 900 viatico Córdobas/año 6 600 3600 total 9700
  • 44.
    44 4.7 ingresos Los ingresossirven además como motor para la futura inversión y crecimiento ya que, aparte de servir para mejorar las condiciones de vida, pueden ser utilizados en parte para mantener y acrecentar la dinámica productiva. Los ingresos que vamos a obtener del proyecto son necesarios para cubrir los costos de operación del producto estos ingresos serán producidos mediante las ventas de cada año y también la oferta del producto de cada año vida útil del proyecto. 4.7.1 ingreso directo Tabla 34: Ingreso del pan de coco año cantidad Precio C$ Ingresos totales 2011 40000 20 800000 2012 40.000 21 840000 2013 40000 22 880000 2014 45000 23,1 1039500 2015 50000 25,15 1257500 total 4817000 Fuente propia Tabal 35: Ingreso requesón dulce año cantidad Precio C$ Ingresos totales 2010 20,000 15 300,000 2011 20,000 15.75 315,000 2012 20,000 16.53 330,600 2013 30,000 17.35 520,500 2014 32,000 18.21 582,720 total 2,048,820 Fuente propia 4.8 Clasificación de todo el costo. Tabla 36: Inversión fija Descripción valor Terreno 52500 infraestructura 393454,3 Material y equipo 68351
  • 45.
    45 Total 514305.3 Fuente propia, Tabla37: Inversión diferida Descripción valor Aspecto legales 1400 Capacitación de mano de obra 3000 Total 4400 Amortización: 4,400/5=880. La presente tabla muestra el valor total de los costos de inversión. Tabla # 38. Inversión total Descripción valor Inversión fija 514305.3 Inversión diferida 4400 Capital de trabajo 225739.37 Total 744444.67 Tabla 40: Gastos de administración Descripción valor Responsable producción 5,000 Responsable distribución 1, 500 Equipo de oficina 22,905 Total 29,405 Fuente propia Tabla 41: Gastos de venta Descripción valor Transporte 5,200 Propaganda 900 Viatico 1,200 Total 7,300 Fuente propia Tabla 42: costos operativos Descripción valor Costos de producción 815234.58 Gastos administrativos 78022.90 Gastos de veta 9700 Total 902957.48
  • 46.
    46 Capital de trabajo Anual:902957.485= 75246.45 x 3=225739.37 C$ ---------------12 Para calcular el capital de trabajo se tomaron en cuenta el total de todos los costos operativos y como este estaba en base a cinco años se dividió entre cinco para sacarlo anual y luego entre doce para obtener los costos mensual y después se procedió a multiplicarlo por tres porque son tres meses que se necesita el capital de trabajo en el proyecto. Depreciación En esta tabla se tomaron todo los aspecto tomado en la tabla de los costo fijo también se tomaron tanto los porcentaje de la infraestructura, material y equipo. Excepto el terreno el cual se despreciara en el último año, del proyecto esta estará reflejada en el flujo financiero. Tabla 43: Depreciación Descripción valor 2011 2012 2013 2014 2015 Infraestructura 393454.3 39345.43 39345.43 39345.43 39345.43 39345.43 Material y equipo 68351 13670.2 13670.2 13670.2 13670.2 13670.2 D. acumulada 461805.3 53015.63 53015.63 53015.63 53015.63 53015.63 Valor de rescate. 408789.67 355774.04 302758.41 249742.78 196727.15 Fuente propia Infraestructura 10%= 10 años Materiales y equipos 20%= 5 años Tabla 44: Servicio de deuda. Año Préstamo Salo inicial Abono principal Interés 13% anual Mantenimiento 5% Total cuota Saldo final 2011 372222.33 372222.33 74444.46 48388.90 18611.11 141444.48 297777.86 2012 297777.86 74444.467 38711.12 14888.89 128044.48 223333.40 2013 223333.40 74444.467 29033.34 11166.67 114644.479 148888.93 2014 148888.93 74444.467 19355.56 7444.44 101244.47 74444.467 2015 74444.46 74444.467 9677.78 3722.22 87844.47 0 Total 372222.33 145166.71 55833.35 573222.39
  • 47.
    47 Fuente propia Para sacarel préstamo tuvimos que cotizar los precio en el banco tanto como el interés y mantenimiento, nuestro préstamo lo sacamos en caruna ya que nos da un buen plazo de pago. Este préstamo lo trabajamos con un 50%. Inversión total 744444,6713. Tabla # 45. Costos totales de los dos productros. Ingresos Años directos Directos Ingresos totales 2011 800000 300000 1100000 2012 840000 315000 1155000 2013 880000 330600 1210600 2014 1039500 520500 1560000 2015 1257500 582720 1840220 FLUJO FINANCIERO DEL PROYECTO CON FINANCIAMIENTO En este flujo daremos a conocer todo nuestros costo y gasto que nos asume el proyecto para llevar a cabo una inversión de la cual sacaremos un préstamo en caruna para 5 año valorando pago al 50% con una tasa de interés de 13% y una tasa de mantenimiento de 5%. En este también llevara ingreso, egreso, nuestro capital de trabajo, depreciaciones, amortización, utilidad bruta todo esto calculado en los cuadros anteriores. Tomando el aspecto dicho anteriormente nuestro resultado estará reflejado en el flujo neto financiero.
  • 48.
    48 Tabla 46: flujofinanciero con financiamiento DESCRIPCION 2010 2011 2012 2013 2014 2015 (_) INVERCION TOTAL 744444.67 FIJAS 514305.3 Diferida 4400 CAPITAL DE TRABAJO 225739.37 Total ingreso 1100000 1155000 1210600 1560000 1840220 Total de egresos 1023853.14 1010453.13 997053.13 983653.12 970253.11 Costos de operación 969957.50 956557.50 943157.50 929757.49 916357.48 Costos de producción 815234.58 815234.58 815234.58 815234.58 815234.58 Gastos administrativos 78022.90 78022.90 78022.90 78022.90 78022.90 Gastos de venta 9700 9700 9700 9700 9700 Mantenimiento al valor 18611.11 14888.89 11166.67 7444.44 3722.22 Gastos financieros 48388.90 38711.12 29033.34 19355.56 9677.78 Depreciación 53015.63 53015.63 53015.63 53015.63 53015.63 Amortización 880 880 880 880 880 UTILIDAD BRUTA 76146.8646 144546.86 213546.87 576346.88 869966.88 Impuestos / renta 30% 22844.05 43364.06 64064.06 172904.06 260990.06 Utili: después de impuestos 53302.80 101182.80 149482.81 403442.81 608976.81 Depreciación 53015.63 53015.63 53015.63 53015.63 53015.63 Amortización 880 880 880 880 880 Valor de rescate 196727.15 Crédito 372222.3356 compra del terreno 63000 pago principal 74444.46 74444.46 74444.46 74444.46 74444.46 capital de trabajo 225739.37 flujo neto financiero -372222.33 32753.96 80633.97 128933.97 382893.98 1073894.50 Fuente propia El flujo es una de las fases muy importante del estudio financiero porque muestra bien detallada todas las inversiones que se realizan en el proyecto.
  • 49.
    49 Cuadro de amortización Todoslos aspecto reflejados en este cuadro se amortizaran con el fin de darnos cuentas cual es valor que tendrán en los 5 años de funcionamiento del proyecto. Tabla 47: amortización Descripción valor 2011 2012 2013 2014 2015 Aspecto legales 1,400 1,400 1,400 1,400 1,400 1,400 Capacitación de mano de obra 3,000 3,000 3,000 3,000 3,000 3,000 amortización 4,400 880 880 880 880 880 Fuente propia La inflación en el 2009 es de: 13.77 (el cual el rango de la inflación anda en 5 a 8) el cual nosotros agarramos el rango de 8 para sacar la proyección del 2010 esta es 18.77. Sumamos la inflación de 2009 y la proyección del 2010, y la dividimos entre 2 para sacar una media esta nos dio un resultado de: 16.27. 13.77 + 18.77 = 16.27 2 Formula para sacar la trema Trema = i + if + (0.1627 * 0.12) 28.27 + 0.019 = 28.28 Formula para sacar el van: 1/(1+i)n Calculo de la VAN positiva Tabla 48: VAN positiva con financiamiento Año Flujo neto financiero Factor de descuento 28.28% Flujo neto descontado 2010 -372222.33 1 -372222.33 2011 32753.96 0.77 25220.55 2012 80633.97 0.6 48380.38 2013 128933.97 0.47 60598.96 2014 382893.97 0.36 137841.83
  • 50.
    50 2015 1073894.50 0.28300690.46 Total 572732.19 VAN: 200509.86 Fuente propia VAN: 572732,19--372222,33=200509.86 Calculo de la VAN negativa Tabla 49: VAN negativa con financiamiento Año Flujo neto financiero Factor de descuento 50% Flujo neto descontado 2010 -372222.33 1 -372222.33 2011 32753.96 0.66 21617.61 2012 80633.97 0.44 35478.94 2013 128933.97 0.29 37390.85 2014 382893.97 0.19 72749.85 2015 1073894.50 0.13 139606,28 total 306843.55 VAN -65378.77 Fuente propia VAN= 306843,5592-372222.33= -65378.77 RB/C= 572732.19/372222.33=1.53 TIR=T1 + (T2-T1)*VAN1 VAN1+VAN2 TIR=28+ (50-28) *200509.86/200509.86+65378.77 TIR=28+22*0.75 TIR=28+16.5 TIR=44.5 Además de ganar 44.5%se va a ganar adicionalmente16.5% por cada córdoba invertido TIR=28% TIR=44.5% --------------------- 16.5%
  • 51.
    51 Consolidado de losindicadores En esta tabla se están reflejando los siguientes indicadores, cada uno con su respectivo valor los cuales tienen resultados con exactitud por lo tanto este proyecto es rentable por que todos los valores de los indicadores cumplen con lo reglamentado Tabla 50: de indicadores Indicador Resultado Criterio Van 200509.86 Mayor que 0 Tir 44.5 Mayor/trema Rb/c 1.53 Mayor que 1 Fuente propia FLUJO FINANCIERO SIN FINANCIAMIENTO En este flujo reflejaremos todo los gasto y costo ya que esto demostrara la inversión que se estará viendo en el proyecto ya que nuestro dinero esta en proceso de desarrollo donde se tomara en cuenta todo los aspecto que esta en el flujo para poder tener uno buenos resulta se calculara con la debida precaución todo los acontecimiento dicho anteriormente.
  • 52.
    52 Tabla 51: flujofinanciero sin financiamiento DESCRIPCION 2010 2011 2012 2013 2014 2015 (_) INVERCION TOTAL 744444.67 FIJAS 514305.3 Diferido 4400 CAPITAL DE TRABAJO 225739.37 Total ingreso 1100000 1155000 1210600 1560000 1840220 Total egresos 956853.11 956853.11 956853.12 956853.12 956853.11 Costos de operación 902957.48 902957.48 902957.49 902957.49 902957.48 Costos de produccion 815234.58 815234.58 815234.58 815234.58 815234.58 Depreciación 53015.63 53015.63 53015.63 53015.63 53015.63 Amortización 880 880 880 880 880 Gastos administrativos 78022.90 78022.90 78022.90 78022.90 78022.90 Gastos de venta 9700 9700 9700 9700 9700 UTILIDAD BRUTA 143146.88 198146.88 253746.89 603146.89 883366.88 Impuestos de renta 30% 42944.06 59444.06 76124.06 180944.07 265010.06 Utili: después de impuestos 100202.82 138702.81 177622.82 422202.82 618356.81 Depreciación 53015.63 53015.63 53015.63 53015.63 53015.63 Amortización 880 880 880 880 880 Valor de rescate 196727.15 Terreno 63000 Capital de trabajo 225739.37 Flujo neto financiero -744444.67 154098.45 192598.44 231518.45 476098.45 931979.59 La inflación en el 2009 es de: 13.77 (el cual el rango de la inflación anda en 5 a 8) el cual nosotros agarramos el rango de 8 para sacar la proyección del 2010 esta es 18.77. Sumamos la inflación de 2009 y la proyección del 2010, y la dividimos entre 2 para sacar una media esta nos dio un resultado de: 16.27. 13.77 + 18.77 = 16.27 2
  • 53.
    53 Formula para sacarla trema Trema = i + if + (0.1627 * 0.12) 28.27 + 0.019 = 28.28 Calculo de la VAN positiva Tabla 52: VAN positiva sin financiamiento Año Flujo neto financiero Factor de descuento 28.28% Flujo neto descontado 2010 -744444.67 1 -744444.67 2011 154098.44 0.77 118655.80 2012 192598.44 0.6 115559.06 2013 231518.44 0.47 108813.67 2014 476098.44 0.36 171395.44 2015 931979.59 0.28 260954.28 Total 775378.27 Van 30933.60 Fuente propia VAN: 775378.27-744444.67=30933.60 Tabla 53: Calculo de la van negativa Año Flujo neto financiero Factor de descuento 40% Flujo neto descontado 2010 -744444.67 1 -744444.67 2011 154098.44 0.71 109409.89 2012 192598.44 0.51 98225.20 2013 231518.44 0.36 83346.64 2014 476098.44 0.26 123785.59 2015 931979.59 0.18 167756.32 Total 582523.67 VAN -161920.99
  • 54.
    54 VAN: 582523.67-744444.67=-161920.99 RB/C= 775378.27/744444.67=1.04 TIR=T1+ (T2-T1)*VAN1 VAN1+VAN2 TIR=28+ (40-28)* 30933.60/30933.60+161920.99 TIR=28+ (12)*0.16 TIR=28+1.92 TIR= 29.92 Además de ganar el 29.92% nosotros vamos a ganar adicionalmente1.92 % Por cada córdoba invertido. TIR=28% TIR=29.92 % ------------------- 1.92% Consolidado de los indicadores En esta tabla se están reflejando los siguientes indicadores de lo resultados del flujo sin financiamiento, cada uno con su respectivo valor los cuales tienen resultados con exactitud por lo tanto este proyecto es rentable por que todos los valores de los indicadores cumplen con lo reglamentado Tabla 54 indicadores Indicador Resultado Criterio Van 30933.60 Mayor que 0 Tir 29.92 Mayor/trema Rb/c 1.04 Mayor que 1 Fuente propia
  • 55.
    55 Impacto ambiental De acuerdoa lo estudiado acerca del impacto ambiental, este proyecto se considera que tendrá un grado de afectación leve para el medio ambiente, ya que para obtener la producción no se requieren de insumos y materiales que son dañinos para el ambiente, de acuerdo a los perjuicios que se provoquen en la etapa del procesamiento de producción se implementaran estrategias para bajar los índices de afectación del medio ambiente. Perjuicios de afectación al medio ambiente 1. contaminación atravez del humo de la leña que se utilizara para fabricar el pan de coco 2. contaminación atravez de la liberación del humo del gas que se utilizara para la fabricación del requesón dulce 3. residuos plásticos sobrantes después del empacado Estrategias a utilizar para bajar los índices de contaminación 1. utilizar leñas finas para que no provoquen demasiada liberación de humo 2. mantener la seguridad de las llaves de los chimbos y la cocina 3. seleccionar un lugar adecuado para el depósito de los residuos plásticos De acuerdo a las condiciones en que se encuentra el proyecto, es aceptable por las instituciones que son encargadas para la protección del medio ambiente
  • 56.
    56 Conclusiones En síntesis elproyecto de producto de elaboración de pan de coco y requesón dulce en el estudio técnico nos permite concluir. El proyecto tiene la oportunidad de vender el producto de pan de coco y requesón dulce a la población urbana del municipio de Rivas el cual hemos propuesto una buena demanda proyectada. Los precios de venta (C$/Kg) estarán en dependencia de la inflación proyectada en los 5 años de ciclo de vida del proyecto. El valor de cada producto incrementara en cada año. La oferta del pan de coco y requesón dulce se elevara desde el tercer año hasta el quinto con un 10%. Una vez concluido el estudio financiero se calculó la VAN, con una trema 28.28% y resulto VAN positiva con financiamiento y sin financiamiento nos resultó una VAN negativa esto quiere decir que este proyecto desde el punto de vista financiero es viable (rentable) por lo que se recomienda ejecutarlo con financiamiento. En el cálculo de relación beneficio costo se obtuvo un resultado 1.53 lo cual desde el punto de vista es excelente por que se obtiene ganancias 16.5% por cada C$1 invertido. En el caso de TIR nos da como referencia que se obtuvo que la Tir es mayor que la trema lo cual es otro motivo de valor para llevar acabo la inversión de los productos de pan de coco y requesón dulce. Desde el punto de vista contable en el flujo financiero de pues de lograr observar que se obtiene utilidades desde el primer año en adelante. Es por eso que se recomienda financiamiento bancario.
  • 57.
    57 Bibliografía 1. www.alimentacionsana.com 2. www.grupoese.com.ni. 3.http://catarina.udlap.mx/u_dl_a/tales/documentos/lim/garcia_c_oc/capitulo2.pdf