INSTITUCIÓN EDUCATIVA NORMAL SUPERIOR DE SINCELEJO
                                                         “LA PEDAGOGÍA NUESTRA RAZÓN DE SER”
                                                       PLAN GENERAL DE AREA 2009
                                El cultivo y el desarrollo de nuestros sentidos es una parte importante de la experiencia artística.
Esto es de vital importancia, pues la alegría de vivir y la capacidad para aprender pueden depender del significado y la calidad de las experiencias sensoriales”.
                                                                Víctor Lowenfeld – W. Lambert Brittain
1. IDENTIFICACIÓN

NUCLEO DISCIPLINAR: Expresión y Comunicación?
AREA: Artística
JEFE DE AREA: Esther Margarita Fuentes Julio
JEFE DE NUCLEO: Dora Hernández
LENGUAJES: Artes Plásticas, Música, Danza, Ayudas Educativas
DOCENTES: Muleth Mieles Maria del Carmen, Romero Paternina Leonor Isabel, Salgado Montes Rosa del Cristo, Meza Bohórquez Arlet, Fuentes Julio Esther Margarita.
DISTRIBUCIÓN DEL TIEMPO: 2 horas semanales para los grados, 6,7,9; 3 horas semanales para 8º; 1 hora semanal para 10º y 11º
DISTRIBUCIÓN DE PERÍODOS ACADÉMICOS:
I período del 26 de enero al 3 de abril = 10 semanas;
II período 13 de abril al 19 de junio = 10 semanas;
 III período: 13 de julio al 18 de septiembre = 10 semanas;
IV período: 21 de septiembre al 4 de diciembre = 10 semanas
2. DIAGNÓSTICO
La Institución Educativa Normal Superior de Sincelejo, considera indispensable, la educación artística para el desarrollo integral del estudiante y se toman algunos lenguajes de la
Artística, como son las artes plásticas, la música, la danza y las ayudas educativas, implementadas de la siguiente forma: a los estudiantes de los grados 6 y 7 de la jornada matinal, se
les orienta las artes plásticas; en los grados 8 y 9 continúan su formación en artes plásticas, en un mayor grado de complejidad y los grados 10 y 11 complementan su formación con las
ayudas educativas. En la jornada vespertina, los estudiantes de los grados 6 y 7 reciben música, danza, los grados 8 y 9 artes plásticas. Hay que anotar, que los estudiantes de la jornada
vespertina, cuando pasan a 10, y 11 en la jornada matinal, complementan su formación, con ayudas educativas.

Hay que aclarar de la jornada matinal del año 2009, aspectos importantes como los siguientes: algunos grados han tenido la oportunidad de ver música y danzas, siendo el caso el de los
grados 6:C, 6D, 6E, 8:A, 8B, 8C, 8D, 8E, 8F, los cuales al llegar a 10 y 11 tienen el ciclo completo en varios lenguajes. Surge la pregunta: ¿Qué ocurre con los estudiantes de 6A, 6B,
que no han pasado por el lenguaje de la música y danzas?, ¿Cómo se pueden nivelar a esos estudiantes?, ¿Qué se puede hacer para que los estudiantes reciban esos lenguajes faltantes?

¿Qué debilidades se presentan en cuanto a la planta física de Artística, en la IENS de Sincelejo? No se tienen aulas grandes, donde 40, 42, 44, 46, 48, 50 estudiantes puedan moverse al
ritmo de la música y las artes plásticas, con libertad, el espacio de cada aula es pequeño, y se presentan problemas de orden público como golpes, tropezones, insultos, faltas de
respeto…en fin, el espacio no es el adecuado; segundo, se carece de grabadoras con MP3 o sin MP3. No se cuenta con una sala dotada de la tecnología, para ver un video en Artística,
ya que las solicitudes se hacen y no se abren los espacios, la respuesta es la misma: está ocupado el recurso, …; tercero en algunas aulas el problema se presenta en los enchufes, ya que
las aulas los tienen, pero sucede lo siguiente: por ejemplo, el grado 6:1 de la jornada vespertina, tiene enchufes, pero sin corriente; el grado 7:F tiene un enchufe, que representa un
peligro para los estudiantes, puesto que las “paticas” están al aire libre, peladas. Si nos vamos a las aulas que quedan al lado de Bienestar y la oficina de calidad, frente a la cancha de
primaria, desde el año 2007,…esos enchufes no sirven. El aula que queda al lado de los baños, sirve siempre y cuando el maestro tenga cinta, para ajustar el enchufe y que no se mueva,
siendo conocedor del problema el técnico,(padre del estudiante Juan Carlos del grado 8:1) y el Sr Silvio. En fin, cada aula tiene una historia, un enchufe, un abanico, unos cables, una
luz, por arreglar y las cosas se mantienen como en Macondo.

No se cuenta con recursos económicos disponibles, la austeridad es la compañera inseparable del Área. Al docente de Artística, no se le invita a recibir cursos, talleres, seminarios o
diplomados de actualización en el campo artístico; es más, el área cuenta con una gran fortaleza, ya que goza de una recurso humano disponible en la disciplina de música, y no se
tiene en cuenta su perfil para que se desempeñe en la Básica primaria, negándole al estudiante vivir experiencias significativas con el gran maestro.

Otro de los problemas que se presenta en el área de Educación Artística, tiene que ver con la poca continuidad en el proceso artístico entre preescolar, básica primaria, secundaria y
media por la falta de comunicación. Hay que anotar, la carencia de recursos económicos por parte de los estudiantes, impide muchas veces, la realización de sus talleres, ya sea por falta
de iniciativa (transcribir la guía en el cuaderno), o por otros motivos como la pereza, la anemia, o el factor internet lo entretiene con sus juegos. El desconocimiento que se tiene acerca
de la importancia del arte en la formación integral del ser…
3. MARCO REFERENCIAL
3.1 JUSTIFICACIÓN

El Área de Educación artística es importante, porque permite orientar al estudiante y hacerlo disfrutar de la experiencia artística, en una forma libre, estimulando la percepción
minuciosa, sensible y contemplativa de sí mismo y del contexto. Pretende que él involucre su inconsciente y lo comprenda, y llegue a expresarse creativamente, organizando,
seleccionando, clasificando la información interna y externa y conjugarla, para comunicarse de acuerdo a los códigos y lenguajes de la cultura que le permitan reconocerse como ser
social. Promueve la interacción entre la Institución y las diferentes expresiones culturales del mundo externo, de ese mundo que se presenta intocable y es el mundo donde se mueve el
estudiante. El mundo del campo artístico, es único y le permite al estudiante encontrarse a sí mismo, como persona única e irrepetible; acceder al conocimiento y recrearlo; le permite
invadir todas las áreas del conocimiento.

La formación artística adquiere su sentido en la formación de sujetos en el arte como patrimonio cultural y en el desarrollo de las habilidades y destrezas artísticas de los sujetos para
expresar desde su propia subjetividad su momento vital, en su transcurrir humanizante a través de formas creativas, estéticas, que le permitan asumirse como capaz de apropiarse de lo
real mediante el disfrute de lo bello a la vez que proyecta la conciencia de su experiencia de la belleza, en cuanto armonizadora del ser y del conocer, mediante el saber y sus posibles
manifestaciones.

Las artes son principalmente herramientas de comunicación entre las gentes, como lo son la lectura, la escritura, la pintura, la escultura, los textiles, así como la danza y la poesía, son
lenguajes que dan posibilidades alternativas de entendimiento; son maneras de comunicar ideas que enriquecen la calidad de vida, medios para canalizar y transformar expresivamente la
agresividad connatural al ser humano. Las artes le dan al hombre la posibilidad de superar los golpes como medio de expresión, de elaborar duelos y superar la violencia.
La educación artística, es fundamental en la “sensibilización de los sentidos” de la visión, del tacto y del oído para el control de la sensorialidad del cuerpo y de la mente. La memoria y
la imaginación del estudiante son estimuladas para articular lo visto, los oído, lo palpado por medio de imágenes reales o poéticas que ayudan a descifrar y a interpretar el mundo real,
que se “en blanco y negro” cuando falta este enriquecimiento de la sensibilidad que dan las artes.

La Artística cumple funciones educativas y humanizantes, ya que propende por una persona estudiante que interactúe y conviva con el otro en forma armónica y contiene competencias
ideológicas, cognoscitivas, estéticas, sociales, entre otras. El hombre en contacto con el fenómeno artístico se instruye y a la vez se educa y libera, lo cual exige preparación, sensibilidad
y creatividad, para poder comprenderlo.1

La educación artística es importante, porque busca que el estudiante maneje diferentes competencias como la perceptiva, la creativa, la expresiva, la técnica, la estética, la ideológica, y la
social, en las cuales tiene que moverse, para mostrar conocimientos, actitud, aptitud, habilidades y destrezas en los diferentes lenguajes que conozca.




1
    SÁNCHEZ ORTEGA, Paula. MORALES H. Xiomara. Educación musical y expresión corporal. Editorial Pueblo y Educación . Cuba. Pág 7
3.2 FUNDAMENTO LEGAL

Ley 115/94 Art 23. Áreas obligatorias y fundamentales (Educ. Artística); Dec 0230 Art 3 Plan de Estudios

La Educación Artística, posee un marco legal señalado desde la Ley General de la Educación: Ley 115 de 1994. El Plan de Estudios, está sustentado en el Art 79, que dice: “es el
esquema estructurado de las áreas obligatorias y fundamentales y de áreas optativas con sus respectivas asignaturas, que forman parte del currículo de los establecimientos educativos.
En la educación formal, dicho plan debe establecer los objetivos por niveles, grados y áreas, la metodología, la distribución del tiempo y los criterios de evaluación y administración, de
acuerdo con el PEI y con las disposiciones legales vigentes”.

Plantea en su Artículo 5. De conformidad con el artículo 67 de la Constitución Política, la educación se desarrollará atendiendo a los siguientes fines: 1. trabajar por el “libre desarrollo
de la personalidad, por un proceso de formación integral desde lo físico, intelectual, afectivo, social, moral, psíquico, cívico y demás valores humanos”. 2. La formación en el respeto a la
vida y a los demás derechos humanos, a la paz, a los principios democráticos, de convivencia, pluralismo, justicia, solidaridad y equidad, así como en el ejercicio de la tolerancia y de la
libertad. 3. La formación para facilitar la participación de todos en las decisiones que los afectan en la vida económica, política, administrativa y cultural de la Nación. 4. La formación en
el respeto a la autoridad legítima y a la ley, a la cultura nacional, a la historia colombiana y a los símbolos patrios. 5. La adquisición y generación de los conocimientos científicos y
técnicos más avanzados, humanísticos, históricos, sociales, geográficos y estéticos, mediante la apropiación de hábitos intelectuales adecuados para el desarrollo del saber. 6. El estudio y
la comprensión crítica de la cultura nacional y de la diversidad étnica y cultural del país, como fundamento de la unidad nacional y de su identidad. 7. El acceso al conocimiento, la
ciencia, la técnica y demás bienes y valores de la cultura, el fomento de la investigación y el estímulo a la creación artística en sus diferentes manifestaciones. 8. La creación y fomento
de una conciencia de la soberanía nacional y para la práctica de la solidaridad y la integración con el mundo, en especial con latinoamérica y el Caribe. 9. El desarrollo de la capacidad
crítica, reflexiva y analítica que fortalezca el avance científico y tecnológico nacional, orientado con prioridad al mejoramiento cultural y de la calidad de la vida de la población, a la
participación en la búsqueda de alternativas de solución a los problemas y al progreso social y económico del país. 10. La adquisición de una conciencia para la conservación, protección
y mejoramiento del medio ambiente, de la calidad de la vida, del uso racional de los recursos naturales, de la prevención de desastres, dentro de una cultura ecológica y del riesgo y la
defensa del patrimonio cultural de la Nación. 11. La formación en la práctica del trabajo, mediante los conocimientos técnicos y habilidades, así como en la valoración del mismo como
fundamento del desarrollo individual y social. 12. La formación para la promoción y preservación de la salud y la higiene, la prevención integral de problemas socialmente relevantes, la
educación física, la recreación, el deporte y la utilización adecuada del tiempo libre, y 13. La promoción en la persona y en la sociedad de la capacidad para crear, investigar, adoptar la
tecnología que se requiere en los procesos de desarrollo del país y le permita al educando ingresar al sector productivo. El Capítulo 1. Correspondiente a las Disposiciones comunes,
Artículo 22 Objetivos específicos de la educación básica en el ciclo de secundaria, item k) reza: “La apreciación artística, la comprensión estética, la creatividad, la familiarización con
los diferentes medios de expresión artística y el conocimiento, valoración y respeto por los bienes artísticos y culturales”.

La Resolución 2343 del 5 de junio de 1966, establece los indicadores de logros específicos para la Educación Formal, atendiendo a la particularidad de cada PEI, en los términos del Art
73 de la Ley 115 de 1994. El Art 9 plantea el alcance de los Indicadores de logros curriculares por conjuntos de grados…El Art 10 comprende los Conjuntos de Grados. Para efectos de
los dispuesto en el literal a del artículo 9 de esta Resolución, los grados de la educación formal se estructura asÍ: Conjunto de los grados del nivel preescolar; Conjunto de los grados,
1,2,3 del nivel de la educación básica primaria ; el conjunto de los grados 4,5, 6 del nivel de la educación básica; El conjunto de grados 7,8,9 del nivel de la educación media.

Los lineamientos curriculares, contemplan los aportes que hace la Rectora del CEINAR de Neiva, quien revela su comprensión integral de todos los campos de la Educación Artística:
Competencias claves en el desarrollo cognitivo a partir de la Educación. Artística en el cual escribe: “El propósito de enseñar a pensar es el de preparar a los alumnos para que, en el
futuro puedan resolver problemas con eficacia, tomar decisiones bien meditadas y disfrutar de toda una vida de aprendizaje”… La educación en las artes perfecciona las competencias
claves del desarrollo cognitivo como son: La percepción de relaciones, atención al detalle, promoción de la idea de que los problemas pueden tener muchas soluciones y las preguntas
muchas respuestas, desarrollo de la habilidad para tomar decisiones en ausencia de reglas, la imaginación como fuente de contenido, la habilidad para visualizar situaciones y predecir lo
que resultaría de acuerdo con una serie de acciones planeadas, la habilidad para desenvolverse dentro de las limitaciones de un contexto, habilidad para percibir y enfocar el mundo desde
un punto de vista ético y estético.2

3.3 FUNDAMENTO EPISTEMOLÓGICO

¿Cómo conoce el estudiante la Educación Artística?
La Educación Artística se concibe como una herramienta pedagógica que permita ser fuente de conocimientos nuevos, que respondan dialógicamente a la diversidad cultural, social,
étnica de los estudiantes de esta institución. Se concibe el arte como conocimiento posible de ser orientado, capaz de ser fuente de otros conocimientos. La experiencia artística hace
posible una comprensión más compleja de la realidad al favorecer la producción de competencias interpretativas. Se le dará prioridad al método de análisis en el que la representación
jugará un papel muy importante en el proceso. Por otro lado se complementará con la interpretación y la proposición en la creación de cada estudiante. Se fortalecerá la recuperación de
la percepción, siendo conciente de la situación que se le presente, la forma de procesar la información y el sentido que le de. Se tendrá en cuenta que los conceptos en Artística, no se
mantienen. La valoración artística de los objetos, es cambiante con el tiempo.

El conocimiento del lenguaje artístico vincula al estudiante a una comunidad en la construcción social de sentido y es cuando se retoma a Vigotsky el cual entra a mediar en el
lenguaje, ya que plantea que el conocimiento es de carácter social “Pensamiento, Lenguaje y Aprendizaje” donde se esbozan nuevas estrategias metodológicas en pedagogía de la
lengua escrita, que vayan de lo general a lo particular, es decir, que se debe partir del discurso (o del todo) para llegar a la palabra (a las partes). ¿Qué clase de conocimiento? Todo tipo
de conocimiento, partiendo del artístico se sabe que el arte tiene un carácter multifuncional, es decir realiza multitud de funciones:” introduce la armonía en las emociones del individuo;
proporciona placer (función hedonista: el placer no es obligatoriamente elemental, puede estar paradójicamente relacionado también con emociones trágicas); ejerce el contacto de las
almas y el contagio del sentimiento” (Tolstói: función comunicativa); proporciona la “purificación, refleja la vida (función cognoscitiva: el reflejo no es naturalista, sino creador, y por
eso representa un acto de conocimiento); educa moralmente (función ética, moralizadora); permite sobrellevar en forma enajenada las emociones, sofocadas por el censor interno, y por
eso libera de los conflictos internos y de las neurosis que éstas ocasionan (Freud: género de “inoculación emocional”)”3. Bruno Bettelheim, dice en su ensayo de Educación Artística
que una de las funciones del arte es la de “guiar al individuo hacia una visión personal del mundo y de su lugar en él”

En la producción artística, se ponen en juego experiencias, emociones, conocimientos previos, procesos de investigación, capacidades prácticas y teóricas en función de producir una
obra y tanto Vigostki como Piaget, opinan que el juego es la base del acceso a los diferentes lenguajes. La realización de actividades de juego desarrolla la capacidad de inventar y el
perfeccionamiento de estructuras cognoscitivas. Si el aprendizaje del estudiante está unido al juego se vuelve más atractivo, menos costoso, menos ansiógeno y más placentero. Entre
menos estructurado es el juego, más posibilidades habrá de que cada cual aprenda a su ritmo. El juego refleja competencias comunicativas, cooperación, compañerismo y otras virtudes
sociales.4



2
  MEN. Lineamientos Curriculares Educación Artística. Santafé de Bogotá. D.C. julio de 2000. Pág 13-14
3
  FEINBERG, Evgueni. El Arte y el Conocimiento (Discusiones). Pág 150
4
  BONILLA, Baquero, Carlos Bolívar. La Lúdica como Actitud Docente. Revista Kinesis Nº 20
3.4 FUNDAMENTO PSICOLÓGICO

Se tienen en cuenta los postulados de Howard Gardner, quien plantea que el arte es la base para potenciar la energía vital de lo educativo, por lo tanto, el educador debe desarrollar en
sus estudiantes competencias estéticas con miras a construir proyectos pedagógicos que preparen al estudiante para el disfrute de lo artístico y aproveche los avances tecnológicos en
creaciones artísticas para que la aplique en el campo educativo. Ortega Gasset dice: “para la psicología, la creatividad es bien, un producto o proceso interno del individuo, en el cual se
genera un resultado original, relacionado con la interacción del hombre y sus circunstancias”.

3.5 FUNDAMENTO PEDAGÓGICO

¿Cuál es el tipo de estudiante que se desea formar en la I.E.N.S.S.,? Formar un hombre o mujer reflexivo, en un modelo social-reflexivo, exige un ser crítico del arte, de su historia…
“Hoy se acepta que si bien el genio y el talento del artista suponen un factor natural, no obstante requieren la formación mediante el pensamiento, la reflexión, sobre su producción, así
como la ejercitación y habilidad en el producir”.

Dentro de las teorías pedagógicas, se encuentran las de C. Freinet: con su concepción pedagógica social-reflexiva, como esencia de un modelo social, siendo un teórico que hace parte
del P.E.I.    Paulo Freire: plantea que el hombre es consciente de su realidad y sujeto de su devenir histórico, es decir, él autoconstruye su propio devenir, o sea, el ser humano
aprende haciendo; J. Piaget, con sus reflexiones en “Lenguaje y Pensamiento desde el punto de vista Genético”, donde plantea que la adquisición del lenguaje, se da en forma gradual y
progresiva en el estudiante y que mediante él, se enriquece en el hombre el pensamiento y la capacidad para solucionar problemas. Lo que él denominó proceso de asimilación (del
objeto por el sujeto) y acomodación (del sujeto al objeto)5, que corresponde al qué y al cómo se conoce; Ausubel “el aprendizaje debe ser una actividad significativa para la persona
que aprende y dicha significatividad, está directamente relacionada con la existencia de relaciones entre el conocimiento nuevo y el que ya posee el alumno”6

La Educación artística pretende a través de estrategias pedagógicas, que el estudiante aproveche al máximo su inteligencia a partir de lo sensorial que promueve el desarrollo intelectual;
de las operaciones externas pasa a resolver los problemas valiéndose de imágenes y es la inteligencia imaginativa la que caracteriza al estudiante en edad preescolar, pasándose a razonar
con base en signos, es decir, el pensamiento lógico o abstracto, llegando a utilizar la palabra como un medio independiente del pensamiento que permite resolver problemas, asimilando
los conceptos.

3.6 FUNDAMENTO SOCIOLÓGICO

“El folklore puede ser factor esencial en la exaltación de los valores humanos, espirituales, sociológicos ya que nos vemos como extranjeros en un mismo país”.7 La cultura de un
pueblo es su expresión propia. “El hombre, en sus relaciones con los demás seres manifiesta sus pensamientos y sus creencias por medio de palabras y de hechos. Las diversas maneras
de hacerlo pueden ser las formas superiores o estructuradas del arte y de la ciencia, o bien las sencillas expresiones directas del pueblo. Para afirmar nuestra personalidad del país
particular, distinguiéndolo de los demás por sus especiales características como núcleo humano, para exaltar nuestro patriotismo en forma consciente sobre las bases de un íntimo


5
  PIAGET, Jean. Desarrollo
6
  AUSUBEL, David. Psicología Educativa, un punto de vista cognitivo. México: Editorial Trillas, 1976
7
  CORTÁZAR, Augusto Raúl. Andanzas de un folclorista. Editorial Universitaria de Buenos Aires, 1964. Pág 8
conocimiento de las cualidades que nos dan fisonomía propia frente a los demás pueblos, nada más adecuado y racional que el estudio del folklore patrio”8. Entonces, tenemos que la
Estética, certifica la artisticidad folk y el modo como la comunidad percibe y textualiza el mundo; la Semiología, decodifica los textos pertenecientes a la tradición; la Antropología
revela la cultura de una comunidad, la tradición de los pueblos; la Pedagogía,es imprescindible, es la que permite la expresión de las otras tres disciplinas. El arte, valida el reflejo de lo
que son los pueblos pues está demostrado que los pueblos más desarrollados fueron los que tuvieron mayor producción artística, basados en la tradición arquitectónica, literaria, pictórica,
musical y es la Institución, la llamada a defender, reconocer, valorar, el patrimonio artístico y cultural de la nación, región y el mundo; fortalecer sus valores culturales a través de la
Educación Artística, buscando el reconocimiento de nuestra identidad en otros contextos, y es el aula el lugar para promover el arte, para desarrollar las capacidades sociales de los
estudiantes, empezar a infundir en ellos la autorreflexión, que facilite las formas de comunicación a través de la libre expresión; la autoestima, la autonomía, la responsabilidad.

La Institución como un sistema complejo de comunicación, donde intervienen sentires y pensamientos que se expresan de diferentes formas, es el espacio en el cual se deben tener en
cuenta los intereses, necesidades y expectativas del estudiante, donde las competencias pedagógicas de Habermas adquieren verdadera significación en la discusión racional,
valiéndose del saber social y escrito decantado a través de la historia. (Desde la teoría comunicativa de Habermas, se plantea la posibilidad de un diálogo, mediado por la crítica
argumentada, en donde la reflexión es fundamental para el cuestionamiento de creencias, prejuicios e ideologías.); Hay que anotar que en la interacción docente, estudiante, se rescatan y
valoran los saberes de las dos partes que intervienen en la comunicación.

¿Qué impulsa al hombre a hacer arte? El historiador y sociólogo holandés Huizinga, plantea la motivación lúdica, donde el “homo Ludens” es el que juega entendiendo por juego todo
aquello que se hace para pasar el tiempo y gastar energías sobrantes, después de haber hecho lo necesario9. El juego sería una de las grandes fuerzas creadoras de cultura, y el arte pudiera
haber nacido de él como actividad espontánea. “Esta forma de juego que conduce naturalmente a la expresión artística en nuestros antiquísimos abuelos…”

3.7 FUNDAMENTO AXIOLÓGICO

¿Cómo actúa el hombre normalista? En el campo axiológico, se contempla la formación de un hombre “sensible”, para una sociedad en conflicto, fomentando aquellos valores éticos o
morales, valores vitales, estéticos, socio-políticos, patrios, religiosos, valores educativos como la alta calidad pedagógica, científica e investigativa, en donde la libertad, la autonomía, la
responsabilidad, la tolerancia, el respeto a la vida, el rescate de nuestra identidad cultural, cobran sentido. Un hombre que tenga confianza en si mismo, que valore su producción artística
y la del otro, en actitud crítica, reflexiva; un hombre que tenga confianza en los demás y trabaje cooperativamente y colaborativamente; que valore su identidad cultural, que la
escuche, que la sienta, que la viva y que la muestre. “El escuchar se convierte en la habilidad comunicativa primera en desarrollarse”.

Atendiendo a Jackes D’elor quien entrega los 4 pilares fundamentales de la educación como son: el aprender a conocer, aprender a hacer, aprender a vivir juntos: (desarrollando
la comprensión del otro y la percepción de las formas de interdependencia –realizar proyectos comunes y prepararse para tratar los conflictos- respetando los valores de pluralismo,
comprensión mutua y paz; aprender a ser: (para que florezca mejor la propia personalidad y se esté en condiciones de obrar con creciente capacidad de autonomía, de juicio y de
responsabilidad personal. En la medida que interactuemos los 4 pilares, el hombre que anda en busca de sentido, encuentra su autorrealización; a Habermas Jurgen, quien propone una
“acción comunicativa altruista, llena de valores, donde se persigue la armonía, el encuentro mutuo (agenda institucional 2008-2010).



8
    MORALES, Abadía Guillermo. Compendio General del Folklore colombiano. Talleres Gráficos Banco Popular. 1983. Pág 10
9
    JOHAN Huizinga. Homo Ludens. Ámsterdam. 1939.
3.8 FUNDAMENTO FILOSÓFICO

En el campo filosófico, se encuentra a Platón, con su teoría idealista en donde existen dos mundos: el mundo sensible o cambiante, el que se puede tocar, el tangible y por tener esta
característica es el mundo imperfecto. Para él el arte se ubica en el mundo sensible, el que se puede tocar y es imperfecto. El otro mundo es el intangible, o sea el mundo supra sensible,
eterno, o superior, que es perfecto, el mundo ideal. Para Jhon Looke, la verdad se basa en la experiencia, y los sentidos juegan un papel fundamental. El arte se ubica en el mundo de la
experiencia. Diderot, Voltaire, D´lambert, la verdad se halla en las enciclopedias y la artística esta en la definición de lo intelectual. Si se retoma la experiencia, más las
enciclopedias, se conjuga la teoría con la práctica y es lo que se busca en estos momentos, que el estudiante posea el conocimiento y lo sepa manejar en su cotidianidad. Para Kant, toda
verdad debe llegar a los sentidos, pasa por el entendimiento y la verdad absoluta se encuentra en la razón (apriorismo). El conocimiento más puro se obtiene a través de la razón. Lo
artístico lo ubica en la razón, la cual es ideal. Hegel, quien es idealista absoluto, manifiesta que no hay nada sensible, todo lo que existe es ideal y lo artístico busca lo ideal de lo bello.

“El manejo del arte y de la estética por parte de la filosofía se ha visto alimentado por los trabajos realizados por los estructuralistas como Jean Piaget, Noam Chomski, Claude Levi
Straus y por las escuelas de pensamiento que le siguieron, entre ellos se tiene a Howard Gardner, quienes buscan explicaciones sobre la estructura de la mente y del conocimiento. El
trabajo de Piaget sobre la epistemología genética, deja sus estudios sobre los estadios para llegar al desarrollo del pensamiento hipotético deductivo y por lo mismo las condiciones
propicias para una inteligencia que hace posible la estructura de la ciencia en la mente de los sujetos según su desarrollo cronológico y mental; Levi Straus desde su indagación por el
arte y por la identidad específica de la cultura, establece la expresión de sentido de lo cultural propio de cada una de las etnias, donde la expresión de lo artístico tiene que entenderse
como la expresión necesaria de la diferencia entre una cultura y otra por comparación con la estructura general… Los aportes de estos investigadores en el campo filosófico sobre el
problema de la comprensión de lo artístico, son trasladados y estudiados en el campo psicológico, y a partir de aquí, individualmente siguen la investigación. Ernest Cassirer, filósofo
alemán plantea, que el hombre es por naturaleza un animal simbólico, la realidad física parece retroceder en relación directa con la actividad simbólica del hombre, el hombre está
constantemente dialogando consigo mismo. “El hombre se ha envuelto hasta tal punto en formas lingüísticas, imágenes artísticas y símbolos míticos o prerrogativas religiosas, que no
puede ver ni conocer nada si no es la con la mediación de este instrumental. La menta humana, fortalecida por los símbolos, viene a recrear el mundo físico en su propia imagen
simbólica”.

3.9 FUNDAMENTO ANTROPOLÓGICO

¿Qué impulsa al hombre a hacer arte? La motivación estética. Sostienen algunos antropólogos e historiadores, pero sobre todo numerosos estetas, que el hombre del Paleolítico gozaba
ya de cierto sentido estético y de una capacidad de satisfacerse con las formas. Kart J. Narr escribe “No se puede negar al artista de aquella época un verdadero placer en la satisfacción
de sus necesidades estéticas y de sus impulsos creadores”; y Teilhard de Chardin, refiriéndose al mismo tipo humano afirma que “traía consigo ciertos gustos estéticos y un talento ya
probado”10 Para el hombre prehistórico, el arte (no era arte para él) era una mediación mágica: animal pintado, era animal muerto en cacería. Para el hombre griego, el arte (que no era
arte para él y solo incluía la poesía y la música) era símbolo de habilidad y de belleza social de sus ciudades-estados. Para el hombre Medieval, el arte (que tampoco era considerado arte
para él) estaba al servicio de la belleza divina.

¿En que fundamento ubico a éstos genios del arte? Ojo buscar en Internet. Para Karl Roger la creatividad “es la elaboración activa de un producto nuevo, de la relación entre lo
individual de la persona y los materiales, acontecimientos, hombres y circunstancias de la vida”.


10
     TEILHARD de Chardin. La Aparición del hombre. Madrid 1958
Martín Barbero (1994), manifiesta: La educación artística nos permite conectar “los cambios en las condiciones del saber con las nuevas maneras de sentir, de la sensibilidad y
ambos con nuevos modos de juntarse, esto es, con nuevas figuras de la socialidad”, y reelaborar las complejas relaciones entre las culturas locales y los procesos nacionales e
internacionales, entre la individualidad y la masificación, entre la tradición y la innovación, lo cual implica asumir una perspectiva multicultural desde el comienzo de la educación
artística, aunque enraizada en lo local.
En fin, ser educado en la artística, significa utilizar símbolos, leer imágenes complejas, comunicarse creativamente y pensar en soluciones antes no imaginadas, abriéndose a la
diversidad.

3.10 FUNDAMENTO LINGÜÍSTICO

Dentro de las teorías del Desarrollo del Pensamiento y Lenguaje, encontramos las reflexiones de Piaget en “Lenguaje y pensamiento desde el punto de vista genético”, nos muestra
como la adquisición del lenguaje, se da en forma gradual y progresiva en el estudiante y que mediante él, se enriquece en el hombre el pensamiento y la capacidad para solucionar
problemas. Bruner en “Acción, Pensamiento y Lenguaje”, plantea que el educador se debe tener claro los distintos discursos y hacerlos diferenciar a los estudiantes en el aula de
clases, los cuales van desde lo narrativo, descriptivo, expositivo, hasta lo argumentativo, de acuerdo al grado de particularidad y abstracción de los mismos.

Noam Chomski (Competencia lingüística): desde la lingüística estructural plantea la búsqueda sistemática de las relaciones entre el lenguaje y el conocimiento; para él, el
conocimiento y el lenguaje tienen una estructura única y natural que potencia la mente, la predispone para el lenguaje y la determina como fuente de la comprensión lingüística, activada
por la experiencia de lo real. D. Hymes desde la sociolingüística lanza una crítica al concepto chomskiano de competencia lingüística para señalar que el conocimiento del hablante no se
reduce a las reglas que definen la gramática de la lengua, sino que también es un conocimiento situado, es decir, un conocimiento que supone un contexto social particular. Este
pensamiento es bastante compatible con los postulados de la psicología histórico-cultural, siendo su mejor representante Vigotsky. La formulación chomskiana es la siguiente: “La
lengua es generada por un sistema de reglas y principios que entran en computaciones mentales complejas para determinar la forma y el significado de las oraciones” (Chomsky, 1983).

Los planteamientos de Vigotsky en Pensamiento, Lenguaje y Aprendizaje”, trazan nuevas estrategias metodológicas, que vayan de lo general a lo particular, o sea, partir del discurso
(o del todo) para llegar a la palabra (a las partes). Dentro de las teorías del Discurso y del Lenguaje se encuentra a María Eugenia Dubois en su obra “Lectura y Formación Docente”,
en donde plantea el proceso de lectura como un acto transaccional, en el que hay que tener en cuenta los sentimientos, los estados orgánicos, las relajaciones verbales, los factores
sociales y personales del alumno para la producción de significados. Frank Smith, en su obra “Los Dos Aspectos de la Lectura”, plantea que al leer se da tanto como se recibe y la
comprensión depende de cuanto tengamos para dar al tema abordado en el texto. Jossette Jolibert, en su obra Formar Niños Productores de textos”, plantea la necesidad de que el niño
encuentre placer en “interrogar y producir textos escritos”, lo que contribuye al desarrollo auténtico de la comunicación y la realización personal… L. Lazotti (1987) y F. Testa (1989)
conciben la educación artística, como un proceso de comunicación y su objetivo básico es el de una integración total y amplia del arte, la sociedad y la cultura en la educación.11 R.
Juanola, 1989, concibe la educación artística como disciplina, siendo un modelo de innovación educativa de más influencia, que incluye una selección de contenidos de las disciplinas
que forman parte de las ciencias estéticas, siendo un modelo pluri e interdisciplinas, estructurado en tres dimensiones: la cultural o teórica, la crítica o estética y la productiva o prácticas.
Este modelo, potencia un aprendizaje interactivo y prepara a los estudiantes para saber valorar y expresarse en unos criterios estéticos y artísticos, dotado de una cohesión interna y
garantiza una formación de base, que puede ser ampliada en diferentes campos del arte.12

11
     COLCULTURA. Pedagogías Artísticas. Santafé de Bogotá, D. c., Abril de 1997. Pág 38
12
     Ibid. Pá39-40.
3.10.1 Neurolingüistica

El momento histórico que se está viviendo requiere de cambios significativos en el pensamiento del ser, es por ello fundamental el conocimiento sobre la aplicación del Arte en
situaciones de conflictos generados en la vida diaria, para poder hacer manifiesto las pulsiones del espíritu y tratar de sobrevivir en el entorno caótico impregnado por la turbulencia, la
complejidad y imprevisibilidad de este espacio-tiempo. Ella brinda buenos resultados en el proceso de comunicación, ya que es un enfoque práctico y dinámico que permite que se
experimente una actividad exitosa. La eficacia en la utilización de este modelo los constituye el desarrollo de estrategias prácticas y sencillas que enseñan a la persona a pensar,
sentir y actuar de manera diferente, es decir, con todas las estructuras cerebrales (cerebro, neo-cortex, limbico, reptil) y parte de los fundamentos de la teoría constructivista, la cual
define la realidad como una invención y no un descubrimiento. Es un constructo psíquico basado en el hecho de que el ser humano no opera directamente sobre el mundo real en que
vive, sino que lo hace a través de mapas. Representaciones, modelos a partir de los cuales genera y guía su conducta.13

Poder comunicarse efectivamente, permite expandir y enriquecer los modelos del mundo que se tienen según las experiencias personales vividas. Lograrlo tiene un solo objetivo: Buscar
que la vida sea más rica, satisfactoria y provechosa. La Neurolingüística es el estudio del mundo subjetivo de las personas y de las formas como se estructuran las experiencias
subjetivas y se comunican a otros mediante el lenguaje. Esto permite que la conducta sea concebida como consecuencia o resultado de complejos procesamientos neurofisiológicos, de la
información percibida por los órganos sensoriales. Estos sistemas tienen componentes posibles la experiencia y pueden ser intencionalmente organizados y “programados” para alcanzar
ciertos propósitos…14 Alexandr Románovich Luria (1902-1977)neurofisiólogo y psicólogo soviético nacido en Kazán, Rusia, habla de El papel del lenguaje en el desarrollo de la
conducta (1966) y El cerebro en acción (1974).15

3.10.2 Arte, Artista, Arte Terapia

3.10.2.1 Arte: El hombre es un animal libre, inteligente y con capacidad de amar. Sin contar con los sentimientos su definición estaría incompleta. El arte es un lenguaje racional y
emocional al mismo tiempo. La racionalidad es necesaria para producir la obra artística, pero éste va más allá de la razón, expresando a menudo aquello que nuestra inteligencia
difícilmente puede formular. Con pocas palabras un verso, puede hacer sentir la profundidad de la realidad, la verdad que hay en ella y que constituye un bien para aquel quien llega. Lo
mismo pasa con un cuadro, una escultura, unos compases de música o cualquier otra expresión.

Si el hombre vive una ruptura entre lo que piensa y lo que siente, el Arte puede convertirse en una terapia sutil para reconstruir su identidad personal y favorecer la comunicación entre la
razón y los sentimientos. Por ello, el Arte es considerado por muchas personas como el lenguaje privilegiado del ser humano. El arte nos lleva a reflexionar sobre el artista y sus obras,
sabiendo que, en primer lugar expresa lo que siente el artista, su intimidad, su visión de la realidad. El genio del artista lo lleva a crear nuevas maneras de comunicación, abriendo así las
puertas a las categorías estéticas que pueden ser reflejo de una mejor comprensión y convivencia de la diversidad de formas, estilos, caracteres y sentimientos que conforman al mundo y
al hombre.16



13
   DIAZ, Mariela. PACHECO, Teresa. Aplicación del Arte en Situaciones de conflicto y exclusión social. Barranquilla, marzo 29,30,31 de 2004.
14
   Ibid.
15
   Microsoft R Encarta R 2006. c 1993-2005 Microsoft Corporation.
16
   Ibid
3.10.2.2 Arte Terapia

Es una terapia con énfasis en el lenguaje artístico como medio de expresión, mediante la manipulación, una veces individual y otras veces grupal de elementos plásticos, sonoros,
espaciales, dramáticos… En Arte terapia se entrena la atención y la sensibilidad perceptiva, se desarrolla la capacidad creativa y se amplía y facilita la capacidad de expresión.
Se trabaja con la mecánica del carácter para que éste sirva al crecimiento en lugar de impedirlo o estorbarlo. La persona utilizando al artista, obtiene recursos para poder utilizar su
propio potencial; y prueba que lo que piensa, siente y hace, pueden estar en armonía, es decir, puede hacer lo que realmente quiere hacer. La creación es la manera más auténtica de
ejercer el Yo.17

3.10.3 El arte como expresión del ser

Los placeres estéticos (arte, música, drama, literatura, artes plásticas, cesterría, etc) son relativamente orgullos a perseguir que pueden adicionar importantes incrementos de combustible
emocional y placeres psychuous para la vida de la persona. Sobretodo, placeres estéticos son importantes para el crecimiento psicológico y espiritual de la persona y su bienestar. Lo
estético puede reflejar los valores más importantes de la persona en una forma concreta, proporcionando combustible emocional para buscar un crecimiento grande de acumulaciones.

Una creencia común y falsa es que cuando una persona responde al Arte (música, literatura, artes plásticas…) es una experiencia que no tiene bases en realidad y no sirve para propósitos
prácticos. Pero la verdad es todo lo opuesto. Una respuesta positiva al arte es un fenómeno que refleja lo más hondos valores internos de la persona. Esos valores pueden ser valores
objetivos o neuróticos, desvalores, no valores o anti valores. Eso es por lo cual alguna gente puede responder positivamente al arte que refleja valores neuróticos, desveladotes, no
valores o anti valores. Respondiendo a los valores estéticos, rellena importantes necesidades psicológicas y placeres. Lo estético relativo a los valores abstractos de la persona se
demuestra por expresarlo en sus maneras concretas. Esa expresión externa o confirmación de los más hondos valores de los individuos proveen combustible filosófico para perseguir
valores, metas e ideales.

Otra creencia, es creer que el arte es enteramente subjetivo y que no puede ser evaluado con bases objetivas. Con suficiente conocimiento, todo el arte puede ser juzgado por estándares
objetivos. Evaluación objetiva puede incluir sentido de la vida, el tema expresado por el artista, la ejecución y la habilidad, el estilo, presentación e integridad.

El placer psicológico (o ausencia del mismo) derivado de un trabajo de arte viene desde la similaridad de valores y sentido de la vida sostenida por el visor de esa expresión expresada
por el Artista. Desde que el arte puede volver a reflejar todos los poderosos valores emocionales, el arte puede ser amado, apreciado y disfrutado por esos valores. No obstante, el trabajo
de arte por sí mismo es una extensión del creador humano y por lo tanto nunca podrá ser poseído por nadie más que el autor, igual por el patrocinador y copiador por lo cual ese pedazo
de arte sea comprado… el Arte podrá ser poseído por nadie excepto por el creador de la obra.18




17
     Ibid.
18
     Ibid
4. OBJETO DEL ÁREA
“El hombre como ser social, perceptivo, creativo, expresivo, ideológico, técnico, estético y comunicativo de su cultura.”

                                                                                5. OBJETIVOS
5.1 GENERALES

5.1.1 DE ACUERDO AL TITULO II: ESTRUCTURA DEL SERVICIO EDUCATIVO; CAPITULO 1º; DISPOSICIONES COMUNES;
ARTICULO 13: OBJETIVOS COMUNES DE TODOS LOS NIVELES19
SECCIÓN PRIMARIA, ART 13.
a). Formar la personalidad y la capacidad de asumir con responsabilidad y autonomía sus derechos y deberes
g). Formar una conciencia educativa para el esfuerzo y el trabajo
h). Fomentar el interés y el respeto por la identidad cultural de los grupos étnicos

5.1.2 SECCIÓN TERCERA, EDUCACIÓN BÁSICA ART 20
OBJETIVOS GENERALES DE LA EDUCACIÓN BÁSICA 1º a 9º
a). Propiciar una formación general mediante el acceso, de manera crítica y creativa, al conocimiento científico, tecnológico, artística y humanístico y de sus relaciones con la vida social
y con la naturaleza, de manera tal que prepare al educando para los niveles superiores del proceso educativo y para su vinculación con la sociedad y el trabajo.

5.1.3 OBJETIVO GENERAL ORGANIZADO POR LOS INTEGRANTES DE LAS DIFERENTES DISCIPLINAS
Desarrollar la sensibilidad, creatividad e imaginación del hombre o mujer normalista, desde el Preescolar, Básica Primaria, Secundaria y Media, hacia el mejoramiento de su actitud
crítica y el goce de la calidad de su experiencia intrapersonal, e interpersonal y de interacción con el otro, con la naturaleza y con la producción cultural, para contribuir en su proceso de
formación integral.

5.2 OBJETIVOS ESPECÍFICOS PROPUESTOS EN EQUIPO:
    • Propiciar espacios que permitan estimular la sensibilidad mediante la experiencia contemplativa
    • Posibilitar espacios que estimulen la creatividad del estudiante
    • Ofrecer ambientes que inciten la imaginación para crear y recrear mundos posibles
    • Realizar una exploración sobre formas de acciones lúdicas, en las cuales se contengan procesos de pensamiento u operaciones lógicas
    • Contribuir en la resolución de conflictos a través del lenguaje artístico

19
     Ley General de la Educación. Ley 115 de 1994 (febrero 8)
•   Abrir posibilidades expresivas, comunicativas, mediante la expresión artística
   •   Contribuir al desarrollo sensomotriz, socio afectivo e intelectual del individuo*
   •   Desarrollar el sentido investigativo y creativo a través de la práctica de los diferentes medios de expresión artística*
   •   Valorar las diversas realizaciones estéticas, desde las propias y de las realizadas por sus compañeros hasta las regionales, nacionales y universales.*
   •   Ejecutar trabajos prácticos orientados y supervisados por el docente, en donde se evidencie el contacto directo del educando son materiales y herramientas y el gusto por hacer y
       aprender*
   •   Propiciar la adquisición de las técnicas artísticas paso a paso mediante el ensayo y el error y uso creativo de materiales y herramientas variadas*
   •   Propiciar actividades colectivas donde los estudiantes formen parte activa en su organización y estimules la apropiación de valores como la tolerancia, el respeto por el otro, la
       solidaridad que es tan necesario entre los adolescentes.




*Corresponden a los aportes realizados por Arlet
6. METAS DE COMPRENSIÓN POR NIVELES Y CONJUNTOS DE GRADOS PROPUESTAS
         DESDE EL ÁREA DE LENCUA CASTELLANA PARA DESARROLLAR LOS NIVELES DE
       COMPRENSIÓN LECTORA EN LOS ESTUDIANTES DEL PREESCOLAR, B. PRIMARIA, B.
           SECUNDARIA, MEDIA Y CICLO COMPLEMENTARIO DE FORMACIÓN DOCENTE
        PRE                     JARDIN                TRANSICIÓN                 1º 2º 3º               4º 5º              6º 7º                8º 9º               10º 11º                   I                    II                 III                IV
      JARDIN
LOGRAR             UN     LOGRAR             UN     LOGRAR             UN     Comprender           Comprender          Evidenciar          Comprender y         Interpretar      y   Interpretar            Comprender          Analizar          Comprender
ACERCAMIENTO a            ACERCAMIENTO a            ACERCAMIENTO a            diversos tipos de    diversos tipos      apropiación         producir textos      producir textos      contenidos             textos              contenidos        textos
la significación desde    la significación desde    la significación desde    textos,       con    de textos, con      conceptual y        expositivos      y   complejos,           interdisciplinares     pertinentes al      conducentes a     conducentes a la
el lenguaje verbal y      el lenguaje verbal y      el lenguaje verbal y      prioridad en los     prioridad en los    discursiva en       argumentativos       priorizando     el   inductores de la       desarrollo de       la                optimización de
no              verbal,   no              verbal,   no              verbal,   descriptivos,        informativos        torno           a   con        unidad,   ensayo en donde      formación docente      las                 construcción      las competencias
familiarizándose con      familiarizándose con      familiarizándose con      para            el   para favorecer      diversos tipos      coherencia       y   identifiquen     y   inicial,               competencias        eficiente de      lecto-escritural,
los diferentes tipos de   los diferentes tipos de   los diferentes tipos de   fortalecimiento      la producción       de        textos,   cohesión, para       usen estructuras     evidenciables en la    comunicativa,       textos            docente           e
textos,       haciendo    textos,       haciendo    textos,       haciendo    de             las   textual,       la   especialmente       favorecer       la   textuales            construcción     de    docente         e   académicos        investigativa,
énfasis en los textos     énfasis en los textos     énfasis en los textos     habilidades          identificación y    los narrativos,     apropiación          (narrativas,         textos auténticos      investigativas,     con sentido       articuladas     al
narrativos; teniendo      narrativos; teniendo      narrativos; teniendo      expresivas,     el   uso     de los      asumiendo una       crítica          y   argumentativas,      con criterios de       paralelamente a     crítico       y   desarrollo de la
en cuenta al lector, al   en cuenta al lector, al   en cuenta al lector, al   disfrute estético    medios        de    intención           selectiva de la      descriptivas,        eficiecia              la producción       proyección        sistematización
texto, contexto y         texto, contexto y         texto, contexto y         del lenguaje y       comunicación,       crítica frente a    información, el      explicativas),       lingüística-           escrita en tales    pedagógica e      de la práctica
receptor. Estimular la    receptor. Estimular la    receptor. Estimular la    los procesos de      la apropiación      los      códigos    acercamiento a       estrategias          comunicativa,          campos,       en    investigativa     pedagógica
lectura      emergente    lectura      emergente    lectura      emergente    la comunicación      de       códigos    verbales y no       las     creaciones   discursivas,         pedagógica         e   atención        a
antes       que      la   antes       que      la   antes       que      la   con       sentido    verbales y no       verbales,      el   literarias y el      fenómenos del        investigativa          niveles
convencional.             convencional              convencional              ético.               verbales,      la   disfrute            sentido social y     uso lingüístico                             crecientes de
                                                                                                   formulación de      estético      del   ético     de    la   como polisemia,                             eficiencia
                                                                                                   hipótesis y la      lenguaje y el       comunicación.        refuerzo de las
                                                                                                   interacción         respeto a la                             afirmaciones,
                                                                                                   comunicativa        diversidad en                            jerarquización de
                                                                                                                       los actos de                             la información
                                                                                                                       comunicación                             mediante        la
                                                                                                                                                                puntuación,     al
                                                                                                                                                                igual que la
                                                                                                                                                                criticidad frente
                                                                                                                                                                a los medios de
                                                                                                                                                                comunicción y
                                                                                                                                                                las     creaciones
                                                                                                                                                                literarias
7. LINEAMIENTOS CURRICULARES Y/O ESTÁNDARES, EJES TEMÁTICOS, LOGROS
                        LINEAMIENTOS CURRICULARES                                               EJES TEMÁTICOS                                         LOGROS (POR CONJUNTOS DE GRADOS
                              Y/O ESTÁNDARES                                                                                                                    DE TODA EL AREA)
                         O PROCESOS CURRICULARES                                                                                   ESTRUCTURA GENERAL DEL ÁREA DE EDUCACIÓN ARTÍSTICA DESDE EL
                         POR CONJUNTOS DE GRADOS                                                                                         PREESCOLAR, Y LOS GRADOS 1º, 2º, 3º; 4º,5º,6º; 7º8º,9º; 10º, 11º
    o PROCESO DE DESARROLLO DE PENSAMIENTO                                                                                                               DIMENSIONES DE LA EXPERIENCIA
      CONTEMPLATIVO                                                                                                                                                     PROCESOS
Permite cultivar      y sembrar        el pensamiento contemplativo, además de                    Educación musical                o PROCESO DE DESARROLLO DE PENSAMIENTO CONTEMPLATIVO,
conducir al fortalecimiento del ser integrado auténtico y ampliar el    registro                                                      IMAGINATIVO, SELECTIVO
sensible hacia sí mismo, el otro y el mundo                                                                                        • Desarrollo perceptivo de las propias evocaciones y fantasías, de la naturaleza, de los
                                                                                                                                      demás y de las cosas
                                                                                                             Danza
Este proceso contempla la                                                                                                          • Apertura al diálogo pedagógico
EXPERIENCIA SENSIBLE INTRAPERSONAL                                                                                                 • Cambios y generación de actitudes
en el cual los estudiantes deben procurar su                                                                                       o PROCESO DE TRANSFORMACIÓN SIMBÓLICA EN LA INTERACCIÓN CON
                                                                                                  Artes plásticas                     EL MUNDO
-Autoconocimiento,
-Formarse conceptualmente,                                                                                                         • Desarrollo expresivo de sensaciones, sentimientos e ideas a través de metáforas y
-Desarrollar su sentido de pertenencia cultural y su conciencia histórica.                         Teatro   (Interdisc lengua         símbolos
                                                                                             castellana)                           • Desarrollo de habilidades comunicativas que impliquen dominio técnico y
    o PROCESO DE TRANSFORMACIÓN SIMBÓLICA EN
                                                                                                                                      tecnológico
      LA INTERACCIÓN CON EL MUNDO
                                                                                                        Literaria (Interdisc.      o PROCESO DE DESARROLLO DE PENSAMIENTO REFLEXIVO
Conduce a Expresar y compartir el mundo interno, más el externo, mediante los
diferentes lenguajes artísticos: música, danzas, teatro, plásticas, “ayudas educativas”,     Lengua castellana)                    • Construcción y reconocimiento de elementos propios de la experiencia estética y de
(saberes populares como cestería, textiles, tradición oral, tallado, artesanías…)                                                     lenguajes artísticos
Proceso que contempla                                                                                                              • Desarrollo de habilidades conceptuales
LA EXPERIENCIA SENSIBLE DE INTERACCIÓN CON LAS FORMAS DE                                     Ayudas Educativas                     o PROCESO VALORATIVO
LA NATURALEZA, es decir                                                                                                            • Formación del juicio apreciativo de las propias cualidades y reconocimiento del
-Desarrollar las habilidades perceptivas-valorativas, e incrementar la admiración y                                                   cuerpo desde la comprensión estética, multiétnica y pluricultural, de la interacción
aprecio a la vida que se transforma cuidadosa y creativamente en nosotros y en                                                        que se tiene con el mundo y de la producción cultural
nuestro medio ambiente;                                                                                                            • Comprensión de los sentidos estético y de pertenencia cultural
-Observar la naturaleza, penetrarla, sensibilizándose hacia ella táctil, auditiva, visual,                                      LOGROS PRIMARIA
olfateablemente y saboreablemente para descubir su propio espíritu, entendido éste                                              PERIODO____
como lugar mental de la identidad, la pertenencia y el sentido de la vida y como                                                COGNITIVO
fuente dinamizadora de nuestro vivir comunitario, el gusto y el respeto que se le debe                                             • Desarrolla sus percepciones del lenguaje artístico (evocaciones y fantasías), con
tener a “madre tierra” que implica preservar y enriquecer las creaciones simbólicas                                                   sorpresa y entusiasmo.
ancestrales de las diferentes etnias y culturas del país, relacionadas con el                                                   ACTITUDINAL
conocimiento de la naturaleza,, así como las tradiciones artesanales                                                               • Denota una actitud de diálogo pedagógico asumiendo con responsabilidad sus éxitos
    o PROCESO DE DESARROLLO DE PENSAMIENTO                                                                                            y equivocaciones
                                                                                                                                PRAXIOLÓGICO
      REFLEXIVO
                                                                                                                                   • Expresa sus sensaciones, sentimientos e ideas utilizando        símbolos visuales y
Conjugar mente, pensamiento, imaginación, creatividad y sentimiento a partir de la
                                                                                                                                      musicales
experiencia con los diferentes lenguajes artísticos
                                                                                                                                LOGROS SECUNDARIA
Proceso que contempla
LA EXPERIENCIA SENSIBLE INTERPERSONAL                                                                                     PERÍODO____
Permitiendo:                                                                                                              COGNITIVO
-Crear incentivos para promover el juego, la expresividad y la interacción confiada                                          • Desarrollar percepciones de las propias evocaciones y fantasías, gráficas, sonoras,
-Lograr expresiones auténticas mediante el desarrollo de las habilidades                                                        coreográficas, de las cualidades comunicativas de las imágenes de la naturaleza, y
comunicativas artísticas                                                                                                        de la producción del contexto particular del lenguaje artístico.
-Recrear e intercomunicar metafórica y simbólicamente las visiones particulares del                                       ACTITUDINAL
mundo;                                                                                                                       • Apertura al diálogo pedagógico, cambios y generación de actitudes hacia el mundo de
-Reconstruir y reforzar vínculos sociales estables, creativos y vitales, planear en                                             las imágenes simbólicas, sonoras, gráficas y coreográficas
equipo con proyección a largo plazo e incentivar la voluntad de servicio a la                                             PRAXIOLÓGICO
comunidad, especialmente hacia la niñez, pensando en las generaciones que vienen                                             • Expresar sensaciones, sentimientos e ideas utilizando metáforas y símbolos visuales,
                                                                                                                                musicales, dancísticos, mediante la expresión gráfica y tecnológica
       o DESARROLLO DE HABILIDADES CONCEPTUALES,                                                                          PERÍODO____
         PROCESO DE DESARROLLO DE JUICIO CRÍTICO                                                                          COGNITIVO
Apuntan a atender la singularidad del ser humano, comprendiendo que cada                                                     • Construir y reconocer conceptos y elementos propios de la experiencia visual,
persona es única e irrepetible, con su gusto personal, con su mundo de experiencias                                             sonora, plástica, gráfica, dancística
exige el tener en cuenta la dimensión valorativa del ser humano, la cual se puede                                         ACTITUDINAL
ampliar y transformar con la reflexión sobre la experiencia estético-artística,                                              • Formar juicios de valor y sensibilidad hacia el mundo de los conceptos y elementos
mediante el ejercicio del juicio selectivo, apreciativo y crítico.                                                              propios de la experiencia visual, sonora, plástica, gráfica, dancística
Proceso que atiende a mirar                                                                                               PRAXIOLÓGICO
LA EXPERIENCIA SENSIBLE CON LA PRODUCCIÓN CULTURAL y                                                                         • Expresar percepciones, sentimientos e ideas, mediante la utilización de conceptos y
-Requiere enriquecer sensiblemente en la escuela la vida en comunidad, haciendo de                                              elementos propios de la experiencia visual, sonora, plástica, gráfica, dancística
ésta un arte en el que se aprenda buscar puntos de acuerdo y concesiones, empezando                                       PERIODO_____
por propiciar el ambiente para que los individuos puedan reconocer y cultivar sus                                         COGNITIVO
maneras particulares de sentir el mundo y sus propias evocaciones.                                                           • Comprender, interpretar y construir conceptos y elementos propios de la experiencia
                                                                                                                                artística
                                                                                                                          ACTITUDINAL
                                                                                                                             • Manifestar actitudes y opiniones responsables frente a la comprensión, interpretación
                                                                                                                                y construcción de conceptos y elementos propios de la experiencia artística.
                                                                                                                          PRAXIOLÓGICO
                                                                                                                             • Producir y expresar en forma original sus ideas, sentimientos, mediante la utilización
                                                                                                                                de conceptos y elementos propios de la experiencia artística
Los Procesos curriculares o Lineamientos Curriculares y/o Estándares en Educación Artística se ajustan a la siguientes preguntas formuladas por Víctor M Sarmiento:
¿En qué forma estimulamos en nuestros estudiantes la percepción cuidadora, sensible, atenta y contemplativa de la realidad para que se detengan en ésta y la aprecien a plenitud?
¿Está nuestra relación pedagógica proponiendo “hombres capaces de ver el mundo de inspiraciones, una procesión magnífica y abigarrada de pensamientos desordenados y fragmentarios
en el temblor de una hoja, en el zumbido de una abeja, en el suspiro del viento o en los vagos olores del bosque? 20




20
     LINEAMIENTOA CURRICULARES. Imagen y estética: Representación y desaparición, impreso sin publicar, 1994. cita de Paul Virilio, Estética de la Desaparición. Comunicaciones, Buenos Aires, 1989, pg 69.
8. PROPUESTA PARA DESARROLLO DE PROGRAMAS DE EDUCACIÓN ARTÍSTICA (ARTES
    PLÁSTICAS) PARA PRE-ESCOLAR, BÁSICA PRIMARIA, BÁSICA SECUNDARIA, MEDIA Y
                 CICLO COMPLEMENTARIO DE FORMACIÓN DOCENTE
      PRE             JARDIN          TRANSICIÓN            1º 2º            3º 4º 5º           6º 7º            8º 9º         10º 11º         I       II        III     IV        V       VI
    JARDIN
                                                                                                                                             APLICA   APLICA   APLICA   APLICA   APLICA   APLICA
  GARABATEO         GARABATEO              PRE-               PRE-       ESQUEMATISMO       PRE-REALISMO       REALISMO     PERTENENENCIA
                                     ESQUEMATISMO       ESQUEMATISMO                                                           ARTÍSTICA
     2-4 AÑOS          2-4 AÑOS          4-7 AÑOS          4-7 AÑOS           7-9 AÑOS         9-12 AÑOS          12-14     14 EN ADELANTE    2-4     4-7      7-9      9-12     12-14    14…
APRESTAMIENTO     APRESTAMIENTO     INICIO        DE   INICIO       DE   ESQUEMAS          EXPRESIÓN          EXPRESIÓN    ASIMILACIÓN DE
FISICO DOMINIO    FISICO DOMINIO    ESQUEMAS           ESQUEMAS          FIGURATIVOS,      GRÁFICA       DE   GRÁFICA DE   TÉCNICAS
MOTRICIDAD FINA   MOTRICIDAD FINA   FIGURATIVOS        FIGURATIVOS       LINEA DE BASE,    INICIOS       DE   SOCIALIZA-   ARTÍSTICAS
                                                                         VISTA DE RAYOS    SOCIALIZACIÓN      CIÓN
                                                                         “X”,
                                                                         REBATIMIENTOS




   La propuesta de Música, se adapta a los dos años de trabajo que se hace en la Básica Secundaria, ya que el cambio continuo que se hace al docente de artística, no permite ningún
   seguimiento.
9. METODOLOGÍA
       Implementar estrategias metodológicas y experiencias de aprendizaje que permitan el desarrollo de estructuras de pensamiento, implícitas en las competencias, relacionadas con la
       interpretación, la argumentación y la capacidad propositiva mediante acciones lúdicas, en las que se contengan procesos de pensamiento u operaciones lógicas.

       Dentro de las estrategias metodológicas que se plantean, se busca abrir espacios que permitan contemplar el universo circundante donde el alma del estudiante aflore; contemplar el
       mundo interno de cada uno y sacar esas imágenes, esas evocaciones, sensaciones, emociones y sentimientos para poder desarrollar la imaginación y la capacidad de selección de
       alternativas, en la solución de los problemas.

       En el campo musical, se parte del principio pedagógico que contempla al niño o niña como elemento activo de su aprendizaje, procurando atender a sus necesidades en el campo de
       la lúdica, de la experimentación, de la manipulación y de la motricidad, donde la vivencia sensorial es importante para adquirir un buen nivel de percepción, comprensión y
       expresión. Las propuestas se basan en la educación del oído, el movimiento y la creatividad.

       Como lenguaje, se trata la música desde su vertiente intelectual, lúdica y comunicativa, potenciando la inteligencia, la sensorialidad y la emoción.

       Como docentes en el área de Educación Artística, se tiene claro que se deben garantizar climas de confianza y respeto, donde el estudiante se sienta seguro y pueda expresar, sacar
       de su ser, la experiencia vivida, el mundo contemplado que desea socializar con el otro, con el fin de detectar debilidades y fortalezas. Esto implica “una pedagogía de la acción que
       comprende un contrato social colectivo, en busca del pleno desarrollo de la personalidad, de libertad fundamental, comprensión, tolerancia y respeto por la diversidad mediante la
       creación de un contexto óptimo para el crecimiento de la prestación del servicio educativo. La creación de un contexto apropiado, exige como lo presenta Tortel, una pedagogía que
       ponga acento sobre la expresión global del niño mediante exposiciones intelectuales y estéticas, mediante un llamado a lo racional y a lo imaginario, a la sensibilidad, la
       espiritualidad, a la expresión, a la técnica y a la producción”21

       Eduardo López Vergara, manifiesta que cuando una persona no es tenida en cuenta, es ignorada o se siente física o psicológicamente maltratada, se angustia, se deprime, siente rabia
       y se mantiene alerta para defenderse o atacar: “Es difícil, sin embargo, lograr el disfrute estético, expresarse con libertad, ser intuitivo y expresivo, dominar equilibrada y
       armoniosamente las propias expresiones cuando la persona se siente ignorada, descalificada o agredida”. Las energías creativas se frenan, se esconden en ambientes
       amenazantes.




21
     Lineamientos Curriculares. Orientaciones curriculares Pág 83-84
9.1 ESTRUCTURA DE LA METODOLOGÍA Y DE LAS ESTRATEGIAS EN LOS PROCESOS DE EDUCACIÓN ARTÍSTICA: comprenden aspectos conceptuales: teorías, conceptos y procedimientos, con
     una introducción al tema, contenido o actividad, es decir, se contemplan las siguientes preguntas:
                  Qué se ha de aprender, conocer y estudiar                                                               Recursos materiales
                  Cómo se puede descubrir, expresar y comprender con la praxis                          Método expositivo
                  Cuándo y cómo se va a realizar                                                                          Recursos visuales

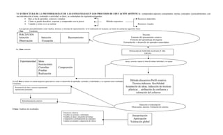
        Los aspectos procedimentales como medios, técnicas y sistemas de representación, en la realización de la praxis, se tienen en cuenta las siguientes fases:
       1 fase       Estudiante
     XI.      RECURSO
        PERCEPCIÓN                                                                                                                                               Docente
        Atención                       Intuición                      Razonamiento                                                                  Fomento del pensamiento creativo
        Observación                    Evocación                                                                                                   Fomento del aprendizaje divergente
                                                                                                                                            Estimulación y desarrollo de aptitudes-capacidades


    La 2 fase consiste:
                                                                                                                                                      PEDAGOGÍA INDIVIDUALIZADA Y DEL
                                                                                                                                                                   GRUPO



          Espontaneidad           Ideas                                                                                                         Apoyo, asesoría, respeto al ritmo de trabajo individual y en equipo
                                  Asociaciones
                                  Consultas               Comprensión
                                  Pruebas
                                  Realización

En la 3 fase se tienen en cuenta aspectos apreciativos como el desarrollo de aptitudes, actitudes y habilidades y se exponen unos resultados:       Método discursivo-Perfil creativo
Estudiante                                                                                                                                           Técnica indirecta: flexibilidad
   Presentación de ideas y proceso experimental.                                                                                                Aceptación de ideas, inducción de técnicas
   Aportaciones personales                                                                                                                        plásticas… atribución de confianza y
                                                                                                                                                         valoración del esfuerzo


             Retroalimentación colectiva

                                                                                                                                                                  Inducción a la descripción
                                                                                                                                                         Observación, asesoría. Formación de criterios
4 fase: Análisis de resultados
                                                                Valoración colectiva:
                                                                Variables en actitudes y habilidades
                                                                Variables en ideas y desarrollo del trabajo
                                                                                                                                                        Interpretación
                                                                Comprensión y profundización de contenidos                                               Apreciación
                                                                Cambios en actitudes y adquisición de valores
                                                                                                                                                       Valoración global
10. CRONOGRAMA DE ACTIVIDADES DEL ÁREA
En R.A, no ha habido espacios de diálogo para realizarlo. Pendiente


                                                                              11. RECURSOS
HUMANOS: Estudiantes, Docentes, Padres de familia (comunidad educativa)

FISICOS: 3 Aulas que sean tan grandes como la sala de profesores de secundaria, para música, artes plásticas y ayudas educativas, ya que la cantidad de estudiantes de la I.E.N.S. de
Sincelejo, así lo requiere; grabadoras con MP3…, sillas, mesas, estantes con seguros, Televisores, video beam, computadores, C.D. de música colombiana, entre otros.

LOGÍSTICOS: Recursos económicos, 2 salas de audiovisuales, una media torta…


                                                           12.        CRITERIOS DE EVALUACIÓN
Partiendo de un Modelo Social Reflexivo y un enfoque crítico mediado por la comunicación donde se pretende formar una persona con una conciencia crítica, autónoma, reflexiva,
que sea productiva, rico en habilidades comunicativas (hablar, escuchar, leer y escribir), que se desempeñe armónica y eficientemente en cualquier contexto, el Decreto 0230 de febrero
11 del 2002, Cap II Evaluación y Promoción de los Educandos… y la ley 115 de 1994, Título I: Disposiciones Preliminares, Artículo 1.- Objeto de la Ley que dice: “Si la educación es
un proceso de formación permanente, personal, cultural y social que se fundamenta en una concepción integral de la persona humana, de su dignidad, de sus derechos y de sus deberes”
el sistema educativo debe proponer procesos evaluativos coherentes con este enfoque del ser humano buscando integrar, todas las áreas y actividades programadas en la escuela Cabe
preguntarse: ¿Qué se evalúa?, ¿A quién se evalúa?, ¿Para qué se evalúa? ¿Cuándo se evalúa? y ¿Cómo se evalúa?

A partir del segundo interrogante, hay que abrir espacios de negociación o mediación puesto que se valora el estado de desarrollo y de aprendizaje del estudiante, es decir, el estado de
sus dimensiones y la contribución de los procesos propuestos por el área para el desarrollo de éstas tanto a nivel individual como colectivo. Entonces, cada proceso propuesto en el área,
proceso de desarrollo del pensamiento contemplativo, proceso de desarrollo del pensamiento simbólico, el proceso de desarrollo del pensamiento reflexivo y el proceso de
desarrollo del pensamiento valorativo, propone los logros como referentes para diseñar la evaluación. Pero no pueden ser evaluados en forma aislada.

Hay que precisar que el referente es el logro pero el objeto de la evaluación es el desarrollo integral del estudiante y es él quien debe asumir paulatinamente la evaluación como parte de
su proceso formativo. Los indicadores señalan aproximaciones a los logros esperados. En artística se puede observar y aproximarse a valorar: la autenticidad en un gesto, en un
movimiento corporal, el incremento de la imaginación fantástica; de la libertad para asociar ideas, de la capacidad de visualizar imágenes y de concebir formas expresivas mediante la
expresión artística, el goce que el estudiante transmite cuando juega, se expresa y crea artísticamente.
EL INCREMENTO EN LOS REGISTROS SENSORIALES

         El incremento en el desarrollo de habilidades comunicativas, creación de expresiones metafóricas y simbólicas
         El uso imaginativo de materiales y el dominio progresivo de técnicas;
         Observar cambios y desarrollos según la etapa evolutiva, los estados anímicos, por contraste con los miembros del grupo y teniendo en cuenta el contexto sociocultural.
         El enriquecimiento de nociones, la profundidad de los conceptos
         El incremento de su capacidad de selección, cuando desarrolla un gusto particular y un estilo propio, cuando emite juicios sobre la calidad de sus acciones y del mundo al que
         pertenece, de manera auténtica, según la escala de valores que tiene su comunidad y por contraste con valores universales
         Sus aportes a la vida cultural escolar; su participación en la vida comunitaria

  El maestro es el orientador de las actividades para desarrollar los procesos curriculares, pero debe abrir unos espacios de negociación con respecto a la evaluación, para analizar los
  compromisos adquiridos. En estos espacios de negociación la posibilidad de rajarse no existe, ya que existe la necesidad de cumplir los acuerdos…leer (la evaluación desde la crítica
  del arte).
  El área de Educación Artística propicia la actitud y el pensamiento crítico y de allí surge la posibilidad de desarrollar en los estudiantes las competencias propias de la conciencia
  crítica que valor las cosas y los procesos sin la presión de las calificaciones.

  ¿Cuáles son los pasos seguidos por muchos críticos para valorar un producto artístico?
          Observar la obra
          Describir la obra
          Interpretar la obra
          Realizar un juicio de valor

  Los cuales se pueden realizar individualmente o en equipos y darlos a conocer para intercambiar opiniones y valoraciones. Cuando la evaluación tiene este enfoque, exige que los
  evaluadores tengan conocimiento de aquello que van a evaluar, que escuchen diversas formas de apreciar el arte y que aprendan a valorar la diversidad de comprensiones que existen
  en torno a él. Este tipo de evaluación permite a todos los participantes en el proceso educativo se interesan más por el papel formativo de la evaluación.

  La autoevaluación, es realizada en forma individual o colectiva, verbal o escrita recoge paso a paso, la reflexión referenciada a la aproximación a los logros, las dificultades
  enfrentadas y sugerencias para el desarrollo de sí mismo y para el desarrollo del mismo proceso.

  La evaluación analítica compartida por el maestro y sus estudiantes o lo que es lo mismo la co-evaluación, le da al docente la oportunidad de lograr propuestas cada vez más
  adecuadas a los intereses sentidos por los alumnos, a su nivel evolutivo, a sus necesidades sociales y culturales. Refuerza la dinámica de su interacción. Da la oportunidad de
  proyectarse como gestor cultural y da a su práctica un carácter investigativo.

  La heteroevaluación que el docente hace de procesos y estadios de adquisición de conocimientos y habilidades por parte del alumno cumple un papel psicosocial importante: por
  una parte el maestro debe tener un criterio objetivo para ayudar al alumno a plantearse problemas artísticos prácticos y conceptuales; por otro, este tipo de evaluación compromete al
estudiante con el bagaje cultural heredado, lo ayuda a encontrarse con otros en universos simbólicos similares, enriquece la memoria, da seguridad a los educandos, pero también les
da la oportunidad de activar los conocimientos de saborearlos, de relacionarlos, de cualificar su práctica y de producir sus propias obras.

En conclusión, evaluar los procesos y no solo los resultados, es como se concibe la Educación Artística. Esto exige redefinir el concepto de evaluación tales como dejar de lado la
estricta evaluación de los conocimientos y pasar a evaluar la actuación expresiva. Evaluar no solo el saber, sino el sentir y el saber hacer. Ello implica evaluaciones constantes de
carácter cualitativo: hetero-evaluaciones, auto-evaluaciones, co-evaluaciones.

¿Cuál es la finalidad de la evaluación? Conocer el proceso de desarrollo del estudiante de manera integral:
   • Características personales, intereses, ritmos y estilos de aprendizaje
   • Potencialidades, talentos y habilidades especiales
   • Dificultades, deficiencias y limitaciones
   • El autoconocimiento y autovaloración personal
   • Toma de decisiones, así como asumir responsabilidades y compromisos
13.        PROYECTOS OBLIGATORIOS Y PEDAGÓGICOS
   A. P. Obligatorio nombre         objetivos             Área    disciplina           responsables
   B. P. Pedagógico nombre          objetivos             Área    disciplina           responsables

                                                                            PROYECTOS OBLIGATORIOS
Sustentados en la Ley 115 de 1994, Art. 14. Enseñanza Obligatoria.
“Aprovechamiento del tiempo libre, fomento de las diversas culturas, la práctica de la Educación Física, la Recreación y el Deporte Formativo.

                 NOMBRE                                          OBJETIVOS                             AREA Y/O DISCIPLINAS                      RESPONSABLES




                                                                               PROYECTOS PEDAGÓGICOS
                 NOMBRE                                          OBJETIVOS                        AREA Y/O DISCIPLINAS                           RESPONSABLE
14.        BIBLIOGRAFÍA
MEN. Lineamientos Curriculares Educación Artística. Áreas obligatorias y fundamentales. Santafé de Bogotá D.C. Julio de 2000

PEI. Proyecto Educativo Institucional. Normal de Sincelejo

ECHEVERRÍA, Adriana. Fuentes M. Álvaro… Actividades de Expresión Artística. U. Pamplona

Manual de la Educación. Océano Didácticas específicas de las Artes Plásticas y , de la Música

Ley General de la Educación

Aportes Pedagogías artísticas. Dimensión Educativa, Colcultura

Manual de la Educación. Didáctica de las Artes Plásticas, Música.

Registro de Asistencia y Evaluación por procesos Decreto 0230 de febrero 11 del 2002

Recibido por: ……………………………………….

Fecha:……………………………………………….

Este Plan de área, puede ser resignificado constantemente. Lo que hoy piensa uno que es, mañana puede ser o no ser, lo que se interpreta hoy, mañana puede verse con mayor
claridad.

El hombre tiende hacia la perfectibilidad: Rouseau

El Plan de área es una propuesta presentada al equipo de Artística por Esther M. Fuentes y resignificada en equipo

Digitadora: Esther Margarita Fuentes Julio

Jefe de Área: Esther M. Fuentes J.

Plan De Area Artistica Ienss

  • 1.
    INSTITUCIÓN EDUCATIVA NORMALSUPERIOR DE SINCELEJO “LA PEDAGOGÍA NUESTRA RAZÓN DE SER” PLAN GENERAL DE AREA 2009 El cultivo y el desarrollo de nuestros sentidos es una parte importante de la experiencia artística. Esto es de vital importancia, pues la alegría de vivir y la capacidad para aprender pueden depender del significado y la calidad de las experiencias sensoriales”. Víctor Lowenfeld – W. Lambert Brittain
  • 2.
    1. IDENTIFICACIÓN NUCLEO DISCIPLINAR:Expresión y Comunicación? AREA: Artística JEFE DE AREA: Esther Margarita Fuentes Julio JEFE DE NUCLEO: Dora Hernández LENGUAJES: Artes Plásticas, Música, Danza, Ayudas Educativas DOCENTES: Muleth Mieles Maria del Carmen, Romero Paternina Leonor Isabel, Salgado Montes Rosa del Cristo, Meza Bohórquez Arlet, Fuentes Julio Esther Margarita. DISTRIBUCIÓN DEL TIEMPO: 2 horas semanales para los grados, 6,7,9; 3 horas semanales para 8º; 1 hora semanal para 10º y 11º DISTRIBUCIÓN DE PERÍODOS ACADÉMICOS: I período del 26 de enero al 3 de abril = 10 semanas; II período 13 de abril al 19 de junio = 10 semanas; III período: 13 de julio al 18 de septiembre = 10 semanas; IV período: 21 de septiembre al 4 de diciembre = 10 semanas
  • 3.
    2. DIAGNÓSTICO La InstituciónEducativa Normal Superior de Sincelejo, considera indispensable, la educación artística para el desarrollo integral del estudiante y se toman algunos lenguajes de la Artística, como son las artes plásticas, la música, la danza y las ayudas educativas, implementadas de la siguiente forma: a los estudiantes de los grados 6 y 7 de la jornada matinal, se les orienta las artes plásticas; en los grados 8 y 9 continúan su formación en artes plásticas, en un mayor grado de complejidad y los grados 10 y 11 complementan su formación con las ayudas educativas. En la jornada vespertina, los estudiantes de los grados 6 y 7 reciben música, danza, los grados 8 y 9 artes plásticas. Hay que anotar, que los estudiantes de la jornada vespertina, cuando pasan a 10, y 11 en la jornada matinal, complementan su formación, con ayudas educativas. Hay que aclarar de la jornada matinal del año 2009, aspectos importantes como los siguientes: algunos grados han tenido la oportunidad de ver música y danzas, siendo el caso el de los grados 6:C, 6D, 6E, 8:A, 8B, 8C, 8D, 8E, 8F, los cuales al llegar a 10 y 11 tienen el ciclo completo en varios lenguajes. Surge la pregunta: ¿Qué ocurre con los estudiantes de 6A, 6B, que no han pasado por el lenguaje de la música y danzas?, ¿Cómo se pueden nivelar a esos estudiantes?, ¿Qué se puede hacer para que los estudiantes reciban esos lenguajes faltantes? ¿Qué debilidades se presentan en cuanto a la planta física de Artística, en la IENS de Sincelejo? No se tienen aulas grandes, donde 40, 42, 44, 46, 48, 50 estudiantes puedan moverse al ritmo de la música y las artes plásticas, con libertad, el espacio de cada aula es pequeño, y se presentan problemas de orden público como golpes, tropezones, insultos, faltas de respeto…en fin, el espacio no es el adecuado; segundo, se carece de grabadoras con MP3 o sin MP3. No se cuenta con una sala dotada de la tecnología, para ver un video en Artística, ya que las solicitudes se hacen y no se abren los espacios, la respuesta es la misma: está ocupado el recurso, …; tercero en algunas aulas el problema se presenta en los enchufes, ya que las aulas los tienen, pero sucede lo siguiente: por ejemplo, el grado 6:1 de la jornada vespertina, tiene enchufes, pero sin corriente; el grado 7:F tiene un enchufe, que representa un peligro para los estudiantes, puesto que las “paticas” están al aire libre, peladas. Si nos vamos a las aulas que quedan al lado de Bienestar y la oficina de calidad, frente a la cancha de primaria, desde el año 2007,…esos enchufes no sirven. El aula que queda al lado de los baños, sirve siempre y cuando el maestro tenga cinta, para ajustar el enchufe y que no se mueva, siendo conocedor del problema el técnico,(padre del estudiante Juan Carlos del grado 8:1) y el Sr Silvio. En fin, cada aula tiene una historia, un enchufe, un abanico, unos cables, una luz, por arreglar y las cosas se mantienen como en Macondo. No se cuenta con recursos económicos disponibles, la austeridad es la compañera inseparable del Área. Al docente de Artística, no se le invita a recibir cursos, talleres, seminarios o diplomados de actualización en el campo artístico; es más, el área cuenta con una gran fortaleza, ya que goza de una recurso humano disponible en la disciplina de música, y no se tiene en cuenta su perfil para que se desempeñe en la Básica primaria, negándole al estudiante vivir experiencias significativas con el gran maestro. Otro de los problemas que se presenta en el área de Educación Artística, tiene que ver con la poca continuidad en el proceso artístico entre preescolar, básica primaria, secundaria y media por la falta de comunicación. Hay que anotar, la carencia de recursos económicos por parte de los estudiantes, impide muchas veces, la realización de sus talleres, ya sea por falta de iniciativa (transcribir la guía en el cuaderno), o por otros motivos como la pereza, la anemia, o el factor internet lo entretiene con sus juegos. El desconocimiento que se tiene acerca de la importancia del arte en la formación integral del ser…
  • 4.
    3. MARCO REFERENCIAL 3.1JUSTIFICACIÓN El Área de Educación artística es importante, porque permite orientar al estudiante y hacerlo disfrutar de la experiencia artística, en una forma libre, estimulando la percepción minuciosa, sensible y contemplativa de sí mismo y del contexto. Pretende que él involucre su inconsciente y lo comprenda, y llegue a expresarse creativamente, organizando, seleccionando, clasificando la información interna y externa y conjugarla, para comunicarse de acuerdo a los códigos y lenguajes de la cultura que le permitan reconocerse como ser social. Promueve la interacción entre la Institución y las diferentes expresiones culturales del mundo externo, de ese mundo que se presenta intocable y es el mundo donde se mueve el estudiante. El mundo del campo artístico, es único y le permite al estudiante encontrarse a sí mismo, como persona única e irrepetible; acceder al conocimiento y recrearlo; le permite invadir todas las áreas del conocimiento. La formación artística adquiere su sentido en la formación de sujetos en el arte como patrimonio cultural y en el desarrollo de las habilidades y destrezas artísticas de los sujetos para expresar desde su propia subjetividad su momento vital, en su transcurrir humanizante a través de formas creativas, estéticas, que le permitan asumirse como capaz de apropiarse de lo real mediante el disfrute de lo bello a la vez que proyecta la conciencia de su experiencia de la belleza, en cuanto armonizadora del ser y del conocer, mediante el saber y sus posibles manifestaciones. Las artes son principalmente herramientas de comunicación entre las gentes, como lo son la lectura, la escritura, la pintura, la escultura, los textiles, así como la danza y la poesía, son lenguajes que dan posibilidades alternativas de entendimiento; son maneras de comunicar ideas que enriquecen la calidad de vida, medios para canalizar y transformar expresivamente la agresividad connatural al ser humano. Las artes le dan al hombre la posibilidad de superar los golpes como medio de expresión, de elaborar duelos y superar la violencia. La educación artística, es fundamental en la “sensibilización de los sentidos” de la visión, del tacto y del oído para el control de la sensorialidad del cuerpo y de la mente. La memoria y la imaginación del estudiante son estimuladas para articular lo visto, los oído, lo palpado por medio de imágenes reales o poéticas que ayudan a descifrar y a interpretar el mundo real, que se “en blanco y negro” cuando falta este enriquecimiento de la sensibilidad que dan las artes. La Artística cumple funciones educativas y humanizantes, ya que propende por una persona estudiante que interactúe y conviva con el otro en forma armónica y contiene competencias ideológicas, cognoscitivas, estéticas, sociales, entre otras. El hombre en contacto con el fenómeno artístico se instruye y a la vez se educa y libera, lo cual exige preparación, sensibilidad y creatividad, para poder comprenderlo.1 La educación artística es importante, porque busca que el estudiante maneje diferentes competencias como la perceptiva, la creativa, la expresiva, la técnica, la estética, la ideológica, y la social, en las cuales tiene que moverse, para mostrar conocimientos, actitud, aptitud, habilidades y destrezas en los diferentes lenguajes que conozca. 1 SÁNCHEZ ORTEGA, Paula. MORALES H. Xiomara. Educación musical y expresión corporal. Editorial Pueblo y Educación . Cuba. Pág 7
  • 5.
    3.2 FUNDAMENTO LEGAL Ley115/94 Art 23. Áreas obligatorias y fundamentales (Educ. Artística); Dec 0230 Art 3 Plan de Estudios La Educación Artística, posee un marco legal señalado desde la Ley General de la Educación: Ley 115 de 1994. El Plan de Estudios, está sustentado en el Art 79, que dice: “es el esquema estructurado de las áreas obligatorias y fundamentales y de áreas optativas con sus respectivas asignaturas, que forman parte del currículo de los establecimientos educativos. En la educación formal, dicho plan debe establecer los objetivos por niveles, grados y áreas, la metodología, la distribución del tiempo y los criterios de evaluación y administración, de acuerdo con el PEI y con las disposiciones legales vigentes”. Plantea en su Artículo 5. De conformidad con el artículo 67 de la Constitución Política, la educación se desarrollará atendiendo a los siguientes fines: 1. trabajar por el “libre desarrollo de la personalidad, por un proceso de formación integral desde lo físico, intelectual, afectivo, social, moral, psíquico, cívico y demás valores humanos”. 2. La formación en el respeto a la vida y a los demás derechos humanos, a la paz, a los principios democráticos, de convivencia, pluralismo, justicia, solidaridad y equidad, así como en el ejercicio de la tolerancia y de la libertad. 3. La formación para facilitar la participación de todos en las decisiones que los afectan en la vida económica, política, administrativa y cultural de la Nación. 4. La formación en el respeto a la autoridad legítima y a la ley, a la cultura nacional, a la historia colombiana y a los símbolos patrios. 5. La adquisición y generación de los conocimientos científicos y técnicos más avanzados, humanísticos, históricos, sociales, geográficos y estéticos, mediante la apropiación de hábitos intelectuales adecuados para el desarrollo del saber. 6. El estudio y la comprensión crítica de la cultura nacional y de la diversidad étnica y cultural del país, como fundamento de la unidad nacional y de su identidad. 7. El acceso al conocimiento, la ciencia, la técnica y demás bienes y valores de la cultura, el fomento de la investigación y el estímulo a la creación artística en sus diferentes manifestaciones. 8. La creación y fomento de una conciencia de la soberanía nacional y para la práctica de la solidaridad y la integración con el mundo, en especial con latinoamérica y el Caribe. 9. El desarrollo de la capacidad crítica, reflexiva y analítica que fortalezca el avance científico y tecnológico nacional, orientado con prioridad al mejoramiento cultural y de la calidad de la vida de la población, a la participación en la búsqueda de alternativas de solución a los problemas y al progreso social y económico del país. 10. La adquisición de una conciencia para la conservación, protección y mejoramiento del medio ambiente, de la calidad de la vida, del uso racional de los recursos naturales, de la prevención de desastres, dentro de una cultura ecológica y del riesgo y la defensa del patrimonio cultural de la Nación. 11. La formación en la práctica del trabajo, mediante los conocimientos técnicos y habilidades, así como en la valoración del mismo como fundamento del desarrollo individual y social. 12. La formación para la promoción y preservación de la salud y la higiene, la prevención integral de problemas socialmente relevantes, la educación física, la recreación, el deporte y la utilización adecuada del tiempo libre, y 13. La promoción en la persona y en la sociedad de la capacidad para crear, investigar, adoptar la tecnología que se requiere en los procesos de desarrollo del país y le permita al educando ingresar al sector productivo. El Capítulo 1. Correspondiente a las Disposiciones comunes, Artículo 22 Objetivos específicos de la educación básica en el ciclo de secundaria, item k) reza: “La apreciación artística, la comprensión estética, la creatividad, la familiarización con los diferentes medios de expresión artística y el conocimiento, valoración y respeto por los bienes artísticos y culturales”. La Resolución 2343 del 5 de junio de 1966, establece los indicadores de logros específicos para la Educación Formal, atendiendo a la particularidad de cada PEI, en los términos del Art 73 de la Ley 115 de 1994. El Art 9 plantea el alcance de los Indicadores de logros curriculares por conjuntos de grados…El Art 10 comprende los Conjuntos de Grados. Para efectos de los dispuesto en el literal a del artículo 9 de esta Resolución, los grados de la educación formal se estructura asÍ: Conjunto de los grados del nivel preescolar; Conjunto de los grados, 1,2,3 del nivel de la educación básica primaria ; el conjunto de los grados 4,5, 6 del nivel de la educación básica; El conjunto de grados 7,8,9 del nivel de la educación media. Los lineamientos curriculares, contemplan los aportes que hace la Rectora del CEINAR de Neiva, quien revela su comprensión integral de todos los campos de la Educación Artística: Competencias claves en el desarrollo cognitivo a partir de la Educación. Artística en el cual escribe: “El propósito de enseñar a pensar es el de preparar a los alumnos para que, en el futuro puedan resolver problemas con eficacia, tomar decisiones bien meditadas y disfrutar de toda una vida de aprendizaje”… La educación en las artes perfecciona las competencias
  • 6.
    claves del desarrollocognitivo como son: La percepción de relaciones, atención al detalle, promoción de la idea de que los problemas pueden tener muchas soluciones y las preguntas muchas respuestas, desarrollo de la habilidad para tomar decisiones en ausencia de reglas, la imaginación como fuente de contenido, la habilidad para visualizar situaciones y predecir lo que resultaría de acuerdo con una serie de acciones planeadas, la habilidad para desenvolverse dentro de las limitaciones de un contexto, habilidad para percibir y enfocar el mundo desde un punto de vista ético y estético.2 3.3 FUNDAMENTO EPISTEMOLÓGICO ¿Cómo conoce el estudiante la Educación Artística? La Educación Artística se concibe como una herramienta pedagógica que permita ser fuente de conocimientos nuevos, que respondan dialógicamente a la diversidad cultural, social, étnica de los estudiantes de esta institución. Se concibe el arte como conocimiento posible de ser orientado, capaz de ser fuente de otros conocimientos. La experiencia artística hace posible una comprensión más compleja de la realidad al favorecer la producción de competencias interpretativas. Se le dará prioridad al método de análisis en el que la representación jugará un papel muy importante en el proceso. Por otro lado se complementará con la interpretación y la proposición en la creación de cada estudiante. Se fortalecerá la recuperación de la percepción, siendo conciente de la situación que se le presente, la forma de procesar la información y el sentido que le de. Se tendrá en cuenta que los conceptos en Artística, no se mantienen. La valoración artística de los objetos, es cambiante con el tiempo. El conocimiento del lenguaje artístico vincula al estudiante a una comunidad en la construcción social de sentido y es cuando se retoma a Vigotsky el cual entra a mediar en el lenguaje, ya que plantea que el conocimiento es de carácter social “Pensamiento, Lenguaje y Aprendizaje” donde se esbozan nuevas estrategias metodológicas en pedagogía de la lengua escrita, que vayan de lo general a lo particular, es decir, que se debe partir del discurso (o del todo) para llegar a la palabra (a las partes). ¿Qué clase de conocimiento? Todo tipo de conocimiento, partiendo del artístico se sabe que el arte tiene un carácter multifuncional, es decir realiza multitud de funciones:” introduce la armonía en las emociones del individuo; proporciona placer (función hedonista: el placer no es obligatoriamente elemental, puede estar paradójicamente relacionado también con emociones trágicas); ejerce el contacto de las almas y el contagio del sentimiento” (Tolstói: función comunicativa); proporciona la “purificación, refleja la vida (función cognoscitiva: el reflejo no es naturalista, sino creador, y por eso representa un acto de conocimiento); educa moralmente (función ética, moralizadora); permite sobrellevar en forma enajenada las emociones, sofocadas por el censor interno, y por eso libera de los conflictos internos y de las neurosis que éstas ocasionan (Freud: género de “inoculación emocional”)”3. Bruno Bettelheim, dice en su ensayo de Educación Artística que una de las funciones del arte es la de “guiar al individuo hacia una visión personal del mundo y de su lugar en él” En la producción artística, se ponen en juego experiencias, emociones, conocimientos previos, procesos de investigación, capacidades prácticas y teóricas en función de producir una obra y tanto Vigostki como Piaget, opinan que el juego es la base del acceso a los diferentes lenguajes. La realización de actividades de juego desarrolla la capacidad de inventar y el perfeccionamiento de estructuras cognoscitivas. Si el aprendizaje del estudiante está unido al juego se vuelve más atractivo, menos costoso, menos ansiógeno y más placentero. Entre menos estructurado es el juego, más posibilidades habrá de que cada cual aprenda a su ritmo. El juego refleja competencias comunicativas, cooperación, compañerismo y otras virtudes sociales.4 2 MEN. Lineamientos Curriculares Educación Artística. Santafé de Bogotá. D.C. julio de 2000. Pág 13-14 3 FEINBERG, Evgueni. El Arte y el Conocimiento (Discusiones). Pág 150 4 BONILLA, Baquero, Carlos Bolívar. La Lúdica como Actitud Docente. Revista Kinesis Nº 20
  • 7.
    3.4 FUNDAMENTO PSICOLÓGICO Setienen en cuenta los postulados de Howard Gardner, quien plantea que el arte es la base para potenciar la energía vital de lo educativo, por lo tanto, el educador debe desarrollar en sus estudiantes competencias estéticas con miras a construir proyectos pedagógicos que preparen al estudiante para el disfrute de lo artístico y aproveche los avances tecnológicos en creaciones artísticas para que la aplique en el campo educativo. Ortega Gasset dice: “para la psicología, la creatividad es bien, un producto o proceso interno del individuo, en el cual se genera un resultado original, relacionado con la interacción del hombre y sus circunstancias”. 3.5 FUNDAMENTO PEDAGÓGICO ¿Cuál es el tipo de estudiante que se desea formar en la I.E.N.S.S.,? Formar un hombre o mujer reflexivo, en un modelo social-reflexivo, exige un ser crítico del arte, de su historia… “Hoy se acepta que si bien el genio y el talento del artista suponen un factor natural, no obstante requieren la formación mediante el pensamiento, la reflexión, sobre su producción, así como la ejercitación y habilidad en el producir”. Dentro de las teorías pedagógicas, se encuentran las de C. Freinet: con su concepción pedagógica social-reflexiva, como esencia de un modelo social, siendo un teórico que hace parte del P.E.I. Paulo Freire: plantea que el hombre es consciente de su realidad y sujeto de su devenir histórico, es decir, él autoconstruye su propio devenir, o sea, el ser humano aprende haciendo; J. Piaget, con sus reflexiones en “Lenguaje y Pensamiento desde el punto de vista Genético”, donde plantea que la adquisición del lenguaje, se da en forma gradual y progresiva en el estudiante y que mediante él, se enriquece en el hombre el pensamiento y la capacidad para solucionar problemas. Lo que él denominó proceso de asimilación (del objeto por el sujeto) y acomodación (del sujeto al objeto)5, que corresponde al qué y al cómo se conoce; Ausubel “el aprendizaje debe ser una actividad significativa para la persona que aprende y dicha significatividad, está directamente relacionada con la existencia de relaciones entre el conocimiento nuevo y el que ya posee el alumno”6 La Educación artística pretende a través de estrategias pedagógicas, que el estudiante aproveche al máximo su inteligencia a partir de lo sensorial que promueve el desarrollo intelectual; de las operaciones externas pasa a resolver los problemas valiéndose de imágenes y es la inteligencia imaginativa la que caracteriza al estudiante en edad preescolar, pasándose a razonar con base en signos, es decir, el pensamiento lógico o abstracto, llegando a utilizar la palabra como un medio independiente del pensamiento que permite resolver problemas, asimilando los conceptos. 3.6 FUNDAMENTO SOCIOLÓGICO “El folklore puede ser factor esencial en la exaltación de los valores humanos, espirituales, sociológicos ya que nos vemos como extranjeros en un mismo país”.7 La cultura de un pueblo es su expresión propia. “El hombre, en sus relaciones con los demás seres manifiesta sus pensamientos y sus creencias por medio de palabras y de hechos. Las diversas maneras de hacerlo pueden ser las formas superiores o estructuradas del arte y de la ciencia, o bien las sencillas expresiones directas del pueblo. Para afirmar nuestra personalidad del país particular, distinguiéndolo de los demás por sus especiales características como núcleo humano, para exaltar nuestro patriotismo en forma consciente sobre las bases de un íntimo 5 PIAGET, Jean. Desarrollo 6 AUSUBEL, David. Psicología Educativa, un punto de vista cognitivo. México: Editorial Trillas, 1976 7 CORTÁZAR, Augusto Raúl. Andanzas de un folclorista. Editorial Universitaria de Buenos Aires, 1964. Pág 8
  • 8.
    conocimiento de lascualidades que nos dan fisonomía propia frente a los demás pueblos, nada más adecuado y racional que el estudio del folklore patrio”8. Entonces, tenemos que la Estética, certifica la artisticidad folk y el modo como la comunidad percibe y textualiza el mundo; la Semiología, decodifica los textos pertenecientes a la tradición; la Antropología revela la cultura de una comunidad, la tradición de los pueblos; la Pedagogía,es imprescindible, es la que permite la expresión de las otras tres disciplinas. El arte, valida el reflejo de lo que son los pueblos pues está demostrado que los pueblos más desarrollados fueron los que tuvieron mayor producción artística, basados en la tradición arquitectónica, literaria, pictórica, musical y es la Institución, la llamada a defender, reconocer, valorar, el patrimonio artístico y cultural de la nación, región y el mundo; fortalecer sus valores culturales a través de la Educación Artística, buscando el reconocimiento de nuestra identidad en otros contextos, y es el aula el lugar para promover el arte, para desarrollar las capacidades sociales de los estudiantes, empezar a infundir en ellos la autorreflexión, que facilite las formas de comunicación a través de la libre expresión; la autoestima, la autonomía, la responsabilidad. La Institución como un sistema complejo de comunicación, donde intervienen sentires y pensamientos que se expresan de diferentes formas, es el espacio en el cual se deben tener en cuenta los intereses, necesidades y expectativas del estudiante, donde las competencias pedagógicas de Habermas adquieren verdadera significación en la discusión racional, valiéndose del saber social y escrito decantado a través de la historia. (Desde la teoría comunicativa de Habermas, se plantea la posibilidad de un diálogo, mediado por la crítica argumentada, en donde la reflexión es fundamental para el cuestionamiento de creencias, prejuicios e ideologías.); Hay que anotar que en la interacción docente, estudiante, se rescatan y valoran los saberes de las dos partes que intervienen en la comunicación. ¿Qué impulsa al hombre a hacer arte? El historiador y sociólogo holandés Huizinga, plantea la motivación lúdica, donde el “homo Ludens” es el que juega entendiendo por juego todo aquello que se hace para pasar el tiempo y gastar energías sobrantes, después de haber hecho lo necesario9. El juego sería una de las grandes fuerzas creadoras de cultura, y el arte pudiera haber nacido de él como actividad espontánea. “Esta forma de juego que conduce naturalmente a la expresión artística en nuestros antiquísimos abuelos…” 3.7 FUNDAMENTO AXIOLÓGICO ¿Cómo actúa el hombre normalista? En el campo axiológico, se contempla la formación de un hombre “sensible”, para una sociedad en conflicto, fomentando aquellos valores éticos o morales, valores vitales, estéticos, socio-políticos, patrios, religiosos, valores educativos como la alta calidad pedagógica, científica e investigativa, en donde la libertad, la autonomía, la responsabilidad, la tolerancia, el respeto a la vida, el rescate de nuestra identidad cultural, cobran sentido. Un hombre que tenga confianza en si mismo, que valore su producción artística y la del otro, en actitud crítica, reflexiva; un hombre que tenga confianza en los demás y trabaje cooperativamente y colaborativamente; que valore su identidad cultural, que la escuche, que la sienta, que la viva y que la muestre. “El escuchar se convierte en la habilidad comunicativa primera en desarrollarse”. Atendiendo a Jackes D’elor quien entrega los 4 pilares fundamentales de la educación como son: el aprender a conocer, aprender a hacer, aprender a vivir juntos: (desarrollando la comprensión del otro y la percepción de las formas de interdependencia –realizar proyectos comunes y prepararse para tratar los conflictos- respetando los valores de pluralismo, comprensión mutua y paz; aprender a ser: (para que florezca mejor la propia personalidad y se esté en condiciones de obrar con creciente capacidad de autonomía, de juicio y de responsabilidad personal. En la medida que interactuemos los 4 pilares, el hombre que anda en busca de sentido, encuentra su autorrealización; a Habermas Jurgen, quien propone una “acción comunicativa altruista, llena de valores, donde se persigue la armonía, el encuentro mutuo (agenda institucional 2008-2010). 8 MORALES, Abadía Guillermo. Compendio General del Folklore colombiano. Talleres Gráficos Banco Popular. 1983. Pág 10 9 JOHAN Huizinga. Homo Ludens. Ámsterdam. 1939.
  • 9.
    3.8 FUNDAMENTO FILOSÓFICO Enel campo filosófico, se encuentra a Platón, con su teoría idealista en donde existen dos mundos: el mundo sensible o cambiante, el que se puede tocar, el tangible y por tener esta característica es el mundo imperfecto. Para él el arte se ubica en el mundo sensible, el que se puede tocar y es imperfecto. El otro mundo es el intangible, o sea el mundo supra sensible, eterno, o superior, que es perfecto, el mundo ideal. Para Jhon Looke, la verdad se basa en la experiencia, y los sentidos juegan un papel fundamental. El arte se ubica en el mundo de la experiencia. Diderot, Voltaire, D´lambert, la verdad se halla en las enciclopedias y la artística esta en la definición de lo intelectual. Si se retoma la experiencia, más las enciclopedias, se conjuga la teoría con la práctica y es lo que se busca en estos momentos, que el estudiante posea el conocimiento y lo sepa manejar en su cotidianidad. Para Kant, toda verdad debe llegar a los sentidos, pasa por el entendimiento y la verdad absoluta se encuentra en la razón (apriorismo). El conocimiento más puro se obtiene a través de la razón. Lo artístico lo ubica en la razón, la cual es ideal. Hegel, quien es idealista absoluto, manifiesta que no hay nada sensible, todo lo que existe es ideal y lo artístico busca lo ideal de lo bello. “El manejo del arte y de la estética por parte de la filosofía se ha visto alimentado por los trabajos realizados por los estructuralistas como Jean Piaget, Noam Chomski, Claude Levi Straus y por las escuelas de pensamiento que le siguieron, entre ellos se tiene a Howard Gardner, quienes buscan explicaciones sobre la estructura de la mente y del conocimiento. El trabajo de Piaget sobre la epistemología genética, deja sus estudios sobre los estadios para llegar al desarrollo del pensamiento hipotético deductivo y por lo mismo las condiciones propicias para una inteligencia que hace posible la estructura de la ciencia en la mente de los sujetos según su desarrollo cronológico y mental; Levi Straus desde su indagación por el arte y por la identidad específica de la cultura, establece la expresión de sentido de lo cultural propio de cada una de las etnias, donde la expresión de lo artístico tiene que entenderse como la expresión necesaria de la diferencia entre una cultura y otra por comparación con la estructura general… Los aportes de estos investigadores en el campo filosófico sobre el problema de la comprensión de lo artístico, son trasladados y estudiados en el campo psicológico, y a partir de aquí, individualmente siguen la investigación. Ernest Cassirer, filósofo alemán plantea, que el hombre es por naturaleza un animal simbólico, la realidad física parece retroceder en relación directa con la actividad simbólica del hombre, el hombre está constantemente dialogando consigo mismo. “El hombre se ha envuelto hasta tal punto en formas lingüísticas, imágenes artísticas y símbolos míticos o prerrogativas religiosas, que no puede ver ni conocer nada si no es la con la mediación de este instrumental. La menta humana, fortalecida por los símbolos, viene a recrear el mundo físico en su propia imagen simbólica”. 3.9 FUNDAMENTO ANTROPOLÓGICO ¿Qué impulsa al hombre a hacer arte? La motivación estética. Sostienen algunos antropólogos e historiadores, pero sobre todo numerosos estetas, que el hombre del Paleolítico gozaba ya de cierto sentido estético y de una capacidad de satisfacerse con las formas. Kart J. Narr escribe “No se puede negar al artista de aquella época un verdadero placer en la satisfacción de sus necesidades estéticas y de sus impulsos creadores”; y Teilhard de Chardin, refiriéndose al mismo tipo humano afirma que “traía consigo ciertos gustos estéticos y un talento ya probado”10 Para el hombre prehistórico, el arte (no era arte para él) era una mediación mágica: animal pintado, era animal muerto en cacería. Para el hombre griego, el arte (que no era arte para él y solo incluía la poesía y la música) era símbolo de habilidad y de belleza social de sus ciudades-estados. Para el hombre Medieval, el arte (que tampoco era considerado arte para él) estaba al servicio de la belleza divina. ¿En que fundamento ubico a éstos genios del arte? Ojo buscar en Internet. Para Karl Roger la creatividad “es la elaboración activa de un producto nuevo, de la relación entre lo individual de la persona y los materiales, acontecimientos, hombres y circunstancias de la vida”. 10 TEILHARD de Chardin. La Aparición del hombre. Madrid 1958
  • 10.
    Martín Barbero (1994),manifiesta: La educación artística nos permite conectar “los cambios en las condiciones del saber con las nuevas maneras de sentir, de la sensibilidad y ambos con nuevos modos de juntarse, esto es, con nuevas figuras de la socialidad”, y reelaborar las complejas relaciones entre las culturas locales y los procesos nacionales e internacionales, entre la individualidad y la masificación, entre la tradición y la innovación, lo cual implica asumir una perspectiva multicultural desde el comienzo de la educación artística, aunque enraizada en lo local. En fin, ser educado en la artística, significa utilizar símbolos, leer imágenes complejas, comunicarse creativamente y pensar en soluciones antes no imaginadas, abriéndose a la diversidad. 3.10 FUNDAMENTO LINGÜÍSTICO Dentro de las teorías del Desarrollo del Pensamiento y Lenguaje, encontramos las reflexiones de Piaget en “Lenguaje y pensamiento desde el punto de vista genético”, nos muestra como la adquisición del lenguaje, se da en forma gradual y progresiva en el estudiante y que mediante él, se enriquece en el hombre el pensamiento y la capacidad para solucionar problemas. Bruner en “Acción, Pensamiento y Lenguaje”, plantea que el educador se debe tener claro los distintos discursos y hacerlos diferenciar a los estudiantes en el aula de clases, los cuales van desde lo narrativo, descriptivo, expositivo, hasta lo argumentativo, de acuerdo al grado de particularidad y abstracción de los mismos. Noam Chomski (Competencia lingüística): desde la lingüística estructural plantea la búsqueda sistemática de las relaciones entre el lenguaje y el conocimiento; para él, el conocimiento y el lenguaje tienen una estructura única y natural que potencia la mente, la predispone para el lenguaje y la determina como fuente de la comprensión lingüística, activada por la experiencia de lo real. D. Hymes desde la sociolingüística lanza una crítica al concepto chomskiano de competencia lingüística para señalar que el conocimiento del hablante no se reduce a las reglas que definen la gramática de la lengua, sino que también es un conocimiento situado, es decir, un conocimiento que supone un contexto social particular. Este pensamiento es bastante compatible con los postulados de la psicología histórico-cultural, siendo su mejor representante Vigotsky. La formulación chomskiana es la siguiente: “La lengua es generada por un sistema de reglas y principios que entran en computaciones mentales complejas para determinar la forma y el significado de las oraciones” (Chomsky, 1983). Los planteamientos de Vigotsky en Pensamiento, Lenguaje y Aprendizaje”, trazan nuevas estrategias metodológicas, que vayan de lo general a lo particular, o sea, partir del discurso (o del todo) para llegar a la palabra (a las partes). Dentro de las teorías del Discurso y del Lenguaje se encuentra a María Eugenia Dubois en su obra “Lectura y Formación Docente”, en donde plantea el proceso de lectura como un acto transaccional, en el que hay que tener en cuenta los sentimientos, los estados orgánicos, las relajaciones verbales, los factores sociales y personales del alumno para la producción de significados. Frank Smith, en su obra “Los Dos Aspectos de la Lectura”, plantea que al leer se da tanto como se recibe y la comprensión depende de cuanto tengamos para dar al tema abordado en el texto. Jossette Jolibert, en su obra Formar Niños Productores de textos”, plantea la necesidad de que el niño encuentre placer en “interrogar y producir textos escritos”, lo que contribuye al desarrollo auténtico de la comunicación y la realización personal… L. Lazotti (1987) y F. Testa (1989) conciben la educación artística, como un proceso de comunicación y su objetivo básico es el de una integración total y amplia del arte, la sociedad y la cultura en la educación.11 R. Juanola, 1989, concibe la educación artística como disciplina, siendo un modelo de innovación educativa de más influencia, que incluye una selección de contenidos de las disciplinas que forman parte de las ciencias estéticas, siendo un modelo pluri e interdisciplinas, estructurado en tres dimensiones: la cultural o teórica, la crítica o estética y la productiva o prácticas. Este modelo, potencia un aprendizaje interactivo y prepara a los estudiantes para saber valorar y expresarse en unos criterios estéticos y artísticos, dotado de una cohesión interna y garantiza una formación de base, que puede ser ampliada en diferentes campos del arte.12 11 COLCULTURA. Pedagogías Artísticas. Santafé de Bogotá, D. c., Abril de 1997. Pág 38 12 Ibid. Pá39-40.
  • 11.
    3.10.1 Neurolingüistica El momentohistórico que se está viviendo requiere de cambios significativos en el pensamiento del ser, es por ello fundamental el conocimiento sobre la aplicación del Arte en situaciones de conflictos generados en la vida diaria, para poder hacer manifiesto las pulsiones del espíritu y tratar de sobrevivir en el entorno caótico impregnado por la turbulencia, la complejidad y imprevisibilidad de este espacio-tiempo. Ella brinda buenos resultados en el proceso de comunicación, ya que es un enfoque práctico y dinámico que permite que se experimente una actividad exitosa. La eficacia en la utilización de este modelo los constituye el desarrollo de estrategias prácticas y sencillas que enseñan a la persona a pensar, sentir y actuar de manera diferente, es decir, con todas las estructuras cerebrales (cerebro, neo-cortex, limbico, reptil) y parte de los fundamentos de la teoría constructivista, la cual define la realidad como una invención y no un descubrimiento. Es un constructo psíquico basado en el hecho de que el ser humano no opera directamente sobre el mundo real en que vive, sino que lo hace a través de mapas. Representaciones, modelos a partir de los cuales genera y guía su conducta.13 Poder comunicarse efectivamente, permite expandir y enriquecer los modelos del mundo que se tienen según las experiencias personales vividas. Lograrlo tiene un solo objetivo: Buscar que la vida sea más rica, satisfactoria y provechosa. La Neurolingüística es el estudio del mundo subjetivo de las personas y de las formas como se estructuran las experiencias subjetivas y se comunican a otros mediante el lenguaje. Esto permite que la conducta sea concebida como consecuencia o resultado de complejos procesamientos neurofisiológicos, de la información percibida por los órganos sensoriales. Estos sistemas tienen componentes posibles la experiencia y pueden ser intencionalmente organizados y “programados” para alcanzar ciertos propósitos…14 Alexandr Románovich Luria (1902-1977)neurofisiólogo y psicólogo soviético nacido en Kazán, Rusia, habla de El papel del lenguaje en el desarrollo de la conducta (1966) y El cerebro en acción (1974).15 3.10.2 Arte, Artista, Arte Terapia 3.10.2.1 Arte: El hombre es un animal libre, inteligente y con capacidad de amar. Sin contar con los sentimientos su definición estaría incompleta. El arte es un lenguaje racional y emocional al mismo tiempo. La racionalidad es necesaria para producir la obra artística, pero éste va más allá de la razón, expresando a menudo aquello que nuestra inteligencia difícilmente puede formular. Con pocas palabras un verso, puede hacer sentir la profundidad de la realidad, la verdad que hay en ella y que constituye un bien para aquel quien llega. Lo mismo pasa con un cuadro, una escultura, unos compases de música o cualquier otra expresión. Si el hombre vive una ruptura entre lo que piensa y lo que siente, el Arte puede convertirse en una terapia sutil para reconstruir su identidad personal y favorecer la comunicación entre la razón y los sentimientos. Por ello, el Arte es considerado por muchas personas como el lenguaje privilegiado del ser humano. El arte nos lleva a reflexionar sobre el artista y sus obras, sabiendo que, en primer lugar expresa lo que siente el artista, su intimidad, su visión de la realidad. El genio del artista lo lleva a crear nuevas maneras de comunicación, abriendo así las puertas a las categorías estéticas que pueden ser reflejo de una mejor comprensión y convivencia de la diversidad de formas, estilos, caracteres y sentimientos que conforman al mundo y al hombre.16 13 DIAZ, Mariela. PACHECO, Teresa. Aplicación del Arte en Situaciones de conflicto y exclusión social. Barranquilla, marzo 29,30,31 de 2004. 14 Ibid. 15 Microsoft R Encarta R 2006. c 1993-2005 Microsoft Corporation. 16 Ibid
  • 12.
    3.10.2.2 Arte Terapia Esuna terapia con énfasis en el lenguaje artístico como medio de expresión, mediante la manipulación, una veces individual y otras veces grupal de elementos plásticos, sonoros, espaciales, dramáticos… En Arte terapia se entrena la atención y la sensibilidad perceptiva, se desarrolla la capacidad creativa y se amplía y facilita la capacidad de expresión. Se trabaja con la mecánica del carácter para que éste sirva al crecimiento en lugar de impedirlo o estorbarlo. La persona utilizando al artista, obtiene recursos para poder utilizar su propio potencial; y prueba que lo que piensa, siente y hace, pueden estar en armonía, es decir, puede hacer lo que realmente quiere hacer. La creación es la manera más auténtica de ejercer el Yo.17 3.10.3 El arte como expresión del ser Los placeres estéticos (arte, música, drama, literatura, artes plásticas, cesterría, etc) son relativamente orgullos a perseguir que pueden adicionar importantes incrementos de combustible emocional y placeres psychuous para la vida de la persona. Sobretodo, placeres estéticos son importantes para el crecimiento psicológico y espiritual de la persona y su bienestar. Lo estético puede reflejar los valores más importantes de la persona en una forma concreta, proporcionando combustible emocional para buscar un crecimiento grande de acumulaciones. Una creencia común y falsa es que cuando una persona responde al Arte (música, literatura, artes plásticas…) es una experiencia que no tiene bases en realidad y no sirve para propósitos prácticos. Pero la verdad es todo lo opuesto. Una respuesta positiva al arte es un fenómeno que refleja lo más hondos valores internos de la persona. Esos valores pueden ser valores objetivos o neuróticos, desvalores, no valores o anti valores. Eso es por lo cual alguna gente puede responder positivamente al arte que refleja valores neuróticos, desveladotes, no valores o anti valores. Respondiendo a los valores estéticos, rellena importantes necesidades psicológicas y placeres. Lo estético relativo a los valores abstractos de la persona se demuestra por expresarlo en sus maneras concretas. Esa expresión externa o confirmación de los más hondos valores de los individuos proveen combustible filosófico para perseguir valores, metas e ideales. Otra creencia, es creer que el arte es enteramente subjetivo y que no puede ser evaluado con bases objetivas. Con suficiente conocimiento, todo el arte puede ser juzgado por estándares objetivos. Evaluación objetiva puede incluir sentido de la vida, el tema expresado por el artista, la ejecución y la habilidad, el estilo, presentación e integridad. El placer psicológico (o ausencia del mismo) derivado de un trabajo de arte viene desde la similaridad de valores y sentido de la vida sostenida por el visor de esa expresión expresada por el Artista. Desde que el arte puede volver a reflejar todos los poderosos valores emocionales, el arte puede ser amado, apreciado y disfrutado por esos valores. No obstante, el trabajo de arte por sí mismo es una extensión del creador humano y por lo tanto nunca podrá ser poseído por nadie más que el autor, igual por el patrocinador y copiador por lo cual ese pedazo de arte sea comprado… el Arte podrá ser poseído por nadie excepto por el creador de la obra.18 17 Ibid. 18 Ibid
  • 13.
    4. OBJETO DELÁREA “El hombre como ser social, perceptivo, creativo, expresivo, ideológico, técnico, estético y comunicativo de su cultura.” 5. OBJETIVOS 5.1 GENERALES 5.1.1 DE ACUERDO AL TITULO II: ESTRUCTURA DEL SERVICIO EDUCATIVO; CAPITULO 1º; DISPOSICIONES COMUNES; ARTICULO 13: OBJETIVOS COMUNES DE TODOS LOS NIVELES19 SECCIÓN PRIMARIA, ART 13. a). Formar la personalidad y la capacidad de asumir con responsabilidad y autonomía sus derechos y deberes g). Formar una conciencia educativa para el esfuerzo y el trabajo h). Fomentar el interés y el respeto por la identidad cultural de los grupos étnicos 5.1.2 SECCIÓN TERCERA, EDUCACIÓN BÁSICA ART 20 OBJETIVOS GENERALES DE LA EDUCACIÓN BÁSICA 1º a 9º a). Propiciar una formación general mediante el acceso, de manera crítica y creativa, al conocimiento científico, tecnológico, artística y humanístico y de sus relaciones con la vida social y con la naturaleza, de manera tal que prepare al educando para los niveles superiores del proceso educativo y para su vinculación con la sociedad y el trabajo. 5.1.3 OBJETIVO GENERAL ORGANIZADO POR LOS INTEGRANTES DE LAS DIFERENTES DISCIPLINAS Desarrollar la sensibilidad, creatividad e imaginación del hombre o mujer normalista, desde el Preescolar, Básica Primaria, Secundaria y Media, hacia el mejoramiento de su actitud crítica y el goce de la calidad de su experiencia intrapersonal, e interpersonal y de interacción con el otro, con la naturaleza y con la producción cultural, para contribuir en su proceso de formación integral. 5.2 OBJETIVOS ESPECÍFICOS PROPUESTOS EN EQUIPO: • Propiciar espacios que permitan estimular la sensibilidad mediante la experiencia contemplativa • Posibilitar espacios que estimulen la creatividad del estudiante • Ofrecer ambientes que inciten la imaginación para crear y recrear mundos posibles • Realizar una exploración sobre formas de acciones lúdicas, en las cuales se contengan procesos de pensamiento u operaciones lógicas • Contribuir en la resolución de conflictos a través del lenguaje artístico 19 Ley General de la Educación. Ley 115 de 1994 (febrero 8)
  • 14.
    Abrir posibilidades expresivas, comunicativas, mediante la expresión artística • Contribuir al desarrollo sensomotriz, socio afectivo e intelectual del individuo* • Desarrollar el sentido investigativo y creativo a través de la práctica de los diferentes medios de expresión artística* • Valorar las diversas realizaciones estéticas, desde las propias y de las realizadas por sus compañeros hasta las regionales, nacionales y universales.* • Ejecutar trabajos prácticos orientados y supervisados por el docente, en donde se evidencie el contacto directo del educando son materiales y herramientas y el gusto por hacer y aprender* • Propiciar la adquisición de las técnicas artísticas paso a paso mediante el ensayo y el error y uso creativo de materiales y herramientas variadas* • Propiciar actividades colectivas donde los estudiantes formen parte activa en su organización y estimules la apropiación de valores como la tolerancia, el respeto por el otro, la solidaridad que es tan necesario entre los adolescentes. *Corresponden a los aportes realizados por Arlet
  • 15.
    6. METAS DECOMPRENSIÓN POR NIVELES Y CONJUNTOS DE GRADOS PROPUESTAS DESDE EL ÁREA DE LENCUA CASTELLANA PARA DESARROLLAR LOS NIVELES DE COMPRENSIÓN LECTORA EN LOS ESTUDIANTES DEL PREESCOLAR, B. PRIMARIA, B. SECUNDARIA, MEDIA Y CICLO COMPLEMENTARIO DE FORMACIÓN DOCENTE PRE JARDIN TRANSICIÓN 1º 2º 3º 4º 5º 6º 7º 8º 9º 10º 11º I II III IV JARDIN LOGRAR UN LOGRAR UN LOGRAR UN Comprender Comprender Evidenciar Comprender y Interpretar y Interpretar Comprender Analizar Comprender ACERCAMIENTO a ACERCAMIENTO a ACERCAMIENTO a diversos tipos de diversos tipos apropiación producir textos producir textos contenidos textos contenidos textos la significación desde la significación desde la significación desde textos, con de textos, con conceptual y expositivos y complejos, interdisciplinares pertinentes al conducentes a conducentes a la el lenguaje verbal y el lenguaje verbal y el lenguaje verbal y prioridad en los prioridad en los discursiva en argumentativos priorizando el inductores de la desarrollo de la optimización de no verbal, no verbal, no verbal, descriptivos, informativos torno a con unidad, ensayo en donde formación docente las construcción las competencias familiarizándose con familiarizándose con familiarizándose con para el para favorecer diversos tipos coherencia y identifiquen y inicial, competencias eficiente de lecto-escritural, los diferentes tipos de los diferentes tipos de los diferentes tipos de fortalecimiento la producción de textos, cohesión, para usen estructuras evidenciables en la comunicativa, textos docente e textos, haciendo textos, haciendo textos, haciendo de las textual, la especialmente favorecer la textuales construcción de docente e académicos investigativa, énfasis en los textos énfasis en los textos énfasis en los textos habilidades identificación y los narrativos, apropiación (narrativas, textos auténticos investigativas, con sentido articuladas al narrativos; teniendo narrativos; teniendo narrativos; teniendo expresivas, el uso de los asumiendo una crítica y argumentativas, con criterios de paralelamente a crítico y desarrollo de la en cuenta al lector, al en cuenta al lector, al en cuenta al lector, al disfrute estético medios de intención selectiva de la descriptivas, eficiecia la producción proyección sistematización texto, contexto y texto, contexto y texto, contexto y del lenguaje y comunicación, crítica frente a información, el explicativas), lingüística- escrita en tales pedagógica e de la práctica receptor. Estimular la receptor. Estimular la receptor. Estimular la los procesos de la apropiación los códigos acercamiento a estrategias comunicativa, campos, en investigativa pedagógica lectura emergente lectura emergente lectura emergente la comunicación de códigos verbales y no las creaciones discursivas, pedagógica e atención a antes que la antes que la antes que la con sentido verbales y no verbales, el literarias y el fenómenos del investigativa niveles convencional. convencional convencional ético. verbales, la disfrute sentido social y uso lingüístico crecientes de formulación de estético del ético de la como polisemia, eficiencia hipótesis y la lenguaje y el comunicación. refuerzo de las interacción respeto a la afirmaciones, comunicativa diversidad en jerarquización de los actos de la información comunicación mediante la puntuación, al igual que la criticidad frente a los medios de comunicción y las creaciones literarias
  • 16.
    7. LINEAMIENTOS CURRICULARESY/O ESTÁNDARES, EJES TEMÁTICOS, LOGROS LINEAMIENTOS CURRICULARES EJES TEMÁTICOS LOGROS (POR CONJUNTOS DE GRADOS Y/O ESTÁNDARES DE TODA EL AREA) O PROCESOS CURRICULARES ESTRUCTURA GENERAL DEL ÁREA DE EDUCACIÓN ARTÍSTICA DESDE EL POR CONJUNTOS DE GRADOS PREESCOLAR, Y LOS GRADOS 1º, 2º, 3º; 4º,5º,6º; 7º8º,9º; 10º, 11º o PROCESO DE DESARROLLO DE PENSAMIENTO DIMENSIONES DE LA EXPERIENCIA CONTEMPLATIVO PROCESOS Permite cultivar y sembrar el pensamiento contemplativo, además de Educación musical o PROCESO DE DESARROLLO DE PENSAMIENTO CONTEMPLATIVO, conducir al fortalecimiento del ser integrado auténtico y ampliar el registro IMAGINATIVO, SELECTIVO sensible hacia sí mismo, el otro y el mundo • Desarrollo perceptivo de las propias evocaciones y fantasías, de la naturaleza, de los demás y de las cosas Danza Este proceso contempla la • Apertura al diálogo pedagógico EXPERIENCIA SENSIBLE INTRAPERSONAL • Cambios y generación de actitudes en el cual los estudiantes deben procurar su o PROCESO DE TRANSFORMACIÓN SIMBÓLICA EN LA INTERACCIÓN CON Artes plásticas EL MUNDO -Autoconocimiento, -Formarse conceptualmente, • Desarrollo expresivo de sensaciones, sentimientos e ideas a través de metáforas y -Desarrollar su sentido de pertenencia cultural y su conciencia histórica. Teatro (Interdisc lengua símbolos castellana) • Desarrollo de habilidades comunicativas que impliquen dominio técnico y o PROCESO DE TRANSFORMACIÓN SIMBÓLICA EN tecnológico LA INTERACCIÓN CON EL MUNDO Literaria (Interdisc. o PROCESO DE DESARROLLO DE PENSAMIENTO REFLEXIVO Conduce a Expresar y compartir el mundo interno, más el externo, mediante los diferentes lenguajes artísticos: música, danzas, teatro, plásticas, “ayudas educativas”, Lengua castellana) • Construcción y reconocimiento de elementos propios de la experiencia estética y de (saberes populares como cestería, textiles, tradición oral, tallado, artesanías…) lenguajes artísticos Proceso que contempla • Desarrollo de habilidades conceptuales LA EXPERIENCIA SENSIBLE DE INTERACCIÓN CON LAS FORMAS DE Ayudas Educativas o PROCESO VALORATIVO LA NATURALEZA, es decir • Formación del juicio apreciativo de las propias cualidades y reconocimiento del -Desarrollar las habilidades perceptivas-valorativas, e incrementar la admiración y cuerpo desde la comprensión estética, multiétnica y pluricultural, de la interacción aprecio a la vida que se transforma cuidadosa y creativamente en nosotros y en que se tiene con el mundo y de la producción cultural nuestro medio ambiente; • Comprensión de los sentidos estético y de pertenencia cultural -Observar la naturaleza, penetrarla, sensibilizándose hacia ella táctil, auditiva, visual, LOGROS PRIMARIA olfateablemente y saboreablemente para descubir su propio espíritu, entendido éste PERIODO____ como lugar mental de la identidad, la pertenencia y el sentido de la vida y como COGNITIVO fuente dinamizadora de nuestro vivir comunitario, el gusto y el respeto que se le debe • Desarrolla sus percepciones del lenguaje artístico (evocaciones y fantasías), con tener a “madre tierra” que implica preservar y enriquecer las creaciones simbólicas sorpresa y entusiasmo. ancestrales de las diferentes etnias y culturas del país, relacionadas con el ACTITUDINAL conocimiento de la naturaleza,, así como las tradiciones artesanales • Denota una actitud de diálogo pedagógico asumiendo con responsabilidad sus éxitos o PROCESO DE DESARROLLO DE PENSAMIENTO y equivocaciones PRAXIOLÓGICO REFLEXIVO • Expresa sus sensaciones, sentimientos e ideas utilizando símbolos visuales y Conjugar mente, pensamiento, imaginación, creatividad y sentimiento a partir de la musicales experiencia con los diferentes lenguajes artísticos LOGROS SECUNDARIA Proceso que contempla
  • 17.
    LA EXPERIENCIA SENSIBLEINTERPERSONAL PERÍODO____ Permitiendo: COGNITIVO -Crear incentivos para promover el juego, la expresividad y la interacción confiada • Desarrollar percepciones de las propias evocaciones y fantasías, gráficas, sonoras, -Lograr expresiones auténticas mediante el desarrollo de las habilidades coreográficas, de las cualidades comunicativas de las imágenes de la naturaleza, y comunicativas artísticas de la producción del contexto particular del lenguaje artístico. -Recrear e intercomunicar metafórica y simbólicamente las visiones particulares del ACTITUDINAL mundo; • Apertura al diálogo pedagógico, cambios y generación de actitudes hacia el mundo de -Reconstruir y reforzar vínculos sociales estables, creativos y vitales, planear en las imágenes simbólicas, sonoras, gráficas y coreográficas equipo con proyección a largo plazo e incentivar la voluntad de servicio a la PRAXIOLÓGICO comunidad, especialmente hacia la niñez, pensando en las generaciones que vienen • Expresar sensaciones, sentimientos e ideas utilizando metáforas y símbolos visuales, musicales, dancísticos, mediante la expresión gráfica y tecnológica o DESARROLLO DE HABILIDADES CONCEPTUALES, PERÍODO____ PROCESO DE DESARROLLO DE JUICIO CRÍTICO COGNITIVO Apuntan a atender la singularidad del ser humano, comprendiendo que cada • Construir y reconocer conceptos y elementos propios de la experiencia visual, persona es única e irrepetible, con su gusto personal, con su mundo de experiencias sonora, plástica, gráfica, dancística exige el tener en cuenta la dimensión valorativa del ser humano, la cual se puede ACTITUDINAL ampliar y transformar con la reflexión sobre la experiencia estético-artística, • Formar juicios de valor y sensibilidad hacia el mundo de los conceptos y elementos mediante el ejercicio del juicio selectivo, apreciativo y crítico. propios de la experiencia visual, sonora, plástica, gráfica, dancística Proceso que atiende a mirar PRAXIOLÓGICO LA EXPERIENCIA SENSIBLE CON LA PRODUCCIÓN CULTURAL y • Expresar percepciones, sentimientos e ideas, mediante la utilización de conceptos y -Requiere enriquecer sensiblemente en la escuela la vida en comunidad, haciendo de elementos propios de la experiencia visual, sonora, plástica, gráfica, dancística ésta un arte en el que se aprenda buscar puntos de acuerdo y concesiones, empezando PERIODO_____ por propiciar el ambiente para que los individuos puedan reconocer y cultivar sus COGNITIVO maneras particulares de sentir el mundo y sus propias evocaciones. • Comprender, interpretar y construir conceptos y elementos propios de la experiencia artística ACTITUDINAL • Manifestar actitudes y opiniones responsables frente a la comprensión, interpretación y construcción de conceptos y elementos propios de la experiencia artística. PRAXIOLÓGICO • Producir y expresar en forma original sus ideas, sentimientos, mediante la utilización de conceptos y elementos propios de la experiencia artística Los Procesos curriculares o Lineamientos Curriculares y/o Estándares en Educación Artística se ajustan a la siguientes preguntas formuladas por Víctor M Sarmiento: ¿En qué forma estimulamos en nuestros estudiantes la percepción cuidadora, sensible, atenta y contemplativa de la realidad para que se detengan en ésta y la aprecien a plenitud? ¿Está nuestra relación pedagógica proponiendo “hombres capaces de ver el mundo de inspiraciones, una procesión magnífica y abigarrada de pensamientos desordenados y fragmentarios en el temblor de una hoja, en el zumbido de una abeja, en el suspiro del viento o en los vagos olores del bosque? 20 20 LINEAMIENTOA CURRICULARES. Imagen y estética: Representación y desaparición, impreso sin publicar, 1994. cita de Paul Virilio, Estética de la Desaparición. Comunicaciones, Buenos Aires, 1989, pg 69.
  • 18.
    8. PROPUESTA PARADESARROLLO DE PROGRAMAS DE EDUCACIÓN ARTÍSTICA (ARTES PLÁSTICAS) PARA PRE-ESCOLAR, BÁSICA PRIMARIA, BÁSICA SECUNDARIA, MEDIA Y CICLO COMPLEMENTARIO DE FORMACIÓN DOCENTE PRE JARDIN TRANSICIÓN 1º 2º 3º 4º 5º 6º 7º 8º 9º 10º 11º I II III IV V VI JARDIN APLICA APLICA APLICA APLICA APLICA APLICA GARABATEO GARABATEO PRE- PRE- ESQUEMATISMO PRE-REALISMO REALISMO PERTENENENCIA ESQUEMATISMO ESQUEMATISMO ARTÍSTICA 2-4 AÑOS 2-4 AÑOS 4-7 AÑOS 4-7 AÑOS 7-9 AÑOS 9-12 AÑOS 12-14 14 EN ADELANTE 2-4 4-7 7-9 9-12 12-14 14… APRESTAMIENTO APRESTAMIENTO INICIO DE INICIO DE ESQUEMAS EXPRESIÓN EXPRESIÓN ASIMILACIÓN DE FISICO DOMINIO FISICO DOMINIO ESQUEMAS ESQUEMAS FIGURATIVOS, GRÁFICA DE GRÁFICA DE TÉCNICAS MOTRICIDAD FINA MOTRICIDAD FINA FIGURATIVOS FIGURATIVOS LINEA DE BASE, INICIOS DE SOCIALIZA- ARTÍSTICAS VISTA DE RAYOS SOCIALIZACIÓN CIÓN “X”, REBATIMIENTOS La propuesta de Música, se adapta a los dos años de trabajo que se hace en la Básica Secundaria, ya que el cambio continuo que se hace al docente de artística, no permite ningún seguimiento.
  • 19.
    9. METODOLOGÍA Implementar estrategias metodológicas y experiencias de aprendizaje que permitan el desarrollo de estructuras de pensamiento, implícitas en las competencias, relacionadas con la interpretación, la argumentación y la capacidad propositiva mediante acciones lúdicas, en las que se contengan procesos de pensamiento u operaciones lógicas. Dentro de las estrategias metodológicas que se plantean, se busca abrir espacios que permitan contemplar el universo circundante donde el alma del estudiante aflore; contemplar el mundo interno de cada uno y sacar esas imágenes, esas evocaciones, sensaciones, emociones y sentimientos para poder desarrollar la imaginación y la capacidad de selección de alternativas, en la solución de los problemas. En el campo musical, se parte del principio pedagógico que contempla al niño o niña como elemento activo de su aprendizaje, procurando atender a sus necesidades en el campo de la lúdica, de la experimentación, de la manipulación y de la motricidad, donde la vivencia sensorial es importante para adquirir un buen nivel de percepción, comprensión y expresión. Las propuestas se basan en la educación del oído, el movimiento y la creatividad. Como lenguaje, se trata la música desde su vertiente intelectual, lúdica y comunicativa, potenciando la inteligencia, la sensorialidad y la emoción. Como docentes en el área de Educación Artística, se tiene claro que se deben garantizar climas de confianza y respeto, donde el estudiante se sienta seguro y pueda expresar, sacar de su ser, la experiencia vivida, el mundo contemplado que desea socializar con el otro, con el fin de detectar debilidades y fortalezas. Esto implica “una pedagogía de la acción que comprende un contrato social colectivo, en busca del pleno desarrollo de la personalidad, de libertad fundamental, comprensión, tolerancia y respeto por la diversidad mediante la creación de un contexto óptimo para el crecimiento de la prestación del servicio educativo. La creación de un contexto apropiado, exige como lo presenta Tortel, una pedagogía que ponga acento sobre la expresión global del niño mediante exposiciones intelectuales y estéticas, mediante un llamado a lo racional y a lo imaginario, a la sensibilidad, la espiritualidad, a la expresión, a la técnica y a la producción”21 Eduardo López Vergara, manifiesta que cuando una persona no es tenida en cuenta, es ignorada o se siente física o psicológicamente maltratada, se angustia, se deprime, siente rabia y se mantiene alerta para defenderse o atacar: “Es difícil, sin embargo, lograr el disfrute estético, expresarse con libertad, ser intuitivo y expresivo, dominar equilibrada y armoniosamente las propias expresiones cuando la persona se siente ignorada, descalificada o agredida”. Las energías creativas se frenan, se esconden en ambientes amenazantes. 21 Lineamientos Curriculares. Orientaciones curriculares Pág 83-84
  • 20.
    9.1 ESTRUCTURA DELA METODOLOGÍA Y DE LAS ESTRATEGIAS EN LOS PROCESOS DE EDUCACIÓN ARTÍSTICA: comprenden aspectos conceptuales: teorías, conceptos y procedimientos, con una introducción al tema, contenido o actividad, es decir, se contemplan las siguientes preguntas: Qué se ha de aprender, conocer y estudiar Recursos materiales Cómo se puede descubrir, expresar y comprender con la praxis Método expositivo Cuándo y cómo se va a realizar Recursos visuales Los aspectos procedimentales como medios, técnicas y sistemas de representación, en la realización de la praxis, se tienen en cuenta las siguientes fases: 1 fase Estudiante XI. RECURSO PERCEPCIÓN Docente Atención Intuición Razonamiento Fomento del pensamiento creativo Observación Evocación Fomento del aprendizaje divergente Estimulación y desarrollo de aptitudes-capacidades La 2 fase consiste: PEDAGOGÍA INDIVIDUALIZADA Y DEL GRUPO Espontaneidad Ideas Apoyo, asesoría, respeto al ritmo de trabajo individual y en equipo Asociaciones Consultas Comprensión Pruebas Realización En la 3 fase se tienen en cuenta aspectos apreciativos como el desarrollo de aptitudes, actitudes y habilidades y se exponen unos resultados: Método discursivo-Perfil creativo Estudiante Técnica indirecta: flexibilidad Presentación de ideas y proceso experimental. Aceptación de ideas, inducción de técnicas Aportaciones personales plásticas… atribución de confianza y valoración del esfuerzo Retroalimentación colectiva Inducción a la descripción Observación, asesoría. Formación de criterios 4 fase: Análisis de resultados Valoración colectiva: Variables en actitudes y habilidades Variables en ideas y desarrollo del trabajo Interpretación Comprensión y profundización de contenidos Apreciación Cambios en actitudes y adquisición de valores Valoración global
  • 21.
    10. CRONOGRAMA DEACTIVIDADES DEL ÁREA En R.A, no ha habido espacios de diálogo para realizarlo. Pendiente 11. RECURSOS HUMANOS: Estudiantes, Docentes, Padres de familia (comunidad educativa) FISICOS: 3 Aulas que sean tan grandes como la sala de profesores de secundaria, para música, artes plásticas y ayudas educativas, ya que la cantidad de estudiantes de la I.E.N.S. de Sincelejo, así lo requiere; grabadoras con MP3…, sillas, mesas, estantes con seguros, Televisores, video beam, computadores, C.D. de música colombiana, entre otros. LOGÍSTICOS: Recursos económicos, 2 salas de audiovisuales, una media torta… 12. CRITERIOS DE EVALUACIÓN Partiendo de un Modelo Social Reflexivo y un enfoque crítico mediado por la comunicación donde se pretende formar una persona con una conciencia crítica, autónoma, reflexiva, que sea productiva, rico en habilidades comunicativas (hablar, escuchar, leer y escribir), que se desempeñe armónica y eficientemente en cualquier contexto, el Decreto 0230 de febrero 11 del 2002, Cap II Evaluación y Promoción de los Educandos… y la ley 115 de 1994, Título I: Disposiciones Preliminares, Artículo 1.- Objeto de la Ley que dice: “Si la educación es un proceso de formación permanente, personal, cultural y social que se fundamenta en una concepción integral de la persona humana, de su dignidad, de sus derechos y de sus deberes” el sistema educativo debe proponer procesos evaluativos coherentes con este enfoque del ser humano buscando integrar, todas las áreas y actividades programadas en la escuela Cabe preguntarse: ¿Qué se evalúa?, ¿A quién se evalúa?, ¿Para qué se evalúa? ¿Cuándo se evalúa? y ¿Cómo se evalúa? A partir del segundo interrogante, hay que abrir espacios de negociación o mediación puesto que se valora el estado de desarrollo y de aprendizaje del estudiante, es decir, el estado de sus dimensiones y la contribución de los procesos propuestos por el área para el desarrollo de éstas tanto a nivel individual como colectivo. Entonces, cada proceso propuesto en el área, proceso de desarrollo del pensamiento contemplativo, proceso de desarrollo del pensamiento simbólico, el proceso de desarrollo del pensamiento reflexivo y el proceso de desarrollo del pensamiento valorativo, propone los logros como referentes para diseñar la evaluación. Pero no pueden ser evaluados en forma aislada. Hay que precisar que el referente es el logro pero el objeto de la evaluación es el desarrollo integral del estudiante y es él quien debe asumir paulatinamente la evaluación como parte de su proceso formativo. Los indicadores señalan aproximaciones a los logros esperados. En artística se puede observar y aproximarse a valorar: la autenticidad en un gesto, en un movimiento corporal, el incremento de la imaginación fantástica; de la libertad para asociar ideas, de la capacidad de visualizar imágenes y de concebir formas expresivas mediante la expresión artística, el goce que el estudiante transmite cuando juega, se expresa y crea artísticamente.
  • 22.
    EL INCREMENTO ENLOS REGISTROS SENSORIALES El incremento en el desarrollo de habilidades comunicativas, creación de expresiones metafóricas y simbólicas El uso imaginativo de materiales y el dominio progresivo de técnicas; Observar cambios y desarrollos según la etapa evolutiva, los estados anímicos, por contraste con los miembros del grupo y teniendo en cuenta el contexto sociocultural. El enriquecimiento de nociones, la profundidad de los conceptos El incremento de su capacidad de selección, cuando desarrolla un gusto particular y un estilo propio, cuando emite juicios sobre la calidad de sus acciones y del mundo al que pertenece, de manera auténtica, según la escala de valores que tiene su comunidad y por contraste con valores universales Sus aportes a la vida cultural escolar; su participación en la vida comunitaria El maestro es el orientador de las actividades para desarrollar los procesos curriculares, pero debe abrir unos espacios de negociación con respecto a la evaluación, para analizar los compromisos adquiridos. En estos espacios de negociación la posibilidad de rajarse no existe, ya que existe la necesidad de cumplir los acuerdos…leer (la evaluación desde la crítica del arte). El área de Educación Artística propicia la actitud y el pensamiento crítico y de allí surge la posibilidad de desarrollar en los estudiantes las competencias propias de la conciencia crítica que valor las cosas y los procesos sin la presión de las calificaciones. ¿Cuáles son los pasos seguidos por muchos críticos para valorar un producto artístico? Observar la obra Describir la obra Interpretar la obra Realizar un juicio de valor Los cuales se pueden realizar individualmente o en equipos y darlos a conocer para intercambiar opiniones y valoraciones. Cuando la evaluación tiene este enfoque, exige que los evaluadores tengan conocimiento de aquello que van a evaluar, que escuchen diversas formas de apreciar el arte y que aprendan a valorar la diversidad de comprensiones que existen en torno a él. Este tipo de evaluación permite a todos los participantes en el proceso educativo se interesan más por el papel formativo de la evaluación. La autoevaluación, es realizada en forma individual o colectiva, verbal o escrita recoge paso a paso, la reflexión referenciada a la aproximación a los logros, las dificultades enfrentadas y sugerencias para el desarrollo de sí mismo y para el desarrollo del mismo proceso. La evaluación analítica compartida por el maestro y sus estudiantes o lo que es lo mismo la co-evaluación, le da al docente la oportunidad de lograr propuestas cada vez más adecuadas a los intereses sentidos por los alumnos, a su nivel evolutivo, a sus necesidades sociales y culturales. Refuerza la dinámica de su interacción. Da la oportunidad de proyectarse como gestor cultural y da a su práctica un carácter investigativo. La heteroevaluación que el docente hace de procesos y estadios de adquisición de conocimientos y habilidades por parte del alumno cumple un papel psicosocial importante: por una parte el maestro debe tener un criterio objetivo para ayudar al alumno a plantearse problemas artísticos prácticos y conceptuales; por otro, este tipo de evaluación compromete al
  • 23.
    estudiante con elbagaje cultural heredado, lo ayuda a encontrarse con otros en universos simbólicos similares, enriquece la memoria, da seguridad a los educandos, pero también les da la oportunidad de activar los conocimientos de saborearlos, de relacionarlos, de cualificar su práctica y de producir sus propias obras. En conclusión, evaluar los procesos y no solo los resultados, es como se concibe la Educación Artística. Esto exige redefinir el concepto de evaluación tales como dejar de lado la estricta evaluación de los conocimientos y pasar a evaluar la actuación expresiva. Evaluar no solo el saber, sino el sentir y el saber hacer. Ello implica evaluaciones constantes de carácter cualitativo: hetero-evaluaciones, auto-evaluaciones, co-evaluaciones. ¿Cuál es la finalidad de la evaluación? Conocer el proceso de desarrollo del estudiante de manera integral: • Características personales, intereses, ritmos y estilos de aprendizaje • Potencialidades, talentos y habilidades especiales • Dificultades, deficiencias y limitaciones • El autoconocimiento y autovaloración personal • Toma de decisiones, así como asumir responsabilidades y compromisos
  • 24.
    13. PROYECTOS OBLIGATORIOS Y PEDAGÓGICOS A. P. Obligatorio nombre objetivos Área disciplina responsables B. P. Pedagógico nombre objetivos Área disciplina responsables PROYECTOS OBLIGATORIOS Sustentados en la Ley 115 de 1994, Art. 14. Enseñanza Obligatoria. “Aprovechamiento del tiempo libre, fomento de las diversas culturas, la práctica de la Educación Física, la Recreación y el Deporte Formativo. NOMBRE OBJETIVOS AREA Y/O DISCIPLINAS RESPONSABLES PROYECTOS PEDAGÓGICOS NOMBRE OBJETIVOS AREA Y/O DISCIPLINAS RESPONSABLE
  • 25.
    14. BIBLIOGRAFÍA MEN. Lineamientos Curriculares Educación Artística. Áreas obligatorias y fundamentales. Santafé de Bogotá D.C. Julio de 2000 PEI. Proyecto Educativo Institucional. Normal de Sincelejo ECHEVERRÍA, Adriana. Fuentes M. Álvaro… Actividades de Expresión Artística. U. Pamplona Manual de la Educación. Océano Didácticas específicas de las Artes Plásticas y , de la Música Ley General de la Educación Aportes Pedagogías artísticas. Dimensión Educativa, Colcultura Manual de la Educación. Didáctica de las Artes Plásticas, Música. Registro de Asistencia y Evaluación por procesos Decreto 0230 de febrero 11 del 2002 Recibido por: ………………………………………. Fecha:………………………………………………. Este Plan de área, puede ser resignificado constantemente. Lo que hoy piensa uno que es, mañana puede ser o no ser, lo que se interpreta hoy, mañana puede verse con mayor claridad. El hombre tiende hacia la perfectibilidad: Rouseau El Plan de área es una propuesta presentada al equipo de Artística por Esther M. Fuentes y resignificada en equipo Digitadora: Esther Margarita Fuentes Julio Jefe de Área: Esther M. Fuentes J.