INTEGRANTES:

ASESOR:
 Hugo Castillo Vélez.
 Joselito LasdilaoOblitasBurga
CAFETIN Y DULCERIA “LA CASITA DE LA YUCA” S.A.C.
I. IDEA DE NEGOCIO
1.1. Descripción de la necesidad insatisfecha
Mediante el método de la observación hemos detectado, que en nuestra Ciudad
de Chota no hay un considerable consumo de Yuca,
Por ello hemos convenido trabajar el aspecto gastronómico en la ya mencionada
ciudad. En lo que a este rubro respecta, existen varios cafetines en otras ciudades
y países que ofrecen diversos platillos típicos de este tubérculo; y también hacer
conocer las bondades curativas de este producto; la yuca bien cocinada tiene
diferentes beneficios para el organismo:
Para comenzar es un alimento rico en vitamina A. Esta vitamina hace que el
proceso de envejecimiento de las células sea más lento, por lo que la piel tarda
más en envejecer.
Otras cualidades de la vitamina A es que fortalecen el cuero cabelludo,
fortaleciendo las raíces, así que sirve para combatir la caída del cabello. También
resulta ser que esta vitamina es ideal para la vista, ya que previene diferentes
enfermedades.
La vitamina C también está muy presente en este tubérculo, por lo que ayuda a
fortalecer el sistema inmunológico en nuestro cuerpo, previniendo la aparición
de diferentes enfermedades, como es el cáncer.
Por tales motivos creemos que nuestra idea de negocio creación de un “ Cafetín
y Dulcería “LA CASITA DE LA YUCA” I.E.R.L., será en provecho no sólo
del grupo de trabajo, sino que será positivo al fomentar el consumo de la Yuca..
Es un proyecto que tiene como finalidad ofrecer a sus clientes los mejores postres
a base de yuca naturales bajos en grasas y a los precios más bajos.
1.2. Producto o servicio a ofrecer
El servicio que ofreceremos consiste en la venta de postres y dulces a base de
Yuca como: Bocaditos, Mermelada, Mazamorra, Queque, Coctel, Jugo,
Tortillas, Pan, Pastel de tres leches, Picarones, Flan, Manjar, Rosquitas y
Galletas, Panqueques.
1.3. Mercado objetivo
Nuestro mercado objetivo son los pobladores de Chota y visitantes, quienes
aprovechan los fines de semana, vacaciones y feriados para conocer los
principales atractivos turísticos de la ciudad, y de paso buscan degustar la
variedad gastronómica del lugar.
1.4. Oportunidades y amenazas del entorno
OPORTUNIDADES AMENAZAS
- Insalubridad de la
competencia directa.
- Escasa competencia directa
en el centro de la ciudad.
- Concurrencia de personas
y turistas a la ciudad de
Chota.
- Insatisfacción del cliente
por el producto brindado
(competencia directa).
- Fidelización de los clientes, por los
restaurantes a los que estos visitan
en su estancia en Chota.
1.5. Fortalezas y debilidades del entorno
FORTALEZAS DEBILIDADES
- Contaremos con un
establecimiento que preste
las condiciones óptimas
para brindar un buen
servicio.
- Asesoría en cuanto a la
realización de nuestro
proyecto.
- Falta de experiencia en el negocio.
- No se cuenta con un local propio.
1.6. Diferenciación o ventajas comparativas
 La temática de nuestro local será con motivos propios de la región,
aplicándole un toque de sofisticación.
 Se priorizará la atención al cliente.
 Nuestra carta tendrá una variedad de postres y dulces a base de Yuca, y
como cortesía se servirá un tamal de yuca con pollo.
 Nuestro local se ubicará en el centro de la ciudad.
II. ANÁLISIS DEL ENTORNO
2.1. Macroambiente
2.1.1. Aspectos Legales - Económicos
En actualidad el Perú se desarrolla legalmente un régimen constitucional
de derechos. La constitución política del Perú con sus leyes, normas y
reglamentos es la máxima autoridad por la cual el derecho a la libertad de
crear empresa, trabajo y la libre contratación, dichos preceptos forman
parte sustancial de la protección que obtendremos al iniciarnos en la
actividad empresarial; conocedores de esta actividad, el estado a través de
los planes de gobierno promueven la actividad empresarial. En base a esta
actividad surge la necesidad de formalizarnos y obtener licencia
correspondiente para el permiso de apertura del negocio.
Con los tributos estatales y municipales, que cumpliremos forma parte de
nuestra obligación y un derecho por cumplir al formalizar al restaurante
como empresa jurídica constituyéndola como sociedad anónima cerrada.
Artículo 59: Libertades de Trabajo, empresa, comercio e industria
"El derecho a la libertad de empresa se define como la facultad de poder
elegir la organización y efectuar el desarrollo de una unidad de producción
de bienes o prestaciones de servicios para satisfacer la demanda de los
consumidores o usuarios, dicha libertad debe ser ejercida con sujeción a la
ley – siendo sus limitaciones básicas aquellas que derivan de la seguridad
"Decreto supremo 025 – 2004 MINCETUR:
Para abrir un negocio en el que se manipulen alimentos es indispensable
cumplir las normas sanitarias que disponen los ministerios de Salud
(MINSA) y de Comercio Exterior y Turismo (MINCETUR).
El reglamento de restaurantes establece los requisitos y procedimientos
para autorizar la prestación del servicio de Restaurante, así como, la
obligatoriedad a todos los que inicien operaciones de presentar la
Declaración Jurada de cumplimiento de las normas relativas a las
condiciones del servicio que presten. Precisa conceptos referidos en el
rubro de Restaurantes, establece los requisitos de infraestructura, equipo y
servicios para las categorías de 1 a 5 tenedores y la calificación de
Turístico. Dispone la obligación a todos los restaurantes de presentar la
Encuesta Económica Anual.
Las medidas que se dispongan para regular este rubro gastronómico afectan
también a negocios como juguerías, sangucherías, cafeterías y otros que
manipulen alimentos y bebidas.
Resolución ministerial Nº 363-2005/MINSA: De otro lado se debe tener
en cuenta la ‘Norma sanitaria para el funcionamiento de restaurantes y
servicios afines’, para evitar problemas con las municipalidades locales,
encargadas de dar licencias de funcionamiento o clausurar a los infractores.
Este documento establece que, en el caso de que se incurra en alguna de las
infracciones, la autoridad podrá imponer medidas tales como el decomiso,
incautación inmovilización y destrucción de los productos
alimenticios (cuando sean considerados no aptos para el consumo humano)
así como la suspensión temporal o definitiva del establecimiento.
2.1.2. Aspectos Económicos
En cuanto al Producto Bruto Interno (PBI) se registró un incremento de
2.68% en marzo, según la información proporcionada por el Instituto
Nacional de Estadística (INEI). De acuerdo con el INEI, esta cifra es la más
alta registrada en los últimos 11 meses.
En el primer trimestre del año 2015, la economía peruana medida a través
del Producto Bruto Interno (PBI) a precios constantes de 2007, registró un
crecimiento de 1,7% respecto al similar periodo del año anterior, y en el
último año (entre abril del 2014 y marzo del 2015) en 1.61%.
El crecimiento del Producto Bruto Interno (PBI) de 1,7% fue el resultado
del desempeño favorable de las actividades: agricultura, ganadería, caza y
silvicultura (0,4%); extracción de petróleo, gas y minerales (4,1%);
electricidad, gas y agua (4,6%); comercio (3,6%); transporte,
almacenamiento, correo y mensajería (1,6%); alojamientos y
restaurantes (2,9%); telecomunicaciones y otros servicios de información
(9,0%); servicios financieros, seguros y pensiones (11,3%); servicios
prestados a empresas (5,0%); administración pública y defensa (3,5%);
otros servicios (4,4%); por otro lado, se registró una contracción de la
producción en la pesca y acuicultura (9,2%); manufactura (5,2%) y
construcción (6,8%). Los impuestos a los productos y los derechos de
importación disminuyeron en 0,6%.
Alojamiento y restaurantes
En el primer trimestre del 2015, el valor agregado bruto de la actividad
alojamiento y restaurante a precios constantes del 2007, se expandió en 2,9%
respecto al mismo periodo del año anterior, como resultado del incremento en
los subsectores: restaurantes (3,0%) y alojamiento (2,5%). El subsector
restaurantes creció 3,0% principalmente por la apertura de nuevos
establecimientos de expendio de comidas y bebidas así como la variedad de
sus cartas y promociones. Asimismo, influyó en este resultado la realizac ión
de eventos y conciertos musicales.
Las empresas dedicadas al turismo y la gastronomía en el Perú generaron un
movimiento económico que superó los S/.20 mil millones durante el 2013, lo
que motivó un crecimiento de 12%sobre los resultados que obtuvieron en el
2012, según un estudio consolidado por la consultora EY.
De acuerdo con el informe, el número de restaurantes en el país es mayor a
los 77.500 locales, con base en un reporte del Instituto Nacional de Estadística
e Informática (INEI), que data del 2011. El 51% de esta oferta estaría en Lima
y el Callao, donde el centro de la capital sumaría a la mayoría de los
restaurantes, seguido en la lista por la zonas norte, este y sur, respectivamente,
y luego por la provincia constitucional.
2.2. Microambiente
2.2.1. Poder de los compradores
Los compradores están representados por los pobladores, turistas y
visitantes que arriben a la ciudad de Chota todos los días y los fines de
semana para degustar de sus postres y dulces, así mismo el conjunto de
personas, empleados, funcionarios, personas que trabajan y salen en la
tarde de su trabajo a degustar los exquisitos postres en un cafetín.
También se brindaría servicio de la preparación de bocaditos para reuniones
sociales (matrimonios, bautizos, quinceañeros, baby shower, conferencias,
familiares y entrega a domicilio.
2.2.2. Poder de los proveedores
Los insumos que utilizaremos son fáciles de adquirir, ya que en Chiclayo
contamos con uno de los más grandes mercados mayoristas
“Moshoqueque”; que abastece integralmente insumos de alimentos y no
alimentos al cliente profesional.
También podemos establecer convenios con los campesinos de la región de
Lambayeque, para obtener materia primas frescos y a un precio cómodo.
2.2.3. Amenaza de bienes o servicio sustitutos
En el centro de la ciudad de Chota existen varios cafetines, tal es el caso de
la “Cafetín Fam. Gálvez” , “Cafetín fam. Rojas”, “Cafetín Fam. Agreda”,
“Cafetín Las Papitas”, “Cafetín Capuchino”, “Cafetín La Estación”.
III. ANÁLISIS O ESTUDIO DEL MERCADO
3.1. Objetivo general
 Innovar en el mercado con un producto alimenticio novedoso que permita
impulsar el desarrollo de la empresa.
 Diseñar un producto que permita satisfacer algunas de las necesidades básicas
de las personas. Aplicar los parámetros de tiempo, costo, recursos y calidad
en la creación del producto. Fortalecer el espíritu emprendedor de los
aprendices
 Analizar el grado de aceptación que tendrá nuestro Cafetín y Dulceria “La
Casita de la Yuca” S.A.C
3.2. Objetivos específicos
 Diseñar un producto que permita satisfacer algunas de las necesidades básicas
de las personas. Aplicar los parámetros de tiempo, costo, recursos y calidad en
la creación del producto. Fortalecer el espíritu emprendedor de los aprendices
 Determinar la demanda de turistas y visitantes que llegan a la ciudad de
Chota.
 Identificar los factores importantes que influyen en la preferencia de nuestro
servicio.
 Determinar los márgenes de precios de los diferentes platos ofrecidos al
público.
 Identificar nuestro punto de equilibrio para evitar pérdidas en nuestro
negocio.
 Conocer los gustos y preferencias de los consumidores, para establecer los
postres y dulces a base de Yuca.
3.3. Marco teórico:
La yuca es un tubérculo permaneciente al grupo de las Euforbiáceas. El nombre
científico de la yuca es Manihot Esculenta.
Sus propiedades son: un tubérculo con beneficios nutricionales interesantes
gracias a su alto contenido en hidratos de carbono complejos y por tanto en
energía. Además, es un alimento saludable en cuanto a su alto contenido en
vitaminas y minerales
3.4. Hipótesis:
o Crear una empresa con una buena tecnología de punta, con una estrategia de
mercadeo que permita elaborar los postres de yuca de buena calidad que beneficie
a los consumidores.
o En la ciudad de Chota concurren turistas y visitantes los fines de semana y estos
aprovechan su estadía para degustar los platos típicos de la zona, buscando un
lugar adecuado, con la calidad necesaria, buena atención y sobre todo que este en
el centro de la misma ciudad.
3.5. TIPOS DE INVESTIGACION:
Cuantitativa: Con este proyecto se quiere demostrar que los postres de yuca se
podrán comercializar y tener gran acogida por nuestros clientes. Para lo cual se
recopilaran datos por medio de una encuesta para lograr el objetivo de crear
una micro empresa.
3.6. Fuentes de información
3.6.1. Fuentes Primarias
Aplicación de encuesta
3.6.2. Fuentes Secundarias
La información para el desarrollo de esta investigación fue recogida de las
siguientes fuentes:
- INEI
- Periódico Digital Comercio
3.7. Ficha técnica
- Naturaleza Metodológica: Cuantitativa
- Técnica Metodológica: Encuesta personal descriptiva de respuestas
cerrada.
- Tipo de cuestionario: estructurado
- Ámbito geográfico: Provincial (Chota)
- Tamaño muestral: 100 personas
- Elemento de muestreo: Turistas y visitantes con edades comprendidas
entre 25 a 45 años.
- Procedimiento de muestreo: Aleatorio Simple (todas las unidades
pueden ser utilizadas como muestra).
- Días de aplicación de la encuesta: Fin de semana
- Duración del desarrollo la encuesta: 4 días
3.8. Análisis FODA
FORTALEZAS DEBILIDADES
 Buena ubicación geográfica, ya
que contaremos con un
establecimiento (alquilado) que
preste las condiciones óptimas
para brindar un buen servicio y
que además se ubicará en el
centro de la ciudad.
 Asesoría en cuanto a la
realización de nuestro
proyecto.
 Se contará con un local muy
bien ambientado y que sea del
agrado de los clientes que lo
visiten.
 Insumos de calidad
 No contar con un local propio.
 No disponer del personal para el
área de cocina.
 No contar con la infraestructura
requerida para el local (lo que
sugiere que tendremos que hacer
algunas remodelaciones)
 Falta de experiencia
OPORTUNIDADES AMENAZAS
 Apoyo de las autoridades de
turno para fortalecer la
creación de micro empresas Y
 Existencia de competidores
directos a pocos minutos del centro
de la ciudad y la fidelidad de
fomentar el turismo en la
región de Cajamarca y la
provincia de Chota lo que
conlleva a los diferentes
turistas y visitantes a visitar los
diferentes lugares de la región.
 Insalubridad de la competencia
directa.
 Escasa competencia directa en
el centro de la ciudad.
 Concurrencia de turistas a la
ciudad de Chota.
 Desarrollo de la Feria
Religiosa SAN JUAN en el
mes de junio donde concurren
muchos turistas y visitantes.
 Insatisfacción del cliente por el
producto brindado
(competencia directa).
algunos clientes por estos
restaurantes.
 Los servicios sustitutos que
también ofrecen servicio de
comida.
3.9. Visión
Llegar a ser el líder en el mercado y buscar oportunidades de desarrollo y
expansión.
Posicionarnos en el mercado como uno de los mejores Cafetines siendo
reconocidos por el sabor y la calidad de los alimentos servidos; así como por el
servicio y la buena ubicación.
3.10. Misión
Somos un Cafetín y Dulceria dedicado a deleitar los más exigentes paladares;
pues contamos con materia prima selecta para la elaboración de los diversos
postres y dulces ofrecidos a base de Yuca
3.11. Objetivos organizacionales o estratégicos
 Seguir operando en el tiempo, es decir ser una empresa sostenible,
adaptándonos a las necesidades del mercado y lograr de esta manera una
fidelización (conocer los cambios en los gustos y preferencias del cliente).
 Contar con personal altamente competitivo, el cuál será capacitado
anualmente.
 Mantener un adecuado clima laboral con nuestros trabajadores de tal manera
que las actividades se desarrollen de eficientemente.
 Lograr ser reconocido como uno de los mejores Cafetines y Dulcerías de la
región (logrando prestigio, gracias a la buena impresión de nuestros
clientes).
 Contar con la tecnología más moderna y eficiente del mercado.
 Tener un local propio.
3.12. Estrategia de negocio y a nivel empresarial
Debido a que no contamos con el capital necesario para ser líderes en costos
y estar debajo de los precios del mercado, y tomando en cuenta que existen
cafeterías y Dulcerias que ya están posicionados en la mente del consumidor,
que además cuentan con el perfil de Cafeterías turístico que nosotros
ofrecemos; hemos convenido aplicar una estrategia de diferenciación, es
decir buscar una fortaleza que nuestra empresa tiene que generar valor a
nuestros clientes y que no se puede imitar, resulta muy costoso hacerlo y es
perdurable en el tiempo; y esa estrategia es la ubicación céntrica del
establecimiento, cuya ambientación será con motivos propios de la región con
un toque de sofisticación.
3.13. Fuentes de la ventaja competitiva
 Ubicación estratégica (en el centro de la plaza de armas de la ciudad).
 Infraestructura con un diseño adecuado para mantener un ambiente fresco y
ventilado; para la comodidad y disfrute del cliente mientras es atendido.
3.14. Alianzas estratégicas y su valor para la empresa
Mediante el desarrollo de alianzas estratégicas buscamos fortalecernos como
empresa, para generar competitividad y diferenciación de nuestros competidores
directos y no solo eso, sino buscar difundir y promocionar nuestro Cafetín y
Dulceria
Para ello presentamos nuestras alianzas estratégicas a realizar:
 Alianza con la Municipalidad de Chota y Mincetur:
Dentro de su Plan de trabajo, la municipalidad de Chota y Mincetur viene
desarrollando diferentes actividades con las cuales pretende realzar la cultura
existente en la ciudad, de acuerdo a estas actividades vemos que se realizó un
evento gastronómico donde se dieron a conocer los diferentes postres, dulces
y platos típicos que tiene nuestra ciudad y región.
Nosotros podemos aprovechar esta oportunidad para con el apoyo de la
municipalidad desarrollar un evento de esta magnitud, donde daremos a
conocer la peculiaridad de los sabores ofrecidos en nuestro Cafetín y
atraigamos a más consumidores.
Así mismo buscaremos aprovechar el evento de la FIESTA PATRONAL
SAN JUAN BAUTISTA, y negociaremos con los organizadores para tener
un stand pequeño en Corepuquio (San Juanpampa).
IV. PLAN DE MERCADOTECNIA
4.1. Mercado objetivo o mercado meta
Nuestro servicio está orientado a los pobladores, turistas y visitantes (parejas,
casados con hijos y casados sin hijos) que concurran a la ciudad de Chota.
4.2. Objetivos de la mercadotecnia
 Incrementar el nivel de notoriedad de nuestra marca.
 Lograr atraer cada trimestre el 5℅ de comensales.
 Incrementar las ventas en un 10% durante los dos primeros año.
 Destinar el 10℅ de nuestros ingresos para la publicidad que se realizará.
4.3. Estrategias de mercadotecnia
4.3.1.Estrategia de Plaza o distribución:
La distribución de nuestro producto será de forma directa, puesto que
no habrá intermediarios entre nosotros y nuestro consumidor final. El
consumidor deberá dirigirse a nuestras instalaciones para adquirir
nuestro producto.
Utilizaremos una página WEB para que los turistas y visitantes puedan
enterarse del servicio a brindar y de nuestras promociones; además de
incluir un espacio para que los clientes puedan opinar acerca del
servicio brindado.
Lo más importante en esta estrategia será nuestra ubicación ya que
hemos elegido un lugar que es concurrido por nuestro mercado
objetivo.
4.3.2. Estrategia de Promoción
El objetivo fundamental en esta estrategia es buscar comunicar y dar
conocer nuestro producto al mercado objetivo, para ello
desarrollaremos las siguientes estrategias:
 Cuenta de Facebook, se realizarán publicaciones cada cierto
periodo donde daremos a conocer los distintos platos típicos que
ofrecemos.
 Utilizaremos promoción de ventas: estimular las compras para
aumentar las ventas totales (promociones, descuentos por ser
clientes leales, días de menú especial.).
 Feria gastronómica, que se llevará a cabo en conjunto con la
municipalidad de esta ciudad.
 Volantes, distribuidos o repartidos durante los fines de semana
(sábado y domingo), durante el primer año
V. PLAN DE OPERACIONES
5.1. Objetivos
INDICADORES OBJETIVOS
CALIDAD
- Realizar una correcta verificación de los insumos que
vamos a utilizar, almacenándolos de una manera
correcta, para que no hayan mermas en cuanto a los
productos u otros inconvenientes; y en tanto a los
insumos deberán seguir una correcta revisión técnica
cualitativa como cuantitativamente al momento de su
llegada.
- Establecer un estándar de servicio el cual deberá operar
para beneficio del cliente, del trabajador y del negocio.
- Contar con certificaciones de calidad que demanda el
mercado.
ESTÁNDARES DE
PRODUCTIVIDAD
- Contratar a personal con las habilidades para
desempeñar su trabajo, además de estar al día con las
últimas novedades y conocimientos sobre el negocio.
- Crear un buen ambiente laboral, para evitar
ineficiencias.
ENTREGA
- Atender la orden de los clientes en no más de 5 minutos.
- Preparar la orden de los clientes (85%-90%) en un
tiempo no mayor a 10 minutos en cuanto a la entrada, y
el plato fuerte no más de 20 minutos.
- Comprar el predio donde se situará el restaurante, y de
esta manera hacer que mis costos fijos disminuyan en
no más de 3 años.
COSTOS
- Saber negociar en cuanto a la compra de insumos para
disminuir los costos variables.
- Contar con un vehículo para transportar nuestros
insumos, y que estos lleguen en óptimas condiciones
permitiendo disminuir los costos fijos de transporte, en
no más de 4 años.
5.2. Diseño de procesos operativos
TORTA DE YUCA
INGREDIENTES CANTIDAD COSTO
Yuca 1 hg. S/. 2,00
Leche 1 Litro S/. 1,50
Vainilla 1 frasquito S/. 0,50
Azúcar 1 kg. S/. 2,20
Polvo de Hornear 1 sobre S/. 1,00
Mantequilla 3 barras S/. 3,00
Huevos 8 S/. 2,80
COSTO UNITARIO DEL S/. 13,00
RESULTADOS
Precio de Venta 20 porciones S/. 2,00 S/. 40,00
Precio de Costo S/. 13,00
Utilidad S/. 27,00
FLAN DE YUCA
INGREDIENTES CANTIDAD COSTO
de yuca ¼ 0,50
lata de leche evaporada 1 3,00
huevos 6 2,00
Leche condensada 1 5,00
Sal, vainilla, ralladura de
limón al gusto
0,50
COSTO UNITARIO DEL FLAN S/. 11,00
RESULTADOS
Precio de Venta 20 porciones S/. 1,50 S/. 30,00
Precio de Costo S/. 11,00
Utilidad S/. 18,00
PAN DE YUCA
INGREDIENTES CANTIDAD COSTO
 tazas de
almidón de
yuca, aprox.
Media libra
 onzas de
queso
mozarela
 huevos
 Una pizca
de sal
3
10
02
3,00
3,00
0,80
0.10
Utilidad S/. 6,90
RESULTADOS
Precio de Venta 25 panes S/. 0,50 S/. 12,50
Precio de Costo S/. 6,90
Utilidad S/. 5,60
5.3. Diseño de instalaciones
5.3.1.Los equipos
 Menaje y utensilios diversos: Es decir, el conjunto de utensilios
para uso de los clientes.
 Equipamiento de cocina propiamente dicho: que incluye todos
los electrodomésticos necesarios para la preparación de los platillos
del restaurante..
 Mobiliario: o el conjunto de muebles que sirven para facilitar los
usos y actividades habituales, incluidos también implementos de
seguridad como el caso de los extintores.
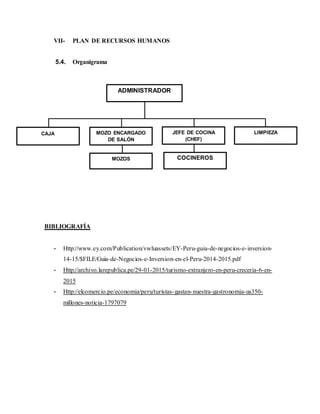
VII- PLAN DE RECURSOS HUMANOS
5.4. Organigrama
BIBLIOGRAFÍA
- Http://www.ey.com/Publication/vwluassets/EY-Peru-guia-de-negocios-e-inversion-
14-15/$FILE/Guia-de-Negocios-e-Inversion-en-el-Peru-2014-2015.pdf
- Http://archivo.larepublica.pe/29-01-2015/turismo-extranjero-en-peru-creceria-6-en-
2015
- Http://elcomercio.pe/economia/peru/turistas-gastan-nuestra-gastronomia-us350-
millones-noticia-1797079
ADMINISTRADOR
LIMPIEZAMOZO ENCARGADO
DE SALÓN
JEFE DE COCINA
(CHEF)
CAJA
MOZOS COCINEROS
ANEXOS
Torta de yuca
Ingredientes:
 1kg de yuca
 8 huevos
 1kg de azúcar
 1 litro de leche
 8 cdas. De mantequilla
Preparación
Pele y lave y quítele el nervio a la yuca. Ralle la yuca por el lado grueso del rallo. Luego que
esta rallada la yuca colocar en una olla y cocinar hasta que este suave. Después dejar que
enfrié unos 10 min, mientras se enfría la yuca, en un recipiente colocar la mantequilla y la
azúcar y mezclar bien, agregar los 8 huevos una vez bien mezclado los huevos. Verter el litro
de leche, lo cual se ase lentamente para permitir que se integre bien en toda la mezcla. Una
vez bien mezclado los ingredientes colocamos la yuca y mezclamos en forma envolvente
hasta conseguir una consistencia homogénea. Procedemos a barnizar el molde con
mantequilla asegurándonos de cubrir bien toda el área interna del molde. Una vez barnizado
vertemos la mezcla en el molde, finalmente la mantenemos en el horno a 150 grados durante
aproximadamente 45-60 minutos.
COCTEL DE YUCA
Ingredientes:
 Yuca
 Leche condensada
 Azúcar
 Whisky
Preparación:
Comprar la yuca se lava se pela y se coloca a cocinar, ya cuando está bien cocida se reposa
por un rato y con la misma agua que se cocinó se coloca a la licuadora junto con la leche
condensada, el whisky y la azúcar al gusto y se licua hasta que tenga una buena
consistencia.
Manjar de yuca
Ingredientes:
 1kg de yuca
 1 taza de harina
 1/2cdta de canela en polvo
 1cdta de vainilla
 3cdta de royal
 1/2cdta de sal
 1 barra de mantequilla
 4 huevos
 ½ taza de azúcar
 1 taza de natilla
 1 lata de leche condensada
Preparación:
En un recipiente cernir los ingredientes secos. Batir la mantequilla con el azúcar hasta cremar.
Luego agregar los huevos y la leche condensada .Y batir hasta que se mescle por completo.
Luego agrego los ingredientes secos alternando con la natilla y la yuca, finalmente agrego la
vainilla. Agrego la mezcla anterior en un molde engrasado y horneo .Una vez que esta dorado
se saca del horno y se coloca el resto de la leche condensada y se deja en el horno hasta que
dore.
FLAN DE YUCA
Ingredientes:
 ¼ de yuca
 1 lata de leche evaporada
 6 huevos
 Leche condensada
 Sal, vainilla, ralladura de limón al gusto
Preparación:
Lavar, pelar y hervir las yucas, colocar en la licuadora ya hervida colocar junto con la yuca
la leche evaporada, la leche condensada, los huevos, sal y vainilla. Licuar, después colocar
en un molde. Y llevar al horno por 45 minutos.
PAN DE YUCA
Ingredientes:
 3 tazas de almidón de yuca, aprox. Media libra
 10 onzas de queso mozarela
 2 huevos
 Una pizca de sal
Preparación
En un tazón mezclar bien el almidón y el queso con las manos por unos cinco minutos.
Agregar la mayor parte de los huevos batidos, seguir amasando y volcar la masa en una mesa
para continuar amasando unos cinco minutos más. La masa no debe quedar húmeda que se
pegue en las manos ni tan seca que se rompa. Hacer una bola un poco un poco aplanada con
la masa y cortar en tiras, luego en cubos de 2 pulgadas aproximadamente para hacer las
bolitas.
Ir colocando las bolitas en una bandeja de horno. Colocar al horno por 20 a 25 minutos hasta
que se hayan inflado no necesariamente debe estar dorado.
TORTILLAS DE YUCA
Ingredientes:
 ½ de yuca
 5 huevos
 1 taza de leche
 Azúcar al gusto
Preparación:
Colocar en un recipiente la yuca cocinada, luego mezclar con los huevos, leche y azúcar al
gusto y batir por unos cinco minutos, mientras en un sartén verter aceite y dejar que caliente,
una vez caliente el aceite añadir la masa en cucharadas y dejar que dore.
Entre otros…
Plan de negocio del   cafetin
Plan de negocio del   cafetin

Plan de negocio del cafetin

  • 1.
    INTEGRANTES:  ASESOR:  Hugo CastilloVélez.  Joselito LasdilaoOblitasBurga
  • 3.
    CAFETIN Y DULCERIA“LA CASITA DE LA YUCA” S.A.C. I. IDEA DE NEGOCIO 1.1. Descripción de la necesidad insatisfecha Mediante el método de la observación hemos detectado, que en nuestra Ciudad de Chota no hay un considerable consumo de Yuca, Por ello hemos convenido trabajar el aspecto gastronómico en la ya mencionada ciudad. En lo que a este rubro respecta, existen varios cafetines en otras ciudades y países que ofrecen diversos platillos típicos de este tubérculo; y también hacer conocer las bondades curativas de este producto; la yuca bien cocinada tiene diferentes beneficios para el organismo: Para comenzar es un alimento rico en vitamina A. Esta vitamina hace que el proceso de envejecimiento de las células sea más lento, por lo que la piel tarda más en envejecer. Otras cualidades de la vitamina A es que fortalecen el cuero cabelludo, fortaleciendo las raíces, así que sirve para combatir la caída del cabello. También resulta ser que esta vitamina es ideal para la vista, ya que previene diferentes enfermedades. La vitamina C también está muy presente en este tubérculo, por lo que ayuda a fortalecer el sistema inmunológico en nuestro cuerpo, previniendo la aparición de diferentes enfermedades, como es el cáncer. Por tales motivos creemos que nuestra idea de negocio creación de un “ Cafetín y Dulcería “LA CASITA DE LA YUCA” I.E.R.L., será en provecho no sólo del grupo de trabajo, sino que será positivo al fomentar el consumo de la Yuca.. Es un proyecto que tiene como finalidad ofrecer a sus clientes los mejores postres a base de yuca naturales bajos en grasas y a los precios más bajos.
  • 4.
    1.2. Producto oservicio a ofrecer El servicio que ofreceremos consiste en la venta de postres y dulces a base de Yuca como: Bocaditos, Mermelada, Mazamorra, Queque, Coctel, Jugo, Tortillas, Pan, Pastel de tres leches, Picarones, Flan, Manjar, Rosquitas y Galletas, Panqueques. 1.3. Mercado objetivo Nuestro mercado objetivo son los pobladores de Chota y visitantes, quienes aprovechan los fines de semana, vacaciones y feriados para conocer los principales atractivos turísticos de la ciudad, y de paso buscan degustar la variedad gastronómica del lugar. 1.4. Oportunidades y amenazas del entorno OPORTUNIDADES AMENAZAS - Insalubridad de la competencia directa. - Escasa competencia directa en el centro de la ciudad. - Concurrencia de personas y turistas a la ciudad de Chota. - Insatisfacción del cliente por el producto brindado (competencia directa). - Fidelización de los clientes, por los restaurantes a los que estos visitan en su estancia en Chota.
  • 5.
    1.5. Fortalezas ydebilidades del entorno FORTALEZAS DEBILIDADES - Contaremos con un establecimiento que preste las condiciones óptimas para brindar un buen servicio. - Asesoría en cuanto a la realización de nuestro proyecto. - Falta de experiencia en el negocio. - No se cuenta con un local propio. 1.6. Diferenciación o ventajas comparativas  La temática de nuestro local será con motivos propios de la región, aplicándole un toque de sofisticación.  Se priorizará la atención al cliente.  Nuestra carta tendrá una variedad de postres y dulces a base de Yuca, y como cortesía se servirá un tamal de yuca con pollo.  Nuestro local se ubicará en el centro de la ciudad.
  • 7.
    II. ANÁLISIS DELENTORNO 2.1. Macroambiente 2.1.1. Aspectos Legales - Económicos En actualidad el Perú se desarrolla legalmente un régimen constitucional de derechos. La constitución política del Perú con sus leyes, normas y reglamentos es la máxima autoridad por la cual el derecho a la libertad de crear empresa, trabajo y la libre contratación, dichos preceptos forman parte sustancial de la protección que obtendremos al iniciarnos en la actividad empresarial; conocedores de esta actividad, el estado a través de los planes de gobierno promueven la actividad empresarial. En base a esta actividad surge la necesidad de formalizarnos y obtener licencia correspondiente para el permiso de apertura del negocio. Con los tributos estatales y municipales, que cumpliremos forma parte de nuestra obligación y un derecho por cumplir al formalizar al restaurante como empresa jurídica constituyéndola como sociedad anónima cerrada. Artículo 59: Libertades de Trabajo, empresa, comercio e industria "El derecho a la libertad de empresa se define como la facultad de poder elegir la organización y efectuar el desarrollo de una unidad de producción de bienes o prestaciones de servicios para satisfacer la demanda de los consumidores o usuarios, dicha libertad debe ser ejercida con sujeción a la ley – siendo sus limitaciones básicas aquellas que derivan de la seguridad "Decreto supremo 025 – 2004 MINCETUR:
  • 8.
    Para abrir unnegocio en el que se manipulen alimentos es indispensable cumplir las normas sanitarias que disponen los ministerios de Salud (MINSA) y de Comercio Exterior y Turismo (MINCETUR). El reglamento de restaurantes establece los requisitos y procedimientos para autorizar la prestación del servicio de Restaurante, así como, la obligatoriedad a todos los que inicien operaciones de presentar la Declaración Jurada de cumplimiento de las normas relativas a las condiciones del servicio que presten. Precisa conceptos referidos en el rubro de Restaurantes, establece los requisitos de infraestructura, equipo y servicios para las categorías de 1 a 5 tenedores y la calificación de Turístico. Dispone la obligación a todos los restaurantes de presentar la Encuesta Económica Anual. Las medidas que se dispongan para regular este rubro gastronómico afectan también a negocios como juguerías, sangucherías, cafeterías y otros que manipulen alimentos y bebidas. Resolución ministerial Nº 363-2005/MINSA: De otro lado se debe tener en cuenta la ‘Norma sanitaria para el funcionamiento de restaurantes y servicios afines’, para evitar problemas con las municipalidades locales, encargadas de dar licencias de funcionamiento o clausurar a los infractores. Este documento establece que, en el caso de que se incurra en alguna de las infracciones, la autoridad podrá imponer medidas tales como el decomiso, incautación inmovilización y destrucción de los productos alimenticios (cuando sean considerados no aptos para el consumo humano) así como la suspensión temporal o definitiva del establecimiento. 2.1.2. Aspectos Económicos En cuanto al Producto Bruto Interno (PBI) se registró un incremento de 2.68% en marzo, según la información proporcionada por el Instituto
  • 9.
    Nacional de Estadística(INEI). De acuerdo con el INEI, esta cifra es la más alta registrada en los últimos 11 meses. En el primer trimestre del año 2015, la economía peruana medida a través del Producto Bruto Interno (PBI) a precios constantes de 2007, registró un crecimiento de 1,7% respecto al similar periodo del año anterior, y en el último año (entre abril del 2014 y marzo del 2015) en 1.61%. El crecimiento del Producto Bruto Interno (PBI) de 1,7% fue el resultado del desempeño favorable de las actividades: agricultura, ganadería, caza y silvicultura (0,4%); extracción de petróleo, gas y minerales (4,1%); electricidad, gas y agua (4,6%); comercio (3,6%); transporte, almacenamiento, correo y mensajería (1,6%); alojamientos y restaurantes (2,9%); telecomunicaciones y otros servicios de información (9,0%); servicios financieros, seguros y pensiones (11,3%); servicios prestados a empresas (5,0%); administración pública y defensa (3,5%); otros servicios (4,4%); por otro lado, se registró una contracción de la producción en la pesca y acuicultura (9,2%); manufactura (5,2%) y construcción (6,8%). Los impuestos a los productos y los derechos de importación disminuyeron en 0,6%. Alojamiento y restaurantes En el primer trimestre del 2015, el valor agregado bruto de la actividad alojamiento y restaurante a precios constantes del 2007, se expandió en 2,9% respecto al mismo periodo del año anterior, como resultado del incremento en los subsectores: restaurantes (3,0%) y alojamiento (2,5%). El subsector restaurantes creció 3,0% principalmente por la apertura de nuevos establecimientos de expendio de comidas y bebidas así como la variedad de sus cartas y promociones. Asimismo, influyó en este resultado la realizac ión de eventos y conciertos musicales. Las empresas dedicadas al turismo y la gastronomía en el Perú generaron un movimiento económico que superó los S/.20 mil millones durante el 2013, lo
  • 10.
    que motivó uncrecimiento de 12%sobre los resultados que obtuvieron en el 2012, según un estudio consolidado por la consultora EY. De acuerdo con el informe, el número de restaurantes en el país es mayor a los 77.500 locales, con base en un reporte del Instituto Nacional de Estadística e Informática (INEI), que data del 2011. El 51% de esta oferta estaría en Lima y el Callao, donde el centro de la capital sumaría a la mayoría de los restaurantes, seguido en la lista por la zonas norte, este y sur, respectivamente, y luego por la provincia constitucional. 2.2. Microambiente 2.2.1. Poder de los compradores Los compradores están representados por los pobladores, turistas y visitantes que arriben a la ciudad de Chota todos los días y los fines de semana para degustar de sus postres y dulces, así mismo el conjunto de personas, empleados, funcionarios, personas que trabajan y salen en la tarde de su trabajo a degustar los exquisitos postres en un cafetín. También se brindaría servicio de la preparación de bocaditos para reuniones sociales (matrimonios, bautizos, quinceañeros, baby shower, conferencias, familiares y entrega a domicilio. 2.2.2. Poder de los proveedores Los insumos que utilizaremos son fáciles de adquirir, ya que en Chiclayo contamos con uno de los más grandes mercados mayoristas “Moshoqueque”; que abastece integralmente insumos de alimentos y no alimentos al cliente profesional. También podemos establecer convenios con los campesinos de la región de Lambayeque, para obtener materia primas frescos y a un precio cómodo.
  • 11.
    2.2.3. Amenaza debienes o servicio sustitutos En el centro de la ciudad de Chota existen varios cafetines, tal es el caso de la “Cafetín Fam. Gálvez” , “Cafetín fam. Rojas”, “Cafetín Fam. Agreda”, “Cafetín Las Papitas”, “Cafetín Capuchino”, “Cafetín La Estación”.
  • 14.
    III. ANÁLISIS OESTUDIO DEL MERCADO 3.1. Objetivo general  Innovar en el mercado con un producto alimenticio novedoso que permita impulsar el desarrollo de la empresa.  Diseñar un producto que permita satisfacer algunas de las necesidades básicas de las personas. Aplicar los parámetros de tiempo, costo, recursos y calidad en la creación del producto. Fortalecer el espíritu emprendedor de los aprendices  Analizar el grado de aceptación que tendrá nuestro Cafetín y Dulceria “La Casita de la Yuca” S.A.C 3.2. Objetivos específicos  Diseñar un producto que permita satisfacer algunas de las necesidades básicas de las personas. Aplicar los parámetros de tiempo, costo, recursos y calidad en la creación del producto. Fortalecer el espíritu emprendedor de los aprendices  Determinar la demanda de turistas y visitantes que llegan a la ciudad de Chota.  Identificar los factores importantes que influyen en la preferencia de nuestro servicio.  Determinar los márgenes de precios de los diferentes platos ofrecidos al público.  Identificar nuestro punto de equilibrio para evitar pérdidas en nuestro negocio.  Conocer los gustos y preferencias de los consumidores, para establecer los postres y dulces a base de Yuca. 3.3. Marco teórico: La yuca es un tubérculo permaneciente al grupo de las Euforbiáceas. El nombre científico de la yuca es Manihot Esculenta.
  • 15.
    Sus propiedades son:un tubérculo con beneficios nutricionales interesantes gracias a su alto contenido en hidratos de carbono complejos y por tanto en energía. Además, es un alimento saludable en cuanto a su alto contenido en vitaminas y minerales 3.4. Hipótesis: o Crear una empresa con una buena tecnología de punta, con una estrategia de mercadeo que permita elaborar los postres de yuca de buena calidad que beneficie a los consumidores. o En la ciudad de Chota concurren turistas y visitantes los fines de semana y estos aprovechan su estadía para degustar los platos típicos de la zona, buscando un lugar adecuado, con la calidad necesaria, buena atención y sobre todo que este en el centro de la misma ciudad. 3.5. TIPOS DE INVESTIGACION: Cuantitativa: Con este proyecto se quiere demostrar que los postres de yuca se podrán comercializar y tener gran acogida por nuestros clientes. Para lo cual se recopilaran datos por medio de una encuesta para lograr el objetivo de crear una micro empresa. 3.6. Fuentes de información 3.6.1. Fuentes Primarias Aplicación de encuesta 3.6.2. Fuentes Secundarias La información para el desarrollo de esta investigación fue recogida de las siguientes fuentes: - INEI - Periódico Digital Comercio 3.7. Ficha técnica - Naturaleza Metodológica: Cuantitativa - Técnica Metodológica: Encuesta personal descriptiva de respuestas cerrada. - Tipo de cuestionario: estructurado - Ámbito geográfico: Provincial (Chota) - Tamaño muestral: 100 personas
  • 16.
    - Elemento demuestreo: Turistas y visitantes con edades comprendidas entre 25 a 45 años. - Procedimiento de muestreo: Aleatorio Simple (todas las unidades pueden ser utilizadas como muestra). - Días de aplicación de la encuesta: Fin de semana - Duración del desarrollo la encuesta: 4 días 3.8. Análisis FODA FORTALEZAS DEBILIDADES  Buena ubicación geográfica, ya que contaremos con un establecimiento (alquilado) que preste las condiciones óptimas para brindar un buen servicio y que además se ubicará en el centro de la ciudad.  Asesoría en cuanto a la realización de nuestro proyecto.  Se contará con un local muy bien ambientado y que sea del agrado de los clientes que lo visiten.  Insumos de calidad  No contar con un local propio.  No disponer del personal para el área de cocina.  No contar con la infraestructura requerida para el local (lo que sugiere que tendremos que hacer algunas remodelaciones)  Falta de experiencia OPORTUNIDADES AMENAZAS  Apoyo de las autoridades de turno para fortalecer la creación de micro empresas Y  Existencia de competidores directos a pocos minutos del centro de la ciudad y la fidelidad de
  • 17.
    fomentar el turismoen la región de Cajamarca y la provincia de Chota lo que conlleva a los diferentes turistas y visitantes a visitar los diferentes lugares de la región.  Insalubridad de la competencia directa.  Escasa competencia directa en el centro de la ciudad.  Concurrencia de turistas a la ciudad de Chota.  Desarrollo de la Feria Religiosa SAN JUAN en el mes de junio donde concurren muchos turistas y visitantes.  Insatisfacción del cliente por el producto brindado (competencia directa). algunos clientes por estos restaurantes.  Los servicios sustitutos que también ofrecen servicio de comida. 3.9. Visión Llegar a ser el líder en el mercado y buscar oportunidades de desarrollo y expansión. Posicionarnos en el mercado como uno de los mejores Cafetines siendo reconocidos por el sabor y la calidad de los alimentos servidos; así como por el servicio y la buena ubicación. 3.10. Misión Somos un Cafetín y Dulceria dedicado a deleitar los más exigentes paladares; pues contamos con materia prima selecta para la elaboración de los diversos postres y dulces ofrecidos a base de Yuca
  • 18.
    3.11. Objetivos organizacionaleso estratégicos  Seguir operando en el tiempo, es decir ser una empresa sostenible, adaptándonos a las necesidades del mercado y lograr de esta manera una fidelización (conocer los cambios en los gustos y preferencias del cliente).  Contar con personal altamente competitivo, el cuál será capacitado anualmente.  Mantener un adecuado clima laboral con nuestros trabajadores de tal manera que las actividades se desarrollen de eficientemente.  Lograr ser reconocido como uno de los mejores Cafetines y Dulcerías de la región (logrando prestigio, gracias a la buena impresión de nuestros clientes).  Contar con la tecnología más moderna y eficiente del mercado.  Tener un local propio. 3.12. Estrategia de negocio y a nivel empresarial Debido a que no contamos con el capital necesario para ser líderes en costos y estar debajo de los precios del mercado, y tomando en cuenta que existen cafeterías y Dulcerias que ya están posicionados en la mente del consumidor, que además cuentan con el perfil de Cafeterías turístico que nosotros ofrecemos; hemos convenido aplicar una estrategia de diferenciación, es decir buscar una fortaleza que nuestra empresa tiene que generar valor a nuestros clientes y que no se puede imitar, resulta muy costoso hacerlo y es perdurable en el tiempo; y esa estrategia es la ubicación céntrica del establecimiento, cuya ambientación será con motivos propios de la región con un toque de sofisticación. 3.13. Fuentes de la ventaja competitiva  Ubicación estratégica (en el centro de la plaza de armas de la ciudad).  Infraestructura con un diseño adecuado para mantener un ambiente fresco y ventilado; para la comodidad y disfrute del cliente mientras es atendido.
  • 19.
    3.14. Alianzas estratégicasy su valor para la empresa Mediante el desarrollo de alianzas estratégicas buscamos fortalecernos como empresa, para generar competitividad y diferenciación de nuestros competidores directos y no solo eso, sino buscar difundir y promocionar nuestro Cafetín y Dulceria Para ello presentamos nuestras alianzas estratégicas a realizar:  Alianza con la Municipalidad de Chota y Mincetur: Dentro de su Plan de trabajo, la municipalidad de Chota y Mincetur viene desarrollando diferentes actividades con las cuales pretende realzar la cultura existente en la ciudad, de acuerdo a estas actividades vemos que se realizó un evento gastronómico donde se dieron a conocer los diferentes postres, dulces y platos típicos que tiene nuestra ciudad y región. Nosotros podemos aprovechar esta oportunidad para con el apoyo de la municipalidad desarrollar un evento de esta magnitud, donde daremos a conocer la peculiaridad de los sabores ofrecidos en nuestro Cafetín y atraigamos a más consumidores. Así mismo buscaremos aprovechar el evento de la FIESTA PATRONAL SAN JUAN BAUTISTA, y negociaremos con los organizadores para tener un stand pequeño en Corepuquio (San Juanpampa).
  • 21.
    IV. PLAN DEMERCADOTECNIA 4.1. Mercado objetivo o mercado meta Nuestro servicio está orientado a los pobladores, turistas y visitantes (parejas, casados con hijos y casados sin hijos) que concurran a la ciudad de Chota. 4.2. Objetivos de la mercadotecnia  Incrementar el nivel de notoriedad de nuestra marca.  Lograr atraer cada trimestre el 5℅ de comensales.  Incrementar las ventas en un 10% durante los dos primeros año.  Destinar el 10℅ de nuestros ingresos para la publicidad que se realizará. 4.3. Estrategias de mercadotecnia 4.3.1.Estrategia de Plaza o distribución: La distribución de nuestro producto será de forma directa, puesto que no habrá intermediarios entre nosotros y nuestro consumidor final. El consumidor deberá dirigirse a nuestras instalaciones para adquirir nuestro producto. Utilizaremos una página WEB para que los turistas y visitantes puedan enterarse del servicio a brindar y de nuestras promociones; además de incluir un espacio para que los clientes puedan opinar acerca del servicio brindado. Lo más importante en esta estrategia será nuestra ubicación ya que hemos elegido un lugar que es concurrido por nuestro mercado objetivo.
  • 22.
    4.3.2. Estrategia dePromoción El objetivo fundamental en esta estrategia es buscar comunicar y dar conocer nuestro producto al mercado objetivo, para ello desarrollaremos las siguientes estrategias:  Cuenta de Facebook, se realizarán publicaciones cada cierto periodo donde daremos a conocer los distintos platos típicos que ofrecemos.  Utilizaremos promoción de ventas: estimular las compras para aumentar las ventas totales (promociones, descuentos por ser clientes leales, días de menú especial.).  Feria gastronómica, que se llevará a cabo en conjunto con la municipalidad de esta ciudad.  Volantes, distribuidos o repartidos durante los fines de semana (sábado y domingo), durante el primer año
  • 24.
    V. PLAN DEOPERACIONES 5.1. Objetivos INDICADORES OBJETIVOS CALIDAD - Realizar una correcta verificación de los insumos que vamos a utilizar, almacenándolos de una manera correcta, para que no hayan mermas en cuanto a los productos u otros inconvenientes; y en tanto a los insumos deberán seguir una correcta revisión técnica cualitativa como cuantitativamente al momento de su llegada. - Establecer un estándar de servicio el cual deberá operar para beneficio del cliente, del trabajador y del negocio. - Contar con certificaciones de calidad que demanda el mercado. ESTÁNDARES DE PRODUCTIVIDAD - Contratar a personal con las habilidades para desempeñar su trabajo, además de estar al día con las últimas novedades y conocimientos sobre el negocio. - Crear un buen ambiente laboral, para evitar ineficiencias. ENTREGA - Atender la orden de los clientes en no más de 5 minutos. - Preparar la orden de los clientes (85%-90%) en un tiempo no mayor a 10 minutos en cuanto a la entrada, y el plato fuerte no más de 20 minutos. - Comprar el predio donde se situará el restaurante, y de esta manera hacer que mis costos fijos disminuyan en no más de 3 años.
  • 25.
    COSTOS - Saber negociaren cuanto a la compra de insumos para disminuir los costos variables. - Contar con un vehículo para transportar nuestros insumos, y que estos lleguen en óptimas condiciones permitiendo disminuir los costos fijos de transporte, en no más de 4 años. 5.2. Diseño de procesos operativos TORTA DE YUCA INGREDIENTES CANTIDAD COSTO Yuca 1 hg. S/. 2,00 Leche 1 Litro S/. 1,50 Vainilla 1 frasquito S/. 0,50 Azúcar 1 kg. S/. 2,20 Polvo de Hornear 1 sobre S/. 1,00 Mantequilla 3 barras S/. 3,00 Huevos 8 S/. 2,80 COSTO UNITARIO DEL S/. 13,00 RESULTADOS Precio de Venta 20 porciones S/. 2,00 S/. 40,00 Precio de Costo S/. 13,00 Utilidad S/. 27,00 FLAN DE YUCA
  • 26.
    INGREDIENTES CANTIDAD COSTO deyuca ¼ 0,50 lata de leche evaporada 1 3,00 huevos 6 2,00 Leche condensada 1 5,00 Sal, vainilla, ralladura de limón al gusto 0,50 COSTO UNITARIO DEL FLAN S/. 11,00 RESULTADOS Precio de Venta 20 porciones S/. 1,50 S/. 30,00 Precio de Costo S/. 11,00 Utilidad S/. 18,00 PAN DE YUCA INGREDIENTES CANTIDAD COSTO  tazas de almidón de yuca, aprox. Media libra  onzas de queso mozarela  huevos  Una pizca de sal 3 10 02 3,00 3,00 0,80 0.10 Utilidad S/. 6,90 RESULTADOS Precio de Venta 25 panes S/. 0,50 S/. 12,50
  • 27.
    Precio de CostoS/. 6,90 Utilidad S/. 5,60 5.3. Diseño de instalaciones 5.3.1.Los equipos  Menaje y utensilios diversos: Es decir, el conjunto de utensilios para uso de los clientes.  Equipamiento de cocina propiamente dicho: que incluye todos los electrodomésticos necesarios para la preparación de los platillos del restaurante..  Mobiliario: o el conjunto de muebles que sirven para facilitar los usos y actividades habituales, incluidos también implementos de seguridad como el caso de los extintores.
  • 29.
    VII- PLAN DERECURSOS HUMANOS 5.4. Organigrama BIBLIOGRAFÍA - Http://www.ey.com/Publication/vwluassets/EY-Peru-guia-de-negocios-e-inversion- 14-15/$FILE/Guia-de-Negocios-e-Inversion-en-el-Peru-2014-2015.pdf - Http://archivo.larepublica.pe/29-01-2015/turismo-extranjero-en-peru-creceria-6-en- 2015 - Http://elcomercio.pe/economia/peru/turistas-gastan-nuestra-gastronomia-us350- millones-noticia-1797079 ADMINISTRADOR LIMPIEZAMOZO ENCARGADO DE SALÓN JEFE DE COCINA (CHEF) CAJA MOZOS COCINEROS
  • 31.
    ANEXOS Torta de yuca Ingredientes: 1kg de yuca  8 huevos  1kg de azúcar  1 litro de leche  8 cdas. De mantequilla Preparación Pele y lave y quítele el nervio a la yuca. Ralle la yuca por el lado grueso del rallo. Luego que esta rallada la yuca colocar en una olla y cocinar hasta que este suave. Después dejar que enfrié unos 10 min, mientras se enfría la yuca, en un recipiente colocar la mantequilla y la azúcar y mezclar bien, agregar los 8 huevos una vez bien mezclado los huevos. Verter el litro de leche, lo cual se ase lentamente para permitir que se integre bien en toda la mezcla. Una vez bien mezclado los ingredientes colocamos la yuca y mezclamos en forma envolvente hasta conseguir una consistencia homogénea. Procedemos a barnizar el molde con mantequilla asegurándonos de cubrir bien toda el área interna del molde. Una vez barnizado vertemos la mezcla en el molde, finalmente la mantenemos en el horno a 150 grados durante aproximadamente 45-60 minutos. COCTEL DE YUCA Ingredientes:  Yuca  Leche condensada  Azúcar  Whisky Preparación: Comprar la yuca se lava se pela y se coloca a cocinar, ya cuando está bien cocida se reposa por un rato y con la misma agua que se cocinó se coloca a la licuadora junto con la leche condensada, el whisky y la azúcar al gusto y se licua hasta que tenga una buena consistencia.
  • 32.
    Manjar de yuca Ingredientes: 1kg de yuca  1 taza de harina  1/2cdta de canela en polvo  1cdta de vainilla  3cdta de royal  1/2cdta de sal  1 barra de mantequilla  4 huevos  ½ taza de azúcar  1 taza de natilla  1 lata de leche condensada Preparación: En un recipiente cernir los ingredientes secos. Batir la mantequilla con el azúcar hasta cremar. Luego agregar los huevos y la leche condensada .Y batir hasta que se mescle por completo. Luego agrego los ingredientes secos alternando con la natilla y la yuca, finalmente agrego la vainilla. Agrego la mezcla anterior en un molde engrasado y horneo .Una vez que esta dorado se saca del horno y se coloca el resto de la leche condensada y se deja en el horno hasta que dore. FLAN DE YUCA Ingredientes:  ¼ de yuca  1 lata de leche evaporada  6 huevos  Leche condensada  Sal, vainilla, ralladura de limón al gusto Preparación: Lavar, pelar y hervir las yucas, colocar en la licuadora ya hervida colocar junto con la yuca la leche evaporada, la leche condensada, los huevos, sal y vainilla. Licuar, después colocar en un molde. Y llevar al horno por 45 minutos. PAN DE YUCA
  • 33.
    Ingredientes:  3 tazasde almidón de yuca, aprox. Media libra  10 onzas de queso mozarela  2 huevos  Una pizca de sal Preparación En un tazón mezclar bien el almidón y el queso con las manos por unos cinco minutos. Agregar la mayor parte de los huevos batidos, seguir amasando y volcar la masa en una mesa para continuar amasando unos cinco minutos más. La masa no debe quedar húmeda que se pegue en las manos ni tan seca que se rompa. Hacer una bola un poco un poco aplanada con la masa y cortar en tiras, luego en cubos de 2 pulgadas aproximadamente para hacer las bolitas. Ir colocando las bolitas en una bandeja de horno. Colocar al horno por 20 a 25 minutos hasta que se hayan inflado no necesariamente debe estar dorado. TORTILLAS DE YUCA Ingredientes:  ½ de yuca  5 huevos  1 taza de leche  Azúcar al gusto Preparación: Colocar en un recipiente la yuca cocinada, luego mezclar con los huevos, leche y azúcar al gusto y batir por unos cinco minutos, mientras en un sartén verter aceite y dejar que caliente, una vez caliente el aceite añadir la masa en cucharadas y dejar que dore. Entre otros…