Prof.: Jaime Santo Domingo Santillana
E.P.S.-Zamora – (U.SAL.) - 2008
Tema 5 : FLEXIÓN: TENSIONES
G x
z
y
n
n
σMAX(COMPRESIÓN)
σMAX(TRACCIÓN)
Problemas resueltos
5.1.-Representar los diagramas de fuerzas cortantes y de momentos flectores de la viga de
la figura.
Cálculo de reacciones en los apoyos: Ecuaciones de equilibrio:
Diagramas de esfuerzos:
15 kN/m
10 kN.m
20 kN
8 kN
A
B
2 m 1 m 1 m 1 m
RA
RB
: 23
35
A
B
resolviendo R kN
R kN
=
=
0 15.2 20 8 (1)
0 .4 15.2.1 20.3 8.5 (2)
A B
A B
F R R
M R
= + = + +
= = + +
∑
∑
0 2
23 15. 0 23 2 7
0 23 15. 0 1,53
23. 15. . 0 0 2 16 .
2
1,53 17,63 .
y y y
y
z z z
z
x
V x x V kN x V kN
V x x m
x
M x x x M x M kN m
x M kN m
− −
= − = → = = → = −
= − = → =
= − = → = = → =
= → =
2 3
23 15.2 7
23. 15.2.( 1) 10 2 26 .
3 19 .
y
z z
z
x
V
M x x x M kN m
x M kN m
− −
= − = −
= − − + = → =
= → =
27
7
8
23
1,53 m
x
Vy (kN)
17,63
16
19
26
8
Mz (kN.m)
x
-
+
+
3 4
23 15.2 20 27
23. 15.2.( 1) 10 20.( 3) 3 19 .
4 8 .
0 3,7
4 5
8
8.(5 ) 4 8 .
5 0
y
z z
z
z
y
z z
z
x
V kN
M x x x x M kN m
x M kN m
M x m
x
V kN
M x x M kN m
x M
− −
= − − = −
= − − + − − = → =
= → = −
= → =
− −
=
= − − = → = −
= → =
5.2.-Representar los diagramas de fuerzas cortantes y de momentos flectores de la viga de
la figura
Cálculo de las reacciones: Ecuaciones de equilibrio:
Diagramas de esfuerzos:
1
0 .2,5.1,5 10 11,87
2
1 1
0 .2,5.1,5.(2 .1,5) 10.1 14,68 .
2 3
A
A A
F R kN
M M kN m
= = + =
= = + + =
∑
∑
2,5 kN/m 10 kN
1,5 m 1 m 1 m
RAMA
h
x
2,5
: 1,67.
1,5
h
por semejanza de triángulos h x
x
= → =
0 1,5
1 1
. . . .1,67. 0 0 1,5 1,87
2 2
1 1
. .1,67. . . 0 0 1,5 0,94 .
2 3
1,5 2,5
1
.1,5.2,5 1,87
2
1 2
.1,5.2,5.( .1,5) 1,5 0,94 . 2,5 2,81 .
2 3
y y y
z z z
y
z z z
x
V x h x x x V x V kN
M x x x x M x M kN m
x
V kN
M x x M kN m x M kN m
− −
= − = − = → = = → = −
= − = → = = → = −
− −
= − = −
= − − = → = − = → = −
11,87
1,87
Vy (Kg)
x
14,68
2,81
0,94
Mz (Kg.m)
x
-
-
2,5 3,5
11,87
11,87.(3,5 ) 14,68 2,5 2,81 .
3,5 14,68 .
y
z z
z
x
V kN
M x x M kN m
x M kN m
− −
= −
= − − = → = −
= → = −
5.3.-Representar los diagramas de fuerzas cortantes y de momentos flectores de la viga de
la figura sometida a las cargas verticales y horizontales indicadas
Cálculo de reacciones: Ecuaciones de equilibrio:
Resolviendo:
Diagramas de esfuerzos:
10 kN
8 kN
z
y
1 m 2 m 1 m
VA VB
HA
HB
0 10 (1)
0 8 (2)
0 .4 10.1 (3)
0 .4 8.3 (4)
y A B
z A B
zA B
yA B
F V V
F H H
M V
M H
= + =
= + =
= =
= =
∑
∑
∑
∑
7,5
2,5
2
6
A
B
A
B
V kN
V kN
H kN
H kN
=
=
=
=
0 1
7,5 2
7,5. 0 0 1 7,50 .
2. 0 0 1 2 .
y z
z z z
y y y
x
V kN V kN
M x x M x M kN m
M x x M x M kN m
− −
= =
= = → = = → =
= = → = = → =
2,5
7,5 6
2
7,5
6
2
2,5
Vy (kN)
Vz (kN)
Mz (kN.m)
My (kN.m)
x
x
x
x
-
-
+
+
+
+
1 3
7,5 10 2,5
2
7,5. 10.( 1) 1 7,5 . 3 2,5 .
2. 1 2 . 3 6 .
3 4
7,5 10 2,5
2 8 6
7,5. 10.( 1) 3 2,50 . 4 0
2. 8.( 3) 3 6 .
y
z
z z z
y y y
y
z
z z z
y y
x
V kN
V kN
M x x x M kN m x M kN m
M x x M kN m x M kN m
x
V kN
V kN
M x x x M kN m x M
M x x x M kN m
− −
= − = −
=
= − − = → = = → =
= = → = = → =
− −
= − = −
= − = −
= − − = → = = → =
= − − = → = 4 0yx M= → =
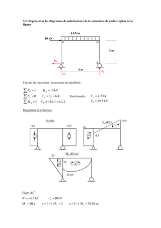
5.5.-Representar los diagramas de solicitaciones de la estructura de nudos rígidos de la
figura
Cálculo de reacciones: Ecuaciones de equilibrio:
Resolviendo:
Diagramas de esfuerzos:
10 kN
6 kN/m
3 m
4 m
VA
VB
HA
A
C D
B
0 10
0 6.4
0 .4 10.3 6.4.2
H A
V A B
A B
F H kN
F V V
M V
= =
= + =
= = +
∑
∑
∑
4,5
19,5
A
B
V kN
V kN
=
=
4,5 10
10. 0 0 3 30 .
y
z z z
Pilar AC
N kN V kN
M x x M x M kN m
= − =
= = → = = → =
- - +
++
4,5
N (kN)
Mz (kN.m)
19,5
10
4,5
19,5
30
30
31,69
Vy (kN)
-
:
10 10 0
4,5 6.
0 4,5 4 19,5 0 0,75
4,5. 10.3 6. .
2
0 30 . 4 0 0,75 31,69 .
:
19,5
0
0
y
y y Y
z
z z z
y
z
Viga CD
N
V x
x V kN x V kN R x m
x
M x x
x M kN m x M x M kN m
Pilar BD
N kN
V
M
= − =
= −
= → = = → = − = → =
= + −
= → = = → = = → =
= −
=
=
5.7.-Representar los diagramas de solicitaciones de la viga de la figura
Cálculo de reacciones:
20 kN/m
18 kN/m
10 kN.m
8 kN.m 50 kN
22 kN
3 m2 m1 m
65,6
47,6
2,4
62,4
14,8
7,210
97,2
8
21,6
Vy
Vz
Mz
My
x
x
x
x
Solución:
+
+
-
-
+
+
-
-
VA VB
HA HB
1
0 .18.2 50 20.3 (1)
2
0 22 (2)
1 2
0 .5 10 18.(3 .2) 50.3 20.3.1.5 (3)
2 3
0 .5 8 22.3 (4)
resolviendo (1), (2), (3), (4) 65,6 62,4
14,8 7,2
y A B
z A B
zB A
yB A
A B
A B
F V V
F H H
M V
M H
V kN V kN
H kN H kN
= + = + +
= + =
= = + + + +
= = +
⇒ = =
= =
∑
∑
∑
∑
[ ]
[ ]
0 1: 0 8 .
1
1 3: 65,6 9.(3 ).( 1) .( 1). 18 9.(3 )
2
1 65,6 3 47,6
14,8
( 1) 1 2
65,6.( 1) 9.(3 ).( 1). .( 1). 18 9.(3 ) . .( 1) 10
2 2 3
1 10 . 3 97,2
y z z y
y
y y
z
z
z z
x V V M M kN m
x V x x x x
x V kN x V kN
V kN
x
M x x x x x x
x M kN m x M kN
− − = = = =
− − = − − − − − − −
= → = = → =
= −
−
= − − − − − − − − − −
= → = − = → = .
8 14,8.( 1)
1 8 . 3 21,6 .
1
3 6: 65,6 .18.2 50 20.( 3)
2
3 2,4 6 62,4
14,8 22 7,2
1 1 ( 3)
65,6.( 1) .18.2.( 1 .2) 10 50.( 3) 20.( 3).
2 3 2
3 97,2 . 6
y
y y
y
y y
z
z
z
m
M x
x M kN m x M kN m
x V x
x V kN x V kN
V kN
x
M x x x x
x M kN m x
= − −
= → = = → = −
− − = − − − −
= → = − = → = −
= − + =
−
= − − − − − − − − −
= → = = 0 .
8 14,8.( 1) 22.( 3)
3 21,6 . 6 0 .
z
y
y y
M kN m
M x x
x M kN m x M kN m
→ =
= − − + −
= → = − = → =
18
h
x
1 2
18
9.(3 )
2 3
h
h x
x
= → = −
−
5.11.-Una sección de una viga está sometida a las siguientes solicitaciones: Vy = 90 kN.,
Vz = -70 kN., Mz = 40 kN.m., My = -50 kN.m. La sección es rectangular de 30 cm x 40 cm.
Calcular:
1) Tensiones normal y cortante en un punto de la sección de coordenadas:
y= -10 cm., z= 8 cm
2) Línea neutra, indicando las zonas de la sección de tracción y de compresión
3) Tensión normal máxima, indicando el punto donde se dará.
4) Diagramas de tensiones cortantes y Tensión cortante máxima
5) Tensión cortante media
50 kN.m
40 kN.m
70 kN
90 kN
40 cm
30 cm
8 cm
10 cm
A
z
y
x
σx
)(0
9000030.40.
12
1
16000040.30.
12
1
43
43
sprincipaleEjessimetriadeejesI
cmI
cmI
zy
y
z
→=
==
==
6 6
2
4 4
.. 40.10 .( 100) 50.10 .(80)
6,94 /
160000.10 90000.10
y Az A
xA
z y
M zM y
N mm
I I
σ
− −
= + = + = −
3 3
2
4
. ( ) . ( ) 70.10 .(3220.10 )
0,626 /
( ). ( ). 40.10.90000.10
y z z y
xzA
z y
R Q z R Q z
N mm
t z I t z I
τ
−
= + = = −
3 3
2
4
. ( ) . ( ) 90.10 .( 4500.10 )
0,84 /
( ). ( ). 30.10.160000.10
y z z y
xyA
z y
R Q y R Q y
N mm
t y I t y I
τ
−
= + = = −
3
( ) 30
( ) 30.10.( 15) 4500
( ) 0
z
y
t y cm
Q y cm
Q y por simetría
=
= − = −
=
3
( ) 40
( ) 0
( ) 40.7.11,5 3220
z
y
t z cm
Q z por simetría
Q z cm
=
=
= =
z
y
40
8 7
A
τxz
z
y
30
10
10
A
τxy
2) Línea neutra:
. 50.160000
2,22
. 40.90000
y z
z y
M I
tag
M I
α
−
= − = − = →
3) Tensiones normales máximas:
α = 65,8º
α = 65,8º
n
n
z
y
G z z
y y
n
n
n n
T T
T
T
C C C
C
Mz > 0 My < 0
T
C
T
C
G
n
n
z
x
x
B
D
y
σMAX(C)
σMAX(T)
6 6
2
4 4
.. 40.10 .20.10 50.10 .( 15.10)
( ) 13,33 /
160000.10 90000.10
y Bz B
MAX xB
z y
M zM y
T N mm
I I
σ σ
− −
= = + = + =
6 6
2
4 4
.. 4010 .( 20.10) 50.10 .15.10
( ) 13,33 /
160000.10 90000.10
y Dz D
MAX xD
z y
M zM y
C N mm
I I
σ σ
− −
= = + = + = −
4) Diagramas de tensiones cortantes
Diagramas de τxy:
→
siendo:
Diagramas de τxz:
→→→→
siendo:
3 2 2 3
4
. ( ) . ( ) 90.10 .15.(20 ).10
( ). ( ). 30.10.160000.10
y z z y
xy
z y
R Q y R Q y y
t y I t y I
τ
−
= + =
20 0
0 1,125
20 0
xy
xy
xy
y
y
y
τ
τ
τ
= → =
= → =
= − → =
z
y
y
20
30
τxy
τXYMAX
τXYMAX
2 2 3
( ) 30
20
( ) 30.(20 ). 15.(20 )
2
( ) 0
z
y
t y cm
y
Q y y y cm
Q y por simetría
=
+
= − = −
=
3 2 2 3
4
. ( ) . ( ) 70.10 .20.(15 ).10
( ). ( ). 40.10.90000.10
y z z y
xz
z y
R Q z R Q z z
t z I t z I
τ
− −
= + =
15 0
0 0,875
15 0
xz
xz
xz
z
z
z
τ
τ
τ
= → =
= → = −
= − → =
2 2 3
( ) 30
15
( ) 40.(15 ). 20.(15 )
2
( ) 0
y
z
t z cm
z
Q z z z cm
Q z por simetría
=
+
= − = −
=
y
40
15
z
z
τxzMAX
τxzMAX
5) Tensión cortante media:
2
2
1,125 /
0,875 /
xyMAX
xzMAX
N mm enlos puntos del eje z
N mm enlos puntos del eje y
τ
τ
=
=
2 2 2
1,425 /MAX xyMAX xzMAX N mm enel centro de gravedad Gτ τ τ= + =
τxyMAX
τxzMAX
τMAX
G
y
z
τXYmediaτXYmedia
τxzmedia
τxzmedia
3
2
3
2
90.10
0,75 /
300.400
70.10
0,583 /
300.400
y
xymedia
z
xzmedia
V
N mm
A
V
N mm
A
τ
τ
= = =
−
= = =
5.12.-La sección de una viga IPE-300 está solicitada por los esfuerzos cortantes:
Vy=30 kN., Vz=20 kN. Se pide calcular:
1) Los diagramas de tensiones cortantes en las alas y en el alma de la sección, debidas
sólo a Vy.
2) Los diagramas de tensiones cortantes en las alas y en el alma de la sección debidas
sólo a Vz
3) Valores medios de las tensiones cortantes en alas y alma
Tramo s1:
→→→→
→→→→
Tramo s2:
→→→→
→→→→
h/2=150 mm
h/2=150 mm
b/2=75 mm b/2=75 mm
tw= 7,1 mm
tf=10,7 mm
10,7 mm
z
y
Vy=30 kN
s1s2
s5
Vz=20 kN
s4 s3
d=248,6
4 4
4 4
300
8360.10
604.10
z
y
IPE
I mm
I mm
−
=
=
. ( ) . ( )
( ). ( ).
y z z y
xs
z y
V Q s V Q s
t s I t s I
τ = +
1 1
21
1 1 1
3
1
4
3 2
1
( ) 10,7
10,7
( ) 10,7. .(150 ) 1547,75.
2
( ) 10,7. .(75 ) 5,35. 802,5.
2
. ( ) 30.10 .1547,75.
( ). 10,7.8360.10
. ( ) 20.10 .( 5,35. 802
( ).
f
z
y
y z
y xs
z
z y
z xs
y
t s t
Q s s s
s
Q s s s s
V Q s s
debidoaV
t s I
V Q s s
debidoaV
t s I
τ
τ
= =
= − =
= − = − +
→ = =
− +
→ = = 1
4
,5. )
10,7.604.10
s
1
2
1
0 0
75 3,9 /
xs
xs
s
s N mm
τ
τ
= → =
= → =
1
2
1
0 0
75 9,176 /
xs
xs
s
s N mm
τ
τ
= → =
= → =
[
2 2
22
2 2 2
3
2
4
3 2
2
( ) 10,7
10,7
( ) 10,7. .(150 ) 1547,75.
2
( ) 10,7. . (75 ) 5,35. 802,5.
2
. ( ) 30.10 .1547,75.
( ). 10,7.8360.10
. ( ) 20.10 .(5,35. 802,
( ).
f
z
y
y z
y xs
z
z y
z xs
y
t s t
Q s s s
s
Q s s s s
V Q s s
debidoaV
t s I
V Q s s
debidoaV
t s I
τ
τ
= =
= − =
= − − = −
→ = =
−
→ = = 2
4
5. )
10,7.604.10
s
2
2
2
0 0
75 3,9 /
xs
xs
s
s N mm
τ
τ
= → =
= → =
2
2
2
0 0
75 9,176 /
xs
xs
s
s N mm
τ
τ
= → =
= → = −
Tramo s3:
→→→→
→→→→
Tramo s4:
→→→→
→→→→
Tramo s5:
→→→→
[ ]3 3
23
3 3 3
3
3
4
3
3
( ) 10,7
10,7
( ) 10,7. . (150 ) 1547,75.
2
( ) 10,7. .(75 ) 5,35. 802,5.
2
. ( ) 30.10 .( 1547,75. )
( ). 10,7.8360.10
. ( ) 20.10 .( 5,35.
( ).
f
z
y
y z
y xs
z
z y
z xs
y
t s t
Q s s s
s
Q s s s s
V Q s s
debidoaV
t s I
V Q s s
debidoaV
t s I
τ
τ
= =
= − − = −
= − = − +
−
→ = =
−
→ = =
2
3
4
802,5. )
10,7.604.10
s+
3
2
3
0 0
75 3,9 /
xs
xs
s
s N mm
τ
τ
= → =
= → = −
3
2
3
0 0
75 9,176 /
xs
xs
s
s N mm
τ
τ
= → =
= → =
[ ]
[ ]
4 4
23
3 4 4
3
4
4
3 2
4
( ) 10,7
10,7
( ) 10,7. . (150 ) 1547,75.
2
( ) 10,7. . (75 ) 5,35. 802,5.
2
. ( ) 30.10 .( 1547,75. )
( ). 10,7.8360.10
. ( ) 20.10 .(5,35.
( ).
f
z
y
y z
y xs
z
z y
z xs
y
t s t
Q s s s
s
Q s s s s
V Q s s
debidoaV
t s I
V Q s s
debidoaV
t s I
τ
τ
= =
= − − = −
= − − = −
−
→ = =
→ = = 4
4
802,5. )
10,7.604.10
s−
4
2
4
0 0
75 3,9 /
xs
xs
s
s N mm
τ
τ
= → =
= → = −
4
2
4
0 0
75 9,176 /
xs
xs
s
s N mm
τ
τ
= → =
= → = −
2
35 5
, 5
2
3 3 5
4
( ) 7,1
( ) / 2 7,1. . 314.10 7,1.
2 2
( ) 0 ( )
30.10 .(314.10 7,1. ). ( ) 2
( ). 7,1.8360.10
. ( )
0
( ).
w
z pl y
y
y z
y xs
z
z y
z xs
y
t s t
s s
Q s W s
Q s por simetría
s
V Q s
debidoaV
e s I
V Q s
debidoaV
e s I
τ
τ
= =
= − = −
=
−
→ = =
→ = =
2
5
2
5
0 15,87 /
124,3 13,1 /
xs
xs
s N mm
s N mm
τ
τ
= → =
= → =
Debido a Ry: hay tensiones cortantes en el alma y en las alas
Observación: Las tensiones cortantes en las alas, debidas a Vy , se suelen despreciar
Debido a Vz: sólo hay tensiones en las alas
3) Valores medios de las tensiones cortantes en alma y alas
2
15,87 / ( )MAX N mm enel centro del alma Gτ =
2
9,176 /MAX N mm enel centro delas alasτ =
d/2=12,43 cm
d/2=12,43 cm
z
15,87
13,1
13,1
3,9
3,9
τMAX
G
τMAX
*
*
alma
ala
ala
14,08
τmedia
91,76
9,176
τMAX
τMAX
z
Diagramas de τxs debidas a Vy: Diagramas de τxs debidas a Vz:
τmedia
5,53
3
2
3
2
2
30.10
( ) 14,08 /
. 300.7,1
20.10
( ) 5,53 /
. 53,8.10 248,6.7,1
y y
xymedia
alma w
z z
xzmedia
alas w
V V
alma N mm
A h t
V V
alas N mm
A A d t
τ
τ
= = = =
= = = =
− −
5.13.-En la viga de la figura y para los tres casos de sección indicados, calcular las
tensiones normales y cortantes en los puntos 1,2 y 3 señalados de la sección más solicitada.
Cálculo de las reacciones en los apoyos: Ecuaciones de equilibrio:
→ Resolviendo:
Diagramas de esfuerzos
Sección más solicitada: 1 15 15 .y zx V kN M kN m−
= → = =
a) Sección rectangular:
0 20 (1)
0 .4 20.1 (2)
A B
A B
F R R
M R
= + =
= =
∑
∑
15
5
A
B
R kN
R kN
=
=
15
15
5
Vy
Mz
x
x
+
+
-
0 1
15
15.
0 0 1 15 .
y
z
z z
x
V kN
M x
x M x M kN m
− −
=
=
= → = = → =
1 4
15 20 5
15. 20.( 1)
1 15 . 4 0
y
z
z z
x
V kN
M x x
x M kN m x M
− −
= − = −
= − −
= → = = → =
45 mm
90 mm
22,5 mm
y
z
1
2
3
22,5 mm
3 4 41
.45.90 273,4.10
12
0
z
zy
I mm
I ejes de simetría ejes principales
= =
= → →
z
z
I
yM .
=σ
( )
( ).
y z
xy
z
V Q y
t y I
τ =
( )
( ).
y z
xz
z
V Q z
t z I
τ =
y
1
3
2
1
2,25 cm
IPE-140
R= 5 cm
2,5 cm
y
d/2=5,6 cm
3
y
20 kN
1 m 3 m
9 cm
4,5 cm
z
1
2
3
z
2
z
RA
RB
punto 1:
siendo:
punto 2:
siendo:
punto 3:
siendo:
6
2 21
1 4
. 15.10 .45
/ 246,9 /
273,4.10
z
z
M y
N mm N mm
I
σ = = =
1
1
1
( )
0
( ).
y z
xy
z
V Q y
t y I
τ = = 1
1
1
( )
0
( ).
y z
xz
z
V Q z
t z I
τ = =
1 1
1
1
1
45 0
( ) 45
( ) 0
( ) 0
z
z
y mm z
t y mm
Q y
Q z por simetría
= =
=
=
=
0
. 2
2 ==
z
z
I
yM
σ
3 3
2 2
2 4
2
( ) 15.10 .45,6.10
5,55 /
( ). 45.273,4.10
y z
xy
z
V Q y
N mm
t y I
τ = = =
2
2
2
( )
0
( ).
y z
xz
z
V Q z
t z I
τ = =
2 2
2
3 3
2
2
0 0
( ) 45
( ) 45.45.22,5 45,6.10
( ) 0
z
z
y z
t y mm
Q y mm
Q z por simetría
= =
=
= =
=
6
2 23
3 4
. 15.10 .22,5
/ 123,45 /
273,4.10
z
z
M y
N mm N mm
I
σ = = =
3 3
3 2
3 4
3
( ) 15.10 .34,2.10
4,17 /
( ). 45.273,4.10
y z
xy
z
V Q y
N mm
t y I
τ = = =
3
3
3
( )
0
( ).
y z
xz
z
V Q z
t z I
τ = =
3 3
3
3 3
3
3
22,5 0
( ) 45
22,5
( ) 45.22,5.(22,5 ) 34,2.10
2
( ) 0
z
z
y mm z
t y mm
Q y mm
Q z por simetría
= =
=
= + =
=
σ1
σ3 x
y
z
1
2
3
τxy2
τxy3
b) sección circular
Cálculo de t(y) y de Qz(y) para un punto cualquiera
punto 1:
siendo:
punto 2:
siendo:
yR
z
y
G
y
´
dy´
4 4
4 4. .50
490,9.10
4 4
0
z
zy
R
I mm
I ejes de simetría ejes principales
π π
= = =
= → →
z
z
I
yM .
=σ
( )
( ).
y z
xz
z
V Q z
t z I
τ =
25 mm
R = 50 mm
z
y
1
2
3
2 2
3
2 2 2 2 2
( ) 2.
2
( ) 2. ´ . ´. ´ .( )
3
R
z
y
t y R y
Q y R y dy y R y
= −
= − = −∫
6
21
1 4
. 15.10 .50
152,78 /
490,9.10
z
z
M y
N mm
I
σ = = =
1
1
1
( )
0
( ).
y z
xy
z
V Q y
t y I
τ = =
1
1
1
( )
0
( ).
y z
xz
z
V Q z
t z I
τ = =
1 1
1
1
1
50 0
( ) 0
( ) 0
( ) 0
z
z
y mm z
t y
Q y
Q z por simetría
= =
=
=
=
0
. 2
2 ==
z
z
I
yM
σ
3 3
2 2
2 4
2
( ) 15.10 .83,3.10
2,55 /
( ). 100.490,9.10
y z
xy
z
V Q y
N mm
t y I
τ = = =
2
2
2
( )
0
( ).
y z
xz
z
V Q z
t z I
τ = =
2 2
2
3
2 2 3 32
2
2
0 0
( ) 100
2
( ) .(50 0 ) 83,3.10
3
( ) 0
z
z
y z
t y mm
Q y mm
Q z por simetría
= =
=
= − =
=
( )
( ).
y z
xy
z
V Q y
t y I
τ =
punto 3:
siendo:
c) sección IPE-140
punto 1:
punto 2:
siendo:
6
23
3 4
. 15.10 .25
76,39 /
490,9.10
z
z
M y
N mm
I
σ = = =
3 3
3 2
3 4
3
( ) 15.10 .54,1.10
1,91 /
( ). 87.490,9.10
y z
xy
z
V Q y
N mm
t y I
τ = = =
3
3
3
( )
0
( ).
y z
xz
z
V Q z
t z I
τ = =
3 3
2 2
3
2
2 2 3 33
3
3
25 0
( ) 2. 50 25 87
2
( ) .(50 25 ) 54,1.10
3
( ) 0
z
z
y mm z
t y mm
Q y mm
Q z por simetría
= =
= − =
= − =
=
x
y
z
σ1
σ3
τxy2
τxy3
1
2
3
1
2
3
z
y
d/2 = 56 mm
4,7 mm
6,9 mm
6,9 mm
140 mm
73 mm
4 4
541.10
0
z
zy
I tablas mm
I
= =
=
z
z
I
yM .
=σ
( )
( ).
y z
xs
z
V Q s
t s I
τ =
6
21
1 4
. 15.10 .70
194,08 /
541.10
z
z
M y
N mm
I
σ = = =
1
1
1
( )
0
( ).
y z
xs y
z
V Q s
despreciamos debidas aV enlas alas
t s I
τ τ= = →
0
. 2
2 ==
z
z
I
yM
σ
3 3
2 2
2 4
2
( ) 15.10 .44,2.10
26,07 /
( ). 4,7.541.10
y z
xs
z
V Q s
N mm
t s I
τ = = =
2
3
2 ,
( ) 4,7
( ) / 2( ) 44,2z pl y
t s mm
Q y W tablas cm
=
= =
punto 3
siendo:
3 3
3 2
3 4
3
( ) 15.10 .36,8.10
21,73 /
( ). 4,7.541.10
y z
xy
z
V Q s
N mm
t s I
τ = = =
6
23
3 4
. 15.10 .56
155,27 /
541.10
z
z
M y
N mm
I
σ = = =
3
3 3
2 ,
( ) 4,7
112 112
( ) / 2( ) . . 44,2 .4,7. 36,8.10
2 4 2 4
z pl y
t s mm
d d
Q y W tablas e mm
=
= − = − =
1
2
3
z
y
x
σ1
σ3
τxs2
τxs3
5.14.-La viga de la figura es una HEB-200. Se pide calcular:
1) Diagramas de fuerzas cortantes y de momentos flectores
2) Tensiones normales máximas de tracción y compresión en la sección de
empotramiento
3) Tensión cortante máxima en el alma y alas en la sección de empotramiento
1) Diagramas de esfuerzos. Proyectamos las cargas sobre los ejes principales z e y:
Cálculo de las reacciones:
7,07.cos45º
7,07.sen45º
10.cos30º
10.sen30º
z
y
5 kN
5 kN
8,66 kN
5 kN
z
y
5 kN 5 kN
x
y
z
1 m 1 m
5 kNVA
HA
MAz
MAy
A
8,66 kN
0 8,66 5 13,66
0 5 5 0
0 8,66.1 5.2 18,66 .
0 5.1 5.2 5 .
y A
z A A
Az Az
Ay Ay Ay
F V kN
F H H
M M kN m
M M M kN m
= = + =
= + = → =
= = + =
= = = → =
∑
∑
∑
∑
30º 10 kN
z
7,07 kN
45º
y
10 kN
7,07 kN
1 m 1 m
Sección
2) Línea neutra:
σMAX en la sección x=0
5 kN 5 kN
x
y
z
1 m 1 m
5 kN
13,66 kN
18,66 kN.m
5 kN.m
A
8,66 kN
0 1
13,66
0
13,66. 18,66
0 18,66 .
1 5 .
5 .
y
z
z
z
z
y
x
V kN
V
M x
x M kN m
x M kN m
M kN m
− −
=
=
= −
= → = −
= → = −
= −
1 2
13,66 8,66 5
5
13,66. 18,66 8,66.( 1)
1 5 .
2 0
5 5.( 1)
1 5 .
2 0
y
z
z
z
z
y
y
y
x
V kN
V kN
M x x
x M kN m
x M
M x
x M kN m
x M
− −
= − =
=
= − − −
= → = −
= → =
= − + −
= → = −
= → =
z
y
α = 37,3º
n
n
GT
C x
σMAX(T)
σMAX(C)
A
B
3 4
3 4
4 4
4 4
( 0). 5.10 .5696.10
0,76
( 0). 18,66.10 .2003.10
37,3º
: ( ) 5696.10
( ) 2003.10
y z
z y
z
y
M x I
tag
M x I
siendo I tablas mm
I tablas mm
α
α
= −
= − = − = −
= −
= −
=
=
6 6
2
4 4
.. 18,66.10 .( 100) 5.10 .( 100)
( ) 57,72 /
5696.10 2003.10
y Az A
MAX A
z y
M zM y
T N mm
I I
σ σ
− − − −
= = + = + =
6 6
2
4 4
.. 18,66.10 .(100) 5.10 .(100)
( ) 57,72 /
5696.10 2003.10
y Bz B
MAX B
z y
M zM y
C N mm
I I
σ σ
− −
= = + = + = −
-
5
13,66
Vy
Vz
5
5
My
-
+
+
18,66
5
3) Debido a Vy la tensión cortante máxima se dará en el centro del alma (G) .
Observación: Debido a Vz: como en la sección x=0 es Vz=0 → τ = 0
z
y
τMAX(alma)
τMAX(alma)
G
τMAX(ala)
τMAX(ala)E
3
2
( ) 4
3 3
,
. ( ) 13,66.321.10
8,55 /
( ). 9.5696.10
: ( ) ( ) 9
( ) /2( ) 321.10
y z
MAX alma G
z
w
z pl y
V Q G
N mm
t G I
siendo t G t tablas mm
Q G W tablas mm
τ τ= = = =
= =
= =
3
2
( ) 4
3 3
. ( ) . ( ) 13,66.138,75.10
2,22 /
( ). ( ). 15.5696.10
: ( ) ( ) 15
15
( ) 100.15. 100 138,75.10
2
y z z y
MAX ala G
z y
f
z
V Q G V Q E
N mm
t G I t E I
siendo e E t tablas mm
Q E cm
τ τ= = + = =
= =
 
= − = 
 
5.15.-La sección de una viga tiene la forma indicada en la figura y está sometida a una
fuerza cortante Vy=30 kN. Se pide:
1) Los diagramas de tensiones cortantes. Tensión cortante máxima y tensión cortante
media
2) Si también estuviese solicitada con Vz = 20 kN., calcular la tensión cortante total en el
punto a indicado en la figura
tramo s1 :
tramo s2 :
3 3 4 41 1
.150.200 .(150 2.8).(200 2.8) 3043,7.10
12 12
zI mm= − − − =
sec ,
tan , sec ,( )o
y
xs
Al ser la ción simétrica respectodel eje y y estar sometida soloaV lastensiones
cor tes enlos puntos decortedela ciónconel eje y puntos A y B sonceroτ
0 0
0
. ( ) . ( ). ( )
( 0 )
( ) ( ). ( ).
y z y zxs
xs xs xs
z z
V Q s V Q st s
como en A y B
t s t s I t s I
τ
τ τ τ= + → = → =
3
21
1 14
1 1
30.10 .(768. )
0 0 75 7,1 /
8.3043,7.10
: ( ) 8 ( ) 8. .(96) 768.
xs xs xs
f z
s
s s N mm
siendo t s t mm Q s s s
τ τ τ= = → = = → =
= = = =
3
22
2 24
2 2
30.10 .(768. )
0 0 75 7,1 /
8.3043,7.10
: ( ) 8 ( ) 8. .(96) 768.
xs xs xs
f z
s
s s N mm
siendo t s t cm Q s s s
τ τ τ= = → = = → =
= = = =
8 mm
200 mm
y
z
s1s2
s3s4
s5s6
τxs0=0
92 mm
92 mm
75 mm 75 mm
7,17,1
7,17,1
11,27
11,27
7,1 7,1
7,17,1
τMAXτMAX
Solución:
τmedia(almas)=9,37
Vy = 30 kN
5 cm
a
0,8 cm
20 cm
15 cm
y
z
A
B
C D
tramo s3 :
tramo s4 :
tramo s5 :
2)
3
23
3 34
3 3
30.10 .( 768. )
0 0 75 7,1 /
8.3043,7.10
: ( ) 8 ( ) 8. .( 96) 768.
xs xs xs
f z
s
s s N mm
siendo t s t mm Q s s s
τ τ τ
−
= = → = = → = −
= = = − = −
3
24
3 44
4 4
30.10 .( 768. )
0 0 75 7,1 /
8.3043,7.10
: ( ) 8 ( ) 8. .( 96) 768.
xs xs xs
f z
s
s s N mm
siendo t s t mm Q s s s
τ τ τ
−
= = → = = → = −
= = = − = −
3 2
5 5
4
2 2 2
5 5 5
25
5 5 5
30.10 .( 4. 736. 57600)
8.3043,7.10
0 7,1 / 92 11,27 / 184 7,1 /
: ( ) 8 ( ) 75.8.96 8. .(92 ) 4. 736. 57600
2
xs
xs xs xs
w z
s s
s N mm s N mm s N mm
s
siendo t s t mm Q s s s s
τ
τ τ τ
− + +
=
= → = = → = = → =
= = = + − = − + +
2
11,27 /MAX N mm enel centro delas almasτ = →
3
230.10
( ) 9,37 /
2. . 2.200.8
y y
xsmedia
almas w
V V
almas N mm
A h t
τ = = = =
3 3 4 41 1
.200.150 .(200 2.8).(150 2.8) 1935,64.10
12 12
yI mm= − − − =
sec
tan , sec ( )o
z
xs
Al ser la ción simétrica respectodel eje z y estar sometida ahora sóloaV lastensiones
cor tes enlos puntos decortedela ciónconel eje z puntosC y D sonceroτ
[ ]
2
5
3
20 0
4
0
( ) ( 42 ) 10 /
. ( ) 20.10 . 50.8.(75 4). ( )
( ) 3,67 /
( ) ( ). 8.1935,64.10
: 0
y xs xs
z yxs
z xs
y
xs
debidoaV a s mm N mm
V Q st s
debidoaV a N mm
t s t s I
siendo
τ τ
τ
τ
τ
→ = = = ↓
−
→ = + = = ↑
=
2
( ) 10 3,67 6,33 /y z xsdebidoa V V a N mmτ+ → = ↓ − ↑= ↓
5.20.-En la sección de la figura sometida a los esfuerzos: Vy = 3 kN y Mz = 1 kN.m. se pide
calcular:
1) Tensiones normales máximas de tracción y de compresión.
2) Diagrama de distribución de tensiones cortantes en la sección
Cálculo de G:
Cálculo de Iz , Iy, Izy:
10 cm
1 cm
10 cm
1 cm
z
y
Vy=3 kN
Mz=1 kN.m
G
9 cm
1 cm
10 cm
1 cm
z
y
G
G2
G1
4,5 cm
5 cm
yG=2,87 cm
zG=2,87 cm
cmz
AA
zAzA
z
cmy
AA
yAyA
y
G
GG
G
G
GG
G
87,2
1.91.10
5,0.1.95.1.10
..
87,2
1.91.10
5,5.1.95,0.1.10
..
21
21
21
21
21
21
=
+
+
=
+
+
=
=
+
+
=
+
+
=
9 cm
1 cm
10 cm
1 cm
z
y
G
G2
G1
4,5 cm
5 cm
yG=2,87 cm
zG=2,87 cm
7,13 cm
1)Tensiones máximas de tracción y compresión:
Cálculo de la línea neutra:
423
2
423
1
4
21
123)5,413,7.(1.99.1.
12
1
57)5,087,2.(1.101.10.
12
1
180
cmI
cmI
cmIII
z
z
zzz
=−+=
=−+=
=+=
4
1 2
3 2 4
1
3 2 4
2
180
1
.1.10 10.1.(10 2,87 5) 128,7
12
1
.9.1 9.1.(2,87 0,5) 51,3
12
y y y
y
y
I I I cm
I cm
I cm
= + =
= + − − =
= + − =
[ ] [ ]
4
1 2
4
1
4
2
106,58
0 10.1.(2,87 0,5).(10 2,87 5) 50,48
0 9.1. (7,13 4,5) . (2,87 0,5) 56,1
zy zy zy
zy
zy
I I I cm
I cm
I cm
= + =
= + − − − =
= + − − − − =
7,13 cm
1 cm
2,87 cm
z
y
G
2,87 cm
n
α = 30,63º
n
1
2
º63,30
592,0
180
58,106
.
.
0
..
..
=
===
−
−=
=
−
−
−=
α
α
α
y
yz
yz
yzz
y
yzyyz
yzzzy
I
I
IM
IM
tag
Mcomo
IMIM
IMIM
tag
22
.
)..()..(
)0(
.
)...()...(
yzzy
yzzyz
y
yzzy
yzzzyyzyyz
III
zIMyIM
M
III
zIMIMyIMIM
−
−
===
−
−+−
=σ
6 4 6 4
2
1 4 4 4 2
(1.10 .180.10 ).( 71,3) (1.10 .106,58.10 ).( 18,7)
51,52 / ( )
180.10 .180.10 (106,58.10 )
MAXN mm Cσ σ
− − −
= = − =
−
6 4 6 4
2
2 4 4 4 2
(1.10 .180.10 ).(28,7) (1.10 .106,58.10 ).( 28,7)
39,09 / ( )
180.10 .180.10 (106,58.10 )
MAXN mm Tσ σ
− −
= = =
−
2) Diagramas de τ:
tramo s1
siendo:
tramo s2
95 mm
10 mm
95 mm
10 mm
z
y
G
s1
28,7 mm
71,3 mm
cm
s2
71,3 mm
cm
2
2
.( . ( ) . ( )) .( . ( ) . ( ))
( ).( . )
0
. . ( ) . ( )
( ).( . )
y y z yz y z z y yz z
xs
y z yz
z
y y z yz y
xs
y z yz
V I Q s I Q s V I Q s I Q s
t s I I I
comoV
V I Q s I Q s
t s I I I
τ
τ
− + −
=
−
=
 − =
−
1 1
21
1 1 1
( ) 1
( ) .10.23,7 237.
( ) .10.(71,3 ) 5. 713.
2
z
y
t s cm
Q s s s
s
Q s s s s
=
= =
= − = − +
3 4 4 2
1 1 1
4 4 4 2
3.10 . 180.10 .237. 106,58.10 .( 5. 713. )
10.(180.10 .180.10 (106,58.10 )
xs
s s s
τ
 − − + =
−
2
1 1 1
2
1 1
1
0 0 95 2,34 / 0 62,5
0 31,3 ( 31,3) 0,744 /
xs xs xs
xs
xsMAX xsMAX xs
s s N mm s mm
d
s mm s N mm
ds
τ τ τ
τ
τ τ τ
= → = = → = = → =
→ = → = = = = −
3 4 2 4
2 2 2
4 4 4 2
3.10 . 180.10 .(5. 713. ) 106,58.10 .( 237. )
10.(180.10 .180.10 (106,58.10 )
xs
s s s
τ
 − − − =
−
siendo:
22
2 2 2
2 2
( ) 10
( ) .10. (71,3 ) 5. 713.
2
( ) .10.( 23,7) 237.
z
y
t s mm
s
Q s s s s
Q s s s
=
 
= − − = −  
= − = −
2
2 2
2
2
2 2
2
0 0 95 2,38 /
0 115 ( 0 10)
0 57,3 ( 57,3) 4,213 /
xs xs
xs
xs
xsMAX xsMAX xs
s s N mm
s mm fuera del campo
d
s mm s N mm
ds
τ τ
τ
τ
τ τ τ
= → = = → = −
= → = −
→ = → = = = = −
z
y
G
4,213
2,38
2,34
0,744
57,3 mm
31,3 mm
5.21.-En la viga de la figura se pide:
1) Diagramas de fuerzas cortantes y de momentos flectores
2) Dimensionamiento a resistencia de la sección, empleando los criterios plástico,
elástico y de Von Mises y para los siguientes casos de sección:
a) Perfil IPE
b) sección rectangular bxh siendo h=2b
c) sección circular
Datos: fy = 275 N/mm2
; coeficiente de minoración del material: γγγγM =1,1; coeficiente de
mayoración de cargas: γγγγ =1,5
Nota: El angular mediante el cual se transmite la carga a la viga se supone rígido y a su
vez rígidamente unido a la misma. No se considerará el peso propio de la viga.
Se trasladará el efecto de la carga de 5000 Kg que actúa sobre el angular a la viga a través
de la unión de ambos.
Cálculo de reacciones
Diagramas
50 kN
1 m 2,8 m
0,2 m
1 m 3 m
50 kN
10 kN.m
RA RB
A
B
0 50 (1)
0 .4 50.1 10 (2)
: 35
15
A B
A B
A
B
F R R
M R
resolviendo R kN
R kN
= + =
= = +
=
=
∑
∑
0 1
35
35.
0 0
1 35 .
y
z
z
z
x
V kN
M x
x M
x M kN m
− −
=
=
= → =
= → =
1 4
15
15.(4 )
1 45 .
4 0
y
z
z
z
x
V kN
M x
x M kN m
x M
− −
= −
= −
= → =
= → =
15
35
Vy
35
45
Mz
+
+
-
2) Dimensionamiento a resistencia de la sección con criterio plástico:
Sección mas solicitada: x= 1
+
: Mz = 45 kN.m; Vy = 15 kN
max
*
,
6 3 3
*
,
45 .
.
275
: 45.10 .1,5 . 270.10
1,1
) :
tan :
220
15
.
3
: ( )
z
z zpl d zpl yd
zpl zpl
y
y
yd
y ypl d v
v
M kN m
M M W f
sustituyendovalores W W mm
a casode IPE
entrandoentablas IPE
comprobaciónacor teV
V kN
f
V V A
siendo A area del a ma
IP
l
E
=
≤ =
≤ → ≥
→
=
≤ =
=
−
2
3
*
. ( 220) 220.5,9 1298
275
1,1
:15.10 .1,5 1298. : 22500 187350,1
3
¡ tan ! : 22500 0,5. 0,5.187350,1 93675
¡
w
y ypl
h t IPE mm
sustituyendovalores y operando
sí cumpleacor te y además V V
noes necesariocombinar momento flector co
= = − = =
≤ ≤
= < = =
3 3
2 2
3 3
* 3
tan
) sec tan : 257,7.10
. .(2. )
( 2. ) 270.10
4 4
tan :
275
1,1
. 15.10 .1,5 8354,47. 22500
64,
12058
3 3
63 129,27
zpl
zpl
y
yd
y ypl v
b mm h mm
n fuerza cor te
b casode ción rec gular W mm
b h b b
W como h b b
comprobaciónacor teV
f
V V A
=
= = = = = = == →
≤ = ≤ → <
2
*
3 3
3
63 ¡ !
. 64,63.129,27 8354,47
: 22500 0,5. 602932
¡ tan
) sec : 270.10
4
.
3
v
y ypl
zpl
zpl
sicumple
siendo A A b h mm
y además V V sí severifica
noes necesariocombinar momento flector con fuerza cor te
c casode cióncircular W mm
W R
→
= = = =
= < = →
=
= = 3
* 3
2 2 2
*
270.10
tan :
275
1,1
. 15.10 .1,5 10833,5. 22500 1563676,7 ¡ !
3 3
. .58,72
58
10833,5
: 22500 0,5. 781838,3
,
¡
72
y
yd
y ypl v
v
y ypl
comprobaciónacor teV
f
V V A sicumple
siendo A A R mm
y además V V sí severifica
R mm
noes ne
π π
=→
≤ = ≤ → < →
= = = =
= < = →
tancesariocombinar momento flector con fuerza cor te
Dimensionamiento a resistencia de la sección con criterio elástico:
Sección mas solicitada: x= 1
+
: Mz = 45 kN.m; Vy = 15 kN
*
max ,
6 3 3
*
,
45 . .
275
: 45.10 .1,5 . 270.10
1,1
)
tan :
15
24
.
3
(
0
: )
z z zel d zel yd
zel zel
y
yd
y y ypl d v
v
M kN m M M W f
sustituyendovalores W W mm
a casode IPE
entrandoentablas IPE
comprobaciónacor teV
f
V kN V V A
siendo A area del alm
IPE
a
= ≤ =
≤ → ≥
→
= ≤ =
=
−
= 2
3
*
. ( 240) 240.6,2 1488
275
1,1
:15.10 .1,5 1488. : 22500 214774,3
3
¡ tan ! : 22500 0,5. 0,5.214774,3 107387,1
¡
w
y ypl
h t IPE mm
sustituyendovalores yoperando
sí cumpleacor te y además V V
noes necesariocombinar momento flector
= − = =
≤ ≤
= < = =
2 2
3 3 3 3
* 2
,
tan
) sec tan :
. .(2. ) 2
270.10 ( 2. ) . 270.10
6 6 3
tan :
15 . : . 74.148 10952
4
3
7 148
zel zel
y
yd
y y ypl d v v
con fuerzacor te
b casode ción rec gular
b h b b
W mm W comoh b b
comprobaciónacor teV
f
V kN V V A sie
b mm h mm
ndo A A b h mm
s
= = = = = = =
→
= ≤ = = = = =
= =
3
*
275
1,1
:35.10 .1,5 10952. : 22500 1580785
3
¡ tan ! : 22500 0,5. 0,5.1580785 790392,5
¡ tan
) sec
y ypl
ustituyendovalores yoperando
sí cumpleacor te y además V V
noes necesariocombinar momento flector con fuerzacor te
c casode ción
≤ ≤
= < = =
3
3 3 3
* 2 2 2
,
3
7
:
.
270.10 270.10
4
tan :
15 . : . .70 15393,8
3
275
1,1
:15.10 .1,5 15393,8. : 22500 2221 03
0
9
3
zel zel
y
yd
y y ypl d v v
circular
R
W mm W
comprobaciónacor teV
f
V kN V V A siendo A A R mm
sustituyendovalores y operando
R mm
π
π π
= = = →
= ≤ = =
=
= = =
≤ ≤
*
,6
¡ tan ! : 22500 0,5. 0,5.2221903,6 1110951,8
¡ tan
y yplsí cumpleacor te y además V V
noes necesariocombinar momento flector con fuerzacor te
= < = =
Dimensionamiento a resistencia de la sección con el criterio de Von Mises:
Secciónes más solicitada:
Puntos más solicitados: se predimensionará en el punto 1 (σmax) y se comprobarán puntos 2 y 3
1 15 45 . ( )
1 35 ( ) 35 .
y z
y z
x V kN M kN m máx
x V kN máx M kN m
+
−
= → = − =
= → = =
1 15 45 . ( )y zx V kN M kN m máx+
= → = − =
3
3 3
3 3
max
4
3
)sec : 270.10 : 240
)sec tan * 2. :
1 1
. . . .(2 )
12 12270.10 270.10 74
2
148
)sec :
.
4270.10 270.
zel
z
zel zel
z
zel zel
máx
a ción IPE W tablas IPE
b ción rec gular h b siendo h b
b h b b
I
W W b mm
hy b
h mm
c cióncircular
R
I
W W
y R
π
≥ → −
=
≥ → = = = ≥ → ≥
→ ≥
≥ → = = ≥ 3
10 70R mm→ ≥
* * 6
* 1
1
*
1
6
*2 *2 * 3 3
1 1 1 1
1:
. 45.10 .1,5
0
45.10 .1,5 275
3. 270.10
1,1
z z
z zel zel
co zel
zel
punto
M y M
I W W
W mm
W
σ
τ
σ σ τ σ
= = =
=
= + = = ≤ → ≥
:sec32 cionesdetipostreslosparaypuntosonescomprobaci
*
2
* 3 3
*
2 4
)sec 240
2:
0
. (2) 15.10 .1,5.183.10
17,07
(2). 6,2.3890.10
y z
z
a ciónIPE
punto
V Q
t I
σ
τ
−
=
−
= = = −
2
27529,57 250
1,1coσ = < =
y
1
3
2
1
y
3
y
z
1
2
3
z2
z
Por último se comprobarían de nuevo los puntos 1, 2 y 3, para los tres casos, en la sección:
(como se ve coincide con el criterio de dimensionamiento elástico
3 4 4
*
2
3
*
*
2 4
1
)sec tan : 148 74 .74.148 1991,05.10
12
2:
0
148 148
15.10 .1,5.(74. . ). (2) 2 4 3,09
(2). 74.1991,05.10
z
y z
z
b ciónrec gular h mm b mm I mm
punto
V Q
t I
σ
τ
= = → = =
=
−
= = = −
2 5,36 250coσ = <
* 6
* 3
3 4
3
*
*
3 4
3 :
. 45.10 .1,5.37
125, 4
1991, 05.10
37
15.10 .1,5. 74.37.(37 )
. (3) 2
2,32
(3). 74.1991, 05.10
z
z
y z
z
punto
M y
I
V Q
t I
σ
τ
= = =
 
− +  = = = −
3 125,5 250coσ = <
4
4 4
*
2
3 2 2 3/2
*
*
2 4
.70
)sec : 70 1885,7454.10
4
2:
0
2
15.10.1,5. .(70 0 )
. (2) 3
1,95
(2). 140.1885,7454.10
z
y z
z
c cióncircular R mm I mm
punto
V Q
t I
π
σ
τ
= → = =
=
 
− −  = = =−
2 3,38 250coσ = <
* 6
* 3
3 4
3 2 2 3/2
*
*
3 2 2 4
3:
. 45.10 .1,5.35
125,28
1885,7454.10
2
15.10 .1,5. .(70 35 )
. (3) 3
1,46
(3). 2. 70 35 .1885,7454.10
z
z
y z
z
punto
M y
I
V Q
t I
σ
τ
= = =
 
− −  = = = −
−
3 125,3 250coσ = <
3 3
1 35.10 ( ) 35.10 .y zx V kN máx M kN m−
= → = =
6
*
* 3
3 4
3 3
*
*
3 4
3:
190,4
45.10 .1,5.. 2 165,2
3890.10
190,4 190,4
15.10 .1,5. 183.10 .6,2.
. (3) 2 4
14,45
(3). 6,2.3890.10
z
z
y z
z
punto
M y
I
V Q
t I
σ
τ
= = =
 
− −  = = = −
3 167,1 250coσ = <
5.22.-En la viga de la figura se pide el dimensionamiento de la sección a resistencia
usando un criterio plástico de dimensionamiento.
Datos: perfil IPE; fy = 275 N/mm
2
; γγγγM = 1,1; γγγγ= 1,35
Cálculo
de
reacciones en los apoyos:
Diagramas de esfuerzos:
30 kN
5 kN
1 m 1 m2 m
A B
z
y
VA
VB
HA
HB
0 30 (1)
0 5 (2)
0 .4 30.3 (3)
0 .4 5.1 (4)
resolviendo (1),(2),(3),(4): 22,5 ; 7,5 ; 1,25 ; 3,75
y A B
z A B
zB A
yB A
A B A B
F V V
F H H
M V
M H
V kN V kN H kN H kN
= → + =
= → + =
= → =
= → =
= = = =
∑
∑
∑
∑
Vy
Vz
Mz
My
22,5
7,5
1,25
3,75
22,5
3,75
+
-
-
+
+1,25
7,5
Dimensionamiento a resistencia de la sección con criterio plástico
Comprobación a flexión:
Tanteamos secciones, pero partiendo de un predimensionado
Predimensionado rápido: Estudio separados Mz y My:
**
, ,
1
yz
zpl d ypl d
MM
M M
+ ≤
* 6 3 3
,
* 6 6
* 6 3 3
,
* 6 6
275
. 30,38.10 . 121,5.10
1,1
: . 22,5.10 .1,35 30,38.10 .
275
. 5,06.10 . 20,25.10
1,1
: . 3,75.10 .1,35 5,06.10 .
z zpl d zpl yd zpl zpl
z z
y ypl d ypl yd ypl ypl
y y
M M W f W W mm
siendo M M N mm
M M W f W W mm
siendo M M N
γ
γ
≤ = → ≤ ⇒ ≥
= = =
≤ = → ≤ ⇒ ≥
= = =
3 3 3 3
121,5.10 20,25.10
lg 160
1º tan : 160:
sec :
1 : 22,5 . ; 1,25 . ; 22,5 ; 1,25
zpl ypl
z y y z
mm
conlos valores deW mm y deW mm
buscoentablasun perfil queva a paralos dos IPE
teo IPE
ciónes mas solicitadas a flectores
x M kN m M kN m V kN V kN−
≥ ≥
⇒ −
−
= = = = =
* 6 6 * 6 6
3 3 3 6
,
3 3 3 6
,
22,5.10 .1,35 30,30.10 . ; 1,25.10 .1,35 1,687.10 .
275
123,9.10 . 123,9.10 30,975.10 .
1,1
275
26,1.10 . 26,1.10 6,525.10 .
1,1
sustituyendo
z y
zpl zpl d zpl yd
ypl ypl d ypl yd
M N mm M N mm
W mm M W f N mm
W mm M W f N mm
= = = =
= → = = =
= → = = =
** 6 6
6 6
, ,
3 3 3 6
,
en la fórmula de dimensionamiento:
30,38.10 1,687.10
1 1,24 1 No vale
30,975.10 6,525.10
2º tan : 180:
275
166,4.10 . 166,4.10 41,6.10 .
1,1
34,6.1
yz
zpl d ypl d
zpl zpl d zpl yd
ypl
MM
M M
teo IPE
W mm M W f N mm
W
+ ≤ → + = > →
−
= → = = =
= 3 3 3 6
,
** 6 6
6 6
, ,
275
0 . 34,6.10 8,65.10 .
1,1
sustituyendo en la fórmula de dimensionamiento:
30,38.10 1,687.10
1 0,92 1 Si vale
41,6.10 8,65.10
ypl d ypl yd
yz
zpl d ypl d
mm M W f N mm
MM
M M
→ = = =
+ ≤ → + = < →
Comprobación a cortantes:IPE-180
*
,
* 3
2
*
,
275
1,1
. 30375 954. 137698
3 3
:
. 22,5.10 .1,35 30375
. 180.5,3 954
1 1
y además : 30375 .137698 Si
2 2
¡no hay que interactuar con los mom
yd
y y ypl d v
y y
v w
y ypl d
f
V V V A N N Si cumple
siendo
V V N
A área alma h t mm
V V
γ
→ ≤ = → ≤ = ⇒
= = =
= = = =
≤ → ≤ ⇒
*
,
* 3
2 2
*
,
entos flectores!
275
1,1
. 1687,5 1616,2. 233278,4
3 3
:
. 1,25.10 .1,35 1687,5
. 23,9.10 146.5,3 1616,2
1 1
y además : 1687,5 .233278
2 2
yd
z z zpl d v
z z
v w
z zpl d
f
V V V A N N Si cumple
siendo
V V N
A área alas A d t mm
V V
γ
→ ≤ = → ≤ = ⇒
= = =
= = − = − =
≤ → ≤ ,4 Si
¡no hay que interactuar con los momentos flectores!
⇒
+
Se podría comprobar también la sección: x = 3 :
7,5 . ; 3,75 . ; 7,5 ; 3,75
repitiendo los mismos cálculos anteriores pero con estos valores de las solicitaciones ¡Sí cumple!
z y y zM kN m M kN m V kN V kN= = = =
→
5.23.- La figura muestra la viguería del suelo de un piso de un edificio. Las vigas son
metálicas y se consideran articuladas en sus extremos. La carga permanente que actúa
sobre el suelo se compone de: a) Forjado unidireccional de viguetas metálicas con bloques
cerámicos: 3,5 kN/m2
, b) Pavimento del suelo: 1 kN/m2
. Se pide dimensionar a resistencia
la sección de las vigas de los tipos 1 y 4, utilizando perfiles IPE y un criterio elástico de
dimensionamiento
Dato: fy = 275 N/mm2
; γγγγM = 1,1; γγγγ = 1,35
Nota: Sólo se tendrá en cuenta la carga permanente
Dimensionado a resistencia de la sección de las vigas tipo 1 (criterio elástico):
(Como la longitud de la viga es menor de 6 m. no añadimos el peso propio de la misma)
Carga total permanente sobre el suelo:
Forjado:…….3,5 kN/m
2
Pavimento:…1 kN/m
2
TOTAL:……..4,5 kN/m
2
2
arg : 4,5 / .2 9 /c a q kN m m kN m= =
( 2 ) 18.2 9.2.1 18 .
( 0 ) 18 .
zmáx z
ymáx y
M M x m kN m
V V x m kN m
= = = − =
= = =
3
2 m 2 m2 m
3
2
2
2
2
1 1
1 1
4
4 m
4 m
A A
B B
A A
C D
9 kN/m
2 m
RA= 18 kN RB= 18 kN
18
Mz (kN.m)
2 m
x
A B
+
Vy (kN)
18
x
+
-
18
Dimensionado a resistencia de la sección de las vigas tipo 4 (criterio elástico):
(Como la longitud de la viga es mayor de 6 m. añadimos el peso propio de la misma, estimado
en 1kN/m)
z y
* * 6
,
3
dim :
sección más solicitada a flectores: x = 2 m: M 18 . ;V 0
275
18.1,35 24,3 . . 24,3.10 .
1,1
97200 160
sección más solici
z z zel d zel yd zel
zel
criterioelástico de ensionamiento
kN m
M kN m M M W f W
W mm tablas IPE
= =
= = ≤ = ≤
= → → −
z y
*
,
* 2
3
tada a cortantes: x = 0 m: M 0;V 18 kN
: .
3
: 18.1,35 24,3 ( ) . 160.5 800
275
1,1
: 24,3.10 800. 24300 115470 ¡ !
3
yd
y y ypl d v
y v w
f
Comprobación a cortadura V V V A
siendo V kN A área alma h t mm
sustituyendo sí cumple
= =
≤ =
= = = = = =
≤ → < →
Vigas tipo 1 →→→→ IPE-160
2 m 2 m 2 m
C D
B B
36 kN 36 kN
RC= 39 kN RD= 39 kN
76,5
Mz(kN.m)
x
1 kN/m
7676
Vy(kN)
x
39
39
37
37
1
1
+
+
-
Vigas tipo 4 →→→→ IPE-270
z ysección más solicitada a flectores: x = 3 m: M 76,5 . ;V 0kN m= =
* * 6
,
3
z y
dim :
275
76,5.1,35 103,3 . . 103,3.10 .
1,1
413200 270
sección más solicitada a cortadura: x = 0 m: M 0 . ;V 39
z z zel d zel yd zel
zel
criterioelástico de ensionamiento
M kN m M M W f W
W mm tablas IPE
kN m kN
Comprobació
= = ≤ = ≤
= → → −
= =
*
,
* 2
3
: .
3
: 39.1,35 52,65 ( ) . 270.6,6 1782
275
1,1
:52,65.10 1782. 52650 257209,5 ¡ !
3
yd
y y ypl d v
y v w
f
n a cortadura V V V A
siendo V kN A área alma h t mm
sustituyendo sí cumple
≤ =
= = = = = =
≤ → < →
5.24.-Las vigas que soportan la cubierta de una nave industrial “correas”, se encuentran
apoyadas sobre los cordones superiores de dos cerchas, separadas entre sí 5 m y con una
pendiente de 22º. La separación entre correas es de 1,175 m. Las carga que han de
soportar estas correas son:
- Carga permanente:
• Peso de la uralita, incluidos ganchos y solapes…………….0,2 kN/m2
• Peso estimado de las correas:……………………………….0,18 kN/m
- Sobrecarga de nieve:………………………………………………..0,8 kN/m2
Se pide dimensionar a resistencia la sección de dichas correas, utilizando perfiles IPE y
empleando un criterio plástico de dimensionamiento
Datos: coeficientes de mayoración de cargas : -cargas permanentes: γγγγ=1,35 -sobrecarga de
nieve: γγγγ=1,5. No se tendrá en cuenta la acción del viento.
Material: fy =275 N/mm2
; γγγγM =1,1
Cargas sobre las correas:
22º cercha
1,175 m
1,175 m correas
cercha
5 m
1,175 m
22º cercha
2
2
2
arg ( )
: 0,2 / .1,175 0,235 /
:0,18 /
: 0,415 /
arg ( )
sup :0,8 /
sup : 0,8.cos 22º /
:
p
n
C a permamente CP
cubierta kN m m kN m
peso propiocorreas kN m
Total q kN m
Sobrec a denieve SN
sobre erficiehorizontal kN m
sobre erficieinclinada kN m
Total q
=
=
2
0,8 / .cos22º.1.175 0,87 /kN m m kN m= =
qpz= 0,155
y
z
qpy= 0,385
qp= 0,415
CP
qnz= 0,326
y
z
qny= 0,807
qn= 0,87
SN
.cos22º 0,385 / . 22º 0,155 /
.cos22º 0,807 / . 22º 0,326 /
py p pz p
ny n nz n
q q kN m q q sen kN m
q q kN m q q sen kN m
= = = =
= = = =
Dimensionamiento a resistencia de la sección de las correas utilizando un criterio plástico:
combinaciones de cargas:
2,5 m
qpy = 0,385 kN/m
qpz=0,155 kN/m
Mz (kN.m)
My kN.m)
1,2
0,483
CP
2,5 m
0,963
Vy (kN)
0,387
Vz (kN)
0,963
0,387
+
-
+
+
-
-
qny = 0,807 kN/m
qnz=0,326 Kg/m
Mz (kN.m)
My (kN.m)
2,5
1,01
SN
2,5 m
Vy (kN)
Vz (kN)
2,01
2,01
2,5 m
0,815
0,815
+
-
+
+
-
-
max max max max
max max max max
1,2 . 0,483 . 0,963 0,387
2,5 . 1,01 . 2,01 0,815
z y y z
z y y z
CP M kN m M kN m V kN V kN
SN M kN m M kN m V kN V kN
→ = = = =
→ = = = =
* *
* *
.1,35 .1.5
1,2.1,35 2,5.1,5 5,37 . 0,483.1,35 1,01.1,5 2,167 .
0,963.1,35 2,01.1,5 4,315 0,387.1,35 0,815.1,5 1,75
z y
y z
CP SN
M kN m M kN m
V kN V kN
+
= + = = + =
= + = = + =
Correas → IPE-120
**
, ,
* * * *
* 6 3
,
*
,
comprobación a flexión: 1
predimensionado rápido :
sección 2,5 5,37 . ; 2,167 . ; 0; 0
275
. sustituyendo :5,37.10 . 21480
1,1
yz
zpl d ypl d
z y y z
z zpl d zpl yd zpl zpl
y ypl d ypl
MM
M M
x m M kN m M kN m V V
M M W f W W mm
M M W
+ ≤
= → = = = =
≤ = ≤ → =
≤ = 6 3
3 3
275
. sustituyendo : 2,167.10 . 8668
1,1
con los valoresde: 21480 y 8668 se busca una sección que
valga para los dos IPE-100
yd ypl ypl
zpl ypl
f W W mm
W mm W mm
≤ → =
= =
⇒
er 3 3
,
,
1 tanteo : 100: 39410 9150
275
. 39410. 9852500 . 9,8525 .
1,1
275
. 9150. 2287500 . 2,2875 .
1,1
5,37 2,167
sustituyendo : 1 ¡ !
9,8525 2,2875
2º tant
zpl ypl
zpl d zpl yd
ypl d ypl yd
IPE W mm W mm
M W f N mm kN m
M W f N mm kN m
noesválida
− = =
= = = =
= = = =
+ > →
3 3
,
,
eo : 120 : 60730 13580
275
. 60730. 15182500 . 15,1825 .
1,1
275
. 13580. 3395000 . 3,395 .
1,1
5,37 2,167
sustituyendo : 1 ¡ !
15,1825 3,395
(No haría
zpl ypl
zpl d zpl yd
ypl d ypl yd
IPE W mm W mm
M W f N mm kN m
M W f N mm kN m
sí esválida
− = =
= = = =
= = = =
+ < →
falta la comprobación de cortantes en esa sección, ya que son cero)
* * * *
* 2
,
3
*
,
comprobación a cortantes:(IPE-120)
sección x = 0: 4,315 ; 1,75 ; 0; 0
. siendo : (área alma) . 120.4,4 528
3
275
1,1
sustituyendo : 4,315.10 528. ¡ !
3
.
y z z y
yd
y ypl d v v w
y
z zpl d v
V kN V kN M M
f
V V A A h t mm
sí cumple
f
V V A
= = = =
≤ = = = = =
≤ →
≤ = 2
3
siendo : (área alas) . 1320 93,4.4,4 909
3
275
1,1
sustituyendo :1,75.10 909. ¡ !
3
(noharía falta combinar momentosflectorescon fuerzascortantes, pues los momentos flectores
en dicha sección so
d
v wA A d t mm
sí cumple
= = − = − =
≤ →
n cero)

Problemas resueltos tema5

  • 1.
    Prof.: Jaime SantoDomingo Santillana E.P.S.-Zamora – (U.SAL.) - 2008 Tema 5 : FLEXIÓN: TENSIONES G x z y n n σMAX(COMPRESIÓN) σMAX(TRACCIÓN) Problemas resueltos
  • 2.
    5.1.-Representar los diagramasde fuerzas cortantes y de momentos flectores de la viga de la figura. Cálculo de reacciones en los apoyos: Ecuaciones de equilibrio: Diagramas de esfuerzos: 15 kN/m 10 kN.m 20 kN 8 kN A B 2 m 1 m 1 m 1 m RA RB : 23 35 A B resolviendo R kN R kN = = 0 15.2 20 8 (1) 0 .4 15.2.1 20.3 8.5 (2) A B A B F R R M R = + = + + = = + + ∑ ∑ 0 2 23 15. 0 23 2 7 0 23 15. 0 1,53 23. 15. . 0 0 2 16 . 2 1,53 17,63 . y y y y z z z z x V x x V kN x V kN V x x m x M x x x M x M kN m x M kN m − − = − = → = = → = − = − = → = = − = → = = → = = → = 2 3 23 15.2 7 23. 15.2.( 1) 10 2 26 . 3 19 . y z z z x V M x x x M kN m x M kN m − − = − = − = − − + = → = = → = 27 7 8 23 1,53 m x Vy (kN) 17,63 16 19 26 8 Mz (kN.m) x - + +
  • 3.
    3 4 23 15.220 27 23. 15.2.( 1) 10 20.( 3) 3 19 . 4 8 . 0 3,7 4 5 8 8.(5 ) 4 8 . 5 0 y z z z z y z z z x V kN M x x x x M kN m x M kN m M x m x V kN M x x M kN m x M − − = − − = − = − − + − − = → = = → = − = → = − − = = − − = → = − = → =
  • 4.
    5.2.-Representar los diagramasde fuerzas cortantes y de momentos flectores de la viga de la figura Cálculo de las reacciones: Ecuaciones de equilibrio: Diagramas de esfuerzos: 1 0 .2,5.1,5 10 11,87 2 1 1 0 .2,5.1,5.(2 .1,5) 10.1 14,68 . 2 3 A A A F R kN M M kN m = = + = = = + + = ∑ ∑ 2,5 kN/m 10 kN 1,5 m 1 m 1 m RAMA h x 2,5 : 1,67. 1,5 h por semejanza de triángulos h x x = → = 0 1,5 1 1 . . . .1,67. 0 0 1,5 1,87 2 2 1 1 . .1,67. . . 0 0 1,5 0,94 . 2 3 1,5 2,5 1 .1,5.2,5 1,87 2 1 2 .1,5.2,5.( .1,5) 1,5 0,94 . 2,5 2,81 . 2 3 y y y z z z y z z z x V x h x x x V x V kN M x x x x M x M kN m x V kN M x x M kN m x M kN m − − = − = − = → = = → = − = − = → = = → = − − − = − = − = − − = → = − = → = − 11,87 1,87 Vy (Kg) x 14,68 2,81 0,94 Mz (Kg.m) x - -
  • 5.
    2,5 3,5 11,87 11,87.(3,5 )14,68 2,5 2,81 . 3,5 14,68 . y z z z x V kN M x x M kN m x M kN m − − = − = − − = → = − = → = −
  • 6.
    5.3.-Representar los diagramasde fuerzas cortantes y de momentos flectores de la viga de la figura sometida a las cargas verticales y horizontales indicadas Cálculo de reacciones: Ecuaciones de equilibrio: Resolviendo: Diagramas de esfuerzos: 10 kN 8 kN z y 1 m 2 m 1 m VA VB HA HB 0 10 (1) 0 8 (2) 0 .4 10.1 (3) 0 .4 8.3 (4) y A B z A B zA B yA B F V V F H H M V M H = + = = + = = = = = ∑ ∑ ∑ ∑ 7,5 2,5 2 6 A B A B V kN V kN H kN H kN = = = = 0 1 7,5 2 7,5. 0 0 1 7,50 . 2. 0 0 1 2 . y z z z z y y y x V kN V kN M x x M x M kN m M x x M x M kN m − − = = = = → = = → = = = → = = → = 2,5 7,5 6 2 7,5 6 2 2,5 Vy (kN) Vz (kN) Mz (kN.m) My (kN.m) x x x x - - + + + +
  • 7.
    1 3 7,5 102,5 2 7,5. 10.( 1) 1 7,5 . 3 2,5 . 2. 1 2 . 3 6 . 3 4 7,5 10 2,5 2 8 6 7,5. 10.( 1) 3 2,50 . 4 0 2. 8.( 3) 3 6 . y z z z z y y y y z z z z y y x V kN V kN M x x x M kN m x M kN m M x x M kN m x M kN m x V kN V kN M x x x M kN m x M M x x x M kN m − − = − = − = = − − = → = = → = = = → = = → = − − = − = − = − = − = − − = → = = → = = − − = → = 4 0yx M= → =
  • 8.
    5.5.-Representar los diagramasde solicitaciones de la estructura de nudos rígidos de la figura Cálculo de reacciones: Ecuaciones de equilibrio: Resolviendo: Diagramas de esfuerzos: 10 kN 6 kN/m 3 m 4 m VA VB HA A C D B 0 10 0 6.4 0 .4 10.3 6.4.2 H A V A B A B F H kN F V V M V = = = + = = = + ∑ ∑ ∑ 4,5 19,5 A B V kN V kN = = 4,5 10 10. 0 0 3 30 . y z z z Pilar AC N kN V kN M x x M x M kN m = − = = = → = = → = - - + ++ 4,5 N (kN) Mz (kN.m) 19,5 10 4,5 19,5 30 30 31,69 Vy (kN) -
  • 9.
    : 10 10 0 4,56. 0 4,5 4 19,5 0 0,75 4,5. 10.3 6. . 2 0 30 . 4 0 0,75 31,69 . : 19,5 0 0 y y y Y z z z z y z Viga CD N V x x V kN x V kN R x m x M x x x M kN m x M x M kN m Pilar BD N kN V M = − = = − = → = = → = − = → = = + − = → = = → = = → = = − = =
  • 10.
    5.7.-Representar los diagramasde solicitaciones de la viga de la figura Cálculo de reacciones: 20 kN/m 18 kN/m 10 kN.m 8 kN.m 50 kN 22 kN 3 m2 m1 m 65,6 47,6 2,4 62,4 14,8 7,210 97,2 8 21,6 Vy Vz Mz My x x x x Solución: + + - - + + - - VA VB HA HB 1 0 .18.2 50 20.3 (1) 2 0 22 (2) 1 2 0 .5 10 18.(3 .2) 50.3 20.3.1.5 (3) 2 3 0 .5 8 22.3 (4) resolviendo (1), (2), (3), (4) 65,6 62,4 14,8 7,2 y A B z A B zB A yB A A B A B F V V F H H M V M H V kN V kN H kN H kN = + = + + = + = = = + + + + = = + ⇒ = = = = ∑ ∑ ∑ ∑
  • 11.
    [ ] [ ] 01: 0 8 . 1 1 3: 65,6 9.(3 ).( 1) .( 1). 18 9.(3 ) 2 1 65,6 3 47,6 14,8 ( 1) 1 2 65,6.( 1) 9.(3 ).( 1). .( 1). 18 9.(3 ) . .( 1) 10 2 2 3 1 10 . 3 97,2 y z z y y y y z z z z x V V M M kN m x V x x x x x V kN x V kN V kN x M x x x x x x x M kN m x M kN − − = = = = − − = − − − − − − − = → = = → = = − − = − − − − − − − − − − = → = − = → = . 8 14,8.( 1) 1 8 . 3 21,6 . 1 3 6: 65,6 .18.2 50 20.( 3) 2 3 2,4 6 62,4 14,8 22 7,2 1 1 ( 3) 65,6.( 1) .18.2.( 1 .2) 10 50.( 3) 20.( 3). 2 3 2 3 97,2 . 6 y y y y y y z z z m M x x M kN m x M kN m x V x x V kN x V kN V kN x M x x x x x M kN m x = − − = → = = → = − − − = − − − − = → = − = → = − = − + = − = − − − − − − − − − = → = = 0 . 8 14,8.( 1) 22.( 3) 3 21,6 . 6 0 . z y y y M kN m M x x x M kN m x M kN m → = = − − + − = → = − = → = 18 h x 1 2 18 9.(3 ) 2 3 h h x x = → = − −
  • 12.
    5.11.-Una sección deuna viga está sometida a las siguientes solicitaciones: Vy = 90 kN., Vz = -70 kN., Mz = 40 kN.m., My = -50 kN.m. La sección es rectangular de 30 cm x 40 cm. Calcular: 1) Tensiones normal y cortante en un punto de la sección de coordenadas: y= -10 cm., z= 8 cm 2) Línea neutra, indicando las zonas de la sección de tracción y de compresión 3) Tensión normal máxima, indicando el punto donde se dará. 4) Diagramas de tensiones cortantes y Tensión cortante máxima 5) Tensión cortante media 50 kN.m 40 kN.m 70 kN 90 kN 40 cm 30 cm 8 cm 10 cm A z y x σx )(0 9000030.40. 12 1 16000040.30. 12 1 43 43 sprincipaleEjessimetriadeejesI cmI cmI zy y z →= == == 6 6 2 4 4 .. 40.10 .( 100) 50.10 .(80) 6,94 / 160000.10 90000.10 y Az A xA z y M zM y N mm I I σ − − = + = + = − 3 3 2 4 . ( ) . ( ) 70.10 .(3220.10 ) 0,626 / ( ). ( ). 40.10.90000.10 y z z y xzA z y R Q z R Q z N mm t z I t z I τ − = + = = − 3 3 2 4 . ( ) . ( ) 90.10 .( 4500.10 ) 0,84 / ( ). ( ). 30.10.160000.10 y z z y xyA z y R Q y R Q y N mm t y I t y I τ − = + = = − 3 ( ) 30 ( ) 30.10.( 15) 4500 ( ) 0 z y t y cm Q y cm Q y por simetría = = − = − = 3 ( ) 40 ( ) 0 ( ) 40.7.11,5 3220 z y t z cm Q z por simetría Q z cm = = = = z y 40 8 7 A τxz z y 30 10 10 A τxy
  • 13.
    2) Línea neutra: .50.160000 2,22 . 40.90000 y z z y M I tag M I α − = − = − = → 3) Tensiones normales máximas: α = 65,8º α = 65,8º n n z y G z z y y n n n n T T T T C C C C Mz > 0 My < 0 T C T C G n n z x x B D y σMAX(C) σMAX(T) 6 6 2 4 4 .. 40.10 .20.10 50.10 .( 15.10) ( ) 13,33 / 160000.10 90000.10 y Bz B MAX xB z y M zM y T N mm I I σ σ − − = = + = + = 6 6 2 4 4 .. 4010 .( 20.10) 50.10 .15.10 ( ) 13,33 / 160000.10 90000.10 y Dz D MAX xD z y M zM y C N mm I I σ σ − − = = + = + = −
  • 14.
    4) Diagramas detensiones cortantes Diagramas de τxy: → siendo: Diagramas de τxz: →→→→ siendo: 3 2 2 3 4 . ( ) . ( ) 90.10 .15.(20 ).10 ( ). ( ). 30.10.160000.10 y z z y xy z y R Q y R Q y y t y I t y I τ − = + = 20 0 0 1,125 20 0 xy xy xy y y y τ τ τ = → = = → = = − → = z y y 20 30 τxy τXYMAX τXYMAX 2 2 3 ( ) 30 20 ( ) 30.(20 ). 15.(20 ) 2 ( ) 0 z y t y cm y Q y y y cm Q y por simetría = + = − = − = 3 2 2 3 4 . ( ) . ( ) 70.10 .20.(15 ).10 ( ). ( ). 40.10.90000.10 y z z y xz z y R Q z R Q z z t z I t z I τ − − = + = 15 0 0 0,875 15 0 xz xz xz z z z τ τ τ = → = = → = − = − → = 2 2 3 ( ) 30 15 ( ) 40.(15 ). 20.(15 ) 2 ( ) 0 y z t z cm z Q z z z cm Q z por simetría = + = − = − = y 40 15 z z τxzMAX τxzMAX
  • 15.
    5) Tensión cortantemedia: 2 2 1,125 / 0,875 / xyMAX xzMAX N mm enlos puntos del eje z N mm enlos puntos del eje y τ τ = = 2 2 2 1,425 /MAX xyMAX xzMAX N mm enel centro de gravedad Gτ τ τ= + = τxyMAX τxzMAX τMAX G y z τXYmediaτXYmedia τxzmedia τxzmedia 3 2 3 2 90.10 0,75 / 300.400 70.10 0,583 / 300.400 y xymedia z xzmedia V N mm A V N mm A τ τ = = = − = = =
  • 16.
    5.12.-La sección deuna viga IPE-300 está solicitada por los esfuerzos cortantes: Vy=30 kN., Vz=20 kN. Se pide calcular: 1) Los diagramas de tensiones cortantes en las alas y en el alma de la sección, debidas sólo a Vy. 2) Los diagramas de tensiones cortantes en las alas y en el alma de la sección debidas sólo a Vz 3) Valores medios de las tensiones cortantes en alas y alma Tramo s1: →→→→ →→→→ Tramo s2: →→→→ →→→→ h/2=150 mm h/2=150 mm b/2=75 mm b/2=75 mm tw= 7,1 mm tf=10,7 mm 10,7 mm z y Vy=30 kN s1s2 s5 Vz=20 kN s4 s3 d=248,6 4 4 4 4 300 8360.10 604.10 z y IPE I mm I mm − = = . ( ) . ( ) ( ). ( ). y z z y xs z y V Q s V Q s t s I t s I τ = + 1 1 21 1 1 1 3 1 4 3 2 1 ( ) 10,7 10,7 ( ) 10,7. .(150 ) 1547,75. 2 ( ) 10,7. .(75 ) 5,35. 802,5. 2 . ( ) 30.10 .1547,75. ( ). 10,7.8360.10 . ( ) 20.10 .( 5,35. 802 ( ). f z y y z y xs z z y z xs y t s t Q s s s s Q s s s s V Q s s debidoaV t s I V Q s s debidoaV t s I τ τ = = = − = = − = − + → = = − + → = = 1 4 ,5. ) 10,7.604.10 s 1 2 1 0 0 75 3,9 / xs xs s s N mm τ τ = → = = → = 1 2 1 0 0 75 9,176 / xs xs s s N mm τ τ = → = = → = [ 2 2 22 2 2 2 3 2 4 3 2 2 ( ) 10,7 10,7 ( ) 10,7. .(150 ) 1547,75. 2 ( ) 10,7. . (75 ) 5,35. 802,5. 2 . ( ) 30.10 .1547,75. ( ). 10,7.8360.10 . ( ) 20.10 .(5,35. 802, ( ). f z y y z y xs z z y z xs y t s t Q s s s s Q s s s s V Q s s debidoaV t s I V Q s s debidoaV t s I τ τ = = = − = = − − = − → = = − → = = 2 4 5. ) 10,7.604.10 s 2 2 2 0 0 75 3,9 / xs xs s s N mm τ τ = → = = → = 2 2 2 0 0 75 9,176 / xs xs s s N mm τ τ = → = = → = −
  • 17.
    Tramo s3: →→→→ →→→→ Tramo s4: →→→→ →→→→ Tramos5: →→→→ [ ]3 3 23 3 3 3 3 3 4 3 3 ( ) 10,7 10,7 ( ) 10,7. . (150 ) 1547,75. 2 ( ) 10,7. .(75 ) 5,35. 802,5. 2 . ( ) 30.10 .( 1547,75. ) ( ). 10,7.8360.10 . ( ) 20.10 .( 5,35. ( ). f z y y z y xs z z y z xs y t s t Q s s s s Q s s s s V Q s s debidoaV t s I V Q s s debidoaV t s I τ τ = = = − − = − = − = − + − → = = − → = = 2 3 4 802,5. ) 10,7.604.10 s+ 3 2 3 0 0 75 3,9 / xs xs s s N mm τ τ = → = = → = − 3 2 3 0 0 75 9,176 / xs xs s s N mm τ τ = → = = → = [ ] [ ] 4 4 23 3 4 4 3 4 4 3 2 4 ( ) 10,7 10,7 ( ) 10,7. . (150 ) 1547,75. 2 ( ) 10,7. . (75 ) 5,35. 802,5. 2 . ( ) 30.10 .( 1547,75. ) ( ). 10,7.8360.10 . ( ) 20.10 .(5,35. ( ). f z y y z y xs z z y z xs y t s t Q s s s s Q s s s s V Q s s debidoaV t s I V Q s s debidoaV t s I τ τ = = = − − = − = − − = − − → = = → = = 4 4 802,5. ) 10,7.604.10 s− 4 2 4 0 0 75 3,9 / xs xs s s N mm τ τ = → = = → = − 4 2 4 0 0 75 9,176 / xs xs s s N mm τ τ = → = = → = − 2 35 5 , 5 2 3 3 5 4 ( ) 7,1 ( ) / 2 7,1. . 314.10 7,1. 2 2 ( ) 0 ( ) 30.10 .(314.10 7,1. ). ( ) 2 ( ). 7,1.8360.10 . ( ) 0 ( ). w z pl y y y z y xs z z y z xs y t s t s s Q s W s Q s por simetría s V Q s debidoaV e s I V Q s debidoaV e s I τ τ = = = − = − = − → = = → = = 2 5 2 5 0 15,87 / 124,3 13,1 / xs xs s N mm s N mm τ τ = → = = → =
  • 18.
    Debido a Ry:hay tensiones cortantes en el alma y en las alas Observación: Las tensiones cortantes en las alas, debidas a Vy , se suelen despreciar Debido a Vz: sólo hay tensiones en las alas 3) Valores medios de las tensiones cortantes en alma y alas 2 15,87 / ( )MAX N mm enel centro del alma Gτ = 2 9,176 /MAX N mm enel centro delas alasτ = d/2=12,43 cm d/2=12,43 cm z 15,87 13,1 13,1 3,9 3,9 τMAX G τMAX * * alma ala ala 14,08 τmedia 91,76 9,176 τMAX τMAX z Diagramas de τxs debidas a Vy: Diagramas de τxs debidas a Vz: τmedia 5,53 3 2 3 2 2 30.10 ( ) 14,08 / . 300.7,1 20.10 ( ) 5,53 / . 53,8.10 248,6.7,1 y y xymedia alma w z z xzmedia alas w V V alma N mm A h t V V alas N mm A A d t τ τ = = = = = = = = − −
  • 19.
    5.13.-En la vigade la figura y para los tres casos de sección indicados, calcular las tensiones normales y cortantes en los puntos 1,2 y 3 señalados de la sección más solicitada. Cálculo de las reacciones en los apoyos: Ecuaciones de equilibrio: → Resolviendo: Diagramas de esfuerzos Sección más solicitada: 1 15 15 .y zx V kN M kN m− = → = = a) Sección rectangular: 0 20 (1) 0 .4 20.1 (2) A B A B F R R M R = + = = = ∑ ∑ 15 5 A B R kN R kN = = 15 15 5 Vy Mz x x + + - 0 1 15 15. 0 0 1 15 . y z z z x V kN M x x M x M kN m − − = = = → = = → = 1 4 15 20 5 15. 20.( 1) 1 15 . 4 0 y z z z x V kN M x x x M kN m x M − − = − = − = − − = → = = → = 45 mm 90 mm 22,5 mm y z 1 2 3 22,5 mm 3 4 41 .45.90 273,4.10 12 0 z zy I mm I ejes de simetría ejes principales = = = → → z z I yM . =σ ( ) ( ). y z xy z V Q y t y I τ = ( ) ( ). y z xz z V Q z t z I τ = y 1 3 2 1 2,25 cm IPE-140 R= 5 cm 2,5 cm y d/2=5,6 cm 3 y 20 kN 1 m 3 m 9 cm 4,5 cm z 1 2 3 z 2 z RA RB
  • 20.
    punto 1: siendo: punto 2: siendo: punto3: siendo: 6 2 21 1 4 . 15.10 .45 / 246,9 / 273,4.10 z z M y N mm N mm I σ = = = 1 1 1 ( ) 0 ( ). y z xy z V Q y t y I τ = = 1 1 1 ( ) 0 ( ). y z xz z V Q z t z I τ = = 1 1 1 1 1 45 0 ( ) 45 ( ) 0 ( ) 0 z z y mm z t y mm Q y Q z por simetría = = = = = 0 . 2 2 == z z I yM σ 3 3 2 2 2 4 2 ( ) 15.10 .45,6.10 5,55 / ( ). 45.273,4.10 y z xy z V Q y N mm t y I τ = = = 2 2 2 ( ) 0 ( ). y z xz z V Q z t z I τ = = 2 2 2 3 3 2 2 0 0 ( ) 45 ( ) 45.45.22,5 45,6.10 ( ) 0 z z y z t y mm Q y mm Q z por simetría = = = = = = 6 2 23 3 4 . 15.10 .22,5 / 123,45 / 273,4.10 z z M y N mm N mm I σ = = = 3 3 3 2 3 4 3 ( ) 15.10 .34,2.10 4,17 / ( ). 45.273,4.10 y z xy z V Q y N mm t y I τ = = = 3 3 3 ( ) 0 ( ). y z xz z V Q z t z I τ = = 3 3 3 3 3 3 3 22,5 0 ( ) 45 22,5 ( ) 45.22,5.(22,5 ) 34,2.10 2 ( ) 0 z z y mm z t y mm Q y mm Q z por simetría = = = = + = = σ1 σ3 x y z 1 2 3 τxy2 τxy3
  • 21.
    b) sección circular Cálculode t(y) y de Qz(y) para un punto cualquiera punto 1: siendo: punto 2: siendo: yR z y G y ´ dy´ 4 4 4 4. .50 490,9.10 4 4 0 z zy R I mm I ejes de simetría ejes principales π π = = = = → → z z I yM . =σ ( ) ( ). y z xz z V Q z t z I τ = 25 mm R = 50 mm z y 1 2 3 2 2 3 2 2 2 2 2 ( ) 2. 2 ( ) 2. ´ . ´. ´ .( ) 3 R z y t y R y Q y R y dy y R y = − = − = −∫ 6 21 1 4 . 15.10 .50 152,78 / 490,9.10 z z M y N mm I σ = = = 1 1 1 ( ) 0 ( ). y z xy z V Q y t y I τ = = 1 1 1 ( ) 0 ( ). y z xz z V Q z t z I τ = = 1 1 1 1 1 50 0 ( ) 0 ( ) 0 ( ) 0 z z y mm z t y Q y Q z por simetría = = = = = 0 . 2 2 == z z I yM σ 3 3 2 2 2 4 2 ( ) 15.10 .83,3.10 2,55 / ( ). 100.490,9.10 y z xy z V Q y N mm t y I τ = = = 2 2 2 ( ) 0 ( ). y z xz z V Q z t z I τ = = 2 2 2 3 2 2 3 32 2 2 0 0 ( ) 100 2 ( ) .(50 0 ) 83,3.10 3 ( ) 0 z z y z t y mm Q y mm Q z por simetría = = = = − = = ( ) ( ). y z xy z V Q y t y I τ =
  • 22.
    punto 3: siendo: c) secciónIPE-140 punto 1: punto 2: siendo: 6 23 3 4 . 15.10 .25 76,39 / 490,9.10 z z M y N mm I σ = = = 3 3 3 2 3 4 3 ( ) 15.10 .54,1.10 1,91 / ( ). 87.490,9.10 y z xy z V Q y N mm t y I τ = = = 3 3 3 ( ) 0 ( ). y z xz z V Q z t z I τ = = 3 3 2 2 3 2 2 2 3 33 3 3 25 0 ( ) 2. 50 25 87 2 ( ) .(50 25 ) 54,1.10 3 ( ) 0 z z y mm z t y mm Q y mm Q z por simetría = = = − = = − = = x y z σ1 σ3 τxy2 τxy3 1 2 3 1 2 3 z y d/2 = 56 mm 4,7 mm 6,9 mm 6,9 mm 140 mm 73 mm 4 4 541.10 0 z zy I tablas mm I = = = z z I yM . =σ ( ) ( ). y z xs z V Q s t s I τ = 6 21 1 4 . 15.10 .70 194,08 / 541.10 z z M y N mm I σ = = = 1 1 1 ( ) 0 ( ). y z xs y z V Q s despreciamos debidas aV enlas alas t s I τ τ= = → 0 . 2 2 == z z I yM σ 3 3 2 2 2 4 2 ( ) 15.10 .44,2.10 26,07 / ( ). 4,7.541.10 y z xs z V Q s N mm t s I τ = = = 2 3 2 , ( ) 4,7 ( ) / 2( ) 44,2z pl y t s mm Q y W tablas cm = = =
  • 23.
    punto 3 siendo: 3 3 32 3 4 3 ( ) 15.10 .36,8.10 21,73 / ( ). 4,7.541.10 y z xy z V Q s N mm t s I τ = = = 6 23 3 4 . 15.10 .56 155,27 / 541.10 z z M y N mm I σ = = = 3 3 3 2 , ( ) 4,7 112 112 ( ) / 2( ) . . 44,2 .4,7. 36,8.10 2 4 2 4 z pl y t s mm d d Q y W tablas e mm = = − = − = 1 2 3 z y x σ1 σ3 τxs2 τxs3
  • 24.
    5.14.-La viga dela figura es una HEB-200. Se pide calcular: 1) Diagramas de fuerzas cortantes y de momentos flectores 2) Tensiones normales máximas de tracción y compresión en la sección de empotramiento 3) Tensión cortante máxima en el alma y alas en la sección de empotramiento 1) Diagramas de esfuerzos. Proyectamos las cargas sobre los ejes principales z e y: Cálculo de las reacciones: 7,07.cos45º 7,07.sen45º 10.cos30º 10.sen30º z y 5 kN 5 kN 8,66 kN 5 kN z y 5 kN 5 kN x y z 1 m 1 m 5 kNVA HA MAz MAy A 8,66 kN 0 8,66 5 13,66 0 5 5 0 0 8,66.1 5.2 18,66 . 0 5.1 5.2 5 . y A z A A Az Az Ay Ay Ay F V kN F H H M M kN m M M M kN m = = + = = + = → = = = + = = = = → = ∑ ∑ ∑ ∑ 30º 10 kN z 7,07 kN 45º y 10 kN 7,07 kN 1 m 1 m Sección
  • 25.
    2) Línea neutra: σMAXen la sección x=0 5 kN 5 kN x y z 1 m 1 m 5 kN 13,66 kN 18,66 kN.m 5 kN.m A 8,66 kN 0 1 13,66 0 13,66. 18,66 0 18,66 . 1 5 . 5 . y z z z z y x V kN V M x x M kN m x M kN m M kN m − − = = = − = → = − = → = − = − 1 2 13,66 8,66 5 5 13,66. 18,66 8,66.( 1) 1 5 . 2 0 5 5.( 1) 1 5 . 2 0 y z z z z y y y x V kN V kN M x x x M kN m x M M x x M kN m x M − − = − = = = − − − = → = − = → = = − + − = → = − = → = z y α = 37,3º n n GT C x σMAX(T) σMAX(C) A B 3 4 3 4 4 4 4 4 ( 0). 5.10 .5696.10 0,76 ( 0). 18,66.10 .2003.10 37,3º : ( ) 5696.10 ( ) 2003.10 y z z y z y M x I tag M x I siendo I tablas mm I tablas mm α α = − = − = − = − = − = − = = 6 6 2 4 4 .. 18,66.10 .( 100) 5.10 .( 100) ( ) 57,72 / 5696.10 2003.10 y Az A MAX A z y M zM y T N mm I I σ σ − − − − = = + = + = 6 6 2 4 4 .. 18,66.10 .(100) 5.10 .(100) ( ) 57,72 / 5696.10 2003.10 y Bz B MAX B z y M zM y C N mm I I σ σ − − = = + = + = − - 5 13,66 Vy Vz 5 5 My - + + 18,66 5
  • 26.
    3) Debido aVy la tensión cortante máxima se dará en el centro del alma (G) . Observación: Debido a Vz: como en la sección x=0 es Vz=0 → τ = 0 z y τMAX(alma) τMAX(alma) G τMAX(ala) τMAX(ala)E 3 2 ( ) 4 3 3 , . ( ) 13,66.321.10 8,55 / ( ). 9.5696.10 : ( ) ( ) 9 ( ) /2( ) 321.10 y z MAX alma G z w z pl y V Q G N mm t G I siendo t G t tablas mm Q G W tablas mm τ τ= = = = = = = = 3 2 ( ) 4 3 3 . ( ) . ( ) 13,66.138,75.10 2,22 / ( ). ( ). 15.5696.10 : ( ) ( ) 15 15 ( ) 100.15. 100 138,75.10 2 y z z y MAX ala G z y f z V Q G V Q E N mm t G I t E I siendo e E t tablas mm Q E cm τ τ= = + = = = =   = − =   
  • 27.
    5.15.-La sección deuna viga tiene la forma indicada en la figura y está sometida a una fuerza cortante Vy=30 kN. Se pide: 1) Los diagramas de tensiones cortantes. Tensión cortante máxima y tensión cortante media 2) Si también estuviese solicitada con Vz = 20 kN., calcular la tensión cortante total en el punto a indicado en la figura tramo s1 : tramo s2 : 3 3 4 41 1 .150.200 .(150 2.8).(200 2.8) 3043,7.10 12 12 zI mm= − − − = sec , tan , sec ,( )o y xs Al ser la ción simétrica respectodel eje y y estar sometida soloaV lastensiones cor tes enlos puntos decortedela ciónconel eje y puntos A y B sonceroτ 0 0 0 . ( ) . ( ). ( ) ( 0 ) ( ) ( ). ( ). y z y zxs xs xs xs z z V Q s V Q st s como en A y B t s t s I t s I τ τ τ τ= + → = → = 3 21 1 14 1 1 30.10 .(768. ) 0 0 75 7,1 / 8.3043,7.10 : ( ) 8 ( ) 8. .(96) 768. xs xs xs f z s s s N mm siendo t s t mm Q s s s τ τ τ= = → = = → = = = = = 3 22 2 24 2 2 30.10 .(768. ) 0 0 75 7,1 / 8.3043,7.10 : ( ) 8 ( ) 8. .(96) 768. xs xs xs f z s s s N mm siendo t s t cm Q s s s τ τ τ= = → = = → = = = = = 8 mm 200 mm y z s1s2 s3s4 s5s6 τxs0=0 92 mm 92 mm 75 mm 75 mm 7,17,1 7,17,1 11,27 11,27 7,1 7,1 7,17,1 τMAXτMAX Solución: τmedia(almas)=9,37 Vy = 30 kN 5 cm a 0,8 cm 20 cm 15 cm y z A B C D
  • 28.
    tramo s3 : tramos4 : tramo s5 : 2) 3 23 3 34 3 3 30.10 .( 768. ) 0 0 75 7,1 / 8.3043,7.10 : ( ) 8 ( ) 8. .( 96) 768. xs xs xs f z s s s N mm siendo t s t mm Q s s s τ τ τ − = = → = = → = − = = = − = − 3 24 3 44 4 4 30.10 .( 768. ) 0 0 75 7,1 / 8.3043,7.10 : ( ) 8 ( ) 8. .( 96) 768. xs xs xs f z s s s N mm siendo t s t mm Q s s s τ τ τ − = = → = = → = − = = = − = − 3 2 5 5 4 2 2 2 5 5 5 25 5 5 5 30.10 .( 4. 736. 57600) 8.3043,7.10 0 7,1 / 92 11,27 / 184 7,1 / : ( ) 8 ( ) 75.8.96 8. .(92 ) 4. 736. 57600 2 xs xs xs xs w z s s s N mm s N mm s N mm s siendo t s t mm Q s s s s τ τ τ τ − + + = = → = = → = = → = = = = + − = − + + 2 11,27 /MAX N mm enel centro delas almasτ = → 3 230.10 ( ) 9,37 / 2. . 2.200.8 y y xsmedia almas w V V almas N mm A h t τ = = = = 3 3 4 41 1 .200.150 .(200 2.8).(150 2.8) 1935,64.10 12 12 yI mm= − − − = sec tan , sec ( )o z xs Al ser la ción simétrica respectodel eje z y estar sometida ahora sóloaV lastensiones cor tes enlos puntos decortedela ciónconel eje z puntosC y D sonceroτ [ ] 2 5 3 20 0 4 0 ( ) ( 42 ) 10 / . ( ) 20.10 . 50.8.(75 4). ( ) ( ) 3,67 / ( ) ( ). 8.1935,64.10 : 0 y xs xs z yxs z xs y xs debidoaV a s mm N mm V Q st s debidoaV a N mm t s t s I siendo τ τ τ τ τ → = = = ↓ − → = + = = ↑ = 2 ( ) 10 3,67 6,33 /y z xsdebidoa V V a N mmτ+ → = ↓ − ↑= ↓
  • 29.
    5.20.-En la secciónde la figura sometida a los esfuerzos: Vy = 3 kN y Mz = 1 kN.m. se pide calcular: 1) Tensiones normales máximas de tracción y de compresión. 2) Diagrama de distribución de tensiones cortantes en la sección Cálculo de G: Cálculo de Iz , Iy, Izy: 10 cm 1 cm 10 cm 1 cm z y Vy=3 kN Mz=1 kN.m G 9 cm 1 cm 10 cm 1 cm z y G G2 G1 4,5 cm 5 cm yG=2,87 cm zG=2,87 cm cmz AA zAzA z cmy AA yAyA y G GG G G GG G 87,2 1.91.10 5,0.1.95.1.10 .. 87,2 1.91.10 5,5.1.95,0.1.10 .. 21 21 21 21 21 21 = + + = + + = = + + = + + = 9 cm 1 cm 10 cm 1 cm z y G G2 G1 4,5 cm 5 cm yG=2,87 cm zG=2,87 cm 7,13 cm
  • 30.
    1)Tensiones máximas detracción y compresión: Cálculo de la línea neutra: 423 2 423 1 4 21 123)5,413,7.(1.99.1. 12 1 57)5,087,2.(1.101.10. 12 1 180 cmI cmI cmIII z z zzz =−+= =−+= =+= 4 1 2 3 2 4 1 3 2 4 2 180 1 .1.10 10.1.(10 2,87 5) 128,7 12 1 .9.1 9.1.(2,87 0,5) 51,3 12 y y y y y I I I cm I cm I cm = + = = + − − = = + − = [ ] [ ] 4 1 2 4 1 4 2 106,58 0 10.1.(2,87 0,5).(10 2,87 5) 50,48 0 9.1. (7,13 4,5) . (2,87 0,5) 56,1 zy zy zy zy zy I I I cm I cm I cm = + = = + − − − = = + − − − − = 7,13 cm 1 cm 2,87 cm z y G 2,87 cm n α = 30,63º n 1 2 º63,30 592,0 180 58,106 . . 0 .. .. = === − −= = − − −= α α α y yz yz yzz y yzyyz yzzzy I I IM IM tag Mcomo IMIM IMIM tag 22 . )..()..( )0( . )...()...( yzzy yzzyz y yzzy yzzzyyzyyz III zIMyIM M III zIMIMyIMIM − − === − −+− =σ 6 4 6 4 2 1 4 4 4 2 (1.10 .180.10 ).( 71,3) (1.10 .106,58.10 ).( 18,7) 51,52 / ( ) 180.10 .180.10 (106,58.10 ) MAXN mm Cσ σ − − − = = − = − 6 4 6 4 2 2 4 4 4 2 (1.10 .180.10 ).(28,7) (1.10 .106,58.10 ).( 28,7) 39,09 / ( ) 180.10 .180.10 (106,58.10 ) MAXN mm Tσ σ − − = = = −
  • 31.
    2) Diagramas deτ: tramo s1 siendo: tramo s2 95 mm 10 mm 95 mm 10 mm z y G s1 28,7 mm 71,3 mm cm s2 71,3 mm cm 2 2 .( . ( ) . ( )) .( . ( ) . ( )) ( ).( . ) 0 . . ( ) . ( ) ( ).( . ) y y z yz y z z y yz z xs y z yz z y y z yz y xs y z yz V I Q s I Q s V I Q s I Q s t s I I I comoV V I Q s I Q s t s I I I τ τ − + − = − =  − = − 1 1 21 1 1 1 ( ) 1 ( ) .10.23,7 237. ( ) .10.(71,3 ) 5. 713. 2 z y t s cm Q s s s s Q s s s s = = = = − = − + 3 4 4 2 1 1 1 4 4 4 2 3.10 . 180.10 .237. 106,58.10 .( 5. 713. ) 10.(180.10 .180.10 (106,58.10 ) xs s s s τ  − − + = − 2 1 1 1 2 1 1 1 0 0 95 2,34 / 0 62,5 0 31,3 ( 31,3) 0,744 / xs xs xs xs xsMAX xsMAX xs s s N mm s mm d s mm s N mm ds τ τ τ τ τ τ τ = → = = → = = → = → = → = = = = − 3 4 2 4 2 2 2 4 4 4 2 3.10 . 180.10 .(5. 713. ) 106,58.10 .( 237. ) 10.(180.10 .180.10 (106,58.10 ) xs s s s τ  − − − = −
  • 32.
    siendo: 22 2 2 2 22 ( ) 10 ( ) .10. (71,3 ) 5. 713. 2 ( ) .10.( 23,7) 237. z y t s mm s Q s s s s Q s s s =   = − − = −   = − = − 2 2 2 2 2 2 2 2 0 0 95 2,38 / 0 115 ( 0 10) 0 57,3 ( 57,3) 4,213 / xs xs xs xs xsMAX xsMAX xs s s N mm s mm fuera del campo d s mm s N mm ds τ τ τ τ τ τ τ = → = = → = − = → = − → = → = = = = − z y G 4,213 2,38 2,34 0,744 57,3 mm 31,3 mm
  • 33.
    5.21.-En la vigade la figura se pide: 1) Diagramas de fuerzas cortantes y de momentos flectores 2) Dimensionamiento a resistencia de la sección, empleando los criterios plástico, elástico y de Von Mises y para los siguientes casos de sección: a) Perfil IPE b) sección rectangular bxh siendo h=2b c) sección circular Datos: fy = 275 N/mm2 ; coeficiente de minoración del material: γγγγM =1,1; coeficiente de mayoración de cargas: γγγγ =1,5 Nota: El angular mediante el cual se transmite la carga a la viga se supone rígido y a su vez rígidamente unido a la misma. No se considerará el peso propio de la viga. Se trasladará el efecto de la carga de 5000 Kg que actúa sobre el angular a la viga a través de la unión de ambos. Cálculo de reacciones Diagramas 50 kN 1 m 2,8 m 0,2 m 1 m 3 m 50 kN 10 kN.m RA RB A B 0 50 (1) 0 .4 50.1 10 (2) : 35 15 A B A B A B F R R M R resolviendo R kN R kN = + = = = + = = ∑ ∑ 0 1 35 35. 0 0 1 35 . y z z z x V kN M x x M x M kN m − − = = = → = = → = 1 4 15 15.(4 ) 1 45 . 4 0 y z z z x V kN M x x M kN m x M − − = − = − = → = = → = 15 35 Vy 35 45 Mz + + -
  • 34.
    2) Dimensionamiento aresistencia de la sección con criterio plástico: Sección mas solicitada: x= 1 + : Mz = 45 kN.m; Vy = 15 kN max * , 6 3 3 * , 45 . . 275 : 45.10 .1,5 . 270.10 1,1 ) : tan : 220 15 . 3 : ( ) z z zpl d zpl yd zpl zpl y y yd y ypl d v v M kN m M M W f sustituyendovalores W W mm a casode IPE entrandoentablas IPE comprobaciónacor teV V kN f V V A siendo A area del a ma IP l E = ≤ = ≤ → ≥ → = ≤ = = − 2 3 * . ( 220) 220.5,9 1298 275 1,1 :15.10 .1,5 1298. : 22500 187350,1 3 ¡ tan ! : 22500 0,5. 0,5.187350,1 93675 ¡ w y ypl h t IPE mm sustituyendovalores y operando sí cumpleacor te y además V V noes necesariocombinar momento flector co = = − = = ≤ ≤ = < = = 3 3 2 2 3 3 * 3 tan ) sec tan : 257,7.10 . .(2. ) ( 2. ) 270.10 4 4 tan : 275 1,1 . 15.10 .1,5 8354,47. 22500 64, 12058 3 3 63 129,27 zpl zpl y yd y ypl v b mm h mm n fuerza cor te b casode ción rec gular W mm b h b b W como h b b comprobaciónacor teV f V V A = = = = = = = == → ≤ = ≤ → < 2 * 3 3 3 63 ¡ ! . 64,63.129,27 8354,47 : 22500 0,5. 602932 ¡ tan ) sec : 270.10 4 . 3 v y ypl zpl zpl sicumple siendo A A b h mm y además V V sí severifica noes necesariocombinar momento flector con fuerza cor te c casode cióncircular W mm W R → = = = = = < = → = = = 3 * 3 2 2 2 * 270.10 tan : 275 1,1 . 15.10 .1,5 10833,5. 22500 1563676,7 ¡ ! 3 3 . .58,72 58 10833,5 : 22500 0,5. 781838,3 , ¡ 72 y yd y ypl v v y ypl comprobaciónacor teV f V V A sicumple siendo A A R mm y además V V sí severifica R mm noes ne π π =→ ≤ = ≤ → < → = = = = = < = → tancesariocombinar momento flector con fuerza cor te
  • 35.
    Dimensionamiento a resistenciade la sección con criterio elástico: Sección mas solicitada: x= 1 + : Mz = 45 kN.m; Vy = 15 kN * max , 6 3 3 * , 45 . . 275 : 45.10 .1,5 . 270.10 1,1 ) tan : 15 24 . 3 ( 0 : ) z z zel d zel yd zel zel y yd y y ypl d v v M kN m M M W f sustituyendovalores W W mm a casode IPE entrandoentablas IPE comprobaciónacor teV f V kN V V A siendo A area del alm IPE a = ≤ = ≤ → ≥ → = ≤ = = − = 2 3 * . ( 240) 240.6,2 1488 275 1,1 :15.10 .1,5 1488. : 22500 214774,3 3 ¡ tan ! : 22500 0,5. 0,5.214774,3 107387,1 ¡ w y ypl h t IPE mm sustituyendovalores yoperando sí cumpleacor te y además V V noes necesariocombinar momento flector = − = = ≤ ≤ = < = = 2 2 3 3 3 3 * 2 , tan ) sec tan : . .(2. ) 2 270.10 ( 2. ) . 270.10 6 6 3 tan : 15 . : . 74.148 10952 4 3 7 148 zel zel y yd y y ypl d v v con fuerzacor te b casode ción rec gular b h b b W mm W comoh b b comprobaciónacor teV f V kN V V A sie b mm h mm ndo A A b h mm s = = = = = = = → = ≤ = = = = = = = 3 * 275 1,1 :35.10 .1,5 10952. : 22500 1580785 3 ¡ tan ! : 22500 0,5. 0,5.1580785 790392,5 ¡ tan ) sec y ypl ustituyendovalores yoperando sí cumpleacor te y además V V noes necesariocombinar momento flector con fuerzacor te c casode ción ≤ ≤ = < = = 3 3 3 3 * 2 2 2 , 3 7 : . 270.10 270.10 4 tan : 15 . : . .70 15393,8 3 275 1,1 :15.10 .1,5 15393,8. : 22500 2221 03 0 9 3 zel zel y yd y y ypl d v v circular R W mm W comprobaciónacor teV f V kN V V A siendo A A R mm sustituyendovalores y operando R mm π π π = = = → = ≤ = = = = = = ≤ ≤ * ,6 ¡ tan ! : 22500 0,5. 0,5.2221903,6 1110951,8 ¡ tan y yplsí cumpleacor te y además V V noes necesariocombinar momento flector con fuerzacor te = < = =
  • 36.
    Dimensionamiento a resistenciade la sección con el criterio de Von Mises: Secciónes más solicitada: Puntos más solicitados: se predimensionará en el punto 1 (σmax) y se comprobarán puntos 2 y 3 1 15 45 . ( ) 1 35 ( ) 35 . y z y z x V kN M kN m máx x V kN máx M kN m + − = → = − = = → = = 1 15 45 . ( )y zx V kN M kN m máx+ = → = − = 3 3 3 3 3 max 4 3 )sec : 270.10 : 240 )sec tan * 2. : 1 1 . . . .(2 ) 12 12270.10 270.10 74 2 148 )sec : . 4270.10 270. zel z zel zel z zel zel máx a ción IPE W tablas IPE b ción rec gular h b siendo h b b h b b I W W b mm hy b h mm c cióncircular R I W W y R π ≥ → − = ≥ → = = = ≥ → ≥ → ≥ ≥ → = = ≥ 3 10 70R mm→ ≥ * * 6 * 1 1 * 1 6 *2 *2 * 3 3 1 1 1 1 1: . 45.10 .1,5 0 45.10 .1,5 275 3. 270.10 1,1 z z z zel zel co zel zel punto M y M I W W W mm W σ τ σ σ τ σ = = = = = + = = ≤ → ≥ :sec32 cionesdetipostreslosparaypuntosonescomprobaci * 2 * 3 3 * 2 4 )sec 240 2: 0 . (2) 15.10 .1,5.183.10 17,07 (2). 6,2.3890.10 y z z a ciónIPE punto V Q t I σ τ − = − = = = − 2 27529,57 250 1,1coσ = < = y 1 3 2 1 y 3 y z 1 2 3 z2 z
  • 37.
    Por último secomprobarían de nuevo los puntos 1, 2 y 3, para los tres casos, en la sección: (como se ve coincide con el criterio de dimensionamiento elástico 3 4 4 * 2 3 * * 2 4 1 )sec tan : 148 74 .74.148 1991,05.10 12 2: 0 148 148 15.10 .1,5.(74. . ). (2) 2 4 3,09 (2). 74.1991,05.10 z y z z b ciónrec gular h mm b mm I mm punto V Q t I σ τ = = → = = = − = = = − 2 5,36 250coσ = < * 6 * 3 3 4 3 * * 3 4 3 : . 45.10 .1,5.37 125, 4 1991, 05.10 37 15.10 .1,5. 74.37.(37 ) . (3) 2 2,32 (3). 74.1991, 05.10 z z y z z punto M y I V Q t I σ τ = = =   − +  = = = − 3 125,5 250coσ = < 4 4 4 * 2 3 2 2 3/2 * * 2 4 .70 )sec : 70 1885,7454.10 4 2: 0 2 15.10.1,5. .(70 0 ) . (2) 3 1,95 (2). 140.1885,7454.10 z y z z c cióncircular R mm I mm punto V Q t I π σ τ = → = = =   − −  = = =− 2 3,38 250coσ = < * 6 * 3 3 4 3 2 2 3/2 * * 3 2 2 4 3: . 45.10 .1,5.35 125,28 1885,7454.10 2 15.10 .1,5. .(70 35 ) . (3) 3 1,46 (3). 2. 70 35 .1885,7454.10 z z y z z punto M y I V Q t I σ τ = = =   − −  = = = − − 3 125,3 250coσ = < 3 3 1 35.10 ( ) 35.10 .y zx V kN máx M kN m− = → = = 6 * * 3 3 4 3 3 * * 3 4 3: 190,4 45.10 .1,5.. 2 165,2 3890.10 190,4 190,4 15.10 .1,5. 183.10 .6,2. . (3) 2 4 14,45 (3). 6,2.3890.10 z z y z z punto M y I V Q t I σ τ = = =   − −  = = = − 3 167,1 250coσ = <
  • 38.
    5.22.-En la vigade la figura se pide el dimensionamiento de la sección a resistencia usando un criterio plástico de dimensionamiento. Datos: perfil IPE; fy = 275 N/mm 2 ; γγγγM = 1,1; γγγγ= 1,35 Cálculo de reacciones en los apoyos: Diagramas de esfuerzos: 30 kN 5 kN 1 m 1 m2 m A B z y VA VB HA HB 0 30 (1) 0 5 (2) 0 .4 30.3 (3) 0 .4 5.1 (4) resolviendo (1),(2),(3),(4): 22,5 ; 7,5 ; 1,25 ; 3,75 y A B z A B zB A yB A A B A B F V V F H H M V M H V kN V kN H kN H kN = → + = = → + = = → = = → = = = = = ∑ ∑ ∑ ∑ Vy Vz Mz My 22,5 7,5 1,25 3,75 22,5 3,75 + - - + +1,25 7,5
  • 39.
    Dimensionamiento a resistenciade la sección con criterio plástico Comprobación a flexión: Tanteamos secciones, pero partiendo de un predimensionado Predimensionado rápido: Estudio separados Mz y My: ** , , 1 yz zpl d ypl d MM M M + ≤ * 6 3 3 , * 6 6 * 6 3 3 , * 6 6 275 . 30,38.10 . 121,5.10 1,1 : . 22,5.10 .1,35 30,38.10 . 275 . 5,06.10 . 20,25.10 1,1 : . 3,75.10 .1,35 5,06.10 . z zpl d zpl yd zpl zpl z z y ypl d ypl yd ypl ypl y y M M W f W W mm siendo M M N mm M M W f W W mm siendo M M N γ γ ≤ = → ≤ ⇒ ≥ = = = ≤ = → ≤ ⇒ ≥ = = = 3 3 3 3 121,5.10 20,25.10 lg 160 1º tan : 160: sec : 1 : 22,5 . ; 1,25 . ; 22,5 ; 1,25 zpl ypl z y y z mm conlos valores deW mm y deW mm buscoentablasun perfil queva a paralos dos IPE teo IPE ciónes mas solicitadas a flectores x M kN m M kN m V kN V kN− ≥ ≥ ⇒ − − = = = = = * 6 6 * 6 6 3 3 3 6 , 3 3 3 6 , 22,5.10 .1,35 30,30.10 . ; 1,25.10 .1,35 1,687.10 . 275 123,9.10 . 123,9.10 30,975.10 . 1,1 275 26,1.10 . 26,1.10 6,525.10 . 1,1 sustituyendo z y zpl zpl d zpl yd ypl ypl d ypl yd M N mm M N mm W mm M W f N mm W mm M W f N mm = = = = = → = = = = → = = = ** 6 6 6 6 , , 3 3 3 6 , en la fórmula de dimensionamiento: 30,38.10 1,687.10 1 1,24 1 No vale 30,975.10 6,525.10 2º tan : 180: 275 166,4.10 . 166,4.10 41,6.10 . 1,1 34,6.1 yz zpl d ypl d zpl zpl d zpl yd ypl MM M M teo IPE W mm M W f N mm W + ≤ → + = > → − = → = = = = 3 3 3 6 , ** 6 6 6 6 , , 275 0 . 34,6.10 8,65.10 . 1,1 sustituyendo en la fórmula de dimensionamiento: 30,38.10 1,687.10 1 0,92 1 Si vale 41,6.10 8,65.10 ypl d ypl yd yz zpl d ypl d mm M W f N mm MM M M → = = = + ≤ → + = < →
  • 40.
    Comprobación a cortantes:IPE-180 * , *3 2 * , 275 1,1 . 30375 954. 137698 3 3 : . 22,5.10 .1,35 30375 . 180.5,3 954 1 1 y además : 30375 .137698 Si 2 2 ¡no hay que interactuar con los mom yd y y ypl d v y y v w y ypl d f V V V A N N Si cumple siendo V V N A área alma h t mm V V γ → ≤ = → ≤ = ⇒ = = = = = = = ≤ → ≤ ⇒ * , * 3 2 2 * , entos flectores! 275 1,1 . 1687,5 1616,2. 233278,4 3 3 : . 1,25.10 .1,35 1687,5 . 23,9.10 146.5,3 1616,2 1 1 y además : 1687,5 .233278 2 2 yd z z zpl d v z z v w z zpl d f V V V A N N Si cumple siendo V V N A área alas A d t mm V V γ → ≤ = → ≤ = ⇒ = = = = = − = − = ≤ → ≤ ,4 Si ¡no hay que interactuar con los momentos flectores! ⇒ + Se podría comprobar también la sección: x = 3 : 7,5 . ; 3,75 . ; 7,5 ; 3,75 repitiendo los mismos cálculos anteriores pero con estos valores de las solicitaciones ¡Sí cumple! z y y zM kN m M kN m V kN V kN= = = = →
  • 41.
    5.23.- La figuramuestra la viguería del suelo de un piso de un edificio. Las vigas son metálicas y se consideran articuladas en sus extremos. La carga permanente que actúa sobre el suelo se compone de: a) Forjado unidireccional de viguetas metálicas con bloques cerámicos: 3,5 kN/m2 , b) Pavimento del suelo: 1 kN/m2 . Se pide dimensionar a resistencia la sección de las vigas de los tipos 1 y 4, utilizando perfiles IPE y un criterio elástico de dimensionamiento Dato: fy = 275 N/mm2 ; γγγγM = 1,1; γγγγ = 1,35 Nota: Sólo se tendrá en cuenta la carga permanente Dimensionado a resistencia de la sección de las vigas tipo 1 (criterio elástico): (Como la longitud de la viga es menor de 6 m. no añadimos el peso propio de la misma) Carga total permanente sobre el suelo: Forjado:…….3,5 kN/m 2 Pavimento:…1 kN/m 2 TOTAL:……..4,5 kN/m 2 2 arg : 4,5 / .2 9 /c a q kN m m kN m= = ( 2 ) 18.2 9.2.1 18 . ( 0 ) 18 . zmáx z ymáx y M M x m kN m V V x m kN m = = = − = = = = 3 2 m 2 m2 m 3 2 2 2 2 1 1 1 1 4 4 m 4 m A A B B A A C D 9 kN/m 2 m RA= 18 kN RB= 18 kN 18 Mz (kN.m) 2 m x A B + Vy (kN) 18 x + - 18
  • 42.
    Dimensionado a resistenciade la sección de las vigas tipo 4 (criterio elástico): (Como la longitud de la viga es mayor de 6 m. añadimos el peso propio de la misma, estimado en 1kN/m) z y * * 6 , 3 dim : sección más solicitada a flectores: x = 2 m: M 18 . ;V 0 275 18.1,35 24,3 . . 24,3.10 . 1,1 97200 160 sección más solici z z zel d zel yd zel zel criterioelástico de ensionamiento kN m M kN m M M W f W W mm tablas IPE = = = = ≤ = ≤ = → → − z y * , * 2 3 tada a cortantes: x = 0 m: M 0;V 18 kN : . 3 : 18.1,35 24,3 ( ) . 160.5 800 275 1,1 : 24,3.10 800. 24300 115470 ¡ ! 3 yd y y ypl d v y v w f Comprobación a cortadura V V V A siendo V kN A área alma h t mm sustituyendo sí cumple = = ≤ = = = = = = = ≤ → < → Vigas tipo 1 →→→→ IPE-160 2 m 2 m 2 m C D B B 36 kN 36 kN RC= 39 kN RD= 39 kN 76,5 Mz(kN.m) x 1 kN/m 7676 Vy(kN) x 39 39 37 37 1 1 + + -
  • 43.
    Vigas tipo 4→→→→ IPE-270 z ysección más solicitada a flectores: x = 3 m: M 76,5 . ;V 0kN m= = * * 6 , 3 z y dim : 275 76,5.1,35 103,3 . . 103,3.10 . 1,1 413200 270 sección más solicitada a cortadura: x = 0 m: M 0 . ;V 39 z z zel d zel yd zel zel criterioelástico de ensionamiento M kN m M M W f W W mm tablas IPE kN m kN Comprobació = = ≤ = ≤ = → → − = = * , * 2 3 : . 3 : 39.1,35 52,65 ( ) . 270.6,6 1782 275 1,1 :52,65.10 1782. 52650 257209,5 ¡ ! 3 yd y y ypl d v y v w f n a cortadura V V V A siendo V kN A área alma h t mm sustituyendo sí cumple ≤ = = = = = = = ≤ → < →
  • 44.
    5.24.-Las vigas quesoportan la cubierta de una nave industrial “correas”, se encuentran apoyadas sobre los cordones superiores de dos cerchas, separadas entre sí 5 m y con una pendiente de 22º. La separación entre correas es de 1,175 m. Las carga que han de soportar estas correas son: - Carga permanente: • Peso de la uralita, incluidos ganchos y solapes…………….0,2 kN/m2 • Peso estimado de las correas:……………………………….0,18 kN/m - Sobrecarga de nieve:………………………………………………..0,8 kN/m2 Se pide dimensionar a resistencia la sección de dichas correas, utilizando perfiles IPE y empleando un criterio plástico de dimensionamiento Datos: coeficientes de mayoración de cargas : -cargas permanentes: γγγγ=1,35 -sobrecarga de nieve: γγγγ=1,5. No se tendrá en cuenta la acción del viento. Material: fy =275 N/mm2 ; γγγγM =1,1 Cargas sobre las correas: 22º cercha 1,175 m 1,175 m correas cercha 5 m 1,175 m 22º cercha 2 2 2 arg ( ) : 0,2 / .1,175 0,235 / :0,18 / : 0,415 / arg ( ) sup :0,8 / sup : 0,8.cos 22º / : p n C a permamente CP cubierta kN m m kN m peso propiocorreas kN m Total q kN m Sobrec a denieve SN sobre erficiehorizontal kN m sobre erficieinclinada kN m Total q = = 2 0,8 / .cos22º.1.175 0,87 /kN m m kN m= = qpz= 0,155 y z qpy= 0,385 qp= 0,415 CP qnz= 0,326 y z qny= 0,807 qn= 0,87 SN .cos22º 0,385 / . 22º 0,155 / .cos22º 0,807 / . 22º 0,326 / py p pz p ny n nz n q q kN m q q sen kN m q q kN m q q sen kN m = = = = = = = =
  • 45.
    Dimensionamiento a resistenciade la sección de las correas utilizando un criterio plástico: combinaciones de cargas: 2,5 m qpy = 0,385 kN/m qpz=0,155 kN/m Mz (kN.m) My kN.m) 1,2 0,483 CP 2,5 m 0,963 Vy (kN) 0,387 Vz (kN) 0,963 0,387 + - + + - - qny = 0,807 kN/m qnz=0,326 Kg/m Mz (kN.m) My (kN.m) 2,5 1,01 SN 2,5 m Vy (kN) Vz (kN) 2,01 2,01 2,5 m 0,815 0,815 + - + + - - max max max max max max max max 1,2 . 0,483 . 0,963 0,387 2,5 . 1,01 . 2,01 0,815 z y y z z y y z CP M kN m M kN m V kN V kN SN M kN m M kN m V kN V kN → = = = = → = = = = * * * * .1,35 .1.5 1,2.1,35 2,5.1,5 5,37 . 0,483.1,35 1,01.1,5 2,167 . 0,963.1,35 2,01.1,5 4,315 0,387.1,35 0,815.1,5 1,75 z y y z CP SN M kN m M kN m V kN V kN + = + = = + = = + = = + =
  • 46.
    Correas → IPE-120 ** ,, * * * * * 6 3 , * , comprobación a flexión: 1 predimensionado rápido : sección 2,5 5,37 . ; 2,167 . ; 0; 0 275 . sustituyendo :5,37.10 . 21480 1,1 yz zpl d ypl d z y y z z zpl d zpl yd zpl zpl y ypl d ypl MM M M x m M kN m M kN m V V M M W f W W mm M M W + ≤ = → = = = = ≤ = ≤ → = ≤ = 6 3 3 3 275 . sustituyendo : 2,167.10 . 8668 1,1 con los valoresde: 21480 y 8668 se busca una sección que valga para los dos IPE-100 yd ypl ypl zpl ypl f W W mm W mm W mm ≤ → = = = ⇒ er 3 3 , , 1 tanteo : 100: 39410 9150 275 . 39410. 9852500 . 9,8525 . 1,1 275 . 9150. 2287500 . 2,2875 . 1,1 5,37 2,167 sustituyendo : 1 ¡ ! 9,8525 2,2875 2º tant zpl ypl zpl d zpl yd ypl d ypl yd IPE W mm W mm M W f N mm kN m M W f N mm kN m noesválida − = = = = = = = = = = + > → 3 3 , , eo : 120 : 60730 13580 275 . 60730. 15182500 . 15,1825 . 1,1 275 . 13580. 3395000 . 3,395 . 1,1 5,37 2,167 sustituyendo : 1 ¡ ! 15,1825 3,395 (No haría zpl ypl zpl d zpl yd ypl d ypl yd IPE W mm W mm M W f N mm kN m M W f N mm kN m sí esválida − = = = = = = = = = = + < → falta la comprobación de cortantes en esa sección, ya que son cero) * * * * * 2 , 3 * , comprobación a cortantes:(IPE-120) sección x = 0: 4,315 ; 1,75 ; 0; 0 . siendo : (área alma) . 120.4,4 528 3 275 1,1 sustituyendo : 4,315.10 528. ¡ ! 3 . y z z y yd y ypl d v v w y z zpl d v V kN V kN M M f V V A A h t mm sí cumple f V V A = = = = ≤ = = = = = ≤ → ≤ = 2 3 siendo : (área alas) . 1320 93,4.4,4 909 3 275 1,1 sustituyendo :1,75.10 909. ¡ ! 3 (noharía falta combinar momentosflectorescon fuerzascortantes, pues los momentos flectores en dicha sección so d v wA A d t mm sí cumple = = − = − = ≤ → n cero)