INTRODUCCIÓN
Las vigas son elementos cuya disposición en las estructuras es principalmente
horizontal, aunque también pueden ser inclinadas, pero que en todo caso tienen la
importante función de servir de apoyo de otros miembros estructurales que le
transmiten las cargas verticales generadas por la gravedad, las cuales actúan
lateralmente a lo largo de su eje. Gracias a estos elementos se pueden construir todo
tipo de maquinarias y estructuras, tales como chasis de vehículos, soporte de
maquinarias, vigas de puentes y edificaciones, etc. Esta condición hace que las vigas
estén sometidas a esfuerzos diferentes a la tensión simple, representados por los
esfuerzos de flexión. En este caso las fuerzas externas pueden variar de una sección a
otra a lo largo de la viga, además la disposición de ellas, las condiciones de soporte y la
geometría, genera en el interior de la misma la aparición de cuatro fuerzas llamadas
resistentes. Si consideramos un sistema espacial tenemos:
1- Fuerza Cortante: se produce con dirección perpendicular al eje de la viga y su efecto
es similar al generado por una tijera al cortar un papel, es decir una fuerza cortante
paralela a la cara de la sección de la viga.
2- Fuerza Axial: se produce cuando la disposición de las fuerzas externas no es
totalmente perpendicular al eje de la viga, existiendo componentes de ellas a lo largo
del eje. Cuando aparece esta fuerza junto con la flexión, se genera un esfuerzo
combinado de flexión con esfuerzo axial. Este estudio esta fuera del alcance del
presente trabajo.
3- Momento Flector: es una fuerza del tipo “par”, que contribuye a equilibrar la rotación
del sólido en un eje perpendicular a su eje y fuera de su plano, y que produce sobre
la viga un efecto de curvatura a largo de su eje.
4- Momento Torsor: es una fuerza del tipo “par”, que contribuye a equilibrar la rotación
del sólido según un eje paralelo al eje longitudinal de la viga, y que produce sobre la
misma un efecto de giro alrededor de su propio eje. La aparición de esta fuerza
2
interna depende de la aplicación de las fuerzas externas, de tal manera que generen
alguna componente de momento alrededor del eje de la viga. Esta fuerza no se
considera en este estudio.
En el presente trabajo solo se considera el estudio de vigas a flexión pura y no
uniforme, es decir bajo la aplicación de cargas externas que generan en su interior
fuerzas cortantes y momentos flectores. Se estudia la relación que existe entre las
fuerzas externas y las internas. Como varían estas ultimas a lo lago de la viga,
mediante la elaboración de diagramas de fuerzas cortantes y momentos flectores, a los
fines de poder diseñar su dimensionado de manera económica con la condición mas
crítica de fuerza interna. Se estudia también por varios métodos, lo relacionado a las
deformaciones producidas por el efecto de las fuerzas externas. Finalmente se aborda
el tema de las vigas hiperestáticas, y la forma de encontrar las reacciones externas,
utilizando las ecuaciones adicionales proporcionadas por las deformaciones.
Los primeros cuatro capítulos comprenden un estudio teórico muy simplificado, de
los conceptos arriba descritos, teniendo como base los planteamientos del libro texto
recomendado en clases, del profesor Ferdinand L. Singer, abundando en aquellas
explicaciones, en donde por mi experiencia docente, presentan más dudas los alumnos.
En los últimos cuatro capítulos, se resuelven problemas relacionados con casos
prácticos de utilización de vigas en la Ingeniería, haciendo énfasis tanto en los aspectos
conceptuales de los principios que rigen la resistencia de materiales, como de aquellos
conceptos prácticos relacionados con el diseño y verificación de secciones, destacando
la importancia de los aspectos económicos que siempre están relacionados con la
Ingeniería. Se hace más énfasis en la explicación de la resolución de problemas que en
la cantidad de problemas resueltos.
Por último se incluye un disco, que contiene un apoyo visual computarizado, de la
teoría aquí contenida, donde de manera animada se explican los principios físicos que
rigen el estudio de las vigas, para una mejor comprensión de los alumnos.
3
CAPÍTULO I
FUERZA CORTANTE Y MOMENTO FLECTOR EN VIGAS.
1.1.-TIPOS DE VIGAS.
De acuerdo al número y tipo de los apoyos que soportan la viga, existen dos
grandes grupos de vigas:
1.1.1 Vigas Isostáticas o estáticamente determinadas: en estas vigas el numero de
reacciones externas coincide con el numero de ecuaciones de equilibro disponibles. No
sobra ni faltan reacciones para que el sólido permanezca en equilibrio estable, tiene
grado de indeterminación (G.I) cero. A continuación se muestran algunos ejemplos:
a-Viga simplemente apoyada de un tramo:
# reacciones = 3
# ecuaciones = -3 ( ΣFx, ΣFy , ΣMA)
G.I. = 0
b-Viga en cantiliver, voladizo o ménsula:
# reacciones = 3
# ecuaciones = -3 ( ΣFx, ΣFy , ΣMA)
G.I. = 0
c-Viga simplemente apoyada con volados:
# reacciones = 3
# ecuaciones = -3 ( ΣFx, ΣFy , ΣMA)
G.I. = 0
d-Viga continúa de dos tramos, con volados y
articulación:
# reacciones = 4
# ecuaciones = -4 ( ΣFx, ΣFy , ΣMA, ΣMC
izq
o ΣMC
der
)
G.I. = 0
1.1.2 - Vigas hiperestáticas o estáticamente indeterminadas: presentan un número
mayor de reacciones externas que de ecuaciones de equilibrio disponibles, lo cual
significa que estas vigas presentan al menos una condición de sujeción adicional a las
mínimas requeridas para que se mantenga en equilibrio estable, es decir, tienen
4
reacciones sobrantes, cuya eliminación las convertiría teóricamente en isostáticas. A
continuaron se muestran algunos ejemplos:
a- Viga empotrada y apoyada en un rodillo:
# reacciones = 4
# ecuaciones = -3 ( ΣFx, ΣFy , ΣMA)
G.I. = 1
b-Viga empotrada- empotrada:
# reacciones = 6
# ecuaciones = -3 ( ΣFx, ΣFy , ΣMA)
G.I. = 3
c-Viga de dos tramos empotrada y apoyada:
# reacciones = 5
# ecuaciones = -3 ( ΣFx, ΣFy , ΣMA)
G.I. = 2
1.2- DEFINICIÓN DE FUERZA CORTANTE Y MOMENTO FLECTOR.
En la figura se muestra una viga horizontal elemental, isostática de un solo tramo,
con una carga puntual “P”, en la sección a-a se hace un corte imaginario para observar
las fuerzas internas que aparecen para satisfacer las condiciones de equilibro, tal como
se muestra en el diagrama de
cuerpo libre de abajo.
1.2.1 - Fuerza Cortante: del equilibrio de
fuerzas verticales practicado a cualquiera
de los dos segmentos de viga separados,
aparece una fuerza interna “Va-a”, llamada
resistente, debido a que se opone al efecto
de las fuerzas activas externas, cuya dirección es perpendicular al eje longitudinal de la
viga AB, el cual coincide a su vez con el eje “X” del sistema de referencia particular “XY”
5
de la viga . Para el caso de vigas inclinadas la fuerza cortante Va-a, tiene la misma
inclinación, puesto que se orienta según el eje particular de la viga y no según el
sistema global vertical-horizontal.
En este sentido se define la fuerza cortante como la sumatoria de la
componente perpendicular al eje, de las fuerzas externas situadas a la izquierda
o a la derecha de la sección de viga estudiada:
Va-a = ΣFyizq
a-a= ΣFyder
a-a.
La convención de signos más común, es aquella que considera positiva la fuerza
cortante que hace deslizar hacia arriba, la porción de viga situada a la izquierda de la
sección estudiada, en caso contrario se considera negativa. En otras palabras cuando
la sumatoria de fuerzas a la izquierda de la sección es positiva la fuerza cortante tiene
el mismo signo, igual para el caso contrario, tal como se muestra en el siguiente
diagrama fig 1.3.a. En la Fig. 1.3.b. se muestra la convención de signos desde el punto
de vista de la deformación de un elemento diferencial situado justo en la sección a-a.
1.2.2- Momento Flector: el equilibrio rotacional de los segmentos de viga estudiados
se logra con la aparición del Momento Flector Ma-a, señalado en el diagrama de cuerpo
6
libre anterior. De esta manera este se puede definir como la sumatoria de los
momentos de las fuerzas externas situadas a la izquierda o a la derecha de la
sección estudiada, considerando que el plano de aplicación de las fuerzas es XY (hoja
de papel), y la dirección del momento flector es perpendicular a este, es decir el eje
particular Z:
Ma-a = ΣMiizq
a-a= ΣMider
a-a
En cuanto al signo del momento flector, es importante resaltar que este no
depende de su sentido de rotación, tal como sucede con el momento de equilibrio, sino
más bien de la curvatura que sufre la viga por la aplicación del mismo. De tal manera
que una curvatura cóncava hacia arriba se considera positiva, lo contrario es negativo.
En la siguiente figura se ilustra esta convención.
Los momentos flectores positivos generan tracción o alargamiento en las fibras
inferiores de la viga y compresión o acortamiento en las superiores, los negativos
7
producen lo contrario, como se muestra en la parte superior de la figura anterior. En los
gráficos inferiores, de la figura anterior, se muestra el efecto de fuerzas individuales y el
sentido de curvatura de la viga, considerando un empotramiento imaginario en la
sección a-a.
1.3- RELACIÓN ENTRE CARGA, CORTE Y MOMENTO FLECTOR.
Resulta particularmente importante, conocer no solo el valor del corte y del
momento flexionante en un punto de la viga, sino mas bien a lo largo de todo el
elemento, debido a que en su diseño, se debe considerar la condición más desfavorable
de esfuerzo resistente en el interior del sólido, por lograr esto se construyen los
llamados diagramas de fuerza cortante y momento flector. La realización de estos
diagramas requiere conocer la relación existente entre las cargas externas y las
fuerzas internas de corte y momento flector.
En el siguiente gráfico, se ha considerado una viga simplemente apoyada, con
un sistema de cargas distribuida general “q”, de signo positivo, por tener sentido vertical
hacia arriba. 1 y 2 representan dos secciones de la viga separadas una distancia dx. A
la derecha se ha graficado en forma ampliada, el diagrama de cuerpo libre del elemento
diferencial de viga contenido entre las secciones 01 y 02, que incluye tanto las fuerzas
externas “q”, como las fuerzas internas V y M, las cuales se supusieron con signo
positivo. Para la cara de la sección 01, los valores de fuerzas cortantes y momentos
flexionantes son respectivamente V y M, mientras que para la sección 02, son los
valores de la sección 01 más un cierto diferencial dV y dM respectivamente.
8
Equilibrando el elemento diferencial tenemos:
1.3.1. Relación Carga – Corte: por sumatoria de fuerzas verticales,
∑ Fy = 0 dV = q ∙ dx
V
2
X
1
Integrando ∫V dV = ∫X q∙dx
1 1
1-2
V2 – V1 = ∆V = (Área)Carga
De esta manera se encuentran las siguientes relaciones:
1- q = dV q: intensidad de carga; dv: Pendiente diagrama de corte
dx dx
1.a - El signo de la carga, define la inclinación de la pendiente del diagrama de
corte.
1.b - La intensidad de la carga “q” define la variación de la pendiente del
diagrama de corte.
9
2- Se puede calcular el corte en la sección 02, con el corte anterior en la sección 01,
más el área del diagrama de carga existente entre las secciones 01 y 02:
1-2
V2 = V1 + (Área)
carga
1.3.2. Relación Corte – Momento: por sumatoria de momentos en el punto “0”:
10
∑MB = 0 dM = V∙ dx
M2 x2
Integrando: ∫ dM = ∫ V∙ dx
M1 x1
1-2
M2 – M1 = ∆M = (Área)corte
Las relaciones entre corte y momento son:
3- V = dM V: intensidad del diag. de Corte; dM: Pendiente diag. de Momentos
dx dx
3.a. El signo del diagrama de corte, define la inclinación de la pendiente del
diagrama de Momentos:
3.b. La Intensidad del diagrama de corte, define la variación de la pendiente del
diagrama de Momentos, como se muestra a continuación:
11
4- Se puede calcular el momento en la sección 02, con el momento anterior en la
sección 01, más el área del diagrama de corte existente entre las sección 01 y 02:
1-2
M2 = M1 + (Área)
Corte
12
CAPÍTULO II
TENSIÓN EN VIGAS:
Una vez conocidas las fuerzas generadas en el interior de la viga, es posible
estudiar los esfuerzos que ellas producen. Se consideraran los esfuerzos normales
producidos en la cara de la sección y los esfuerzos cortantes, paralelos a dichas caras.
Para el primer estudio consideraremos que la viga esta sometida a esfuerzo de flexión
pura, es decir solo se consideran aquellas porciones de viga donde la fuerza cortante es
cero, para el segundo estudio se trataran vigas sometidas a flexión no uniforme, es
decir en presencia de fuerzas cortantes. Para ambos casos se harán las siguientes
suposiciones:
1- Las secciones transversales serán planas antes y después de la aplicación
de las fuerzas externas.
2- El material es homogéneo y cumple con la ley de Hooke.
3. El módulo de elasticidad “E”, es igual a tracción que a compresión.
4- La viga será recta y su sección constante en toda su extensión.
5- Las cargas externas actúan en el plano que contiene la viga, según los ejes
principales de la sección, y serán perpendiculares al eje longitudinal.
6- Las deformaciones se consideran pequeñas.
2.1- Deformaciones.
Consideremos una viga simplemente apoyada en 1 y 2, como se muestra en la
siguiente figura, sometida a un sistema de cargas, que generan en el tramo central,
fuerza cortante cero, de tal manera que solo actúa el momento flector en el elemento
“abcd” estudiado en el gráfico de deformaciones de la Fig. 2.1.a.
13
Fig. 2.1.a
De la observación del grafico de deformaciones, se desprende lo siguiente:
- Las fibras “bd” se alargan (tracción).
- Las fibras “ac” se acortan (compresión).
- Entre las dos anteriores existe la fibra “ef” que no cambia su longitud, debido a que no
tiene tensión. Las fibra “ef” tiene la misma longitud original “dx”, debido a que está
situadas en lo que se llama línea neutra.
Si ahora trazamos la linea “c’d' ” por “f” paralela a “ab”, se aprecia que “ac” se acorta
en “cc’” mientras que “bd” se alarga en “dd’ ”.
Si consideremos ahora la fibra genérica “gh” situada a la distancia “y” de la línea neutra,
podemos apreciar como se alarga la distancia “hk”: δgh = hk = y dӨ
La deformación unitaria será entonces:
ε = δ = y∙ dӨ = y∙ dӨ ε = y
L ef ρ∙ dӨ ρ
Si se aplica Ley de Hooke:
σ = E ∙ ε = E . y ec. 2.1.a
ρ
Esta es la fórmula del esfuerzo normal por flexión “σ”, en función del radio de curvatura
“ρ” y de la distancia a la fibra estudiada “y”, medida desde la línea neutra.
14
2.2- Relación entre las Fuerzas Externas y las Tensiones, fórmula de flexión:
En el gráfico siguiente se muestra el diagrama de cuerpo libre del elemento de la
fig. 2.1.a., en el espació. Se aprecian la superficie, línea y eje neutro, cuyas fibras no
están sometidas a esfuerzos. Obsérvese que las cargas externas P y q, están
contenidas en el plano del eje principal que pasa por Y, y son perpendiculares al eje X,
por lo cual no hay componentes de estas en X y Z.
Ahora definimos la fibra rayada situada a una distancia “y” del eje neutro, cuya
sección transversal es dA, la cual esta sometida a las fuerzas normal σx∙dA, y a las
fuerzas cortantes xy.dA y xz.dA.
Las Fuerzas Externas son equilibradas por las Fuerzas Resistentes Internas, por lo
tanto procedemos a plantear las respectivas ecuaciones de equilibrio:
1- ΣFX = 0 ∫ σx.∙ dA = 0
Las Fuerzas Externas no tienen componentes en la dirección X, sustituyendo σx por la
ecuación ec.2.1.a encontrada anteriormente:
_
E/ ρ. ∫ y∙dA = 0; E/ ρ es una constante ∫y∙dA = A.y es el momento estático
del área de la sección.
xz.dA
xy.dA
x.dA
VR
M MR
15
_ _
(E/ ρ) ∙ A. y = 0; para que esta expresión sea cero, y = 0, lo que indica que la
línea neutra pasa por el centróide de la sección.
2- ΣFy = 0; ∫ xy. dA = VR ,esto representa la fuerza Cortante resistente en la sección: VR.
3- ΣFz = 0; ∫ xz.dA = 0, las fuerzas externas no tienen componente en Z y como
además están aplicadas en el eje que contiene al centróide no generan momentos de
torsión alrededor del eje X, por lo tanto para las condiciones supuestas: xz = 0
4- ΣMx = 0; ∫y. ( xz. .dA) - ∫z ( xy ∙ dA) = 0; se anulan las caras opuestas de la
sección.
5- ∑My = 0; ∫z.(σx ∙ dA) = 0 Sustituyendo de nuevo la expresión ec. 2.1.a queda:
E/ ρ ∫z. y. dA, este integral representa el producto de inercia respecto a dos ejes de
simetría, por lo que vale cero.
6- ∑Mz = 0
El equilibrio de fuerzas alrededor del eje Z, si tiene fuerzas externas actuantes,
representadas por el momento flector “M”. Este momento tiene su contraparte interno
que es el momento resistente “Mr”.
M = Mr = ∫y (σx∙dA); sustituyendo por la expresión ec. 2.1.a.:
M = (E /ρ). ∫y2
∙ dA
En esta expresión el integral representa al momento de Inercia o de segundo orden de
la sección, con respecto al eje neutro, por lo que la expresión se puede escribir así:
M =(E / ρ). ⌶ . Utilizando de nuevo la expresión ec. 2.1.a.: E / ρ = M / ⌶ = σ / y
Finalmente la fórmula del esfuerzo normal por flexión es: σ = M ∙ y
⌶
Donde:
σ: es el esfuerzo normal por flexión en una fibra situada a la distancia “y” del eje neutro.
16
M: es el momento flector generado por las fuerzas externas, en la sección estudiada.
y: representa la distancia a la que se encuentra la fibra estudiada del eje neutro.
⌶: momento de inercia centroidal, calculado con respecto al eje neutro.
Esta expresión escrita de la siguiente manera: σ = (M / ⌶).y, nos permite apreciar
que el primer término es constante, mientras que “y” es la variable, por lo tanto la
ecuación anterior es una línea recta. La variación del esfuerzo normal por flexión a lo
largo de una sección de viga es una línea recta. Para valores de y =0, el esfuerzo “σ“es
cero (en el eje neutro), por el contrario para valores de “y” equivalentes a la mitad de la
altura de la sección los valores de “σ“ serán máximos (en los extremos superior e
inferior). Si se considera que “c” es la mitad de la altura de la sección es decir h/2,
entonces:
Si, y = c = h/2 σmax = M ∙ c
⌶
Para efectos de diseño de vigas, resulta muy útil definir el término Módulo Resistente de
la sección “Z”, cuya expresión es:
Z = ⌶ / c
Este valor se encuentra tabulado en los catálogos de vigas comerciales, que se
encuentran en los anexos de este trabajo.
El esfuerzo normal máximo en función del módulo resistente será entonces:
σmax = M
Z
Para una Sección Rectangular el gráfico de esfuerzo normal será:
17
Corte longitudinal
Linea neutra
2 2
bh
CC
max
max
C = 2 2
bh
T =
h
Compresion.
Tracción.
b
2
3
c
.
.
2
3
c
c
T
E.N.
Sección Transversal
C = h
C = h
Las fuerzas “C” y “T”, son las resultantes de compresión y tracción de los prismas
triangulares generados por los esfuerzos normales respectivos. El momento resitente
MR es producido por el par de fuerzas C y T.
MR = σ ∙ b∙h ∙ 2 h = σ ∙ b∙h2
MR = σ ∙ z
2 2 3 6
B ∙ h3
Z = ⌶ = 12 Z = b ∙ h2
c h 6
2
2.3- VIGAS ASIMETRICAS:
Para la viga de sección “T” mostrada mas adelante, si los esfuerzos admisibles del
material son iguales a tracción que a compresión, simplemente se calculan los
esfuerzos normales máximos en las fibras superiores e inferiores de la sección con las
respectivas distancias “y1“ y “y2“ .
En los casos de materiales que tienen diferente capacidad admisible a
compresión que a tracción, como el caso del concreto armado, puede ser necesario
encontrar alguna dimensión de la sección, para hacer que se alcance las resistencias
admisibles simultáneamente a tracción y compresión, de tal manera que:
18
h
b
y1
y2
t
e
T C
σADM ≠ σADM
σ = M ∙ y
⌶
C T
σADM = M ∙ y1 ; σADM = M ∙ y2
⌶ ⌶
① ②
σc
ADM = y1 y1 + y2 = h
σT
ADM y2
Para calcular alguna de las dimensiones b, t, ò e:
Se igualan los Momentos Estáticos respecto a un eje común:
_ _
A∙Y = ∑Ai ∙ yi
[(h – e) t + e ∙ b ] y2 = e∙ b ( h - e) + (h - e) ∙ t = (h - e)
2 2
19
2.4- ESFUERZO CORTANTE EN VIGAS
Consideremos a continuación la viga simplemente apoyada de la fig. 2.4.a, la
misma presenta una carga puntual “P” aplicada perpendicularmente al eje de la viga. La
sección transversal de la viga esta compuesta por cuatro placas, inicialmente
independientes entre si. Para el momento de aplicación de la carga “P”, la deformación
por flexión que aparece en la viga, hace que las placas deslicen horizontalmente unas
sobre otras.
Si ahora asumimos que las placas tienen algún pegamento o soldadura, de tal
manera que impida el deslizamiento anterior, instintivamente podemos visualizar la
aparición de una fuerza horizontal entre las placas, que las mantendrá unidas entre si.
Esta fuerza generada tiene las características de una fuerza cortante por ser tangente o
paralela a la superficie de contacto entre las placas.
Considerando la sección con las placas soldadas de la fig. 2.4.b, donde se
aprecian los prismas de esfuerzo normal a compresión y tracción, podemos notar como
las resultantes C1 y C2 de compresión, tienen diferente magnitud, por lo tanto en el
plano “b” se produce una fuerza cortante Vb, que mantiene en equilibrio las dos placas
superiores, de igual manera se cumple en las dos placas inferiores a tracción, por la
simetría los cortes Vb = Vd. Las caras “a” y “e”, por ser libres no pueden generar fuerza
cortante, mientras que en el plano “c”, se produce el mayor desequilibrio de fuerzas
normales puesto que se suman las dos fuerzas de compresión superior con las dos de
tracción inferior, las cuales deben ser equilibradas por la fuerza cortante Vc.
Este ejemplo permite de antemano suponer que a diferencia de los esfuerzos
normales, los esfuerzos cortantes presentan sus valores máximos en el eje neutro,
mientras que los esfuerzos mínimos están en las fibras superiores e inferiores de la
sección estudiada.
20
dx
y1
dv
dA dA1 2
C
b
y
dA
y1
Fig. 2.4.a Fig. 2.4.b. El corte en el plano b = d
El corte en el plano a y e = 0
El corte en el plano c es el máximo
C1 + C2 = C3 + C4
La parte izquierda de la figura de abajo representa la sección longitudinal del
elemento diferencial “dx”, contenido entre las secciones 1 y 2, y los respectivos
diagramas de esfuerzo normal en ambas secciones, considerando que estos diagramas
difieren en intensidad, debido a la variación de magnitud de momento flector existente
entre ambas secciones. En la sección transversal de la derecha, se establece una fibra
situada a una distancia variable “y”, medida desde el eje neutro cuya sección
transversal es dA. La distancia “y1” esta situada en el plano de separación entre dos
placas, por ejemplo el plano “b”, el área rayada representa la placa superior.
Si consideramos que “dv” es un diferencial de fuerza cortante resistente, que
aparece entre las placas soldadas, por lo que matemáticamente se puede expresar
como un esfuerzo cortante por un área de aplicación horizontal:
21
dv = ∙( b∙dx) = dv / (b∙dx) (ec. 2.4.a)
La diferencia de fuerzas horizontales generadas por los esfuerzos normales “σ”
ubicados a ambos lados en las secciones 1 y 2 es:
c c c c c
dv = ∫y1 σ2. dA - ∫ y1 σ1. dA = M2 / ⌶ ∫ y1 y. dA – M1 / ⌶ ∫ y1 y. dA = (M2 – M1) / ⌶. ∫ y1 y.dA
(M2 – M1) = dM Incremento diferencial del Momento Flector
Sustituyendo en la la ec. 2.4.a.: c
= dM . ∫ y1 y∙ dA
⌶∙(b.dx)
dM / dx = V; relación encontrada anteriormente entre corte y momento flector.
c
∫y1 y∙ dA = Me; momento estático o de primer orden.
Finalmente la fórmula de esfuerzo cortante en vigas sustituyendo a “b” por “t” será:
= V. Me
⌶.t
: Esfuerzo cortante en una fibra situada a la altura “y1”, del eje neutro.
V: Fuerza cortante actuante en la sección.
⌶: Momento de inercia de la sección con respecto al eje neutro.
t: ancho de la zona cortada donde se evalúa el esfuerzo. Para no confundir con el
ancho de la viga usaremos la letra “t”, b = t.
Me: momento estático del área de sección de viga que genera el esfuerzo cortante a la
altura “y1”.
2.4.1- Relación entre el Corte Vertical y el Corte Horizontal.
La fuerza cortante que hasta ahora se estudiado es horizontal, sin embargo la fuerza
tomada de los diagramas de corte es vertical. Para relacionar estas fuerzas
consideremos el cubo diferencial de la figura siguiente:
22
v
h
v
h
v
h
v
h
v.dy.dz
h.dx.dz
v.dy.dz
h.dx.dz
o
Colocamos los esfuerzos cortantes indicados en las caras verticales y horizontales,
como se aprecian en las figuras de la izquierda. Hacemos una sumatoria de momentos
producidos por las fuerzas cortantes de la figura a la derecha, respecto del punto “o”,
conseguimos:
h . dx.dz.dy = v. dy.dz.dx h= v
Los cortes horizontal y vertical son iguales. A este esfuerzo se le llama flujo cortante.
2.5- DISEÑO DE VIGAS.
Uno de los objetivos más importantes del estudio de la resistencia de materiales
y de las materias posteriores de diseño, es encontrar los elementos constitutivos de las
estructuras, maquinas, etc., más económicos del mercado pero que cumplan con dos
condiciones básicas:
a- Resistencia: es la condición más importante, puesto que el perfil seleccionado
debe ser capaz de soportar las cargas externas a las que va a estar sometido, con un
cierto grado de seguridad o confianza. Esta seguridad se logra mediante los factores de
seguridad empleados, los cuales varían de acuerdo al sistema normativo o teoría de
cálculo del país donde se aplique. Para este curso, a manera de introducción, se
considera la teoría elástica, donde el factor de seguridad es un número que rebaja los
esfuerzos críticos del límite elástico, y los convierte en admisibles. Para otros diseños
más específicos y avanzados, se utilizan teorías más modernas, como la de los estados
23
límites, donde el factor de seguridad depende de la relación de cargas externas
permanentes y variables, del elemento a diseñar y de los materiales empleados.
b- Rigidez: es la condición que permite que el uso del elemento estructural, se
haga de manera agradable, con una satisfactoria sensación de seguridad. Esta
condición esta asociada con las deformaciones de los elementos estructurales, de tal
manera que estas se mantengan por debajo de los límites aceptados por la normativa
empleada. Una excesiva deformación de una viga, aún cuando esta cumpla con la
condición de resistencia, puede crear una sensación visual de inseguridad para el
usuario. También las grandes deformaciones pueden ocasionar el daño de elementos
no estructurales débiles o susceptibles, tales como ventanales de vidrio, puertas,
tabiques, etc., o impedir el adecuado movimiento de piezas de una maquinaria. Esta
condición también esta asociada con las vibraciones sufridas por los elementos
diseñados, al ser sometidos a las cargas externas principalmente variables, debidas a
personas, vehículos, etc.
2.5.1. Secciones Económicas.
En la figura 2.6. se observa a la izquierda fig. 2.6.a. una sección de viga
rectangular, cuya área es A = bxh. Si consideramos cargas verticales, el eje neutro es
horizontal y esta situado en el centróide del área. La orientación es importante para
aprovechar la condición de máxima resistencia estática de la sección, representada por
el momento de inercia, de modo que se hace coincidir el eje neutro con el eje de mayor
inercia de la sección, en este caso es el eje x-x.
Una sección ideal es aquella que permite utilizar toda el área “A”, en dos franjas
delgadas distanciadas lo mas posible del eje neutro para lograr el mayor momento de
inercia, puesto que así la mayor parte de los diferenciales de área tienen una distancia
mayor al eje centroidal, en este caso el momento de inercia seria varias veces mayor
que el de la sección rectangular. Pero esta sección no se puede fabricar en la práctica,
surgiendo entonces la sección “I” o doble tee, la cual incorpora un alma que conecta las
dos alas de la sección ideal fig. 2.6.c, d y e.
24
Existe en el mercado una amplia gama de perfiles, con características diferentes,
que permiten su utilización para fines específicos. Entre los perfiles laminados en
caliente que se consiguen en el mercado nacional, figuran los de ala estrecha IPN e IPE
(fig. 2.6.c.), los de ala ancha HEA Y HEB (fig. 2.6.d.). Entre los perfiles laminados en frió
se encuentran los Properca (fig.2.6.e.), que se diferencian de los anteriores en que la
unión entre el alma y ala se realiza mediante una electro soldadura continua, existiendo
las opciones de ala estrecha denominados ”VP” y los de ala ancha denominados “CP”.
Ambos se fabrican con acero ASTM – A- 32.
Además existen los perfiles estructurales tubulares, con características diferentes
a los anteriores, y con un menor aprovechamiento de las propiedades estáticas de la
sección, pero de mejor apariencia exterior, denominados perfiles ECO Conduven
(fig.2.6.f). Vienen en tres formas: rectangular, cuadrado y circular, y son fabricados con
acero ASTM–A-500 de mayor resistencia de cedencia.
Desde el punto de vista de su utilización, los perfiles de ala estrecha al igual que
los tubos rectangulares son colocados principalmente como vigas, debido a su
característica de mucha mayor inercia del eje x-x, respecto al eje y-y. Mientras que los
perfiles de ala ancha al igual que los tubos cuadrados y circulares, son utilizados
principalmente como columnas, debido a sus propiedades de inercia más semejantes
en ambos sentidos, lo cual reduce las posibilidades de pandeo de estos elementos
flexo-comprimidos.
25
2.5.2. Método de diseño por Resistencia.
1- Primero se escoge del diagrama de momentos de la viga el mayor momento
flector actuante, positivo o negativo. Para los efectos de este diseño el perfil
soporta el mismo esfuerzo admisible a tracción que a compresión.
2- Con el momento máximo y el esfuerzo normal admisible del material se calcula el
módulo resistente mínimo que debe tener el perfil, con la fórmula:
Zmin ≥ Mmax
σadm
3- Se busca en las tablas de perfiles aquellos que tengan el módulo resistente más
cercano por encima, del mínimo calculado Zmin.
4- Se hace una verificación, calculando un momento flector producido por la carga
debido al peso propio de la viga en el mismo sitio donde ocurrió el momento
máximo por cargas externas y se le suma a este. Con este nuevo momento se
calcula un Zpp
min. Si este nuevo módulo resistente todavía esta por debajo del
módulo del perfil, este cumple por peso propio, en caso contrario, se escoge el
perfil inmediatamente superior. Solo para aquellos casos donde los módulos
resistentes mínimos calculados (Zmin) y del perfil están muy cercanos, podría no
cumplirse la condición. En la mayoría de los casos esta condición no es crítica.
5- Finalmente se hace una verificación por corte, que consiste en calcular el esfuerzo
cortante máximo actuante en el eje neutro de la sección para compararlo con el
esfuerzo cortante admisible del material. Si este ultimo es mayor que el primero, el
perfil cumple, en caso contrario, se tendrá que escoger el perfil inmediatamente
superior. Para la aplicación de la fórmula de esfuerzo, se deberá buscar del
diagrama de fuerza cortante, el máximo valor absoluto de fuerza, y de las tablas
de perfiles las características de tamaño e inercia respecto al eje xx, del perfil
escogido:
adm ≥ act = Vmax .Me
Іxx . t
En la gran mayoría de los casos esta condición no es crítica, y el diseño esta
regido casi siempre por el esfuerzo normal.
26
CAPÍTULO III
DEFORMACIÓN EN VIGAS
3.1- METODO DE DOBLE INTEGRACIÒN.
Consideremos un elemento diferencial de viga, con una deformación por flexión
exagerada, como el que se muestra en la siguiente figura:
Tg (ө) = dy ; como la curva es muy suave: Tg (ө) ≈ ө
dx
ө = dy derivando la expresión anterior: dө = dy2
dx dx dx2
Por otro lado: ds = ∙dө; pero ds ≈ dx dx = ∙dө 1 = dө
dx
Relacionando las dos fórmulas anteriores.
① 1 = dө = dy2
; recordando la fórmula deducida anteriormente: 1 = M ②
dx dx2
E.
Igualando ① y ② resulta: E. ∙ dy2
= M(x)
dx2
27
Esta expresión se denomina ecuación diferencial de la curva elástica y sus términos son
los siguientes:
E. : Rigidez a Flexión, normalmente constante a lo largo de la viga.
M(x): ley de momentos flectores, en función de la distancia X.
Para darle una utilidad práctica a esta ecuación, se hacen dos integraciones,
considerando que E.I es constante:
1- La primera ecuación permite conocer la pendiente de la elástica en cualquier punto
Ecuación de la pendiente: dy / dx = ө
E dy = ∫ M(x).dx + C1
dx
2- La segunda integración permite conseguir la deflexión o abcisa de la curva elástica
en cualquier punto situado a la distancia “x” del origen de coordenadas “xy”
Ecuación de la flecha: “y”
E y = ∫∫ M(x).dx + C1∙X + C2
Las constantes de integración C1 y C2, se consiguen aplicando una condición de
frontera cinemática o condiciones de borde, para lo cual se grafica la curva elástica
aproximada de la viga y se observan aquello puntos donde es conocida bien sea la
deflexión o el giro. Estos puntos de valores conocidos son los apoyos, de tal manera
que un apoyo fijo o un rodillo, harán que la deflexión en ese punto sea cero (y=0),
mientras que un empotramiento además de restringir la flecha también impide el giro
“ө”, creando así las condiciones de borde: y = 0 y ө = 0.
3.2- MÉTODO DEL ÁREA DE MOMENTOS.
Se basa en relación existente entre el Momento Flexionante y la rotación o giro
en cualquier punto de un miembro sometido a Flexión. La siguiente figura muestra una
28
porción de viga cargada con su diagrama de momentos dividido entre la rigidez E.I. El
elemento diferencial de viga se encuentra entre los puntos 3 y 4.
Ecuación de Flexión: 1 = M
E.
t
En el siguiente gráfico se amplia el elemento diferencial y se observan las
tangentes a la elástica trazadas en 3 y 4, las cuales son perpendiculares a los radios de
curvatura “ ” respectivos:
se puede entonces escribir: ds = ∙dө
Entonces junto con la ecuación de flexión anterior: 1 = M = dө
ө E ds
29
ò también dө = M ds; pero como la curvatura es suave: ds ≈ dx
E
Entonces:
① dө = M dx
E
Entre 1 y 2 el incremento de la pendiente será:
ө2 X2 X2
ө 1,2 = ∫ dө = 1 ∫ M.dx ; ө1,2 = 1 ∫ M.dx
ө1
E X1
E X1
Por otro lado del primer gráfico dƚ = X∙dө; y por incrementos sucesivos de “dƚ “:
ө2
ƚ2/1 = ∫ dƚ = ∫ X∙dө , sustituyendo por ①:
ө1
X2
ƚ2/1 = 1 . ∫ X∙Mdx
E X1
Para “x1“, el Integral es cero, por lo tanto si Mdx = dA y “X” representa la distancia
a el punto 2, la expresión integral representa el momento de primer orden del área del
diagrama de momentos respecto del punto 2.
A continuación se enuncian los dos teoremas del método, el primero de los
cuales sirven para calcular el ángulo de desviación entre dos puntos, y el segundo
calcula la desviación lineal vertical entre los mismos.
Teorema 1: La variación de la pendiente entre las tangentes trazadas a la elástica en
dos puntos cualesquiera A y B es igual al producto de 1/E por el área del
diagrama de Momentos Flectores entre estos dos puntos.
өAB = 1 ∙ (Área)AB
E
A continuación se muestra la convención de signos.
30
Teorema 2: La desviación de un punto B, respecto de la tangente trazada a la elástica
en otro punto cualquiera A, en dirección perpendicular a la viga inicial, es
igual al producto 1/E por el Momento respecto de B del área de la porción
del diagrama de Momentos entre A y B. En anexo A se presentan unas
tablas con las áreas de diferentes diagramas de momento y la distancia
centroidal X.
_
ƚB/A = 1 (Area)AB ∙ XB
EI
31
3.3- MÉTODO DE SUPERPOSICION O SOBREPOSICION.
Este es un método práctico que se utiliza para conseguir deflexiones, ángulos de
giro y hasta fuerzas internas. Se fundamenta en el hecho de encontrar las
deformaciones producidas por diferentes cargas aplicadas simultáneamente sobre la
viga, sumando el efecto que de manera independiente produciría cada una de ellas.
Para ello se utilizas las tablas del anexo B, en ellas se consideran vigas elementales de
un solo tramo sometidas a diferentes tipos de cargas y de apoyos. Por otros métodos se
calculó las flechas, giros, momentos y cortes en puntos relevantes, e inclusive se da la
ecuación de la curva elástica.
Este método es parte de un concepto más general utilizado en mecánica de
sólidos llamado Principio de Superposición. Este principio es válido cuando la
cantidad que se desea calcular es función lineal de las cargas aplicadas. En el caso de
las vigas, la naturaleza de la ecuación diferencial de la curva elástica y sus respectivas
integraciones para calcular deformaciones, son ecuaciones lineales por que todos los
términos que contienen las deformaciones (y, ө) están elevados a la primera potencia;
por lo tanto la solución de estas ecuaciones, para varias condiciones de carga, puede
resolverse sumando algebraicamente cada una por separado.
En vigas este principio es valido si se cumple lo siguiente:
1- Se aplica en materiales linealmente elásticos es decir vale la ley de Hooke.
2- Las deformaciones son pequeñas.
3- La presencia de deformaciones no altera la acción de las cargas aplicadas.
A estos sistemas se les llama Sistemas Estructurales Lineales, por que la
ecuación diferencial de la curva de deflexiones es lineal. Las tablas empleadas estas
dividas en dos grandes grupos, vigas de un tramo simplemente apoyadas y en
cantiliver. Para la solución de problemas prácticos, se debe manipular estas vigas
elementales de tal manera que se puedan conseguir todos los tipos de cargas
existentes en la viga real, pudiéndose cambiar la orientación de la viga o el sentido de
las cargas, siempre y cuando no se altere la esencia física de los resultados buscados.
32
En la viga mostrada a continuación, queremos calcular la flecha o deflexión en el
extremo “A”, por superposición. La viga original en cantiliver, tiene tres cargas externas.
Por lo cual se generan tres casos de carga, los cuales sumados producen el efecto de
la viga original. Para cada caso buscamos en las
tablas respectivas la deflexión en el extremo A.
Las deflexiones hacia arriba son positivas y hacia
abajo negativas.
1
A= MB.L2
2EI
2
A= - q.a3
(4L – a)
24EI
3
A= - P.c2
(3L – c)
6EI
La deflexión total en A es: T
A = 1
A +
2
A +
3
A
33
CAPÍTULO IV
VIGAS HIPERESTÁTICAS.
Como se describió en el capitulo 1.1.2, las vigas hiperestáticas o estáticamente
indeterminadas, son aquellas que tiene al menos un grado de indeterminación, esto
equivale a decir que existe como mínimo una reacción sobrante, a estas reacciones se
les llama redundantes estáticas. Si estas reacciones son suprimidas de la estructura
original por algún método de cálculo, a la nueva estructura se le llama estructura
liberada o también estructura primaria.
En el cálculo de este tipo de vigas, las ecuaciones de equilibrio estático no son
suficientes para encontrar las reacciones externas, puesto que solo se disponen de tres;
las dos sumatorias de fuerzas y la de momentos. Si la viga tiene cargas verticales
solamente, la ecuación de sumatoria de fuerzas en X, siempre dará reacciones nulas en
ese sentido. Para poder generar un número adicional de ecuaciones que coincida con el
grado de indeterminación, se recurre a las ecuaciones de deformación de la viga. A
estas ecuaciones se les llama ecuaciones de deformaciones compatibles, debido a
que las mismas reflejan o son compatibles con las deformaciones que los apoyos de la
viga original le permite, según la curva elástica de la viga.
Para solución de este tipo de vigas estudiaremos dos métodos:
4.1- Método de doble integración.
Primero se generan las ecuaciones de deformaciones compatibles, tantas como
grado de indeterminación tenga la estructura, mediante un procedimiento similar al
descrito para calcular las deformaciones en vigas isostáticas.
En este caso las condiciones de borde o de frontera cinemática encontradas, tendrá
que ser igual al grado de indeterminación (G.I.) más dos, para poder encontrar los
valores de las dos constantes de integración C1 y C2.:
No
Condiciones de borde = G.I + 2
34
Con estas ecuaciones generadas por deformaciones, más las ecuaciones de
equilibro respectivas, se tendrá el número suficiente para calcular todas las reacciones
externas de la viga. En el ejemplo 8.2.1 del capitulo de problemas, se puede apreciar
este procedimiento.
4.2- Método de Superposición.
A continuación enumeramos los pasos a seguir con este método:
1- Seleccionamos tantas reacciones redundantes como grado de indeterminación
tenga la viga, tratando siempre que la viga primaria sea estable y presente estados
de carga contenidos en las tablas de superposición.
2- Asumimos las reacciones anteriores como cargas externas.
3- Se plantea un total de casos de carga o sub-problemas equivalente al número
de cargas externas más las reacciones escogidas como redundantes.
4- Se asocia un caso de deformación, con cada reacción redundante, es así como
una reacción tipo “fuerza” se corresponde con una deformación tipo “flecha o
deflexión”, mientras que una reacción tipo “momento” se asocia con una
deformación tipo “giro”. Estas deformaciones deben ocurrir en el mismo punto de
aplicación de las reacciones redundantes.
5- Se plantean tantas ecuaciones de deformaciones compatibles como sea el
número de reacciones redundantes. Para ello se plantea que las deformaciones
asociadas tengan el valor de deformación de la viga original y su curva elástica en
los puntos específicos, que suele ser en los apoyos
6- Se tendrá un número equivalentes de ecuaciones y de reacciones redundantes.
Se resuelve el sistema, dando como resultado los valores de las reacciones
redundantes.
7- Se encuentran las demás reacciones no redundantes, por las ecuaciones de
equilibrio estático.
A continuación se muestra un ejemplo de escogencia de dos tipos diferentes de
reacciones redundantes para una misma viga. En el primer caso se resuelve el sistema
35
por las tablas de vigas en cantiliver, en el segundo por las tablas de vigas simplemente
apoyadas.
36
CAPÍTULO V
PROBLEMAS DE FUERZA CORTANTE Y MOMENTO FLECTOR.
5.1- CÁLCULO DE FUERZA CORTANTE Y MOMENTO FLECTOR.
5.1.1- Calcular la Fuerza Cortante “V” y el Momento Flector “M”, en la sección 1-1,
de la Viga simplemente apoyada mostrada.
Como la viga es simétrica, podemos
calcular las reacciones así:
RA = RB ; ∑Fy = 2.RA RA = ∑Fy
2
RA = RB = 6.000 Kg. = 3.000 Kg.
2
El Segmento de la viga situado a la
izquierda de 1-1, presenta 2 cargas
externas: RA y 1.500 Kg.
Para calcular la Fuerza Cortante en la sección 1-1, sumamos las fuerzas externas a la
izquierda de la sección 1-1. Obsérvese que V1-1 se definió positivo.
Izq
V1-1 = ∑Fi
1-1
V1-1 = 3.000 – 1.500 = 1.500 Kg.
Para calcular el Momento Flector en la sección 1-1, sumamos los Momentos de las
fuerzas externas situadas a la izquierda de la sección 1-1. Obsérvese que M1-1 se
definió positivo.
Izq
M1-1 = ∑Mi
1-1
M1-1 = 3.000 × 2 – 1.500 x 1m
M1-1 = 4.500 Kg – m
37
5.1.2- Para la viga mostrada, calcule el valor de la Fuerza Cortante y del Momento
Flector en la sección 2-2.
Carga a la izquierda de 2-2 con el corte V2-2 y M2-2 definidos
como (+)
Cálculo de Reacciones:
∑Mb = 0 1 × 10 – 5 × 2 × 1 + 5 + 4 Rc – 5 × 10 = 0 Rc = 11,25 Kn
∑Fy = 0 -10 + Rb – 5 × 2 + 11,25 – 10 = 0 Rb = 18,75 Kn
Izq
La Fuerza Cortante en 2-2 será: V2-2 = ∑Fc 2-2
= -10 + 18,75 – 5 × 1.5
V2-2 = 1,25 Kn
El Momento Flector en 2-2 será:
Izq
M 2-2 = ∑Mc 2-2
= -10 × 2,5 + 18,75 × 1,5 – 5 x 1,5 × 1,5
2
M2-2 = - 2,5 Kn. m
5.1.3- Calcule el valor de la carga “P” y del momento “Md”, sabiendo que en la
sección 3-3 el corte es de 1.250 Kg. y el Momento Flector es de -666,67 Kg-m
38
En este caso trabajaremos con la porción de viga situada a la derecha de la
sección 3-3, para no tener que calcular las reacciones en “A”.
Obsérvese que se definen V3-3 y M3-3 positivos para el lado derecho.
Calculo de Y1 = 3.000 = Y1 Y1 = 1.000 Kg/m
3 1
Der
V3-3 = ∑Fi 3-3
= 1.000 × 1 + P = 1.250 P = 750 Kg
2
Los momentos flectores producidos por la carga triangular yla fuerza “P” son
negativos, respecto a 3-3, mientras que MD es positivo.
Der
M3-3 = ∑Fi 3-3
= - 1.000 × 1 × 1 × 1 – 2 × 750 + MD= - 666,67
2 3
MD = 1.000 Kg - m
5.1.4- La Viga mostrada representa una losa de fundación de concreto armado, las
cargas q1 y p1 representan el peso de la edificación mientras que la carga uniforme q2
representa la reacción del suelo contra la losa, como se muestra en la Figura.
a. Determine el valor de q2 para alcanzar el equilibrio.
b. Determine los valores de corte y Momento Flector en las secciones a-a y b-b.
a. Las cargas son simétricas. Para encontrar q2, hacemos equilibrio de fuerzas
verticales.
∑Fy = 0 12m x q2 – 2 × 3m × 10 ton/m – 25 ton = 0
q2 = 7 ton/m
39
b. La sección a-a, representa el borde de la edificación.
Izq
Va-a = ∑Fi = 1m × 7 ton Va-a = 7 ton
a-a
m
Izq
Ma-a = ∑Mi = + 7 ton x 1m × 1m Ma-a = 3,5 ton.m
a-a
m 2
La sección b-b representa el centro de la losa y el apoyo de una columna
Para calcular el corte se presentan 2 casos:
- El primero es el corte a la izquierda de la
sección b-b, donde la carga P1 no aparece.
Izq
Va-a = 6m × 7 ton – 3m × 10 ton = 12 ton
m m
Izq
Va-a = 12 ton
- El segundo es el corte a la derecha de
la sección b-b, donde si actúa la carga
puntual P1.
Der
Va-a = 6m × 7ton – 3m ×10 ton – 24 ton
m m
Der
Va-a = -12 ton
La diferencia del corte entre estos dos puntos se corresponde con el valor de la carga
puntual.
Para calcular el Momento Flector en b-b, estos
son iguales tanto a la izquierda, como a la
derecha de la sección.
Mb-b = 6m × 7 ton × 3,5m – 3m × 10 ton × 3,5m
m m
Mb-b = 42 ton∙m
40
5.1.5- La Viga principal AB, soporta un elemento secundario CDE, con una carga
puntual en el extremo. Determine el valor del corte y del Momento Flector en a-a para
la viga principal.
Por equilibrio determinamos los valores de Md y Dy, sobre la viga principal (ver
diagrama de cuerpo libre).
Elemento DE: ∑Fy = o+↑ Dy – 50 Kn = 0 Dy = 50 Kn
∑MD = 0+ MD – 50Kn × 1,5 m = 0 MD = 75 Kn × m
Consideramos ahora la viga principal bajo el efecto de las dos fuerzas
calculadas, donde Dy representa la fuerza cortante para los miembros DE y AB, por
tratarse de una carga perpendicular al eje de la viga, mientras que para el miembro CD,
representa una fuerza axial de tracción.
∑Ma = 0 – 3m × 50 Kn – 75 Kn × m + 6m × By = 0 By = 37,5 Kn
∑Fy = 0 Ay – 50 Kn + 37,5 Kn = 0 Ay = 12,5 Kn
Corte en a-a:
Va-a = 12,5 Kn
Momento Flector en a-a
Ma-a = 2m × 12,5 Kn ; Ma-a = 25 Kn∙m
41
2,6m
2,5m 2,5m 2m
.
.
.
5.1.6- La viga de peso despreciable mostrada, representa un sistema de elevación,
mediante un cable y una polea sin fricción en C, que levanta una carga W = 2.000 Kg.
a. Hacer el diagrama de cuerpo libre de cada barra.
b. Encontrar el valor del Corte, Momento Flector y Fuerza Axial de la viga a la izquierda
y derecha de “D”.
c. Encontrar el valor del Corte, Momento Flector y Fuerza Axial del miembro “DE”.
Tg Ө = 2,6 Ө = 30
o
4,5
En la polea c, la tensión del cable es igual a W:
∑Fx = 0 Cx – T × cos 30 o
= 0 ; Cx = 2.000 Kg × cos 30 o
= 1.732,0508 Kg
∑Fy = 0 Cy + T × sen Ө - T = 0 ; Cy = 1.000 Kg
En el punto E: Tx = 2.000 × cos 30 o
= 1.732,05 Kg
Ty = 2.000 × sen 30 o
= 1.000 Kg
En la barra DE: ∑Fy = 0 Dy = Ty = 1.000 Kg
∑Fx = 0 VDE = Tx = 1.732,05 Kg
De
∑MD = 0 M D = 2,6m × 1.732,05 Kg = 4.503,33 Kg - M
Calculamos las Reacciones Externas como una viga simplemente apoyada
42
∑Ma = 0 ; -7m × 2.000 Kg + 5 By = 0 By = 2.800 Kg
∑Fy = 0 ; Ay + By – 2.000 = 0 Ay = -800 Kg
∑Fx = 0 ; Ax = 0
Con el tramo AD
Izq Izq
∑Fx = 0 Ax - DX = 0 DX = 0 No hay Fuerza Axial
Izq Izq
∑Fy = 0 Ay - VD = 0 VD = -800 Kg Corte negativo
Izq Izq iZQ
∑MD = 0 -2,5 mAy + MD = 0 MD = 2,5 m (-800 Kg) MD = - 2.000 Kg.m
El Momento Flector es negativo
contrario al positivo supuesto.
Con el Tramo DC
Der Der
∑Fx = 0 Dy - Cx = 0 DX = 1.732,05 Kg Hay fuerza axial de compresión
Der Der
∑Fy = 0 VD + By – Cy = 0 VD = Cy – By = 1.000 Kg – 2.800
Izq
VD = - 1.800 Kg El corte a la derecha es contrario
al supuesto que era positivo
Der Der
∑MD = 0 -MD + 2,5m × By – 4,5m × Cy = 0 MD = 2.500 Kg.m
En estos casos el corte y el momento flector fueron asumidos positivos en el diagrama y
colocados dentro de las fórmulas de estática como fuerzas de equilibrio.
Con el Miembro DE:
∑Fy = 0 ; Dy – Ty = 0 Dy = 1.000 Kg.f Fuerza Axial de compresión.
∑Fx = 0 ; Tx – VDE = 0 VDE = 1.732,05 Kg Corte horizontal
DE DE
∑MD = 0 ; MD - 2,6 m × Tx = 0 MD = 4.503,33 Kg.m Momento Flector
Verificación del Equilibrio en el Nodo D
43
Izq Der
∑Fx = 0 DX - Dx + VDE = 0 0 – 1.732,05 + 1.732,05 = 0
Izq Der
∑Fy = 0 VD - VD - Dy = 0 -800 – (-1.800) – 1.000 = 0
Der Izq Der
∑MD = 0 MD - MD - MD = 0 2.500 – (-2-000) – 4.503,33 0 *
Debido a la aproximación de Ө = 30°y en realidad es Ө = 30,018367
5.2- DIAGRAMAS DE FUERZA CORTANTE Y MOMENTO FLECTOR EN VIGAS.
44
2 m 2 m 2 m 2 m
5.2.1- Hacer el diagrama de Fuerza Cortante y de Momento Flector de la viga
simplemente apoyada mostrada.
Definimos los tramos originados por las
cargas puntuales, en este caso 4.
Por ser la viga simétrica de cargas
verticales las reacciones externas son:
Ay = Ey = ∑Fi/2 = 500 Kg
Corte: Secuencia de izquierda a derecha.
El corte de arranque en A es el valor de la
reacción, de signo +
Ay
Para todos los tramos: La relación entre
carga y corte son:
Carga: 0 Pendiente: 0 Intensidad: ctte
Izq AB
VB = VA + (Área)carga = 500 + 0 = 500 Kg
Der Izq
VB = VB + P1 = 500 – 200 = 300 Kg
Izq Der BC
Vc = VB + (Área)carga = 300 + 0 = 300 Kg
Der Izq
VC = VC + P2 = 300 – 600 = - 300 Kg
Igual para los demás tramos.
Obsérvese que la carga puntual produce un salto en el diagrama de corte con el mismo
valor de la carga; si la carga es negativa el escalón de la derecha baja y viceversa.
Momento Flector:
El Momento de arranque en A es cero, puesto que el apoyo articulado no genera
momento, para los tramos AB y BC, la relación entre Corte y Momento son:
Corte: (+) Pendiente: (+) Intensidad: ctte
AB
MB = MA + (Área)corte = 0 + 500 x 2 = 1.000
BC
MC = MB + (Area)corte = 1.000 + 300 × 2 = 1.600
Para los tramos CD y ED la relación entre Corte y momento son:
45
3,00m 3,00m 5m 1m
Corte: (-) Pendiente: (-) Intensidad: ctte
CD
MD = MC + (Área)corte = 1.600 - 300 × 2 = 1.000
DE
ME = MD + (Área)corte = 1.000 – 500 × 2 = 0
Cuando no hay fuerzas tipo par, aplicadas en la viga, el diagrama de momentos no
tiene saltos.
5.2.2- Trace los Diagramas de Corte y Momento Flector de la viga en cantiliver
mostrada.
Calculo de las reacciones:
R1 = 2.500 × 300 = 3.750
2
∑Fy = 0 Ay – R1 = 0 Ay = 3.750 Kg
∑MA = 0 MA – 5m × 3.750 Kg = 0
m
MA = 18.750 Kg-m
Corte:
46
1m 2m 2m 2m 2m
X1
Relación Carga – Corte
Tramo AC: Carga: 0 Pendiente: 0 Intensidad: ctte
Tramo CB: Carga: Triang Pendiente: (-) Intensidad: crece negativamente.
VA: Reacción: 3.750 Kg
AC
VC = VA + (Área)carga = 3.750 Kg + 0 = 3.750 Kg
BC
VB = Vc + (Área)carga = 3.750 Kg – 3.750 Kg = 0
Momento:
Relación Corte – Momento
Tramo AC: corte: rectang Pend: (+) Intens.: ctte
Tramo CB: corte: Parab. Pend: (+) Intens.: Decrece.
MA = -18.750 de signo negativo, visto como Momento Flector.
AC
MC = MA + (Área) corte = -18.750 + 3.750 × 3 = -7.500 Kg-m
CB
MB = MC + (Área)corte = -7.500 + 2/3 x (3.750 × 3) = 0
5.2.3- Trace los diagramas de Fuerza Cortante y Momento Flector de la viga
mostrada a continuación, articulada en el perno E.
47
Cálculo de Reacciones:
Tramo EF: ∑ME=0 - 3.000 × 2 × 1 + 2 RF = 0 Fy = 3.000 Kg
Todo el sistema: ∑MB = 0 500 – 2 × 1.000 – 6 × 12.000 + 4 RD + 8 × 3.000 = 0
Dy = 12.375 Kg
Todo el sistema: ∑Fy = 0 By – 1.000 + 12.375 – 4 × 3.000 + 3.000 = 0
By= - 2.375 Kg
Calculo del corte cero en el punto “P” por dos métodos:
- Por relación de triángulos: 9.000 = 3.000 X1=3m
X1 4 - X1
- Por definición de Fuerza Cortante como la sumatoria de fuerzas a la izquierda:
X: variable
V1-1 = 9.000 Kg – (X). 3.000 Kg/m = 0 X = 3m
En los puntos de corte cero, el diagrama de Momento Flector presenta valores
máximos, bien sea positivo o negativo.
48
2m 1m
1,50m
2
5.2.4- Trace los Diagramas de Corte y Momento Flector para la viga mostrada.
Reacciones:
Miembro D,E,F:
2.400 = Y1 Y1 = 2.400 = 600 Kg/m
4 1 4
R1 = 3 m × 600 Kg/m = 1.800 Kg
R2 = (2.400 – 600) Kg × 3 m = 2.700 Kg
m 2
∑MD = 0 ; 2 Ey – 1,50 × R1 – 2 × R2 = 0 Ey = 4.050 Kg
Todo el sistema:
∑MB = 0 – 4 m×1.200×1 m–2 m×1.200 Kg + 3Cy–4m×2.400 Kg/m x5,67m + 6Ey = 0
2
Cy = 3.366,67 Kg
∑Fy = 0 By – 4 m ×1.200– 1.200 +Cy – 4 m ×2.400 Kg/m + Ey = 0 By = 3.383,33 Kg
49
x
2
Calculo del valor de la distancia X1:
2.183,30 = 216,30 X1 = 1.819 m (por relac. de triang.)
X1 2 - X1
Calculo del valor de la distancia X2, por definición de fuerza cortante:
X = variable
Ecuación de la Recta: y = A – X
Y = 2.400 ∙ X Y = 600 X
4
R = X ∙ Y = X ∙ (600X) R = 300 X2
2 2
VC-C = 0 VC-C = 749,97 – R = 749,97 – 300 X2
= 0 X2= 1,58 m
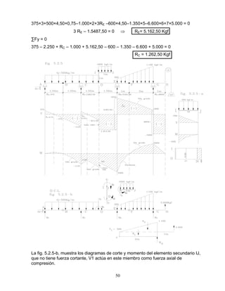
5.2.5- Construya los Diagramas de Fuerza Cortante y Momento Flector de la viga de
la fig. 5.2.5, tanto del elemento principal A-H, articulada en “B” y “F”; como del elemento
secundario “DIJ”.
Cálculo de reacciones: la fig. 5.2.5-b, muestra el diagrama de cuerpo libre.
Tramo A∙B
∑MB = 0 500 × 1,50 × 0,75 – 1,5 RA = 0 RA= 375
Tramo F – H :
900 = ∆y ∆y = 300 Y1 = 200 + 300 = 500
3 1
R1 = 500 × 2 = 1.000 R2 = 600 × 2/2 = 600
∑MF = - 1.000 × 1 – 600 × ∙ 2 / 3 ∙ 2 + 2RG + 3 ∙ 5000 = 0 RG= - 6.600 Kgf
Todo el Sistema:
∑MC = 0
50
375×3+500×4,50×0,75–1.000×2+3RE –600×4,50–1.350×5–6.600×6+7×5.000 = 0
3 RE – 1.5487,50 = 0 RE= 5.162,50 Kgf
∑Fy = 0
375 – 2.250 + RC – 1.000 + 5.162,50 – 600 – 1.350 – 6.600 + 5.000 = 0
RC = 1.262,50 Kgf
La fig. 5.2.5-b, muestra los diagramas de corte y momento del elemento secundario IJ,
que no tiene fuerza cortante, V1 actúa en este miembro como fuerza axial de
compresión.
51
CAPÍTULO VI
PROBLEMAS DE ESFUERZOS EN VIGAS.
6.1- CÁLCULO DE ESFUERZO NORMAL Y CORTANTE EN VIGAS.
6.1.1- Calcular el Momento Flexionante y el esfuerzo de flexión máximo, de un
alambre de diámetro d = 2 mm, si se dobla sobre un cilindro de diámetro D = 40 cm,
considere E= 2 x 106
Kg/cm2
El radio del eje neutro será:
ρ = r + d = 40 cm + 0,2 cm = 20,1 cm
2 2 2
La deformación unitaria máxima en el borde
del alambre (fibras a).
Є = Y = 0,1 cm = 0,004975
ρ 20,1 cm
El Momento Flector será:
M = E ∙ ⌶EN = 2 x 106
Kg/cm2
x 0,00007854 cm4
ρ 20,10 cm
M = 7,81 Kg – cm
El esfuerzo normal máximo por Flexión:
σ = E. ε = 2 ∙ 106
Kg x 0,004975
cm2
σ = 9.950 Kg/cm2
6.1.2 Para la sección transversal de una viga rectangular, tal como se muestra en la
figura siguiente, el Momento Flector es de M=2.800 Kg–m y la Fuerza Cortante es
V=7.800 Kg, con cargas verticales. Calcular:
a. El esfuerzo máximo normal por flexión.
b. El esfuerzo normal por flexión en la fibra “f”
c. El máximo esfuerzo cortante.
d. El valor del esfuerzo cortante en la fibra “f”.
e. Dibuje los diagramas de esfuerzo normal y cortante (σ y Τ).
52
f
f
Colocamos el eje neutro en el centro geométrico
de la sección, y debido a que las cargas son
verticales, el eje neutro es horizontal según el eje Z.
a. El esfuerzo máximo normal ocurre en las fibras
más alejadas del eje neutro ① y ②, en la formula
de flexión y = c
σ① = M ∙ C = 2.800 Kg – m x 100 cm/m x 15 cm
ІEN 45.000 cm4
σ① = 93,33 Kg/cm2
⌶E = 20 cm x 30 cm
3
= 45.000 cm
4
12
b. En la fibra “f” la distancia “y” de la fórmula de flexión es 7 cm.
σF = 2.800 kg – m x 100 cm/m x 7 cm σF = 43,56 kg/cm2
45.000 cm4
c- El Esfuerzo Cortante máximo ocurre en el eje neutro, por lo tanto el área que
produce el momento estático es la zona rayada indicada en la figura siguiente:
max = EN = V ∙ Me = 7.800 Kg x 2.250 cm3
⌶EN∙t 45.000 cm4
x 20 cm
Τmax = 19,50 Kg/cm2
t = 20 cm (ancho de la zona cortada)
_
Me= ∑Ai ∙ Yi
_
Me = A1 x Y1 = 15 cm x 20 cm x 7,5 cm = 2.250 cm3
53
max = 93,33
C
f = 43,56f
Paràbola 2do. grado
f f = 15,25
= 19,50
max =
f
d. En la fibra “f”, el área que produce Momento Estático o de primer orden esta por
encima de dicha fibra, como se muestra:
_
Me = A2 ∙ Y2 = 8 cm x 20 cm x 11 cm = 1.760 cm3
f = 7.800 Kg x 1.760 cm3
f = 15,25 Kg/ cm2
45.000 cm4
x 20 cm
e. Los gráficos de σ y son los siguientes:
Como el momento es positivo las fibras comprimidas están arriba y las
traccionadas abajo, tal como se refleja en el diagrama de la izquierda.
La gráfica de esfuerzo cortante a la derecha es una parábola de segundo grado
cuyo valor máximo ocurre en el eje neutro, y se hace nula en las caras superior e
inferior de la viga.
6.1.3- Para la Viga IPE 300 mostrada a continuación, sometida a un corte vertical de
15 ton, determine el valor del flujo cortante en los siguientes puntos:
a. En el eje neutro
b. En la sección 1-1
c. En la sección 2-2
54
a. En el eje neutro ocurre el máximo valor de “ ”
y el área rayada produce el momento estático.
_ _
Me = A1 ∙ Y1 + A2 ∙ Y2
Me = 1,08 x 13,38 x 6,69 + 12,5 x 1,62 x 14,19
Me = 384,02 cm3
_
Y1 = 13,38/2 = 6,69 cm X = 15.000 Kg x 384,02 cm3
_ 9.800 cm4
x 1,08
Y2 = 15 – 1,62/2 = 14,19 cm
X = 544,25 Kg/cm2
Debido a que casi todo el Esfuerzo Cortante lo soporta el alma, una forma de cálculo
aproximada es:
X = max = V = 15.000 = 519,03 Kg/m2
Aalma (30 – 2 x 1,62) x 1,08
b. El corte en 1-1 será:
1-1 = 15.000 Kg x 370,52 cm3
9.800 cm4
x 1,08 cm
1-1 = 525,11 Kg/cm2
Y3 = 8,38cm + 5cm = 9,19cm
2
Me1-1
= 1,08 x 8,38 x 9,19 + 12,5 x 1,62 x 14,19
Me1-1
= 370,52 cm3
55
c- el corte en la sección 2-2 será:
Momento estático del área rayada:
_
Me = A1 ∙ Y4
Me = 12,5cm x 1cm x 14cm
Me = 175 cm3
2-2 = 15.000Kg x 175cm3
= 21,43
9.800 cm4
x 12,5cm
2-2 = 21,43 Kg/ cm2
6.1.4- El Muro en cantiliver mostrado esta en equilibrio, calcule los esfuerzos
normales de flexión máximos en las secciones 1-1 y 2-2 por metro de largo,
considerando solo las fuerzas de empuje de tierra “E” y presión de contacto sobre el
terreno “q” mostradas.
Para la sección 1-1, se muestra el DCL a la derecha.
Calculamos el valor de q1
1.500 = _ q1__ q1 = 928,57 Kg/m
2,10 1,30
M1-1 = R1 ∙ b1 + R2 ∙ b2
56
25
0,45cm
12,50cm
0,60cm
= 1.310cm
4
Soldadura
EN
18cm
M1 -1 = ( 1.500 – 928,57 ) x 0,80 x 2 x 0,80 + 928,57 x 0,80 x 0,40
2 3
M1-1 = 419,05 Kg – m = 41.905 Kg – cm
1-1 T C
σmax = σmax = σmax = 41.905 Kg-cm x 15 cm
100 cm x 303 cm
12
1-1
σmax = 2,79 Kg/cm2
Para la sección 2-2
M2-2 = R3 ∙ b3 = 3m x 3.000 Kg-m x 1∙3m
2 3
M2-2 = 4.500 Kg – m = 450.000 Kg – cm
2-2
σmax = 450.000 Kg – cm x 12,5 cm
100 cm x 2,53 cm
12
2-2
σmax = 43,20 Kg/cm2
6.1.5-Para un perfil Properca VP 180 x 17.7, determine cual es el valor máximo de
fuerza cortante que puede soportar, si los esfuerzos admisibles del acero y soldadura
son los siguientes: acero = 1.100 Kg/cm2
, sold = 900 Kg/cm2
. Considere un ancho
efectivo sometido a corte de 3 mm. por cada soldadura.
Para el caso del Esfuerzo Cortante en el acero, la
zona de mayor esfuerzo ocurre en el eje neutro, por
lo que afecta el alma de la viga.
Considerando el área rayada de la Fig. a de abajo,
el momento de 1er orden respecto al eje nuestro
será.
EN
Me = A1∙ Ῡ1 + A2 ∙ Ῡ2
EN
Me = 12,5 x 0,60 x (9 – 0,60) + 0,45 x (9 – 0,60)2
2 2
57
0,60 cm
y1
A A
A
2
A
1
(a)
EN
A A
A
1
y2
(b)
y2
EN
EN
Me = 81,13 cm3
El Esfuerzo Cortante actuante en el EN será:
ACT ACT ACT
EN = V x MeEN
V = ΤEN ∙ EN ∙ ƚ
EN ∙ ƚ MeEN
Para encontrar el valor máximo de V,
sustituimos el esfuerzo actuante por el
admisible.
1
VMAX = 1.100 x 1.310 x 0,45 = 7.992,73 Kg
81,13
(b)
Para el caso del Esfuerzo Cortante en la soldadura, este se produce en la Sección A-A,
y el Momento estático es producido por el área rayada de la Fig b. El flujo cortante
será:
F = Sold ∙ 2 x 0,3 cm = 900 Kg/cm2
x 0,6 cm = 540 Kg/cm
Me A-A
= A1 x Ῡ1 = 12,5 x 0,60 x (9 – 0,60) = 65,25 cm3
2
2
VMAX = F x EN = 540 x 1.310 = 10.841,38 Kg
A-A 65,25
Me
1
El máximo valor de Corte vertical que resiste el perfil es VMAX = 7.992,73 Kg,
determinado en el alma.
6.1.6- La viga mostrada a continuación esta compuesta por tres tablones de
madera pegados entre si, de manera muy firme, como se muestra en la figura, si se
considera que el pegamento soporta un esfuerzo de adherencia de 3 Kg/cm2
, y la
madera tiene los siguientes esfuerzos admisibles:
m = 5 Kg/cm2
, σm
comp
= 85 Kg/cm2
, σm
tracc
= 100 Kg/cm2
.
a- Verifique si la viga soporta la carga señalada por Esfuerzo normal de Flexión.
58
b- Verifique si la viga soporta la carga señalada por Esfuerzo Cortante.
c- ¿Cual será el máximo valor de “q” que se puede aplicar a la viga, considerando
todos los valores de esfuerzo admisibles dados?
Fg. 2.9.a
EN = 10 x 15
3
= 2.812,5 cm
4
(Total)
12
a - Primero dibujamos los diagramas de Corte y Momento (fig 2.9.a) para conocer
los valores de Fuerzas máximas aplicadas a las vigas.
Ahora calculamos los esfuerzos actuantes normales a tracción y compresión por flexión
y los comparamos con los admisibles. La Inercia de la sección se calcula respecto al eje
neutro que esta en el centroide de la figura.
σact
ƚ = σact
C
= M ∙ Y = 343,75 x 100 x 7,5 = 91,67 Kg/cm2
EN 10 x 153
12
σadm
ƚ = 100 Kg > σact
ƚ = 91,67 Kg Si cumple
cm2
cm2
59
σadm
C
= 85 Kg < σact
C = 91,67 Kg No Resiste a compresión
cm2
cm2
b- Para verificar por corte, hay dos puntos críticos que estudiar:
- Primero, el corte máximo que ocurre en el eje neutro y que es soportado por el
tablón de la madera:
El Momento estático que genera este flujo cortante es el área rayada 2.9.b, el
esfuerzo cortante actuante en esta zona será:
EN = V ∙ Me = 275 x (7,5 x 10) x 3,75 = 2,75 Kg
∙ ƚ 10 x 153
x 10 cm2
12
Lo comparamos ahora con el Esfuerzo Cortante admisible de la madera.
m = 5 Kg > σEN = 2,75 Kg Si cumple
cm2
cm2
- Otro punto crítico lo genera el pegamento, para el cual hay que verificar el flujo
cortante a la altura de 2,5 cm, con el área rayada 2.9.c:
2,5 = 275 x (5 x 10) x 5 = 2,44 Kg/cm2
10 x 153
x 10
12
Ahora lo comparamos con el Esfuerzo Cortante admisible del pegamento:
P = 3 Kg/cm2
> 2,5 = 2,44 Kg Si cumple
cm2
La viga soporta la carga por corte
c. Cada uno de los Esfuerzos admisibles, genera una carga “q” máxima posible para
colocar:
- Por Esfuerzo normal de Flexión: el más crítico es la compresión:
σm
comp = 85 ≥ M1 x 7,5 M1 ≤ 85 x 2812,50 = 31.875 Kg – cm
2.812,50 7,5
60
Como M1 en el empotramiento es: M1 ≥ q1 x 2,52
2
q1 ≤ 2 x 31.875 = 10.200 Kg = 102 Kg q1 ≤ 102 kg
2,52 cm m m
- Por corte en el eje neutro, el esfuerzo cortante será:
m = 5 ≥ V1 x Me V1 ≤ 5 x 2.812,50 x 10 = 500 Kg
EN ∙ ƚ (7,5 x 10 x 3,75)
El corte en el empotramiento es: V1 = q2 x 2,5
q2 ≤ 500 kg q2 ≤ 250 kg/m
2,5 m
- Por corte en el pegamento:
P = 3 ≥ V2 x Me V2 ≤ 3 x 2.812,50 x 10 = 337,50 Kg
6 EN ∙ ƚ (5x10x5)
V2 = q3 x 2,5
q3 = ≤ 337,50 Kg q3 ≤ 135Kg/m
2,5
La carga máxima que se puede aplicar a la viga, es la menor de la tres, para que no
haga fallar a ninguna de las tres condiciones:
qmax = q1 = 102 Kg/m
6.1.7- En la viga de madera mostrada a continuación:
a. Hacer el diagrama de corte y momento flector.
b. Encuentre los esfuerzos máximos de tracción y compresión en la sección
c. Dibuje el diagrama de esfuerzos anterior.
d. Si se establecen los siguientes valores de esfuerzos admisibles.
compr
= 65Kg/cm2 y tracc
= 40 Kg/cm2 ; cual será el máximo valor de “P” que se
puede aplicar sobre la viga.
e. Con la carga P = 80 Kg, encuentre el máximo valor de esfuerzo cortante en la
sección, señale donde se produce.
61
1
2.22 cm
C
A
2,78 cm
EN 1
1
EN
EN
2
A2
2C
1C
A1
EN
A2
2C
6,78 cm
y1
y2
f. Si el Ala y el Alma de la viga se unen mediante un pegamento especial que soporta
un esfuerzo cortante de = 20 Kg/cm2. Determine si la viga puede soportar la carga
“P” colocada inicialmente.
10 cm
P = 80Kg 61,49
1.50 m 1.50 m 2 cm
A B E.N.
G
8 cm 6,78 cm
400
V 129,46
-400 2 cm fig. 2.1.b
600 Sección transversal Sección Longitudinal Diagrama de
M
Fig 2.5a
a. En la figura 2.5.a
b. Cálculo del centroide:
_ _
Y = ∑Ai ∙ Yi = 10 x 2 x 9 + 2 x 8 x 4 =
∑Ai 2 x 10 + 2 x 8
_
Y = 6,78 cm
Momento de Inercia centroidal:
EN = A1 + A2
2 2
EN = cA1 + A1d1 + cA2 + A2d2
EN = 10 x 23
+ 2x10 x 2,222
+ 2x83
+ 2x8 x 2,782
12 12
EN = 314,22 cm4
T
σmax = 60 x 100 x 6,78 = 129,46 Kg/cm2
314,22
C
σmax = 60 x 100 x 3,22 = 61,49 Kg/cm2
314,22
62
A1
A2
y2
y1
EN
A11 cm
xx
c. El diagrama de esfuerzo se muestra en la fig 2.1.b, la compresión esta arriba y la
tracción abajo.
d. Mmax = P x 150 cm ,
2
C PC ∙ 150 x 3,22
σADM = 65 Kg ≥ 2___________ PC ≤ 84,57 Kg
cm2
314,22
T PT ∙ 150 x 6,78
σADM = 40 Kg ≥ 2____________ PT ≤ 24,72 Kg
cm2
314,22
La máxima carga que se le puede aplicar a la viga, es la menor de los dos PT =24,72Kg.
Por lo tanto la viga no soporta la carga aplicada inicialmente de 80 Kg.
e. El corte máximo ocurre en el eje neutro:
EN _ _
Me = A1 ∙ Y1 + A2 ∙ Y2
EN
Me = 2 x 10 x 2,22 + 2 x 1,22 x 1,22 = 45,89 cm3
2
max = V ∙ Me = 40 x 45,89 = 2,92 Kg/cm2
∙ t 314,22 x 2
f. El corte a la altura del pegamento lo genera el área A1, por lo tanto el Momento
Estático será:
X-X _
Me = A1 ∙ Y1 = 2 x 10 x 2,22 = 44,4 cm3
x-x = 40 x 44,4_ = 2,83 Kg
314,22 x 2 cm2
Comparando: ADM = 2 Kg < X-X = 2,83 Kg No soporta
cm2
cm2
63
6.2.- CÁLCULO DE SEPARACIÓN DE PERNOS Y REMACHES.
6.2.1- La viga mostrada de sección igual al problema anterior, pero atornillada,
soporta un esfuerzo de tensión permisible de 40 Mpa a tracción y de 65 Mpa a
compresión.
a. Si la carga “P” es móvil, cual será su valor máximo permisible, desprecie el peso
propio.
b. Con el valor de “P” obtenido, encuentre la separación máxima entre los tornillos, si
cada uno resiste una fuerza cortante admisible de 3.500 N.
a. El Momento Flector debajo de la carga móvil se puede expresar como:
(1) MC = RA ∙ X
RA se consigue: ∑MA = 0 3 ∙ RB – X ∙ P = 0 RB = X ∙ P
3
∑Fy = 0 RA + RB – P = 0 RA + X ∙ P – P = 0
3
RA = P – X ∙ P
3
Sustituyendo en 1: MC = (P – X. P) ∙ X = P.X – P ∙ X2
3 3
Para encontrar el punto de Momento Flector máximo derivamos la expresión respecto
de X e igualamos a cero:
d Mc = P – 2P ∙ x = 0
dx 3
div. por P: 1- 2 x = 0 x = 3 = 1,5 m
3 2
El momento máximo esta en el centro de la luz, lo cual resulta lógico.
Por lo tanto: RA = P/2 MC = P ∙ 1,5 = 0,75 P
2
64
C
Esfuerzo de compresión arriba: σMAX = M ∙ Y = 0,75 P x 0,0322 m ≤ 65 x 106
N
314,22 x 10-8
m4
m2
Pc
≤ 8.457,27 N
T
Esfuerzo de Tracción abajo: σMAX = M ∙ Y = 0,75 P x 0,0678 m 40 x 106
N
314,22 x 10 -8
m4
m2
PT
2.471,74 N
La máxima carga “P” rodante que se puede aplicar es: PT
= 2,47 Kn
b. Para encontrar la posición de “P” que genera el corte máximo:
Vc = ∑FIzq = RA = P − X∙ p
3
Para que RA sea máximo: x = 0 RA = P
Lo que implica que la carga rodante debe estar muy cerca del apoyo.
Para la sección x-x del problema anterior, el momento estático para producir corte en el
tornillo es: Me = 44,4 cm3
.
Si F es la fuerza que soporta cada tornillo y “e” es la separación:
El flujo cortante “ ” para un área A = t.e, será:
X-X X-X
X-X = _ F_ = V ∙ Me F = V ∙ Me ∙ e
ƚ. e EN ∙ ƚ EN
Para: V = RA = P = 2.471,74 N F = 2.471,74 N x 44,4 cm3
∙ e
314,22 cm4
F= 349,26 N ∙ e cada perno resiste F = 3.500 N
cm
Finalmente: e = 3.500 N = 10,02 cm eMAX 10 cm
349,26 N/cm
65
.be
6.2.2- Para la viga de sección compuesta mostrada a continuación, determine con
diagrama de fuerza cortante dado, la separación entre los remaches si el esfuerzo
cortante admisible en los mismos es de 1.000Kg/cm2 y su diámetro es de ½” (1,27cm).
Aplicando las fórmulas: F = ∙ b.e (remaches); = V∙Me (esfuerzo cortante)
∙b
Fuerza cortante actuante:
F = V x Me x e = 750x15 x 10 x 10 x e
15 x 303
12
F = 33,33 x e
R = Fuerza Cortante Resistente
F = R = x A = 1.000 x (1,27)2 =
1.266,77
e = R = 1.266,77 = 38 cm ;
33,33 33,33
e ≤ 38 cm
66
6.3- CÁLCULO DE VIGAS DE SECCIÓN COMPUESTA.
6.3.1- Determine el Momento Flexionante permisible con respecto al eje neutro
horizontal, de la sección de viga mostrada, compuesta por madera y metal, los cuales
están unidos firmemente como un solo cuerpo.
Emetal = 2,4 x 106
Kg/cm2
, Emadera = 9,6 x 104
Kg/cm2
, los esfuerzos permisibles son:
σmetal = 1.600 Kg/cm2
y σmadera = 96 Kg/cm2
.
Utilizando el Método de la sección transformada, toda en madera, relacionamos el
módulo de elasticidad de los 2 materiales:
n = Emetal = 2,4 x 106
= 25
Emadera 9,6 x 104
Luego, el área de metal equivale a 25 veces el área de la madera.
b = n ∙ 5 cm = 25 x 5 cm = 125 cm
La inercia de la sección transformada será:
EN = 20 x 303
+ 2 . [ 25 x 1,253
+ 125 x 1,25 x (16,25 – 0,625)2
]
12 12
EN = 121.334,63 cm4
Para la madera se toma la distancia a la fibra mas esforzada ym = 15 cm
σmad = M ∙ ymad M = σmad x EN
EN ymad
M = Mmax
mad
= 96 x 121.334,63 = 776.541,63 Kg - cm
15
67
40 cm
30cm
5cm
3 0 cm
2
X
C2
C
A
C1 A1
yC
Y
y 2
SECCIÓN TRANSFORMADA EN CONCRETO
y1 = 35cm
Para encontrar el máximo esfuerzo en el metal se considera las fibras ymet = 16,25 cm y
se multiplica por “n”.
σmetal = n∙ M ∙ ymet M = Mmax
metal
= 1.600 x 121.334,63 = 477.871,77 Kg - cm
EN 16,25 x 25
2.11. A continuación se muestra la sección transversal de una viga de concreto
armado. El refuerzo de acero esta representado por 3 cabillas de diámetro 2,5 cm. y la
relación modular es n = 12. Los esfuerzos normales permisibles para el concreto y el
acero son 125 Kg/cm2
y 2.100 Kg/cm2
, respectivamente. Si se asume que el concreto
solo resiste compresión, calcule el Momento Flector resistente negativo de la sección.
El área equivalente de las varillas de acero, será:
Ae = n x 3 x Ai = 12 x 3 x π. (2,5)2
= 176,715 cm2
4
Como el Momento es negativo la compresión esta
debajo del eje neutro.
Cálculo de la posición del eje neutro, situado en el
centroide de la sección transformada.
YC = ∑Ai ∙ Ῡi = 176,715 x 35 + 30 x Ῡc2
∙ 12
∑Ai 176,715 + 30 x Ῡc
30 Ῡc2
+ 176,715 Ῡc – 15 Ῡc2
= 6.185,03
15 Ῡc2
+ 176,715 Ῡc = 6.185,03 Ῡc = 15,25 cm
La inercia de la sección transformada, considerando que las varillas de acero tienen el
área concentrada en una línea, será:
68
IEN = A1 x (Ῡ1 – Ῡc)2
+ b∙ Ῡc
3
3
IEN = 176,715 (35 – 15,25)2
+ 30 x (15,25)3
= 104.395,68 cm4
3
Para calcular el Momento resistente, debemos considerar 2 casos:
1- Que falle el concreto:
σC = Mc ∙ Ῡc Mc = σc∙ IEN = 125 x 104.395,68 = 855.702,30 Kg – cm
IEN Ῡ 15,25
2- Que falle el acero:
σac = n ∙ Mac ∙ Ῡc Mac = σac ∙ IEN = 2.100 x 104.395,68 = 925.025,01 Kg– cm
IEN n∙(35 –Ῡc) 12 x (35 – 15,25)
Por lo tanto el Momento Resistente lo define el concreto.
MMAX = Mc = 855.702,30 Kg – cm = 8.557,02 Kg – m
MMAX = 8.557,02 Kg – m
69
6.4- DISEÑO DE VIGAS, SECCIONES ECONÓMICAS.
6.4.1- Para la viga “AH” del problema 5.2.5 del capítulo anterior, encuentre el
perfil más económico entre los IPN, IPE, HEA y VP. Verifique por peso propio y por
corte. Considerar los siguientes esfuerzos admisibles:
adm
= 1.400 Kg/cm2
y adm
= 1.000 Kg/cm2
.
De la observación del diagrama de momentos, encontramos que el momento
flexionante más alto en módulo es Mmax
= 5.000Kg-m. Este valor define la condición
más desfavorable de resistencia al esfuerzo normal de la sección.
Encontramos primero el mínimo modulo resistente que debe tener el perfil
seleccionado por esfuerzo normal, que suele ser la condición más crítica en las vigas:
Zmin = Mmax
/ adm
Zmin = 5.000 Kg-m x 100 cm/m / 1.400 Kg/cm2
= 357.14 cm3
En las tablas de perfiles, seleccionamos los perfiles que tengan el módulo
resistente con respecto al eje x-x (mayor eficiencia) inmediatamente superior al mínimo
encontrado, y anotamos las siguientes características:
PERFIL Modulo
resistente
Zx (cm3
)
Peso propio
(Kg/m)
IPN 260 442 41.90
IPE 270 429 36.10
HEA 200 389 42.30
VP 300x41.30 568 41.30
La condición de máxima economía la establece el peso propio, dado que cuanto
menor sea el peso menor será el costo de material por metro lineal de perfil. Basado en
esta condición el perfil más económico de los cuatro seleccionados es el IPE 270. En
orden de selección posterior seria el VP 300x41.30, IPN 260 y HEA 200. Obsérvese que
los perfiles de ala ancha (HEA) resultan poco eficientes como vigas, y su mayor utilidad
es como columnas.
70
Ahora procedemos a verificar la condición de resistencia por esfuerzo normal de
flexión agregando el peso propio del perfil. Como el momento máximo del diagrama de
momentos se produjo en el apoyo G, que tiene la viga en voladizo hacia el lado
derecho, podemos calcular el momento por peso propio utilizando la definición de
momento flector de la siguiente manera:
Momento debido a peso propio MG = -18.05 Kg/m
El nuevo momento máximo en G será: Mmax
= 5.000Kg-m + 18.05 kg/m = 5.018,05 kg/m
(Auque realmente estos momentos tienen signos opuestos, los sumamos para crear
una condición más general y más critica)
El nuevo módulo resistente mínimo será:
Zpp
min = 5.018,05 Kg-m x 100 cm/m / 1.400 Kg/cm2
= 358.43 cm3
Este nuevo módulo esta todavía muy por debajo del módulo de la viga que es
429cm3
, por lo que el perfil seleccionado sigue cumpliendo por esfuerzo normal de
flexión, ampliamente. En general esta revisión de peso propio, es necesaria cuando el
módulo resistente del perfil esta muy cercano del módulo calculado inicialmente Zmin.
Verificación por esfuerzo cortante:
ACT
EN = V x MeEN
EN ∙ ƚ
El esfuerzo cortante máximo se desarrolla en el eje
neutro de la sección, para aplicar la fórmula completamos
la información relacionada con
el dimensionado del perfil seleccionado IPE 270:
Altura h = 27 cm
Ancho de las alas b=13.50 cm
71
Espesor de alas tw= 1.02 cm
Espesor del alma S= 0.66 cm
El momento estático en el eje neutro es:
Me = 13.50x1.02x(13.50-1.02/2)+0.66 x (13.50–1.02)2
/ 2 = 178.87+51.40 = 230.27 cm3
Del diagrama de fuerza cortante tomamos el máximo valor en módulo: Vmax
= 5.000Kg
ACT
EN = 5.000 x 230.27 = 301.29 Kg/ cm2
5.790x 0.66
El esfuerzo cortante actuante esta muy debajo del admisible, por lo cual el perfil
escogido cumple con la condición de corte ampliamente:
act
= 301.29 Kg/cm2
< adm
= 1.000 Kg/cm2
Calculando el corte máximo en el eje neutro en forma aproximada, por el área del alma,
que es donde se concentra casi todo el esfuerzo de corte en estos perfiles:
ACT
EN = 5.000Kg / [(27-2x1.02).0.66] = 303.52 Kg/cm2
; resulta muy aproximado.
72
6.4.2- En la siguiente planta se muestra un sistema de entrepiso, formado por
losacero, apoyado sobre correas IPE. Si se considera que el total de la carga variable
más permanente de la losa de entrepiso es de 500 Kg/m2
, encuentre el perfil mas
económico para la correa del ej “A”, si se consideran las siguientes condiciones
admisibles:
adm
= 1.400 Kg/cm2
y adm
= 1.000 Kg/cm2
. La máxima flecha permitida en el centro de la
luz es de L/400.
Planta
Arriba y a la derecha se presenta el esquema de cargas de una correa y de la viga
de soporte en forma genérica. La reacción de la correa Rc es la carga puntual que
actúa sobre la viga que sirve de soporte. La carga distribuida sobre la correa se calcula
multiplicando el peso de la losa en m2 por el ancho tributario “e”. La correa de nuestro
ejemplo no tiene un ancho tributario constante sino que varia desde (0.80/2)=0,40m en
el apoyo “2”, hasta (1.50/2)+0.40=1.15m en el apoyo “1”. El gráfico de carga calculado
junto con los diagramas de corte y momento de la correa se presentan a continuación.
La siguiente figura muestra la carga sobre la correa. Cálculo de la carga distribuida
sobre la correa.
q1 = 0,40 x 500 = 200 Kg
q2 = q1 + 0,75 x 500 = 575 Kg
73
Cálculo de reacciones:
Resultantes:
R1 = 200. 4 = 800
R2 = 357. 4 = 750
2
∑MB = 0
- RA x 4 + 800 x 2 + 750 x 4 = 0
RA = 650 Kg; Rb= 900Kg
Punto de corte cero: V = 0
Ecuación de la recta: 375 = Y
4 X
Y = 375.X / 4 X = 2.16m
Sumatoria de fuerzas a la izquierda:
650 – 200∙X – X [ 375. X ] = 0
2 4
- 46,87 x2
– 200 x + 650 = 0 x = 2,16 m
El Momento Máximo en Xv = 0 sera:
650 x 2,16 – 200 x 2,162 – 2,16 x 202,5 . 2,16 = MMA
1.404 – 466,56 – 157,46 = M M MAX = 779,98 Kg-m
Con este momento máximo encontramos el módulo resistente mínimo:
Zmin = 78.000 = 55,71cm3
1.400
En las tablas encontramos un perfil IPE 140 cuyo módulo es Z = 77.30 cm3
- Verificamos por peso propio aunque hay mucha diferencia entre los módulos
resistentes.
Peso propio del perfil: PP = 12.90 Kg/m; Mp-p= PP. L2
/ 8 = 12.90 x 42
/ 8 = 25.80Kg-m.
El nuevo módulo resistente será: Zmin = ( 78.000+2580)/1.400 = 57.58 cm3
, cumple.
74
- Verificamos ahora por corte:
Usando la fórmula aproximada:
ACT
EN = 900Kg / [(14-2x0,69)x0,47] = 151.73 Kg/cm2
≤ adm
= 1.000 Kg/cm2
, cumple.
- Finalmente verificamos por deflexión o flecha:
Para hacerlo de forma rápida usaremos el método de superposicón. Como la condición
de flecha máxima exigida, ocurre en el centro del tramo, sumaremos en ese punto el
efecto de la deflexión de una carga rectangular más el de una carga triangular
respectivamente:
Jcentro = 1 [5x 2x 4004
+ 5x 3.75x 4004
]; las cargas “q” en Kg/cm y L en cm.
EI 384 768
E = 2.10x 106
Kg/cm2
IPE 140, I = 541 cm4
Jcentro = 1.14 cm
La deflexión permitida es: L / 400 = 400/400 = 1 cm
La flecha en el centro es superior que la permitida, por lo que no satisface la condición
de rigidez. Se deberá escoger el perfil inmediatamente superior que es el IPE 160, sin
verificar nada más, puesto que las condiciones anteriores, este nuevo perfil, las cumple
aún más ampliamente que el anterior.
75
^
CAPÍTULO VII
PROBLEMAS DE DEFORMACIÓN EN VIGAS.
7.1- MÉTODO DE DOBLE INTEGRACIÓN.
7.1.1- Para la Viga mostrada escriba la Ley de Momentos.
Por relación de triángulos
90 = Y1 Y1 = 30 (X-3)
X-3
R1 = 30 (X-3) (X-3); b = 1 (X-3)
2 3
La ley de momentos será:
M(X) = Ay ∙ X – MA – 100 X - 1,5 - 30 (X-3) (X-3) . (X-3)
2 3
M(X) = Ay ∙ X – MA – 100 X - 1,5 - 5 X-3 3
7.1.2- Para la viga mostrada, calcule la flecha debajo de la carga “P” y el valor del
giro en el apoyo “1”, Considere “E ” constante.
Estableciendo el sistema de referencia xy, con
origen en 1.
La figura muestra el D.C.L. para la sección x-x
situada en el primer tramo 1-X de la viga.
La Ley de momentos será:
M(x)= R1∙ X
La figura muestra el DCL para la Sección y-y,
en el segundo tramo 1-Y de viga.
La Ley de momentos es:
M(x)= R1 ∙ X – P ∙ (x-a)
76
Unificamos la Ley de Momentos en una sola ecuación:
M(x) = R1∙X – Px-a〉; con la salvedad de que:〈x-a〉= 0; si x ≤ a
La ecuación diferencial de la elástica será:
1- E dy2
= M(x) = R1∙x – P〈x-a〉
dx2
Primera Integración:
1- E dy = R1∙x2
– P 〈x-a〉2
+ C1 (Ecuación de giro “Ө”)
dx 2 2
Segunda integración:
3
2- E y = R1∙x3
– P 〈x-a〉+ C1∙X + C2 (Ecuación de la flecha “y”)
6 6
A continuación escribimos las condiciones de borde o frontera cinemática, observando
la curva elástica de la figura inicial (curva segmentada).
1- x = 0 2 - x = L
y = 0 y = 0
Para poner a R1 en función de P:
∑M2 = 0 L ∙ R1 - b∙P = 0 R1 = P∙b
L
Sustituimos la condición de borde “1” (condición de flecha), en la ecuación No 02 de
flechas: C2 = 0
Sustituimos la condición de borde “2”, en la misma ecuación.
0 = P∙b ∙ L3
– P (L-a)3
+ C1∙ L C1 = P (b3
– b ∙L2
)
L 6 6 6L
Para encontrar la flecha en el punto 3, sustituimos en la ecuación de flecha No 02, el
valor de x = a
E ∙y3 = P∙b ∙ a3
– 0 + P (b3
-b∙L2
)∙ a
L 6 6L
77
E ∙y3 = P∙b∙a (a2
+ b2
– L2
) = P∙b∙a a2
+ b2
– (a2
+ b2
+ 2∙ab
6L 6L
Y3 = - P∙b2
∙a2
El signo menos significa que baja
3 E ∙L
El giro en A, se encuentra sustituyendo x = 0, en la ecuación “1” (ecuación de giro).
E ∙ dy = E ∙өA = 0 – 0 + P (b3
– b∙L2
)
dx 6L
өA = - P∙b (L2
-b2
) El signo menos significa que el giro es horario.
6∙E ∙L
78
7.2- MÉTODO DE ÁREA DE MOMENTOS.
7.2.1- Para la viga en cantiliver mostrada, formada por dos segmentos de diferentes
inercias, determine usando el método de Área de Momentos, la deflexión vertical y la
desviación angular del extremo libre “B”, considere E = 7,5 x 105
Kg/cm2
.
Giro en “B”
өB/A = 1 (Área)AB
E
= 1 (-75 – 37,5)15 + 1 (-187,5 x 15)
E 2 E 2
= 1 (-843,75 – 1.406,25)
E
өB/A = - 0,003 rad
Deflexión Vertical de B: ƚB/A = JB
_
JB = 1 (Area)AB ∙ XB ;
EI
JB =1. [-37,5x15x32,5–37,5x15x35–187,5x15x 20]
EI 2 2
JB = - 56.250 ; JB = 0,075 cm
E
7.2.2- Calcular la deflexión vertical a “A”, usando el método de Área momentos y diagramas de
momentos por partes. Considere E constante.
Fig. 3.3.b.
La fig. 3.3.a. muestra el diagrama de momentos
por partes respecto de “C”.
_
ƚ A/C = 1 (Area)1
∙ yA = 1 x 1 x 8 (-960) x 6
E AC
E 3
Fig. 3.3.a ƚ A/C = - 15.360 / E.I.
79
_
ƚ A/C = 1 ∙ XA = 1 x 1∙ 4 x (240) = 320 x 7
E E 3 E
JA = ƚ A/C + ƚ A/C = -15.360 + 2.240 ; JA =13.120
E E
La fig. 3.3.b. muestra los diagramas de momentos por partes respecto el punto
“B”, tomando en cuenta todas las fuerzas que hacen momento en ese punto, incluyendo
Rc. Con este diagrama se podría calcular la desviación de “B” con respecto de “C”, es
decir lo que baja “B”.
7.3.3- En el siguiente marco elástico, calcule el desplazamiento vertical de los
puntos “3” y “4” y el desplazamiento horizontal de “2” solo por flexión, en función de EI.
Usando el método de Área de momentos, calculamos D2h:
_
D2h = ƚ2/1 = 1 ∙ (Area)1,2 ∙ X2 = P∙L ∙ 1,2 L ∙ 1,2 L
E 2 E 2
D2h = 0,36 P∙L3
E
Considerando que la unión entre miembros es indeformable, es decir conserva la
ortogonalidad:
80
D3V = ƚ3/2 + ө2 ∙ L
_
ƚ3/2 = 1 . (Área)2,3 ∙ X3 = 1 ∙ P∙L2
. 2.L = P∙L3
E E 2 3 3∙E
ө1,2 = ө2 = 1 . (Área)1,2 = P∙L . 1,2 L = 0,60 P∙L2
E 2 E E
D3V = ƚ3/2 + ө2 ∙ L = P.L . L . 2. L + ө2. L = P∙L3
+ ө2 ∙ L ; D3V = 0.93. P. L3
E.I. 2 3 3.E.I E.I.
Lo que baja el punto 4 es igual a lo que baja el punto 3, dado que no se están
considerando deformaciones por fuerza axial en el miembro 3,4. Cabe destacar que las
deformaciones son muy pequeñas, y están representadas en los gráficos de manera
exagerada:
D3V = D4V = 0.93. P. L3
E.I.
81
f
f
f
f f
f
7.3- MÉTODO DE SUPERPOSICIÓN.
7.3.1- Determine usando los métodos de Área Momento y Superposición la flecha
en el centro “B” de la viga mostrada. “EI” constante.
El momento flector en “B” será:
M = q∙L . L – 1q . L . 2 . L = q∙L2
– q∙L2
= q∙L2
4 2 2 2 3 2 8 12 24
q . L . 1 . L = - q∙L2
2 2 3 2 24
Por Área de Momentos: a continuación se muestran los diagramas de momentos por
partes respecto “C”:
_
ƚC/B = 1 (Area)BC ∙ XC
EI
ƚC/B = 1 . [q∙L2
. L . L – 1 . L . q∙L2
. 1 . L
E 24 2 4 4 2 24 5 2
ƚC/B = 1 [ q∙L4
– q∙L4
] = q∙L4
. 0,004687
E 192 1.920 E
Ahora por Superposición: JB = - ƚC/B = -q∙L4
. 0,004687 (B baja)
E
Tabla 6-2
f1 = - 5 q∙L4
384 E
JB = - 5 q∙L4
+ q∙L4
384 E 120 E
f2 = q∙L4
JB = - q∙L4
. 0,004687
120 E E
82
CAPÍTULO VIII
PROBLEMAS DE VIGAS ESTÁTICAMENTE INDETERMINADAS.
8.1- CALCULO DEL GRADO DE INDETERMINACIÓN DE VIGAS.
8.1.1- Para la viga mostrada a continuación:
a- Determine el grado de Hiperestaticidad.
b- Trace la curva elástica.
c- Establezca las condiciones de borde.
d- Escriba la Ley de Momentos.
a- Número de Reacciones = 6
Ecuaciones de Equilibrio = -3 (∑Fx=0, ∑Fy=0, ∑Ma=0)
Izq Der
Ecuación en el perno = -1 (∑Mb ò ∑Mb)
GI = 2 (grado de indeterminación)
b- La curva elástica es la línea segmentada en la figura de arriba.
c- De acuerdo con el sistema de referencia “xy” mostrado, las condiciones de borde
son:
1- X=1, Y=0 2- X=6; Y=0 3- X=10; Y=0 4- X=14; Y=0 5- X=14; ө=0
d- La ley de momentos es: M(X)= -100 ∙ X2
+ Ay X-1 + Cy X-6 + Dy X-10
2
83
8.2- CALCULO DE REACCIONES POR EL MÉTODO DE DOBLE INTEGRACIÓN.
8.2.1- Calcular las Reacciones Externas en A y B de la Viga mostrada, por el
método de doble integración.
A continuación se presenta el diagrama de cuerpo libre y la curva elástica de la viga:
cabe destacar que se incorporo el valor de la carga ficticia q3, para contrarrestar el
efecto de q1.
La parte punteada de la carga q1, resulta de la aplicación de la Ley de momentos
de esta carga, la cual se interrumpe antes del final de la viga. La colocación de la carga
ficticia q3, se hace como artificio matemático para contrarrestar la prolongación también
ficticia que la fórmula hace de la carga q1.
La Ecuación diferencial de la elástica será:
E dy2
= M(X) = Ay ∙ X – MA – 1.000 X2
+ 1.000 X - 2 2
– 1.500 X - 4 2
dx 2 2 2
Ecuación del giro:
1- E dy = Ay ∙ x2
– MA ∙ X - 1.000 X3
+ 1.000 X - 2 3
– 1.500 X - 4 3
+ C1
dx 2 6 6 6
84
Ecuación de la flecha:
2- E y = Ay ∙ X3
– MA ∙ X2
- 1.000 X4
+ 1.000 X - 2 4
– 1.500 X - 4 4
+ C1X + C2
6 2 24 24 24
Las condiciones de borde se establecen observando la curva elástica:
1- X = 0; y = 0 2- X = 0; ө = 0 3- X = 6m; y = 0
Dado que la viga tiene 4 reacciones externas, y solo disponemos de 3
ecuaciones de equilibrio, el elemento es hiperestático de grado 1. Es decir, tiene una
reacción sobrante o redundante. Por lo tanto son necesarias las 3 condiciones de borde
encontradas, dos de las cuales se usarán para encontrar C1 y C2, mientras que la
tercera generará la ecuación adicional que necesitamos para encontrar las 4 reacciones
externas.
Con 1- X = 0; y = 0 en la ecuación No. 2 C2 = 0
Con 2- X = 0; ө = 0 en la ecuación No. 1 C1 = 0
Con 3- X = 6m; y = 0 en la ecuación No. 2:
(A) 0 = Ay ∙ 63
– MA (6)2
– 1.000 (6)4
+ 1.000 (6 - 2)4
– 1.500 (6 - 4)4
6 2 24 24 24
De esta manera tendremos las cuatro ecuaciones necesarias:
A- 36 Ay – 18 MA – 65.666.67 = 0
B- ∑MA 0 = ; MA – 1.000 ∙ 22
– 1.500 ∙ 2 ∙ 5 + By ∙ 6 = 0
2
C- ∑Fy = 0 ; Ay – 2 ∙ 1.000 – 2 ∙ 1.500 + By = 0
Resolviendo el sistema:
Ay = 2.634,26 Kg
MA = 2.805,56 Kg.m
By = 2.365,74 Kg.
La última: D - ∑Fx = 0; Ax = 0
Cabe destacar que las ecuaciones de equilibrio B,C y D se realizan con las cargas
reales, no con las ficticias, aunque si se tomaran en cuenta, el resultado sería el
mismo.
85
8.2.2- Resolver la siguiente viga Hiperestática, por doble integración.
Por el método de doble integración hacemos el diagrama de cuerpo libre:
Hay 5 reacciones, sin contar las horizontales, que son cero, menos las dos de equilibrio
disponibles, se tienen que generar tres ecuaciones adicionales de deformación, iguales
al grado de indeterminación.
Función de Singularidad o ley de momentos:
2
E . dy2
= M(x) = MA + RA ∙ X – 1.000 X2
+ RB〈x – 12〉+ 1.000〈x - 12〉
dx2
2 2
Primera integración:
2 3
E . dy = ʃ M(x) = MA . X + RA ∙ X2
– 1.000 . X3
+ RB〈x – 12〉+ 1.000 〈x - 12〉+ C1
dx 2 6 2 6
Segunda integración:
3 4
E ∙ Y = ʃ ʃ M(x) = MA∙X2
+ RA∙ X3
– 1.000∙X4
+ RB 〈x - 12〉+ 1.000〈x - 12〉+ C1∙X + C2
2 6 24 6 24
Condiciones de Frontera: son cinco, tres por el GI, más dos para encontrar C1 y C2
86
(1) Para: X = 0 dy = 0 C1 = 0; (2) Para: X = 0 Y = 0 C2 = 0
dx
(3) Para: X = 20 dy = 0 20 MA + RA∙(20)2
– 1.000∙(20)3
+ RB . 82
+ 1.000 ∙ 83
= 0
dx 2 6 2 6
MA 20 MA + 200 RA – 1.333.333,33 + 32 RB + 85.333,33 = 0
Ecuación ①: 20 MA + 200 RA + 32 RB – 1.248.000 = 0
(4) Para: X = 12, Y = 0 122
MA + 123
RA – 1.000 (12)4
= 0
2 6 24
72 MA + 288 RA – 864.000 = 0 ②
(5) Para: X = 20, Y = 0 202
MA + 203
RA – 204
. 1.000 + RB . 83
+ 1.000.84
2 6 24 6 24
200 MA + 1.333,33 RA – 6.666.666,67 + 85,33 RB + 170.666,67 = 0
200 MA + 1.333,33 RA + 85,33 RB – 6.496.000 = 0 ③
Con las ecuaciones ①, ② y ③ encontramos:
MA = - 14.400 Kg-m
RA = 6.600 Kg
RB = 6.750 Kg
Con las restantes ecuaciones de equilibrio se calculan las reacciones faltantes:
∑Mc = 0; Mc = 3.600 Kg-m
∑Fy = 0; Rc = - 1.350 Kg.
87
8.3- CÁLCULO DE REACCIONES POR EL MÉTODO DE ÁREA DE MOMENTOS
8.3.1- Resolver la viga del problema anterior (8.2.2), por el método de área de
momentos.
Procedemos a elaborar el diagrama
de momentos por partes de la viga,
respecto del punto “B”.
De esta manera se pueden
establecer las siguientes condiciones
de deformaciones compatibles, de
acuerdo a la elástica:
1- ƚB/A = 0
2- ƚB/C = 0
3- өC/A = 0
Buscando en las tablas respectivas:
1- ƚB/A = 0 = 1 [ 122 MA + 122 RA . 1 . 12 – 1 . 12 ∙ 72.000 . 1 . 12 ] = 0 ①
E 2 2 3 3 4
2- ƚB/C = 0 = 1 [ 82. Mc + 82 Rc . 1 . 8 ] = 0 ②
E 2 2 3
3- өC/A = 0 = 1 [ 122 RA + 12 M1 – 1x12 ∙ 72.000 + 8 MC + 82 RC ] = 0 ③
E 2 3 2
Con estas tres ecuaciones más las de equilibrio se encuentran todas las reacciones.
88
8.4- CÁLCULO DE REACCIONES POR EL MÉTODO DE SUPERPOSICIÓN.
8.4.1- Resolver la viga del problema (8.2.2), por el método de superposición.
Se decide considerar como reacciones redundantes a Rb, Rc y Mc, de esta
manera se utilizaran las tablas de superposición correspondientes a las vigas en
cantiliver.
Las tres reacciones redundantes se asumen ahora como fuerzas externas
aplicadas a la estructura, junto con las dadas inicialmente, de esta manera se generan
cuatro casos de carga, tal como se grafican a continuación:
- La condición de deformación asociada con la reacción Rc, es la flecha: JC =yc =0
① J1
C = q∙L4
+ 8. q∙L3
= 1.000 x 124
+ 8.1.000 ∙ 123
8 E 6 E 8 E 6 E
② J2
C = RB (12)3
+ 8.RB(12)2
ò J2
C = RB . R2
(3∙20 -12)
3 E 2 E 6 E
③ J3
C = RC∙L3
3 E
④ J4
C = M ∙ L2
= MB∙(20)2
2 E 2 E
89
De esta manera se genera la ecuación: a- JC = - J1
C +J2
C +J3
C +J4
C = 0
- La condición de deformación asociada con la reacción Rb, es la flecha: JB = yb = 0
1 2 3 4
① JB = 1.000 x 124
② JB = RB ∙ 123
③ JB = Rc ∙ (12)2
. (3x20-12) ④ JB = MB∙122
8 E 3 E 6 E 2 E
De esta manera se genera la ecuación: b- JB = - J1
B +J2
B +J3
B +J4
B = 0
- La condición de deformación asociada con la reacción Mc, es el giro: өC = 0
1 2 3 4
① өC = MC ∙ 20 ② өC = RB∙122
③ өC = RC∙202
④ өC = MB 20
E 2 E 2 E E
De esta manera se genera la ecuación: c- өC = - ө1
C +ө2
C +ө3
C +ө4
C = 0
Con estas tres ecuaciones más las de equilibrio, se calculan las reacciones externas:
Se resuelve el sistema y resulta: RB = 6.750 Kg.
RC = - 1.350 Kg.
MC = 3.600 Kg-m
Por: ∑Fy = 0; RA = 6.600 Kg
∑MA = 0; MA = -14.400 Kg-m
90
8.5- VIGAS INCLINADAS.
8.5.1- Para la viga mostrada a continuación, inclinada 30o
con la horizontal y cargas
verticales:
a- Calcule las reacciones externas en los apoyos “A” y “B”.
b- Trace los diagramas de fuerza axial, cortante y momento flector.
Desprecie el peso propio.
La viga mostrada tiene un grado de indeterminación por tener cuatro reacciones.
En la fig. 8.5.a, se puede ver la viga en posición horizontal, para facilitar su
comprensión, con las componetes de las fuerzas aplicadas, perpediculares y paralelas
al eje de la viga. Las fuerzas externas aplicadas generan en su interior tres fuerzas:
axial, cortante y momento flector. Esta viga esta sometida a un esfuerzo combinado de
fuerza axial con flexión.
Utilzando el método de doble integración, establecemos un sistema de
coordenadas locales inclinado como la viga, cuyo origen en este caso, esta en el lado
derecho, con la finalidad de hacer que las constantes de integración C1 y C2 sean cero.
Esto también se pudo lograr rebatiendo la viga, y colocando el origen a la izquierda. Las
ecuaciones diferenciales son:
E dY
2
= - MA + Ay.X – 3.031 X - 3 - 2165 X - 4,5 > + RB X - 6
dx
2
2 2 2
1- E dY = - MA.X + Ay . X2
– 3.031 X - 3 – 2.165 X – 4,5 + RB X – 6 + C1
dx 2 2 2 2
91
3 3 3
2- E Y = - MA.X2
+ Ay.X3
– 3.031 X – 3 - 2.165 X – 4,5 + RB X – 6 + C1X+C2
2 6 6 6 6
Las condiciones de borde las podemos sacar, de la curva elástica que aparece como
una línea segmentada en la fig. 8.5.a y son:
(1) X=0, Y=0, (2) X=0, y=0, (3) X=6, Y=0
Sustituyendo la condición (1) en la ecuación (2) de arriba: C2 = 0
Sustituyendo la condición (2) en la ecuación (1) de arriba: C1 = 0
Sustituyendo la condición (3) en la ecuación (2) de arriba:
3 3
E Y = - MA.62
+ Ay.63
– 3.031 6 – 3 - 2.165 6 – 4,5 = 0
2 6 6 6
Resultando la siguiente ecuación: -18 MA + 36 Ay – 14.857.31 = 0 1
Por sumatoria de momentos en A: - MA + 3.031x3 + 2.165x 4.5 - 6RB +1.300x 7.50=0 2
Por sumatoria de fuerzas en el eje “Y” (perpendiculares a la viga); RB + Ay – 6.496 =0 3
Resolviendo el sistema de tres ecuaciones resulta:
MA = 3.957,14 Kg-m, Ay = 2.391,27 Kg, RB = 4.104,73 Kg
Por sumatoria de fuerzas en el eje “X”, (paralelas a la viga): Ax – 1.750– 1.250– 750 =0
Ax = 3.750 Kg.
Conocidas las reacciones, los diagramas respectivos se construyen por el
procedimiento normal, de izquierda a derecha bajo la misma convención de signos.
Obsérvese que el diagrama de fuerza axial indica que la viga tiene tracción variable en
todo su desarrollo, de tal manera que se encuentra bajo la acción de esfuerzos de
Flexo-tracción, y el procedimiento de cálculo para este caso, es el de elementos
92
sometidos a esfuerzos combinados, los cuales están fuera del alcance del presente
trabajo.
Fig.8.5.a
93
BIBLIOGRAFIA
ARIAS, Fidias G. (2.001). Mitos y errores en la elaboración de Tesis y Proyectos de
Investigación. Editorial Episteme, c.a., Caracas, Venezuela.
BEER, Ferdinand ; JOHNSTON, Russell (1.994). Mecánica de Materiales. Editorial
MacGraw Hill, México
GERE, James M, ( 2.006). Mecánica de Materiales. Thomson Editores, S.A. México.
D.F.
GREEN, Lenny (2000). El Proyecto Factible. Modelo metodológico para
elaboración de trabajos de grado. Universidad de Carabobo. Valencia,
Venezuela
IBÁÑEZ, Francisco E, (2.001). Problemas de Resistencia de Materiales para
Estudiantes de ingeniería. Publicaciones Ingeniería U.C. Valencia, Venezuela.
MORLES, Victor (1992). Planteamiento y Análisis de Investigaciones. El Dorado
Ediciones. Caracas, Venezuela.
POPOV, Egor P. (1.978). Mecánica de Sólidos. Editorial Limusa. México.
RODRÍGUEZ, Fernando; AZCUNAGA Avial. (1.970). Problemas de Resistencia de
Materiales. Escuela Técnica Superior de Ingenieros Industriales de Madrid,
España.
SAMPIERI H., Roberto y Otros. (1996). Metodología de la Investigación. Editorial
MacGraw Hill, México.
SINGER, Ferdinad L. (1.982). Resistencia de Materiales. Ediciones Harla S.A.de c.v.
Mexico.
94
ANEXOS
95
ANEXO A
TABLA DE DIAGRAMAS DE MOMENTOS DE MÉNSULAS.
Fuente Resistencia de materiales, Singer (1971), Harla S.A.
96
ANEXO B
Fuente: http://es.wikipedia.org/wiki/pendientes_y_deformaciones_vigas
97
ANEXO B
Fuente: http://es.wikipedia.org/wiki/pendientes_y_deformaciones_vigas
98
ANEXO B
Fuente: http://es.wikipedia.org/wiki/pendientes_y_deformaciones_vigas
99
ANEXO B
Fuente: http://es.wikipedia.org/wiki/pendientes_y_deformaciones_vigas
100
ANEXO B
Fuente: http://es.wikipedia.org/wiki/pendientes_y_deformaciones_vigas
101
ANEXO B
Fuente: http://es.wikipedia.org/wiki/pendientes_y_deformaciones_vigas
102
ANEXO B
Fuente: http://es.wikipedia.org/wiki/pendientes_y_deformaciones_vigas
103
ANEXO B
Fuente: http://es.wikipedia.org/wiki/pendientes_y_deformaciones_vigas
104
ANEXO B
Fuente: http://es.wikipedia.org/wiki/pendientes_y_deformaciones_vigas
105
ANEXO C
PERFILES IPN
Fuente: http:/www.hierrobeco.com
106
ANEXO C
PERFILES IPE
Fuente: http:/www.hierrobeco.com
107
ANEXO C
PERFILES HEA.
Fuente: http:/www.hierrobeco.com
108
ANEXO C
PERFILES HEB.
Fuente: http:/www.hierrobeco.com
109
ANEXO C
PERFILES ELECTROSOLDADOS PROPERCA
VP
Fuente: http:/www.hierrobeco.com
Designación
Dimensiones Sección Total
Torsión
Alma Ala Area Eje X-X Ele Y-Y
Serie d x Peso tw bf tf A Ix Sx rx Zx Iy Sy ry Zy J Cw
mm x kgf/m mm cm² cm4 cm³ cm cm³
cm
4
cm³ cm cm³ cm4 cm6
Vp 100 x 5.35 2.1 80 3.00 6.82 128 25.6 4.33 - 26 6.4 1.94 2.16 0.17 602
Vp 120 x 9.70 3.0 100 4.5 12.3 335 55.7 5.21 61.2 75 15.0 2.47 22.7 0.700 2500
Vp 140 x 12.4 3.0 100 6.0 15.8 592 84.5 6.11 92.7 100 20.0 2.51 30.3 1.52 4490
Vp 160 x 16.4 6.0 100 6.0 20.9 874 109 6.47 125 100 20.0 2.19 31.3 2.52 5930
Vp 180 x 17.7 4.5 125 6.0 22.6 1310 146 7.43 162 195 31.3 2.94 47.7 2.29 14800
Vp 200 x 24.1 4.5 125 9.0 30.7 2280 228 8.62 252 293 46.9 3.09 71.2 6.44 26700
Vp 250 x 29.4 4.5 150 9.0 37.4 4390 351 10.8 386 506 67.5 3.68 102 7.80 73500
Vp 300 x 41.3 6.0 150 12.0 52.6 8520 568 12.7 633 676 90.1 3.58 138 18.7 140000
Vp 350 x 48.3 6.0 175 12.0 61.6 13700 785 14.9 869 1070 123 4.17 187 21.9 306000
Vp 400 x 55.4 6.0 200 12.0 70.6 20700 1040 17.1 1140 1600 160 4.76 243 25.1 602000
Vp 420 x 65.7 9.0 200 12.0 83.6 24600 1170 17.2 1330 1600 160 4.38 248 32.4 666000
Cp 80 x 3.98 2.15 80 2.15 6.39 78 19.6 3.50 - 26 6.4 2.00 2.19 0.17 379
Cp 140 x 25.5 6.0 140 9.0 32.5 1170 168 6.00 187 412 58.8 3.56 89.3 7.55 17700
Cp 160 x 29.3 6.0 160 9.0 37.3 1790 223 6.92 248 615 76.8 4.06 117 8.67 35000
Cp 180 x 33.1 9.0 180 9.0 42.1 2580 287 7.83 316 875 97.2 4.56 147 9.78 64000
Cp 200 x 50.1 9.0 200 12.0 63.8 4660 466 8.54 521 1600 160 5.01 244 27.0 141000
Cp 220 x 55.3 9.0 220 12.0 70.4 6280 571 9.44 636 2130 194 5.50 294 29.8 230000
Cp 240 x 60.4 9.0 240 12.0 77.0 8250 687 10.4 762 2770 231 6.00 350 32.6 359000
Cp 260 x 65.7 9.0 260 12.0 83.6 10600 815 11.3 900 3520 271 6.48 410 35.4 540000
CP
Fy = 2530 kgf/cm 2
Fu = 4080 kgf/cm 2
d
Tf
Bf
h
Tw
d
Tf
Bf
h
Tw
d
Tf
Bf
h
Tw
d
Tf
Bf
h
Tw
d
Tf
Bf
h
Tw
d
Tf
Bf
h
Tw
Tf = Espesor de las alas.
d = Altura total del perfil
h = Altura interior del perfil
Tw = Espesor del alma.
Bf = Ancho del perfil o del ala
110
ANEXO C
PERFIL ESTRUCTURAL ECO CONDUVEN CIRCULAR
Fuente: http:/www.hierrobeco.com
DIMENSIONES SECCIÓN
A
cm²
PESO
kgf/m
PROPIEDADES ESTÁTICAS
DIÁMETR
O
Pulg.
mm l S r
D e cm4
cm³ cm
3 76.2 2.25 5.2 4.10 4.10 9.4 2.6
3 1/2 88.9 2.25 6.1 4.81 4.81 12.9 3.1
4 1/2 114.3 2.50 8.8 6.89 6.89 24.0 4.0
5 127.0 3.00 11.7 9.17 9.17 35.4 4.4
5 1/2 139.7 3.40 14.6 11.43 11.43 48.4 4.8
6 152.4 4.00 18.6 14.64 14.64 67.4 5.2
6 5/8 168.3 4.30 22.2 17.39 17.39 88.5 5.8
7 5/8 193.7 4.50 26.7 20.99 20.99 123.6 6.7
8 5/8 219.1 5.50 36.9 28.97 28.97 192.2 7.6
9 5/8 244.5 5.50 41.3 32.41 32.41 241.3 8.5
9 5/8 244.5 7.00 52.2 41.00 41.00 301.4 8.4
10 3/4 273.1 7.00 58.5 45.93 45.93 379.4 9.4
10 3/4 273.1 9.00 74.7 58.61 58.61 477.1 9.3
12 3/4 323.9 9.00 89.0 69.88 69.88 681.8 11.1
12 3/4 323.9 11.00 108.1 84.87 84.87 817.9 11.1
De
Y
x
Materia Prima: Astm – A – 500 Grado C
Esfuerzo De Fluencia Fy = 3.515 Kg /cm2
.
Flexión F6 = 0.72 X Fy.
Longitud 12 metros
Recomendado como Columnas, por soportar grandes
cargas axiales.
Norma Covenin 2063-99
111
ANEXO C
PERFIL ESTRUCTURAL ECO CONDUVEN RECTANGULAR
Fuente: http:/www.hierrobeco.com
DIMENSIONES SECCIÓ
N
A
cm²
PESO
kgf/
m
PROPIEDADES ESTÁTICAS
H X B
mm
mm
lx
cm4
Sx
cm
rx
cm
Ly
cm
Sy
cm3
ry
cme r
80 x 40 2.25 3.38 5.02 3.94 40.61 10.15 2.84 13.84 6.92 1.66
100 x 40 2.25 3.38 5.92 4.65 71.37 14.27 3.47 17.05 8.53 1.70
120 x 60 2.50 3.75 8.54 6.70 159.29 26.55 4.32 54.67 18.22 2.53
140 x 60 3.00 4.50 11.33 8.89 274.27 39.18 4.92 73.46 24.49 2.55
160 x 65 3.40 5.10 14.44 11.34 449.65 56.21 5.58 110.41 33.97 2.77
180 x 65 4.00 6.00 18.41 14.45 697.99 77.55 6.16 140.88 43.35 2.77
200 x 70 4.30 6.45 21.85 17.15 1016.19 101.62 6.82 194.94 55.70 2.99
220 x 90 4.50 6.75 26.39 20.72 1561.83 141.98 7.69 388.34 86.30 3.84
260 x 90 5.50 8.25 36.25 28.46 2844.82 218.83 8.86 536.10 119.31 3.85
300 x 100 5.50 8.25 41.75 32.77 4366.42 291.09 10.23 777.00 155.40 4.31
300 x 100 7.00 10.50 52.36 41.10 5360.46 357.36 10.12 943.61 188.72 4.25
320 x 120 7.00 10.50 57.96 45.50 7032.23 439.51 11.02
1512.2
4
252.04 5.11
320 x 120 9.00 13.50 73.18 57.45 8654.16 540.89 10.87
1841.3
1
306.88 5.02
350 x 170 9.00 13.50 87.58 68.75
13546.1
0
774.06 12.44
4418.3
0
519.80 7.10
350 x 170 11.00 16.50 105.41 82.74
15966.4
3
912.37 12.31
5179.0
4
609.30 7.01
B
y
H=B
e
y
X
R
Materia Prima: Astm – A – 500. Grado C
Esfuerzo De Fluencia Fy = 3.515 kg. + /cm2
.
Fb = 0.72 X Fy.
Recomendado Como Vigas Para Grandes Momentos;
Cargas Axiales Moderadas Y Valores (Kl) Pequeños.
Norma Covenin 2063-99
Longitud: 12 metros
112
ANEXO C
PERFIL ESTRUCTURAL ECO CONDUVEN CUADRADO
Fuente: http:/www.hierrobeco.com
DIMENSIONES SECCIÓN
A
cm²
PESO
kgf/m
PROPIEDADES
ESTÁTICAS
H X B
mm
mm l S r
e r cm4
cm³ cm
60 x 60 2.25 3.38 5.02 3.94 27.40 9.13 2.34
70 x 70 2.25 3.38 5.92 4.65 44.60 12.74 2.74
90 x 90 2.50 3.75 8.54 6.70 107.46 23.88 3.55
100 x 100 3.00 4.50 11.32 8.89 175.10 35.02 3.93
110 x 110 3.40 5.10 14.10 11.07 263.04 47.82 4.32
120 x 120 4.00 6.00 18.01 14.14 397.30 66.22 4.70
135 x 135 4.30 6.45 21.85 17.15 612.27 90.71 5.29
155 x 155 4.50 6.75 26.39 20.72 982.43 126.77 6.10
175 x 175 5.50 8.25 36.25 28.46 1709.23 195.34 6.87
200 x 200 5.50 8.25 41.75 32.77 2597.67 259.77 7.89
200 x 200 7.00 10.50 52.36 41.10 3194.10 319.41 7.81
220 x 220 7.00 10.50 57.96 45.50 4314.30 392.21 8.63
220 x 220 9.00 13.50 73.18 57.45 5317.27 483.29 8.52
260 x 260 9.00 13.50 87.58 68.75 9038.52 695.27 10.16
260 x 260 11.00 16.50 105.41 82.74 10656.87 819.76 10.06
H=B
B
e
YY
XR
Materia Prima: Astm – A – 500 Grado C
Esfuerzo De Fluencia Fy = 3.515. KG.F/cm2
Fb = 0.69 x Fy.
Recomendado como Columna, para cargas axiales
grandes, momentos moderados y (KL)grandes.
Norma Covenin 2063-99
Longitud 12 Metros.
113
ANEXO D.
Fuente: POPOV, Egor P. (1.978). Editorial Limusa. México
114

Resistencia

  • 1.
    INTRODUCCIÓN Las vigas sonelementos cuya disposición en las estructuras es principalmente horizontal, aunque también pueden ser inclinadas, pero que en todo caso tienen la importante función de servir de apoyo de otros miembros estructurales que le transmiten las cargas verticales generadas por la gravedad, las cuales actúan lateralmente a lo largo de su eje. Gracias a estos elementos se pueden construir todo tipo de maquinarias y estructuras, tales como chasis de vehículos, soporte de maquinarias, vigas de puentes y edificaciones, etc. Esta condición hace que las vigas estén sometidas a esfuerzos diferentes a la tensión simple, representados por los esfuerzos de flexión. En este caso las fuerzas externas pueden variar de una sección a otra a lo largo de la viga, además la disposición de ellas, las condiciones de soporte y la geometría, genera en el interior de la misma la aparición de cuatro fuerzas llamadas resistentes. Si consideramos un sistema espacial tenemos: 1- Fuerza Cortante: se produce con dirección perpendicular al eje de la viga y su efecto es similar al generado por una tijera al cortar un papel, es decir una fuerza cortante paralela a la cara de la sección de la viga. 2- Fuerza Axial: se produce cuando la disposición de las fuerzas externas no es totalmente perpendicular al eje de la viga, existiendo componentes de ellas a lo largo del eje. Cuando aparece esta fuerza junto con la flexión, se genera un esfuerzo combinado de flexión con esfuerzo axial. Este estudio esta fuera del alcance del presente trabajo. 3- Momento Flector: es una fuerza del tipo “par”, que contribuye a equilibrar la rotación del sólido en un eje perpendicular a su eje y fuera de su plano, y que produce sobre la viga un efecto de curvatura a largo de su eje. 4- Momento Torsor: es una fuerza del tipo “par”, que contribuye a equilibrar la rotación del sólido según un eje paralelo al eje longitudinal de la viga, y que produce sobre la misma un efecto de giro alrededor de su propio eje. La aparición de esta fuerza
  • 2.
    2 interna depende dela aplicación de las fuerzas externas, de tal manera que generen alguna componente de momento alrededor del eje de la viga. Esta fuerza no se considera en este estudio. En el presente trabajo solo se considera el estudio de vigas a flexión pura y no uniforme, es decir bajo la aplicación de cargas externas que generan en su interior fuerzas cortantes y momentos flectores. Se estudia la relación que existe entre las fuerzas externas y las internas. Como varían estas ultimas a lo lago de la viga, mediante la elaboración de diagramas de fuerzas cortantes y momentos flectores, a los fines de poder diseñar su dimensionado de manera económica con la condición mas crítica de fuerza interna. Se estudia también por varios métodos, lo relacionado a las deformaciones producidas por el efecto de las fuerzas externas. Finalmente se aborda el tema de las vigas hiperestáticas, y la forma de encontrar las reacciones externas, utilizando las ecuaciones adicionales proporcionadas por las deformaciones. Los primeros cuatro capítulos comprenden un estudio teórico muy simplificado, de los conceptos arriba descritos, teniendo como base los planteamientos del libro texto recomendado en clases, del profesor Ferdinand L. Singer, abundando en aquellas explicaciones, en donde por mi experiencia docente, presentan más dudas los alumnos. En los últimos cuatro capítulos, se resuelven problemas relacionados con casos prácticos de utilización de vigas en la Ingeniería, haciendo énfasis tanto en los aspectos conceptuales de los principios que rigen la resistencia de materiales, como de aquellos conceptos prácticos relacionados con el diseño y verificación de secciones, destacando la importancia de los aspectos económicos que siempre están relacionados con la Ingeniería. Se hace más énfasis en la explicación de la resolución de problemas que en la cantidad de problemas resueltos. Por último se incluye un disco, que contiene un apoyo visual computarizado, de la teoría aquí contenida, donde de manera animada se explican los principios físicos que rigen el estudio de las vigas, para una mejor comprensión de los alumnos.
  • 3.
    3 CAPÍTULO I FUERZA CORTANTEY MOMENTO FLECTOR EN VIGAS. 1.1.-TIPOS DE VIGAS. De acuerdo al número y tipo de los apoyos que soportan la viga, existen dos grandes grupos de vigas: 1.1.1 Vigas Isostáticas o estáticamente determinadas: en estas vigas el numero de reacciones externas coincide con el numero de ecuaciones de equilibro disponibles. No sobra ni faltan reacciones para que el sólido permanezca en equilibrio estable, tiene grado de indeterminación (G.I) cero. A continuación se muestran algunos ejemplos: a-Viga simplemente apoyada de un tramo: # reacciones = 3 # ecuaciones = -3 ( ΣFx, ΣFy , ΣMA) G.I. = 0 b-Viga en cantiliver, voladizo o ménsula: # reacciones = 3 # ecuaciones = -3 ( ΣFx, ΣFy , ΣMA) G.I. = 0 c-Viga simplemente apoyada con volados: # reacciones = 3 # ecuaciones = -3 ( ΣFx, ΣFy , ΣMA) G.I. = 0 d-Viga continúa de dos tramos, con volados y articulación: # reacciones = 4 # ecuaciones = -4 ( ΣFx, ΣFy , ΣMA, ΣMC izq o ΣMC der ) G.I. = 0 1.1.2 - Vigas hiperestáticas o estáticamente indeterminadas: presentan un número mayor de reacciones externas que de ecuaciones de equilibrio disponibles, lo cual significa que estas vigas presentan al menos una condición de sujeción adicional a las mínimas requeridas para que se mantenga en equilibrio estable, es decir, tienen
  • 4.
    4 reacciones sobrantes, cuyaeliminación las convertiría teóricamente en isostáticas. A continuaron se muestran algunos ejemplos: a- Viga empotrada y apoyada en un rodillo: # reacciones = 4 # ecuaciones = -3 ( ΣFx, ΣFy , ΣMA) G.I. = 1 b-Viga empotrada- empotrada: # reacciones = 6 # ecuaciones = -3 ( ΣFx, ΣFy , ΣMA) G.I. = 3 c-Viga de dos tramos empotrada y apoyada: # reacciones = 5 # ecuaciones = -3 ( ΣFx, ΣFy , ΣMA) G.I. = 2 1.2- DEFINICIÓN DE FUERZA CORTANTE Y MOMENTO FLECTOR. En la figura se muestra una viga horizontal elemental, isostática de un solo tramo, con una carga puntual “P”, en la sección a-a se hace un corte imaginario para observar las fuerzas internas que aparecen para satisfacer las condiciones de equilibro, tal como se muestra en el diagrama de cuerpo libre de abajo. 1.2.1 - Fuerza Cortante: del equilibrio de fuerzas verticales practicado a cualquiera de los dos segmentos de viga separados, aparece una fuerza interna “Va-a”, llamada resistente, debido a que se opone al efecto de las fuerzas activas externas, cuya dirección es perpendicular al eje longitudinal de la viga AB, el cual coincide a su vez con el eje “X” del sistema de referencia particular “XY”
  • 5.
    5 de la viga. Para el caso de vigas inclinadas la fuerza cortante Va-a, tiene la misma inclinación, puesto que se orienta según el eje particular de la viga y no según el sistema global vertical-horizontal. En este sentido se define la fuerza cortante como la sumatoria de la componente perpendicular al eje, de las fuerzas externas situadas a la izquierda o a la derecha de la sección de viga estudiada: Va-a = ΣFyizq a-a= ΣFyder a-a. La convención de signos más común, es aquella que considera positiva la fuerza cortante que hace deslizar hacia arriba, la porción de viga situada a la izquierda de la sección estudiada, en caso contrario se considera negativa. En otras palabras cuando la sumatoria de fuerzas a la izquierda de la sección es positiva la fuerza cortante tiene el mismo signo, igual para el caso contrario, tal como se muestra en el siguiente diagrama fig 1.3.a. En la Fig. 1.3.b. se muestra la convención de signos desde el punto de vista de la deformación de un elemento diferencial situado justo en la sección a-a. 1.2.2- Momento Flector: el equilibrio rotacional de los segmentos de viga estudiados se logra con la aparición del Momento Flector Ma-a, señalado en el diagrama de cuerpo
  • 6.
    6 libre anterior. Deesta manera este se puede definir como la sumatoria de los momentos de las fuerzas externas situadas a la izquierda o a la derecha de la sección estudiada, considerando que el plano de aplicación de las fuerzas es XY (hoja de papel), y la dirección del momento flector es perpendicular a este, es decir el eje particular Z: Ma-a = ΣMiizq a-a= ΣMider a-a En cuanto al signo del momento flector, es importante resaltar que este no depende de su sentido de rotación, tal como sucede con el momento de equilibrio, sino más bien de la curvatura que sufre la viga por la aplicación del mismo. De tal manera que una curvatura cóncava hacia arriba se considera positiva, lo contrario es negativo. En la siguiente figura se ilustra esta convención. Los momentos flectores positivos generan tracción o alargamiento en las fibras inferiores de la viga y compresión o acortamiento en las superiores, los negativos
  • 7.
    7 producen lo contrario,como se muestra en la parte superior de la figura anterior. En los gráficos inferiores, de la figura anterior, se muestra el efecto de fuerzas individuales y el sentido de curvatura de la viga, considerando un empotramiento imaginario en la sección a-a. 1.3- RELACIÓN ENTRE CARGA, CORTE Y MOMENTO FLECTOR. Resulta particularmente importante, conocer no solo el valor del corte y del momento flexionante en un punto de la viga, sino mas bien a lo largo de todo el elemento, debido a que en su diseño, se debe considerar la condición más desfavorable de esfuerzo resistente en el interior del sólido, por lograr esto se construyen los llamados diagramas de fuerza cortante y momento flector. La realización de estos diagramas requiere conocer la relación existente entre las cargas externas y las fuerzas internas de corte y momento flector. En el siguiente gráfico, se ha considerado una viga simplemente apoyada, con un sistema de cargas distribuida general “q”, de signo positivo, por tener sentido vertical hacia arriba. 1 y 2 representan dos secciones de la viga separadas una distancia dx. A la derecha se ha graficado en forma ampliada, el diagrama de cuerpo libre del elemento diferencial de viga contenido entre las secciones 01 y 02, que incluye tanto las fuerzas externas “q”, como las fuerzas internas V y M, las cuales se supusieron con signo positivo. Para la cara de la sección 01, los valores de fuerzas cortantes y momentos flexionantes son respectivamente V y M, mientras que para la sección 02, son los valores de la sección 01 más un cierto diferencial dV y dM respectivamente.
  • 8.
    8 Equilibrando el elementodiferencial tenemos: 1.3.1. Relación Carga – Corte: por sumatoria de fuerzas verticales, ∑ Fy = 0 dV = q ∙ dx V 2 X 1 Integrando ∫V dV = ∫X q∙dx 1 1 1-2 V2 – V1 = ∆V = (Área)Carga De esta manera se encuentran las siguientes relaciones: 1- q = dV q: intensidad de carga; dv: Pendiente diagrama de corte dx dx 1.a - El signo de la carga, define la inclinación de la pendiente del diagrama de corte. 1.b - La intensidad de la carga “q” define la variación de la pendiente del diagrama de corte.
  • 9.
    9 2- Se puedecalcular el corte en la sección 02, con el corte anterior en la sección 01, más el área del diagrama de carga existente entre las secciones 01 y 02: 1-2 V2 = V1 + (Área) carga 1.3.2. Relación Corte – Momento: por sumatoria de momentos en el punto “0”:
  • 10.
    10 ∑MB = 0dM = V∙ dx M2 x2 Integrando: ∫ dM = ∫ V∙ dx M1 x1 1-2 M2 – M1 = ∆M = (Área)corte Las relaciones entre corte y momento son: 3- V = dM V: intensidad del diag. de Corte; dM: Pendiente diag. de Momentos dx dx 3.a. El signo del diagrama de corte, define la inclinación de la pendiente del diagrama de Momentos: 3.b. La Intensidad del diagrama de corte, define la variación de la pendiente del diagrama de Momentos, como se muestra a continuación:
  • 11.
    11 4- Se puedecalcular el momento en la sección 02, con el momento anterior en la sección 01, más el área del diagrama de corte existente entre las sección 01 y 02: 1-2 M2 = M1 + (Área) Corte
  • 12.
    12 CAPÍTULO II TENSIÓN ENVIGAS: Una vez conocidas las fuerzas generadas en el interior de la viga, es posible estudiar los esfuerzos que ellas producen. Se consideraran los esfuerzos normales producidos en la cara de la sección y los esfuerzos cortantes, paralelos a dichas caras. Para el primer estudio consideraremos que la viga esta sometida a esfuerzo de flexión pura, es decir solo se consideran aquellas porciones de viga donde la fuerza cortante es cero, para el segundo estudio se trataran vigas sometidas a flexión no uniforme, es decir en presencia de fuerzas cortantes. Para ambos casos se harán las siguientes suposiciones: 1- Las secciones transversales serán planas antes y después de la aplicación de las fuerzas externas. 2- El material es homogéneo y cumple con la ley de Hooke. 3. El módulo de elasticidad “E”, es igual a tracción que a compresión. 4- La viga será recta y su sección constante en toda su extensión. 5- Las cargas externas actúan en el plano que contiene la viga, según los ejes principales de la sección, y serán perpendiculares al eje longitudinal. 6- Las deformaciones se consideran pequeñas. 2.1- Deformaciones. Consideremos una viga simplemente apoyada en 1 y 2, como se muestra en la siguiente figura, sometida a un sistema de cargas, que generan en el tramo central, fuerza cortante cero, de tal manera que solo actúa el momento flector en el elemento “abcd” estudiado en el gráfico de deformaciones de la Fig. 2.1.a.
  • 13.
    13 Fig. 2.1.a De laobservación del grafico de deformaciones, se desprende lo siguiente: - Las fibras “bd” se alargan (tracción). - Las fibras “ac” se acortan (compresión). - Entre las dos anteriores existe la fibra “ef” que no cambia su longitud, debido a que no tiene tensión. Las fibra “ef” tiene la misma longitud original “dx”, debido a que está situadas en lo que se llama línea neutra. Si ahora trazamos la linea “c’d' ” por “f” paralela a “ab”, se aprecia que “ac” se acorta en “cc’” mientras que “bd” se alarga en “dd’ ”. Si consideremos ahora la fibra genérica “gh” situada a la distancia “y” de la línea neutra, podemos apreciar como se alarga la distancia “hk”: δgh = hk = y dӨ La deformación unitaria será entonces: ε = δ = y∙ dӨ = y∙ dӨ ε = y L ef ρ∙ dӨ ρ Si se aplica Ley de Hooke: σ = E ∙ ε = E . y ec. 2.1.a ρ Esta es la fórmula del esfuerzo normal por flexión “σ”, en función del radio de curvatura “ρ” y de la distancia a la fibra estudiada “y”, medida desde la línea neutra.
  • 14.
    14 2.2- Relación entrelas Fuerzas Externas y las Tensiones, fórmula de flexión: En el gráfico siguiente se muestra el diagrama de cuerpo libre del elemento de la fig. 2.1.a., en el espació. Se aprecian la superficie, línea y eje neutro, cuyas fibras no están sometidas a esfuerzos. Obsérvese que las cargas externas P y q, están contenidas en el plano del eje principal que pasa por Y, y son perpendiculares al eje X, por lo cual no hay componentes de estas en X y Z. Ahora definimos la fibra rayada situada a una distancia “y” del eje neutro, cuya sección transversal es dA, la cual esta sometida a las fuerzas normal σx∙dA, y a las fuerzas cortantes xy.dA y xz.dA. Las Fuerzas Externas son equilibradas por las Fuerzas Resistentes Internas, por lo tanto procedemos a plantear las respectivas ecuaciones de equilibrio: 1- ΣFX = 0 ∫ σx.∙ dA = 0 Las Fuerzas Externas no tienen componentes en la dirección X, sustituyendo σx por la ecuación ec.2.1.a encontrada anteriormente: _ E/ ρ. ∫ y∙dA = 0; E/ ρ es una constante ∫y∙dA = A.y es el momento estático del área de la sección. xz.dA xy.dA x.dA VR M MR
  • 15.
    15 _ _ (E/ ρ)∙ A. y = 0; para que esta expresión sea cero, y = 0, lo que indica que la línea neutra pasa por el centróide de la sección. 2- ΣFy = 0; ∫ xy. dA = VR ,esto representa la fuerza Cortante resistente en la sección: VR. 3- ΣFz = 0; ∫ xz.dA = 0, las fuerzas externas no tienen componente en Z y como además están aplicadas en el eje que contiene al centróide no generan momentos de torsión alrededor del eje X, por lo tanto para las condiciones supuestas: xz = 0 4- ΣMx = 0; ∫y. ( xz. .dA) - ∫z ( xy ∙ dA) = 0; se anulan las caras opuestas de la sección. 5- ∑My = 0; ∫z.(σx ∙ dA) = 0 Sustituyendo de nuevo la expresión ec. 2.1.a queda: E/ ρ ∫z. y. dA, este integral representa el producto de inercia respecto a dos ejes de simetría, por lo que vale cero. 6- ∑Mz = 0 El equilibrio de fuerzas alrededor del eje Z, si tiene fuerzas externas actuantes, representadas por el momento flector “M”. Este momento tiene su contraparte interno que es el momento resistente “Mr”. M = Mr = ∫y (σx∙dA); sustituyendo por la expresión ec. 2.1.a.: M = (E /ρ). ∫y2 ∙ dA En esta expresión el integral representa al momento de Inercia o de segundo orden de la sección, con respecto al eje neutro, por lo que la expresión se puede escribir así: M =(E / ρ). ⌶ . Utilizando de nuevo la expresión ec. 2.1.a.: E / ρ = M / ⌶ = σ / y Finalmente la fórmula del esfuerzo normal por flexión es: σ = M ∙ y ⌶ Donde: σ: es el esfuerzo normal por flexión en una fibra situada a la distancia “y” del eje neutro.
  • 16.
    16 M: es elmomento flector generado por las fuerzas externas, en la sección estudiada. y: representa la distancia a la que se encuentra la fibra estudiada del eje neutro. ⌶: momento de inercia centroidal, calculado con respecto al eje neutro. Esta expresión escrita de la siguiente manera: σ = (M / ⌶).y, nos permite apreciar que el primer término es constante, mientras que “y” es la variable, por lo tanto la ecuación anterior es una línea recta. La variación del esfuerzo normal por flexión a lo largo de una sección de viga es una línea recta. Para valores de y =0, el esfuerzo “σ“es cero (en el eje neutro), por el contrario para valores de “y” equivalentes a la mitad de la altura de la sección los valores de “σ“ serán máximos (en los extremos superior e inferior). Si se considera que “c” es la mitad de la altura de la sección es decir h/2, entonces: Si, y = c = h/2 σmax = M ∙ c ⌶ Para efectos de diseño de vigas, resulta muy útil definir el término Módulo Resistente de la sección “Z”, cuya expresión es: Z = ⌶ / c Este valor se encuentra tabulado en los catálogos de vigas comerciales, que se encuentran en los anexos de este trabajo. El esfuerzo normal máximo en función del módulo resistente será entonces: σmax = M Z Para una Sección Rectangular el gráfico de esfuerzo normal será:
  • 17.
    17 Corte longitudinal Linea neutra 22 bh CC max max C = 2 2 bh T = h Compresion. Tracción. b 2 3 c . . 2 3 c c T E.N. Sección Transversal C = h C = h Las fuerzas “C” y “T”, son las resultantes de compresión y tracción de los prismas triangulares generados por los esfuerzos normales respectivos. El momento resitente MR es producido por el par de fuerzas C y T. MR = σ ∙ b∙h ∙ 2 h = σ ∙ b∙h2 MR = σ ∙ z 2 2 3 6 B ∙ h3 Z = ⌶ = 12 Z = b ∙ h2 c h 6 2 2.3- VIGAS ASIMETRICAS: Para la viga de sección “T” mostrada mas adelante, si los esfuerzos admisibles del material son iguales a tracción que a compresión, simplemente se calculan los esfuerzos normales máximos en las fibras superiores e inferiores de la sección con las respectivas distancias “y1“ y “y2“ . En los casos de materiales que tienen diferente capacidad admisible a compresión que a tracción, como el caso del concreto armado, puede ser necesario encontrar alguna dimensión de la sección, para hacer que se alcance las resistencias admisibles simultáneamente a tracción y compresión, de tal manera que:
  • 18.
    18 h b y1 y2 t e T C σADM ≠σADM σ = M ∙ y ⌶ C T σADM = M ∙ y1 ; σADM = M ∙ y2 ⌶ ⌶ ① ② σc ADM = y1 y1 + y2 = h σT ADM y2 Para calcular alguna de las dimensiones b, t, ò e: Se igualan los Momentos Estáticos respecto a un eje común: _ _ A∙Y = ∑Ai ∙ yi [(h – e) t + e ∙ b ] y2 = e∙ b ( h - e) + (h - e) ∙ t = (h - e) 2 2
  • 19.
    19 2.4- ESFUERZO CORTANTEEN VIGAS Consideremos a continuación la viga simplemente apoyada de la fig. 2.4.a, la misma presenta una carga puntual “P” aplicada perpendicularmente al eje de la viga. La sección transversal de la viga esta compuesta por cuatro placas, inicialmente independientes entre si. Para el momento de aplicación de la carga “P”, la deformación por flexión que aparece en la viga, hace que las placas deslicen horizontalmente unas sobre otras. Si ahora asumimos que las placas tienen algún pegamento o soldadura, de tal manera que impida el deslizamiento anterior, instintivamente podemos visualizar la aparición de una fuerza horizontal entre las placas, que las mantendrá unidas entre si. Esta fuerza generada tiene las características de una fuerza cortante por ser tangente o paralela a la superficie de contacto entre las placas. Considerando la sección con las placas soldadas de la fig. 2.4.b, donde se aprecian los prismas de esfuerzo normal a compresión y tracción, podemos notar como las resultantes C1 y C2 de compresión, tienen diferente magnitud, por lo tanto en el plano “b” se produce una fuerza cortante Vb, que mantiene en equilibrio las dos placas superiores, de igual manera se cumple en las dos placas inferiores a tracción, por la simetría los cortes Vb = Vd. Las caras “a” y “e”, por ser libres no pueden generar fuerza cortante, mientras que en el plano “c”, se produce el mayor desequilibrio de fuerzas normales puesto que se suman las dos fuerzas de compresión superior con las dos de tracción inferior, las cuales deben ser equilibradas por la fuerza cortante Vc. Este ejemplo permite de antemano suponer que a diferencia de los esfuerzos normales, los esfuerzos cortantes presentan sus valores máximos en el eje neutro, mientras que los esfuerzos mínimos están en las fibras superiores e inferiores de la sección estudiada.
  • 20.
    20 dx y1 dv dA dA1 2 C b y dA y1 Fig.2.4.a Fig. 2.4.b. El corte en el plano b = d El corte en el plano a y e = 0 El corte en el plano c es el máximo C1 + C2 = C3 + C4 La parte izquierda de la figura de abajo representa la sección longitudinal del elemento diferencial “dx”, contenido entre las secciones 1 y 2, y los respectivos diagramas de esfuerzo normal en ambas secciones, considerando que estos diagramas difieren en intensidad, debido a la variación de magnitud de momento flector existente entre ambas secciones. En la sección transversal de la derecha, se establece una fibra situada a una distancia variable “y”, medida desde el eje neutro cuya sección transversal es dA. La distancia “y1” esta situada en el plano de separación entre dos placas, por ejemplo el plano “b”, el área rayada representa la placa superior. Si consideramos que “dv” es un diferencial de fuerza cortante resistente, que aparece entre las placas soldadas, por lo que matemáticamente se puede expresar como un esfuerzo cortante por un área de aplicación horizontal:
  • 21.
    21 dv = ∙(b∙dx) = dv / (b∙dx) (ec. 2.4.a) La diferencia de fuerzas horizontales generadas por los esfuerzos normales “σ” ubicados a ambos lados en las secciones 1 y 2 es: c c c c c dv = ∫y1 σ2. dA - ∫ y1 σ1. dA = M2 / ⌶ ∫ y1 y. dA – M1 / ⌶ ∫ y1 y. dA = (M2 – M1) / ⌶. ∫ y1 y.dA (M2 – M1) = dM Incremento diferencial del Momento Flector Sustituyendo en la la ec. 2.4.a.: c = dM . ∫ y1 y∙ dA ⌶∙(b.dx) dM / dx = V; relación encontrada anteriormente entre corte y momento flector. c ∫y1 y∙ dA = Me; momento estático o de primer orden. Finalmente la fórmula de esfuerzo cortante en vigas sustituyendo a “b” por “t” será: = V. Me ⌶.t : Esfuerzo cortante en una fibra situada a la altura “y1”, del eje neutro. V: Fuerza cortante actuante en la sección. ⌶: Momento de inercia de la sección con respecto al eje neutro. t: ancho de la zona cortada donde se evalúa el esfuerzo. Para no confundir con el ancho de la viga usaremos la letra “t”, b = t. Me: momento estático del área de sección de viga que genera el esfuerzo cortante a la altura “y1”. 2.4.1- Relación entre el Corte Vertical y el Corte Horizontal. La fuerza cortante que hasta ahora se estudiado es horizontal, sin embargo la fuerza tomada de los diagramas de corte es vertical. Para relacionar estas fuerzas consideremos el cubo diferencial de la figura siguiente:
  • 22.
    22 v h v h v h v h v.dy.dz h.dx.dz v.dy.dz h.dx.dz o Colocamos los esfuerzoscortantes indicados en las caras verticales y horizontales, como se aprecian en las figuras de la izquierda. Hacemos una sumatoria de momentos producidos por las fuerzas cortantes de la figura a la derecha, respecto del punto “o”, conseguimos: h . dx.dz.dy = v. dy.dz.dx h= v Los cortes horizontal y vertical son iguales. A este esfuerzo se le llama flujo cortante. 2.5- DISEÑO DE VIGAS. Uno de los objetivos más importantes del estudio de la resistencia de materiales y de las materias posteriores de diseño, es encontrar los elementos constitutivos de las estructuras, maquinas, etc., más económicos del mercado pero que cumplan con dos condiciones básicas: a- Resistencia: es la condición más importante, puesto que el perfil seleccionado debe ser capaz de soportar las cargas externas a las que va a estar sometido, con un cierto grado de seguridad o confianza. Esta seguridad se logra mediante los factores de seguridad empleados, los cuales varían de acuerdo al sistema normativo o teoría de cálculo del país donde se aplique. Para este curso, a manera de introducción, se considera la teoría elástica, donde el factor de seguridad es un número que rebaja los esfuerzos críticos del límite elástico, y los convierte en admisibles. Para otros diseños más específicos y avanzados, se utilizan teorías más modernas, como la de los estados
  • 23.
    23 límites, donde elfactor de seguridad depende de la relación de cargas externas permanentes y variables, del elemento a diseñar y de los materiales empleados. b- Rigidez: es la condición que permite que el uso del elemento estructural, se haga de manera agradable, con una satisfactoria sensación de seguridad. Esta condición esta asociada con las deformaciones de los elementos estructurales, de tal manera que estas se mantengan por debajo de los límites aceptados por la normativa empleada. Una excesiva deformación de una viga, aún cuando esta cumpla con la condición de resistencia, puede crear una sensación visual de inseguridad para el usuario. También las grandes deformaciones pueden ocasionar el daño de elementos no estructurales débiles o susceptibles, tales como ventanales de vidrio, puertas, tabiques, etc., o impedir el adecuado movimiento de piezas de una maquinaria. Esta condición también esta asociada con las vibraciones sufridas por los elementos diseñados, al ser sometidos a las cargas externas principalmente variables, debidas a personas, vehículos, etc. 2.5.1. Secciones Económicas. En la figura 2.6. se observa a la izquierda fig. 2.6.a. una sección de viga rectangular, cuya área es A = bxh. Si consideramos cargas verticales, el eje neutro es horizontal y esta situado en el centróide del área. La orientación es importante para aprovechar la condición de máxima resistencia estática de la sección, representada por el momento de inercia, de modo que se hace coincidir el eje neutro con el eje de mayor inercia de la sección, en este caso es el eje x-x. Una sección ideal es aquella que permite utilizar toda el área “A”, en dos franjas delgadas distanciadas lo mas posible del eje neutro para lograr el mayor momento de inercia, puesto que así la mayor parte de los diferenciales de área tienen una distancia mayor al eje centroidal, en este caso el momento de inercia seria varias veces mayor que el de la sección rectangular. Pero esta sección no se puede fabricar en la práctica, surgiendo entonces la sección “I” o doble tee, la cual incorpora un alma que conecta las dos alas de la sección ideal fig. 2.6.c, d y e.
  • 24.
    24 Existe en elmercado una amplia gama de perfiles, con características diferentes, que permiten su utilización para fines específicos. Entre los perfiles laminados en caliente que se consiguen en el mercado nacional, figuran los de ala estrecha IPN e IPE (fig. 2.6.c.), los de ala ancha HEA Y HEB (fig. 2.6.d.). Entre los perfiles laminados en frió se encuentran los Properca (fig.2.6.e.), que se diferencian de los anteriores en que la unión entre el alma y ala se realiza mediante una electro soldadura continua, existiendo las opciones de ala estrecha denominados ”VP” y los de ala ancha denominados “CP”. Ambos se fabrican con acero ASTM – A- 32. Además existen los perfiles estructurales tubulares, con características diferentes a los anteriores, y con un menor aprovechamiento de las propiedades estáticas de la sección, pero de mejor apariencia exterior, denominados perfiles ECO Conduven (fig.2.6.f). Vienen en tres formas: rectangular, cuadrado y circular, y son fabricados con acero ASTM–A-500 de mayor resistencia de cedencia. Desde el punto de vista de su utilización, los perfiles de ala estrecha al igual que los tubos rectangulares son colocados principalmente como vigas, debido a su característica de mucha mayor inercia del eje x-x, respecto al eje y-y. Mientras que los perfiles de ala ancha al igual que los tubos cuadrados y circulares, son utilizados principalmente como columnas, debido a sus propiedades de inercia más semejantes en ambos sentidos, lo cual reduce las posibilidades de pandeo de estos elementos flexo-comprimidos.
  • 25.
    25 2.5.2. Método dediseño por Resistencia. 1- Primero se escoge del diagrama de momentos de la viga el mayor momento flector actuante, positivo o negativo. Para los efectos de este diseño el perfil soporta el mismo esfuerzo admisible a tracción que a compresión. 2- Con el momento máximo y el esfuerzo normal admisible del material se calcula el módulo resistente mínimo que debe tener el perfil, con la fórmula: Zmin ≥ Mmax σadm 3- Se busca en las tablas de perfiles aquellos que tengan el módulo resistente más cercano por encima, del mínimo calculado Zmin. 4- Se hace una verificación, calculando un momento flector producido por la carga debido al peso propio de la viga en el mismo sitio donde ocurrió el momento máximo por cargas externas y se le suma a este. Con este nuevo momento se calcula un Zpp min. Si este nuevo módulo resistente todavía esta por debajo del módulo del perfil, este cumple por peso propio, en caso contrario, se escoge el perfil inmediatamente superior. Solo para aquellos casos donde los módulos resistentes mínimos calculados (Zmin) y del perfil están muy cercanos, podría no cumplirse la condición. En la mayoría de los casos esta condición no es crítica. 5- Finalmente se hace una verificación por corte, que consiste en calcular el esfuerzo cortante máximo actuante en el eje neutro de la sección para compararlo con el esfuerzo cortante admisible del material. Si este ultimo es mayor que el primero, el perfil cumple, en caso contrario, se tendrá que escoger el perfil inmediatamente superior. Para la aplicación de la fórmula de esfuerzo, se deberá buscar del diagrama de fuerza cortante, el máximo valor absoluto de fuerza, y de las tablas de perfiles las características de tamaño e inercia respecto al eje xx, del perfil escogido: adm ≥ act = Vmax .Me Іxx . t En la gran mayoría de los casos esta condición no es crítica, y el diseño esta regido casi siempre por el esfuerzo normal.
  • 26.
    26 CAPÍTULO III DEFORMACIÓN ENVIGAS 3.1- METODO DE DOBLE INTEGRACIÒN. Consideremos un elemento diferencial de viga, con una deformación por flexión exagerada, como el que se muestra en la siguiente figura: Tg (ө) = dy ; como la curva es muy suave: Tg (ө) ≈ ө dx ө = dy derivando la expresión anterior: dө = dy2 dx dx dx2 Por otro lado: ds = ∙dө; pero ds ≈ dx dx = ∙dө 1 = dө dx Relacionando las dos fórmulas anteriores. ① 1 = dө = dy2 ; recordando la fórmula deducida anteriormente: 1 = M ② dx dx2 E. Igualando ① y ② resulta: E. ∙ dy2 = M(x) dx2
  • 27.
    27 Esta expresión sedenomina ecuación diferencial de la curva elástica y sus términos son los siguientes: E. : Rigidez a Flexión, normalmente constante a lo largo de la viga. M(x): ley de momentos flectores, en función de la distancia X. Para darle una utilidad práctica a esta ecuación, se hacen dos integraciones, considerando que E.I es constante: 1- La primera ecuación permite conocer la pendiente de la elástica en cualquier punto Ecuación de la pendiente: dy / dx = ө E dy = ∫ M(x).dx + C1 dx 2- La segunda integración permite conseguir la deflexión o abcisa de la curva elástica en cualquier punto situado a la distancia “x” del origen de coordenadas “xy” Ecuación de la flecha: “y” E y = ∫∫ M(x).dx + C1∙X + C2 Las constantes de integración C1 y C2, se consiguen aplicando una condición de frontera cinemática o condiciones de borde, para lo cual se grafica la curva elástica aproximada de la viga y se observan aquello puntos donde es conocida bien sea la deflexión o el giro. Estos puntos de valores conocidos son los apoyos, de tal manera que un apoyo fijo o un rodillo, harán que la deflexión en ese punto sea cero (y=0), mientras que un empotramiento además de restringir la flecha también impide el giro “ө”, creando así las condiciones de borde: y = 0 y ө = 0. 3.2- MÉTODO DEL ÁREA DE MOMENTOS. Se basa en relación existente entre el Momento Flexionante y la rotación o giro en cualquier punto de un miembro sometido a Flexión. La siguiente figura muestra una
  • 28.
    28 porción de vigacargada con su diagrama de momentos dividido entre la rigidez E.I. El elemento diferencial de viga se encuentra entre los puntos 3 y 4. Ecuación de Flexión: 1 = M E. t En el siguiente gráfico se amplia el elemento diferencial y se observan las tangentes a la elástica trazadas en 3 y 4, las cuales son perpendiculares a los radios de curvatura “ ” respectivos: se puede entonces escribir: ds = ∙dө Entonces junto con la ecuación de flexión anterior: 1 = M = dө ө E ds
  • 29.
    29 ò también dө= M ds; pero como la curvatura es suave: ds ≈ dx E Entonces: ① dө = M dx E Entre 1 y 2 el incremento de la pendiente será: ө2 X2 X2 ө 1,2 = ∫ dө = 1 ∫ M.dx ; ө1,2 = 1 ∫ M.dx ө1 E X1 E X1 Por otro lado del primer gráfico dƚ = X∙dө; y por incrementos sucesivos de “dƚ “: ө2 ƚ2/1 = ∫ dƚ = ∫ X∙dө , sustituyendo por ①: ө1 X2 ƚ2/1 = 1 . ∫ X∙Mdx E X1 Para “x1“, el Integral es cero, por lo tanto si Mdx = dA y “X” representa la distancia a el punto 2, la expresión integral representa el momento de primer orden del área del diagrama de momentos respecto del punto 2. A continuación se enuncian los dos teoremas del método, el primero de los cuales sirven para calcular el ángulo de desviación entre dos puntos, y el segundo calcula la desviación lineal vertical entre los mismos. Teorema 1: La variación de la pendiente entre las tangentes trazadas a la elástica en dos puntos cualesquiera A y B es igual al producto de 1/E por el área del diagrama de Momentos Flectores entre estos dos puntos. өAB = 1 ∙ (Área)AB E A continuación se muestra la convención de signos.
  • 30.
    30 Teorema 2: Ladesviación de un punto B, respecto de la tangente trazada a la elástica en otro punto cualquiera A, en dirección perpendicular a la viga inicial, es igual al producto 1/E por el Momento respecto de B del área de la porción del diagrama de Momentos entre A y B. En anexo A se presentan unas tablas con las áreas de diferentes diagramas de momento y la distancia centroidal X. _ ƚB/A = 1 (Area)AB ∙ XB EI
  • 31.
    31 3.3- MÉTODO DESUPERPOSICION O SOBREPOSICION. Este es un método práctico que se utiliza para conseguir deflexiones, ángulos de giro y hasta fuerzas internas. Se fundamenta en el hecho de encontrar las deformaciones producidas por diferentes cargas aplicadas simultáneamente sobre la viga, sumando el efecto que de manera independiente produciría cada una de ellas. Para ello se utilizas las tablas del anexo B, en ellas se consideran vigas elementales de un solo tramo sometidas a diferentes tipos de cargas y de apoyos. Por otros métodos se calculó las flechas, giros, momentos y cortes en puntos relevantes, e inclusive se da la ecuación de la curva elástica. Este método es parte de un concepto más general utilizado en mecánica de sólidos llamado Principio de Superposición. Este principio es válido cuando la cantidad que se desea calcular es función lineal de las cargas aplicadas. En el caso de las vigas, la naturaleza de la ecuación diferencial de la curva elástica y sus respectivas integraciones para calcular deformaciones, son ecuaciones lineales por que todos los términos que contienen las deformaciones (y, ө) están elevados a la primera potencia; por lo tanto la solución de estas ecuaciones, para varias condiciones de carga, puede resolverse sumando algebraicamente cada una por separado. En vigas este principio es valido si se cumple lo siguiente: 1- Se aplica en materiales linealmente elásticos es decir vale la ley de Hooke. 2- Las deformaciones son pequeñas. 3- La presencia de deformaciones no altera la acción de las cargas aplicadas. A estos sistemas se les llama Sistemas Estructurales Lineales, por que la ecuación diferencial de la curva de deflexiones es lineal. Las tablas empleadas estas dividas en dos grandes grupos, vigas de un tramo simplemente apoyadas y en cantiliver. Para la solución de problemas prácticos, se debe manipular estas vigas elementales de tal manera que se puedan conseguir todos los tipos de cargas existentes en la viga real, pudiéndose cambiar la orientación de la viga o el sentido de las cargas, siempre y cuando no se altere la esencia física de los resultados buscados.
  • 32.
    32 En la vigamostrada a continuación, queremos calcular la flecha o deflexión en el extremo “A”, por superposición. La viga original en cantiliver, tiene tres cargas externas. Por lo cual se generan tres casos de carga, los cuales sumados producen el efecto de la viga original. Para cada caso buscamos en las tablas respectivas la deflexión en el extremo A. Las deflexiones hacia arriba son positivas y hacia abajo negativas. 1 A= MB.L2 2EI 2 A= - q.a3 (4L – a) 24EI 3 A= - P.c2 (3L – c) 6EI La deflexión total en A es: T A = 1 A + 2 A + 3 A
  • 33.
    33 CAPÍTULO IV VIGAS HIPERESTÁTICAS. Comose describió en el capitulo 1.1.2, las vigas hiperestáticas o estáticamente indeterminadas, son aquellas que tiene al menos un grado de indeterminación, esto equivale a decir que existe como mínimo una reacción sobrante, a estas reacciones se les llama redundantes estáticas. Si estas reacciones son suprimidas de la estructura original por algún método de cálculo, a la nueva estructura se le llama estructura liberada o también estructura primaria. En el cálculo de este tipo de vigas, las ecuaciones de equilibrio estático no son suficientes para encontrar las reacciones externas, puesto que solo se disponen de tres; las dos sumatorias de fuerzas y la de momentos. Si la viga tiene cargas verticales solamente, la ecuación de sumatoria de fuerzas en X, siempre dará reacciones nulas en ese sentido. Para poder generar un número adicional de ecuaciones que coincida con el grado de indeterminación, se recurre a las ecuaciones de deformación de la viga. A estas ecuaciones se les llama ecuaciones de deformaciones compatibles, debido a que las mismas reflejan o son compatibles con las deformaciones que los apoyos de la viga original le permite, según la curva elástica de la viga. Para solución de este tipo de vigas estudiaremos dos métodos: 4.1- Método de doble integración. Primero se generan las ecuaciones de deformaciones compatibles, tantas como grado de indeterminación tenga la estructura, mediante un procedimiento similar al descrito para calcular las deformaciones en vigas isostáticas. En este caso las condiciones de borde o de frontera cinemática encontradas, tendrá que ser igual al grado de indeterminación (G.I.) más dos, para poder encontrar los valores de las dos constantes de integración C1 y C2.: No Condiciones de borde = G.I + 2
  • 34.
    34 Con estas ecuacionesgeneradas por deformaciones, más las ecuaciones de equilibro respectivas, se tendrá el número suficiente para calcular todas las reacciones externas de la viga. En el ejemplo 8.2.1 del capitulo de problemas, se puede apreciar este procedimiento. 4.2- Método de Superposición. A continuación enumeramos los pasos a seguir con este método: 1- Seleccionamos tantas reacciones redundantes como grado de indeterminación tenga la viga, tratando siempre que la viga primaria sea estable y presente estados de carga contenidos en las tablas de superposición. 2- Asumimos las reacciones anteriores como cargas externas. 3- Se plantea un total de casos de carga o sub-problemas equivalente al número de cargas externas más las reacciones escogidas como redundantes. 4- Se asocia un caso de deformación, con cada reacción redundante, es así como una reacción tipo “fuerza” se corresponde con una deformación tipo “flecha o deflexión”, mientras que una reacción tipo “momento” se asocia con una deformación tipo “giro”. Estas deformaciones deben ocurrir en el mismo punto de aplicación de las reacciones redundantes. 5- Se plantean tantas ecuaciones de deformaciones compatibles como sea el número de reacciones redundantes. Para ello se plantea que las deformaciones asociadas tengan el valor de deformación de la viga original y su curva elástica en los puntos específicos, que suele ser en los apoyos 6- Se tendrá un número equivalentes de ecuaciones y de reacciones redundantes. Se resuelve el sistema, dando como resultado los valores de las reacciones redundantes. 7- Se encuentran las demás reacciones no redundantes, por las ecuaciones de equilibrio estático. A continuación se muestra un ejemplo de escogencia de dos tipos diferentes de reacciones redundantes para una misma viga. En el primer caso se resuelve el sistema
  • 35.
    35 por las tablasde vigas en cantiliver, en el segundo por las tablas de vigas simplemente apoyadas.
  • 36.
    36 CAPÍTULO V PROBLEMAS DEFUERZA CORTANTE Y MOMENTO FLECTOR. 5.1- CÁLCULO DE FUERZA CORTANTE Y MOMENTO FLECTOR. 5.1.1- Calcular la Fuerza Cortante “V” y el Momento Flector “M”, en la sección 1-1, de la Viga simplemente apoyada mostrada. Como la viga es simétrica, podemos calcular las reacciones así: RA = RB ; ∑Fy = 2.RA RA = ∑Fy 2 RA = RB = 6.000 Kg. = 3.000 Kg. 2 El Segmento de la viga situado a la izquierda de 1-1, presenta 2 cargas externas: RA y 1.500 Kg. Para calcular la Fuerza Cortante en la sección 1-1, sumamos las fuerzas externas a la izquierda de la sección 1-1. Obsérvese que V1-1 se definió positivo. Izq V1-1 = ∑Fi 1-1 V1-1 = 3.000 – 1.500 = 1.500 Kg. Para calcular el Momento Flector en la sección 1-1, sumamos los Momentos de las fuerzas externas situadas a la izquierda de la sección 1-1. Obsérvese que M1-1 se definió positivo. Izq M1-1 = ∑Mi 1-1 M1-1 = 3.000 × 2 – 1.500 x 1m M1-1 = 4.500 Kg – m
  • 37.
    37 5.1.2- Para laviga mostrada, calcule el valor de la Fuerza Cortante y del Momento Flector en la sección 2-2. Carga a la izquierda de 2-2 con el corte V2-2 y M2-2 definidos como (+) Cálculo de Reacciones: ∑Mb = 0 1 × 10 – 5 × 2 × 1 + 5 + 4 Rc – 5 × 10 = 0 Rc = 11,25 Kn ∑Fy = 0 -10 + Rb – 5 × 2 + 11,25 – 10 = 0 Rb = 18,75 Kn Izq La Fuerza Cortante en 2-2 será: V2-2 = ∑Fc 2-2 = -10 + 18,75 – 5 × 1.5 V2-2 = 1,25 Kn El Momento Flector en 2-2 será: Izq M 2-2 = ∑Mc 2-2 = -10 × 2,5 + 18,75 × 1,5 – 5 x 1,5 × 1,5 2 M2-2 = - 2,5 Kn. m 5.1.3- Calcule el valor de la carga “P” y del momento “Md”, sabiendo que en la sección 3-3 el corte es de 1.250 Kg. y el Momento Flector es de -666,67 Kg-m
  • 38.
    38 En este casotrabajaremos con la porción de viga situada a la derecha de la sección 3-3, para no tener que calcular las reacciones en “A”. Obsérvese que se definen V3-3 y M3-3 positivos para el lado derecho. Calculo de Y1 = 3.000 = Y1 Y1 = 1.000 Kg/m 3 1 Der V3-3 = ∑Fi 3-3 = 1.000 × 1 + P = 1.250 P = 750 Kg 2 Los momentos flectores producidos por la carga triangular yla fuerza “P” son negativos, respecto a 3-3, mientras que MD es positivo. Der M3-3 = ∑Fi 3-3 = - 1.000 × 1 × 1 × 1 – 2 × 750 + MD= - 666,67 2 3 MD = 1.000 Kg - m 5.1.4- La Viga mostrada representa una losa de fundación de concreto armado, las cargas q1 y p1 representan el peso de la edificación mientras que la carga uniforme q2 representa la reacción del suelo contra la losa, como se muestra en la Figura. a. Determine el valor de q2 para alcanzar el equilibrio. b. Determine los valores de corte y Momento Flector en las secciones a-a y b-b. a. Las cargas son simétricas. Para encontrar q2, hacemos equilibrio de fuerzas verticales. ∑Fy = 0 12m x q2 – 2 × 3m × 10 ton/m – 25 ton = 0 q2 = 7 ton/m
  • 39.
    39 b. La seccióna-a, representa el borde de la edificación. Izq Va-a = ∑Fi = 1m × 7 ton Va-a = 7 ton a-a m Izq Ma-a = ∑Mi = + 7 ton x 1m × 1m Ma-a = 3,5 ton.m a-a m 2 La sección b-b representa el centro de la losa y el apoyo de una columna Para calcular el corte se presentan 2 casos: - El primero es el corte a la izquierda de la sección b-b, donde la carga P1 no aparece. Izq Va-a = 6m × 7 ton – 3m × 10 ton = 12 ton m m Izq Va-a = 12 ton - El segundo es el corte a la derecha de la sección b-b, donde si actúa la carga puntual P1. Der Va-a = 6m × 7ton – 3m ×10 ton – 24 ton m m Der Va-a = -12 ton La diferencia del corte entre estos dos puntos se corresponde con el valor de la carga puntual. Para calcular el Momento Flector en b-b, estos son iguales tanto a la izquierda, como a la derecha de la sección. Mb-b = 6m × 7 ton × 3,5m – 3m × 10 ton × 3,5m m m Mb-b = 42 ton∙m
  • 40.
    40 5.1.5- La Vigaprincipal AB, soporta un elemento secundario CDE, con una carga puntual en el extremo. Determine el valor del corte y del Momento Flector en a-a para la viga principal. Por equilibrio determinamos los valores de Md y Dy, sobre la viga principal (ver diagrama de cuerpo libre). Elemento DE: ∑Fy = o+↑ Dy – 50 Kn = 0 Dy = 50 Kn ∑MD = 0+ MD – 50Kn × 1,5 m = 0 MD = 75 Kn × m Consideramos ahora la viga principal bajo el efecto de las dos fuerzas calculadas, donde Dy representa la fuerza cortante para los miembros DE y AB, por tratarse de una carga perpendicular al eje de la viga, mientras que para el miembro CD, representa una fuerza axial de tracción. ∑Ma = 0 – 3m × 50 Kn – 75 Kn × m + 6m × By = 0 By = 37,5 Kn ∑Fy = 0 Ay – 50 Kn + 37,5 Kn = 0 Ay = 12,5 Kn Corte en a-a: Va-a = 12,5 Kn Momento Flector en a-a Ma-a = 2m × 12,5 Kn ; Ma-a = 25 Kn∙m
  • 41.
    41 2,6m 2,5m 2,5m 2m . . . 5.1.6-La viga de peso despreciable mostrada, representa un sistema de elevación, mediante un cable y una polea sin fricción en C, que levanta una carga W = 2.000 Kg. a. Hacer el diagrama de cuerpo libre de cada barra. b. Encontrar el valor del Corte, Momento Flector y Fuerza Axial de la viga a la izquierda y derecha de “D”. c. Encontrar el valor del Corte, Momento Flector y Fuerza Axial del miembro “DE”. Tg Ө = 2,6 Ө = 30 o 4,5 En la polea c, la tensión del cable es igual a W: ∑Fx = 0 Cx – T × cos 30 o = 0 ; Cx = 2.000 Kg × cos 30 o = 1.732,0508 Kg ∑Fy = 0 Cy + T × sen Ө - T = 0 ; Cy = 1.000 Kg En el punto E: Tx = 2.000 × cos 30 o = 1.732,05 Kg Ty = 2.000 × sen 30 o = 1.000 Kg En la barra DE: ∑Fy = 0 Dy = Ty = 1.000 Kg ∑Fx = 0 VDE = Tx = 1.732,05 Kg De ∑MD = 0 M D = 2,6m × 1.732,05 Kg = 4.503,33 Kg - M Calculamos las Reacciones Externas como una viga simplemente apoyada
  • 42.
    42 ∑Ma = 0; -7m × 2.000 Kg + 5 By = 0 By = 2.800 Kg ∑Fy = 0 ; Ay + By – 2.000 = 0 Ay = -800 Kg ∑Fx = 0 ; Ax = 0 Con el tramo AD Izq Izq ∑Fx = 0 Ax - DX = 0 DX = 0 No hay Fuerza Axial Izq Izq ∑Fy = 0 Ay - VD = 0 VD = -800 Kg Corte negativo Izq Izq iZQ ∑MD = 0 -2,5 mAy + MD = 0 MD = 2,5 m (-800 Kg) MD = - 2.000 Kg.m El Momento Flector es negativo contrario al positivo supuesto. Con el Tramo DC Der Der ∑Fx = 0 Dy - Cx = 0 DX = 1.732,05 Kg Hay fuerza axial de compresión Der Der ∑Fy = 0 VD + By – Cy = 0 VD = Cy – By = 1.000 Kg – 2.800 Izq VD = - 1.800 Kg El corte a la derecha es contrario al supuesto que era positivo Der Der ∑MD = 0 -MD + 2,5m × By – 4,5m × Cy = 0 MD = 2.500 Kg.m En estos casos el corte y el momento flector fueron asumidos positivos en el diagrama y colocados dentro de las fórmulas de estática como fuerzas de equilibrio. Con el Miembro DE: ∑Fy = 0 ; Dy – Ty = 0 Dy = 1.000 Kg.f Fuerza Axial de compresión. ∑Fx = 0 ; Tx – VDE = 0 VDE = 1.732,05 Kg Corte horizontal DE DE ∑MD = 0 ; MD - 2,6 m × Tx = 0 MD = 4.503,33 Kg.m Momento Flector Verificación del Equilibrio en el Nodo D
  • 43.
    43 Izq Der ∑Fx =0 DX - Dx + VDE = 0 0 – 1.732,05 + 1.732,05 = 0 Izq Der ∑Fy = 0 VD - VD - Dy = 0 -800 – (-1.800) – 1.000 = 0 Der Izq Der ∑MD = 0 MD - MD - MD = 0 2.500 – (-2-000) – 4.503,33 0 * Debido a la aproximación de Ө = 30°y en realidad es Ө = 30,018367 5.2- DIAGRAMAS DE FUERZA CORTANTE Y MOMENTO FLECTOR EN VIGAS.
  • 44.
    44 2 m 2m 2 m 2 m 5.2.1- Hacer el diagrama de Fuerza Cortante y de Momento Flector de la viga simplemente apoyada mostrada. Definimos los tramos originados por las cargas puntuales, en este caso 4. Por ser la viga simétrica de cargas verticales las reacciones externas son: Ay = Ey = ∑Fi/2 = 500 Kg Corte: Secuencia de izquierda a derecha. El corte de arranque en A es el valor de la reacción, de signo + Ay Para todos los tramos: La relación entre carga y corte son: Carga: 0 Pendiente: 0 Intensidad: ctte Izq AB VB = VA + (Área)carga = 500 + 0 = 500 Kg Der Izq VB = VB + P1 = 500 – 200 = 300 Kg Izq Der BC Vc = VB + (Área)carga = 300 + 0 = 300 Kg Der Izq VC = VC + P2 = 300 – 600 = - 300 Kg Igual para los demás tramos. Obsérvese que la carga puntual produce un salto en el diagrama de corte con el mismo valor de la carga; si la carga es negativa el escalón de la derecha baja y viceversa. Momento Flector: El Momento de arranque en A es cero, puesto que el apoyo articulado no genera momento, para los tramos AB y BC, la relación entre Corte y Momento son: Corte: (+) Pendiente: (+) Intensidad: ctte AB MB = MA + (Área)corte = 0 + 500 x 2 = 1.000 BC MC = MB + (Area)corte = 1.000 + 300 × 2 = 1.600 Para los tramos CD y ED la relación entre Corte y momento son:
  • 45.
    45 3,00m 3,00m 5m1m Corte: (-) Pendiente: (-) Intensidad: ctte CD MD = MC + (Área)corte = 1.600 - 300 × 2 = 1.000 DE ME = MD + (Área)corte = 1.000 – 500 × 2 = 0 Cuando no hay fuerzas tipo par, aplicadas en la viga, el diagrama de momentos no tiene saltos. 5.2.2- Trace los Diagramas de Corte y Momento Flector de la viga en cantiliver mostrada. Calculo de las reacciones: R1 = 2.500 × 300 = 3.750 2 ∑Fy = 0 Ay – R1 = 0 Ay = 3.750 Kg ∑MA = 0 MA – 5m × 3.750 Kg = 0 m MA = 18.750 Kg-m Corte:
  • 46.
    46 1m 2m 2m2m 2m X1 Relación Carga – Corte Tramo AC: Carga: 0 Pendiente: 0 Intensidad: ctte Tramo CB: Carga: Triang Pendiente: (-) Intensidad: crece negativamente. VA: Reacción: 3.750 Kg AC VC = VA + (Área)carga = 3.750 Kg + 0 = 3.750 Kg BC VB = Vc + (Área)carga = 3.750 Kg – 3.750 Kg = 0 Momento: Relación Corte – Momento Tramo AC: corte: rectang Pend: (+) Intens.: ctte Tramo CB: corte: Parab. Pend: (+) Intens.: Decrece. MA = -18.750 de signo negativo, visto como Momento Flector. AC MC = MA + (Área) corte = -18.750 + 3.750 × 3 = -7.500 Kg-m CB MB = MC + (Área)corte = -7.500 + 2/3 x (3.750 × 3) = 0 5.2.3- Trace los diagramas de Fuerza Cortante y Momento Flector de la viga mostrada a continuación, articulada en el perno E.
  • 47.
    47 Cálculo de Reacciones: TramoEF: ∑ME=0 - 3.000 × 2 × 1 + 2 RF = 0 Fy = 3.000 Kg Todo el sistema: ∑MB = 0 500 – 2 × 1.000 – 6 × 12.000 + 4 RD + 8 × 3.000 = 0 Dy = 12.375 Kg Todo el sistema: ∑Fy = 0 By – 1.000 + 12.375 – 4 × 3.000 + 3.000 = 0 By= - 2.375 Kg Calculo del corte cero en el punto “P” por dos métodos: - Por relación de triángulos: 9.000 = 3.000 X1=3m X1 4 - X1 - Por definición de Fuerza Cortante como la sumatoria de fuerzas a la izquierda: X: variable V1-1 = 9.000 Kg – (X). 3.000 Kg/m = 0 X = 3m En los puntos de corte cero, el diagrama de Momento Flector presenta valores máximos, bien sea positivo o negativo.
  • 48.
    48 2m 1m 1,50m 2 5.2.4- Tracelos Diagramas de Corte y Momento Flector para la viga mostrada. Reacciones: Miembro D,E,F: 2.400 = Y1 Y1 = 2.400 = 600 Kg/m 4 1 4 R1 = 3 m × 600 Kg/m = 1.800 Kg R2 = (2.400 – 600) Kg × 3 m = 2.700 Kg m 2 ∑MD = 0 ; 2 Ey – 1,50 × R1 – 2 × R2 = 0 Ey = 4.050 Kg Todo el sistema: ∑MB = 0 – 4 m×1.200×1 m–2 m×1.200 Kg + 3Cy–4m×2.400 Kg/m x5,67m + 6Ey = 0 2 Cy = 3.366,67 Kg ∑Fy = 0 By – 4 m ×1.200– 1.200 +Cy – 4 m ×2.400 Kg/m + Ey = 0 By = 3.383,33 Kg
  • 49.
    49 x 2 Calculo del valorde la distancia X1: 2.183,30 = 216,30 X1 = 1.819 m (por relac. de triang.) X1 2 - X1 Calculo del valor de la distancia X2, por definición de fuerza cortante: X = variable Ecuación de la Recta: y = A – X Y = 2.400 ∙ X Y = 600 X 4 R = X ∙ Y = X ∙ (600X) R = 300 X2 2 2 VC-C = 0 VC-C = 749,97 – R = 749,97 – 300 X2 = 0 X2= 1,58 m 5.2.5- Construya los Diagramas de Fuerza Cortante y Momento Flector de la viga de la fig. 5.2.5, tanto del elemento principal A-H, articulada en “B” y “F”; como del elemento secundario “DIJ”. Cálculo de reacciones: la fig. 5.2.5-b, muestra el diagrama de cuerpo libre. Tramo A∙B ∑MB = 0 500 × 1,50 × 0,75 – 1,5 RA = 0 RA= 375 Tramo F – H : 900 = ∆y ∆y = 300 Y1 = 200 + 300 = 500 3 1 R1 = 500 × 2 = 1.000 R2 = 600 × 2/2 = 600 ∑MF = - 1.000 × 1 – 600 × ∙ 2 / 3 ∙ 2 + 2RG + 3 ∙ 5000 = 0 RG= - 6.600 Kgf Todo el Sistema: ∑MC = 0
  • 50.
    50 375×3+500×4,50×0,75–1.000×2+3RE –600×4,50–1.350×5–6.600×6+7×5.000 =0 3 RE – 1.5487,50 = 0 RE= 5.162,50 Kgf ∑Fy = 0 375 – 2.250 + RC – 1.000 + 5.162,50 – 600 – 1.350 – 6.600 + 5.000 = 0 RC = 1.262,50 Kgf La fig. 5.2.5-b, muestra los diagramas de corte y momento del elemento secundario IJ, que no tiene fuerza cortante, V1 actúa en este miembro como fuerza axial de compresión.
  • 51.
    51 CAPÍTULO VI PROBLEMAS DEESFUERZOS EN VIGAS. 6.1- CÁLCULO DE ESFUERZO NORMAL Y CORTANTE EN VIGAS. 6.1.1- Calcular el Momento Flexionante y el esfuerzo de flexión máximo, de un alambre de diámetro d = 2 mm, si se dobla sobre un cilindro de diámetro D = 40 cm, considere E= 2 x 106 Kg/cm2 El radio del eje neutro será: ρ = r + d = 40 cm + 0,2 cm = 20,1 cm 2 2 2 La deformación unitaria máxima en el borde del alambre (fibras a). Є = Y = 0,1 cm = 0,004975 ρ 20,1 cm El Momento Flector será: M = E ∙ ⌶EN = 2 x 106 Kg/cm2 x 0,00007854 cm4 ρ 20,10 cm M = 7,81 Kg – cm El esfuerzo normal máximo por Flexión: σ = E. ε = 2 ∙ 106 Kg x 0,004975 cm2 σ = 9.950 Kg/cm2 6.1.2 Para la sección transversal de una viga rectangular, tal como se muestra en la figura siguiente, el Momento Flector es de M=2.800 Kg–m y la Fuerza Cortante es V=7.800 Kg, con cargas verticales. Calcular: a. El esfuerzo máximo normal por flexión. b. El esfuerzo normal por flexión en la fibra “f” c. El máximo esfuerzo cortante. d. El valor del esfuerzo cortante en la fibra “f”. e. Dibuje los diagramas de esfuerzo normal y cortante (σ y Τ).
  • 52.
    52 f f Colocamos el ejeneutro en el centro geométrico de la sección, y debido a que las cargas son verticales, el eje neutro es horizontal según el eje Z. a. El esfuerzo máximo normal ocurre en las fibras más alejadas del eje neutro ① y ②, en la formula de flexión y = c σ① = M ∙ C = 2.800 Kg – m x 100 cm/m x 15 cm ІEN 45.000 cm4 σ① = 93,33 Kg/cm2 ⌶E = 20 cm x 30 cm 3 = 45.000 cm 4 12 b. En la fibra “f” la distancia “y” de la fórmula de flexión es 7 cm. σF = 2.800 kg – m x 100 cm/m x 7 cm σF = 43,56 kg/cm2 45.000 cm4 c- El Esfuerzo Cortante máximo ocurre en el eje neutro, por lo tanto el área que produce el momento estático es la zona rayada indicada en la figura siguiente: max = EN = V ∙ Me = 7.800 Kg x 2.250 cm3 ⌶EN∙t 45.000 cm4 x 20 cm Τmax = 19,50 Kg/cm2 t = 20 cm (ancho de la zona cortada) _ Me= ∑Ai ∙ Yi _ Me = A1 x Y1 = 15 cm x 20 cm x 7,5 cm = 2.250 cm3
  • 53.
    53 max = 93,33 C f= 43,56f Paràbola 2do. grado f f = 15,25 = 19,50 max = f d. En la fibra “f”, el área que produce Momento Estático o de primer orden esta por encima de dicha fibra, como se muestra: _ Me = A2 ∙ Y2 = 8 cm x 20 cm x 11 cm = 1.760 cm3 f = 7.800 Kg x 1.760 cm3 f = 15,25 Kg/ cm2 45.000 cm4 x 20 cm e. Los gráficos de σ y son los siguientes: Como el momento es positivo las fibras comprimidas están arriba y las traccionadas abajo, tal como se refleja en el diagrama de la izquierda. La gráfica de esfuerzo cortante a la derecha es una parábola de segundo grado cuyo valor máximo ocurre en el eje neutro, y se hace nula en las caras superior e inferior de la viga. 6.1.3- Para la Viga IPE 300 mostrada a continuación, sometida a un corte vertical de 15 ton, determine el valor del flujo cortante en los siguientes puntos: a. En el eje neutro b. En la sección 1-1 c. En la sección 2-2
  • 54.
    54 a. En eleje neutro ocurre el máximo valor de “ ” y el área rayada produce el momento estático. _ _ Me = A1 ∙ Y1 + A2 ∙ Y2 Me = 1,08 x 13,38 x 6,69 + 12,5 x 1,62 x 14,19 Me = 384,02 cm3 _ Y1 = 13,38/2 = 6,69 cm X = 15.000 Kg x 384,02 cm3 _ 9.800 cm4 x 1,08 Y2 = 15 – 1,62/2 = 14,19 cm X = 544,25 Kg/cm2 Debido a que casi todo el Esfuerzo Cortante lo soporta el alma, una forma de cálculo aproximada es: X = max = V = 15.000 = 519,03 Kg/m2 Aalma (30 – 2 x 1,62) x 1,08 b. El corte en 1-1 será: 1-1 = 15.000 Kg x 370,52 cm3 9.800 cm4 x 1,08 cm 1-1 = 525,11 Kg/cm2 Y3 = 8,38cm + 5cm = 9,19cm 2 Me1-1 = 1,08 x 8,38 x 9,19 + 12,5 x 1,62 x 14,19 Me1-1 = 370,52 cm3
  • 55.
    55 c- el corteen la sección 2-2 será: Momento estático del área rayada: _ Me = A1 ∙ Y4 Me = 12,5cm x 1cm x 14cm Me = 175 cm3 2-2 = 15.000Kg x 175cm3 = 21,43 9.800 cm4 x 12,5cm 2-2 = 21,43 Kg/ cm2 6.1.4- El Muro en cantiliver mostrado esta en equilibrio, calcule los esfuerzos normales de flexión máximos en las secciones 1-1 y 2-2 por metro de largo, considerando solo las fuerzas de empuje de tierra “E” y presión de contacto sobre el terreno “q” mostradas. Para la sección 1-1, se muestra el DCL a la derecha. Calculamos el valor de q1 1.500 = _ q1__ q1 = 928,57 Kg/m 2,10 1,30 M1-1 = R1 ∙ b1 + R2 ∙ b2
  • 56.
    56 25 0,45cm 12,50cm 0,60cm = 1.310cm 4 Soldadura EN 18cm M1 -1= ( 1.500 – 928,57 ) x 0,80 x 2 x 0,80 + 928,57 x 0,80 x 0,40 2 3 M1-1 = 419,05 Kg – m = 41.905 Kg – cm 1-1 T C σmax = σmax = σmax = 41.905 Kg-cm x 15 cm 100 cm x 303 cm 12 1-1 σmax = 2,79 Kg/cm2 Para la sección 2-2 M2-2 = R3 ∙ b3 = 3m x 3.000 Kg-m x 1∙3m 2 3 M2-2 = 4.500 Kg – m = 450.000 Kg – cm 2-2 σmax = 450.000 Kg – cm x 12,5 cm 100 cm x 2,53 cm 12 2-2 σmax = 43,20 Kg/cm2 6.1.5-Para un perfil Properca VP 180 x 17.7, determine cual es el valor máximo de fuerza cortante que puede soportar, si los esfuerzos admisibles del acero y soldadura son los siguientes: acero = 1.100 Kg/cm2 , sold = 900 Kg/cm2 . Considere un ancho efectivo sometido a corte de 3 mm. por cada soldadura. Para el caso del Esfuerzo Cortante en el acero, la zona de mayor esfuerzo ocurre en el eje neutro, por lo que afecta el alma de la viga. Considerando el área rayada de la Fig. a de abajo, el momento de 1er orden respecto al eje nuestro será. EN Me = A1∙ Ῡ1 + A2 ∙ Ῡ2 EN Me = 12,5 x 0,60 x (9 – 0,60) + 0,45 x (9 – 0,60)2 2 2
  • 57.
    57 0,60 cm y1 A A A 2 A 1 (a) EN AA A 1 y2 (b) y2 EN EN Me = 81,13 cm3 El Esfuerzo Cortante actuante en el EN será: ACT ACT ACT EN = V x MeEN V = ΤEN ∙ EN ∙ ƚ EN ∙ ƚ MeEN Para encontrar el valor máximo de V, sustituimos el esfuerzo actuante por el admisible. 1 VMAX = 1.100 x 1.310 x 0,45 = 7.992,73 Kg 81,13 (b) Para el caso del Esfuerzo Cortante en la soldadura, este se produce en la Sección A-A, y el Momento estático es producido por el área rayada de la Fig b. El flujo cortante será: F = Sold ∙ 2 x 0,3 cm = 900 Kg/cm2 x 0,6 cm = 540 Kg/cm Me A-A = A1 x Ῡ1 = 12,5 x 0,60 x (9 – 0,60) = 65,25 cm3 2 2 VMAX = F x EN = 540 x 1.310 = 10.841,38 Kg A-A 65,25 Me 1 El máximo valor de Corte vertical que resiste el perfil es VMAX = 7.992,73 Kg, determinado en el alma. 6.1.6- La viga mostrada a continuación esta compuesta por tres tablones de madera pegados entre si, de manera muy firme, como se muestra en la figura, si se considera que el pegamento soporta un esfuerzo de adherencia de 3 Kg/cm2 , y la madera tiene los siguientes esfuerzos admisibles: m = 5 Kg/cm2 , σm comp = 85 Kg/cm2 , σm tracc = 100 Kg/cm2 . a- Verifique si la viga soporta la carga señalada por Esfuerzo normal de Flexión.
  • 58.
    58 b- Verifique sila viga soporta la carga señalada por Esfuerzo Cortante. c- ¿Cual será el máximo valor de “q” que se puede aplicar a la viga, considerando todos los valores de esfuerzo admisibles dados? Fg. 2.9.a EN = 10 x 15 3 = 2.812,5 cm 4 (Total) 12 a - Primero dibujamos los diagramas de Corte y Momento (fig 2.9.a) para conocer los valores de Fuerzas máximas aplicadas a las vigas. Ahora calculamos los esfuerzos actuantes normales a tracción y compresión por flexión y los comparamos con los admisibles. La Inercia de la sección se calcula respecto al eje neutro que esta en el centroide de la figura. σact ƚ = σact C = M ∙ Y = 343,75 x 100 x 7,5 = 91,67 Kg/cm2 EN 10 x 153 12 σadm ƚ = 100 Kg > σact ƚ = 91,67 Kg Si cumple cm2 cm2
  • 59.
    59 σadm C = 85 Kg< σact C = 91,67 Kg No Resiste a compresión cm2 cm2 b- Para verificar por corte, hay dos puntos críticos que estudiar: - Primero, el corte máximo que ocurre en el eje neutro y que es soportado por el tablón de la madera: El Momento estático que genera este flujo cortante es el área rayada 2.9.b, el esfuerzo cortante actuante en esta zona será: EN = V ∙ Me = 275 x (7,5 x 10) x 3,75 = 2,75 Kg ∙ ƚ 10 x 153 x 10 cm2 12 Lo comparamos ahora con el Esfuerzo Cortante admisible de la madera. m = 5 Kg > σEN = 2,75 Kg Si cumple cm2 cm2 - Otro punto crítico lo genera el pegamento, para el cual hay que verificar el flujo cortante a la altura de 2,5 cm, con el área rayada 2.9.c: 2,5 = 275 x (5 x 10) x 5 = 2,44 Kg/cm2 10 x 153 x 10 12 Ahora lo comparamos con el Esfuerzo Cortante admisible del pegamento: P = 3 Kg/cm2 > 2,5 = 2,44 Kg Si cumple cm2 La viga soporta la carga por corte c. Cada uno de los Esfuerzos admisibles, genera una carga “q” máxima posible para colocar: - Por Esfuerzo normal de Flexión: el más crítico es la compresión: σm comp = 85 ≥ M1 x 7,5 M1 ≤ 85 x 2812,50 = 31.875 Kg – cm 2.812,50 7,5
  • 60.
    60 Como M1 enel empotramiento es: M1 ≥ q1 x 2,52 2 q1 ≤ 2 x 31.875 = 10.200 Kg = 102 Kg q1 ≤ 102 kg 2,52 cm m m - Por corte en el eje neutro, el esfuerzo cortante será: m = 5 ≥ V1 x Me V1 ≤ 5 x 2.812,50 x 10 = 500 Kg EN ∙ ƚ (7,5 x 10 x 3,75) El corte en el empotramiento es: V1 = q2 x 2,5 q2 ≤ 500 kg q2 ≤ 250 kg/m 2,5 m - Por corte en el pegamento: P = 3 ≥ V2 x Me V2 ≤ 3 x 2.812,50 x 10 = 337,50 Kg 6 EN ∙ ƚ (5x10x5) V2 = q3 x 2,5 q3 = ≤ 337,50 Kg q3 ≤ 135Kg/m 2,5 La carga máxima que se puede aplicar a la viga, es la menor de la tres, para que no haga fallar a ninguna de las tres condiciones: qmax = q1 = 102 Kg/m 6.1.7- En la viga de madera mostrada a continuación: a. Hacer el diagrama de corte y momento flector. b. Encuentre los esfuerzos máximos de tracción y compresión en la sección c. Dibuje el diagrama de esfuerzos anterior. d. Si se establecen los siguientes valores de esfuerzos admisibles. compr = 65Kg/cm2 y tracc = 40 Kg/cm2 ; cual será el máximo valor de “P” que se puede aplicar sobre la viga. e. Con la carga P = 80 Kg, encuentre el máximo valor de esfuerzo cortante en la sección, señale donde se produce.
  • 61.
    61 1 2.22 cm C A 2,78 cm EN1 1 EN EN 2 A2 2C 1C A1 EN A2 2C 6,78 cm y1 y2 f. Si el Ala y el Alma de la viga se unen mediante un pegamento especial que soporta un esfuerzo cortante de = 20 Kg/cm2. Determine si la viga puede soportar la carga “P” colocada inicialmente. 10 cm P = 80Kg 61,49 1.50 m 1.50 m 2 cm A B E.N. G 8 cm 6,78 cm 400 V 129,46 -400 2 cm fig. 2.1.b 600 Sección transversal Sección Longitudinal Diagrama de M Fig 2.5a a. En la figura 2.5.a b. Cálculo del centroide: _ _ Y = ∑Ai ∙ Yi = 10 x 2 x 9 + 2 x 8 x 4 = ∑Ai 2 x 10 + 2 x 8 _ Y = 6,78 cm Momento de Inercia centroidal: EN = A1 + A2 2 2 EN = cA1 + A1d1 + cA2 + A2d2 EN = 10 x 23 + 2x10 x 2,222 + 2x83 + 2x8 x 2,782 12 12 EN = 314,22 cm4 T σmax = 60 x 100 x 6,78 = 129,46 Kg/cm2 314,22 C σmax = 60 x 100 x 3,22 = 61,49 Kg/cm2 314,22
  • 62.
    62 A1 A2 y2 y1 EN A11 cm xx c. Eldiagrama de esfuerzo se muestra en la fig 2.1.b, la compresión esta arriba y la tracción abajo. d. Mmax = P x 150 cm , 2 C PC ∙ 150 x 3,22 σADM = 65 Kg ≥ 2___________ PC ≤ 84,57 Kg cm2 314,22 T PT ∙ 150 x 6,78 σADM = 40 Kg ≥ 2____________ PT ≤ 24,72 Kg cm2 314,22 La máxima carga que se le puede aplicar a la viga, es la menor de los dos PT =24,72Kg. Por lo tanto la viga no soporta la carga aplicada inicialmente de 80 Kg. e. El corte máximo ocurre en el eje neutro: EN _ _ Me = A1 ∙ Y1 + A2 ∙ Y2 EN Me = 2 x 10 x 2,22 + 2 x 1,22 x 1,22 = 45,89 cm3 2 max = V ∙ Me = 40 x 45,89 = 2,92 Kg/cm2 ∙ t 314,22 x 2 f. El corte a la altura del pegamento lo genera el área A1, por lo tanto el Momento Estático será: X-X _ Me = A1 ∙ Y1 = 2 x 10 x 2,22 = 44,4 cm3 x-x = 40 x 44,4_ = 2,83 Kg 314,22 x 2 cm2 Comparando: ADM = 2 Kg < X-X = 2,83 Kg No soporta cm2 cm2
  • 63.
    63 6.2.- CÁLCULO DESEPARACIÓN DE PERNOS Y REMACHES. 6.2.1- La viga mostrada de sección igual al problema anterior, pero atornillada, soporta un esfuerzo de tensión permisible de 40 Mpa a tracción y de 65 Mpa a compresión. a. Si la carga “P” es móvil, cual será su valor máximo permisible, desprecie el peso propio. b. Con el valor de “P” obtenido, encuentre la separación máxima entre los tornillos, si cada uno resiste una fuerza cortante admisible de 3.500 N. a. El Momento Flector debajo de la carga móvil se puede expresar como: (1) MC = RA ∙ X RA se consigue: ∑MA = 0 3 ∙ RB – X ∙ P = 0 RB = X ∙ P 3 ∑Fy = 0 RA + RB – P = 0 RA + X ∙ P – P = 0 3 RA = P – X ∙ P 3 Sustituyendo en 1: MC = (P – X. P) ∙ X = P.X – P ∙ X2 3 3 Para encontrar el punto de Momento Flector máximo derivamos la expresión respecto de X e igualamos a cero: d Mc = P – 2P ∙ x = 0 dx 3 div. por P: 1- 2 x = 0 x = 3 = 1,5 m 3 2 El momento máximo esta en el centro de la luz, lo cual resulta lógico. Por lo tanto: RA = P/2 MC = P ∙ 1,5 = 0,75 P 2
  • 64.
    64 C Esfuerzo de compresiónarriba: σMAX = M ∙ Y = 0,75 P x 0,0322 m ≤ 65 x 106 N 314,22 x 10-8 m4 m2 Pc ≤ 8.457,27 N T Esfuerzo de Tracción abajo: σMAX = M ∙ Y = 0,75 P x 0,0678 m 40 x 106 N 314,22 x 10 -8 m4 m2 PT 2.471,74 N La máxima carga “P” rodante que se puede aplicar es: PT = 2,47 Kn b. Para encontrar la posición de “P” que genera el corte máximo: Vc = ∑FIzq = RA = P − X∙ p 3 Para que RA sea máximo: x = 0 RA = P Lo que implica que la carga rodante debe estar muy cerca del apoyo. Para la sección x-x del problema anterior, el momento estático para producir corte en el tornillo es: Me = 44,4 cm3 . Si F es la fuerza que soporta cada tornillo y “e” es la separación: El flujo cortante “ ” para un área A = t.e, será: X-X X-X X-X = _ F_ = V ∙ Me F = V ∙ Me ∙ e ƚ. e EN ∙ ƚ EN Para: V = RA = P = 2.471,74 N F = 2.471,74 N x 44,4 cm3 ∙ e 314,22 cm4 F= 349,26 N ∙ e cada perno resiste F = 3.500 N cm Finalmente: e = 3.500 N = 10,02 cm eMAX 10 cm 349,26 N/cm
  • 65.
    65 .be 6.2.2- Para laviga de sección compuesta mostrada a continuación, determine con diagrama de fuerza cortante dado, la separación entre los remaches si el esfuerzo cortante admisible en los mismos es de 1.000Kg/cm2 y su diámetro es de ½” (1,27cm). Aplicando las fórmulas: F = ∙ b.e (remaches); = V∙Me (esfuerzo cortante) ∙b Fuerza cortante actuante: F = V x Me x e = 750x15 x 10 x 10 x e 15 x 303 12 F = 33,33 x e R = Fuerza Cortante Resistente F = R = x A = 1.000 x (1,27)2 = 1.266,77 e = R = 1.266,77 = 38 cm ; 33,33 33,33 e ≤ 38 cm
  • 66.
    66 6.3- CÁLCULO DEVIGAS DE SECCIÓN COMPUESTA. 6.3.1- Determine el Momento Flexionante permisible con respecto al eje neutro horizontal, de la sección de viga mostrada, compuesta por madera y metal, los cuales están unidos firmemente como un solo cuerpo. Emetal = 2,4 x 106 Kg/cm2 , Emadera = 9,6 x 104 Kg/cm2 , los esfuerzos permisibles son: σmetal = 1.600 Kg/cm2 y σmadera = 96 Kg/cm2 . Utilizando el Método de la sección transformada, toda en madera, relacionamos el módulo de elasticidad de los 2 materiales: n = Emetal = 2,4 x 106 = 25 Emadera 9,6 x 104 Luego, el área de metal equivale a 25 veces el área de la madera. b = n ∙ 5 cm = 25 x 5 cm = 125 cm La inercia de la sección transformada será: EN = 20 x 303 + 2 . [ 25 x 1,253 + 125 x 1,25 x (16,25 – 0,625)2 ] 12 12 EN = 121.334,63 cm4 Para la madera se toma la distancia a la fibra mas esforzada ym = 15 cm σmad = M ∙ ymad M = σmad x EN EN ymad M = Mmax mad = 96 x 121.334,63 = 776.541,63 Kg - cm 15
  • 67.
    67 40 cm 30cm 5cm 3 0cm 2 X C2 C A C1 A1 yC Y y 2 SECCIÓN TRANSFORMADA EN CONCRETO y1 = 35cm Para encontrar el máximo esfuerzo en el metal se considera las fibras ymet = 16,25 cm y se multiplica por “n”. σmetal = n∙ M ∙ ymet M = Mmax metal = 1.600 x 121.334,63 = 477.871,77 Kg - cm EN 16,25 x 25 2.11. A continuación se muestra la sección transversal de una viga de concreto armado. El refuerzo de acero esta representado por 3 cabillas de diámetro 2,5 cm. y la relación modular es n = 12. Los esfuerzos normales permisibles para el concreto y el acero son 125 Kg/cm2 y 2.100 Kg/cm2 , respectivamente. Si se asume que el concreto solo resiste compresión, calcule el Momento Flector resistente negativo de la sección. El área equivalente de las varillas de acero, será: Ae = n x 3 x Ai = 12 x 3 x π. (2,5)2 = 176,715 cm2 4 Como el Momento es negativo la compresión esta debajo del eje neutro. Cálculo de la posición del eje neutro, situado en el centroide de la sección transformada. YC = ∑Ai ∙ Ῡi = 176,715 x 35 + 30 x Ῡc2 ∙ 12 ∑Ai 176,715 + 30 x Ῡc 30 Ῡc2 + 176,715 Ῡc – 15 Ῡc2 = 6.185,03 15 Ῡc2 + 176,715 Ῡc = 6.185,03 Ῡc = 15,25 cm La inercia de la sección transformada, considerando que las varillas de acero tienen el área concentrada en una línea, será:
  • 68.
    68 IEN = A1x (Ῡ1 – Ῡc)2 + b∙ Ῡc 3 3 IEN = 176,715 (35 – 15,25)2 + 30 x (15,25)3 = 104.395,68 cm4 3 Para calcular el Momento resistente, debemos considerar 2 casos: 1- Que falle el concreto: σC = Mc ∙ Ῡc Mc = σc∙ IEN = 125 x 104.395,68 = 855.702,30 Kg – cm IEN Ῡ 15,25 2- Que falle el acero: σac = n ∙ Mac ∙ Ῡc Mac = σac ∙ IEN = 2.100 x 104.395,68 = 925.025,01 Kg– cm IEN n∙(35 –Ῡc) 12 x (35 – 15,25) Por lo tanto el Momento Resistente lo define el concreto. MMAX = Mc = 855.702,30 Kg – cm = 8.557,02 Kg – m MMAX = 8.557,02 Kg – m
  • 69.
    69 6.4- DISEÑO DEVIGAS, SECCIONES ECONÓMICAS. 6.4.1- Para la viga “AH” del problema 5.2.5 del capítulo anterior, encuentre el perfil más económico entre los IPN, IPE, HEA y VP. Verifique por peso propio y por corte. Considerar los siguientes esfuerzos admisibles: adm = 1.400 Kg/cm2 y adm = 1.000 Kg/cm2 . De la observación del diagrama de momentos, encontramos que el momento flexionante más alto en módulo es Mmax = 5.000Kg-m. Este valor define la condición más desfavorable de resistencia al esfuerzo normal de la sección. Encontramos primero el mínimo modulo resistente que debe tener el perfil seleccionado por esfuerzo normal, que suele ser la condición más crítica en las vigas: Zmin = Mmax / adm Zmin = 5.000 Kg-m x 100 cm/m / 1.400 Kg/cm2 = 357.14 cm3 En las tablas de perfiles, seleccionamos los perfiles que tengan el módulo resistente con respecto al eje x-x (mayor eficiencia) inmediatamente superior al mínimo encontrado, y anotamos las siguientes características: PERFIL Modulo resistente Zx (cm3 ) Peso propio (Kg/m) IPN 260 442 41.90 IPE 270 429 36.10 HEA 200 389 42.30 VP 300x41.30 568 41.30 La condición de máxima economía la establece el peso propio, dado que cuanto menor sea el peso menor será el costo de material por metro lineal de perfil. Basado en esta condición el perfil más económico de los cuatro seleccionados es el IPE 270. En orden de selección posterior seria el VP 300x41.30, IPN 260 y HEA 200. Obsérvese que los perfiles de ala ancha (HEA) resultan poco eficientes como vigas, y su mayor utilidad es como columnas.
  • 70.
    70 Ahora procedemos averificar la condición de resistencia por esfuerzo normal de flexión agregando el peso propio del perfil. Como el momento máximo del diagrama de momentos se produjo en el apoyo G, que tiene la viga en voladizo hacia el lado derecho, podemos calcular el momento por peso propio utilizando la definición de momento flector de la siguiente manera: Momento debido a peso propio MG = -18.05 Kg/m El nuevo momento máximo en G será: Mmax = 5.000Kg-m + 18.05 kg/m = 5.018,05 kg/m (Auque realmente estos momentos tienen signos opuestos, los sumamos para crear una condición más general y más critica) El nuevo módulo resistente mínimo será: Zpp min = 5.018,05 Kg-m x 100 cm/m / 1.400 Kg/cm2 = 358.43 cm3 Este nuevo módulo esta todavía muy por debajo del módulo de la viga que es 429cm3 , por lo que el perfil seleccionado sigue cumpliendo por esfuerzo normal de flexión, ampliamente. En general esta revisión de peso propio, es necesaria cuando el módulo resistente del perfil esta muy cercano del módulo calculado inicialmente Zmin. Verificación por esfuerzo cortante: ACT EN = V x MeEN EN ∙ ƚ El esfuerzo cortante máximo se desarrolla en el eje neutro de la sección, para aplicar la fórmula completamos la información relacionada con el dimensionado del perfil seleccionado IPE 270: Altura h = 27 cm Ancho de las alas b=13.50 cm
  • 71.
    71 Espesor de alastw= 1.02 cm Espesor del alma S= 0.66 cm El momento estático en el eje neutro es: Me = 13.50x1.02x(13.50-1.02/2)+0.66 x (13.50–1.02)2 / 2 = 178.87+51.40 = 230.27 cm3 Del diagrama de fuerza cortante tomamos el máximo valor en módulo: Vmax = 5.000Kg ACT EN = 5.000 x 230.27 = 301.29 Kg/ cm2 5.790x 0.66 El esfuerzo cortante actuante esta muy debajo del admisible, por lo cual el perfil escogido cumple con la condición de corte ampliamente: act = 301.29 Kg/cm2 < adm = 1.000 Kg/cm2 Calculando el corte máximo en el eje neutro en forma aproximada, por el área del alma, que es donde se concentra casi todo el esfuerzo de corte en estos perfiles: ACT EN = 5.000Kg / [(27-2x1.02).0.66] = 303.52 Kg/cm2 ; resulta muy aproximado.
  • 72.
    72 6.4.2- En lasiguiente planta se muestra un sistema de entrepiso, formado por losacero, apoyado sobre correas IPE. Si se considera que el total de la carga variable más permanente de la losa de entrepiso es de 500 Kg/m2 , encuentre el perfil mas económico para la correa del ej “A”, si se consideran las siguientes condiciones admisibles: adm = 1.400 Kg/cm2 y adm = 1.000 Kg/cm2 . La máxima flecha permitida en el centro de la luz es de L/400. Planta Arriba y a la derecha se presenta el esquema de cargas de una correa y de la viga de soporte en forma genérica. La reacción de la correa Rc es la carga puntual que actúa sobre la viga que sirve de soporte. La carga distribuida sobre la correa se calcula multiplicando el peso de la losa en m2 por el ancho tributario “e”. La correa de nuestro ejemplo no tiene un ancho tributario constante sino que varia desde (0.80/2)=0,40m en el apoyo “2”, hasta (1.50/2)+0.40=1.15m en el apoyo “1”. El gráfico de carga calculado junto con los diagramas de corte y momento de la correa se presentan a continuación. La siguiente figura muestra la carga sobre la correa. Cálculo de la carga distribuida sobre la correa. q1 = 0,40 x 500 = 200 Kg q2 = q1 + 0,75 x 500 = 575 Kg
  • 73.
    73 Cálculo de reacciones: Resultantes: R1= 200. 4 = 800 R2 = 357. 4 = 750 2 ∑MB = 0 - RA x 4 + 800 x 2 + 750 x 4 = 0 RA = 650 Kg; Rb= 900Kg Punto de corte cero: V = 0 Ecuación de la recta: 375 = Y 4 X Y = 375.X / 4 X = 2.16m Sumatoria de fuerzas a la izquierda: 650 – 200∙X – X [ 375. X ] = 0 2 4 - 46,87 x2 – 200 x + 650 = 0 x = 2,16 m El Momento Máximo en Xv = 0 sera: 650 x 2,16 – 200 x 2,162 – 2,16 x 202,5 . 2,16 = MMA 1.404 – 466,56 – 157,46 = M M MAX = 779,98 Kg-m Con este momento máximo encontramos el módulo resistente mínimo: Zmin = 78.000 = 55,71cm3 1.400 En las tablas encontramos un perfil IPE 140 cuyo módulo es Z = 77.30 cm3 - Verificamos por peso propio aunque hay mucha diferencia entre los módulos resistentes. Peso propio del perfil: PP = 12.90 Kg/m; Mp-p= PP. L2 / 8 = 12.90 x 42 / 8 = 25.80Kg-m. El nuevo módulo resistente será: Zmin = ( 78.000+2580)/1.400 = 57.58 cm3 , cumple.
  • 74.
    74 - Verificamos ahorapor corte: Usando la fórmula aproximada: ACT EN = 900Kg / [(14-2x0,69)x0,47] = 151.73 Kg/cm2 ≤ adm = 1.000 Kg/cm2 , cumple. - Finalmente verificamos por deflexión o flecha: Para hacerlo de forma rápida usaremos el método de superposicón. Como la condición de flecha máxima exigida, ocurre en el centro del tramo, sumaremos en ese punto el efecto de la deflexión de una carga rectangular más el de una carga triangular respectivamente: Jcentro = 1 [5x 2x 4004 + 5x 3.75x 4004 ]; las cargas “q” en Kg/cm y L en cm. EI 384 768 E = 2.10x 106 Kg/cm2 IPE 140, I = 541 cm4 Jcentro = 1.14 cm La deflexión permitida es: L / 400 = 400/400 = 1 cm La flecha en el centro es superior que la permitida, por lo que no satisface la condición de rigidez. Se deberá escoger el perfil inmediatamente superior que es el IPE 160, sin verificar nada más, puesto que las condiciones anteriores, este nuevo perfil, las cumple aún más ampliamente que el anterior.
  • 75.
    75 ^ CAPÍTULO VII PROBLEMAS DEDEFORMACIÓN EN VIGAS. 7.1- MÉTODO DE DOBLE INTEGRACIÓN. 7.1.1- Para la Viga mostrada escriba la Ley de Momentos. Por relación de triángulos 90 = Y1 Y1 = 30 (X-3) X-3 R1 = 30 (X-3) (X-3); b = 1 (X-3) 2 3 La ley de momentos será: M(X) = Ay ∙ X – MA – 100 X - 1,5 - 30 (X-3) (X-3) . (X-3) 2 3 M(X) = Ay ∙ X – MA – 100 X - 1,5 - 5 X-3 3 7.1.2- Para la viga mostrada, calcule la flecha debajo de la carga “P” y el valor del giro en el apoyo “1”, Considere “E ” constante. Estableciendo el sistema de referencia xy, con origen en 1. La figura muestra el D.C.L. para la sección x-x situada en el primer tramo 1-X de la viga. La Ley de momentos será: M(x)= R1∙ X La figura muestra el DCL para la Sección y-y, en el segundo tramo 1-Y de viga. La Ley de momentos es: M(x)= R1 ∙ X – P ∙ (x-a)
  • 76.
    76 Unificamos la Leyde Momentos en una sola ecuación: M(x) = R1∙X – Px-a〉; con la salvedad de que:〈x-a〉= 0; si x ≤ a La ecuación diferencial de la elástica será: 1- E dy2 = M(x) = R1∙x – P〈x-a〉 dx2 Primera Integración: 1- E dy = R1∙x2 – P 〈x-a〉2 + C1 (Ecuación de giro “Ө”) dx 2 2 Segunda integración: 3 2- E y = R1∙x3 – P 〈x-a〉+ C1∙X + C2 (Ecuación de la flecha “y”) 6 6 A continuación escribimos las condiciones de borde o frontera cinemática, observando la curva elástica de la figura inicial (curva segmentada). 1- x = 0 2 - x = L y = 0 y = 0 Para poner a R1 en función de P: ∑M2 = 0 L ∙ R1 - b∙P = 0 R1 = P∙b L Sustituimos la condición de borde “1” (condición de flecha), en la ecuación No 02 de flechas: C2 = 0 Sustituimos la condición de borde “2”, en la misma ecuación. 0 = P∙b ∙ L3 – P (L-a)3 + C1∙ L C1 = P (b3 – b ∙L2 ) L 6 6 6L Para encontrar la flecha en el punto 3, sustituimos en la ecuación de flecha No 02, el valor de x = a E ∙y3 = P∙b ∙ a3 – 0 + P (b3 -b∙L2 )∙ a L 6 6L
  • 77.
    77 E ∙y3 =P∙b∙a (a2 + b2 – L2 ) = P∙b∙a a2 + b2 – (a2 + b2 + 2∙ab 6L 6L Y3 = - P∙b2 ∙a2 El signo menos significa que baja 3 E ∙L El giro en A, se encuentra sustituyendo x = 0, en la ecuación “1” (ecuación de giro). E ∙ dy = E ∙өA = 0 – 0 + P (b3 – b∙L2 ) dx 6L өA = - P∙b (L2 -b2 ) El signo menos significa que el giro es horario. 6∙E ∙L
  • 78.
    78 7.2- MÉTODO DEÁREA DE MOMENTOS. 7.2.1- Para la viga en cantiliver mostrada, formada por dos segmentos de diferentes inercias, determine usando el método de Área de Momentos, la deflexión vertical y la desviación angular del extremo libre “B”, considere E = 7,5 x 105 Kg/cm2 . Giro en “B” өB/A = 1 (Área)AB E = 1 (-75 – 37,5)15 + 1 (-187,5 x 15) E 2 E 2 = 1 (-843,75 – 1.406,25) E өB/A = - 0,003 rad Deflexión Vertical de B: ƚB/A = JB _ JB = 1 (Area)AB ∙ XB ; EI JB =1. [-37,5x15x32,5–37,5x15x35–187,5x15x 20] EI 2 2 JB = - 56.250 ; JB = 0,075 cm E 7.2.2- Calcular la deflexión vertical a “A”, usando el método de Área momentos y diagramas de momentos por partes. Considere E constante. Fig. 3.3.b. La fig. 3.3.a. muestra el diagrama de momentos por partes respecto de “C”. _ ƚ A/C = 1 (Area)1 ∙ yA = 1 x 1 x 8 (-960) x 6 E AC E 3 Fig. 3.3.a ƚ A/C = - 15.360 / E.I.
  • 79.
    79 _ ƚ A/C =1 ∙ XA = 1 x 1∙ 4 x (240) = 320 x 7 E E 3 E JA = ƚ A/C + ƚ A/C = -15.360 + 2.240 ; JA =13.120 E E La fig. 3.3.b. muestra los diagramas de momentos por partes respecto el punto “B”, tomando en cuenta todas las fuerzas que hacen momento en ese punto, incluyendo Rc. Con este diagrama se podría calcular la desviación de “B” con respecto de “C”, es decir lo que baja “B”. 7.3.3- En el siguiente marco elástico, calcule el desplazamiento vertical de los puntos “3” y “4” y el desplazamiento horizontal de “2” solo por flexión, en función de EI. Usando el método de Área de momentos, calculamos D2h: _ D2h = ƚ2/1 = 1 ∙ (Area)1,2 ∙ X2 = P∙L ∙ 1,2 L ∙ 1,2 L E 2 E 2 D2h = 0,36 P∙L3 E Considerando que la unión entre miembros es indeformable, es decir conserva la ortogonalidad:
  • 80.
    80 D3V = ƚ3/2+ ө2 ∙ L _ ƚ3/2 = 1 . (Área)2,3 ∙ X3 = 1 ∙ P∙L2 . 2.L = P∙L3 E E 2 3 3∙E ө1,2 = ө2 = 1 . (Área)1,2 = P∙L . 1,2 L = 0,60 P∙L2 E 2 E E D3V = ƚ3/2 + ө2 ∙ L = P.L . L . 2. L + ө2. L = P∙L3 + ө2 ∙ L ; D3V = 0.93. P. L3 E.I. 2 3 3.E.I E.I. Lo que baja el punto 4 es igual a lo que baja el punto 3, dado que no se están considerando deformaciones por fuerza axial en el miembro 3,4. Cabe destacar que las deformaciones son muy pequeñas, y están representadas en los gráficos de manera exagerada: D3V = D4V = 0.93. P. L3 E.I.
  • 81.
    81 f f f f f f 7.3- MÉTODODE SUPERPOSICIÓN. 7.3.1- Determine usando los métodos de Área Momento y Superposición la flecha en el centro “B” de la viga mostrada. “EI” constante. El momento flector en “B” será: M = q∙L . L – 1q . L . 2 . L = q∙L2 – q∙L2 = q∙L2 4 2 2 2 3 2 8 12 24 q . L . 1 . L = - q∙L2 2 2 3 2 24 Por Área de Momentos: a continuación se muestran los diagramas de momentos por partes respecto “C”: _ ƚC/B = 1 (Area)BC ∙ XC EI ƚC/B = 1 . [q∙L2 . L . L – 1 . L . q∙L2 . 1 . L E 24 2 4 4 2 24 5 2 ƚC/B = 1 [ q∙L4 – q∙L4 ] = q∙L4 . 0,004687 E 192 1.920 E Ahora por Superposición: JB = - ƚC/B = -q∙L4 . 0,004687 (B baja) E Tabla 6-2 f1 = - 5 q∙L4 384 E JB = - 5 q∙L4 + q∙L4 384 E 120 E f2 = q∙L4 JB = - q∙L4 . 0,004687 120 E E
  • 82.
    82 CAPÍTULO VIII PROBLEMAS DEVIGAS ESTÁTICAMENTE INDETERMINADAS. 8.1- CALCULO DEL GRADO DE INDETERMINACIÓN DE VIGAS. 8.1.1- Para la viga mostrada a continuación: a- Determine el grado de Hiperestaticidad. b- Trace la curva elástica. c- Establezca las condiciones de borde. d- Escriba la Ley de Momentos. a- Número de Reacciones = 6 Ecuaciones de Equilibrio = -3 (∑Fx=0, ∑Fy=0, ∑Ma=0) Izq Der Ecuación en el perno = -1 (∑Mb ò ∑Mb) GI = 2 (grado de indeterminación) b- La curva elástica es la línea segmentada en la figura de arriba. c- De acuerdo con el sistema de referencia “xy” mostrado, las condiciones de borde son: 1- X=1, Y=0 2- X=6; Y=0 3- X=10; Y=0 4- X=14; Y=0 5- X=14; ө=0 d- La ley de momentos es: M(X)= -100 ∙ X2 + Ay X-1 + Cy X-6 + Dy X-10 2
  • 83.
    83 8.2- CALCULO DEREACCIONES POR EL MÉTODO DE DOBLE INTEGRACIÓN. 8.2.1- Calcular las Reacciones Externas en A y B de la Viga mostrada, por el método de doble integración. A continuación se presenta el diagrama de cuerpo libre y la curva elástica de la viga: cabe destacar que se incorporo el valor de la carga ficticia q3, para contrarrestar el efecto de q1. La parte punteada de la carga q1, resulta de la aplicación de la Ley de momentos de esta carga, la cual se interrumpe antes del final de la viga. La colocación de la carga ficticia q3, se hace como artificio matemático para contrarrestar la prolongación también ficticia que la fórmula hace de la carga q1. La Ecuación diferencial de la elástica será: E dy2 = M(X) = Ay ∙ X – MA – 1.000 X2 + 1.000 X - 2 2 – 1.500 X - 4 2 dx 2 2 2 Ecuación del giro: 1- E dy = Ay ∙ x2 – MA ∙ X - 1.000 X3 + 1.000 X - 2 3 – 1.500 X - 4 3 + C1 dx 2 6 6 6
  • 84.
    84 Ecuación de laflecha: 2- E y = Ay ∙ X3 – MA ∙ X2 - 1.000 X4 + 1.000 X - 2 4 – 1.500 X - 4 4 + C1X + C2 6 2 24 24 24 Las condiciones de borde se establecen observando la curva elástica: 1- X = 0; y = 0 2- X = 0; ө = 0 3- X = 6m; y = 0 Dado que la viga tiene 4 reacciones externas, y solo disponemos de 3 ecuaciones de equilibrio, el elemento es hiperestático de grado 1. Es decir, tiene una reacción sobrante o redundante. Por lo tanto son necesarias las 3 condiciones de borde encontradas, dos de las cuales se usarán para encontrar C1 y C2, mientras que la tercera generará la ecuación adicional que necesitamos para encontrar las 4 reacciones externas. Con 1- X = 0; y = 0 en la ecuación No. 2 C2 = 0 Con 2- X = 0; ө = 0 en la ecuación No. 1 C1 = 0 Con 3- X = 6m; y = 0 en la ecuación No. 2: (A) 0 = Ay ∙ 63 – MA (6)2 – 1.000 (6)4 + 1.000 (6 - 2)4 – 1.500 (6 - 4)4 6 2 24 24 24 De esta manera tendremos las cuatro ecuaciones necesarias: A- 36 Ay – 18 MA – 65.666.67 = 0 B- ∑MA 0 = ; MA – 1.000 ∙ 22 – 1.500 ∙ 2 ∙ 5 + By ∙ 6 = 0 2 C- ∑Fy = 0 ; Ay – 2 ∙ 1.000 – 2 ∙ 1.500 + By = 0 Resolviendo el sistema: Ay = 2.634,26 Kg MA = 2.805,56 Kg.m By = 2.365,74 Kg. La última: D - ∑Fx = 0; Ax = 0 Cabe destacar que las ecuaciones de equilibrio B,C y D se realizan con las cargas reales, no con las ficticias, aunque si se tomaran en cuenta, el resultado sería el mismo.
  • 85.
    85 8.2.2- Resolver lasiguiente viga Hiperestática, por doble integración. Por el método de doble integración hacemos el diagrama de cuerpo libre: Hay 5 reacciones, sin contar las horizontales, que son cero, menos las dos de equilibrio disponibles, se tienen que generar tres ecuaciones adicionales de deformación, iguales al grado de indeterminación. Función de Singularidad o ley de momentos: 2 E . dy2 = M(x) = MA + RA ∙ X – 1.000 X2 + RB〈x – 12〉+ 1.000〈x - 12〉 dx2 2 2 Primera integración: 2 3 E . dy = ʃ M(x) = MA . X + RA ∙ X2 – 1.000 . X3 + RB〈x – 12〉+ 1.000 〈x - 12〉+ C1 dx 2 6 2 6 Segunda integración: 3 4 E ∙ Y = ʃ ʃ M(x) = MA∙X2 + RA∙ X3 – 1.000∙X4 + RB 〈x - 12〉+ 1.000〈x - 12〉+ C1∙X + C2 2 6 24 6 24 Condiciones de Frontera: son cinco, tres por el GI, más dos para encontrar C1 y C2
  • 86.
    86 (1) Para: X= 0 dy = 0 C1 = 0; (2) Para: X = 0 Y = 0 C2 = 0 dx (3) Para: X = 20 dy = 0 20 MA + RA∙(20)2 – 1.000∙(20)3 + RB . 82 + 1.000 ∙ 83 = 0 dx 2 6 2 6 MA 20 MA + 200 RA – 1.333.333,33 + 32 RB + 85.333,33 = 0 Ecuación ①: 20 MA + 200 RA + 32 RB – 1.248.000 = 0 (4) Para: X = 12, Y = 0 122 MA + 123 RA – 1.000 (12)4 = 0 2 6 24 72 MA + 288 RA – 864.000 = 0 ② (5) Para: X = 20, Y = 0 202 MA + 203 RA – 204 . 1.000 + RB . 83 + 1.000.84 2 6 24 6 24 200 MA + 1.333,33 RA – 6.666.666,67 + 85,33 RB + 170.666,67 = 0 200 MA + 1.333,33 RA + 85,33 RB – 6.496.000 = 0 ③ Con las ecuaciones ①, ② y ③ encontramos: MA = - 14.400 Kg-m RA = 6.600 Kg RB = 6.750 Kg Con las restantes ecuaciones de equilibrio se calculan las reacciones faltantes: ∑Mc = 0; Mc = 3.600 Kg-m ∑Fy = 0; Rc = - 1.350 Kg.
  • 87.
    87 8.3- CÁLCULO DEREACCIONES POR EL MÉTODO DE ÁREA DE MOMENTOS 8.3.1- Resolver la viga del problema anterior (8.2.2), por el método de área de momentos. Procedemos a elaborar el diagrama de momentos por partes de la viga, respecto del punto “B”. De esta manera se pueden establecer las siguientes condiciones de deformaciones compatibles, de acuerdo a la elástica: 1- ƚB/A = 0 2- ƚB/C = 0 3- өC/A = 0 Buscando en las tablas respectivas: 1- ƚB/A = 0 = 1 [ 122 MA + 122 RA . 1 . 12 – 1 . 12 ∙ 72.000 . 1 . 12 ] = 0 ① E 2 2 3 3 4 2- ƚB/C = 0 = 1 [ 82. Mc + 82 Rc . 1 . 8 ] = 0 ② E 2 2 3 3- өC/A = 0 = 1 [ 122 RA + 12 M1 – 1x12 ∙ 72.000 + 8 MC + 82 RC ] = 0 ③ E 2 3 2 Con estas tres ecuaciones más las de equilibrio se encuentran todas las reacciones.
  • 88.
    88 8.4- CÁLCULO DEREACCIONES POR EL MÉTODO DE SUPERPOSICIÓN. 8.4.1- Resolver la viga del problema (8.2.2), por el método de superposición. Se decide considerar como reacciones redundantes a Rb, Rc y Mc, de esta manera se utilizaran las tablas de superposición correspondientes a las vigas en cantiliver. Las tres reacciones redundantes se asumen ahora como fuerzas externas aplicadas a la estructura, junto con las dadas inicialmente, de esta manera se generan cuatro casos de carga, tal como se grafican a continuación: - La condición de deformación asociada con la reacción Rc, es la flecha: JC =yc =0 ① J1 C = q∙L4 + 8. q∙L3 = 1.000 x 124 + 8.1.000 ∙ 123 8 E 6 E 8 E 6 E ② J2 C = RB (12)3 + 8.RB(12)2 ò J2 C = RB . R2 (3∙20 -12) 3 E 2 E 6 E ③ J3 C = RC∙L3 3 E ④ J4 C = M ∙ L2 = MB∙(20)2 2 E 2 E
  • 89.
    89 De esta manerase genera la ecuación: a- JC = - J1 C +J2 C +J3 C +J4 C = 0 - La condición de deformación asociada con la reacción Rb, es la flecha: JB = yb = 0 1 2 3 4 ① JB = 1.000 x 124 ② JB = RB ∙ 123 ③ JB = Rc ∙ (12)2 . (3x20-12) ④ JB = MB∙122 8 E 3 E 6 E 2 E De esta manera se genera la ecuación: b- JB = - J1 B +J2 B +J3 B +J4 B = 0 - La condición de deformación asociada con la reacción Mc, es el giro: өC = 0 1 2 3 4 ① өC = MC ∙ 20 ② өC = RB∙122 ③ өC = RC∙202 ④ өC = MB 20 E 2 E 2 E E De esta manera se genera la ecuación: c- өC = - ө1 C +ө2 C +ө3 C +ө4 C = 0 Con estas tres ecuaciones más las de equilibrio, se calculan las reacciones externas: Se resuelve el sistema y resulta: RB = 6.750 Kg. RC = - 1.350 Kg. MC = 3.600 Kg-m Por: ∑Fy = 0; RA = 6.600 Kg ∑MA = 0; MA = -14.400 Kg-m
  • 90.
    90 8.5- VIGAS INCLINADAS. 8.5.1-Para la viga mostrada a continuación, inclinada 30o con la horizontal y cargas verticales: a- Calcule las reacciones externas en los apoyos “A” y “B”. b- Trace los diagramas de fuerza axial, cortante y momento flector. Desprecie el peso propio. La viga mostrada tiene un grado de indeterminación por tener cuatro reacciones. En la fig. 8.5.a, se puede ver la viga en posición horizontal, para facilitar su comprensión, con las componetes de las fuerzas aplicadas, perpediculares y paralelas al eje de la viga. Las fuerzas externas aplicadas generan en su interior tres fuerzas: axial, cortante y momento flector. Esta viga esta sometida a un esfuerzo combinado de fuerza axial con flexión. Utilzando el método de doble integración, establecemos un sistema de coordenadas locales inclinado como la viga, cuyo origen en este caso, esta en el lado derecho, con la finalidad de hacer que las constantes de integración C1 y C2 sean cero. Esto también se pudo lograr rebatiendo la viga, y colocando el origen a la izquierda. Las ecuaciones diferenciales son: E dY 2 = - MA + Ay.X – 3.031 X - 3 - 2165 X - 4,5 > + RB X - 6 dx 2 2 2 2 1- E dY = - MA.X + Ay . X2 – 3.031 X - 3 – 2.165 X – 4,5 + RB X – 6 + C1 dx 2 2 2 2
  • 91.
    91 3 3 3 2-E Y = - MA.X2 + Ay.X3 – 3.031 X – 3 - 2.165 X – 4,5 + RB X – 6 + C1X+C2 2 6 6 6 6 Las condiciones de borde las podemos sacar, de la curva elástica que aparece como una línea segmentada en la fig. 8.5.a y son: (1) X=0, Y=0, (2) X=0, y=0, (3) X=6, Y=0 Sustituyendo la condición (1) en la ecuación (2) de arriba: C2 = 0 Sustituyendo la condición (2) en la ecuación (1) de arriba: C1 = 0 Sustituyendo la condición (3) en la ecuación (2) de arriba: 3 3 E Y = - MA.62 + Ay.63 – 3.031 6 – 3 - 2.165 6 – 4,5 = 0 2 6 6 6 Resultando la siguiente ecuación: -18 MA + 36 Ay – 14.857.31 = 0 1 Por sumatoria de momentos en A: - MA + 3.031x3 + 2.165x 4.5 - 6RB +1.300x 7.50=0 2 Por sumatoria de fuerzas en el eje “Y” (perpendiculares a la viga); RB + Ay – 6.496 =0 3 Resolviendo el sistema de tres ecuaciones resulta: MA = 3.957,14 Kg-m, Ay = 2.391,27 Kg, RB = 4.104,73 Kg Por sumatoria de fuerzas en el eje “X”, (paralelas a la viga): Ax – 1.750– 1.250– 750 =0 Ax = 3.750 Kg. Conocidas las reacciones, los diagramas respectivos se construyen por el procedimiento normal, de izquierda a derecha bajo la misma convención de signos. Obsérvese que el diagrama de fuerza axial indica que la viga tiene tracción variable en todo su desarrollo, de tal manera que se encuentra bajo la acción de esfuerzos de Flexo-tracción, y el procedimiento de cálculo para este caso, es el de elementos
  • 92.
    92 sometidos a esfuerzoscombinados, los cuales están fuera del alcance del presente trabajo. Fig.8.5.a
  • 93.
    93 BIBLIOGRAFIA ARIAS, Fidias G.(2.001). Mitos y errores en la elaboración de Tesis y Proyectos de Investigación. Editorial Episteme, c.a., Caracas, Venezuela. BEER, Ferdinand ; JOHNSTON, Russell (1.994). Mecánica de Materiales. Editorial MacGraw Hill, México GERE, James M, ( 2.006). Mecánica de Materiales. Thomson Editores, S.A. México. D.F. GREEN, Lenny (2000). El Proyecto Factible. Modelo metodológico para elaboración de trabajos de grado. Universidad de Carabobo. Valencia, Venezuela IBÁÑEZ, Francisco E, (2.001). Problemas de Resistencia de Materiales para Estudiantes de ingeniería. Publicaciones Ingeniería U.C. Valencia, Venezuela. MORLES, Victor (1992). Planteamiento y Análisis de Investigaciones. El Dorado Ediciones. Caracas, Venezuela. POPOV, Egor P. (1.978). Mecánica de Sólidos. Editorial Limusa. México. RODRÍGUEZ, Fernando; AZCUNAGA Avial. (1.970). Problemas de Resistencia de Materiales. Escuela Técnica Superior de Ingenieros Industriales de Madrid, España. SAMPIERI H., Roberto y Otros. (1996). Metodología de la Investigación. Editorial MacGraw Hill, México. SINGER, Ferdinad L. (1.982). Resistencia de Materiales. Ediciones Harla S.A.de c.v. Mexico.
  • 94.
  • 95.
    95 ANEXO A TABLA DEDIAGRAMAS DE MOMENTOS DE MÉNSULAS. Fuente Resistencia de materiales, Singer (1971), Harla S.A.
  • 96.
  • 97.
  • 98.
  • 99.
  • 100.
  • 101.
  • 102.
  • 103.
  • 104.
  • 105.
    105 ANEXO C PERFILES IPN Fuente:http:/www.hierrobeco.com
  • 106.
    106 ANEXO C PERFILES IPE Fuente:http:/www.hierrobeco.com
  • 107.
    107 ANEXO C PERFILES HEA. Fuente:http:/www.hierrobeco.com
  • 108.
    108 ANEXO C PERFILES HEB. Fuente:http:/www.hierrobeco.com
  • 109.
    109 ANEXO C PERFILES ELECTROSOLDADOSPROPERCA VP Fuente: http:/www.hierrobeco.com Designación Dimensiones Sección Total Torsión Alma Ala Area Eje X-X Ele Y-Y Serie d x Peso tw bf tf A Ix Sx rx Zx Iy Sy ry Zy J Cw mm x kgf/m mm cm² cm4 cm³ cm cm³ cm 4 cm³ cm cm³ cm4 cm6 Vp 100 x 5.35 2.1 80 3.00 6.82 128 25.6 4.33 - 26 6.4 1.94 2.16 0.17 602 Vp 120 x 9.70 3.0 100 4.5 12.3 335 55.7 5.21 61.2 75 15.0 2.47 22.7 0.700 2500 Vp 140 x 12.4 3.0 100 6.0 15.8 592 84.5 6.11 92.7 100 20.0 2.51 30.3 1.52 4490 Vp 160 x 16.4 6.0 100 6.0 20.9 874 109 6.47 125 100 20.0 2.19 31.3 2.52 5930 Vp 180 x 17.7 4.5 125 6.0 22.6 1310 146 7.43 162 195 31.3 2.94 47.7 2.29 14800 Vp 200 x 24.1 4.5 125 9.0 30.7 2280 228 8.62 252 293 46.9 3.09 71.2 6.44 26700 Vp 250 x 29.4 4.5 150 9.0 37.4 4390 351 10.8 386 506 67.5 3.68 102 7.80 73500 Vp 300 x 41.3 6.0 150 12.0 52.6 8520 568 12.7 633 676 90.1 3.58 138 18.7 140000 Vp 350 x 48.3 6.0 175 12.0 61.6 13700 785 14.9 869 1070 123 4.17 187 21.9 306000 Vp 400 x 55.4 6.0 200 12.0 70.6 20700 1040 17.1 1140 1600 160 4.76 243 25.1 602000 Vp 420 x 65.7 9.0 200 12.0 83.6 24600 1170 17.2 1330 1600 160 4.38 248 32.4 666000 Cp 80 x 3.98 2.15 80 2.15 6.39 78 19.6 3.50 - 26 6.4 2.00 2.19 0.17 379 Cp 140 x 25.5 6.0 140 9.0 32.5 1170 168 6.00 187 412 58.8 3.56 89.3 7.55 17700 Cp 160 x 29.3 6.0 160 9.0 37.3 1790 223 6.92 248 615 76.8 4.06 117 8.67 35000 Cp 180 x 33.1 9.0 180 9.0 42.1 2580 287 7.83 316 875 97.2 4.56 147 9.78 64000 Cp 200 x 50.1 9.0 200 12.0 63.8 4660 466 8.54 521 1600 160 5.01 244 27.0 141000 Cp 220 x 55.3 9.0 220 12.0 70.4 6280 571 9.44 636 2130 194 5.50 294 29.8 230000 Cp 240 x 60.4 9.0 240 12.0 77.0 8250 687 10.4 762 2770 231 6.00 350 32.6 359000 Cp 260 x 65.7 9.0 260 12.0 83.6 10600 815 11.3 900 3520 271 6.48 410 35.4 540000 CP Fy = 2530 kgf/cm 2 Fu = 4080 kgf/cm 2 d Tf Bf h Tw d Tf Bf h Tw d Tf Bf h Tw d Tf Bf h Tw d Tf Bf h Tw d Tf Bf h Tw Tf = Espesor de las alas. d = Altura total del perfil h = Altura interior del perfil Tw = Espesor del alma. Bf = Ancho del perfil o del ala
  • 110.
    110 ANEXO C PERFIL ESTRUCTURALECO CONDUVEN CIRCULAR Fuente: http:/www.hierrobeco.com DIMENSIONES SECCIÓN A cm² PESO kgf/m PROPIEDADES ESTÁTICAS DIÁMETR O Pulg. mm l S r D e cm4 cm³ cm 3 76.2 2.25 5.2 4.10 4.10 9.4 2.6 3 1/2 88.9 2.25 6.1 4.81 4.81 12.9 3.1 4 1/2 114.3 2.50 8.8 6.89 6.89 24.0 4.0 5 127.0 3.00 11.7 9.17 9.17 35.4 4.4 5 1/2 139.7 3.40 14.6 11.43 11.43 48.4 4.8 6 152.4 4.00 18.6 14.64 14.64 67.4 5.2 6 5/8 168.3 4.30 22.2 17.39 17.39 88.5 5.8 7 5/8 193.7 4.50 26.7 20.99 20.99 123.6 6.7 8 5/8 219.1 5.50 36.9 28.97 28.97 192.2 7.6 9 5/8 244.5 5.50 41.3 32.41 32.41 241.3 8.5 9 5/8 244.5 7.00 52.2 41.00 41.00 301.4 8.4 10 3/4 273.1 7.00 58.5 45.93 45.93 379.4 9.4 10 3/4 273.1 9.00 74.7 58.61 58.61 477.1 9.3 12 3/4 323.9 9.00 89.0 69.88 69.88 681.8 11.1 12 3/4 323.9 11.00 108.1 84.87 84.87 817.9 11.1 De Y x Materia Prima: Astm – A – 500 Grado C Esfuerzo De Fluencia Fy = 3.515 Kg /cm2 . Flexión F6 = 0.72 X Fy. Longitud 12 metros Recomendado como Columnas, por soportar grandes cargas axiales. Norma Covenin 2063-99
  • 111.
    111 ANEXO C PERFIL ESTRUCTURALECO CONDUVEN RECTANGULAR Fuente: http:/www.hierrobeco.com DIMENSIONES SECCIÓ N A cm² PESO kgf/ m PROPIEDADES ESTÁTICAS H X B mm mm lx cm4 Sx cm rx cm Ly cm Sy cm3 ry cme r 80 x 40 2.25 3.38 5.02 3.94 40.61 10.15 2.84 13.84 6.92 1.66 100 x 40 2.25 3.38 5.92 4.65 71.37 14.27 3.47 17.05 8.53 1.70 120 x 60 2.50 3.75 8.54 6.70 159.29 26.55 4.32 54.67 18.22 2.53 140 x 60 3.00 4.50 11.33 8.89 274.27 39.18 4.92 73.46 24.49 2.55 160 x 65 3.40 5.10 14.44 11.34 449.65 56.21 5.58 110.41 33.97 2.77 180 x 65 4.00 6.00 18.41 14.45 697.99 77.55 6.16 140.88 43.35 2.77 200 x 70 4.30 6.45 21.85 17.15 1016.19 101.62 6.82 194.94 55.70 2.99 220 x 90 4.50 6.75 26.39 20.72 1561.83 141.98 7.69 388.34 86.30 3.84 260 x 90 5.50 8.25 36.25 28.46 2844.82 218.83 8.86 536.10 119.31 3.85 300 x 100 5.50 8.25 41.75 32.77 4366.42 291.09 10.23 777.00 155.40 4.31 300 x 100 7.00 10.50 52.36 41.10 5360.46 357.36 10.12 943.61 188.72 4.25 320 x 120 7.00 10.50 57.96 45.50 7032.23 439.51 11.02 1512.2 4 252.04 5.11 320 x 120 9.00 13.50 73.18 57.45 8654.16 540.89 10.87 1841.3 1 306.88 5.02 350 x 170 9.00 13.50 87.58 68.75 13546.1 0 774.06 12.44 4418.3 0 519.80 7.10 350 x 170 11.00 16.50 105.41 82.74 15966.4 3 912.37 12.31 5179.0 4 609.30 7.01 B y H=B e y X R Materia Prima: Astm – A – 500. Grado C Esfuerzo De Fluencia Fy = 3.515 kg. + /cm2 . Fb = 0.72 X Fy. Recomendado Como Vigas Para Grandes Momentos; Cargas Axiales Moderadas Y Valores (Kl) Pequeños. Norma Covenin 2063-99 Longitud: 12 metros
  • 112.
    112 ANEXO C PERFIL ESTRUCTURALECO CONDUVEN CUADRADO Fuente: http:/www.hierrobeco.com DIMENSIONES SECCIÓN A cm² PESO kgf/m PROPIEDADES ESTÁTICAS H X B mm mm l S r e r cm4 cm³ cm 60 x 60 2.25 3.38 5.02 3.94 27.40 9.13 2.34 70 x 70 2.25 3.38 5.92 4.65 44.60 12.74 2.74 90 x 90 2.50 3.75 8.54 6.70 107.46 23.88 3.55 100 x 100 3.00 4.50 11.32 8.89 175.10 35.02 3.93 110 x 110 3.40 5.10 14.10 11.07 263.04 47.82 4.32 120 x 120 4.00 6.00 18.01 14.14 397.30 66.22 4.70 135 x 135 4.30 6.45 21.85 17.15 612.27 90.71 5.29 155 x 155 4.50 6.75 26.39 20.72 982.43 126.77 6.10 175 x 175 5.50 8.25 36.25 28.46 1709.23 195.34 6.87 200 x 200 5.50 8.25 41.75 32.77 2597.67 259.77 7.89 200 x 200 7.00 10.50 52.36 41.10 3194.10 319.41 7.81 220 x 220 7.00 10.50 57.96 45.50 4314.30 392.21 8.63 220 x 220 9.00 13.50 73.18 57.45 5317.27 483.29 8.52 260 x 260 9.00 13.50 87.58 68.75 9038.52 695.27 10.16 260 x 260 11.00 16.50 105.41 82.74 10656.87 819.76 10.06 H=B B e YY XR Materia Prima: Astm – A – 500 Grado C Esfuerzo De Fluencia Fy = 3.515. KG.F/cm2 Fb = 0.69 x Fy. Recomendado como Columna, para cargas axiales grandes, momentos moderados y (KL)grandes. Norma Covenin 2063-99 Longitud 12 Metros.
  • 113.
    113 ANEXO D. Fuente: POPOV,Egor P. (1.978). Editorial Limusa. México
  • 114.