Incrustar presentación
Descargar como PPSX, PPTX











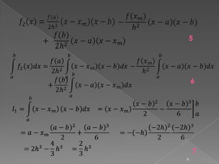
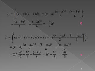
El documento describe el método de Simpson 1/3, el cual se usa para hallar el valor aproximado del área bajo una curva definida. Explica que la fórmula de Simpson 1/3 requiere la función y el intervalo de evaluación, y luego detalla cómo aplicar la regla simple y compuesta de Simpson 1/3 para resolver integrales mediante la sustitución de valores en la fórmula correspondiente.










