1
{ } ∫
∞
−
==
0
)()()( dttyetyLsY st
La transformada de Laplace
2
Pierre-Simon Laplace
(1749 - 1827)
"Podemos mirar el estado presente del
universo como el efecto del pasado y
la causa de su futuro.
Se podría condensar un intelecto que
en cualquier momento dado sabría
todas las fuerzas que animan la
naturaleza y las posiciones de los
seres que la componen, si este
intelecto fuera lo suficientemente
vasto para someter los datos al
análisis, podría condensar en una
simple fórmula el movimiento de los
grandes cuerpos del universo y del
átomo más ligero; para tal intelecto
nada podría ser incierto y el futuro así
como el pasado estarían frente sus
ojos."
3
Sea f(t) una función definida para t ≥ 0, su
transformada de Laplace se define como:
donde s es una variable compleja
Se dice que la transformada de Laplace de f(t) existe
si la integral converge.
dtetfsFtfL st−
∞
∫==
0
)()()}({
.iws += σ
La transformada de Laplace
4
Observa que la transformada de Laplace es una
integral impropia, uno de sus límites es infinito:
0 0
( ) lim ( )
h
s t s t
h
e f t dt e f t dt
∞
− ⋅ − ⋅
→∞
=∫ ∫
{ }( ) ( ),f t F s=L
{ }
{ }
( ) ( ),
( ) ( ), etc.
y t Y s
x t X s
=
=
L
L
Notación:
5
Condiciones suficientes de existencia de la TL
Si f(t) es continua a trozos en [0, ∞) y
),0[,|)(| ∞∈∀≤ tMetf at
Es decir, f(t) es de orden exponencial en el infinito:
0|)(|lim =ℜ∈∃ −
∞→
bt
t
etftqb
Entonces:
L{f(t)} = F(s) existe ∀s > a.
dtetfsFtfL st−
∞
∫==
0
)()()}({
6
{ }
{ } 00
11
11
0
0
>>⇒==
=
−
===
−−+−−
∞
−
∞
−
∫
sRe,aeeee
s
e
s
dte)s(FL
ibtatt)iba(st
stst
Calcula la transformada de f(t) = 1:
{ } .sRe,
s
)s(F)t(f 0
1
1 >=→=
Nota: Obviamente L{a} = a/s y L{0} = 0.
7
{ }
{ }1
0
1
0
1
0
0
)(
−
∞
−−
∞
−
−
∞−
∞
−
==
=
−
−
−
===
∫
∫∫
nstn
st
n
st
nstnn
tL
s
n
dtet
s
n
dt
s
e
nt
s
e
tdtetsFtL
Calcula la transformada de f(t) = tn
:
1
!
)()( +
=→= n
n
s
n
sFttf
{ } { }
{ }
{ } 1
0
1
!
1 +
−
=






=
=
n
n
nn
s
n
tL
s
tL
tL
s
n
tL
{ }( )0>sRe
8
{ } ( )
( )
1
1
1
1
)(
0
1
0
1
0
+
=
+
−
====
∞
+−
∞
+−
∞
−−−
∫∫
s
e
s
dtedteesFeL
ts
tssttt
Calcula la transformada de f(t) = e-t
:
1
1
)()(
+
=→= −
s
sFetf t
{ }( )1−>sRe
9
{ } ( )
( )
as
as
A
e
as
A
dtAedteAesFAeL
tas
tasstatat
>
−
=
−
−
====
∞
−−
∞
−−
∞
−
∫∫
,
)(
)(
0
00
Calcula la transformada de f(t) = Aeat
:
a}sRe{,
as
A
)s(FAe)t(f at
>
−
=→=
10
{ }
( ) dteatsen
s
a
s
a
dt
s
e
atsena
s
e
at
s
a
dt
s
e
ata
s
e
atsendteatsensFatsenL
st
stst
stst
st
∫∫
∫∫
∞
−
∞
−∞−
∞
−∞−
∞
−
−=








−
−−
−
=
−
−
−
===
0220
0
0
0
0
)()()cos(
)cos()()()()(
Calcula la transformada de f(t) = sen(at):
22
)()()(
as
a
sFatsentf
+
=→=
222
2
2
2
;1
as
a
I
s
a
I
s
a
+
==





+
Ejercicio: calcula F(s) para f(t) = cos(at)
{ }( )0>sRe
11
{ }
( ) ( )
( )
( ) ( ) ( ) ( )
( ) ( ) ( )
( ) ( )
[ ]
( ) ( ) ( )[ ]
( ) 222222
022
00
0
0
2
2
2
1
2
1
2
1
2
1
2
1
2
2
as
a
asi
ia
iasias
asi
eiaseias
asi
ias
e
ias
e
iias
e
ias
e
i
dtee
i
dte
i
ee
)s(F)at(senL
i
ee
)at(sen
tiastias
tiastiastiastias
tiastias
st
iatiat
iatiat
+
=
+
=+−−
+
=+−−
+
=





−
−
+
=





−−
−
+−
=−
=
−
==
−
=
∞+−−−
∞
+−−−
∞
−−+−
∞
−−+−
∞
−
−
−
∫
∫
Calculemos la transformada de f(t) = sen(at) de nuevo:
12
{ } ( )
( )
{ } { })()cos(
11
)(
)()cos(
2222
22
0
00
atseniLatL
as
a
i
as
s
as
ias
ias
ias
ias
e
ias
dtedteesFeL
atseniate
tias
tiasstiatiat
iat
+=
+
+
+
=
+
+
=
+
+
−
=
+−
====
+=
∞
+−
∞
+−
∞
−
∫∫
Calculemos la transformada de f(t) = eiat
:
13
c
1
t
0 if
( )
1 if
t c
u t c
t c
<
− = 
≥
La función Heaviside o escalón unidad:
c
0
1
{ }
0
1 1
( ) ( ) lim
lim lim ( )
h
s t s t
h
c
h s cs t s h s c
s sch h
u t c e u t c dt e dt
ee e e
s
∞
− ⋅ − ⋅
→∞
− ⋅− ⋅ − ⋅ − ⋅− −
→∞ →∞
− = − = =
= − =
∫ ∫L
14
Función delta de Dirac
ε/1
a ε+a
área = 1
Sea la función parametrizada:
t
)(lim)( 0 tfat εεδ →=−
{ } 




 −
=





−=
−
−
+−−
s
e
e
s
e
s
e
tfL
s
as
saas
εε
εε
ε
11
)(
)(
{ } as
s
as
s
as
e
s
se
e
s
e
etfL −
−
→
−
−
→
−
→ =





=




 −
=
ε
ε
ε
εεε
ε
000 lim
1
lim)(lim
)(tfε
( )[ ])()(
1
)( ε
ε
ε +−−−= atuatutf
Observemos que
15
t
a
{ }
{ } 1)(
)(
=
=− −
tL
eatL as
δ
δ )( at −δ)(tδ
Así la transformada de la función delta de Dirac es:
16
Funciones periódicas
Supongamos que f (t) es una función periódica de periodo T.
Entonces:
{ } )(
1
1
)()( 1 sF
e
tfLsF sT−
−
==
donde F1(s) es la transformada de Laplace de la función f(t)
sobre el primer periodo y cero fuera.
∫
−
=
T
st
dttfesF
0
1 )()(
t t
T
17
)()(
)()(
,)()(
)()(
)()(
0
00
0
)(
0
0
0
sFedttfe
dfeedttfe
TtdTfedttfe
dttfedttfe
dttfesF
sT
T
st
ssT
T
st
Ts
T
st
T
st
T
st
st
−−
∞
−−−
∞
+−−
∞
−−
∞
−
+=
+=
−=++=
+=
=
∫
∫∫
∫∫
∫∫
∫
ττ
τττ
τ
τ
Demostración
18
Ejemplo: onda cuadrada
a 2a
aT 2=
)(
1
1
)( 12
sF
e
sF as−
−
=
( )asas
a
a
st
a
st
ee
s
dtedttfesF 2
22
0
1
1
)()( −−−−
−=== ∫∫
)1(
1
)1(
)( 2
2
asas
asas
eses
ee
sF
+
=
−
−
=∴ −
−−
19
Tabla de transformadas de Laplace
( )
( )
( )
2 2
2 2
2 2
2 2
1
sen
cos
sen
cos
!
at
at
n at
n
t
s
s
t
s
e t
s a
s a
e t
s a
n
t e
s a
ω
ω
ω
ω
ω
ω
ω
ω
ω
ω
−
−
−
+
+
+
+ +
+
+ +
+
( )
as
e
s
n
t
t
s
t
at
n
n
+
−
+
1
!
s
1
1
1
1
1
2
δ
20
21
22
23
24
25
Al proceso inverso de encontrar f(t) a partir de F(s) se le
conoce como transformada inversa de Laplace y se
obtiene mediante:
conocida también como integral de Bromwich o integral
de Fourier-Mellin.
∫
∞+
∞−
−
≥==
i
i
st
tdsesF
i
tfsFL
γ
γπ
0,)(
2
1
)()}({1
Transformada inversa de Laplace
26
Re(s)
Im(s)
γ
∫
∞+
∞−
−
≥==
i
i
st
tdsesF
i
tfsFL
γ
γπ
0,)(
2
1
)()}({1
γ determina un contorno vertical
en el plano complejo, tomado de
tal manera que todas las
singularidades de F(s) queden
a su izquierda.
Con condiciones de existencia:
∞<
=
∞→
∞→
)(lim)2(
0)(lim)1(
ssF
sF
s
s
27
Por ejemplo, determinemos:
Puesto que la función a invertir tiene un polo en s = -1,
entonces basta con tomar γ > -1. Tomemos γ = 0 y el
contorno de integración C de la figura.






+
−
2
1
)1(
1
s
L
Re(s)
Im(s)
γ=0-1
C1
R
-R
=
+
= ∫∫
∞+
∞−
ds
s
e
i
dsesF
i C
st
i
i
st
2
)1(2
1
)(
2
1
ππ
γ
γ
∫ ∫−
=
+
+
+
iR
iR
C
stst
s
e
i
ds
s
e
i 1
22
)1(2
1
)1(2
1
ππ
0 por la desigualdad ML
cuando R→∞ con t≥0.






+
===





+
= −−
−→−= 2
1
121 )1(
1
lim
)1(
Res
2
2
s
Ltee
ds
d
s
e
i
i tst
s
st
sπ
π
Haciendo R→∞ y utilizando
teoría de residuos:
28
Sea F(s) una función analítica, salvo en un número finito
de polos que se encuentran a la izquierda de cierta vertical
Re(s) = γ. Y supongamos que existen m, R, k > 0 tq. para
todo s del semiplano Re(s) ≤ γ y |s| > R, tenemos que
k
s
m
sF ≤|)(|
[ ]
).(depoloslossons,...,s,sdonde
)(Res)}({
n21
1
1
sF
sFesFL
n
k
st
ss k
∑=
=
−
=
Entonces si t > 0:
En particular, sea F(s) = N(s)/D(s), con N(s) y D(s)
polinomios de grado n y d respectivamente, d > n;
entonces podemos usar la igualdad anterior.
29
Ejercicio: Calcular, a partir de su definición, la transformada inversa de Laplace
de la función
)2)(1(
)(
++
=
ss
s
sg
Respuesta. [ ]
  
I
ib
ib
st
dse)s(glim
i
)s(gL ∫
ρ+
ρ−∞→ρ
−
π
=
2
11
s=-1
s=-2 Re(s)
Im(s)
t > 0 t < 0



−=
−=
=
2
1
)()(
s
s
esgsf st
puntos singulares aislados
de f(s).
s = -1; polo simple:
s = -2; polo simple:
[ ] t
-s
esg −
=
−=)(Res
1
[ ] t
-s
esg 2
2
2)(Res −
=
=
[ ] [ ][ ]




<=
>+=
==
0,0
0,)(Res)(Res2
21
tI
tsfsfiI
-s-s
π [ ]
[ ] 0,0)(
0,2)(
1
21
<=
>+−=
−
−−−
tsgL
teesgL tt
30
Ejemplo, determinar:






+−
= −
2
1
)1)(2(
1
)(
ss
Ltf
.1sy2s:dobleotroysimpleunopolos,dosposee
)1)(2(
)(
21
2
−==
+−
=
ss
e
sFe
st
st
9
3
2
lim
)1(
lim
)1)(2(
Res
)1)(2(
Res)(
2
122
2122
tttst
s
st
s
st
s
st
s
etee
s
e
ds
d
s
e
ss
e
ss
e
tf
−−
−→→
−==
−−
=
−
+
+
=





+−
+





+−
=
31
P2. Junio 2007
1. Emplear la integral de Bronwich para determinar
Respuesta.






−+
−
2
1
)2)(1(
1
ss
L
[ ]
2
1
2
)2)(1(
)(
)(lim
2
1
)(
,
)2)(1(
1
)(
−+
=
=
∈
−+
=
∫
+
−∞→
−
ss
e
sf
dsesg
i
sgL
Cs
ss
sg
st
ib
ib
st
ρ
ρρπ
s = -1, s = 2, puntos singulares
aislados de f
32
( )
∫ ∫ ∫
∫ ∑
Γ
Γ
=
+
+=
=
>
1
1
)()()(
)(Res2)(
0,tdevaloresPara
2
1
ρ γ
π
C
R
s
dssfdssfdssf
sfidssf
R
γ
γ
ρ
ρ
∪Γ
∪Γ
−
+
C
C
:
:
2
1
s=2s=-1 Re (s)
Im (s)
γρC
33
Residuo en s = -1
t
st
esf
s
ss
e
s
sf
−
=
=−Φ′=
Φ
+
=
−+
=
9
1
)1()(Res
)(
1
1
)2(1
1
)(
-1s
2
Residuo en s = 2
tt
st
etesf
s
ss
e
s
sf
22
2s
22
9
1
3
1
)2()(Res
)(
)2(
1
1)2(
1
)(
−=Ψ′=
Ψ
−
=
+−
=
=
34
[ ]
( )
[ ]
∫
∫
∫
∫
+
>=
+−=






+−=
+=
∞→
Γ
−
∞→
Γ
−
Γ =−=
ρρ
ρ
π
π
π
C
ttt
ttt
ss
tdssf
teeeidssf
teeeidssf
rfrfidssf
0para,0)(lim
3
9
1
2)(lim
3
1
9
1
2)(
)(Res)(Res2)(
1
1
1
22
22
21
35
∫ ∫
+
−∞→∞→ −+
=
γ
ρ
ρρρ
ds
ss
e
dssf
ib
ib
st
2
)2)(1(
lim)(lim
[ ] 0,3
9
1
)2)(1(
1 22
2
1
>−+=





−+
−−
tetee
ss
L ttt
36
Para valores de t < 0,
∫
∫ ∫ ∫
∫ ∫ ∫
∫ ∑
−
−
−
<=
+=
+=
=−=
∞→
Γ ∞→∞→∞→
Γ
Γ
ρ
ρ
ρ
ρ
γρρρ
γ
π
C
C
C
R
s
tdssf
dssfdssfdssf
dssfdssfdssf
sfidssf
R
0para,0)(lim
)(lim)(lim)(lim
)()()(
0)(Res2)(
2
2
2
[ ] 0,0)(1
<=−
tsgL
37
1. Linealidad: Si c1 y c2 son constantes, f1(x) y
f2(x) son funciones cuyas transformadas de
Laplace son F1(x) y F2(x), respectivamente;
entonces:
).()()}()({ 22112211 sFcsFctfctfcL +=+
La transformada de Laplace es un operador lineal.
Propiedades
38
{ }
[ ]
{ } { })()(
)()(
)()(
)()(
2211
0
22
0
11
0
2211
2211
tfLctfLc
dtetfcdtetfc
dtetfctfc
tfctfcL
stst
st
+
=+
=+
=+
∫∫
∫
∞
−
∞
−
∞
−
Demostración:
39
2. Desplazamiento temporal
( )
)(
)(
)(
)()()(
)()(
0
0
0
0
0
0
0
00
0
sFe
tt
dfee
dtttfe
dtttuttfesX
dttfesF
st
sst
t
st
st
st
−
∞
−−
∞
−
∞
−
∞
−
=
−=
=
−=
−−=
=
∫
∫
∫
∫
λ
λλλ



<
>−
=−=
0
00
0
,0
),(
)()()(
tt
ttttf
ttutftg
)()}()({
)()}({
0
0 sFettutfL
sFtfL
st−
=−
=
40
Ejemplo:





 −
−
3
3
1
s
e
L
s
{ } 3
2 2
s
tL = { } 3
32 2
)3()3(
s
etutL s−
=−−
)3()3(
2
1 2
3
3
1
−−=






∴
−
−
tut
s
e
L
s
3
t
41
)(
)()()(
)()(
0
)(
0
0
asF
dttfedttfeesX
dttfesF
tasatst
st
+=
==
=
∫∫
∫
∞
+−
∞
−−
∞
−
{ } { } 22
)(
11
as
teL
s
tL at
−
=→=
3. Desplazamiento en frecuencias
Ejemplo:
)()}({
)()}({
asFtfeL
sFtfL
at
+=
=
−
42
4. Cambio de escala en tiempo
( )
)/()/1(
)(
1
)()(
)()(
0
)/(
0
0
asFa
atdfe
a
dtatfesX
dttfesF
as
st
st
=
==
=
=
∫
∫
∫
∞
−
∞
−
∞
−
λλλλ






=
=
a
s
F
a
atfL
sFtfL
1
)}({
)()}({
43
5. Derivada de la transformada de Laplace
[ ]
{ })(
)(
)()(
)()(
0
0
0
ttfL
dtttfe
dttfe
ds
d
sF
ds
d
dttfesF
st
st
st
−=
−=






=
=
∫
∫
∫
∞
−
∞
−
∞
−
{ })()(
)}({)(
ttfLsF
tfLsF
−=′
=
44
6. Transformada de Laplace de las derivadas de
una función
La transformada de Laplace de la derivada de una
función está dada por:
donde f(0) es el valor de f(t) en t = 0.
La transformada de Laplace de la segunda derivada
de una función está dada por:
)0()()}('{ fssFtfL −=
)0(')0()()}(''{ 2
fsfsFstfL −−=
45
En forma similar:
Demostración:
)0()0(')0()()}({ )1(21)( −−−
−−−−= nnnnn
ffsfssFstfL 
{ } ( )
)0()()()0(
)()()(')('
0
0
0
0
fssFdttfesf
dttfsetfedttfetfL
st
ststst
−=−−=
−−==
∫
∫∫
∞
−
∞
−∞−
∞
−
( ) 0)(lim =−
∞→
tfe st
t
46
Supongamos que:
)0()0(')0()()}({ )2(321)1( −−−−−
−−−−= nnnnn
ffsfssFstfL 
{ } ( )
{ }
)0()0(')0()(
)0()()()0(
)()()()(
)1(21
)1()(
0
)1()1(
0
)1(
0
)1(
0
)()(
−−−
−
∞
−−−
∞
−−∞−−
∞
−
−−−−
=−=−−=
−−==
∫
∫∫
nnnn
nnnstn
nstnstnstn
ffsfssFs
ftfsLdttfesf
dttfsetfedttfetfL

Entonces: ( ) 0)(lim )1(
=−−
∞→
tfe nst
t
47
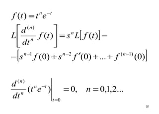
Ejercicio: Determina la transformada de Laplace de la
función
usando la transformada de Laplace de
)cos()( attf =
)(tf ′′
[ ]
[ ]
[ ]
22
222
22
2
2
2
)(
)()()(
01)()(
)0()0()()(:quePuesto
0(0)fy1f(0)con)()(
)cos()(
)()(
)cos()(
:Tenemos
as
s
sF
ssFssFatfLa
ssFstfaL
fsfsFstfL
tfatf
atatf
atasentf
attf
+
=⇒
⇒−=−=−⇒
⇒−⋅−=−⇒
⇒′−−=′′
=′=−=′′⇒
⇒−=′′
−=′
=
48
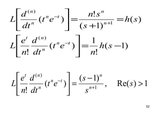
49
50
Emplear las propiedades correspondientes para determinar la
transformada de Laplace de los polinomios de Laguerre, que se
definen como:
...2,1,0),(
!
)(
)(
== −
net
dt
d
n
e
tL tn
n
nt
n
Respuesta.
[ ]
[ ] 11
)(
)1(
!
)1(
!)1(
)1()()1(
1)Re(),(
1
1
++
−
−
+
=
+
−
−=−=
>=
+
=
nn
n
nnntn
t
s
n
s
n
sgetL
ssg
s
eL
51
[ ]
[ ]
...2,1,0,0)(
)0(...)0()0(
)()(
)(
0
)(
)1(21
)(
==
++′+−
−=





=
=
−
−−−
−
net
dt
d
ffsfs
tfLstf
dt
d
L
ettf
t
tn
n
n
nnn
n
n
n
tn
52
)1(
!
1
)(
!
)(
)1(
!
)(
)(
1
)(
−=





=
+
=





−
+
−
sh
n
et
dt
d
n
e
L
sh
s
sn
et
dt
d
L
tn
n
nt
n
n
tn
n
n
1)Re(,
)1(
)(
! 1
)(
>
−
=





+
−
s
s
s
et
dt
d
n
e
L n
n
tn
n
nt
Gracias a esta propiedad y a la linealidad de
la TL podemos convertir una ec. diferencial como
" 3 ' 4 ( 1)
(0) 1, '(0) 2
y y y t u t
y y
+ − = ⋅ −
= − =
en una ec. algebraica
2
2 1
( )*( 3 4) ( 1) s
s
s e
Y s s s s +
⋅
+ − + + =
Resolver para
y(t)
Resolver para
Y(s)
Ec. Diferencial
Transformada de
Laplace
Ec. Algebraica
Si resolvemos la ec. algebraica:
2
2 2
( 1) ( 1)
( )
( 3 4)
s s
s s e e
Y s
s s s
−
− + ⋅ ⋅ − ⋅
=
⋅ + −
y encontramos la transformada inversa de
Laplace de la solución, Y(s), encontraremos
la solución de la ec. diferencial.
Ec. Algebraica
Solución de la
Ec. Diferencial
Inversa de la
Transformada
de Laplace
La transformada inversa de Laplace
de:
es
4 43 32 1
5 80 4 16
432
5 5
( ) ( 1)( + ( ) )
( )( ( ) )
t te
e
t t
y t u t e e t
u t e e
−
−
= − ⋅ ⋅ − −
− ⋅ − ⋅
2
2 2
( 1) ( 1)
( )
( 3 4)
s s
s s e e
Y s
s s s
−
− + ⋅ ⋅ − ⋅
=
⋅ + −
4 43 32 1
5 80 4 16
432
5 5
( ) ( 1)( + ( ) )
( )( ( ) )
t te
e
t t
y t u t e e t
u t e e
−
−
= − ⋅ ⋅ − −
− ⋅ − ⋅
es la solución de la ec. diferencial:
" 3 ' 4 ( 1)
(0) 1, '(0) 2
y y y t u t
y y
+ − = ⋅ −
= − =
De modo que:
Para conseguirlo hemos aplicado:
Primero, que la TL y su inversa son lineales:
{ } { } { }
{ } { } { }1 1 -1
( ) ( ) ( ) ( ) ,
( ) ( ) ( ) ( )
cf t g t c f t g t
cF s G s c F s G s− −
+
+
L = L + L
L = L + L
{ } { }
{ } { }2
'( ) ( ) (0),
''( ) ( ) (0) '(0)
f t s f t f
f t s f t s f f
⋅ −
⋅ − ⋅ −
L = L
L = L
and
etc...
Y segundo, la TF de las derivadas de una
función son:
A este método se le conoce como cálculo de Heaviside.
Por ejemplo:
01
2
1
01
2
01
)0()0(')0(
)(
0)()}0()({)}0(')0()({
0)()(')(''
asas
fafsf
sF
sFafssFafsfsFs
tfatfatf
++
++
=
=+−+−−
=++
Y antitransformando obtendremos la solución.
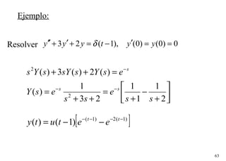
Veamos un ejemplo concreto: Resolver la ec. diferencial
)4)0(y0()(2)(' 3
=≥=+ −
ftetftf t
tt
t
tt
eetf
ss
sF
s
sFssF
s
sFfssF
eLtfLtfL
etftfLetftf
32
3
33
5)(
3
1
2
5
)(
0
3
1
)(24)(
0
3
1
)(2))0()((
0}{)}({2)}('{
0})(2)('{;0)(2)('
−−
−
−−
−=→
+
−
+
=
=
+
−+−
=
+
−+−
=−+
=−+=−+
62
Ejemplo
Resolver
2222
)1()1(
1
)(
+
+
+
=
−
s
e
s
sY
sπ
0)0()0(,
0
0sin
=′=



>
<≤
=+′′ yy
t
tt
yy
π
π
{ }
{ }
11
1
)sin()(sin
sin)(sin)()(
22
2
+
+
+
=
−−+=
−−=+
−
s
e
s
ttutL
ttutLsYsYs
sπ
ππ
π
[ ] [ ]
[ ]



≥−
<≤−
=
−−−−−+−=
ππ
π
ππππ
tt
tttt
ttttutttty
cos
0cossin
)cos()()sin()(cossin)(
2
1
2
1
2
1
2
1
63
Ejemplo:




+
−
+
=
++
=
=++
−−
−
2
1
1
1
23
1
)(
)(2)(3)(
2
2
ss
e
ss
esY
esYssYsYs
ss
s
[ ])1(2)1(
)1()( −−−−
−−= tt
eetuty
Resolver 0)0()0(),1(23 ==′−=+′+′′ yytyyy δ
64
7. Transformada de Laplace de la integral de una
función
{ } s
sF
tfL
s
duufL
t )(
)}({
1
)(
0
==∫
)(
1
)(
11
)(
)()(
)()(
00
0
0
0
0
sF
s
dttfe
s
e
s
df
dtdfesX
dttfesF
stst
t
t
st
st
=
+



−



=



=
=
∫∫
∫ ∫
∫
∞
−
∞
−
∞
−
∞
−
ττ
ττ
Si existe la TL de f(t) cuando Re(s) > p ≥ 0,
entonces:
para Re(s) > p.
65
Ejercicio: Obtener la transformada de Laplace de la función:
du)usinh()ucosh(u)t(f
t
86
0
3
∫=
Respuesta.
[ ] [ ]gL
s
fL
duug
duuuutf
t
t
1
)(
)8sinh()6cosh()(
0
0
3
=
=
==
∫
∫
66
22
)8sinh()6cosh()(
8866
33
tttt
eeee
tttttg
−−
++
==
( )tttt
eeeetg 142214
4
1
)( −−
−+−=
[ ]
[ ] ⇒





+
−
−
+
+
−
−
=
−>
+
= +
−
4444
1
)14(
!3
)2(
!3
)2(
!3
)14(
!3
4
1
)Re()Re(,
)(
!
ssss
gL
zs
zs
n
etL n
ztn
[ ] 





+
−
−
+
+
−
−
=⇒ 4444
)14(
1
)2(
1
)2(
1
)14(
1
2
3
sssss
fL
67
{ } s
sF
duufL
t )(
)(
0
=∫ ∫
∞
=






s
duuF
t
tf
L )(
)(
{ })()(con tfLsF =
8. Transformada de Laplace de f(t)/t
68
Calcula la transformada de Laplace de
t
t
tf
sin
)( =
{ }
( )
duuF
t
tf
L
s
sF
s
I
s
I
s
dtet
ss
dt
s
e
t
s
e
t
s
dt
s
e
t
s
e
tdtetsFtL
s
I
st
stst
stst
st
∫
∫∫
∫∫
∞
≡
∞
−
∞
−∞−
∞
−
∞
∞−
−
=






+
=⇒
+
==





+⇒
⇒−=








−
+
−
−
−
−
===
)(
)(
:empleandoAhora,
1
1
)(
1
1
;
11
1
sin
11
sincos
1
cossin)(sin)(sin
2222
0220
0
00
0
  
sudu
ut
t
L ss
arctan
2
arctan
1
1sin
2
−==
+
=





 ∞∞
∫
π
69
)cos()()(Si attftg =
24
222
2222
0
4
2
2
22
2
)()()(
)(
)(
1
)(
as
aais
a
ais
a
i
aias
a
aias
a
i
dte
t
atsen
sG
atsen
t
tg
st
+
=




−
−
+
=






+−
−
++
==
=
∫
∞
−
2
)()(
)(
iasFiasF
sG
−++
=
ℜ∈acon
Ejemplo:
)()()(Si atsentftg =
[ ]
2
)()(
)(
iasFiasFi
sG
−−+
=
ℜ∈acon
9. TF de f(t)cos(at) y f(t)sen(at)
70
10. Teorema del valor final
Si existe, entonces:
11. Teorema del valor inicial
El valor inicial f(0) de la función f(t) cuya
transformada de Laplace es F(s), es:
)(lim tf
t→∞
)(lim)(lim 0 ssFtf st →∞→ =
)(lim)(lim)0( 0
ssFtff st ∞→→
== +
71
Recordemos que
la operación se conoce
como la convolución de y y se
denota como
La transformada de Laplace de esta operación
está dada por:
∫
∞
∞−
− τττ dtff )()( 21
)(1 tf ),(2 tf
)}({)}({)}(*)({
)()()}(*)({
2121
2121
tfLtfLtftfL
sFsFtftfL
⋅=
⋅=
).(*)( 21 tftf
12. Integral de convolución
72




<
≥−
= ∫
0,0
0,)()(
)(*)( 0
t
tdtgf
tgtf
t
τττ
Si trabajamos con funciones que son cero para para t < 0,
entonces la convolución queda:
Así que para estas funciones podemos definirla convolución
como:
∫ ≥−=
t
tdtgftgtf
0
)0(,)()()(*)( τττ
73
De hecho, podemos utilizar la convolución para encontrar
transformadas inversas de Laplace:
1
1
11
)1(
1
0
2
1
2
1
−−==
∗=






−
=






−
∫
−
−−
tede
et
ss
L
ss
L
t
t
t
t
ττ τ
74
44
1
2
)()()(*)(
2
0
22
0
)(2
t
t
t
t
t
et
dee
dedtgftgtf
−
−
−−
∞
∞−
+−=
==−=
∫
∫∫
ττ
τττττ
τ
τ
)}({)}({)}(*)({ 2121 tfLtfLtftfL ⋅=
Ejemplo: Verificar que funciona para f(t) = t y g(t) = e-2t
con valores 0 para t < 0.
)2(
1
)2(
1
4
11
4
11
2
1
}{
4
1
}1{
4
1
}{
2
1
44
1
2
2
2
2
2
+
=
+
+−
=+−
=






+−
−
−
ss
sss
eLLtL
et
L
t
t
)2(
1
)2(
11
)2(
1
}{;
1
}{
22
2
2
+
=
+
+
== −
ssss
s
eL
s
tL t
75
Ejercicio: Obtener, mediante el método operacional de Laplace, la
solución del problema de Cauchy:
0)0(
1)0(
sin
=′
=
=+′′
y
y
tyy
Respuesta.
[ ] [ ] [ ]
[ ] 2
22
1
1
sin
)()0()0(yL);(
s
tL
ssYsysyyLssYyL
+
=
−=′−−=′′=
76
• Transformada de la ecuación:
[ ] [ ]
( ) ( ) 







+
+





+
=⇒
+
+
+
=⇒
⇒
+
=−+⇒=+′′
−−
22
1
2
1
222
2
2
1
1
1
)(
1
1
1
)(
1
1
)1(sin
s
L
s
s
Lty
ss
s
sY
s
ssYtLyyL
( )
tt
ss
L
s
L
t
s
s
L
sinsin
1
1
1
1
1
1
cos
1
22
1
22
1
2
1
∗=



++
=








+
=



+
−−
−
77
t
t
tduttu
duututt
t
t
cos
2
sin
2
1
)cos)2(cos(
2
1
)sin(sinsinsin
0
0
−=−−=
=−=∗
∫
∫
t
t
ttty cos
2
sin
2
1
cos)( −+=
78
{ }
1
1
)(
4
1)(;
1
1
0)}(*{41)(
1
1
)0()}({4)0()(
}{)(4)(;)()(4)(
)(
1
)}({}{
)()(*
0
2
−
=−−
−
=












−−−
−
=−−−
=






−






=−−
=
=
∫
s
sX
s
ssX
s
txtLsssX
s
hthsLxssX
eLth
dt
d
Ltx
dt
d
Ledssxst
dt
d
tx
dt
d
sX
s
txLtL
tt
thtxt
t

  
1)0(;)()(4)(
0
==



 −− ∫ xedssxsttx
dt
d t
t
Resolver la ec.integro-diferencial:
79
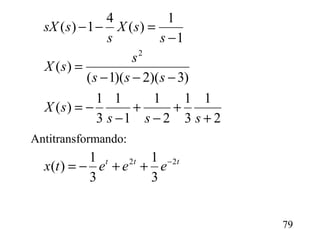
ttt
eeetx
sss
sX
sss
s
sX
s
sX
s
ssX
22
2
3
1
3
1
)(
2
1
3
1
2
1
1
1
3
1
)(
)3)(2)(1(
)(
1
1
)(
4
1)(
−
++−=
+
+
−
+
−
−=
−−−
=
−
=−−
Antitransformando:
80
Ejercicio: Obtener, mediante el método operacional de Laplace, la
solución del problema de Cauchy
Respuesta.
0)0(
)3()()(
0
)(3
=
−=



 − ∫
−
x
tduuxetx
dt
d t
ut
δ
)3()()(
)(
0
)(3
−=










− ∫
−
tduuxetx
dt
d
th
t
ut
δ
  
81
[ ] [ ]
[ ] [ ]
[ ] [ ] [ ]
[ ] [ ] ss
t
etLetL
sX
s
txLtfLthL
etfxfth
ssHhthsLthL
ssXxtxsLtxL
33
3
)()3(
)(
3
1
)()()(
)(,)(
)()0()()(
)()0()()(
−−
==−∗
−
=⋅=
=⋅=∗
=−=′∗
=−=′∗
δδ
82
[ ] 





−
+





=








−
+=
−
−
==



−
−
−
−
−
−−
−
−
−
44
1
4
3
)(
4
4
1
4
3
)(
)4(
)3(
)(,
3
)(
3
1
3
11
3
3
3
s
e
L
s
e
LsXL
ss
esX
ss
es
sXe
s
s
ssX
ss
s
s
s
)3(4
4
1
)3(
4
3
)( −
+−= t
etHtx
83
Raíces del denominador D(s) o polos de F(s):
Caso I – Polos reales simples
Caso II – Polos reales múltiples
Caso III – Polos complejos conjugados
Caso IV – Polos complejos conjugados
múltiples
)( as −
2
)( as −
))(( *
asas −−
0
1
1
0
1
1
)(
)(
)(
bsbs
asasa
sD
sN
sF m
m
m
n
n
n
n
+++
+++
== −
−
−
−


Desarrollo en fracciones parciales:
Se utiliza para facilitar el cálculo de la transformada inversa,
descomponiendo la función en componentes más sencillos.
[ ]2*
))(( asas −−
84
Caso I – Polos reales simples )( as −
32
)3)(2(
1
6
1
)(
)(
)( 23
+
+
−
+=
+−
+
=
−+
+
==
s
C
s
B
s
A
sss
s
sss
s
sD
sN
sF
Ejemplo
as
A
−
85
15
2
)2(
1
3
10
3
)3(
1
2
6
1
)3)(2(
1
3
2
0
−=





−
+
⇒
+
+=





+
+
⇒
−
−=





+−
+
⇒
−=
=
=
s
s
s
ss
s
s
C
ss
s
s
B
ss
s
s
A
32)3)(2(
1
)(
+
+
−
+=
+−
+
=
s
C
s
B
s
A
sss
s
sF
as
sD
sN
asA
=






−=
)(
)(
)(
86
)3)(2(
)2()3()3)(2(
326
1
23
+−
−++++−
=
+
+
−
+=
−+
+
sss
sCssBsssA
s
C
s
B
s
A
sss
s
)2()3()3)(2(1 −++++−=+∴ sCssBsssAs
A
ss
s
s
=





+−
+
∴
=0
)3)(2(
1
)6()23()(
)2()3()6(1
2
222
ACBAsCBAs
ssCssBssAs
−+−++++=
−+++−+=+
16;123;0 =−=−+=++ ACBACBA
método
alternativo
y resolver...
87




+
−



−
+



−=
+
+
−
+=
−+
+
=
3
1
15
2
2
1
10
31
6
1
32
6
1
)( 23
sss
s
C
s
B
s
A
sss
s
sF
La transformada inversa de Laplace es:
tt
eetf 32
15
2
10
3
6
1
)( −
−+−=
88
Otro ejemplo
2
1
1
2
1
1
211
)2)(1)(1(
372
)2)(1(
372
)(
2
2
2
+
−
−
+
+
=
+
+
−
+
+
=
+−+
++
=
+−
++
=
ssss
C
s
B
s
A
sss
ss
ss
ss
sF
1
)1)(3(
3148
)1)(1(
372
2
)3)(2(
372
)2)(1(
372
1
)1)(2(
372
)2)(1(
372
2
2
1
2
1
2
−=
−−
+−
=





+−
++
=
+=
++
=





++
++
=
+=
−
+−
=





+−
++
=
−=
+=
−=
s
s
s
ss
ss
C
ss
ss
B
ss
ss
A
Transformada inversa de Laplace:
ttt
eeetf 2
2)( −−
−+=
89
Caso II – Polos reales múltiples 2
)( as −
12)1)(2(
44
)(
)(
)( 22
23
−
+
−
++=
−−
+−
==
s
D
s
C
s
B
s
A
sss
ss
sD
sN
sF
Ejemplo
)()( 2
as
B
as
A
−
+
−
Polos reales
simples
Polos reales
múltiples
90
3
)1)(2(
44
2
)1)(2(
44
0
23
0
23
2
=











−−
+−
⇒
=





−−
+−
⇒
=
=
s
s
ss
ss
ds
d
s
B
ss
ss
s
A
as
sD
sN
asA
=






−=
)(
)(
)( 2
as
sD
sN
as
ds
d
B
=












−=
)(
)(
)( 2
)1)(2(
44
)( 2
23
−−
+−
=
sss
ss
sF
91
Transformada inversa de Laplace:
tt
eettf −−+= 2
32)(






−
−





−
−





+





=
−
+
−
++=
−−
+−
=
1
1
2
11
3
1
2
12
)1)(2(
44
)(
2
2
2
23
ssss
s
D
s
C
s
B
s
A
sss
ss
sF
92
En general, para polos reales múltiples:
( ) ( )
( )sN
sD
sF = ( ) ( ) ( ) ( )n
r
pspspssD −−−= 21
( )
( ) ( ) n
n
r
r
r
r
ps
a
ps
a
ps
a
ps
b
ps
b
ps
b
sF
−
++
−
+
−
+
−
++
−
+
−
= −
−

3
3
2
2
1
1
1
1
1
1
( )( )( )
1
1
!
1
ps
r
j
j
jr pssF
ds
d
j
b
=
− 





−=
( )( )[ ] ipsii pssFa =
−=
1
1
1
1
]))(([
)!1(
1
]))(([
!
1
]))(([
]))(([
11
1
1
1
11
1
ps
r
r
r
ps
r
j
j
jr
ps
r
r
ps
r
r
pssF
ds
d
r
b
pssF
ds
d
j
b
pssF
ds
d
b
pssFb
−=
−
−
−=
−
−=
−
−=






+
−
=






+=






+=
+=


93
Caso III – Polos complejos conjugados
ejemplo
))(( *
asas −−
ia
as
B
as
B
s
A
ss
2,
)4(
4
*
*
2
=
−
+
−
+=
+
2
1
)2(
4
2
1
)2(
4
1
4
4
2
*
2
0
2
−=





−
=
−=





+
=
+=





+
=
−=
=
=
is
is
s
iss
B
iss
B
s
A
conjugados complejos






−
+
−
−= *
11
2
11
asass
Transformada inversa de Laplace:
)2cos(1)( ttx −=
94
ejemplo
ia
as
B
as
B
ss
s
43,
256
4
*
*
2
+−=
−
+
−
=
++
+
)4(
8
1
43
4
)4(
8
1
43
4
43
*
43
i
is
s
B
i
is
s
B
is
is
+=



−+
+
=
−=



++
+
=
−−=
+−=
Transformada inversa de Laplace:
)cos(2)( φωσ
+= −
teBtf t
245.0,4,3
,
8
17
),4(
8
1
−===
=−=
φωσ
BiB
)245.04cos(
4
17
)( 3
−=∴ −
tetf t
donde
95
Se trata de repetir los métodos usados en los casos II y III,
teniendo en cuenta que trabajamos con complejos.
Caso IV – factores complejos conjugados múltiples
[ ]2*
))(( asas −−
96
Ejemplo: Obtener la solución del problema de valores
iniciales siguiente, mediante el método operacional de
Laplace.
2)0(;0)0(
2
3)2(22
2
=′=






−−=−− −
uu
ttseneu
dt
du
dt
ud t π
δ
[ ]
[ ] [ ] [ ] [ ]
[ ] [ ] [ ]
( )
( ) [ ]
( )
( )( ) [ ]
( )
⇒−
++
+=+−⇒
⇒−
++
+=−−⇒
⇒−
++
=−−−⇒
⇒











−−=−′−′′⇒
⇒











−−=−′−′′
−
−
−
−
−
s
s
s
t
t
e
s
uLss
e
s
uLss
e
s
uLusLuLs
tLtseneLuLuLuL
ttseneLuuuL
2
2
2
2
2
2
2
2
3
41
2
212
3
41
2
22
3
41
2
22
2
3)2(2
2
3)2(2
π
π
π
π
δ
π
δ
97
[ ]
( )( ) ( )[ ]( )( ) ( )( )
[ ]
( ) ( )






−−





−
−−−
−−
−
+−+−−=⇒
⇒
+
+
−
−
−
++
+
++
−
+
−
−
=⇒
⇒
+−
−
+−++
+
+−
=⇒
22
2
2
22
22
2
2
)2cos(
26
3
)2(
13
1
6
5
39
28
)(
1
1
2
1
4126
3
41
2
13
1
1
1
6
5
2
1
39
28
12
3
1241
2
12
2
ππ
ππ
π
tt
tttt
ss
s
eetetseneeetu
e
s
e
s
s
s
sss
uL
e
sssssss
uL
98
Ejercicio: Obtener la transformada de Laplace de la
función )5()3()( 3
tshtchttf =
[ ]
( )[ ]
( ) ( ) ( ) ( )[ ]
( )
( )
[ ]
( ) ( ) ( ) ( )
( ) ( ) ( ) ( ) 





+
−
−
+
+
−
−
=
=





+
−
−
+
+
−
−
=
−
=
−+−=
=−+−=
=




 −+
=
−−
−−
−−
4444
4444
4
3
83232383
82283
5533
33
8
1
2
1
2
1
8
1
2
3
8
!3
2
!3
2
!3
8
!3
4
1
)(
!3
4
1
4
1
22
)5()3(
ssss
ssss
tfL
as
etL
etLetLetLetL
eeeetL
eeee
tLtshtchtL
t
tttt
tttt
tttt
α

11 transformada de_laplace

Notas del editor

  • #4 &amp;lt;number&amp;gt;
  • #6 &amp;lt;number&amp;gt;
  • #26 &amp;lt;number&amp;gt;
  • #38 &amp;lt;number&amp;gt;
  • #45 &amp;lt;number&amp;gt;
  • #46 &amp;lt;number&amp;gt;
  • #47 &amp;lt;number&amp;gt;
  • #65 &amp;lt;number&amp;gt;
  • #68 &amp;lt;number&amp;gt;
  • #70 &amp;lt;number&amp;gt;
  • #71 &amp;lt;number&amp;gt;
  • #72 &amp;lt;number&amp;gt;
  • #73 &amp;lt;number&amp;gt;
  • #75 &amp;lt;number&amp;gt;