La transformada de Laplace
Sea  f(t)  una función definida para  t  ≥  0,  su transformada de Laplace se define como: donde  s  es una variable compleja  Se dice que la transformada de Laplace de  f(t)  existe si la integral converge. La transformada de Laplace
Pierre-Simon Laplace   (1749 - 1827)  "Podemos mirar el estado presente del universo como el efecto del pasado y la causa de su futuro. Se podría condensar un intelecto que en cualquier momento dado sabría todas las fuerzas que animan la naturaleza y las posiciones de los seres que la componen, si este intelecto fuera lo suficientemente vasto para someter los datos al análisis, podría condensar en una simple fórmula el movimiento de los grandes cuerpos del universo y del átomo más ligero; para tal intelecto nada podría ser incierto y el futuro así como el pasado estarían frente sus ojos."
Observa que la transformada de Laplace es una  integral impropia, uno de sus límites es infinito: Notación:
Condiciones suficientes de existencia de la TL Si f(t) es continua a trozos en [0,  ∞) y  Es decir, f(t) es de orden exponencial en el infinito:  Entonces: L{f(t)} = F(s) existe   s > a.
Unicidad de la TL Si f 1 (t) y f 2 (t) poseen la misma TL: L{f 1 (t) } = L{f 2 (t) }= F(s), entonces el teorema de Lerch garantiza que
Calcula la transformada de f(t) = 1: Nota: Obviamente L{a} = a/s y L{0} = 0.
Calcula la transformada de f(t) = t n :
Calcula la transformada de f(t) = e -t :
Calcula la transformada de f(t) = Ae at :
Calcula la transformada de f(t) = sen(at): Ejercicio: calcula F(s) para f(t) = cos(at)
Calculemos la transformada de f(t) = e iat :
c 1 t La función Heaviside o escalón unidad: c 0 1
Función delta de Dirac área = 1 Sea la función parametrizada: Observemos que
Así la transformada de la función delta de Dirac es:
Funciones periódicas Supongamos que  f  ( t ) es una función periódica de periodo  T .  Entonces: donde  F 1 ( s ) es la transformada de Laplace de la función  f ( t )  sobre el primer periodo y cero fuera. T
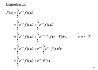
Demostración
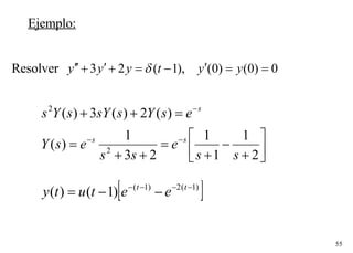
Ejemplo: onda cuadrada a 2a
Tabla de transformadas de Laplace   a s e s n t t s t at n n    1 ! s 1 1 1 1 1 2 
 
 
 
 
 
La TF es un caso particular de la TL Supongamos que    es complejo:    =    + i    Antitransformando tendríamos (observa que    es la variable conjugada):
Recordemos que    =    + i    . Si tomamos    constante: Llegamos a la integral compleja:
Re (  ) Im(  )  - γ es analítica para  todo    perteneciente a la  región en rojo. Camino de integración:    cte y    de - ∞ a  + ∞. Donde suponemos un    tal que Haciendo  s = i   = i(   + i  )  llegamos a la transformada de  Laplace.
Al proceso inverso de encontrar  f(t)  a partir de  F(s)  se le conoce como transformada inversa de Laplace y se obtiene mediante: conocida también como integral de Bromwich o integral de Fourier-Mellin.  Transformada inversa de Laplace
Re(s) Im(s) γ γ  determina un contorno vertical  en el plano complejo, tomado de  tal manera que todas las singularidades de F(s) queden  a su izquierda. Con condiciones de existencia:
Por ejemplo, determinemos: Puesto que la función a invertir tiene un polo en s = -1,  entonces basta con tomar  γ > -1. Tomemos  γ = 0 y el  contorno de integración C de la figura.  Re(s) Im(s) γ=0 -1 C 1 R -R 0 por la desigualdad ML  cuando R ->∞  con t ≥0. Haciendo R ->∞  y utilizando  teoría de residuos:
Sea F(s) una función analítica, salvo en un número finito  de polos que se encuentran a la izquierda de cierta vertical  Re(s) = γ. Y supongamos que existen m, R, k > 0 tq. para  todo s del semiplano Re(s)     γ y |s| > R, tenemos que Entonces si t > 0: En particular, sea F(s) = N(s)/D(s), con N(s) y D(s)  polinomios  de grado n y d respectivamente, d > n;  entonces podemos usar la igualdad anterior.
Ejemplo, determinar:
1. Linealidad :   Si  c 1  y  c 2  son constantes,  f 1 (x)  y  f 2 (x)  son funciones cuyas transformadas de Laplace son  F 1 (x)  y  F 2 (x) ,  respectivamente;   entonces: La transformada de Laplace es un operador lineal. Propiedades
Demostración:
2. Desplazamiento temporal   ) ( ) ( ) ( ) ( ) ( ) ( ) ( ) ( 0 0 0 0 0 0 0 0 0 0 s F e t t d f e e dt t t f e dt t t u t t f e s X dt t f e s F st s st t st st st                            
Ejemplo: 3 t
3. Desplazamiento en frecuencias Ejemplo:
4. Cambio de escala en tiempo
5. Derivada de la transformada de Laplace
6. Transformada de Laplace de las derivadas de una función La transformada de Laplace de la derivada de una función está dada por:  donde  f(0)  es el valor de  f(t)  en  t = 0. La transformada de Laplace de la segunda derivada de una función está dada por:
En forma similar: Demostración:
Supongamos que: Entonces:
 
 
Gracias a esta propiedad y a la linealidad de  la TL podemos convertir una ec. diferencial como en una ec. algebraica Resolver para y(t) Resolver para  Y(s)
Ec. Diferencial Ec. Algebraica Transformada de  Laplace
Si resolvemos la ec. algebraica: y encontramos la transformada inversa de Laplace de la solución,  Y(s) , encontraremos la solución de la ec. diferencial.
Ec. Algebraica Solución de la  Ec. Diferencial Inversa de la  Transformada  de Laplace
La transformada inversa de Laplace de: es
es la solución de la ec. diferencial: De modo que:
Para conseguirlo hemos aplicado: Primero, que la TL y su inversa son lineales: etc... Y segundo, la TF de las derivadas de una  función son:
A este método se le conoce como  cálculo de Heaviside . Por ejemplo: Y antitransformando obtendremos la solución.
Veamos un ejemplo concreto: Resolver la ec. diferencial
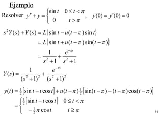
Ejemplo Resolver
Ejemplo: Resolver
7. Transformada de Laplace de la integral de una función Si existe la TL de f(t) cuando Re(s) > p  ≥ 0,  entonces: para Re(s) > p.
Ejemplo: 8. Transformada de Laplace de f(t)/t
Ejemplo: 9. TF de f(t)cos(at) y f(t)sen(at)
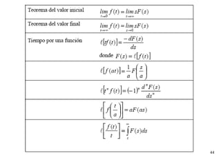
10. Teorema del valor final Si   existe, entonces: 11. Teorema del valor inicial El valor inicial  f(0)  de la función  f(t)  cuya  transformada de Laplace es  F(s),  es:
Recordemos que la operación   se  conoce  como la convolución de  y    y se denota como  La transformada de Laplace de esta operación está dada por:  12. Integral de convolución
Si trabajamos con funciones que son cero para para t < 0,  entonces la convolución queda: Así que para estas funciones podemos definirla convolución  como:
Ejemplo: Verificar que funciona para f(t) = t y g(t) = e -2t  con valores 0 para t < 0.
De hecho, podemos utilizar la convolución para encontrar  transformadas inversas de Laplace:
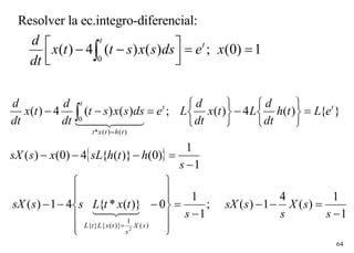
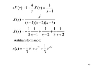
Resolver la ec.integro-diferencial:
Antitransformando:
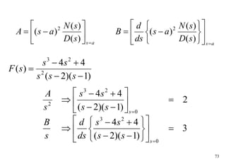
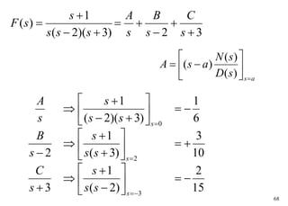
Raíces del denominador  D ( s ) o polos de F(s): Caso I  – Polos reales simples Caso II  – Polos reales múltiples Caso III – Polos complejos conjugados Caso IV – Polos complejos conjugados   múltiples Desarrollo en fracciones parciales:  Se utiliza para facilitar el cálculo de la transformada inversa,  descomponiendo la función en componentes más sencillos.
Ejemplo Caso I  – Polos reales simples
 
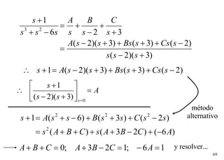
método alternativo y resolver...
La transformada inversa de Laplace es:
Otro ejemplo Transformada inversa de Laplace:
Caso II  – Polos reales múltiples Ejemplo Polos reales simples Polos reales múltiples
 
Transformada inversa de Laplace:
En general, para polos reales múltiples:
Caso III  – Polos complejos conjugados ejemplo conjugados complejos Transformada inversa de Laplace:
ejemplo Transformada inversa de Laplace: donde
Se trata de repetir los métodos usados en los casos II y III, teniendo en cuenta que trabajamos con complejos. Caso IV  – factores complejos conjugados múltiples

11 Transformada De Laplace

  • 1.
  • 2.
    Sea f(t) una función definida para t ≥ 0, su transformada de Laplace se define como: donde s es una variable compleja Se dice que la transformada de Laplace de f(t) existe si la integral converge. La transformada de Laplace
  • 3.
    Pierre-Simon Laplace (1749 - 1827) &quot;Podemos mirar el estado presente del universo como el efecto del pasado y la causa de su futuro. Se podría condensar un intelecto que en cualquier momento dado sabría todas las fuerzas que animan la naturaleza y las posiciones de los seres que la componen, si este intelecto fuera lo suficientemente vasto para someter los datos al análisis, podría condensar en una simple fórmula el movimiento de los grandes cuerpos del universo y del átomo más ligero; para tal intelecto nada podría ser incierto y el futuro así como el pasado estarían frente sus ojos.&quot;
  • 4.
    Observa que latransformada de Laplace es una integral impropia, uno de sus límites es infinito: Notación:
  • 5.
    Condiciones suficientes deexistencia de la TL Si f(t) es continua a trozos en [0, ∞) y Es decir, f(t) es de orden exponencial en el infinito: Entonces: L{f(t)} = F(s) existe  s > a.
  • 6.
    Unicidad de laTL Si f 1 (t) y f 2 (t) poseen la misma TL: L{f 1 (t) } = L{f 2 (t) }= F(s), entonces el teorema de Lerch garantiza que
  • 7.
    Calcula la transformadade f(t) = 1: Nota: Obviamente L{a} = a/s y L{0} = 0.
  • 8.
    Calcula la transformadade f(t) = t n :
  • 9.
    Calcula la transformadade f(t) = e -t :
  • 10.
    Calcula la transformadade f(t) = Ae at :
  • 11.
    Calcula la transformadade f(t) = sen(at): Ejercicio: calcula F(s) para f(t) = cos(at)
  • 12.
    Calculemos la transformadade f(t) = e iat :
  • 13.
    c 1 tLa función Heaviside o escalón unidad: c 0 1
  • 14.
    Función delta deDirac área = 1 Sea la función parametrizada: Observemos que
  • 15.
    Así la transformadade la función delta de Dirac es:
  • 16.
    Funciones periódicas Supongamosque f ( t ) es una función periódica de periodo T . Entonces: donde F 1 ( s ) es la transformada de Laplace de la función f ( t ) sobre el primer periodo y cero fuera. T
  • 17.
  • 18.
  • 19.
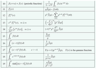
    Tabla de transformadasde Laplace   a s e s n t t s t at n n    1 ! s 1 1 1 1 1 2 
  • 20.
  • 21.
  • 22.
  • 23.
  • 24.
  • 25.
    La TF esun caso particular de la TL Supongamos que  es complejo:  =  + i  Antitransformando tendríamos (observa que  es la variable conjugada):
  • 26.
    Recordemos que  =  + i  . Si tomamos  constante: Llegamos a la integral compleja:
  • 27.
    Re ( ) Im(  )  - γ es analítica para todo  perteneciente a la región en rojo. Camino de integración:  cte y  de - ∞ a + ∞. Donde suponemos un  tal que Haciendo s = i  = i(  + i  ) llegamos a la transformada de Laplace.
  • 28.
    Al proceso inversode encontrar f(t) a partir de F(s) se le conoce como transformada inversa de Laplace y se obtiene mediante: conocida también como integral de Bromwich o integral de Fourier-Mellin. Transformada inversa de Laplace
  • 29.
    Re(s) Im(s) γγ determina un contorno vertical en el plano complejo, tomado de tal manera que todas las singularidades de F(s) queden a su izquierda. Con condiciones de existencia:
  • 30.
    Por ejemplo, determinemos:Puesto que la función a invertir tiene un polo en s = -1, entonces basta con tomar γ > -1. Tomemos γ = 0 y el contorno de integración C de la figura. Re(s) Im(s) γ=0 -1 C 1 R -R 0 por la desigualdad ML cuando R ->∞ con t ≥0. Haciendo R ->∞ y utilizando teoría de residuos:
  • 31.
    Sea F(s) unafunción analítica, salvo en un número finito de polos que se encuentran a la izquierda de cierta vertical Re(s) = γ. Y supongamos que existen m, R, k > 0 tq. para todo s del semiplano Re(s)  γ y |s| > R, tenemos que Entonces si t > 0: En particular, sea F(s) = N(s)/D(s), con N(s) y D(s) polinomios de grado n y d respectivamente, d > n; entonces podemos usar la igualdad anterior.
  • 32.
  • 33.
    1. Linealidad : Si c 1 y c 2 son constantes, f 1 (x) y f 2 (x) son funciones cuyas transformadas de Laplace son F 1 (x) y F 2 (x) , respectivamente; entonces: La transformada de Laplace es un operador lineal. Propiedades
  • 34.
  • 35.
    2. Desplazamiento temporal  ) ( ) ( ) ( ) ( ) ( ) ( ) ( ) ( 0 0 0 0 0 0 0 0 0 0 s F e t t d f e e dt t t f e dt t t u t t f e s X dt t f e s F st s st t st st st                            
  • 36.
  • 37.
    3. Desplazamiento enfrecuencias Ejemplo:
  • 38.
    4. Cambio deescala en tiempo
  • 39.
    5. Derivada dela transformada de Laplace
  • 40.
    6. Transformada deLaplace de las derivadas de una función La transformada de Laplace de la derivada de una función está dada por: donde f(0) es el valor de f(t) en t = 0. La transformada de Laplace de la segunda derivada de una función está dada por:
  • 41.
    En forma similar:Demostración:
  • 42.
  • 43.
  • 44.
  • 45.
    Gracias a estapropiedad y a la linealidad de la TL podemos convertir una ec. diferencial como en una ec. algebraica Resolver para y(t) Resolver para Y(s)
  • 46.
    Ec. Diferencial Ec.Algebraica Transformada de Laplace
  • 47.
    Si resolvemos laec. algebraica: y encontramos la transformada inversa de Laplace de la solución, Y(s) , encontraremos la solución de la ec. diferencial.
  • 48.
    Ec. Algebraica Soluciónde la Ec. Diferencial Inversa de la Transformada de Laplace
  • 49.
    La transformada inversade Laplace de: es
  • 50.
    es la soluciónde la ec. diferencial: De modo que:
  • 51.
    Para conseguirlo hemosaplicado: Primero, que la TL y su inversa son lineales: etc... Y segundo, la TF de las derivadas de una función son:
  • 52.
    A este métodose le conoce como cálculo de Heaviside . Por ejemplo: Y antitransformando obtendremos la solución.
  • 53.
    Veamos un ejemploconcreto: Resolver la ec. diferencial
  • 54.
  • 55.
  • 56.
    7. Transformada deLaplace de la integral de una función Si existe la TL de f(t) cuando Re(s) > p ≥ 0, entonces: para Re(s) > p.
  • 57.
    Ejemplo: 8. Transformadade Laplace de f(t)/t
  • 58.
    Ejemplo: 9. TFde f(t)cos(at) y f(t)sen(at)
  • 59.
    10. Teorema delvalor final Si existe, entonces: 11. Teorema del valor inicial El valor inicial f(0) de la función f(t) cuya transformada de Laplace es F(s), es:
  • 60.
    Recordemos que laoperación se conoce como la convolución de y y se denota como La transformada de Laplace de esta operación está dada por: 12. Integral de convolución
  • 61.
    Si trabajamos confunciones que son cero para para t < 0, entonces la convolución queda: Así que para estas funciones podemos definirla convolución como:
  • 62.
    Ejemplo: Verificar quefunciona para f(t) = t y g(t) = e -2t con valores 0 para t < 0.
  • 63.
    De hecho, podemosutilizar la convolución para encontrar transformadas inversas de Laplace:
  • 64.
  • 65.
  • 66.
    Raíces del denominador D ( s ) o polos de F(s): Caso I – Polos reales simples Caso II – Polos reales múltiples Caso III – Polos complejos conjugados Caso IV – Polos complejos conjugados múltiples Desarrollo en fracciones parciales: Se utiliza para facilitar el cálculo de la transformada inversa, descomponiendo la función en componentes más sencillos.
  • 67.
    Ejemplo Caso I – Polos reales simples
  • 68.
  • 69.
  • 70.
  • 71.
    Otro ejemplo Transformadainversa de Laplace:
  • 72.
    Caso II – Polos reales múltiples Ejemplo Polos reales simples Polos reales múltiples
  • 73.
  • 74.
  • 75.
    En general, parapolos reales múltiples:
  • 76.
    Caso III – Polos complejos conjugados ejemplo conjugados complejos Transformada inversa de Laplace:
  • 77.
  • 78.
    Se trata derepetir los métodos usados en los casos II y III, teniendo en cuenta que trabajamos con complejos. Caso IV – factores complejos conjugados múltiples