
PRACTICA 3
EXTRACCION LIQUIDO-LIQUIDO
Integrantes
• Bernal Campos María Luisa
• Estrada Bravo Enrique
• Monterrosas Patiño Leslie Monserrat
Equipo 15
Grupo:
2FM2
1

1. Conocer la técnica de extracción como método de
separación y/o purificación de sustancias que integran
una mezcla.
2. Aplicar la técnica de extracción en la purificación de
compuestos orgánicos, tanto neutros como ionizables.
3. Elegir los disolventes adecuados para un proceso de
extracción.
4. Realizar dos tipos de extracción: múltiple y selectiva
Objetivos
2

Es la técnica más empleada
para separar un producto
orgánico de una mezcla,
también puede definirse como
la separación de un
componente de una mezcla
por medio de un disolvente.
¿Qué es la extracción?
3
http://quimica-gabriel.blogspot.mx/

4
Fundamento de extracción
Consta en transferir un soluto de un disolvente A a un
disolvente B donde B sea inmiscible en A.
Lo mas importante en una extracción es encontrar un
buen disolvente

5
¿Qué características debe
tener un buen disolvente?
 Alta capacidad de solubilidad con la
sustancia que se va a extraer .
 Que no sea miscible con el otro disolvente.
 Baja solubilidad en agua.
 Bajo punto de ebullición para facilitar su
eliminación posterior.

A y B son agitados, entonces el compuesto se distribuirá entre ambas
capas de acuerdo con sus respectivas solubilidades . Al la relación
que guardan las concentraciones del soluto en cada disolvente se le
denomina coeficiente de distribución o de partición
Donde:
(K = concentración en disolvente 2 / concentración en
disolvente 1).
Coeficiente de distribución
6
http://www.ub.edu/oblq/oblq%20castellano/extraccio_tip.html
7
Primera
extracción
Primera
extracción
Segunda
extracción
Segunda
extracción
soluto transferido a la solución B
soluto remanente en la solución A
8
Tercera
extracción
Tercera
extracción
En tres extracciones se obtuvo un total de 0.94g de
soluto
0.40g + 0.24g + 0.10 = 0.94g
¿Qué sucedería si, en vez de realizar tres extracciones con 15mL de
éter, cada una; extrajéramos la solución original con tan solo 45mL de
éter ?
9
soluto remanente en la
solución A
soluto transferido a la
solución B

Donde: = g de soluto remanente en fase acuosa después de n extracciones.
= g de soluto en fase acuosa.
K= coeficiente de partición
= volumen total de la solución de la solución a extraer.
= volumen del disolvente de cada extracción.
n= numero de extracciones.

10
Equilibrio
(eficiencia en una
extracción )
11
Tomando el ejemplo anterior :
Tres
extracciones
Tres
extracciones
Una extracción
Una extracción

 Es la pieza que se utiliza en la
extracción.
-Tapón
-Llave
Ambos deben estar bien ajustados, se
lubrican con una grasa adecuada antes
de usarlos.
12
Embudo de separación
13
El embudo debe agitarse
moderadamente y purgarlo con
frecuencia, para evitar la presión en su
interior.
El embudo debe agitarse
moderadamente y purgarlo con
frecuencia, para evitar la presión en su
interior.
Después de agitar el
embudo se deja reposar
para la formación de una
interfase que da la pauta
para la separación de las
fases
Es importante conocer las
densidades de los
disolventes para ubicar su
posición en el embudo
Después de agitar el
embudo se deja reposar
para la formación de una
interfase que da la pauta
para la separación de las
fases
Es importante conocer las
densidades de los
disolventes para ubicar su
posición en el embudo
14
Tipos de
extracción
Extracción simple.
Consiste en realizar el procedimiento de extracción una sola
vez.
16
Extracción múltiple
Consiste en realizar varias extracciones empleando
volúmenes pequeños de disolvente (determinados).
https://es.scribd.com/doc/14172701/7-EXTRACCION-simple-multiple-y-selectiva
• Fases en una extracción
• Sales inorgánicas, prácticamente insolubles en los
disolventes orgánicos, permanecerán en la fase acuosa.
• Compuestos orgánicos, que no forman puentes de
hidrógeno, insolubles en agua, se encontrarán en la
orgánica.
17
18
Disolvente Fórmula Densidad
(g/mL)
Punto de
ebullición
(°C)
Peligrosidad
Éter
dietílico
(CH3CH2)2O 0,7 35 Muy inflamable,
tóxico
Hexano C6H14
≈0,7 >60 Inflamable
Benceno C6H6
0,9 80
Inflamable, tóxico,
cancerígeno
Tolueno C6H5CH3
0,9 111 Inflamable
Acetato de
etilo
CH3COOCH2C
H3
0,9 78 Inflamable, irritante
Agua H2O 1,0 94-95
Diclorometa
no
CH2Cl2
1,3 41 Tóxico
Cloroformo CHCl3
1,5 61 Tóxico
Tetracloruro CCl
Disolventes comúnmente utilizados
19
¿Qué pasa si se forma una
emulsión?
Es una mezcla heterogénea de dos o mas líquidos
inmiscibles, unas de las cuales se dispersa a través de la
otra en forma de gotas muy pequeñas.
‡
 Fase dispersa: Líquido que se dispersa en pequeñas
gotitas, también se le conoce como interna.
 ‡Fase dispersante: Liquido como medio de dispersión,
también llamado externa.
20
La emulsiones pueden romperse mediante:
1. Un giro suave al liquido del embudo de separación.
2. Agitación vigorosa de la capa emulsionada con una varilla de
vidrio
3. Agitar la fase acuosa con una disolución saturada de cloruro de
sodio
4. Centrifugación
http://www.quimicaorganica.net/extraccion.html
21
Agentes desecantes
• Se emplea para extraer la humedad de líquidos,
soluciones y sustancias solidas.
Agente
desecante
Propiedades
acido-base
Capacidad Eficiencia,
mg/L
Rapidez
MgSO4 Neutral Alta 2.8 Bastante rápido
CaCl2 Neutral Alta 1.5 Bastante lento
Na2SO4 Neutral Alta 25 Lento
K2CO3 Básico Baja Moderada Bastante rápido
CaSO4 Neutral Baja 0.004 Rápido
KOH Básico Alta 0.1 Rápido
H2SO4 Ácido Alta 0.003 Rápido

1. Tener una gran eficacia o poder desecante, esto es,
eliminar el agua completamente o casi
completamente.
2. Secar rápidamente.
3. Ser fácilmente separable de la sustancia una vez seca.
4. No reaccionar con la sustancia a secar.
22
¿Qué características debe tener
un buen desecante?
23
Extracción selectiva
Se emplea para separar mezclas de compuestos
orgánicos, aprovechando el carácter ácido o básico de
dichos compuestos.
También se utiliza para eliminar impurezas acidas o
básicas a un producto aislado de una mezcla de reacción.
Se basa en una reacción acido-base entre el producto y el
disolvente activo adecuado.
http://www.tipos.co/tipos-de-extraccion/
24
 Los disolventes activos son aquellos que disuelven sustancia
no hidrosolubles.
 Solubilizan la sustancia casi de manera inmediata, no se
requiere demasiado tiempo para formar un disolución.
 Funcionan formando puentes de hidrógeno (con los pares de
electrones no compartidos del oxígeno) o fuerzas dipolo-
dipolo con el soluto.
¿Qué es un disolvente
activo?
•NaOH
•H2SO4
•HCl.
•KOH
•Acetona
25
R NH2 + HCl R
NH3
+ -
Cl
R NH2 + HCl R
NH3
+ -
Cl
R COO H + NaOH R COOH-
Na+
+ H2O
R COO H + NaOH R COOH-
Na+
+ H2O
En los compuestos básicos como aminas, se extraen con
disolventes ácidos
Los ácidos carboxílicos reaccionan con bases como NaOH, Na2CO3 ,
NaHCO3
Ar OH + NaOH Ar O- +
Na +
H2O
Ar OH + NaOH Ar O- +
Na +
H2O
Los Fenoles son menos ácidos que lo ácidos carboxílicos , así
reaccionan únicamente con NaOH
Fenol Fenóxido de sodio
26
27
Extracción continua
Se utiliza cuando el soluto a extraer puede formar emulsiones, o
cuando el compuesto orgánico es más soluble en agua que el
disolvente orgánico que se utiliza.
a) Extracción liquido-liquido:
Proceso en el que se eliminan uno
o mas solutos de un liquido
transfiriéndolos a una segunda
fase
28
b) Extracción solido-liquido:
Separación de uno o más
componentes contenidos en
una fase solida mediante el
uso de un disolvente.
Equipo de Soxhlet
29
 Maceración
Consiste en remojar el material a extraer, debidamente
fragmentado, con un disolvente apropiado, hasta que éste
penetre en los tejidos ablandando y disolviendo las
porciones solubles
Alicia Lamarque (2008) Fundamentos teórico – prácticos de química orgánica. 1º Edición. Editorial Encuentro,
Argentina. Págs. 48-51
30
 Reflujo
En este proceso, el material
fragmentado disuelto en un
disolvente, se somete a
ebullición.
Se utiliza equipo de reflujo.
La temperatura elevada del
disolvente permite una
mejor extracción de los
componentes deseados
Alicia Lamarque (2008) Fundamentos teórico – prácticos de química orgánica. 1º Edición. Editorial
Encuentro, Argentina. Págs. 48-51
31
 Lixidación o Percolación
Consiste en colocar el
material fragmentado en un
recipiente cónico, haciendo
pasar un disolvente apropiado
a través del mismo.
Requiere el agregado de
solvente en forma constante.
Alicia Lamarque (2008) Fundamentos teórico – prácticos de química orgánica. 1º Edición. Editorial Encuentro,
Argentina. Págs. 48-51
32
 Extracción por arrastre de vapor
El mas antiguo y sencillo método.
Este método por arrastre de vapor permite la
máxima difusión del vapor, reduciendo los daños
que pudieran llegar a sufrir los
componentes de
La mezcla.
Alicia Lamarque (2008) Fundamentos teórico – prácticos de química orgánica. 1º Edición. Editorial
Encuentro, Argentina. Págs. 48-51
33
Terpenos
Terpenos
Aceites
vegetales
20,000
terpenos
Átomos de
carbono en
múltiplos de 5
Clase de
lípidos
Clase de
lípidos
10
monoterpenos
15
sesquiterpenos
20 diterpenos
25 sesterpenos
30 triterpenos
40 tetraterpenos
Cantidad de
carbonos que
contienen
Carotenoide
s
Tetraterpenos (ocho
unidades de
isopreno)
Licopen
o
β-caroteno
son
Conformados
los
hay más
Se clasifican
extraídos
34
Si un compuesto tiene los enlaces dobles suficientes absorberá luz
visible (λ máx > 400nm) y el compuesto tendrá color.
cabeza
cola
v
Licopen
o
Licopen
o
β-
Isopren
o
Isopren
o
35
Licopenos
o Refuerza sistema inmune
o Enfermedades cardiovasculares
o Antioxidante
o Cáncer
o Colorante
36
β – caroteno
o Precursor de la vitamina A
o Proveen aproximadamente el 50% de la vitamina
A
o Antioxidante
o Sistema inmune
o Cáncer, enfermedades cardiovasculares, perdida
de la visión, disminuir los síntomas de asma.
o Disminuyen el riesgo de quemaduras solares.
37
Parte
Experimental
Propiedades Físicas Y
Químicas De Los Reactivos
39
40
41
42
43
44
45
46
47
48
49
50
51
52
EXTRACCION LÌQUIDO-LÌQUIDO
EXTRACCION LÌQUIDO-LÌQUIDO
EXTRACCIO
N
Colocar 0.5g de sacarosa, 0.5g de acido
benzoico
En un vaso de precipitados
Solubilizar en 35mL de agua
Verter en un embudo de separación
Adicionar 10mL de éter etílico
Mezclar cuidadosamente y dejar reposar hasta observar dos
capas
En matraz Erlernmeyer fase
acuosa y en vaso de precipitados
fase etérea
Secar fase orgánica con sulfato de
sodio anhídrido
Obtención de
acido benzoico
Decantar y evaporar el éter en baño
de agua caliente
Los vapores
de éter son
inflamables
¿se formó
una
emulsión?
Agregar NaCl
SI
NO
Cubrir el vaso
con un papel
aluminio
Drenar
Experiencia
A
53
54
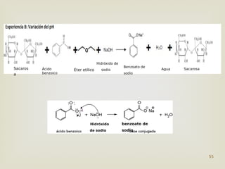
VARIACION DE PH
En un vaso de precipitados
Disolver una mezcla de 0.5g de
sacarosa y 0.5g de acido benzoico
Solubilizar
Con 25 mL de NaOH al
10%
pH=12
Verter en un embudo de separación
Adicionar 10mL de éter
etílico
Mezclar cuidadosamente y dejar reposar hasta
observar dos capas
Reacción acido-
base entre acido
benzoico e NaOH
EXTRACCION LÌQUIDO-LÌQUIDO
EXTRACCION LÌQUIDO-LÌQUIDO
Experiencia
Drenar
Fase acuosa Fase etérea
En matraz Erlernmeyer En vaso de precipitados
Evaporar
55
Sacaros
a
Ácido
benzoico
Éter etílico
benzoato de
sodio
Benzoato de
sodio
Sacarosa
Agua
Hidróxido de
sodio
Hidróxido
de sodio
56
Al matraz balón y agregar 10 mL de cloruro de
metileno
EXTRACCION DE
LICOPENOS
Agregar 10mL de etanol al 95%
Calentar mezcla a reflujo en baño maría durante 3-4
min,
Filtrar el extracto y adicionar al residuo solido 2 o 3 porciones de 10mL
de CH2Cl2
Reunir los extractos de CH2Cl2 con el primer extracto etanolico
Separar capa inferior en vaso de precipitados y secar con sulfato de sodio
anhidro
Agregar solución saturada de cloruro de sodio
Filtrar mezcla en caliente, recolectar el filtrado amarillo en un matraz
Erlenmeyer
Calentar a baño de agua de
ebullición
Presionar
el solido
suavement
e
Transferir el residuo de la
filtración
Evitar inhalar
vapores
altamente
tóxicos
Llevar a embudo de separación y agitar
Extracto de
licopeno
Extracció
n
continua
EXTRACCION LÌQUIDO-LÌQUIDO
EXTRACCION LÌQUIDO-LÌQUIDO
En un matraz balón
Colocar 20g de
jitomate
Macerado
en mortero
Experiencia
Adaptar
refrigerante en
posición de
reflujo
20 mL
57
EXTRACCION DE
CAROTENOS
Separar parte orgánica y secarla con sulfato
de sodio anhidro.
Lavar 2 veces capa
orgánica
Macerarlas con 30 mL de una mezcla de tolueno-
hexano-metanol en partes iguales.
Hacer extracto de hojas de
espinacas
Verter en embudo de separación
Emplear
porciones
de 30mL
de agua
Decantar y destilar hasta obtener residuo
de 5mL
Extracto de
carotenos
EXTRACCION LÌQUIDO-LÌQUIDO
EXTRACCION LÌQUIDO-LÌQUIDO
Experiencia
D
Bibliografía
1. Xorge Alejandro Domínguez (1982) Química Orgánica Experimental. 1ª
Edición. Editorial Limusa, México. 23-26pp.
2. Yurkanis P., (2008) Química Orgánica. 5ª Edición, Pearson, México.
3. Nimitz.J., (1990)Experiments in Organic Chemistry: From Microscale to
Macroscale.1° Edicion, Prentice Hall,New Jersey. 54,55 pp.
4. Mohrig. J(2010) Techniques in Organic Chemistry. 3rd ed. W. H. Freeman and
Company, New York. 113-115, 133 pp.
5. Ault A.,(1997) Techniques and Experiments for Organic Chemistry. 6th
ed.
University Science Books, California. 92-101, 129-134pp.
6. Therapeutic Research Center, editores de Natural Medicines. “Licopenos y
carotenos”. Revisado en 2015.
<https://www.nlm.nih.gov/medlineplus/spanish/druginfo/natural/999.html> Mar.
2016.
58

325093929-extraccion-liquido-liquido.pdf

  • 1.
     PRACTICA 3 EXTRACCION LIQUIDO-LIQUIDO Integrantes •Bernal Campos María Luisa • Estrada Bravo Enrique • Monterrosas Patiño Leslie Monserrat Equipo 15 Grupo: 2FM2 1
  • 2.
     1. Conocer latécnica de extracción como método de separación y/o purificación de sustancias que integran una mezcla. 2. Aplicar la técnica de extracción en la purificación de compuestos orgánicos, tanto neutros como ionizables. 3. Elegir los disolventes adecuados para un proceso de extracción. 4. Realizar dos tipos de extracción: múltiple y selectiva Objetivos 2
  • 3.
     Es la técnicamás empleada para separar un producto orgánico de una mezcla, también puede definirse como la separación de un componente de una mezcla por medio de un disolvente. ¿Qué es la extracción? 3 http://quimica-gabriel.blogspot.mx/
  • 4.
     4 Fundamento de extracción Constaen transferir un soluto de un disolvente A a un disolvente B donde B sea inmiscible en A. Lo mas importante en una extracción es encontrar un buen disolvente
  • 5.
     5 ¿Qué características debe tenerun buen disolvente?  Alta capacidad de solubilidad con la sustancia que se va a extraer .  Que no sea miscible con el otro disolvente.  Baja solubilidad en agua.  Bajo punto de ebullición para facilitar su eliminación posterior.
  • 6.
     A y Bson agitados, entonces el compuesto se distribuirá entre ambas capas de acuerdo con sus respectivas solubilidades . Al la relación que guardan las concentraciones del soluto en cada disolvente se le denomina coeficiente de distribución o de partición Donde: (K = concentración en disolvente 2 / concentración en disolvente 1). Coeficiente de distribución 6 http://www.ub.edu/oblq/oblq%20castellano/extraccio_tip.html
  • 7.
  • 8.
    8 Tercera extracción Tercera extracción En tres extraccionesse obtuvo un total de 0.94g de soluto 0.40g + 0.24g + 0.10 = 0.94g ¿Qué sucedería si, en vez de realizar tres extracciones con 15mL de éter, cada una; extrajéramos la solución original con tan solo 45mL de éter ?
  • 9.
    9 soluto remanente enla solución A soluto transferido a la solución B
  • 10.
     Donde: = gde soluto remanente en fase acuosa después de n extracciones. = g de soluto en fase acuosa. K= coeficiente de partición = volumen total de la solución de la solución a extraer. = volumen del disolvente de cada extracción. n= numero de extracciones.  10 Equilibrio (eficiencia en una extracción )
  • 11.
    11 Tomando el ejemploanterior : Tres extracciones Tres extracciones Una extracción Una extracción
  • 12.
      Es lapieza que se utiliza en la extracción. -Tapón -Llave Ambos deben estar bien ajustados, se lubrican con una grasa adecuada antes de usarlos. 12 Embudo de separación
  • 13.
    13 El embudo debeagitarse moderadamente y purgarlo con frecuencia, para evitar la presión en su interior. El embudo debe agitarse moderadamente y purgarlo con frecuencia, para evitar la presión en su interior. Después de agitar el embudo se deja reposar para la formación de una interfase que da la pauta para la separación de las fases Es importante conocer las densidades de los disolventes para ubicar su posición en el embudo Después de agitar el embudo se deja reposar para la formación de una interfase que da la pauta para la separación de las fases Es importante conocer las densidades de los disolventes para ubicar su posición en el embudo
  • 14.
  • 15.
    Extracción simple. Consiste enrealizar el procedimiento de extracción una sola vez.
  • 16.
    16 Extracción múltiple Consiste enrealizar varias extracciones empleando volúmenes pequeños de disolvente (determinados). https://es.scribd.com/doc/14172701/7-EXTRACCION-simple-multiple-y-selectiva
  • 17.
    • Fases enuna extracción • Sales inorgánicas, prácticamente insolubles en los disolventes orgánicos, permanecerán en la fase acuosa. • Compuestos orgánicos, que no forman puentes de hidrógeno, insolubles en agua, se encontrarán en la orgánica. 17
  • 18.
    18 Disolvente Fórmula Densidad (g/mL) Puntode ebullición (°C) Peligrosidad Éter dietílico (CH3CH2)2O 0,7 35 Muy inflamable, tóxico Hexano C6H14 ≈0,7 >60 Inflamable Benceno C6H6 0,9 80 Inflamable, tóxico, cancerígeno Tolueno C6H5CH3 0,9 111 Inflamable Acetato de etilo CH3COOCH2C H3 0,9 78 Inflamable, irritante Agua H2O 1,0 94-95 Diclorometa no CH2Cl2 1,3 41 Tóxico Cloroformo CHCl3 1,5 61 Tóxico Tetracloruro CCl Disolventes comúnmente utilizados
  • 19.
    19 ¿Qué pasa sise forma una emulsión? Es una mezcla heterogénea de dos o mas líquidos inmiscibles, unas de las cuales se dispersa a través de la otra en forma de gotas muy pequeñas. ‡  Fase dispersa: Líquido que se dispersa en pequeñas gotitas, también se le conoce como interna.  ‡Fase dispersante: Liquido como medio de dispersión, también llamado externa.
  • 20.
    20 La emulsiones puedenromperse mediante: 1. Un giro suave al liquido del embudo de separación. 2. Agitación vigorosa de la capa emulsionada con una varilla de vidrio 3. Agitar la fase acuosa con una disolución saturada de cloruro de sodio 4. Centrifugación http://www.quimicaorganica.net/extraccion.html
  • 21.
    21 Agentes desecantes • Seemplea para extraer la humedad de líquidos, soluciones y sustancias solidas. Agente desecante Propiedades acido-base Capacidad Eficiencia, mg/L Rapidez MgSO4 Neutral Alta 2.8 Bastante rápido CaCl2 Neutral Alta 1.5 Bastante lento Na2SO4 Neutral Alta 25 Lento K2CO3 Básico Baja Moderada Bastante rápido CaSO4 Neutral Baja 0.004 Rápido KOH Básico Alta 0.1 Rápido H2SO4 Ácido Alta 0.003 Rápido
  • 22.
     1. Tener unagran eficacia o poder desecante, esto es, eliminar el agua completamente o casi completamente. 2. Secar rápidamente. 3. Ser fácilmente separable de la sustancia una vez seca. 4. No reaccionar con la sustancia a secar. 22 ¿Qué características debe tener un buen desecante?
  • 23.
    23 Extracción selectiva Se empleapara separar mezclas de compuestos orgánicos, aprovechando el carácter ácido o básico de dichos compuestos. También se utiliza para eliminar impurezas acidas o básicas a un producto aislado de una mezcla de reacción. Se basa en una reacción acido-base entre el producto y el disolvente activo adecuado. http://www.tipos.co/tipos-de-extraccion/
  • 24.
    24  Los disolventesactivos son aquellos que disuelven sustancia no hidrosolubles.  Solubilizan la sustancia casi de manera inmediata, no se requiere demasiado tiempo para formar un disolución.  Funcionan formando puentes de hidrógeno (con los pares de electrones no compartidos del oxígeno) o fuerzas dipolo- dipolo con el soluto. ¿Qué es un disolvente activo? •NaOH •H2SO4 •HCl. •KOH •Acetona
  • 25.
    25 R NH2 +HCl R NH3 + - Cl R NH2 + HCl R NH3 + - Cl R COO H + NaOH R COOH- Na+ + H2O R COO H + NaOH R COOH- Na+ + H2O En los compuestos básicos como aminas, se extraen con disolventes ácidos Los ácidos carboxílicos reaccionan con bases como NaOH, Na2CO3 , NaHCO3 Ar OH + NaOH Ar O- + Na + H2O Ar OH + NaOH Ar O- + Na + H2O Los Fenoles son menos ácidos que lo ácidos carboxílicos , así reaccionan únicamente con NaOH Fenol Fenóxido de sodio
  • 26.
  • 27.
    27 Extracción continua Se utilizacuando el soluto a extraer puede formar emulsiones, o cuando el compuesto orgánico es más soluble en agua que el disolvente orgánico que se utiliza. a) Extracción liquido-liquido: Proceso en el que se eliminan uno o mas solutos de un liquido transfiriéndolos a una segunda fase
  • 28.
    28 b) Extracción solido-liquido: Separaciónde uno o más componentes contenidos en una fase solida mediante el uso de un disolvente. Equipo de Soxhlet
  • 29.
    29  Maceración Consiste enremojar el material a extraer, debidamente fragmentado, con un disolvente apropiado, hasta que éste penetre en los tejidos ablandando y disolviendo las porciones solubles Alicia Lamarque (2008) Fundamentos teórico – prácticos de química orgánica. 1º Edición. Editorial Encuentro, Argentina. Págs. 48-51
  • 30.
    30  Reflujo En esteproceso, el material fragmentado disuelto en un disolvente, se somete a ebullición. Se utiliza equipo de reflujo. La temperatura elevada del disolvente permite una mejor extracción de los componentes deseados Alicia Lamarque (2008) Fundamentos teórico – prácticos de química orgánica. 1º Edición. Editorial Encuentro, Argentina. Págs. 48-51
  • 31.
    31  Lixidación oPercolación Consiste en colocar el material fragmentado en un recipiente cónico, haciendo pasar un disolvente apropiado a través del mismo. Requiere el agregado de solvente en forma constante. Alicia Lamarque (2008) Fundamentos teórico – prácticos de química orgánica. 1º Edición. Editorial Encuentro, Argentina. Págs. 48-51
  • 32.
    32  Extracción porarrastre de vapor El mas antiguo y sencillo método. Este método por arrastre de vapor permite la máxima difusión del vapor, reduciendo los daños que pudieran llegar a sufrir los componentes de La mezcla. Alicia Lamarque (2008) Fundamentos teórico – prácticos de química orgánica. 1º Edición. Editorial Encuentro, Argentina. Págs. 48-51
  • 33.
    33 Terpenos Terpenos Aceites vegetales 20,000 terpenos Átomos de carbono en múltiplosde 5 Clase de lípidos Clase de lípidos 10 monoterpenos 15 sesquiterpenos 20 diterpenos 25 sesterpenos 30 triterpenos 40 tetraterpenos Cantidad de carbonos que contienen Carotenoide s Tetraterpenos (ocho unidades de isopreno) Licopen o β-caroteno son Conformados los hay más Se clasifican extraídos
  • 34.
    34 Si un compuestotiene los enlaces dobles suficientes absorberá luz visible (λ máx > 400nm) y el compuesto tendrá color. cabeza cola v Licopen o Licopen o β- Isopren o Isopren o
  • 35.
    35 Licopenos o Refuerza sistemainmune o Enfermedades cardiovasculares o Antioxidante o Cáncer o Colorante
  • 36.
    36 β – caroteno oPrecursor de la vitamina A o Proveen aproximadamente el 50% de la vitamina A o Antioxidante o Sistema inmune o Cáncer, enfermedades cardiovasculares, perdida de la visión, disminuir los síntomas de asma. o Disminuyen el riesgo de quemaduras solares.
  • 37.
  • 38.
  • 39.
  • 40.
  • 41.
  • 42.
  • 43.
  • 44.
  • 45.
  • 46.
  • 47.
  • 48.
  • 49.
  • 50.
  • 51.
  • 52.
    52 EXTRACCION LÌQUIDO-LÌQUIDO EXTRACCION LÌQUIDO-LÌQUIDO EXTRACCIO N Colocar0.5g de sacarosa, 0.5g de acido benzoico En un vaso de precipitados Solubilizar en 35mL de agua Verter en un embudo de separación Adicionar 10mL de éter etílico Mezclar cuidadosamente y dejar reposar hasta observar dos capas En matraz Erlernmeyer fase acuosa y en vaso de precipitados fase etérea Secar fase orgánica con sulfato de sodio anhídrido Obtención de acido benzoico Decantar y evaporar el éter en baño de agua caliente Los vapores de éter son inflamables ¿se formó una emulsión? Agregar NaCl SI NO Cubrir el vaso con un papel aluminio Drenar Experiencia A
  • 53.
  • 54.
    54 VARIACION DE PH Enun vaso de precipitados Disolver una mezcla de 0.5g de sacarosa y 0.5g de acido benzoico Solubilizar Con 25 mL de NaOH al 10% pH=12 Verter en un embudo de separación Adicionar 10mL de éter etílico Mezclar cuidadosamente y dejar reposar hasta observar dos capas Reacción acido- base entre acido benzoico e NaOH EXTRACCION LÌQUIDO-LÌQUIDO EXTRACCION LÌQUIDO-LÌQUIDO Experiencia Drenar Fase acuosa Fase etérea En matraz Erlernmeyer En vaso de precipitados Evaporar
  • 55.
    55 Sacaros a Ácido benzoico Éter etílico benzoato de sodio Benzoatode sodio Sacarosa Agua Hidróxido de sodio Hidróxido de sodio
  • 56.
    56 Al matraz balóny agregar 10 mL de cloruro de metileno EXTRACCION DE LICOPENOS Agregar 10mL de etanol al 95% Calentar mezcla a reflujo en baño maría durante 3-4 min, Filtrar el extracto y adicionar al residuo solido 2 o 3 porciones de 10mL de CH2Cl2 Reunir los extractos de CH2Cl2 con el primer extracto etanolico Separar capa inferior en vaso de precipitados y secar con sulfato de sodio anhidro Agregar solución saturada de cloruro de sodio Filtrar mezcla en caliente, recolectar el filtrado amarillo en un matraz Erlenmeyer Calentar a baño de agua de ebullición Presionar el solido suavement e Transferir el residuo de la filtración Evitar inhalar vapores altamente tóxicos Llevar a embudo de separación y agitar Extracto de licopeno Extracció n continua EXTRACCION LÌQUIDO-LÌQUIDO EXTRACCION LÌQUIDO-LÌQUIDO En un matraz balón Colocar 20g de jitomate Macerado en mortero Experiencia Adaptar refrigerante en posición de reflujo 20 mL
  • 57.
    57 EXTRACCION DE CAROTENOS Separar parteorgánica y secarla con sulfato de sodio anhidro. Lavar 2 veces capa orgánica Macerarlas con 30 mL de una mezcla de tolueno- hexano-metanol en partes iguales. Hacer extracto de hojas de espinacas Verter en embudo de separación Emplear porciones de 30mL de agua Decantar y destilar hasta obtener residuo de 5mL Extracto de carotenos EXTRACCION LÌQUIDO-LÌQUIDO EXTRACCION LÌQUIDO-LÌQUIDO Experiencia D
  • 58.
    Bibliografía 1. Xorge AlejandroDomínguez (1982) Química Orgánica Experimental. 1ª Edición. Editorial Limusa, México. 23-26pp. 2. Yurkanis P., (2008) Química Orgánica. 5ª Edición, Pearson, México. 3. Nimitz.J., (1990)Experiments in Organic Chemistry: From Microscale to Macroscale.1° Edicion, Prentice Hall,New Jersey. 54,55 pp. 4. Mohrig. J(2010) Techniques in Organic Chemistry. 3rd ed. W. H. Freeman and Company, New York. 113-115, 133 pp. 5. Ault A.,(1997) Techniques and Experiments for Organic Chemistry. 6th ed. University Science Books, California. 92-101, 129-134pp. 6. Therapeutic Research Center, editores de Natural Medicines. “Licopenos y carotenos”. Revisado en 2015. <https://www.nlm.nih.gov/medlineplus/spanish/druginfo/natural/999.html> Mar. 2016. 58