Excepciones al contenido general de la factura
En las operaciones realizadas para quienes no sean empresarios o profesionales, no es
necesario poner los datos de identificación del destinatario si la cantidad a pagar es
inferior a 100 euros, IVA excluido, o si, siendo superior, así lo ha autorizado la Agencia
Tributaria.

Facturas recapitulativas
Pueden incluirse en una sola factura las operaciones realizadas en distintas fechas para
un mismo destinatario, siempre que se hayan realizado dentro del mismo mes.

Documentos sustitutivos de las facturas: tiques
Cuando el importe de las operaciones no excede de 3.000 euros, las facturas pueden
sustituirse por tiques y copias de éstos, en los siguientes casos:
Venta al por menor.
Ventas y servicio en ambulancia y a domicilio del consumidor.
Servicios de hostelería, restauración y suministros de bebidas y comidas en
restaurantes, bares, cafeterías, chocolaterías y horchaterías.
Salas de baile y discotecas.
Servicios de peluquerías e institutos de belleza.
Utilización de instalaciones deportivas.
Revelado de fotografías y estudios fotográficos.
Aparcamientos y estacionamiento de vehículos.
Servicios de videoclub.
Utilización de autopistas de peaje.
Tintorerías y lavanderías.
Contenido mínimo de los tiques
Número y, en su caso, serie. La numeración ha de ser
correlativa.
NIF, nombre y domicilio o razón social del expedidor.
Tipo impositivo aplicado o la expresión <<IVA incluido>>.
Contraprestación total.

Es importante saber que, aunque se puedan emitir tiques en lugar de facturas, el
proveedor estará obligado a expedir factura completa cuando el destinatario así lo exija.
Y también que en ningún caso los tiques permiten la deducción de las cuotas soportadas
al no tener la consideración de factura.
Plazo para la emisión o expedición y envío o remisión de las facturas o de los
documentos sustitutivos
La expedición o emisión hace referencia a la realización o transmisión del documento,
mientras que la remisión indica el envío de esos mismos documentos tras su expedición,
tanto para una obligación como para la otra, la ley establece unos plazos máximos.
La ley amplia estos plazos en el caso en que el destinatario sea un empresario o un
profesional, además de hacer referencia a los plazos correspondientes para las facturas
recapitulativas. A continuación, mostramos una tabla con las distintas situaciones:

DOCUMENTO

DESTINATARIO

No empresario o
profesional
Facturas o
documentos
sustitutivos

Facturas
recapitulativas(las
que se agrupan para
el mismo
destinatario dentro
de un mismo mes)

Empresario o
profesional

No empresario o
profesional

Empresario o
profesional

PLAZO DE
EXPEDICIÓN

LÍMITE AL
PLAZO DE
EMISIÓN

En el momento de
realizar la
operación
En el plazo de un
mes desde la
realización de la
operación

PLAZO DE ENVÍO

En el momento de su
expedición
Antes del día 16
del mes siguiente
al periodo en el
que ha tenido
lugar la
operación

Como máximo el
último día del mes
en el que se hayan
efectuado las
operaciones
En el plazo de un Antes del día 16
mes desde el
del mes siguiente
último día del mes al periodo en el
en el que se han
que ha tenido
realizado las
lugar la
operaciones
operación

En el plazo de un mes a
partir de la fecha de su
expedición

En el momento de su
expedición

En el plazo de un mes a
partir de la fecha de su
expedición

ACTIVIDAD
a. ¿A qué se llama factura recapitulativa?¿Cuál es el plazo para su expedición si el
destinatario es un empresario o profesional?
b. Pon un ejemplo de una factura que esté destinada a una persona no empresaria o
profesional.
c. ¿Piensas que una factura que llegue a tu casa de ENDESA es una factura
recapitulativa?¿Por qué?

Duplicados y copias de las facturas
Los empresarios y profesionales sólo pueden expedir un original de cada factura o
documento sustitutivo.
Se pueden expedir duplicados en los siguientes casos:
Cuando en una misma operación concurran varios destinatarios.
En el supuesto de pérdida del original por cualquier causa.
En cada uno de los duplicados debe constar la expresión <<duplicado>> y la razón de
su expedición.
En todas las copias de las facturas se hará constar su carácter de <<copia>>.
Se pone, por ejemplo:
Esta factura es un
DUPLICADO

Esta factura es una
COPIA

Emisión de facturas por vía electrónica
Las facturas pueden expedirse y enviarse a sus destinatario en soporte electrónico
(factura electrónica) siempre que esta forma de confeccionar la factura permita:

Constatar la fecha de expedición de la factura.
Su inscripción en el libro de facturas expedidas.
Su adecuado archivo y conservación.

Cuando se remitan las facturas electrónicas, es preciso cumplir varias condiciones:
Que el destinatario dé su conformidad de forma expresa. Lo que significa que, si
no existe esta conformidad, deberá enviarse la factura impresa en papel.
Que los medios electrónicos utilizados garanticen la autenticidad del origen y la
integridad del contenido.

Las facturas electrónicas deben contener los mismos datos que las facturas en papel, el
único requisito que se añade es la firma electrónica avanzada, que se obtiene mediante
un certificado electrónico que concede la fábrica Nacional de Moneda y Timbre
(FNMT).
Expedición, remisión y conservación de las facturas electrónicas:
El ahorro que supone la facturación telemática es considerable, teniendo en cuenta
que se evita el gasto en papel, tinta, sobres y sellos para su envío, además del ahorro en
gastos de manipulación, y de espacio para su almacenamiento. La ley obliga a su
conservación durante cuatro años y una empresa de gran tamaño puede llegar a
acumular un millón de facturas mensuales, lo cual supone un problema logístico que
viene a paliar de forma considerable la facturación electrónica.

Conservación de facturas, documentos sustitutivos y otros documentos
Los empresarios o profesionales deberán conservar, durante el plazo previsto en la Ley
General Tributaria, los siguientes documentos:
Las facturas y documentos sustitutivos recibidos.
Las copias o matrices de las facturas expedidas y copias de los documentos
sustitutivos expedidos.
Los recibos justificativos de los reintegros del régimen especial de agricultura,
ganadería y pesca.
Los documentos acreditativos del pago del impuesto a la importación.
Esta obligación podrá cumplirse mediante la utilización de medios electrónicos. En
consecuencia:
El emisor tiene la obligación de conservar las copias o las matrices de las facturas
expedidas en el formato original en el que se hayan emitido (papel o forma
electrónica)
El receptor debe conservar las facturas en formato original en el se haya recibido
(papel o formato electrónico).
Las facturas y los documentos sustitutivos deben conservarse, a partir del día en que
finalice el plazo reglamentario para presentar la correspondiente liquidación del IVA, en
los plazos siguientes:
Conservación de las facturas
Facturas y documentos sustitutivos
Bienes de inversión muebles (maquinaria,
mobiliario, etc)
Bienes de inversión inmuebles

4 años
9 años
14 años

Facturación de los gastos suplidos
¿Qué ocurre con los gastos ocasionados por una determinada operación como portes,
seguros, envases y embalajes y otros que puedan surgir?
Estos deben ser facturados junto con la operación principal y pasan a formar parte de la
base imponible (total sin IVA) de la factura.
No obstante, en ocasiones surgen los denominados gastos suplidos que los que se
facturan separadamente de las mercancías porque así lo ha pedido de forma verbal o
escrita el comprador.
Los gastos suplidos no están gravados con el tipo impositivo de la operación principal
que los ocasiona, sino con el que les corresponda por su naturaleza; de este modo
tenemos:
Portes: gravados con el 21%. El transportista expedirá la carta de porte a nombre
del comprador correspondiente.
Seguros: se encuentran exentos. La compañía de seguros expedirá una factura a
nombre del comprador.
Si estos gastos se facturan junto con la mercancía, pasan a formar parte de la base
imponible y, por tanto, estarán sometidos al mismo tipo impositivo que la operación
principal.

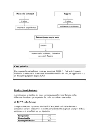
El descuento en las facturas
Estos descuentos se aplican en las facturas y reducen los precios de los productos
antes de añadir los gastos (transporte, embalajes, etc) que ocasione la operación. Los
tres tipos de descuentos que pueden presentarse son:

Descuento comercial

Rappels o descuentos por volumen de
compra

Descuento por pronto pago

Es el más usual. Se calcula descontando
un tanto por ciento del precio de los
productos.
Se aplican cuando se compran grandes
cantidades. Lo más frecuente es que este
descuento se aplique cuando en un
determinado periodo de tiempo, por
ejemplo un año, se ha superado un
determinado volumen de compras. Los
rappels se aplican sobre el importe bruto
de la factura, al igual que el descuento
comercial.
Este descuento se raliza cuando el pago es
al contado. Se aplica sobre el importe neto
que resulte de aplicar el descuento
comercial y el rappel(si existen éstos)

Formas de aplicar los descuentos en las facturas
Descuento comercial

Rappels

% sobre

% sobre
Importe de los productos

Importe de los productos

Descuento por pronto pago

% sobre

Importe de los productos - Descuento
comercial - Rappels

Caso práctico 1
Una empresa ha realizado una venta por importe de 30.000 €. ¿Cuál será el importe
líquido de la operación si se aplica un descuento comercial del 10%, un rappel del 5 % y
un descuento por pronto pago del 2%?

Realización de facturas
A continuación se detallan los pasos a seguir para confeccionar facturas en las
diferentes situaciones que se pueden dar en las operaciones mercantiles.
a) El IVA en las facturas
Aunque nosotros no vayamos a estudiar el IVA se puede realizar las facturas si
conocemos los tipos impositivos existentes correspondientes a aplicar. Los tipos de IVA
existentes en la actualidad son los siguientes:
Tipo general
Tipo reducido
Tipo superreducido

21%
11%
4%
b) Facturas con IVA
El orden que se debe de seguir para realizar correctamente los cálculos numéricos en
este tipo de factura es el que se indica a continuación:
1. Cálculo de la base imponible
Importe de la operación – descuento + gastos = base imponible
2. Cálculo de la cuota
Base imponible x tipo impositivo = cuota
3. Cálculo del importe total de la factura
Base imponible + cuota = total factura

Caso práctico 2
Calcula el total a pagar de la factura número 1 que emitió el día 9 del mes de octubre la
empresa Mayoristas Centro, S.A. con NIF A28888888, domiciliada en la calle
Velásquez, número 12 de la ciudad de Madrid, CP 28004, para ser enviada a la empresa
Industrias Norte, S.A. (NIF A39808012), domiciliada en la calle Pereda, número 90 de
la ciudad de Santander, CP 39093.
Los productos facturados fueron:
- 300 unidades del producto <<A>> a 7 €/unidad.
- 500 unidades del producto <<B>> a 4 €/unidad.
Se practicó un descuento del 10%
IVA: tipo general del 21%.

Caso Práctico 3
Confecciona la factura número 2 correspondiente a la venta anterior, pero incluyendo
los gastos siguientes:
Transporte, 210 €
Embalajes, 72 €

c) Facturas y documentos rectificativos

Las facturas y documentos sustitutivos pueden rectificarse en los casos siguientes:
Cuando no se cumpla alguno de los requisitos que establece el reglamento del
impuesto en cuanto al contenido.
Cuando se produzcan circunstancias que dan lugar a la modificación de la base
imponible.
Por incorrecta fijación de las cuotas repercutidas.
La rectificación se efectúa mediante la emisión de una nueva factura o documento
sustitutivo en el que se haga constar los datos identificativos de la factura o documento
sustitutivo que se está rectificando, la modificación efectuada, la causa que motiva la
rectificación y la condición de documento rectificativo.
La factura rectificativa deberá cumplir los requisitos establecidos como obligatorios de
carácter general. Se establecerán series especiales de numeración para las facturas de
rectificación.
No será necesario expedir factura rectificativa:
Si la modificación de la base imponible es consecuencia de la devolución de
envases y embalajes, y éstos se recogieron en la factura de entrega. Se podrá
practicar la rectificación en la factura que se expida por una operación posterior que
tenga el mismo destinatario, restando a su vez el importe de los envases u embalajes
devueltos del importe de dicha operación posterior, repercutiendo al destinatario de
las operaciones solamente el importe correspondiente a la diferencia en cuestión.
Si tiene su origen en la concesión de descuentos o bonificaciones por volumen de
operaciones, no se precisa que se especifiquen en las facturas rectificadas, sino que
basta la determinación del periodo a que se refieran.
Que se queden sin efecto total o parcialmente las operaciones gravadas (ej.: por
devolución de mercancías), o si se altera el precio.
Ejemplo de modelo de factura de rectificación:

Factura de RECTIFICACIÓN Nº:
Serie:
Fecha:

Dirección de factura:
NIF O CIF:
Referencia Cantidad

Datos de la factura rectificada.

Descripción Precio u.

IVA

R.E.

TOTAL

TOTAL FACTURA DE RECTIFICACIÓN

ACTIVIDADES
1.- Una empresa recibe un tique de un restaurante y desea conocer qué parte
corresponde a la Base Imponible y cuál a la cuota de IVA (IVA incluido del 7%) es de
49 €.
2.- ¿En que casos se pueden expedir tiques en lugar de la factura?
3.- ¿Qué es lo que se exige para que se puedan remitir facturas o documentos
sustitutivos por medios electrónicos con respecto al destinatario de dichos documentos?
4.- ¿Es obligatorio consignar en los tiques y sus copias la identificación del destinatario
de este documento?

A. LOS LIBROS REGISTRO DEL IVA
Los empresarios y profesionales que realizan operaciones sujetas al IVA deberán llevar
dentro de los libros de registro existentes: el libro registro de facturas expedidas o
emitidas y el Libro registro de facturas recibidas.
Ahora bien, estos libros registro han de llevarse: con claridad y exactitud; por orden de
fechas; sin espacios en blanco, interpolaciones, raspaduras ni tachaduras; deberán de
corregirse inmediatamente los errores y omisiones en las anotaciones contables; los
valores deberán expresarse en euros, las páginas deben estar numeradas
correlativamente.
Libro de registro de facturas expedidas o emitidas
Aquí se anotan las facturas o documentos sustitutivos expedidos de todas las
operaciones realizadas por el vendedor. Las facturas emitidas se anotan de una en una,
por orden correlativo de fechas y numeración, indicando el número, fecha, destinatario,
base imponible, tipo impositivo y cuota repercutida.
Las anotaciones individuales pueden sustituirse por asientos resumen siempre que: las
facturas estén expedidas el mismo día y numeradas correlativamente; el importe total
conjunto, IVA no incluido, no exceda de 6.000 €. En este caso se hará constar la fecha,
número, base imponible global, tipo y la cuota global.
Entre estos requisitos no se encuentra el que las facturas tengan que ser del mismo
destinatario, ni el mismo tipo de IVA. También se puede anotar una misma factura en
asientos correlativos cuando incluya operaciones que tributen a distintos tipos
impositivos.
CASO PRACTICO
Anota en el libro registro de facturas emitidas las que se detallan seguidamente y que ha
expedido una empresa el día 5 de septiembre:
Nº factura
125
126
127
128
129
130

Destinatario
Ate, S.A.
Serna, S.L.
Marcu, S.A.
Bezana, S.A.
Sr. Gómez
Laguna, S.A.

Base Imponible
1.900
2.500
1.500
2.100
900
3.200

Las anotaciones se realizarán de dos formas:

Tipo IVA
Reducido
Reducido
Reducido
General
General
General
a) Operación por operación.
b) De forma resumida.

Libro de registro de facturas recibidas
En este libro se anotan todas las facturas y documentos de las operaciones de la
actividad empresarial o profesional, que numerará el destinatario en el orden recibido, y
anotará en el libro. Los documentos se anotan de uno en uno, haciendo constar su
número de recepción, fecha, nombre del expedidor, base imponible, tipo impositivo y
cuota soportada.
Las anotaciones individuales pueden sustituirse por un asiento resumen global cuando
las facturas sean recibidas en la misma fecha; el importe individual no supere 500 €,
IVA no incluido, y el total los 6.000 €, IVA no incluido. Pueden agruparse documentos
de varios proveedores y tipos de IVA. Y anotar una factura en asientos correlativos
cuando se tributen varios tipos impositivos.
CASO PRACTICO
Anota en el libro registro de facturas recibidas las del día 15 de septiembre:
Nº Registro
423
424
425
426
427
428

Proveedor
Quintal, S.L.
Werner
Doble, S.A.
Sr. García
Sr. Perez
Doble W, S.L.

Base Imponible
500
490
350
700
450
120

Tipo IVA
Reducido
Reducido
General
General
General
Reducido

Las anotaciones se realizaran: operación por operación, y de forma resumida.
Conservación de los libros
La Ley General Tributaria establecen que deben conservarse durante el periodo de
prescripción (que es de cuatro años), cuyo cómputo se inicia a partir del día en que
finaliza el plazo correspondiente para presentar la declaración-liquidación del IVA.
ACTIVIDADES
1. Realiza la factura (fact. Nº 3) expedida el día 11/01/2008 por la sociedad TROLA,
S.A. (C.I.F.:A283001), a un cliente (Luis Blanco Ruiz) que tributa en el régimen
especial de recargo de equivalencia del IVA, por la siguiente operación de compra que
éste realiza:
 428 botellas de ron a un precio de 2,05 €/botella.
 891 botellas de agua (IVA 7%) a 0,2 €/botella
 120 botellas de aguardiente a un precio de 2,8 €/botella.
2.- Supongamos el supuesto anterior pero con un descuento comercial del 10% a las
botellas de agua, y del 5% al ron y aguardiente. El gasto de transporte es de 70 €.
3.- Una empresa acogida al recargo de equivalencia adquiere los siguientes productos:
 50 unidades del producto “A”, tipo superreducido, a 3,52 €/ud.
 20 unidades del producto “B”, tipo reducido, a 1,80 €/ud.
 30 unidades del producto “C”, tipo general, a 22 €/ud.
Se practica un descuento comercial en factura del 6%.
Se pide determinar las bases, las cuotas y el importe de la factura.
4.- Confecciona la factura nº 1 emitida el día 12 de enero de 2008 por la empresa
“Montajes Pilares, S.A.”, con CIF: A 28124587, y domicilio: C/ La Rosa nº 11, Madrid
28300. El cliente es “Deco, S.A.”, con CIF: A-47000032 y domicilio en C/ Pozas nº 18,
Valladolid (47017).
Productos facturados:
 300 unidades a 300 €.
 500 unidades a 400 €.
 300 estanterias BILY a 300 €/ud.
 500 mesas NORREBA a 400 €/ud.
Descuento por promoción del 10%. IVA general.

Apuntes propios factura

  • 1.
    Excepciones al contenidogeneral de la factura En las operaciones realizadas para quienes no sean empresarios o profesionales, no es necesario poner los datos de identificación del destinatario si la cantidad a pagar es inferior a 100 euros, IVA excluido, o si, siendo superior, así lo ha autorizado la Agencia Tributaria. Facturas recapitulativas Pueden incluirse en una sola factura las operaciones realizadas en distintas fechas para un mismo destinatario, siempre que se hayan realizado dentro del mismo mes. Documentos sustitutivos de las facturas: tiques Cuando el importe de las operaciones no excede de 3.000 euros, las facturas pueden sustituirse por tiques y copias de éstos, en los siguientes casos: Venta al por menor. Ventas y servicio en ambulancia y a domicilio del consumidor. Servicios de hostelería, restauración y suministros de bebidas y comidas en restaurantes, bares, cafeterías, chocolaterías y horchaterías. Salas de baile y discotecas. Servicios de peluquerías e institutos de belleza. Utilización de instalaciones deportivas. Revelado de fotografías y estudios fotográficos. Aparcamientos y estacionamiento de vehículos. Servicios de videoclub. Utilización de autopistas de peaje. Tintorerías y lavanderías. Contenido mínimo de los tiques Número y, en su caso, serie. La numeración ha de ser correlativa. NIF, nombre y domicilio o razón social del expedidor. Tipo impositivo aplicado o la expresión <<IVA incluido>>. Contraprestación total. Es importante saber que, aunque se puedan emitir tiques en lugar de facturas, el proveedor estará obligado a expedir factura completa cuando el destinatario así lo exija. Y también que en ningún caso los tiques permiten la deducción de las cuotas soportadas al no tener la consideración de factura.
  • 2.
    Plazo para laemisión o expedición y envío o remisión de las facturas o de los documentos sustitutivos La expedición o emisión hace referencia a la realización o transmisión del documento, mientras que la remisión indica el envío de esos mismos documentos tras su expedición, tanto para una obligación como para la otra, la ley establece unos plazos máximos. La ley amplia estos plazos en el caso en que el destinatario sea un empresario o un profesional, además de hacer referencia a los plazos correspondientes para las facturas recapitulativas. A continuación, mostramos una tabla con las distintas situaciones: DOCUMENTO DESTINATARIO No empresario o profesional Facturas o documentos sustitutivos Facturas recapitulativas(las que se agrupan para el mismo destinatario dentro de un mismo mes) Empresario o profesional No empresario o profesional Empresario o profesional PLAZO DE EXPEDICIÓN LÍMITE AL PLAZO DE EMISIÓN En el momento de realizar la operación En el plazo de un mes desde la realización de la operación PLAZO DE ENVÍO En el momento de su expedición Antes del día 16 del mes siguiente al periodo en el que ha tenido lugar la operación Como máximo el último día del mes en el que se hayan efectuado las operaciones En el plazo de un Antes del día 16 mes desde el del mes siguiente último día del mes al periodo en el en el que se han que ha tenido realizado las lugar la operaciones operación En el plazo de un mes a partir de la fecha de su expedición En el momento de su expedición En el plazo de un mes a partir de la fecha de su expedición ACTIVIDAD a. ¿A qué se llama factura recapitulativa?¿Cuál es el plazo para su expedición si el destinatario es un empresario o profesional? b. Pon un ejemplo de una factura que esté destinada a una persona no empresaria o profesional. c. ¿Piensas que una factura que llegue a tu casa de ENDESA es una factura recapitulativa?¿Por qué? Duplicados y copias de las facturas
  • 3.
    Los empresarios yprofesionales sólo pueden expedir un original de cada factura o documento sustitutivo. Se pueden expedir duplicados en los siguientes casos: Cuando en una misma operación concurran varios destinatarios. En el supuesto de pérdida del original por cualquier causa. En cada uno de los duplicados debe constar la expresión <<duplicado>> y la razón de su expedición. En todas las copias de las facturas se hará constar su carácter de <<copia>>. Se pone, por ejemplo: Esta factura es un DUPLICADO Esta factura es una COPIA Emisión de facturas por vía electrónica Las facturas pueden expedirse y enviarse a sus destinatario en soporte electrónico (factura electrónica) siempre que esta forma de confeccionar la factura permita: Constatar la fecha de expedición de la factura. Su inscripción en el libro de facturas expedidas. Su adecuado archivo y conservación. Cuando se remitan las facturas electrónicas, es preciso cumplir varias condiciones: Que el destinatario dé su conformidad de forma expresa. Lo que significa que, si no existe esta conformidad, deberá enviarse la factura impresa en papel. Que los medios electrónicos utilizados garanticen la autenticidad del origen y la integridad del contenido. Las facturas electrónicas deben contener los mismos datos que las facturas en papel, el único requisito que se añade es la firma electrónica avanzada, que se obtiene mediante un certificado electrónico que concede la fábrica Nacional de Moneda y Timbre (FNMT). Expedición, remisión y conservación de las facturas electrónicas:
  • 4.
    El ahorro quesupone la facturación telemática es considerable, teniendo en cuenta que se evita el gasto en papel, tinta, sobres y sellos para su envío, además del ahorro en gastos de manipulación, y de espacio para su almacenamiento. La ley obliga a su conservación durante cuatro años y una empresa de gran tamaño puede llegar a acumular un millón de facturas mensuales, lo cual supone un problema logístico que viene a paliar de forma considerable la facturación electrónica. Conservación de facturas, documentos sustitutivos y otros documentos Los empresarios o profesionales deberán conservar, durante el plazo previsto en la Ley General Tributaria, los siguientes documentos: Las facturas y documentos sustitutivos recibidos. Las copias o matrices de las facturas expedidas y copias de los documentos sustitutivos expedidos. Los recibos justificativos de los reintegros del régimen especial de agricultura, ganadería y pesca. Los documentos acreditativos del pago del impuesto a la importación. Esta obligación podrá cumplirse mediante la utilización de medios electrónicos. En consecuencia: El emisor tiene la obligación de conservar las copias o las matrices de las facturas expedidas en el formato original en el que se hayan emitido (papel o forma electrónica) El receptor debe conservar las facturas en formato original en el se haya recibido (papel o formato electrónico). Las facturas y los documentos sustitutivos deben conservarse, a partir del día en que finalice el plazo reglamentario para presentar la correspondiente liquidación del IVA, en los plazos siguientes: Conservación de las facturas Facturas y documentos sustitutivos Bienes de inversión muebles (maquinaria, mobiliario, etc) Bienes de inversión inmuebles 4 años 9 años 14 años Facturación de los gastos suplidos ¿Qué ocurre con los gastos ocasionados por una determinada operación como portes, seguros, envases y embalajes y otros que puedan surgir? Estos deben ser facturados junto con la operación principal y pasan a formar parte de la base imponible (total sin IVA) de la factura. No obstante, en ocasiones surgen los denominados gastos suplidos que los que se facturan separadamente de las mercancías porque así lo ha pedido de forma verbal o escrita el comprador.
  • 5.
    Los gastos suplidosno están gravados con el tipo impositivo de la operación principal que los ocasiona, sino con el que les corresponda por su naturaleza; de este modo tenemos: Portes: gravados con el 21%. El transportista expedirá la carta de porte a nombre del comprador correspondiente. Seguros: se encuentran exentos. La compañía de seguros expedirá una factura a nombre del comprador. Si estos gastos se facturan junto con la mercancía, pasan a formar parte de la base imponible y, por tanto, estarán sometidos al mismo tipo impositivo que la operación principal. El descuento en las facturas Estos descuentos se aplican en las facturas y reducen los precios de los productos antes de añadir los gastos (transporte, embalajes, etc) que ocasione la operación. Los tres tipos de descuentos que pueden presentarse son: Descuento comercial Rappels o descuentos por volumen de compra Descuento por pronto pago Es el más usual. Se calcula descontando un tanto por ciento del precio de los productos. Se aplican cuando se compran grandes cantidades. Lo más frecuente es que este descuento se aplique cuando en un determinado periodo de tiempo, por ejemplo un año, se ha superado un determinado volumen de compras. Los rappels se aplican sobre el importe bruto de la factura, al igual que el descuento comercial. Este descuento se raliza cuando el pago es al contado. Se aplica sobre el importe neto que resulte de aplicar el descuento comercial y el rappel(si existen éstos) Formas de aplicar los descuentos en las facturas
  • 6.
    Descuento comercial Rappels % sobre %sobre Importe de los productos Importe de los productos Descuento por pronto pago % sobre Importe de los productos - Descuento comercial - Rappels Caso práctico 1 Una empresa ha realizado una venta por importe de 30.000 €. ¿Cuál será el importe líquido de la operación si se aplica un descuento comercial del 10%, un rappel del 5 % y un descuento por pronto pago del 2%? Realización de facturas A continuación se detallan los pasos a seguir para confeccionar facturas en las diferentes situaciones que se pueden dar en las operaciones mercantiles. a) El IVA en las facturas Aunque nosotros no vayamos a estudiar el IVA se puede realizar las facturas si conocemos los tipos impositivos existentes correspondientes a aplicar. Los tipos de IVA existentes en la actualidad son los siguientes: Tipo general Tipo reducido Tipo superreducido 21% 11% 4%
  • 7.
    b) Facturas conIVA El orden que se debe de seguir para realizar correctamente los cálculos numéricos en este tipo de factura es el que se indica a continuación: 1. Cálculo de la base imponible Importe de la operación – descuento + gastos = base imponible 2. Cálculo de la cuota Base imponible x tipo impositivo = cuota 3. Cálculo del importe total de la factura Base imponible + cuota = total factura Caso práctico 2 Calcula el total a pagar de la factura número 1 que emitió el día 9 del mes de octubre la empresa Mayoristas Centro, S.A. con NIF A28888888, domiciliada en la calle Velásquez, número 12 de la ciudad de Madrid, CP 28004, para ser enviada a la empresa Industrias Norte, S.A. (NIF A39808012), domiciliada en la calle Pereda, número 90 de la ciudad de Santander, CP 39093. Los productos facturados fueron: - 300 unidades del producto <<A>> a 7 €/unidad. - 500 unidades del producto <<B>> a 4 €/unidad. Se practicó un descuento del 10% IVA: tipo general del 21%. Caso Práctico 3 Confecciona la factura número 2 correspondiente a la venta anterior, pero incluyendo los gastos siguientes: Transporte, 210 € Embalajes, 72 € c) Facturas y documentos rectificativos Las facturas y documentos sustitutivos pueden rectificarse en los casos siguientes: Cuando no se cumpla alguno de los requisitos que establece el reglamento del impuesto en cuanto al contenido. Cuando se produzcan circunstancias que dan lugar a la modificación de la base imponible. Por incorrecta fijación de las cuotas repercutidas. La rectificación se efectúa mediante la emisión de una nueva factura o documento sustitutivo en el que se haga constar los datos identificativos de la factura o documento sustitutivo que se está rectificando, la modificación efectuada, la causa que motiva la rectificación y la condición de documento rectificativo.
  • 8.
    La factura rectificativadeberá cumplir los requisitos establecidos como obligatorios de carácter general. Se establecerán series especiales de numeración para las facturas de rectificación. No será necesario expedir factura rectificativa: Si la modificación de la base imponible es consecuencia de la devolución de envases y embalajes, y éstos se recogieron en la factura de entrega. Se podrá practicar la rectificación en la factura que se expida por una operación posterior que tenga el mismo destinatario, restando a su vez el importe de los envases u embalajes devueltos del importe de dicha operación posterior, repercutiendo al destinatario de las operaciones solamente el importe correspondiente a la diferencia en cuestión. Si tiene su origen en la concesión de descuentos o bonificaciones por volumen de operaciones, no se precisa que se especifiquen en las facturas rectificadas, sino que basta la determinación del periodo a que se refieran. Que se queden sin efecto total o parcialmente las operaciones gravadas (ej.: por devolución de mercancías), o si se altera el precio. Ejemplo de modelo de factura de rectificación: Factura de RECTIFICACIÓN Nº: Serie: Fecha: Dirección de factura: NIF O CIF: Referencia Cantidad Datos de la factura rectificada. Descripción Precio u. IVA R.E. TOTAL TOTAL FACTURA DE RECTIFICACIÓN ACTIVIDADES 1.- Una empresa recibe un tique de un restaurante y desea conocer qué parte corresponde a la Base Imponible y cuál a la cuota de IVA (IVA incluido del 7%) es de 49 €.
  • 9.
    2.- ¿En quecasos se pueden expedir tiques en lugar de la factura? 3.- ¿Qué es lo que se exige para que se puedan remitir facturas o documentos sustitutivos por medios electrónicos con respecto al destinatario de dichos documentos? 4.- ¿Es obligatorio consignar en los tiques y sus copias la identificación del destinatario de este documento? A. LOS LIBROS REGISTRO DEL IVA Los empresarios y profesionales que realizan operaciones sujetas al IVA deberán llevar dentro de los libros de registro existentes: el libro registro de facturas expedidas o emitidas y el Libro registro de facturas recibidas. Ahora bien, estos libros registro han de llevarse: con claridad y exactitud; por orden de fechas; sin espacios en blanco, interpolaciones, raspaduras ni tachaduras; deberán de corregirse inmediatamente los errores y omisiones en las anotaciones contables; los valores deberán expresarse en euros, las páginas deben estar numeradas correlativamente. Libro de registro de facturas expedidas o emitidas Aquí se anotan las facturas o documentos sustitutivos expedidos de todas las operaciones realizadas por el vendedor. Las facturas emitidas se anotan de una en una, por orden correlativo de fechas y numeración, indicando el número, fecha, destinatario, base imponible, tipo impositivo y cuota repercutida. Las anotaciones individuales pueden sustituirse por asientos resumen siempre que: las facturas estén expedidas el mismo día y numeradas correlativamente; el importe total conjunto, IVA no incluido, no exceda de 6.000 €. En este caso se hará constar la fecha, número, base imponible global, tipo y la cuota global. Entre estos requisitos no se encuentra el que las facturas tengan que ser del mismo destinatario, ni el mismo tipo de IVA. También se puede anotar una misma factura en asientos correlativos cuando incluya operaciones que tributen a distintos tipos impositivos. CASO PRACTICO Anota en el libro registro de facturas emitidas las que se detallan seguidamente y que ha expedido una empresa el día 5 de septiembre: Nº factura 125 126 127 128 129 130 Destinatario Ate, S.A. Serna, S.L. Marcu, S.A. Bezana, S.A. Sr. Gómez Laguna, S.A. Base Imponible 1.900 2.500 1.500 2.100 900 3.200 Las anotaciones se realizarán de dos formas: Tipo IVA Reducido Reducido Reducido General General General
  • 10.
    a) Operación poroperación. b) De forma resumida. Libro de registro de facturas recibidas En este libro se anotan todas las facturas y documentos de las operaciones de la actividad empresarial o profesional, que numerará el destinatario en el orden recibido, y anotará en el libro. Los documentos se anotan de uno en uno, haciendo constar su número de recepción, fecha, nombre del expedidor, base imponible, tipo impositivo y cuota soportada. Las anotaciones individuales pueden sustituirse por un asiento resumen global cuando las facturas sean recibidas en la misma fecha; el importe individual no supere 500 €, IVA no incluido, y el total los 6.000 €, IVA no incluido. Pueden agruparse documentos de varios proveedores y tipos de IVA. Y anotar una factura en asientos correlativos cuando se tributen varios tipos impositivos. CASO PRACTICO Anota en el libro registro de facturas recibidas las del día 15 de septiembre: Nº Registro 423 424 425 426 427 428 Proveedor Quintal, S.L. Werner Doble, S.A. Sr. García Sr. Perez Doble W, S.L. Base Imponible 500 490 350 700 450 120 Tipo IVA Reducido Reducido General General General Reducido Las anotaciones se realizaran: operación por operación, y de forma resumida. Conservación de los libros La Ley General Tributaria establecen que deben conservarse durante el periodo de prescripción (que es de cuatro años), cuyo cómputo se inicia a partir del día en que finaliza el plazo correspondiente para presentar la declaración-liquidación del IVA. ACTIVIDADES 1. Realiza la factura (fact. Nº 3) expedida el día 11/01/2008 por la sociedad TROLA, S.A. (C.I.F.:A283001), a un cliente (Luis Blanco Ruiz) que tributa en el régimen especial de recargo de equivalencia del IVA, por la siguiente operación de compra que éste realiza:  428 botellas de ron a un precio de 2,05 €/botella.  891 botellas de agua (IVA 7%) a 0,2 €/botella  120 botellas de aguardiente a un precio de 2,8 €/botella.
  • 11.
    2.- Supongamos elsupuesto anterior pero con un descuento comercial del 10% a las botellas de agua, y del 5% al ron y aguardiente. El gasto de transporte es de 70 €. 3.- Una empresa acogida al recargo de equivalencia adquiere los siguientes productos:  50 unidades del producto “A”, tipo superreducido, a 3,52 €/ud.  20 unidades del producto “B”, tipo reducido, a 1,80 €/ud.  30 unidades del producto “C”, tipo general, a 22 €/ud. Se practica un descuento comercial en factura del 6%. Se pide determinar las bases, las cuotas y el importe de la factura. 4.- Confecciona la factura nº 1 emitida el día 12 de enero de 2008 por la empresa “Montajes Pilares, S.A.”, con CIF: A 28124587, y domicilio: C/ La Rosa nº 11, Madrid 28300. El cliente es “Deco, S.A.”, con CIF: A-47000032 y domicilio en C/ Pozas nº 18, Valladolid (47017). Productos facturados:  300 unidades a 300 €.  500 unidades a 400 €.  300 estanterias BILY a 300 €/ud.  500 mesas NORREBA a 400 €/ud. Descuento por promoción del 10%. IVA general.