LA CLASIFICACIÓN
INTERNACIONAL DEL
FUNCIONAMIENTO, DE LA
DISCAPACIDAD Y DE LA SALUD,
ESTA CLASIFICACIÓN
DESARROLLADA POR LA
ORGANIZACIÓN MUNDIAL DE LA
SALUD (OMS) TIENE COMO
OBJETIVO PRINCIPAL EL
PROPORCIONAR UN LENGUAJE
UNIFICADO Y ESTANDARIZADO
QUE SIRVA COMO PUNTO DE
REFERENCIA PARA LA
DESCRIPCIÓN DE LA SALUD Y LOS
ESTADOS RELACIONADOS CON LA
SALUD.
•PROPORCIONAR UNA BASE CIENTÍFICA PARA EL
ESTUDIO Y LA COMPRENSIÓN DE LA SALUD Y LOS
ESTADOS RELACIONADOS CON ELLA, LOS
RESULTADOS Y LOS DETERMINANTES.
•ESTABLECER UN LENGUAJE COMÚN PARA
DESCRIBIR LA SALUD Y LOS ESTADOS
RELACIONADOS CON ELLA, PARA MEJORAR LA
COMUNICACIÓN ENTRE DISTINTOS USUARIOS COMO
PROFESIONALES DE LA SALUD, INVESTIGADORES,
DISEÑADORES DE POLÍTICAS Y LA POBLACIÓN
GENERAL, INCLUYENDO A LAS PERSONAS CON
DISCAPACIDADES.
•PERMITIR LA COMPARACIÓN DE DATOS E
INFORMACIÓN ENTRE PAÍSES, DISCIPLINAS,
SERVICIOS, Y EN DIFERENTES MOMENTOS A LO
LARGO DEL TIEMPO.
•PROPORCIONAR UN ESQUEMA DE CODIFICACIÓN
SISTEMATIZADO PARA SER APLICADO EN LOS
SISTEMAS DE INFORMACIÓN EN SALUD.
Cada una de estas partes
consta a su vez de dos
componentes

1. FUNCIONAMIENTO Y
DISCAPACIDAD
(A) EL COMPONENTE CUERPO
CONSTA DE DOS CLASIFICACIONES,
UNA PARA LAS FUNCIONES DE LOS
SISTEMAS CORPORALES, Y OTRA
PARA LAS ESTRUCTURAS DEL
CUERPO. LOS CAPÍTULOS DE AMBAS
CLASIFICACIONES ESTÁN
ORGANIZADOS SIGUIENDO LOS
SISTEMAS CORPORALES.
(B) EL COMPONENTE ACTIVIDADES Y
PARTICIPACIÓN CUBRE EL RANGO
COMPLETO DE DOMINIOS QUE
INDICAN ASPECTOS RELACIONADOS
CON EL FUNCIONAMIENTO TANTO
DESDE UNA PERSPECTIVA
INDIVIDUAL COMO SOCIAL.

2. FACTORES CONTEXTUALES
((A)UNA LISTA DE FACTORES
AMBIENTALES FORMA PARTE DE
LOS FACTORES CONTEXTUALES.
LOS FACTORES AMBIENTALES
EJERCEN UN EFECTO EN TODOS
LOS COMPONENTES DEL
FUNCIONAMIENTO Y LA
DISCAPACIDAD Y ESTÁN
ORGANIZADOS PARTIENDO DEL
ENTORNO MÁS INMEDIATO AL
INDIVIDUO Y LLEGANDO HASTA EL
ENTORNO GENERAL.
(B)LOS FACTORES PERSONALES
SON UN COMPONENTE DE LOS
FACTORES CONTEXTUALES PERO
NO ESTÁN CLASIFICADOS EN LA CIF
DEBIDO A LA GRAN VARIABILIDAD
SOCIAL Y CULTURAL ASOCIADA CON
ELLOS.
•MIDE EL CAMBIO
DE LA MOTRICIDAD
GRUESA EN EL
TIEMPO.
VALIDADO PARA
SU USO EN NIÑOS
CON PARÁLISIS
CEREBRAL Y
SÍNDROME DE
DOWN.
APLICACIÓN EN
CLÍNICA E
INVESTIGACIÓN.

GMFM 66
CONSTA DE 66 ÍTEMS,
AGRUPADOS EN 5
DIMENSIONES DIFERENTES DE
FUNCIONES MOTORAS
GRUESAS:
I.
SUPINO Y GIRAR
II. SENTARSE
III. ARRASTRASE Y
ARRODILLARSE
IV. PARARSE
V. CAMINAR, CORRER Y
SALTAR
Debe ser montado y ajustado a
la altura apropiada previo a la
evaluación
Implementación incluye:

Colchoneta de 2 x 1,2 m.
Juguete pequeño
Pelota
Banco sueco
Asiento en el que los niños no
toquen suelo
5 escalones con pasa manos
Paralelas
Juguete grande
Linea recta de 2 cm de ancho y 2
mt de largo
Barra transversal a la atura de la
rodilla del niño
EL PUNTAJE SE BASA EN UNA
ESCALA DE 4 PUNTOS PARA CADA
ÍTEM:
0 = NO INICIADO: EL NIÑO NO ES
CAPAZ DE INICIAR NINGUNA
PARTE DE LA ACTIVIDAD
1 = INICIADO: DESEMPEÑO < 10% DE
LA TAREA
2 = PARCIALMENTE COMPLETO:
DESEMPEÑO 10% > <100% DE LA
TAREA
3 = COMPLETO: DESEMPEÑO DEL
100% DE LA TAREA
NE = NO EVALUADO: ÍTEM NO
APLICADO, IMPOSIBILIDAD DE SER
REALIZADO O RECHAZO POR PARTE
DEL NIÑO, AÚN CUANDO MUESTRE
HABILIDADES QUE LE PERMITIRÍAN
UN DESEMPEÑO AL MENOS
PARCIAL

SUMA DE LOS PUNTAJES
DE LOS ÍTEMS DE CADA
DIMENSIÓN
CÁLCULO DE
PORCENTAJE EN CADA
UNA DE LAS 5
DIMENSIONES
( PUNTAJE
OBTENIDO / PUNTAJE
MÁXIMO ) X 100
PROMEDIO DE LOS
PUNTAJES OBTENIDOS
CUALQUIER ÍTEM AL QUE
SE ASIGNE NE TENDRÁ
UN PUNTAJE DE 0
SISTEMA DE
CLASIFICACIÓN DE LA
FUNCIÓN MOTORA
GRUESA PARA PARÁLISIS
CEREBRAL (GMFCS)
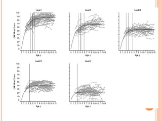
NIVEL I: EL NIÑO DEAMBULA SIN RESTRICCIONES;
TIENE LIMITACIONES EN HABILIDADES MOTRICES
MÁS COMPLEJAS.

NIVEL II: DEAMBULA SIN DISPOSITIVOS DE AYUDA;
TIENE LIMITACIONES EN EXTERIORES Y EN LA
COMUNIDAD.
NIVEL III: DEAMBULA CON AYUDAS TÉCNICAS,
LIMITACIONES EN EXTERIORES Y EN LA
COMUNIDAD.
NIVEL IV: DESPLAZAMIENTO AUTÓNOMO CON
LIITACIONES, SE LE TRANSPORTA O UTILIZA SILLA
DE RUEDAS AUTOPROPULSADA.
NIVEL V: AUTODESPLAZAMIENTO MUY LIMITADO
INCLUSO UTILIZANDO TECNOLOGÍA
AUTOPROPULSADA.
test de evaluacion Cif y gross motor
test de evaluacion Cif y gross motor

test de evaluacion Cif y gross motor

  • 2.
    LA CLASIFICACIÓN INTERNACIONAL DEL FUNCIONAMIENTO,DE LA DISCAPACIDAD Y DE LA SALUD, ESTA CLASIFICACIÓN DESARROLLADA POR LA ORGANIZACIÓN MUNDIAL DE LA SALUD (OMS) TIENE COMO OBJETIVO PRINCIPAL EL PROPORCIONAR UN LENGUAJE UNIFICADO Y ESTANDARIZADO QUE SIRVA COMO PUNTO DE REFERENCIA PARA LA DESCRIPCIÓN DE LA SALUD Y LOS ESTADOS RELACIONADOS CON LA SALUD.
  • 3.
    •PROPORCIONAR UNA BASECIENTÍFICA PARA EL ESTUDIO Y LA COMPRENSIÓN DE LA SALUD Y LOS ESTADOS RELACIONADOS CON ELLA, LOS RESULTADOS Y LOS DETERMINANTES. •ESTABLECER UN LENGUAJE COMÚN PARA DESCRIBIR LA SALUD Y LOS ESTADOS RELACIONADOS CON ELLA, PARA MEJORAR LA COMUNICACIÓN ENTRE DISTINTOS USUARIOS COMO PROFESIONALES DE LA SALUD, INVESTIGADORES, DISEÑADORES DE POLÍTICAS Y LA POBLACIÓN GENERAL, INCLUYENDO A LAS PERSONAS CON DISCAPACIDADES. •PERMITIR LA COMPARACIÓN DE DATOS E INFORMACIÓN ENTRE PAÍSES, DISCIPLINAS, SERVICIOS, Y EN DIFERENTES MOMENTOS A LO LARGO DEL TIEMPO. •PROPORCIONAR UN ESQUEMA DE CODIFICACIÓN SISTEMATIZADO PARA SER APLICADO EN LOS SISTEMAS DE INFORMACIÓN EN SALUD.
  • 4.
    Cada una deestas partes consta a su vez de dos componentes 1. FUNCIONAMIENTO Y DISCAPACIDAD (A) EL COMPONENTE CUERPO CONSTA DE DOS CLASIFICACIONES, UNA PARA LAS FUNCIONES DE LOS SISTEMAS CORPORALES, Y OTRA PARA LAS ESTRUCTURAS DEL CUERPO. LOS CAPÍTULOS DE AMBAS CLASIFICACIONES ESTÁN ORGANIZADOS SIGUIENDO LOS SISTEMAS CORPORALES. (B) EL COMPONENTE ACTIVIDADES Y PARTICIPACIÓN CUBRE EL RANGO COMPLETO DE DOMINIOS QUE INDICAN ASPECTOS RELACIONADOS CON EL FUNCIONAMIENTO TANTO DESDE UNA PERSPECTIVA INDIVIDUAL COMO SOCIAL. 2. FACTORES CONTEXTUALES ((A)UNA LISTA DE FACTORES AMBIENTALES FORMA PARTE DE LOS FACTORES CONTEXTUALES. LOS FACTORES AMBIENTALES EJERCEN UN EFECTO EN TODOS LOS COMPONENTES DEL FUNCIONAMIENTO Y LA DISCAPACIDAD Y ESTÁN ORGANIZADOS PARTIENDO DEL ENTORNO MÁS INMEDIATO AL INDIVIDUO Y LLEGANDO HASTA EL ENTORNO GENERAL. (B)LOS FACTORES PERSONALES SON UN COMPONENTE DE LOS FACTORES CONTEXTUALES PERO NO ESTÁN CLASIFICADOS EN LA CIF DEBIDO A LA GRAN VARIABILIDAD SOCIAL Y CULTURAL ASOCIADA CON ELLOS.
  • 6.
    •MIDE EL CAMBIO DELA MOTRICIDAD GRUESA EN EL TIEMPO. VALIDADO PARA SU USO EN NIÑOS CON PARÁLISIS CEREBRAL Y SÍNDROME DE DOWN. APLICACIÓN EN CLÍNICA E INVESTIGACIÓN. GMFM 66 CONSTA DE 66 ÍTEMS, AGRUPADOS EN 5 DIMENSIONES DIFERENTES DE FUNCIONES MOTORAS GRUESAS: I. SUPINO Y GIRAR II. SENTARSE III. ARRASTRASE Y ARRODILLARSE IV. PARARSE V. CAMINAR, CORRER Y SALTAR
  • 7.
    Debe ser montadoy ajustado a la altura apropiada previo a la evaluación Implementación incluye: Colchoneta de 2 x 1,2 m. Juguete pequeño Pelota Banco sueco Asiento en el que los niños no toquen suelo 5 escalones con pasa manos Paralelas Juguete grande Linea recta de 2 cm de ancho y 2 mt de largo Barra transversal a la atura de la rodilla del niño
  • 8.
    EL PUNTAJE SEBASA EN UNA ESCALA DE 4 PUNTOS PARA CADA ÍTEM: 0 = NO INICIADO: EL NIÑO NO ES CAPAZ DE INICIAR NINGUNA PARTE DE LA ACTIVIDAD 1 = INICIADO: DESEMPEÑO < 10% DE LA TAREA 2 = PARCIALMENTE COMPLETO: DESEMPEÑO 10% > <100% DE LA TAREA 3 = COMPLETO: DESEMPEÑO DEL 100% DE LA TAREA NE = NO EVALUADO: ÍTEM NO APLICADO, IMPOSIBILIDAD DE SER REALIZADO O RECHAZO POR PARTE DEL NIÑO, AÚN CUANDO MUESTRE HABILIDADES QUE LE PERMITIRÍAN UN DESEMPEÑO AL MENOS PARCIAL SUMA DE LOS PUNTAJES DE LOS ÍTEMS DE CADA DIMENSIÓN CÁLCULO DE PORCENTAJE EN CADA UNA DE LAS 5 DIMENSIONES ( PUNTAJE OBTENIDO / PUNTAJE MÁXIMO ) X 100 PROMEDIO DE LOS PUNTAJES OBTENIDOS CUALQUIER ÍTEM AL QUE SE ASIGNE NE TENDRÁ UN PUNTAJE DE 0
  • 9.
    SISTEMA DE CLASIFICACIÓN DELA FUNCIÓN MOTORA GRUESA PARA PARÁLISIS CEREBRAL (GMFCS) NIVEL I: EL NIÑO DEAMBULA SIN RESTRICCIONES; TIENE LIMITACIONES EN HABILIDADES MOTRICES MÁS COMPLEJAS. NIVEL II: DEAMBULA SIN DISPOSITIVOS DE AYUDA; TIENE LIMITACIONES EN EXTERIORES Y EN LA COMUNIDAD. NIVEL III: DEAMBULA CON AYUDAS TÉCNICAS, LIMITACIONES EN EXTERIORES Y EN LA COMUNIDAD. NIVEL IV: DESPLAZAMIENTO AUTÓNOMO CON LIITACIONES, SE LE TRANSPORTA O UTILIZA SILLA DE RUEDAS AUTOPROPULSADA. NIVEL V: AUTODESPLAZAMIENTO MUY LIMITADO INCLUSO UTILIZANDO TECNOLOGÍA AUTOPROPULSADA.