DIAGRAMAS DE BODE
EJEMPLOS
Ejemplo 1.
Construya los gráfico asintóticos de magnitud y fase de Bode para el
siguiente sistema:
G s =
4
0.5s + 3
Ejemplo 1.
Cálculos:
G s =
4
0.5s + 3
→
4
3
0.5
3
s + 1
→
4
3
s
6
+ 1
, s = jω
G s =
4
3
×
1
s
6
+ 1
Factores:
•
4
3
→ 20 log
4
3
≈ 2.5 , ϕ = 0°
•
s
6
+ 1 → ωc = 6 , −20 log
ω
6
2
+ 1 , ϕ = − tan−1 ω
6
ȁωc
= −45°
este factor tiene unos -20 dB/dec.
Ejemplo 1. – Diagrama de magnitud [dB]
0
−10
−30
−20
+10
100
10−1
10−2
101 102
103
−20 dB/dec
−20 log
s
6
+ 1
ω
Ejemplo 1. – Diagrama de fase [grados]
0
−45
−180
−90
+45
100
10−1
10−2
101 102
103
ω
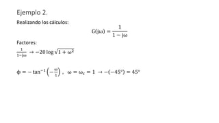
Ejemplo 2.
Construya el diagrama de Bode asintótico de magnitud y fase para el siguiente
sistema:
G s =
1
1 − s
Ejemplo 2.
Realizando los cálculos:
G jω =
1
1 − jω
Factores:
1
1−jω
→ −20 log 1 + ω2
ϕ = − tan−1
−
ω
1
, ω = ωc = 1 → − −45° = 45°
Ejemplo 2. – Diagrama de magnitud [dB]
0
−20
−60
−40
+20
100
10−1
10−2
101 102
103
−20 dB/dec
ω
Ejemplo 2. – Diagrama de fase [grados]
+90
+45
−45
0
+135
100
10−1
10−2
101 102
103
ω
Ejemplo 3.
Construya el diagrama de Bode asintótico de magnitud y fase para el siguiente
sistema:
G s =
11.27
s2 + 4s + 4
Calcule el coeficiente de amortiguamiento y la ganancia cuando la frecuencia de
muestreo es igual a la frecuencia de corte e indique si es sistema es sub-
amortiguado, críticamente amortiguado o sobre-amortiguado.
Ejemplo 3.
Realizando los cálculos:
G s =
11.27
s2 + 4s + 4
→
11.27
4
×
1
s
2
2
+ s + 1
→
11.27
4
×
1
jω
2
2
+ jω + 1
Factores:
•
11.27
4
→ AG = 20 log 11.27/4 ≅ 9
•
1
jω
2
2
+jω+1
→ ωC = 2 , AG = −
40dB
dec
, ϕ = −90° , AGωc
= 9 − 20 × log 2 × 1 = 2.98 dB
2ζωn = 4 → ζ = 1
Es críticamente amortiguado.
2
Ejemplo 3. – Diagrama de magnitud [dB]
0
−20
−60
−40
+20
100
10−1
10−2
101 102
103
ω
2
Ejemplo 3. – Diagrama de fase [grados]
−45
−90
−180
−135
+0
100
10−1
10−2
101 102
103
ω
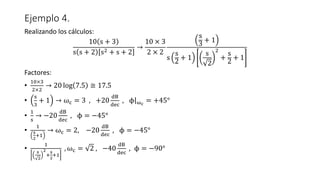
Ejemplo 4.
Construya el diagrama de Bode asintótico de magnitud y fase para el siguiente
sistema:
G s =
10 s + 3
s s + 2 s2 + s + 2
Ejemplo 4.
Realizando los cálculos:
10 s + 3
s s + 2 s2 + s + 2
→
10 × 3
2 × 2
s
3 + 1
s
s
2
+ 1
s
2
2
+
s
2
+ 1
Factores:
•
10×3
2×2
→ 20 log 7.5 ≅ 17.5
•
s
3
+ 1 → ωc = 3 , +20
dB
dec
, ϕȁωc
= +45°
•
1
s
→ −20
dB
dec
, ϕ = −45°
•
1
s
2
+1
→ ωc = 2, −20
dB
dec
, ϕ = −45°
•
1
s
2
2
+
s
2
+1
, ωc = 2 , −40
dB
dec
, ϕ = −90°
Ejemplo 4. – Diagrama de magnitud [dB]
20
0
−80
−20
40
100
10−1
10−2
101 102
103
ω
60
80
−40
−60
Ejemplo 4. – Diagrama de fase [grados]
−90
100
10−1
10−2
101 102
103
ω
−45
0
−180
−135
−270
−225
−360
−315
45
90
Ejemplo 5.
Construya el diagrama de Bode asintótico de magnitud y fase para el siguiente
sistema:
G s =
(s + 20)
s + 1 s + 7 s + 50
Ejemplo 5.
Realizando los cálculos:
(s + 20)
s + 1 s + 7 s + 50
→
20
7 × 50
s
20 + 1
s
1
+ 1
s
7
+ 1
s
50
+ 1
factores frec. de corte dB/dec ° ቚ
ω=ωc
20
7 × 50
no hay 0, −25 cte 0
s
20
+ 1 20 +20 +45
s
1
+ 1 1 −20 −45
s
7
+ 1 7 −20 −45
s
50
+ 1 50 −20 −45
Ejemplo 5. – Diagrama de magnitud [dB]
0
−80
−20
100
10−1
10−2
101 102
103
ω
−40
−60
−160
−100
−120
−140
Ejemplo 5. – Diagrama de fase [grados]
−90
100
10−1
10−2
101 102
103
ω
−45
0
−180
−135
−270
−225
−360
−315
45
90
Diagramas de bode

Diagramas de bode

  • 1.
  • 2.
    Ejemplo 1. Construya losgráfico asintóticos de magnitud y fase de Bode para el siguiente sistema: G s = 4 0.5s + 3
  • 3.
    Ejemplo 1. Cálculos: G s= 4 0.5s + 3 → 4 3 0.5 3 s + 1 → 4 3 s 6 + 1 , s = jω G s = 4 3 × 1 s 6 + 1 Factores: • 4 3 → 20 log 4 3 ≈ 2.5 , ϕ = 0° • s 6 + 1 → ωc = 6 , −20 log ω 6 2 + 1 , ϕ = − tan−1 ω 6 ȁωc = −45° este factor tiene unos -20 dB/dec.
  • 4.
    Ejemplo 1. –Diagrama de magnitud [dB] 0 −10 −30 −20 +10 100 10−1 10−2 101 102 103 −20 dB/dec −20 log s 6 + 1 ω
  • 5.
    Ejemplo 1. –Diagrama de fase [grados] 0 −45 −180 −90 +45 100 10−1 10−2 101 102 103 ω
  • 7.
    Ejemplo 2. Construya eldiagrama de Bode asintótico de magnitud y fase para el siguiente sistema: G s = 1 1 − s
  • 8.
    Ejemplo 2. Realizando loscálculos: G jω = 1 1 − jω Factores: 1 1−jω → −20 log 1 + ω2 ϕ = − tan−1 − ω 1 , ω = ωc = 1 → − −45° = 45°
  • 9.
    Ejemplo 2. –Diagrama de magnitud [dB] 0 −20 −60 −40 +20 100 10−1 10−2 101 102 103 −20 dB/dec ω
  • 10.
    Ejemplo 2. –Diagrama de fase [grados] +90 +45 −45 0 +135 100 10−1 10−2 101 102 103 ω
  • 12.
    Ejemplo 3. Construya eldiagrama de Bode asintótico de magnitud y fase para el siguiente sistema: G s = 11.27 s2 + 4s + 4 Calcule el coeficiente de amortiguamiento y la ganancia cuando la frecuencia de muestreo es igual a la frecuencia de corte e indique si es sistema es sub- amortiguado, críticamente amortiguado o sobre-amortiguado.
  • 13.
    Ejemplo 3. Realizando loscálculos: G s = 11.27 s2 + 4s + 4 → 11.27 4 × 1 s 2 2 + s + 1 → 11.27 4 × 1 jω 2 2 + jω + 1 Factores: • 11.27 4 → AG = 20 log 11.27/4 ≅ 9 • 1 jω 2 2 +jω+1 → ωC = 2 , AG = − 40dB dec , ϕ = −90° , AGωc = 9 − 20 × log 2 × 1 = 2.98 dB 2ζωn = 4 → ζ = 1 Es críticamente amortiguado. 2
  • 14.
    Ejemplo 3. –Diagrama de magnitud [dB] 0 −20 −60 −40 +20 100 10−1 10−2 101 102 103 ω 2
  • 15.
    Ejemplo 3. –Diagrama de fase [grados] −45 −90 −180 −135 +0 100 10−1 10−2 101 102 103 ω
  • 17.
    Ejemplo 4. Construya eldiagrama de Bode asintótico de magnitud y fase para el siguiente sistema: G s = 10 s + 3 s s + 2 s2 + s + 2
  • 18.
    Ejemplo 4. Realizando loscálculos: 10 s + 3 s s + 2 s2 + s + 2 → 10 × 3 2 × 2 s 3 + 1 s s 2 + 1 s 2 2 + s 2 + 1 Factores: • 10×3 2×2 → 20 log 7.5 ≅ 17.5 • s 3 + 1 → ωc = 3 , +20 dB dec , ϕȁωc = +45° • 1 s → −20 dB dec , ϕ = −45° • 1 s 2 +1 → ωc = 2, −20 dB dec , ϕ = −45° • 1 s 2 2 + s 2 +1 , ωc = 2 , −40 dB dec , ϕ = −90°
  • 19.
    Ejemplo 4. –Diagrama de magnitud [dB] 20 0 −80 −20 40 100 10−1 10−2 101 102 103 ω 60 80 −40 −60
  • 20.
    Ejemplo 4. –Diagrama de fase [grados] −90 100 10−1 10−2 101 102 103 ω −45 0 −180 −135 −270 −225 −360 −315 45 90
  • 22.
    Ejemplo 5. Construya eldiagrama de Bode asintótico de magnitud y fase para el siguiente sistema: G s = (s + 20) s + 1 s + 7 s + 50
  • 23.
    Ejemplo 5. Realizando loscálculos: (s + 20) s + 1 s + 7 s + 50 → 20 7 × 50 s 20 + 1 s 1 + 1 s 7 + 1 s 50 + 1 factores frec. de corte dB/dec ° ቚ ω=ωc 20 7 × 50 no hay 0, −25 cte 0 s 20 + 1 20 +20 +45 s 1 + 1 1 −20 −45 s 7 + 1 7 −20 −45 s 50 + 1 50 −20 −45
  • 24.
    Ejemplo 5. –Diagrama de magnitud [dB] 0 −80 −20 100 10−1 10−2 101 102 103 ω −40 −60 −160 −100 −120 −140
  • 25.
    Ejemplo 5. –Diagrama de fase [grados] −90 100 10−1 10−2 101 102 103 ω −45 0 −180 −135 −270 −225 −360 −315 45 90