Exponentes Racionales y Radicales © copywriter
Definir la raíz enésima de un número. Calcular  raices  cuadradas principales . Calcular raíces cúbicas y de índice mayor. Simplificar expresiones con radicales Expresar una raiz en forma exponencial y viceversa.  Racionalizar  numeradores  y/o denominadores. Sumar y restar expresiones con radicales. Multiplicar expresiones con radicales. Objetivos: © copywriter
Definición Decimos que la raíz enésima de  x  es  c , y escribimos; © copywriter
Aclaración: Todo número positivo tiene dos raíces cuadradas,  una raíz cuadrada positiva  o principal y  una raíz  cuadrada negativa . Para cualquier número  positivo  x,  escribimos la raíz cuadrada positiva como  y la raíz cuadrada negativa como  .  © copywriter
Para cualquier número real  a   Ejemplos: © copywriter
© copywriter
Propiedades de los radicales Sean  m  y  n  números  naturales mayores que   1 .  Si  a  y  b   son números reales tal que  a  > 0 y  b  > 0 ( números positivos ), entonces; © copywriter
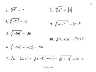
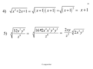
Ejemplos: Simplifica. Suponga que las variables representan números positivos. © copywriter
Ejemplos: Simplifica. Suponga que las variables representan números positivos.  © copywriter
© copywriter
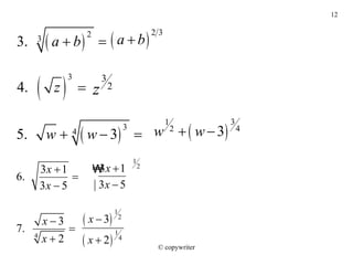
Exponentes Racionales como Raíces Las raíces o radicales representan exponentes racionales. Ejemplos: © copywriter
© copywriter
Evalúa usando raíces: © copywriter
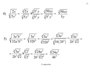
La racionalización del denominador Al  proceso  de escribir una expresión racional con radicales en el denominador como otra expresión que no tiene radicales en el denominador se  denomina como  racionalizar el denominador . “ De igual forma podemos racionalizar el numerador.” © copywriter
Aclaración :  Para  racionalizar el denominador de una expresión  que tiene un solo término con raíz en el denominador, se multiplica el numerador y el denominador por una expresión con radical que eleve cada factor dentro del radicando a una potencia que coincida con el índice del radical. © copywriter
Ejemplos:  Racionaliza cada denominador.   Suponga que las  variables representan números positivos. © copywriter
© copywriter
Aclaración:  Para racionalizar un denominador que tiene un binomio con raíces cuadradas, se multiplica el numerador y el denominador  por la expresión  conjugada   del denominador. La expresión conjugada se obtiene cambiando el signo del medio del binomio. El objetivo es construir una diferencia de cuadrados. © copywriter
Ejemplos: Racionaliza el denominador. © copywriter
Ejemplos: Racionaliza el numerador. © copywriter
© copywriter
Multiplicación de   expresiones con radicales Para multiplicar expresiones con radicales se usa la propiedad distributiva y las propiedades de radicales; © copywriter
Ejemplos : Multiplica las expresiones con radicales. Suponga que las variables representan números positivos. © copywriter
© copywriter
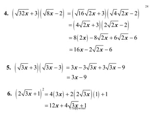
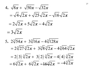
Suma y resta de  expresiones con radicales Para sumar o restar expresiones con radicales se  usa la propiedad distributiva y las propiedades de radicales. El objetivo es simplificar los radicales para tener radicandos iguales. En tal caso sumamos los  coeficientes y conservamos el radical, mediante el  uso de la propiedad distributiva. © copywriter
Ejemplos: Suma y/o resta las expresiones con radicales. Suponga que las variables representan números positivos. © copywriter
© copywriter

Exponentes Racionales Y Radicales

  • 1.
    Exponentes Racionales yRadicales © copywriter
  • 2.
    Definir la raízenésima de un número. Calcular raices cuadradas principales . Calcular raíces cúbicas y de índice mayor. Simplificar expresiones con radicales Expresar una raiz en forma exponencial y viceversa. Racionalizar numeradores y/o denominadores. Sumar y restar expresiones con radicales. Multiplicar expresiones con radicales. Objetivos: © copywriter
  • 3.
    Definición Decimos quela raíz enésima de x es c , y escribimos; © copywriter
  • 4.
    Aclaración: Todo númeropositivo tiene dos raíces cuadradas, una raíz cuadrada positiva o principal y una raíz cuadrada negativa . Para cualquier número positivo x, escribimos la raíz cuadrada positiva como y la raíz cuadrada negativa como . © copywriter
  • 5.
    Para cualquier númeroreal a Ejemplos: © copywriter
  • 6.
  • 7.
    Propiedades de losradicales Sean m y n números naturales mayores que 1 . Si a y b son números reales tal que a > 0 y b > 0 ( números positivos ), entonces; © copywriter
  • 8.
    Ejemplos: Simplifica. Supongaque las variables representan números positivos. © copywriter
  • 9.
    Ejemplos: Simplifica. Supongaque las variables representan números positivos. © copywriter
  • 10.
  • 11.
    Exponentes Racionales comoRaíces Las raíces o radicales representan exponentes racionales. Ejemplos: © copywriter
  • 12.
  • 13.
  • 14.
    La racionalización deldenominador Al proceso de escribir una expresión racional con radicales en el denominador como otra expresión que no tiene radicales en el denominador se denomina como racionalizar el denominador . “ De igual forma podemos racionalizar el numerador.” © copywriter
  • 15.
    Aclaración : Para racionalizar el denominador de una expresión que tiene un solo término con raíz en el denominador, se multiplica el numerador y el denominador por una expresión con radical que eleve cada factor dentro del radicando a una potencia que coincida con el índice del radical. © copywriter
  • 16.
    Ejemplos: Racionalizacada denominador. Suponga que las variables representan números positivos. © copywriter
  • 17.
  • 18.
    Aclaración: Pararacionalizar un denominador que tiene un binomio con raíces cuadradas, se multiplica el numerador y el denominador por la expresión conjugada del denominador. La expresión conjugada se obtiene cambiando el signo del medio del binomio. El objetivo es construir una diferencia de cuadrados. © copywriter
  • 19.
    Ejemplos: Racionaliza eldenominador. © copywriter
  • 20.
    Ejemplos: Racionaliza elnumerador. © copywriter
  • 21.
  • 22.
    Multiplicación de expresiones con radicales Para multiplicar expresiones con radicales se usa la propiedad distributiva y las propiedades de radicales; © copywriter
  • 23.
    Ejemplos : Multiplicalas expresiones con radicales. Suponga que las variables representan números positivos. © copywriter
  • 24.
  • 25.
    Suma y restade expresiones con radicales Para sumar o restar expresiones con radicales se usa la propiedad distributiva y las propiedades de radicales. El objetivo es simplificar los radicales para tener radicandos iguales. En tal caso sumamos los coeficientes y conservamos el radical, mediante el uso de la propiedad distributiva. © copywriter
  • 26.
    Ejemplos: Suma y/oresta las expresiones con radicales. Suponga que las variables representan números positivos. © copywriter
  • 27.