FRASE CELEBRE La estadística es una ciencia según la cual todas las mentiras se vuelven gráficas.
INTRODUCCION Los gráficos de control monitorean la situación de una empresa con la finalidad de manejar y supervisar el buen funcionamiento de la misma y detectar rápidamente cualquier anomalía respecto al patrón correcto a desarrollar. Partiendo de que ningún proceso se encuentra espontáneamente en ese estado de control, el interés de los gráficos radica en conseguir y mantener ese estado de control. Los mismos son fáciles de usar e interpretar, por lo cual, tanto el personal encargado de los procesos como por la dirección de estos, tienen un manejo más eficiente de utilización de criterios estadísticos que permiten que las decisiones se basen en hechos y no en intuiciones o en apreciaciones subjetivas que tantas veces resultan falsas.
OBJETIVO GENERAL: Caracterizar la metodología del control estadístico en diagramas para atributos y variables cuantitativas.
OBJETIVOS ESPECIFICOS: Caracterizar los diagramas de control y pasos para su elaboración.   Mostrar los gráficos de control “p” y   “np”. Explicar gráfico de control de la media. Identificar una fracción defectuosa standard (po). Mostrar gráficos   “c” para tamaño de muestras contantes. Reconocer las diferencias entre defecto y artículo defectuoso. Interpretación de patrones de gráficos de control.
ANTECEDENTES En  1920  fueron propuestos originalmente los gráficos de control por W. Shewart, y en ellos se representa a lo largo del tiempo el estado del proceso que estamos monitoreando. En el eje horizontal X indica el tiempo, mientras que el eje vertical Y representa algún indicador de la variable cuya calidad se mide. Además se incluye otras dos líneas horizontales: los limites superior e inferior de control, escogidos estos de tal forma que la probabilidad de que una observación este fuera de esos límites sea muy baja si el proceso está en estado de control. Alrededor de  1960 , los dispositivos electrónicos aparecieron como alternativa de reemplazo a los controladores neumáticos. Empleando así los primeros hallazgos en cuanto a operación de procesos y la recopilación de datos.
Actualmente , aparecen los sistemas de control digital directo (DDC), con los cuales se logra manejar un gran número de procesos y variables, recopilar datos en gran cantidad, analizar y optimizar diversas unidades y plantas e incluso, realizar otras actividades, como planificación de mantenimiento, control de calidad, inventario, etc. Por tanto, la evolución de las técnicas de control han tenido como objetivo fundamental, reemplazar la acción directa del hombre en el manejo de un determinado proceso, por el empleo de equipos y sistemas automáticos. En  1980  la aplicación de técnicas de control de calidad, sugeridas en USA supuso una gran revolución en la industria japonesa, a la que en breve tuvieron que sumarse las empresas de todo el mundo para competir no sólo con la calidad sino con los precios de los productos japoneses. Tanta importancia le dio el mundo empresarial japonés al control de calidad, que instituyó un premio anual Deming. Ese interés por la calidad transcendió el entorno de la fabricación de productos.
CONCEPTUALIZACION DEL DIAGRAMA DE CONTROL Los diagramas de control son gráficos que se presentan para la interpretación de variables  cualitativas   que toman valores  numéricos .  Cuando estas variables pueden tomar solamente dos valores se conoce como  atributo . Los atributos se pueden representar gráficamente en un  diagrama p .  Este diagrama se representa gráficamente por:
Las gr á ficas de control Son  una herramienta estadística que detecta la variabilidad, consistencia, control y mejora de un proceso.  Las mismas se usan como una forma de observar, detectar y prevenir el comportamiento del proceso a través pasos vitales.  Las 3 aplicaciones básicas de la graficas de control son: Establecer un estado de control estadístico. Vigilar un proceso y avisar cuando el proceso se salga de control. Determinar la capacidad del proceso.
Para utilizar y desarrollar las gr á ficas de control seguimos los siguientes pasos: Preparaci ó n:  Escoja la variable o atributo a medir. Determine la base, tamaño y frecuencia de la muestra. Defina la gráfica de control. Recolecci ó n de datos:   Registre los datos. Calcule las estadísticas relevantes: promedios, rangos, proporciones, etc. Traer los datos estadísticos sobre la grafica.
2. GRÁFICA P Representa el porcentaje de fracción defectiva Tamaño de muestra (n) varía. Principales objetivos Descubrir puntos fuera de control Proporcionar un criterio para juzgar si lotes sucesivos pueden considerarse como representativos de un proceso Puede influir en el criterio de aceptación.
Ejercicio: Gráfica p
Gráfica p LCS=0.01869  LC=0.01507  LCI= 0.01145
Gráfica np Se utiliza para graficar las unidades disconformes Tamaño de muestra es constante Principales objetivos: Conocer las causas que contribuyen al proceso Obtener el registro histórico de una o varias características de una operación con el proceso productivo.
Ejercicio: Gráfica np
Gráfica np LCS=0.5132  LC=0.027  LCI= -0.4592
3. GRÁFICOS DE CONTROL PARA LA MEDIA
R   xmax   xmin  )
 
 
 
 
 
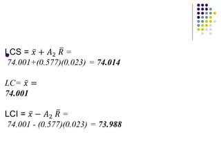
Gráfica  LCS= 74.014   LC= 74.001   LCI=  73.988
SELECCION DE UNA FRACCIÓN DEFECTUOSA Establecimiento de Estándares  Medición de resultados Corrección Retroalimentación
Factores que comprende el control Existen cuatro factores que deben ser considerados al aplicar el proceso de control.  Cantidad Tiempo Costo Calidad
Controles utilizados con más frecuencia en los factores del control Cantidad Tiempo Costo Calidad Presupuestos Estudios de tiempos Presupuestos Evaluación de la actuación Estimaciones Fechas límite Costo por metro cuadrado Pruebas psicológicas Productos terminados Programas Costos estándar Inspecciones visuales Unidades vendidas Tiempo - máquina Pronósticos Coeficientes Unidades rechazadas Medición del trabajo Contabilidad Rendimiento del personal Inventarios de personal Procedimientos Productividad Informes Medición del trabajo Estándares Rendimiento s/inversión Procedimientos Pronósticos Estándares Control de inventarios Calificación de méritos
Si se conoce el valor estándar p, podemos calcular los límites con respecto a este valor, sustituyendo el valor de  en las ecuaciones anteriores, por el valor estándar p. Por otra parte, si se conoce el valor estándar p, podemos calcular los límites con respecto a este valor, sustituyendo el valor de      en las ecuaciones anteriores, por el valor estándar p. GRAFICOS “C” PARA MUESTRAS CONSTANTES
Gráficos de los defectos gráficos “c” Los defectos pueden ser de diferentes tipos pero a la hora de realizar la inspección se cuenta el total de todos estos defectos en la unidad inspeccionada.  1 defecto  2 defectos  ...  n defectos
DIFERENCIAS ENTRE DEFECTO Y ARTICULO DEFECTUOSO Defecto : se refiere a  carencia o imperfección en las cualidades propias de algo o hacemos referencias a algo que se aprecia por debajo del límite que debería alcanzar. Defectuoso  es  un artículo que tenga uno o más defectos.
Clasificación de los defectos, muestrario de defectos Clasificación de los defectos: Defectos críticos Defectos mayores  Defectos menores  Clasificación de articulo defectuoso : Defectos de diseño Errores de fabricación Publicidad engañosa
INTERPRETACION DE PATRONES DE GRAFICOS DE CONTROL Para poder constatar de que un patrón esta bajo los estándares esperados y por tanto sigue un patrón acorde a los requerimientos, se debe hacer una observación del mismo, buscar si existen causas que lo puedan hacer una  unidad defectuosa.
Los puntos de una gráfica de control fluctúan al  azar entre los limites sin un patrón reconocible,  por tanto las reglas generales para examinar  un proceso para determinar si esta bajo  control, son: No hay algún punto fuera de los limites de control . La cantidad de puntos por encima y por debajo de la línea central es aproximadamente la misma. Los puntos parecen concurrir aleatoriamente por encima y por debajo de la línea central. La mayoría de los puntos, pero no todos, aparecen  cerca de la línea central, y solo unos cuantos se ubican cerca de los limites de control.
Graficas de control fuera de lo común Un punto fuera de los limites de control:
Desplazamiento súbito en el promedio del proceso:
Ciclos:
Tendencias:
Abrazando la línea central:
Abrazando los limites de control:
Inestabilidad:
Luego se recomienda un ciclo de mejora del proceso:
RESUMEN
CONCLUSION Los gráficos de control se presentan a fin de supervisar el manejo de procesos y variables, mediante recopilación de datos, análisis y optimización de unidades, plantas, planificación de mantenimiento, control de calidad, inventario entre otros. Al presentar estos gráficos y los pasos para su elaboración se destaca la interpretación de variables cualitativas que toman valores numéricos. Dichos gráficos nos sirven como herramienta para detectar variabilidad, consistencia, control y mejora de los procesos al describir fracciones defectuosas mediante, los gráficos de “P”, “NP”, “C” y   , que se presentan de analizar un número total de unidades de un colectivo.
Identificando si la fracción es defectuosa o no podemos medir resultados, retroalimentarnos, mediante factores de control, analizar e implementar las mejoras de lugar al proceso o producto, manteniendo el producto dentro de los estándares la cantidad, el tiempo, costo y calidad. Como meta final está la interpretación de los gráficos de control donde se espera que el proceso conste de un patrón acorde a los estándares esperados y por consiguiente se considere bajo control estadístico . CONT.
 

Graficas de control por atributo

  • 1.
  • 2.
    FRASE CELEBRE Laestadística es una ciencia según la cual todas las mentiras se vuelven gráficas.
  • 3.
    INTRODUCCION Los gráficosde control monitorean la situación de una empresa con la finalidad de manejar y supervisar el buen funcionamiento de la misma y detectar rápidamente cualquier anomalía respecto al patrón correcto a desarrollar. Partiendo de que ningún proceso se encuentra espontáneamente en ese estado de control, el interés de los gráficos radica en conseguir y mantener ese estado de control. Los mismos son fáciles de usar e interpretar, por lo cual, tanto el personal encargado de los procesos como por la dirección de estos, tienen un manejo más eficiente de utilización de criterios estadísticos que permiten que las decisiones se basen en hechos y no en intuiciones o en apreciaciones subjetivas que tantas veces resultan falsas.
  • 4.
    OBJETIVO GENERAL: Caracterizarla metodología del control estadístico en diagramas para atributos y variables cuantitativas.
  • 5.
    OBJETIVOS ESPECIFICOS: Caracterizarlos diagramas de control y pasos para su elaboración. Mostrar los gráficos de control “p” y “np”. Explicar gráfico de control de la media. Identificar una fracción defectuosa standard (po). Mostrar gráficos “c” para tamaño de muestras contantes. Reconocer las diferencias entre defecto y artículo defectuoso. Interpretación de patrones de gráficos de control.
  • 6.
    ANTECEDENTES En 1920 fueron propuestos originalmente los gráficos de control por W. Shewart, y en ellos se representa a lo largo del tiempo el estado del proceso que estamos monitoreando. En el eje horizontal X indica el tiempo, mientras que el eje vertical Y representa algún indicador de la variable cuya calidad se mide. Además se incluye otras dos líneas horizontales: los limites superior e inferior de control, escogidos estos de tal forma que la probabilidad de que una observación este fuera de esos límites sea muy baja si el proceso está en estado de control. Alrededor de 1960 , los dispositivos electrónicos aparecieron como alternativa de reemplazo a los controladores neumáticos. Empleando así los primeros hallazgos en cuanto a operación de procesos y la recopilación de datos.
  • 7.
    Actualmente , aparecenlos sistemas de control digital directo (DDC), con los cuales se logra manejar un gran número de procesos y variables, recopilar datos en gran cantidad, analizar y optimizar diversas unidades y plantas e incluso, realizar otras actividades, como planificación de mantenimiento, control de calidad, inventario, etc. Por tanto, la evolución de las técnicas de control han tenido como objetivo fundamental, reemplazar la acción directa del hombre en el manejo de un determinado proceso, por el empleo de equipos y sistemas automáticos. En 1980 la aplicación de técnicas de control de calidad, sugeridas en USA supuso una gran revolución en la industria japonesa, a la que en breve tuvieron que sumarse las empresas de todo el mundo para competir no sólo con la calidad sino con los precios de los productos japoneses. Tanta importancia le dio el mundo empresarial japonés al control de calidad, que instituyó un premio anual Deming. Ese interés por la calidad transcendió el entorno de la fabricación de productos.
  • 8.
    CONCEPTUALIZACION DEL DIAGRAMADE CONTROL Los diagramas de control son gráficos que se presentan para la interpretación de variables cualitativas que toman valores numéricos . Cuando estas variables pueden tomar solamente dos valores se conoce como atributo . Los atributos se pueden representar gráficamente en un diagrama p . Este diagrama se representa gráficamente por:
  • 9.
    Las gr áficas de control Son una herramienta estadística que detecta la variabilidad, consistencia, control y mejora de un proceso. Las mismas se usan como una forma de observar, detectar y prevenir el comportamiento del proceso a través pasos vitales. Las 3 aplicaciones básicas de la graficas de control son: Establecer un estado de control estadístico. Vigilar un proceso y avisar cuando el proceso se salga de control. Determinar la capacidad del proceso.
  • 10.
    Para utilizar ydesarrollar las gr á ficas de control seguimos los siguientes pasos: Preparaci ó n: Escoja la variable o atributo a medir. Determine la base, tamaño y frecuencia de la muestra. Defina la gráfica de control. Recolecci ó n de datos: Registre los datos. Calcule las estadísticas relevantes: promedios, rangos, proporciones, etc. Traer los datos estadísticos sobre la grafica.
  • 11.
    2. GRÁFICA PRepresenta el porcentaje de fracción defectiva Tamaño de muestra (n) varía. Principales objetivos Descubrir puntos fuera de control Proporcionar un criterio para juzgar si lotes sucesivos pueden considerarse como representativos de un proceso Puede influir en el criterio de aceptación.
  • 12.
  • 13.
    Gráfica p LCS=0.01869 LC=0.01507 LCI= 0.01145
  • 14.
    Gráfica np Seutiliza para graficar las unidades disconformes Tamaño de muestra es constante Principales objetivos: Conocer las causas que contribuyen al proceso Obtener el registro histórico de una o varias características de una operación con el proceso productivo.
  • 15.
  • 16.
    Gráfica np LCS=0.5132 LC=0.027 LCI= -0.4592
  • 17.
    3. GRÁFICOS DECONTROL PARA LA MEDIA
  • 18.
    R xmax  xmin )
  • 19.
  • 20.
  • 21.
  • 22.
  • 23.
  • 24.
    Gráfica LCS=74.014 LC= 74.001 LCI= 73.988
  • 25.
    SELECCION DE UNAFRACCIÓN DEFECTUOSA Establecimiento de Estándares Medición de resultados Corrección Retroalimentación
  • 26.
    Factores que comprendeel control Existen cuatro factores que deben ser considerados al aplicar el proceso de control. Cantidad Tiempo Costo Calidad
  • 27.
    Controles utilizados conmás frecuencia en los factores del control Cantidad Tiempo Costo Calidad Presupuestos Estudios de tiempos Presupuestos Evaluación de la actuación Estimaciones Fechas límite Costo por metro cuadrado Pruebas psicológicas Productos terminados Programas Costos estándar Inspecciones visuales Unidades vendidas Tiempo - máquina Pronósticos Coeficientes Unidades rechazadas Medición del trabajo Contabilidad Rendimiento del personal Inventarios de personal Procedimientos Productividad Informes Medición del trabajo Estándares Rendimiento s/inversión Procedimientos Pronósticos Estándares Control de inventarios Calificación de méritos
  • 28.
    Si se conoceel valor estándar p, podemos calcular los límites con respecto a este valor, sustituyendo el valor de en las ecuaciones anteriores, por el valor estándar p. Por otra parte, si se conoce el valor estándar p, podemos calcular los límites con respecto a este valor, sustituyendo el valor de   en las ecuaciones anteriores, por el valor estándar p. GRAFICOS “C” PARA MUESTRAS CONSTANTES
  • 29.
    Gráficos de losdefectos gráficos “c” Los defectos pueden ser de diferentes tipos pero a la hora de realizar la inspección se cuenta el total de todos estos defectos en la unidad inspeccionada. 1 defecto 2 defectos ... n defectos
  • 30.
    DIFERENCIAS ENTRE DEFECTOY ARTICULO DEFECTUOSO Defecto : se refiere a carencia o imperfección en las cualidades propias de algo o hacemos referencias a algo que se aprecia por debajo del límite que debería alcanzar. Defectuoso es  un artículo que tenga uno o más defectos.
  • 31.
    Clasificación de losdefectos, muestrario de defectos Clasificación de los defectos: Defectos críticos Defectos mayores Defectos menores Clasificación de articulo defectuoso : Defectos de diseño Errores de fabricación Publicidad engañosa
  • 32.
    INTERPRETACION DE PATRONESDE GRAFICOS DE CONTROL Para poder constatar de que un patrón esta bajo los estándares esperados y por tanto sigue un patrón acorde a los requerimientos, se debe hacer una observación del mismo, buscar si existen causas que lo puedan hacer una unidad defectuosa.
  • 33.
    Los puntos deuna gráfica de control fluctúan al azar entre los limites sin un patrón reconocible, por tanto las reglas generales para examinar un proceso para determinar si esta bajo control, son: No hay algún punto fuera de los limites de control . La cantidad de puntos por encima y por debajo de la línea central es aproximadamente la misma. Los puntos parecen concurrir aleatoriamente por encima y por debajo de la línea central. La mayoría de los puntos, pero no todos, aparecen cerca de la línea central, y solo unos cuantos se ubican cerca de los limites de control.
  • 34.
    Graficas de controlfuera de lo común Un punto fuera de los limites de control:
  • 35.
    Desplazamiento súbito enel promedio del proceso:
  • 36.
  • 37.
  • 38.
  • 39.
  • 40.
  • 41.
    Luego se recomiendaun ciclo de mejora del proceso:
  • 42.
  • 43.
    CONCLUSION Los gráficosde control se presentan a fin de supervisar el manejo de procesos y variables, mediante recopilación de datos, análisis y optimización de unidades, plantas, planificación de mantenimiento, control de calidad, inventario entre otros. Al presentar estos gráficos y los pasos para su elaboración se destaca la interpretación de variables cualitativas que toman valores numéricos. Dichos gráficos nos sirven como herramienta para detectar variabilidad, consistencia, control y mejora de los procesos al describir fracciones defectuosas mediante, los gráficos de “P”, “NP”, “C” y , que se presentan de analizar un número total de unidades de un colectivo.
  • 44.
    Identificando si lafracción es defectuosa o no podemos medir resultados, retroalimentarnos, mediante factores de control, analizar e implementar las mejoras de lugar al proceso o producto, manteniendo el producto dentro de los estándares la cantidad, el tiempo, costo y calidad. Como meta final está la interpretación de los gráficos de control donde se espera que el proceso conste de un patrón acorde a los estándares esperados y por consiguiente se considere bajo control estadístico . CONT.
  • 45.