Universidad Católica de Santiago de Guayaquil
41
CONTENIDOS
UNIDAD 3
EL DESCUBRIMIENTO DE AMÉRICA Y EL DERECHO INDIANO.
Tema 10: Antecedentes históricos de las “Visitas”
UNIDAD 4
HISTORIA DEL DERECHO ECUATORIANO
Tema 11: La Constitución de Guayaquil
Tema 12: La Constitución de 1830.
Tema 13: Las Constituciones Liberales.
Tema 14: La Constitución de 1945.
SEGUNDO PARCIAL
Sistema de Educación a Distancia
42
Universidad Católica de Santiago de Guayaquil
43
BIBLIOGRAFÍA
Básica
Estarellas Velásquez Carlos; Estarellas Velázquez Enrique. Manual de Historia del
Derecho. Universidad Católica de Santiago de Guayaquil. 2004
Este manual tiene como objetivo analizar el pensamiento jurídico universal, señalando
los mayores avances en la organización jurídica de los pueblos, así como también la
génesis de los derechos individuales y sociales.
Complementaria
 Ayala, Manuel Joseph. Notas a la República de Indias. Editado por Juan Manzano,
Madrid, 1945, Editorial Cultura Hispánica. 3 tomos.
 Bossano, Guillermo. Vicisitudes de la nacionalidad ecuatoriana. Talleres Gráficos
del Estado Mayor General. Quito, 1949.
 Garcia Gallo, Concepción. Las notas a la recopilación de Leyes de Indias, de José
P. De Salas y Ramón Martínez de Rosas. Quito, Corporación de Estudios y
Publicaciones, 1981.
 Reig Satorres, José. Reales Audiencias. Anuario Histórico Jurídico, tomo II.
Corporación de Estudios y Publicaciones, 1971.
 Reig Satorres, José. Reflexiones sobre la Historia del Derecho. Revista de
“Historia del Derecho”, Universidad Católica de Guayaquil, No. 1, 1982.
 Reig Satorres, José. La Real Audiencia de Quito defiende su Distrito. Libro
“Guayaquil y su relevancia histórica”. Guayaquil. Centro Universitario Los Esteros,
1992.
 Sánchez Bella, Ismael. Visitas a las Indias. Revista de “Historia del Derecho” de la
Universidad Católica de Guayaquil. 1982.
 Zorraquin Becu, Ricardo. El sistema de fuentes en el Derecho indiano. Anuario
Histórico Jurídico, tomoVI, Quito, Corporación de Estudios y Publicaciones, 1981.
 Larrea Holguín, Juan. El espíritu jurídico de la República. Revista de la Casa de
la Cultura. Ibarra, 1983.
 Huerta, Pedro José. Curso de historia de la Edad Antigua y de la Edad Media.
Editorial Jouvin. Guayaquil 1940.
 Estarellas Velázquez, Enrique. Tesis Doctoral “La Sociedad y el Estado”.
Universidad Católica de Guayaquil.
 Reig Satorres, José. Larrea Holguín,Juan . Manual de Historia del Derecho en el
Ecuador. Universidad Católica de Guayaquil.
 Real Murillo, Manuel de J. Apuntes de clase de Historia del Derecho.
Universidad de Guayaquil.
Sistema de Educación a Distancia
44
Universidad Católica de Santiago de Guayaquil
45
CONSIDERACIONES GENERALES PARA EL APRENDIZAJE EN LA
EDUCACIÓN ABIERTA Y A DISTANCIA
PROPICIAR UN APRENDIZAJE AUTÓNOMO Y LIGADO A LA
EXPERIENCIA. 3
Es notable el avance de las Ciencias de la Educación que posibilita una planificación
cuidadosa de la utilización de recursos y una metodología que, privada de la presencia
directa del profesor, potencia el trabajo independiente y por ello la individualización del
aprendizaje. Así, la profundización y perfeccionamiento de los sistemas
individualizados de enseñanza, han potenciado esta modalidad de enseñanza-
aprendizaje con rasgos definidos aplicables a sectores determinados del universo
estudiantil (Peñaiver, 1981: 28).
Los sistemas de educación a distancia no sólo pretenden llenar cabezas, sino capacitar y
entrenar al estudiante en aprender a aprender y aprender a tecnificarse (Pastrana:
1985:3), forjando su autonomía en cuanto a tiempo, estilo, ritmo y método de
aprendizaje, al permitir la toma de conciencia de las propias capacidades y posibilidades
para su autoformación. En definitiva, se pretende:
 Que el estudiante adquiera actitudes, intereses, valores que le faciliten los
mecanismos precisos para regirse a sí mismo, lo que le llevará a responsabilizarse en
un aprendizaje permanente.
 Convertirlo en sujeto activo de su formación y al profesor en guía y orientador,
tratando de superar las deficiencias del sistema presencial tradicional.
 Posibilitar un aprendizaje que está ligado fundamentalmente a la experiencia
(Dichanz, 1983: 33-46 y Hough, 1984: 7-23) y en contacto inmediato con la vida
laboral y social. Comprende a una población de adultos, en buena parte activos
laboralmente, que desean perfeccionarse, al disponer de un tiempo, aunque sea
escaso, para el estudio, rompiendo así los clásicos moldes de educación formal
institucionalizada. La educación a distancia no es sólo aprender de lejos; supone la
no separación del individuo de su medio para convertirlo así en propio factor de
educación (Cirigliano, 1983: 20-21)
 Fomentar el logro de una independencia de criterio, capacidad para pensar, trabajar
y decidir por sí mismo y satisfacción por el esfuerzo personal.
3
García Aretio, L. (1989). Para qué la Educación a Distancia. http://www.uned.es/catedraunesco-
ead/articulos/1989/para%20que%20la%20educacion%20a%20distancia.pdf
Lea con atención la siguiente información que contribuirá a conceptualizar uno de los
objetivos fundamentales de la Educación a Distancia como es generar el aprendizaje
autónomo e independiente que apoyado en las nuevas tecnologías de la comunicación
enriquecen el proceso de enseñanza aprendizaje.
Sistema de Educación a Distancia
46
USOS Y REPERCUSIONES DE LAS NUEVAS TECNOLOGÍAS EN LA
EDUCACIÓN 4
Las nuevas tecnologías constituyen una nueva plataforma para acercar la formación a
las personas. Estamos de acuerdo con Carlos Marcelo, quien señala que la formación
“es una necesidad de las personas y de las empresas. No hay opción de mantenerse al
margen de la evolución de los saberes, salvo en el caso de ocupaciones artesanales
donde la tradición pesa más que la innovación. Y aún en este caso, los medios
tecnológicos resultan ya imprescindibles en la gestión y comercialización de los
productos”. Las nuevas tecnologías hacen posible formas alternativas de trabajo escolar
y han supuesto un cambio en la interactividad, es decir, en cómo nos comunicamos.
¿Por qué y para qué utilizar internet en el ámbito de la educación?
Lo realmente importante es encontrar una información refinada y útil para el usuario
dentro de ese mar de datos y mido que la red alimenta. En este sentido la calidad está
determinada por la facilidad y velocidad de acceso, la actualidad, la precisión y la
confiabilidad.
En todo proceso de búsqueda es indispensable llevar a cabo un análisis crítico de las
fuentes de información, comprobando su exactitud, su credibilidad, el tipo de
destinatario pretendido, la objetividad de los contenidos, el tipo de cobertura, el estilo y
la facilidad de uso.
Cuando un grupo de alumnos muestra interés por un tema muy específico y sobre el que
no hay muchos recursos se puede recurrir a otra aplicación que es el intercambio entre
personas, aplicación que también es extensible a comunidades docentes que sufran un
cierto aislamiento, pero que comparten inquietudes comunes. Además, el desarrollo de
proyectos colectivos permite a los estudiantes intercambiar datos sobre su medio
ambiente o sobre las semejanzas y diferencias culturales entre sus comunidades.
Probablemente una de las aplicaciones educativas más interesantes de Internet es el
aprendizaje autónomo. La primera manifestación de esta aplicación es la enseñanza a
distancia, cuyos orígenes se remontan a finales del siglo XIX. La enseñanza a distancia
ha ido incorporando los nuevos medios técnicos que iban apareciendo y en este sentido
internet ofrece algunas ventajas para satisfacer más eficazmente los nuevos
requerimientos de la educación. Junto a la enseñanza hay otros servicios que pueden ser
útiles para el aprendizaje autónomo: los foros, las sesiones de chat y las listas de correo.
Existe una cierta tendencia a pensar que internet se convertirá en el medio de
comunicación por excelencia, quedando los medios tradicionales relegados a la
categoría de piezas de museo o, en el mejor de los casos, a la de instrumentos de uso
marginal. En el ámbito específico de la comunicación educativa no cabe duda de que
internet cobrará mayor importancia, pero no dejará de ser un instrumento entre otros,
que seguirán siendo imprescindibles para la educación y la transmisión de
conocimiento.
4
www.campusred.net/forouniversitario/pdfs/comunicaciones/documentacion/M_Angeles_Cruz_Camara.pdf
Universidad Católica de Santiago de Guayaquil
47
ESTARELLAS, CARLOS; ESTARELLAS, E. MANUAL HISTORIA DEL DERECHO. p. 39.
INTRODUCCIÓN
La importancia del Derecho Indiano, se ve reflejada en la institución de las Visitas, que
eran viajes de inspección que realizaban de legados del Rey de España a territorios
americanos para evitar la corrupción o el incumplimiento de la Ley, por parte de
funcionarios de América.
El visitador era designado cuando se presentaban quejas sobre la conducta de los
funcionarios en ejercicio y que el Consejo de Indias, estimaban debían ser investigadas.
La residencia era un procedimiento normal, al que se sometían todos los funcionarios
coloniales al término de su mandato para que correspondan por sus actuaciones.
Las Visitas y las Residencias demostraban la importancia que el “nuevo mundo” tenía
para España.
UNIDAD 3
EL DESCUBRIMIENTO DE
AMÉRICA Y EL DERECHO
INDIANO
Sistema de Educación a Distancia
48
MAPA CONCEPTUAL
OBJETIVOS GENERALES
 Definir las características del Derecho Indiano como un ordenamiento jurídico
especial que se utilizó para resolver los problemas de distinto orden que se
presentaron en América.
 Analizar el papel e importancia de las Visitas como una de las instituciones más
importantes del Derecho Indiano.
 Legislativas
 Consejo de Indias
 Correspondencia de los Visitadores
 Literatura Jurídica
Las Visitas
son son
se clasifican en
Específica
dirigidas
por
elegido por
dirigidas por
Las
Los procedimientos normales contra
todos los funcionarios para
investigar al término de su función,
las irregularidades que podían haber
cometido
elegido por
El juez
residenciador
que son
Las Fuentes
Los viajes de inspección que
realizaban delegados del poder
central en los territorios americanos.
General
El Concejo de Indias
identificados
a través de
El Visitador
El Rey
El Derecho Indiano comprende dos instituciones que son:
Universidad Católica de Santiago de Guayaquil
49
DESARROLLO DEL CONTENIDO
ESTARELLAS, CARLOS; ESTARELLAS, E. MANUAL HISTORIA DEL DERECHO. pp.42 – 44.
1. Introducción
La importancia del Derecho Indiano se ve reflejada en la institución de las Vistias. Las
Visitas eran viajes de inspección que realizaban delegados de los reyes de España en
territorios americanos para evitar la corrupción o el incumplimiento de la ley por parte
de los funcionarios en América demostrando la importancia que “el nuevo mundo” tenía
para España.
2. Objetivos específicos
 Analizar la administración del Imperio español en América.
 Identificar la estructura del ordenamiento jurídico especial para resolver los
problemas de distinto orden que se presentaron en América.
 Analizar Las Visitas como institución del Derecho Indiano.
 Diferencias entre “Las Visitas” y “Las Residencias”.
 Explicar la estructura jurídica de estas instituciones.
3. Desarrollo del tema
 El Derecho Indiano
Los Reyes Católicos consideraron que en América se podrían aplicar las mismas leyes
del reino de Castilla. Sin embargo los problemas que se daban en “las nuevas tierras”
obligaron a crear una legislación particular: El Derecho Indiano.
El Derecho Indiano (su nombre se debe a que estas tierras eran conocidas como las
Indias) es el que prepara y realiza la formación de los pueblos hispanoamericanos.
En estas leyes se encuentra la génesis del Derecho Público Americano. Los organismos
Judiciales fueron en España: El Consejo de Indias, La Casa de Contratación y la Junta
de Guerra de Indias. En América: Las Audiencias y la Junta Superior de Real
Hacienda.
TEMA 10
ANTECEDENTES HISTÓRICOS DE LA “VISITAS”
Sistema de Educación a Distancia
50
 Antecedentes históricos de las “Visitas”.
En este tema es importante mencionar que los Grandes Reinos e Imperios desde la
antigüedad necesitaron la existencia de funcionarios que recorrieran las regiones
apartadas del país, para impedir que se produjeran intentos separatistas o mal gobierno.
Estos delegados informaban directamente al Monarca de la conducta de los gobernantes
para que tomaran las medidas correctivas del caso.
El primer antecedente históricamente conocido lo tenemos en el Imperio Medo- Persa,
organización estatal de gran tamaño y en la cual el “Gran Rey” o “Rey de Reyes” tenía
representantes en las distintas Satrapías o provincias, que eran visitadas para informarle
las conductas de los Sátrapas o Gobernadores. Tales delegados recibían el nombre de
“Ojos y Oídos del Rey”.
También se encuentran funcionarios similares en el antiguo Egipto y en la China
Imperial.
El Imperio Español en América se caracterizó por su enormidad y lejanía del poder
central, poder encarnado en la persona del Monarca, descendiente de los Reyes
Católicos, a los cuales el Papado les había dado la misión de evangelizar a los
“Naturales” del Nuevo Mundo. Por consecuencia lógica tenía que aparecer la Institución
de la “Visita” y su reglamentación.
 Dificultad para el cabal conocimiento de la institución de las Visitas.
Si revisamos la forma en que funcionaron las “Visitas” en América encontraremos
algunos datos contradictorios, así como también la dificultad para establecer la cantidad
de las que se hicieron, las facultades de las que estaban investidos los funcionarios, la
forma cómo se los elegía y el procedimiento en la “Visita” misma. El motivo de la
dificultad se encuentra centrado en las siguientes causas: La bibliografía existente sobre
este tema es sumamente escasa, y, solo a partir de los años 40 es que comienzan a
aparecer trabajos relacionados sobre el tema.
 Fuentes para el estudio de las Visitas.
Legislativas:
a) La correspondencia de los “Visitadores”.
b) La literatura Jurídica.
c) La fuente más importante para el estudio de la Institución la constituye los
expedientes remitidos por los “Visitadores” al Consejo de Indias.
Las referencias, todavía no debidamente aclaradas, que traen ciertos documentos sobre
las “Visitas” así como que las mismas no se realizaron siempre de manera uniforme,
han dado como consecuencia que el concepto se vea en muchas ocasiones confundido
con el de residencia.
Universidad Católica de Santiago de Guayaquil
51
 Diferencias entre Visitas y Residencias.
1) El “Visitador” era designado cuando se recibían muchas quejas o
“representaciones” de moradores del Virreinato, la Capitanía General o la
Audiencia sobre la conducta de los funcionarios en ejercicio, conducta que el
Consejo de Indias estimaba debía ser investigada; mientras que la Residencia era
un procedimiento normal al que se sometía a todos los funcionarios al término
de su mandato para que respondieran de sus actuaciones.
2) La Visita era designada por el Consejo de Indias previa consulta al Rey. La
Residencia la hacía de oficio el Consejo de Indias, es decir, no necesitaba
consultar al Rey.
3) Las Facultades del “Visitador” eran mucho mayores que las del
“Residenciador”.
4) El “Visitador”, pese a que continuamente se hicieron tales nombramientos, era
un funcionario de excepción; mientras que el “Residenciador” era un funcionario
nombrado comúnmente, cada vez que otro funcionario terminaba su misión.
 Clases de Visitas.
Tratando de enfocar lo más didácticamente el tema nos referimos a las visitas
propiamente dichas, las mismas que admiten ser divididas en Visitas General y
Específicas.
 Selección del Visitador.
Generalmente se nombraba al visitador cuando se tenía noticias por parte del Consejo
de Indias de abusos y excesos graves y generalizados. En teoría el nombramiento lo
hacía el Monarca, cosa que ocurrió con Carlos y Felipe II, grandes administradores,
pero a partir de Felipe III lo hace el Consejo de Indias con anuencia del Monarca,
anuencia que en muchas ocasiones era mero formulismo.
 Poderes del Visitador.
El Visitador recibía normalmente un poder general para la visita en forma de Real
Provisión. A este poder general usualmente se le agregaba una serie de comisiones en
Reales Cédulas.
 Acompañantes.
Siendo el Visitador un hombre de mucho valor y que tenía ante sí muchas obligaciones
que cumplir se le daba como acompañantes o subordinados un escribano, un alguacil y
varios contadores.
En el Libro Texto se profundiza el tema tratado.
Sistema de Educación a Distancia
52
4. Orientaciones específicas para el estudio
Para poder estudiar el tema 9, es necesario tener en cuenta las siguientes sugerencias:
 Estudie la materia en un lugar donde pueda mantener la concentración absoluta.
 Haga una agenda de la semana, donde incluya por lo menos una hora diaria de
estudio lo que le servirá para poder conocer la Institución de las Visitas.
 Es importante para entender este tema que complemente su estudio el texto básico
donde se analiza con mayor profundidad la institución de las Visitas.
5. ACTIVIDADES DE APRENDIZAJE
AUTOEVALUACIÓN
El estudiante debe remitirse a la Autoevaluación que se encuentra en la bibliografía
básica, al final de la primera unidad, a fin de que compruebe su avance personal.
Se encuentra a continuación de la autoevaluación, en el texto básico.
SOLUCIONARIO
Universidad Católica de Santiago de Guayaquil
53
ESTARELLAS, CARLOS; ESTARELLAS, E. MANUAL HISTORIA DEL DERECHO. P. 51.
INTRODUCCIÓN
En esta unidad estudiaremos la evolución del Derecho Constitucional Ecuatoriano, a
través de las diferentes Constituciones expedidas, tomando en consideración la
Constitución de Guayaquil, la constitución de 1830, las Constituciones Liberales y la
Constitución de 1945.
Indicaremos los principales aspectos de las indicadas Constituciones que son:
1. Constitución de Guayaquil
La Constitución de Guayaquil, es el resultado de la Revolución del 9 de Octubre de
1820, que va a culminar en la Batalla del Pichincha el 24 de Mayo de 1922, donde se
libera del yugo español todo el territorio de la Real Audiencia de Quito. Dicha
Constitución establece un Poder Ejecutivo y propone un Estado Libre e Independiente.
2. Constitución de 1830
Esta constitución fue elaborada por la Primera Asamblea Constituyente, que se reunió
en la ciudad de Riobamba, en el convento de Santo Domingo y que señala con claridad
los rasgos de la fisonomía definitiva del Ecuador.
3. Constituciones Liberales
Son el resultado de la Revolución Liberal en el Ecuador. Cambian el Sistema Jurídico
Ecuatoriano, introduciendo nuevas instituciones. Estas constituciones implementan
nuevos conceptos que, adelantándose a otros países, siguiendo el ejemplo del Ecuador,
las implementan.
4. Constitución de 1945
Es la Constitución redactada, de todas las que ha tenido el país, de elevado estilo,
moderna y a tono con su época.
UNIDAD 4 HISTORIA DEL DERECHO
ECUATORIANO
Sistema de Educación a Distancia
54
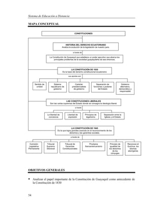
MAPA CONCEPTUAL
OBJETIVOS GENERALES
 Analizar el papel importante de la Constitución de Guayaquil como antecedente de
la Constitución de 1830
sus aportes son
LA CONSTITUCIÓN DE 1830
Es la base del derecho constitucional ecuatoriano
a través de
LA CONSTITUCIÓN DE 1945
Es la que logra grandes avances en el reconocimiento de los
derechos y las garantías sociales.
a través de
CONSTITUCIONES
HISTORIA DEL DERECHO ECUATORIANO
Analiza la evolución de la legislación de nuestro país.
La Constitución de Guayaquil que establece un poder ejecutivo que abarca los
principales problemas de la sociedad guayaquileña de ese entonces.
LAS CONSTITUCIONES LIBERALES
Son las cartas supremas del Estado donde se consagra la ideología liberal.
a través
Separación entre la
Iglesia y el Estado
Principios de
legalísimo
Libertad de
expresión
La libertad de
conciencia
Gobierno
alternativo,
democrático y
responsable
Separación de
funciones o poderes
del Estado
Carácter
presidencialista
de gobierno
Sistema
republicano de
gobierno
Sentido de
unidad
Proclama
Iberoamericanismo
Comisión
Legislativa
Permanente
Tribunal
Supremo
Electoral
Tribunal de
Garantías
Constitucionales
Principio de
igualdad de
los derechos
de los
cónyuges
Reconoce el
Quichua, los
idiomas
aborígenes
Universidad Católica de Santiago de Guayaquil
55
DESARROLLO DEL CONTENIDO
ESTARELLAS, CARLOS; ESTARELLAS, E. MANUAL HISTORIA DEL DERECHO. p. 53.
1. Introducción
La Constitución de Guayaquil es el resultado de la revolución del 9 de Octubre de 1820,
que va a culminar en la Batalla de Pichincha el 24 de Mayo de 1822 donde se libera del
yugo español, todo el territorio de la Real Audiencia de Quito, para posteriormente
incorporarnos a la Gran Colombia y sólo alcanzar la verdadera independencia en 1830
cuando nos convertimos en el Estado del Ecuador.
2. Objetivos específicos
 Analizar el papel importante de la Constitución de Guayaquil como antecedente
a la Constitución de 1830.
3. Desarrollo del tema
Esta Constitución fue creada luego de la gesta del 9 de Octubre de 1820 y que
lamentablemente muchos historiadores se “olvidan” de mencionar.
José Joaquín de Olmedo se convierte en la figura de la Revolución siendo escogido
como Jefe Civil, inspirando con sus ideas la Constitución y la Ley de Elecciones.
Olmedo fue, a no dudarlo, el más sobresaliente ecuatoriano de la época, por lo que se lo
considera el primer Presidente ecuatoriano. El Congreso Nacional lo ha reconocido
colocando su retrato en la galería de los Presidentes.
La Constitución que comentamos es muy sintética, sólo tiene 20 artículos. Lo más
notable de este documento consiste en que se fijan los ideales fundamentales de la
Provincia de Guayaquil: Se propone un Estado libre e Independiente manteniendo la
religión católica y escogiendo la forma de gobierno autónomo.
Finalmente, cabe señalar que la Provincia libre de Guayaquil tenía como territorios a los
que corresponde en la actualidad a Guayas, Manabí, El Oro, Los Ríos y parte de
Bolívar. En la unidad 4 del libro texto se desglosa y analiza con mayor profundidad
este tema.
TEMA 11
LA CONSTITUCIÓN DE GUAYAQUIL
Sistema de Educación a Distancia
56
4. Orientaciones específicas para el estudio
Para poder estudiar el tema 11 es necesario tener en cuenta las siguientes sugerencias:
 Estudie la materia en un lugar donde pueda mantener la concentración absoluta.
 Haga una agenda de la semana, donde incluya por lo menos una hora diaria de
estudio lo que le servirá para poder conocer la Constitución de Guayaquil.
 Es importante para complementar este tema que revise el texto básico, donde se
analizan con mayor profundidad la Constitución de Guayaquil. Por otro lado puede
ayudarse en el estudio consultando un libro de historia del Ecuador.
5. ACTIVIDADES DE APRENDIZAJE
AUTOEVALUACIÓN
El estudiante debe remitirse a la Autoevaluación que se encuentra en la bibliografía
básica, al final de la primera unidad, a fin de que compruebe su avance personal.
Se encuentra a continuación de la autoevaluación, en el texto básico.
SOLUCIONARIO
Universidad Católica de Santiago de Guayaquil
57
ESTARELLAS, CARLOS; ESTARELLAS, E. MANUAL HISTORIA DEL DERECHO. pp.54 – 56.
1. Introducción
La Constitución de 1830 fue elaborada por la primera Asamblea Constituyente que se
reunió en la ciudad de Riobamba en el convento de Santo Domingo. El aporte de esta
Constitución consiste en señalar con claridad los rasgos de la fisonomía definitiva del
Ecuador.
2. Objetivos específicos
 Analizar el papel importante de la Constitución de 1830 y sus principales aportes
al Derecho Constitucional Ecuatoriano.
3. Desarrollo del tema
El 14 de Agosto de 1830 se reunieron en la ciudad de Riobamba los asambleístas, que
redactarían la primera constitución del Ecuador.
Los aportes que tiene la primera Constitución son de gran trascendencia para nuestro
país. Señalaremos los más importantes:
a. El sentido de unidad.-
b. El sistema republicano de gobierno.-
c. El carácter presidencialista de gobierno.- La separación de funciones o poderes del
Estado.
d. El gobierno alternativo, democrático y responsable.
Para profundizar el estudio de la Constitución de 1830 es necesario consultar con el
libro texto.
TEMA 12
LA CONSTITUCIÓN DE 1830
Sistema de Educación a Distancia
58
4. Orientaciones específicas para el estudio
Para poder estudiar el tema 12 es necesario tener las siguientes sugerencias:
 Estudie la materia en un lugar donde pueda mantener la concentración absoluta.
 Haga una agenda de la semana, donde incluya por lo menos una hora diaria de
estudio lo que le servirá para poder conocer la Constitución de 1830.
 Es importante para entender este tema que consulte en el texto básico donde podrá
profundizar el estudio y además encontrará el texto de la Constitución de 1830.
5. ACTIVIDADES DE APRENDIZAJE
AUTOEVALUACIÓN
El estudiante debe remitirse a la Autoevaluación que se encuentra en la bibliografía
básica, al final de la primera unidad, a fin de que compruebe su avance personal.
Se encuentra a continuación de la autoevaluación, en el texto básico.
SOLUCIONARIO
Universidad Católica de Santiago de Guayaquil
59
ESTARELLAS, CARLOS; ESTARELLAS, E. MANUAL HISTORIA DEL DERECHO. p. 57.
1. Introducción
Las Constituciones liberales son el resultado de la revolución liberal en el Ecuador.
Cambian el sistema jurídico ecuatoriano introduciendo nuevas instituciones. Además es
importante mencionar que se adelantan a otros países, que posteriormente siguiendo con
el ejemplo del Ecuador, las implementarán.
2. Objetivos específicos
 Comprender los principios de la ideología liberal.
 Conocer el Laicismo en el país.
 Entender el concepto del liberalismo económico.
3. Desarrollo del tema
Las Constituciones liberales, en especial la Constitución de 1906, consagran los
principios de la ideología liberal:
 Libertad de Conciencia
 Libertad de Expresión
 Principio de Legalísmo
 Separación entre la Iglesia y el Estado
Para profundizar el estudio de las constituciones liberales es necesario consultar con el
libro texto.
4. Orientaciones específicas para el estudio
Para poder estudiar el Tema 13 es necesario tener las siguientes sugerencias:
 Estudie la materia en un lugar donde pueda mantener la concentración absoluta.
 Haga una agenda de la semana donde incluye por lo menos una hora diaria de
estudio lo que le servirá para poder conocer las constituciones liberales.
 Es importante para entender este tema que consulte en el texto básico donde podrá
profundizar el estudio. Así mismo deberá revisar la Constitución de 1906.
TEMA 13
LAS CONSTITUCIONES LIBERALES
Sistema de Educación a Distancia
60
5. ACTIVIDADES DE APRENDIZAJE
AUTOEVALUACIÓN
El estudiante debe remitirse a la Autoevaluación que se encuentra en la bibliografía
básica, al final de la primera unidad, a fin de que compruebe su avance personal.
Se encuentra a continuación de la autoevaluación, en el texto básico.
SOLUCIONARIO
Universidad Católica de Santiago de Guayaquil
61
ESTARELLAS, CARLOS; ESTARELLAS, E. MANUAL HISTORIA DEL DERECHO. p. 58.
1. Introducción
Es la Constitución mejor redactada de todas las que ha tenido el país, de elevado estilo,
moderna y a tono con su época.
2. Objetivos específicos
 Comprender lo fundamental que es para el Ecuador la creación del Tribunal
Supremo Electoral y la Comisión Legislativa Permanente.
 Conocer la importancia del Quichua y los idiomas aborígenes como elementos
de cultura nacional.
 Entender la trascendencia del Iberoamericanismo
3. Desarrollo del tema
Una de las características principales de esta Constitución es el avance que logró para
nuestro país en el reconocimiento de derechos y garantías sociales. Formuló el principio
de la igualdad de los cónyuges y de toda clase de hijos. Estableció un congreso
unicameral (una sola cámara), a diferencia de los anteriores que eran bicamerales
(diputados y senadores). Por otro lado creó varios mecanismos dirigidos al control de
las leyes.
Para profundizar el estudio de la Constitución de 1945 es necesario consultar con el
libro texto.
4. Orientaciones específicas para el estudio
Para poder estudiar el Tema 14 es necesario tener las siguientes sugerencias:
 Estudie la materia en un lugar donde pueda mantener la concentración absoluta.
 Haga una agenda de la semana donde incluye por lo menos una hora diaria de
estudio, lo que le servirá para poder conocer las constituciones liberales.
 Es importante para entender este tema que consulte en el texto básico donde podrá
profundizar el estudio. Así mismo deberá revisar la Constitución de 1945.
TEMA 14
LA CONSTITUCIÓN DE 1945
Sistema de Educación a Distancia
62
5. ACTIVIDADES DE APRENDIZAJE
AUTOEVALUACIÓN
El estudiante debe remitirse a la Autoevaluación que se encuentra en la bibliografía
básica, al final de la primera unidad, a fin de que compruebe su avance personal.
Se encuentra a continuación de la autoevaluación, en el texto básico.
SOLUCIONARIO

Historia del derecho ii

  • 1.
    Universidad Católica deSantiago de Guayaquil 41 CONTENIDOS UNIDAD 3 EL DESCUBRIMIENTO DE AMÉRICA Y EL DERECHO INDIANO. Tema 10: Antecedentes históricos de las “Visitas” UNIDAD 4 HISTORIA DEL DERECHO ECUATORIANO Tema 11: La Constitución de Guayaquil Tema 12: La Constitución de 1830. Tema 13: Las Constituciones Liberales. Tema 14: La Constitución de 1945. SEGUNDO PARCIAL
  • 2.
    Sistema de Educacióna Distancia 42
  • 3.
    Universidad Católica deSantiago de Guayaquil 43 BIBLIOGRAFÍA Básica Estarellas Velásquez Carlos; Estarellas Velázquez Enrique. Manual de Historia del Derecho. Universidad Católica de Santiago de Guayaquil. 2004 Este manual tiene como objetivo analizar el pensamiento jurídico universal, señalando los mayores avances en la organización jurídica de los pueblos, así como también la génesis de los derechos individuales y sociales. Complementaria  Ayala, Manuel Joseph. Notas a la República de Indias. Editado por Juan Manzano, Madrid, 1945, Editorial Cultura Hispánica. 3 tomos.  Bossano, Guillermo. Vicisitudes de la nacionalidad ecuatoriana. Talleres Gráficos del Estado Mayor General. Quito, 1949.  Garcia Gallo, Concepción. Las notas a la recopilación de Leyes de Indias, de José P. De Salas y Ramón Martínez de Rosas. Quito, Corporación de Estudios y Publicaciones, 1981.  Reig Satorres, José. Reales Audiencias. Anuario Histórico Jurídico, tomo II. Corporación de Estudios y Publicaciones, 1971.  Reig Satorres, José. Reflexiones sobre la Historia del Derecho. Revista de “Historia del Derecho”, Universidad Católica de Guayaquil, No. 1, 1982.  Reig Satorres, José. La Real Audiencia de Quito defiende su Distrito. Libro “Guayaquil y su relevancia histórica”. Guayaquil. Centro Universitario Los Esteros, 1992.  Sánchez Bella, Ismael. Visitas a las Indias. Revista de “Historia del Derecho” de la Universidad Católica de Guayaquil. 1982.  Zorraquin Becu, Ricardo. El sistema de fuentes en el Derecho indiano. Anuario Histórico Jurídico, tomoVI, Quito, Corporación de Estudios y Publicaciones, 1981.  Larrea Holguín, Juan. El espíritu jurídico de la República. Revista de la Casa de la Cultura. Ibarra, 1983.  Huerta, Pedro José. Curso de historia de la Edad Antigua y de la Edad Media. Editorial Jouvin. Guayaquil 1940.  Estarellas Velázquez, Enrique. Tesis Doctoral “La Sociedad y el Estado”. Universidad Católica de Guayaquil.  Reig Satorres, José. Larrea Holguín,Juan . Manual de Historia del Derecho en el Ecuador. Universidad Católica de Guayaquil.  Real Murillo, Manuel de J. Apuntes de clase de Historia del Derecho. Universidad de Guayaquil.
  • 4.
    Sistema de Educacióna Distancia 44
  • 5.
    Universidad Católica deSantiago de Guayaquil 45 CONSIDERACIONES GENERALES PARA EL APRENDIZAJE EN LA EDUCACIÓN ABIERTA Y A DISTANCIA PROPICIAR UN APRENDIZAJE AUTÓNOMO Y LIGADO A LA EXPERIENCIA. 3 Es notable el avance de las Ciencias de la Educación que posibilita una planificación cuidadosa de la utilización de recursos y una metodología que, privada de la presencia directa del profesor, potencia el trabajo independiente y por ello la individualización del aprendizaje. Así, la profundización y perfeccionamiento de los sistemas individualizados de enseñanza, han potenciado esta modalidad de enseñanza- aprendizaje con rasgos definidos aplicables a sectores determinados del universo estudiantil (Peñaiver, 1981: 28). Los sistemas de educación a distancia no sólo pretenden llenar cabezas, sino capacitar y entrenar al estudiante en aprender a aprender y aprender a tecnificarse (Pastrana: 1985:3), forjando su autonomía en cuanto a tiempo, estilo, ritmo y método de aprendizaje, al permitir la toma de conciencia de las propias capacidades y posibilidades para su autoformación. En definitiva, se pretende:  Que el estudiante adquiera actitudes, intereses, valores que le faciliten los mecanismos precisos para regirse a sí mismo, lo que le llevará a responsabilizarse en un aprendizaje permanente.  Convertirlo en sujeto activo de su formación y al profesor en guía y orientador, tratando de superar las deficiencias del sistema presencial tradicional.  Posibilitar un aprendizaje que está ligado fundamentalmente a la experiencia (Dichanz, 1983: 33-46 y Hough, 1984: 7-23) y en contacto inmediato con la vida laboral y social. Comprende a una población de adultos, en buena parte activos laboralmente, que desean perfeccionarse, al disponer de un tiempo, aunque sea escaso, para el estudio, rompiendo así los clásicos moldes de educación formal institucionalizada. La educación a distancia no es sólo aprender de lejos; supone la no separación del individuo de su medio para convertirlo así en propio factor de educación (Cirigliano, 1983: 20-21)  Fomentar el logro de una independencia de criterio, capacidad para pensar, trabajar y decidir por sí mismo y satisfacción por el esfuerzo personal. 3 García Aretio, L. (1989). Para qué la Educación a Distancia. http://www.uned.es/catedraunesco- ead/articulos/1989/para%20que%20la%20educacion%20a%20distancia.pdf Lea con atención la siguiente información que contribuirá a conceptualizar uno de los objetivos fundamentales de la Educación a Distancia como es generar el aprendizaje autónomo e independiente que apoyado en las nuevas tecnologías de la comunicación enriquecen el proceso de enseñanza aprendizaje.
  • 6.
    Sistema de Educacióna Distancia 46 USOS Y REPERCUSIONES DE LAS NUEVAS TECNOLOGÍAS EN LA EDUCACIÓN 4 Las nuevas tecnologías constituyen una nueva plataforma para acercar la formación a las personas. Estamos de acuerdo con Carlos Marcelo, quien señala que la formación “es una necesidad de las personas y de las empresas. No hay opción de mantenerse al margen de la evolución de los saberes, salvo en el caso de ocupaciones artesanales donde la tradición pesa más que la innovación. Y aún en este caso, los medios tecnológicos resultan ya imprescindibles en la gestión y comercialización de los productos”. Las nuevas tecnologías hacen posible formas alternativas de trabajo escolar y han supuesto un cambio en la interactividad, es decir, en cómo nos comunicamos. ¿Por qué y para qué utilizar internet en el ámbito de la educación? Lo realmente importante es encontrar una información refinada y útil para el usuario dentro de ese mar de datos y mido que la red alimenta. En este sentido la calidad está determinada por la facilidad y velocidad de acceso, la actualidad, la precisión y la confiabilidad. En todo proceso de búsqueda es indispensable llevar a cabo un análisis crítico de las fuentes de información, comprobando su exactitud, su credibilidad, el tipo de destinatario pretendido, la objetividad de los contenidos, el tipo de cobertura, el estilo y la facilidad de uso. Cuando un grupo de alumnos muestra interés por un tema muy específico y sobre el que no hay muchos recursos se puede recurrir a otra aplicación que es el intercambio entre personas, aplicación que también es extensible a comunidades docentes que sufran un cierto aislamiento, pero que comparten inquietudes comunes. Además, el desarrollo de proyectos colectivos permite a los estudiantes intercambiar datos sobre su medio ambiente o sobre las semejanzas y diferencias culturales entre sus comunidades. Probablemente una de las aplicaciones educativas más interesantes de Internet es el aprendizaje autónomo. La primera manifestación de esta aplicación es la enseñanza a distancia, cuyos orígenes se remontan a finales del siglo XIX. La enseñanza a distancia ha ido incorporando los nuevos medios técnicos que iban apareciendo y en este sentido internet ofrece algunas ventajas para satisfacer más eficazmente los nuevos requerimientos de la educación. Junto a la enseñanza hay otros servicios que pueden ser útiles para el aprendizaje autónomo: los foros, las sesiones de chat y las listas de correo. Existe una cierta tendencia a pensar que internet se convertirá en el medio de comunicación por excelencia, quedando los medios tradicionales relegados a la categoría de piezas de museo o, en el mejor de los casos, a la de instrumentos de uso marginal. En el ámbito específico de la comunicación educativa no cabe duda de que internet cobrará mayor importancia, pero no dejará de ser un instrumento entre otros, que seguirán siendo imprescindibles para la educación y la transmisión de conocimiento. 4 www.campusred.net/forouniversitario/pdfs/comunicaciones/documentacion/M_Angeles_Cruz_Camara.pdf
  • 7.
    Universidad Católica deSantiago de Guayaquil 47 ESTARELLAS, CARLOS; ESTARELLAS, E. MANUAL HISTORIA DEL DERECHO. p. 39. INTRODUCCIÓN La importancia del Derecho Indiano, se ve reflejada en la institución de las Visitas, que eran viajes de inspección que realizaban de legados del Rey de España a territorios americanos para evitar la corrupción o el incumplimiento de la Ley, por parte de funcionarios de América. El visitador era designado cuando se presentaban quejas sobre la conducta de los funcionarios en ejercicio y que el Consejo de Indias, estimaban debían ser investigadas. La residencia era un procedimiento normal, al que se sometían todos los funcionarios coloniales al término de su mandato para que correspondan por sus actuaciones. Las Visitas y las Residencias demostraban la importancia que el “nuevo mundo” tenía para España. UNIDAD 3 EL DESCUBRIMIENTO DE AMÉRICA Y EL DERECHO INDIANO
  • 8.
    Sistema de Educacióna Distancia 48 MAPA CONCEPTUAL OBJETIVOS GENERALES  Definir las características del Derecho Indiano como un ordenamiento jurídico especial que se utilizó para resolver los problemas de distinto orden que se presentaron en América.  Analizar el papel e importancia de las Visitas como una de las instituciones más importantes del Derecho Indiano.  Legislativas  Consejo de Indias  Correspondencia de los Visitadores  Literatura Jurídica Las Visitas son son se clasifican en Específica dirigidas por elegido por dirigidas por Las Los procedimientos normales contra todos los funcionarios para investigar al término de su función, las irregularidades que podían haber cometido elegido por El juez residenciador que son Las Fuentes Los viajes de inspección que realizaban delegados del poder central en los territorios americanos. General El Concejo de Indias identificados a través de El Visitador El Rey El Derecho Indiano comprende dos instituciones que son:
  • 9.
    Universidad Católica deSantiago de Guayaquil 49 DESARROLLO DEL CONTENIDO ESTARELLAS, CARLOS; ESTARELLAS, E. MANUAL HISTORIA DEL DERECHO. pp.42 – 44. 1. Introducción La importancia del Derecho Indiano se ve reflejada en la institución de las Vistias. Las Visitas eran viajes de inspección que realizaban delegados de los reyes de España en territorios americanos para evitar la corrupción o el incumplimiento de la ley por parte de los funcionarios en América demostrando la importancia que “el nuevo mundo” tenía para España. 2. Objetivos específicos  Analizar la administración del Imperio español en América.  Identificar la estructura del ordenamiento jurídico especial para resolver los problemas de distinto orden que se presentaron en América.  Analizar Las Visitas como institución del Derecho Indiano.  Diferencias entre “Las Visitas” y “Las Residencias”.  Explicar la estructura jurídica de estas instituciones. 3. Desarrollo del tema  El Derecho Indiano Los Reyes Católicos consideraron que en América se podrían aplicar las mismas leyes del reino de Castilla. Sin embargo los problemas que se daban en “las nuevas tierras” obligaron a crear una legislación particular: El Derecho Indiano. El Derecho Indiano (su nombre se debe a que estas tierras eran conocidas como las Indias) es el que prepara y realiza la formación de los pueblos hispanoamericanos. En estas leyes se encuentra la génesis del Derecho Público Americano. Los organismos Judiciales fueron en España: El Consejo de Indias, La Casa de Contratación y la Junta de Guerra de Indias. En América: Las Audiencias y la Junta Superior de Real Hacienda. TEMA 10 ANTECEDENTES HISTÓRICOS DE LA “VISITAS”
  • 10.
    Sistema de Educacióna Distancia 50  Antecedentes históricos de las “Visitas”. En este tema es importante mencionar que los Grandes Reinos e Imperios desde la antigüedad necesitaron la existencia de funcionarios que recorrieran las regiones apartadas del país, para impedir que se produjeran intentos separatistas o mal gobierno. Estos delegados informaban directamente al Monarca de la conducta de los gobernantes para que tomaran las medidas correctivas del caso. El primer antecedente históricamente conocido lo tenemos en el Imperio Medo- Persa, organización estatal de gran tamaño y en la cual el “Gran Rey” o “Rey de Reyes” tenía representantes en las distintas Satrapías o provincias, que eran visitadas para informarle las conductas de los Sátrapas o Gobernadores. Tales delegados recibían el nombre de “Ojos y Oídos del Rey”. También se encuentran funcionarios similares en el antiguo Egipto y en la China Imperial. El Imperio Español en América se caracterizó por su enormidad y lejanía del poder central, poder encarnado en la persona del Monarca, descendiente de los Reyes Católicos, a los cuales el Papado les había dado la misión de evangelizar a los “Naturales” del Nuevo Mundo. Por consecuencia lógica tenía que aparecer la Institución de la “Visita” y su reglamentación.  Dificultad para el cabal conocimiento de la institución de las Visitas. Si revisamos la forma en que funcionaron las “Visitas” en América encontraremos algunos datos contradictorios, así como también la dificultad para establecer la cantidad de las que se hicieron, las facultades de las que estaban investidos los funcionarios, la forma cómo se los elegía y el procedimiento en la “Visita” misma. El motivo de la dificultad se encuentra centrado en las siguientes causas: La bibliografía existente sobre este tema es sumamente escasa, y, solo a partir de los años 40 es que comienzan a aparecer trabajos relacionados sobre el tema.  Fuentes para el estudio de las Visitas. Legislativas: a) La correspondencia de los “Visitadores”. b) La literatura Jurídica. c) La fuente más importante para el estudio de la Institución la constituye los expedientes remitidos por los “Visitadores” al Consejo de Indias. Las referencias, todavía no debidamente aclaradas, que traen ciertos documentos sobre las “Visitas” así como que las mismas no se realizaron siempre de manera uniforme, han dado como consecuencia que el concepto se vea en muchas ocasiones confundido con el de residencia.
  • 11.
    Universidad Católica deSantiago de Guayaquil 51  Diferencias entre Visitas y Residencias. 1) El “Visitador” era designado cuando se recibían muchas quejas o “representaciones” de moradores del Virreinato, la Capitanía General o la Audiencia sobre la conducta de los funcionarios en ejercicio, conducta que el Consejo de Indias estimaba debía ser investigada; mientras que la Residencia era un procedimiento normal al que se sometía a todos los funcionarios al término de su mandato para que respondieran de sus actuaciones. 2) La Visita era designada por el Consejo de Indias previa consulta al Rey. La Residencia la hacía de oficio el Consejo de Indias, es decir, no necesitaba consultar al Rey. 3) Las Facultades del “Visitador” eran mucho mayores que las del “Residenciador”. 4) El “Visitador”, pese a que continuamente se hicieron tales nombramientos, era un funcionario de excepción; mientras que el “Residenciador” era un funcionario nombrado comúnmente, cada vez que otro funcionario terminaba su misión.  Clases de Visitas. Tratando de enfocar lo más didácticamente el tema nos referimos a las visitas propiamente dichas, las mismas que admiten ser divididas en Visitas General y Específicas.  Selección del Visitador. Generalmente se nombraba al visitador cuando se tenía noticias por parte del Consejo de Indias de abusos y excesos graves y generalizados. En teoría el nombramiento lo hacía el Monarca, cosa que ocurrió con Carlos y Felipe II, grandes administradores, pero a partir de Felipe III lo hace el Consejo de Indias con anuencia del Monarca, anuencia que en muchas ocasiones era mero formulismo.  Poderes del Visitador. El Visitador recibía normalmente un poder general para la visita en forma de Real Provisión. A este poder general usualmente se le agregaba una serie de comisiones en Reales Cédulas.  Acompañantes. Siendo el Visitador un hombre de mucho valor y que tenía ante sí muchas obligaciones que cumplir se le daba como acompañantes o subordinados un escribano, un alguacil y varios contadores. En el Libro Texto se profundiza el tema tratado.
  • 12.
    Sistema de Educacióna Distancia 52 4. Orientaciones específicas para el estudio Para poder estudiar el tema 9, es necesario tener en cuenta las siguientes sugerencias:  Estudie la materia en un lugar donde pueda mantener la concentración absoluta.  Haga una agenda de la semana, donde incluya por lo menos una hora diaria de estudio lo que le servirá para poder conocer la Institución de las Visitas.  Es importante para entender este tema que complemente su estudio el texto básico donde se analiza con mayor profundidad la institución de las Visitas. 5. ACTIVIDADES DE APRENDIZAJE AUTOEVALUACIÓN El estudiante debe remitirse a la Autoevaluación que se encuentra en la bibliografía básica, al final de la primera unidad, a fin de que compruebe su avance personal. Se encuentra a continuación de la autoevaluación, en el texto básico. SOLUCIONARIO
  • 13.
    Universidad Católica deSantiago de Guayaquil 53 ESTARELLAS, CARLOS; ESTARELLAS, E. MANUAL HISTORIA DEL DERECHO. P. 51. INTRODUCCIÓN En esta unidad estudiaremos la evolución del Derecho Constitucional Ecuatoriano, a través de las diferentes Constituciones expedidas, tomando en consideración la Constitución de Guayaquil, la constitución de 1830, las Constituciones Liberales y la Constitución de 1945. Indicaremos los principales aspectos de las indicadas Constituciones que son: 1. Constitución de Guayaquil La Constitución de Guayaquil, es el resultado de la Revolución del 9 de Octubre de 1820, que va a culminar en la Batalla del Pichincha el 24 de Mayo de 1922, donde se libera del yugo español todo el territorio de la Real Audiencia de Quito. Dicha Constitución establece un Poder Ejecutivo y propone un Estado Libre e Independiente. 2. Constitución de 1830 Esta constitución fue elaborada por la Primera Asamblea Constituyente, que se reunió en la ciudad de Riobamba, en el convento de Santo Domingo y que señala con claridad los rasgos de la fisonomía definitiva del Ecuador. 3. Constituciones Liberales Son el resultado de la Revolución Liberal en el Ecuador. Cambian el Sistema Jurídico Ecuatoriano, introduciendo nuevas instituciones. Estas constituciones implementan nuevos conceptos que, adelantándose a otros países, siguiendo el ejemplo del Ecuador, las implementan. 4. Constitución de 1945 Es la Constitución redactada, de todas las que ha tenido el país, de elevado estilo, moderna y a tono con su época. UNIDAD 4 HISTORIA DEL DERECHO ECUATORIANO
  • 14.
    Sistema de Educacióna Distancia 54 MAPA CONCEPTUAL OBJETIVOS GENERALES  Analizar el papel importante de la Constitución de Guayaquil como antecedente de la Constitución de 1830 sus aportes son LA CONSTITUCIÓN DE 1830 Es la base del derecho constitucional ecuatoriano a través de LA CONSTITUCIÓN DE 1945 Es la que logra grandes avances en el reconocimiento de los derechos y las garantías sociales. a través de CONSTITUCIONES HISTORIA DEL DERECHO ECUATORIANO Analiza la evolución de la legislación de nuestro país. La Constitución de Guayaquil que establece un poder ejecutivo que abarca los principales problemas de la sociedad guayaquileña de ese entonces. LAS CONSTITUCIONES LIBERALES Son las cartas supremas del Estado donde se consagra la ideología liberal. a través Separación entre la Iglesia y el Estado Principios de legalísimo Libertad de expresión La libertad de conciencia Gobierno alternativo, democrático y responsable Separación de funciones o poderes del Estado Carácter presidencialista de gobierno Sistema republicano de gobierno Sentido de unidad Proclama Iberoamericanismo Comisión Legislativa Permanente Tribunal Supremo Electoral Tribunal de Garantías Constitucionales Principio de igualdad de los derechos de los cónyuges Reconoce el Quichua, los idiomas aborígenes
  • 15.
    Universidad Católica deSantiago de Guayaquil 55 DESARROLLO DEL CONTENIDO ESTARELLAS, CARLOS; ESTARELLAS, E. MANUAL HISTORIA DEL DERECHO. p. 53. 1. Introducción La Constitución de Guayaquil es el resultado de la revolución del 9 de Octubre de 1820, que va a culminar en la Batalla de Pichincha el 24 de Mayo de 1822 donde se libera del yugo español, todo el territorio de la Real Audiencia de Quito, para posteriormente incorporarnos a la Gran Colombia y sólo alcanzar la verdadera independencia en 1830 cuando nos convertimos en el Estado del Ecuador. 2. Objetivos específicos  Analizar el papel importante de la Constitución de Guayaquil como antecedente a la Constitución de 1830. 3. Desarrollo del tema Esta Constitución fue creada luego de la gesta del 9 de Octubre de 1820 y que lamentablemente muchos historiadores se “olvidan” de mencionar. José Joaquín de Olmedo se convierte en la figura de la Revolución siendo escogido como Jefe Civil, inspirando con sus ideas la Constitución y la Ley de Elecciones. Olmedo fue, a no dudarlo, el más sobresaliente ecuatoriano de la época, por lo que se lo considera el primer Presidente ecuatoriano. El Congreso Nacional lo ha reconocido colocando su retrato en la galería de los Presidentes. La Constitución que comentamos es muy sintética, sólo tiene 20 artículos. Lo más notable de este documento consiste en que se fijan los ideales fundamentales de la Provincia de Guayaquil: Se propone un Estado libre e Independiente manteniendo la religión católica y escogiendo la forma de gobierno autónomo. Finalmente, cabe señalar que la Provincia libre de Guayaquil tenía como territorios a los que corresponde en la actualidad a Guayas, Manabí, El Oro, Los Ríos y parte de Bolívar. En la unidad 4 del libro texto se desglosa y analiza con mayor profundidad este tema. TEMA 11 LA CONSTITUCIÓN DE GUAYAQUIL
  • 16.
    Sistema de Educacióna Distancia 56 4. Orientaciones específicas para el estudio Para poder estudiar el tema 11 es necesario tener en cuenta las siguientes sugerencias:  Estudie la materia en un lugar donde pueda mantener la concentración absoluta.  Haga una agenda de la semana, donde incluya por lo menos una hora diaria de estudio lo que le servirá para poder conocer la Constitución de Guayaquil.  Es importante para complementar este tema que revise el texto básico, donde se analizan con mayor profundidad la Constitución de Guayaquil. Por otro lado puede ayudarse en el estudio consultando un libro de historia del Ecuador. 5. ACTIVIDADES DE APRENDIZAJE AUTOEVALUACIÓN El estudiante debe remitirse a la Autoevaluación que se encuentra en la bibliografía básica, al final de la primera unidad, a fin de que compruebe su avance personal. Se encuentra a continuación de la autoevaluación, en el texto básico. SOLUCIONARIO
  • 17.
    Universidad Católica deSantiago de Guayaquil 57 ESTARELLAS, CARLOS; ESTARELLAS, E. MANUAL HISTORIA DEL DERECHO. pp.54 – 56. 1. Introducción La Constitución de 1830 fue elaborada por la primera Asamblea Constituyente que se reunió en la ciudad de Riobamba en el convento de Santo Domingo. El aporte de esta Constitución consiste en señalar con claridad los rasgos de la fisonomía definitiva del Ecuador. 2. Objetivos específicos  Analizar el papel importante de la Constitución de 1830 y sus principales aportes al Derecho Constitucional Ecuatoriano. 3. Desarrollo del tema El 14 de Agosto de 1830 se reunieron en la ciudad de Riobamba los asambleístas, que redactarían la primera constitución del Ecuador. Los aportes que tiene la primera Constitución son de gran trascendencia para nuestro país. Señalaremos los más importantes: a. El sentido de unidad.- b. El sistema republicano de gobierno.- c. El carácter presidencialista de gobierno.- La separación de funciones o poderes del Estado. d. El gobierno alternativo, democrático y responsable. Para profundizar el estudio de la Constitución de 1830 es necesario consultar con el libro texto. TEMA 12 LA CONSTITUCIÓN DE 1830
  • 18.
    Sistema de Educacióna Distancia 58 4. Orientaciones específicas para el estudio Para poder estudiar el tema 12 es necesario tener las siguientes sugerencias:  Estudie la materia en un lugar donde pueda mantener la concentración absoluta.  Haga una agenda de la semana, donde incluya por lo menos una hora diaria de estudio lo que le servirá para poder conocer la Constitución de 1830.  Es importante para entender este tema que consulte en el texto básico donde podrá profundizar el estudio y además encontrará el texto de la Constitución de 1830. 5. ACTIVIDADES DE APRENDIZAJE AUTOEVALUACIÓN El estudiante debe remitirse a la Autoevaluación que se encuentra en la bibliografía básica, al final de la primera unidad, a fin de que compruebe su avance personal. Se encuentra a continuación de la autoevaluación, en el texto básico. SOLUCIONARIO
  • 19.
    Universidad Católica deSantiago de Guayaquil 59 ESTARELLAS, CARLOS; ESTARELLAS, E. MANUAL HISTORIA DEL DERECHO. p. 57. 1. Introducción Las Constituciones liberales son el resultado de la revolución liberal en el Ecuador. Cambian el sistema jurídico ecuatoriano introduciendo nuevas instituciones. Además es importante mencionar que se adelantan a otros países, que posteriormente siguiendo con el ejemplo del Ecuador, las implementarán. 2. Objetivos específicos  Comprender los principios de la ideología liberal.  Conocer el Laicismo en el país.  Entender el concepto del liberalismo económico. 3. Desarrollo del tema Las Constituciones liberales, en especial la Constitución de 1906, consagran los principios de la ideología liberal:  Libertad de Conciencia  Libertad de Expresión  Principio de Legalísmo  Separación entre la Iglesia y el Estado Para profundizar el estudio de las constituciones liberales es necesario consultar con el libro texto. 4. Orientaciones específicas para el estudio Para poder estudiar el Tema 13 es necesario tener las siguientes sugerencias:  Estudie la materia en un lugar donde pueda mantener la concentración absoluta.  Haga una agenda de la semana donde incluye por lo menos una hora diaria de estudio lo que le servirá para poder conocer las constituciones liberales.  Es importante para entender este tema que consulte en el texto básico donde podrá profundizar el estudio. Así mismo deberá revisar la Constitución de 1906. TEMA 13 LAS CONSTITUCIONES LIBERALES
  • 20.
    Sistema de Educacióna Distancia 60 5. ACTIVIDADES DE APRENDIZAJE AUTOEVALUACIÓN El estudiante debe remitirse a la Autoevaluación que se encuentra en la bibliografía básica, al final de la primera unidad, a fin de que compruebe su avance personal. Se encuentra a continuación de la autoevaluación, en el texto básico. SOLUCIONARIO
  • 21.
    Universidad Católica deSantiago de Guayaquil 61 ESTARELLAS, CARLOS; ESTARELLAS, E. MANUAL HISTORIA DEL DERECHO. p. 58. 1. Introducción Es la Constitución mejor redactada de todas las que ha tenido el país, de elevado estilo, moderna y a tono con su época. 2. Objetivos específicos  Comprender lo fundamental que es para el Ecuador la creación del Tribunal Supremo Electoral y la Comisión Legislativa Permanente.  Conocer la importancia del Quichua y los idiomas aborígenes como elementos de cultura nacional.  Entender la trascendencia del Iberoamericanismo 3. Desarrollo del tema Una de las características principales de esta Constitución es el avance que logró para nuestro país en el reconocimiento de derechos y garantías sociales. Formuló el principio de la igualdad de los cónyuges y de toda clase de hijos. Estableció un congreso unicameral (una sola cámara), a diferencia de los anteriores que eran bicamerales (diputados y senadores). Por otro lado creó varios mecanismos dirigidos al control de las leyes. Para profundizar el estudio de la Constitución de 1945 es necesario consultar con el libro texto. 4. Orientaciones específicas para el estudio Para poder estudiar el Tema 14 es necesario tener las siguientes sugerencias:  Estudie la materia en un lugar donde pueda mantener la concentración absoluta.  Haga una agenda de la semana donde incluye por lo menos una hora diaria de estudio, lo que le servirá para poder conocer las constituciones liberales.  Es importante para entender este tema que consulte en el texto básico donde podrá profundizar el estudio. Así mismo deberá revisar la Constitución de 1945. TEMA 14 LA CONSTITUCIÓN DE 1945
  • 22.
    Sistema de Educacióna Distancia 62 5. ACTIVIDADES DE APRENDIZAJE AUTOEVALUACIÓN El estudiante debe remitirse a la Autoevaluación que se encuentra en la bibliografía básica, al final de la primera unidad, a fin de que compruebe su avance personal. Se encuentra a continuación de la autoevaluación, en el texto básico. SOLUCIONARIO