UNIVERSIDAD ANDINA DEL CUSCO
FACULTAD DE INGENIERÍA
PROGRAMA ACADÉMICO PROFESIONAL DE INGENIERÍA CIVIL
DISEÑO ESTRUCTURAL DE EDIFICACIONES:
“DISEÑO ESTRUCTURAL DE UNA EDIFICACIÓN (HOTEL) DE (6) NIVELES Y
UN SEMISÓTANO EN LA CIUDAD DEL CUSCO”
DOCENTE: ING. KARIM SOVERO ANCHETA.
ALUMNOS: EDDY CHACÓN FLÓREZ.
CARLOS ENRIQUE GOBEA.
NILTON GAMARRA COTOHUANCA.
CUSCO ABRIL DEL 2015
INTRODUCCIÓN
El objetivo del presente trabajo es realizar el análisis estructural de un edificio y
diseñar los principales elementos estructurales; así de esta manera recordar,
organizar y complementar, bajo una forma de aplicación práctica, los conocimientos
adquiridos en los diversos cursos básicos de la carrera.
El edificiode concreto armado es un sistema Aporticado de columnas y vigas; tiene
seis pisos y un semisótano, y está ubicado en la Av. Garcilazo Nº 502, distrito de
Wanchaq, ciudad de Cusco.
El área del edificio es de 262.5 m2 (7.5m. x 35m. ). En primer lugar se partió de una
distribución arquitectónica ya definida, que cumple con algunos requisitos
importantes, tales como simetría, máximo aprovechamiento de la planta,
ventilación, iluminación, etc. El primer nivel y el semisótano tienen distribuciones
diferentes, mientras todos los demás niveles tienen una planta típica.
Todos los niveles, además, están comunicados por una escalera y mediante un
sistema de ascensores que van desde el primer piso hasta la azotea; sin embargo
en esta primera parte no tomaremos en cuenta los ascensores.
Luego se procedió a estructurar y predimensionar los elementos estructurales,
definiéndolos tanto en ubicación como en dimensión, de acuerdo a la norma E.060
(CONCRETO ARMADO), de tal manera de lograr una estructura estética, segura,
funcional y económica. Así se determinó el modelo estructural del proyecto
(Aporticado)
Después se realizó el Metrado de cargas de los distintos elementos estructurales y
no estructurales, de acuerdo a la Norma Técnica de Edificación E0.20 (CARGAS).
Teniendo entonces el modelo estructural y el Metrado de cargas se procedió a
realizar el análisis sísmico de la Estructura del Edificio, donde previamente se
analizó si la estructura era irregular o regular, de acuerdo a la norma E.030(DISEÑO
SISMORESISTENTE); logrando luego distribuir las fuerzas laterales de sismo en
cada entrepiso.
ÍNDICE
1 CAPITULO I..................................................................................................................5
1.1 OBJETIVOS ...........................................................................................................5
1.1.1 OBJETIVO GENERAL ..................................................................................5
1.1.2 OBJETIVOS ESPECÍFICOS ........................................................................5
1.2 ENTORNO URBANO ...........................................................................................5
1.3 CONSIDERACIONES GENERALES PARA EL DISEÑO ..............................5
1.3.1 DEL SUELO:...................................................................................................5
1.3.2 DE LOS MATERIALES: ................................................................................6
1.4 NORMATIVIDAD ...................................................................................................6
1.5 ARQUITECTURA ..................................................................................................6
2 CAPITULO II...............................................................................................................11
2.1 ESTRUCTURACIÓN ..........................................................................................11
2.2 PRE DIMENSIONAMIENTO .............................................................................12
2.2.1 PRE DIMENSIONAMIENTO DE LOSA....................................................12
2.2.2 PRE DIMENSIONAMIENTO DE COLUMNAS........................................15
2.2.3 PRE DIMENSIONAMIENTO DE VIGAS ..................................................22
3 CAPITULO III..............................................................................................................27
3.1 METRADO DE CARGAS ...................................................................................27
3.2 VERIFICACIÓN DE LA IRREGULARIDAD DE LA EDIFICACIÓN, SEGÚN
LA NORMA E.030..........................................................................................................31
4 CAPITULO IV .............................................................................................................32
4.1 ANÁLISIS SÍSMICO ESTÁTICO ......................................................................32
4.1.1 CONSIDERACIONES PARA EL ANÁLISIS:...........................................32
4.1.2 REPARTIMIENTO DE LA CORTANTE BASAL POR NIVELES..........34
5 COMENTARIOS Y CONCLUSIONES....................................................................61
6 REFERENCIAS BIBLIOGRÁFICAS .......................................................................61
1 CAPITULO I
1.1 OBJETIVOS
1.1.1 OBJETIVO GENERAL
La presente trabajo tiene como objetivo el diseño estructural de un edificio y diseñar
sus principales elementos estructurales, el cual será usado como hotel, consta un
semisótano y seis pisos, ubicado en Wanchaq Cusco.
1.1.2 OBJETIVOS ESPECÍFICOS
 Realizar el Configuración Estructural del Edificio
 Realizar el Pre dimensionamiento de cada uno de los elementos
Estructurales
 Realizar el Metrado de Cargas de la Edificación, por el momento solo
consideraremos las cargas Estáticas.
 Realizar el Análisis Sísmico Estático de la Estructura
 Realizar el diseño de cada uno de los elementos Estructurales
 Realizar el modelamiento de la Estructura en un software, en este caso se
utilizara ETABS.
1.2 ENTORNO URBANO
El edificio se ubicará en la Av. Garcilazo Nº 502, distrito de Wanchaq, Provincia y
Departamento del Cusco, a pocas cuadras del Centro de la Ciudad, donde se
encuentran centros comerciales destinados principalmente al Servicio
Turístico.(Hoteles, Centros Artesanales, Bar y Restaurants, etc)
1.3 CONSIDERACIONES GENERALES PARA EL DISEÑO
1.3.1 DEL SUELO:
Los parámetros de suelo que asumimos para el Diseño son:
 Suelo tipo II=1.2 y un Tp=0.6 s.
 Aceleración del suelo Z=0.3
 Capacidad portante admisible de 2.0 kg/cm2
1.3.2 DE LOS MATERIALES:
Concreto:
 Resistencia nominal a compresión = f´c = 210 kg/cm2
 Módulo de elasticidad = Ec = 200,000 kg/cm2 = 2´000,000 ton/m2
 Módulo de Poisson = ‫ט‬ = 0.15
Acero de Refuerzo:
 Corrugado, grado 60, esfuerzo de fluencia ( fy )= 4200 kg/cm2 = 4.2 ton/cm2
 Módulo de elasticidad = Es = 2´000,000 kg/cm2
 Deformación al inicio de la fluencia =0.0021
1.4 NORMATIVIDAD
En todo el proceso de análisis y diseño se utilizarán las normas comprendidas en el
Reglamento Nacional de Edificaciones (R.N.E.):
 Metrado de cargas Norma E.020
 Diseño Sismoresistente Norma E.030
 Concreto Armado Norma E.060
1.5 ARQUITECTURA
El edificio destinado para prestar servicios de hotelería consta de 6 niveles y un
semisótano con seis habitaciones en los niveles 2, 3, 4, 5, 6; el primer nivel y el
semisótano son usados principalmente como restaurantes.
Cada habitación cuenta con un baño, La edificación fue proyectada sin ascensores,
cuenta con una escalera principal ubicada en la zona central que conecta los
diferentes niveles.
El primer nivel y el semisótano tienen distribuciones diferentes, mientras todos los
demás niveles tienen una planta típica, tal como se podrá apreciar en los planos
vista en planta más adelante.
El área del edificio es de 262.5 m2, (7.5m. x 35m.)
Elevación del Edificio
Vista en Planta 1er Piso
Vista en Planta Piso Típico (2do al 6to)
Vista en Planta Semisótano
2 CAPITULO II
2.1 ESTRUCTURACIÓN
El proceso de estructuración consiste en definir la ubicación y características de los
diferentes elementos estructurales (losas, vigas, muros, columnas), de tal forma que
se logre dotar a la estructura de buena rigidez, además resulte fácil y confiable
reproducir el comportamiento real de la estructura.
En nuestro caso la edificación está conformada predominantemente por elementos
de concreto armado, conformado por pórticos de Vigas y columnas.
Las losas de piso consisten en una losa aligerada unidireccional de 0.25 m de
espesor en todos los niveles, la elección del sentido del aligerado fue priorizando
la menor luz libre y la continuidad de los paños.
Se han diseñado tres tipos de columnas, las cuales tienen las siguientes secciones
y son:
C-1 : 0.30m X 0.50m
C-2 : 0.30m X 0.60m
C-3 : 0.30m X 0.40m
De la misma forma se han diseñado 3 tipos de vigas, las cuales tienen las siguientes
secciones y son:
V-1 : 0.25m X 0.25m
V-2 : 0.25m X 0.50m
V-3 : 0.25m X 0.35m
2.2 PRE DIMENSIONAMIENTO
Mediante el pre dimensionamiento se brindará las dimensiones mínimas a las
secciones de los elementos estructurales para que tengan una buena respuesta
ante solicitaciones por carga de gravedad y de sismo.
Para el pre dimensionamiento, en nuestro caso se uso como referencia la Norma
de Concreto Armado Norma E.060 y el libro “Estructuración y Edificaciones de Cº
Aº” de Antonio Blanco Blasco
2.2.1 PRE DIMENSIONAMIENTO DE LOSA
Se eligió usar losas aligeradas porque son las más usadas en el Perú.
Se ha techado en la dirección de menor longitud, con la finalidad de evitar que los
esfuerzos por flexión y cortante y las deformaciones sean de gran magnitud.
Para su pre dimensionamiento se utilizaron 2 fuentes:
A. Según el reglamento peruano de concreto armado ( norma E. 060 ) En losas
aligeradas continuas conformadas por viguetas de 10 cm de ancho, bloques
de ladrillo de 30 cm de ancho y losa superior de 5 cm,, con sobrecargas
menores a 300 kg/m2 y luces menores de 7.5 m, podrá dejar de verificarse
las deflexiones cuando se cumpla que:
h ≥ L / 25
En nuestro caso tenemos una máxima luz libre de 5.53m, entonces
5.53/25 = 0.2212cm
Por consiguiente el peralte de losa aligerada ( e ) = 25cm
0.25 ≥ 0.22(No se verificara deflexión)
B. Según Antonio Blanco Blasco(Estructuración y edificaciones de C°A°) el
peralte de las losas aligeradas podrá ser dimensionado considerando los
siguientes criterios :
En nuestro caso tenemos una máxima luz libre de 5.53m
Por consiguiente de acuerdo a tabla, el peralte de losa aligerada ( e ) = 25cm
Detalle de Losa aligerada
h = 17 cm. Luces menores a 4 m.
h = 20 cm. Luces comprendidas entre 4 y 5.5 m.
h = 25 cm. Luces comprendidas entre 5 y 6.5 m.
h = 30 cm. Luces comprendidas entre 6 y 7.5 m.
Dirección del Aligerado 1er/2do/3er/4to/5to/6to Nivel
2.2.2 PRE DIMENSIONAMIENTO DE COLUMNAS
Las columnas son elementos estructurales encargados de recibir todas las cargas
de los niveles y transmitirlos a la cimentación.
Debido a esto se siguió las recomendaciones de la norma ACI 318 que en su
capítulo 12.6 indica las consideraciones y fórmulas para hallar el área mínima de
las columnas (Ac), según la posición en la que se halle la columna, ya sea central
lateral y esquinera, también se toma la sugerencia que las columnas principales
deben tener un espesor mínimo de 0.25m en cualquier dirección.
Columnas Centrales Columnas laterales Columnas Esquineras
Siendo P (servicio) = Área tributaria x #pisos x 1000 Kg/m2
A. COLUMNAS INTERIORES-CENTRALES (C1):
 Considerando una carga 1 Tn/m2
 La más crítica está en la intersección de los ejes H-2, entonces:
Área tributaria = 11.57 m2
Carga por piso (1 nivel) = 1000 kg/m2
Nro. de pisos = 6
Peso sobre col. (p) = 69420.00 kg 69.42 tn
Área Mínima de la Columna: b x h = K X P / (n x f´c)
 Reemplazando valores:
K = 1.1
P = 69420.00 Kg
n = 0.3
f´c = 210 kg/m2
b x h = 1212.00 cm2
 Dimensión de columna adoptada:
b = 30 cm
h= 50 cm
Área=1500cm2 > 1212cm2 (ok)
Detalle de la columna c-1
B. COLUMNAS EXTREMAS-LATERALES C-2
 Considerando una carga 1 Tn/m2
 La más crítica está en la intersección de los ejes 3-D, entonces:
Área tributaria = 11.76 m2
Carga por piso (1 nivel) = 1000 kg/m2
Nro. de pisos = 6
Peso sobre col. (p) = 70560.00 kg 70.56 tn
Área Mínima de la Columna: b x h = K X P / (n x f´c)
 Reemplazando valores:
K = 1.25
P = 70560.00 Kg
n = 0.25
f´c = 210 kg/m2
b x h = 1680.00 cm2
 Dimensión de columna adoptada:
b = 30 cm
h= 60 cm
Área=1800cm2 > 1680cm2 (ok)
Detalle de la columna c-2
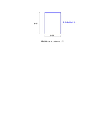
C. COLUMNA DE ESQUINAC-3
 Considerando una carga 1 Tn/m2
 La más crítica está en la intersección de los ejes 3-J, entonces:
Área tributaria = 5.14 m2
Carga por piso (1 nivel) = 1000 kg/m2
Nro. de pisos = 6
Peso sobre col. (p) = 30840.00 kg 30.84 tn
Área Mínima de la Columna: b x h = K X P / (n x f´c)
 Reemplazando valores:
K = 1.5
P = 70560.00 Kg
n = 0.25
f´c = 210 kg/m2
b x h = 1101.43 cm2
 Dimensión de columna adoptada:
b = 30 cm
h= 40 cm
Área=1200cm2 > 1101.43cm2 (ok)
Detalle de la columna c-3
Áreas Tributarias de columna criticas
Plano de distribución de columnas C-1, C-2, C-3
2.2.3 PRE DIMENSIONAMIENTO DE VIGAS
Las vigas generalmente se dimensionan considerando la luz libre, ya que el peralte
está en orden de 1/10 a 1/12 la luz libre.
Según Antonio Blanco Blasco, el peralte (h) y ancho (b) mínimo de la viga se
obtendrá de las siguientes relaciones:
Peralte: Ancho:
h = L / 10 b = 0.3 h
a a
h = L / 12 b = 0.5 h
Además la norma peruana de concreto armado indica que las vigas deben de tener
un ancho mínimo de 0.25 m. para el caso de que estas formen parte de pórticos o
elementos sismos resistentes de estructuras de concreto armado.
bmin = 0.25m.
Además se deberá verificar que la relación ancho peralte sea mayor que 0.3
0.3h<b<0.5h
De otro lado la Norma Peruana E-060 de Concreto Armado también nos indica que
no será necesaria la verificación de deflexiones si se cumple con el siguiente criterio:
h ≥ ln / 16
A. VIGAS V – 1:
Ubicación
(Ejes)
nº
elementos
luz
h1 h2
h final
b
b final
(L/10) (L/12) 0.30h 0.50h
1 y 2 10 2.1 0.21 0.18 0.25 0.08 0.13 0.25
 Se debe cumplir
h ≥ ln / 16
h ≥ 2.21/ 16
0.25 ≥ 0.14 (no será necesaria la verificación de deflexiones)
Detalle de V - 1
B. VIG
AS V - 2
Ubicación (Ejes)
nº
elemento
s
Luz
h1 h2
h final
b
b final
(L/10) (L/12) 0.30h 0.50h
D y E 3 5.5 0.55 0.46 0.50 0.15 0.25 0.25
2 y 3 10 5.03 0.50 0.42 0.50 0.15 0.25 0.25
 Se debe cumplir
h ≥ ln / 16
h ≥ 5.5/ 16
0.50 ≥ 0.34 (no será necesaria la verificación de deflexiones)
Detalle de V - 1
Detalle de V - 1
Detalle de V - 2
C. VIGAS V - 3
Para uniformizar el diseño se opta por utilizar un peralte h=0.35 y una base b=0.25
Ubicación (Ejes)
nº
elementos
luz
h1 h2
h final
b
b final
(L/10) (L/12) 0.30h 0.50h
A y B 3 3.05 0.31 0.25 0.30 0.09 0.15 0.25
B y C 3 3.58 0.36 0.30 0.35 0.11 0.18 0.25
C y D 3 3.02 0.30 0.25 0.30 0.09 0.15 0.25
E y F 3 2.88 0.29 0.24 0.25 0.08 0.13 0.25
F y G 3 3.55 0.36 0.30 0.35 0.11 0.18 0.25
G y H 3 3 0.30 0.25 0.30 0.09 0.15 0.25
H y I 3 3.15 0.32 0.26 0.30 0.09 0.15 0.25
I y J 3 3.23 0.32 0.27 0.30 0.09 0.15 0.25
 Se debe cumplir
h ≥ ln / 16
h ≥ 3.58/ 16
0.35 ≥ 0.22 (no será necesaria la verificación de deflexiones)
Detalle de V - 3
Plano de distribución de vigas V-1, V-2, V-3
3 CAPITULO III
3.1 METRADO DE CARGAS
El Metrado de cargas consiste en estimar las cargas verticales actuantes sobre los
distintos elementos estructurales que componen el edificio. En esta edificación se
presentan dos tipos de cargas : estáticas y dinámicas , siendo las estáticas , las
cargas permanentes o muertas las cuales actúan durante la vida útil de la
estructura; y las cargas vivas o sobrecargas son cargas gravitacionales de carácter
móvil que pueden actuar en diferentes tiempos en los ambientes de la estructura;
las cargas dinámicas son aquellas cargas cuya magnitud, dirección y sentido
varían rápidamente con el tiempo , por lo que originan esfuerzos y desplazamientos
sobre la estructura.
Cabe señalar que para esta parte solo se considerara las cargas estáticas
establecidas en la norma E.020.
Todos los elementos de la estructura deben ser diseñados para resistir las cargas
que se le apliquen en ellos como consecuencia de su uso previsto, para ello la
Norma Peruana E-020 de Cargas establece los valores mínimos para ser usados
en este propósito.
Estos valores están divididos en dos tipos de cargas, carga muerta (CM), y carga
viva (CV).
Para hallar la carga muerta utilizaremos los siguientes pesos unitarios:
 Concreto armado : 2400 kg/m
 Albañilería
(pandereta) : 1350 kg/m
(Macizo) : 1800 kg/m
 Aligerado ( 1 dirección) h = 25 cm : 350 kg/m
 Acabado e = 5 cm : 100 kg/m
Luego los pesos de carga viva o sobrecarga expresados en unidad de superficie:
 Vivienda : 200 kg/m2
 Corredores y escaleras : 200 kg/m2
 Techos : 100 Kg./m2
Para el Análisis Sísmico Estático, se hizo un Metrado de cargas para cada nivel,
para las cuales se consideró la media altura del piso inferior como del superior para
todos los niveles; quiere decir que el peso se calcula piso por piso, computando el
peso del entrepiso (losa), vigas, la mitad de la longitud de los tramos de columnas
sobre y bajo cada entrepiso para ello se tuvo en cuenta que la altura de cada nivel
típico de la edificación es de 2.35m., mientras que la altura del primer nivel más la
altura del semisótano es 2.46m.
Elementos a Considerar en el Peso del Edificio
De esta manera se determinó el peso (P) de cada piso, construyendo las siguientes
tablas de Metrado de cargas para cada nivel:
Elemento N° b h L H e Pe P
(m) (m) (m) (m) (m) (kg/m3-kg/m2) (kg)
Columnas C1 12 0.3 0.6 1.9 2400 9,850 Kg
Columnas C2 19 0.3 0.5 1.9 2400 12,996 Kg
Columnas C3 4 0.3 0.4 1.9 2400 2,189 Kg
Vigas V3 (25x35) 1 0.25 0.35 86.34 2400 18,131 Kg
Vigas V1 (25x25) 11 0.25 0.25 26.62 2400 43,923 Kg
Vigas V2 (25x50) 1 0.25 0.5 73.44 2400 22,032 Kg
Losa 1 7.5 35 350 91,875 Kg
Tabiquería 1 0.15 1.9 138.0287 1350 53,107 Kg
Piso terminado 1 7.5 35 100 26,250 Kg
s/c 1 7.5 35 0.25 200 13,125 Kg
293,477 Kg
NIVEL 0
Elemento N° b h L H e Pe P
(m) (m) (m) (m) (m) (kg/m3-kg/m2) (kg)
Columnas C1 12 0.3 0.6 2.73 2400 14,152 Kg
Columnas C2 19 0.3 0.5 2.73 2400 18,673 Kg
Columnas C3 4 0.3 0.4 2.73 2400 3,145 Kg
Vigas V3 (25x35) 1 0.25 0.35 86.34 2400 18,131 Kg
Vigas V1 (25x25) 11 0.25 0.25 26.62 2400 43,923 Kg
Vigas V2 (25x50) 1 0.25 0.5 73.44 2400 22,032 Kg
Losa 1 7.5 35 350 91,875 Kg
Tabiquería 1 0.15 2.73 128.0287 1350 70,777 Kg
Piso terminado 1 7.5 35 100 26,250 Kg
s/c 1 7.5 35 0.25 200 13,125 Kg
322,084 Kg
NIVEL 1
Elemento N° b h L H e Pe P
(m) (m) (m) (m) (m) (kg/m3-kg/m2) (kg)
Columnas C1 12 0.3 0.6 2.73 2400 14,152 Kg
Columnas C2 19 0.3 0.5 2.73 2400 18,673 Kg
Columnas C3 4 0.3 0.4 2.73 2400 3,145 Kg
Vigas V3 (25x35) 1 0.25 0.35 86.34 2400 18,131 Kg
Vigas V1 (25x25) 11 0.25 0.25 26.62 2400 43,923 Kg
Vigas V2 (25x50) 1 0.25 0.5 73.44 2400 22,032 Kg
Losa 1 7.5 35 350 91,875 Kg
Tabiquería 1 0.15 2.73 157.5487 1350 87,097 Kg
Piso terminado 1 7.5 35 100 26,250 Kg
s/c 1 7.5 35 0.25 200 13,125 Kg
338,404 Kg
NIVELES 2, 3, 4 y 5
RESUMEN DE CARGAS POR NIVEL
Nivel n Peso(Ton)
nivel 0 293.477 Ton
nivel 1 322.084 Ton
nivel 2 338.404 Ton
nivel 3 338.404 Ton
nivel 4 338.404 Ton
nivel 5 338.404 Ton
nivel 6 300.19 Ton
Entonces el peso total de la Edificación es:
Elemento N° b h L H e Pe P
(m) (m) (m) (m) (m) (kg/m3-kg/m2) (kg)
Columnas C1 12 0.3 0.6 1.3 2400 6739.2 Kg
Columnas C2 19 0.3 0.5 1.3 2400 8892. Kg
Columnas C3 4 0.3 0.4 1.3 2400 1497.6 Kg
Vigas V3 (25x35) 1 0.25 0.35 86.34 2400 18131.4 Kg
Vigas V1 (25x25) 11 0.25 0.25 26.62 2400 43923. Kg
Vigas V2 (25x50) 1 0.25 0.5 73.44 2400 22032. Kg
Losa 1 7.5 35 350 91875. Kg
Tabiquería 1 0.15 1.3 157.5487 1350 41474.7 Kg
Piso terminado 1 7.5 35 100 26250. Kg
s/c 1 7.5 35 0.25 200 13125. Kg
273,939.90 Kg
NIVEL 6
Elemento N° b h L H e Pe P
(m) (m) (m) (m) (m) (kg/m3-kg/m2) (kg)
TECHO 1 7.5 35 100 26250. Kg
TECHO
P= 293.47ton+322.084ton+338.404ton+338.404ton+338.404ton+300.19ton
P=2269.367 Ton
3.2 VERIFICACIÓN DE LA IRREGULARIDAD DELA EDIFICACIÓN, SEGÚN LA
NORMA E.030
a) Irregularidad de rigidez:
Los elementos verticales resistentes (columnas), son constantes en toda la
elevación; por lo tanto se concluye que la edificación no presenta
irregularidad por rigidez.
b) Irregularidad de masa:
La edificación no presenta irregularidad de masa, puesto que los pisos 2, 3,
4 y 5 tienen el mismo peso (291.712 Tn), y en el primer y último nivel no
existe diferencia del 150% del peso.
c) Irregularidad geométrica vertical:
Las dimensiones en planta de todos los niveles son constantes por lo la
edificación no presenta irregularidad geométrica vertical.
d) Discontinuidad en los sistemas Resistentes:
La estructura no presenta desalineamientos de sus elementos verticales; no
presenta irregularidad por discontinuidad en los sistemas resistentes.
4 CAPITULO IV
4.1 ANÁLISIS SÍSMICO ESTÁTICO
El sismo tiene la característica de producir aceleraciones instantáneas,
aceleraciones que generan grandes fuerzas, y que afectan a los componentes de la
estructura del edificio de modo diferente a la acción de las cargas gravitatorias.
Estas fuerzas sísmicas dependen linealmente de la masa del edificio y se expresan
con la fórmula:
F = M x A , donde:
F = fuerza inducida por la aceleración
A = aceleración producida por el sismo
M = masa del edificio
Por este motivo es necesario conocer el peso del edificio
4.1.1 CONSIDERACIONES PARA EL ANÁLISIS:
Zona sísmica 2 (Cusco)
Suelo s2(suelo Intermedio)
Categoría de la edificación (uso) C (vivienda)
Sistema estructural Aporticado. (sin muros de corte).
Irregularidad Regular
Entonces:
Z 0.3
S 1.2
U 1
Tp 0.6
Ct 35
R 8
hn 18.2 m.
Donde:
 Z: Es el factor de zona.
 U: factor de uso e importancia
 S: Factor de suelo.
 Tp: Periodo que define la plataforma del espectro para cada tipo de suelo.
 R: Coeficiente de reducción de solicitaciones sísmicas.
 Ct: Coeficiente para estimar el periodo predominante de un edificio.
 hn: altura total del edificio.
PROCEDIMIENTO DE CÁLCULO
a) CALCULO DEL PERIODO FUNDAMENTAL DE LA
ESTRUCTURAL (T):
𝑇 =
ℎ𝑛
𝐶𝑡
=
18.2
35
= 0.52seg.
b) CALCULO DEL COEFICIENTE DE AMPLIFICACIÓN SÍSMICA
(C):
𝐶 = 2.5(
𝑇𝑝
𝑇
) = 2.5
0.6
0.52
= 2.26
𝐶 ≤ 2.5 → 𝐶 = 2.26
c) CALCULO DE LA BASAL (V):
V =
(0.3 ∗ 1 ∗ 2.26 ∗ 1.2)
8
∗ 2269.367
Finalmente:
V= 249.63 Ton.
4.1.2 REPARTIMIENTO DE LA CORTANTE BASAL POR NIVELES
Como en periodo de la edificación T < 0.7, entonces no se necesitará una
fuerza adicional en el techo (Fa)
A continuación se distribuirá la carga de 249.63 Ton. entre cada uno de los
niveles de piso:
Nivel hi fi hi*fi Fi final (Tn)
0 1.4 293.477 410.868 4.581
1 4.2 322.084 1352.754 15.084
2 7.0 338.404 2368.826 26.413
3 9.8 338.404 3316.357 36.979
4 12.6 338.404 4263.887 47.544
5 15.4 338.404 5211.418 58.109
6 18.2 300.190 5463.456 60.920
22387.566 249.630
Distribución de fuerza de sismo en altura
Una vez obtenidos las fuerzas laterales de sismo en cada entrepiso, se procede a
realizar el diagrama de corte:
5 MODELO NUMÉRICO PASO A PASO
La estructura ha sido modelada bajo las cargas de sismo mediante el programa
ETABS , en el cual ingresamos las dimensiones de los elementos pre
dimensionados , las propiedades de los elementos, las cargas consideradas, las
combinaciones de cargas , los parámetros sísmicos, en las figuras siguientes
apreciamos algunos de estos cuadros de entrada necesarios para tener un modelo
con efectos sísmicos.
Cabe resaltar que en el modelamiento se hizo el análisis Dinámico de la estructura
bajo diferentes combinaciones de carga.
A continuación se muestra el proceso detallado y progresivo del proceso de
modelamiento de la estructura:
1. Se definieron las líneas base en X y Y, asi como las alturas de cada nivel:
2. Se introdujeron en el software las líneas base(Grillas primarias y
secundarias)
3. Se definieron las propiedades de los materiales:
4. Se definieron las secciones de los elementos estructurales( vigas y columnas
y losa):
5. Se asignaron las combinaciones de carga
6. Se introdujeron el espectro de respuesta, según norma E.030:
6 CALCULO DEL CENTROIDE Y CENTRO DE RIGIDEZ.
VERIFICACIÓN DE LA EXCENTRICIDAD
Los centros de masas y centro de rigidez de cada nivel se indican a
continuación(importados del ETABS:
MASA RIGIDEZ
XCCM YCCM XCR YCR
3.484 17.68 3.384 18.789
3.313 17.839 3.353 18.631
3.316 17.839 3.321 18.482
3.313 17.839 3.307 18.409
3.313 17.839 3.3 18.352
3.313 17.839 3.295 18.305
3.327 17.881 3.292 18.261
Centro de masas y rigidez en ambas direcciones
La norma E.030, menciona que los desplazamientos máximos permitidos
corresponden al 5% de la dimensión en cada sentido, en este sentido los
desplazamientos máximos permitidos en el presente proyecto son:
Lx(m) 7.5 0.38m Excentricidad
máximaLy(m) 35 1.75m
Posteriormente se realiza el calcula de cada exentricidad en cada sentido y su
verificación de con las excentricidades máximas admitidas por la norma E.030
(5%).
En X:
EXCENTRICIDAD
EN X
MAX VERIFICACIÓN
0.1 0.38 CUMPLE
0.04 0.38 CUMPLE
0.005 0.38 CUMPLE
0.006 0.38 CUMPLE
0.013 0.38 CUMPLE
0.018 0.38 CUMPLE
0.035 0.38 CUMPLE
Excentricidad en X y su verificación con la norma E.030
En Y:
EXCENTRICIDAD
EN Y
MAX VERIFICACIÓN
1.109 1.75 CUMPLE
0.792 1.75 CUMPLE
0.643 1.75 CUMPLE
0.57 1.75 CUMPLE
0.513 1.75 CUMPLE
0.466 1.75 CUMPLE
0.38 1.75 CUMPLE
Excentricidad en Y y su verificación con la norma E.030
7 OBTENCIÓN DE RESULTADOS DE DESPLAZAMIENTOS,
FUERZAS CORTANTES Y MOMENTOS FLECTORES
7.1 DESPLAZAMIENTOS
A continuación se muestran los desplazamientos obtenidos de cada entrepiso,
bajo cargas de sismo, importados del ETABS.
Story Diaphragm Load UX UY
STORY7 D7
SISMO
MAX
0.0258 0.0212
STORY6 D6
SISMO
MAX
0.0249 0.0204
STORY5 D5
SISMO
MAX
0.0234 0.0191
STORY4 D4
SISMO
MAX
0.0216 0.0174
STORY3 D3
SISMO
MAX
0.0194 0.0153
STORY2 D2
SISMO
MAX
0.0164 0.0127
STORY1 D1
SISMO
MAX
0.0126 0.0093
Desplazamiento en el eje E, bajo cargas de sismo.
7.2 FUERZAS CORTANTES
Como ejemplo mostramos las fuerzas cortantes en el eje E, en vigas y
columnas, en este pórtico se presentan los casos más críticos debido a que las
luces son de mayor longitud.
Diagrama de fuerzas cortantes en el eje E, bajo cargas muertas.(CM)
7.3 MOMENTOS FLECTORES
Del mismo se analizaran los momentos flectores en el pórtico E. por presentar
los momentos flectores máximos con respecto a los demás pórticos:
Diagrama de momentos flectores en el eje E, bajo cargas muertas.(CM)
Diagrama de momentos flectores en el eje E, bajo cargas de sismo
8 VERIFICACIÓN DE LOS DESPLAZAMIENTOS MÁXIMOS
Los desplazamientos de los centros de masa de cada nivel obtenidos en el análisis
dinámico cumplen en ambas direcciones los límites permisibles por la Norma E-030.
Para cada dirección se presentan los cuadros que muestran los desplazamientos
así como las distorsiones máximas de cada piso obtenidos en el análisis dinámico
mayorados por el factor 0.75xR (según norma E030 vigente).
Es importante indicar que la máxima distorsión, en ambas direcciones cumple con
lo permisible por la norma E-030.
En X :
Pis
o
Diafrag
ma
Carg
a
UX
∆Re
l
0.75
R
∆Rel
corregi
do
H
∆Rel
corregido/H(d
eriva)
∆Re
l
max
Verificac
ion
7 D7
SIS
MO
MAX
0.02
6
0.03
3
6 0.196 2.8 0.070
0.00
7
NO
CUMPLE
6 D6
SIS
MO
MAX
0.02
5
9E-
04
6 0.005 2.8 0.002
0.00
7
CUMPLE
5 D5
SIS
MO
MAX
0.02
3
0.00
2
6 0.009 2.8 0.003
0.00
7
CUMPLE
4 D4
SIS
MO
MAX
0.02
2
0.00
2
6 0.011 2.8 0.004
0.00
7
CUMPLE
3 D3
SIS
MO
MAX
0.01
9
0.00
2
6 0.013 2.8 0.005
0.00
7
CUMPLE
2 D2
SIS
MO
MAX
0.01
6
0.00
3
6 0.018 2.8 0.006
0.00
7
CUMPLE
1 D1
SIS
MO
MAX
0.01
3
0.00
4
6 0.023 2.8 0.008
0.00
7
NO
CUMPLE
Bas
e
0
Verificación de desplazamientos máximos según norma E.030, en X
En Y:
Piso Diafragma Carga UY ∆Rel 0.75R
∆Rel
corregido
H
∆Rel
corregido/H(deriva)
∆Rel
max
Verificac
7 D7
SISMO
MAX 0.021
0.0326 6 0.196 2.8 0.070 0.007
NO
CUMPL
6 D6
SISMO
MAX 0.02
0.0008 6 0.005 2.8 0.002 0.007 CUMPL
5 D5
SISMO
MAX 0.019
0.0013 6 0.008 2.8 0.003 0.007 CUMPL
4 D4
SISMO
MAX 0.017
0.0017 6 0.01 2.8 0.004 0.007 CUMPL
3 D3
SISMO
MAX 0.015
0.0021 6 0.013 2.8 0.005 0.007 CUMPL
2 D2
SISMO
MAX 0.013
0.0026 6 0.016 2.8 0.006 0.007 CUMPL
1 D1
SISMO
MAX 0.009
0.0034 6 0.02 2.8 0.007 0.007
NO
CUMPL
Base 0
Verificación de desplazamientos máximos según norma E.030, en Y
9 VERIFICACIÓNY CORRECCIÓNDE LA FUERZA CORTANTEEN
LA BASE
La norma E -030 obliga que la cortante basal obtenida del análisis dinámico no debe
ser menor al 80% del obtenido del análisis estático en caso de regulares y no menor
de 90% en caso de ser irregulares.
9.1 LA CORTANTE BASAL OBTENIDO DEL ANÁLISIS ESTÁTICO
En primer lugar se importa del ETABS, las masas de cada nivel, para así poder
calcular el para de todo el edificio.
Story Diaphragm MassX MassY MMI XM YM
STORY7 D7 13459.946 13459.946 1483073.4 3.363 17.932
STORY6 D6 14796.182 14796.182 1662408.3 3.381 17.939
STORY5 D5 14796.182 14796.182 1662408.3 3.381 17.939
STORY4 D4 14796.182 14796.182 1662408.3 3.381 17.939
STORY3 D3 15101.179 15101.179 1698707.5 3.351 17.893
STORY2 D2 15258.725 15258.725 1716042.9 3.345 17.882
STORY1 D1 18596.215 18596.215 2135181.4 3.58 17.796
106804.61 (masa) g= 9.81
Tabla de masas de cada nivel
Entonces el peso de la edificación será:
P = m.g
P= 106804.61 x 9.81
P= 117.90 ton
Ahora se calculara la Fuerza Basal Estatico, según la norma E.030:
Irregularidad: REGULAR
Z = 0.3
S= 1.2
U= 1
Tp= 0.6
Ct= 35
R= 8
ht 18
C= 2.5
Entonces:
Coefic sísmico: 0.1125
V estático=
117.87
ton
9.2 LA CORTANTE BASAL OBTENIDO DEL ANÁLISIS DINÁMICO
En primer lugar se importa del ETABS, las fuerzas Basal en el nivel 1, que es
la que nos interesa para realizar la comparación y verificación con la fuerza
cortante basal de análisis Estático:
Story Load Loc P VX VY
STORY1
SISMO
MAX
Top 0 56278.47 70191.35
STORY1
SISMO
MAX
Bottom 0 56278.47 70191.35
De la tabla:
V Dinámico en X(ton)= 56.2785 ton
V Dinámico en Y(ton)= 70.1914 ton
𝑉 =
𝑍. 𝑈. 𝐶. 𝑆
𝑅
. 𝑃
De esta forma, se realiza la verificación para una estructura regular, según la norma
E -030, que la cortante basal obtenida del análisis dinámico no debe ser menor al
80% del obtenido del análisis estático. .
EN X 0.48 NO CUMPLE
EN Y 0.60 NO CUMPLE
Por lo tanto será necesario incrementar la cortante para cumplir con los mínimos
señalados, operando obtenemos que el factor de escalamiento es:
Calculamos factor que hay que agregar a la gravedad en ETABS para la correccion,
se calcula mediante la relación 0.8/0.48(En X) y 0.8/0.6(En Y), así obtenemos:
en X 1.68
en Y 1.34
Entonces la nueva gravedad a introducir en el ETABS será:
en X 11.49
en Y 11.15
Por consiguiente la nueva fuerza corte dinámico corregido e importado desde el
ETABS, será:
Story Load Loc P VX VY
STORY1
SISMO
MAX
Top 0 65916.34 79779.18
STORY1
SISMO
MAX
Bottom 0 65916.34 79779.18
De la tabla, los nuevos valores de Corte Dinámico son:
V Dinámico en x(ton)= 65.9163 ton
V Dinámico en y(ton)= 79.7792 ton
10 DISEÑO DE DOS COLUMNAS (UNA EXTERIOR Y UNA
INTERIOR)
10.1 DISEÑO DE COLUMNAS
10.1.1 DISEÑO DE UNA COLUMNA EXTERIOR:
DATOS:
b= 30 cm
h = 60 cm.
r = 5 cm
f’c = 210 Kg/cm2
fy = 4200 Kg/cm2
Pu = 35.55 Tn.
Mu = 6.25 Tn-m. (Obtenido del etabs)
Pn=
𝑃𝑢
0.7
=
35.55𝑇𝑛
0.7
= 27.37𝑇𝑛.
Mn =
6.25
0.7
= 8.92 𝑇𝑛 − 𝑚
 Cuantía ᴘ = [2-4%] le asignamos 3%
Elemento N° b h L H e Pe P
(m) (m) (m) (m) (m) (kg/m3-kg/m2) (kg)
Columnas C2 1 0.3 0.5 1.9 2400 684 Kg
Vigas V3 (25x35) 1 0.25 0.35 1.49 2400 313 Kg
Vigas V2 (25x50) 1 0.25 0.5 2.76 2400 828 Kg
Losa 1 1.16 4.25 350 1,726 Kg
Tabiquería 1 0.15 1.9 4.25 1350 1,635 Kg
Piso terminado 1 1.16 4.25 100 493 Kg
s/c 1 1.16 4.25 0.25 200 247 Kg
NUMERO DE PISOS 6
35,551 Kg
35.55 Tn
METRADO DE CARGAS PARA COLUMNA EXTERIOR EJE E-1
*Seguimos las recomendaciones de diseño:
Ag ≥
𝑃𝑢
0.45( 𝑓′ 𝑐+𝑓𝑦∗ᴘ)
=
35.55∗1000
0.45(210+4200∗0.03)
= 235.11 𝑐𝑚2ok
 Corte que asume el concreto:
Vc = 0.53(1 +
𝑁𝑢
140 ∗Ag
) √f′c*b*d
Vc = 0.53(1 +
100 ∗10 ^3
140 ∗1800 )√210*30*55 = 66.59Tn
Vu =33.02 Tn
Vn = 33.02/0.85=38.84 Tn.
 Corte que asume el acero de estribos de ϴ 3/8”:
Vs = 66.59-38.84= 27.74 Tn.
 Calculo del espaciamiento:
Vs = 𝐴𝑣 ∗ 𝑓𝑦
𝑑
𝑆
27.74*10^3 = 2 ∗ 0.71 ∗ 4200
55
𝑆
S = 11.82 = 10 cm.
10.1.2 DISEÑO POR DE UNA COLUMNA INTERIOR:
Elemento N° b h L H e Pe P
(m) (m) (m) (m) (m) (kg/m3-kg/m2) (kg)
Columnas C1 1 0.3 0.5 1.9 2400 684 Kg
Vigas V1 (25x25) 1 0.25 0.25 3.67 2400 551 Kg
Vigas V3 (25x35) 1 0.25 0.35 3.29 2400 691 Kg
Losa 1 3.67 3.29 350 4,226 Kg
Tabiquería 1 0.15 1.9 1 1350 385 Kg
Piso terminado 1 3.67 3.29 100 1,207 Kg
s/c 1 3.67 3.29 0.25 200 604 Kg
NUMERO DE PISOS 6
8,347 Kg
50.08 Tn
METRADO DE CARGAS PARA COLUMNA INTERIOR E-2
DATOS:
b= 30 cm
h = 50 cm.
r = 5 cm
f’c = 210 Kg/cm2
fy = 4200 Kg/cm2
Pu = 50.08 Tn.
Mu = 26.13 Tn-m. (Obtenido del etabs)
Pn=
𝑃𝑢
0.7
=
50.08𝑇𝑛
0.7
= 71.42𝑇𝑛.
Mn =
26 .13
0.7
= 37.32 𝑇𝑛 − 𝑚.
 Cuantía ᴘ = [2-4%] le asignamos 3%
*Seguimos las recomendaciones de diseño:
Ag ≥
𝑃𝑢
0.45( 𝑓′ 𝑐+𝑓𝑦∗ᴘ)
=
50.08∗1000
0.45(210 +4200∗0.03)
= 331.21𝑐𝑚2 ok
 Corte que asume el concreto:
Vc = 0.53(1 +
𝑁𝑢
140 ∗Ag
) √f′c*b*d
Vc = 0.53(1 +
100 ∗10 ^3
140 ∗1800 )√210*30*55 = 66.59Tn
Vu =33.02 Tn
Vn = 33.02/0.85=38.84 Tn.
 Corte que asume el acero:
Vs = 66.59-38.84= 27.74 Tn.
 Calculo del espaciamiento:
Vs = 𝐴𝑣 ∗ 𝑓𝑦
𝑑
𝑆
27.74*10^3 = 2 ∗ 0.71 ∗ 4200
55
𝑆
S = 11.82 = 10 cm.
11 DISEÑO DE DOS VIGAS DE ENTREPISO
11.1 VIGA I:
 DATOS.
b =0.25 m.
h=0.50 m.
L= 4.85
Mu = 38.02 Tn-m
Fy = 4200 Kg/cm2
F’c = 210 Kg/cm2
R = 5 cm
D = 0.45 m.
Elemento N° b h L H e Pe P
(m) (m) (m) (m) (m) (kg/m3-kg/m2) (kg)
Vigas V2 (25x50) 1 0.25 0.5 4.85 2400 1455. Kg
Losa 1 4.85 4.19 350 7112.525 Kg
Tabiquería 1 0.15 1.3 4.85 1350 1276.8 Kg
Piso terminado 1 4.85 4.19 100 2032.15 Kg
s/c 1 4.85 4.19 0.25 200 1016.075 Kg
12,892.51 Kg
12.893 Tn
METRADO PARA LA VIGA E 2-3
INGRESAR DATOS SOLO EN LAS CELDAS NARANJAS
b= base de la viga b = 25.0 cm
h= Altura de viga h = 50.0 cm
r= recubrimiento para vigas r = 5.0 cm h= 50.0 d= 45.0
d=peralte efectivo d = 45.0 cm
f´c = 210 k/cm2
fy = 4200 k/cm2
b= 25.0
1> Según momentos de diseño calculamos los momentos ultimos
Ingresar el momento negativo:
Wu = t/m Máxu -= 32.02 t-m
L= m Máx +
2) Cálculo de la capacidad del acero armado en tracción unicamente :
P max = 0.75 Pb
Pb = P max = 0.50 Pb
fy 6000 + fy
Pb = #N/A x 210 x
4200 6000 + 4200
Pb = #N/A #N/A
42840000
Pmáx= 0.75 x #N/A #N/A
DISEÑO DE VIGA DOBLEMENTE ARMADA
DATOS
ß1 x 0.85 x f´c x 6000
6000
Cuantia máxima = P max = 0.75 Pb
3) Cálculo del acero :
As1= #N/A x 25 x 45.0 #N/A Cm2
#N/A 4200 #N/A cm
0.85 x 210 x 25
4) Cálculo del Momento :
M1 = 0.90 x #N/A 4200 45.0 - #N/A = #N/A T-m
2
5) Cálculo del Momento Remanente :
M2 = 32.02 - #N/A = #N/A T-m
Pero :
= #N/A x 100000 = #N/A Cm2
0.90 x 4200 x 45.0 - 5.0
6) Acero total :
= #N/A #N/A = #N/A Cm2
Pulg Cms AREA cm2
3/8" 0.95 0.71
AS´ = #N/A Cm2 1/2" 1.27 1.27
11.4 5/8" 1.59 1.98
USAR : #N/A 1 1/2" 3/4" 1.91 2.85
3/8" 7/8" 2.22 3.88
1" 2.54 5.07
1 1/8" 2.86 6.41
1 1/4" 3.18 7.92
AS = 20.00 Cm2 1 3/8" 3.49 9.58
7.92 1 1/2" 3.81 11.4
USAR : 3 φ de 1 1/4"
Area de acero As1 = pmáx x b x d
M2 = MU - M1
11.2 VIGA II:
 DATOS.
b =0.25 m.
h=0.35 m.
L= 3.42
Mu =5.50Tn-m
Fy = 4200 Kg/cm2
F’c = 210 Kg/cm2
R = 5 cm
D = 0.45 m.
Elemento N° b h L H e Pe P
(m) (m) (m) (m) (m) (kg/m3-kg/m2) (kg)
Vigas V2 (25x50) 1 0.25 0.35 4.85 2400 1018.5 Kg
Losa 1 1.08 3.42 350 1292.76 Kg
Tabiquería 1 0.15 1.3 3.42 1350 900.3 Kg
Piso terminado 1 1.08 3.42 100 369.36 Kg
s/c 1 1.08 3.42 0.25 200 184.68 Kg
3,765.62 Kg
3.766 Tn
METRADO PARA LA VIGA H-I 2
INGRESAR DATOS SOLO EN LAS CELDAS NARANJAS
b= base de la viga b = 25.0 cm
h= Altura de viga h = 35.0 cm
r= recubrimiento para vigas r = 5.0 cm h= 35.0 d= 30.0
d=peralte efectivo d = 30.0 cm
f´c = 210 k/cm2
fy = 4200 k/cm2
b= 25.0
1> Según momentos de diseño calculamos los momentos ultimos
Ingresar el momento negativo:
Wu = t/m Máxu -= 5.50 t-m
L= m Máx +
DISEÑO DE VIGA DOBLEMENTE ARMADA
DATOS
3) Cálculo del acero :
As1= 0.016 x 25 x 30.0 = 12 Cm2
12.00 x 4200 = 11.29 cm
0.85 x 210 x 25
4) Cálculo del Momento :
M1 = 0.90 x 12.00 x 4200 30.0 - 11.29 = 11.05 T-m
2
5) Cálculo del Momento Remanente :
M2 = 5.50 - 11.05 = - 5.55 T-m
Area de acero As1 = pmáx x b x d
M2 = MU - M1
Pero :
= - 5.55 x 100000 = -5.87 Cm2
0.90 x 4200 x 30.0 - 5.0
6) Acero total :
= 12 -+ 5.87 = 6.13 Cm2
Pulg Cms AREA cm2
3/8" 0.95 0.71
AS´ = -5.87 Cm2 1/2" 1.27 1.27
11.4 5/8" 1.59 1.98
USAR : -1 φ de 1 1/2" 3/4" 1.91 2.85
3/8" 7/8" 2.22 3.88
1" 2.54 5.07
1 1/8" 2.86 6.41
1 1/4" 3.18 7.92
AS = 6.13 Cm2 1 3/8" 3.49 9.58
5.07 1 1/2" 3.81 11.4
USAR : 2 φ de 1"
12 COMENTARIOS Y CONCLUSIONES
 El edificio está estructurado predominantemente por pórticos de columnas y
vigas de concreto armando, así como por una losa aligerada, que actúan
como diafragmas rígidos horizontales. En la estructura las columnas aportan
casi el total de resistencia lateral en ambos sentidos.
 La estructura es regular pues no presenta irregularidades tanto en planta
como elevación, sin embargo presenta en planta, una forma muy alargada,
ya que su largo es considerablemente mayor a su ancho.
 No se consideraron por el momento en el Metrado de cargas y Análisis
Estático sísmico la escalera y el ascensor.
 Luego de realizar el modelamiento en el ETABS, se verifico que se exceden
los desplazamientos máximos de la norma E.030, específicamente en el 1ER
y 7Mo nivel, razón por la cual se debe aumentar la sección transversal de los
elementos estructurales resistentes o aumentar la resistencia del concreto.
 Luego de realizar el modelamiento en el ETABS, se verifico que no se cumple
con la relación entre la fuerza cortante basal Estático y Dinámico, por lo que
se realizo las correcciones del caso.
D.
 Las excentricidades máximas, cumplen las estipuladas en la norma E.030
13 REFERENCIAS BIBLIOGRÁFICAS
 Norma Técnica de Edificación E.020 – Cargas
 Norma Técnica de Edificación E.030 – Diseño Sismoresistente
 Norma Técnica de Edificación E060 – Concreto Armado
 BLANCO BLASCO, ANTONIO, Estructuración y diseño de edificios de
concreto armado, Libro 2 de la Colección del Ingeniero Civil, Lima, 1996-
1997, 2da Edición
 MORALES MORALES, ROBERTO, Diseño en Concreto Armado, Fondo
Editorial. I.C.G, Lima 2006.

Informe

  • 1.
    UNIVERSIDAD ANDINA DELCUSCO FACULTAD DE INGENIERÍA PROGRAMA ACADÉMICO PROFESIONAL DE INGENIERÍA CIVIL DISEÑO ESTRUCTURAL DE EDIFICACIONES: “DISEÑO ESTRUCTURAL DE UNA EDIFICACIÓN (HOTEL) DE (6) NIVELES Y UN SEMISÓTANO EN LA CIUDAD DEL CUSCO” DOCENTE: ING. KARIM SOVERO ANCHETA. ALUMNOS: EDDY CHACÓN FLÓREZ. CARLOS ENRIQUE GOBEA. NILTON GAMARRA COTOHUANCA. CUSCO ABRIL DEL 2015
  • 2.
    INTRODUCCIÓN El objetivo delpresente trabajo es realizar el análisis estructural de un edificio y diseñar los principales elementos estructurales; así de esta manera recordar, organizar y complementar, bajo una forma de aplicación práctica, los conocimientos adquiridos en los diversos cursos básicos de la carrera. El edificiode concreto armado es un sistema Aporticado de columnas y vigas; tiene seis pisos y un semisótano, y está ubicado en la Av. Garcilazo Nº 502, distrito de Wanchaq, ciudad de Cusco. El área del edificio es de 262.5 m2 (7.5m. x 35m. ). En primer lugar se partió de una distribución arquitectónica ya definida, que cumple con algunos requisitos importantes, tales como simetría, máximo aprovechamiento de la planta, ventilación, iluminación, etc. El primer nivel y el semisótano tienen distribuciones diferentes, mientras todos los demás niveles tienen una planta típica. Todos los niveles, además, están comunicados por una escalera y mediante un sistema de ascensores que van desde el primer piso hasta la azotea; sin embargo en esta primera parte no tomaremos en cuenta los ascensores. Luego se procedió a estructurar y predimensionar los elementos estructurales, definiéndolos tanto en ubicación como en dimensión, de acuerdo a la norma E.060 (CONCRETO ARMADO), de tal manera de lograr una estructura estética, segura, funcional y económica. Así se determinó el modelo estructural del proyecto (Aporticado) Después se realizó el Metrado de cargas de los distintos elementos estructurales y no estructurales, de acuerdo a la Norma Técnica de Edificación E0.20 (CARGAS). Teniendo entonces el modelo estructural y el Metrado de cargas se procedió a realizar el análisis sísmico de la Estructura del Edificio, donde previamente se analizó si la estructura era irregular o regular, de acuerdo a la norma E.030(DISEÑO SISMORESISTENTE); logrando luego distribuir las fuerzas laterales de sismo en cada entrepiso.
  • 3.
    ÍNDICE 1 CAPITULO I..................................................................................................................5 1.1OBJETIVOS ...........................................................................................................5 1.1.1 OBJETIVO GENERAL ..................................................................................5 1.1.2 OBJETIVOS ESPECÍFICOS ........................................................................5 1.2 ENTORNO URBANO ...........................................................................................5 1.3 CONSIDERACIONES GENERALES PARA EL DISEÑO ..............................5 1.3.1 DEL SUELO:...................................................................................................5 1.3.2 DE LOS MATERIALES: ................................................................................6 1.4 NORMATIVIDAD ...................................................................................................6 1.5 ARQUITECTURA ..................................................................................................6 2 CAPITULO II...............................................................................................................11 2.1 ESTRUCTURACIÓN ..........................................................................................11 2.2 PRE DIMENSIONAMIENTO .............................................................................12 2.2.1 PRE DIMENSIONAMIENTO DE LOSA....................................................12 2.2.2 PRE DIMENSIONAMIENTO DE COLUMNAS........................................15 2.2.3 PRE DIMENSIONAMIENTO DE VIGAS ..................................................22 3 CAPITULO III..............................................................................................................27 3.1 METRADO DE CARGAS ...................................................................................27 3.2 VERIFICACIÓN DE LA IRREGULARIDAD DE LA EDIFICACIÓN, SEGÚN LA NORMA E.030..........................................................................................................31 4 CAPITULO IV .............................................................................................................32 4.1 ANÁLISIS SÍSMICO ESTÁTICO ......................................................................32 4.1.1 CONSIDERACIONES PARA EL ANÁLISIS:...........................................32
  • 4.
    4.1.2 REPARTIMIENTO DELA CORTANTE BASAL POR NIVELES..........34 5 COMENTARIOS Y CONCLUSIONES....................................................................61 6 REFERENCIAS BIBLIOGRÁFICAS .......................................................................61
  • 5.
    1 CAPITULO I 1.1OBJETIVOS 1.1.1 OBJETIVO GENERAL La presente trabajo tiene como objetivo el diseño estructural de un edificio y diseñar sus principales elementos estructurales, el cual será usado como hotel, consta un semisótano y seis pisos, ubicado en Wanchaq Cusco. 1.1.2 OBJETIVOS ESPECÍFICOS  Realizar el Configuración Estructural del Edificio  Realizar el Pre dimensionamiento de cada uno de los elementos Estructurales  Realizar el Metrado de Cargas de la Edificación, por el momento solo consideraremos las cargas Estáticas.  Realizar el Análisis Sísmico Estático de la Estructura  Realizar el diseño de cada uno de los elementos Estructurales  Realizar el modelamiento de la Estructura en un software, en este caso se utilizara ETABS. 1.2 ENTORNO URBANO El edificio se ubicará en la Av. Garcilazo Nº 502, distrito de Wanchaq, Provincia y Departamento del Cusco, a pocas cuadras del Centro de la Ciudad, donde se encuentran centros comerciales destinados principalmente al Servicio Turístico.(Hoteles, Centros Artesanales, Bar y Restaurants, etc) 1.3 CONSIDERACIONES GENERALES PARA EL DISEÑO 1.3.1 DEL SUELO: Los parámetros de suelo que asumimos para el Diseño son:  Suelo tipo II=1.2 y un Tp=0.6 s.  Aceleración del suelo Z=0.3
  • 6.
     Capacidad portanteadmisible de 2.0 kg/cm2 1.3.2 DE LOS MATERIALES: Concreto:  Resistencia nominal a compresión = f´c = 210 kg/cm2  Módulo de elasticidad = Ec = 200,000 kg/cm2 = 2´000,000 ton/m2  Módulo de Poisson = ‫ט‬ = 0.15 Acero de Refuerzo:  Corrugado, grado 60, esfuerzo de fluencia ( fy )= 4200 kg/cm2 = 4.2 ton/cm2  Módulo de elasticidad = Es = 2´000,000 kg/cm2  Deformación al inicio de la fluencia =0.0021 1.4 NORMATIVIDAD En todo el proceso de análisis y diseño se utilizarán las normas comprendidas en el Reglamento Nacional de Edificaciones (R.N.E.):  Metrado de cargas Norma E.020  Diseño Sismoresistente Norma E.030  Concreto Armado Norma E.060 1.5 ARQUITECTURA El edificio destinado para prestar servicios de hotelería consta de 6 niveles y un semisótano con seis habitaciones en los niveles 2, 3, 4, 5, 6; el primer nivel y el semisótano son usados principalmente como restaurantes. Cada habitación cuenta con un baño, La edificación fue proyectada sin ascensores, cuenta con una escalera principal ubicada en la zona central que conecta los diferentes niveles.
  • 7.
    El primer nively el semisótano tienen distribuciones diferentes, mientras todos los demás niveles tienen una planta típica, tal como se podrá apreciar en los planos vista en planta más adelante. El área del edificio es de 262.5 m2, (7.5m. x 35m.) Elevación del Edificio
  • 8.
  • 9.
    Vista en PlantaPiso Típico (2do al 6to)
  • 10.
    Vista en PlantaSemisótano
  • 11.
    2 CAPITULO II 2.1ESTRUCTURACIÓN El proceso de estructuración consiste en definir la ubicación y características de los diferentes elementos estructurales (losas, vigas, muros, columnas), de tal forma que se logre dotar a la estructura de buena rigidez, además resulte fácil y confiable reproducir el comportamiento real de la estructura. En nuestro caso la edificación está conformada predominantemente por elementos de concreto armado, conformado por pórticos de Vigas y columnas. Las losas de piso consisten en una losa aligerada unidireccional de 0.25 m de espesor en todos los niveles, la elección del sentido del aligerado fue priorizando la menor luz libre y la continuidad de los paños. Se han diseñado tres tipos de columnas, las cuales tienen las siguientes secciones y son: C-1 : 0.30m X 0.50m C-2 : 0.30m X 0.60m C-3 : 0.30m X 0.40m De la misma forma se han diseñado 3 tipos de vigas, las cuales tienen las siguientes secciones y son: V-1 : 0.25m X 0.25m V-2 : 0.25m X 0.50m V-3 : 0.25m X 0.35m
  • 12.
    2.2 PRE DIMENSIONAMIENTO Medianteel pre dimensionamiento se brindará las dimensiones mínimas a las secciones de los elementos estructurales para que tengan una buena respuesta ante solicitaciones por carga de gravedad y de sismo. Para el pre dimensionamiento, en nuestro caso se uso como referencia la Norma de Concreto Armado Norma E.060 y el libro “Estructuración y Edificaciones de Cº Aº” de Antonio Blanco Blasco 2.2.1 PRE DIMENSIONAMIENTO DE LOSA Se eligió usar losas aligeradas porque son las más usadas en el Perú. Se ha techado en la dirección de menor longitud, con la finalidad de evitar que los esfuerzos por flexión y cortante y las deformaciones sean de gran magnitud. Para su pre dimensionamiento se utilizaron 2 fuentes: A. Según el reglamento peruano de concreto armado ( norma E. 060 ) En losas aligeradas continuas conformadas por viguetas de 10 cm de ancho, bloques de ladrillo de 30 cm de ancho y losa superior de 5 cm,, con sobrecargas menores a 300 kg/m2 y luces menores de 7.5 m, podrá dejar de verificarse las deflexiones cuando se cumpla que: h ≥ L / 25 En nuestro caso tenemos una máxima luz libre de 5.53m, entonces 5.53/25 = 0.2212cm Por consiguiente el peralte de losa aligerada ( e ) = 25cm 0.25 ≥ 0.22(No se verificara deflexión) B. Según Antonio Blanco Blasco(Estructuración y edificaciones de C°A°) el peralte de las losas aligeradas podrá ser dimensionado considerando los
  • 13.
    siguientes criterios : Ennuestro caso tenemos una máxima luz libre de 5.53m Por consiguiente de acuerdo a tabla, el peralte de losa aligerada ( e ) = 25cm Detalle de Losa aligerada h = 17 cm. Luces menores a 4 m. h = 20 cm. Luces comprendidas entre 4 y 5.5 m. h = 25 cm. Luces comprendidas entre 5 y 6.5 m. h = 30 cm. Luces comprendidas entre 6 y 7.5 m.
  • 14.
    Dirección del Aligerado1er/2do/3er/4to/5to/6to Nivel
  • 15.
    2.2.2 PRE DIMENSIONAMIENTODE COLUMNAS Las columnas son elementos estructurales encargados de recibir todas las cargas de los niveles y transmitirlos a la cimentación. Debido a esto se siguió las recomendaciones de la norma ACI 318 que en su capítulo 12.6 indica las consideraciones y fórmulas para hallar el área mínima de las columnas (Ac), según la posición en la que se halle la columna, ya sea central lateral y esquinera, también se toma la sugerencia que las columnas principales deben tener un espesor mínimo de 0.25m en cualquier dirección. Columnas Centrales Columnas laterales Columnas Esquineras Siendo P (servicio) = Área tributaria x #pisos x 1000 Kg/m2 A. COLUMNAS INTERIORES-CENTRALES (C1):  Considerando una carga 1 Tn/m2  La más crítica está en la intersección de los ejes H-2, entonces: Área tributaria = 11.57 m2 Carga por piso (1 nivel) = 1000 kg/m2 Nro. de pisos = 6 Peso sobre col. (p) = 69420.00 kg 69.42 tn Área Mínima de la Columna: b x h = K X P / (n x f´c)  Reemplazando valores: K = 1.1 P = 69420.00 Kg n = 0.3
  • 16.
    f´c = 210kg/m2 b x h = 1212.00 cm2  Dimensión de columna adoptada: b = 30 cm h= 50 cm Área=1500cm2 > 1212cm2 (ok) Detalle de la columna c-1 B. COLUMNAS EXTREMAS-LATERALES C-2  Considerando una carga 1 Tn/m2  La más crítica está en la intersección de los ejes 3-D, entonces: Área tributaria = 11.76 m2 Carga por piso (1 nivel) = 1000 kg/m2 Nro. de pisos = 6 Peso sobre col. (p) = 70560.00 kg 70.56 tn
  • 17.
    Área Mínima dela Columna: b x h = K X P / (n x f´c)  Reemplazando valores: K = 1.25 P = 70560.00 Kg n = 0.25 f´c = 210 kg/m2 b x h = 1680.00 cm2  Dimensión de columna adoptada: b = 30 cm h= 60 cm Área=1800cm2 > 1680cm2 (ok) Detalle de la columna c-2
  • 18.
    C. COLUMNA DEESQUINAC-3  Considerando una carga 1 Tn/m2  La más crítica está en la intersección de los ejes 3-J, entonces: Área tributaria = 5.14 m2 Carga por piso (1 nivel) = 1000 kg/m2 Nro. de pisos = 6 Peso sobre col. (p) = 30840.00 kg 30.84 tn Área Mínima de la Columna: b x h = K X P / (n x f´c)  Reemplazando valores: K = 1.5 P = 70560.00 Kg n = 0.25 f´c = 210 kg/m2 b x h = 1101.43 cm2  Dimensión de columna adoptada: b = 30 cm h= 40 cm Área=1200cm2 > 1101.43cm2 (ok)
  • 19.
    Detalle de lacolumna c-3
  • 20.
    Áreas Tributarias decolumna criticas
  • 21.
    Plano de distribuciónde columnas C-1, C-2, C-3
  • 22.
    2.2.3 PRE DIMENSIONAMIENTODE VIGAS Las vigas generalmente se dimensionan considerando la luz libre, ya que el peralte está en orden de 1/10 a 1/12 la luz libre. Según Antonio Blanco Blasco, el peralte (h) y ancho (b) mínimo de la viga se obtendrá de las siguientes relaciones: Peralte: Ancho: h = L / 10 b = 0.3 h a a h = L / 12 b = 0.5 h Además la norma peruana de concreto armado indica que las vigas deben de tener un ancho mínimo de 0.25 m. para el caso de que estas formen parte de pórticos o elementos sismos resistentes de estructuras de concreto armado. bmin = 0.25m. Además se deberá verificar que la relación ancho peralte sea mayor que 0.3 0.3h<b<0.5h De otro lado la Norma Peruana E-060 de Concreto Armado también nos indica que no será necesaria la verificación de deflexiones si se cumple con el siguiente criterio: h ≥ ln / 16 A. VIGAS V – 1: Ubicación (Ejes) nº elementos luz h1 h2 h final b b final (L/10) (L/12) 0.30h 0.50h 1 y 2 10 2.1 0.21 0.18 0.25 0.08 0.13 0.25
  • 23.
     Se debecumplir h ≥ ln / 16 h ≥ 2.21/ 16 0.25 ≥ 0.14 (no será necesaria la verificación de deflexiones) Detalle de V - 1 B. VIG AS V - 2 Ubicación (Ejes) nº elemento s Luz h1 h2 h final b b final (L/10) (L/12) 0.30h 0.50h D y E 3 5.5 0.55 0.46 0.50 0.15 0.25 0.25 2 y 3 10 5.03 0.50 0.42 0.50 0.15 0.25 0.25  Se debe cumplir h ≥ ln / 16 h ≥ 5.5/ 16 0.50 ≥ 0.34 (no será necesaria la verificación de deflexiones) Detalle de V - 1 Detalle de V - 1
  • 24.
    Detalle de V- 2 C. VIGAS V - 3 Para uniformizar el diseño se opta por utilizar un peralte h=0.35 y una base b=0.25 Ubicación (Ejes) nº elementos luz h1 h2 h final b b final (L/10) (L/12) 0.30h 0.50h A y B 3 3.05 0.31 0.25 0.30 0.09 0.15 0.25 B y C 3 3.58 0.36 0.30 0.35 0.11 0.18 0.25 C y D 3 3.02 0.30 0.25 0.30 0.09 0.15 0.25 E y F 3 2.88 0.29 0.24 0.25 0.08 0.13 0.25 F y G 3 3.55 0.36 0.30 0.35 0.11 0.18 0.25 G y H 3 3 0.30 0.25 0.30 0.09 0.15 0.25 H y I 3 3.15 0.32 0.26 0.30 0.09 0.15 0.25 I y J 3 3.23 0.32 0.27 0.30 0.09 0.15 0.25  Se debe cumplir h ≥ ln / 16 h ≥ 3.58/ 16
  • 25.
    0.35 ≥ 0.22(no será necesaria la verificación de deflexiones) Detalle de V - 3
  • 26.
    Plano de distribuciónde vigas V-1, V-2, V-3
  • 27.
    3 CAPITULO III 3.1METRADO DE CARGAS El Metrado de cargas consiste en estimar las cargas verticales actuantes sobre los distintos elementos estructurales que componen el edificio. En esta edificación se presentan dos tipos de cargas : estáticas y dinámicas , siendo las estáticas , las cargas permanentes o muertas las cuales actúan durante la vida útil de la estructura; y las cargas vivas o sobrecargas son cargas gravitacionales de carácter móvil que pueden actuar en diferentes tiempos en los ambientes de la estructura; las cargas dinámicas son aquellas cargas cuya magnitud, dirección y sentido varían rápidamente con el tiempo , por lo que originan esfuerzos y desplazamientos sobre la estructura. Cabe señalar que para esta parte solo se considerara las cargas estáticas establecidas en la norma E.020. Todos los elementos de la estructura deben ser diseñados para resistir las cargas que se le apliquen en ellos como consecuencia de su uso previsto, para ello la Norma Peruana E-020 de Cargas establece los valores mínimos para ser usados en este propósito. Estos valores están divididos en dos tipos de cargas, carga muerta (CM), y carga viva (CV). Para hallar la carga muerta utilizaremos los siguientes pesos unitarios:  Concreto armado : 2400 kg/m  Albañilería (pandereta) : 1350 kg/m (Macizo) : 1800 kg/m
  • 28.
     Aligerado (1 dirección) h = 25 cm : 350 kg/m  Acabado e = 5 cm : 100 kg/m Luego los pesos de carga viva o sobrecarga expresados en unidad de superficie:  Vivienda : 200 kg/m2  Corredores y escaleras : 200 kg/m2  Techos : 100 Kg./m2 Para el Análisis Sísmico Estático, se hizo un Metrado de cargas para cada nivel, para las cuales se consideró la media altura del piso inferior como del superior para todos los niveles; quiere decir que el peso se calcula piso por piso, computando el peso del entrepiso (losa), vigas, la mitad de la longitud de los tramos de columnas sobre y bajo cada entrepiso para ello se tuvo en cuenta que la altura de cada nivel típico de la edificación es de 2.35m., mientras que la altura del primer nivel más la altura del semisótano es 2.46m. Elementos a Considerar en el Peso del Edificio De esta manera se determinó el peso (P) de cada piso, construyendo las siguientes tablas de Metrado de cargas para cada nivel:
  • 29.
    Elemento N° bh L H e Pe P (m) (m) (m) (m) (m) (kg/m3-kg/m2) (kg) Columnas C1 12 0.3 0.6 1.9 2400 9,850 Kg Columnas C2 19 0.3 0.5 1.9 2400 12,996 Kg Columnas C3 4 0.3 0.4 1.9 2400 2,189 Kg Vigas V3 (25x35) 1 0.25 0.35 86.34 2400 18,131 Kg Vigas V1 (25x25) 11 0.25 0.25 26.62 2400 43,923 Kg Vigas V2 (25x50) 1 0.25 0.5 73.44 2400 22,032 Kg Losa 1 7.5 35 350 91,875 Kg Tabiquería 1 0.15 1.9 138.0287 1350 53,107 Kg Piso terminado 1 7.5 35 100 26,250 Kg s/c 1 7.5 35 0.25 200 13,125 Kg 293,477 Kg NIVEL 0 Elemento N° b h L H e Pe P (m) (m) (m) (m) (m) (kg/m3-kg/m2) (kg) Columnas C1 12 0.3 0.6 2.73 2400 14,152 Kg Columnas C2 19 0.3 0.5 2.73 2400 18,673 Kg Columnas C3 4 0.3 0.4 2.73 2400 3,145 Kg Vigas V3 (25x35) 1 0.25 0.35 86.34 2400 18,131 Kg Vigas V1 (25x25) 11 0.25 0.25 26.62 2400 43,923 Kg Vigas V2 (25x50) 1 0.25 0.5 73.44 2400 22,032 Kg Losa 1 7.5 35 350 91,875 Kg Tabiquería 1 0.15 2.73 128.0287 1350 70,777 Kg Piso terminado 1 7.5 35 100 26,250 Kg s/c 1 7.5 35 0.25 200 13,125 Kg 322,084 Kg NIVEL 1 Elemento N° b h L H e Pe P (m) (m) (m) (m) (m) (kg/m3-kg/m2) (kg) Columnas C1 12 0.3 0.6 2.73 2400 14,152 Kg Columnas C2 19 0.3 0.5 2.73 2400 18,673 Kg Columnas C3 4 0.3 0.4 2.73 2400 3,145 Kg Vigas V3 (25x35) 1 0.25 0.35 86.34 2400 18,131 Kg Vigas V1 (25x25) 11 0.25 0.25 26.62 2400 43,923 Kg Vigas V2 (25x50) 1 0.25 0.5 73.44 2400 22,032 Kg Losa 1 7.5 35 350 91,875 Kg Tabiquería 1 0.15 2.73 157.5487 1350 87,097 Kg Piso terminado 1 7.5 35 100 26,250 Kg s/c 1 7.5 35 0.25 200 13,125 Kg 338,404 Kg NIVELES 2, 3, 4 y 5
  • 30.
    RESUMEN DE CARGASPOR NIVEL Nivel n Peso(Ton) nivel 0 293.477 Ton nivel 1 322.084 Ton nivel 2 338.404 Ton nivel 3 338.404 Ton nivel 4 338.404 Ton nivel 5 338.404 Ton nivel 6 300.19 Ton Entonces el peso total de la Edificación es: Elemento N° b h L H e Pe P (m) (m) (m) (m) (m) (kg/m3-kg/m2) (kg) Columnas C1 12 0.3 0.6 1.3 2400 6739.2 Kg Columnas C2 19 0.3 0.5 1.3 2400 8892. Kg Columnas C3 4 0.3 0.4 1.3 2400 1497.6 Kg Vigas V3 (25x35) 1 0.25 0.35 86.34 2400 18131.4 Kg Vigas V1 (25x25) 11 0.25 0.25 26.62 2400 43923. Kg Vigas V2 (25x50) 1 0.25 0.5 73.44 2400 22032. Kg Losa 1 7.5 35 350 91875. Kg Tabiquería 1 0.15 1.3 157.5487 1350 41474.7 Kg Piso terminado 1 7.5 35 100 26250. Kg s/c 1 7.5 35 0.25 200 13125. Kg 273,939.90 Kg NIVEL 6 Elemento N° b h L H e Pe P (m) (m) (m) (m) (m) (kg/m3-kg/m2) (kg) TECHO 1 7.5 35 100 26250. Kg TECHO
  • 31.
    P= 293.47ton+322.084ton+338.404ton+338.404ton+338.404ton+300.19ton P=2269.367 Ton 3.2VERIFICACIÓN DE LA IRREGULARIDAD DELA EDIFICACIÓN, SEGÚN LA NORMA E.030 a) Irregularidad de rigidez: Los elementos verticales resistentes (columnas), son constantes en toda la elevación; por lo tanto se concluye que la edificación no presenta irregularidad por rigidez. b) Irregularidad de masa: La edificación no presenta irregularidad de masa, puesto que los pisos 2, 3, 4 y 5 tienen el mismo peso (291.712 Tn), y en el primer y último nivel no existe diferencia del 150% del peso. c) Irregularidad geométrica vertical: Las dimensiones en planta de todos los niveles son constantes por lo la edificación no presenta irregularidad geométrica vertical. d) Discontinuidad en los sistemas Resistentes: La estructura no presenta desalineamientos de sus elementos verticales; no presenta irregularidad por discontinuidad en los sistemas resistentes.
  • 32.
    4 CAPITULO IV 4.1ANÁLISIS SÍSMICO ESTÁTICO El sismo tiene la característica de producir aceleraciones instantáneas, aceleraciones que generan grandes fuerzas, y que afectan a los componentes de la estructura del edificio de modo diferente a la acción de las cargas gravitatorias. Estas fuerzas sísmicas dependen linealmente de la masa del edificio y se expresan con la fórmula: F = M x A , donde: F = fuerza inducida por la aceleración A = aceleración producida por el sismo M = masa del edificio Por este motivo es necesario conocer el peso del edificio 4.1.1 CONSIDERACIONES PARA EL ANÁLISIS: Zona sísmica 2 (Cusco)
  • 33.
    Suelo s2(suelo Intermedio) Categoríade la edificación (uso) C (vivienda) Sistema estructural Aporticado. (sin muros de corte). Irregularidad Regular Entonces: Z 0.3 S 1.2 U 1 Tp 0.6 Ct 35 R 8 hn 18.2 m. Donde:  Z: Es el factor de zona.  U: factor de uso e importancia  S: Factor de suelo.  Tp: Periodo que define la plataforma del espectro para cada tipo de suelo.  R: Coeficiente de reducción de solicitaciones sísmicas.  Ct: Coeficiente para estimar el periodo predominante de un edificio.
  • 34.
     hn: alturatotal del edificio. PROCEDIMIENTO DE CÁLCULO a) CALCULO DEL PERIODO FUNDAMENTAL DE LA ESTRUCTURAL (T): 𝑇 = ℎ𝑛 𝐶𝑡 = 18.2 35 = 0.52seg. b) CALCULO DEL COEFICIENTE DE AMPLIFICACIÓN SÍSMICA (C): 𝐶 = 2.5( 𝑇𝑝 𝑇 ) = 2.5 0.6 0.52 = 2.26 𝐶 ≤ 2.5 → 𝐶 = 2.26 c) CALCULO DE LA BASAL (V): V = (0.3 ∗ 1 ∗ 2.26 ∗ 1.2) 8 ∗ 2269.367 Finalmente: V= 249.63 Ton. 4.1.2 REPARTIMIENTO DE LA CORTANTE BASAL POR NIVELES Como en periodo de la edificación T < 0.7, entonces no se necesitará una fuerza adicional en el techo (Fa) A continuación se distribuirá la carga de 249.63 Ton. entre cada uno de los niveles de piso:
  • 35.
    Nivel hi fihi*fi Fi final (Tn) 0 1.4 293.477 410.868 4.581 1 4.2 322.084 1352.754 15.084 2 7.0 338.404 2368.826 26.413 3 9.8 338.404 3316.357 36.979 4 12.6 338.404 4263.887 47.544 5 15.4 338.404 5211.418 58.109 6 18.2 300.190 5463.456 60.920 22387.566 249.630 Distribución de fuerza de sismo en altura
  • 36.
    Una vez obtenidoslas fuerzas laterales de sismo en cada entrepiso, se procede a realizar el diagrama de corte: 5 MODELO NUMÉRICO PASO A PASO La estructura ha sido modelada bajo las cargas de sismo mediante el programa ETABS , en el cual ingresamos las dimensiones de los elementos pre dimensionados , las propiedades de los elementos, las cargas consideradas, las combinaciones de cargas , los parámetros sísmicos, en las figuras siguientes apreciamos algunos de estos cuadros de entrada necesarios para tener un modelo con efectos sísmicos. Cabe resaltar que en el modelamiento se hizo el análisis Dinámico de la estructura bajo diferentes combinaciones de carga. A continuación se muestra el proceso detallado y progresivo del proceso de modelamiento de la estructura:
  • 37.
    1. Se definieronlas líneas base en X y Y, asi como las alturas de cada nivel:
  • 38.
    2. Se introdujeronen el software las líneas base(Grillas primarias y secundarias)
  • 39.
    3. Se definieronlas propiedades de los materiales: 4. Se definieron las secciones de los elementos estructurales( vigas y columnas y losa):
  • 40.
    5. Se asignaronlas combinaciones de carga
  • 41.
    6. Se introdujeronel espectro de respuesta, según norma E.030:
  • 42.
    6 CALCULO DELCENTROIDE Y CENTRO DE RIGIDEZ. VERIFICACIÓN DE LA EXCENTRICIDAD Los centros de masas y centro de rigidez de cada nivel se indican a continuación(importados del ETABS: MASA RIGIDEZ XCCM YCCM XCR YCR 3.484 17.68 3.384 18.789 3.313 17.839 3.353 18.631 3.316 17.839 3.321 18.482 3.313 17.839 3.307 18.409 3.313 17.839 3.3 18.352 3.313 17.839 3.295 18.305 3.327 17.881 3.292 18.261 Centro de masas y rigidez en ambas direcciones La norma E.030, menciona que los desplazamientos máximos permitidos corresponden al 5% de la dimensión en cada sentido, en este sentido los desplazamientos máximos permitidos en el presente proyecto son: Lx(m) 7.5 0.38m Excentricidad máximaLy(m) 35 1.75m Posteriormente se realiza el calcula de cada exentricidad en cada sentido y su verificación de con las excentricidades máximas admitidas por la norma E.030 (5%). En X: EXCENTRICIDAD EN X MAX VERIFICACIÓN 0.1 0.38 CUMPLE 0.04 0.38 CUMPLE 0.005 0.38 CUMPLE 0.006 0.38 CUMPLE 0.013 0.38 CUMPLE 0.018 0.38 CUMPLE 0.035 0.38 CUMPLE
  • 43.
    Excentricidad en Xy su verificación con la norma E.030 En Y: EXCENTRICIDAD EN Y MAX VERIFICACIÓN 1.109 1.75 CUMPLE 0.792 1.75 CUMPLE 0.643 1.75 CUMPLE 0.57 1.75 CUMPLE 0.513 1.75 CUMPLE 0.466 1.75 CUMPLE 0.38 1.75 CUMPLE Excentricidad en Y y su verificación con la norma E.030 7 OBTENCIÓN DE RESULTADOS DE DESPLAZAMIENTOS, FUERZAS CORTANTES Y MOMENTOS FLECTORES 7.1 DESPLAZAMIENTOS A continuación se muestran los desplazamientos obtenidos de cada entrepiso, bajo cargas de sismo, importados del ETABS. Story Diaphragm Load UX UY STORY7 D7 SISMO MAX 0.0258 0.0212 STORY6 D6 SISMO MAX 0.0249 0.0204 STORY5 D5 SISMO MAX 0.0234 0.0191 STORY4 D4 SISMO MAX 0.0216 0.0174 STORY3 D3 SISMO MAX 0.0194 0.0153 STORY2 D2 SISMO MAX 0.0164 0.0127 STORY1 D1 SISMO MAX 0.0126 0.0093
  • 44.
    Desplazamiento en eleje E, bajo cargas de sismo.
  • 45.
    7.2 FUERZAS CORTANTES Comoejemplo mostramos las fuerzas cortantes en el eje E, en vigas y columnas, en este pórtico se presentan los casos más críticos debido a que las luces son de mayor longitud. Diagrama de fuerzas cortantes en el eje E, bajo cargas muertas.(CM)
  • 46.
    7.3 MOMENTOS FLECTORES Delmismo se analizaran los momentos flectores en el pórtico E. por presentar los momentos flectores máximos con respecto a los demás pórticos: Diagrama de momentos flectores en el eje E, bajo cargas muertas.(CM)
  • 47.
    Diagrama de momentosflectores en el eje E, bajo cargas de sismo 8 VERIFICACIÓN DE LOS DESPLAZAMIENTOS MÁXIMOS Los desplazamientos de los centros de masa de cada nivel obtenidos en el análisis dinámico cumplen en ambas direcciones los límites permisibles por la Norma E-030. Para cada dirección se presentan los cuadros que muestran los desplazamientos así como las distorsiones máximas de cada piso obtenidos en el análisis dinámico mayorados por el factor 0.75xR (según norma E030 vigente). Es importante indicar que la máxima distorsión, en ambas direcciones cumple con lo permisible por la norma E-030.
  • 48.
    En X : Pis o Diafrag ma Carg a UX ∆Re l 0.75 R ∆Rel corregi do H ∆Rel corregido/H(d eriva) ∆Re l max Verificac ion 7D7 SIS MO MAX 0.02 6 0.03 3 6 0.196 2.8 0.070 0.00 7 NO CUMPLE 6 D6 SIS MO MAX 0.02 5 9E- 04 6 0.005 2.8 0.002 0.00 7 CUMPLE 5 D5 SIS MO MAX 0.02 3 0.00 2 6 0.009 2.8 0.003 0.00 7 CUMPLE 4 D4 SIS MO MAX 0.02 2 0.00 2 6 0.011 2.8 0.004 0.00 7 CUMPLE 3 D3 SIS MO MAX 0.01 9 0.00 2 6 0.013 2.8 0.005 0.00 7 CUMPLE 2 D2 SIS MO MAX 0.01 6 0.00 3 6 0.018 2.8 0.006 0.00 7 CUMPLE 1 D1 SIS MO MAX 0.01 3 0.00 4 6 0.023 2.8 0.008 0.00 7 NO CUMPLE Bas e 0 Verificación de desplazamientos máximos según norma E.030, en X En Y: Piso Diafragma Carga UY ∆Rel 0.75R ∆Rel corregido H ∆Rel corregido/H(deriva) ∆Rel max Verificac 7 D7 SISMO MAX 0.021 0.0326 6 0.196 2.8 0.070 0.007 NO CUMPL 6 D6 SISMO MAX 0.02 0.0008 6 0.005 2.8 0.002 0.007 CUMPL 5 D5 SISMO MAX 0.019 0.0013 6 0.008 2.8 0.003 0.007 CUMPL 4 D4 SISMO MAX 0.017 0.0017 6 0.01 2.8 0.004 0.007 CUMPL 3 D3 SISMO MAX 0.015 0.0021 6 0.013 2.8 0.005 0.007 CUMPL 2 D2 SISMO MAX 0.013 0.0026 6 0.016 2.8 0.006 0.007 CUMPL
  • 49.
    1 D1 SISMO MAX 0.009 0.00346 0.02 2.8 0.007 0.007 NO CUMPL Base 0 Verificación de desplazamientos máximos según norma E.030, en Y 9 VERIFICACIÓNY CORRECCIÓNDE LA FUERZA CORTANTEEN LA BASE La norma E -030 obliga que la cortante basal obtenida del análisis dinámico no debe ser menor al 80% del obtenido del análisis estático en caso de regulares y no menor de 90% en caso de ser irregulares. 9.1 LA CORTANTE BASAL OBTENIDO DEL ANÁLISIS ESTÁTICO En primer lugar se importa del ETABS, las masas de cada nivel, para así poder calcular el para de todo el edificio. Story Diaphragm MassX MassY MMI XM YM STORY7 D7 13459.946 13459.946 1483073.4 3.363 17.932 STORY6 D6 14796.182 14796.182 1662408.3 3.381 17.939 STORY5 D5 14796.182 14796.182 1662408.3 3.381 17.939 STORY4 D4 14796.182 14796.182 1662408.3 3.381 17.939 STORY3 D3 15101.179 15101.179 1698707.5 3.351 17.893 STORY2 D2 15258.725 15258.725 1716042.9 3.345 17.882 STORY1 D1 18596.215 18596.215 2135181.4 3.58 17.796 106804.61 (masa) g= 9.81 Tabla de masas de cada nivel Entonces el peso de la edificación será: P = m.g P= 106804.61 x 9.81 P= 117.90 ton Ahora se calculara la Fuerza Basal Estatico, según la norma E.030: Irregularidad: REGULAR
  • 50.
    Z = 0.3 S=1.2 U= 1 Tp= 0.6 Ct= 35 R= 8 ht 18 C= 2.5 Entonces: Coefic sísmico: 0.1125 V estático= 117.87 ton 9.2 LA CORTANTE BASAL OBTENIDO DEL ANÁLISIS DINÁMICO En primer lugar se importa del ETABS, las fuerzas Basal en el nivel 1, que es la que nos interesa para realizar la comparación y verificación con la fuerza cortante basal de análisis Estático: Story Load Loc P VX VY STORY1 SISMO MAX Top 0 56278.47 70191.35 STORY1 SISMO MAX Bottom 0 56278.47 70191.35 De la tabla: V Dinámico en X(ton)= 56.2785 ton V Dinámico en Y(ton)= 70.1914 ton 𝑉 = 𝑍. 𝑈. 𝐶. 𝑆 𝑅 . 𝑃
  • 51.
    De esta forma,se realiza la verificación para una estructura regular, según la norma E -030, que la cortante basal obtenida del análisis dinámico no debe ser menor al 80% del obtenido del análisis estático. . EN X 0.48 NO CUMPLE EN Y 0.60 NO CUMPLE Por lo tanto será necesario incrementar la cortante para cumplir con los mínimos señalados, operando obtenemos que el factor de escalamiento es: Calculamos factor que hay que agregar a la gravedad en ETABS para la correccion, se calcula mediante la relación 0.8/0.48(En X) y 0.8/0.6(En Y), así obtenemos: en X 1.68 en Y 1.34 Entonces la nueva gravedad a introducir en el ETABS será: en X 11.49 en Y 11.15 Por consiguiente la nueva fuerza corte dinámico corregido e importado desde el ETABS, será: Story Load Loc P VX VY STORY1 SISMO MAX Top 0 65916.34 79779.18 STORY1 SISMO MAX Bottom 0 65916.34 79779.18 De la tabla, los nuevos valores de Corte Dinámico son: V Dinámico en x(ton)= 65.9163 ton
  • 52.
    V Dinámico eny(ton)= 79.7792 ton 10 DISEÑO DE DOS COLUMNAS (UNA EXTERIOR Y UNA INTERIOR) 10.1 DISEÑO DE COLUMNAS 10.1.1 DISEÑO DE UNA COLUMNA EXTERIOR: DATOS: b= 30 cm h = 60 cm. r = 5 cm f’c = 210 Kg/cm2 fy = 4200 Kg/cm2 Pu = 35.55 Tn. Mu = 6.25 Tn-m. (Obtenido del etabs) Pn= 𝑃𝑢 0.7 = 35.55𝑇𝑛 0.7 = 27.37𝑇𝑛. Mn = 6.25 0.7 = 8.92 𝑇𝑛 − 𝑚  Cuantía ᴘ = [2-4%] le asignamos 3% Elemento N° b h L H e Pe P (m) (m) (m) (m) (m) (kg/m3-kg/m2) (kg) Columnas C2 1 0.3 0.5 1.9 2400 684 Kg Vigas V3 (25x35) 1 0.25 0.35 1.49 2400 313 Kg Vigas V2 (25x50) 1 0.25 0.5 2.76 2400 828 Kg Losa 1 1.16 4.25 350 1,726 Kg Tabiquería 1 0.15 1.9 4.25 1350 1,635 Kg Piso terminado 1 1.16 4.25 100 493 Kg s/c 1 1.16 4.25 0.25 200 247 Kg NUMERO DE PISOS 6 35,551 Kg 35.55 Tn METRADO DE CARGAS PARA COLUMNA EXTERIOR EJE E-1
  • 53.
    *Seguimos las recomendacionesde diseño: Ag ≥ 𝑃𝑢 0.45( 𝑓′ 𝑐+𝑓𝑦∗ᴘ) = 35.55∗1000 0.45(210+4200∗0.03) = 235.11 𝑐𝑚2ok  Corte que asume el concreto: Vc = 0.53(1 + 𝑁𝑢 140 ∗Ag ) √f′c*b*d Vc = 0.53(1 + 100 ∗10 ^3 140 ∗1800 )√210*30*55 = 66.59Tn Vu =33.02 Tn Vn = 33.02/0.85=38.84 Tn.  Corte que asume el acero de estribos de ϴ 3/8”: Vs = 66.59-38.84= 27.74 Tn.  Calculo del espaciamiento: Vs = 𝐴𝑣 ∗ 𝑓𝑦 𝑑 𝑆 27.74*10^3 = 2 ∗ 0.71 ∗ 4200 55 𝑆 S = 11.82 = 10 cm. 10.1.2 DISEÑO POR DE UNA COLUMNA INTERIOR: Elemento N° b h L H e Pe P (m) (m) (m) (m) (m) (kg/m3-kg/m2) (kg) Columnas C1 1 0.3 0.5 1.9 2400 684 Kg Vigas V1 (25x25) 1 0.25 0.25 3.67 2400 551 Kg Vigas V3 (25x35) 1 0.25 0.35 3.29 2400 691 Kg Losa 1 3.67 3.29 350 4,226 Kg Tabiquería 1 0.15 1.9 1 1350 385 Kg Piso terminado 1 3.67 3.29 100 1,207 Kg s/c 1 3.67 3.29 0.25 200 604 Kg NUMERO DE PISOS 6 8,347 Kg 50.08 Tn METRADO DE CARGAS PARA COLUMNA INTERIOR E-2
  • 54.
    DATOS: b= 30 cm h= 50 cm. r = 5 cm f’c = 210 Kg/cm2 fy = 4200 Kg/cm2 Pu = 50.08 Tn. Mu = 26.13 Tn-m. (Obtenido del etabs) Pn= 𝑃𝑢 0.7 = 50.08𝑇𝑛 0.7 = 71.42𝑇𝑛. Mn = 26 .13 0.7 = 37.32 𝑇𝑛 − 𝑚.  Cuantía ᴘ = [2-4%] le asignamos 3% *Seguimos las recomendaciones de diseño: Ag ≥ 𝑃𝑢 0.45( 𝑓′ 𝑐+𝑓𝑦∗ᴘ) = 50.08∗1000 0.45(210 +4200∗0.03) = 331.21𝑐𝑚2 ok  Corte que asume el concreto: Vc = 0.53(1 + 𝑁𝑢 140 ∗Ag ) √f′c*b*d Vc = 0.53(1 + 100 ∗10 ^3 140 ∗1800 )√210*30*55 = 66.59Tn Vu =33.02 Tn Vn = 33.02/0.85=38.84 Tn.  Corte que asume el acero: Vs = 66.59-38.84= 27.74 Tn.
  • 55.
     Calculo delespaciamiento: Vs = 𝐴𝑣 ∗ 𝑓𝑦 𝑑 𝑆 27.74*10^3 = 2 ∗ 0.71 ∗ 4200 55 𝑆 S = 11.82 = 10 cm. 11 DISEÑO DE DOS VIGAS DE ENTREPISO 11.1 VIGA I:  DATOS. b =0.25 m. h=0.50 m. L= 4.85 Mu = 38.02 Tn-m Fy = 4200 Kg/cm2 F’c = 210 Kg/cm2 R = 5 cm D = 0.45 m. Elemento N° b h L H e Pe P (m) (m) (m) (m) (m) (kg/m3-kg/m2) (kg) Vigas V2 (25x50) 1 0.25 0.5 4.85 2400 1455. Kg Losa 1 4.85 4.19 350 7112.525 Kg Tabiquería 1 0.15 1.3 4.85 1350 1276.8 Kg Piso terminado 1 4.85 4.19 100 2032.15 Kg s/c 1 4.85 4.19 0.25 200 1016.075 Kg 12,892.51 Kg 12.893 Tn METRADO PARA LA VIGA E 2-3
  • 56.
    INGRESAR DATOS SOLOEN LAS CELDAS NARANJAS b= base de la viga b = 25.0 cm h= Altura de viga h = 50.0 cm r= recubrimiento para vigas r = 5.0 cm h= 50.0 d= 45.0 d=peralte efectivo d = 45.0 cm f´c = 210 k/cm2 fy = 4200 k/cm2 b= 25.0 1> Según momentos de diseño calculamos los momentos ultimos Ingresar el momento negativo: Wu = t/m Máxu -= 32.02 t-m L= m Máx + 2) Cálculo de la capacidad del acero armado en tracción unicamente : P max = 0.75 Pb Pb = P max = 0.50 Pb fy 6000 + fy Pb = #N/A x 210 x 4200 6000 + 4200 Pb = #N/A #N/A 42840000 Pmáx= 0.75 x #N/A #N/A DISEÑO DE VIGA DOBLEMENTE ARMADA DATOS ß1 x 0.85 x f´c x 6000 6000 Cuantia máxima = P max = 0.75 Pb
  • 57.
    3) Cálculo delacero : As1= #N/A x 25 x 45.0 #N/A Cm2 #N/A 4200 #N/A cm 0.85 x 210 x 25 4) Cálculo del Momento : M1 = 0.90 x #N/A 4200 45.0 - #N/A = #N/A T-m 2 5) Cálculo del Momento Remanente : M2 = 32.02 - #N/A = #N/A T-m Pero : = #N/A x 100000 = #N/A Cm2 0.90 x 4200 x 45.0 - 5.0 6) Acero total : = #N/A #N/A = #N/A Cm2 Pulg Cms AREA cm2 3/8" 0.95 0.71 AS´ = #N/A Cm2 1/2" 1.27 1.27 11.4 5/8" 1.59 1.98 USAR : #N/A 1 1/2" 3/4" 1.91 2.85 3/8" 7/8" 2.22 3.88 1" 2.54 5.07 1 1/8" 2.86 6.41 1 1/4" 3.18 7.92 AS = 20.00 Cm2 1 3/8" 3.49 9.58 7.92 1 1/2" 3.81 11.4 USAR : 3 φ de 1 1/4" Area de acero As1 = pmáx x b x d M2 = MU - M1
  • 58.
    11.2 VIGA II: DATOS. b =0.25 m. h=0.35 m. L= 3.42 Mu =5.50Tn-m Fy = 4200 Kg/cm2 F’c = 210 Kg/cm2 R = 5 cm D = 0.45 m. Elemento N° b h L H e Pe P (m) (m) (m) (m) (m) (kg/m3-kg/m2) (kg) Vigas V2 (25x50) 1 0.25 0.35 4.85 2400 1018.5 Kg Losa 1 1.08 3.42 350 1292.76 Kg Tabiquería 1 0.15 1.3 3.42 1350 900.3 Kg Piso terminado 1 1.08 3.42 100 369.36 Kg s/c 1 1.08 3.42 0.25 200 184.68 Kg 3,765.62 Kg 3.766 Tn METRADO PARA LA VIGA H-I 2
  • 59.
    INGRESAR DATOS SOLOEN LAS CELDAS NARANJAS b= base de la viga b = 25.0 cm h= Altura de viga h = 35.0 cm r= recubrimiento para vigas r = 5.0 cm h= 35.0 d= 30.0 d=peralte efectivo d = 30.0 cm f´c = 210 k/cm2 fy = 4200 k/cm2 b= 25.0 1> Según momentos de diseño calculamos los momentos ultimos Ingresar el momento negativo: Wu = t/m Máxu -= 5.50 t-m L= m Máx + DISEÑO DE VIGA DOBLEMENTE ARMADA DATOS
  • 60.
    3) Cálculo delacero : As1= 0.016 x 25 x 30.0 = 12 Cm2 12.00 x 4200 = 11.29 cm 0.85 x 210 x 25 4) Cálculo del Momento : M1 = 0.90 x 12.00 x 4200 30.0 - 11.29 = 11.05 T-m 2 5) Cálculo del Momento Remanente : M2 = 5.50 - 11.05 = - 5.55 T-m Area de acero As1 = pmáx x b x d M2 = MU - M1 Pero : = - 5.55 x 100000 = -5.87 Cm2 0.90 x 4200 x 30.0 - 5.0 6) Acero total : = 12 -+ 5.87 = 6.13 Cm2 Pulg Cms AREA cm2 3/8" 0.95 0.71 AS´ = -5.87 Cm2 1/2" 1.27 1.27 11.4 5/8" 1.59 1.98 USAR : -1 φ de 1 1/2" 3/4" 1.91 2.85 3/8" 7/8" 2.22 3.88 1" 2.54 5.07 1 1/8" 2.86 6.41 1 1/4" 3.18 7.92 AS = 6.13 Cm2 1 3/8" 3.49 9.58 5.07 1 1/2" 3.81 11.4 USAR : 2 φ de 1"
  • 61.
    12 COMENTARIOS YCONCLUSIONES  El edificio está estructurado predominantemente por pórticos de columnas y vigas de concreto armando, así como por una losa aligerada, que actúan como diafragmas rígidos horizontales. En la estructura las columnas aportan casi el total de resistencia lateral en ambos sentidos.  La estructura es regular pues no presenta irregularidades tanto en planta como elevación, sin embargo presenta en planta, una forma muy alargada, ya que su largo es considerablemente mayor a su ancho.  No se consideraron por el momento en el Metrado de cargas y Análisis Estático sísmico la escalera y el ascensor.  Luego de realizar el modelamiento en el ETABS, se verifico que se exceden los desplazamientos máximos de la norma E.030, específicamente en el 1ER y 7Mo nivel, razón por la cual se debe aumentar la sección transversal de los elementos estructurales resistentes o aumentar la resistencia del concreto.  Luego de realizar el modelamiento en el ETABS, se verifico que no se cumple con la relación entre la fuerza cortante basal Estático y Dinámico, por lo que se realizo las correcciones del caso. D.  Las excentricidades máximas, cumplen las estipuladas en la norma E.030 13 REFERENCIAS BIBLIOGRÁFICAS  Norma Técnica de Edificación E.020 – Cargas  Norma Técnica de Edificación E.030 – Diseño Sismoresistente  Norma Técnica de Edificación E060 – Concreto Armado
  • 62.
     BLANCO BLASCO,ANTONIO, Estructuración y diseño de edificios de concreto armado, Libro 2 de la Colección del Ingeniero Civil, Lima, 1996- 1997, 2da Edición  MORALES MORALES, ROBERTO, Diseño en Concreto Armado, Fondo Editorial. I.C.G, Lima 2006.