INTERCAMBIADORES DE CALOR
INTRODUCCION
Un Intercambiador de calor es un equipo mecánico, construido
para transferir calor entre dos fluidos a diferente temperatura
que están separados por una pared (metálica).
Cuando la diferencia de temperatura es pequeña se desprecia la
transferencia de calor por radiación y el intercambiador de calor
se calcula aplicando las correlaciones de transferencia de calor
por conducción y convección.
Un aspecto importante en la aplicación de los intercambiadores
es la recuperación del calor de procesos o incluso a la
recuperación de calor de fluidos residuales, que en si mismo no
tienen valor económico, pero estando a temperaturas superiores
al ambiente, transportan calor, que al recuperarlo, tiene un valor
energético (recuperación de energía) y económico. Además
permite o contribuye a la conservación del medio ambiente,
ayuda a que el ahorro de energía se traduce en un ahorro de
combustible, disminución de masa de contaminantes (dióxido de
carbono y otros), emitidos a la atmósfera.
2.-CLASIFICACION
LOS DIFERENTES TIPOS DE INTERCAMBIADORES DE CALOR CON SUS
CARACTERÍSTICAS CONSTRUCTIVAS Y FUNCIONALIDAD, SE PUEDEN HACER
DIFERENTES CLASIFICACIONES:
1.-Según el proceso de transferencia de calor, se puede distinguir:
.-Recuperadores o transferencia directa.
.-Regeneradores o de almacenamiento
.-Lecho fluidizado.
.-Contacto directo.
.-Con combustión o generadores de calor (hornos y calderas)
2.- Según las características constructivas
.-Tubular: doble tubo, carcasa y tubos.
.-Placas: paralelas, espiral.
.-Compactos: tubos – aletas, placas – aletas.
3.-Según la disposición de los fluidos.
.-Paralelo.
.-Contracorriente.
.-Cruzado.
4.-DEPENDIENDO DE SU FUNCIÓN
-INTERCAMBIADOR.
-CALENTADOR Y ENFRIADOR.
-Refrigerador.
-Evaporador y condensador.
-Generador de vapor
A).-Los intercambiadores que por su construcción son: de flujo concéntrico y
por el sentido en que se mueven los flujos denominados de flujo paralelo
y de flujo en contracorriente. Figura Nº 1
• En el intercambiador de calor de flujos paralelos, el flujo másico más
caliente intercambia calor con el flujo másico más frió a la entrada del
intercambiador. Al comienzo, la transferencia de calor es mayor debido a
que la diferencia de temperatura es máxima, pero a lo largo del
intercambiador esa diferencia disminuye con rapidez y las temperaturas de
las dos corrientes se aproximan asintoticamente y con gran lentitud. En el
flujo paralelo en equicorriente, la temperatura final del fluido más frió
nunca puede llegar a ser igual a la temperatura de salida del fluido más
caliente
•EN EL INTERCAMBIADOR EN CONTRACORRIENTE, EL FLUJO A
MAYOR TEMPERATURA DEL FLUIDO CALIENTE INTERCAMBIA CALOR CON
LA PARTE MÁS CALIENTE DEL FLUIDO FRIÓ, Y LO MÁS FRÍA DEL FLUIDO
CALIENTE CON LA MÁS FRÍA DEL FLUIDO FRIÓ. ESTO PERMITE
ESTABLECER UNA DIFERENCIA DE TEMPERATURA CASI CONSTANTE
a lo largo del intercambiador. En el flujo en contracorriente la
temperatura final del fluido frió (que es lo que se calienta) puede
superar la temperatura de salida del fluido caliente (que se enfría),
puesto que existe un gradiente de temperatura favorable a todo lo largo
del intercambiador de calor.
INTERCAMBIADORES DE CALOR DE TUBOS CONCÉNTRICOS
B).- LOS INTERCAMBIADORES DE CALOR DE FLUJOS CRUZADOS, EN
ESTE CASO EL FLUIDO EXTERIOR ES UN GAS (GENERALMENTE
AIRE), MIENTRAS QUE EL FLUIDO INTERIOR PUEDE SER UN FLUIDO
CUALQUIERA GAS O LIQUIDO.
 Los fluidos se mueven en forma perpendicular entre si, estos
intercambiadores de calor pueden ser: tubulares con o sin aletas
(placas), los fluidos pueden ser mezclados y sin mezclar. En la figura
Nº 2 se presentan estos tipos de intercambiadores de calor.
Cubiertas de intercambiadores de calor compactos
Intercambiadores de calor compactos
Intercambiador
compacto, tipo espiral
para alta presión (40
barg). Dimensiones
3.3 m de altura y 45
Tm de peso.
C).-INTERCAMBIADOR DE TUBOS Y CARCASA, 1-2
(CORRIENTES PARALELAS Y EN CONTRACORRIENTE )
Se tiene intercambiadores de calor de carcasa y tubos, se utiliza para
la transferencia de calor entre líquidos, uno de los fluidos circula por
el interior de los tubos y el otro por el exterior. La carcasa envuelve
el conjunto de tubos. Los deflectores (BAFFLES), cumplen la función
de desviar el flujo exterior con objeto de generar un proceso de
mezcla que genera turbulencia para aumentar la transferencia de
calor. Ver figura. Nº 3.
El flujo de un intercambiador (1-2) es generalmente en
contracorriente y parcialmente en corrientes paralelas. Ver figura. Nº
3
En los intercambiadores de paso múltiple, se pueden utilizar
velocidades mas elevadas, tubos más cortos y resolver fácilmente el
problema de las expansiones y dilataciones. Disminuye la sección
libre para el flujo, con el cual aumenta la velocidad, dando lugar a
un incremento del coeficiente de transmisión de calor por
convección.
FIGURA Nº 3 INTERCAMBIADOR DE TUBOS Y CARCASA (1-2)
.
Intercambiador de calor de tubo y coraza
Intercambiador de calor de tubo y coraza con un paso por la
coraza y por los tubos (contraflujo cruzado)
Intercambiador de calor de tubo y coraza
Intercambiador de calor compacto. Intercambiador de placa
INTERCAMBIADOR DE CALOR EN ESPIRAL
A).-EL INTERCAMBIADOR ES MÁS COMPLICADO.
B).-AUMENTAN LAS PERDIDAS POR FICCIÓN DEBIDO A LA MAYOR
VELOCIDAD Y A LA MULTIPLICACIÓN DE LAS PERDIDAS DE CARGA EN LA
ENTRADA O LA SALIDA.
El intercambiador (1-2) posee una importante limitación ya que debido
al paso del flujo en corrientes paralelas, el intercambiador no permite
que la temperatura de uno de los fluidos a la salida sea muy próxima a
la temperatura del otros fluido a la entrada, lo que se traduce en que la
recuperación de calor de un intercambiador (1-2) es necesariamente
mala.
3.- DISTRIBUCION DE TEMPERATURAS
En la figura Nº 4 se presenta la distribución de temperatura de
varios intercambiadores típicos: de flujo paralelo, contracorriente y
de un paso por la carcasa y dos pasos por los tubos, condensador de
un paso de tubos, vaporizadores de un paso de tubos.
FIG. Nº 4 DISTRIBUCIÓN DE TEMPERATURAS EN DIFERENTES
TIPOS DE INTERCAMBIADORES DE CALOR
FIGURA Nº 5 DISTRIBUCIÓN DE TEMPERATURAS EN
INTERCAMBIADOR DE CALOR (1-2)
.
4.-COEFICIENTE GLOBAL DE TRANSFERENCIA DE CALOR
EL COEFICIENTE TOTAL DE TRANSFERENCIA DE CALOR (U) ES UN FACTOR
QUE PARA UNA CONFIGURACIÓN GEOMÉTRICA O HIDRODINÁMICA DADA, AL
MULTIPLICARLO POR EL ÁREA DEL INTERCAMBIO DE CALOR Y POR LA
DIFERENCIA TOTAL DE TEMPERATURAS. SE OBTIENE EL CALOR TOTAL
TRANSFERIDO.
totalQ UA T 
Una de las primeras cuestiones a realizar en el análisis térmico de un
intercambiador de calor de carcasa y tubos consiste en evaluar el
coeficiente de transferencia térmica global entre las dos corrientes fluidas.
Sabemos que el coeficiente de transferencia térmica global entre un fluido
caliente a temperatura TC y otro frío a temperatura TF separados por una
pared plana se define mediante la ecuación:
3
1
1 1
1 1i
i c F
UA
L
Ri
h A kA h A


 
 
EN EL CASO DE UN INTERCAMBIADOR DE CALOR FORMADO POR
DOS TUBOS CONCÉNTRICOS, FIG. Nº 1, EL ÁREA DE LA
SUPERFICIE DE INTERCAMBIO TÉRMICO ES:
.
1
1
1
, :
1
2
e
i
i i Fe e
UA
r
n
r
h
De forma que en g
c A kL
eneral
h A

 
:
:
2
2
i i
e e
A rLInterior
Area
Exter or Ai L





SI EL COEFICIENTE DE TRANSFERENCIA TÉRMICA GLOBAL VIENE
REFERIDO A LA SUPERFICIE EXTERIOR AE EL VALOR DE UE
SERÁ:
. 1
1
1
2
e
e
e
e i
ci i Fe
U
r
A n
A r
h A kL h

 
1
ln
1
2
i
e
i
i i
ci e Fe
U
r
A
r A
h kL A h

 
Si el coeficiente de transferencia de calor global viene referido
a la superficie interior (Ai) el valor de Ui, será
5.-FACTOR DE INCRUSTACION (SUCIEDAD)
CON FRECUENCIA RESULTA IMPOSIBLE PREDECIR EL COEFICIENTE DE
TRANSFERENCIA DE CALOR GLOBAL DE UN INTERCAMBIADOR DE CALOR
AL CABO DE UN CIERTO TIEMPO
de funcionamiento, teniendo solo en cuenta el análisis térmico; durante
el funcionamiento con la mayoría de los líquidos y con algunos gases, se
van produciendo gradualmente unas películas de suciedad sobre la
superficie en la que se realiza la transferencia térmica, que pueden ser
de óxidos, incrustaciones calizas procedentes de la caldera, lodos,
carbonilla u otros precipitados, Figura Nº 6; el efecto que esta suciedad
origina, se conoce con el nombre de incrustaciones, y provoca un
aumento de la resistencia térmica del sistema. La resistencia térmica del
depósito se puede determinar, generalmente, a partir de ensayos reales o
de la experiencia. Si se realizan ensayos de rendimiento en un
intercambiador limpio y se repiten después de que el aparato haya
estado en servicio durante algún tiempo, se puede determinar la
resistencia térmica del depósito (o factor de incrustación) RSuc mediante
la relación:
.
.
6. CALCULO DE TRANSFERENCIA DE
CALOR EN UN INTERCAMBIADOR DE
CALOR.
1 1
1
1
Sucio Func Limpio
Func Limpio
Fun
Sucio
Limpio
R R R
U U
U
R
U
   
 

2 1
1 2
2
1
( ) ( )
1
C PC C C
T T
Q m C T T UA UA LMTD
T
n
T
  
   


2 1
ML
2
1
ML
La expresion se denomina temperatura media
logaritmica ó , (logarithmic mean
ΔT -ΔT
ΔT
ΔT
1n
ΔT
ΔT ( temperaturedifferLMT )D) ence

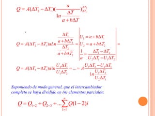
7. INTERCANBIADOR DE CALOR CON U VARIABLE
(U VARIA LINEALMENTE CON ∆T)
. Cuando el coeficiente global de transmisión de calor U varíe mucho de uno
a otro extremo del intercambiador, no es posible representarle por este valor;
si se admite que U varía linealmente con la diferencia de temperaturas ∆T se
puede poner:
2
2( )
( ) ( ) 1 1
( )
T
T
U a b T
T Td T
U a b T
dq Q
d T d T T
Ln
UdA T a b T dA T A a a b T


  
  
     
   
   
      

 
.
Suponiendo de modo general, que el intercambiador
completo se haya dividido en (n) elementos parciales:
1 2 2 3
1 1
... (1 2)
n
Q Q Q Q i 

   
2
12 1( )( )
1
T
T
a
Q A T T
T
n
a b T

   

 
1
1 1
1
2 1 2 2
2
1 2
2
2 1 1 2
2 1 1 2 2 1
2 1
1 21 2
2 1
( )
1
( ) 1 ...
1
T U a b T
a b T
Q A T T aLn U a b T
T
T Ta b T
a U T U T
U T U T U T
Q A T T a n A
U TU T n
U T
   
 
        

    
  
   
     


8. INTERCAMBIADORES DE CALOR CON DIFERENCIAS DE
TEMPERATURAS EN LOS EXTREMOS IGUALES
.
Si las capacidades caloríficas de los fluidos son iguales, las
diferencias de temperaturas en contracorriente resultan iguales y ∆T
= ∆T1 = ∆T2 por lo que para salvar la indeterminación 0/0 en el
valor de la (LMTD), hay que aplicar la regla del L’Hopital.
2 1
2 1 1
2
1
2
0 1
L´Hopital
0 11
T T x
Q UA T x T UA T
T nxn
T
Q UA T
   
        


 
SI LA DIFERENCIA DE TEMPERATURAS ∆T1 NO ES MAYOR QUE UN
50% DE ∆T2, ES DECIR:
9. FACTOR DE CORRECCIÓN DE LA LMTD
La diferencia de temperaturas media aritmética no difiere de la
(LMTD) es más de 1% y se puede utilizar en lugar de ella para
simplificar los cálculos.
En intercambiadores de calor de tubos y carcasa o para
intercambiadores de calor mas complicados, la determinación de ∆T no
es tan sencilla, aunque el procedimiento es el mismo que para el
intercambiador (1-1) en contracorriente.
Para determinar el valor de del intercambiador (1-2) de la figura
XVII.5.b, se considera una longitud diferencial del mismo, a la que
corresponde un área superficial de intercambio térmico de tubería dA,
pudiéndose escribir las siguientes expresiones:
2 12
1 2 1
2 2
C F
C F
T TT
T T T

    
 ( ) ( ) ( )C C F Fa Fb C Fa C FbdQ C dT C dT dT UdA T T T T      
ELIMINANDO DOS CUALESQUIERA DE LAS TRES TEMPERATURAS, QUE
SON DESCONOCIDAS, POR EJEMPLO TFA Y TFB SE OBTIENE UNA
ECUACIÓN DIFERENCIAL EN TC QUE SE RESUELVE TENDIENDO EN
CUENTA EL BALANCE CALORÍFICO TOTAL DEL INTERCAMBIADOR:
.
1 2 2 1( ) ( )C C C F F FC T T C T T  
La expresión que proporciona el calor transmitido en el intercambiador
(1-2) es:
2
12 1
1 2 2 1
1 2
2 1
( )( )
1
( ) ( )
( )
T
T
C F C F
C F
C F
a
Q A T T
T
n
a b T
T T T T
Q UAF UAF LMTD
T T
Ln
T T

   

 
  
 


Relación de capacidades térmicas
La diferencia media de temperaturas, se determina
mediante la siguientes relación:
Donde F es el factor de corrección de
temperaturas y se determina mediante las
relaciones:
El coeficiente de efectividad P es un indicativo de la eficiencia del
intercambio térmico y puede variar desde 0, a 1
( )T F LMTD 
1 2
2 1
T T
R
t t



2 1
1 1
P
C
Coeficientedeefecti
t t
t fluido por los tubos
T t
T fluido por el
vidaa
s o
d
ca c

 


10 EFECTIVIDAD Y NUMERO DE UNIDADES DE
TRANSMISION
El calor intercambiado entre los dos fluidos se determina por la aplicación
simultánea de las tres siguientes ecuaciones.
En estas expresiones, aún conociendo U y A, y dos
temperaturas: las de entrada de fluido caliente y la de
salida del fluido frió, o de la entrada del fluido caliente y
entrada del fluido frió, todavía nos quedan dos
temperaturas por conocer
( )
( )
total
F F Fs Fe
C C Ce Cs
Q UA T
Q m Cp T T
Q m Cp T T
 
 
 
Para resolver este problema Nusselt desarrollo el método que lleva por
nombre Número de Unidades de Transmisión (NTU). Este método fue
perfeccionándose después por Kays y London. Consiste en determinar el
intercambio de calor por cada grado de diferencia de temperatura, que
según la expresión (18) es el producto UA.
EL CALOR TRASMITIDO POR CADA GRADO DE AUMENTO DE
TEMPERATURA, A UNO (O DESDE UNO) DE LOS DOS FLUIDOS LO
DETERMINAN LOS PRODUCTOS MCCPC O MFCPF. COMO ESTOS
productos y el UA tienen las mismas unidades, el producto UA se puede
hacer adimensional dividiendo por (mCp). Así obtenemos un número que
expresa la capacidad de transmisión de calor del cambiador. El NTU se
define como el cociente entre UA y el producto mCp de menor valor.
min
..........................21
( )p
UA
NTU
mC

LAS DEFINICIONES DE CAPACIDAD, CR Y DE LA EFECTIVIDAD SE
GENERALIZAN DE LA SIGUIENTE FORMA:
, ...............................23fs fe
f pf c pc
ce fe
T T
m C m C
T T


 

min
max
( )
..............................................22
( )
p
R
p
mC
C
mC

Efectividad,
, ...............................24CE CS
f pf c pc
CE FE
T T
m C m C
T T


 

Coeficiente de capacidad,
La efectividad es el cociente entre el calor realmente intercambiado y el
máximo que podría transmitirse en un cambiador en contracorrientes de
área infinita.
max min 1 1
max
( . ) ( )C F
Q
Q mCp T T
Q
   
FIGURAS 13-18 Diagrama del factor de corrección F para
intercambiadores de calor comunes de casco y
tubos y de flujo cruzado (tomado de Bowman,
Mueller y Tagle, Ref.2)
FIGURA 13-26 EFECTIVIDAD PARA LOS INTERCAMBIADORES
DE CALOR (TOMADO DE KAYS Y LONDON, Ref. 5)
Tabla 11.3 Relaciones de eficiencia de un intercambiador de calor
PROBLEMA Nº 1
Aceite caliente (Cp = 2 200 j/Kg. °C) se va a enfriar por
medio de agua (Cp = 4 180 j/kg. °C) en un intercambiador
de calor de dos pasos por el casco y 12 pasos por los
tubos. Estos son de pared delgada y están hechos de cobre
con un diámetro de 1,8 cm. La longitud de cada paso de los
tubos en el intercambiador es de 3 m y el coeficiente de
transferencia de calor total es de 340 W/m2°C. Por los
tubos fluye agua a una razón total de 0,1 Kg./s y por el
casco fluye el aceite a razón de 0,2 Kg./s. El agua y el
aceite entran a las temperaturas de 18 C. y 160 C.
respectivamente. Determine la velocidad de transferencia
de calor en el intercambiador y las temperaturas de salida
de las corrientes del agua y del aceite.
DIAGRAMA DE FLUJO
.
Solución.-
1. Para determinar el flujo de calor y las temperaturas de salidas de los
fluidos, se aplicara el método de la eficiencia – número de unidades de
transferencia (e – NTU – Rc)
2. Cálculo de la razón de capacidades térmicas de los fluidos, para
identificar cual es el mínimo y el máximo
.
.
C C max
fluidocaliente,el aceite
kg j j W
m Cp = 0,2 ×2200 = 440 =440 = C
s kg.°C s.°C °C
F F min
fluidofrio;elagua
kg j j W
m Cp = 0,1 ×4180 = 418 = 418 =C
s kg.°C s.°C °C
3.Siendo el fluido frío el de menor capacidad térmica, la eficiencia se
determina, mediante la gráfica Nº 13-26, (d), con los parámetros NTU y
Rc.
2 1
1 1
min
min
max
-F F
C F
U A
NTU
T T C
CT T
Rc
C

 
 
 
   
  
  
2
4. Calculos de los parametros:
•Area de transferencia de calor
0,018 3 12 20357A DLNp m m m      
.
.
6. Por el grafico la eficiencia es: ε = 0,61
7. Reemplazando en (3)
   
2
2
2 1F F F
-18
0,61 104,62
160 18
El flujo de calor:
Q=C T -T 418 104,62 18 36207,16 36,20716
F
F
T
T C
W
F W KW
F
     

    

2
2
340 2,0357 418
.
5. Calculo de NTU y
1,655 0,95
Rc
4841 40
W W
m
m C CNTU Rc
W W
C C

    
 
2 1C C
C
8. La temperatura de salida del fluido caliente se determina
del
Q 36207,16W
T =T - =
balance de energia:
160°C- =77,711°C
WC 440
°C
PROBLEMA Nº 2
Determinar el área de intercambio térmico que se necesita para que un
intercambiador de calor construido con un tubo de 25 mm. de diámetro
exterior, enfríe 6,93 Kg /s de una solución de alcohol etílico al 95 %,
Cp = 3810 j/kg.K, desde 65,6 C. hasta 39,4 C., utilizando 6,3 Kg./s de
agua a 10 C. Se supondrá que el coeficiente global de transferencia
térmica basado en el área exterior del tubo es de 568 W/m. °C. En la
resolución del problema se realizará en los siguientes supuestos, que el
intercambiador sea:
Carcasa y tubo con flujo en equicorriente
Carcasa y tubo con flujo en contracorriente
Intercambiador en contracorriente con dos pasos en la carcasa y 4
pasos en los tubos de 72 tubos en cada paso, circulando el alcohol por
la carcasa y el agua por los tubos.
Flujo cruzado, con un paso de tubos y otro de carcasa, siendo con
mezcla de fluido en la carcasa.
SOLUCIÓN.-
a). Intercambiador de calor de carcasa y tubo con flujo en
equicorriente
1.-Diagrama de flujo del intercambiador de calor; en el se tiene que
el agua = f (fluido frío), y el alcohol etílico = c (fluido caliente)
2. :
568 ; 25,4 ; 3810 ( );
. .
4186 ( )
.
O c
f
Datos
W JU D mm Cp alcohol etilico
m C Kg K
JCp agua
Kg K

  

.
.
   
 
 
1 2 2 1
2
2
3. , :
. .
6,93 / 3810 / . 65,6 39,4 691766 / 691,766
691766 / 6,3 4186 10
36,23
C C C C F F F F
F
F
Balancedeenergia considerandoquenohay perdida decalor
Q m Cp T T m Cp T T
Q kg s j kg C C j s KW
Q j s T
T C

   
       
    
 
   
 
 
1 1
2 2
12 1
2 2
1 1
4. log ( )
39,4 36,23 65,6 10
39,4 36,23
65,6 10
18,3
ML
C F
ML
C F
ML
Calculodela diferncia media aritmicatemperatura T
T T TT T
T
T T T T
Ln Ln
T
T C
 
       
   
   
 
  
2
2
5.
691766( / )
. . 66,55
. 568( / . ) 18,3
66,55
. . 834
0,0254
ML
ML
Delaecuaciondediseño paralatransferencia decalor
Q j s
Q U A T A m
U T w m C C
A m
A D L L m
D m

     
   
     
 
.
.
b) Intercambiador de calor de carcasa y tubo con flujo en
contracorriente
1.-Diagrama de flujo del intercambiador de calor; en el se tiene que el agua
= f (fluido frío), y el alcohol etílico = c (fluido caliente)
.
.
   
 
 
1 2
2 1
12 1
2 2
1
2. log ( )
39,4 10 65,6 36,23
39,4 10
65,6 36,23
0
, las diferencias de temperaturas en los terminales s
0
ML
C F
ML
C F
ML
Calculodela diferncia media aritmica detemperatura T
T T TT T
T
T T T T
Ln Ln
T
T
 
       
   
   
 
  on
iguales , por lo queaparentemente serίa indeterminado
Puede ocurrir que las capacidades caloríficas de los fluidos son
iguales, las diferencias de temperaturas en contracorriente
resultan iguales, ΔT= ΔT1 = ΔT2, por que se ha de aplicar la
regla de L´Hôtipal.
1 2
2 1
2 1 1 2
2
1
ôpital
( 1)0
L´H
0
( ) 65,6 36,23 29,37
ML
ML
ML C F
Q UA T
T T T x
T T x T x T T
T Ln x
Ln
T
T T T C
 
    
            


      
.
.
2
2
4. ,
691766( / )
. . 41,47
. 568( / . ) 29,37
41,47
. . 519,69
0,0254
ML
ML
Delaecuaciondediseño paralatransferencia decalor
Q j s
Q U A T A m
U T w m C C
A m
A D L L m
D m

     
  
     
 
C. INTERCAMBIADOR DE CALOR DE CARCASA Y TUBOS, DOS PASOS
POR LA CARCASA Y CUATRO PASOS POR LOS TUBOS (2-4)
.1. Diagrama de flujo del intercambiador de calor; en el se tiene que el agua
= f (fluido frío), y el alcohol etílico = c (fluido caliente)
2
5. :
691766 ; 36.37 ; 29.37
4. ( ), det min ,
int (2 4),int tan ( )
C ML
T
deloscalculos realizadosenb setiene
KgQ T C T C
s
calculodel factor decorrecciondetemperatura F se er a por grafico para
ercambiador decalor ercep do P y R

     


2 1
1 1
1 2
2 1
razón de efectividad
, = 0,97
razón de capacidad
36,23 10
= 0,47
65,6 10
65,6 39,4
= 0,9988 ~ 1.00
36,23 10
T
F F
C F
C CF F F
C C C F F
P
F P R
R
T T
P
T T
T TC m Cp
R
C m Cp T T



 
 
 
 
   
 
.
2
2
5.
691766
. . .Δ
. .Δ 568( / . ) 0.97 29,37
42,75
T ML
T ML
delaecuaciondediseño
Q w
Q U A F T A
U F T w m C C
A m

   
   

2
6.
42,75
4 72 4 72 0,0254
1.86
Calculo dela longitud detubos
A m
L
D m
L m

 
        

D. INTERCAMBIADOR DE FLUJO CRUZADO CON UN PASO DE
TUBOS Y UN PASO POR LA CARCASA, SIENDO CON MEZCLA DE
FLUIDO POR LA CARCASA
1. Diagrama de flujo del intercambiador de calor
2
2. int , :
691766 ; 36.37 ; 29.37C ML
Parael ercambiador de flujocruzado setiene
KgQ T C T C
s

     .
3. Cálculo del factor de corrección de temperatura (FT), se
determina por gráfico, para intercambiador de calor de flujo
cruzado, con un fluido mezclado, por la carcasa (luido caliente)
y el otro fluido sin mezclar (fluido frío), FT(P,R)
2 1
1 1
1 2
2 1
razón de efectividad
, = 0,875
razón de capacidad
36,23 10
= 0,47
65,6 10
65,6 39,4
= 0,9988 ~ 1.00
36,23 10
T
F F
C F
C CF F F
C C C F F
P
F P R
R
T T
P
T T
T TC m Cp
R
C m Cp T T



 
 
 
 
   
 
Problema Nº3
En una planta textil se va a usar el agua de desecho del
teñido (Cp = 4 290 j/kg. °C) que está a 75 C. para precalentar
agua fresca (Cp = 4 180 j/kg.°C) a 15 °C, con el mismo gasto
de masa., en un intercambiador de calor de tubo doble y a
contraflujo. El área superficial de transferencia de calor del
intercambiador es de 1,65 m2 y coeficiente de transferencia de
calor total es de 625 W/m2.°C. Si la velocidad de la
transferencia de calor en el intercambiador es de 35 KW,
determine la temperatura de salida y el gasto de masa de cada
corriente de fluido.
T ML 2
T ML
2
4.-De la ecuacion de diseño
Q 691766w
Q=U.A.F .ΔT A= =
U.F .ΔT 568(w/m .°C)×0,875×29,37°C
A=47,39m

DIAGRAMA DE FLUJO
.
Solución.-
2. De acuerdo al método de la Diferencia media logarítmica
   
   
 
 
1 2 2 1
1 2 2 1
1 2
2 1
2.2 , .
C C C C F F F F
C F C F
ML
C F
C F
Del balancedeenergia setiene
Q m Cp T T m Cp T T
T T T T
Q U A T U A
T T
Ln
T T
     
  
      


 2 2 11
2.3
F
C C F F
C
Comoambos fluidostienenel mismo flujomasico
Cp
T T T T
Cp
  
2
2
:
1. 1.65 ; 625 ; 35000
Datos
WArea m U Q W
m C
   

2.4.-EL PROCEDIMIENTO PARA CALCULAR LAS
TEMPERATURAS DE SALIDAS DE LOS FLUIDOS ,
APLICANDO EL MÉTODO DE LA DIFERENCIA MEDIA
LOGARÍTMICA DE TEMPERATURAS,
mediante el ensayo y error, es el siguiente:
Primero se supone un valor de la temperatura de salida del
fluido frío TF2
Se determina la temperatura de salida del fluido caliente TC2
Se halla la diferencia media logarítmica
Luego mediante la ecuación de diseño se halla el calor
transferido, si no es igual al flujo de calor dado se procede a
realizar otras suposiciones, hasta encontrar un valor cercano.
2.5.-Ejemplo de calculo para una primera suposición, el resto
de cálculos efectuados se muestran el la tabla siguiente
Asumiendo que TF2 = 45 °C;
1 1
2
75 15
45
2 2
C F
F
T T
T C
 
    
 
 2
4180
.
75 45 15 45,80
4295
.
C
j
kg C
T C C C
j
kg C

      

   
 
 
75 45 45,80 15
30,4002
75 45
45,80 15
MLT C
Ln
  
   


2
2
625 1,65 30,4002 31350,235
.
ML
W
Q U A T m C W
m C
        

Como no se alcanza el valor del calor transferido, se procede a realizar otras
suposiciones, los cálculos realizados se muestran en la siguiente tabla:
Suposición TF2 = °C TC2 = °C ΔTML = °C Q = W
1 45 45,804 30,4002 31350,236
2 42 48,7236 33,3604 34405,007
3 41,5 49,2102 33,8538 34911,7915
4 41,4 49,3075 33,9525 35013,55
2 2
De los resultados, se puede tener que las temperaturas
desalida delosfluidos, son : 49.3 41.4C FT C y T C

   
2 1
2 1
f c
F F F F F
F F F
Por tanto el flujomasico (m =m ) de los fluidos :
Q 35013 kg
Q=m .Cp (T -T ) m = = = 0,31
Cp (T -T ) 4180(41,4-15) s
son

Problema Nº 4
En un intercambiador de calor con flujo en contracorriente,
por el que circulan 5 Kg. de agua por minuto, y 8 Kg. de
aceite por minuto, el agua entra a 20 °C y sale a 40 °C,
mientras que el aceite entra a 90 °C.
El calor específico del agua es Cpagua = 1 Kcal./kg. °C, el
calor específico del aceite obedece a la siguiente relación,
Cpaceite = 0,8+0,002Taceite, con Taceite = °C.
DETERMINAR:
A. LA TEMPERATURA DE SALIDA DEL ACEITE
B. LA EFICIENCIA DEL INTERCAMBIADOR DE CALOR
c.-Si el coeficiente global (U), para el rango de temperaturas del
intercambiador, viene dado por:
¿Calcular el valor del área de intercambio térmico?
Solución.-
2
10
,
min. .
aceite
aceite agua
TKcal
U con T en C
m C T T
 
  
  
1.-DIAGRAMA
1 2 2 1
2. ,
. ( ) . ( ) . . , ( )ac ac C C ag ag F F ac ag
calculodelatemperaturadesalidadeaceite medianteunbalancedeenergia
Q m Cp T T m Cp T T U A T T T T

        
3.Re :
. . . ( )ac ac ac ag ag ag ac ag
alizandounbalancediferencial setiene
dQ m Cp dT m Cp dT U dA T T   
4. Re
(0,8 0,002 ) .ac ac ag ag ag
emplazandoel valor deCp del aceite
dQ m T dT m Cp dT

  
     
2
2 1 1 2
1
2
5. int exp :
0,002
0,8 . .
2
C
C
T
ac ag ag F F ag ag F F
T
egrandoa resion
T
m T m Cp T T m Cp T T

 
      
 
 2
2
2 2
2 2
2
6. Re exp :
0,002 0,002 90
8 0,8 0,8 90 5 1 40 20
2 2
0,8 0,001 67,6 0
C
C
C C
emplazandolosvalores yluego simplificandola resion setiene
T
T
T T

    
                
  
2
2
22
7. Re (6),
0,8 0,8 4(0,001)( 67,6)4
2 2(0,001)
77,07
C
C
solviendola ecuacion de segundo grado
b b ac
T
a
T C

     
 
 
, 5 1 (40 20) 100 / minreal agua ag ag agQ m Cp T Kcal      
8.-CÁLCULO DE LA EFICIENCIA DEL INTERCAMBIADOR DE CALOR
8.1LA POTENCIA CALORÍFICA REAL INTERCAMBIADO, ES LA
ABSORBIDA POR EL AGUA
8.2La velocidad máxima posible de transferencia
de calor para el agua ( ,max aguaQ ) , es cuando, Tf2 = Tc1
 1 1,
,
( ) 5 1 90 20
min .
350 / min
max agua ag ag C F
max agua
kg Kcal
Q m Cp T T C
kg C
Q Kcal
  
        
   

 
   
1 1
1 1
max,
2 2
max,
max,
0,8 0,002
90 20
8 0,8 90 0,002 0,8 20
min 2 2
509,6
min
C C
aceite ac ac ac ac ac acF F
ac
aceite
aceite
Q m Cp dT m T dT
kg
Q
Kcal
Q
  
 
       
 

 
8.3LA VELOCIDAD MÁXIMA POSIBLE DE TRANSFERENCIA
DE CALOR PARA EL ACEITE () ES CUANDO: TC2 =
TF1
8.4 La eficiencia del intercambiador,
 1 1
min
max min
,
100
0,2857 28,7%
350
real real
C F
Q Q
C m Cp
Q C T T
    

   
min
max
5 1 5
min . min.
90 77,07
8 0,8 0,002 7,736
min 2 . min.
ag ag ag
ac ac ac
kg Kcal Kcal
C m Cp C
kg C C
kg Kcal Kcal
C m Cp C
kg C C
  
       
    
    
           
     
8.5 OTRA FORMA DE DETERMINAR LA EFICIENCIA, ES TAL
COMO SIGUE:
DETERMINACIÓN DE LA CAPACIDAD CALORÍFICA MÍNIMA CMIN
 
1 2
2 1
22 1
2 1
1
90 40 50 50 57,07
77,07 20 57,07 50
57,07
53,45
ML
C F
ML
C F
ML
calculode T
T T T CT T
T
T T T T C LnLn
T
T C

         
   
        
  
  
. . 100 . 53,45 . 1,87
min min.
. 1,87
0,374
min 5
ML
Kcal Kcal
Q U A T U A C U A
C
U A
NTU
C
       

  
DE LA ECUACIÓN DE DISEÑO
La ecuación para determinar la eficiencia ,
para un intercambiador de calor a contracorriente, es:
min
max
max
5
1 0,374 1
7,736
5
0,374 11
7,736min
max
1 1
0,2857 28,57%
5
11
7,736
min
C
NTU
C
C
NTU
CC
C
   
     
   
   
       
 
    

e e
ee
2 1 2 1
1 1 1 1min
( ) ( ) 40 20
0,2857 28,57 %
( ) ( ) 90 20
F F F F F
C F C F
C T T T T
C T T T T
  
     
  
8.6.-TAMBIÉN SE PUEDE DETERMINAR MEDIANTE LA SIGUIENTE
RELACIÓN, TEMIENDO EN CUENTA QUE LA CAPACIDAD CALORÍFICA
MIN. CORRESPONDE AL FLUIDO FRÍO
9.-Cálculo del área de intercambio térmico; Del balance
de energía.
. . ( )
10
(0,8 0,002 ) ( ) ( ) 10
(0,8 0,002 )
, integrando
10
ac ac ac ac ag
ac
ac ac ac ac ag ac ag ac
ac ag
ac ac ac
ac
Q m Cp dT UdA T T
T
m T dT UdA T T dA T T T dA
T T
m T dT
dA
T
  
     



 
 
1 1
1 2
2
2
2
(0,8 0,002 )
0,8 0,002
10 10
90
0,8 0,8 0,002 90 77,07
77,07
0,11988
C
C
T Cac ac ac
ac C CT
ac C
TT dT m
A m Ln T T
T T
A Ln
A m
   
     
  
 
    
 


10.-También se puede determinar, de la siguiente forma
 
 
2
2
2
10 10(90 77,07)
15,6
(90 77,07) (40 20) .min.
1,87
min.1,87 0,11987
min. 15,6
.min.
aceite
aceite agua
T Kcal
U
T T m C
Kcal
Kcal CU A A m
C Kcal
m C

  
    
    


PROBLEMA Nº5
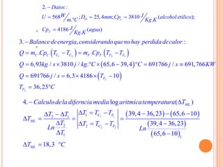
Se dispone de dos tuberías de acero concéntricos, de
diámetros interiores 50 mm y 100 mm y espesor 5 mm. Por
la tubería interior circula amoniaco líquido, que penetra a
la temperatura de 20a.C. y velocidad de 3 m/s, mientras
que por el extremo opuesto del espacio anular penetra
agua a 80 a.C. y velocidad 1,5 m/s. La longitud de las
tuberías es de 100 m. y la conductividad térmica del acero
de 40 w/m.°C. Se supondrá no existen pérdidas térmicas.
DATOS:
Para el NH3: ρ = 580 kg/m3; Cp = 5 KJ/Kg.°C; k = 0,50
w/mK; ν = 0,34x10-6 m2/s; Pr = 2
Para el agua: ρ = 985 kg/m3; Cp = 4,186 Kj/kg.°C; k =
0,66 w/mK; ν = 0,484x10-6 m2/s; Pr=3
Con estos datos determinar:
A).- Los coeficientes de convección correspondientes
B).- El coeficiente global de transmisión de calor referido
a la sección exterior del tubo interior.
C).- La temperatura de salida de los dos fluidos.
D).- El calor intercambiado.
SOLUCIÓN.-
DIAGRAMA DE FLUJO
2.-CÁLCULO DEL COEFICIENTE DE TRANSMISIÓN POR CONVECCIÓN
DEL AMONIACO (FLUIDO FRÍO), QUE FLUYE POR EL INTERIOR DEL
TUBO INTERIOR. ESTE FLUIDO SUFRE CALENTAMIENTO
DIÁMETRO INTERIOR DEL TUBO INTERIOR, D1= 50 MM
2.1Flujo másico del amoniaco
 
2
3
0,05
ρ 3 580 3,4165 12300
4
amon
mm kg kg kg
m vA
s s hm

     
2.2Determinación del número de Reynolds ( para el flujo
del amoniaco)
1
2
6
3 0,05
.
Re 441176 ( )
0,34 10
m
m
V D s flujo turbulento
v m
s


  

2.3 CÁLCULO DEL NÚMERO DE NUSSELT, PARA LUEGO
HALLAR EL COEFICIENTE POR CONVECCIÓN POR EL LADO
DEL AMONIACO (HI), PARA ESTO SE HARÁ USO DE LA
ECUACIÓN DE DITTUS-BOELTER, ESTE FLUIDO
sufre calentamiento.
   
0,8
0,8 0,4 1
2
1
0,023Re Pr ; 3 ( )
4 ( )
0,023 441176 2 995
995 0,5
9950
0,05 .
n
amon
amon
Nu n para enfriamiento
n para calentamiento
hi D
Nu
k
Nu k w
hi
D m K
 


  
 
  
3.-CÁLCULO DEL COEFICIENTE DE TRANSMISIÓN POR CONVECCIÓN
DEL AGUA (FLUIDO CALIENTE), QUE FLUYE POR EL ANULO.
ESTE FLUIDO SUFRE ENFRIAMIENTO
3.1Se debe usar el diámetro hidráulico (DH)
 
 
2 2
3 2
3 2
3 2
44 100 60 40H
D D
D D D mm
D D
 
      
  
 
3.2Cálculo del numero de Reynolds
2
6
1,5 0,040
.
Re 125000 ( )
0,48 10
H
m
m
V D s flujo turbulento
v m
s


  

3.3CÁLCULO DEL NÚMERO DE NUSSELT, PARA LUEGO
HALLAR EL COEFICIENTE POR CONVECCIÓN POR
EL LADO DEL AGUA (HO),
para esto se hará uso de la ecuación de Dittus-Boelter, este
fluido sufre enfriamiento.
   
0,8
0,8 0,3
2
0,023Re Pr ; 3 ( )
4 ( )
0,023 125000 3 382,3
382,3 0,66
6307,75
0,04 .
n
H
agua
agua
H
Nu n para enfriamiento
n para calentamiento
ho D
Nu
k
Nu k w
ho
D m K
 


  
 
  
3 2
2 2 2
1 1
2
1 1
30 0,03 30 11
25 9950 40 25 6307,75
2400
.
NH H O
Uo
r r r
LnLn
r h k r h
w
Uo
m K
  
  


4. EL COEFICIENTE DE TRANSMISIÓN DE CALOR GLOBAL (U),
REFERIDO A LA SECCIÓN TRANSVERSAL EXTERIOR DEL TUBO
INTERIOR, SE DETERMINA MEDIANTE LA RELACIÓN
5. Cálculos de las temperaturas de salida de los fluidos
5.1Determinación de las razones de capacidad térmica, para el
amoniaco y el agua
Para el amoniaco:
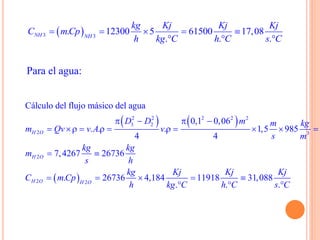
 3 3
. 12300 5 61500 17,08
. . .
NH NH
kg Kj Kj Kj
C mCp
h kg C h C s C
    
  
Para el agua:
   
 
2 2 2 2 2
3 2
2 3
2
2 2
Cálculo del flujo másico del agua
0,1 0,06
. . . 1,5 985
4 4
7,4267 26736
. 26736 4,184 11918 31,088
. . .
H O
H O
H O H O
D D m m kg
m Qv v A v
s m
kg kg
m
s h
kg Kj Kj Kj
C mCp
h kg C h C s C
   
         
 
    
  
2
NH3 min F
H O max C
Kj
C = C =17,08 = C (fluido frío)
s.°C
Kj
C = C =31,08 = C (fluido caliente)
s.°C
DE LAS RAZONES DE CAPACIDAD TÉRMICAS
CALCULADAS, SE TIENE:
5.2 Cálculo de la superficie de intercambio térmico, basado el
radio exterior del tubo interior.
2 2
2A =2 2 0,03 100 18,85r L m m m    
 
2
2
2
min
18,85 2400. . 2,6486
17,08
.
w
mAU m CNTU
KjC
s C

  

5.3 EL NÚMERO DE UNIDADES DE TRANSFERENCIA DE CALOR
(NTU), ES:
5.4 Cálculo de la razón de capacidades caloríficas (RC)
min
max
17,08
0,5494
31,088
C
C
R
C
  
5.5 La eficiencia del intercambiador de calor se puede
determinar mediante la gráfica Nº 13.26b
nterceptando los valores de NTU y Rc, o mediante la
siguiente ecuación (intercambiador de calor con flujos a
contracorriente)
Las temperaturas de salida de los fluidos serán :
 2 1 1 1
min
20 (80 20) 0,8361 1 70,17F F C F
F
C
T T T T C
C
          
6.El calor intercambiado se puede determinar, mediante:
min
max
min
max
C 17,03
NTU 1 2.6486 1
C 31,088
17,03C
2,6486 1NTU 1
31,088Cmin
max
1 e 1 e
17,03C
1 e1 e
31,088C
0,8361
              
         
               
      
 
   

 
 
 
 
1 1
1 2
2 1
2 1
2
1
2
1
min
80 71,17 9,83
52,5 20 32,5
C F
C F
C F
T T
Q UA C T T
T
Ln
T
T T T
T T T
  
   


     
     
Reemplazando valores se tiene :
9,83 32,5
2400 18,85 2 857,66
9,832.
32,5
w
Q m Kw
m K
Ln

   
El flujo de calor se puede determinar mediante la otra ecuación
 0,8361 17,08 80 20 856,8
.
Kj
Q Kw
s C
    

CRISTIAN
ALBERTO

Intercambiadores de calor

  • 1.
    INTERCAMBIADORES DE CALOR INTRODUCCION UnIntercambiador de calor es un equipo mecánico, construido para transferir calor entre dos fluidos a diferente temperatura que están separados por una pared (metálica). Cuando la diferencia de temperatura es pequeña se desprecia la transferencia de calor por radiación y el intercambiador de calor se calcula aplicando las correlaciones de transferencia de calor por conducción y convección. Un aspecto importante en la aplicación de los intercambiadores es la recuperación del calor de procesos o incluso a la recuperación de calor de fluidos residuales, que en si mismo no tienen valor económico, pero estando a temperaturas superiores al ambiente, transportan calor, que al recuperarlo, tiene un valor energético (recuperación de energía) y económico. Además permite o contribuye a la conservación del medio ambiente, ayuda a que el ahorro de energía se traduce en un ahorro de combustible, disminución de masa de contaminantes (dióxido de carbono y otros), emitidos a la atmósfera.
  • 2.
    2.-CLASIFICACION LOS DIFERENTES TIPOSDE INTERCAMBIADORES DE CALOR CON SUS CARACTERÍSTICAS CONSTRUCTIVAS Y FUNCIONALIDAD, SE PUEDEN HACER DIFERENTES CLASIFICACIONES: 1.-Según el proceso de transferencia de calor, se puede distinguir: .-Recuperadores o transferencia directa. .-Regeneradores o de almacenamiento .-Lecho fluidizado. .-Contacto directo. .-Con combustión o generadores de calor (hornos y calderas) 2.- Según las características constructivas .-Tubular: doble tubo, carcasa y tubos. .-Placas: paralelas, espiral. .-Compactos: tubos – aletas, placas – aletas. 3.-Según la disposición de los fluidos. .-Paralelo. .-Contracorriente. .-Cruzado.
  • 3.
    4.-DEPENDIENDO DE SUFUNCIÓN -INTERCAMBIADOR. -CALENTADOR Y ENFRIADOR. -Refrigerador. -Evaporador y condensador. -Generador de vapor A).-Los intercambiadores que por su construcción son: de flujo concéntrico y por el sentido en que se mueven los flujos denominados de flujo paralelo y de flujo en contracorriente. Figura Nº 1 • En el intercambiador de calor de flujos paralelos, el flujo másico más caliente intercambia calor con el flujo másico más frió a la entrada del intercambiador. Al comienzo, la transferencia de calor es mayor debido a que la diferencia de temperatura es máxima, pero a lo largo del intercambiador esa diferencia disminuye con rapidez y las temperaturas de las dos corrientes se aproximan asintoticamente y con gran lentitud. En el flujo paralelo en equicorriente, la temperatura final del fluido más frió nunca puede llegar a ser igual a la temperatura de salida del fluido más caliente
  • 4.
    •EN EL INTERCAMBIADOREN CONTRACORRIENTE, EL FLUJO A MAYOR TEMPERATURA DEL FLUIDO CALIENTE INTERCAMBIA CALOR CON LA PARTE MÁS CALIENTE DEL FLUIDO FRIÓ, Y LO MÁS FRÍA DEL FLUIDO CALIENTE CON LA MÁS FRÍA DEL FLUIDO FRIÓ. ESTO PERMITE ESTABLECER UNA DIFERENCIA DE TEMPERATURA CASI CONSTANTE a lo largo del intercambiador. En el flujo en contracorriente la temperatura final del fluido frió (que es lo que se calienta) puede superar la temperatura de salida del fluido caliente (que se enfría), puesto que existe un gradiente de temperatura favorable a todo lo largo del intercambiador de calor.
  • 5.
    INTERCAMBIADORES DE CALORDE TUBOS CONCÉNTRICOS
  • 6.
    B).- LOS INTERCAMBIADORESDE CALOR DE FLUJOS CRUZADOS, EN ESTE CASO EL FLUIDO EXTERIOR ES UN GAS (GENERALMENTE AIRE), MIENTRAS QUE EL FLUIDO INTERIOR PUEDE SER UN FLUIDO CUALQUIERA GAS O LIQUIDO.  Los fluidos se mueven en forma perpendicular entre si, estos intercambiadores de calor pueden ser: tubulares con o sin aletas (placas), los fluidos pueden ser mezclados y sin mezclar. En la figura Nº 2 se presentan estos tipos de intercambiadores de calor.
  • 7.
    Cubiertas de intercambiadoresde calor compactos Intercambiadores de calor compactos Intercambiador compacto, tipo espiral para alta presión (40 barg). Dimensiones 3.3 m de altura y 45 Tm de peso.
  • 8.
    C).-INTERCAMBIADOR DE TUBOSY CARCASA, 1-2 (CORRIENTES PARALELAS Y EN CONTRACORRIENTE ) Se tiene intercambiadores de calor de carcasa y tubos, se utiliza para la transferencia de calor entre líquidos, uno de los fluidos circula por el interior de los tubos y el otro por el exterior. La carcasa envuelve el conjunto de tubos. Los deflectores (BAFFLES), cumplen la función de desviar el flujo exterior con objeto de generar un proceso de mezcla que genera turbulencia para aumentar la transferencia de calor. Ver figura. Nº 3. El flujo de un intercambiador (1-2) es generalmente en contracorriente y parcialmente en corrientes paralelas. Ver figura. Nº 3 En los intercambiadores de paso múltiple, se pueden utilizar velocidades mas elevadas, tubos más cortos y resolver fácilmente el problema de las expansiones y dilataciones. Disminuye la sección libre para el flujo, con el cual aumenta la velocidad, dando lugar a un incremento del coeficiente de transmisión de calor por convección.
  • 9.
    FIGURA Nº 3INTERCAMBIADOR DE TUBOS Y CARCASA (1-2) .
  • 10.
    Intercambiador de calorde tubo y coraza Intercambiador de calor de tubo y coraza con un paso por la coraza y por los tubos (contraflujo cruzado)
  • 11.
    Intercambiador de calorde tubo y coraza
  • 12.
    Intercambiador de calorcompacto. Intercambiador de placa
  • 13.
  • 14.
    A).-EL INTERCAMBIADOR ESMÁS COMPLICADO. B).-AUMENTAN LAS PERDIDAS POR FICCIÓN DEBIDO A LA MAYOR VELOCIDAD Y A LA MULTIPLICACIÓN DE LAS PERDIDAS DE CARGA EN LA ENTRADA O LA SALIDA. El intercambiador (1-2) posee una importante limitación ya que debido al paso del flujo en corrientes paralelas, el intercambiador no permite que la temperatura de uno de los fluidos a la salida sea muy próxima a la temperatura del otros fluido a la entrada, lo que se traduce en que la recuperación de calor de un intercambiador (1-2) es necesariamente mala. 3.- DISTRIBUCION DE TEMPERATURAS En la figura Nº 4 se presenta la distribución de temperatura de varios intercambiadores típicos: de flujo paralelo, contracorriente y de un paso por la carcasa y dos pasos por los tubos, condensador de un paso de tubos, vaporizadores de un paso de tubos.
  • 15.
    FIG. Nº 4DISTRIBUCIÓN DE TEMPERATURAS EN DIFERENTES TIPOS DE INTERCAMBIADORES DE CALOR
  • 16.
    FIGURA Nº 5DISTRIBUCIÓN DE TEMPERATURAS EN INTERCAMBIADOR DE CALOR (1-2) .
  • 17.
    4.-COEFICIENTE GLOBAL DETRANSFERENCIA DE CALOR EL COEFICIENTE TOTAL DE TRANSFERENCIA DE CALOR (U) ES UN FACTOR QUE PARA UNA CONFIGURACIÓN GEOMÉTRICA O HIDRODINÁMICA DADA, AL MULTIPLICARLO POR EL ÁREA DEL INTERCAMBIO DE CALOR Y POR LA DIFERENCIA TOTAL DE TEMPERATURAS. SE OBTIENE EL CALOR TOTAL TRANSFERIDO. totalQ UA T  Una de las primeras cuestiones a realizar en el análisis térmico de un intercambiador de calor de carcasa y tubos consiste en evaluar el coeficiente de transferencia térmica global entre las dos corrientes fluidas. Sabemos que el coeficiente de transferencia térmica global entre un fluido caliente a temperatura TC y otro frío a temperatura TF separados por una pared plana se define mediante la ecuación: 3 1 1 1 1 1i i c F UA L Ri h A kA h A      
  • 18.
    EN EL CASODE UN INTERCAMBIADOR DE CALOR FORMADO POR DOS TUBOS CONCÉNTRICOS, FIG. Nº 1, EL ÁREA DE LA SUPERFICIE DE INTERCAMBIO TÉRMICO ES: . 1 1 1 , : 1 2 e i i i Fe e UA r n r h De forma que en g c A kL eneral h A    : : 2 2 i i e e A rLInterior Area Exter or Ai L     
  • 19.
    SI EL COEFICIENTEDE TRANSFERENCIA TÉRMICA GLOBAL VIENE REFERIDO A LA SUPERFICIE EXTERIOR AE EL VALOR DE UE SERÁ: . 1 1 1 2 e e e e i ci i Fe U r A n A r h A kL h    1 ln 1 2 i e i i i ci e Fe U r A r A h kL A h    Si el coeficiente de transferencia de calor global viene referido a la superficie interior (Ai) el valor de Ui, será
  • 20.
    5.-FACTOR DE INCRUSTACION(SUCIEDAD) CON FRECUENCIA RESULTA IMPOSIBLE PREDECIR EL COEFICIENTE DE TRANSFERENCIA DE CALOR GLOBAL DE UN INTERCAMBIADOR DE CALOR AL CABO DE UN CIERTO TIEMPO de funcionamiento, teniendo solo en cuenta el análisis térmico; durante el funcionamiento con la mayoría de los líquidos y con algunos gases, se van produciendo gradualmente unas películas de suciedad sobre la superficie en la que se realiza la transferencia térmica, que pueden ser de óxidos, incrustaciones calizas procedentes de la caldera, lodos, carbonilla u otros precipitados, Figura Nº 6; el efecto que esta suciedad origina, se conoce con el nombre de incrustaciones, y provoca un aumento de la resistencia térmica del sistema. La resistencia térmica del depósito se puede determinar, generalmente, a partir de ensayos reales o de la experiencia. Si se realizan ensayos de rendimiento en un intercambiador limpio y se repiten después de que el aparato haya estado en servicio durante algún tiempo, se puede determinar la resistencia térmica del depósito (o factor de incrustación) RSuc mediante la relación:
  • 21.
  • 22.
    . 6. CALCULO DETRANSFERENCIA DE CALOR EN UN INTERCAMBIADOR DE CALOR. 1 1 1 1 Sucio Func Limpio Func Limpio Fun Sucio Limpio R R R U U U R U        2 1 1 2 2 1 ( ) ( ) 1 C PC C C T T Q m C T T UA UA LMTD T n T          2 1 ML 2 1 ML La expresion se denomina temperatura media logaritmica ó , (logarithmic mean ΔT -ΔT ΔT ΔT 1n ΔT ΔT ( temperaturedifferLMT )D) ence 
  • 23.
    7. INTERCANBIADOR DECALOR CON U VARIABLE (U VARIA LINEALMENTE CON ∆T) . Cuando el coeficiente global de transmisión de calor U varíe mucho de uno a otro extremo del intercambiador, no es posible representarle por este valor; si se admite que U varía linealmente con la diferencia de temperaturas ∆T se puede poner: 2 2( ) ( ) ( ) 1 1 ( ) T T U a b T T Td T U a b T dq Q d T d T T Ln UdA T a b T dA T A a a b T                                
  • 24.
    . Suponiendo de modogeneral, que el intercambiador completo se haya dividido en (n) elementos parciales: 1 2 2 3 1 1 ... (1 2) n Q Q Q Q i       2 12 1( )( ) 1 T T a Q A T T T n a b T         1 1 1 1 2 1 2 2 2 1 2 2 2 1 1 2 2 1 1 2 2 1 2 1 1 21 2 2 1 ( ) 1 ( ) 1 ... 1 T U a b T a b T Q A T T aLn U a b T T T Ta b T a U T U T U T U T U T Q A T T a n A U TU T n U T                                    
  • 25.
    8. INTERCAMBIADORES DECALOR CON DIFERENCIAS DE TEMPERATURAS EN LOS EXTREMOS IGUALES . Si las capacidades caloríficas de los fluidos son iguales, las diferencias de temperaturas en contracorriente resultan iguales y ∆T = ∆T1 = ∆T2 por lo que para salvar la indeterminación 0/0 en el valor de la (LMTD), hay que aplicar la regla del L’Hopital. 2 1 2 1 1 2 1 2 0 1 L´Hopital 0 11 T T x Q UA T x T UA T T nxn T Q UA T                 
  • 26.
    SI LA DIFERENCIADE TEMPERATURAS ∆T1 NO ES MAYOR QUE UN 50% DE ∆T2, ES DECIR: 9. FACTOR DE CORRECCIÓN DE LA LMTD La diferencia de temperaturas media aritmética no difiere de la (LMTD) es más de 1% y se puede utilizar en lugar de ella para simplificar los cálculos. En intercambiadores de calor de tubos y carcasa o para intercambiadores de calor mas complicados, la determinación de ∆T no es tan sencilla, aunque el procedimiento es el mismo que para el intercambiador (1-1) en contracorriente. Para determinar el valor de del intercambiador (1-2) de la figura XVII.5.b, se considera una longitud diferencial del mismo, a la que corresponde un área superficial de intercambio térmico de tubería dA, pudiéndose escribir las siguientes expresiones: 2 12 1 2 1 2 2 C F C F T TT T T T        ( ) ( ) ( )C C F Fa Fb C Fa C FbdQ C dT C dT dT UdA T T T T      
  • 27.
    ELIMINANDO DOS CUALESQUIERADE LAS TRES TEMPERATURAS, QUE SON DESCONOCIDAS, POR EJEMPLO TFA Y TFB SE OBTIENE UNA ECUACIÓN DIFERENCIAL EN TC QUE SE RESUELVE TENDIENDO EN CUENTA EL BALANCE CALORÍFICO TOTAL DEL INTERCAMBIADOR: . 1 2 2 1( ) ( )C C C F F FC T T C T T   La expresión que proporciona el calor transmitido en el intercambiador (1-2) es: 2 12 1 1 2 2 1 1 2 2 1 ( )( ) 1 ( ) ( ) ( ) T T C F C F C F C F a Q A T T T n a b T T T T T Q UAF UAF LMTD T T Ln T T               
  • 28.
    Relación de capacidadestérmicas La diferencia media de temperaturas, se determina mediante la siguientes relación: Donde F es el factor de corrección de temperaturas y se determina mediante las relaciones: El coeficiente de efectividad P es un indicativo de la eficiencia del intercambio térmico y puede variar desde 0, a 1 ( )T F LMTD  1 2 2 1 T T R t t    2 1 1 1 P C Coeficientedeefecti t t t fluido por los tubos T t T fluido por el vidaa s o d ca c     
  • 29.
    10 EFECTIVIDAD YNUMERO DE UNIDADES DE TRANSMISION El calor intercambiado entre los dos fluidos se determina por la aplicación simultánea de las tres siguientes ecuaciones. En estas expresiones, aún conociendo U y A, y dos temperaturas: las de entrada de fluido caliente y la de salida del fluido frió, o de la entrada del fluido caliente y entrada del fluido frió, todavía nos quedan dos temperaturas por conocer ( ) ( ) total F F Fs Fe C C Ce Cs Q UA T Q m Cp T T Q m Cp T T       Para resolver este problema Nusselt desarrollo el método que lleva por nombre Número de Unidades de Transmisión (NTU). Este método fue perfeccionándose después por Kays y London. Consiste en determinar el intercambio de calor por cada grado de diferencia de temperatura, que según la expresión (18) es el producto UA.
  • 30.
    EL CALOR TRASMITIDOPOR CADA GRADO DE AUMENTO DE TEMPERATURA, A UNO (O DESDE UNO) DE LOS DOS FLUIDOS LO DETERMINAN LOS PRODUCTOS MCCPC O MFCPF. COMO ESTOS productos y el UA tienen las mismas unidades, el producto UA se puede hacer adimensional dividiendo por (mCp). Así obtenemos un número que expresa la capacidad de transmisión de calor del cambiador. El NTU se define como el cociente entre UA y el producto mCp de menor valor. min ..........................21 ( )p UA NTU mC 
  • 31.
    LAS DEFINICIONES DECAPACIDAD, CR Y DE LA EFECTIVIDAD SE GENERALIZAN DE LA SIGUIENTE FORMA: , ...............................23fs fe f pf c pc ce fe T T m C m C T T      min max ( ) ..............................................22 ( ) p R p mC C mC  Efectividad, , ...............................24CE CS f pf c pc CE FE T T m C m C T T      Coeficiente de capacidad, La efectividad es el cociente entre el calor realmente intercambiado y el máximo que podría transmitirse en un cambiador en contracorrientes de área infinita. max min 1 1 max ( . ) ( )C F Q Q mCp T T Q    
  • 34.
    FIGURAS 13-18 Diagramadel factor de corrección F para intercambiadores de calor comunes de casco y tubos y de flujo cruzado (tomado de Bowman, Mueller y Tagle, Ref.2)
  • 38.
    FIGURA 13-26 EFECTIVIDADPARA LOS INTERCAMBIADORES DE CALOR (TOMADO DE KAYS Y LONDON, Ref. 5)
  • 44.
    Tabla 11.3 Relacionesde eficiencia de un intercambiador de calor
  • 46.
    PROBLEMA Nº 1 Aceitecaliente (Cp = 2 200 j/Kg. °C) se va a enfriar por medio de agua (Cp = 4 180 j/kg. °C) en un intercambiador de calor de dos pasos por el casco y 12 pasos por los tubos. Estos son de pared delgada y están hechos de cobre con un diámetro de 1,8 cm. La longitud de cada paso de los tubos en el intercambiador es de 3 m y el coeficiente de transferencia de calor total es de 340 W/m2°C. Por los tubos fluye agua a una razón total de 0,1 Kg./s y por el casco fluye el aceite a razón de 0,2 Kg./s. El agua y el aceite entran a las temperaturas de 18 C. y 160 C. respectivamente. Determine la velocidad de transferencia de calor en el intercambiador y las temperaturas de salida de las corrientes del agua y del aceite.
  • 47.
    DIAGRAMA DE FLUJO . Solución.- 1.Para determinar el flujo de calor y las temperaturas de salidas de los fluidos, se aplicara el método de la eficiencia – número de unidades de transferencia (e – NTU – Rc) 2. Cálculo de la razón de capacidades térmicas de los fluidos, para identificar cual es el mínimo y el máximo
  • 48.
    . . C C max fluidocaliente,elaceite kg j j W m Cp = 0,2 ×2200 = 440 =440 = C s kg.°C s.°C °C F F min fluidofrio;elagua kg j j W m Cp = 0,1 ×4180 = 418 = 418 =C s kg.°C s.°C °C 3.Siendo el fluido frío el de menor capacidad térmica, la eficiencia se determina, mediante la gráfica Nº 13-26, (d), con los parámetros NTU y Rc. 2 1 1 1 min min max -F F C F U A NTU T T C CT T Rc C                  2 4. Calculos de los parametros: •Area de transferencia de calor 0,018 3 12 20357A DLNp m m m      
  • 49.
    . . 6. Por elgrafico la eficiencia es: ε = 0,61 7. Reemplazando en (3)     2 2 2 1F F F -18 0,61 104,62 160 18 El flujo de calor: Q=C T -T 418 104,62 18 36207,16 36,20716 F F T T C W F W KW F              2 2 340 2,0357 418 . 5. Calculo de NTU y 1,655 0,95 Rc 4841 40 W W m m C CNTU Rc W W C C         2 1C C C 8. La temperatura de salida del fluido caliente se determina del Q 36207,16W T =T - = balance de energia: 160°C- =77,711°C WC 440 °C
  • 50.
    PROBLEMA Nº 2 Determinarel área de intercambio térmico que se necesita para que un intercambiador de calor construido con un tubo de 25 mm. de diámetro exterior, enfríe 6,93 Kg /s de una solución de alcohol etílico al 95 %, Cp = 3810 j/kg.K, desde 65,6 C. hasta 39,4 C., utilizando 6,3 Kg./s de agua a 10 C. Se supondrá que el coeficiente global de transferencia térmica basado en el área exterior del tubo es de 568 W/m. °C. En la resolución del problema se realizará en los siguientes supuestos, que el intercambiador sea: Carcasa y tubo con flujo en equicorriente Carcasa y tubo con flujo en contracorriente Intercambiador en contracorriente con dos pasos en la carcasa y 4 pasos en los tubos de 72 tubos en cada paso, circulando el alcohol por la carcasa y el agua por los tubos. Flujo cruzado, con un paso de tubos y otro de carcasa, siendo con mezcla de fluido en la carcasa.
  • 51.
    SOLUCIÓN.- a). Intercambiador decalor de carcasa y tubo con flujo en equicorriente 1.-Diagrama de flujo del intercambiador de calor; en el se tiene que el agua = f (fluido frío), y el alcohol etílico = c (fluido caliente)
  • 52.
    2. : 568 ;25,4 ; 3810 ( ); . . 4186 ( ) . O c f Datos W JU D mm Cp alcohol etilico m C Kg K JCp agua Kg K      . .         1 2 2 1 2 2 3. , : . . 6,93 / 3810 / . 65,6 39,4 691766 / 691,766 691766 / 6,3 4186 10 36,23 C C C C F F F F F F Balancedeenergia considerandoquenohay perdida decalor Q m Cp T T m Cp T T Q kg s j kg C C j s KW Q j s T T C                             1 1 2 2 12 1 2 2 1 1 4. log ( ) 39,4 36,23 65,6 10 39,4 36,23 65,6 10 18,3 ML C F ML C F ML Calculodela diferncia media aritmicatemperatura T T T TT T T T T T T Ln Ln T T C                       
  • 53.
    2 2 5. 691766( / ) .. 66,55 . 568( / . ) 18,3 66,55 . . 834 0,0254 ML ML Delaecuaciondediseño paralatransferencia decalor Q j s Q U A T A m U T w m C C A m A D L L m D m                    . . b) Intercambiador de calor de carcasa y tubo con flujo en contracorriente 1.-Diagrama de flujo del intercambiador de calor; en el se tiene que el agua = f (fluido frío), y el alcohol etílico = c (fluido caliente)
  • 54.
    . .        1 2 2 1 12 1 2 2 1 2. log ( ) 39,4 10 65,6 36,23 39,4 10 65,6 36,23 0 , las diferencias de temperaturas en los terminales s 0 ML C F ML C F ML Calculodela diferncia media aritmica detemperatura T T T TT T T T T T T Ln Ln T T                       on iguales , por lo queaparentemente serίa indeterminado Puede ocurrir que las capacidades caloríficas de los fluidos son iguales, las diferencias de temperaturas en contracorriente resultan iguales, ΔT= ΔT1 = ΔT2, por que se ha de aplicar la regla de L´Hôtipal.
  • 55.
    1 2 2 1 21 1 2 2 1 ôpital ( 1)0 L´H 0 ( ) 65,6 36,23 29,37 ML ML ML C F Q UA T T T T x T T x T x T T T Ln x Ln T T T T C                              . . 2 2 4. , 691766( / ) . . 41,47 . 568( / . ) 29,37 41,47 . . 519,69 0,0254 ML ML Delaecuaciondediseño paralatransferencia decalor Q j s Q U A T A m U T w m C C A m A D L L m D m                  
  • 56.
    C. INTERCAMBIADOR DECALOR DE CARCASA Y TUBOS, DOS PASOS POR LA CARCASA Y CUATRO PASOS POR LOS TUBOS (2-4) .1. Diagrama de flujo del intercambiador de calor; en el se tiene que el agua = f (fluido frío), y el alcohol etílico = c (fluido caliente) 2 5. : 691766 ; 36.37 ; 29.37 4. ( ), det min , int (2 4),int tan ( ) C ML T deloscalculos realizadosenb setiene KgQ T C T C s calculodel factor decorrecciondetemperatura F se er a por grafico para ercambiador decalor ercep do P y R         
  • 57.
    2 1 1 1 12 2 1 razón de efectividad , = 0,97 razón de capacidad 36,23 10 = 0,47 65,6 10 65,6 39,4 = 0,9988 ~ 1.00 36,23 10 T F F C F C CF F F C C C F F P F P R R T T P T T T TC m Cp R C m Cp T T                  . 2 2 5. 691766 . . .Δ . .Δ 568( / . ) 0.97 29,37 42,75 T ML T ML delaecuaciondediseño Q w Q U A F T A U F T w m C C A m           2 6. 42,75 4 72 4 72 0,0254 1.86 Calculo dela longitud detubos A m L D m L m             
  • 58.
    D. INTERCAMBIADOR DEFLUJO CRUZADO CON UN PASO DE TUBOS Y UN PASO POR LA CARCASA, SIENDO CON MEZCLA DE FLUIDO POR LA CARCASA 1. Diagrama de flujo del intercambiador de calor
  • 59.
    2 2. int ,: 691766 ; 36.37 ; 29.37C ML Parael ercambiador de flujocruzado setiene KgQ T C T C s       . 3. Cálculo del factor de corrección de temperatura (FT), se determina por gráfico, para intercambiador de calor de flujo cruzado, con un fluido mezclado, por la carcasa (luido caliente) y el otro fluido sin mezclar (fluido frío), FT(P,R) 2 1 1 1 1 2 2 1 razón de efectividad , = 0,875 razón de capacidad 36,23 10 = 0,47 65,6 10 65,6 39,4 = 0,9988 ~ 1.00 36,23 10 T F F C F C CF F F C C C F F P F P R R T T P T T T TC m Cp R C m Cp T T                 
  • 60.
    Problema Nº3 En unaplanta textil se va a usar el agua de desecho del teñido (Cp = 4 290 j/kg. °C) que está a 75 C. para precalentar agua fresca (Cp = 4 180 j/kg.°C) a 15 °C, con el mismo gasto de masa., en un intercambiador de calor de tubo doble y a contraflujo. El área superficial de transferencia de calor del intercambiador es de 1,65 m2 y coeficiente de transferencia de calor total es de 625 W/m2.°C. Si la velocidad de la transferencia de calor en el intercambiador es de 35 KW, determine la temperatura de salida y el gasto de masa de cada corriente de fluido. T ML 2 T ML 2 4.-De la ecuacion de diseño Q 691766w Q=U.A.F .ΔT A= = U.F .ΔT 568(w/m .°C)×0,875×29,37°C A=47,39m 
  • 61.
  • 62.
    Solución.- 2. De acuerdoal método de la Diferencia media logarítmica             1 2 2 1 1 2 2 1 1 2 2 1 2.2 , . C C C C F F F F C F C F ML C F C F Del balancedeenergia setiene Q m Cp T T m Cp T T T T T T Q U A T U A T T Ln T T                    2 2 11 2.3 F C C F F C Comoambos fluidostienenel mismo flujomasico Cp T T T T Cp    2 2 : 1. 1.65 ; 625 ; 35000 Datos WArea m U Q W m C     
  • 63.
    2.4.-EL PROCEDIMIENTO PARACALCULAR LAS TEMPERATURAS DE SALIDAS DE LOS FLUIDOS , APLICANDO EL MÉTODO DE LA DIFERENCIA MEDIA LOGARÍTMICA DE TEMPERATURAS, mediante el ensayo y error, es el siguiente: Primero se supone un valor de la temperatura de salida del fluido frío TF2 Se determina la temperatura de salida del fluido caliente TC2 Se halla la diferencia media logarítmica Luego mediante la ecuación de diseño se halla el calor transferido, si no es igual al flujo de calor dado se procede a realizar otras suposiciones, hasta encontrar un valor cercano. 2.5.-Ejemplo de calculo para una primera suposición, el resto de cálculos efectuados se muestran el la tabla siguiente Asumiendo que TF2 = 45 °C; 1 1 2 75 15 45 2 2 C F F T T T C         
  • 64.
     2 4180 . 75 4515 45,80 4295 . C j kg C T C C C j kg C                  75 45 45,80 15 30,4002 75 45 45,80 15 MLT C Ln          2 2 625 1,65 30,4002 31350,235 . ML W Q U A T m C W m C           Como no se alcanza el valor del calor transferido, se procede a realizar otras suposiciones, los cálculos realizados se muestran en la siguiente tabla:
  • 65.
    Suposición TF2 =°C TC2 = °C ΔTML = °C Q = W 1 45 45,804 30,4002 31350,236 2 42 48,7236 33,3604 34405,007 3 41,5 49,2102 33,8538 34911,7915 4 41,4 49,3075 33,9525 35013,55 2 2 De los resultados, se puede tener que las temperaturas desalida delosfluidos, son : 49.3 41.4C FT C y T C      2 1 2 1 f c F F F F F F F F Por tanto el flujomasico (m =m ) de los fluidos : Q 35013 kg Q=m .Cp (T -T ) m = = = 0,31 Cp (T -T ) 4180(41,4-15) s son 
  • 66.
    Problema Nº 4 Enun intercambiador de calor con flujo en contracorriente, por el que circulan 5 Kg. de agua por minuto, y 8 Kg. de aceite por minuto, el agua entra a 20 °C y sale a 40 °C, mientras que el aceite entra a 90 °C. El calor específico del agua es Cpagua = 1 Kcal./kg. °C, el calor específico del aceite obedece a la siguiente relación, Cpaceite = 0,8+0,002Taceite, con Taceite = °C.
  • 67.
    DETERMINAR: A. LA TEMPERATURADE SALIDA DEL ACEITE B. LA EFICIENCIA DEL INTERCAMBIADOR DE CALOR c.-Si el coeficiente global (U), para el rango de temperaturas del intercambiador, viene dado por: ¿Calcular el valor del área de intercambio térmico? Solución.- 2 10 , min. . aceite aceite agua TKcal U con T en C m C T T        
  • 68.
    1.-DIAGRAMA 1 2 21 2. , . ( ) . ( ) . . , ( )ac ac C C ag ag F F ac ag calculodelatemperaturadesalidadeaceite medianteunbalancedeenergia Q m Cp T T m Cp T T U A T T T T          
  • 69.
    3.Re : . .. ( )ac ac ac ag ag ag ac ag alizandounbalancediferencial setiene dQ m Cp dT m Cp dT U dA T T    4. Re (0,8 0,002 ) .ac ac ag ag ag emplazandoel valor deCp del aceite dQ m T dT m Cp dT           2 2 1 1 2 1 2 5. int exp : 0,002 0,8 . . 2 C C T ac ag ag F F ag ag F F T egrandoa resion T m T m Cp T T m Cp T T            
  • 70.
     2 2 2 2 22 2 6. Re exp : 0,002 0,002 90 8 0,8 0,8 90 5 1 40 20 2 2 0,8 0,001 67,6 0 C C C C emplazandolosvalores yluego simplificandola resion setiene T T T T                           2 2 22 7. Re (6), 0,8 0,8 4(0,001)( 67,6)4 2 2(0,001) 77,07 C C solviendola ecuacion de segundo grado b b ac T a T C           
  • 71.
    , 5 1(40 20) 100 / minreal agua ag ag agQ m Cp T Kcal       8.-CÁLCULO DE LA EFICIENCIA DEL INTERCAMBIADOR DE CALOR 8.1LA POTENCIA CALORÍFICA REAL INTERCAMBIADO, ES LA ABSORBIDA POR EL AGUA 8.2La velocidad máxima posible de transferencia de calor para el agua ( ,max aguaQ ) , es cuando, Tf2 = Tc1  1 1, , ( ) 5 1 90 20 min . 350 / min max agua ag ag C F max agua kg Kcal Q m Cp T T C kg C Q Kcal                 
  • 72.
         1 1 1 1 max, 2 2 max, max, 0,8 0,002 90 20 8 0,8 90 0,002 0,8 20 min 2 2 509,6 min C C aceite ac ac ac ac ac acF F ac aceite aceite Q m Cp dT m T dT kg Q Kcal Q                   8.3LA VELOCIDAD MÁXIMA POSIBLE DE TRANSFERENCIA DE CALOR PARA EL ACEITE () ES CUANDO: TC2 = TF1 8.4 La eficiencia del intercambiador,  1 1 min max min , 100 0,2857 28,7% 350 real real C F Q Q C m Cp Q C T T          
  • 73.
    min max 5 1 5 min. min. 90 77,07 8 0,8 0,002 7,736 min 2 . min. ag ag ag ac ac ac kg Kcal Kcal C m Cp C kg C C kg Kcal Kcal C m Cp C kg C C                                        8.5 OTRA FORMA DE DETERMINAR LA EFICIENCIA, ES TAL COMO SIGUE: DETERMINACIÓN DE LA CAPACIDAD CALORÍFICA MÍNIMA CMIN   1 2 2 1 22 1 2 1 1 90 40 50 50 57,07 77,07 20 57,07 50 57,07 53,45 ML C F ML C F ML calculode T T T T CT T T T T T T C LnLn T T C                              
  • 74.
    . . 100. 53,45 . 1,87 min min. . 1,87 0,374 min 5 ML Kcal Kcal Q U A T U A C U A C U A NTU C             DE LA ECUACIÓN DE DISEÑO La ecuación para determinar la eficiencia , para un intercambiador de calor a contracorriente, es: min max max 5 1 0,374 1 7,736 5 0,374 11 7,736min max 1 1 0,2857 28,57% 5 11 7,736 min C NTU C C NTU CC C                                   e e ee
  • 75.
    2 1 21 1 1 1 1min ( ) ( ) 40 20 0,2857 28,57 % ( ) ( ) 90 20 F F F F F C F C F C T T T T C T T T T             8.6.-TAMBIÉN SE PUEDE DETERMINAR MEDIANTE LA SIGUIENTE RELACIÓN, TEMIENDO EN CUENTA QUE LA CAPACIDAD CALORÍFICA MIN. CORRESPONDE AL FLUIDO FRÍO 9.-Cálculo del área de intercambio térmico; Del balance de energía. . . ( ) 10 (0,8 0,002 ) ( ) ( ) 10 (0,8 0,002 ) , integrando 10 ac ac ac ac ag ac ac ac ac ac ag ac ag ac ac ag ac ac ac ac Q m Cp dT UdA T T T m T dT UdA T T dA T T T dA T T m T dT dA T            
  • 76.
        11 1 2 2 2 2 (0,8 0,002 ) 0,8 0,002 10 10 90 0,8 0,8 0,002 90 77,07 77,07 0,11988 C C T Cac ac ac ac C CT ac C TT dT m A m Ln T T T T A Ln A m                         10.-También se puede determinar, de la siguiente forma     2 2 2 10 10(90 77,07) 15,6 (90 77,07) (40 20) .min. 1,87 min.1,87 0,11987 min. 15,6 .min. aceite aceite agua T Kcal U T T m C Kcal Kcal CU A A m C Kcal m C                
  • 77.
    PROBLEMA Nº5 Se disponede dos tuberías de acero concéntricos, de diámetros interiores 50 mm y 100 mm y espesor 5 mm. Por la tubería interior circula amoniaco líquido, que penetra a la temperatura de 20a.C. y velocidad de 3 m/s, mientras que por el extremo opuesto del espacio anular penetra agua a 80 a.C. y velocidad 1,5 m/s. La longitud de las tuberías es de 100 m. y la conductividad térmica del acero de 40 w/m.°C. Se supondrá no existen pérdidas térmicas.
  • 78.
    DATOS: Para el NH3:ρ = 580 kg/m3; Cp = 5 KJ/Kg.°C; k = 0,50 w/mK; ν = 0,34x10-6 m2/s; Pr = 2 Para el agua: ρ = 985 kg/m3; Cp = 4,186 Kj/kg.°C; k = 0,66 w/mK; ν = 0,484x10-6 m2/s; Pr=3 Con estos datos determinar: A).- Los coeficientes de convección correspondientes B).- El coeficiente global de transmisión de calor referido a la sección exterior del tubo interior. C).- La temperatura de salida de los dos fluidos. D).- El calor intercambiado.
  • 79.
  • 80.
    2.-CÁLCULO DEL COEFICIENTEDE TRANSMISIÓN POR CONVECCIÓN DEL AMONIACO (FLUIDO FRÍO), QUE FLUYE POR EL INTERIOR DEL TUBO INTERIOR. ESTE FLUIDO SUFRE CALENTAMIENTO DIÁMETRO INTERIOR DEL TUBO INTERIOR, D1= 50 MM 2.1Flujo másico del amoniaco   2 3 0,05 ρ 3 580 3,4165 12300 4 amon mm kg kg kg m vA s s hm        2.2Determinación del número de Reynolds ( para el flujo del amoniaco) 1 2 6 3 0,05 . Re 441176 ( ) 0,34 10 m m V D s flujo turbulento v m s      
  • 81.
    2.3 CÁLCULO DELNÚMERO DE NUSSELT, PARA LUEGO HALLAR EL COEFICIENTE POR CONVECCIÓN POR EL LADO DEL AMONIACO (HI), PARA ESTO SE HARÁ USO DE LA ECUACIÓN DE DITTUS-BOELTER, ESTE FLUIDO sufre calentamiento.     0,8 0,8 0,4 1 2 1 0,023Re Pr ; 3 ( ) 4 ( ) 0,023 441176 2 995 995 0,5 9950 0,05 . n amon amon Nu n para enfriamiento n para calentamiento hi D Nu k Nu k w hi D m K            
  • 82.
    3.-CÁLCULO DEL COEFICIENTEDE TRANSMISIÓN POR CONVECCIÓN DEL AGUA (FLUIDO CALIENTE), QUE FLUYE POR EL ANULO. ESTE FLUIDO SUFRE ENFRIAMIENTO 3.1Se debe usar el diámetro hidráulico (DH)     2 2 3 2 3 2 3 2 44 100 60 40H D D D D D mm D D               3.2Cálculo del numero de Reynolds 2 6 1,5 0,040 . Re 125000 ( ) 0,48 10 H m m V D s flujo turbulento v m s      
  • 83.
    3.3CÁLCULO DEL NÚMERODE NUSSELT, PARA LUEGO HALLAR EL COEFICIENTE POR CONVECCIÓN POR EL LADO DEL AGUA (HO), para esto se hará uso de la ecuación de Dittus-Boelter, este fluido sufre enfriamiento.     0,8 0,8 0,3 2 0,023Re Pr ; 3 ( ) 4 ( ) 0,023 125000 3 382,3 382,3 0,66 6307,75 0,04 . n H agua agua H Nu n para enfriamiento n para calentamiento ho D Nu k Nu k w ho D m K            
  • 84.
    3 2 2 22 1 1 2 1 1 30 0,03 30 11 25 9950 40 25 6307,75 2400 . NH H O Uo r r r LnLn r h k r h w Uo m K         4. EL COEFICIENTE DE TRANSMISIÓN DE CALOR GLOBAL (U), REFERIDO A LA SECCIÓN TRANSVERSAL EXTERIOR DEL TUBO INTERIOR, SE DETERMINA MEDIANTE LA RELACIÓN 5. Cálculos de las temperaturas de salida de los fluidos 5.1Determinación de las razones de capacidad térmica, para el amoniaco y el agua Para el amoniaco:
  • 85.
     3 3 .12300 5 61500 17,08 . . . NH NH kg Kj Kj Kj C mCp h kg C h C s C         Para el agua:       2 2 2 2 2 3 2 2 3 2 2 2 Cálculo del flujo másico del agua 0,1 0,06 . . . 1,5 985 4 4 7,4267 26736 . 26736 4,184 11918 31,088 . . . H O H O H O H O D D m m kg m Qv v A v s m kg kg m s h kg Kj Kj Kj C mCp h kg C h C s C                        
  • 86.
    2 NH3 min F HO max C Kj C = C =17,08 = C (fluido frío) s.°C Kj C = C =31,08 = C (fluido caliente) s.°C DE LAS RAZONES DE CAPACIDAD TÉRMICAS CALCULADAS, SE TIENE: 5.2 Cálculo de la superficie de intercambio térmico, basado el radio exterior del tubo interior. 2 2 2A =2 2 0,03 100 18,85r L m m m    
  • 87.
      2 2 2 min 18,85 2400.. 2,6486 17,08 . w mAU m CNTU KjC s C      5.3 EL NÚMERO DE UNIDADES DE TRANSFERENCIA DE CALOR (NTU), ES: 5.4 Cálculo de la razón de capacidades caloríficas (RC) min max 17,08 0,5494 31,088 C C R C    5.5 La eficiencia del intercambiador de calor se puede determinar mediante la gráfica Nº 13.26b nterceptando los valores de NTU y Rc, o mediante la siguiente ecuación (intercambiador de calor con flujos a contracorriente)
  • 88.
    Las temperaturas desalida de los fluidos serán :  2 1 1 1 min 20 (80 20) 0,8361 1 70,17F F C F F C T T T T C C            6.El calor intercambiado se puede determinar, mediante: min max min max C 17,03 NTU 1 2.6486 1 C 31,088 17,03C 2,6486 1NTU 1 31,088Cmin max 1 e 1 e 17,03C 1 e1 e 31,088C 0,8361                                                         
  • 89.
         1 1 1 2 2 1 2 1 2 1 2 1 min 80 71,17 9,83 52,5 20 32,5 C F C F C F T T Q UA C T T T Ln T T T T T T T                      Reemplazando valores se tiene : 9,83 32,5 2400 18,85 2 857,66 9,832. 32,5 w Q m Kw m K Ln      El flujo de calor se puede determinar mediante la otra ecuación  0,8361 17,08 80 20 856,8 . Kj Q Kw s C       CRISTIAN ALBERTO