Incrustar presentación
Descargar como PDF, PPTX




































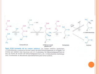
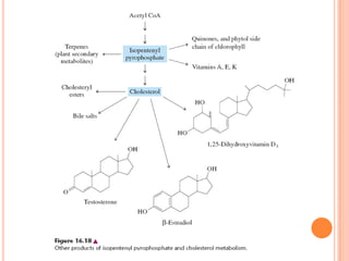
Este documento describe el metabolismo de los ácidos grasos, incluyendo la lipólisis, esterificación y lipogénesis. Explica cómo las hormonas como la insulina y adrenalina regulan estos procesos y cómo se forman y transportan los cuerpos cetónicos y el colesterol. También describe las diferentes lipoproteínas involucradas en el transporte de lípidos en la sangre.


































