METABOLISMO DE
LÍPIDOS
Lic. T.M. Julio Cesar Méndez
Nina
cesarmendeztm@hotmail.com
LEY DE PROMOCIÓN DE LA ALIMENTACIÓN
SALUDABLE
CONSUMO DE LÍPIDOS – SALUD -
ENFERMEDAD
ATEROESCLEROSIS
Es una enfermedad en la que la placa se
deposita dentro de las arterias. Las arterias
son vasos sanguíneos que llevan sangre rica
en oxígeno al corazón y a otras partes del
cuerpo.
La placa está compuesta por grasas,
colesterol, calcio y otras sustancias que se
encuentran en la sangre. Con el tiempo, la
placa se endurece y estrecha las arterias, con
lo cual se limita el flujo de sangre rica en
oxígeno a los órganos y a otras partes del
cuerpo.
La aterosclerosis puede causar problemas
graves, como ataque cardíaco, accidentes
cerebrovasculares (derrames o ataques
cerebrales) e incluso la muerte.
LÍPIDOS PRESENTES EN LOS ALIMENTOS DE LA
DIETA
Triglicéridos 90 %
Fosfolípidos
10%
Colesterol
Fito
esteroles
Vitaminas
liposolubles
Los triglicéridos
son lípidos, formados por
una molécula de glicerol,
que tiene esterificados sus
tres grupos hidroxílicos por
tres ácidos grasos.
Los triglicéridos se miden
en un análisis de sangre.
Los niveles normales de
triglicéridos se encuentran
por debajo de 150 mg/dL. Si
tiene altos los triglicéridos,
puede disminuirlos si:
• Recibe tratamiento
médico para el problema
que causa el aumento de
los triglicéridos
• Sigue una dieta sana baja
en azúcares y
carbohidratos
• Se ejercita regularmente.
Un hombre de 1,70
metros y 70 Kg de
peso puede tener
almacenado 15 Kg
de triglicéridos.
¿ cuantas
kilocalorías
tendría?
Un ácido graso es una
biomolécula de naturaleza
lipídica formada por una larga
cadena hidrocarbonada lineal,
de diferente longitud o número
de átomos de carbono, en cuyo
extremo hay un grupo
carboxilo.
Se clasifican en ácidos grasos
saturados ( enlaces simples) y
ácidos grasos insaturados (
enlaces dobles)
Se llaman ácidos grasos
esenciales a algunos ácidos
grasos, como
el linoleico, linolénico
o el araquidónico que el
organismo no puede sintetizar,
por lo que deben obtenerse por
medio de la dieta.
DIGESTIÓN
Y
ABSORCIÓN
DE LÍPIDOS
DE LA
DIETA.
Los quilomicrones son
lipoproteínas sintetizadas
en el epitelio del intestino
delgado . Contienen
triglicéridos, fosfolípidos y
el colesterol ingeridos en la
dieta llevándolos hacia los
tejidos a través del sistema
linfático. Están compuestos
en un 90% por triglicéridos,
7% de fosfolípidos, 1%
colesterol, y un 2% de
proteínas especializadas,
llamadas apoproteínas.
DESTINO
METABÓLICO
DE LOS
LÍPIDOS
Lípidos son absorbidos en el
intestino y se someten a la
digestión y el metabolismo
antes de que pueden ser
utilizadas por el cuerpo. La
mayoría de los lípidos
dietéticos son las grasas y
las moléculas complejas que
el cuerpo necesita para
romper con el fin de utilizar y
obtener energía de.
BIOSÍNTESIS DE ÁCIDOS GRASOS
Los humanos sintetizan la gran mayoría de Ac.
Grasos ; excepto los Ac. Grasos Esenciales.
La biosíntesis se realiza principalmente en el hígado
, tejido adiposo y glándulas mamarias.
Glucosa
Glucosa-
6P
Piruvato (2)
Glucólisis
Acetil - CoA
OXALACETATO CITRATO
Ciclo
de
Krebs
ATP
Piruvato
CITRATO
Acetil - CoA
MALONIL- CoA
Glicerol 3-P
Pentosas
Acido
graso
sintasa
NADPH
NADP+
Palmitato (Ac.
Graso) Glicerol 3-P
Triglicérido
Acetil CoA
Carboxilasa
RespiraciónCelular
Mitocondria
Presencia
0xigeno
Es realizado fundamentalmente por el hígado y glándulas mamarias.
Es un proceso endergónico: utiliza ATP
Consume equivalentes de reducción : NADPH
Se realiza a partir del acetil CoA y el citrato generado en el ciclo de Krebs.
La enzima reguladora clave es la acetil CoA Carboxilasa, que produce malonil CoA a
partir del acetil CoA.
La cadena de ácido graso va creciendo de dos a dos átomos de carbono dentro del
complejo acido graso sintasa.
El NADPH, producido por la ruta de las pentosas, proporciona los equivalentes
reductores.
Cuando la cadena de ácido graso llega a 16 átomos de carbono, se libera como
palmitato, este puede elongarse y desaturarse para dar lugar a diferentes ácidos
grasos.
Los ácidos grasos producidos en las células u obtenidos por la dieta, se utilizan para
la síntesis de triglicéridos y fosfolípidos.
Los triglicéridos formados no se almacenan en el hígado sino mas bien son
empaquetados con otros lípidos y proteínas para formas lipoproteínas y secretadas al
torrente sanguíneo.
OXIDACIÓN DE
ÁCIDOS GRASOS
( BETA-
OXIDACIÓN)
• La oxidación de los ácidos
grasos es un mecanismo clave
para la obtención
de energía metabólica (ATP)
• La disminución de los niveles de
glucosa , la preparación para el
ejercicio y las situaciones de
estrés provocan la degradación de
los ácidos grasos y triglicéridos.
• En condición de ayuno prolongado
el acetil CoA deriva en la
producción de cuerpos cetónicos.
Ácidos grasos de
cadena corta
Ácidos grasos de cadena larga
Acil CoA
CoA
( coenzima A)
Acil carnitina
Acil CoA
Acil CoA
Mitocondria
Ciclo de
Krebs
Acetil CoA
Acil CoA
Acil carnitina
FADH2
NADH2
FADH2
NADH2
FAD
NAD
FAD
NAD
CADENADETRASNPORTE
ELECTRONES
ATP
carnitinaCoA
carnitina CoA
CUERPOS
CETÓNICOS
Acil CoA
deshidrogensa
La coenzima A (CoA) , es un transportador de grupos acilo en la biosíntesis y la
oxidación de ácidos grasos, así como en la descarboxilación oxidativa del ácido pirúvico,
paso previo al ciclo de Krebs. Su molécula consta de ácido pantoténico (vitamina B5),
adenosín difosfato y cisteamina.
La carnitina es una amina sintetizada en el hígado, los riñones y el cerebro a partir
de dos aminoácidos esenciales, la lisina y la metionina, es responsable del
transporte de ácidos grasos al interior de las mitocondrias, orgánulos celulares
encargados de la producción de energía.
BETA-OXIDACIÓN DE ÁCIDOS GRASOS
Se da en la matriz mitocondrial, de los hepatocitos, miocardio , miocito a excepción de
las células nerviosas
La disminución de los niveles de glucosa , la preparación para el ejercicio y las
situaciones de estrés provocan la degradación de los triglicéridos y ácidos grasos.
Los derivados acil CoA de los ácidos grasos de cadena corta y media ingresan sin
dificultad a la mitocondria, sin embrago los ácidos grasos de longitudes largas necesitan
el concurso de la carnitina para ingresar a la mitocondria.
Sus reacciones reciben el nombre de beta- oxidación.( oxidación carbono B)
Se dan reacciones de deshidratación, hidratación y escisión, las enzimas separan un
parte de átomos de carbono cada vez de la larga cadena de átomos de carbono.
El fragmento resultante de dos carbonos se anexiona a la coenzima A, formando la
acetil coenzima A ( Acetil CoA).
Participan las coenzimas FAD Y NAD
La Acetil CoA se incorpora al ciclo de Krebs.
Un ácido graso de 16 carbonos, puede producir una cantidad neta de 129 ATP en su
oxidación completa a través de la beta-oxidación. El ciclo de krebs y la cadena de
transporte electrónico.
En condición de ayuno prolongado el acetil CoA deriva en la producción de cuerpos
cetónicos.( cetogénesis)
CETOGÉNESIS: FUNCIÓN HEPÁTICA
MITOCONDRIAL
Acontece en presencia de un índice elevado de los ácidos grasos en el
hígado
FORMACIÓN , UTILIZACIÓN Y EXCRECIÓN DE
CUERPOS CETÓNICOS
Acidosis
metabólica
CETOGÉNESIS
Al excederse la cantidad de Acetil-CoA sobre la cantidad de Oxalacetato
las mitocondrias hepáticas inician la formación de cuerpos cetónicos.
Esta situación seda al disponer una menor cantidad de carbohidratos (
ayuno, diabetes mellitus, consumo excesivo de grasas)
Los cuerpos cetónicos ( acetoacetato, 3 beta hidroxibutirato y acetona)
se forman en las mitocondrias hepáticas.
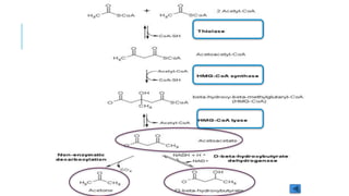
La primera enzima de la vía metabólica es la tiolasa que convierte dos
moléculas Acetil-CoA en Acetoacetil-CoA.
La cetogenesis implica la síntesis y degradación de la 3-hidroxi-3-
metilglutaril-CoA (HMG-CoA), mediante dos enzimas esenciales, la HMG-
CoA sintetasa y la HMG-CoA liasa.
Los cuerpos cetónicos son combustibles importantes en tejidos extra
hepáticos como el cerebro.
La acumulación de cuerpos cetónicos es leve en la inanición pero
intensa en la diabetes mellitus, originando acidosis metabolica.
COLESTEROL
Es un esteroide mas importante. ,
tiene carácter anfípatico, cuando
pierde el grupo alcohólico y se
esterifica con un ácido graso,
origina un compuesto apolar.
Cabeza
polar
Cola
Apolar
BIOSINTESIS DE COLESTEROL
SÍNTESIS, FUNCIÓN Y TRANSPORTE DE LAS
SALES BILIARES
• El colesteroles el principal esterol del cuerpo humano, aunque su deposición en las
arterias ha sido asociada con enfermedades del corazón y ateroesclerosis.
• El colesterol se sintetiza a partir del acetil-CoA en el retículo endoplasmático liso de la
mucosa intestinal y el hígado.
• Los esteres de colesterol son una forma de almacenamiento de colesterol encontrado
en la mayor parte de tejidos. Se transportan en las lipoproteínas, la LDL es mediadora
de la captación de colesterol y los esteres de colesterol en muchos tejidos, el colesterol
libre es sustraído por las HDL y llevado al hígado para su conversión en ácidos biliares.
• Un intermediario metabólico de la síntesis de colesterol es el mevalonato compuesto
de 6 átomos de carbono.
• Las sales biliares son formadas en el hígado a partir del colesterol. Se dividen en dos
clases: las primarias y secundarias.
• Las sales primarias son sintetizadas por el hombre y las secundarias provienen de la
acción de bacterias intestinales sobre las sales primarias. Las propiedades físicas y
químicas de ambas sales biliares son similares.
• una vez formado los ácidos biliares ( acido cólico y quenodesoxicolico) se conjugan se
conjugan con glicina o taurina cuyas sales son las sales biliares.
• Los ácidos biliares conjugados se reabsorben en su gran mayoria en Íleon y regresan al
hígado por la circulación enterohepática
• La función de las sales biliares es la emulsificacion de las grasas permitiendo su
digestión y transporte a las micro vellosidades para su absorción.
LIPOPROTEINAS
ESTRUCTURA DE LAS
LIPOPROTEÍNAS
CLASIFICACIÓN DE
LIPOPROTEÍNAS
Cual es la
LP de
menor
densidad
Cual es la
LP de
mayor
densidad
Cual es la
LP que
contiene
mayor % de
TG
Cual es la
LP que
contiene
mayor % de
Chol
METABOLISMO DE LIPOPROTEÍNAS
Triglicéridos
Colesterol
Otros lípidos
Intestino
QM
E
B48
C
Capilares
tejido adiposo
Lipoproteína lipasa
RM
E
B48
VLDL
E
B100
C
IDL
E
B100
LDL
B100
Otros
órganos
y tejidos
HDL
Plasma
Receptor
LDL
Proteínas
receptoras
Transporte
reverso del
colesterol al
hígado
1
15
14
13
10
9
3
5
4
6
8
7
11
12
2
2/3
Descarga fracción de TG
Eliminación
del TG
residual
Capilares
tejido adiposo
• Los lípidos ( insolubles en agua) se transportan en la sangre como paquetes unidos a proteínas (
apoproteínas) llamados lipoproteínas (LP)
• Las LP se clasifican de acuerdo a su densidad y cada una tiene su función.
• Las Apoproteínas no solamente cumplen un papel estructural , además intervienen en el
metabolismo de las mismas, en el que ejercen distintas funciones, actuando como activadoras e
inhibidoras de enzimas e interaccionan con receptores celulares específicos. Actualmente son
conocidas las Apo: A, B, C, D, E, F y G
• Los quilomicrones (QM) llevan lípidos de la digestión al hígado .
• Cuando los lípidos procedentes de la digestión (1) entran a la circulación (2) se forman los QM, que
transportan estos lípidos (3). Mientras estos QM se encuentran en los capilares del tejido Adiposo y
muscular , descargan parte de los triglicéridos (TG) (4).
• Una lipoproteína lipasa (LPL) cataliza la hidrolisis de los TG. El tejido adiposo absorbe los ácidos
grasos, y el glicerol resultante lo reconstituye como TG que se almacenan hasta que se necesitan.
• Este proceso deja residuos de quilomicrones llamados remanentes (RM) (5) ahora mas ricos en
colesterol. El hígado tiene receptores para estos RM que ayuda para que se absorba(6).
• El hígado puede recibir y formar colesterol por lo que forma a las VLDL (7), estas LP transportan
ahora los lípidos al tejido adiposo y los músculos (8). Estos tejidos extraen la mayor parte de los TG
a través de la enzima LPL , lo que produce un complejo lipoproteico con una densidad ligeramente
mas alta llamado IDL (9).
• Las proteínas receptoras hepáticas captan a las IDL, lo cual ayuda a recuperar estos complejos
(10). El IDL que no se reabsorbe aquí, sufre perdidas adicionales de TG, lo cual causa aumento de
su densidad formándose las LDL (11).
• Las proteínas receptoras capturan una buena parte de LDL(12), y la otra parte llega a los tejidos
periféricos (13)como las glándulas suprarrenales. Por lo tanto, el LDL transporta al colesterol
adondequiera que se necesite, para formar membranas celulares u hormonas esteroideas.
• Las HDL son sintetizadas en el hígado y realizan el transporte reverso del colesterol al hígado (14 y
15).
CASO CLÍNICO 2
Juliana Jiménez es una ama de casa de 35 años de edad, 95 kg de peso y 1.50 mt. En su
consulta médica se hallo que presenta una estilo de vida sedentaria, hipertensión, además
indico que tenia mucha sed ,hambre y su frecuencia de miccionar había incrementado . Se
le realizan algunas pruebas de laboratorio y los resultados fueron los siguientes :
Prueba Valor
encontrado
Valores
Normales
Glucosa
sanguínea
214 mg/dL En ayuno
menor a 100
mg/dL
Triglicéridos 295 mg/dL Menor a
150mg/dL
LDL 231 mg/dL Menor a
130mg/dL
HDL 24 mg/dL Mayor/igual
40 mg/dL
Preguntas :
¿Cual es su índice de masa corporal ?. Indique
si esta dentro de los valores normales o hay
una alteración.
Esta desarrollando juliana un cuadro de
diabetes ¿ si o no? Sustente su respuesta.
¿Esta predispuesta juliana a un cuadro de
ateroesclerosis? Sustente la respuesta.
¿Qué recomendaciones daría a juliana ?

Metabolismo de lípidos

  • 1.
    METABOLISMO DE LÍPIDOS Lic. T.M.Julio Cesar Méndez Nina cesarmendeztm@hotmail.com
  • 2.
    LEY DE PROMOCIÓNDE LA ALIMENTACIÓN SALUDABLE
  • 3.
    CONSUMO DE LÍPIDOS– SALUD - ENFERMEDAD
  • 4.
    ATEROESCLEROSIS Es una enfermedaden la que la placa se deposita dentro de las arterias. Las arterias son vasos sanguíneos que llevan sangre rica en oxígeno al corazón y a otras partes del cuerpo. La placa está compuesta por grasas, colesterol, calcio y otras sustancias que se encuentran en la sangre. Con el tiempo, la placa se endurece y estrecha las arterias, con lo cual se limita el flujo de sangre rica en oxígeno a los órganos y a otras partes del cuerpo. La aterosclerosis puede causar problemas graves, como ataque cardíaco, accidentes cerebrovasculares (derrames o ataques cerebrales) e incluso la muerte.
  • 5.
    LÍPIDOS PRESENTES ENLOS ALIMENTOS DE LA DIETA Triglicéridos 90 % Fosfolípidos 10% Colesterol Fito esteroles Vitaminas liposolubles
  • 6.
    Los triglicéridos son lípidos,formados por una molécula de glicerol, que tiene esterificados sus tres grupos hidroxílicos por tres ácidos grasos. Los triglicéridos se miden en un análisis de sangre. Los niveles normales de triglicéridos se encuentran por debajo de 150 mg/dL. Si tiene altos los triglicéridos, puede disminuirlos si: • Recibe tratamiento médico para el problema que causa el aumento de los triglicéridos • Sigue una dieta sana baja en azúcares y carbohidratos • Se ejercita regularmente.
  • 7.
    Un hombre de1,70 metros y 70 Kg de peso puede tener almacenado 15 Kg de triglicéridos. ¿ cuantas kilocalorías tendría?
  • 8.
    Un ácido grasoes una biomolécula de naturaleza lipídica formada por una larga cadena hidrocarbonada lineal, de diferente longitud o número de átomos de carbono, en cuyo extremo hay un grupo carboxilo. Se clasifican en ácidos grasos saturados ( enlaces simples) y ácidos grasos insaturados ( enlaces dobles) Se llaman ácidos grasos esenciales a algunos ácidos grasos, como el linoleico, linolénico o el araquidónico que el organismo no puede sintetizar, por lo que deben obtenerse por medio de la dieta.
  • 9.
  • 11.
    Los quilomicrones son lipoproteínassintetizadas en el epitelio del intestino delgado . Contienen triglicéridos, fosfolípidos y el colesterol ingeridos en la dieta llevándolos hacia los tejidos a través del sistema linfático. Están compuestos en un 90% por triglicéridos, 7% de fosfolípidos, 1% colesterol, y un 2% de proteínas especializadas, llamadas apoproteínas.
  • 12.
    DESTINO METABÓLICO DE LOS LÍPIDOS Lípidos sonabsorbidos en el intestino y se someten a la digestión y el metabolismo antes de que pueden ser utilizadas por el cuerpo. La mayoría de los lípidos dietéticos son las grasas y las moléculas complejas que el cuerpo necesita para romper con el fin de utilizar y obtener energía de.
  • 13.
    BIOSÍNTESIS DE ÁCIDOSGRASOS Los humanos sintetizan la gran mayoría de Ac. Grasos ; excepto los Ac. Grasos Esenciales. La biosíntesis se realiza principalmente en el hígado , tejido adiposo y glándulas mamarias. Glucosa Glucosa- 6P Piruvato (2) Glucólisis Acetil - CoA OXALACETATO CITRATO Ciclo de Krebs ATP Piruvato CITRATO Acetil - CoA MALONIL- CoA Glicerol 3-P Pentosas Acido graso sintasa NADPH NADP+ Palmitato (Ac. Graso) Glicerol 3-P Triglicérido Acetil CoA Carboxilasa RespiraciónCelular Mitocondria Presencia 0xigeno
  • 16.
    Es realizado fundamentalmentepor el hígado y glándulas mamarias. Es un proceso endergónico: utiliza ATP Consume equivalentes de reducción : NADPH Se realiza a partir del acetil CoA y el citrato generado en el ciclo de Krebs. La enzima reguladora clave es la acetil CoA Carboxilasa, que produce malonil CoA a partir del acetil CoA. La cadena de ácido graso va creciendo de dos a dos átomos de carbono dentro del complejo acido graso sintasa. El NADPH, producido por la ruta de las pentosas, proporciona los equivalentes reductores. Cuando la cadena de ácido graso llega a 16 átomos de carbono, se libera como palmitato, este puede elongarse y desaturarse para dar lugar a diferentes ácidos grasos. Los ácidos grasos producidos en las células u obtenidos por la dieta, se utilizan para la síntesis de triglicéridos y fosfolípidos. Los triglicéridos formados no se almacenan en el hígado sino mas bien son empaquetados con otros lípidos y proteínas para formas lipoproteínas y secretadas al torrente sanguíneo.
  • 17.
    OXIDACIÓN DE ÁCIDOS GRASOS (BETA- OXIDACIÓN) • La oxidación de los ácidos grasos es un mecanismo clave para la obtención de energía metabólica (ATP) • La disminución de los niveles de glucosa , la preparación para el ejercicio y las situaciones de estrés provocan la degradación de los ácidos grasos y triglicéridos. • En condición de ayuno prolongado el acetil CoA deriva en la producción de cuerpos cetónicos.
  • 18.
    Ácidos grasos de cadenacorta Ácidos grasos de cadena larga Acil CoA CoA ( coenzima A) Acil carnitina Acil CoA Acil CoA Mitocondria Ciclo de Krebs Acetil CoA Acil CoA Acil carnitina FADH2 NADH2 FADH2 NADH2 FAD NAD FAD NAD CADENADETRASNPORTE ELECTRONES ATP carnitinaCoA carnitina CoA CUERPOS CETÓNICOS Acil CoA deshidrogensa
  • 19.
    La coenzima A(CoA) , es un transportador de grupos acilo en la biosíntesis y la oxidación de ácidos grasos, así como en la descarboxilación oxidativa del ácido pirúvico, paso previo al ciclo de Krebs. Su molécula consta de ácido pantoténico (vitamina B5), adenosín difosfato y cisteamina.
  • 20.
    La carnitina esuna amina sintetizada en el hígado, los riñones y el cerebro a partir de dos aminoácidos esenciales, la lisina y la metionina, es responsable del transporte de ácidos grasos al interior de las mitocondrias, orgánulos celulares encargados de la producción de energía.
  • 21.
    BETA-OXIDACIÓN DE ÁCIDOSGRASOS Se da en la matriz mitocondrial, de los hepatocitos, miocardio , miocito a excepción de las células nerviosas La disminución de los niveles de glucosa , la preparación para el ejercicio y las situaciones de estrés provocan la degradación de los triglicéridos y ácidos grasos. Los derivados acil CoA de los ácidos grasos de cadena corta y media ingresan sin dificultad a la mitocondria, sin embrago los ácidos grasos de longitudes largas necesitan el concurso de la carnitina para ingresar a la mitocondria. Sus reacciones reciben el nombre de beta- oxidación.( oxidación carbono B) Se dan reacciones de deshidratación, hidratación y escisión, las enzimas separan un parte de átomos de carbono cada vez de la larga cadena de átomos de carbono. El fragmento resultante de dos carbonos se anexiona a la coenzima A, formando la acetil coenzima A ( Acetil CoA). Participan las coenzimas FAD Y NAD La Acetil CoA se incorpora al ciclo de Krebs. Un ácido graso de 16 carbonos, puede producir una cantidad neta de 129 ATP en su oxidación completa a través de la beta-oxidación. El ciclo de krebs y la cadena de transporte electrónico. En condición de ayuno prolongado el acetil CoA deriva en la producción de cuerpos cetónicos.( cetogénesis)
  • 23.
    CETOGÉNESIS: FUNCIÓN HEPÁTICA MITOCONDRIAL Aconteceen presencia de un índice elevado de los ácidos grasos en el hígado
  • 25.
    FORMACIÓN , UTILIZACIÓNY EXCRECIÓN DE CUERPOS CETÓNICOS Acidosis metabólica
  • 27.
    CETOGÉNESIS Al excederse lacantidad de Acetil-CoA sobre la cantidad de Oxalacetato las mitocondrias hepáticas inician la formación de cuerpos cetónicos. Esta situación seda al disponer una menor cantidad de carbohidratos ( ayuno, diabetes mellitus, consumo excesivo de grasas) Los cuerpos cetónicos ( acetoacetato, 3 beta hidroxibutirato y acetona) se forman en las mitocondrias hepáticas. La primera enzima de la vía metabólica es la tiolasa que convierte dos moléculas Acetil-CoA en Acetoacetil-CoA. La cetogenesis implica la síntesis y degradación de la 3-hidroxi-3- metilglutaril-CoA (HMG-CoA), mediante dos enzimas esenciales, la HMG- CoA sintetasa y la HMG-CoA liasa. Los cuerpos cetónicos son combustibles importantes en tejidos extra hepáticos como el cerebro. La acumulación de cuerpos cetónicos es leve en la inanición pero intensa en la diabetes mellitus, originando acidosis metabolica.
  • 28.
    COLESTEROL Es un esteroidemas importante. , tiene carácter anfípatico, cuando pierde el grupo alcohólico y se esterifica con un ácido graso, origina un compuesto apolar. Cabeza polar Cola Apolar
  • 30.
  • 31.
    SÍNTESIS, FUNCIÓN YTRANSPORTE DE LAS SALES BILIARES
  • 32.
    • El colesterolesel principal esterol del cuerpo humano, aunque su deposición en las arterias ha sido asociada con enfermedades del corazón y ateroesclerosis. • El colesterol se sintetiza a partir del acetil-CoA en el retículo endoplasmático liso de la mucosa intestinal y el hígado. • Los esteres de colesterol son una forma de almacenamiento de colesterol encontrado en la mayor parte de tejidos. Se transportan en las lipoproteínas, la LDL es mediadora de la captación de colesterol y los esteres de colesterol en muchos tejidos, el colesterol libre es sustraído por las HDL y llevado al hígado para su conversión en ácidos biliares. • Un intermediario metabólico de la síntesis de colesterol es el mevalonato compuesto de 6 átomos de carbono. • Las sales biliares son formadas en el hígado a partir del colesterol. Se dividen en dos clases: las primarias y secundarias. • Las sales primarias son sintetizadas por el hombre y las secundarias provienen de la acción de bacterias intestinales sobre las sales primarias. Las propiedades físicas y químicas de ambas sales biliares son similares. • una vez formado los ácidos biliares ( acido cólico y quenodesoxicolico) se conjugan se conjugan con glicina o taurina cuyas sales son las sales biliares. • Los ácidos biliares conjugados se reabsorben en su gran mayoria en Íleon y regresan al hígado por la circulación enterohepática • La función de las sales biliares es la emulsificacion de las grasas permitiendo su digestión y transporte a las micro vellosidades para su absorción.
  • 33.
  • 34.
  • 35.
    CLASIFICACIÓN DE LIPOPROTEÍNAS Cual esla LP de menor densidad Cual es la LP de mayor densidad Cual es la LP que contiene mayor % de TG Cual es la LP que contiene mayor % de Chol
  • 38.
    METABOLISMO DE LIPOPROTEÍNAS Triglicéridos Colesterol Otroslípidos Intestino QM E B48 C Capilares tejido adiposo Lipoproteína lipasa RM E B48 VLDL E B100 C IDL E B100 LDL B100 Otros órganos y tejidos HDL Plasma Receptor LDL Proteínas receptoras Transporte reverso del colesterol al hígado 1 15 14 13 10 9 3 5 4 6 8 7 11 12 2 2/3 Descarga fracción de TG Eliminación del TG residual Capilares tejido adiposo
  • 39.
    • Los lípidos( insolubles en agua) se transportan en la sangre como paquetes unidos a proteínas ( apoproteínas) llamados lipoproteínas (LP) • Las LP se clasifican de acuerdo a su densidad y cada una tiene su función. • Las Apoproteínas no solamente cumplen un papel estructural , además intervienen en el metabolismo de las mismas, en el que ejercen distintas funciones, actuando como activadoras e inhibidoras de enzimas e interaccionan con receptores celulares específicos. Actualmente son conocidas las Apo: A, B, C, D, E, F y G • Los quilomicrones (QM) llevan lípidos de la digestión al hígado . • Cuando los lípidos procedentes de la digestión (1) entran a la circulación (2) se forman los QM, que transportan estos lípidos (3). Mientras estos QM se encuentran en los capilares del tejido Adiposo y muscular , descargan parte de los triglicéridos (TG) (4). • Una lipoproteína lipasa (LPL) cataliza la hidrolisis de los TG. El tejido adiposo absorbe los ácidos grasos, y el glicerol resultante lo reconstituye como TG que se almacenan hasta que se necesitan. • Este proceso deja residuos de quilomicrones llamados remanentes (RM) (5) ahora mas ricos en colesterol. El hígado tiene receptores para estos RM que ayuda para que se absorba(6). • El hígado puede recibir y formar colesterol por lo que forma a las VLDL (7), estas LP transportan ahora los lípidos al tejido adiposo y los músculos (8). Estos tejidos extraen la mayor parte de los TG a través de la enzima LPL , lo que produce un complejo lipoproteico con una densidad ligeramente mas alta llamado IDL (9). • Las proteínas receptoras hepáticas captan a las IDL, lo cual ayuda a recuperar estos complejos (10). El IDL que no se reabsorbe aquí, sufre perdidas adicionales de TG, lo cual causa aumento de su densidad formándose las LDL (11). • Las proteínas receptoras capturan una buena parte de LDL(12), y la otra parte llega a los tejidos periféricos (13)como las glándulas suprarrenales. Por lo tanto, el LDL transporta al colesterol adondequiera que se necesite, para formar membranas celulares u hormonas esteroideas. • Las HDL son sintetizadas en el hígado y realizan el transporte reverso del colesterol al hígado (14 y 15).
  • 41.
    CASO CLÍNICO 2 JulianaJiménez es una ama de casa de 35 años de edad, 95 kg de peso y 1.50 mt. En su consulta médica se hallo que presenta una estilo de vida sedentaria, hipertensión, además indico que tenia mucha sed ,hambre y su frecuencia de miccionar había incrementado . Se le realizan algunas pruebas de laboratorio y los resultados fueron los siguientes : Prueba Valor encontrado Valores Normales Glucosa sanguínea 214 mg/dL En ayuno menor a 100 mg/dL Triglicéridos 295 mg/dL Menor a 150mg/dL LDL 231 mg/dL Menor a 130mg/dL HDL 24 mg/dL Mayor/igual 40 mg/dL Preguntas : ¿Cual es su índice de masa corporal ?. Indique si esta dentro de los valores normales o hay una alteración. Esta desarrollando juliana un cuadro de diabetes ¿ si o no? Sustente su respuesta. ¿Esta predispuesta juliana a un cuadro de ateroesclerosis? Sustente la respuesta. ¿Qué recomendaciones daría a juliana ?