Oaaaaaaaaa!!  Bienvenidos al mundo de la factorizacion… somos los teletubbies y te acompañaremos en esta tarea de aprender a factorizar buena suerte y adelante!!!
Algo de historia: Los primeros vestigios del desarrollo de la ciencia matemática se encuentran 5000-500 AC en Egipto. Pitágoras, Tales de Mileto, Euclides son algunos de los matemáticos que fueron dando realce al estudio de la matemática. Establecieron un método riguroso para la demostración geométrica e hicieron del numero el principio universal por excelencia.
Métodos para factorizar un polinomio   Antes de comenzar debes tener en claro que la factorización lo que se busca es expresar una o varias cantidades como el producto de dos o más factores, dando la posibilidad de factorizar de diferentes formas expresiones algebraicas denominando a este proceso casos de factorización.  Pero … ¿Qué es factorizar? En pocas palabras, la factorización de expresiones algebraicas consiste en buscar el origen de las mismas, en descomponerlas.
Casos de Factorización   Subsecciones  : 1.-  Factor Común   2.-  Factor Común por agrupación de términos  3.-  Casos para Trinomios  4.-  Diferencia de cuadrados  5.-  Trinomio cuadrado perfecto por adición o sustracción 6.-  Trinomio cuadrado de la forma    7.-  Trinomio cuadrado de la forma    8.-  Cubo perfecto de Binomios  9.-  Suma o Diferencia de Cubos perfectos  10.-  Suma o Diferencia de dos potencias iguales  11.-  Casos para Polinomios  12.-  Relación con la Geometría. 12.-  Prueba de diagnostico:  I parte 13.-  Prueba diagnostico:  II parte
Factor Común   Explicación: Este es el primer caso y se emplea para factorizar una expresión en la cual todos los términos tienen algo en común (puede ser un número, una letra, o la combinación de los dos).  Factor común monomio:  Es el factor que está presente en cada término del polinomio : Ejemplo:   Casos de factorización.
Factor común polinomio:  Es el polinomio que aparece en cada término de la expresión : Ejemplos:   2a(m - 2n) - b (m - 2n ) = 2a (m - 2n)  - b  (m - 2n )   =  (m - 2n )( 2a - b ) 3x(2z - 5z) + x (2z – 5z) = 3x (2z – 5z)  + x (2z – 5z) = (2z – 5z) (3x + x) mnx + mny - mnz =  mn x +  mn y –  mn z = mn (x + y – z)
Veamos algunos ejercicios amigo … Presiona sobre mi y te aparecerán … A  trabajar !!
Algunos Ejercicios: Factor común monomio: 12m2n + 24m3n2 - 36m4n3 =   10p2q3 + 14p3q2 - 18p4q3 - 16p5q4 =
Factor común polinomio: x2( p + q ) + y2( p + q )= a(2 + x ) - ( 2 + x )= (x + y )(n + 1 ) - 3 (n + 1 )= (a + 1 )(a - 1 ) - 2 ( a - 1 )=  Factor Común.
Factor Común por agrupación de términos   Explicación: Aquí utilizaremos el caso anterior:  adicionando que uniremos los factores que se parezcan, es decir, los que tengan un factor común. Ejemplos:  Casos de factorización.
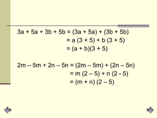
3a + 5a + 3b + 5b = (3a + 5a) + (3b + 5b) = a (3 + 5) + b (3 + 5) = (a + b)(3 + 5) 2m – 5m + 2n – 5n = (2m – 5m) + (2n – 5n) = m (2 – 5) + n (2 - 5) = (m + n) (2 – 5)
Veamos algunos ejercicios amigo … Presiona sobre mi y te aparecerán … A  trabajar !!
Algunos Ejercicios:   6ab + 4a - 15b - 10 =   ac - a - bc + b + c2  - c =   a3 + a2 + a + 1 =   18x - 12 - 3xy + 2y + 15xz - 10z =   3am - 8bp - 2bm + 12 ap =   Factor Común por agrupación de términos.
Casos para Trinomios   Explicación: Trinomio cuadrado perfecto:  Este nombre es otorgado a los trinomios que cumplen con las siguientes características:  El primer y tercer término se tiene raíz cuadrada exacta y son positivos.  El segundo término es igual a dos veces el producto de las raíces cuadradas y puede ser positivo o negativo. y se factoriza como una suma o diferencia, dependiendo del segundo término, elevado al cuadrado, se factoriza así:   Casos de factorización.
Ejemplos:  x2 + 8x + 16 = (x + 4)2 9x2 + 42x + 49 = (3x + 7)2 4x2 – 4x + 1 = (2x – 1)2  Aquí tienes algunos ejemplos aclaratorios!!
Veamos algunos ejercicios amigo … Presiona sobre mi y te aparecerán … A  trabajar !!
Algunos ejercicios:   25x2 + 55x + 121/4 = x2 + x + ¼ =  a2 + 8a + 16 = 4b2 – 4b + 1 = z2 + 12z + 36 = 25m2 + 18m + 81 = n2 + 14n + 49 = Casos para Trinomios . Vamos amigo trabaja con todas las ganas!
Diferencia de cuadrados   Explicación: Para esto debemos tener en cuenta que un binomio es una diferencia de cuadrados siempre y cuando los términos que la componen tengan diferentes signos y ambos términos tengan raíz cuadrada exacta. Ejemplo:   Casos de factorización.
Suma o diferencia de potencias iguales:  Para solucionar este caso debes tener en cuenta los conocimientos adquiridos sobre cocientes notables, es decir: donde n pertenece a z; si n es par :   si n es impar : y
se factoriza así: si n pertenece a z   si n es par : si n es impar :
Ejemplos:  25 - 9 = (5 – 3) (5 + 3) a2 – b2 = (a – b) (a + b) (7x – 9) (7x + 9) = 49x – 81
Veamos algunos ejercicios amigo … Presiona sobre mi y te aparecerán … A  trabajar !!
Algunos Ejercicios: 36m2n2 - 25 =   121 x2 - 144 k2 =   3x2 - 12 =   5 - 180f2 =   Diferencia de cuadrados.
Trinomio cuadrado perfecto por adición o sustracción   Explicación: En este caso se intenta transformar una expresión (binomio o trinomio), en otra igual en la que se pueda aplicar trinomio cuadrado perfecto. Ejercicio: Casos de factorización.
Resolviéndolo nos queda:   Aplicamos diferencia de cuadrados:
Ejemplos: 16m2 – 40mn + 25n2 = (4m – 5n)2 4m  x  2  x  5n =  40 mn 4b2 + 4b + 1 = (2b + 1)2 2b  x  2  x  1 =  4b 1 + 6x + 6x2 = (1 + 3x)2 1  x  2  x 3x =  6x
Veamos algunos ejercicios amigo … Presiona sobre mi y te aparecerán … A  trabajar !!
Algunos ejercicios: x2 + 6x + 9  = 16x2 + 8x + 1 = y2 + 10y + 25 = 81y2 - 180y + 100 = 81z2+ 108zw + 36w2 = 49x2 + 112x + 64 = 4y2 - 24y + 36 = Trinomio cuadrado perfecto por adición o sustracción.
Trinomio cuadrado de la forma   Explicación:   Este trinomio debe cumplir con las siguientes características:  Debe estar organizado de forma correspondiente (es decir, debe coincidir con la formula).  El primer término debe ser positivo y tener raíz cuadrada exacta.  La variable que esta acompañando el segundo término debe ser la raíz cuadrada del término número uno.  Casos de factorización.
Existen dos números que :   es decir:
Ejemplos: x2 + 6x + 8 = (x + 4) (x + 2) 4 x 2 =  8 4 + 2 =  6  x2 – 11x – 26 = (x – 13) (x + 2) -13 x 2 =  -26 -13 + 2=  -11 x2 -17x + 30 = (x – 15) (x – 2) -15 x -2 =  30 -15 + -2 =  -17
Veamos algunos ejercicios amigo … Presiona sobre mi y te aparecerán … A  trabajar !!
Algunos Ejercicios:   x2 + 12x + 6 = a2 – 24a + 15 = f2 – 15f + 18= x2 + 6x +5= r2 – 12r +27= m2 + 19m + 48= w2 + 20w – 6= Trinomio cuadrado de la forma:
Trinomio cuadrado de la forma   Explicación: Debe cumplir con las siguientes características:  Debe estar organizado de forma correspondiente (es decir, debe coincidir con la formula).  El primer término debe ser positivo, tener un coeficiente a diferente de 1 y la parte literal debe tener raíz cuadrada exacta.  La variable que esta acompañando el segundo término debe ser la raíz cuadrada del término número uno.  Casos de factorización.
Cumpliendo con todas las características anteriores se procede a factorizar transformando el trinomio dado en uno de la forma   De la siguiente forma:
luego se procede a multiplicar y dividir por la variable que acompaña al primer término (esto con el fin de no alterar el ejercicio) de la siguiente forma:   y se opera, dando como resultado:   y de esta forma nos queda como un trinomio de la forma anterior.
Ejemplo: 12x2 + 16x – 3 = /  x 12   (12x)2 + 16(12x) – 36 = (12x + 18) (12x – 2) 18 x -2 =  -36 18 + -2 =  16 (12x + 18)(12x – 2)  6 (2x + 3)  2 (6x – 1)  ______________  = ______________ = (2x + 3)(6x – 1) 12   12
Veamos algunos ejercicios amigo … Presiona sobre mi y te aparecerán … A  trabajar !!
Algunos Ejercicios:   4x2 + 7x + 3 =   4h2 + 5h + 1 =   2x2 + 5x - 12 =   6x2 + 7x - 5 =   8x2 - 14x + 3 =   6a2 + 23ab - 4b2 =   Trinomio cuadrado de la forma: Que divertido es factorizar!! Hagamos una ronda por ello…  Heeeeeee!!!!!!!
Cubo perfecto de Binomios   Explicación: Teniendo en cuenta que los productos notables nos dicen que:   y   Casos de factorización.
Es decir que debe cumplir con las siguientes características:   Debe tener cuatro términos.  Que tanto el primero como el último término sean cubos perfectos  Que el segundo término sea aproximadamente el triple del cuadrado de la raíz cúbica del primer término multiplicado por la raíz cúbica del último término.  Que el tercer término sea más que el triple de la raíz cúbica del último .
Raíz cúbica de un monomio:  Esta se obtiene tomando la raíz cúbica de su coeficiente y dividiendo el exponente de cada letra entre 3.  Factorizar una expresión que es el cubo de un binomio:
Ejemplos: x3 + 3x2z + 3xz2 + z3 =  / se saca raíz cúbica del 1º termino = x se saca raíz cúbica del 2º termino = z x3 + 3x2z + 3xz2 + z3 = (x + z)3 8m6n3 + 48m5n4 + 96m4n5 + 64m3n6 =  / raíz cúbica 1º termino = 2m2n  raíz cúbica 2º termino = 4mn2 8m6n3 + 48m5n4 + 96m4n5 + 64m3n6 = (2m2n + 4mn2)3 (x + z)3 = x3 + 3x2z + 3ab2 + b3
Veamos algunos ejercicios amigo … Presiona sobre mi y te aparecerán … A  trabajar !!
Algunos ejercicios:   (2x – 3z)3 = (5y + 1)3 = (2 + a2)3 = (1 – a)3 = m3 + 3m2n + 3mn2 = 27 – 27x + 9x2 – x3 = c2 + 3c2 +3c + 1 =  Cubo perfecto de Binomios. Aquí tienes ejercicios para trabajar!! Haz tu mayor esfuerzo!!
Suma o Diferencia de Cubos perfectos   Explicación: Para esto debemos recordar que: y Casos de factorización.
Tenemos que tener en cuenta las siguientes reglas para desarrollarlo:   La de sus cubos perfectos se descompone en dos factores: 1. La suma de sus raíces cúbicas 2. El cuadrado de la primera raíz, menos el producto de las dos raíces, más el cuadrado de la segunda raíz.  La diferencia de dos cubos perfectos se descompone en dos factores: 1. La diferencia de sus raíces cúbicas. 2. El cuadrado de la primera raíz, más el producto de las dos raíces, más el cuadrado de la segunda raíz.
Ejemplos: x3 + z3 = (x + z)(x2 – xz + z2) x3 – z3 = (x – z)(x2 + xz + z2) 2m3 + z3 = (2m + z)(2m2 - 2mz + n2) 2m3 – z3 = (2m – z)(2m2 + 2mz + n2) (3b + 3c)(3b2 – 3b 3c + 3c2) = 3b3 + 3c3 (3b – 3c)(3b2 + 3b 3c + 3c2) = 3b3 – 3c3
Veamos algunos ejercicios amigo … Presiona sobre mi y te aparecerán … A  trabajar !!
Algunos Ejercicios: 9x3 + 27 = 16m3 + 25n3 = 4b3 – 1 = 1 + 9x3 = 9m3 – 3n3 = 4w3 + 64z3 = 25f3 + g3 = Suma o Diferencia de Cubos perfectos.
Suma o Diferencia de dos potencias iguales   Explicación: Debemos tener en cuenta una pequeña recapitulación de:           es divisible por        siendo n un número par o impar            es divisible por        siendo n impar            es divisible por        siendo n par            nunca es divisible por          Casos de factorización.
Demostración: se divide por: y tenemos:   y obtenemos como respuesta: )
Ejemplos:   x4 + z4 = x4 + z4/x + z = x3 – x2z + xz2 – z3 x4 + z4 = (x + z)(x3 –x2z + xz2 –z3) m6 + n6 = m6 + n6/m + n = m5 - m4n + m3n2 – m2n3 + mn4 – n5 m6 + n6 = (m + n)(m5 - m4n + m3n2 – m2n3 + mn4 – n5) b3 + c3 = b3 + c3/b+c  = b2 – bc + c2 b3 + c3 = (b + c)(b2 – bc + c2)
Veamos algunos ejercicios amigo … Presiona sobre mi y te aparecerán … A  trabajar !!
Algunos ejercicios:   m3 + n3 = x4 – z4 = b2 + c2 = f6 – g6 = 2x3 + z3 = 4m2 – 2n2 = 6x3 + 12n3 = Suma o Diferencia de dos potencias iguales.
Casos para Polinomios   Explicación: Agrupación de términos:  Aquí se intenta agrupar los diferentes términos de una expresión para factorizar utilizando los diferentes métodos vistos. Para utilizar este método se debe tener en cuenta que la expresión debe tener un número de términos que al agruparlos deben quedar todos con la misma cantidad de términos. Casos de factorización.
Demostración:  resolviéndolo nos queda:
Ejemplos: Factorizar: ax + bx + aw + bw  Agrupamos: (ax + bx) + (aw + bw)  Factor común en cada binomio: x (a + b) + w (a + b) Factor común polinomio: (a + b)  Entonces: ax + bx + aw + bw = (a + b)(x + w)  Factorizar: 2x2 - 4xy + 4x - 8y Agrupamos: ( 2x2 - 4xy ) + ( 4x - 8y )  Factor común en cada binomio: 2x(x - 2y) + 4(x - 2y)  Factor común polinomio: (x - 2y)  Entonces: 2x2 - 4xy + 4x - 8y = (x - 2y)(2x + 4)
Factorizar 2m+n + 8m+n + 2m8m + 2n8n  Agrupamos ( 2m+n + 2m8m ) + ( 8m+n + 2n8n )  Factor común en cada binomio: 2m( 2n + 8m ) + 8n( 8m + 2n )  Factor común polinomio: ( 2n + 8m )  Entonces: 2m+n + 8m+n + 2m8m + 2n8n = ( 2n + 8m )(2m + 8n)
Veamos algunos ejercicios amigo … Presiona sobre mi y te aparecerán … A  trabajar !!
Algunos ejercicios: mx + nx + mw + nw = af + bf + ag + bg = 3x2 - 6xy + 3xy - 2y = 2m2 – 7my + 3m - 9y = 4x2 - 8xn + 2x – 6n = 4x+y + 10x+y + 4x8x + 4y8y = 2b+c + 8b+c + 3b8b + 3c8c = Casos para Polinomios. Ya estamos casi en el final sigue esforzándote por aprender queda muy poco!!…
Relación con la Geometría El cuadrado : Polígono de 4 lados iguales.  Sus segmentos se sacan ocupando la factorizacion de cuadrados perfectos.  Es decir, si el área de un cuadrado es: A2 + 2ab + b2. ¿Cuánto será el valor de sus lados? Área del cuadrado = lado2 a2 + 2ab + b  = (a + b)(a + b)  /  factorizacion. = (a + b)2 (a + b) (a + b) Casos de factorización.
El rectángulo : Polígono de 4 lados. 2 y 2 lados iguales. Sus segmentos se sacan factorizando su área por una diferencia de cuadrados. Área rectángulo = base x altura (a2 – b2)  = (a + b)(a – b)  /  factorizacion. Segmento 1= (a + b) Segmento 2= (a – b) (a – b) (a + b)
Vamos amigo.. Ahora es turno de que pongas tus conocimientos a prueba.. Ilumínate conmigo.. Buena suerte!! En tu I parte de la prueba..
Prueba Diagnostico: I parte. Factorizar completamente cada polinomio: 2x 2  - 12x + 10 3x 3  - 27x 2  + 54x 4x 2  - 32x + 60 2x 3 y + 4x 2 y 2  - 6xy 3 4x 2  - 30x + 14 9y 3  + 3y 2  - 6y 20x 3  - 5x 3x 2  - 27 2x 3  - 16 24x 3  + 3 Ver Respuestas Casos de factorización.
Factorizar completamente cada polinomio: Respuestas: 2x 2  - 12x + 10  = 2(x - 5)(x - 1) 3x 3  - 27x 2  + 54x  = 3x(x - 3)(x - 6) 4x 2  - 32x + 60  = 4(x - 5)(x - 3) 2x 3 y + 4x 2 y 2  - 6xy 3   = 2xy(x + 3y)(x - y) 4x 2  - 30x + 14  = 2(2x - 1)(x - 7) 9y 3  + 3y 2  - 6y  = 3y(3y - 2)(y + 1) 20x 3  - 5x  = 5x(2x + 1)(2x - 1) 3x 2  - 27  = 3(x + 3)(x - 3) 2x 3  - 16  = 2(x - 2)(x 2  + 2x + 4) 24x 3  + 3    = 3(2x + 1)(4x 2  - 2x + 1) Atrás.
Vamos amigo.. Ahora es turno de que pongas tus conocimientos a prueba.. Ilumínate conmigo.. Buena suerte!! En tu II parte de la prueba..
Prueba diagnostico: II parte. Factorizar completamente cada polinomio 2x 2  - 12x + 10 3x 3  - 27x2 + 54x 4x 2  - 32x + 60 2x 3 y + 4x 2 y 2  - 6xy 3 4x 2  - 30x + 14 9y 3  + 3y2 - 6y 20x 3  - 5x 3x 2  - 27 2x 3  - 16 24x 3  + 3 Ver Respuestas Casos de factorización.
Factorizar completamente cada polinomio: Respuestas: 2x 2  - 12x + 10  = 2(x - 5)(x - 1) 3x 3  - 27x 2  + 54x  = 3x(x - 3)(x - 6) 4x 2  - 32x + 60  = 4(x - 5)(x - 3) 2x 3 y + 4x 2 y 2  - 6xy 3   = 2xy(x + 3y)(x - y) 4x 2  - 30x + 14  = 2(2x - 1)(x - 7) 9y 3  + 3y 2  - 6y  = 3y(3y - 2)(y + 1) 20x 3  - 5x  = 5x(2x + 1)(2x - 1) 3x 2  - 27  = 3(x + 3)(x - 3) 2x 3  - 16  = 2(x - 2)(x 2  + 2x + 4) 24x 3  + 3    = 3(2x + 1)(4x 2  - 2x + 1) Atrás.
Integrantes: - Daniel Belmar. (3ºmA) - Germán Soto. (3ºmA) Fecha: 14 de Junio, 2005.

Modulo factorización

  • 1.
  • 2.
    Oaaaaaaaaa!! Bienvenidosal mundo de la factorizacion… somos los teletubbies y te acompañaremos en esta tarea de aprender a factorizar buena suerte y adelante!!!
  • 3.
    Algo de historia:Los primeros vestigios del desarrollo de la ciencia matemática se encuentran 5000-500 AC en Egipto. Pitágoras, Tales de Mileto, Euclides son algunos de los matemáticos que fueron dando realce al estudio de la matemática. Establecieron un método riguroso para la demostración geométrica e hicieron del numero el principio universal por excelencia.
  • 4.
    Métodos para factorizarun polinomio Antes de comenzar debes tener en claro que la factorización lo que se busca es expresar una o varias cantidades como el producto de dos o más factores, dando la posibilidad de factorizar de diferentes formas expresiones algebraicas denominando a este proceso casos de factorización. Pero … ¿Qué es factorizar? En pocas palabras, la factorización de expresiones algebraicas consiste en buscar el origen de las mismas, en descomponerlas.
  • 5.
    Casos de Factorización Subsecciones : 1.- Factor Común 2.- Factor Común por agrupación de términos 3.- Casos para Trinomios 4.- Diferencia de cuadrados 5.- Trinomio cuadrado perfecto por adición o sustracción 6.- Trinomio cuadrado de la forma 7.- Trinomio cuadrado de la forma 8.- Cubo perfecto de Binomios 9.- Suma o Diferencia de Cubos perfectos 10.- Suma o Diferencia de dos potencias iguales 11.- Casos para Polinomios 12.- Relación con la Geometría. 12.- Prueba de diagnostico: I parte 13.- Prueba diagnostico: II parte
  • 6.
    Factor Común Explicación: Este es el primer caso y se emplea para factorizar una expresión en la cual todos los términos tienen algo en común (puede ser un número, una letra, o la combinación de los dos). Factor común monomio: Es el factor que está presente en cada término del polinomio : Ejemplo: Casos de factorización.
  • 7.
    Factor común polinomio: Es el polinomio que aparece en cada término de la expresión : Ejemplos: 2a(m - 2n) - b (m - 2n ) = 2a (m - 2n) - b (m - 2n ) = (m - 2n )( 2a - b ) 3x(2z - 5z) + x (2z – 5z) = 3x (2z – 5z) + x (2z – 5z) = (2z – 5z) (3x + x) mnx + mny - mnz = mn x + mn y – mn z = mn (x + y – z)
  • 8.
    Veamos algunos ejerciciosamigo … Presiona sobre mi y te aparecerán … A trabajar !!
  • 9.
    Algunos Ejercicios: Factorcomún monomio: 12m2n + 24m3n2 - 36m4n3 = 10p2q3 + 14p3q2 - 18p4q3 - 16p5q4 =
  • 10.
    Factor común polinomio:x2( p + q ) + y2( p + q )= a(2 + x ) - ( 2 + x )= (x + y )(n + 1 ) - 3 (n + 1 )= (a + 1 )(a - 1 ) - 2 ( a - 1 )= Factor Común.
  • 11.
    Factor Común poragrupación de términos Explicación: Aquí utilizaremos el caso anterior: adicionando que uniremos los factores que se parezcan, es decir, los que tengan un factor común. Ejemplos: Casos de factorización.
  • 12.
    3a + 5a+ 3b + 5b = (3a + 5a) + (3b + 5b) = a (3 + 5) + b (3 + 5) = (a + b)(3 + 5) 2m – 5m + 2n – 5n = (2m – 5m) + (2n – 5n) = m (2 – 5) + n (2 - 5) = (m + n) (2 – 5)
  • 13.
    Veamos algunos ejerciciosamigo … Presiona sobre mi y te aparecerán … A trabajar !!
  • 14.
    Algunos Ejercicios: 6ab + 4a - 15b - 10 = ac - a - bc + b + c2 - c = a3 + a2 + a + 1 = 18x - 12 - 3xy + 2y + 15xz - 10z = 3am - 8bp - 2bm + 12 ap = Factor Común por agrupación de términos.
  • 15.
    Casos para Trinomios Explicación: Trinomio cuadrado perfecto: Este nombre es otorgado a los trinomios que cumplen con las siguientes características: El primer y tercer término se tiene raíz cuadrada exacta y son positivos. El segundo término es igual a dos veces el producto de las raíces cuadradas y puede ser positivo o negativo. y se factoriza como una suma o diferencia, dependiendo del segundo término, elevado al cuadrado, se factoriza así: Casos de factorización.
  • 16.
    Ejemplos: x2+ 8x + 16 = (x + 4)2 9x2 + 42x + 49 = (3x + 7)2 4x2 – 4x + 1 = (2x – 1)2 Aquí tienes algunos ejemplos aclaratorios!!
  • 17.
    Veamos algunos ejerciciosamigo … Presiona sobre mi y te aparecerán … A trabajar !!
  • 18.
    Algunos ejercicios: 25x2 + 55x + 121/4 = x2 + x + ¼ = a2 + 8a + 16 = 4b2 – 4b + 1 = z2 + 12z + 36 = 25m2 + 18m + 81 = n2 + 14n + 49 = Casos para Trinomios . Vamos amigo trabaja con todas las ganas!
  • 19.
    Diferencia de cuadrados Explicación: Para esto debemos tener en cuenta que un binomio es una diferencia de cuadrados siempre y cuando los términos que la componen tengan diferentes signos y ambos términos tengan raíz cuadrada exacta. Ejemplo: Casos de factorización.
  • 20.
    Suma o diferenciade potencias iguales: Para solucionar este caso debes tener en cuenta los conocimientos adquiridos sobre cocientes notables, es decir: donde n pertenece a z; si n es par : si n es impar : y
  • 21.
    se factoriza así:si n pertenece a z si n es par : si n es impar :
  • 22.
    Ejemplos: 25- 9 = (5 – 3) (5 + 3) a2 – b2 = (a – b) (a + b) (7x – 9) (7x + 9) = 49x – 81
  • 23.
    Veamos algunos ejerciciosamigo … Presiona sobre mi y te aparecerán … A trabajar !!
  • 24.
    Algunos Ejercicios: 36m2n2- 25 = 121 x2 - 144 k2 = 3x2 - 12 = 5 - 180f2 = Diferencia de cuadrados.
  • 25.
    Trinomio cuadrado perfectopor adición o sustracción Explicación: En este caso se intenta transformar una expresión (binomio o trinomio), en otra igual en la que se pueda aplicar trinomio cuadrado perfecto. Ejercicio: Casos de factorización.
  • 26.
    Resolviéndolo nos queda: Aplicamos diferencia de cuadrados:
  • 27.
    Ejemplos: 16m2 –40mn + 25n2 = (4m – 5n)2 4m x 2 x 5n = 40 mn 4b2 + 4b + 1 = (2b + 1)2 2b x 2 x 1 = 4b 1 + 6x + 6x2 = (1 + 3x)2 1 x 2 x 3x = 6x
  • 28.
    Veamos algunos ejerciciosamigo … Presiona sobre mi y te aparecerán … A trabajar !!
  • 29.
    Algunos ejercicios: x2+ 6x + 9 = 16x2 + 8x + 1 = y2 + 10y + 25 = 81y2 - 180y + 100 = 81z2+ 108zw + 36w2 = 49x2 + 112x + 64 = 4y2 - 24y + 36 = Trinomio cuadrado perfecto por adición o sustracción.
  • 30.
    Trinomio cuadrado dela forma Explicación: Este trinomio debe cumplir con las siguientes características: Debe estar organizado de forma correspondiente (es decir, debe coincidir con la formula). El primer término debe ser positivo y tener raíz cuadrada exacta. La variable que esta acompañando el segundo término debe ser la raíz cuadrada del término número uno. Casos de factorización.
  • 31.
    Existen dos númerosque : es decir:
  • 32.
    Ejemplos: x2 +6x + 8 = (x + 4) (x + 2) 4 x 2 = 8 4 + 2 = 6 x2 – 11x – 26 = (x – 13) (x + 2) -13 x 2 = -26 -13 + 2= -11 x2 -17x + 30 = (x – 15) (x – 2) -15 x -2 = 30 -15 + -2 = -17
  • 33.
    Veamos algunos ejerciciosamigo … Presiona sobre mi y te aparecerán … A trabajar !!
  • 34.
    Algunos Ejercicios: x2 + 12x + 6 = a2 – 24a + 15 = f2 – 15f + 18= x2 + 6x +5= r2 – 12r +27= m2 + 19m + 48= w2 + 20w – 6= Trinomio cuadrado de la forma:
  • 35.
    Trinomio cuadrado dela forma Explicación: Debe cumplir con las siguientes características: Debe estar organizado de forma correspondiente (es decir, debe coincidir con la formula). El primer término debe ser positivo, tener un coeficiente a diferente de 1 y la parte literal debe tener raíz cuadrada exacta. La variable que esta acompañando el segundo término debe ser la raíz cuadrada del término número uno. Casos de factorización.
  • 36.
    Cumpliendo con todaslas características anteriores se procede a factorizar transformando el trinomio dado en uno de la forma De la siguiente forma:
  • 37.
    luego se procedea multiplicar y dividir por la variable que acompaña al primer término (esto con el fin de no alterar el ejercicio) de la siguiente forma: y se opera, dando como resultado: y de esta forma nos queda como un trinomio de la forma anterior.
  • 38.
    Ejemplo: 12x2 +16x – 3 = / x 12 (12x)2 + 16(12x) – 36 = (12x + 18) (12x – 2) 18 x -2 = -36 18 + -2 = 16 (12x + 18)(12x – 2) 6 (2x + 3) 2 (6x – 1) ______________ = ______________ = (2x + 3)(6x – 1) 12 12
  • 39.
    Veamos algunos ejerciciosamigo … Presiona sobre mi y te aparecerán … A trabajar !!
  • 40.
    Algunos Ejercicios: 4x2 + 7x + 3 = 4h2 + 5h + 1 = 2x2 + 5x - 12 = 6x2 + 7x - 5 = 8x2 - 14x + 3 = 6a2 + 23ab - 4b2 = Trinomio cuadrado de la forma: Que divertido es factorizar!! Hagamos una ronda por ello… Heeeeeee!!!!!!!
  • 41.
    Cubo perfecto deBinomios Explicación: Teniendo en cuenta que los productos notables nos dicen que: y Casos de factorización.
  • 42.
    Es decir quedebe cumplir con las siguientes características: Debe tener cuatro términos. Que tanto el primero como el último término sean cubos perfectos Que el segundo término sea aproximadamente el triple del cuadrado de la raíz cúbica del primer término multiplicado por la raíz cúbica del último término. Que el tercer término sea más que el triple de la raíz cúbica del último .
  • 43.
    Raíz cúbica deun monomio: Esta se obtiene tomando la raíz cúbica de su coeficiente y dividiendo el exponente de cada letra entre 3. Factorizar una expresión que es el cubo de un binomio:
  • 44.
    Ejemplos: x3 +3x2z + 3xz2 + z3 = / se saca raíz cúbica del 1º termino = x se saca raíz cúbica del 2º termino = z x3 + 3x2z + 3xz2 + z3 = (x + z)3 8m6n3 + 48m5n4 + 96m4n5 + 64m3n6 = / raíz cúbica 1º termino = 2m2n raíz cúbica 2º termino = 4mn2 8m6n3 + 48m5n4 + 96m4n5 + 64m3n6 = (2m2n + 4mn2)3 (x + z)3 = x3 + 3x2z + 3ab2 + b3
  • 45.
    Veamos algunos ejerciciosamigo … Presiona sobre mi y te aparecerán … A trabajar !!
  • 46.
    Algunos ejercicios: (2x – 3z)3 = (5y + 1)3 = (2 + a2)3 = (1 – a)3 = m3 + 3m2n + 3mn2 = 27 – 27x + 9x2 – x3 = c2 + 3c2 +3c + 1 = Cubo perfecto de Binomios. Aquí tienes ejercicios para trabajar!! Haz tu mayor esfuerzo!!
  • 47.
    Suma o Diferenciade Cubos perfectos Explicación: Para esto debemos recordar que: y Casos de factorización.
  • 48.
    Tenemos que teneren cuenta las siguientes reglas para desarrollarlo: La de sus cubos perfectos se descompone en dos factores: 1. La suma de sus raíces cúbicas 2. El cuadrado de la primera raíz, menos el producto de las dos raíces, más el cuadrado de la segunda raíz. La diferencia de dos cubos perfectos se descompone en dos factores: 1. La diferencia de sus raíces cúbicas. 2. El cuadrado de la primera raíz, más el producto de las dos raíces, más el cuadrado de la segunda raíz.
  • 49.
    Ejemplos: x3 +z3 = (x + z)(x2 – xz + z2) x3 – z3 = (x – z)(x2 + xz + z2) 2m3 + z3 = (2m + z)(2m2 - 2mz + n2) 2m3 – z3 = (2m – z)(2m2 + 2mz + n2) (3b + 3c)(3b2 – 3b 3c + 3c2) = 3b3 + 3c3 (3b – 3c)(3b2 + 3b 3c + 3c2) = 3b3 – 3c3
  • 50.
    Veamos algunos ejerciciosamigo … Presiona sobre mi y te aparecerán … A trabajar !!
  • 51.
    Algunos Ejercicios: 9x3+ 27 = 16m3 + 25n3 = 4b3 – 1 = 1 + 9x3 = 9m3 – 3n3 = 4w3 + 64z3 = 25f3 + g3 = Suma o Diferencia de Cubos perfectos.
  • 52.
    Suma o Diferenciade dos potencias iguales Explicación: Debemos tener en cuenta una pequeña recapitulación de:          es divisible por       siendo n un número par o impar          es divisible por       siendo n impar          es divisible por       siendo n par          nunca es divisible por       Casos de factorización.
  • 53.
    Demostración: se dividepor: y tenemos: y obtenemos como respuesta: )
  • 54.
    Ejemplos: x4 + z4 = x4 + z4/x + z = x3 – x2z + xz2 – z3 x4 + z4 = (x + z)(x3 –x2z + xz2 –z3) m6 + n6 = m6 + n6/m + n = m5 - m4n + m3n2 – m2n3 + mn4 – n5 m6 + n6 = (m + n)(m5 - m4n + m3n2 – m2n3 + mn4 – n5) b3 + c3 = b3 + c3/b+c = b2 – bc + c2 b3 + c3 = (b + c)(b2 – bc + c2)
  • 55.
    Veamos algunos ejerciciosamigo … Presiona sobre mi y te aparecerán … A trabajar !!
  • 56.
    Algunos ejercicios: m3 + n3 = x4 – z4 = b2 + c2 = f6 – g6 = 2x3 + z3 = 4m2 – 2n2 = 6x3 + 12n3 = Suma o Diferencia de dos potencias iguales.
  • 57.
    Casos para Polinomios Explicación: Agrupación de términos: Aquí se intenta agrupar los diferentes términos de una expresión para factorizar utilizando los diferentes métodos vistos. Para utilizar este método se debe tener en cuenta que la expresión debe tener un número de términos que al agruparlos deben quedar todos con la misma cantidad de términos. Casos de factorización.
  • 58.
  • 59.
    Ejemplos: Factorizar: ax+ bx + aw + bw Agrupamos: (ax + bx) + (aw + bw) Factor común en cada binomio: x (a + b) + w (a + b) Factor común polinomio: (a + b) Entonces: ax + bx + aw + bw = (a + b)(x + w) Factorizar: 2x2 - 4xy + 4x - 8y Agrupamos: ( 2x2 - 4xy ) + ( 4x - 8y ) Factor común en cada binomio: 2x(x - 2y) + 4(x - 2y) Factor común polinomio: (x - 2y) Entonces: 2x2 - 4xy + 4x - 8y = (x - 2y)(2x + 4)
  • 60.
    Factorizar 2m+n +8m+n + 2m8m + 2n8n Agrupamos ( 2m+n + 2m8m ) + ( 8m+n + 2n8n ) Factor común en cada binomio: 2m( 2n + 8m ) + 8n( 8m + 2n ) Factor común polinomio: ( 2n + 8m ) Entonces: 2m+n + 8m+n + 2m8m + 2n8n = ( 2n + 8m )(2m + 8n)
  • 61.
    Veamos algunos ejerciciosamigo … Presiona sobre mi y te aparecerán … A trabajar !!
  • 62.
    Algunos ejercicios: mx+ nx + mw + nw = af + bf + ag + bg = 3x2 - 6xy + 3xy - 2y = 2m2 – 7my + 3m - 9y = 4x2 - 8xn + 2x – 6n = 4x+y + 10x+y + 4x8x + 4y8y = 2b+c + 8b+c + 3b8b + 3c8c = Casos para Polinomios. Ya estamos casi en el final sigue esforzándote por aprender queda muy poco!!…
  • 63.
    Relación con laGeometría El cuadrado : Polígono de 4 lados iguales. Sus segmentos se sacan ocupando la factorizacion de cuadrados perfectos. Es decir, si el área de un cuadrado es: A2 + 2ab + b2. ¿Cuánto será el valor de sus lados? Área del cuadrado = lado2 a2 + 2ab + b = (a + b)(a + b) / factorizacion. = (a + b)2 (a + b) (a + b) Casos de factorización.
  • 64.
    El rectángulo :Polígono de 4 lados. 2 y 2 lados iguales. Sus segmentos se sacan factorizando su área por una diferencia de cuadrados. Área rectángulo = base x altura (a2 – b2) = (a + b)(a – b) / factorizacion. Segmento 1= (a + b) Segmento 2= (a – b) (a – b) (a + b)
  • 65.
    Vamos amigo.. Ahoraes turno de que pongas tus conocimientos a prueba.. Ilumínate conmigo.. Buena suerte!! En tu I parte de la prueba..
  • 66.
    Prueba Diagnostico: Iparte. Factorizar completamente cada polinomio: 2x 2 - 12x + 10 3x 3 - 27x 2 + 54x 4x 2 - 32x + 60 2x 3 y + 4x 2 y 2 - 6xy 3 4x 2 - 30x + 14 9y 3 + 3y 2 - 6y 20x 3 - 5x 3x 2 - 27 2x 3 - 16 24x 3 + 3 Ver Respuestas Casos de factorización.
  • 67.
    Factorizar completamente cadapolinomio: Respuestas: 2x 2 - 12x + 10 = 2(x - 5)(x - 1) 3x 3 - 27x 2 + 54x = 3x(x - 3)(x - 6) 4x 2 - 32x + 60 = 4(x - 5)(x - 3) 2x 3 y + 4x 2 y 2 - 6xy 3 = 2xy(x + 3y)(x - y) 4x 2 - 30x + 14 = 2(2x - 1)(x - 7) 9y 3 + 3y 2 - 6y = 3y(3y - 2)(y + 1) 20x 3 - 5x = 5x(2x + 1)(2x - 1) 3x 2 - 27 = 3(x + 3)(x - 3) 2x 3 - 16 = 2(x - 2)(x 2 + 2x + 4) 24x 3 + 3 = 3(2x + 1)(4x 2 - 2x + 1) Atrás.
  • 68.
    Vamos amigo.. Ahoraes turno de que pongas tus conocimientos a prueba.. Ilumínate conmigo.. Buena suerte!! En tu II parte de la prueba..
  • 69.
    Prueba diagnostico: IIparte. Factorizar completamente cada polinomio 2x 2 - 12x + 10 3x 3 - 27x2 + 54x 4x 2 - 32x + 60 2x 3 y + 4x 2 y 2 - 6xy 3 4x 2 - 30x + 14 9y 3 + 3y2 - 6y 20x 3 - 5x 3x 2 - 27 2x 3 - 16 24x 3 + 3 Ver Respuestas Casos de factorización.
  • 70.
    Factorizar completamente cadapolinomio: Respuestas: 2x 2 - 12x + 10 = 2(x - 5)(x - 1) 3x 3 - 27x 2 + 54x = 3x(x - 3)(x - 6) 4x 2 - 32x + 60 = 4(x - 5)(x - 3) 2x 3 y + 4x 2 y 2 - 6xy 3 = 2xy(x + 3y)(x - y) 4x 2 - 30x + 14 = 2(2x - 1)(x - 7) 9y 3 + 3y 2 - 6y = 3y(3y - 2)(y + 1) 20x 3 - 5x = 5x(2x + 1)(2x - 1) 3x 2 - 27 = 3(x + 3)(x - 3) 2x 3 - 16 = 2(x - 2)(x 2 + 2x + 4) 24x 3 + 3 = 3(2x + 1)(4x 2 - 2x + 1) Atrás.
  • 71.
    Integrantes: - DanielBelmar. (3ºmA) - Germán Soto. (3ºmA) Fecha: 14 de Junio, 2005.