Aquí podrás ver la película (Utiliza un lector de código QR y te llevará al sitio en youtube donde podrás verla)
Esta clase está disponible en  http://axeljaradrago.blogspot.com
Polimerización de Resinas Compuestas de Uso Odontológico Dr.Axel Jara Drago
Inducción : Activación e Iniciación   Para que comience la polimerización se necesita una fuente de radicales libres (sustancia capaz de liberar un electrón) , los que se generan por activación ( calor, luz, química)
Distancias Matriz no polimerizada distancia monomérica  0.3 – 0.4 nm  Matriz polimerizada distancia monomérica  0.15nm
Polimerización Proceso por el cual moléculas pequeñas se unen y forman una molécula mayor
Polimerización Crecimiento de una cadena a partir de eslabones con distintas disposiciones espaciales , las que a su ves determinan distintas características mecánicas y deformación, a saber  Plásticos, Resinas y Elastómeros
Polimerización Elastómeros Cruzados Resina Ramificados Plásticos Lineales SEGÚN PROPIEDADES Según Estructura Espacial Tipos de Polímeros
Fenómenos asociados a la Polimerización Los monómeros están en un estado energético mayor que cuando están en polímero, por lo que existe liberación de energía
Fenómenos asociados a la Polimerización Las moléculas monoméricas están mas separadas que las poliméricas  Al acercarse se disminuye el  volumen  y aumenta la densidad  La distancia se modifica desde 0.3-0.4nm  a  0.15nm polimerizado Contracción de Polimerización
Etapas de la Polimerización Inducción Propagación  Terminación Para llevarse a cabo este proceso se debe aportar energía al sistema a través de la  Activación
Activar Monómero + Monómero Polímero En odontología se utilizan Autocurado, Fotocurado, Termocurado y Dual Duales Químicas y Físicas Termocurado ( calor) Fotocurado ( radiaciones ) Física Autocurado Química   Tipos de Activación
Estado inicial de la masa  viscoelástica   (gel) Se da curso a la  Polimerización   y se comienza a formar una masa  viscoplástica   (plástico)  Pregel Postgel GEL Plástico
Fase Pregel y Fase Postgel Fase Pre Gel   :  Materia como masa plásticas  capaz de fluir   , las tensiones generadas por la contracción pueden ser disipadas por la capacidad de flujo, entonces toda la deformación se produce en el material mismo
Fase Pregel y Fase Postgel Fase Post Gel :  El material a alcanzado un estado de rigidez que hace muy difícil disipar la fuerzas ,  el material no puede deformarse  por lo que no tiene posibilidad de liberar tensiones , (entonces la deformación, tensión, es traspasada a la estructura dentaria)
Fotoactivar
Iniciadores Los de tipo químico se encuentran separados en dos pastas  Corresponden a un peróxido de benzoílo (iniciador) y una amina terciaria (activador)  Los  FOTOINICIADORES  permiten generar sistemas de una sola pasta  Completo control del tiempo de trabajo con  FOTOINICIADORES
Factores que Gobiernan a un Fotoiniciador Relación entre el elemento que emite espectro de luz y el fotoiniciador Alto coeficiente molar, es decir, alta absorción a baja concentración Control de la cantidad de sitios activos para y evitar la relación con oxígeno  (Inhibidores de polimerización)
Fotoiniciador Definición Molécula capaz de absorber luz Producto de la absorción genera un espécimen  reactivo , de manera  directa  o  indirecta , capaz de  iniciar  la polimerización, que corresponde a un electrón en el orbital mas externo Presenta grupo carbonilo con un electrón capaz de ser  excitado  frente a una longitud de onda apropiada
Fotoiniciadores Tipos En los sistemas fotosensibles el mas usado es la  CQ  ,  camforquinona  sensible al espectro de luz visible
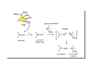
Camforquinona CQ Di-Cetona sólida de color  amarillo a temperatura ambiente Absorción en la región azul del espectro de luz visible 450 a 500 nm su peak es a los 465 nm Tiempo muy largo para excitar a la molécula Se agrega una amina para reducir este tiempo  (dimetil aminoetil metacrilato DMAEMA )
Grupos funcionales absorben energía y se excitan En este estado colisiona con una amina DMAEMA, transfiriendo electrones formando radicales libres Estos radicales libres interactúan con los doble enlaces carbono de un monómero iniciando la polimerización  Camforquinona CQ
Reacción  CQ-Amina terciaria  (cq + dimetilaminoetil metacrilato) Es el complejo mas tradicional de los sistemas de RC En el espectro de 450-500 nm se excita el electrón de un grupo carbonilo por un tiempo de 0.05 ms en este tiempo se encuentra con la amina y la excita Genera un radical libre  aminoalquil  y uno CQ
 
Resina tipo: 78% peso de relleno 22% peso de resina 0.15%  CQ
Fotopolimerizadores
Componentes Básicos Fuente de energía Luminosa Filtro Conductor de la Luz
Luz Blanca
Filtro Óptico
Filtro Óptico Se ubica entre la ampolleta y la fibra óptica Su función es la de colimador o filtro Elimina la energía luminosa por debajo de los 400 nm y por sobre los 550 nm
Longitudes por debajo de los 400 nm corresponde a la región ultravioleta la que es perjudicial para los ojos y aporta escasamente a la polimerización  Longitudes por sobre los 550 nm generan mucho calor lo que puede afectar la vitalidad pulpar y no aportan a la polimerización  Filtro Óptico
Conductores de Luz Conjunto de fibras de vidrio de longitud entre  38mm - 85mm Su diámetro varía entre 2 – 13 mm Son recubiertas por una vaina de metal o ámbar evitando la dispersión de luz
 
Lámpara Halógena
LED Luz Emitida por Diodos
Ventajas de LED Duración de 5 mil a 15 mil horas Menor consumo  Alta Intensidad Menos calor Silenciosas
 
Elementos a considerar A mayor intensidad de luz mayor disposición de fotones Mas cantidad de fotones permite una mayor activación de CQ En una masa de RC la intensidad se pierde en profundidad por absorción y dispersión
Energía de Polimerización Energía corresponde a la  intensidad de la luz aplicada en un tiempo dado necesaria para activar a un  fotoiniciador   Se miden en JOULE que corresponde a la energía generada por 1 Watt en 1 segundo
Un composite tipo necesita  16 Joule  para polimerizar Es decir  400 mili watts x 40 segundos  = 16 Joule También es posible con  800 mili watts x 20  segundos Se entiende entonces que los tiempos de curado son  dependientes   de la intensidad de la luz
 
 
 

Polimerización Resinas Compuestas

  • 1.
    Aquí podrás verla película (Utiliza un lector de código QR y te llevará al sitio en youtube donde podrás verla)
  • 2.
    Esta clase estádisponible en http://axeljaradrago.blogspot.com
  • 3.
    Polimerización de ResinasCompuestas de Uso Odontológico Dr.Axel Jara Drago
  • 4.
    Inducción : Activacióne Iniciación Para que comience la polimerización se necesita una fuente de radicales libres (sustancia capaz de liberar un electrón) , los que se generan por activación ( calor, luz, química)
  • 5.
    Distancias Matriz nopolimerizada distancia monomérica 0.3 – 0.4 nm Matriz polimerizada distancia monomérica 0.15nm
  • 6.
    Polimerización Proceso porel cual moléculas pequeñas se unen y forman una molécula mayor
  • 7.
    Polimerización Crecimiento deuna cadena a partir de eslabones con distintas disposiciones espaciales , las que a su ves determinan distintas características mecánicas y deformación, a saber Plásticos, Resinas y Elastómeros
  • 8.
    Polimerización Elastómeros CruzadosResina Ramificados Plásticos Lineales SEGÚN PROPIEDADES Según Estructura Espacial Tipos de Polímeros
  • 9.
    Fenómenos asociados ala Polimerización Los monómeros están en un estado energético mayor que cuando están en polímero, por lo que existe liberación de energía
  • 10.
    Fenómenos asociados ala Polimerización Las moléculas monoméricas están mas separadas que las poliméricas Al acercarse se disminuye el volumen y aumenta la densidad La distancia se modifica desde 0.3-0.4nm a 0.15nm polimerizado Contracción de Polimerización
  • 11.
    Etapas de laPolimerización Inducción Propagación Terminación Para llevarse a cabo este proceso se debe aportar energía al sistema a través de la Activación
  • 12.
    Activar Monómero +Monómero Polímero En odontología se utilizan Autocurado, Fotocurado, Termocurado y Dual Duales Químicas y Físicas Termocurado ( calor) Fotocurado ( radiaciones ) Física Autocurado Química Tipos de Activación
  • 13.
    Estado inicial dela masa viscoelástica (gel) Se da curso a la Polimerización y se comienza a formar una masa viscoplástica (plástico) Pregel Postgel GEL Plástico
  • 14.
    Fase Pregel yFase Postgel Fase Pre Gel : Materia como masa plásticas capaz de fluir , las tensiones generadas por la contracción pueden ser disipadas por la capacidad de flujo, entonces toda la deformación se produce en el material mismo
  • 15.
    Fase Pregel yFase Postgel Fase Post Gel : El material a alcanzado un estado de rigidez que hace muy difícil disipar la fuerzas , el material no puede deformarse por lo que no tiene posibilidad de liberar tensiones , (entonces la deformación, tensión, es traspasada a la estructura dentaria)
  • 16.
  • 17.
    Iniciadores Los detipo químico se encuentran separados en dos pastas Corresponden a un peróxido de benzoílo (iniciador) y una amina terciaria (activador) Los FOTOINICIADORES permiten generar sistemas de una sola pasta Completo control del tiempo de trabajo con FOTOINICIADORES
  • 18.
    Factores que Gobiernana un Fotoiniciador Relación entre el elemento que emite espectro de luz y el fotoiniciador Alto coeficiente molar, es decir, alta absorción a baja concentración Control de la cantidad de sitios activos para y evitar la relación con oxígeno (Inhibidores de polimerización)
  • 19.
    Fotoiniciador Definición Moléculacapaz de absorber luz Producto de la absorción genera un espécimen reactivo , de manera directa o indirecta , capaz de iniciar la polimerización, que corresponde a un electrón en el orbital mas externo Presenta grupo carbonilo con un electrón capaz de ser excitado frente a una longitud de onda apropiada
  • 20.
    Fotoiniciadores Tipos Enlos sistemas fotosensibles el mas usado es la CQ , camforquinona sensible al espectro de luz visible
  • 21.
    Camforquinona CQ Di-Cetonasólida de color amarillo a temperatura ambiente Absorción en la región azul del espectro de luz visible 450 a 500 nm su peak es a los 465 nm Tiempo muy largo para excitar a la molécula Se agrega una amina para reducir este tiempo (dimetil aminoetil metacrilato DMAEMA )
  • 22.
    Grupos funcionales absorbenenergía y se excitan En este estado colisiona con una amina DMAEMA, transfiriendo electrones formando radicales libres Estos radicales libres interactúan con los doble enlaces carbono de un monómero iniciando la polimerización Camforquinona CQ
  • 23.
    Reacción CQ-Aminaterciaria (cq + dimetilaminoetil metacrilato) Es el complejo mas tradicional de los sistemas de RC En el espectro de 450-500 nm se excita el electrón de un grupo carbonilo por un tiempo de 0.05 ms en este tiempo se encuentra con la amina y la excita Genera un radical libre aminoalquil y uno CQ
  • 24.
  • 25.
    Resina tipo: 78%peso de relleno 22% peso de resina 0.15% CQ
  • 26.
  • 27.
    Componentes Básicos Fuentede energía Luminosa Filtro Conductor de la Luz
  • 28.
  • 29.
  • 30.
    Filtro Óptico Seubica entre la ampolleta y la fibra óptica Su función es la de colimador o filtro Elimina la energía luminosa por debajo de los 400 nm y por sobre los 550 nm
  • 31.
    Longitudes por debajode los 400 nm corresponde a la región ultravioleta la que es perjudicial para los ojos y aporta escasamente a la polimerización Longitudes por sobre los 550 nm generan mucho calor lo que puede afectar la vitalidad pulpar y no aportan a la polimerización Filtro Óptico
  • 32.
    Conductores de LuzConjunto de fibras de vidrio de longitud entre 38mm - 85mm Su diámetro varía entre 2 – 13 mm Son recubiertas por una vaina de metal o ámbar evitando la dispersión de luz
  • 33.
  • 34.
  • 35.
    LED Luz Emitidapor Diodos
  • 36.
    Ventajas de LEDDuración de 5 mil a 15 mil horas Menor consumo Alta Intensidad Menos calor Silenciosas
  • 37.
  • 38.
    Elementos a considerarA mayor intensidad de luz mayor disposición de fotones Mas cantidad de fotones permite una mayor activación de CQ En una masa de RC la intensidad se pierde en profundidad por absorción y dispersión
  • 39.
    Energía de PolimerizaciónEnergía corresponde a la intensidad de la luz aplicada en un tiempo dado necesaria para activar a un fotoiniciador Se miden en JOULE que corresponde a la energía generada por 1 Watt en 1 segundo
  • 40.
    Un composite tiponecesita 16 Joule para polimerizar Es decir 400 mili watts x 40 segundos = 16 Joule También es posible con 800 mili watts x 20 segundos Se entiende entonces que los tiempos de curado son dependientes de la intensidad de la luz
  • 41.
  • 42.
  • 43.