Incrustar presentación
Descargado 85 veces




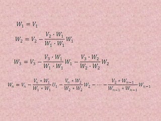
El proceso de Gram-Schmidt permite obtener una base ortogonal y luego ortonormal para cualquier subespacio vectorial W de un espacio vectorial V con producto interno. Primero se toma cualquier base S de V y se aplica el proceso de Gram-Schmidt para obtener una base ortogonal W. Luego, cada vector de W se normaliza para obtener una base ortonormal B''.



