UNIVERSIDAD DE GUAYAQUIL
FACULTAD DE FILOSOFÍA, LETRAS Y CIENCIAS DE LA EDUCACIÓN
INSTITUTO DE POSTGRADO Y EDUCACIÓN CONTINUA
PROGRAMA DE MAESTRÍA EN EDUCACIÓN INFORMÁTICA
MANEJO DE LAS TICEN LA GESTIÓN DOCENTE DE LA
UNIVERSIDAD DE GUAYAQUIL. PROPUESTA: DISEÑO
DE UN PROGRAMA DE EDUCACIÓN CONTINUA EN
EL MANEJO DE LAS TIC PARA EL INSTITUTO
DE POST-GRADO DE LA FACULTAD DE
FILOSOFÍA, LETRAS Y CIENCIAS DE
LA EDUCACIÓN.
PROYECTO DE TRABAJO PREVIO A LA OBTENCIÓN DEL GRADO
DE MAGÍSTER EN EDUCACIÓN INFORMÁTICA
TOMO I
AUTOR: VERA MOSQUERA JORGE FRANCISCO, LSI.
CONSULTORA ACADÉMICA: HURTARES IZURIETA ELENA, MSc.
CONSULTOR TÉCNICO: GALINDO MOSQUERA SANTIAGO, MSc.
GUAYAQUIL, JULIO DEL 2013
i
Carátula
ii
Certificado de aprobación de la Consultora Académica
En calidad de Consultora Académica, de la Tesis de Investigación
nombrada por la autoridad de la Facultad de Filosofía, Letras y Ciencias
de la Educación de la Universidad de Guayaquil.
Certifico:
Que he revisado y aprobado la Tesis de Investigación, presentada por el
Sr. Jorge Francisco Vera Mosquera, con cédula de ciudadanía
0909380800, salvo el mejor criterio del Tribunal que lo presida, previo a la
obtención del Grado Académico de Magíster de la Maestría en
Educación Informática.
TEMA:“MANEJO DE LAS TIC EN LA GESTIÓN DOCENTE DE LA
UNIVERSIDAD DE GUAYAQUIL”.
PROPUESTA: DISEÑO DE UN PROGRAMA DE EDUCACIÓN
CONTINUA EN EL MANEJO DE LAS TIC PARA EL INSTITUTO DE
POST-GRADO DE LA FACULTAD DE FILOSOFÍA, LETRAS Y CIENCIAS
DE LA EDUCACIÓN.
_____________________
Consultora Académica
MSc. Elena Hurtares Izurieta
Guayaquil, 11 de Julio del 2013
iii
Certificado de aprobación del Consultor Técnico
En calidad de Consultor Técnico, de la Tesis de Investigación nombrada
por la autoridad de la Facultad de Filosofía, Letras y Ciencias de la
Educación de la Universidad de Guayaquil.
Certifico:
Que he revisado y aprobado la Tesis de Investigación, presentada por el
Sr. Jorge Francisco Vera Mosquera, con cédula de ciudadanía
0909380800, salvo el mejor criterio del Tribunal que lo presida, previo a la
obtención del Grado Académico de Magíster de la Maestría en
Educación Informática.
TEMA:“MANEJO DE LAS TIC EN LA GESTIÓN DOCENTE DE LA
UNIVERSIDAD DE GUAYAQUIL”.
PROPUESTA: DISEÑO DE UN PROGRAMA DE EDUCACIÓN
CONTINUA EN EL MANEJO DE LAS TIC PARA EL INSTITUTO DE
POST-GRADO DE LA FACULTAD DE FILOSOFÍA, LETRAS Y CIENCIAS
DE LA EDUCACIÓN.
______________________________
MSc. Santiago Galindo Mosquera
Consultor Técnico
Guayaquil, 11 de Julio del 2013
iv
Dedicatoria
A mi Madre Blanca (+) y a mi Esposa Bélgica, por su amor, fe,
comprensión y apoyo en la vida.
Al Hno. Luis Lazo Álvarez, Hermano de las EECC de LA SALLE,
por su guía, amistad, fraternidad y cristianismo brindados en mi vida.
Al Hno. Adolfo Armijos (+), Hermano de las EECC de LA SALLE,
por su amistad, guía y ejemplo de entrega en la Obra Educativa.
A mi Madrina Leonor de Salazar y a Luis Delgado Rodríguez, por
sus ejemplos y palabras de apoyo en la vida.
Jorge Francisco Vera Mosquera
v
Agradecimiento
A Dios, por darme la luz en mi vida, y a quien debo todo.
A la Facultad de Filosofía, Letras y Ciencias de la Educación de la
Universidad de Guayaquil, a través del Departamento de Postgrado y
Educación Continua, por el profesionalismo desplegado, a los Maestros
en Educación Superior que dieron todo de sí para transmitir el
conocimiento necesario para lograr desarrollar mis capacidades y
alcanzar la consecución del título de Magister en Educación Informática.
A mi esposa Bélgica, por su confianza y fe en mi persona.
A la familia Álvarez Falquez por su amistad y fraternidad en esta
parte de la vida y de siempre.
Jorge Francisco Vera Mosquera
vi
Índice general
Carátula................................................................................................................... i
Certificado de aprobación de la Consultora Académica ................................ ii
Certificado de aprobación del Consultor Técnico .......................................... iii
Dedicatoria.............................................................................................................iv
Agradecimiento......................................................................................................v
Índice general........................................................................................................vi
RESUMEN.........................................................................................................xxvi
Introducción...........................................................................................................1
CAPÍTULO I...........................................................................................................5
EL PROBLEMA.....................................................................................................5
PLANTEAMIENTO DEL PROBLEMA ...........................................................5
Ubicación del Problema en un contexto ....................................................5
Situación conflicto .........................................................................................6
Causas y consecuencias del Problema ........................................................8
Planteamiento del Problema o Formulación.............................................9
Evaluación del Problema .............................................................................9
Objetivos ..............................................................................................................10
Generales.........................................................................................................10
Específicos.......................................................................................................11
Justificación e importancia ................................................................................11
CAPÍTULO II........................................................................................................16
MARCO TEÓRICO.............................................................................................16
Antecedentes del estudio ..............................................................................16
Fundamentación teórica ................................................................................18
Fundamentación filosófica.............................................................................18
Fundamentación sicológica...........................................................................20
Fundamentación pedagógica........................................................................22
vii
Fundamentación didáctica ............................................................................27
Fundamentación andragógica ......................................................................28
Fundamentación tecnológica ........................................................................30
Fundamentación sociológica ........................................................................32
Fundamentación axiológica ..........................................................................34
Pedagogía informacional...............................................................................35
Dimensión disciplinar .....................................................................................37
Dimensión curricular.......................................................................................38
La educación ...................................................................................................41
Tipos de Educación ....................................................................................43
Informática educativa .....................................................................................44
Teoría y práctica .............................................................................................47
La enseñanza..................................................................................................48
El aprendizaje..................................................................................................52
Tipos de aprendizaje ..................................................................................62
Estilos de aprendizaje ................................................................................65
Teorías de aprendizaje .................................................................................69
Conductismo ................................................................................................71
Constructivismo ...........................................................................................73
Cognitivismo.................................................................................................81
Conectivismo................................................................................................92
Paradigma Sharista ....................................................................................99
Ambiente personal de aprendizaje ............................................................102
Teorías de aprendizaje y tic.......................................................................110
El acto didáctico ........................................................................................113
Criterios Pedagógicos del Uso Didáctico de las TIC ...........................122
Modelo TPACK..............................................................................................124
Métodos y técnicas......................................................................................127
Medios didácticos......................................................................................129
Software educativo .......................................................................................134
Docente 2.0....................................................................................................142
viii
El proceso educativo ....................................................................................146
Proceso enseñanza-aprendizaje................................................................147
Gestión Docente ...........................................................................................154
TIC...................................................................................................................155
Rol del Docente ante las TIC ..................................................................156
La formación del Docente Universitario en TIC....................................159
Competencias deseables de un Docente en el uso de las TIC .........162
Normas UNESCO sobre Competencias en TIC para Docentes..........164
Competencias digitales del estudiante universitario ..............................168
Nuevo paradigma de Educación Superior................................................171
Modelos pedagógicos de Educación a Distancia (EaD) ........................172
Fundamentación legal..................................................................................176
Preguntas a contestarse (preguntas directrices).....................................179
Variables de la investigación .....................................................................182
Definiciones conceptuales...........................................................................182
CAPÍTULO III ....................................................................................................186
METODOLOGÍA ...............................................................................................186
Diseño de la investigación...........................................................................186
Modalidad de la Investigación.................................................................186
Tipo de Investigación................................................................................188
Población y muestra.....................................................................................188
Instrumentos de la investigación................................................................194
Procedimiento de la investigación..............................................................196
CAPÍTULO IV ....................................................................................................197
ANÁLISIS E INTERPRETACIÓN DE RESULTADOS................................197
Procesamiento de la información...............................................................197
Encuesta dirigida a Maestrantes de Educación Informática de Post-Grado
de la Facultad de Filosofía, Letras y Ciencias de la Educación ...............199
Discusión de los resultados ........................................................................313
Respuestas a las preguntas de la investigación .....................................323
CAPÍTULO V .....................................................................................................351
ix
CONCLUSIONES Y RECOMENDACIONES...............................................351
Conclusiones .................................................................................................351
Recomendaciones........................................................................................352
CAPITULO VI....................................................................................................355
LA PROPUESTA ..............................................................................................355
Justificación ...................................................................................................355
Diagnóstico....................................................................................................358
Fundamentación teórica de la Propuesta .................................................364
Fundamentación filosófica .......................................................................365
Fundamentación pedagógica..................................................................366
Fundamentación andragógica.................................................................368
Fundamentación tecnológica ..................................................................369
Misión..........................................................................................................370
Visión...........................................................................................................370
Objetivos ........................................................................................................371
General .......................................................................................................371
Específicos .................................................................................................371
Administrativa ............................................................................................372
Financiera...................................................................................................372
Legal............................................................................................................373
Técnica........................................................................................................374
De recursos humanos ..............................................................................374
Política.........................................................................................................376
Ubicación sectorial y física ..........................................................................380
Descripción de la propuesta........................................................................381
Programa de Educación Continua en el Manejo de las TIC para los
Docentes de la Universidad de Guayaquil en el Instituto de Post-Grado
de la Facultad de Filosofía, Letras y Ciencias de la Educación. .........385
Objetivos Específicos ...............................................................................387
Perfil de ingreso.........................................................................................388
Perfil de egresado .....................................................................................388
x
Estrategias..................................................................................................389
Estructura del marco de competencias del Programa de Educación
Continua en el Manejo de las TIC para los Docentes de la Universidad
de Guayaquil (PECMTIC-DUG)..............................................................391
Descripción de módulos...........................................................................396
Conclusiones .................................................................................................488
Beneficiarios..................................................................................................490
Impacto...........................................................................................................490
REFERENCIAS BIBLIOGRÁFICAS..............................................................491
BIBLIOGRAFÍA GENERAL.............................................................................507
LINKOGRAFÍA GENERAL..............................................................................510
xi
Índice de cuadros
Cuadro 1: Causas y consecuencias del problema..........................................8
Cuadro 2: Referencia a la Ley Orgánica de Educación Superior...............13
Cuadro 3: Verbos asociados en la revisión de la Taxonomía de Bloom...57
Cuadro 4: Instrumentos de diagnóstico de estilos de aprendizaje.............67
Cuadro 5: Principios del Conectivismo por George Siemens. ....................96
Cuadro 6: Principios del Conectivismo por Stephen Downes.....................97
Cuadro 7: Aprendizaje 2.0. ...............................................................................98
Cuadro 8: DPD - significados a considerar. .................................................106
Cuadro 9: DPD - contemplaciones a considerar.........................................107
Cuadro 10: DPD - estrategias. .......................................................................107
Cuadro 11: Un Docente en red. .....................................................................109
Cuadro 12: Estrategias de enseñanza tradicionales aplicadas con TIC. 119
Cuadro 13: Estrategias de enseñanza con apoyo de las TIC..................120
Cuadro 14: Técnicas activas con el empleo de las TIC.............................129
Cuadro 15: Elementos de un medio didáctico.............................................130
Cuadro 16: Tipos de medios. .........................................................................131
Cuadro 17: Kit básico para un Profesor 2. 0................................................144
Cuadro 18: Preguntas fundamentales para crear un Proceso Educativo.
.............................................................................................................................146
Cuadro 19: Herramientas para el proceso Enseñanza-Aprendizaje........150
Cuadro 20: Acrónimo de PIOLA. ...................................................................151
Cuadro 21: Marco de competencias TIC para Docentes - UNESCO......166
Cuadro 22: Módulos acorde al Marco de competencias TIC para Docentes
- UNESCO .........................................................................................................167
Cuadro 23: Modelos pedagógicos de Educación a Distancia...................176
Cuadro 24: Distributivo de población. ...........................................................189
Cuadro 25: Distributivo de muestra...............................................................191
Cuadro 26: Operacionalización de variables. ..............................................194
xii
Cuadro 27: Cargo actual Maestrantes. .........................................................199
Cuadro 28: Años de experiencia docente de Maestrantes........................200
Cuadro 29: Último grado académico de Maestrantes. ...............................202
Cuadro 30: Aprendizaje autónomo con empleo TIC. .................................203
Cuadro 31: Trabajo colaborativo con empleo de TIC.................................204
Cuadro 32: Importancia empleo TIC en programación de asignatura.....205
Cuadro 33: Conocimiento y respeto en uso de recursos informáticos. ...206
Cuadro 34: Uso ético y legal de recursos tecnológicos. ............................207
Cuadro 35: Comprensión de implicaciones legales de uso de software.208
Cuadro 36: Uso de software de productividad. ...........................................209
Cuadro 37: Fuentes de información y sitios relevantes TIC en quehacer
educativo............................................................................................................210
Cuadro 38: Practica, experimenta y evalúa TIC para práctica educativa.
.............................................................................................................................211
Cuadro 39: Acceso, participación y contribución en espacios de
aprendizaje. .......................................................................................................212
Cuadro 40: Utiliza, evalúa y comparte herramientas TIC en aprendizaje.
.............................................................................................................................213
Cuadro 41 : Participación en instancias TIC y aprendizaje.......................214
Cuadro 42 : Grado de importancia al manejo TIC en Gestión Universitaria.
.............................................................................................................................215
Cuadro 43 : Grado de importancia de herramientas TIC en asignatura. 216
Cuadro 44 : Grado de importancia en uso de Software de Gestión y/o
Contenidos.........................................................................................................217
Cuadro 45 : Grado de importancia de evaluación con TIC. ......................218
Cuadro 46 : Evolución de conocimientos en disciplina que se imparte. .219
Cuadro 47 : Técnicas activas con apoyo TIC. .............................................221
Cuadro 48 : Facilidades para interpretar técnicas de apoyo en gráficos.
.............................................................................................................................222
Cuadro 49 : Valoración por técnica activa en Maestrantes.......................225
xiii
Cuadro 50 : Enfoques teóricos en procesos educativos apoyados con TIC.
.............................................................................................................................226
Cuadro 51 : Conocimiento y aplicación de enfoques teóricos..................227
Cuadro 52 : Evaluación con apoyo TIC. .......................................................229
Cuadro 53 : Conocimiento y aplicación de evaluación con apoyo TIC. ..230
Cuadro 54 : Nivel de conocimientos en TIC. ...............................................235
Cuadro 55 : Facilidades para interpretación gráfica de nivel de
conocimientos. ..................................................................................................236
Cuadro 56 : Promedios por nivel de conocimientos. ..................................241
Cuadro 57 : Cargo de Docentes. ...................................................................242
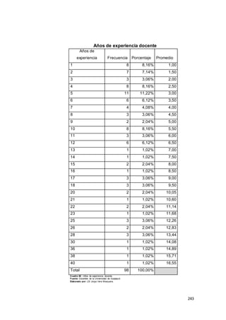
Cuadro 58 : Años de experiencia docente. ..................................................243
Cuadro 59 : Último grado académico Docentes..........................................244
Cuadro 60 : Aprendizaje autónomo con TIC................................................246
Cuadro 61 : Trabajo colaborativo con empleo TIC. ....................................247
Cuadro 62 : Uso de software especializado en asignatura que se imparte.
.............................................................................................................................248
Cuadro 63 : Actividades didácticas empleando TIC en asignatura..........249
Cuadro 64 : Importancia de apoyo TIC en Curriculum de asignatura a
cargo...................................................................................................................250
Cuadro 65 : Empleo de TIC en programación de asignatura....................251
Cuadro 66 : Evaluación de aprendizaje en entorno TIC............................252
Cuadro 67 : Análisis y evaluación de impacto TIC en proceso educativo.
.............................................................................................................................253
Cuadro 68 : Creación de grupos de estudiantes, escenarios y tareas con
tecnología. .........................................................................................................254
Cuadro 69 : Facilita el aprendizaje intermedio del recurso TIC. ...............255
Cuadro 70 : Facilita y/o contribuye equitativamente recursos TIC con
estudiantes. .......................................................................................................256
Cuadro 71 : Conoce, respeta y hace respetar el uso de recursos
informáticos. ......................................................................................................257
Cuadro 72 : Promueve el uso ético y legal de recursos tecnológicos. ....258
xiv
Cuadro 73 : Comprende y hace comprender el uso legal del software. .259
Cuadro 74 : Uso de software de productividad con fines administrativos.
.............................................................................................................................260
Cuadro 75 : Empleo de recursos de redes y comunicaciones en
asignatura y comunidad. .................................................................................261
Cuadro 76 : Fuentes de información y sitios relevantes TIC en quehacer
educativo............................................................................................................262
Cuadro 77 : Practica, experimenta y evalúa TIC para incorporar en
quehacer educativo..........................................................................................263
Cuadro 78 : Accede, participa y contribuye en espacios de aprendizaje.
.............................................................................................................................264
Cuadro 79 : Utiliza, evalúa y comparte TIC para incorporar en aprendizaje.
.............................................................................................................................265
Cuadro 80 : Participa en instancias TIC y aprendizaje. .............................266
Cuadro 81 : Uso de las TIC como medio de evaluación de aprendizajes.
.............................................................................................................................267
Cuadro 82 : Proyectos Pedagógicos y/o andragógicos de aula con apoyo
TIC. .....................................................................................................................268
Cuadro 83 : Uso de métodos técnicas activas con apoyo TIC. ................269
Cuadro 84 : Proyectos entre asignaturas apoyados en TIC. ....................270
Cuadro 85 : Experiencias de aprendizaje apoyados en TIC entre
Docentes............................................................................................................271
Cuadro 86 : Proyecto de desarrollo de conocimientos apoyados en TIC
para Docentes...................................................................................................272
Cuadro 87 : Importancia en el manejo de las TIC en la gestión docente
universitaria. ......................................................................................................273
Cuadro 88 : Presencia del paradigma tradicional en el proceso educativo.
.............................................................................................................................274
Cuadro 89 : Grado de importancia de apoyo TIC en Curriculum
asignatura. .........................................................................................................275
Cuadro 90 : Empleo de Software de Contenidos y/o aprendizaje............276
xv
Cuadro 91 : Evolución de conocimientos en disciplina que se imparte. .277
Cuadro 92 : Evolución del aprendizaje de los estudiantes........................278
Cuadro 93 : Necesidades de Formación en TIC.........................................279
Cuadro 94 : Recursos TIC como estrategias de aprendizaje. ..................281
Cuadro 95 : Técnicas activas con apoyo TIC. .............................................285
Cuadro 96 : Aplicación de técnicas activas con apoyo TIC. .....................286
Cuadro 97 : Tipos de aprendizaje en procesos educativos apoyados en
TIC. .....................................................................................................................289
Cuadro 98 : Aplicación tipos de aprendizaje en procesos educativos con
TIC. .....................................................................................................................290
Cuadro 99 : Enfoques teóricos en procesos educativos apoyados en TIC.
.............................................................................................................................292
Cuadro 100 : Aplicación de enfoques teóricos apoyados en TIC. ...........293
Cuadro 101 : Evaluación con apoyo TIC......................................................295
Cuadro 102 : Disposiciónde criterios pedagógicos/andragógicos recursos
TIC. .....................................................................................................................297
Cuadro 103 : Recursos TIC para crear material didáctico. .......................299
Cuadro 104 : Empleo de recursos TIC para crear material didáctico......300
Cuadro 105 : Nivel de conocimientos TIC....................................................306
Cuadro 106 : Facilidades para interpretación gráfica.................................307
Cuadro 107 : Promedios por nivel de conocimientos.................................312
Cuadro 108 : Conocimientos máximos y mínimos por nivel de Docentes.
.............................................................................................................................324
Cuadro 109 : Visión en torno al uso de las TIC por parte de los
Educadores de las Facultades de la Universidad, en los procesos de
aprendizaje ........................................................................................................327
Cuadro 110 : Actitud docente ante la incorporación de las TIC. ..............329
Cuadro 111 : Práctica, experiencia, reflexión y aprendizaje con TIC. .....331
Cuadro 112 : Promedio por nivel de conocimientos en Docentes. ..........332
Cuadro 113 : Cómo consideran las estrategias didácticas los Docentes.
.............................................................................................................................334
xvi
Cuadro 114 : Conocimiento docente de uso legal y ético de datos y
recursos informáticos.......................................................................................336
Cuadro 115 : Conocimiento de Maestrantes de uso legal y ético de datos
y recursos informáticos....................................................................................337
Cuadro 116 : El rendimiento académico que consideran los Docentes con
respecto al uso de las TIC. .............................................................................338
Cuadro 117 : El rendimiento académico que consideran los Docentes con
respecto al uso de las TIC - Maestrantes.....................................................339
Cuadro 118 : Situación actual del manejo de las TIC a nivel curricular en
la Universidad. ..................................................................................................341
Cuadro 119 : Habilidades, conocimientos y usos operativos docentes en
el manejo de las TIC. .......................................................................................349
Cuadro 120 : Importancia en el manejo de las TIC en la gestión docente
Universitaria.......................................................................................................359
Cuadro 121 : Grado de importancia de apoyo TIC en Curriculum
asignatura. .........................................................................................................360
Cuadro 122 : Promedios por nivel de conocimientos.................................361
Cuadro 123 : Necesidades de Formación en TIC.......................................362
Cuadro 124 : Enfoques por nivel del Programa PECMTIC-DUG.............393
Cuadro 125 : Módulo Gestión educativa universitaria apoyada en TIC. .397
Cuadro 126 : Módulo Preparación curricular docente apoyada en TIC. .400
Cuadro 127 : Módulo Necesidad de criterios pedagógicos/andragógicos
en el empleo de las TIC. .................................................................................402
Cuadro 128 : Módulo Herramientas básicas TIC. .......................................405
Cuadro 129 : Módulo Planificación docente con apoyo TIC. ....................415
Cuadro 130 : Módulo Docente siglo 21. .......................................................418
Cuadro 131 : Módulo Conocimiento sobre políticas...................................421
Cuadro 132 : Módulo Conocimientos básicos. ............................................423
Cuadro 133 : Módulo Integración de la tecnología. ....................................426
Cuadro 134 : Módulo Herramientas básicas de apoyo..............................428
Cuadro 135 : Módulo Organización y administración.................................436
xvii
Cuadro 136 : Módulo Alfabetización digital..................................................439
Cuadro 137 : Módulo Conocimiento de las políticas. .................................441
Cuadro 138 : Módulo Aplicación del Conocimiento. ...................................443
Cuadro 139 : Módulo Resolución de problemas complejos......................446
Cuadro 140 : Herramientas complejas. ........................................................449
Cuadro 141 : Módulo Grupos colaborativos. ...............................................461
Cuadro 142 : Módulo Formación Profesional Docente. .............................464
Cuadro 143 : Módulo Innovación de las políticas. ......................................466
Cuadro 144 : Módulo Competencias de la Sociedad del Conocimiento. 468
Cuadro 145 : Módulo Autogestión. ................................................................472
Cuadro 146 : Módulo Herramientas ubicuas. ..............................................475
Cuadro 147 : Módulo Organizaciones de aprendizaje. ..............................483
Cuadro 148 : Módulo Docente como modelo de aprendiz. .......................486
xviii
Índice de gráficos
Gráfico 1: Acción docente sin TIC. ..................................................................50
Gráfico 2: ¿Qué dice la Pedagogía?...............................................................50
Gráfico 3: Acto didáctico. ..................................................................................51
Gráfico 4: Procesos para el aprendizaje. .......................................................53
Gráfico 5: Fases del procesamiento de la información. ...............................55
Gráfico 6: Modelo de cuatro cuadrantes – Kolb. ...........................................55
Gráfico 7: Relación razonamiento y memoria................................................56
Gráfico 8: Taxonomía Revisada de Bloom. ...................................................57
Gráfico 9: Adaptación TIC a la Taxonomía Revisada de Bloom. ...............58
Gráfico 10: La pirámide del aprendizaje.........................................................59
Gráfico 11: Habilidades del pensamiento.......................................................60
Gráfico 12: Estilos de Aprendizaje. .................................................................65
Gráfico 13: Software ideal para estilos de aprendizaje................................68
Gráfico 14: Actividades generales en la herramienta de diagnóstico........69
Gráfico 15: Transmisión de contenidos por parte del Docente...................72
Gráfico 16: Comparación Conductismo y Constructivismo. ........................73
Gráfico 17: Mapa conceptual del Constructivismo........................................74
Gráfico 18: Etapas de la Teoría de Piaget. ....................................................75
Gráfico 19: Subestadios del Desarrollo Cognoscitivo - Modelo de Piaget.
...............................................................................................................................75
Gráfico 20: Ley de Doble Formación y Zona de Desarrollo Próximo. .......76
Gráfico 21: Zona de Desarrollo Próximo. .......................................................77
Gráfico 22: Zona de Desarrollo Próximo y TIC..............................................77
Gráfico 23: Uso tecnológico en el aprendizaje cooperativo o colaborativo.
...............................................................................................................................78
Gráfico 24: Teoría de Ausubel. ........................................................................79
Gráfico 25: Procesos de aprendizaje – Gagné..............................................83
Gráfico 26: Teoría de la Gestalt.......................................................................85
xix
Gráfico 27: Relación entre figura y fondo – Gestalt......................................85
Gráfico 28: De la buena forma – Gestalt. .......................................................86
Gráfico 29: Proximidad – Gestalt.....................................................................86
Gráfico 30: De similitud – Gestalt. ...................................................................86
Gráfico 31: De contraste – Gestalt. .................................................................86
Gráfico 32: De dirección común – Gestalt......................................................87
Gráfico 33: De simplicidad – Gestalt...............................................................87
Gráfico 34: De cierre – Gestalt.........................................................................87
Gráfico 35: Condiciones de Aprendizaje por Descubrimiento. ...................88
Gráfico 36: Aprendizaje por Descubrimiento. ................................................89
Gráfico 37: Inteligencias Múltiples...................................................................91
Gráfico 38: Inteligencias Múltiples y TIC. .......................................................92
Gráfico 39: Conectivismo. .................................................................................94
Gráfico 40: Concepción del Conectivismo. ....................................................95
Gráfico 41: Aprendizaje en el siglo XXI. .........................................................99
Gráfico 42: Aplicaciones Web 2.0..................................................................100
Gráfico 43: Inteligencia distribuida en grupo................................................101
Gráfico 44: Competencias digitales en el Conectivismo............................103
Gráfico 45: Orientaciones para el diseño de Experiencias de Aprendizaje.
.............................................................................................................................105
Gráfico 46: Docente en red.............................................................................108
Gráfico 47: Docente conectado en red. ........................................................108
Gráfico 48: Red personal de aprendizaje.....................................................109
Gráfico 49: Conductismo, Cognitivismo, Constructivismo y Conectivismo.
.............................................................................................................................110
Gráfico 50: Conductismo, Cognitivismo, Constructivismo y Conectivismo -
Preguntas Ertmer y Newby.............................................................................111
Gráfico 51: Aprendizaje con TIC....................................................................114
Gráfico 52: Clasificación de los recursos didácticos. .................................115
Gráfico 53: Etapas de la estrategia. ..............................................................116
Gráfico 54: Estrategias de aprendizaje con TIC..........................................117
xx
Gráfico 55: TIC como estrategia, método y contenido...............................118
Gráfico 56: Modelo de diseño de una unidad didáctica TIC......................121
Gráfico 57: Aprendizaje Significativo entre Educación y nuevas
tecnologías. .......................................................................................................123
Gráfico 58 : Modelo TPACK. ..........................................................................124
Gráfico 59: Tecnologías a utilizar según actividades en un Modelo
TPACK.- Ejemplo. ............................................................................................126
Gráfico 60: Criterios de observación y evaluación – Modelo TPACK......127
Gráfico 61: Educación 1.0 a Educación 2.0.................................................132
Gráfico 62: Ocho ideas para dinamizar las clases y motivar clases con
tecnología. .........................................................................................................133
Gráfico 63: Clasificación del Software Educativo - Guillermo Gallegos..139
Gráfico 64: Aprendizaje basado en Internet. ...............................................140
Gráfico 65: Educación Virtual.........................................................................140
Gráfico 66: Sloodle...........................................................................................141
Gráfico 67: Evolución de la Tecnología. .......................................................141
Gráfico 68: Evolución del Software Educativo.............................................142
Gráfico 69: Actividades, Productos y Recursos 2.0....................................145
Gráfico 70: Componentes del Proceso Docente Educativo. .....................147
Gráfico 71: Modelo Educativo Básico. ..........................................................148
Gráfico 72: Modelo para integrar las TIC en el Proceso Enseñanza-
Aprendizaje........................................................................................................152
Gráfico 73: Incidentes críticos al incorporar las TIC en el Proceso
Enseñanza-Aprendizaje. .................................................................................153
Gráfico 74: Gradualismo para integrar las TIC............................................155
Gráfico 75: Roles del Profesor. ......................................................................156
Gráfico 76: Modelo Profesor-Diseñador. ......................................................157
Gráfico 77: Modelo Autor-Diseñador.............................................................157
Gráfico 78: Modelo Profesor-Autor................................................................158
Gráfico 79: Modelo Autoría Abierta. ..............................................................158
Gráfico 80: Rol del Docente en el uso e incorporación de TIC.................159
xxi
Gráfico 81: Docente Universitario y Formación en TIC..............................160
Gráfico 82: Formación Conexiones...............................................................163
Gráfico 83: Cargo actual Maestrantes ..........................................................199
Gráfico 84: Último grado académico de Maestrantes. ...............................201
Gráfico 85: Último grado académico de Maestrantes. ...............................202
Gráfico 86: Aprendizaje autónomo con empleo TIC...................................203
Gráfico 87: Trabajo colaborativo con empleo de TIC.................................204
Gráfico 88: Importancia empleo TIC en programación de asignatura. ....205
Gráfico 89: Conocimiento y respeto en uso de recursos informáticos. ...206
Gráfico 90: Conocimiento y respeto en uso de recursos informáticos. ...207
Gráfico 91: Comprensión de implicaciones legales de uso de software. 208
Gráfico 92: Uso de software de productividad.............................................209
Gráfico 93: Fuentes de información y sitios relevantes TIC en quehacer
educativo............................................................................................................210
Gráfico 94: Practica, experimenta y evalúa TIC para práctica educativa.
.............................................................................................................................211
Gráfico 95: Acceso, participación y contribución en espacios de
aprendizaje. .......................................................................................................212
Gráfico 96: Utiliza, evalúa y comparte herramientas TIC en aprendizaje.
.............................................................................................................................213
Gráfico 97: Participación en instancias TIC y aprendizaje. .......................214
Gráfico 98: Grado de importancia al manejo TIC en Gestión Universitaria.
.............................................................................................................................215
Gráfico 99: Grado de importancia de herramientas TIC en asignatura...216
Gráfico 100: Grado de importancia en uso de Software de Gestión y/o
Contenidos.........................................................................................................217
Gráfico 101: Grado de importancia de evaluación con TIC. .....................218
Gráfico 102: Evolución de conocimientos en disciplina que se imparte..219
Gráfico 103: Técnicas activas con apoyo TIC. ............................................221
Gráfico 104: Técnicas no utilizadas. .............................................................223
Gráfico 105: Técnicas no utilizadas. .............................................................224
xxii
Gráfico 106: Valoración por técnica activa en Maestrantes......................225
Gráfico 107: Enfoques teóricos en procesos educativos apoyados con
TIC. .....................................................................................................................227
Gráfico 108: Enfoques teóricos en procesos educativos apoyados con
TIC. .....................................................................................................................228
Gráfico 109: Evaluación con apoyo TIC. ......................................................229
Gráfico 110: Conocimiento y aplicación de evaluación con apoyo TIC. .230
Gráfico 111: Conocimientos no aplico. .........................................................237
Gráfico 112: Conocimientos nivel básico. ....................................................238
Gráfico 113: Conocimientos nivel intermedio. .............................................239
Gráfico 114: Conocimientos nivel avanzado................................................240
Gráfico 115: Promedios por Nivel de Conocimientos.................................241
Gráfico 116: Cargo de Docentes. ..................................................................242
Gráfico 117: Años de experiencia docente. .................................................244
Gráfico 118: Último grado académico Docentes.........................................245
Gráfico 119: Aprendizaje autónomo con TIC...............................................246
Gráfico 120: Trabajo colaborativo con empleo TIC. ...................................247
Gráfico 121: Uso de software especializado en asignatura que se imparte.
.............................................................................................................................248
Gráfico 122: Actividades didácticas empleando TIC en asignatura.........249
Gráfico 123: Importancia de apoyo TIC en Curriculum de asignatura a
cargo...................................................................................................................250
Gráfico 124: Empleo de TIC en programación de asignatura...................251
Gráfico 125: Empleo de TIC en programación de asignatura...................252
Gráfico 126: Análisis y evaluación de impacto TIC en proceso educativo.
.............................................................................................................................253
Gráfico 127: Creación de grupos de estudiantes, escenarios y tareas con
tecnología. .........................................................................................................254
Gráfico 128: Creación de grupos de estudiantes, escenarios y tareas con
tecnología. .........................................................................................................255
xxiii
Gráfico 129: Facilita y/o contribuye equitativamente recursos TIC con
estudiantes. .......................................................................................................256
Gráfico 130: Conoce, respeta y hace respetar el uso de recursos
informáticos. ......................................................................................................257
Gráfico 131: Promueve el uso ético y legal de recursos tecnológicos. ...258
Gráfico 132: Comprende y hace comprender el uso legal del software..259
Gráfico 133: Uso de software de productividad con fines administrativos.
.............................................................................................................................260
Gráfico 134: Empleo de recursos de redes y comunicaciones en
asignatura y comunidad. .................................................................................261
Gráfico 135: Disposiciónde fuentes de información y sitios relevantes TIC
en quehacer educativo. ...................................................................................262
Gráfico 136: Practica, experimenta y evalúa con TIC para incorporar en
quehacer educativo..........................................................................................263
Gráfico 137: Accede, participa y contribuye en espacios de aprendizaje.
.............................................................................................................................264
Gráfico 138: Accede, participa y contribuye en espacios de aprendizaje.
.............................................................................................................................265
Gráfico 139: Participa en instancias TIC y aprendizaje. ............................266
Gráfico 140: Uso de las TIC como medio de evaluación de aprendizajes.
.............................................................................................................................267
Gráfico 141: Proyectos Pedagógicos y/o andragógicos de aula con apoyo
TIC. .....................................................................................................................268
Gráfico 142: Uso de métodos técnicas activas con apoyo TIC. ...............269
Gráfico 143: Uso de métodos técnicas activas con apoyo TIC. ...............270
Gráfico 144: Intercambio de experiencias de aprendizaje apoyados en TIC
entre Docentes..................................................................................................271
Gráfico 145: Proyecto de desarrollo de conocimientos apoyados en TIC
para Docentes...................................................................................................272
Gráfico 146: Importancia en el manejo de las TIC en la gestión docente
universitaria. ......................................................................................................273
xxiv
Gráfico 147: Presencia del paradigma tradicional en el proceso educativo.
.............................................................................................................................274
Gráfico 148: Grado de importancia de apoyo TIC en Curriculum de
asignatura. .........................................................................................................275
Gráfico 149: Grado de importancia al empleo de Software de Contenidos
y/o aprendizaje..................................................................................................276
Gráfico 150: Evolución de conocimientos en disciplina que se imparte..277
Gráfico 151: Evolución del aprendizaje de los estudiantes. ......................278
Gráfico 152: Necesidades de Formación en TIC. .......................................279
Gráfico 153: Recursos TIC como estrategias de aprendizaje. .................281
Gráfico 154: Aplicación de recursos TIC como estrategia de aprendizaje.
.............................................................................................................................282
Gráfico 155: Técnicas activas con apoyo TIC. ............................................285
Gráfico 156: Aplicación de técnicas activas con apoyo TIC......................286
Gráfico 157: Aplicación de técnicas activas con apoyo TIC......................289
Gráfico 158: Aplicación de tipos de aprendizaje en procesos educativos
apoyados en TIC. .............................................................................................290
Gráfico 159: Enfoques teóricos en procesos educativos apoyados en TIC.
.............................................................................................................................293
Gráfico 160: Aplicación de enfoques teóricos apoyados en TIC. .............293
Gráfico 161: Evaluación con apoyo TIC. ......................................................295
Gráfico 162: Aplicación de evaluación con apoyo TIC...............................296
Gráfico 163: Disposiciónde criterios pedagógicos/andragógicos para
recursos TIC......................................................................................................297
Gráfico 164: Recursos TIC para crear material didáctico..........................299
Gráfico 165: Empleo de recursos TIC para crear material didáctico. ......300
Gráfico 166: Conocimientos no aplico. .........................................................308
Gráfico 167: Conocimientos a nivel básico..................................................309
Gráfico 168: Cuadro de Conocimientos a nivel intermedio. ......................310
Gráfico 169: Cuadro de Conocimientos a nivel avanzado. .......................311
Gráfico 170: Promedios por nivel de conocimientos. .................................312
xxv
Gráfico 171: Importancia en el manejo de las TIC en la gestión docente
Universitaria.......................................................................................................359
Gráfico 172: Grado de importancia de apoyo TIC en Curriculum de
asignatura. .........................................................................................................360
Gráfico 173: Promedios por nivel de conocimientos. .................................361
Gráfico 174: Necesidades de Formación en TIC. .......................................362
Gráfico 175: Organización PECMTIC-DUG.................................................378
Gráfico 176: Ubicación de la Universidad de Guayaquil............................380
Gráfico 177: Códigos por módulos del Programa PECMTIC-DUG..........394
Gráfico 178: Códigos por módulos del Programa PECMTIC-DUG. – Carga
horaria. ...............................................................................................................395
xxvi
UNIVERSIDAD DE GUAYAQUIL
FACULTAD DE FILOSOFÍA, LETRAS Y CIENCIAS DE LA EDUCACIÓN
INSTITUTO DE POSTGRADO Y EDUCACIÓN CONTINUA
MAESTRÍA EN EDUCACIÓN INFORMÁTICA
MANEJO DE LAS TIC EN LA GESTIÓN DOCENTE DE LA
UNIVERSIDAD DE GUAYAQUIL. PROPUESTA: DISEÑO DE UN
PROGRAMA DE EDUCACIÓN CONTINUA EN EL MANEJO DE LAS
TIC PARA EL INSTITUTO DE POST-GRADO DELA FACULTAD
DE FILOSOFÍA, LETRAS Y CIENCIAS DE LA EDUCACIÓN.
AUTOR: VERA MOSQUERA JORGE FRANCISCO, LSI.
CONSULTORA: HURTARES IZURIETA ELENA, MSc.
CONSULTOR: GALINDO MOSQUERA SANTIAGO MSc.
FECHA: JULIO 2013
RESUMEN
El presente trabajo contribuye a que se reconozca en la Universidad
de Guayaquil, la necesidad de concienciar a la Comunidad
Académica, respecto a la importancia e impacto del manejo de las
Tecnologías de Información y Comunicación en la gestión docente,
para identificar la necesidad de diseñar un Programa de Educación
Continua en el Manejo de las TIC en el Instituto de Post-Grado de la
Facultad de Filosofía, Letras y Ciencias de la Educación, para el
Educador actual y futuro, de modo que se adapte a la sociedad del
presente siglo, y así flexibilizar y desarrollar vías de integración de
las TIC en los procesos educativos. Esto crea y desarrolla un nuevo
concepto docente, en su gestión administrativa relacionada con los
sistemas de comunicación, información y aprendizaje que la
Universidad desarrolla para el devenir educativo innovador
constante, es decir, prepararse continuamente para estar acorde
con el avance local, nacional y mundial, donde se impone el avance
informático y el uso adecuado de las TIC en la Educación. En el
marco teórico se considera la relación entre las TIC, Informática y la
Educación Continua Docente, profundizando en lo necesario de la
Informática Educativa, para abarcar el presente y futuro, para que de
acuerdo al nivel de ubicación docente, se lleve a cabo lo necesario,
cubrir necesidades aplicativas actuales de enseñanza, aprendizaje,
reforzamiento y mejoramiento, que demanda la innovación
educativa. La metodología que se aplicará será documental,
descriptiva y de campo, analizada en forma crítica.
TIC Gestión Docente Educación Continua Post-Grado
xxvii
UNIVERSIDAD DE GUAYAQUIL
FACULTAD DE FILOSOFÍA, LETRAS Y CIENCIAS DE LA EDUCACIÓN
INSTITUTO DE POSTGRADO Y EDUCACIÓN CONTINUA
MANAGEMENT OFICT INTEACHINGMANAGEMENT OF THE
UNIVERSITY OF GUAYAQUIL. PROPOSAL:DESIGN OF
ACONTINUING EDUCATIONPROGRAMINTHE MANAGEMENT
OFICT FORPOSTGRADUATEINSTITUTEOF THE FACULTY
OF PHILOSOPHY, LETTERS AND EDUCATION SCIENCE.
ABSTRACT
This work contributes to the recognition at the University of
Guayaquil, the need to sensitize the academic community, about the
importance and impact of the Management of Information and
Communication Technologies in Teaching Management to identify
the need to design a Continuous Education Program in the
Management of ICT in Post-Graduate Institute of the Faculty of
Philosophy, Letters and Science Education for the current and future
educator, so it suits the society of this century, adapt and develop
ways of integrating ICT in educational processes. This creates and
develops a new teaching concept, in their administrative systems
related to communication, information and learning that the
University develops innovative education to become constant. For
instance, get prepared to being continuous progress in line with
local, national and global levels, where progress requires computer
and appropriate use of ICT in Education. In the theoretical framework
is considered the relationship among ICT, Information Technology
and Teacher Continuous Education, deepening the educational
computing needs, to cover the present and future, so that according
to the teaching knowledge level, necessary strategies could be
performed, cover current application requirements of teaching,
learning, reinforcement and improvement, which requires
educational innovation. The methodology to be used is documentary,
descriptive field, analyzed critically.
ICT Teaching
Management
Continuous
Education
Post-Graduate
1
Introducción
En todas sus Facultades, la Universidad de Guayaquil, dentro de la
medida de sus posibilidades, ha implementado laboratorios de
computadoras y equipos en ciertos departamentos administrativos donde,
en la mayoría de los casos, se encuentran en red e Internet.
El uso académico de estos equipos, debido al alto número de
estudiantes, presenta una alta frecuencia de usabilidad por parte del
estudiantado para ser empleado en sus estudios, aun bajo la
existencia del no manejo del computador en algunas asignaturas, donde
el empleo de la tecnología en la mayoría de los casos, es externo a la
Universidad, si se llega a presentar el requerimiento.
A medida que el tiempo avanza, la Universidad va incrementando
su tecnología dentro del proceso educativo, a tal punto que en la
actualidad ya se encuentra incorporando el uso de la Internet y el
empleo del mismo aprendizaje electrónico para con sus miembros de la
comunidad educativa.
Es de considerar que los bachilleres actuales, cada vez llegan
mejor preparados en el uso de la tecnología, al igual que con el tiempo se
irá incrementando un conocimiento tecnológico más horizontal al respecto
en todas las unidades educativas a nivel de Educación Básica y
Bachillerato, en un grado u otro. Si se considera el mundo profesional que
se prepara y se preparará en la Universidad, es de encontrarse con una
gran cantidad de estudiantes profesionales, que en su gran mayoría, ya
se desenvuelve en TIC y en el mundo informático.
2
Por tanto, la necesidad implícita de uso de las TIC por parte de los
aprendices de todas las facultades, y por ende los Docentes, enfoca el
hecho de tener que concebir una planta de Educadores, donde su perfil
se vea enriquecido, con este nuevo ideal de Profesor, donde uno de sus
respaldos sea el manejo de las TIC y un grado considerable de
conocimientos informáticos.
El Personal Docente actual, si bien por diversas circunstancias,
unos se han logrado preparar mejor que otros en este campo, no es
menos cierto que no se dispone de una horizontalidad en la formación al
respecto, indiferente de factores como las profesiones afines o no con la
Informática, grado de preparación tecnológica, edad, facilidades de
preparación, disponibilidad de horarios para formarse, entre otros.
Todo conlleva a la necesidad de cubrir una atención al Docente de
la Universidad, sea informático o no, para que éste disponga de un lugar
para cubrir sus necesidades profesionales, y la misma Universidad en sí,
quien debe iniciar, fortalecer e innovar siempre a sus propios Educadores
en el manejo de las TIC, reflejándose aquello en la gestión educativa con
sus estudiantes, cuya luz será vista en un futuro inmediato en el
desempeño profesional de éstos, cuyos requerimientos tecnológicos,
cada vez son más exigentes.
El presente trabajo se dispone de los siguientes capítulos:
En el capítulo I se disponen el planteamiento de la investigación, el
problema, su formulación, causas y consecuencias, así como los
objetivos, su justificación e importancia.
En el capítulo II se aborda todo lo referente al marco teórico e
interdisciplinario relacionado a las TIC, Informática y la Educación
3
Continua Docente, fundamentaciones teóricas y legal, profundizando en lo
necesario de la Informática Educativa, tratando necesidades aplicativas
actuales en los procesos educativos, que involucran la alfabetización
digital, profundización y generación de conocimiento, planteando de este
modo el diseño de un Programa de Educación Continua en el Manejo de
las TIC para el Instituto de Post-Grado de la Facultad de Filosofía, Letras
y Ciencias de la Educación. También se formulan preguntas directrices
de la investigación, se identifican las variables de la misma, y se
presentan definiciones conceptuales.
En el capítulo III, se trata la metodología empleada en la
investigación, que parte de un diseño, un procedimiento, la población y
muestra empleada, la operacionalización de variables, las técnicas de
recolección de datos, instrumentos usados con las técnicas empleadas
para el proceso y análisis de datos, así como los criterios para la
elaboración y validación de la propuesta.
En el capítulo IV, se presentan los recursos empleados en el
capítulo anterior, procediéndose al análisis e interpretación de datos,
procesamiento de la información, presentación y discusión de resultados,
y las respuestas a las preguntas planteadas en la investigación.
En el capítulo V, se deja constancia de las conclusiones y
recomendaciones que en el desarrollo del presente trabajo se han llegado
a obtener.
En el capítulo VI, se presenta la Propuesta planteada en base a la
investigación llevada a cabo, su fundamentación teórica, sus objetivos, su
factibilidad, ubicación sectorial y física, descripción, conclusiones,
beneficiarios e impacto.
4
Se finaliza con las referencias, bibliografía y linkografía en
general, junto a los anexos empleados.
5
CAPÍTULO I
EL PROBLEMA
PLANTEAMIENTO DEL PROBLEMA
Ubicación del Problema en un contexto
La Educación es la clave del crecimiento económico en cualquier
lugar del mundo, el crecimiento mundial tecnológico y su influencia en el
espacio educativo, han llevado a que el manejo de las TIC y el
conocimiento informático sean inevitables.
Toda Institución Educativa se encuentra con una premisa innegable
dentro de su organización, que es la aplicación tecnológica en sus
distintos estamentos, que van desde la misma gestión administrativa,
administrativo-Docente, Docente, y de aula, si se trata internamente, y al
hablar externamente, en cómo debe estar la entidad conectada con sus
pares u otro tipo de organizaciones, donde la relación puede ser desde
intercomunicaciones hasta de apoyo, crecimiento y desarrollo de toda la
comunidad educativa y sus miembros.
Ante esta inminente necesidad, se demandan Educadores que
respondan en la era actual, a este vertiginoso ritmo mundial, que estén
para resolver situaciones que requieren de respuestas claras, objetivas y
asertivas, tanto en el campo educativo como tecnológico, con sus
diferentes facetas que atender y sobretodo con la prestación del caso
para dar soluciones ipso facto.
6
Se trata de una nueva concepción de modelo y gestión de aula En
la Facultad de Filosofía de la Universidad de Guayaquil, ubicada en la
ciudadela Salvador Allende de la parroquia Tarqui, del cantón Guayaquil,
se encuentra ubicado el problema que motiva la presente investigación,
para el periodo lectivo 2012-2013.
Situación conflicto
El desarrollo de la cultura informática en la entidad, en algunos
casos marca una disparidad abismal, debido a distintos factores como el
económico, técnico, social, … , siendo uno de ellos la brecha
generacional entre los educandos y el Personal Docente que se
encuentra ante ellos, que con el venir de los últimos años, se presenta y
se afirma con el tiempo.
Esta realidad demanda que el ámbito educativo esté preparado
para atender y educar a estas nuevas juventudes en su medio, en lo que
ya es parte de su vida. En otras situaciones la atención y congruencia
requerida por parte del Docente, son las adecuadas por el nivel de
preparación alcanzado a nivel tecnológico.
La Facultad de Filosofía, Letras y Ciencias de la Educación se
encuentra en este escenario, por lo que debe brindar y otorgar una
Educación Continua en TIC para los Docentes de la Universidad de
Guayaquil, hallándose con la dificultad de cómo “combinar” o ubicar, el
espacio tanto educativo como tecnológico.
La respuesta está en la Informática Educativa a utilizar para el
Personal Docente.
7
En todas las asignaturas que se dictan en la Universidad, en las
distintas carreras, no existe una homogeneidad en el uso de las TIC por
parte de los Educadores, habiendo el caso inclusive, del no uso de las
mismas.
Otro punto importante relacionado con las TIC, es la información,
la que debe ser y es una de las preocupaciones fundamentales de un
sistema educativo, por lo que su acceso y producción es clave, y
constituye el capital de todo educando y Docente para crear profesionales
creativos y generadores de información, de ahí la importancia del manejo
adecuado de las TIC en base a sólidos conocimientos informáticos en el
proceso educativo, en la actualidad y en el futuro.
El Docente de la Universidad de Guayaquil tiene que ser
innovador, y con capacidad de acoplarse a los escenarios tecnológicos
que le toque.
Por tanto, la innovación pasa por el tema de la incorporación de
las TIC en el currículo y en el proceso de enseñanza-aprendizaje u
orientación-aprendizaje, por lo que no es posible hablar de ella si no va de
la mano con la innovación de enfoques didácticos y en la transformación
de las prácticas educativas de los actores involucrados y si no se
contempla el contexto que condiciona el alcance de objetivos, metas y
tendencias innovadoras.
Finalmente, el desafío del Docente de la Universidad es mayor, por
lo que requiere ser enriquecido, fortalecido, estimulado e innovado
constantemente para que pueda responder en cualquier instante en lo
que ya la sociedad nacional e internacional demanda de los futuros
profesionales que la entidad debe aportar a la sociedad.
8
Causas y consecuencias del Problema
Se mencionan a continuación:
Causas y consecuencias del problema
Causa Efecto
No hay un sistema de capacitación
en TIC en la Universidad.
Los Docentes no tienen dominio en
el uso de las TIC para mejorar su
quehacer educativo.
No hay política de asesoría
tecnopedagógica ni
tecnoandragógica.
El uso de TIC en procesos
pedagógicos y andragógicos es
limitado, con poca repercusión en
el proceso de aprendizaje de los
estudiantes.
Escasa integración de TIC en la
gestión educativa de las
asignaturas en las distintas
carreras de la Universidad.
Desaprovechamiento de
oportunidades, fortalezas y ventajas
que brindan las TIC, para el
proceso enseñanza-aprendizaje u
orientación-aprendizaje.
Desconocimiento de los elementos
técnicos y/o didácticos al emplear
las TIC.
Dificultad para emplear las TIC de
una manera adecuada e idónea en
los procesos educativos.
Limitada articulación de procesos
educativos con procesos y
productos tecnológicos.
Prácticas educativas disminuidas
y/o incorrectas al ser mediadas por
TIC.
Falta de apropiación de TIC por
parte de los Docentes.
Aumento de rezago tecnológico en
el Personal Docente.
Desinformación a nivel docente de
las TIC y su empleo educativo.
Incremento de la brecha digital
entre Docentes y estudiantes.
Cuadro1:Causas y consecuencias delproblema.
Fuente:Facultad de Filosofía, Letras y Ciencias de la Educación.
Elaborado por:LSI Jorge Vera Mosquera.
9
Delimitación del problema
Campo: Educativo.
Área: Educación Superior.
Aspecto: Formación y capacitación.
Tema:MANEJO DE LAS TIC EN LA GESTIÓN DOCENTE DE LA
UNIVERSIDAD DE GUAYAQUIL. PROPUESTA: DISEÑO DE
UNPROGRAMA DE EDUCACIÓN CONTINUA EN EL MANEJO DE LAS
TIC PARA EL INSTITUTO DE POST-GRADO DE LA FACULTAD DE
FILOSOFÍA, LETRAS Y CIENCIAS DE LA EDUCACIÓN.
Planteamiento del Problema o Formulación
¿Qué incidencia tiene el manejo de las TIC en la gestión docente
de la Universidad de Guayaquil con el diseño de un Programa de
Educación Continua en el manejo de las TIC para el Instituto de Post-
Grado de la Facultad de Filosofía para el periodo lectivo 2012-2013?
Evaluación del Problema
Los aspectos más notorios para evaluar este problema son:
Delimitado:
Porque en el problema se plantea para la gestión docente, el
diseño de un Programa de Educación Continua en el Manejo de las TIC
para el Instituto de Post-Grado de la Facultad de Filosofía, Letras y
Ciencias de la Educación de la Universidad de Guayaquil, a partir del
periodo lectivo 2012– 2013.
Concreto:
El problema está redactado de manera directa.
10
Relevante:
En el problema se plantea la necesidad implícita de Educación
Continua en TIC a nivel docente en la Universidad.
Contextual:
En el problema se determinan las nuevas políticas de Estado y
ubica la presencia de las TIC en los entes educativos...
Claro:
En el problema se identifican las ideas sobre el manejo adecuado
de las TIC por parte de los Docentes y determina un valor histórico en la
Universidad.
Factible:
Tomando de base las nuevas políticas de Estado de incorporación
de las TIC en el proceso educativo, así como el camino tecnológico ya
emprendido por la Universidad de Guayaquil, se avizora la solución del
problema.
Objetivos
Generales
 Establecer las necesidades de formación, capacitación y actualización
en el manejo de las TIC e Informática en el Personal Docente
mediante una evaluación de eficiencia y ubicación, para mejorar el
proceso educativo.
 Diseñar un Programa de Educación Continua en el Manejo de las TIC
para el Instituto de Post-Grado de la Facultad de Filosofía, Letras y
Ciencias de la Educación de la Universidad de Guayaquil, para
mejorar la gestión docente universitaria, con una visión holística
educativa.
11
Específicos
En relación a los Docentes de la Universidad de Guayaquil:
 Diagnosticar el uso de las TIC y conocimientos informáticos
necesarios que el Docente debe emplear en su gestión educativa,
valorando el estado de saberes tecnológicos y su aplicación en el
quehacer educativo.
 Identificar las competencias docentes digitales del presente siglo
para el Personal Docente, acorde a la sociedad ecuatoriana y el
mundo globalizado, que deben cubrirse en la actualidad, con una
proyección futurista y de renovación e innovación adecuadas.
 Reconocer las necesidades de capacitación docente en el manejo de
las TIC, analizando e interpretando los resultados de la Investigación,
para así disponer de una realidad educativa explícita.
Justificación e importancia
El presente trabajo responde a las aspiraciones y demandas a nivel
macro, meso y micro que rodean a la Universidad de Guayaquil. Así se
pueden citar algunos puntos como guía.
1. En la Declaración Mundial sobre la Educación Superior en el siglo XXI
(París, 1998), (ver Anexo 1) en su artículo 12, que trata sobre el
potencial y los desafíos de la tecnología, se interpreta lo siguiente:
Las TIC y el desarrollo del conocimiento se encuentran muy ligados,
por ende el mundo educativo también, por lo que el Docente es
indispensable, con la diferencia que ahora modifica su papel en el
proceso de aprendizaje.
12
Por tanto, la Universidad deberá ser el ejemplo en el
aprovechamiento de las TIC, donde la calidad y el nivel alto de su
aplicación educativa, deben ir de la mano con un espíritu de apertura,
equidad y cooperación internacional.
2. La Segunda Conferencia Mundial sobre Educación Superior, llevada a
cabo en París, desde el 5 al 8 de julio del 2009. (ver Anexo 2), de
cuyo comunicado se puede deducir:
Todos los países participantes están invitados a elaborar políticas y
estrategias sistemáticamente en la Educación Superior, puntualizando
algunos puntos literales encaminados a la integración TIC en el
proceso de aprendizaje.
La escasez mundial de Educadores requiere ser atendida ampliando
la formación docente a nivel inicial y en empleo, con planes y
programas de estudio que los capacite en la dotación a sus
estudiantes de conocimientos y competencias para el presente siglo,
que exige nuevos enfoques.
La necesidad de atender la investigación y el intercambio de
Docentes y dicentes a nivel local, nacional, regional y mundial,
promoviendo la cooperación y garantizando la colaboración,
multiplica las fuentes de investigación y genera conocimiento, dando
como resultado un beneficio común acorde a la escala tratada.
El papel de todo ente universitario está en crear iniciativas conjuntas,
para tratar de equilibrar la investigación básica y aplicada, para ir
vinculando el conocimiento global con la localidad.
13
3. En el Registro Oficial No. 298 de nuestro país, que se refiere a la Ley
Orgánica de Educación Superior, dentro del CAPITULO I se disponen
algunos Artículos (ver Anexo 3):
Referencia a la Ley Orgánica de Educación Superior
En relación a Artículo
No.
Referencia
Fines de la Educación Superior 8 Literales a) y f)
Principios del Sistema 12 Contenido en sí.
Funciones del Sistema de
Educación Superior
13 Literales a), b), c),
d), h) y ñ)
Principio de Pertinencia 107 Contenido en sí.
Formación en valores y
derechos
124 Contenido en sí.
Capacitación y
perfeccionamiento permanente
de los Profesores o Profesoras
e investigadores o
investigadoras
156 Contenido en sí.
Cuadro 2:Referencia a la Ley Orgánica de Educación Superior.
Fuente: Registro Oficial No. 298, del Gobierno Nacional de la República del Ecuador.
Elaborado por: LSI Jorge Vera Mosquera.
Se puede resaltar que partiendo como fines a la producción científica
y la promoción de la transferencia e innovación tecnológica, junto al
fomento y ejecución de programas de investigación científica,
tecnológica y pedagógica, en acorde con Principios del Sistema y
Funciones de la Educación Superior, rige integralmente a las
instituciones y demás componentes del sistema educativo, un
funcionamiento que garantiza el derecho a la Educación de cualquier
ciudadano con todas las exigencias del caso.
14
Entre ellas está la docencia con sus aditamentos necesarios para su
ejercicio, basándose en el Principio de Pertinencia, donde la
Universidad debe responder a las necesidades y demandas de la
sociedad ecuatoriana, formando en base a un conocimiento efectivo
en valores, deberes y derechos de la ciudadanía de cara a las
realidades nacionales, y entre ellas está el dominio de herramientas
informáticas.
El Personal Académico a su vez, se encuentra garantizado bajo ley,
en su capacitación y perfeccionamiento permanente, debiendo
constar en los presupuestos institucionales, las partidas del caso.
4. En la UNIVERSIDAD DE GUAYAQUIL, (2011), dentro de su Plan
Estratégico de Desarrollo Institucional 2008-2015, en el eje
ACADÉMICO Y DOCENCIA, establece:
Mejorar el nivel académico y formación profesional de los
estudiantes y docentes con criterio pro-activo e innovador,
impartiendo conocimientos técnicos, científicos y
humanísticos, a fin de contribuir al desarrollo integral,
empresarial, económico, social, cultural y tecnológico a
nivel local y regional.
A su vez, dentro de sus Acciones Estratégicas tenemos dos de las
mismas que se relacionan con este tema (ver Anexo 4), que hacen
hincapié en la investigación sobre las necesidades de nuestra
sociedad y el Mejoramiento Integral de la Calidad Educativa, que la
Universidad se encuentra decidida a fortalecer, mantener y liderar.
En todo lo citado anteriormente, se enmarca la tendencia mundial
y por ende nacional, de integrar las TIC en la Educación, sobre todo a
nivel Superior.
15
El hecho que la Educación se internacionaliza conlleva a cambios
en los procesos de enseñanza-aprendizaje, de investigación y gestión
docente, implicando cambios en los paradigmas educativos en diversos
campos del mundo universitario.
Con la creación de un Programa de Educación Continua en el
Manejo de las TIC para Docentes de la Universidad de Guayaquil, en el
Instituto de Post-Grado de la Facultad de Filosofía, Letras y Ciencias de
la Educación, se edifica un aporte para todas las carreras universitarias.
Por lo que el presente proyecto se considera pertinente, por
pretender propiciar competencias en los Docentes en el manejo de las
TIC, para obtener resultados que ayuden a actuar y sugerir cambios que
promuevan un aprendizaje de actualidad e innovación en la era actual,
para atender la demanda de profesionales que tengan una mentalidad
científica, no esquemática, que no produzcan simplemente lo que saben,
sino que sean innovadores, transformadores y generadores de
conocimiento.
16
CAPÍTULO II
MARCO TEÓRICO
Antecedentes del estudio
Realizada la investigación en la Biblioteca y Secretaría de la
Facultad de Filosofía, no se han encontrado otros proyectos similares a la
presente investigación. Por lo tanto, este trabajo investigativo resulta
inédito, innovador y susceptible de ser investigado a profundidad.
Nadie puede escapar de este mundo global, y el modo en que
nuestro país forme parte, depende de sí mismo, de ahí la importancia vital
de la Educación universitaria, donde la Educación del presente siglo, debe
enseñar a formar parte de este “nuevo planeta”, en el que tal como
(CASTELLS, M., 1997)afirma:
No hay otro remedio que navegar en las encrespadas
aguas globales… Por eso es esencial, para esa navegación
ineludible y potencialmente creadora, contar con una
brújula y un ancla. La brújula: La educación, información,
conocimiento, tanto a nivel individual como colectivo. El
ancla: nuestras identidades. Saber quiénes somos y de
dónde venimos para no perdernos a dónde vamos.
(Diapositiva 3).
Nadie puede poner en discusión el papel de la Educación a nivel
mundial, por lo que el rol estratégico de la Universidad tiene un
reconocimiento ineludible y demandable, de ahí lo que se desprende de la
“Conferencia Mundial sobre la Educación Superior para el Siglo XXI”,
que tuvo lugar en París, en octubre de 1998, que es la “transformación
más radical de su historia”. (Anexo 1).
17
Esto conlleva al desplazamiento de los procesos de enseñanza por
los procesos de aprendizaje, haciendo que el centro del proceso sea
ahora el estudiante y no el Profesor. Para ampliar este nuevo enfoque, es
primordial observar el fragmento del Anexo 5, para ubicar las
competencias básicas necesarias para el aprendizaje contemporáneo y
estratégico.
De la lectura se puede desprender que los nuevos paradigmas de
la Educación y la Pedagogía se fundamentan en la Sicología y la ciencia
cognitiva de cómo aprende un ser humano, conduciendo a éste en cómo
debe aprender con estrategias cognitivas, lo que implica en un Docente
cómo lograr un aprendizaje efectivo, cuyas condiciones se presten para
desarrollar las competencias que se requieren para estudiantes de la
actualidad.
El siguiente fragmento de TÜNNERMANN, C. (2000) orienta mejor
en este nuevo escenario de la Educación Continua:
Es eso y mucho más. Es la integración de todos los
recursos docentes de que dispone la sociedad para la
formación plena del hombre durante toda su vida. Siendo
así, la educación permanente tiene una raíz ontológica y
es, como se ha dicho, “una respuesta a la condición
humana y a eso que llamamos los signos de los
tiempos.(Página 144).
En el documento “Normas UNESCO sobre Competencias en TIC
para Docentes (NUCTICD)”, UNESCO, (2008) la UNESCO afirmó:
Hoy en día, los docentes en ejercicio necesitan estar
preparados para ofrecer a sus estudiantes oportunidades
de aprendizaje apoyadas en las TIC; para utilizarlas y para
saber cómo éstas pueden contribuir al aprendizaje de los
estudiantes. Capacidades estas que actualmente forman
parte integral del catálogo de competencias profesionales
básicas de un docente. (Página 2).
18
Por ende, el Docente debe crear sobretodo experiencias de
aprendizaje que despierten en el estudiante el deseo de ser aprendiz para
toda su vida, de ahí la importancia que el Docente Universitario se
encuentre a la altura de las exigencias que demanda el uso de las TIC en
su gestión docente.
Fundamentación teórica
Ante este mundo de constante cambio, la Educación Continua es la
respuesta pedagógica estratégica, haciendo de la Educación Permanente
para toda la vida, el facilitar herramientas para el estudiante para poder
acoplarse a las constantes transformaciones del mundo laboral y del
conocimiento, que se renuevan incesantemente. Como vemos, la
Universidad debe estar siempre creativa y profundizar su
profesionalización docente para asumir este cambio y el futuro venidero
del país, la región y el planeta, en base al manejo de las TIC.
Ante esto, resulta muy importante tomar en cuenta algunas
fundamentaciones.
Fundamentación filosófica
En el desarrollo a plenitud del ser humano, si se busca el espacio
que le corresponde a la dimensión tecnológica para atender las
necesidades individuales y sociales de una sociedad, es de encontrarse
con un pensamiento: El materialismo dialéctico.
Resulta de los planteamientos de Friedrich Engels y Karl Marx,
como una corriente filosófica en la que la realidad se comporta de modo
dialéctico en base a la materia, que explica la realidad por sí misma,
donde la práctica científica se comprueba a cada momento, basándose en
19
el materialismo como principio de la existencia y en la dialéctica como la
forma del desarrollo y el método de análisis de la realidad. Por tanto, éste
trata de explicar la forma de producir el conocimiento.
La epistemología del materialismo dialéctico permite generar el
análisis social: El materialismo histórico, que se produce con el análisis de
las contradicciones concretas de la práctica, jamás a nivel subjetivo.
El conocimiento se justifica con la praxis concreta y utilidad social,
a través de la historia, donde la relación teoría-práctica es la dialéctica de
la praxis, siendo los valores y los hechos parte de la misma, donde los
primeros guían el conocimiento con el sentido común, la ciencia y la
ideología, siendo por tanto su único método científico el dialéctico, para
tratar los fenómenos y descubrir las leyes de la evolución.
Podemos decir que el proceso de enseñanza parte de ciertas leyes
que se pueden identificar y en tal sentido se puede conducir,
reconociéndose de ese modo a una didáctica especial, en base al
materialismo dialéctico, requiriéndose para ello de una preparación
pedagógica y/o andragógica según el caso, que demanda un camino
dialéctico para desarrollar el conocimiento del caso.
El dinamismo de vida en la Era actual del Conocimiento, que se
genera en diversos escenarios y contextos, crea que el ser humano de
hoy, deba atender diversidad de problemas, por lo que cualquier persona
debe recibir una enseñanza problémica, que se basa en el materialismo
dialéctico.
El desarrollo de la evolución del hombre, pasando de un “hombre
acústico” (uso de lenguas habladas), un hombre tipográfico (uso de
lengua hablada + escritura) a un “hombre electrónico”(comunicación
20
basada en la digitalización), ha llevado al cuestionamiento de que si la
Sociedad de la Información acabará con la diversidad lingüística y cultural
del hombre.
Como se ve, las TIC constituyen el centro de la sociedad actual en
cualquier lugar del planeta, por tanto, se vive una nueva era que es
digital, donde el Conocimiento se compra y se vende en cifras nunca
antes estimadas ni vistas, de ahí que se conozca a la fusión de sociedad
y sociedad del Conocimiento como Cibersociedad o Sociedad de la
Información, donde la innovación tecnológica es el centro de los cambios
sociales, la Internet es la columna vertebral de la globalización, lo que
crea una nueva cultura, a la que se denomina cibercultura, donde el
capital intelectual es el nuevo activo y la gestión de éste es la actividad
fundamental.
Fundamentación sicológica
El presente trabajo está dirigido a personas adultas, ya que se trata
de personas que son profesionales en el campo de la Educación, cuyo
grado de responsabilidad es mayor, por lo que el manejo de las TIC tiene
un fin preciso en la concepción individual de cada Docente.
El conocimiento sicológico es base para entender las acciones del
ser humano, por tanto se aplica en la Educación, para determinar los
estudios que fijen un desarrollo teórico, debido a que el aprendizaje es
absolutamente integral en el hombre.
Ante una enseñanza problémica, el Docente debe comprender y
conocer los fundamentos sicológicos para acoger a sus estudiantes,
partiendo del conocimiento dialéctico en torno a lo que rodea al
aprendizaje de un estudiante universitario.
21
Este aprendiz es un trabajador en formación que maneja un nivel
de comunicación con sus compañeros de estudio y de trabajo, donde su
carrera elegida es su camino a seguir, por lo que toda actividad
pedagógica y/o andragógica debe estar dirigida en función de esto, dado
que la concepción estudio para el dicente traspasa las paredes
universitarias, en la que su realización, a más de intelectual, se relaciona
con su práctica laboral y mayor entendimiento de su función social y
superación en el desarrollo de sus competencias para su desempeño.
Los términos “Sicología Pedagógica”, “Psicopedagogía” o
“Psicología Educacional” han ganado una diversidad de concepciones,
conceptos y definiciones, que ha creado un dualismo entre sicólogos y
pedagogos, por el deseo de ubicar a la Psicopedagogía en uno de los
campos.
Sin duda, la Sicología Pedagógica se apoya en conocimientos de
Sicología y en su base metodológica, pero su línea no es sicológica, sino
pedagógica, porque si no sería Sicología estrictamente dicho. Mientras la
Pedagogía se nutre de la Sicología con objetivo educativo, la convivencia
de ambos es fructífera, lo que evita el sicologismo o pedagogismo, pues
el equilibrio de ambos hará una comprensión más exacta del ser humano
en un escenario educativo.
Por tanto, esto es base para que un Docente mantenga principios
muy generales, pues ambas ciencias tienen sus límites en la relación de
una con otra, el campo pedagógico es de base el criterio a aplicar, y la
Sicología debe ser un elemento para entender la situación educacional,
por lo que el criterio pedagógico es el que debe regir y ser coherente con
la comprensión educativa en cualquier contexto.
22
Fundamentación pedagógica
Es objetivo mencionar que la Pedagogía es responsable de
estudiar el hecho educativo, sin embargo al tratarse sobre la aplicabilidad
de los modelos pedagógicos que han sido los instrumentos para modelar
una realidad, como los Tradicionales, Conductistas, Conceptuales,
Constructivistas, Social, Personalizada, etc.; en el mundo de las TIC, es
de encontrarse con una realidad que es, la no aplicación absoluta de
determinado modelo.
Surge la necesidad de integrar de un modo consistente y coherente
estrategias globales que permitan orientar el proceso enseñanza-
aprendizaje, que tal como lo señala LICONA, A. (2011) en sus Apuntes
de Pedagogía y Didáctica para el ejercicio de la actividad docente en el
Aula Virtual, en el Congreso Internacional EDUTEC 2011, referencia a las
palabras de Santángelo: “que ponga el acento en la interactividad entre
Profesores y estudiantes, entre los estudiantes entre sí, para la
construcción de conocimientos significativos orientados hacia aplicaciones
concretas y referenciados en conceptualizaciones con grados de
creciente especificidad” (página 4).
Esto significa que se debe desarrollar una visión pedagógica en el
Docente, que permita aplicar lo concerniente, sobre todo teniendo
presente que los postulados de los modelos mencionados partieron del
aula presencial, lo que implica que se debe analizar, y en lo necesario
redefinir dentro del marco de la experiencia docente al aplicar las TIC.
Al observarse el Anexo 6, se obtiene que los elementos que
intervienen en un modelo pedagógico, considerando la modalidad virtual
con la presencial son:
23
Alumno: No estimado como tal, sino que es partícipe del proceso.
Tomando de base el modelo constructivista se enfatiza dos puntos en
relación al estudiante (o participante):Él es un constructor mental activo
de significados que relaciona conocimientos previos con nuevos
conocimientos, y a su vez requiere ayuda externa para construir este
conocimiento.
Aula: Lugar donde convergen Docentes y estudiantes para realizar
actividades que encauzan el aprendizaje, empleándose diferentes
medios, entre los que sobresale la interacción, valiendo la consideración
del modelo conductista dada la importancia de la condiciones ambientales
del aula digital, ya que en su marco ambiental-virtual, el Docente debe
fijar los refuerzos efectivos del estudiante en particular.
Transversalidad: El aprender resultante es dialéctico ya que se
contrastan puntos de vista de las personas hasta llegar a un acuerdo.
En este procesamiento, en diálogos asincrónicos o no, se
presentan actitudes valorativas y afectivas, dada la no interacción física,
producto de las comunicaciones TIC, quedando el lenguaje verbal (por el
empleo de la multimedia) como un uso acústico, que gracias a los
ambientes virtuales de aprendizaje en el modelo pedagógico, Docentes y
dicentes, terminan practicando valores éticos y desarrollando la
inteligencia emocional y afectiva.
Contenido: En la Pedagogía está contemplada la Didáctica, que es
quien estudia el proceso pedagógico en sí (enseñanza-aprendizaje). Por
lo que con el empleo de las TIC, se estudia el proceso de aprendizaje
organizando los medios digitales.
24
Toma presencia el Aprendizaje Significativo de Ausubel, debido a
los requerimientos de la organización del aula y clase, como la utilización
de herramientas digitales de proceso de información y generación de
conocimientos, resultando ser muy especial los métodos y estrategias de
aprendizaje que den lugar a un producto pedagógico conceptual,
constructivista, personalizado e individualizado.
Metodología: Toda actividad en el proceso educativo, debe partir
de un estudio individual del participante, para ser parte del consenso de
conocimientos y saberes, partiendo de la elaboración de trabajos,
actividades y tareas de índole colaborativo. La implementación de
estrategias de aprendizaje en las que se beneficia la autonomía, el trabajo
individual y de cooperación, así como el pensamiento crítico y la
resolución de problemas, identifica a la Pedagogía individualizada, aun
teniendo en cuenta la construcción colectiva.
Procesos de Evaluación: Es determinar la efectividad del modelo
educativo, el mismo que tiene un periodo de duración, para valorar de un
modo sistemático y objetivo, lo que haya sido establecido.
En los ambientes virtuales de aprendizaje, es lo más complejo para
el Docente, debido a lo que debe establecer para evaluar, dado que la
visión holística del estudiante debe estar en cara a los demás y a sí
mismo, identificando sus logros individuales, aun trabajando
colaborativamente, por lo que la evaluación continua es fundamental.
Recursos Educativos: Se estiman multisensoriales tres tipos en el
uso de la TIC con los estudiantes en el aula:
 De tipo informativo, Por facilitar el acceso al conocimiento y
exponer el saber a ser alcanzado.
25
 Para la comunicación, aquellas herramientas que sirven para
obtener la fluidez comunicativa entre Docentes y dicentes en el
proceso educativo.
 Para el aprendizaje experiencial, son aquellas que sirven para
presentar a los dicentes actividades a realizar en el escenario
virtual, de tal modo que se crean situaciones de aprendizaje
donde se aprenderá por medio de la experiencia y/o acción.
Docente: El Educador de hoy por ser un guía, un facilitador, en el
manejo de las TIC con los estudiantes se convierte en un Tutor Virtual,
siendo emprendedor en todo sentido, por lo que debe crear escenarios
para que el dicente aprenda, y no divague con la información o se pierda
en una red, por lo que su rol pedagógico es vital no solo a nivel disciplinar,
metodológico y técnico, sino que en el escenario virtual que cree, debe
desarrollar la humanización y afectividad del proceso educativo.
Es de observarse que la puesta en marcha de todo esto, está en
torno de quién aprende (estudiante) y quién guía el proceso (Docente),
asumiendo que la Educación posibilita las competencias básicas del
aprendizaje en los dicentes: Aprender a conocer, hacer, ser, aprender
y convivir,
El aprendizaje constructivista, toma mucha presencia debido a
que el Docente media el aprendizaje para que se dé la construcción del
conocimiento en el educando, dado que el primero le facilita los
instrumentos, convirtiéndose en un estratega para establecer la conexión
entre el estudiante y su aprendizaje, pero entendiendo sobremanera qué
destrezas necesita desarrollar en el aprendiz.
26
Esto implica disponer de una Cultura Informática adecuada, lo que
lo lleva a adquirir las habilidades del caso, entendiendo la influencia
tecnológica social y cultural actual.
Una vez adquirida esta cultura, debe entender y aprender el
manejo de las TIC y su impacto en la Educación, para inteligenciarlas y
aplicarlas en el proceso educativo, entendiendo que la sola presencia
tecnológica no crea cambios pedagógicos y que más bien la Informática
es un factor de cambio, surgiendo una pedagogía emergente a desarrollar
y aplicar, siendo un factor motivante para los estudiantes su empleo en el
aprendizaje.
Un Educador debe manejar las TIC, para que la tecnología sea
invisible y el aprendizaje sea visible.
En el Anexo 7, se puede observar lo que se obtiene al usar las TIC
con una Pedagogía Constructivista y los requerimientos para obtenerlo.
En el Anexo 8, se puede visualizar las herramientas TIC que
pueden ser usadas bajo un entorno constructivista.
Resulta interesante identificar en el último Anexo, las TIC que se
pueden usar bajo este enfoque.
Es indudable que no se alcanzaría nada sin que el Tutor sea un
buen administrador, como también por parte de los estudiantes, debido
sobre todo a la organización del tiempo, dado que la comunicación puede
ser sincrónica o asincrónica.
27
Fundamentación didáctica
Las TIC constituyen un recurso didáctico, pues formar en el uso de
la tecnología para el Curriculum, es interpretar una formación técnica y
didáctica, ya que la concreción curricular del Docente se da en las
asignaturas a su cargo.
El nuevo Paradigma Pedagógico, visualiza al Docente disponiendo
de Modelos de Organización, demandando de él una actitud positiva ante
su nuevo rol como tutor, facilitador, estratega y responder ante el reto de
adquirir el Conocimiento mediante el uso de las TIC, para sí mismo e
impartirlo a sus estudiantes empleando la tecnología, tratando el cómo
comunicar para que el dicente aprenda, surgiendo el empleo de
instrumentos y estrategias didácticas.
La constante novedad tecnológica y su uso, hace que el carácter
técnico y didáctico de la formación docente sea fundamentalmente
permanente en el tiempo, para un uso adecuado, correcto y mejor
aprovechamiento de las posibilidades y aplicaciones didácticas.
La elaboración del medio debe considerar dos aspectos: El
comunicativo y el aprendizaje. El primero plantea cuáles elementos se
deben utilizar en base a sus posibilidades de cara al segundo. El analizar
el contexto es primordial ya que al identificar las necesidades concretas,
se debe reconocer el terreno donde estará el escenario educativo, por
eso se considera los computadores y sus capacidades tecnológicas,
conexión en red e Internet, los equipos de los estudiantes en casa,
disponibilidad de equipos en aula o no, horarios disponibles, etc.
28
Si se visualiza el Anexo 9, se dispone de un planteamiento
didáctico para la creación de un medio, que puede servir de esquema
para cualquier Docente en su momento de tener que realizar esta tarea
que demanda tiempo y algunos considerandos.
Las TIC debe ser vistas como expresión simbólica de gran
proporción, en donde la Didáctica se relaciona con la comunicación, en la
que ésta es reconocida desde una perspectiva dialéctica, en la que se
identifican procesos de transmisión-apropiación de objetos de
conocimientos y saberes, y se reconocen la adquisición de competencias
para los mismos.
La adaptación a las características de los estudiantes mediante
aplicaciones educativas empleando las TIC, es lo que permite un
aprendizaje autónomo, flexible y de amplias posibilidades para atender la
diversidad estudiantil, debido a la actuación de la tecnología como
elemento simbólico, y de representación, uso y manipulación de
contenidos curriculares.
Fundamentación andragógica
En la era de la Información que la humanidad vive, se ha notado
más que ya no existe una edad para aprender, de ahí que la Andragogía,
identificada como un término mayormente aceptado para la Educación de
los adultos, haya tomado más campo desde su primera explicación por
Knowles en 1968. El proceso enseñanza-aprendizaje se identifica en este
campo como el de orientación-aprendizaje.
Siendo la Antropología, la ciencia y arte de instruir y educar
permanentemente al ser humano, ella comprende el estudio del niño, del
adolescente y del adulto. Por tanto ella abarca la Pedagogía (Páidos =
29
niños y hago = guiar o conducir) y la Andragogía (Andro = Hombre,
persona mayor y hago = guiar o conducir).
La enseñanza como proceso de acciones educativas, hace que el
Docente en el campo andragógico sea un facilitador de aprendizajes para
orientar, ayudar y cooperar con el participante-estudiante en sus metas de
aprendizaje, con una relación horizontal entre iguales, de un modo
proactivo, recíproco y compartido, siendo el interés fundamental el adulto
como un autogestor responsable de lo que aprende.
Hoy en día, la Educación adulta abarca también jóvenes
adolescentes que ya se encuentran en el campo laboral por situaciones
de vida y por tanto se encuentran bajo esquemas universitarios. Así
mismo, se incluyen jóvenes adultos, adultos en sí mismos y adultos
mayores.
Por esta razón, las acciones andragógicas son diferentes, pues no
se trata de transmitir conocimientos ni imponerlos, más bien es adquirirlos
en función del desarrollo socio-económico de la sociedad. Si se deseara
disponer de una idea base de las etapas de la adultez, se puede
visualizar el Anexo 10.
El hecho andragógico se condiciona por los siguientes puntos en
relación al adulto: Confrontación de experiencias (punto de vista de
Educador y educado), racionalidad (nivel de juicio personal), capacidad de
abstracción (conciencia lógica y dialéctica) e integración y aplicabilidad
(integra a su vida y a su medio lo aprendido). Esto hace que se encuentre
la necesidad de disponer de un modelo base como instrumento para tratar
el fenómeno andragógico, así se puede observar uno en el Anexo 11
como Formación Andragógica Integradora.
30
Este modelo de Paulo Freire se basa en la horizontalidad Docente-
Dicente, donde el diálogo permite participar, intercambiar experiencias y
el crecimiento de todos por medio del entorno, dado el enfoque
sociocultural, donde se da el aprendizaje significativo, la toma de
conciencia, la práctica y la transformación educativa.
En la práctica el uso andragógico de las TIC se puede presentar
en:
 Simulación de situaciones.
 Resolución de problemas.
 Aprendizaje a distancia.
 Aprendizaje presencia.
 Asesoramiento.
 Redes educativas.
 Investigación.
 Intercambio de ideas y/o conocimientos.
Fundamentación tecnológica
Educar en el uso de la tecnología es crear instancias para construir
conocimientos y desarrollar saberes tecnológicos, formando personas
para que sean competitivas en las distintas áreas del desarrollo humano,
dando espacios para la comprensión y reflexión de que el mundo está
cambiando y evolucionando constantemente, bajo un ritmo muy
acelerado.
Sin ser estrictamente una ciencia, cuyo fin es ampliar el
conocimiento del universo, la tecnología está para resolver problemas y
satisfacer necesidades, por lo que el método tecnológico es básicamente
constructivo. La tarea de la tecnología es concebir y diseñar instrumentos,
cubriendo lo general, lo particular y lo específico del saber implícito.
31
El aspecto técnico tiene que ver con un cierto grado de habilidades
para la aplicación de procesos a situaciones previstas, siendo lo
tecnológico lo referente a la formación especializada en determinada
área del conocimiento humano.
El creciente dinamismo de la triada Educación, ciencia y técnica,
que partió de un plano instruccional y formativo a un sistema integrado
de Educación y Tecnología, o dicho en otra palabras Tecnología
Educativa, creó un replanteamiento en las bases filosóficas de la
Educación al concebirse a ésta última como un referente obligado a
considerar en estos avances del saber humano, donde la actividad
práctica es la base del conocimiento y criterio de veracidad en la
adquisición de saberes.
Esto viabiliza el concepto de que la Tecnología Educativa se
encarga de la mediación pedagógica y/o andragógica desde una visión
crítica e históricamente socio-cultural del proceso educativo para
cualquier contexto convencional o virtual de aprendizaje, estableciendo
una relación implícita de “Tecnología Apropiada” acorde a las distintas
situaciones y usuarios que se encuentren en un escenario educativo,
considerando el trabajo situacional, holístico e interdisciplinario en su
momento, de modo que se responda a las propuestas educativas para su
apropiación.
Lo que establece distancia muy clara con la idea de que la
tecnología es meramente instrumental, como facilitadora de la gestión
docente y mejora del rendimiento estudiantil, así como tampoco es una
concepción técnica ni mercantil, más todo lo contrario, establece un
espacio estratégico para la Educación mediada y revisar la mediación
pedagógica y/o andragógica con el uso de las TIC.
32
El manejo adecuado de las TIC tiene un crédito importantísimo en
cualquier sociedad, que es la que demanda de la Educación en si una
inversión e intervención estratégicas más significativas, donde la
Tecnología Educativa Apropiada debe superar paradigmas,
planteamientos y prácticas convencionales y ser crítica, surgiendo un
nuevo paradigma que es la Tecnología Educativa Crítica (ver Anexo 12),
que es una reflexión de la misma Tecnología Educativa con un propósito
innovador y paradigmático sostenido en bases sociológicas educativas de
la Educación formal y en procesos sistemáticos educativos apoyados en
modelos de enseñanza-aprendizaje derivados de la Sicología.
Fundamentación sociológica
Las TIC no son cognitivamente transparentes para los estudiantes,
dado el uso continuo de las mismas en su vida diaria, por lo que es
importante que se los prepare en lo que significan, tomando conciencia de
su manejo y la repercusión en sus relaciones personales, con el saber, las
ideologías, su desarrollo profesional y sobretodo en su uso responsable.
Las editoriales de hoy en día están considerando su inclusión, por
lo que el Docente debe estar atento a esta evolución de material didáctico
porque contribuye a su innovación en la gestión docente, y por ende en la
disposición de éste por cualquier medio tecnológico.
La evaluación por parte del Docente se orienta al cambio con el
empleo de la Tecnología, debido a la gama de probabilidades de uso que
se presentan en el hábito estudiantil, dada la familiaridad que existe,
contribuye al gusto del contexto educativo creado, hace inclusive que se
amplíe los límites del centro educativo, creando espacios de trabajo
comunitario y colaborativo.
33
En el impacto social del empleo tecnológico, lo que debe ser
evaluado, como parte del cambio en la práctica docente, es obtener
mejoras en los aprendizajes dicentes, siendo parte fundamental la actitud
del Educador al respecto.
El uso de las TIC conlleva a nuevas situaciones y planteamientos,
que merecen investigación y análisis, para tomar un camino que beneficie
a la sociedad, por lo que es impositivo que el ciudadano esté orientado en
la utilización de las mismas, para un mundo más humano, justo y
equitativo, en cualquiera de las áreas y profesiones en que se
desenvuelva y desarrolle.
El carácter global del mercado laboral donde el trabajador necesita
acoplarse a sistemas especializados cada vez más, redunda
definitivamente en las actividades universitarias, dadas las respuestas a
las necesidades de formación que la Universidad debe dar y brindar a su
entorno, en base a competencias que potencien la empleabilidad del
estudiante universitario.
Esta referencia a la Tecnología como una concepción sociológica,
identifica la división del trabajo como una característica de la producción
económica desde los inicios del mundo laboral, desde la época de los
artesanos, la Revolución Industrial, incluida la etapa modernista de ésta,
en las que se presentaron múltiples problemas técnicos con sus
complejidades de personal y organización, demandándose innovación.
Las capacidades, habilidades, destrezas y valores, por ende,
competencias del profesional resultante del mundo universitario en la Era
del Conocimiento, se relacionan fuertemente con el aprendizaje continuo
o en otras palabras: Su aprender a aprender.
34
La siguiente dirección en Internet en base a un mapa conceptual,
brinda una visión de la Dimensión Social de las TIC:
http://maaz.ihmc.us/rid=1GT1JGYXH-11B7YGN-CZZ/null.
Como es de concluir, la Educación tecnológica debe tener un lugar
primordial tanto en Docentes como en estudiantes, dado que los
movimientos económicos requieren de respuestas que satisfagan sus
necesidades del mundo laboral, para todos sus contextos de
desenvolvimiento cuyos resultados responden cada vez más a
competencias cuyo ámbito pasan de locales a nacionales e
internacionales, es decir, ubicadas en un escenario global.
Fundamentación axiológica
Partiendo del hecho que la Axiología es la teoría de los valores, por
tanto trata los juicios valorativos del ser humano, identificando y midiendo
al valor en sí, trata el cómo piensa una persona en base a una estructura
y escala valorativa, que sirven de base para tomar una decisión en
relación a las cosas que se encuentre tratando de resolver.
AXIOLOGIC, (2011) En su sitio web menciona a Robert S. Hartman
como la persona que desarrolló esta ciencia entre 1930 y 1973, y quien la
definió así: “La axiología es el sistema formal para identificar y medir los
valores. Es la estructura de valores de una persona la que le brinda su
personalidad, sus percepciones y decisiones”.
Al observar el Anexo 13, se obtendrá la Validación del Perfil de
Valores de Hartman, donde se identifican el mundo interior y exterior al
ser humano, observando que los valores se dan en la relación de ambos
mundos y en función de tres dimensiones: Intrínseca, extrínseca y
sistémica.
35
La Axiología se divide en dos ramas: La Ética (que trata al valor
moral) y la Estética (que trata al valor artístico). Vale recalcar que esta
ciencia no sólo trata al valor, sino también al antivalor, por lo que siempre
es de encontrarse con dos filosofías: Objetiva y subjetiva, que es donde
reside el problema.
Las TIC plantean nuevos escenarios y desenvolvimientos de vida,
por tanto se presentan nuevas situaciones y nuevos problemas, que son
de naturaleza ética en un momento dado, que se han tratado de resolver
con reglas y soluciones éticas de carácter general.
En el mundo universitario debe estar muy claro, que con el uso de
la tecnología está al alcance un cúmulo de conocimientos e información
vital para el proceso educativo y la gestión docente, pero al mismo tiempo
es de encontrarse con datos manipulados y tergiversados, pudiendo
encontrarse con males de distinta índole que puede afectar el proceso
mencionado.
Debe desarrollarse la responsabilidad ética para afrontar falencias
que se pueden presentar hasta en el mundo laboral, de modo que un
estudiante desarrolle un juicio crítico adecuado, y no una persona
irreflexiva, y más bien perciba y construya una identidad: Personal,
familiar, sectorial, regional, nacional y universal.
Pedagogía informacional
El desarrollo técnico-científico ha determinado la creación del
ciberespacio y la Sociedad de la Información, lo que ocasionó tres
brechas: Digital, informacional y cognitiva, donde su disminución depende
de la Educación y cultura de saber utilizar Internet.
36
El acceder a la información y generar conocimiento requiere de un
nuevo modelo pedagógico en el proceso educativo, que es la Pedagogía
Informacional, significando el aprender a aprender con la tecnología para
toda la vida.
El utilizar adecuadamente la información permitirá evitar
sobrecargas cognitivas, como también la intoxicación informativa.
En los análisis sociológicos actuales ya se habla de sobre-
información e info-estructuras, lo que implica que ya se mencione la
“cultura de la información” y las “habilidades informacionales”. Esto
demanda de un espacio educativo que determine un aprendizaje de por
vida, donde se enseñe a aprender, utilizando adecuadamente la
información en el proceso educativo, donde Docentes y dicentes median
entre la experiencia humana y la información.
La generación, proceso y transmisión de información, influye en el
sistema productivo, financiero, político y laboral, donde los “trabajadores
del conocimiento” disponen de mejores empleos, dado que el
conocimiento es ahora el capital.
La Pedagogía Informacional se relaciona con las TIC, bajo un
enfoque reflexivo en los métodos y procesos educativos, siendo Internet
un potencial educativo por su información y el conocimiento que dispone
al alcance.
La relación entre teoría pedagógica y sociedad informacional está
en que el sistema educativo debe articular Educación y producción en
base al desarrollo del Conocimiento que se obtiene de la información.
37
Para obtener un buen resultado pedagógico, es importante que a
más de una plataforma tecnológica adecuada se cuente con guías
didácticas adecuadas coherentes con una concepción sicopedagógica por
parte del Tutor, donde la relación Telemática-Educación es vital.
Las TIC han sido consideradas como apoyo en el aprendizaje pero
con una visión de cambios en los enfoques sicopedagógicos, tal como se
puede observar en el Anexo 14.
Por tanto, las TIC y la información representan un nuevo escenario
educativo que implica una nueva organización, lo que conlleva a tomar
con cautela los avances al respecto, repensando lo mencionado
anteriormente junto con la Didáctica a emplear.
Dimensión disciplinar
Se ubica en el contexto que la Pedagogía, la Andragogía, la
Didáctica, Sicología, Teorías de aprendizaje y Tecnología se conjugan,
creando un sentido de interdisciplinariedad en que el Docente debe
desenvolverse en base a un desarrollo personal de conocimientos y
experiencias que mediante el manejo de las TIC, debe contrastar:
 Diversidad de personas con sus propios intereses, valores,
actitudes, habilidades y capacidades propias.
 La realidad organizacional y social en que se desenvuelve.
 Establecer relaciones en las diferentes maneras que las TIC
facilitan: Foros, chats, correo electrónico, mensajería instantánea y
medios que pueden ser asincrónicos o sincrónicos.
38
 Desarrollar competencias TIC.
 Dimensionar los escenarios educativos producto de la interrelación
que establezca en base a principios educativos pedagógicos,
andragógicos, didácticos y sicológicos, previamente estudiados y
aprendidos con la gestión docente que debe llevar a cabo.
Dimensión curricular
Simplemente incluir las TIC no constituye una garantía en procesos
de formación, debido a que se debe respaldar en principios didácticos y
metodológicos que acrediten y enmarquen su empleo.
Se debe formalizar un proceso que incorpore las TIC en los
procesos de enseñanza, integrando estrategias educativas de modo que
no sea transitorio, accidental o casual. Es claro que el uso de la
Tecnología ubica en nuevos paradigmas educativos y novedosos
procesos de aprendizaje. Si se observa el Anexo 15 se infiere lo siguiente:
La integración curricular tecnoconstructivista es el nivel al que se
debe llegar al adoptar las TIC en la Educación, donde hablar de un
tecnoconstructivismo cierto pasa a ser subjetivo todavía debido a que la
mediación comunicacional tecnológica aun no alcanza a mostrar el
verdadero potencial en su empleo.
Esto ubica a enfocarse en niveles de transición al respecto, es
decir momentos que un Docente vive para llegar al punto deseado:
Actitud y apropiación.
39
Actitud
En estudios realizados por la OECD (Organization for Economic
Co-operation and Development) sobre las TIC y el cambio organizacional
en entidades educativas PONT, B. (2000), se plantea que la
implementación de las TIC siguen los ritmos de la difusión de
innovaciones.
Observando el Anexo 16, se desprende que la adopción TIC sigue
el ritmo tradicional de difusión de las innovaciones, pasando por el
proceso decisión-innovación, que nace de una etapa en la que se reúne
información suficiente para tomar una actitud hacia la innovación
(persuasión), por lo que en base a lo que se cree y evalúa, se toma una
decisión al respecto.
Pasando luego a una etapa de implementación de la innovación, la
que se encamina desde una postura pasiva a una activa,
transformándose el matiz personal del Docente que entra en un nuevo
escenario para sí mismo, pudiendo llegar inclusive a querer y por qué no
a innovar la misma innovación.
Si se observa ahora el Anexo 17, puede ocurrir que la introducción
de las TIC dependa de las percepciones y/o creencias profesional,
epistemológica o metodológica que se tengan sobre ellas. Esto lleva a
considerar tres factores:
 Personal que avalúa la práctica mediada por TIC.
 Contextual o social que ejerce presión sobre las decisiones y
 De control sobre lo que se cree ser capaz de hacer o saber.
40
Así surge la Teoría del Comportamiento Planificado (TPB de la voz
inglesa Theory of Planned Behavior) como formulación al respecto.
Al observar el Anexo 18, se obtiene que la acción humana se
encauza por tres creencias: Conductuales, normativas y de control.
Las conductuales determinan una actitud favorable o desfavorable,
mientras que las normativas dan una visión subjetiva de las
determinaciones del ámbito social en que se encuentra una persona, y
las de control originan en el ser humano una idea de tener una conducta
fácil o dificultosa (de acuerdo a lo percibido).
La combinación de estas creencias es lo que forma la intención
conductual, o dicho simplemente la intención.
Solamente la actitud conductual determina de mejor forma la
intención de un Docente sobre la implementación tecnológica en sus
prácticas académicas.
Por esta razón, vale hacer énfasis en la hipótesis que se dispone
en la Revista Electrónica Teoría de la Educación, Educación y Cultura en
la Sociedad de la Información(2009) en su Volumen 10 de marzo, que
resalta el siguiente fragmento SAN MARTÍN, A. (2009),
Un docente debe formarse una actitud positiva hacia las
nuevas tecnologías para lograr vencer la barrera que le
impide adoptar estrategias educativas mediadas por las
tecnologías. Así, la actitud se convierte en un factor
psicológico transitivo entre la intrusión y la
implementación de las TIC en el aula.
41
Referenciando el mismo Anexo 18, se obtiene:
Apropiación
Es un antes de la implementación, que equivale a
experimentación. Mentalmente un Docente va creando sus ideas a
medida que utiliza los instrumentos tecnológicos, sobretodo en el aula, lo
que lo lleva a concebir nuevas concepciones educativas.
Se presenta una concepción de rol docente: De poseedor de
contenidos a facilitador de construcción de conocimientos. Si se visualiza
el Anexo 19, se deduce lo siguiente:
Se toma conciencia cuando el Docente permite que las TIC operen
en contextos educativos, pues es allí cuando se percibe que la tecnología
no es neutra, lo que hace que se intenten nuevas estrategias y métodos
que hacen que el ordenador sea invisible, haciendo que el sistema
tecnológico no sea el fin, sino que se acopla al objetivo educativo, siendo
la Apropiación un tránsito de implementación a integración curricular
tecnoconstructivista.
La educación
Etimológicamente Educación proviene del latín educere, que
significa "guiar, conducir" o educare, "formar, instruir", de lo cual se
desprende por un lado un proceso y por otro una interioridad, que es
donde se originarán formas de vida, que determinan que una persona
esté educada.
Educar significa cambiar al ser humano, que no tendría sentido
sino se trata de una mejora, es decir se busca la perfección, y es este
perfeccionamiento de las capacidades humanas, que va alcanzando los
42
logros de su ser. No debe confundirse Educación con instrucción, ya que
ésta es la transmisión de conocimientos, la Educación la contiene a
diferencia que en esta última se piensa en la totalidad del hombre.
Tradicionalmente la Educación se basaba en enseñar, hoy en día
se centra en potenciar al estudiante, es decir se centra en su aprendizaje.
En el Informe a la UNESCO de la Comisión Internacional sobre la
Educación para el siglo XXI, presidida por JACQUES DELORS, en el año
1996, se plantearon los cuatro pilares de la Educación (ver Anexo 20), en
proyección al siglo que la humanidad vive en la actualidad, que son
aspectos en los que se apoya el aprender a lo largo de la existencia:
Aprender a conocer: Es adquirir los instrumentos de la
comprensión del mundo que le rodea, de modo que pueda comprender,
conocer y descubrir. Aquí se encuentra inmerso el Aprender a Aprender, y
el ejercicio de la memoria, la atención y el pensamiento.
Aprender a hacer: Para poder influir en el entorno, para su
capacitación en hacer frente a una serie de interacciones y trabajo en
equipo, de tal manera que desarrolla su calificación profesional para el
mundo laboral.
Aprender a convivir: Para participar y cooperar en sociedad, de
modo que comprenda al otro y distinga la interdependencia con los demás
en sentido común y esté preparado para tratar conflictos, viviendo en paz,
con un sentido de pluralismo y comprensión mutua.
Aprender a ser: Es recoger elementos de los anteriores como
proceso fundamental, desarrollando su propia personalidad y
capacitándose en autonomía, juicio crítico y responsabilidad personal.
43
En todo sistema educativo la atención a estos pilares debe ser
equivalente, para beneficio global del ser humano y que pueda durar toda
la vida.
Tipos de Educación
Existen tres tipos de Educación:
Formal: Se refiere a una estructura sistemática institucionalizada
para obtener titulaciones académicas reconocidas. Es legal y
administrativamente regulada, referencia a escuelas, universidades,
institutos, módulos.
No Formal: Son actividades fuera de un ámbito Formal escolar, que
no pretende un reconocimiento oficial de su aprendizaje, su organización
varía desde una mínima estructura a una altamente estructurada como en
la formal, referencias a academias, cursos e instituciones.
Informal: Es la que se recibe en los ámbitos sociales,
adquiriéndosela durante toda la vida, cuyas consecuencias educativas no
necesariamente fueron diseñadas para la Educación.
Hoy en día está muy claro que las TIC alcanzaron al mundo
educativo, pues desde que se adoptó la palabra y ésta dio paso al lápiz y
al papel como instrumentos de enseñanza, aparecieron en escena las
escuelas, que es donde surge el Docente. Con la invención de la imprenta
se utiliza el papel como soporte de información, modificándose después
los patrones culturales, en cómo trabajar, leer, vivir y comunicarse.
La Educación por ser un proceso comunicativo permite identificar a
la comunicación, en una función educativa, es decir se convergen entre
sí, y éstas a su vez con otras disciplinas hacia la humanización de la
sociedad actual, que cada vez es más compleja y contradictoria, en la que
44
la idea racionalista de un progreso lineal y continuo encontró su remplazo
en la comunicación en un momento que se busca un sentido al futuro de
la humanidad.
El concepto transdisciplinario se presenta con más de una
articulación en la interacción disciplinaria, donde ahora es ya cada vez
más evidente que ninguna disciplina es ajena a la otra, y es innegable la
cohesión. La cultura del libro ha dado paso a la cultura digital, lo que hace
a la labor educativa una facilitadora de la transformación de información
en conocimiento.
Indudablemente la Educación cambia, sobretodo porque las
nuevas generaciones son nativas digitales, es decir, desde que nacen
usan la tecnología y se encuentran involucradas con ella en su vivir, lo
que ocasiona que surja una interdisciplina como lo es la Informática
Educativa, creándose un campo donde la una se aplica a la otra.
Informática educativa
Una disciplina resultante de la sinergia entre Informática y
Educación, es la Informática Educativa.
La Educación al estar en medio del mundo informático, hace que la
relación áulica entre el conocimiento, el dicente que aprende y el Docente
que crea los escenarios de aprendizaje, se medie por la experiencia
histórico-social, el contexto, las actitudes y los valores que intervienen,
dándole a cada clase su sentido especial, debido a que se mueve la
construcción de un conocimiento significativo en base a un ambiente
creado, y es en estos instantes entran en juego los cuatro pilares de la
Educación que la UNESCO señaló para el aprendizaje.
45
MORÍN, E. (1999) expresó que se necesita una Educación que
enseñe a las personas a recuperar su vínculo con la humanidad. Según
él, la Educación del futuro debe construir un nuevo hombre, un nuevo
humanismo y una nueva mentalidad, para lo cual propuso como de vital
importancia los siete saberes necesarios para la Educación del futuro:
1. La ceguera del conocimiento: El error y la ilusión. Todo
conocimiento tiene implícito un riesgo de error y de ilusión, donde
ni siquiera el conocimiento científico se escapa.
2. Los principios de un conocimiento pertinente. Dada la cantidad de
información actual, la verdad será posible si se comprende el
contexto y la complejidad de los fenómenos emocionales,
intelectuales y espirituales del ser humano y la dimensión política,
religiosa, económica y cultural de la sociedad, encontrándose la
necesidad de volver a las preguntas bases, como: ¿Quiénes
somos?, ¿de dónde venimos?, ¿dónde vamos?, …
3. Enseñar la condición humana. Dado que la globalización muestra
la condición planetaria de la humanidad, se presenta la obligación
de reconocerse la igualdad entre los hombres y a la vez, identificar
las diferencias, de modo que la unidad no borre la diversidad, ni
viceversa.
4. Enseñar la identidad terrenal. Es generar un sentido de pertenencia
al planeta, con una noción de globalización intelectual, afectiva y
moral, donde se valore el lugar de vivencia y convivencia de la
humanidad, en que el mundo se une por la tecnología y el
intercambio económico, pero se presentan los antagonismos
políticos, culturales y religiosos, y es ahí donde la Educación debe
ayudar a entender a las personas que se comparten los mismos
sentimientos y preocupaciones y el mismo destino, viva donde se
viva.
46
5. Afrontar las incertidumbres. Se necesita aprender a esperar lo
inesperado, pues la evolución del hombre ya no es lineal, pues la
historia avanza por crisis, desorden, contradicciones,…, que por
orden y progreso.
6. Enseñar la comprensión. La comprensión resulta necesaria entre
los seres humanos, ya sea a nivel interpersonal, grupal o social, lo
que quiere decir que cada cultura debe aprender de otras culturas,
y cada uno debe aprender de los demás.
7. La ética del género humano. Cada persona tiene su realidad
humana, individual y social, donde su ética atienda a la humanidad,
y no una en particular, de ahí que se hable de una antropoética,
válida para el ser humano y que trabaje por humanizar la
humanidad, lo que se denomina una Educación humanizante.
Se pueden desarrollar competencias informáticas desde muy
diversos modelos pedagógicos y acciones, que pueden propiciar una
formación integral.
Surge un enfoque Humanista Integrador de la Educación
Informática (ver Anexo 21), en el cual la Educación permite la realización
de un ser humano integral, cuyo conocimiento se traduce en un saber ser,
conocer, hacer, convivir y convivir (conocer) con el medio.
Una ilustración más amplia acorde a los niveles de Educación se
dispone en el Anexo 22, según CAMPOS, Y. (2009).
Al aprender las competencias informáticas en el contexto de estos
ejes, se crean escenarios para que la experiencia dicente tenga mayor
significado emocional y cognitivo. A su vez, Educadores, formadores y
asesores encontrarán un hilo conductor que brinde un soporte filosófico y
educativo a su labor de orientación, en base a una relación pedagógica,
47
didáctica y a una fundamentación en base al Constructivismo Social (ver
Anexo 23).
Teoría y práctica
En Educación, quien enseña media entre el aprendiz y el mundo,
de modo que el dicente es incluido en el mismo en base a las
posibilidades que disponga en medio de tantas situaciones, en la que
su transformación es la constante, gracias a la mediación docente.
Dada la realidad en la que se sustentan los hechos, la teoría es un
instrumento que predice algo, que la práctica confirma o refuta. Su
integración en el proceso de aprendizaje (adquisición del conocimiento)
es el resultante de una acción didáctica al respecto.
La Educación teórica alejada de la práctica, ha tenido en Platón a
su más antiguo defensor, que sostuvo que las disciplinas más valiosas de
la Educación eran aquellas alejadas de lo experimental, observable u
opinable. Esta visión fue muy dominante en el espacio educativo, al punto
que tuvo un desprecio hacia la tecnología en cierto tiempo del siglo
pasado, por su aspecto práctico.
Paradójicamente en la obra de Platón, se encuentra la conexión
con la técnica, en el Protágoras donde se trata los fines de la Educación.
El mito especifica el encargo a Epimeteo y Prometeo del reparto de las
facultades, donde éste último se olvida de la especie humana, siendo
impulsado a tomar del taller de Hefesto, el fuego y la sabiduría para
defenderse y sobrevivir, donde el primero representa la superación de las
limitaciones del medio, que adaptándose a las épocas actuales se
simboliza a la transformación continua en que se basa la técnica.
48
Siendo el ser humano capaz de crear y realizar cosas, y de crear
éstas para que creen otras, la técnica resulta un producto humano, por lo
cual no existe razón para que la tecnología quede fuera de la Educación.
La tecnología pasa a ser aplicada en los procesos de producción,
cuyos productos tecnológicos son el resultado de la teoría-práctica,
siendo resultante también la propia Educación, bajo un criterio muy claro
que la tecnología es universal y no necesita contextualización social para
aplicarla, donde la eficacia y eficiencia de sus productos están en base a
la mejora educativa para su producción.
La Era del Conocimiento que se vive actualmente, pasa a tal
velocidad ante los seres humanos que apenas es perceptible, por ello
resulta muy importante que la orientación teórica sea inseparable de la
labor práctica.
La enseñanza
Forma parte del proceso educativo, donde su fin es organizar la
actividad cognoscitiva del estudiante, cumpliendo funciones instructivas,
educativas y desarrolladoras.
Su propósito está en transmitir información mediante una
comunicación directa o mediada auxiliarmente, buscando plasmar en el
dicente en forma de conocimiento, habilidades y capacidades, una huella
que le permita enfrentarse a situaciones de vida, con actitud creadora, de
apropiación y adaptabilidad, presentándose cambios constantes en su
actividad cognoscitiva, con el apoyo docente que es quien lo dirige hacia
el alcance de sus competencias.
49
Todo proceso de enseñanza determina un mecanismo de
retroalimentación positiva en el futuro, que se manifiesta en el instante
que las exigencias del caso se presenten, en la llamada “zona de
desarrollo próximo” del estudiante, proveniente del desarrollo, producto de
la apropiación del conocimiento adquirido.
La enseñanza existe inobjetablemente para el aprendizaje, sin ella
no se alcanza lo requerido, y es mediante ella que el aprendizaje resulta
estimulante. Estos dos aspectos integrados constituyen el proceso
enseñanza-aprendizaje, donde cada uno posee lo suyo, al tiempo que en
conjunto orientan a Docente y dicente.
La enseñanza es dialéctica, y su progreso se condiciona a las
contradicciones internas que van y vienen en el desarrollo del proceso
antes de su concreción.
El punto de partida de la enseñanza lo constituye el conjunto de
sus objetivos, que son quienes determinan los contenidos, métodos,
técnicas y actividades a emplearse en la organización del desarrollo del
proceso educativo.
Las intervenciones educativas realizadas por el Docente para
facilitar los aprendizajes, constituyen lo que se denomina el acto
didáctico, cuya naturaleza es esencialmente comunicativa, donde prima
la relación del estudiante con el conocimiento.
Siempre ha habido diversas concepciones sobre cómo llevar a
cabo la enseñanza, por tanto del rol del Docente y el empleo de sus
recursos educativos, como agentes mediadores en el aprendizaje.
50
Gráfico 1: Acción docente sin TIC.
Tomadode:http://peremarques.pangea.org/actodid.htm.
Por:Dr. Pere Marqués.
Como se observa, el proceso educativo se centra en la enseñanza
y el Docente, para que el estudiante pueda, sepa y quiera aprender. Tal
como lo menciona el Dr. MARQUÉS, P. (2011), la Educación evolucionó,
surgiendo del paradigma de la escuela activa, centrándose la enseñanza
en la actividad del dicente.
Gráfico 2: ¿Qué dice la Pedagogía?.
Tomadode:http://peremarques.pangea.org/actodid.htm.
Por:Dr. Pere Marqués.
Como se observa, el Docente cambia su rol a ser un tutor, un guía,
un mediador, un facilitador de aprendizajes, que se basa en los pilares del
aprendizaje de aprender a conocer, hacer, ser y convivir, pero siendo
emprendedor e innovador, sobre todo ahora ante el avance de la
51
tecnología y el conocimiento tecnológico activo de sus estudiantes,
demandando que cree estrategias didácticas, es decir, una serie de
actividades apoyadas en técnicas de enseñanza, que tiene por objeto
llevar a cabo la acción didáctica para alcanzar los objetivos del
aprendizaje que se hayan planteado.
Por ello resulta importante reconocer los elementos del acto
didáctico para establecer una estrategia didáctica, mediada por TIC:
Gráfico 3: Acto didáctico.
Tomadode:http://peremarques.pangea.org/actodid.htm.
Por:Dr. Pere Marqués.
MARQUÉS, P. (2011), permite observar que existen cuatro
elementos: Docente, dicente, contenidos y contexto, donde:
Contexto: Se refiere al escenario del proceso educativo, porque
éste determina los factores a tomar en cuenta como espacio, tiempo,
equipos, disponibilidad tecnológica, … , de modo que se facilite la
información y motivación de los estudiantes. Pero la eficacia en el
aprendizaje depende en gran medida del modo en que el Docente orienta
su estrategia didáctica, que son actividades que permiten la interacción
de los dicentes con los contenidos, considerando información, motivación
y orientación, pero a su vez debe considerar algunos principios, que se
citan en el Anexo 24.
52
Docente: Es el ejecutor de las actividades con los estudiantes en
base a una estrategia didáctica establecida para obtener los objetivos
educativos en función de los contenidos, que serán el referente para la
evaluación de los dicentes al finalizar el proceso educativo.
Estudiante: Es quien desea alcanzar el aprendizaje en base a la
orientación docente, interactuando con los recursos de formación a su
alcance.
Contenidos: Están en relación con los objetivos educativos,
considerándose de tres tipos, tal como se puede visualizar en el Anexo
25.
El aprendizaje
Es un proceso en el que participan activamente tanto el Docente
como el estudiante, donde éste adquiere o modifica conocimientos,
habilidades, destrezas, capacidades o valores, como resultado del
estudio, la experiencia, instrucción, razonamiento u observación, por lo
que se puede decir que es una actividad resultante de un proceso
organizado para ese fin, la enseñanza.
Entendiendo al aprendizaje como una conducta de aprender, y
como un proceso de obtener y almacenar una información para utilizarla
posteriormente, demanda que el cerebro lo procese y lo almacene por
medio de los sentidos para ser recordada y utilizada posteriormente
cuando se requiera. Por eso se requiere de cuatro procesos esenciales
que son: La atención, la memoria, la motivación y la comunicación, que
presentan una estrecha interrelación, sobre todo a medida que se avanza
en el crecimiento humano en cualquiera de sus dimensiones.
53
Gráfico 4: Procesos para el aprendizaje.
Tomadode:http://www.down21.org/salud/neurobiologia/bases_aprend.htm.
Por:Jesús Flores.
De esta fuente de información de la última imagen, se obtiene que
una secuencia en el aprendizaje es la siguiente: Siempre se parte de la
recepción de información, La misma que luego es organizada y
relacionada, para finalmente ser trabajada.
En recepción de información se identifican a tres tipos de
estudiantes: Auditivos, visuales y cinestésicos. Esto implica distintos
sistemas de representación o de recibir información mediante canales
sensoriales diferentes, que respectivamente a cada tipo de dicente
nombrado son: La visión, la audición y la relación de sensaciones y
movimientos con el cuerpo humano, es decir la experimentación haciendo
cosas.
En la organización y relación, se relaciona la actividad de los
hemisferios cerebrales del ser humano, donde cada uno tiene su forma de
pensamiento asociada.
El hemisferio izquierdo o lógico, es quien procesa la información de
modo secuencial y lineal, y es quien se ocupa de analizar detalles, piensa
en palabras y números.
54
El hemisferio holístico o derecho, es quien procesa la información
de un modo global, partiendo del todo a sus partes, es intuitivo, piensa en
imágenes y sentimientos.
Para poder aprender se necesita de ambos, pero la tendencia de
usar uno más que otro determina las habilidades cognitivas que se
derivan de cada uno.
Vale tener presente que el sistema educativo nacional ha hecho
que el hemisferio izquierdo prime sobre el derecho, por sus mismas
estructuras educativas curriculares, por lo que un Docente debe
preocuparse de potenciar el uso de ambos hemisferios.
El trabajo de la información consiste en la transformación de ésta
en conocimiento, cuyo procesamiento puede ser de varias formas.
Tomando como referente el modelo de Kolb (definido a inicios de la
década de 1970), quien dice que en ella se identifican dos dimensiones:
Percepción y procesamiento, el aprendizaje resulta de la forma cómo el
ser humano percibe y luego procesa lo percibido.
Se toma como base que para aprender algo se toma la información
desde una experiencia concreta (aprendiz activo) o abstracta (dicente
teórico, al leer o alguien nos dice algo), la cual se transforma en
conocimiento reflexionando y pensando (estudiante reflexivo) o
experimentando activamente (aprendiz pragmático) con la información
recibida, por lo que un aprendizaje óptimo es el resultado de procesar la
información en cuatro fases:
55
Gráfico 5: Fases del procesamiento de la información.
Tomadode:http://maestrosycontextos.blogdiario.com/1156093080/.
Por:Maestros y Diálogos.
En el modelo citado, se encuentran dos extremos: Existen
personas que procesan a través de la experimentación activa, mientras
que otras por medio de la observación reflexiva.
La aproximación de ambas formas de percibir y de ambas formas
de procesar, Kolb lo denomina modelo de cuatro cuadrantes para
determinar estilos de aprendizaje, cuya ampliación se dispone en el
Anexo 26.
Gráfico 6: Modelo de cuatro cuadrantes – Kolb.
Tomadode:http://www.cca.org.mx/profesores/cursos/cep21-tec/modulo_2/modelo_kolb.htm.
Por:Centros Comunitarios de Aprendizaje, Tecnológico de Monterrey Foundation, Universidad
Virtualdel Sistema Tecnológico de Monterrey.
En 1956, Benjamín Bloom desarrolló su taxonomía de Objetivos
Educativos que sigue el proceso del pensamiento, donde propone que el
proceso de aprendizaje encaja en el dominio cognitivo, en base a las
esferas sicológicas de la personalidad: Cognoscitiva, afectiva y sicomotriz.
56
1. Cognoscitiva. Relacionado con el razonamiento y la memoria,
en función de las actividades tal como se indica en la gráfica:
Gráfico 7:Relación razonamiento y memoria.
Tomadode:http://bitacora-de-clase.blogspot.com/2011/03/la-taxonomia-de-bloom.html.
Por:Yudith Adilene Casillas.
Se deduce que no se puede entender un concepto si primero
no se lo recuerda y de manera similar, no se puede aplicar
conocimientos y conceptos si no se los entiende.
2. Afectiva. Es la respuesta emocional, que va desde la más
simple hasta la más compleja, donde el nivel inferior es donde
un aprendiz sólo pone atención a una idea, y en el superior
adopta una idea o valor para actuar. Se distinguen cinco
formas: Recepción, respuesta, valoración, organización y
caracterización por el nuevo valor.
3. Sicomotriz. Es desarrollar capacidades particulares, como en
las artes, el deporte, usar equipos, desde percepciones hasta
acciones reflejas voluntarias, como musculares que requieran
capacidades y habilidades específicas.
57
En la década de los noventa, un antiguo estudiante de Bloom, Lorin
Anderson y D. Krathwohl, revisan la Taxonomía y se publica en el año
2001, la Taxonomía Revisada de Bloom.
Un aspecto importante en esta revisión es el uso de verbos en
lugar de sustantivos por categoría y el otro, el cambio de la secuencia de
éstas dentro de la taxonomía, destacándose que la creatividad se
considera superior a la evaluación del dominio cognitivo.
Gráfico 8: Taxonomía Revisada de Bloom.
Tomadode:http://bdistancia.ecoesad.org.mx/contenido/numeros/numero6/visionInter_01.html.
Por:Terry Anderson y Jon Dron, Universidad Virtualdel Estado de Guanajuato.
Verbos asociados en la revisión de la Taxonomía de Bloom
Verbo en la revisión Verbos asociados
Recordar Reconocer, listar, describir, identificar,
recuperar, denominar, localizar, encontrar.
Entender Interpretar, resumir, inferir, parafrasear,
clasificar, comparar, explicar, ejemplificar
Aplicar Implementar, desempeñar, usar, ejecutar.
Analizar Comparar, organizar, deconstruir, atribuir,
delinear, encontrar, estructurar, integrar.
Evaluar Revisar, formular hipótesis, criticar,
experimentar, juzgar, probar, detectar,
monitorear.
Crear Diseñar, construir, planear, producir, idear,
trazar, elaborar
Cuadro 3:Verbos asociados en la revisión de la Taxonomía de Bloom.
Fuente:http://www.eduteka.org/TaxonomiaBloomDigital.php.Adaptado de la fuente mencionada.
Elaborado por: LSI Jorge Vera Mosquera.
58
La adaptación de esta revisión a las TIC es la siguiente:
Gráfico 9: Adaptación TIC a la Taxonomía Revisada de Bloom.
Tomadode:http://www.eduteka.org/TaxonomiaBloomDigital.php.
Por:Andrew Churches.
Al observarse la imagen anterior, se nota que la colaboración es
fundamental, es una habilidad del presente siglo y se utiliza en todo el
proceso de aprendizaje, por lo que para ello se dispone de herramientas
digitales como:
 Blogs (bitácoras), para recopilar cronológicamente contenidos
como FlashBlog, Wordpress, LiveJournal, Blogger, Windows Live
Writer
 Wikis, para crear contenidos en grupo como Wikispace, MediaWiki,
Wikipedia, TikiWiki
 Redes sociales, como Ning, Facebook, Twitter.
59
 Plataformas educativas, para disponer de un entorno informático
con fines educativos como Moodle, Dokeos, Blackboard.
 Software de grupo para gestionar documentos, como en Hotmail,
Zoho, Google.
Debiendo enseñarse conocimientos y contenidos contextualizados
a los estudiantes. Para ello se debe tener presente la retención del
aprendizaje en los dicentes según la actividad realizada, para que el
suministro de conocimiento sea un gran apoyo en el proceso. Obsérvese
la siguiente imagen:
Gráfico 10: La pirámide del aprendizaje.
Tomadode:http://www.eduteka.org/TaxonomiaBloomDigital.php.
Por:Andrew Churches.
Se demuestra que resulta mejor explicar, mostrar y hacer, dándose
énfasis al hecho de que se aprende haciendo, y tal como define la
pirámide ilustrada, el aprendizaje activo es el queda en el estudiante
debido a que el nivel cenestésico es el que prima sobre el visual y el
auditivo en el ser humano.
60
Resulta importante recalcar que las habilidades del pensamiento
son fundamentales. Obsérvese:
Gráfico 11: Habilidades del pensamiento.
Tomadode:http://www.eduteka.org/TaxonomiaBloomDigital.php.
Por:Andrew Churches.
Donde mucho de lo que se enseñe será obsoleto en pocos años,
mientras que las habilidades del pensamiento una vez que se adquieren
se plasman toda la vida.
La Educación en la Era Industrial se enfocó en las habilidades de
orden inferior (LOTS, Lower Order Thinking Skills), recordar,
comprender,…, en cambio en la presenta época el enfoque se dirige
hacia las habilidades de orden superior (HOTS, Higher Order Thinking
Skills).
Resulta importante también considerar que el ambiente de
aprendizaje es muy influyente al momento del proceso educativo, por lo
que las influencias tanto físicas como sico-sociales deben de ser
consideradas al momento de desarrollar las estrategias de aprendizaje,
que son conceptuadas como el conjunto de actividades, técnicas y
medios que se planifica de acuerdo a la necesidad, constituyendo junto a
los objetivos, contenidos y evaluación, componentes esenciales en el
proceso educativo.
61
Las técnicas de estudio, resultan herramientas importantes para
un dicente, porque son actividades específicas que desarrolla al
momento de aprender cómo crear esquemas, organizadores gráficos,
usar los métodos EPLER(Exploración o pre-lectura, Preguntas, Lectura,
Exposición, Revisión y Repetición) o ACCESO(Aproximación al texto,
Construcción de contenidos, Estructuración mnémica, Saneamiento de lo
estudiado, Optimización de resultados) para la lectura, etc., que pueden
usarse de forma mecánica.
A diferencia de la estrategia de aprendizaje, éstas constituyen una
guía de acciones a seguir, consciente e intencionalmente dirigida a un
objetivo por aprender. A ambos tradicionalmente se les ha llamado
procedimientos.
Siendo la estrategia un uso reflexivo de la técnica, y ésta una
aplicación en sí, una estrategia está bien cuando el estudiante reflexiona
sobre el propósito de una tarea, planifica y cumple lo planificado (dispone
de más herramientas técnicas), termina la tarea, evalúa lo hecho y
acumula conocimiento de en qué casos aplicar la estrategia.
En la actualidad, y desde un punto constructivista, el aprendiz es
quien construye el conocimiento, es él mismo quien debe dominar la
técnica, más aún, apoyado en la tecnología, por lo que las TIC pasan a
ser un apoyo para el aprendizaje al momento que interactúa con el
contenido y con el Docente en su momento, utilizando de un modo
combinado las aplicaciones tradicionales de un computador
personal(procesador de palabras, hoja de cálculo, presentador, base de
datos, graficadores, editor de video, de sonido, …) y las aplicaciones web
(infinidad de sitios que facilitan herramientas en línea como Hotmail,
Zoho, Google, Youtube, Teachertube, Mindomo, bubble.us, …).
62
La sensibilización docente para comprender los tipos de
aprendizaje es muy importante en la actualidad, sobretodo porque el
crecimiento exponencial del conocimiento implica la necesidad de
aprender de un modo continuo tanto a nivel académico como profesional,
debido a la globalización de la información y a la incorporación de las TIC
a la vida cotidiana.
Tipos de aprendizaje
Existe en el argot pedagógico los siguientes tipos de aprendizaje,
con los que todo Docente debe estar familiarizado:
Receptivo: El estudiante recibe el contenido que va a asimilar, por
una explicación del Docente, material impreso, audiovisual, mostrado en
pantalla de ordenador, etc.
Por descubrimiento: El aprendiz debe descubrir el material antes
de incorporarlo a su estructura cognitiva. Puede ser guiado por el
enseñante.
Aprendizaje repetitivo o memorístico: Supone una memorización
de datos, hechos o conceptos con poca o ausente interrelación, sin
esperar que el estudiante comprenda.
Aprendizaje significativo: Se presenta cuando las tareas están
interrelacionadas de un modo congruente, siendo el dicente el propio
conductor de su conocimiento en relación a los conceptos que debe
aprender.
Por observación: Por medio de la observación o la imitación el
aprendiz adquiere conocimientos.
63
Colaborativo: Es un sistema de interacción en grupo que permite
la influencia recíproca de sus miembros generando una interdependencia,
donde cada uno presta su aporte en la construcción del conocimiento. Se
apoya en la tecnología.
Cooperativo: Es un sistema en que se organiza las actividades de
los estudiantes, trabajando en grupo cada uno sus tareas.
La diferencia entre Colaborativo y Cooperativo está en que en el
primero el estudiante dispone sus interacciones y mantiene el control de
sus decisiones, mientras que en el segundo es el Docente quien tiene
casi el control total de las interacciones y de los resultados.
Método del Caso: Es un aprendizaje cooperativo que parte del
aprendizaje significativo, donde el aprendizaje por descubrimiento utiliza
la resolución (significativa) de problemas mediante el planteo de un caso.
Basado en Problemas: Es una técnica didáctica de aprendizaje
significativo, donde el estudiante es el protagonista de su aprendizaje, en
que el grupo de dicentes debe encontrar la solución a un problema
planteado.
Basado en Proyectos: Es aquel en que un grupo de Docentes y
estudiantes trabajan en conjunto sobre un problema real, donde existe un
diseño instruccional definido, roles establecidos y fundamentos
marcados para el diseño del Proyecto.
Los tres últimos aprendizajes significan un aprendizaje activo
centrado en el estudiante y moderado por el Docente, que al relacionarse
con las TIC requiere de software de grupo y de compartición de
información que permita superar barreras de tiempo, espacio y hasta el
64
lenguaje en un momento dado, pues entran en juego los foros, sitios web,
videoconferencia, chat, email, software base de oficina (procesador de
palabras, hoja de cálculo, presentador, graficador, base de datos) para
permear la lectura y la escritura, software y periféricos multimedia(para
manejar texto, voz, video, imagen), conexión a Internet, wiki, … , un
ambiente tecnológico bien diseñado para ayudar a los estudiantes a
alcanzar con éxito los resultados.
Al momento, dentro del campo de la Ingeniería de Software se
encuentran desarrollándose estudios y programas que permitan integrar
en lo mejor posible en un solo sistema, el contexto de enseñanza-
aprendizaje u orientación-aprendizaje, controlar y resolver los problemas
que resultan de las interacciones complejas del grupo de trabajo y del
desarrollo mismo.
Por esta razón es que se disponen avances muy considerables en
plataformas educativas como Moodle, Dokeos, Claroline, Blackboard,
Sakai Project, AMBAR y otros, donde se están aplicando tecnologías de
punta integradas.
Entre los programas y sitios en Internet para crear y aplicar
organizadores gráficos existen infinidad, se referencian algunos en el
Anexo 27.
Cuando se aprende algo y cada uno toma su propio método, su
forma de aprender, y esto varía según lo que se desea,…, es estar
hablando del estilo de aprendizaje, donde cada ser humano posee sus
propias tendencias o preferencias, por lo que en la práctica el aprendizaje
resulta heterogéneo, denominándose perfil de aprendizaje a la proporción
en que cada aprendiz utiliza estilos de aprendizaje diferentes.
65
Estilos de aprendizaje
Siendo el aprendizaje tan amplio que abarca un complejo proceso y
etapas diferentes, lleva a que se encuentre todo tipo de propuestas,
teorías o modelos. Tomando de referencia al CCA (Centros Comunitarios
de Aprendizaje, Tecnológico de Monterrey Foundation, Universidad Virtual
del Sistema Tecnológico de Monterrey) cuya dirección en Internet es:
www.cca.org.mx, se dispone de lo siguiente:
Gráfico 12: Estilos de Aprendizaje.
Tomadode:http://www.cca.org.mx/profesores/cursos/cep21-
tec/modulo_2/estilos_aprendizaje.htm#zxc.
Por:Centros Comunitarios de Aprendizaje, Tecnológico de Monterrey Foundation, Universidad Virtual
del Sistema Tecnológico de Monterrey.
Como es de observar y deducir, se encuentra un listado de teorías:
 Modelo de tipos de personalidad, por Carl Jung, 1923.
 Tipos de personalidad de Briggs y Myers, por Katharine
Briggs e Isabel Briggs Myers.
 Etapas del desarrollo cognitivo, por Jean Piaget. Este enfoque
se le conoce como psicología evolutiva o genética.
 Modelo de David Kolb, aprendizaje basado en experiencias
por: David Kolb, a principios de los años 70. Tratado ya en
páginas anteriores del presente trabajo, creó bases para el
desarrollo de otros Modelos como son los de 4MAT de
MCCARTHY, B. (1987) y HONEY, P. & MUNFORD, A. (1987).
66
 Modelo Grasha-Riechmann, Anthony Grasha y Sheryl Hruska
Riechmann, en 1974. Va de la mano con el perfil de enseñanza de
un Docente. GRASHA, T. (1996) creando un modelo que relaciona
los estilos de enseñanza de los Profesores con los estilos de
aprendizaje de los estudiantes.
 Teoría de las inteligencias múltiples, Howard Gardner, 1983.
 Perfiles de estilos y la inteligencia, teoría triádica, por Robert
J. Sternberg, 1985.
 Teoría del autogobierno mental, publicada en 1997, por
Sternberg y Grigorenko, a partir de la teoría triádica(STERNBERG,
R., 1997).
 Modelo de Honey y Mumford, Tendencias generales del
comportamiento personal, por Peter Honey y Allan Mumford,
1986.
 4MAT Sistema (sistema de formato), por: Bernice McCarthy,
1987.
 Modelo Dunn y Dunn, por Rita y Kenneth Dunn, 1992. Para este
modelo se desarrolló un cuestionario llamado Learning Styles
Inventory o LSI (Inventario de estilos de aprendizaje), que permite
identificar los elementos importantes de una persona para
aprender, y en la actualidad puede ser empleado para adultos.
 Modelo VARK, sistemas de representación, por Neil Fleming y
Colleen Mills, 1992.Se enfoca en la preferencia sensorial de los
estudiantes. Su nombre viene de lo siguiente: V–Visual, A–Aural
(Auditivo), R-Read/write (Leer/Escribir), K- Kinesthetic
(Quinestésico).
Diversos autores han creado instrumentos de diagnóstico de estilos
de aprendizaje que con el tiempo han ganado validez, de entre los cuales
se describe el siguiente cuadro:
67
Instrumentos de diagnóstico de estilo de aprendizaje
Autores Instrumentos
David Kolb (1976) Inventario de Estilos de Aprendizaje (Learning
Style Inventory)
Rita Dunn y Kennet Dunn
(1978)
Inventario de Estilos de Aprendizaje (Learning
Style Inventory)
James Keefe, (1979) Perfil de Estilos de Aprendizaje (Learning
Style Profile)
Juch (1987) Ejercicio de Perfil de Aprendizaje (Learning
Profile Exercise)
Bernice McCarthy (1987) 4MAT System
Richard M. Felder y
Linda K. Silverman(1988)
Cuestionario Índice de Estilo de Aprendizaje
(Index of Learning Styles)
Honey y Mumford (1988) Cuestionario de Estilos de Aprendizaje
(Learning Styles Questionnaire)
Alonso, Gallego y Honey
(1992, 1994)
Cuestionario Honey-Alonso de Estilos de
Aprendizaje (CHAEA)
Robert Sternberg (1997) Inventario de Estilos de Pensamiento
(Thinking Styles Inventory)
Catherine Jester (1999) Encuesta sobre Estilos de Aprendizaje para la
Universidad (Learning Style Survey for
College)
S. Whiteley y K. Whiteley
(2003)
Inventario de Estilos de Aprendizaje del
proyecto Memletics (The
Memletics Learning Styles Inventory)
Cuadro 4:Instrumentos de diagnóstico de estilos de aprendizaje.
Fuente: http://w w w .estilosdeaprendizaje.es/JLGCue.pdf.Adaptado de la fuente mencionada.
Elaborado por: LSI Jorge Vera Mosquera.
En Internet es posible encontrar sitios que facilitan estos
instrumentos, de entre los que se disponen algunos en el Anexo 28.
68
En la práctica docente existe una gran dificultad al momento de
poner en práctica los conceptos que se relacionan con los estilos de
aprendizaje, porque también está relacionado con el mito del estilo de
enseñanza del propio enseñante.
No es cuestión de acomodar a todos los estudiantes a un solo
estilo, o acomodarse a cada uno de ellos, lo que se pretende es que el
Docente se esfuerce por entender el estilo de cada uno en base a los
diagnósticos que sirvan para identificar los estilos con mayor predominio
de modo que pueda adaptar su estilo de enseñanza, en busca de los
objetivos que pretende en el aprendizaje.
Lo ideal es disponer de un software cuyo esquema enfoque un
proceso de formación:
Gráfico 13: Software idealpara estilos de aprendizaje.
Tomadode:http://ebookbrowse.com/articles-108461-archivo-pdf-d31741123. Universidad Industrial
de Santander. Página 7.
Por:Rafael Lizcano, Alexander Rodríguez y Wilmer Parra.
Cuyo modelo sistemático considere las variables que contemplen
estrategias de enseñanza, contenidos e instrumentos y modelos de
aprendizaje.
69
Que sirva tanto para Docentes y dicentes de tal modo que
identifique estilos y los capacite y permita un mejor uso de los medios
didácticos que en su momento vaya a usar en el proceso educativo,
logrando así en su momento un aprendizaje significativo.
Gráfico 14: Actividades generales en la herramienta de diagnóstico.
Tomadode:http://ebookbrowse.com/articles-108461-archivo-pdf-d31741123. Universidad Industrial
de Santander. Página 7.
Por:Rafael Lizcano, Alexander Rodríguez y Wilmer Parra.
Teorías de aprendizaje
No existe unanimidad tácita, ni un marco teórico unificado y
coherente, a la hora de establecer una corriente que defina las teorías
del aprendizaje, que es un constructo que pretende explicar y predecir
cómo aprende un ser humano, que no debe ser confundida con la teoría
didáctica que trata sobre las fundamentaciones coherentes de cómo
enseñar mejor. Obviamente, forma parte del aprendizaje.
En la evolución de las teorías del aprendizaje, se ha dado mucho
que tratar, desde la época de Platón y Aristóteles que propusieron el
idealismo y el realismo respectivamente. Estos inicios de la Filosofía
influyeron mucho hasta el siglo XVI, pasándose al racionalismo
moderno de Descartes (1596 – 1650),
70
Luego surge el empirismo inglés(siglo XVIII), para que a fines
del siglo XIX se den los inicios de la Sicología de la Educación, que es de
donde surgen los postulados del estructuralismo y funcionalismo,
destacando Edward Titchener (1867 – 1927) como el creador del primero,
y William James (1842 – 1910) del segundo.
En vista de los resultados no convincentes surge el Conductismo,
que se centra en la conducta del ser humano observable, rechazando el
ocuparse de la conciencia para estudiar el aprendizaje, considerando
estímulos de entrada, condiciones externas y respuestas del aprendiz.
Este enfoque se impone después de muchos estudios y experiencias en
el siglo pasado, resaltando Skinner, Mager y otros.
En paralelo surge la teoría Cognitiva, a mediados de la centuria
pasada, que busca fundamentación en los procesos humanos y no en la
conducta. Desde aquí van surgiendo la Sicología de la Gestalt, luego
Gagné con el procesamiento de la información, después Piaget y la
teoría psicogenética, Bruner con su teoría del Desarrollo cognitivo,
Ausubel con la teoría del aprendizaje significativo, entre otros.
La relación de la persona con su medio social, así como el rol de
sus emociones, influyen en la elaboración de nuevas teorías e
interpretaciones, apreciándose para ello la teoría Sociocultural, de Lev
Vigotsky, cuyo aporte es de gran significado y vigencia en algunos
escenarios de contexto y desarrollo educativo.
A la vez, van naciendo la teoría de las Inteligencias Múltiples de
Howard Gardner, y la teoría de Daniel Goleman de la Inteligencia
Emocional, que tienen un aporte de gran importancia en los postulados
educativos de la actualidad.
71
Vale mencionar, de igual manera los aportes de Reuven
Feuerestein y las teorías de la Modificabilidad Cognitiva y del
Aprendizaje Mediado.
Una teoría de gran impacto, ha sido el Constructivismo, que se
sustenta en la premisa de que cada persona construye su propia
perspectiva del mundo por medio de sus propias experiencias y
esquemas mentales desarrollados.
El conductismo, el cognitivismo y el constructivismo son las tres
grandes teorías de aprendizaje utilizadas más a menudo en la creación de
ambientes instruccionales, habiendo sido desarrolladas en un momento
donde la tecnología no impactaba en el aprendizaje, por lo que ante los
limitantes de ellas y ante la inclusión tecnológica y la identificación de
conexiones en el aprendizaje es que surge como alternativa el
Conectivismo, cuya presencia es propia de la era digital que la
humanidad vive. POMPEYA, V. (2008) Cita a Karen Stephenson cuyas
palabras son:
La experiencia ha sido considerada la mejor maestra del
conocimiento. Dado que no podemos experimentar todo,
las experiencias de otras personas, y por consiguiente
otras personas, se convierten en sustitutos del
conocimiento. ‘Yo almaceno mi conocimiento en mis
amigos’ es un axioma para recolectar conocimiento a
través de la recolección de personas. (Página 37).
A continuación, a modo de conocimiento base, se tratarán las
teorías y conceptos de mayor generalidad.
Conductismo
Corriente de la psicología inaugurada por John B. Watson, tiene su
fundamento teórico en que a un estímulo le sigue una respuesta, siendo
72
éste el resultado de la interacción de un organismo con su medio
ambiente.
En la actualidad, el Conductismo es mucho más amplio y flexible
que en sus primeros tiempos, pues los conductistas modernos todavía
investigan estímulos, respuestas observables y aprendizaje, pero toman
en cuenta el estudio sicológico resultante de la interacción de la persona
con su entorno.
La Taxonomía de Bloom es aplicable en esta corriente por permitir
clasificar objetivos y metas educativas, en función de los niveles que
maneja. La Teoría de Bloom partió del Conductismo y del Cognitivismo.
En esta corriente el estudiante no aporta nada al proceso,
dependiendo de los estímulos que reciba del exterior, como tampoco se
toman en cuenta las diferencias individuales de los aprendices. El
aprendizaje es observable cuando existe un cambio en el comportamiento
del dicente, por lo que es observado, medido y evaluado.
Gráfico 15: Transmisión de contenidos por parte del Docente.
Tomadode:http://uoctic-grupo6.wikispaces.com/Conductismo.
Por:UOC.
La primera utilización educativa fue en la enseñanza programada
de Skinner, que consistía en una secuencia de preguntas con la sanción
del caso ante la respuesta de un estudiante.
73
Luego se tiene a la EAO (Enseñanza Asistida por Ordenador) que
eran máquinas para enseñar, cuyas preguntas así mismo eran
secuenciales con refuerzos positivos o negativos que eran aplicados ante
las respuestas.
Constructivismo
En este paradigma se asume que nada viene de nada. Es decir
que el conocimiento previo da nacimiento a un conocimiento nuevo. El
aprendizaje humano es una actividad que el sujeto realiza a través de su
experiencia con el entorno.
La tarea del Docente se fundamenta en crear situaciones de
aprendizaje para que el dicente construya su conocimiento por medio de
la actividad, tomándolo como el centro de la dinámica educativa,
reconociéndole sus facultades y su papel activo en el proceso.
El Docente pasa a ser un facilitador, guiando al aprendiz,
estimulando y provocando el pensamiento crítico, el análisis y la síntesis,
siendo un co-estudiante a la vez. Vale observar una comparación con el
Conductismo.
Gráfico 16: Comparación Conductismo y Constructivismo.
Tomadode:http://uoctic-
grupo6.w ikispaces.com/file/view/constructivismo1.gif/231855948/constructivismo1.gif .
Por:UOC.
74
Un mapa conceptual del Constructivismo sería útil revisar:
Gráfico 17: Mapa conceptualdel Constructivismo.
Tomadode:http://uoctic-grupo6.wikispaces.com/Constructivismo.
Por:UOC.
Como se observa, se destacan: La teoría evolutiva de Piaget, el
enfoque socio-cultural de Vygotsky, y el aprendizaje significativo de
Ausubel.
75
Gráfico 18: Etapas de la Teoría de Piaget.
Tomadode:http://www.monografias.com/trabajos76/teoria-cognitiva-piaget/image008.jpg.Teoría
Cognitiva de Piaget.
Por:David Orozco (2009).
Tal como se observa en las imágenes tanto anterior como
posterior, cada una de estas etapas posee sus propias características.
Gráfico 19: Subestadios del Desarrollo Cognoscitivo - Modelo de Piaget.
Tomadode:http://www.psicodiagnosis.es/images/piaget1.jpg. Desarrollo Inteligencia (Piaget).
Por:Sergi Banús (2012).
Vygotsky, se enfocó en dos tópicos, en la interacción desarrollo y
aprendizaje, y al vínculo entre Docente y estudiante. Siempre se interesó
por el estudio de la memoria, la atención, el razonamiento, la solución de
problemas,…; es decir, funciones síquicas superiores en el ser humano,
76
creó una teoría en la que la siquis del hombre está determinada por los
procesos de apropiación histórico-social de la cultura.
Como fundador de la teoría Socio Cultural, afirma que el
aprendizaje está condicionado por la sociedad en la que nacemos y nos
desarrollamos, siendo un proceso de restructuración subjetiva. La
siguiente ilustración muestra la ley de doble formación:
Gráfico 20: Ley de Doble Formación y Zona de Desarrollo Próximo.
Tomadode:http://educacion.idoneos.com/img.foros/288041.pjpeg.Teoría socio-histórica de Lev
Vygotsky (TSH).
Por:Graciela Paula (2005).
Donde se identifica la Zona de Desarrollo Próximo, que es la
distancia entre el nivel real de desarrollo determinado por la capacidad de
un aprendiz para resolver un problema y el nivel de desarrollo potencial
determinado por medio de la resolución del mismo bajo la guía de un
Docente o en colaboración con otro estudiante.
77
Gráfico 21: Zona de Desarrollo Próximo.
Tomadode:http://www.monografias.com/trabajos89/aprensignificativo/image001.gif.
Por:Eduardo Tito.
Al emplearse la ZDP con las TIC como recursos didácticos,
mediante una selección adecuada, se obtiene una intervención educativa
eficaz por favorecer la comunicación, la búsqueda y representación del
conocimiento.
Gráfico 22: Zona de Desarrollo Próximo y TIC.
Tomadode:http://2.bp.blogspot.com/-7sBLtF-y-
bU/TsQ4nWQUihI/AAAAAAAAB9U/JV3uW5lYsHw/s1600/zdp.jpg.Las TIC y la ZDP.
Por:María Cristian.
78
Esto ubica un uso tecnológico apropiado donde se manifieste un
aprendizaje cooperativo o colaborativo.
Gráfico 23: Uso tecnológico en el aprendizaje cooperativo o colaborativo.
Fuente:Tomado y adaptado de http://www.slideshare.net/blueistar/teorias-aprendizaje-b.Teorías de
Aprendizaje, diapositiva 11.
Por:Dr. J. Quintana.
Las TIC que pueden emplearse son las herramientas propias de
Internet, con comunicación a tiempo real y a distancia, empleando
software de grupo (para cuestionarios, compartir archivos, wiki, etc.),
bitácoras (programas para blogs como Wordpress, Joomla, etc.),
plataformas educativas (como Moodle, Dokeos, Author, Claroline, etc.),
foros, chat, correo electrónico, como cualquier software de gestión de
grupo privado o público.
La teoría del Aprendizaje Significativo de David Ausubel, es una
teoría sicológica que se ocupa de los procesos que entran en juego en la
persona al momento de aprender, pero desde este punto de vista no trata
79
temas relacionados a la Sicología, sino que pone énfasis en lo que ocurre
en un aula para que un estudiante aprenda.
Gráfico 24: Teoría de Ausubel.
Fuente:Tomado y adaptado de
http://cmapspublic3.ihmc.us/rid=1074815188484_1517315659_5215/Ausubel.cmap?rid=1074815188484_1517
315659_5215&partName=htmljpeg.
Por:autor anónimo.
El ser humano tiende a aprender aquello que le encuentra sentido
y/o lógica, es decir donde encuentra un significado. Un aprendizaje
diferente ya es mecánico, memorístico, coyuntural en un momento dado,
etc.; por lo que un aprendizaje significativo es relacional, es decir que la
relación está en el sentido del nuevo conocimiento al relacionarlo con
conocimientos previos, situaciones cotidianas, la propia experiencia, etc.
Piaget afirma que el aprendizaje está condicionado por el nivel de
desarrollo cognitivo de un estudiante, pero a su vez, Vygotsky observa
que el aprendizaje es el motor del desarrollo cognitivo. Siempre resulta
difícil separar desarrollo cognitivo y aprendizaje.
Al plantearse que el aprendizaje del dicente depende de la
estructura cognitiva, a ésta debe entenderse como al conjunto de
conceptos e ideas que la persona tiene en un determinado campo del
conocimiento, así también el cómo la organiza.
80
Con respecto al aula de clases, Ausubel menciona dos
dimensiones a considerar, en que cada una dispone de dos tipos de
aprendizaje: Al modo en que se adquiere el conocimiento (por recepción y
por descubrimiento) y a la forma en que el conocimiento es incorporado
en la estructura cognitiva del aprendiz (por repetición y significativo). La
interacción de estas dimensiones es que crea las situaciones de
aprendizaje:
 Recepción repetitiva.
 Recepción significativa.
 Descubrimiento repetitivo.
 Descubrimiento significativo.
Estas situaciones no deben ser pensadas como aisladas, sino
como posibilidades que se combinan en el accionar docente y la actividad
cognitiva del dicente.
SHUELL, T. (1990) postula que en el aprendizaje significativo se
presentan tres fases: Inicial, intermedia y final, las mismas que se pueden
visualizar en el Anexo 29.
En el campo de las TIC, el uso de organizadores para emplearlos
en el Aprendizaje Significativo, puede ser representado por los mapas
conceptuales, debido a que es una herramientas apropiada por presentar
contenidos que respetan el Aprendizaje Significativo, como la
diferenciación progresiva (de ideas generales e incluyentes a las
particulares) y la reconciliación integradora (conocimientos previos se
organizan y adquiere un significado nuevo). Se pueden encontrar en
software como: CmapTools, FreeMind, Edraw yotros; y en Internet en
sitios como: Gliffy.com, bubble.us, cacoo.com,
cmap.ihmc.us/conceptmap.html, etc.
81
Cognitivismo
Es una corriente que aparece a comienzos de la década de 1960
para sustituir las perspectivas conductistas que habían dirigido hasta
entonces la Sicología. Considera que el aprendizaje es un proceso activo
en que interviene el aprendiz, produciéndose a través de la experiencia,
pero a diferencia del Conductismo, no lo concibe como un simple traslado
de la realidad, sino como una representación de la misma, poniendo
énfasis en el modo de tales representaciones, en su almacenamiento y
recuperación en la memoria(estructura cognitiva), en cómo organiza la
información y la reestructura, no reduciéndose al hecho de asimilar sino
de una construcción dinámica del conocimiento.
El cambio del Conductismo al Cognitivismo fue en un escenario de
transición, cuyo enfoque era el Procesamiento de la Información, que
es el centro del Cognitivismo, abarcando postulados conductistas y
cognitivos con un sentido integrador, así como un carácter interactivo y
en la medida de éste toman una determinada dirección. Así surgen
teorías como la del Aprendizaje Social de Bandura, o de contexto como
el Modelo Taxonómico de Gagné.
En el Cognitivismo se identifican tres corrientes: Aprendizaje social,
teorías cognitivas y teorías del Procesamiento de la Información.
Dentro de las teorías cognitivas se identifican a: Gestáltica,
Genética Cognitiva y Genética Dialéctica.
Dentro de la Genética Cognitiva se tienen a las teorías de Ausubel,
Piaget, Bruner y Gagné.
82
Los principales enfoques cognitivistas se exponen a continuación:
Jean Piaget, con su Teoría Genética, que a partir de principios
constructivistas plantea que el conocimiento no se adquiere solamente
por interiorización del entorno social, sino que predomina la construcción
realizada por parte del sujeto.
Bruner, y su teoría del Aprendizaje por Descubrimiento, considera
que el aprendizaje supone el procesamiento activo de la información y
que cada persona lo realiza a su manera, atendiendo selectivamente la
información, la procesa y la organiza de forma particular.
El autor considera que más relevante que la información obtenida,
es la estructura que se forma a través del proceso de aprendizaje,
proponiendo una teoría de la instrucción: Motivación a aprender,
estructura del conocimiento a aprender, la estructura o aprendizajes
previos del dicente y el refuerzo al aprendizaje.
Ausubel, y su teoría del Aprendizaje Significativo, propone una
explicación cognoscitiva del proceso de aprendizaje, tomando en cuenta
la motivación. Considera que el aprendizaje significa organización e
integración en estructura cognoscitiva del estudiante, por lo que un
aprendizaje significativo ocurre cuando la nueva información se relaciona
con lo existente en la estructura cognoscitiva de quien aprende, para
quien es relevante en su conocimiento.
Robert Gagné, y su Teoría Sistémica de la Enseñanza, es la
aplicación resultante de la teoría general de sistemas (que aparece en la
década de 1930) en el campo educativo, describiendo al aprendizaje
como un secuencia de procesos o fases, donde cada una requiere que se
cumplan ciertas condiciones para que el objetivo de aprender tenga lugar.
83
Este modelo de Gagné es un resultante a medio camino entre el
Conductismo, el Cognitivismo y el Procesamiento de la Información.
Gráfico 25: Procesos de aprendizaje – Gagné.
Fuente:Tomado y adaptado de http://www.dipromepg.efemerides.ec/teoria/t4.htm.Teorías del
Aprendizaje de Robert Gagné.
Por:efemérides.ec.
El primer elemento que se enfatiza es establecer las respuestas
que se esperan del estudiante, que se establecen con la formulación de
objetivos, para luego pasar al problema del aprendizaje.
Un Docente en base a la Teoría de Gagné puede crear sus propios
diseños instructivos en función de las necesidades e intereses de los
estudiantes, pudiendo trabajar en software instructivo y que permita
retroalimentación con información y su reforzamiento.
Esta enseñanza es programada al usar las TIC, mediante una
programación secuencial, pudiendo usarse contenidos multimediales
propias en el computador y/o combinadas con recursos multimedias en
Internet, dependiendo en ambos casos de lo que se vaya a utilizar. Por
ejemplo: Usar presentador como PowerPoint con recursos multimedia
(voz, video, imagen) constituye una motivación, a su vez pueden activarse
conocimientos previos y generar los nuevos, valerse de paseos virtuales
como usar el Google Maps, etc.
84
Lo principal es la selección y orden de los contenidos, así como las
estrategias de enseñanza, siendo el producto informático de utilidad para
el Docente, no de sustitución del enseñante.
La Teoría de la forma de Gestalt, es una organización entre el
estímulo y la respuesta del Conductismo, ya que los conductistas
consideran al ambiente como una serie de estímulos independientes, y
los gestalistas consideran los fenómenos percibidos como formas
organizadas, no agrupaciones sensoriales.
En esta corriente, el hombre percibe la realidad conforme a
estructuras y no de manera independiente del contexto, porque en
principio se aplicó a la percepción, pero luego se utilizó en el aprendizaje.
La frase “el todo es más que la suma de las partes” le es asignada
a esta teoría, dado que los objetos y los acontecimientos se perciben
como un todo organizado, la organización básica comprende una figura
en un fondo, es decir que hace hincapié en cómo el ser humano percibe
las figuras, las palabras o representaciones de un mensaje, por tanto
cómo se percibe en la mente un objeto.
Como el ser humano utiliza la percepción en el aprendizaje, los
adeptos a esta corriente manifiestan que el aprendizaje humano es por
insight, que significa el paso de la ignorancia al conocimiento, que ocurre
con rapidez, de repente, donde la solución de los problemas se presenta
al visualizarlos en un todo.
85
Gráfico 26: Teoría de la Gestalt.
Fuente:Tomado de
http://cmapserver.unavarra.es/servlet/SBReadResourceServlet?rid=1160673344384_181696222_84805&partN
ame=htmljpeg. Teorías del Aprendizaje de Robert Gagné.
Por:Universidad Pública de Navarra.
Sus principios son:
 Relación entre figura y fondo, cualquier campo perceptual
puede dividirse en figura contra un fondo, diferenciándose a
la primera por tamaño, color, posición, etc.
Gráfico 27: Relación entre figura y fondo – Gestalt.
Fuente:Tomado de
http://www.imageandart.com/tutoriales/morfologia/leyes_gestalt/imagenes/figura_01.jpg.
Por:Milko García.
 De la buena forma, los elementos en una imagen son
organizados en figuras lo más simétricas, regulares y
estables que sea posible.
86
Gráfico 28: De la buena forma – Gestalt.
Fuente:Tomado de http://w ww.guillermoleone.com.ar/6.gif.Leyes de la Gestalt.
Por:Guillermo Leone.
 Proximidad, los grupos de elementos se perciben asociados
por su proximidad entre sí.
Gráfico 29: Proximidad – Gestalt.
Fuente:Tomado de
http://www.imageandart.com/tutoriales/morfologia/leyes_gestalt/imagenes/figura_01.jpg.Las
leyes de la Gestalt.
Por:Milko García.
 De similitud, los elementos que poseen cualidades similares
son percibidos como parte de la misma forma.
Gráfico 30: De similitud – Gestalt.
Fuente:Tomado de
http://www.imageandart.com/tutoriales/morfologia/leyes_gestalt/imagenes/figura_01.jpg.Las
leyes de la Gestalt.
Por:Milko García.
 De contraste, la posición relativa de diferentes elementos
incide sobre atribución de cualidades en los mismos.
Gráfico 31: De contraste – Gestalt.
Fuente:Tomado de
http://www.imageandart.com/tutoriales/morfologia/leyes_gestalt/imagenes/figura_01.jpg.Las
leyes de la Gestalt.
Por:Milko García.
87
 De dirección común, aquellos elementos que parecen
construir un patrón común en una misma dirección se
perciben como una figura.
Gráfico 32: De dirección común – Gestalt.
Fuente:Tomado de
http://2.bp.blogspot.com/_FGdFv7AS4_o/STQSfwno_vI/AAAAAAAAAOk/sRfBjCVIzgw/s40
0/TEORIA+DE+LA+GESTALT.jpg.Teoría de la Gestalt.
Por:Harold Bonilla.
 De simplicidad, la persona organiza sus campos
perceptuales con rasgos simples y regulares.
Gráfico 33: De simplicidad – Gestalt.
Fuente:Tomado de
http://www.imageandart.com/tutoriales/morfologia/leyes_gestalt/imagenes/figura_01.jpg.Las
leyes de la Gestalt.
Por:Milko García.
 De cierre, es la tendencia a percibir formas completas.
Gráfico 34: De cierre – Gestalt.
Fuente:Tomado de
http://www.imageandart.com/tutoriales/morfologia/leyes_gestalt/imagenes/figura_01.jpg.Las
leyes de la Gestalt.
Por:Milko García.
Se puede usar esta teoría a nivel de demostración, comparación e
investigación, y al reforzar con el uso de las TIC como medio didáctico,
se gana objetividad en el proceso educativo.
88
Un campo donde puede aplicarse, es en el desarrollo de un
software o un sitio web, en el que se deben manejar patrones de diseño,
donde uno es el orientado a la funcionalidad y el otro a la usabilidad. Otro
espacio es en el Diseño Gráfico, sea para imágenes estáticas o en
movimiento, el diseño de videos, presentaciones con diapositivas,
interacciones de usuario, etc.
La teoría del Aprendizaje por Descubrimiento de Jerome
Bruner, también se lo conoce como Aprendizaje Heurístico, se
fundamenta en la construcción del conocimiento ubicando al estudiante
en situación de aprendizaje problémico, de modo que aprende
descubriendo.
En la siguiente imagen se visualiza las condicionantes prácticas en
esta teoría:
Gráfico 35: Condiciones de Aprendizaje por Descubrimiento.
Fuente:Tomado de
http://cmapspublic.ihmc.us/rid=1146609284203_1636522669_13567/CONDICIONES%20DE%20APRENDIZAJ
E%20POR%20DESCUBRIMIENTO.cmap?rid=1146609284203_1636522669_13567&partName=htmljpeg.Ensa
yo sobre las Teorías Educativas.
Por:Lenny Simosa (2010).
89
El descubrimiento debe ser guiado por el Docente en una
exploración motivada por la curiosidad, mediante la entrega de un
material adecuado (andamiaje) y el estímulo a los aprendices a descubrir
en un modo activo, requiriendo en los mismos un pensamiento inductivo.
Este andamiaje busca: Superar los límites de un aprendizaje
mecánico, estimular al estudiante para que formule suposiciones a
comprobar después sistemáticamente, potenciar estrategias
metacognitivas y el aprender a aprender, y estimular la autoestima y la
seguridad.
Con Vygotsky y Ausubel coincide en la importancia del papel de la
actividad y el andamiaje, pero enfatiza la experiencia personal del
estudiante para aprender.
En la siguiente imagen se visualiza mejor esta teoría.
Gráfico 36: Aprendizaje por Descubrimiento.
Fuente:Tomado de http://w ww.todomonografias.com/images/2007/05/105794.gif.Aprendizaje por
descubrimiento.
Por:todomonografias.com.
90
Con las TIC, se puede utilizar:
 Software como Micromundos EX, Alice, FisLab, BlockCAD.
 Software de modelado como PyMOL, Stella, ER Visual.
 Sitios en Internet de simulación:
o http://intercentres.cult.gva.es/iesleonardodavinci/fisica
/Animaciones.htm
o http://www.virtual-u.org/index.asp
 Webquest, para la indagación, investigación y descubrimiento
vía web por Internet. Como en:
o http://zunal.com/
o http://www.webquest.es/
 Plataformas educativas que permiten utilizar herramientas de
trabajo en grupo como Moodle, Dokeos, Claroline.
 Organizadores gráficos en línea para trabajo colaborativo como
Knowledge Master, Dropmind, en Internet como:
http://classtools.net,http://www.mind42.com,
http://www.mindmeister.com/es,https://bubbl.us/
 Utilizar software de grupo en Internet, como en Zoho, Google y
hasta las redes sociales, debidamente usadas.
o http://www.ase.org.uk/home/
o http://www.iearnlatina.org/
o http://www.nuevaalejandria.com/maestros/clases/
o http://www.epals.com/
La teoría de las Inteligencias Múltiples(1983) de Howard
Gardner, tal como se ha tratado anteriormente, no es de concepción
única, y es definida como diferentes áreas del cerebro que se encuentran
conectadas entre sí pudiendo trabajar en conjunto de un modo semi-
autónomo, desarrollándose en distinto grado según el ambiente que
presten las condiciones para ello.
91
Dado que existen mentalidades diferentes, también existen
distintos modos de comprender la realidad:
Gráfico 37: Inteligencias Múltiples.
Fuente:Tomado de
http://2.bp.blogspot.com/_W4w O7qpzNEs/TAWiAin4vaI/AAAAAAAAAAc/fqyACf7prjQ/s1600/Inteligencias+M
%C3%B9ltiples.jpg.
Por:autor anónimo.
La tecnología estimula la inteligencia, por lo que al usarla en un
proceso educativo en base a un objetivo de aprendizaje, es que se
determina la tecnología y su relación con la inteligencia, en base a la
facilidad y acceso a la información por diferentes canales (sonido, video,
texto, imagen, interactividad) y construyendo individual o colectivamente
en un modo participativo o colaborativo de manera virtual o en aula. La
siguiente imagen permite observar cómo emplear las TIC.
92
Gráfico 38: Inteligencias Múltiples y TIC.
Fuente:Tomado de
http://www.totemguard.com/aulatotem/images/Mapa_Conceptual_How ard_Gardner_recursostic.png.Mapa
conceptual: Recursos TIC para desarrollar las inteligencias Múltiples de How ard Gardner.
Por:Meritxell Sánchez (2011).
Conectivismo
El Conectivismo es una teoría de aprendizaje para la era digital
que se basa en el análisis de las limitaciones del Conductismo, el
Cognitivismo y el Constructivismo, integrando los principios explorados
por las teorías del caos, redes neuronales, complejidad y auto-
organización.
93
Entendiendo el aprendizaje como un proceso que ocurre dentro de
diversos ambientes que no están necesariamente bajo el control de una
persona, el conocimiento (entendido como aplicable) puede residir fuera
del ser humano, por ejemplo dentro de una organización o una base de
datos, enfocándose en la conexión especializada a esta información, que
permite aumentar el conocimiento actual que se disponga.
SIEMENS, G. (2004) y DOWNES, S. (2007), son los principales
representantes de esta teoría que pretende explicar cómo las nuevas
tecnologías condicionan la forma en que se producen los aprendizajes,
concibiendo al aprendizaje como un proceso de formación de redes,
presentándose una analogía entre las redes neurales, es decir, la forma
en que se conectan nuestras neuronas para la transferencia de
información, y las redes informáticas.
Siemens se refiere a que una red tiene como mínimo dos
elementos: Nodos y conexiones, donde un nodo puede ser conectado a
otro, y una conexión es cualquier vínculo entre nodos. Estos últimos no se
refieren únicamente a personas sino que pueden ser organizaciones,
bibliotecas, bases de datos,…; en fin, cualquier fuente de información, lo
que implica que las posibilidades de conexión son innumerables.
El aprendizaje por tanto se presenta en la construcción de redes de
nodos relevantes, siendo el conocimiento un producto de las interacciones
físicas y virtuales. El Conectivismo se sustenta en la relación entre el
estudiante y el conocimiento mediado de las TIC.
94
Gráfico 39: Conectivismo.
Fuente:Tomado de http://aplicacionestic2rafaela.files.wordpress.com/2011/08/conectivismo4.jpg.Mapa
Conceptual Conectivismo.
Por:Vanina Villarroel(2011).
Las teorías de aprendizaje se movieron hacia la era digital,
derivándose de esto una nueva competencia. El caos es una realidad
para cualquier trabajador del conocimiento, que al tratarse con saberes,
reconoce la conexión de todo con todo, lo que impacta fuertemente en lo
que se aprende y en el cómo, y un indicador de ello es la toma de
decisiones al respecto, ya que si las condiciones cambian la decisión ya
no es la misma, por lo que se debe desarrollar la habilidad de reconocer y
ajustarse a los cambios en un patrón de aprendizaje ya definido en otro.
La auto-organización a nivel personal es un micro proceso de
construir conocimiento en base a construcciones de conocimiento auto-
organizado más grandes, lo que hace que se creen estructuras
espontáneas en el momento que se requiera, desarrollándose una
capacidad de formar conexiones entre fuentes de información.
95
Gráfico 40: Concepción del Conectivismo.
Fuente:Tomado de http://2.bp.blogspot.com/-eXmUDBPAUMc/TX1ebWqFODI/AAAAAAAAABY/lO5B9U-
ZLLU/s1600/Conectivismo.jpg.
Por:autor anónimo.
96
Los Principios en que se sustenta el Conectivismo, para George
Siemens, son los siguientes:
Principios del Conectivismo por George Siemens
 El aprendizaje y el conocimiento yace en la diversidad de
opiniones.
 El aprendizaje es el proceso de conectar nodos o fuentes de
información.
 No sólo los humanos aprenden, el conocimiento puede residir
fuera del ser humano.
 La capacidad de aumentar el conocimiento es más importante que
lo que ya se sabe.
 Es necesario nutrir y mantener las conexiones para facilitar el
aprendizaje continuo.
 La habilidad para ver las conexiones entre los campos, ideas y
conceptos es primordial.
 La información actualizada y precisa es la intención de todas las
actividades del proceso conectivista.
 La toma de decisiones es en sí misma un proceso de aprendizaje.
Escoger qué aprender y el significado de la información entrante
es visto a través de la lente de una realidad cambiante. Es posible
que una respuesta actual a un problema esté errada el día de
mañana bajo la nueva información que se recibe.
Cuadro 5:Principios del Conectivismo por George Siemens.
Fuente: http://es.w ikipedia.org/w iki/Conectivismo.Adaptado de la fuente mencionada.
Elaborado por: LSI Jorge Vera Mosquera.
97
Los Principios en que se sustenta el Conectivismo, para Stephen
Downes, son los siguientes:
Principios del Conectivismo por Stephen Downes
Autonomía, hace referencia a los nodos individuales de las redes
autónomas. La persona decide sus metas y objetivos, su software, si se
conecta, qué toma en cuenta de lo encontrado, etc.
Diversidad, se refiere a que los miembros de la red son diferentes unos
de otros. Existen tipos de conexiones, estados diferentes de conexión,
distintos lugares físicos en que se encuentra, idioma diferente, software
para escoger, tomar distintos recursos, etc.
Apertura, es la presencia de una libre comunicación dentro y fuera de la
red, existe facilidad de adherirse como de salir de una red, existe
comunicación, facilidad para unirse en comunidad, participar en
actividades, etc.
Interacción/Conexión, es el conocimiento resultante de conectarse como
resultado de una dinámica conectivista, ya que el saber no es
simplemente distribuido, sino que emerge de una conducta comunicativa
de conjunto.
Cuadro 6:Principios del Conectivismo por Stephen Dow nes.
Fuente: http://halfanhour.blogspot.com/2009/02/connectivist-dynamics-in-communities.html.Adaptado de la
fuente mencionada.
Elaborado por: LSI Jorge Vera Mosquera.
El cómo se obtenga la información es más importante que lo se
sabe hoy. Un reto de aprendizaje es activar el conocimiento en el
momento y lugar que se necesita, por lo que la habilidad de disponer del
mismo cuando es desconocido, se refleja al conectarse con fuentes de
información, y más aún cuando los saberes aumentan y evolucionan
como en la actualidad.
98
El Conectivismo tiene su base en la Web 2.0, ya que permite
conjugar aprendizaje, Educación, centro de estudio, trabajo y hogar con
software fácil de manejar, por lo que se habla de aprendizaje 2.0. Al
respecto, (JOHNSON, D., 1992) y (LUNDVALL, B., 2002) describen los
modelos aplicantes al respecto así:
Aprendizaje 2.0
Modelo Característica
Aprender haciendo Son aquellas herramientas que permiten al
estudiante y/o Docente la lectura y escritura en
Web, con el principio de ensayo-error.
Aprender interactuando Es el uso de plataformas de manejo de contenidos,
que disponen de hipervínculos, posibilidad de
intercambiar ideas, significando comunicación entre
pares.
Aprender buscando Es lo que se realiza antes de escribir un trabajo,
ensayo o ejercicio, buscando fuentes para obtener
información.
Aprender compartiendo Es la idea de compartir información, conocimiento y
experiencia, siendo un proceso que permite el
aprendizaje colaborativo, teniendo en claro que
tener acceso a información no es aprender, sino
que la instancia de compartir objetos de
aprendizaje que contribuyen significativamente al
proceso educativo.
Aprender siendo (SEELY, J., 2008)Destaca que en comunidad se
puede aprender a aprender y aprender a ser
participantes legítimos. Se toman compromisos con
las prácticas y normas de una profesión, creándose
comunidades de experiencia práctica como grupo
social para un conocimiento especializado,
dándose el proceso de aprendizaje por medio de la
participación en un grupo de personas con
experiencia.
Cuadro 7: Aprendizaje 2.0.
Fuente: http://www.iniciativ asocial.net/?p=288#sdf ootnote3sy m. Adaptado de la f uente mencionada.
Elaborado por: LSI Jorge Vera Mosquera.
99
Estas innovaciones tecnológicas de la Web 2.0 facilitan la relación
Docente-estudiante, fortaleciendo la producción de conocimientos debido
a que representan estrategias centradas en los aprendices, que los
motiva a aprender de un modo diferente y familiar, sobre todo por las
grandes posibilidades que ofrecen las herramientas en red.
Gráfico 41: Aprendizaje en el siglo XXI.
Fuente:Tomado de http://w ww.iniciativasocial.net/wp-content/uploads/bucio2.jpg.Aprendizaje en el
siglo XXI.
Por:Pablo Navajo (2010).
Paradigma Sharista
El blogger (quien utiliza blogs-bitácoras) y emprendedor chino
Isaac Mao en el libro FREESOULS(MAO, I., 2008), del empresario y
fotógrafo Joi Ito, director de Creative Commons, publica un artículo:
Sharism: A Mind Revolution (Sharismo: Una Revolución de la Mente),
donde concibe que el sharismo (o compartismo, derivado de la palabra
share en inglés),donde hace notar que el Sharismo es el espíritu de la
Web 2.0, por el hecho de poder compartir, haciendo del mundo un gran
cerebro social, un híbrido de personas y software. Esta teoría es parte de
la corriente del Conectivismo.
100
Se fundamenta en la neurociencia y en el estudio del
funcionamiento del cerebro. Como todas las neuronas funcionan bajo el
principio de conectar y compartir, el cerebro es abierto, por lo que una red
neuronal existe con la finalidad de compartir actividad e información, por
lo que este modelo debe servir para inspirar ideas y tomar decisiones
sobre redes humanas de colaboración. Surge en medio de las
aplicaciones Web 2.0, como resultado del uso de los blogs que plasman
y comparten conocimiento en la Internet. Es un socioculturalismo
electrónico.
Gráfico 42: Aplicaciones Web 2.0.
Fuente:
http://cmapspublic2.ihmc.us/servlet/SBReadResourceServlet?rid=1199391699483_6817024_9065&part
Name=htmltext.Aplicaciones 2.0.
Por:Dr. Juan Haro (2008).
Hereda ideas de:
 Conectivismo en aprendizaje.
 Intercreatividad (Berners-Lee).
 Inteligencia colectiva (Lévy).
 Multitudes Inteligentes (Rheingold).
 Sabiduría de las Multitudes (Surowiecki).
 Arquitectura de la Participación (O’Reilly).
101
Se fundamenta en el aprendizaje colaborativo u organizacional,
desde las teorías del Knowledge Management (Gestión del Conocimiento)
que reconoce a la colaboración como la herramienta más potente entre
las disponibles para aprender. Vale resaltar que está en los planes de las
iniciativas culturales orientadas al futuro, en el plano mundial.
Gráfico 43: Inteligencia distribuida en grupo.
Fuente:http://biankahajdu.files.wordpress.com/2009/12/cerebro.jpg?w=500&h=294. Sharismo.
Por:Bianka Hajdu (2009).
La importancia del trabajo en red y el empleo de redes sociales
para comunicarse y cooperar, alimentan el “espíritu sharista” cuya práctica
es continua, despertándose la creatividad, salvaguardando los derechos
que el mismo público participativo respeta y ante lo contrario estarán los
tribunales, que puede que al darse cuenta una persona de la utilidad de
su conocimiento compartido puede olvidarse de su derecho de propiedad,
que de querer mantenerlo lo puede hacer al momento de compartir.
Por lo anterior, igualmente si se desea puede darse el
consentimiento propio, re-compartiendo así en ecosistemas en línea con
licencias reconocidas por seres humanos y computadores.
102
Por lo expuesto, puede avizorarse que el flujo de información entre
las personas será más flexible y productivo, ampliándose así las redes
colaborativas dedicadas a compartir, creándose un nuevo orden social, a
lo que el autor denomina: Una Revolución de la Mente.
Ambiente personal de aprendizaje
En el Conectivismo en si, como parte del marco de aprendizaje es
importante disponer de un ambiente personal de aprendizaje para el
estudiante (APA, o PLE - Personal Learning Environment), para que
genere conexiones que permitan su autoaprendizaje y su aprendizaje
colaborativo.
Este APA debe facilitar al aprendiz lo siguiente: Buscar, filtrar,
organizar, generar contenidos, compartir y poder comunicarse/conversar,
es decir disponer de un conjunto de herramientas, servicios y conexiones
que emplee para alcanzar metas de un modo autónomo que se
relacionan con su alcance de competencias relacionadas con su proceso
educativo.
El Aprendizaje Permanente de la era actual demanda sobretodo
dos competencias básicas fundamentales: Competencias digitales y
aprender a aprender. Esto incluye tanto a Docentes como a estudiantes,
es decir, un Docente también debe disponer de su APA. Estas
competencias digitales pueden visualizarse aquí:
103
Gráfico 44: Competencias digitales en el Conectivismo
Fuente:Tomado de http://eaprendizaje.files.wordpress.com/2010/04/competencias-
digitales.png.Competencias Digitales y Conocimiento Abierto.
Por:Lara Tíscar (2009).
ADELL, J. (2010) En su charla sobre “el diseño de actividades
didácticas con TIC”, en JEDI 2010, Bilbao, menciona que las
competencias digitales se componen al momento de cinco dimensiones:
1. Alfabetización Informacional, donde la información es tratada para:
Definir, acceder, gestionar, integrar, evaluar, crear y comunicarla;
en base a tres dimensiones en la persona: Cognitiva, técnico y
ética-legal.
2. Alfabetización tecnológica, que significa comprender y utilizar las
TIC para acceder, crear y compartir en diversidad de formatos.
3. Alfabetizaciones múltiples, que es:
a. Usar lenguajes específicos: Textual, numérico, icónico,
visual, gráfico, sonoro.
b. Interpretar, comunicar, expresar y crear mensajes
multimedia.
104
4. Competencia cognitiva, que significa:
a. Habilidades cognitivas de alto nivel: Análisis, síntesis,
evaluación, etc.
b. Capacidad de resolución de problemas.
5. Ciudadanía digital, que es:
a. Actitud crítica y reflexiva ante la información que se recibe.
b. Comprender el impacto social y económico de la tecnología.
c. Usar la tecnología de forma autónoma y responsable.
d. Evaluar información y tecnologías.
e. Respetar las leyes.
ADELL, J. & CASTAÑEDA, L. (2010) Definen al APA como “el
conjunto de herramientas, fuentes de información, conexiones y
actividades que cada persona utiliza de forma asidua para aprender”
(página 7).
Al Desarrollo Profesional Docente (DPD) hay que darle también un
enfoque de un proceso de adquisición de información a un proceso de
aprendizaje socio-cultural basado en la participación y en la reflexión
crítica, que ha sido fortalecido, innovado y en constante crecimiento
debido a la presencia de las TIC, siendo una vía básica en esto un APA,
que entre sus bondades implica la interacción y comunicación de un
Docente con sus pares.
El Docente toma un rol, cuyas actividades, tácticas y herramientas
se pueden visualizar en el Anexo 30, y a su vez, debe tomar en cuenta
ciertas orientaciones, que debido al fenómeno social significativo de la
Internet, se han creado una serie de alternativas ilimitadas, por lo que se
sugiere considerar lo siguiente, planteado por HERNÁNDEZ, A. (2008):
105
Orientaciones para el diseño de Experiencias de Aprendizaje
Gráfico 45: Orientaciones para el diseño de Experiencias de Aprendizaje.
Fuente:Tomado de http://w ww.monografias.com/trabajos62/experiencias-aprendizaje-era-
digital/experiencias-aprendizaje-era-digital2.shtml#xorient. Experiencias de Aprendizaje en la era digital:
Algunas orientaciones para su diseño.
Por:Ana Hernández de Dolara (2008).
Donde las experiencias se centran en el estudiante, quien es el
responsable de su propio aprendizaje, teniendo que encontrar, producir y
compartir conocimientos, por tanto compone sus propios contenidos en
base a las herramientas y recursos que se deben contemplar en la
Experiencia de Aprendizaje.
De igual modo, el Educador debe a su aprendiz enseñarle a
construir su ambiente: Armando su red, guiándolo en este proceso de
forma que pueda comunicarse con los demás, descubra y organice la
información que se encuentra en la red de redes.
ADELL, J. & CASTAÑEDA, L. (2011) Postulan en su exposición del
30 de junio en el Congreso E-DUCA llevado a cabo en CITA de la
fundación GSR, Peñaranda-España, que el DPD debe contemplar tres
puntos importantes:
106
1. Cambios en las ideas sobre enseñanza-aprendizaje.
2. Cambios en las prácticas docentes.
3. Mejora en los resultados de aprendizaje de los estudiantes.
Significando en el Docente:
DPD – significados a considerar
Una Implicación intelectual y emocional propia.
Analizar y cuestionar las propias ideas y prácticas.
Trabajar en grupo y en el centro educativo en un contexto muy
complejo.
Concebir que la carrera docente es un marco imposible de ignorar.
El Docente ha sido “desprofesionalizado” (uso de libro de texto) y
burocratizado (la complejidad del conocimiento actual).
Cuadro 8:DPD - significados a considerar.
Fuente:http://w w w .slideshare.net/citafgsr/jordi-adell-y-linda-castaeda-el-desarrollo-profesional-de-los-
docentes-en-la-era-internet-entornos-personales-de-aprendizaje-ple.Adaptado de la fuente mencionada,
diapositivas 11 a 16.
Elaborado por: LSI Jorge Vera Mosquera.
Debiendo contemplarse:
DPD – contemplaciones a considerar
Existen dos paradigmas: Cognitivo y Socio-Cultural, que difieren
mucho.
En el propio concepto del conocimiento: Es un producto estático a
un proceso dinámico.
En la metáfora del aprendizaje: De conducto sustancial a
participación.
El conocimiento “reside en”: La cabeza de expertos y Docentes a
ser distribuido.
La metodología de enseñanza: Expositiva, instruccional a
experiencial, participativa.
107
Contexto de la formación: Curso, presencial o aprendizaje
electrónico fuera del aula a cualquier momento o lugar,
comunidades de práctica (incluyendo virtuales).
¿Quién enseña?: Expertos externos al centro educativo y al grupo
(con entradas externas).
Proceso previsto: Ignorancia, adquisición de conocimientos,
aplicación práctica y participación legítima periférica, miembro
activo de la comunidad, creador del conocimiento.
Cuadro 9:DPD - contemplaciones a considerar.
Fuente:http://www.slideshare.net/citafgsr/jordi-adell-y-linda-castaeda-el-desarrollo-profesional-de-los-
docentes-en-la-era-internet-entornos-personales-de-aprendizaje-ple. Adaptado de la fuente
mencionada, diapositivas 17 a 24.
Elaborado por:LSI Jorge Vera Mosquera.
Por lo que las estrategias efectivas del DPD se deben basar y
orientar en:
DPD – estrategias
Resolución de problemas.
Ofrecer oportunidades para que los Docentes trabajen juntos y
con expertos.
Facilitar la exposición de los Docentes a innovaciones en:
Conocimientos, prácticas de la enseñanza y tecnologías de
apoyo.
Capacitar a los Docentes para probar nuevas estrategias y
habilidades.
Facilitar la reflexión sobre la propia práctica y la discusión
orientada a un propósito.
Cuadro 10:DPD - estrategias.
Fuente:http://www.slideshare.net/citafgsr/jordi-adell-y-linda-castaeda-el-desarrollo-profesional-de-los-
docentes-en-la-era-internet-entornos-personales-de-aprendizaje-ple.Adaptado de la fuente
mencionada, diapositivas 17 a 24.
Elaborado por:LSI Jorge Vera Mosquera.
Aquí resulta importante el uso de un APA docente, que se distancia
mucho de un tradicional, que es el que contempla libros, apuntes,
enciclopedias, etc., a un Docente en red.
108
Las fuentes de aprendizaje varían. Así vale notar dos ilustraciones
gráficas planteadas por COURUS, A. (2008):
Gráfico 46: Docente en red.
Fuente:Tomado de http://w ww.slideshare.net/courosa/cnie-presentation-
379583.CNIE Presentation, diapositiva 11.
Por:Alec Couros (2008).
Hasta un Docente en red:
Gráfico 47: Docente conectado en red.
Fuente:Tomado dehttp://www.slideshare.net/courosa/rethinking-teaching-learning-in-a-networked-
reality.Rethinking Teaching & Learning in a Netw orked Reality, diapositiva 25.
Por:Alex Couros (2010).
Ante lo que un enseñante, como lo manifiesta (COUROS, A.,
2009)en su presentación plenaria en MoodleMoot, Canadá, del 3 de abril:
109
Un Docente en red
Se convierte en aprendiz de nuevo.
Debe de aprender el uso de las herramientas tecnológicas.
Absorber el medio.
Participar en eventos.
Encontrar una guía para estar en red.
Explorar comunidades en línea.
Ser crítico, con mente abierta.
Compartir lo aprendido.
Cuadro 11:Un Docente en red.
Fuente:http://www.slideshare.net/courosa/knock-down-the-walls-toward-a-model-of-open-
teaching.Adaptado de la fuente mencionada, diapositiva 37.
Elaborado por:LSI Jorge Vera Mosquera.
En la siguiente imagen vale notar las distintas posibilidades de una
red de aprendizaje personal:
Gráfico 48: Red personalde aprendizaje.
Fuente:http://edtechpost.w ikispaces.com/file/view /MyPLN.png/256240556/MyPLN.png.PLE Diagrams.
Por: Jaime Oyarzo (2011).
110
Al observar esta imagen se afirma lo que Jordi Adell estima que un
PLE debe tener:
1. Herramientas y servicios que la persona elige.
2. Recursos o fuentes de información.
3. Una red personal de aprendizaje.
Los Entornos virtuales personales en Internet siempre han
existido, desde el momento que se tomó presencia en el ciberespacio, en
la forma que sea, el asunto está en qué y cómo se conjuntan estos
entornos de información, investigación, relación, colaboración y
participación, para obtener un propio APA. Vale recalcar que estos
escenarios no son fijos, y que mas bien se encuentran en constante
evolución dado que la Web se innova, existiendo ya una proyección de la
presencia de la Web 3.0 cuya notoriedad se asentará en poco tiempo.
Teorías de aprendizaje y tic
Gráfico 49: Conductismo, Cognitivismo, Constructivismo y Conectivismo.
Fuente: Tomado y adaptado de http://3.bp.blogspot.com/_4qPTgHl_Pw8/TUXlGkF-
VoI/AAAAAAAACLY/NY22E45866A/s1600/20110205_Modelos_pedag%25C3%25B3gicos.jpg. Nuevas tendencias y
perspectivas de futuro para la Educación Superior.
Por: Paco Tarnera (2011).
111
Cada práctica educativa ha sido y es influenciada en su momento
por un modelo, y aquello en una forma u otra influye en la práctica
docente, llámesele por costumbre, experiencia, concepción personal, etc.
Estas corrientes son: Conductismo, Cognitivismo, Constructivismo y
Conectivismo, en que las tres primeras recibieron un enfoque de diseño
instruccional en su relación con las TIC, en su tiempo.
En la imagen siguiente se nota cómo se relacionan las diferentes
teorías del aprendizaje, basadas en las preguntas de ERTMER, P. &
NEWBY, T. (1993), utilizando las preguntas SCHUNK, D. (1991) más dos
preguntas que ellos crearon para distinguir cada teoría de aprendizaje,
presentándose al Cognitivismo como última columna debido a que fue
una corriente posterior a las restantes.
Gráfico 50: Conductismo, Cognitivismo, Constructivismo y Conectivismo - Preguntas Ertmer y New by.
Fuente:Tomado de
http://teduca3.wikispaces.com/file/view/ComparacionTeorias.JPG/187311943/ComparacionTeorias.JPG.
Por:George Siemens.
112
Didáctica
La palabra didáctica viene del griego didastékene que significa
didas- enseñar y tékene- arte, por lo que puede decirse que es el “arte de
enseñar”.
La acción educativa requiere de una teoría y una práctica, donde la
primera la proporciona la Pedagogía o la Andragogía según el caso, y la
segunda lo hace la Didáctica, es decir el “cómo hacerlo”.
La teoría y la práctica deben estar unidos en el proceso
enseñanza-aprendizaje u orientación-aprendizaje de un modo sistemático,
concibiendo la actividad de aprender como un trabajo metódico y
consciente bajo el direccionamiento del Docente, en su calidad de
facilitador, mediador, guía u orientador.
En medio de esto se presentan principios didácticos que
determinan el quehacer docente, y estos a su vez determinan reglas
didácticas de carácter general y específico de acuerdo a la disciplina o
asignatura a tratar.
La importancia que en la Universidad se produzca y se distribuya el
conocimiento, ha creado un reorganización sociocultural que redefine los
roles de los profesionales, y entre ellos el del Docente.
La respuesta ante lo mencionado es la Didáctica Universitaria,
cuyo desarrollo tiene pocas décadas a la fecha, debido a la ausencia de
su existencia por la concentración de estudio en las otras didácticas.
Podría conceptuársela como lo define DÍAZ, D. (1999) como
aquella “Didáctica especial comprometida con lo significativo de los
113
aprendizajes del futuro profesional, con su desarrollo personal y con el
potencial de su inteligencia en función de las exigencias del contexto
socio-político“(página 111).
Las personas que llegan regularmente a estudiar en la Universidad
son consideradas jóvenes-adultas, por lo que considerar la Educación en
adultos es tomar en cuenta a la Andragogía (del griego andros “ser
humano, persona mayor” y ago “conducir, guiar”), donde el aprender a
aprender significa un aprendizaje andragógico.
El protagonismo de este estudiante es totalmente diferente al de
etapas anteriores de vida, debido a que tiene necesidades y objetivos
personales diferentes y puntuales regularmente, sea para seguir una
Educación formal o informal. La tarea docente en este caso es “enseñar a
aprender” y la del joven-adulto es “aprender a aprender”.
Las estrategias didácticas a emplearse a nivel superior, deben ser
metacognitivas, es decir basarse en la metacognición, que es el
conocimiento de uno mismo, el “cómo aprendo”, para que siendo
consciente de aquello controle y maneje sus propios procesos mentales.
La estrategia metacognitiva permite la fusión entre el conocer
(cognición) y el aprender (la meta) de un modo consciente, lo que significa
que sabe lo que sabe, explica lo aprendido y sobretodo sabe cómo seguir
aprendiendo.
El acto didáctico
El acto didáctico o educativo, define la actuación del Docente para
facilitar el aprendizaje de los estudiantes, para lo cual emplea estrategias
de enseñanza que deben manifestarse en actividades dirigidas y
114
adaptadas al aprendiz, empleando los recursos disponibles y los
contenidos objetos de estudio.
De igual modo, determina el uso de metodologías y medios en
función de una organización concreta, facilitando al estudiante la
información oportuna, así como la motivación y orientación del caso.
Las actividades de enseñanza están unidas a los procesos de
aprendizaje, que mediante las indicaciones del enseñante el educando
realiza.
En este último punto, son los medios didácticos los que facilitan la
interacción facilitadora del aprendizaje, así como la información de los
aprendices, siendo esto determinado por el escenario de aprendizaje que
se halla armado como experiencia para aprender, ya sea en un entorno
presencial, semi-presencial, a distancia o virtual.
Gráfico 51: Aprendizaje con TIC.
Fuente:http://peremarques.pangea.org/actodid.htm.La enseñanza, buenas prácticas, la
motivación.
Por:Pere Marqués (2011).
El recurso didáctico contribuye a proporcionar información al
estudiante, técnicas y motivación para su aprendizaje, dependiendo su
eficacia del modo en que el Docente guíe su uso en el marco estratégico
115
didáctico que utilice, siendo el acto de enseñar un acto de comunicación,
en el que se comparte conocimientos, experiencias, sentimientos, ideas,
valores y creencias propios de la cultura de determinado grupo social, lo
que reafirma que la comunicación didáctica es fundamental en un proceso
de aprendizaje.
En un sentido amplio los recursos didácticos abarcan a los
materiales y los medios que se emplean en el proceso educativo, que
sirven para una experiencia sensorial en el aprendiz, pudiendo ser
didácticos o usarse didácticamente. En la siguiente imagen se puede
apreciar una clasificación al respecto.
Gráfico 52: Clasificaciónde los recursos didácticos.
Fuente:http://peremarques.pangea.org/uabpp/recurdid.JPG.Los medios didácticos.
Por:Pere Marqués (2011).
La estrategia didáctica es el conjunto de actividades (acciones)
que el Docente establece con una intención clara y precisa de alcanzar
los objetivos educativos, de modo que los estudiantes transiten en
caminos ya instaurados por él, de tal manera que junto a ellos, puedan
construir y reconstruir el conocimiento, en función de los contenidos ya
implantados.
116
Gráfico 53: Etapas de la estrategia.
Fuente:http://www.rieoei.org/imgexpe/escala02.gif.Aprendizaje/Interacción.
Por:Leticia Báez (2008).
Puede ser:
 Desde la perspectiva del aprendiz, de aprendizaje y
 Desde la perspectiva del Docente, de enseñanza.
Así, se pueden visualizar estrategias de aprendizaje con el empleo de
las TIC, tratando:
 Herramientas tecnológicas o estrategias metodológicas para dirigir,
controlar y evaluar la forma de aprender:
o Aprendizaje autónomo.
o Trabajo colaborativo.
o Trabajo sincrónico.
o Trabajo asincrónico.
117
Gráfico 54: Estrategias de aprendizaje con TIC.
Fuente:http://1.bp.blogspot.com/-kkM3wUAoWsk/TfglD-
giPQI/AAAAAAAAAA0/tObm2JSuMyY/s1600/w638emd_New -Sheet.jpg, Mapa Conceptual
Estrategias de Aprendizaje.
Por:Mónica González (2011).
118
Si se enfoca a las estrategias de enseñanza, la siguiente imagen
iluminará al respecto:
Gráfico 55: TIC como estrategia, método y contenido.
Fuente:http://www.scielo.org.ve/img/fbpe/ip/v23n3/art11fig1.gif.Modelo teórico metodológico para la
incorporación de las tecnologías de información y comunicación en la formación docente de pregrado a
distancia.
Por:María Calzadilla (2008).
A nivel universitario, el núcleo de toda estrategia didáctica será la
motivación y la comprensión del estudiante.
Si se trata de estrategias tradicionales aplicadas con TIC, se
menciona lo siguiente entre las más generalizadas:
119
Estrategias de enseñanza tradicionales aplicadas con TIC
Estrategia Detalle
Objetivos o
propósitos de
aprendizaje
Son enunciados del proceso educativo a llevar a cabo.
Podemos crearlo con un Procesador de palabras, un
presentador, etc.
Organizador
previo
Información introductoria y contextual. Puente cognitivo
entre información nueva y previa. Podemos crearlo con
un presentador o software exclusivo para ello.
Ilustración Hace referencia a representaciones visuales. Podemos
crearlo con software de diseño gráfico, de animación, de
video, etc.
Analogía Proposición que indica semejanza entre dos cosas.
Podemos crearlo con una ilustración de un presentador,
software gráfico, programas de voz, o narrado.
Preguntas
intercaladas
Preguntas insertadas en una situación o momento de la
enseñanza. Podemos crearlo con software para
cuestionarios y/o realizando preguntas en vivo.
Pistas
tipográficas o
discursivas
Señalamientos relevantes en un momento de la
enseñanza. Podemos crearlo resaltando colores,
creando movimientos o usando conectores.
Mapas
conceptuales
y redes
semánticas
Representación gráfica del conocimiento. Lo podemos
hacer con software específico para ello.
Cuadro 12:Estrategias de enseñanza tradicionales aplicadas con TIC.
Fuente:http://www.slideshare.net/carmary/estrategias-didcticas-con-tic.Adaptado de la fuente mencionada,
diapositivas 7 a 13.
Elaborado por:LSI Jorge Vera Mosquera.
120
Si se desea crear estrategias de enseñanza con apoyo de las TIC:
Estrategias de enseñanza con apoyo de las TIC
Estrategia Detalle
Correo
electrónico
Para asesoría asincrónica, flexible en tiempo y
espacio.
Chat Para asesoría sincrónica, con hora acordada y para
pequeños grupos.
Foro Para asesoría asincrónica, participante se suscribe,
lee intervenciones y aporta ideas sobre el tema
propuesto.
Wiki Como herramienta de trabajo colaborativo, donde los
estudiantes son los desarrolladores de sus
contenidos en función de los objetivos propuestos.
Webquest Actividades de aprendizaje realizadas con recursos
preseleccionados en Internet por el Docente, a los
cuales accesan los aprendices seleccionando y
analizando la información que contiene el objeto
buscado en base a los temas fijados en la tarea.
La caza del
tesoro
Es una hoja de trabajo o sitio web donde existen una
lista de preguntas que los dicentes van a responder,
incluyéndose al final la “gran pregunta” cuya
respuesta no está directa en las preguntas anteriores,
pero que exige valorar e integrar lo aprendido durante
la búsqueda.
Blog(bitácora) Sitio web que contiene artículos ordenados por fecha
en base a un interés o tópico de intención.
Cuadro 13:Estrategias de enseñanza con apoyo de las TIC.
Fuente:http://www.slideshare.net/carmary/estrategias-didcticas-con-tic.Adaptado de la fuente mencionada,
diapositivas 14 a 22.
Elaborado por:LSI Jorge Vera Mosquera.
121
Al observarse el Anexo 31, se obtiene que en base al uso y
momento de presentación, las estrategias pueden incluirse antes (pre-
instruccionales), durante (co-instruccionales) o después (post-
instruccionales) de un contenido curricular específico.
Pre-instruccionales, preparan y alertan al aprendiz en relación al
qué y cómo se va a aprender. Lo común es establecer los objetivos y una
organización previa.
Co-instruccionales, apoyan el contenido curricular durante el
proceso de enseñanza. Podemos utilizar mapas mentales, mapas
conceptuales, redes semánticas, ilustraciones, etc.
Post-instruccionales, se presentan después del contenido que se
ha de aprender, permitiendo al dicente formarse una visión integrada, en
síntesis e inclusive crítica de lo tratado, como a su vez le sirve para
valorar su propio aprendizaje. Puede usarse para esto: Preguntas
intercaladas, resúmenes, mapas conceptuales y mentales, redes
semánticas, como cualquier organizador gráfico conveniente.
La siguiente imagen muestra un modelo de diseño de una unidad
didáctica con TIC:
Gráfico 56: Modelo de diseño de una unidad didáctica TIC.
Fuente:http://www.slideshare.net/Sisifo08/software-educativo-introduccin-presentation.Introducción al
uso de software educativo.
Por:José Pascual (2008).
122
Criterios Pedagógicos del Uso Didáctico de las TIC
CABRERO, J. (2001) Manifiesta cuatro puntos importantes que
valen la pena considerar en relación a los recursos audiovisuales,
informáticos y telemáticos que maneje el Docente en sus procesos
educativos. Ver Anexo 32.
RIVEROS, V., MENDOZA, M. y CASTRO, R. (2011) Consideran
que las TIC sirven para mejorar el proceso de enseñanza y aprendizaje,
que al ser utilizadas implican tres fases:
 Pre-activa: Es la preparación para la intervención formativa.
 Intervención formativa: Que puede ser en
o Formación en línea.
o Entornos Virtuales de Aprendizaje (EVA).
o Presencial con apoyo en TIC.
 Post-activa: Son las actividades complementarias como
comentarios en líneas, tutorías virtual, manejo de comentarios,
entrega de evaluaciones y calificaciones, etc.
La eficacia y eficiencia en el manejo de las TIC necesita una buena
formación técnica y didáctica que le proporcione un buen saber hacer
pedagógico con TIC. RIVEROS, V., MENDOZA, M. y CASTRO, R.
(2011), consideran como competencias didáctico-tecnológicas docentes
en este marco, lo que se puede ver en el Anexo 33.
123
Los mismos autores, a su vez manifiestan que RODRÍGUEZ, I.
(2004) propone la interrelación Educación y TIC como eje transversal para
el logro de aprendizajes significativos, como se observa en la siguiente
imagen:
Gráfico 57: Aprendizaje Significativo entre Educación y nuevas tecnologías.
Fuente:http://www.ice.deusto.es/RINACE/reice/vol2n1/Iniciarte_archivos/image001.gif .Nuevastecnologías un
eje transversalpara ellogro de aprendizajes significativos.
Por:Inciarte Rodríguez (2004).
Como se ve, se plantea la necesidad de crear políticas de Estado
para establecer condiciones desde las estructuras administrativas hasta la
Formación Docente, dotar de recursos y crear cultura informática en toda
comunidad educativa. Estos lineamientos estratégicos pueden ser
adaptados en cualquier contexto educativo, pero denota claramente que
la decisión política es vital para llevar adelante el uso de las TIC.
124
Modelo TPACK
El cómo aprender más y mejor con tecnología, el redescubrir la
innovación TIC desde una perspectiva pedagógica, la necesidad de
desarrollar habilidades críticas y al mismo tiempo dentro de un contexto
propio de cada profesión, vislumbra el tener que vincular la interacción
Docente-dicente con el conocimiento tecnológico y una Pedagogía más
efectiva por parte de los Docentes, a quienes debe facilitárseles la
innovación en: Conocimientos, prácticas de enseñanza y tecnología de
apoyo. Esto lo compone íntegramente el modelo TPACK (Technological
Pedagogical Content Knowledge).
Gráfico 58 : Modelo TPACK.
Fuente:http://www.tpack.org.TPACK – Conocimiento Tecnológico Pedagógico del Contenido.
Por:Matthew Koehler (2011).
Que reúne tres conocimientos básicos: Tecnológico, pedagógico y
disciplinar, donde el Docente actual debe apuntar a encontrarse en el
cruce de estos tres ámbitos.
Esta estructura TPACK es hecha en base a la teoría PCK
(Pedagogical Content Knowledge) de LeeShulman, quien habla del
paradigma perdido en la investigación de la enseñanza.
125
Esta teoría fue iniciada en 1983 por el autor mencionado en una
conferencia dictada en Austin, en la Universidad de Texas, en que
propone centrar la atención en el estudio del pensamiento del Docente
sobre la enseñanza del contenido en una asignatura, incluyendo
posteriormente la tecnología.
El catedrático Punya Mishra y el Profesor adjunto Matthew Koehler,
ambos de la Universidad de Míchigan, que construyeron el marco TPACK
MISHRA & KOEHLER, (2008), MISHRA & KOEHLER, (2006), sostienen
que la integración eficaz de la tecnología para enseñar un contenido
requiere la comprensión, conocimiento y aplicación de tres componentes:
Tecnología, Pedagogía y Contenido.
Las tres dimensiones tratadas en el TPACK, no pueden ser
tratadas libres de contexto. Las interrelaciones más directas son:
Contenido y Pedagogía: Pedagogía Específica para enseñar un
contenido.
Contenido y Tecnología: Conocimiento tecnológico de ese
contenido.
Tecnología y Pedagogía: Pedagogía para usar la tecnología.
A más de lo mencionado, el centro del TPACK es la necesidad de
construir un conocimiento pedagógico en base a la tecnología para
enseñar un contenido.
Si se trata de identificar a cada dimensión, se tiene:
Contenido: Saber qué.
Tecnología: Saber con qué.
Pedagogía: Saber cómo.
Donde la finalidad educativa es para qué.
126
Para implementarlo VALLEJO, C. (2013) se debe considerar lo que
Judi Harris y Mark Hofer del College of William & Mary School of
Educationsugieren:
 Objetivos de aprendizaje
 Definir experiencias
 Secuenciar actividades
 Definir estrategias de evaluación
 Seleccionar tecnologías para desarrollar las
actividades
Una orientación se dispone en la siguiente imagen:
Gráfico 59: Tecnologías a utilizar según actividades en un Modelo TPACK.- Ejemplo.
Fuente:http://recursostic.educacion.es/observatorio/web/es/cajon-de-sastre/38-cajon-de-sastre/1092-
monografico-introduccion-de-las-tecnologias-en-la-educacion?start=1.MONOGRÁFICO: introducción de las
tecnologías en la educación – TPACK.
Por:(VALLEJO, C., 2013).
127
A su vez crean distintos criterios de observación y evaluación del
proceso a modo de orientación para escoger determinada tecnología:
Gráfico 60: Criterios de observación y evaluación – Modelo TPACK.
Fuente:http://recursostic.educacion.es/observatorio/web/es/cajon-de-sastre/38-cajon-de-sastre/1092-
monografico-introduccion-de-las-tecnologias-en-la-educacion?start=1.MONOGRÁFICO: introducción de las
tecnologías en la educación – TPACK.
Por:(VALLEJO, C., 2013).
Métodos y técnicas
Ambos son fundamentales al momento de enseñar, y deben estar
lo más cerca posible al modo de aprender de los estudiantes.
128
Un método siempre indicará el camino, y la técnica el cómo
recorrerlo. Cada método tiene sus técnicas y procedimientos.
Técnica de enseñanza es el recurso didáctico que sirve para
concretar un momento de la enseñanza, refiriéndose a la forma en que se
usan los recursos didácticos de un modo efectivo en el aprendizaje del
educando.
Entre estas técnicas con el empleo de las TIC, a modo general
tenemos:
Técnicas con empleo TIC
Técnica Software/Sitio Web
Mapas conceptuales http://www.gliffy.com,
http://www.wisemapping.com
CmapTools, Edraw
Mapas mentales http://www.mindomo.com,
http://www.mind42.com
Microsoft Office Visio, iMindMap
Trabajo en grupo Google Docs, Zoho Docs
Aprendizaje colaborativo http://www.moodle.org
http://www.dokeos.com/
http://www.synergeia.org.ph/
Smart Notebook, NetOpSchool, NetSupport
School, RealVNC
Foro http://educaforo.com/
http://www.my-forum.org/
Actividades educativas
multimedia
http://www.educaplay.com/
http://clic.xtec.cat/es/index.htm (zona Clic)
JClic, Ardora
129
Grabar movimientos en el
monitor
Wink, Camtasia
Audio digital http://odeo.com
Proyectos http://www.mediawiki.org/
http://www.egroupware.org/
Cuestionarios http://www.quizrevolution.com/
http://www.proprofs.com/quiz-school/
Lluvia de ideas http://bubbl.us, http://mindmeister.com, Nova
Mind, Dictation, Curio
Pizarra en línea http://www.scriblink.com/,
http://vyew.com/
Ensayos ComposeEssay
Cuadro 14:Técnicas activas con elempleo de las TIC.
Fuente:Sitios de software educativo en Internet.
Elaborado por:LSI Jorge Francisco Vera Mosquera.
Medios didácticos
Partiendo del concepto que un medio es un canal por el cual fluye
la comunicación, un medio didáctico es un material que facilita la
comunicación Docente-dicente, de modo que favorece al proceso
enseñanza-aprendizaje u orientación-aprendizaje. Por ejemplo: Un libro,
un programa multimedia para realizar prácticas de un lenguaje de
programación.
MARQUÉS, P. (2011), considera que al analizar un medio se
deben identificar los siguientes elementos:
130
Elementos de un medio didáctico
Sistema de símbolos (textuales, icónicos, sonoros) que utiliza. En el
caso de un vídeo aparecen casi siempre imágenes, voces, música y
algunos textos.
Contenido material (software), integrado por los elementos semánticos
de los contenidos, su estructuración, los elementos didácticos que se
utilizan (introducción con los organizadores previos, subrayado,
preguntas, ejercicios de aplicación, resúmenes, etc.), la forma de
presentación y el estilo..... En definitiva: información y propuestas de
actividad.
Plataforma tecnológica (hardware) que sirve de soporte y actúa como
instrumento de mediación para acceder al material.
En el caso de un vídeo el soporte será por ejemplo un cassette y el
instrumento para acceder al contenido será el magnetoscopio.
Entorno de comunicación con el usuario, que proporciona unos
determinados sistemas de mediación en los procesos de enseñanza y
aprendizaje (interacción que genera, pragmática que facilita...). Si un
medio concreto está inmerso en un entorno de aprendizaje mayor, podrá
aumentar su funcionalidad al poder aprovechar algunas de las
funcionalidades de dicho entorno.
Cuadro 15:Elementos de un medio didáctico.
Fuente:http://peremarques.pangea.org/medios.htm.Adaptado de la fuente mencionada.
Elaborado por:LSI Jorge Vera Mosquera.
El mismo autor, a su vez considera tres tipos de medios:
131
Grupos de medios didácticos
Materiales
convencionales
 Impresos (textos): libros, fotocopias,
periódicos, documentos...
 Tableros didácticos: pizarra,
franelograma,...
 Materiales manipulativos: recortables,
cartulinas...
 Juegos: arquitecturas, juegos de
sobremesa...
 Materiales de laboratorio...
Materiales
audiovisuales
 Imágenes fijas proyectables (fotos):
diapositivas, fotografías...
 Materiales sonoros (audio): casetes,
discos, programas de radio...
 Materiales audiovisuales (vídeo): montajes
audiovisuales, películas, vídeos,
programas de televisión...
Nuevas tecnologías  Programas informáticos (CD u on-line)
educativos: videojuegos, lenguajes de
autor, actividades de aprendizaje,
presentaciones multimedia, enciclopedias,
animaciones y simulaciones interactivas...
Servicios telemáticos: páginas web,
weblogs, tours virtuales, webquest, cazas
del tesoro, correo electrónico, chats, foros,
unidades didácticas y cursos on-line...
 TV y vídeo interactivos.
Cuadro 16:Tipos de medios.
Fuente:http://peremarques.pangea.org/medios.htm.Adaptado de la fuente mencionada.
Elaborado por:LSI Jorge Vera Mosquera.
132
Metodología y tic
El incorporar las TIC en el aula implica reajustar los métodos de
enseñanza a condiciones de aprendizaje centradas en el estudiante, que
promuevan su autonomía, su aprender a aprender y ser el creador de su
propio conocimiento, para así mismo compartirlo. El aprendizaje cambió.
Gráfico 61: Educación 1.0 a Educación 2.0.
Fuente:http://blog.wiseri.com/es/espanol-red-educacion-pedagogia-2-0/.Red-Educación: Pedagogía
2.0.
Por:Enrique Rodríguez (2011).
Hay que dejar de decir que se usan las TIC, y empezar a hablar de
buenas prácticas didácticas al emplearlas en el quehacer educativo. Es
indiscutible que la tecnología brinda infinidad de medios y recursos, pero
es la metodología docente la que debe evolucionar, porque las TIC son
herramientas que permiten el trabajo, es decir, son simplemente
herramientas.
133
Vale observar ocho ideas para dinamizar las clases y motivar a los
estudiantes con el empleo de la tecnología, atendiendo la sugerencia de
LEÓN, F. (2011):
Gráfico 62: Ocho ideas para dinamizar las clases y motivar clases con tecnología.
Fuente:http://www2.gobiernodecanarias.org/educacion/clicescuela20/blog/blog/2011/11/25/8grandes-
ideas/.
Por:Francisco León.
Sin enfocarse en la metodología como un proceso de entregar un
contenido, y entendiendo a éste como un conocimiento estructurado, el
deber docente está en que el dicente encuentre el sentido y significado,
en base a un saber previo que en él se encuentre, siendo por tanto
importante diagnosticar estos saberes precedentes, así como intereses,
inquietudes, motivaciones y razones que se hallaren en el aprendiz, para
que se motive en continuar con lo propuesto por el Docente.
Un modelo base para esta situación que vale tener presente, es el
TPACK, ya tratado anteriormente, porque un profesor de esta era debe
tener el punto central entre lo pedagógico, el contenido y lo tecnológico.
134
El cambio metodológico debe adaptarse a un nuevo entorno
formativo, en que con la presencia de la tecnología se trata de un nuevo
escenario, donde el aprendizaje es el sentido y centrado en el estudiante.
Software educativo
Son los programas de computadora que se crean como medio
didáctico para facilitar los procesos de enseñanza-aprendizaje u
orientación-aprendizaje. Su importancia radica en la mediación
pedagógica del computador para permitir un acceso al conocimiento.
En cuanto a la aparición y evolución del software educativo,
CATALDI, Z. (2000) hace notar lo siguiente como primeros pasos:
Skinner (1958, 1963) formuló su teoría conductista del
condicionamiento operante en los años treinta y, durante
los primeros años de su carrera se interesó por la
educación elaborando las “máquinas de enseñanza” y los
“sistemas de instrucción programada”. El cambio
conductual en el "condicionamiento operante" se da a
través del refuerzo diferencial por aproximaciones
sucesivas hacia la forma de comportamiento deseada,
mediante el proceso de moldeamiento para modificar la
conducta.(Página 8).
Posteriormente con la evolución de la programación en el mundo
informático, y en relación a lo anterior. La misma autora se refiere así:
Durante los años sesenta aparece una corriente de
“programadores” (Deterline, 1969), que empezaron a
“programar” de una manera muy fácil, y, que careciendo
de formación docente, tomaban un libro de texto, borraban
alguna palabra de una frase elegida y la sustituían por una
línea horizontal, para que el alumno anotara allí su
respuesta. Repetían la frase varias veces por cada cuadro,
pero borrando una palabra diferente cada vez. (Página 8).
135
Es en esta época que se comienza a hablar de una buena
“programación didáctica”, en base a los objetivos generales del
Curriculum, programando secuencias y hacer seguir cuadros,
estudiándose el tipo de respuesta más adecuada y la retroalimentación
adecuada a la necesidad del caso, para posteriormente pasar a la
evaluación y revisión de lo programado en función de las respuestas del
dicente.
De igual forma la autora hace notar los siguientes puntos
relevantes en esta evolución inicial:
 En este tiempo los objetivos operacionales y conductuales toman
importancia a partir de un trabajo de MAGER, R. (1967) que sirvió
para los escritores de enseñanza programada. El objetivo era
describir una conducta observable y sus logros.
 En las décadas de los sesenta y setenta, una serie de autores se
dedican a definir, elaborar y redactar objetivos conductuales, como
GAGNÉ, R. (1970), quien da una tipología de los aprendizajes, y
para cada uno de ellos reconoce fases, que son las condiciones
psicológicas para un aprendizaje eficaz FERNÁNDEZ PÉREZ,
(1995).
Posteriormente, con el auge de los microcomputadores a finales de la
década de los ochenta, el software educativo tomó mayor importancia, tal
es el caso del lenguaje LOGO, desarrollado por el MIT (Massachusetts
Institute of Technology), de gran uso hasta la actualidad en el mundo
educativo, cuyo enfoque es constructivista (teoría de Bruner), en que se
parte de la teoría de Piaget, que considera que el conocimiento se
presenta con el desarrollo cognitivo que resulta de una interacción sujeto
y objeto.
136
Con la presencia del Cognitivismo y como señala CATALDI, Z.(2000):
El cognitivismo es una teoría de aprendizaje donde la
mente es un agente activo en el proceso de aprendizaje,
construyendo y adaptando los esquemas mentales o
sistemas de conocimiento. Bruner (1991) sostiene que la
revolución cognitiva tenía como objetivo principal
recuperar la mente, después de la época de la "glaciación
conductista" (Hernández, 1998). (Página 10).
La idea estaba en indagar sobre los procesos de construcción de
los significados y producciones simbólicas, para identificar la realidad de
alrededor. Pero, con el avance de la Informática y los computadores, la
autora hace notar:
Dentro de la teoría cognitiva los psicólogos del
procesamiento de la información usan la analogía de la
computadora para explicar el aprendizaje humano, con el
supuesto básico de que todo aprendizaje consiste en
formar asociaciones entre estímulo y respuesta. (Página
10).
Considera ante esto a dos autores de esta corriente:
Según Gardner (1987) y Rivière (1987): "el paradigma del
procesamiento de la información dentro de la psicología
educativa, se inserta en la gran tradición racionalista de la
filosofía, que otorga cierta preponderancia al sujeto en el
acto del conocimiento". (Página 10).
CATALDI, Z. (2000) Dentro del Cognitivismo toma en cuenta los
siguientes puntos:
 Vygotsky, desde su modelo sociocultural da importancia al entorno
sociocomunicativo del aprendiz, manifestando que el cambio
cognitivo se presenta en la zona de desarrollo próximo(ZDP), es
decir la distancia entre el nivel de desarrollo y el nivel posible,
137
mediante la resolución de problemas con la asistencia de un tutor,
pudiendo presentarse el aprendizaje repentinamente por un sentido
gestáltico. A estas ideas de Vygotsky, Bruner denominó
“andamiaje” educativo para brindar apoyo, que al utilizarse el
computador como herramienta, permite ampliar el alcance del
estudiante como el realizar tareas selectivas cuando lo necesite.
 Resaltar el aprendizaje significativo, considerando que se dará
cuando la persona perciba al tema como importante para él,
destacando la estructura lógica interna que plantea Ausubel, para
quien el incorporar un nuevo conocimiento, es para un sistema
previo que ya está organizado, y tendrá alguna relación con los
nuevos. Así es como surgen los mapas conceptuales de NOVAK, J
& BOWIN, D. (1988) para representar relaciones significativas, que
actualmente es el fundamento de la red semántica, que es la base
del software cognitivista en la Educación.
Posteriormente destaca la Teoría Uno de PERKINS, D. (1995), que
fue codirector del Proyecto Cero de la Universidad de Harvard, quien
afirmó que "la gente aprende más cuando tiene una oportunidad
razonable y una motivación para hacerlo".
Perkins en su obra “La Escuela Inteligente” señala que cualquier
método válido de enseñanza encarna a la Teoría Uno, adaptándose a
las necesidades particulares de un estudiante y del momento, siendo
compatible con el Conductismo y el Constructivismo, sin enfatizar la
autonomía del estudiante para facilitar la comprensión.
Perkins señala la relación bilateral entre la Pedagogía de la
comprensión y las imágenes mentales, afirmando lo siguiente: “se
alimentan unas a otras como si fueran el Yin y el Yan de la comprensión”.
138
GARDNER, H. (1993) Enuncia la “Teoría de las Inteligencias
Múltiples”, sosteniendo que la inteligencia humana tiene dimensiones, a
las que inicialmente identificó con siete: Lógico-matemática, lingüística,
musical, espacial, cinético-corporal, interpersonal e intrapersonal. Esta
última teoría supera a la de Perkins por ampliar las capacidades del ser
humano, lo que diversifica los caminos pedagógicos, como el mismo
Perkins lo afirmó en 1995.
Con respecto a la relación persona-herramienta, PERKINS, D.
(1985) menciona que la cognición humana se produce de una manera
física, social y simbólicamente repartida. Esto aduce que la persona
piensa y recuerda por el intercambio con otros, reforzando a
LIBEDINSKY, M. (1995) cuyo manifiesto del marco pedagógico de la
utilización de la tecnología en la Educación se lo puede leer en el Anexo
34.
Vale también considerar el aprender a aprender, porque la
metacognición es el conocimiento del propio estudiante en función de sus
propias experiencias y sus propios procesos cognitivos.
La evolución de los propios lenguajes de programación desde el
lenguaje de máquina y ensamblador, hasta el lenguaje orientado a
objetos, ha influido sobremanera en el desarrollo del software educativo.
En cuanto a la aparición del software educativo, CATALDI, Z.
(2000), comenta: “Por último aparecen los productos propiamente dichos
de software educativo, con la difusión de las computadoras en la
enseñanza, según tres líneas de trabajo, computadoras como tutores
(enseñanza asistida por computadoras o EAC), como aprendices y como
herramienta”(página 12).
139
Los problemas para desarrollar software educativo todavía
subsisten, pues se relacionan con la mediación pedagógica, el
crecimiento voraz de la tecnología, la necesidad de una metodología para
desarrollar software propiamente educativo y establecer parámetros de
evaluación del mismo, etc. Pudiendo decirse que un buen software
educativo es aquel que permite alcanzar los objetivos educativos.
Existen distintos puntos de vista para clasificar el software
educativo. Uno de ellos se lo puede observar en el Anexo 35.
GALLEGOS, G. (2007): Presenta otra clasificación:
Gráfico 63: Clasificación del Softw are Educativo - Guillermo Gallegos.
Fuente:http://www.slideshare.net/guillermo/informtica-educativa, diapositiva 6.
Por:Guillermo Gallegos (2007).
140
Resaltando que la tendencia (como es en la actualidad) está en los
recursos y aplicaciones educativas en Internet, uso de mundos virtuales,
la utilidad del Software Libre, juegos multiusuarios y los juegos serios, en
que el aprendizaje basado en Internet presenta el siguiente escenario
entre sus posibilidades:
Gráfico 64: Aprendizaje basado en Internet.
Fuente:http://www.slideshare.net/guillermo/informtica-educativa, diapositiva 9.
Por:Guillermo Gallegos (2007).
Surgiendo en medio de ello la Educación Virtual o E-Learning
(Electronic Learning).
Gráfico 65: Educación Virtual.
Fuente:http://www.slideshare.net/guillermo/informtica-educativa, diapositiva 11.
Por:Guillermo Gallegos (2007).
141
En que su modalidad es a distancia o semi-presencial (Blended
Learning). Entre las plataformas más utilizadas en esta línea están:
Moodle, Dokeos, Claroline, ATutor,…, que vienen del Software Libre. En
este sentido es importante destacar una tendencia cuyo desarrollo tiene
pocos años, como es el caso del mundo virtual que se encuentra
combinado, destacando Moodle en ello con su versión Sloodle.
Gráfico 66: Sloodle.
Fuente:http://www.slideshare.net/guillermo/informtica-educativa, diapositiva 14.
Por:Guillermo Gallegos (2007).
Esto se produce gracias a la evolución de la tecnología.
Gráfico 67: Evolución de la Tecnología.
Fuente:http://desarrollo-comunidades-
virtuales.wikispaces.com/file/view/imagenwiki1.JPG/32170367/imagenw iki1.JPG.
Por:Nancy Piriz, Susana Trabaldo,Beatriz Aquino, Graciela Lorenzatti, Eduardo Coquet (http://desarrollo-
comunidades-virtuales.wikispaces.com).
.
142
LU, P. (2011) En cuanto a la evolución del software educativo,
muestra una ilustración bastante interesante de observar:
Gráfico 68: Evolución del Softw are Educativo.
Fuente:http://3.bp.blogspot.com/-GG-U-I3N1DQ/TeBnut-5-
pI/AAAAAAAAAAc/9ahRTSPsFzo/s1600/evolsofteduc111.jpg.
Por:Parvy Lu.
Porque es lo que está marcando la evolución de los últimos años,
encontrándose el Constructivismo Social, una visión del Sharismo, el
Cognetivismo y el Cognitivismo, en la forma como ya se ha tratado
anteriormente en el presente trabajo.
Docente 2.0
Es aquel Docente que emplea herramientas Web 2.0, que son
aquellas que permiten comunicación interactiva, favoreciendo el
aprendizaje colaborativo.
Esto demanda un cambio de mentalidad orientada a motivar e
implicar a los estudiantes, de ahí que también se hable de una actitud 2.0,
universidad 2.0 y ciencia 2.0.
143
La Universidad 2.0 supone la adopción de la Web 2.0, que hace
referencia a parámetros de una web colaborativa, en que la Universidad
tiene un sentido más social, permitiendo una participación más abierta.
La terminología Web 2.0 se asocia con Tim O'Reilly debido a la
referencia hecha en la conferencia O'Reilly Media Web 2.0 en el 2004 O’
REILLY, T. (2006). El término se refería a una segunda generación en la
historia de la web, en que su base está en la comunidad de usuarios y
una serie de servicios que fomenta la colaboración, el intercambio y la
construcción social.
La Web 1.0 en cambio trataba de páginas estáticas en las que el
usuario visitante no podía intercambiar información, ni colaborar o
comentar.
MUÑOZ, E. y MORENO, J. (2009) Manifiestan que una actitud 2.0
existe cuando la persona es:
tolerante al error, es transparente, es auténtica, colabora,
participa, permite que exista colaboración y participación,
escucha y tiene en cuenta a todo el mundo sin prejuicios,
deposita confianza en las personas, posee empatía,
experimenta, es flexible, honesta, cree en la inteligencia
colectiva como forma de generar conocimiento, etc.
(Página 11).
RODRÍGUEZ, E. (2010) en el sitio de iberestudios internacional
menciona un Kit básico para un Profesor 2.0 en el que cita algunas
herramientas elementales para un Docente que desea incluirse en la Web
2.0:
144
Kit básico para un Profesor 2. 0.
Mail y chats Para enviar e intercambiar información y
contenidos. Ej.: Hotmail,Yahoo, Zoho.
Blogs Para exponer ideas y contactar personas
con los mismos intereses. Ej.: Wordpress,
Blogger, TypePad.
Wiki Es crear conocimiento como proceso activo
en construcción. Cada usuario deja huella
de su aporte. Ej.: Wikipedia, TikiWiki.
Redes sociales Para interactuar con otras personas. Ej.:
Facebook, Twitter.
RSS y agregadores Para estar informado de intereses comunes.
El: Google Reader, Netvives, Bloglines.
Presentadores Como Powerpoint. Ej: Slideshare, Zoho,
e24presenter.
Herramientas para
compartir documentos
Para compartir en línea todo tipo de
documentos. Ej: Google Docs, Zoho Docs,
Calameo, Scribd
Cuadro 17:Kit básico para un Profesor 2. 0.
Fuente:http://noticias.iberestudios.com/kit-basico-para-un-profesor-2-0/.Adaptado de la fuente mencionada.
Elaborado por: LSI Jorge Vera Mosquera.
Más herramientas 2.0 para uso docente se pueden encontrar en el
sitio: http://cooltoolsforschools.wikispaces.com/Home.
Un Profesor en base a esto puede crear nuevos ambientes de
aprendizaje, cuya ilustración se puede visualizar a continuación
CAMPOS, Y. (2006):
145
Gráfico 69: Actividades, Productos y Recursos 2.0.
Fuente:http://www.slideshare.net/yolacamposc/093innovacion-estrategias-informatica-v07,Innovación de
estrategias didácticas y Educación Informática, diapositiva 15.
Por:Yolanda Campos (2009).
146
El proceso educativo
Una concepción aproximada de Proceso Educativo, se puede
derivar del propuesto por EPDB (Escuelas Populares Don Bosco)
(http://www.epdb.info), en que es la “la acción sinérgica de la Comunidad
Educativa que gestiona dinámica, corresponsable y pertinentemente
elementos curriculares, planificativos y administrativos de acuerdo a una
identidad propuesta por un centro educativo”.
De aquí se puede deducir que el Proceso Docente Educativo es
aquel proceso formativo eficaz y eficiente que da respuesta al encargo
social. VELASCO, M. (2011) En su sitio web
http://mirovelasco.blogia.com plantea considerar dos aspectos básicos en
el Proceso Educativo:
1. Concepción educativa, en que puntualiza:
Preguntas fundamentales para crear un Proceso Educativo
¿Para qué? Definir propósito, que está en relación al contexto del
centro educativo.
¿Qué enseñar? Involucra directamente al Docente, en función de los
conocimientos que tenga del Curriculum y contenidos
necesarios, por lo que se habla de una construcción
curricular. Un ejemplo de aquello se dispone en la
siguiente dirección en Internet:
http://www.eduteka.org/ci2/Ayuda.php
¿Cómo? Se trata de la metodología a emplear.
¿Con qué? Está en relación a los recursos y ayudas didácticas que el
centro educativo disponga, sin limitarse a aquello, por lo
que el recurso tecnológico entra en juego en este instante.
¿Cuándo se cumple? Se refiere a cuándo se cumple el proceso, cuya respuesta
está con la evaluación, considerando todas sus variantes,
sobre todo durante el proceso.
Cuadro 18: Preguntas fundamentales para crear un Proceso Educativo.
Fuente:http://willyfigueroa.wor dpress.com/2010/08/21/pr eguntas-al-disenar-un-proceso-educati vo/. Adaptado de la fuente mencionada.
Elaborado por: LSI Jorge Vera Mosquera.
147
2. Tecnología educativa, Está en relación a los procedimientos,
técnicas e instrumentos que se utilizan para aplicar una concepción
educativa, siendo por tanto una aplicación racional.
Siendo la evaluación de vital importancia en el Proceso Educativo,
obsérvese el siguiente esquema su papel al cerrar y reiniciar el proceso,
que está presente en todo momento.
Gráfico 70: Componentes del Proceso Docente Educativo.
Fuente:http://biblioteca.ucn.edu.co/repositorio/Diplomados/politecnico/Mod2/imagenes/ComponentesPr
oceso.gif.
Por:Biblioteca VirtualCatólica del Norte, Cibercolegio UCN y Fundación Universitaria.
Proceso enseñanza-aprendizaje
OSPINA, A. (2008), en su sitio web http://300-lideres.blogspot.com
presenta una concepción actualizada al respecto, identificándolo como un
modelo educativo básico, que consta de dos fases: Enseñanza y
Aprendizaje, en que el Docente enseña y aprende, y el dicente aprende y
enseña, por lo que enseñar y aprender se complementan entre sí.
Planteando que en la actualidad hay que enseñar a enseñar y aprender a
aprender.
148
Gráfico 71: Modelo Educativo Básico.
Fuente:http://2.bp.blogspot.com/_O6py4-QLGrI/SPVUpqnUgQI/AAAAAAAAAOI/p0EzDqffP_w/s1600-
h/MODELO+EDUCATIVO+B%C3%81SICO1.jpg.
Por:Alejandro Ospina (2008).
Esta concepción hace que tanto Docente y dicente caminen a
niveles superiores de competencia, experiencia, habilidad y conocimiento,
donde la autonomía educativa surge como un condicionamiento en la
presente época, gracias al aprender a aprender, generado por el enseñar
a enseñar. La evaluación ayudará a determinar la situación, tomándose la
retroalimentación necesaria, y es mutua entre Docente y educando,
tomando en cuentas los procesos y los contenidos educativos.
Integración de tic en el proceso enseñanza-aprendizaje
Las TIC producen cambios que ofrecen un potencial que genera
desafíos para transformar el mundo de la Educación.
RODRÍGUEZ, E. (2009) en la enciclopedia virtual
http://www.eumed.net, menciona que las variantes que se generan en el
enseñar y aprender, así como en las estructuras de los centros
educativos, conducen a cambios de organización y cultura que AVIRAM,
R. (2002) identifica en tres escenarios:
149
 Tecnócrata: La institución educativa realiza pequeños ajustes,
como alfabetización digital de los dicentes, para utilizar las TIC
como elemento de productividad (aprender sobre TIC), fuente de
información y proveedor de material didáctico (aprender de las
TIC).
 Reformista: Cuando se presentan tres niveles de integración como
referencian MARTÍN, J. BELTRÁN, J. y PÉREZ, L. (2003): Los
anteriores (aprender sobre TIC y aprender de las TIC) y se
introducen en las prácticas docentes nuevos métodos de
enseñanza-aprendizaje constructivistas que contemplan las TIC
como instrumento cognitivo (aprender con las TIC) y así realizar
actividades interdisciplinarias y colaborativas.
 Holístico: El centro educativo reestructura sus componentes.
Como lo menciona MAJÓ, J. (2003):
La escuela y el sistema educativo no solamente tienen que
enseñar las nuevas tecnologías, no sólo tienen que seguir
enseñando materias a través de las nuevas tecnologías,
sino que estas nuevas tecnologías aparte de producir unos
cambios en la escuela producen un cambio en el entorno y,
como la escuela lo que pretende es preparar a la gente
para este entorno, si éste cambia, la actividad de la escuela
tiene que cambiar.
DÍAZ, P. (2004) en la Primera Jornada del Campos Virtual en la
Universidad Carlos III de Madrid, puntualiza que el proceso Enseñanza-
Aprendizaje es bidireccional en que intervienen:
 Los útiles y materiales de apoyo tradicionales, como libros,
enciclopedias, materiales de laboratorios, etc.
150
 Herramientas de comunicación de tipo:
o Presencial/remota.
o Privada/pública.
o Personal/en grupo.
o Sincrónico/asincrónica.
o Unidireccional/bidireccional.
Si se quiere considerar a las herramientas para el proceso
enseñanza-aprendizaje, en función de la sincronización y la dirección, el
siguiente cuadro facilita al respecto una visión:
Herramientas para el proceso Enseñanza-Aprendizaje
Sincronización/
Dirección
Sincrónica Asincrónica
Unidireccional Clase/Seminario en
línea
Mensajes (correo,
SMS...)
Tablones de
anuncios
Repositorios de
información...
Bidireccional Discusiones online
(teleconferencia,
vídeoconferencia..)...
Lista de preguntas
frecuentes
(FAQs), Foros..
Cuadro 19:Herramientas para el proceso Enseñanza-Aprendizaje.
Fuente: http://w w w .ucm.es/data/cont/media/w w w /pag-10766/PDiaz.ppt.Adaptado de la fuente
mencionada, diapositiva 4.
Elaborado por: LSI Jorge Vera Mosquera.
151
Nótese que al combinar los ejes de sincronización y dirección, se
dispone de técnicas que pueden ser empleados en el escenario educativo
que el Docente estime.
Las razones para entender la integración de las TIC en la docencia,
pueden partir de cinco dimensiones que considera GALVIS, Á (2008) en
su publicación conocida como la PIOLA, que es un acrónimo que
considera cinco dimensiones para comprender la presencia de las TIC en
la Educación, que se detalla a continuación:
Acrónimo de PIOLA
P TIC para mejorar la Productividad individual, simplificando
actividades y ampliando nuestra capacidad personal.
I TIC para mediatizar la Interacción con otros individuos o con
grupos, dialogando sincrónica o asincrónicamente en la red.
O TIC para explorar conjeturalmente Objetos de estudio, apoyando
indagación, construcción y expresión de conocimiento.
L TIC para apoyar Labores educativas, como la preparación de
clases y pruebas, y la creación y administración de ambientes de
aprendizaje.
A TIC para ampliar nuestro Acervo cultural, científico y tecnológico,
manteniéndonos actualizados en lo que nos interesa, a partir de
consulta a fuentes directas.
Cuadro 20:Acrónimo de PIOLA.
Fuente: La PIOLA y el Desarrollo Profesional Docente con apoyo de Tecnologías de Información y
Comunicación - TIC. Página 4.
Elaborado por: LSI Jorge Vera Mosquera. Adaptado de la fuente mencionada, por Álvaro Galvis (2008).
Si se desea ampliar al respecto el uso de algunas herramientas a
emplear para el proceso enseñanza-aprendizaje, se puede ver el Anexo
36.
152
Integrar las TIC en el proceso Enseñanza-Aprendizaje significa
integrarlas al currículo, para lo cual la Fundación Gabriel Piedrahita Uribe
EDUTEKA (2008) presenta el siguiente modelo:
Gráfico 72: Modelo para integrar las TIC en el Proceso Enseñanza-Aprendizaje.
Tomadode:http://www.eduteka.org/imgbd/22/22-27/modelo.gif.
Por:EDUTEKA (2008).
Este modelo se adapta a cualquier escenario educativo, que desee
incorporar las TIC a su Proceso Enseñanza-Aprendizaje.
De igual forma vale considerar los incidentes críticos que se
podrían presentar para que las TIC alcancen su máximo potencial en el
proceso E-A:
153
Gráfico 73: Incidentes críticos al incorporar las TIC en el Proceso Enseñanza-Aprendizaje.
Tomadode:http://cmapspublic3.ihmc.us/rid=1GXFQJ872-1MNYH0S-
JH2/Incidentes%20cr%C3%ADticos%20para%20un%20potencial%20de%20las%20TIC.cmap?rid=1GXFQJ87
2-1MNYH0S-JH2&partName=htmljpeg,Incidentes críticos para potenciar la utilización de las TIC.
Por:Gabriela Spadoni (2010).
154
Gestión Docente
Puede conceptuársela como el proceso que abarca funciones y
actividades relacionadas con la Educación, que se deben llevar a cabo
con el fin de alcanzar los objetivos educativos planteados por una
organización educativa.
El involucrar las TIC en la gestión docente significa entrar en un
proceso de sensibilización y planificación, para que el centro educativo
genere conciencia en los Docentes, direccionar los procesos de
información y comunicación en relación a su gestión de desenvolvimiento
de aula como con la administración de la entidad.
La incorporación de TIC debe verse reflejada en el nuevo escenario
del proceso educativo, como herramienta que trata un nuevo diseño del
proceso didáctico y metodológico tradicional, en que la acción docente
mueve procesos didácticos, metodológicos y técnicos, lo cual significa:
 Capacitación docente, donde se relaciona con la Pedagogía,
Andragogía, gestión y cultura informática.
 Integrar las TIC al Curriculum.
 Capacitar en TIC.
 Capacitar vía TIC.
Por lo que el Docente se redefine en su gestión:
155
Gráfico 74: Gradualismo para integrar las TIC.
Tomado
de:http://www.juntadeandalucia.es/averroes/cepcastilleja/planactuacion/linea_tic_pac_0809/index.html.
Por:Junta de Andalucía.
TIC
El significado de sus siglas nos dice mucho: Tecnologías de la
Información y Comunicación. La Asociación americana de las tecnologías
de la información ITAA (2007), menciona que es:
El estudio, el diseño, el desarrollo, el fomento, el
mantenimiento y la administración de la información por
medio de sistemas informáticos, esto incluye todos los
sistemas informáticos, no solamente la computadora, este
es sólo un medio más, el más versátil, pero no el único;
también los teléfonos celulares, la televisión, la radio, los
periódicos digitales, etc.
Las TIC tomaron impulso con el avance de la Internet y las
comunicaciones, y es lo que llevó a su uso potencial en diferentes
escenarios y contextos del convivir humano. Esto contribuyó mucho a
que se hable de ellas en la presente era de la Sociedad de la
Información (que surge en la última década del siglo XX), es decir que se
dispone de datos que en cualquier situación colaboran a atender y hasta
poder solucionar una necesidad.
156
Pero también se considera en la actualidad la Sociedad del
Conocimiento, debido a que los saberes ya establecidos, actuales o
evolucionados, de igual modo se pueden encontrar mediante el uso de los
medios tecnológicos. Pero, se marca una diferencia fundamental, el
generar e innovar conocimientos, y es aquí la parte primordial que
marca a la Universidad. Las TIC se ubican entonces entre dos contextos:
La Sociedad de la Información/Conocimiento y el educativo, donde se
interrelacionan la Pedagogía, Andragogía, Didáctica y la Tecnología. En
medio de esto, nace la Tecnología Educativa (TE), que es una disciplina
que combina la problemática del proceso enseñanza-aprendizaje (E/A)
con el uso de la Tecnología.
Rol del Docente ante las TIC
GOMES, A. (2007) presenta el siguiente mapa conceptual que
muestra los roles del Docente ante las TIC VALVERDE, J. & GARRIDO,
M. (1999).
Gráfico 75: Roles del Profesor.
Tomadode:http://www.etutors-portal.net/portal-contents-es-es/pedagogy-es-
es/Modelos_Educativos_Sociedad_Conocimiento.pdf. Modelos Educativos en la Sociedad del
Conocimiento, página 2.
Por:Aida Gómez (2007).
157
Del cual se obtienen modelos en base a los contenidos que
maneja:
Modelo Profesor-Diseñador
Gráfico 76: Modelo Profesor-Diseñador.
Tomadode:http://www.etutors-portal.net/portal-contents-es-es/pedagogy-es-
es/Modelos_Educativos_Sociedad_Conocimiento.pdf. Modelos Educativos en la Sociedad del
Conocimiento, página 6.
Por:Aida Gómez (2007).
El Profesor, Diseñador y Autor son la misma persona.
Modelo Autor-Diseñador
Gráfico 77: Modelo Autor-Diseñador.
Tomadode:http://www.etutors-portal.net/portal-contents-es-es/pedagogy-es-
es/Modelos_Educativos_Sociedad_Conocimiento.pdf. Modelos Educativos en la Sociedad del
Conocimiento, página 6.
Por:Aida Gómez (2007).
El Docente crea y elabora el material, para ser usado por otro
Docente u otros Docentes ajenos al diseño y producción. Se asume que
es un experto en contenido y domina el diseño didáctico y su
implementación digital.
158
Modelo Profesor-Autor
Gráfico 78: Modelo Profesor-Autor.
Tomadode:http://www.etutors-portal.net/portal-contents-es-es/pedagogy-es-
es/Modelos_Educativos_Sociedad_Conocimiento.pdf.Modelos Educativos en la Sociedad del
Conocimiento, página 7.
Por:Aida Gómez (2007),
El Docente crea sus propios materiales con apoyo externo de un
Diseñador. Asegura la idoneidad del recurso y su estilo de enseñanza.
Modelo Autoría Abierta
Gráfico 79: Modelo Autoría Abierta.
Tomadode:http://www.etutors-portal.net/portal-contents-es-es/pedagogy-es-
es/Modelos_Educativos_Sociedad_Conocimiento.pdf.Modelos Educativos en la Sociedad del
Conocimiento, página 7.
Por:Aida Gómez (2007),
El Docente implicado directamente en la enseñanza es distinto del
Autor y éste también puede ser distinto del Diseñador. Se permite que un
equipo investigador genere material para varios usuarios. Este modelo es
adecuado para la Educación a distancia con recursos compartidos.
Como se ve, es una nueva visión educativa, significando cambios
en la gestión docente, por tanto los Educadores deben ser formados en
este enfoque de la Educación Permanente. TÜNNERMANN, C. (1998)
manifiesta:
159
El educador para el siglo XXI, escribe el profesor
colombiano Álvaro Recio, será un pedagogo-investigador
con una honda formación humana y social, de modo que
se convierta en agente de cambio de él mismo, de sus
alumnos y de la comunidad circundante. (Página 13).
La renovación educativa se impone, así como los cambios en la
metodología y didáctica docente, se habla una nueva Pedagogía que
ahora debe ser más profunda, sobre todo por su relación con el
conocimiento, se redefinen los aprendizajes, se presenta un aprendiz
activo en todo el proceso educativo, …, por tanto se debe revisar el papel,
uso y aplicación de las TIC en la Educación universitaria.
Gráfico 80: Rol del Docente en el uso e incorporación de TIC.
Tomadode:http://www.iered.org/cmapserver/servlet/SBReadResourceServlet?rid=1H1GMHSFS-1RHS5MF-
1LQ. Apropiación de TIC en el desarrollo profesionaldocente, Ministerio de Educación Nacional de la
República de Colombia, Programa Nacional de uso de medios y nuevas tecnologías. Página 10.
Por:http://creandomedioseducativos.wordpress.com.
La formación del Docente Universitario en TIC
En la Era del Conocimiento la Educación tiene un reconocimiento
universal, por tanto es el desafío más grande de cualquier sociedad en el
planeta, por ser el sustento económico y político el capital intelectual de
sus miembros, siendo su materia prima la información, el conocimiento y
sus competencias cognitivas.
160
Bajo este escenario, la Educación Superior vive en medio de
referentes públicos y privados, homogeneidad y multiculturalidad,
presencialidad y virtualidad, leyes y constituciones, servir a la sociedad y
al mundo de mercado, ….
En medio de esto, el Docente tiene el reto de formar ciudadanos
críticos y conscientes de este marco, para atender las necesidades y
contribuir a la solución de los problemas de su sociedad.
Esto significa, que la Formación Docente debe partir bajo la plena
conciencia de este contexto, porque el aprender y manejar las TIC cobra
mayor sentido con una actitud concienciada de esta realidad.
Más avante del uso de las TIC en los procesos de aprendizaje, es
importante la innovación docente.
LÓPEZ, M. (2007) ilustra gráficamente un escenario del Docente
Universitario y su formación en TIC:
Gráfico 81: Docente Universitario y Formación en TIC.
Tomadode:http://vector.ucaldas.edu.co/downloads/Vector2_5.pdf.La formación delprofesorado
universitario en tecnologías de la información y comunicación, página 45.
Por:Marcelo López (2007).
161
Se observa que el mundo actual, crea un contexto para Docentes y
estudiantes para la observación, reflexión, corroboración de conceptos,
compartir experiencias y obtener nuevas ideas y conceptos,
sobresaliendo un paradigma constructivista y conversacional.
En medio de esta situación, el mismo autor plantea que los
modelos de Formación Docente en TIC posibles son basados en:
1. Acreditación tanto del Profesor, como de los programas
académicos y de las instituciones.
2. Reflexión y observación de la actividad académica.
3. Enriquecimiento misional de cada institución.
4. Programas de investigación-acción: Incorporación direccionada de
TIC, por proyectos de investigación, por producción académica.
5. Tutorías entre los mismos Profesores.
Marcelo López hace notar que debido a la diversidad de las TIC en
conjunto con sus aplicaciones, la innovación del Docente es de mucha
importancia, para lo cual dispone de entre ellas de:
 Plataformas virtuales para autoformarse e impartir docencia.
 Internet y sus recursos:
o De colaboración: Chat, email, foro, wiki, mensajería.
o Gestión: Aplicaciones Web, Web 2.0, Web 3.0
(próximamente).
o Búsqueda y encuentro de información (Buscadores).
o Bases de datos.
o Ofimática en línea.
o Documentación en línea.
o Repositorios de contenidos, imágenes y video en línea.
o Simuladores.
162
o Software libre en línea.
o Software propietario en línea.
o Herramientas y organizadores gráficos en línea.
o Servicios de diseño, desarrollo y hospedaje Web libre y
propietario en línea.
El autor reconoce la propuesta de GALVIS, Á. (2006) sobre
dimensiones y herramientas que pueden disponerse en el Anexo 37.
A lo que Marcelo López propone agregarle tres dimensiones, tal
como se observa en el Anexo 38.
Como se ve, en la Formación Docente universitaria se debe valorar
la “cultura informacional” en relación al manejo de las TIC, que induce a
más allá de un medio didáctico, a la creación de una cultura
organizacional y pedagógica, de comunicación y conocimiento.
Competencias deseables de un Docente en el uso de las TIC
Las necesidades formativas generadas por los avances de la
cultura informática y las tendencias actuales de la Educación, demandan
que se definan Estándares TIC en los Docentes, como una respuesta a
la necesidad del diseño e implementación de las mismas.
TORO, P., OCHOA, P., VILLEGAS, G. & ZEA, C. (2004) en el I
Congreso Internacional de Educación Mediada por Tecnologías, realizado
del 6 al 8 de octubre en la Universidad del Norte de Barranquilla-
Colombia, en una iniciativa fomentada por el Consorcio Iberoamericano
de Ciencia y Tecnología (ISTEC), presentan una propuesta al respecto
apoyándose en el modelo Conexiones de la Universidad EAFIT de
Colombia, los Estándares Internacionales de Tecnología en Educación de
163
los EEUU(NETS) al 2002, Estándares de la instrucción de la información
para aprendizaje (TLS) al 2002, como también de un análisis de la
propuesta de Pere Marqués, al 2004.
Gráfico 82: Formación Conexiones.
Tomado de:http://bdigital.eafit.edu.co/Jour nal/HRU100/Cuaderno35.pdf . Hacia un Modelo de Formación Continuada de Docentes de
Educación Superior en el uso pedagógico de las Tecnologías de la Información y Comunicación, página 24.
Por: Claudia Zea, María del Rosario Atuesta, Gustavo Villegas, Patricia Toro Beatriz Nicholls y Natalia Foronda (2005).
Los autores concluyen:
 Las propuestas del ISTE y de Pere Marqués, tienen relación
al centrarse en el Docente y comparten en primera instancia
el desarrollo instrumental, y el manejo de información en
Internet hace referencia a las Competencias de manejo de
Información (CMI). Ver Anexo 39.
 Crear una propuesta en base a los cuatro pilares de la
Educación de la UNESCO del saber: Saber, hacer, ser y
convivir, agrupando con tres componentes transversales:
Conceptual, procedimental y actitudinal, definiendo según el
caso las competencias en: Básicas, deseables y avanzadas.
Ver Anexo 40.
164
Existen también otros estándares internacionales que se pueden
disponer en el Anexo 41.
Normas UNESCO sobre Competencias en TIC para Docentes
UNESCO (2008) propone en su proyecto de las NORMAS
UNESCO sobre Competencias en TIC para Docentes (NUCTICD), tres
ENFOQUES relacionados a la reforma educativa para el presente siglo,
que se relacionan con la capacidad humana y se vincula con una política
educativa de desarrollo económico, incrementando las capacidades de la
mano de obra:
1. Nociones básicas de tecnología, para comprender las
tecnologías, integrando competencias tecnológicas en los
planes de estudio.
2. Profundización de los conocimientos, para utilizar los
conocimientos y así añadir valor a la sociedad y a la economía,
para resolver problemas reales y complejos.
3. Creación de conocimientos, para innovar y producir
conocimientos y obtener provecho de los mismos.
Creándose por ende una ruta de desarrollo a seguir: Nociones
básicas de tecnología > Profundización de conocimientos > Creación de
conocimientos.
Estas NORMAS no se centran sólo en las competencias TIC, sino
que se combinan con seis COMPONENTES:
1. Política y Visión.
165
2. Plan de Estudios (Curriculum) y Evaluación.
3. Pedagogía.
4. Uso de la tecnología (TIC).
5. Organización y administración.
6. Desarrollo Profesional Docente.
La combinación de los ENFOQUES y estos COMPONENTES
mencionados forman una matriz que sirve de marco a las NUCTICD,
donde en cada intersección se dispone de un módulo (ver Anexo 42),
pudiendo observarse qué se busca al coordinarlos. (Ver Anexo 43).
Cada uno de estos módulos posee sus competencias específicas
con su respectiva programación y métodos acorde a cada enfoque de
cambio educativo mencionado anteriormente: Nociones básicas de TIC,
Profundización del Conocimiento, Generación de Conocimiento FGPU
(2008).
UNESCO (2011), publica UNESCO ICT COMPETENCY
FRAMEWORK FOR TEACHERS (UNESCO marco de competencias TIC
para Docentes), como una actualización a la versión anterior, producto del
trabajo conjunto con INTEL, CISCO, ISTE y Microsoft, sobre la base de
información y experiencia con expertos y usuarios del mundo.
El marco que plantea es el siguiente (considerando como filas a los
aspectos de trabajo del Docente y como columnas a enfoques en el
mismo marco):
166
Marco de competencias TIC para Docentes - UNESCO
Aspectos/Enfoques Alfabetización
digital
Profundizando
conocimiento
Creación de
conocimiento
Entendiendo las
TIC en la
Educación
Política de
sensibilización.
Política de
entendimiento.
Política de
innovación.
Curriculum y
Evaluación
Conocimiento
básico.
Aplicación de
conocimiento.
Habilidades
para la
Sociedad del
Conocimiento.
Pedagogía Integrar
tecnología.
Resolver
problemas
complejos.
Autogestión.
TIC Herramientas
básicas.
Herramientas
complejas.
Herramientas
persuasivas.
Organización y
administración
Aula estándar. Grupos de
colaboración.
Organizaciones
de aprendizaje.
Aprendizaje
Profesional
Docente
Alfabetización
digital.
Administrar y
guiar.
El Docente
como modelo
de aprendiz.
Cuadro 21:Marco de competencias TIC para Docentes - UNESCO
Fuente: UNESCO ICT COMPETENCY FRAMEWORK FOR TEACHERS.Adaptado de la fuente mencionada,
página 3.
Elaborado por: LSI Jorge Vera Mosquera.
167
Los módulos a tratar son de número variante según el caso:
Módulos acorde al Marco de competencias TIC para Docentes -
UNESCO
Aspectos/Enfoques Alfabetización
digital
Profundizando
conocimiento
Creación de
conocimiento
Entendiendo las
TIC en la
Educación
1 1 1
Curriculum y
Evaluación 2 2 2
Pedagogía 3 3 3
TIC 4 4 4
Organización y
administración 5 5 5
Aprendizaje
Profesional
Docente
6 6 6
Cuadro 22:Módulos acorde al Marco de competencias TIC para Docentes - UNESCO
Fuente: UNESCO ICT COMPETENCY FRAMEWORK FOR TEACHERS.Adaptado de la fuente mencionada,
página 3.
Elaborado por: LSI Jorge Vera Mosquera.
En cada módulo se dispone de:
 Metas curriculares.
 Competencias del Docente.
 Objetivos (El Docente debe ser capaz de).
 Métodos de ejemplo.
168
Competencias digitales del estudiante universitario
El dicente de la Universidad resulta de un proceso educativo de
cualquier Facultad universitaria, destinado a desenvolverse en el mundo
laboral, cuya clasificación de competencias mayormente aceptada es la
siguiente OCHOA DEL RÍO, J. (2009):
1. Básicas, son cognitivas para procesar información que se
relacionan con conocimientos fundamentales propios de una
formación general, como habilidades de comunicación oral y
escrita, realizar cálculos, lecto-escritura, etc.
2. Genéricas, se relacionan con el comportamiento y actitud en
diferentes ámbitos como gestión de recursos, trabajo en equipo,
gestión de información, resolución de problemas, comprensión
sistémica, etc.
3. Específicas, propias de la profesión y que se vinculan
directamente con la ocupación.
Siendo el aprendiz el único responsable de su aprendizaje,
interactuando con la información con una visión crítica, reflexiva y
creativa, gestionando así su propio aprendizaje, apoyado en la mediación
docente y las fuentes de información que disponga, parte del éxito en este
nuevo paradigma educativo está en el interés, la motivación y la
constancia de los estudiantes.
Esto significa que las estrategias de aprendizaje se basarán en el
aprender a aprender.
169
En cualquiera de las competencias laborales que un aprendiz se
encuentre desarrollando, se encontrará con desarrollar competencias
digitales que son las claves para el aprendizaje permanente, siendo
aquellas que permiten utilizar el computador de un modo adecuado, que
pueda manejar y administrar información para sí mismo, como para
participar en red e Internet.
GISBERT, M. & ESTEVE, F. (2011) opinan que “es la suma de
todas estas habilidades, conocimientos y actitudes, en aspectos
tecnológicos, informacionales, multimedia y comunicativos, dando lugar a
una compleja alfabetización múltiple”.
Esta visión crea una nueva panorámica en cuanto a cómo
identificar las competencias digitales de un estudiante universitario.
Un criterio que vale considerar es el de UBIETO, M. & UBIETO, A.
(2011) quienes tomando de base a los estándares UNESCO (2008), las
clasifican en:
 Básicas:
o Utiliza recursos informáticos y de red.
o Utiliza aplicaciones de manera productiva.
o Aplica herramientas digitales para adquirir
información de diversas fuentes.
o Interactúa y colabora con sus compañeros usando
recursos digitales.
 De aplicación:
o Comunica información e ideas efectivamente,
utilizando variedad de medios y formatos.
170
o Participa en grupos para desarrollar proyectos,
realizar tareas o solucionar problemas.
o Resuelve problemas y toma decisiones utilizando TIC.
o Genera trabajos originales como medio de expresión
personal,
o Utiliza modelos y simulaciones para explorar temas
complejos.
 Éticas:
o Selecciona, analiza y utiliza la información de manera
ética.
o Utiliza la información adquirida por medio TIC de
manera legal y responsable.
o Valora las TIC como elemento de aprendizaje
permanente.
o Reconoce las TIC como medio de colaboración y
comunicación social.
Sin embargo, vale considerar también a ESTEVE, F. (2011), quien
hace notar que en la actualidad se deben considerar cuatro
alfabetizaciones:
1. Tecnológica.
2. Informacional.
3. Comunicativa.
4. Multimedia.
Que deben considerar las siguientes etapas: Adopción, adaptación,
apropiación e innovación, cuya propuesta de rúbrica de competencia
digital se encuentra en proceso de validación.
171
Nuevo paradigma de Educación Superior
En Europa se ha enmarcado un cambio a nivel universitario, el
mismo que exige un desarrollo de un perfil profesional nuevo en el
Docente, y un rol diferente en el estudiante. Así, DEL MORAL, M. y
RODRÍGUEZ, R. (2010) mencionan lo que consta en el Anexo 44.
Todo induce a una gestión de cambio, cuyos desafíos las mismas
autoras puntualizan:
 Liderazgo institucional: Donde el objetivo es hacer que la institución
haga creíble su compromiso de cambio desde los más altos
niveles, creando el clima y ambiente propicios. La cultura
organizacional es importante en función de las innovaciones que
hayan que realizarse, creando los mecanismos necesarios e
instancias adecuadas de decisión, girando todo en función de un
liderazgo coherente transaccional (garantía que las decisiones a
nivel superior sean asumidas por las personas coordinadoras) y
transformacional (líderes intermedios son agentes de cambio de la
cultura institucional).
 Cambio hacia una cultura de cooperación: La cultura predominante
en los ambientes universitarios es de corte personalista o
individualista, debido a que el propio sistema crea las condiciones
como: Automatización curricular, cargas en las agendas, falta de
espacios para encuentro y reflexión, …; por lo que la cooperación
es fundamental para la innovación y el desarrollo profesional,
generando un beneficio común, que debe empezar internamente y
traspasar al exterior, dígase local, provincial, nacional y hasta
internacional, por el beneficio que ocasiona los intercambios de
saberes y experiencias.
172
 Reconocimiento e incentivación de calidad y excelencia docente: El
poner en marcha estímulos e incentivos crea razones y motivos
para que el Docente desarrolle mejores y mayores esfuerzos para
alcanzar los objetivos y metas que la institución ha planteado.
 El profesorado y el EEES: Hace referencia al recurso humano de
todo ente educativo, siendo un eje vital y determinante.
Modelos pedagógicos de Educación a Distancia (EaD)
LARA, J., CAMACHO, M., MURILLO, E. y SALAZAR, M. (2007) en
la revista Acción Educativa No. 7, de la Universidad de Sinaloa, en su
artículo MODELOS PEDAGÓGICOS EN LA EDUCACIÓN A DISTANCIA
APOYADOS EN TIC, consideran que aun cuando no se puedan citar
modelos puros, debido a que en la práctica se aplican de modo híbrido,
en sentido genérico se pueden citar tres:
Modelo Convencional: Es usar la Tecnología sin que exista
diferencia significativa con las formas conductistas del modo presencial.
Es transferir información en línea, videoconferencias sin planificación
didáctica, mostrar presentaciones con exceso de información, …. ; se
mantiene el sentido de que el Docente transmite información y el
estudiante es un receptor de contenidos. El aprendizaje se mantiene
memorístico, con escasa interacción social.
Modelo de Redes de Conocimiento: Las TIC lleva al ser
humano a la adaptación del espacio y tiempo, lo que demanda un uso
adecuado e inteligente de ellas, conduciendo a una relación más
horizontal, interdisciplinar a más de crear contexto aplicativos
informáticos.
173
La forma de aprender es individual y organizacional, con un
enfoque de aprender a aprender, implicando el saber qué y el saber
cómo. Pudiendo crearse procesos investigativos en que el Docente lidera
con criterio interdisciplinar y comunicativo con sus estudiantes, creando
un proceso participativo, que puede hasta trascender más allá del aula, y
hasta involucrar colaboraciones externas.
Modelo centrado en Oficios o Competencias: Se lo conceptúa
en base al modelo de COLLINS, A. (1998) sobre el aprendizaje de oficios
para entornos de aprendizaje, en que la estructura laboral es el contexto,
como modelado es el trabajo en grupo, eliminándose los aprendices a
medida que dominan la tarea. Se toman en cuenta cuatro dimensiones:
Contenido, método, secuenciación y Sociología.
En cuanto al contenido se cita cuatro tipos de conocimiento:
 Conocimiento de un dominio específico
 Estrategias heurísticas,
 Estrategias de control y
 Estrategias de aprendizaje
Referente al método:
 Modelado
 Entrenamiento
 Andamiaje
 Articulación
 Reflexión y
 Exploración
174
En secuenciación:
 Complejidad creciente
 Diversidad y
 Habilidades globales antes que las locales.
Y en Sociología:
 Aprendizaje situado
 Práctica
 Motivación intrínseca y
 Utilización de la cooperación
Este modelo retoma aspectos de los paradigmas cognitivo y
sociocultural con un enfoque constructivista, destacando la flexibilidad
para establecer contenidos que se orientan a competencias específicas,
con un aprendizaje guiado y cooperativo, por lo que la selección debe ser
adecuada, permitiendo la autogeneración por el contexto de red en que se
trabaja.
Como es de notar, el Docente es un guía o tutor, centrándose en el
aprendiz y su aprendizaje, buscándose la realización de tareas que
encarrilan el alcance de las competencias planteadas, respondiendo en
base a un ambiente comunitario para aprender, por lo que el estudiante
aplica estrategias de aprender haciendo, aprendizaje interactivo y se va
formando en competencias específicas ya establecidas de alcanzar.
A continuación, se visualiza un resumen con determinadas
características:
175
Modelos pedagógicos de Educación a Distancia
Características
/Modelos
Convencional Red Centrado en
Oficios o
competencias
Enfoque
epistemológico
Procesos
asociacionistas
Procesos de
interacción social
e intercambio
Constructivismo
con base en el
racionalismo
Materiales y
herramientas
didácticas
Máquinas de
enseñar; enseñanza
programada
Plataformas web,
gestión de bases
del conocimiento
Interfases
virtuales
Formas de
propiciar el
aprendizaje
Cambios de
conducta mediante
estímulos
reforzadores
Planteamiento de
proyectos de
investigación
inter-disciplinarios
mediante el
trabajo
colaborativo
Uso de
estrategias de
aprendizaje,
motivación y
trabajo
cooperativo
Modelo de
enseñanza
Centrado en el
Profesor
Centrado en los
actores y los
mecanismos de
coordinación
social
Centrado en el
grupos pequeños
y el uso de
andamiajes
Papel del
Profesor
Administrador de
reforzadores que
otorga premios y
castigos
Conducción del
proceso
enseñanza-
aprendizaje
mediante la
autogestión
Profesor guía y
Profesor tutor
Formas de
organización
Grupos
homogéneos
Comunidades de
conocimiento
Comunidades o
ambientes de
aprendizaje
176
Formas de
evaluar
Tests o pruebas
estandariza-das
Autoevaluación
en los contextos
de aplicación
Tareas
específicas
predetermina-das
Ventajas Facilidad de
implementación
Potencialidad
para el desarrollo
de trabajos
complejos
Problemas
cuando las
competencias
adquiridas dejan
de ser vigentes
Desventajas Dependencia de los
reforzadores
Dificultades para
la traducción de
diferentes
lenguajes
disciplinarios,
largos procesos
de deliberación
Cuadro 23:Modelos pedagógicos de Educación a Distancia
Fuente:REVISTA ACCIÓN EDUCATIVA No. 7, UNIVERSIDAD AUTONOMA DESINALOA, MAYO2007.
Página 41
Elaborado por:José Lara, Martín Camacho, Eloy Murillo y Miguel Salazar (2007),
Establecer un solo Modelo para aplicar, resulta muy difícil de
establecer por las implicaciones prácticas que se presentan en el correr
del proceso educativo, por esta razón es que la combinación de ellos lo
debe establecer el Docente, en el momento y forma que considere
conveniente. Siendo esta situación una razón más por la que la
Formación Docente en TIC, es vital en la Educación de hoy, requiriendo
experiencia pedagógica, andragógica y tecnológica.
Fundamentación legal
El marco legal involucra la Ley Orgánica de Educación Superior de
la República del Ecuador (R.O. 298), la Declaración Mundial sobre la
Educación Superior en el siglo XXI (1998), la Conferencia Mundial sobre
la Educación Superior y la investigación para el cambio social y el
177
desarrollo (2009), hasta lo establecido en la Universidad de Guayaquil.
Vale tener presente, que si bien la Conferencia Mundial de la UNESCO
sobre Educación Superior no tiene una definición normativa sobre los
Países Miembros entre los cuales nuestra Nación se encuentra, porque
queda en el plano de la recomendación, marca un hito en la Educación
por un desarrollo sostenible y erradicador de la pobreza, al punto que la
Nueva Agenda Educativa tratará los logros de la II Conferencia.
Se puntualiza:
 La Declaración Mundial sobre la Educación Superior en el siglo XXI
(París, 1998), (Anexo 1) en su artículo 12, trata sobre el potencial y
los desafíos de la Tecnología.
Hace hincapié que el empleo de las TIC y su relación con la
elaboración, adquisición y transmisión de los conocimientos, crea
la renovación en la Educación Superior, identificando el papel
fundamental de la Docencia Universitaria y estableciendo los
medios mediante la creación de redes locales, nacionales e
internacionales, entornos pedagógicos, material didáctico,
aplicación tecnológica educativa, el fomento de la formación e
investigación, Educación a distancia, plataformas virtuales, …, de
tal manera que las entidades universitarias modernicen su trabajo.
 En la Conferencia Mundial sobre la Educación Superior: La nueva
dinámica de la Educación Superior y la investigación para el
cambio social y el desarrollo. (Anexo 2).
Se refiere a la dinámica a emplear para alcanzar la EPT
(Educación Para Todos) para crear un cambio social y de
desarrollo en la Educación Superior, estableciendo puntos que
sirvan de lineamientos para la Formación Docente que debe ser
incrementada dada la escasez actual, reafirmando el empleo de las
TIC para los procesos educativos en sus diferentes estamentos de
178
gestión docente y administración universitaria, recalcando la
investigación y los criterios de calidad que reflejen los objetivos
globales de Educación Superior, con iniciativas propias de
integración local, regional e internacional.
Recalca la elaboración de políticas y estrategias que cada país
debe establecer con fines de inversión en la Educación Superior,
en que se garantice la inversión y se respalde la investigación,
determinando y fortaleciendo la participación, se contrarreste con
mecanismos adecuados el éxodo de competencias y su vez
estimulando la movilidad de los Docentes, los estudiantes y el
personal de Educación y se logre la participación activa estudiantil
en el mundo universitario.
 En el Registro Oficial No. 298 (ver Anexo 3) de nuestro país, que
se refiere a la Ley Orgánica de Educación Superior, se resalta
como fines a la producción científica y la promoción de la
transferencia e innovación tecnológica, junto al fomento y
ejecución de programas de investigación científica, tecnológica y
pedagógica, y en base a Principios del Sistema y Funciones, regir
integralmente a las instituciones y demás componentes del sistema
educativo, de modo que su funcionamiento garantice el derecho a
la Educación de cualquier ciudadano, con todas las exigencias del
caso, y entre ellas está la docencia con sus aditamentos
necesarios para su ejercicio, basándose en el Principio de
Pertinencia, donde la Universidad debe responder a las
necesidades y demandas de la sociedad ecuatoriana, formando en
base a un conocimiento efectivo en valores, deberes y derechos de
la ciudadanía de cara a las realidades nacionales, y entre ellas está
el dominio de herramientas informáticas. El Personal Académico a
su vez, se encuentra garantizado bajo ley, en su capacitación y
perfeccionamiento permanente, debiendo constar en los
presupuestos institucionales, las partidas del caso.
179
 En la UNIVERSIDAD DE GUAYAQUIL (2011), dentro de su Plan
Estratégico de Desarrollo Institucional 2008-2015, en el eje
ACADÉMICO Y DOCENCIA, establece:
Mejorar el nivel académico y formación profesional de los
estudiantes y docentes con criterio pro-activo e innovador,
impartiendo conocimientos técnicos, científicos y
humanísticos, a fin de contribuir al desarrollo integral,
empresarial, económico, social, cultural y tecnológico a
nivel local y regional.
A su vez, en sus Acciones Estratégicas (ver Anexo 4) se encuentran
dos de las mismas que se relacionan con el tema de este trabajo, que
hacen hincapié en la investigación sobre las necesidades de nuestra
sociedad y el Mejoramiento Integral de la Calidad Educativa, que la
Universidad se encuentra decidida a fortalecer, mantener y liderar.
Preguntas a contestarse (preguntas directrices)
Todas las preguntas se encuentran relacionadas con la
Universidad de Guayaquil.
Se toma en cuenta a cada una de las variables:
1. ¿Dispone la Facultad de Filosofía, Letras y Ciencias de la
Educación de un estudio relacionado con el manejo de las TIC en
la gestión docente de la Universidad?
2. ¿Existen programas de Formación Continua Docente en TIC en la
Facultad de Filosofía, Letras y Ciencias de la Educación?
3. ¿Cuáles son las competencias actuales docentes en el manejo de
las TIC de los Educadores de las Facultades de la Universidad?
180
4. ¿Cuál es la infraestructura, equipamiento y servicios que provee la
Facultad de Filosofía para facilidad de los Docentes de la
Universidad?
5. ¿Cómo valora el Personal Docente sus necesidades de Formación
en TIC?
6. ¿Cuáles son las competencias profesionales en TIC del presente
siglo que el Educador de la Universidad debe tener para con la
sociedad ecuatoriana y el mundo globalizado?
7. ¿Existe a nivel de áreas en las Facultades de la Universidad,
Proyectos entre asignaturas, intercambio de experiencias de
aprendizaje y/o conocimientos en comunidad de Docentes por
cualquier medio, relacionados al empleo de las TIC en los procesos
educativos?
8. ¿Existen en la Facultad de Filosofía, Letras y Ciencias de la
Educación, estrategias de captación y desarrollo en el manejo de
las TIC orientadas al Personal Docente de la Universidad de
Guayaquil?
9. ¿En qué forma la creación de un Programa de Educación Continua
en el Manejo de las TIC para Docentes de la Universidad,
mejorará el desempeño profesional en la gestión docente?
10. ¿Cuál es la visión en torno al uso de las TIC por parte de los
Educadores de las Facultades de la Universidad, en los procesos
de aprendizaje?
11. ¿Se realizan actividades didácticas con TIC por parte de los
Docente en las aulas de clase de las Facultades de la Universidad?
12. ¿Los Educadores de la Universidad de Guayaquil utilizan
herramientas Web 2.0 en sus procesos educativos?
13. ¿Cuál es la actitud docente frente a la incorporación de las TIC en
la enseñanza universitaria?
14. ¿Cómo catalizar el cambio del rol docente al uso cotidiano de las
TIC en la gestión docente de los Educadores de la Universidad?
181
15. ¿Qué influye en la actitud, formación y uso de las TIC en el
profesorado de la Universidad, para su empleo en la gestión
docente?
16. ¿Qué nivel de conocimiento disponen los Docentes en el uso de las
TIC y su aplicación pedagógica y/o andragógica?
17. ¿Qué estrategias didácticas deben utilizar o utilizan los Docentes
para la integración de las TIC en el Curriculum?
18. ¿El Docente conoce, comprende, respeta y hace respetar las
políticas, normas y procedimientos relacionados a la privacidad,
propiedad intelectual, seguridad de datos y comportamiento
adecuado en el uso de los recursos informáticos, haciendo
comprender a sus estudiantes las implicaciones del caso?
19. ¿Cuál es el efecto en el rendimiento académico que consideran los
Docentes con respecto al uso de las TIC en el proceso educativo?
20. ¿Cuál es la situación actual del manejo de las TIC a nivel curricular
en la Universidad?
21. ¿La Facultad de Filosofía, Letras y Ciencias de la Educación
dispone de los recursos humanos y tecnológicos para el diseño e
implantación de un Programa de Educación Continua en el manejo
de las TIC para los Educadores de la Universidad?
22. ¿En qué y cómo debe consistir el Programa de Educación Continua
en el Manejo de las TIC para los Docentes de la Facultades de la
Universidad?
23. ¿Qué facilidades ofrece la Facultad de Filosofía a los Docentes de
la Universidad en relación a los accesos de los recursos educativos
necesarios para implementar un Programa de Educación Continua
en el Manejo de las TIC?
24. ¿Cuál será la propuesta apropiada para los Docentes de la
Universidad para diseñar e implementar un Programa de
Educación Continua en el Manejo de las TIC, tomando en cuenta el
marco teórico y la investigación tratados en el presente trabajo?
182
25. ¿Cuál es el grado de factibilidad para implementar un Programa de
Educación Continua en el Manejo de las TIC para los Docentes de
la Universidad?
26. ¿Cuál es el grado de importancia actual del manejo de las TIC que
se considera en la gestión docente universitaria?
27. ¿Cuáles son las habilidades, conocimientos y usos operativos
docentes en el manejo de las TIC por parte de los Educadores de
las Facultades de la Universidad?
Variables de la investigación
Variable independiente(X): Manejo de las TIC.
Uso de los medios tecnológicos o informáticos en la gestión docente con
un sentido educativo.
Variable dependiente (Y): Gestión Docente.
Conjunto de procesos, toma de decisiones y acciones educativas del
Docente en un marco institucional establecido en un centro educativo.
Variable Interviniente (Z): Diseño de un Programa de Educación
Continua.
Conjunto de actividades educativas emprendidas por un centro educativo
para aportar en forma permanente y programada espacios de formación,
actualización e innovación en conocimientos, capacidades, actitudes y
habilidades para un mejor desempeño profesional.
Definiciones conceptuales
Andragogía: Es la disciplina que se ocupa de la Educación y el
aprendizaje del adulto.
183
Aprendiz: Persona que aprende algún arte u oficio.
Axiología: Teoría de los valores.
Blog: O bitácora, es un sitio web que se actualiza periódicamente,
recopilando textos o artículos de varios actores, apareciendo el más
reciente, donde el autor decide si deja publicado o no su contribución.
Chat: O charla, se refiere a la comunicación escrita entre dos o más
personas en una red.
Criterio: Juicio para discernir, clasificar o relacionar una cosa.
Currículo: Conjunto de estudios y prácticas destinado a que el estudiante
desarrolle plenamente sus posibilidades.
Didáctica: Son las diversas técnicas y formas de enseñar, las cuales se
adaptan según las necesidades de los alumnos o las circunstancias. Es el
arte de enseñar.
Docente: Quien se dedica profesionalmente a la enseñanza.
EaD: Siglas de Educación a Distancia.
Educación: Acción y efecto de educar.
FID: Siglas de Formación Inicial Docente.
Formación: Acción y efecto de formar o formarse.
Fundamentación: Establecimiento o aseguramiento de algo.
184
Foro: Es un tipo de reunión virtual vía web, donde distintas personas
conversan sobre un tema en común, siendo su objetivo personal el
conocer la opinión sobre un temática concreta.
Gestión: Acción y efecto de gestionar.
Gestionar: Hacer diligencias conducentes al logro de un deseo
cualquiera.
Internet: Red informática mundial, descentralizada, formada por la
conexión directa entre computadoras u ordenadores mediante un
protocolo especial de comunicación.
Metodología: Conjunto de procedimientos basados en principios lógicos
utilizados para alcanzar un objetivo u objetivos que rigen en una
investigación científica o exposición doctrinal.
Modelo: Arquetipo o punto de referencia para imitarlo o reproducirlo.
Paradigma: modelo o patrón en cualquier disciplina científica u otro
contexto epistemológico.
Pedagogía: Es la ciencia que tiene como objetivo el estudio a la
Educación como fenómeno psicosocial, cultural y específicamente
humano, brindándole un conjunto de bases y parámetros para analizar y
estructurar la formación y los procesos de enseñanza-aprendizaje que
intervienen en ella.
Profesor: Persona que ejerce o enseña un arte o una ciencia.
185
Red: Conjunto de ordenadores o de equipos informáticos conectados
entre sí que pueden intercambiar información.
Taxonomía: Ciencia que trata de los principios, métodos y fines de la
clasificación. Se aplica en particular, dentro de la biología, para la
ordenación jerarquizada y sistemática, con sus nombres, de los grupos de
animales y de vegetales.
Teoría: Hipótesis cuyas consecuencias se aplican a toda una ciencia o a
parte muy importante de ella.
TIC: Es una sigla que significa Tecnologías de la Información y
Comunicación. Son un conjunto de tecnologías aplicadas para proveer a
las personas de la información y comunicación a través de medios
tecnológicos de última generación.
UNESCO: Siglas en inglés United Nations Educational, Scientific and
Cultural Organization, que significa Organización de las Naciones Unidas
para la Educación, la Ciencia y la Cultura.
Web: Por éste término se suele conocer a WWW (World Wide Web),
creado por el Centro Europeo de Investigación Nuclear como un sistema
de intercambio de información y que Internet ha estandarizado. Supone
un medio cómodo y elegante, basado en multimedia e hipertexto, para
publicar información en la red. Inicial y básicamente se compone del
protocolo http y del lenguaje HTML.
Wiki: Es un sitio web colaborativo donde puede participar varios usuarios,
de modo que pueden crear, modificar y eliminar un contenido, de un modo
interactivo, fácil y rápido.
186
CAPÍTULO III
METODOLOGÍA
Diseño de la investigación
Modalidad de la Investigación
El presente trabajo por su naturaleza, se ha enfocado como
modalidad de Proyecto Factible, porque ha presentado un enfoque cuali-
cuantitativo, en razón del problema y los objetivos a conseguir y además,
porque en el proceso se utilizan técnicas cualitativas para la comprensión
y descripción de los hechos, orientándolos básicamente al conocimiento
de una realidad dinámica y holística, evitando las mediciones y el uso de
las técnicas estadísticas. También se ubica en las modalidades
bibliográfica y de campo.
Proyecto Factible: Es aquel que se puede ejecutar en base a una
investigación, elaboración y desarrollo de un modelo viable con el objetivo
de solucionar problemas y atender necesidades específicas.
En el Manual de Trabajos de Grado de Especialización y Maestría y
Tesis Doctorales, UPEL (2006) define al Proyecto Factible como:
El Proyecto Factible consiste en la investigación,
elaboración y desarrollo de una propuesta de un modelo
operativo viable para solucionar problemas,
requerimientos o necesidades de organizaciones o grupos
sociales; puede referirse a la formulación de políticas,
programas, tecnologías, métodos o procesos. (Página 13).
187
En el manual mencionado anteriormente se encuentran algunos
criterios respecto a la investigación de campo.
Modalidad de campo: Es aquella que permite obtener información
de medios o instrumentos como encuestas, cuestionarios, entrevistas y
observaciones, para obtener un análisis de la realidad, de modo que se la
interpreta y entiende.
En el manual de la UPEL (2006), se expresa:
Se entiende por Investigación de Campo, el análisis
sistemático de problemas en la realidad, con el propósito
bien sea de describirlos, interpretarlos, entender su
naturaleza y factores constituyentes, explicar sus causas y
efectos, o predecir su ocurrencia, haciendo uso de
métodos característicos de cualquiera de los paradigmas o
enfoques de investigación conocidos o en desarrollo.
(Página 11).
El presente trabajo se realizó en la Facultad de Filosofía, Letras y
Ciencias de la Educación de la Universidad de Guayaquil, apoyándose en
la investigación de campo y bibliográfica documentada, para obtener
información teórica.
Modalidad bibliográfica: Es explorar lo que se ha escrito sobre un
problema o tema determinado. FERNÁNDEZ, N. (2011) Al referirse a la
investigación bibliográfica-documental señala: “Este método se basa en la
utilización de información contenida en documentos de todo tipo, escritos
o grabados, como pueden ser libros, artículos, o partes de ambos,
monografías, tesis, publicaciones en internet, etc.” (Página 21).
.
188
Tipo de Investigación
Para la presente investigación se han utilizado los siguientes tipos:
Descriptiva: Se obtiene información de un proceso para obtener
un enfoque de cómo opera y qué particularidades tiene.
Explicativa: Por buscar las causas de un fenómeno y por qué
ocurre, cuáles son sus variantes influyentes y sus interrelaciones de modo
que se obtienen las relaciones causa-efecto.
Documental: Porque se apoya en fuentes de tipo documental tanto
físicas como digitales.
Exploratoria: Averigua lo que está ocurriendo y en base a lo
encontrado se plantea una solución.
Población y muestra
Población: Es un todo absoluto de personas u objetos con características
comunes en un espacio determinado o un momento específico. LERMA,
H. (2011) opina: “La población es el conjunto de todos los elementos de la
misma especie que presentan una característica determinada o que
corresponden a una misma definición y a cuyos elementos se le
estudiarán sus características y relaciones”. (Página 72).
La población de esta investigación estuvo determinada por
Autoridades y Coordinadores a nivel de Post-Grado de la Facultad de
Filosofía, Letras y Ciencias de la Educación de la Universidad de
Guayaquil, los Docentes universitarios de la misma y los Maestrantes de
Educación Informática. Se consideró disponer de opiniones de expertos
en TIC para tomar en cuenta sus guías en el momento de la Propuesta.
189
A continuación, el detalle al respecto se indica en el siguiente
cuadro:
Distributivo de población
No. Estratos Personas
1 Directora de Post-
Grado
1
2 Director de Carreras
Técnicas Semi-
Presencial
1
4 Docentes de la
Universidad
3750
5 Consultores Externos 3
6 Maestrantes de
Educación
Informática
211
3966
Cuadro 24:Distributivo de población.
Fuente: Universidad de Guayaquil.
Elaborado por: LSI Jorge Vera Mosquera.
Fuente: Datos de la Investigación.
Elaboración: Jorge Vera Mosquera
Por lo tanto la población es de 3926 personas.
Muestra: Es una parte del todo que se ha considerado como población.
LERMA, H. (2011) considera: “Una muestra es un subconjunto de la
población” (Página 73).
190
Para obtener una muestra se aplicó la fórmula:
n= N/( (N-1)* e2 + 1 )
 n  muestra.
 N -> universo.
 E -> coeficiente de error – es discrecional, el investigador lo
determina.
Se tomó en cuenta el 100% de las personas para el caso de las
primeras Autoridades de Post-Grado de la Facultad de Filosofía y los
Consultores Externos, a quienes se les aplicó entrevistas.
A nivel de Docentes de la Universidad, se aplicó la fórmula
indicada anteriormente, considerando un 10% de margen de error,
tomando en cuenta que el universo de Profesores es de 3750, por lo que
en base al dato obtenido se obtiene como valor de muestra a 98
Docentes.
n= 3750/( ( 3750-1)* 0.102 + 1 )
A nivel de Maestrantes de Educación Informática, de igual modo se
aplicó la fórmula indicada anteriormente, considerando un 10% de margen
de error, tomando en cuenta que el universo de Maestrantes es de 211,
por lo que en base al dato obtenido se obtiene como valor de muestra a
69 Maestrantes.
n=170/( ( 211-1)* 0.102 + 1 )
191
Así obtenemos el siguiente cuadro:
Distributivo de muestra
No. Estratos Personas
1 Directora de Post-
Grado
1
2 Director de Carreras
Técnicas Semi-
Presencial
1
4 Docentes de la
Universidad
98
5 Consultores Externos 3
6 Maestrantes de
Educación
Informática
69
172
Cuadro 25:Distributivo de muestra.
Fuente: Universidad de Guayaquil.
Elaborado por: LSI Jorge Vera Mosquera.
Operacionalización de variables
VARIABLE DIMENSIÓN INDICADORES
Variable
independiente:
Manejo de las TIC.
Pedagógica/
Andragógica
Interés/desinterés del empleo de
las TIC en el quehacer
educativo.
Cambiar paradigma tradicional.
Uso de TIC en el Curriculum.
Empleo de estrategias
metodológicas y de aprendizaje
en el manejo de las TIC.
192
Social, Ética y
Legal
Considera y conoce el rol de las
TIC en la Educación y su
impacto en la Sociedad actual.
Facilita y/o contribuye
equitativamente los recursos
informáticos con sus estudiantes
considerando las circunstancias
de escenario.
Promueve en su
desenvolvimiento educativo el
uso ético y legal de los recursos
tecnológicos en sus diferentes
formas de uso y presentación.
Técnica Competencias TIC.
Gestión Utiliza software de productividad
para generar productos de fines
administrativos (informes, actas,
notas, etc.).
Emplea recursos de redes y
comunicación con la comunidad
educativa.
Desarrollo
Profesional
Necesidad de Formación en TIC
Practica, experimenta y evalúa
con herramientas TIC para
incorporarlas a su práctica
educativa con criterio de
actualización e innovación
193
Accede, participa, evalúa y
contribuye en espacios de
reflexión de experiencias de
aprendizaje por medios
tradicionales, en red o Internet
para incorporar ideas en sus
estrategias de aprendizaje.
Variable
dependiente:
Gestión Docente.
Aula Evaluación de aprendizajes en
función de sus estrategias TIC
empleadas.
Proyectos y/o actividades
Pedagógicas y/o Andragógicas
empleando métodos y técnicas
activas con el apoyo de las TIC.
Enfoques teóricos empleados
(Conductismo, Constructivismo,
Cognitivismo, Conectivismo,
sharismo)
Área Proyectos entre asignaturas.
Intercambio de experiencias de
aprendizaje.
Proyectos de conocimientos en
comunidad de Docentes.
Facultad Infraestructura y disponibilidad de
Equipos y Programas
relacionados con las TIC en los
procesos educativos.
Estudio, desarrollo e
implementación TIC relacionado
a los procesos educativos.
194
Universidad Grado de cumplimiento de los
objetivos planteados.
Políticas que incentiven el
empleo de las TIC.
Variable
Interviniente:
Diseño de un
Programa de
Educación
Continua.
Educación
Continua
Docente en
TIC
Fundamentos de la necesidad,
desarrollo e implementación de
Educación Continua TIC para el
profesorado universitario.
Estándares TIC en la Formación
Docente.
Educación Continua propuesta.
Cuadro 26:Operacionalización de variables.
Fuente: Investigador.
Elaborado por: LSI Jorge Vera Mosquera.
Instrumentos de la investigación
Al ser un Proyecto Factible se diseñaron encuestas y entrevistas
que se aplicaron a la muestra con los respectivos instrumentos.
Instrumento de medición: Es aquella herramienta que sirve para
recolectar información en base a una medida pre-establecida. GÓMEZ, M.
(2006) lo considera como “aquel que registra datos observables que
representan verdaderamente los conceptos o las variables que el
investigador tiene en mente” (página 122).
Encuesta: Es un estudio para obtener información en base a un
cuestionario pre-diseñado para medir un hecho o evento específico.
VIDAL DÍAZ DE RADA (2001) al respecto menciona que “Es una
195
búsqueda sistemática de información en la que el investigador pregunta a
los investigados sobre los datos que desea obtener” (página 13).
Entrevista: Es una comunicación oral o escrita entre dos o más
personas, en la cual las respuestas sirven para obtener información
actualizada y útil para una investigación. BISQUERRA, R. (1989), la
define así: “Es un diálogo intencional orientado hacia unos objetivos”.
(Página 88).
El objetivo fue ampliar y profundizar, en lo posible, en aspectos que
no se pudieron tratar con las encuestas y triangular dicha información con
lo obtenido en los cuestionarios.
Se realizaron in situ, considerando el entorno cotidiano de las
personas y lo que interesa investigar.
Se consideró apropiado el muestreo de sujetos tipo HERNÁNDEZ,
R., FERNÁNDEZ, C. & BAPTISTA, P. (2003) o de informantes
clave(ZAPATA, Ó., 2005), debido a que son: “Aquellos sujetos que
cuentan con la información cualitativa o cuantitativa del fenómeno que
indagamos.”(Página 71).
Por lo que se consideró emplear este instrumento con las Primeras
Autoridades del Post-Grado de Filosofía, al igual que con los Consultores
Externos.
Tanto el instrumento de la encuesta como de la entrevista han
contenido características fundamentales o básicas como son la validez y
la confiabilidad, que las convirtieron en instrumentos idóneos, es decir que
cumplieron con la finalidad para la cual fueron creados.
196
Validez: Es el nivel en que un instrumento mide una variable que
pretende medirse. ORTIZ, F. (2004) al respecto cita: “se refiere al grado
en que un instrumento realmente mide la variable que pretende medir”.
(Página 159).
Confiabilidad: Es el nivel de consistencia de un instrumento de
medición. SALKIND, N. (1999) opina que “es una medida práctica de qué
tan consistente y estable podría ser un instrumento de medición”. (Página
121).
Procedimiento de la investigación
Para realizar la presente investigación se siguieron los siguientes
pasos:
1. Denuncia del tema ante las autoridades de Post-Grado.
2. Defensa del tema ante un Tribunal.
3. Designación de los Consultores de la Investigación.
4. Desarrollo de los capítulos del Proyecto y la Propuesta.
a. Tomo I
i. Capítulo I: El Problema.
ii. Capítulo II: Marco teórico.
iii. Capítulo III: Metodología.
iv. Capítulo IV: Análisis e interpretación de
resultados.
v. Capítulo V: Conclusiones y recomendaciones.
vi. Capítulo VI: La Propuesta.
5. Entrega del trabajo concluido.
6. Presentación de los informes por parte de los Consultores
Pedagógico y Técnico, con la Aprobación del Trabajo.
7. Defensa del Trabajo de Investigación.
197
CAPÍTULO IV
ANÁLISIS E INTERPRETACIÓN DE RESULTADOS
Procesamiento de la información
La presente investigación ha utilizado las técnicas de la encuesta y
la entrevista, con el objetivo de disponer de información necesaria para su
respectivo análisis e interpretación.
Las entrevistas fueron aplicadas a las siguientes personas:
 Dra. Jeannette Yerovi de Orta, Directora de Post-Grado de la
Facultad de Filosofía (Anexo 45).
 MSc. Francisco Morán Peña, Director de Carreras Técnicas Semi-
Presencial (Anexo 46).
 Consultores Externos con experticia en el campo educativo e
informático:
o MSc. Francisco Roberto Silva Vera, Máster en Investigación
de Mercado, Ingeniero en Sistemas – ESPOL, once (11)
años de docencia en la carrera de Mercadotecnia y
Publicidad de la Facultad de Filosofía, Letras y Ciencias de
la Educación de la Universidad de Guayaquil. (Anexo 47).
o MSc. Milton Rafael Maridueña Arroyabe, Ingeniero en
Computación, ESPOL, Experiencia profesional en el
Departamento de Desarrollo de Sistemas, M. I. Municipio de
Guayaquil, Coordinación académica-Carrera de Ingeniería
en Sistemas Computacionales- Facultad de Ciencias
Matemáticas y Físicas y Master en Docencia, Universidad de
198
o Guayaquil, desarrollando labores actualmente en el
Departamento de Vice-Rectorado (Anexo 48).
o MSc. John Raphael Orellana Tapia, Docente de la unidad
educativa IPAC, experiencia en las entidades LOGOS, San
José La Salle, Facultad de Filosofía, Letras y Ciencias de la
Educación en la Universidad de Guayaquil (Anexo 49).
Las encuestas se aplicaron a las siguientes personas:
 Una muestra de Maestrantes de Educación Informática a nivel de
Post-Grado y Educación Continua de la Facultad de Filosofía
(Anexo 50 - 69 personas) y
 A una muestra de Docentes de la Universidad de Guayaquil (Anexo
51 - 98 personas).
Una vez que fueron aplicadas las encuestas, por medio del
programa SPSS, se realizó la tabulación de los datos, elaboración de
gráficos y cuadros para cada pregunta, con apoyo en Excel para
facilidades gráficas en ciertos momentos. Obteniéndose como factor de
Cronbach en cada caso lo siguiente: Maestrantes, 0.801 y Docentes,
0.906.
La información obtenida ha sido procesada siguiendo los
siguientes pasos: Depuración de la información obtenida, codificación de
la información, creación de cuadros y gráficos estadísticos, análisis y
comentarios, y análisis de criterios obtenidos de entrevistas a expertos.La
información que se ha obtenido en cada una de las encuestas
proporciona los siguientes resultados:
199
Encuesta dirigida a Maestrantes de Educación Informática de Post-
Grado de la Facultad de Filosofía, Letras y Ciencias de la Educación
En cuanto al cargo actual de los Maestrantes de las personas
encuestadas.
Cargo actual Maestrantes
Valoración Frecuencia Porcentaje
No definido 2 2,90%
Docencia 61 88,41%
Asist. Lb. Inf. 1 1,45%
Dir.
Informática
1 1,45%
Consultoría
Técnica
1 1,45%
Secretaria 1 1,45%
Administrativo 2 2,90%
TOTAL 69 100,00%
Cuadro 27:Cargo actualMaestrantes.
Fuente:Maestrantes de Educación Informática de la Universidad de Guayaquil.
Elaborado por:LSI Jorge Vera Mosquera.
Gráfico 83: Cargo actualMaestrantes
Fuente:Maestrantes de Educación Informática de la Universidad de Guayaquil.
Elaboración:LSI Jorge Vera Mosquera.
2
61
1 1 1 1 22.90
88.41
1.45 1.45 1.45 1.45 2.90
Frecuencia Porcentaje
200
Luego de observar los resultados en el cuadro y gráfico, se
determina que la gran mayoría se encuentra relacionada con el
desempeño docente (88,41%), y el resto en su generalidad se encuentra
en relación con la Informática.
En cuanto a los años de experiencia docente de las personas
encuestadas:
Años de experiencia docente de Maestrantes
Años
Experiencia Frecuencia Porcentaje Promedio
0 1 1,45% 0,00
1 3 4,35% 0,50
2 2 2,90% 1,00
3 5 7,25% 1,50
4 6 8,70% 2,00
5 6 8,70% 2,50
6 7 10,14% 3,00
7 9 13,04% 3,50
8 9 13,04% 4,00
10 4 5,80% 4,60
11 2 2,90% 5,18
12 3 4,35% 5,75
13 1 1,45% 6,31
14 1 1,45% 6,86
15 4 5,80% 7,40
18 3 4,35% 8,06
19 3 4,35% 8,71
69 100,00%
Cuadro 28:Años de experiencia docente de Maestrantes.
Fuente:Maestrantes de Educación Informática de la Universidad de Guayaquil.
Elaborado por:LSI Jorge Vera Mosquera.
201
Gráfico 84:Último grado académico de Maestrantes.
Fuente:Maestrantes de Educación Informática de la Universidad de Guayaquil.
Elaboración:LSI Jorge Vera Mosquera.
Luego de observar los resultados en el cuadro y gráfico, se determina
que existe un promedio de experiencia de 8,71 años, entre los
Maestrantes encuestados, hallándose Profesores desde cero (0) hasta
diecinueve(19) años de experiencia, a su vez la frecuencia más alta es
de nueve (9) Profesores con siete (7) y ocho (8) años de experiencia
respectivamente, y la mínima de cero (0) en frecuencia de uno(1),
existiendo frecuencias iguales en trece(13) y catorce(14) años de
experiencia, dos (2) en dos(2) y once(11) años de experiencia, tres(3) en
uno(1), doce(12), dieciocho(18) y diecinueve(19) años de experiencia,
cuatro(4) con diez(10) años de experiencia, cinco(5) con tres(3) años de
experiencia, seis(6) con cuatro(4) y cinco(5) años de experiencia, y
siete(7) con seis(6) años de experiencia, lo que representa una variedad
notable en la muestra.
0
2
4
6
8
10
12
14
16
18
20
1 2 3 4 5 6 7 8 9 10 11 12 13 14 15 16 17
Años Experiencia Frecuencia Porcentaje Promedio
202
En cuanto al último grado académico de las personas encuestadas:
Último grado académico de Maestrantes
Valoración Frecuencia Porcentaje
3er Nivel 63 91,30%
4to Nivel 6 8,70%
TOTAL 69 100,00%
Cuadro 29:Último grado académico de Maestrantes.
Fuente:Maestrantes de Educación Informática de la Universidad de Guayaquil.
Elaborado por:LSI Jorge Vera Mosquera.
Gráfico 85:Último grado académico de Maestrantes.
Fuente:Maestrantes de Educación Informática de la Universidad de Guayaquil.
Elaboración:LSI Jorge Vera Mosquera.
Luego de observar los resultados en el cuadro y gráfico, se determina
que existe un alto número de Maestrantes de tercer nivel (91,30%) frente
al cuarto nivel (8,70%), lo que habla del pensamiento mayoritario de un
nivel docente que aspira llegar al siguiente.
0
10
20
30
40
50
60
70
80
90
100
Frecuencia Porcentaje
3er Nivel
4to Nivel
203
Pregunta No. 1: ¿Considera Ud. que el aprendizaje autónomo se puede
presentar con el empleo de las TIC en el proceso educativo?
Aprendizaje autónomo con empleo TIC
Valoración Frecuencia Porcentaje
Desconozco 1 1,45%
Sí 65 94,20%
No 3 4,35%
TOTAL 69 100,00%
Cuadro 30:Aprendizaje autónomo con empleo TIC.
Fuente:Maestrantes de Educación Informática de la Universidad de Guayaquil.
Elaborado por:LSI Jorge Vera Mosquera.
Gráfico 86: Aprendizaje autónomo con empleo TIC.
Fuente:Maestrantes de Educación Informática de la Universidad de Guayaquil.
Elaboración:LSI Jorge Vera Mosquera.
Luego de observar los resultados en el cuadro y gráfico, se determina que
existe un alto porcentaje de Maestrantes (94,20%) que consideran que el
aprendizaje autónomo se puede presentar con el empleo de las TIC en el
proceso educativo, mientras que un 4,35%, no lo considera así, y un
1,45% desconoce al respecto. Se infiere que existe una aceptación en los
Maestrantes de que el aprendizaje autónomo se puede presentar con el
empleo de las TIC en el proceso educativo.
Desconozco Sí No
1
65
31.45
94.20
4.35
Frecuencia Porcentaje
204
Pregunta No. 2: ¿Considera Ud. que el trabajo colaborativo se puede
presentar con el empleo de las TIC en el proceso educativo?
Trabajo colaborativo con empleo de TIC
Valoración Frecuencia Porcentaje
Desconozco 0 0,00%
Sí 68 98,55%
No 1 1,45%
TOTAL 69 100,00%
Cuadro 31:Trabajo colaborativo con empleo de TIC.
Fuente:Maestrantes de Educación Informática de la Universidad de Guayaquil.
Elaborado por:LSI Jorge Vera Mosquera.
Gráfico 87: Trabajo colaborativo con empleo de TIC.
Fuente:Maestrantes de Educación Informática de la Universidad de Guayaquil.
Elaboración:LSI Jorge Vera Mosquera.
Luego de observar los resultados en el cuadro y gráfico, se determina que
existe un alto porcentaje de Maestrantes (98,55%) que consideran que el
trabajo colaborativo se puede presentar con el empleo de las TIC en el
proceso educativo, mientras que un 1,45%, no lo considera así, y nadie
desconoce al respecto. Se infiere que los Maestrantes consideran que el
trabajo colaborativo se puede presentar con el empleo de las TIC en el
proceso educativo.
Desconozco Sí No
0
68
10.00
98.55
1.45
Frecuencia Porcentaje
205
Pregunta No. 3: ¿Considera importante el empleo de las TIC en la
programación de la asignatura?
Importancia empleo TIC en programación de asignatura
Valoración Frecuencia Porcentaje
Desconozco 0 0,00%
Sí 66 95,65%
No 3 4,35%
TOTAL 69 100,00%
Cuadro 32:Importancia empleo TIC en programación de asignatura.
Fuente:Maestrantes de Educación Informática de la Universidad de Guayaquil.
Elaborado por:LSI Jorge Vera Mosquera.
Gráfico 88: Importancia empleo TIC en programación de asignatura.
Fuente:Docentes de la Universidad de Guayaquil.
Elaboración:LSI Jorge Vera Mosquera.
Luego de observar los resultados en el cuadro y gráfico, se determina que
existe un alto porcentaje de Maestrantes (95,65%) que manifiestan que es
importante el empleo de las TIC en la programación de la asignatura,
mientras que un 4,35%, no lo considera así, y nadie desconoce al
respecto. Se infiere que los Maestrantes consideran importante el empleo
de las TIC en la programación de la asignatura.
Desconozco Sí No
0
66
30.00
95.65
4.35
Frecuencia Porcentaje
206
Pregunta No. 4: ¿Conoce, respeta y hace respetar las políticas, normas y
procedimientos relacionados a la privacidad, propiedad intelectual,
seguridad de datos y comportamiento adecuado en el uso de los
recursos informáticos?
Conocimiento y respeto en uso de recursos informáticos
Valoración Frecuencia Porcentaje
Desconozco 4 5,80%
Sí 53 76,81%
No 12 17,39%
TOTAL 69 100,00%
Cuadro 33:Conocimiento y respeto en uso de recursos informáticos.
Fuente:Maestrantes de Educación Informática de la Universidad de Guayaquil.
Elaborado por:LSI Jorge Vera Mosquera.
Gráfico 89: Conocimiento y respeto en uso de recursos informáticos.
Fuente:Maestrantes de Educación Informática de la Universidad de Guayaquil.
Elaboración:LSI Jorge Vera Mosquera.
Luego de observar los resultados en el cuadro y gráfico, se determina que
existe un alto porcentaje de Maestrantes (76,81%) que conocen, respetan
y hacen respetar las políticas, normas y procedimientos relacionados a la
privacidad, propiedad intelectual, seguridad de datos y comportamiento
adecuado en el uso de los recursos informáticos, mientras que en un
17,39%, no es así, y un 5,80% desconoce al respecto. Se infiere que los
Maestrantes están acorde a lo que la mayoría ha manifestado.
Desconozco Sí No
4
53
12
5.80
76.81
17.39
Frecuencia Porcentaje
207
Pregunta No. 5: ¿Promueve en su desenvolvimiento educativo el uso
ético y legal de los recursos tecnológicos en sus diferentes formas de uso
y presentación?
Uso ético y legal de recursos tecnológicos
Valoración Frecuencia Porcentaje
Desconozco 2 2,90%
Sí 59 85,51%
No 8 11,59%
TOTAL 69 100,00%
Cuadro 34:Uso ético y legal de recursos tecnológicos.
Fuente:Maestrantes de Educación Informática de la Universidad de Guayaquil.
Elaborado por:LSI Jorge Vera Mosquera.
Gráfico 90: Conocimiento y respeto en uso de recursos informáticos.
Fuente:Maestrantes de Educación Informática de la Universidad de Guayaquil.
Elaboración:LSI Jorge Vera Mosquera.
Luego de observar los resultados en el cuadro y gráfico, se determina que
existe un alto porcentaje de Maestrantes (85,51%) que promueven en su
desenvolvimiento educativo el uso ético y legal de los recursos
tecnológicos en sus diferentes formas de uso y presentación, mientras
que un 11,59%, no lo hace, y un 2,90% desconoce al respecto. Se infiere
que los Maestrantes están acorde a lo que la mayoría ha manifestado.
Desconozco Sí No
2
59
8
2.90
85.51
11.59
Frecuencia Porcentaje
208
Pregunta No. 6: ¿Comprende y hace comprender las implicaciones
legales del uso de software y sus tipos de licencias?
Comprensión de implicaciones legales de uso de software
Valoración Frecuencia Porcentaje
Desconozco 2 2,90%
Sí 53 76,81%
No 14 20,29%
TOTAL 69 100,00%
Cuadro 35:Comprensión de implicaciones legales de uso de software.
Fuente:Maestrantes de Educación Informática de la Universidad de Guayaquil.
Elaborado por:LSI Jorge Vera Mosquera.
Gráfico 91: Comprensión de implicaciones legales de uso de software.
Fuente:Maestrantes de Educación Informática de la Universidad de Guayaquil.
Elaboración:LSI Jorge Vera Mosquera.
Luego de observar los resultados en el cuadro y gráfico, se determina que
existe un alto porcentaje de Maestrantes (76,81%) que comprenden y
hacen comprender las implicaciones legales del uso de software y sus
tipos de licencias, mientras que un 20,29%, no lo hacen, y un 2,90%
desconoce al respecto. Se infiere que los Maestrantes están acorde a lo
que la mayoría ha manifestado.
Desconozco Sí No
2
53
14
2.90
76.81
20.29
Frecuencia Porcentaje
209
Pregunta No. 7: ¿Utiliza software de productividad para generar
productos de fines administrativos? (informes, actas, notas, etc.).
Uso de software de productividad
Valoración Frecuencia Porcentaje
Desconozco 4 5,80%
Sí 49 71,01%
No 16 23,19%
TOTAL 69 100,00%
Cuadro 36:Uso de software de productividad.
Fuente:Maestrantes de Educación Informática de la Universidad de Guayaquil.
Elaborado por:LSI Jorge Vera Mosquera.
Gráfico 92: Uso de software de productividad.
Fuente:Maestrantes de Educación Informática de la Universidad de Guayaquil.
Elaboración:LSI Jorge Vera Mosquera.
Luego de observar los resultados en el cuadro y gráfico, se determina que
existe un alto porcentaje de Maestrantes (71,01%) que utilizan software
de productividad para generar productos de fines administrativos
(informes, actas, notas, etc.), mientras que un 23,19%, no lo hacen, y un
5,80% desconoce al respecto. Se infiere que los Maestrantes están
acorde a lo que la mayoría ha manifestado.
Desconozco Sí No
4
49
16
5.80
71.01
23.19
Frecuencia Porcentaje
210
Pregunta No. 8: ¿Dispone de fuentes de información y sitios relevantes
relacionados con las TIC en el quehacer educativo?
Fuentes de información y sitios relevantes TIC en quehacer
educativo
Valoración Frecuencia Porcentaje
Desconozco 1 1,45%
Sí 54 78,26%
No 14 20,29%
TOTAL 69 100,00%
Cuadro 37:Fuentes de información y sitios relevantes TIC en quehacer educativo.
Fuente:Maestrantes de Educación Informática de la Universidad de Guayaquil.
Elaborado por:LSI Jorge Vera Mosquera.
Gráfico 93: Fuentes de información y sitios relevantes TIC en quehacer educativo.
Fuente:Maestrantes de Educación Informática de la Universidad de Guayaquil.
Elaboración:LSI Jorge Vera Mosquera.
Luego de observar los resultados en el cuadro y gráfico, se determina que
existe un alto porcentaje de Maestrantes (78,26%) que disponen de
fuentes de información y sitios relevantes relacionados con las TIC en el
quehacer educativo, mientras que un 20,29%, no disponen, y un 1,45%
desconoce al respecto. Se infiere que los Maestrantes están acorde a lo
que la mayoría ha manifestado.
Desconozco Sí No
1
54
14
1.45
78.26
20.29
Frecuencia Porcentaje
211
Pregunta No. 9: ¿Practica, experimenta y evalúa con herramientas TIC
para incorporarlas a su práctica educativa?
Practica, experimenta y evalúa TIC para práctica educativa
Valoración Frecuencia Porcentaje
Desconozco 0 0,00%
Sí 61 88,41%
No 8 11,59%
TOTAL 69 100,00%
Cuadro 38:Practica, experimenta y evalúa TIC para práctica educativa.
Fuente:Maestrantes de Educación Informática de la Universidad de Guayaquil.
Elaborado por:LSI Jorge Vera Mosquera.
Gráfico 94: Practica, experimenta y evalúa TIC para práctica educativa.
Fuente:Maestrantes de Educación Informática de la Universidad de Guayaquil.
Elaboración:LSI Jorge Vera Mosquera.
Luego de observar los resultados en el cuadro y gráfico, se determina que
existe un alto porcentaje de Maestrantes (88,41%) que practican,
experimentan y evalúan con herramientas TIC para incorporarlas a su
práctica educativa, mientras que un 11,59%, no lo hace, y nadie
desconoce al respecto. Se infiere que los Maestrantes están acorde a lo
que la mayoría ha manifestado.
Desconozco Sí No
0
61
8
0.00
88.41
11.59
Frecuencia Porcentaje
212
Pregunta No. 10: ¿Accede, participa y contribuye en espacios de
reflexión de experiencias de aprendizaje por medios tradicionales, en red
o Internet?
Acceso, participación y contribución en espacios de aprendizaje
Valoración Frecuencia Porcentaje
Desconozco 1 1,45%
Sí 44 63,77%
No 24 34,78%
TOTAL 69 100,00%
Cuadro 39:Acceso, participación y contribución en espacios de aprendizaje.
Fuente:Maestrantes de Educación Informática de la Universidad de Guayaquil.
Elaborado por:LSI Jorge Vera Mosquera.
Gráfico 95: Acceso, participación y contribución en espacios de aprendizaje.
Fuente:Maestrantes de Educación Informática de la Universidad de Guayaquil.
Elaboración:LSI Jorge Vera Mosquera.
Luego de observar los resultados en el cuadro y gráfico, se determina que
existe un alto porcentaje de Maestrantes (63,77%) que acceden,
participan y contribuyen en espacios de reflexión de experiencias de
aprendizaje por medios tradicionales, en red o Internet, mientras que un
34,78%, no lo hace, y un 1,45% desconoce al respecto. Se infiere que los
Maestrantes están acorde a lo que la mayoría ha manifestado, teniendo
presente que un porcentaje considerable no está así.
Desconozco Sí No
1
44
24
1.45
63.77
34.78
Frecuencia Porcentaje
213
Pregunta No. 11: ¿Utiliza, evalúa y comparte ideas, experiencias y
herramientas TIC para incorporarlas en estrategias de aprendizaje?
Utiliza, evalúa y comparte herramientas TIC en aprendizaje
Valoración Frecuencia Porcentaje
Desconozco 1 1,45%
Sí 62 89,86%
No 6 8,70%
TOTAL 69 100,00%
Cuadro 40:Utiliza, evalúa y comparte herramientas TIC en aprendizaje.
Fuente:Maestrantes de Educación Informática de la Universidad de Guayaquil.
Elaborado por:LSI Jorge Vera Mosquera.
Gráfico 96: Utiliza, evalúa y comparte herramientas TIC en aprendizaje.
Fuente:Maestrantes de Educación Informática de la Universidad de Guayaquil.
Elaboración:LSI Jorge Vera Mosquera.
Luego de observar los resultados en el cuadro y gráfico, se determina que
existe un alto porcentaje de Maestrantes (89,86%) que utilizan, evalúan y
comparten ideas, experiencias y herramientas TIC para incorporarlas en
estrategias de aprendizaje, mientras que un 8,70%, no lo hace, y un
1,45% desconoce al respecto. Se infiere que los Maestrantes están
acorde a lo que la mayoría ha manifestado.
Desconozco Sí No
1
62
6
1.45
89.86
8.70
Frecuencia Porcentaje
214
Pregunta No. 12: ¿Participa en instancias relacionadas con las TIC y el
aprendizaje? (Foros, congresos, seminarios, etc.)
Participación en instancias TIC y aprendizaje
Valoración Frecuencia Porcentaje
Desconozco 1 1,45%
Sí 41 59,42%
No 27 39,13%
TOTAL 68 100,00%
Cuadro 41 : Participación en instancias TIC y aprendizaje.
Fuente:Maestrantes de Educación Informática de la Universidad de Guayaquil.
Elaborado por:LSI Jorge Vera Mosquera.
Gráfico 97: Participación en instancias TIC y aprendizaje.
Fuente:Maestrantes de Educación Informática de la Universidad de Guayaquil.
Elaboración:LSI Jorge Vera Mosquera.
Luego de observar los resultados en el cuadro y gráfico, se determina que
existe un alto porcentaje de Maestrantes (59,42%) que participan en
instancias relacionadas con las TIC y el aprendizaje (Foros, congresos,
seminarios, etc.), mientras que un 39,13%, no lo hace, y un 1,45%
desconoce al respecto. Se infiere que los Maestrantes en su mayoría lo
hacen, sin embargo existe un porcentaje considerable que no.
Desconozco Sí No
1
41
27
1.45
59.42
39.13
Frecuencia Porcentaje
215
Pregunta No. 13: ¿En qué grado de importancia considera Ud. al manejo
de las TIC en la gestión docente universitaria?
Grado de importancia al manejo TIC en Gestión Universitaria
Valoración Frecuencia Porcentaje
Desconozco 1 1,45%
Nulo 0 0,00%
Algo 1 1,45%
Medio 5 7,25%
Alto 10 14,49%
Más alto 52 75,36%
TOTAL 69 100,00%
Cuadro 42 : Grado de importancia al manejo TIC en Gestión Universitaria.
Fuente:Maestrantes de Educación Informática de la Universidad de Guayaquil.
Elaborado por:LSI Jorge Vera Mosquera.
Gráfico 98: Grado de importancia al manejo TIC en Gestión Universitaria.
Fuente:Maestrantes de Educación Informática de la Universidad de Guayaquil.
Elaboración:LSI Jorge Vera Mosquera.
Luego de observar los resultados en el cuadro y gráfico, se determina que
en los Maestrantes existe la más alta importancia (75,36%) al manejo de
las TIC en la gestión docente universitaria, seguido de alta (14,49%),
media (7,25%), algo(1,45%), nulo (0,00%) y desconoce (1,45%). Se
infiere que los Maestrantes dan una alta importancia al manejo de las TIC
en la gestión docente universitaria.
1 0 1 5 10
52
1.45 0.00 1.45 7.25
14.49
75.36
Frecuencia Porcentaje
216
Pregunta No. 14: ¿En qué grado considera que es importante apoyarse
en las herramientas informáticas en el Curriculum actual de la asignatura
a su cargo?
Grado de importancia de herramientas TIC en asignatura
Valoración Frecuencia Porcentaje
Desconozco 1 1,45%
Nulo 0 0,00%
Algo 0 0,00%
Medio 5 7,25%
Alto 6 8,70%
Más alto 57 82,61%
TOTAL 69 100,00%
Cuadro 43:Grado de importancia de herramientas TIC en asignatura.
Fuente:Maestrantes de Educación Informática de la Universidad de Guayaquil.
Elaborado por:LSI Jorge Vera Mosquera.
Gráfico 99: Grado de importancia de herramientas TIC en asignatura.
Fuente:Maestrantes de Educación Informática de la Universidad de Guayaquil.
Elaboración:LSI Jorge Vera Mosquera.
Luego de observar los resultados en el cuadro y gráfico, se determina que
en los Maestrantes existe la más alta importancia (82,61%)al apoyo en las
herramientas informáticas en el Curriculum actual de la asignatura a
cargo, seguido de alta(8,70%), media (7,25%), algo (0,00%), nulo (0,00%)
y desconoce (1,45%). Se infiere que los Maestrantes dan una alta
consideración al apoyo en las herramientas informáticas en el Curriculum
actual de la asignatura a cargo.
1 0 0 5 6
57
1.45 0.00 0.00 7.25 8.70
82.61
Frecuencia Porcentaje
217
Pregunta No. 15: ¿Qué grado de importancia considera que se debe dar
al empleo de Software de Gestión de Contenidos y/o de Aprendizajes en
una modalidad semi-presencial y/o a distancia?
Grado de importancia en uso de Software de Gestión y/o Contenidos
Valoración Frecuencia Porcentaje
Desconozco 0 0,00%
Nulo 0 0,00%
Algo 1 1,45%
Medio 4 5,80%
Alto 13 18,84%
Más alto 51 73,91%
TOTAL 69 100,00%
Cuadro 44 : Grado de importancia en uso de Softw are de Gestión y/o Contenidos.
Fuente:Maestrantes de Educación Informática de la Universidad de Guayaquil.
Elaborado por:LSI Jorge Vera Mosquera.
Gráfico 100: Grado de importancia en uso de Softw are de Gestión y/o Contenidos.
Fuente:Maestrantes de Educación Informática de la Universidad de Guayaquil.
Elaboración:LSI Jorge Vera Mosquera.
Luego de observar los resultados en el cuadro y gráfico, se determina que
en los Maestrantes existe la más alta importancia (73,91%) al empleo de
Software de Gestión de Contenidos y/o de Aprendizajes en una
modalidad semi-presencial y/o a distancia, seguido de alta (18,84%),
media (5,80%), algo(1,45%), nulo (0,00%) y desconoce (0,00%). Se
infiere que los Maestrantes dan una alta consideración a lo preguntado.
0 0 1 4 13
51
0.00 0.00 1.45 5.80
18.84
73.91
Frecuencia Porcentaje
218
Pregunta No. 16: ¿En qué grado considera importante crear
procedimientos e instrumentos de evaluación de aprendizaje en entorno
TIC?
Grado de importancia de evaluación con TIC
Valoración Frecuencia Porcentaje
Desconozco 1 1,45%
Nulo 0 0,00%
Algo 1 1,45%
Medio 3 4,35%
Alto 12 17,39%
Más alto 52 75,36%
TOTAL 69 100,00%
Cuadro 45 : Grado de importancia de evaluación con TIC.
Fuente: Maestrantes de Educación Informática de la Universidad de Guayaquil.
Elaborado por:LSI Jorge Vera Mosquera.
Gráfico 101: Grado de importancia de evaluación con TIC.
Fuente:Maestrantes de Educación Informática de la Universidad de Guayaquil.
Elaboración:LSI Jorge Vera Mosquera.
Luego de observar los resultados en el cuadro y gráfico, se determina que
en los Maestrantes existe la más alta importancia (75,36%) a la creación
de procedimientos e instrumentos de evaluación de aprendizaje en
entorno TIC, seguido de alta (17,39%), media (4,35%), algo(1,45%), nulo
(0,00%) y desconoce (1,45%). Se infiere que los Maestrantes dan una alta
consideración a lo preguntado.
1 0 1 3
12
52
1.45 0.00 1.45 4.35
17.39
75.36
Frecuencia Porcentaje
219
Pregunta No. 17: ¿En qué grado considera su evolución de
conocimientos en la-s disciplina-s que imparte?
Evolución de conocimientos en disciplina que se imparte
Valoración Frecuencia Porcentaje
Desconozco 3 4,35%
Nulo 0 0,00%
Algo 1 1,45%
Medio 3 4,35%
Alto 24 34,78%
Más alto 38 55,07%
TOTAL 69 100,00%
Cuadro 46 : Evolución de conocimientos en disciplina que se imparte.
Fuente:Maestrantes de Educación Informática de la Universidad de Guayaquil.
Elaborado por:LSI Jorge Vera Mosquera.
Gráfico 102: Evolución de conocimientos en disciplina que se imparte.
Fuente:Maestrantes de Educación Informática de la Universidad de Guayaquil.
Elaboración:LSI Jorge Vera Mosquera.
Luego de observar los resultados en el cuadro y gráfico, se determina que
en los Maestrantes existe la más alta consideración (55,07%) a la
evolución de conocimientos en la-s disciplina-s que imparte, seguido de
alta (34,78%), media (4,35%), algo(1,45%), nulo (0,00%) y desconoce
(4,35%). Se infiere que los Maestrantes dan una alta estima a lo
preguntado.
3 0 1 3
24
38
4.35
0.00 1.45 4.35
34.78
55.07
Frecuencia Porcentaje
220
Pregunta No. 18: ¿Qué técnicas activas utiliza con apoyo en TIC?
Técnicas activas con apoyo TIC
Técnica Valoración Frecuencia Porcentaje
Mapas
conceptuales
No 29 42,03%
Sí 40 57,97%
SUMA 69 100,00%
Mapas
mentales
No 48 69,57%
Sí 21 30,43%
SUMA 69 100,00%
Aprendizaje
colaborativo
No 42 60,87%
Sí 27 39,13%
SUMA 69 100,00%
Trabajo en
grupo
No 25 36,23%
Sí 44 63,77%
SUMA 69 100,00%
Foro No 43 62,32%
Sí 26 37,68%
SUMA 69 100,00%
Audio digital No 44 63,77%
Sí 25 36,23%
SUMA 69 100,00%
Grabar
movimientos
en el monitor
No 58 84,06%
Sí 11 15,94%
SUMA 69 100,00%
Cuestionario No 47 68,12%
Sí 22 31,88%
SUMA 69 100,00%
221
Lluvia de
ideas
No 37 53,62%
Sí 32 46,38%
SUMA 69 100,00%
Pizarra en
línea
No 58 84,06%
Sí 11 15,94%
SUMA 69 100,00%
Ensayos No 50 72,46%
Sí 19 27,54%
SUMA 69 100,00%
Proyectos en
línea
No 53 76,81%
Sí 16 23,19%
SUMA 69 100,00%
Otros No 63 91,30%
Sí 6 8,70%
SUMA 69 100,00%
Cuadro 47 : Técnicas activas con apoyo TIC.
Fuente:Maestrantes de Educación Informática de la Universidad de Guayaquil.
Elaborado por:LSI Jorge Vera Mosquera.
Gráfico 103: Técnicas activas con apoyo TIC.
Fuente:Maestrantes de Educación Informática de la Universidad de Guayaquil.
Elaboración:LSI Jorge Vera Mosquera.
Desconozco No Aplico Aplico
8 7
54
11.59 10.14
78.26
Frecuencia Porcentaje
222
Para facilidades gráficas, se toma en cuenta cada técnica acorde a
lo siguiente:
Facilidades para interpretar técnicas de apoyo en gráficos
[1] Mapas conceptuales
[2] Mapas mentales
[3] Aprendizaje colaborativo
[4] Trabajo en grupo
[5] Foro
[6] Audio digital
[7]
Grabar movimientos en el
monitor
[8] Cuestionario
[9] Lluvia de ideas
[10] Pizarra en línea
[11] Ensayo
[12] Proyectos en línea
[13] Otros
Cuadro 48 : Facilidades para interpretar técnicas de apoyo en gráficos.
Fuente:Maestrantes de Educación Informática de la Universidad de Guayaquil.
Elaborado por:LSI Jorge Vera Mosquera.
En base al cuadro último se tratará a las técnicas utilizadas y a las
que no, acorde a un orden descendente de porcentaje de análisis y
tratamiento.
223
Técnicas no utilizadas
Gráfico 104: Técnicas no utilizadas.
Fuente:Maestrantes de Educación Informática de la Universidad de Guayaquil.
Elaboración:LSI Jorge Vera Mosquera.
La técnica menos utilizada es otros(91,30%), seguida de grabar
movimientos en el monitor y pizarra en línea (84,06%), proyecto en línea
(76,81%), ensayo (72,46%), mapas mentales (69,57%), cuestionario
(78,12%), audio digital (63,77%), foro (72,32%), aprendizaje colaborativo
(60,87%), lluvia de ideas (53,62%), mapas conceptuales (42,03%) y
trabajo en grupo (36,23%).
[13] [7] [10] [12] [11] [2] [8] [6] [5] [3] [9] [1] [4]
63
58 58
53 50 48 47 44 43 42
37
29
25
91.30
84.06
84.06
76.81
72.46
69.57
68.12
63.77
62.32
60.87
53.62
42.03
36.23
Frecuencia Porcentaje
224
Técnicas utilizadas
Gráfico 105: Técnicas no utilizadas.
Fuente:Maestrantes de Educación Informática de la Universidad de Guayaquil.
Elaboración: LSI Jorge Vera Mosquera.
La técnica más utilizada es trabajo en grupo (63,77%), mapas
conceptuales (57,97%), lluvia de ideas (56,38%), aprendizaje colaborativo
(39,13%), foro (37,68%), audio digital (36,23%), cuestionario (31,88%),
mapas mentales (30,43%), ensayo (27,54%), proyectos en línea
(23,19%), grabar movimientos en el monitor y pizarra en línea (15,94%), y
otros (8,70%).
[4] [1] [9] [3] [5] [6] [8] [2] [11] [12] [7] [10] [13]
44
40
32
27 26 25
22 21 19
16
11 11
6
63.77
57.97
46.38
39.13
37.68
36.23
31.88
30.43
27.54
23.19
15.94
15.94
8.70
Frecuencia Porcentaje
225
Valoración por técnica activa en Maestrantes
Valoración Frecuencia Porcentaje
Desconozco 8 11,59%
No Aplico 7 10,14%
Aplico 54 78,27%
Suma 69 100,00%
Cuadro 49 : Valoración por técnica activa en Maestrantes.
Fuente: Docentes de la Universidad de Guayaquil.
Elaborado por:LSI Jorge Vera Mosquera.
Gráfico 106: Valoración por técnica activa en Maestrantes.
Fuente:Maestrantes de Educación Informática de la Universidad de Guayaquil.
Elaboración:LSI Jorge Vera Mosquera.
Luego de observar los resultados en los cuadros y gráficos de detalle y
sumarización, se determina que existe un porcentaje de Maestrantes
(78,27%) que manifiesta utilizar técnicas activas con apoyo en TIC,
10,14% manifiesta que no aplica, y 11,59% desconoce al respecto, lo que
infiere que los Maestrantes en su mayoría emplea técnicas TIC.
8 7
54
69
11.59 10.14
78.27
100
Desconozco No Aplico Aplico Suma
Frecuencia Porcentaje
226
Pregunta No. 19: ¿Qué enfoques teóricos considera que se debe utilizar
en los procesos educativos apoyados en las TIC?
Enfoques teóricos en procesos educativos apoyados con TIC
Enfoque Valoración Frecuencia Porcentaje
Conductismo No 63 91,30%
Sí 6 8,70%
SUMA 69 100,00%
Cognitivismo No 56 81,16%
Sí 13 18,84%
SUMA 69 100,00%
Constructivismo No 18 26,09%
Sí 51 73,91%
SUMA 69 100,00%
Conectivismo No 59 85,51%
Sí 10 14,49%
SUMA 69 100,00%
Sharismo No 68 98,55%
Sí 1 1,45%
SUMA 69 100,00%
Cuadro 50 : Enfoques teóricos en procesos educativosapoyadoscon TIC.
Fuente:Maestrantes de Educación Informática de la Universidad de Guayaquil.
Elaborado por:LSI Jorge Vera Mosquera.
227
Gráfico 107: Enfoques teóricos en procesos educativosapoyadoscon TIC.
Fuente:Maestrantes de Educación Informática de la Universidad de Guayaquil.
Elaboración:LSI Jorge Vera Mosquera.
Se observa que el de mayor enfoque en sentido afirmativo es el
Constructivismo (73,91%), seguido del Cognitivismo (18,84%),
Conectivismo (14,49%), Conductismo (8,70%) y el sharismo (1,45%). El
de menor enfoque en sentido negativo es el sharismo (98,55%), seguido
del Conductismo (91,30%), Conectivismo (85,51%), Cognitivismo
(81,16%) y el Constructivismo (26,09%).
Conocimiento y aplicación de enfoques teóricos
Valoración Frecuencia Porcentaje
Desconozco 14 20,29%
Aplico 55 79,71%
TOTAL 69,00 100,00%
Cuadro 51 : Conocimiento y aplicación de enfoques teóricos.
Fuente:Maestrantes de Educación Informática de la Universidad de Guayaquil.
Elaborado por:LSIJorge Vera Mosquera.
0
20
40
60
80
100
120
No Sí No Sí No Sí No Sí No Sí
Conduct. Cognit. Construct. Conect. Sharismo
Frecuencia
Porcentaje
228
Gráfico 108: Enfoques teóricos en procesos educativosapoyadoscon TIC.
Fuente:Maestrantes de Educación Informática de la Universidad de Guayaquil.
Elaboración:LSI Jorge Vera Mosquera.
Luego de observar los resultados en los cuadros y gráficos de detalle y
sumarización, se determina que existe un porcentaje de Maestrantes
(79,71%) que manifiestan que se deben considerar enfoques teóricos en
los procesos educativos apoyado en las TIC, 20,29% manifiesta que
desconoce, lo que infiere que los Maestrantes consideran que se deben
utilizar enfoques teóricos en los procesos educativos apoyado en las TIC.
Frecuencia Porcentaje
14
20.29
55
79.71
Desconozco Aplico
229
Pregunta No. 20: ¿En cuál-es evaluación-es utiliza como apoyo a las
TIC?
Evaluación con apoyo TIC
Evaluación Valoración Frecuencia Porcentaje
Inicial No 50 72,46%
Sí 19 27,54%
SUMA 69 100,00%
Procesual No 26 37,68%
Sí 43 62,32%
SUMA 69 100,00%
Final No 47 68,12%
Sí 22 31,88%
SUMA 69 100,00%
Cuadro 52 : Evaluación con apoyo TIC.
Fuente:Maestrantes de Educación Informática de la Universidad de Guayaquil.
Elaborado por:LSI Jorge Vera Mosquera.
Gráfico 109: Evaluación con apoyo TIC.
Fuente:Maestrantes de Educación Informática de la Universidad de Guayaquil.
Elaboración:LSI Jorge Vera Mosquera.
Se observa que el mayor porcentaje de Maestrantes (62,32%) utiliza
apoyo TIC en la evaluación procesual, seguida de la final (31,88%) y la
inicial (27,54%). En la evaluación no utilizada es en la Inicial (72,46%),
seguida de la final (68,12%) y la procesual (37,68%).
No Sí No Sí No Sí
Inicial Procesual Final
50
19
26
43
47
22
72.46
27.54
37.68
62.32
68.12
31.88
Frecuencia Porcentaje
230
Conocimiento y aplicación de evaluación con apoyo TIC
Valoración Frecuencia Porcentaje
Desconozco 15 21,74%
Aplico 54 78,26%
TOTAL 69,00 100,00%
Cuadro 53 : Conocimiento y aplicación de evaluación con apoyo TIC.
Fuente:Maestrantes de Educación Informática de la Universidad de Guayaquil.
Elaborado por:LSI Jorge Vera Mosquera.
Gráfico 110: Conocimiento y aplicación de evaluación con apoyo TIC.
Fuente:Maestrantes de Educación Informática de la Universidad de Guayaquil.
Elaboración:LSI Jorge Vera Mosquera.
Luego de observar los resultados en los cuadros y gráficos de detalle y
sumarización, se determina que existe un porcentaje de Maestrantes
(78,26%) que se apoya en las TIC para las evaluaciones y desconocen
(21,74%). Se infiere que los Maestrantes se apoyan en las TIC para las
evaluaciones.
Frecuencia Porcentaje
15
21.74
54
78.26
Desconozco Aplico
231
Pregunta No. 21: ¿Qué nivel de conocimientos considera disponer?
Nivel de conocimientos en TIC
Conocimiento Valoración Frecuencia Porcentaje
Conocimientos
Informáticos
No aplico 1 1,45%
Básico 8 11,59%
Intermedio 34 49,28%
Avanzado 26 37,68%
SUMA 69 100,00%
Conocimientos
en redes
No aplico 9 13,04%
Básico 14 20,29%
Intermedio 32 46,38%
Avanzado 14 20,29%
SUMA 69 100,00%
Conocimientos
en Internet
No aplico 4 5,80%
Básico 9 13,04%
Intermedio 35 50,72%
Avanzado 21 30,43%
SUMA 69 100,00%
Aplicaciones
de gestión en
red e Internet
No aplico 5 7,25%
Básico 19 27,54%
Intermedio 29 42,03%
Avanzado 16 23,19%
SUMA 69 100,00%
Uso de
equipos en red
e Internet
No aplico 7 10,14%
Básico 15 21,74%
Intermedio 26 37,68%
Avanzado 21 30,43%
SUMA 69 100,00%
232
Medidas de
prevención y
seguridad en
el uso de
equipos
informáticos
No aplico 6 8,70%
Básico 16 23,19%
Intermedio 33 47,83%
Avanzado 14 20,29%
SUMA 69 100,00%
Integración de
programas y
equipos en red
e Internet
No aplico 7 10,14%
Básico 12 17,39%
Intermedio 37 53,62%
Avanzado 13 18,84%
SUMA 69 100,00%
Sistema
operativo
(Windows)
No aplico 2 2,90%
Básico 10 14,49%
Intermedio 27 39,13%
Avanzado 30 43,48%
SUMA 69 100,00%
Sistema
operativo
(Linux)
No aplico 16 23,19%
Básico 14 20,29%
Intermedio 25 36,23%
Avanzado 14 20,29%
SUMA 69 100,00%
Procesamiento
de palabras
No aplico 2 2,90%
Básico 10 14,49%
Intermedio 22 31,88%
Avanzado 35 50,72%
SUMA 69 100,00%
233
Hoja de
cálculo
No aplico 2 2,90%
Básico 13 18,84%
Intermedio 20 28,99%
Avanzado 34 49,28%
SUMA 69 100,00%
Base de datos No aplico 6 8,70%
Básico 10 14,49%
Intermedio 32 46,38%
Avanzado 21 30,43%
SUMA 69 100,00%
Presentador No aplico 6 8,70%
Básico 10 14,49%
Intermedio 25 36,23%
Avanzado 28 40,58%
SUMA 69 100,00%
Graficador No aplico 6 8,70%
Básico 13 18,84%
Intermedio 29 42,03%
Avanzado 21 30,43%
SUMA 69 100,00%
Multimedia No aplico 5 7,25%
Básico 12 17,39%
Intermedio 27 39,13%
Avanzado 25 36,23%
SUMA 69 100,00%
Navegadores
web
No aplico 5 7,25%
Básico 10 14,49%
Intermedio 32 46,38%
Avanzado 22 31,88%
SUMA 69 100,00%
234
Motores de
búsqueda
No aplico 7 10,14%
Básico 9 13,04%
Intermedio 30 43,48%
Avanzado 23 33,33%
SUMA 69 100,00%
Software de
productividad
en línea
(Office,
organizadores
gráficos, línea
de tiempo,
etc.)
No aplico 4 5,80%
Básico 17 24,64%
Intermedio 29 42,03%
Avanzado 19 27,54%
SUMA 69 100,00%
Uso de
herramientas
sincrónicas en
red e Internet
(chat, Video
conferencia,
audio
conferencia,
compartir
pantalla del
computador,
etc.)
No aplico 6 8,70%
Básico 11 15,94%
Intermedio 33 47,83%
Avanzado 19 27,54%
SUMA 69 100,00%
235
Uso de
herramientas
asincrónicas
en red e
Internet (email,
foro, wiki,
preguntas y
respuestas,
etc.)
No aplico 7 10,14%
Básico 8 11,59%
Intermedio 35 50,72%
Avanzado 19 27,54%
SUMA 69 100,00%
Gestión de
contenidos en
línea
No aplico 10 14,49%
Básico 15 21,74%
Intermedio 30 43,48%
Avanzado 14 20,29%
SUMA 69 100,00%
Gestión de
aprendizaje en
línea
No aplico 9 13,04%
Básico 16 23,19%
Intermedio 28 40,58%
Avanzado 16 23,19%
SUMA 69 100,00%
Cuadro 54 : Nivel de conocimientos en TIC.
Fuente:Maestrantes de Educación Informática de la Universidad de Guayaquil.
Elaborado por:LSI Jorge Vera Mosquera.
236
Para facilidades gráficas, se toma en cuenta cada conocimiento
acorde a lo siguiente:
Facilidades para interpretación gráfica de nivel de conocimientos
Código Conocimiento
[1] Conocimientos Informáticos
[2] Conocimientos en redes
[3] Conocimientos en Internet
[4] Aplicaciones de gestión en red e Internet
[5] Uso de equipos en red e Internet
[6] Medidas de prevención y seguridad en el uso de equipos
informáticos
[7] Integración de programas y equipos en red e Internet
[8] Sistema operativo (Windows)
[9] Sistema operativo (Linux)
[10] Procesamiento de palabras
[11] Hoja de cálculo
[12] Base de datos
[13] Presentador
[14] Graficador
[15] Multimedia
[16] Navegadores Web
[17] Motores de búsqueda
[18] Software de productividad en línea (Office, organizadores
gráficos, línea de tiempo, etc.)
[19] Uso de herramientas sincrónicas en red e Internet (chat, Video
conferencia, audio conferencia, compartir pantalla del
computador, etc.)
[20] Uso de herramientas asincrónicas en red e Internet (Email, foro,
Wiki, preguntas y respuestas, etc.)
[21] Gestión de contenidos en línea
[22] Gestión de aprendizaje en línea
Cuadro 55 : Facilidades para interpretación gráfica de nivelde conocimientos.
Fuente:Maestrantes de Educación Informática de la Universidad de Guayaquil.
Elaborado por:LSI Jorge Vera Mosquera.
237
Conocimientos no aplico
Gráfico 111: Conocimientos no aplico.
Fuente:Maestrantes de Educación Informática de la Universidad de Guayaquil.
Elaboración:LSI Jorge Vera Mosquera.
Conocimientos en sistema operativo Linux son los de más alto porcentaje
(23,19%) de no aplicación, seguido de gestión de contenidos en línea
(14,49%), conocimientos en redes y gestión de aprendizaje en línea
(13,04%), uso de equipos en red e Internet, Integración de programas y
equipos en red e Internet, motores de búsqueda y uso de herramientas
asincrónicas en red e Internet (email, foro, wiki, preguntas y respuestas,
etc.) (10,14%), medidas de prevención y seguridad en el uso de equipos
informáticos, base de datos, presentador, graficador y uso de
herramientas sincrónicas en red e Internet (chat, video conferencia, audio
conferencia, compartir pantalla del computador, etc.) (8,70%),
aplicaciones de gestión en red e Internet, multimedia y navegadores web
(7,25%), software de productividad en línea (Office, organizadores
gráficos, línea de tiempo, etc.) y conocimientos en Internet (5,80%),
sistema operativo (Windows), procesamiento de palabras y hoja de
cálculo (2,90%), y conocimientos informáticos (1,45%).
0
5
10
15
20
25
[1]
[2]
[3]
[4]
[5]
[6]
[7]
[8]
[9]
[10]
[11]
[12]
[13]
[14]
[15]
[16]
[17]
[18]
[19]
[20]
[21]
[22]
Frecuencia Porcentaje
238
Conocimientos nivel básico
Gráfico 112: Conocimientos nivel básico.
Fuente:Maestrantes de Educación Informática de la Universidad de Guayaquil.
Elaboración:LSI Jorge Vera Mosquera.
Aplicaciones de gestión en red e Internet (27,54%) son los conocimientos
de nivel básico de más alto porcentaje, seguido de software de
productividad en línea (Office, organizadores gráficos, línea de tiempo,
etc.) (24,64%), medidas de prevención y seguridad en el uso de equipos
informáticos y gestión de aprendizaje en línea (23,19%), Uso de equipos
en red e Internet y gestión de contenidos en línea (21,74%),
conocimientos en redes y sistema operativo (Linux) (20,29%), hoja de
cálculo y graficador (18,84%), integración de programas y equipos en red
e Internet y multimedia (17,39%), uso de herramientas sincrónicas en red
e Internet(chat, video conferencia, audio conferencia, compartir pantalla
del computador, etc.) (15, 94%), sistema operativo (Windows),
procesamiento de palabras, base de datos, presentador y navegadores
web (14,49%), conocimientos en Internet y motores de búsqueda
(13,04%), conocimientos informáticos y uso de herramientas asincrónicas
en red e Internet (email, foro, wiki, preguntas y respuestas, etc.) (11,59%).
0
5
10
15
20
25
30
[4]
[18]
[6]
[22]
[5]
[21]
[2]
[9]
[11]
[14]
[7]
[15]
[19]
[8]
[10]
[12]
[13]
[16]
[3]
[17]
[1]
[20]
Frecuencia Porcentaje
239
Conocimientos nivel intermedio
Gráfico 113: Conocimientos nivel intermedio.
Fuente:Maestrantes de Educación Informática de la Universidad de Guayaquil.
Elaboración:LSI Jorge Vera Mosquera.
Integración de programas y equipos en red e Internet son los
conocimientos de más alto porcentaje a nivel intermedio (53,62%),
seguido de conocimientos en Internet y uso de herramientas asincrónicas
en red e Internet (email, foro, wiki, preguntas y respuestas, etc.) (50,72%),
conocimientos informáticos (49,28%), medidas de prevención y seguridad
en el uso de equipos informáticos y uso de herramientas sincrónicas en
red e Internet (chat, video conferencia, audio conferencia, compartir
pantalla del computador, etc.) (47,83%), conocimientos en redes, bases
de datos y navegadores web (46,38%), motores de búsqueda y gestión de
contenidos en línea (43,48%), aplicaciones de gestión en red e Internet,
graficador y software de productividad en línea (Office, organizadores
gráficos, línea de tiempo, etc.) (42,03%), gestión de aprendizaje en línea
(40,58%), sistema operativo (Windows) y multimedia (39,13%), uso de
equipos en red e Internet (37,68%), sistema operativo (Linux) y
presentador (36,23%), procesamiento de palabras (31,88%), y hoja de
cálculo (28,99%).
0
10
20
30
40
50
60
[7]
[3]
[20]
[1]
[6]
[19]
[2]
[12]
[16]
[17]
[21]
[4]
[14]
[18]
[22]
[8]
[15]
[5]
[9]
[13]
[10]
[11]
Frecuencia Porcentaje
240
Conocimientos nivel avanzado
Gráfico 114: Conocimientos nivel avanzado.
Fuente:Maestrantes de Educación Informática de la Universidad de Guayaquil.
Elaboración:LSI Jorge Vera Mosquera.
Los conocimientos en procesamiento de palabras son los de más alto
porcentaje a nivel avanzado (50,72%), seguido de hoja de cálculo
(49,28%), sistema operativo (Windows) (43,48%), presentador (40,58%),
conocimientos informáticos (37,68%), multimedia (36,23%), motores de
búsqueda (33,33%), navegadores web (31,88%), conocimientos en
Internet, uso de equipos en red e Internet, base de datos y graficador
(30,43%), software de productividad en línea (Office, organizadores
gráficos, línea de tiempo, etc.), uso de herramientas sincrónicas en red e
Internet(chat, video conferencia, audio conferencia, compartir pantalla del
computador, etc.) y uso de herramientas asincrónicas en red e Internet
(email, foro, wiki, preguntas y respuestas, etc.) (27,54%), aplicaciones de
gestión en red e Internet y gestión de aprendizaje en línea (23,19%),
conocimientos en redes, medidas de prevención y seguridad en el uso de
equipos informáticos, sistema operativo (Linux) y gestión de contenidos
en línea (20,29%), e integración de programas y equipos en red e Internet
(18,84%).
0
10
20
30
40
50
60
[10]
[11]
[8]
[13]
[1]
[15]
[17]
[16]
[3]
[5]
[12]
[14]
[18]
[19]
[20]
[4]
[22]
[2]
[6]
[9]
[21]
[7]
Frecuencia Porcentaje
241
Promedios por Nivel de Conocimientos
Nivel Promedio
No aplico 8,70%
Básico 17,85%
Intermedio 42,82%
Avanzado 30,63%
TOTAL 100.00%
Cuadro 56 : Promedios por nivel de conocimientos.
Fuente:Maestrantes de Educación Informática de la Universidad de Guayaquil.
Elaborado por:LSI Jorge Vera Mosquera.
Gráfico 115: Promedios por Nivel de Conocimientos.
Fuente:Maestrantes de Educación Informática de la Universidad de Guayaquil.
Elaboración:LSI Jorge Vera Mosquera.
Como se observa, el mayor porcentaje (42,82%) corresponde al nivel
intermedio de conocimientos, seguido de nivel avanzado (30,63%), básico
(17,85%) y no aplico (8,70%).
Luego de haberse analizado y observado los resultados de cuadros y
gráficos, se infiere que existe un porcentaje de consideración de
aplicación de conocimientos, lo que implica que a nivel de Maestrantes se
encuentra una inclinación pronunciada hacia el uso de las TIC.
8.70
17.85
42.82
30.63
No aplico Básico Intermedio Avanzado
Promedio
242
Encuesta dirigida a Docentes de la Universidad de Guayaquil
En cuanto al cargo de Docentes de las personas encuestadas.
Cargo de Docentes
Valoración Frecuencia Porcentaje
No dispone 0 0%
Docencia 98 100%
Administrativo 0 0%
TOTAL 98 100%
Cuadro 57 : Cargo de Docentes.
Fuente: Docentes de la Universidad de Guayaquil.
Elaborado por:LSI Jorge Vera Mosquera.
Gráfico 116: Cargo de Docentes.
Fuente:Docentes de la Universidad de Guayaquil.
Elaboración:LSI Jorge Vera Mosquera.
Luego de observar los resultados en el cuadro y gráfico, se
determina que las 98 (100%) personas ocupan el cargo de Docente.
En cuanto a los años de experiencia docente de las personas
encuestadas:
No dispone Docencia Administrativo
0
98
00
100
0
Frecuencia Porcentaje
243
Años de experiencia docente
Años de
experiencia Frecuencia Porcentaje Promedio
1 8 8,16% 1,00
2 7 7,14% 1,50
3 3 3,06% 2,00
4 8 8,16% 2,50
5 11 11,22% 3,00
6 6 6,12% 3,50
7 4 4,08% 4,00
8 3 3,06% 4,50
9 2 2,04% 5,00
10 8 8,16% 5,50
11 3 3,06% 6,00
12 6 6,12% 6,50
13 1 1,02% 7,00
14 1 1,02% 7,50
15 2 2,04% 8,00
16 1 1,02% 8,50
17 3 3,06% 9,00
18 3 3,06% 9,50
20 2 2,04% 10,05
21 1 1,02% 10,60
22 2 2,04% 11,14
23 1 1,02% 11,68
25 3 3,06% 12,26
26 2 2,04% 12,83
28 3 3,06% 13,44
30 1 1,02% 14,08
36 1 1,02% 14,89
38 1 1,02% 15,71
40 1 1,02% 16,55
Total 98 100,00%
Cuadro 58 : Años de experiencia docente.
Fuente: Docentes de la Universidad de Guayaquil.
Elaborado por: LSI Jorge Vera Mosquera.
244
Gráfico 117: Años de experiencia docente.
Fuente:Docentes de la Universidad de Guayaquil.
Elaboración:LSI Jorge Vera Mosquera.
Luego de observar los resultados en el cuadro y gráfico, se determina
que existe un promedio de experiencia de 16,55 años, entre todos los
Docentes encuestados, hallándose Profesores desde uno (1) hasta
cuarenta(40) años de experiencia, a su vez la frecuencia más alta es de
once(11)Profesores con cinco (5) años de experiencia, y la mínima de uno
(1) en frecuencia de trece(13), catorce(14), dieciséis (16), veintiuno(21),
veintitrés(23), treinta(30), treinta y seis(36), treinta y ocho(38) y
cuarenta(40) años de experiencia, lo que representa una variedad notable
en la muestra.
En cuanto al último grado académico de las personas encuestadas:
Último grado académico Docentes
Valoración Frecuencia Porcentaje
Tercer nivel 55 56,12%
Cuarto Nivel 43 43,88%
TOTAL 98 100,00%
Cuadro 59 : Último grado académico Docentes.
Fuente: Docentes de la Universidad de Guayaquil.
Elaborado por:LSI Jorge Vera Mosquera.
0
5
10
15
20
25
30
35
40
45
1 2 3 4 5 6 7 8 9 1011121314151617181920212223242526272829
Años de experiencia Frecuencia Porcentaje Promedio
245
Gráfico 118: Último grado académico Docentes.
Fuente:Docentes de la Universidad de Guayaquil.
Elaboración:LSI Jorge Vera Mosquera.
Luego de observar los resultados en el cuadro y gráfico, se determina
que existe un buen número en ambos grados académicos de tercer y
cuarto nivel, que identifica en los Docentes encuestados un buen nivel
académico de estudios.
55 56.12
43 43.88
Frecuencia Porcentaje
Tercer nivel Cuarto Nivel
246
Pregunta No. 1: ¿Considera Ud. que el aprendizaje autónomo se puede
presentar con el empleo de las TIC en el proceso educativo?
Aprendizaje autónomo con TIC
Valoración Frecuencia Porcentaje
Desconozco 13 13,27%
Sí 80 81,63%
No 5 5,10%
TOTAL 98 100,00%
Cuadro 60 : Aprendizaje autónomo con TIC.
Fuente: Docentes de la Universidad de Guayaquil.
Elaborado por:LSI Jorge Vera Mosquera.
Gráfico 119: Aprendizaje autónomo con TIC.
Fuente:Docentes de la Universidad de Guayaquil.
Elaboración:LSI Jorge Vera Mosquera.
Luego de observar los resultados en el cuadro y gráfico, se determina que
existe un alto porcentaje de Docentes (81,63%) que consideran que el
aprendizaje autónomo se puede presentar con el empleo de las TIC en el
proceso educativo, mientras que un 5,10%, no lo considera así, y un
13,27% desconoce al respecto. Se infiere que existe una aceptación de
que el aprendizaje autónomo se puede presentar con el empleo de las
TIC en el proceso educativo.
Desconozco Sí No
13
80
5
13.27
81.63
5.10
Frecuencia Porcentaje
247
Pregunta No. 2: ¿Considera Ud. que el trabajo colaborativo se puede
presentar con el empleo de las TIC en el proceso educativo?
Trabajo colaborativo con empleo TIC
Valoración Frecuencia Porcentaje
Desconozco 5 5,11%
Sí 85 86,73%
No 8 8,16%
TOTAL 98 100,00%
Cuadro 61 : Trabajo colaborativo con empleo TIC.
Fuente: Docentes de la Universidad de Guayaquil.
Elaborado por:LSI Jorge Vera Mosquera.
Gráfico 120: Trabajo colaborativo con empleo TIC.
Fuente: Docentes de la Universidad de Guayaquil.
Elaboración:LSI Jorge Vera Mosquera.
Luego de observar los resultados en el cuadro y gráfico, se determina que
existe un alto porcentaje de Docentes (86,73%) que consideran que el
trabajo colaborativo se puede presentar con el empleo de las TIC en el
proceso educativo, mientras que un 8,16%, no lo considera así, y un
5,10% desconoce al respecto. Se infiere que existe una aceptación de
que el trabajo colaborativo se puede presentar con el empleo de las TIC
en el proceso educativo.
Desconozco Sí No
5
85
8
5.11
86.63
8.16
Frecuencia Porcentaje
248
Pregunta No. 3: ¿Utiliza software especializado en la asignatura que
imparte?
Uso de software especializado en asignatura que se imparte
Valoración Frecuencia Porcentaje
Desconozco 4 4,09%
Sí 60 61,22%
No 34 34,69%
TOTAL 98 100,00%
Cuadro 62 : Uso de software especializado en asignatura que se imparte.
Fuente: Docentes de la Universidad de Guayaquil.
Elaborado por:LSI Jorge Vera Mosquera.
Gráfico 121: Uso de software especializado en asignatura que se imparte.
Fuente: Docentes de la Universidad de Guayaquil.
Elaboración:LSI Jorge Vera Mosquera.
Luego de observar los resultados en el cuadro y gráfico, se determina que
existe un alto porcentaje de Docentes (61,22%) que utilizan software
especializado en la asignatura que imparte, mientras que un 34,69%, no
utiliza, y un 4,08% desconoce al respecto. Se infiere que la mayoría utiliza
software especializado en la asignatura que imparte, sin embargo existe
un porcentaje considerable que no está así.
Desconozco Sí No
4
60
34
4.09
61.22
34.69
Frecuencia Porcentaje
249
Pregunta No. 4: ¿Realiza actividades didácticas empleando las TIC en
las clases de su asignatura?
Actividades didácticas empleando TIC en asignatura
Valoración Frecuencia Porcentaje
Desconozco 2 2,04%
Sí 77 78,57%
No 19 19,39%
TOTAL 98 100,00%
Cuadro 63 : Actividades didácticas empleando TIC en asignatura.
Fuente: Docentes de la Universidad de Guayaquil.
Elaborado por:LSI Jorge Vera Mosquera.
Gráfico 122: Actividades didácticas empleando TIC en asignatura.
Fuente:Docentes de la Universidad de Guayaquil.
Elaboración:LSI Jorge Vera Mosquera.
Luego de observar los resultados en el cuadro y gráfico, se determina que
existe un alto porcentaje de Docentes (61,22%) que realizan actividades
didácticas empleando las TIC en las clases de su asignatura, mientras
que un 19,39%, no las utiliza, y un 2,04% desconoce al respecto. Se
infiere que la mayoría realiza actividades didácticas empleando las TIC en
las clases de su asignatura. Como se ve, entre quienes desconocen y no
las utilizan existe un porcentaje llamativo al respecto.
Desconozco Sí No
2
77
19
2.04
78.57
19.39
Frecuencia Porcentaje
250
Pregunta No. 5: ¿Cree que es importante apoyarse en las herramientas
informáticas en el Curriculum actual de la asignatura a su cargo?
Importancia de apoyo TIC en Curriculum de asignatura a cargo
Valoración Frecuencia Porcentaje
Desconozco 5 5,10%
Sí 90 91,84%
No 3 3,06%
TOTAL 98 100,00%
Cuadro 64 : Importancia de apoyo TIC en Curriculum de asignatura a cargo.
Fuente: Docentes de la Universidad de Guayaquil.
Elaborado por:LSI Jorge Vera Mosquera.
Gráfico 123: Importancia de apoyo TIC en Curriculum de asignatura a cargo.
Fuente:Docentes de la Universidad de Guayaquil.
Elaboración:LSI Jorge Vera Mosquera.
Luego de observar los resultados en el cuadro y gráfico, se determina que
existe un alto porcentaje de Docentes(91,84%) que consideran que es
importante apoyarse en las herramientas informáticas en el Curriculum
actual de la asignatura a su cargo, mientras que un 3,06%, no lo
considera así, y un 5,10% desconoce al respecto. Se infiere que existe
una aceptación de que es importante apoyarse en las herramientas
informáticas en el Curriculum actual de la asignatura a su cargo por parte
de los Docentes.
Desconozco Sí No
5
90
35.1
91.84
3.06
Frecuencia Porcentaje
251
Pregunta No. 6:¿Incluye el empleo de las TIC en la programación de la
asignatura?
Empleo de TIC en programación de asignatura
Valoración Frecuencia Porcentaje
Desconozco 1 1,02%
Sí 87 88,78%
No 10 10,20%
TOTAL 98 100,00%
Cuadro 65 : Empleo de TIC en programación de asignatura.
Fuente: Docentes de la Universidad de Guayaquil.
Elaborado por:LSIJorge Vera Mosquera.
Gráfico 124: Empleo de TIC en programación de asignatura.
Fuente:Docentes de la Universidad de Guayaquil.
Elaboración:LSI Jorge Vera Mosquera.
Luego de observar los resultados en el cuadro y gráfico, se determina que
existe un alto porcentaje de Docentes(88,78%) que Incluye el empleo de
las TIC en la programación de la asignatura, mientras que un 10,20%, no
lo considera así, y un 1,02% desconoce al respecto. Se infiere que los
Docentes incluyen el empleo de las TIC en la programación de la
asignatura.
Desconozco Sí No
1
87
10
1.02
88.78
10.2
Frecuencia Porcentaje
252
Pregunta No. 7:¿Crea procedimientos e instrumentos de evaluación de
aprendizaje en entorno TIC?
Evaluación de aprendizaje en entorno TIC
Valoración Frecuencia Porcentaje
Desconozco 3 3,06%
Sí 76 77,55%
No 19 19,39%
TOTAL 98 100,00%
Cuadro 66 : Evaluación de aprendizaje en entorno TIC.
Fuente: Docentes de la Universidad de Guayaquil.
Elaborado por:LSIJorge Vera Mosquera.
Gráfico 125: Empleo de TIC en programación de asignatura.
Fuente:Docentes de la Universidad de Guayaquil.
Elaboración:LSI Jorge Vera Mosquera.
Luego de observar los resultados en el cuadro y gráfico, se determina que
existe un alto porcentaje de Docentes(77,55%) que crea procedimientos e
instrumentos de evaluación de aprendizaje en entorno TIC, mientras que
un 19,39%, no crea, y un 3,06% desconoce al respecto. Se infiere que los
Docentes crean procedimientos e instrumentos de evaluación de
aprendizaje en entorno TIC. Como se ve, entre quienes desconocen y no
utilizan existe un porcentaje llamativo.
Desconozco Sí No
3
76
19
3.06
77.55
19.39
Frecuencia Porcentaje
253
Pregunta No. 8:¿Analiza y evalúa el impacto de las TIC en el proceso
educativo?
Análisis y evaluación de impacto TIC en proceso educativo
Valoración Frecuencia Porcentaje
Desconozco 3 3,06%
Sí 74 77,51%
No 21 21,43%
TOTAL 98 100,00%
Cuadro 67 : Análisis y evaluación de impacto TIC en proceso educativo.
Fuente: Docentes de la Universidad de Guayaquil.
Elaborado por:LSIJorge Vera Mosquera.
Gráfico 126: Análisis y evaluación de impacto TIC en proceso educativo.
Fuente:Docentes de la Universidad de Guayaquil.
Elaboración:LSI Jorge Vera Mosquera.
Luego de observar los resultados en el cuadro y gráfico, se determina que
existe un alto porcentaje de Docentes(77,51%) que analiza y evalúa el
impacto de las TIC en el proceso educativo, mientras que un 21,43%, no
lo hace, y un 3,06% desconoce al respecto. Se infiere que los Docentes
analizan y evalúan el impacto de las TIC en el proceso educativo.Como
se ve, entre quienes desconocen y no utilizan existe un porcentaje
llamativo.
Desconozco Sí No
3
74
21
3.06
77.51
21.43
Frecuencia Porcentaje
254
Pregunta No. 9:¿Crea grupos de estudiantes, escenarios y tareas para
utilizar recursos tecnológicos?
Creación de grupos de estudiantes, escenarios y tareas con
tecnología
Valoración Frecuencia Porcentaje
Desconozco 11 11,22%
Sí 70 71,43%
No 17 17,35%
TOTAL 98 100,00%
Cuadro 68 : Creación de grupos de estudiantes, escenarios y tareas con tecnología.
Fuente: Docentes de la Universidad de Guayaquil.
Elaborado por:LSIJorge Vera Mosquera.
Gráfico 127: Creación de grupos de estudiantes, escenarios y tareas con tecnología.
Fuente:Docentes de la Universidad de Guayaquil.
Elaboración:LSI Jorge Vera Mosquera.
Luego de observar los resultados en el cuadro y gráfico, se determina que
existe un alto porcentaje de Docentes(71,43%) que crea grupos de
estudiantes, escenarios y tareas para utilizar recursos tecnológicos,
mientras que un 17,35%, no lo hace, y un 11,22% desconoce al respecto.
Se infiere que los Docentes crean grupos de estudiantes, escenarios y
tareas para utilizar recursos tecnológicos. Como se ve, entre quienes
desconocen y no utilizan existe un porcentaje llamativo.
Desconozco Sí No
11
70
17
11.22
71.43
17.35
Frecuencia Porcentaje
255
Pregunta No. 10:¿Facilita el aprendizaje intermedio del recurso TIC?
Facilita el aprendizaje intermedio del recurso TIC
Valoración Frecuencia Porcentaje
Desconozco 20 20,41%
Sí 66 67,35%
No 12 12,24%
TOTAL 98 100,00%
Cuadro 69 : Facilita el aprendizaje intermedio del recurso TIC.
Fuente: Docentes de la Universidad de Guayaquil.
Elaborado por:LSIJorge Vera Mosquera.
Gráfico 128: Creación de grupos de estudiantes, escenarios y tareas con tecnología.
Fuente:Docentes de la Universidad de Guayaquil.
Elaboración:LSI Jorge Vera Mosquera.
Luego de observar los resultados en el cuadro y gráfico, se determina que
existe un alto porcentaje de Docentes(67,35%) que facilita el aprendizaje
intermedio del recurso TIC, mientras que un 12,24%, no lo hace, y un
20,41% desconoce al respecto. Se infiere que los Docentes facilitan el
aprendizaje intermedio del recurso TIC, pero se denota un porcentaje
discreto de Profesores que desconocen, que al considerarse con quienes
no lo hacen, se estima considerable.
Desconozco Sí No
20
66
12
20.41
67.35
12.24
Frecuencia Porcentaje
256
Pregunta No. 11:¿Facilita y/o contribuye equitativamente los recursos
informáticos con sus estudiantes considerando las circunstancias de
escenario?
Facilita y/o contribuye equitativamente recursos TIC con estudiantes
Valoración Frecuencia Porcentaje
Desconozco 16 16,33%
Sí 63 64,29%
No 19 19,38%
TOTAL 98 100,00%
Cuadro 70 : Facilita y/o contribuye equitativamente recursos TIC con estudiantes.
Fuente: Docentes de la Universidad de Guayaquil.
Elaborado por:LSIJorge Vera Mosquera.
Gráfico 129: Facilita y/o contribuye equitativamente recursos TIC con estudiantes.
Fuente:Docentes de la Universidad de Guayaquil.
Elaboración:LSI Jorge Vera Mosquera.
Luego de observar los resultados en el cuadro y gráfico, se determina que
existe un alto porcentaje de Docentes(64,29%) que facilitan y/o
contribuyen equitativamente los recursos informáticos con sus estudiantes
considerando las circunstancias de escenario, mientras que un 19,38%,
no lo hace, y un 16,33% desconoce al respecto. Se infiere que los
encuestados cumplen lo preguntado, notándose un porcentaje de
consideración en los restantes.
Desconozco Sí No
16
63
1916.33
64.29
19.38
Frecuencia Porcentaje
257
Pregunta No. 12:¿Conoce, respeta y hace respetar las políticas, normas
y procedimientos relacionados a la privacidad, propiedad intelectual,
seguridad de datos y comportamiento adecuado en el uso de los
recursos informáticos?
Conoce, respeta y hace respetar el uso de recursos informáticos
Valoración Frecuencia Porcentaje
Desconozco 6 6,13%
Sí 80 81,63%
No 12 12,24%
TOTAL 98 100,00%
Cuadro 71 : Conoce, respeta y hace respetar el uso de recursos informáticos.
Fuente: Docentes de la Universidad de Guayaquil.
Elaborado por:LSIJorge Vera Mosquera.
Gráfico 130: Conoce, respeta y hace respetar el uso de recursos informáticos.
Fuente:Docentes de la Universidad de Guayaquil.
Elaboración:LSI Jorge Vera Mosquera.
Luego de observar los resultados en el cuadro y gráfico, se determina que
existe un alto porcentaje de Docentes(81,63%) que conocen, respetan y
hacen respetar las políticas, normas y procedimientos relacionados a la
privacidad, propiedad intelectual, seguridad de datos y comportamiento
adecuado en el uso de los recursos informáticos, mientras que un
12,24%, no lo hace, y un 6,13% desconoce al respecto. Se infiere que los
encuestados cumplen lo preguntado.
Desconozco Sí No
6
80
12
6.13
81.63
12.24
Frecuencia Porcentaje
258
Pregunta No. 13:¿Promueve en su desenvolvimiento educativo el uso
ético y legal de los recursos tecnológicos en sus diferentes formas de uso
y presentación?
Promueve el uso ético y legal de recursos tecnológicos
Valoración Frecuencia Porcentaje
Desconozco 8 8,16%
Sí 74 75,51%
No 16 16,33%
TOTAL 98 100,00%
Cuadro 72 : Promueve el uso ético y legal de recursos tecnológicos.
Fuente: Docentes de la Universidad de Guayaquil.
Elaborado por:LSIJorge Vera Mosquera.
Gráfico 131: Promueve el uso ético y legal de recursos tecnológicos.
Fuente:Docentes de la Universidad de Guayaquil.
Elaboración:LSI Jorge Vera Mosquera.
Luego de observar los resultados en el cuadro y gráfico, se determina que
existe un alto porcentaje de Docentes(75,51%) que promueven en su
desenvolvimiento educativo el uso ético y legal de los recursos
tecnológicos en sus diferentes formas de uso y presentación,mientras que
un 16,33%, no lo hace, y un 8,16% desconoce al respecto. Se infiere que
los encuestados consideran que cumplen lo preguntado, notándose un
porcentaje de consideración en los restantes.
Desconozco Sí No
8
74
16
8.16
75.51
16.33
Frecuencia Porcentaje
259
Pregunta No. 14:¿Comprende y hace comprender las implicaciones
legales del uso de software y sus tipos de licencias?
Comprende y hace comprender el uso legal del software
Valoración Frecuencia Porcentaje
Desconozco 16 16,33%
Sí 59 60,20%
No 23 23,47%
TOTAL 98 100,00%
Cuadro 73 : Comprende y hace comprender el uso legal del software.
Fuente: Docentes de la Universidad de Guayaquil.
Elaborado por:LSIJorge Vera Mosquera.
Gráfico 132: Comprende y hace comprender el uso legal del software.
Fuente:Docentes de la Universidad de Guayaquil.
Elaboración:LSI Jorge Vera Mosquera.
Luego de observar los resultados en el cuadro y gráfico, se determina que
existe un alto porcentaje de Docentes(60,20%) que comprenden y hacen
comprender las implicaciones legales del uso de software y sus tipos de
licencias,mientras que un 23,47%, no lo hace, y un 16,33% desconoce al
respecto. Se infiere que los Docentes comprenden y hacen comprender
las implicaciones legales del uso de software y sus tipos de licencias,
notándose que entre quienes desconocen y no lo hacen, un porcentaje
considerable.
Desconozco Sí No
16
59
23
16.33
60.20
23.47
Frecuencia Porcentaje
260
Pregunta No. 15:¿Utiliza software de productividad para generar
productos de fines administrativos? (informes, actas, notas, etc.)
Uso de software de productividad con fines administrativos
Valoración Frecuencia Porcentaje
Desconozco 10 10,20%
Sí 64 65,31%
No 24 24,49%
TOTAL 98 100,00%
Cuadro 74 : Uso de software de productividad con fines administrativos.
Fuente: Docentes de la Universidad de Guayaquil
Elaborado por:LSIJorge Vera Mosquera
Gráfico 133: Uso de software de productividad con fines administrativos.
Fuente:Docentes de la Universidad de Guayaquil.
Elaboración:LSI Jorge Vera Mosquera.
Luego de observar los resultados en el cuadro y gráfico, se determina que
existe un alto porcentaje de Docentes(65,31%) que utilizan software de
productividad para generar productos de fines administrativos,mientras
que un 24,49%, no lo hace, y un 10,20% desconoce al respecto. Se
infiere que los Docentes utilizan software de productividad para generar
productos de fines administrativos,notándose que entre quienes
desconocen y no lo hacen, un porcentaje considerable.
Desconozco Sí No
10
64
24
10.20
65.31
24.49
Frecuencia Porcentaje
261
Pregunta No. 16:¿Emplea recursos de redes y comunicación con los
estudiantes de su asignatura y/o con el resto de la comunidad educativa?
Empleo de recursos de redes y comunicaciones en asignatura y
comunidad
Valoración Frecuencia Porcentaje
Desconozco 19 19,39%
Sí 59 60,20%
No 20 20,41%
TOTAL 98 100,00%
Cuadro 75 : Empleo de recursos de redes y comunicaciones en asignatura y comunidad.
Fuente: Docentes de la Universidad de Guayaquil.
Elaborado por:LSIJorge Vera Mosquera.
Gráfico 134: Empleo de recursos de redes y comunicaciones en asignatura y comunidad.
Fuente:Docentes de la Universidad de Guayaquil.
Elaboración:LSI Jorge Vera Mosquera.
Luego de observar los resultados en el cuadro y gráfico, se determina que
existe un alto porcentaje de Docentes(60,20%) que emplean recursos de
redes y comunicación con los estudiantes de su asignatura y/o con el
resto de la comunidad educativa,mientras que un 20,41%, no lo hace, y
un 19,39% desconoce al respecto. Se infiere que los Docentes emplean
recursos de redes y comunicación con los estudiantes de su asignatura
y/o con el resto de la comunidad educativa, notándose que entre quienes
desconocen y no lo hacen, un porcentaje considerable.
Desconozco Sí No
19
59
2019.39
60.20
20.41
Frecuencia Porcentaje
262
Pregunta No. 17:¿Dispone de fuentes de información y sitios relevantes
relacionados con las TIC en el quehacer educativo?
Disposición de fuentes de información y sitios relevantes TIC en
quehacer educativo
Valoración Frecuencia Porcentaje
Desconozco 19 12,24%
Sí 59 68,37%
No 20 19,39%
TOTAL 98 100,00%
Cuadro 76 : Fuentes de información y sitios relevantes TIC en quehacer educativo.
Fuente: Docentes de la Universidad de Guayaquil.
Elaborado por:LSIJorge Vera Mosquera.
Gráfico 135: Disposición de fuentes de información y sitios relevantes TIC en quehacer educativo.
Fuente:Docentes de la Universidad de Guayaquil.
Elaboración:LSI Jorge Vera Mosquera.
Luego de observar los resultados en el cuadro y gráfico, se determina que
existe un alto porcentaje de Docentes(68,37%) que disponen de fuentes
de información y sitios relevantes relacionados con las TIC en el quehacer
educativo,mientras que un 19,39%, no lo hace, y un 12,24% desconoce al
respecto. Se infiere que los Docentes disponen de fuentes de información
y sitios relevantes relacionados con las TIC en el quehacer educativo,
notándose que entre quienes desconocen y no lo hacen, un porcentaje
considerable.
Desconozco Sí No
19
59
20
12.24
68.37
19.39
Frecuencia Porcentaje
263
Pregunta No. 18:¿Practica, experimenta y evalúa con herramientas TIC
para incorporarlas a su quehacer educativo?
Practica, experimenta y evalúa con TIC para incorporar en quehacer
educativo
Valoración Frecuencia Porcentaje
Desconozco 10 10,20%
Sí 58 59,18%
No 30 30,62%
TOTAL 98 100,00%
Cuadro 77 : Practica, experimenta y evalúa TIC para incorporar en quehacer educativo.
Fuente: Docentes de la Universidad de Guayaquil.
Elaborado por:LSIJorge Vera Mosquera.
Gráfico 136: Practica, experimenta y evalúa con TIC para incorporar en quehacer educativo.
Fuente:Docentes de la Universidad de Guayaquil.
Elaboración:LSI Jorge Vera Mosquera.
Luego de observar los resultados en el cuadro y gráfico, se determina que
existe un alto porcentaje de Docentes(59,18%) que practican,
experimentan y evalúan con herramientas TIC para incorporarlas a su
quehacer educativo,mientras que un 30,62%, no lo hace, y un 10,20%
desconoce al respecto. Se infiere que los encuestados consideran que
cumplen lo preguntado, notándose un porcentaje de consideración entre
quienes desconocen y no lo hacen.
Desconozco Sí No
10
58
30
10.20
59.18
30.62
Frecuencia Porcentaje
264
Pregunta No. 19:¿Accede, participa y contribuye en espacios de reflexión
de experiencias de aprendizaje por medios tradicionales, en red o
Internet?
Accede, participa y contribuye en espacios de aprendizaje
Valoración Frecuencia Porcentaje
Desconozco 19 19,39%
Sí 54 55,10%
No 25 25,51%
TOTAL 98 100,00%
Cuadro 78 : Accede, participa y contribuye en espacios de aprendizaje.
Fuente: Docentes de la Universidad de Guayaquil.
Elaborado por:LSIJorge Vera Mosquera.
Gráfico 137: Accede, participa y contribuye en espacios de aprendizaje.
Fuente:Docentes de la Universidad de Guayaquil.
Elaboración:LSI Jorge Vera Mosquera.
Luego de observar los resultados en el cuadro y gráfico, se determina que
existe un alto porcentaje de Docentes(55,10%) que acceden, participan y
contribuyen en espacios de reflexión de experiencias de aprendizaje por
medios tradicionales, en red o Internet,mientras que un 25,51%, no lo
hace, y un 19,39% desconoce al respecto. Se infiere que los encuestados
cumplen lo preguntado, notándose un porcentaje de consideración entre
quienes desconocen y no lo hacen.
Desconozco Sí No
19
54
25
19.39
55.10
25.51
Frecuencia Porcentaje
265
Pregunta 20: ¿Utiliza, evalúa y comparte ideas, experiencias y
herramientas TIC para incorporarlas en estrategias de aprendizaje?
Utiliza, evalúa y comparte herramientas TIC para incorporar en
aprendizaje
Valoración Frecuencia Porcentaje
Desconozco 6 6,12%
Sí 74 75,51%
No 18 18,37%
SUMA 98 100,00%
Cuadro 79 : Utiliza, evalúa y comparte TIC para incorporar en aprendizaje.
Fuente: Docentes de la Universidad de Guayaquil.
Elaborado por:LSIJorge Vera Mosquera.
Gráfico 138: Accede, participa y contribuye en espacios de aprendizaje.
Fuente:Docentes de la Universidad de Guayaquil.
Elaboración:LSI Jorge Vera Mosquera.
Luego de observar los resultados en el cuadro y gráfico, se determina que
existe un alto porcentaje de Docentes (75,51%) que manifiestan utilizar,
evaluar y compartir ideas, experiencias y herramientas TIC para
incorporarlas en estrategias de aprendizaje, mientras que un 18,37%, no
lo hace, y un 6,12% desconoce al respecto. Se infiere que los
encuestados cumplen lo preguntado, notándose un porcentaje discreto
entre quienes desconocen y no lo hacen.
Desconozco Sí No
6
74
18
6.12
75.51
18.37
Frecuencia Porcentaje
266
Pregunta No. 21:¿Participa en instancias relacionadas con las TIC y el
aprendizaje? (Foros, congresos, seminarios, etc.)
Participa en instancias TIC y aprendizaje
Valoración Frecuencia Porcentaje
Desconozco 11 11,22%
Sí 57 58,16%
No 30 30,62%
TOTAL 98 100,00%
Cuadro 80 : Participa en instancias TIC y aprendizaje.
Fuente: Docentes de la Universidad de Guayaquil.
Elaborado por:LSIJorge Vera Mosquera.
Gráfico 139: Participa en instancias TIC y aprendizaje.
Fuente:Docentes de la Universidad de Guayaquil.
Elaboración:LSI Jorge Vera Mosquera.
Luego de observar los resultados en el cuadro y gráfico, se determina que
existe un alto porcentaje de Docentes(58,16%) que participan en
instancias relacionadas con las TIC y el aprendizaje (Foros, congresos,
seminarios, etc.,mientras que un 30,62%, no lo hace, y un 11,22%
desconoce al respecto. Se infiere que los encuestados cumplen lo
preguntado, notándose un porcentaje de consideración entre quienes
desconocen y no lo hacen.
Desconozco Sí No
11
57
30
11.22
58.16
30.62
Frecuencia Porcentaje
267
Pregunta No. 22:¿Utiliza las TIC como medio en la evaluación de
aprendizajes?
Uso de las TIC como medio de evaluación de aprendizajes
Valoración Frecuencia Porcentaje
Desconozco 15 15,31%
Sí 53 54,08%
No 30 30,61%
TOTAL 98 100,00%
Cuadro 81 : Uso de las TIC como medio de evaluación de aprendizajes.
Fuente: Docentes de la Universidad de Guayaquil
Elaborado por:LSIJorge Vera Mosquera
Gráfico 140: Uso de las TIC como medio de evaluación de aprendizajes.
Fuente:Docentes de la Universidad de Guayaquil.
Elaboración:LSI Jorge Vera Mosquera.
Luego de observar los resultados en el cuadro y gráfico, se determina que
existe un alto porcentaje de Docentes(54,08%) que utilizan las TIC como
medio en la evaluación de aprendizajes,mientras que un 30,61%, no lo
hace, y un 15,31% desconoce al respecto. Se infiere que los Docentes
utilizan las TIC como medio en la evaluación de aprendizajes,notándose
que entre quienes desconocen y no lo hacen, un porcentaje considerable.
Desconozco Sí No
15
53
30
15.31
54.08
30.61
Frecuencia Porcentaje
268
Pregunta No. 23:¿Realiza y lleva a cabo Proyectos Pedagógicos y/o
Andragógicos de Aula con apoyo de las TIC?
Proyectos Pedagógicos y/o andragógicos de aula con apoyo TIC
Valoración Frecuencia Porcentaje
Desconozco 10 10,20%
Sí 55 56,12%
No 33 33,68%
TOTAL 98 100,00%
Cuadro 82 : Proyectos Pedagógicos y/o andragógicos de aula con apoyo TIC.
Fuente: Docentes de la Universidad de Guayaquil.
Elaborado por:LSIJorge Vera Mosquera.
Gráfico 141: Proyectos Pedagógicos y/o andragógicos de aula con apoyo TIC.
Fuente:Docentes de la Universidad de Guayaquil.
Elaboración:LSI Jorge Vera Mosquera.
Luego de observar los resultados en el cuadro y gráfico, se determina que
existe un alto porcentaje de Docentes(56,12%) que realizan y llevan a
cabo Proyectos Pedagógicos y/o Andragógicos de Aula con apoyo de las
TIC,mientras que un 33,68%, no lo hace, y un 10,20% desconoce al
respecto. Se infiere que los Docentes realizan y llevan a cabo Proyectos
Pedagógicos y/o Andragógicos de Aula con apoyo de las TIC, notándose
que entre quienes desconocen y no lo hacen, un porcentaje considerable.
Desconozco Sí No
10
55
33
10.20
56.12
33.68
Frecuencia Porcentaje
269
Pregunta No. 24:¿Utiliza métodos y técnicas activas con el apoyo de las
TIC?
Uso de métodos técnicas activas con apoyo TIC
Valoración Frecuencia Porcentaje
Desconozco 19 19,39%
Sí 63 64,29%
No 16 16,32%
TOTAL 98 100,00%
Cuadro 83 : Uso de métodos técnicas activas con apoyo TIC.
Fuente: Docentes de la Universidad de Guayaquil.
Elaborado por:LSIJorge Vera Mosquera.
Gráfico 142: Uso de métodos técnicas activas con apoyo TIC.
Fuente:Docentes de la Universidad de Guayaquil.
Elaboración:LSI Jorge Vera Mosquera.
Luego de observar los resultados en el cuadro y gráfico, se determina que
existe un alto porcentaje de Docentes(64,29%) que utilizan métodos y
técnicas activas con el apoyo de las TIC,mientras que un 16,32%, no lo
hace, y un 19,39% desconoce al respecto. Se infiere que los Docentes
realizan y llevan a cabo Proyectos Pedagógicos y/o Andragógicos de Aula
con apoyo de las TIC, notándose que entre quienes desconocen y no lo
hacen, un porcentaje considerable.
Desconozco Sí No
19
63
16
19.39
64.29
16.32
Frecuencia Porcentaje
270
Pregunta No. 25:¿Existen proyectos entre asignaturas apoyados en TIC?
Proyectos entre asignaturas apoyados en TIC
Valoración Frecuencia Porcentaje
Desconozco 12 12,24%
Sí 50 51,03%
No 36 36,73%
TOTAL 98 100,00%
Cuadro 84 : Proyectos entre asignaturas apoyados en TIC.
Fuente: Docentes de la Universidad de Guayaquil.
Elaborado por:LSIJorge Vera Mosquera.
Gráfico 143: Uso de métodos técnicas activas con apoyo TIC.
Fuente:Docentes de la Universidad de Guayaquil.
Elaboración:LSI Jorge Vera Mosquera.
Luego de observar los resultados en el cuadro y gráfico, se determina que
existe un alto porcentaje de Docentes(51,03%) que existen proyectos
entre asignaturas, apoyados en TIC,mientras que un 36,73%, no lo hace,
y un 12,24% desconoce al respecto. Se infiere que existen proyectos
entre asignaturas apoyados en TIC, notándose que entre quienes
desconocen y no lo hacen, un porcentaje considerable, que representan
casi un 50%.
Desconozco Sí No
12
50
36
12.24
51.03
36.73
Frecuencia Porcentaje
271
Pregunta No. 26:¿Existe Intercambio entre Docentes de experiencias de
aprendizaje apoyadas en TIC?
Intercambio de experiencias de aprendizaje apoyados en TIC entre
Docentes
Valoración Frecuencia Porcentaje
Desconozco 8 8,16%
Sí 43 43,88%
No 47 47,96%
TOTAL 98 100,00%
Cuadro 85 : Experiencias de aprendizaje apoyados en TIC entre Docentes.
Fuente: Docentes de la Universidad de Guayaquil.
Elaborado por:LSIJorge Vera Mosquera.
Gráfico 144: Intercambio de experiencias de aprendizaje apoyados en TIC entre Docentes.
Fuente:Docentes de la Universidad de Guayaquil.
Elaboración:LSI Jorge Vera Mosquera.
Luego de observar los resultados en el cuadro y gráfico, se determina que
existe un alto porcentaje de Docentes(47,96%) que no disponen de
Intercambio entre Docentes de experiencias de aprendizaje apoyadas en
TIC,mientras que un 43,88%, sí lo hace, y un 8,16% desconoce al
respecto. Se infiere que los Docentes no disponen de Intercambio entre
Docentes de experiencias de aprendizaje apoyadas en TIC, notándose
que un porcentaje considerable mayor al 50%entre quienes desconocen y
no lo hacen.
Desconozco Sí No
8
43
47
8.16
43.88
47.96
Frecuencia Porcentaje
272
Pregunta No. 27:¿Existe algún proyecto de desarrollo de conocimientos
apoyados en TIC para Docentes?
Proyecto de desarrollo de conocimientos apoyados en TIC para
Docentes
Valoración Frecuencia Porcentaje
Desconozco 28 28,57%
Sí 37 37,76%
No 33 33,67%
TOTAL 98 100,00%
Cuadro 86 : Proyecto de desarrollo de conocimientos apoyados en TIC para Docentes.
Fuente: Docentes de la Universidad de Guayaquil.
Elaborado por:LSIJorge Vera Mosquera.
Gráfico 145: Proyecto de desarrollo de conocimientos apoyados en TIC para Docentes.
Fuente:Docentes de la Universidad de Guayaquil.
Elaboración:LSI Jorge Vera Mosquera.
Luego de observar los resultados en el cuadro y gráfico, se determina que
existe un mayor porcentaje de Docentes(37,76%) que manifiestan que
existe algún proyecto de desarrollo de conocimientos apoyados en TIC
para Docentes,mientras que un 33,67%, no lo hace, y un 28,57%
desconoce al respecto. Se infiere que entre Docentes existe algún
proyecto de desarrollo de conocimientos apoyados en TIC para Docentes,
notándose que entre quienes desconocen y no lo hacen, existe un
porcentaje considerable superior al 50%.
Desconozco Sí No
28
37
33
28.57
37.76
33.67
Frecuencia Porcentaje
273
Pregunta No. 28:¿En qué grado de importancia considera Ud. al manejo
de las TIC en la gestión docente universitaria?
Importancia en el manejo de las TIC en la gestión docente
universitaria
Valoración Frecuencia Porcentaje
Desconozco 2 2,04%
Nulo 3 3,06%
Algo 6 6,12%
Medio 17 17,35%
Alto 23 23,47%
Más alto 47 47,96%
TOTAL 98 100,00%
Cuadro 87 : Importancia en el manejo de las TIC en la gestión docente universitaria.
Fuente: Docentes de la Universidad de Guayaquil.
Elaborado por:LSIJorge Vera Mosquera.
Gráfico 146: Importancia en el manejo de las TIC en la gestión docente universitaria.
Fuente:Docentes de la Universidad de Guayaquil.
Elaboración:LSI Jorge Vera Mosquera.
Luego de observar los resultados en el cuadro y gráfico, se determina que
el porcentaje más alto de Docentes(47,96%)considera la máxima
importancia al manejo de las TIC en la gestión docente
universitaria,23,47%, lo considera de alta importancia, 17,35% considera
importancia media, 6,12% lo considera algo importante, 3,06% considera
de importancia nula, y 2,04% desconoce. Se deduce que los Docentes
consideran importante al manejo de las TIC en la gestión docente
universitaria.
2 3 6
17
23
47
2.04 3.06 6.12
17.35
23.47
47.96Frecuencia Porcentaje
274
Pregunta No. 29: ¿En qué grado considera que se debe conservar la
presencia del paradigma tradicional en el proceso educativo actual de la
Universidad?
Presencia del paradigma tradicional en el proceso educativo
Valoración Frecuencia Porcentaje
Desconozco 4 4,08%
Nulo 9 9,18%
Algo 18 18,37%
Medio 21 21,43%
Alto 28 28,57%
Más alto 18 18,37%
TOTAL 98 100,00%
Cuadro 88 : Presencia del paradigma tradicionalen el proceso educativo.
Fuente: Docentes de la Universidad de Guayaquil.
Elaborado por:LSIJorge Vera Mosquera.
Gráfico 147: Presencia del paradigma tradicional en el proceso educativo.
Fuente:Docentes de la Universidad de Guayaquil.
Elaboración:LSI Jorge Vera Mosquera.
Luego de observar los resultados en el cuadro y gráfico, se determina que
un porcentaje alto de Docentes (28,57%) considera que se debe
conservar el paradigma tradicional en el proceso educativo actual de la
Universidad, mientras que un 21,43% considera medianamente
importante, 18,37% considera algo importante y de más alta importancia,
9,18% considera nulo, y 4,08% desconoce al respecto. Se infiere que no
hay mayoría que lo considere así.
4
9
18 21
28
18
4.08
9.18
18.37 21.43
28.57
18.37
Frecuencia Porcentaje
275
Pregunta No. 30:¿En qué grado considera que es importante apoyarse
en las herramientas informáticas en el Curriculum actual de la asignatura
a su cargo?
Grado de importancia de apoyo TIC en Curriculum de asignatura
Valoración Frecuencia Porcentaje
Desconozco 2 2,04%
Nulo 0 0,00%
Algo 2 2,04%
Medio 11 11,23%
Alto 32 32,65%
Más alto 51 52,04%
TOTAL 98 100,00%
Cuadro 89 : Grado de importancia de apoyo TIC en Curriculum asignatura.
Fuente: Docentes de la Universidad de Guayaquil.
Elaborado por:LSIJorge Vera Mosquera.
Gráfico 148: Grado de importancia de apoyo TIC en Curriculum de asignatura.
Fuente:Docentes de la Universidad de Guayaquil.
Elaboración:LSI Jorge Vera Mosquera.
Al observar los resultados en el cuadro y gráfico, se determina que el
porcentaje más alto de Docentes(52,04%) considera la máxima
importancia al apoyarse en las herramientas informáticas en el Curriculum
actual de la asignatura a su cargo, un 32,65% alta importancia, un
11,22% media importancia, 2,04% algo importante, nadie considera nulo,
y 2,04% desconoce. Se infiere que la mayoría lo considera importante.
2 0 2
11
32
51
2.04 0.00 2.04
11.22
32.65
52.04
Frecuencia Porcentaje
276
Pregunta No. 31:¿Qué grado de importancia considera que se debe dar
al empleo de Software de Gestión de Contenidos y/o de Aprendizajes en
una modalidad semi-presencial y/o a distancia?
Grado de importancia al empleo de Software de Contenidos y/o
aprendizaje
Valoración Frecuencia Porcentaje
Desconozco 5 5.10%
Nulo 0 0.00%
Algo 1 1.02%
Medio 11 11.22%
Alto 25 25.51%
Más alto 56 57.14%
TOTAL 98 100.00%
Cuadro 90 : Empleo de Software de Contenidos y/o aprendizaje.
Fuente:Docentes de la Universidad de Guayaquil.
Elaborado por:LSIJorge Vera Mosquera.
Gráfico 149: Grado de importancia al empleo de Softw are de Contenidos y/o aprendizaje.
Fuente:Docentes de la Universidad de Guayaquil.
Elaboración:LSI Jorge Vera Mosquera.
Al observar los resultados en el cuadro y gráfico, se determina que existe
el porcentaje más alto de Docentes(57,14%) que considera la máxima
importancia al empleo de Software de Gestión de Contenidos y/o de
Aprendizajes en una modalidad semi-presencial y/o a distancia, 25,51% lo
considera de alta importancia, 11,22% de media importancia, 1,02% algo
importante, nadie lo considera nulo, y un 5,10% desconoce al respecto.
Se infiere que los Docentes lo consideran importante.
5 0 1
11
25
56
5.10 0.00 1.02
11.22
25.51
57.14
Frecuencia Porcentaje
277
Pregunta No. 32:¿En qué grado considera su evolución de
conocimientos en la-s disciplina-s que imparte?
Evolución de conocimientos en disciplina que se imparte
Valoración Frecuencia Porcentaje
Desconozco 2 2,04%
Nulo 0 0,00%
Algo 4 4,07%
Medio 13 13,27%
Alto 41 41,84%
Más alto 38 38,78%
TOTAL 98 100,00%
Cuadro 91 : Evolución de conocimientos en disciplina que se imparte.
Fuente:Docentes de la Universidad de Guayaquil.
Elaborado por:LSIJorge Vera Mosquera.
Gráfico 150: Evolución de conocimientos en disciplina que se imparte.
Fuente:Docentes de la Universidad de Guayaquil.
Elaboración:LSI Jorge Vera Mosquera.
Luego de observar los resultados en el cuadro y gráfico, se determina que
existe un porcentaje de Docentes(41,84%) que considera una evolución
alta de sus conocimientos en la-s disciplina-s que imparte, un 38,78% lo
considera más alto, mientras un 13,27% lo considera medio, un 4,07%
algo lo considera, nadie lo considera nulo y un 2,04% lo desconoce. Se
infiere que los Docentes lo consideran importante.
2 0
4
13
41 38
2.04 0.00 4.07
13.27
41.84
38.78
Frecuencia Porcentaje
278
Pregunta No. 33:¿En qué grado considera la evolución del aprendizaje
de sus estudiantes en la-s disciplina-s que imparte?
Evolución del aprendizaje de los estudiantes
Valoración Frecuencia Porcentaje
Desconozco 4 4,08%
Nulo 0 0,00%
Algo 0 0,00%
Medio 11 11,22%
Alto 50 51,03%
Más alto 33 33,67%
TOTAL 98 100,00%
Cuadro 92 : Evolución del aprendizaje de los estudiantes.
Fuente: Docentes de la Universidad de Guayaquil.
Elaborado por:LSIJorge Vera Mosquera.
Gráfico 151: Evolución del aprendizaje de los estudiantes.
Fuente:Docentes de la Universidad de Guayaquil.
Elaboración:LSI Jorge Vera Mosquera.
Luego de observar los resultados en el cuadro y gráfico, se determina que
existe un porcentaje de Docentes(51,03%) que considera una alta
evolución del aprendizaje de sus estudiantes en la-s disciplina-s que
imparte, 33,67% lo considera más alto, 11,22% lo considera media, nadie
lo considera en algo o nulo, y un 4,08% lo desconoce. Se infiere que los
Docentes consideran una evolución alta del aprendizaje de sus
estudiantes en la-s disciplina-s que imparte.
4 0 0
11
50
33
4.08 0.00 0.00
11.22
51.03
33.67
Frecuencia Porcentaje
279
Pregunta No. 34:¿En qué grado considera sus necesidades de
Formación en TIC?
Necesidades de Formación en TIC
Valoración Frecuencia Porcentaje
Desconozco 2 2,04%
Nulo 1 1,02%
Algo 2 2,04%
Medio 5 5,10%
Alto 30 30,62%
Más alto 58 59,18%
TOTAL 98 100,00%
Cuadro 93 : Necesidades de Formación en TIC.
Fuente:Docentes de la Universidad de Guayaquil.
Elaborado por:LSIJorge Vera Mosquera.
Gráfico 152: Necesidades de Formación en TIC.
Fuente:Docentes de la Universidad de Guayaquil.
Elaboración:LSI Jorge Vera Mosquera.
Luego de observar los resultados en el cuadro y gráfico, se determina que
existe un porcentaje de Docentes(59,18%) que considera de muy alta
necesidad de Formación en TIC, un 30,62% lo considera alta, un 5,10% lo
considera media, un 2,04% lo considera en algo, un 1,02% lo considera
nulo, y un 2,04% lo desconoce. Se infiere que los Docentes consideran
una alta necesidad de Formación en TIC.
2 1 2 5
30
58
2.04 1.02 2.04 5.10
30.62
59.18
Frecuencia Porcentaje
280
Pregunta No. 35: ¿Qué recursos TIC emplea como parte de su estrategia
de aprendizaje para un entorno de trabajo?
Recursos TIC como estrategias de aprendizaje
Recurso Valoración Frecuencia Porcentaje
Chat
No 65 66,33%
Sí 33 33,67%
SUMA 98 100,00%
Email
No 48 48,98%
Sí 50 51,02%
SUMA 98 100,00%
Foro
No 73 74,49%
Sí 25 25,51%
SUMA 98 100,00%
Wiki
No 79 80,61%
Sí 19 19,39%
SUMA 98 100,00%
Círculo de
aprendizaje
No 86 87,76%
Sí 12 12,24%
SUMA 98 100,00%
Simulaciones
No 87 88,78%
Sí 11 11,22%
SUMA 98 100,00%
Proyectos
colaborativos
No 75 76,53%
Sí 23 23,47%
SUMA 98 100,00%
Caza del tesoro
No 94 95,92%
Sí 4 4,08%
SUMA 98 100,00%
281
Webquest
No 91 92,86%
Sí 7 7,14%
SUMA 98 100,00%
Blog
No 75 76,53%
Sí 23 23,47%
SUMA 98 100,00%
Otros
No 84 85,71%
Sí 14 14,29%
SUMA 98 100,00%
Cuadro 94 : Recursos TIC como estrategias de aprendizaje.
Fuente:Docentes de la Universidad de Guayaquil.
Elaborado por:LSIJorge Vera Mosquera.
Gráfico 153: Recursos TIC como estrategias de aprendizaje.
Fuente:Docentes de la Universidad de Guayaquil.
Elaboración:LSI Jorge Vera Mosquera.
0
10
20
30
40
50
60
70
80
90
100
No Sí No Sí No Sí No Sí No Sí No Sí No Sí No Sí No Sí No Sí No Sí
Chat Email Foro Wiki C.Ap. Simul. P.Col. C.Tes. Webq. Blog Otros
282
Aplicación de recursos TIC como estrategia de aprendizaje
Valoración Frecuencia Porcentaje
Desconozco 20 20,41%
Aplico 62 63,27%
No Aplico 16 16,32%
SUMA 98 100,00%
Cuadro No. 109: Aplicación de recursos TIC como estrategia de aprendizaje
Fuente:Docentes de la Universidad de Guayaquil
Elaborado por:LSIJorge Vera Mosquera
Gráfico 154: Aplicación de recursos TIC como estrategia de aprendizaje.
Fuente:Docentes de la Universidad de Guayaquil.
Elaboración:LSI Jorge Vera Mosquera.
Luego de observar los resultados en los cuadros y gráficos de detalle y
sumarización, se determina que existe un porcentaje de Docentes
(63,27%) que manifiesta que emplea recursos TIC como parte de su
estrategia de aprendizaje para un entorno de trabajo, un 16,33% que
manifiesta que no aplica, y un 20,41% desconoce al respecto.
El recurso menos utilizado es la casa del tesoro (95,92%), seguido del
webquest (92,86%), simulaciones (88,78%), círculo de aprendizaje
(87,76%), otros (85,71%), wiki (80,61%), blog y proyectos colaborativos
(76,53%), foro (74,99%), chat (66,63%) y el email (48,98%).El más
utilizado es el correo electrónico (51,02%), seguido del chat (33,67%),
Desconozco Aplico No Aplico
20
62
16
20.41
63.27
16.32
Frecuencia Porcentaje
283
foro (25,51%), proyectos colaborativos y Blog (23,47%), wiki (19,39%),
otros (14,29%), círculos de aprendizaje (12,24%), simulaciones (11,22%),
webquest (7,14%) y caza del tesoro (4,08%).
Se deduce que los Docentes en su mayoría consideran que se
encuentran empleando recursos TIC como parte de su estrategia de
aprendizaje, existiendo un porcentaje considerable entre quienes no
aplican y más aún de quienes desconocen.
284
Pregunta No. 36: ¿Qué técnicas activas utiliza con apoyo en TIC?
Técnicas activas con apoyo TIC
Técnica Valoración Frecuencia Porcentaje
Mapas
conceptuales
No 53 54,08%
Sí 45 45,92%
SUMA 98 100,00%
Mapas
mentales
No 83 84,69%
Sí 15 15,31%
SUMA 98 100,00%
Aprendizaje
colaborativo
No 65 66,33%
Sí 33 33,67%
SUMA 98 100,00%
Trabajo en
grupo
No 59 60,20%
Sí 39 39,80%
SUMA 98 100,00%
Foro No 79 80,61%
Sí 19 19,39%
SUMA 98 100,00%
Audio digital No 86 87,76%
Sí 12 12,24%
SUMA 98 100,00%
Grabar
movimientos en
el monitor
No 92 93,88%
Sí 6 6,12%
SUMA 98 100,00%
Cuestionario No 81 82,65%
Sí 17 17,35%
SUMA 98 100,00%
285
Lluvia de ideas No 59 60,20%
Sí 39 39,80%
SUMA 98 100,00%
Pizarra en línea No 90 91,84%
Sí 8 8,16%
SUMA 98 100,00%
Ensayos No 84 85,71%
Sí 14 14,29%
SUMA 98 100,00%
Proyectos en
línea
No 86 87,76%
Sí 12 12,24%
SUMA 98 100,00%
Otros No 90 91,84%
Sí 8 8,16%
SUMA 98 100,00%
Cuadro 95 : Técnicas activas con apoyo TIC.
Fuente:Docentes de la Universidad de Guayaquil.
Elaborado por:LSIJorge Vera Mosquera.
Gráfico 155: Técnicas activas con apoyo TIC.
Fuente:Docentes de la Universidad de Guayaquil.
Elaboración:LSI Jorge Vera Mosquera.
0
10
20
30
40
50
60
70
80
90
100
No Sí No Sí No Sí No Sí No Sí No Sí No Sí No Sí No Sí No Sí No Sí No Sí No Sí
M.Con.M.Men.A.Col.T.Grupo Foro A.Dig.Mov.M.Cuest.Lluvia I.Piz. Lin. Ens. Proy.L. Otros
286
Aplicación de técnicas activas con apoyo TIC
Valoración Frecuencia Porcentaje
Desconozco 23 23,47%
Aplico 66 67,35%
No Aplico 9 9,18%
SUMA 98 100,00%
Cuadro 96 : Aplicación de técnicas activas con apoyo TIC.
Fuente:Docentes de la Universidad de Guayaquil.
Elaborado por:LSIJorge Vera Mosquera.
Gráfico 156: Aplicación de técnicas activas con apoyo TIC.
Fuente:Docentes de la Universidad de Guayaquil.
Elaboración:LSI Jorge Vera Mosquera.
Luego de observar los resultados en los cuadros y gráficos de detalle y
sumarización, se determina que existe un porcentaje de Docentes
(67,35%) que manifiesta utilizar técnicas activas con apoyo en TIC,
9,18% manifiesta que no aplica, y 23,47% desconoce al respecto, lo cual
es algo significativo en relación a no aplicar.
La técnica menos utilizada es grabar movimientos en el monitor (93,88%),
seguido de pizarra en línea y otros (91,84%), audio digital y proyectos en
línea (87,76%), ensayos (85,71%), mapas mentales (84,69%),
Desconozco Aplico No Aplico
23
66
9
23.47
67.35
9.18
Frecuencia Porcentaje
287
cuestionario (82,65%), foro (80,61%), aprendizaje colaborativo (66,33%),
lluvia de ideas y trabajo en grupo (60,20%), y mapas conceptuales
(54,08%).
El más utilizado es el mapa conceptual (45,92%), seguido del trabajo de
grupo y lluvia de ideas (39,80%), aprendizaje colaborativo (33,67%), foro
(19,39%), cuestionario (17,35%), mapas mentales (15,31%), ensayos
(14,29%), proyectos en línea y audio digital (12,24%), pizarra en línea
(8,16%), y grabar movimientos en el monitor (6,12%).
Se deduce que los Docentes en su mayoría no se encuentran empleando
técnicas activas con apoyo en TIC, a pesar que en su mayoría manifiesta
hacerlo, considerándose para ello el empleo del mapa conceptual con un
porcentaje menor al 50%, notándose intentos en empleo colectivo como
trabajo de Grupo, lluvia de ideas, aprendizaje colaborativo y foro. La
técnica menos utilizada es grabar movimientos en el monitor cuyo
porcentaje supera el 90%, notándose un alto porcentaje de no uso en
técnicas individuales seguido en técnicas de empleo en grupo.
288
Pregunta No. 37: ¿Qué tipos de aprendizaje utiliza en sus procesos
educativos, apoyado en las TIC?
Tipos de aprendizaje en procesos educativos apoyados en TIC
Tipo Valoración Frecuencia Porcentaje
Receptivo No 73 74,49%
Sí 25 25,51%
SUMA 98 100,00%
Por
descubrimiento
No 79 80,61%
Sí 19 19,39%
SUMA 98 100,00%
Repetitivo No 90 91,84%
Sí 8 8,16%
SUMA 98 100,00%
Significativo No 75 76,53%
Sí 23 23,47%
SUMA 98 100,00%
Observación No 63 64,29%
Sí 35 35,71%
SUMA 98 100,00%
Colaborativo No 78 79,59%
Sí 20 20,41%
SUMA 98 100,00%
Cooperativo No 68 69,39%
Sí 30 30,61%
SUMA 98 100,00%
Por Caso No 81 82,65%
Sí 17 17,35%
SUMA 98 100,00%
289
Basado en
problemas
No 70 71,43%
Sí 28 28,57%
SUMA 98 100,00%
Basado en
proyectos
No 77 78,57%
Sí 21 21,43%
SUMA 98 100,00%
Visual No 76 77,55%
Sí 22 22,45%
SUMA 98 100,00%
Otros No 87 88,78%
Sí 11 11,22%
SUMA 98 100,00%
Cuadro 97 : Tipos de aprendizaje en procesos educativos apoyadosen TIC.
Fuente: Docentes de la Universidad de Guayaquil.
Elaborado por:LSIJorge Vera Mosquera.
Gráfico 157: Aplicación de técnicas activas con apoyo TIC.
Fuente:Docentes de la Universidad de Guayaquil.
Elaboración:LSI Jorge Vera Mosquera.
0
10
20
30
40
50
60
70
80
90
100
No Sí No Sí No Sí No Sí No Sí No Sí No Sí No Sí No Sí No Sí No Sí No Sí
Recep.Descub.Repet. Signif. Obs. Colab. Coop.Por CasoB. Prob.B.Proy. Visual Otros
290
Aplicación de tipos de aprendizaje en procesos educativos apoyados
en TIC
Valoración Frecuencia Porcentaje
Desconozco 15 15,31%
Aplico 55 56,12%
No Aplico 28 28,57%
SUMA 98 100,00%
Cuadro 98 : Aplicación tipos de aprendizaje en procesos educativoscon TIC.
Fuente:Docentes de la Universidad de Guayaquil.
Elaborado por:LSIJorge Vera Mosquera.
Gráfico 158: Aplicación de tipos de aprendizaje en procesos educativos apoyadosen TIC.
Fuente:Docentes de la Universidad de Guayaquil.
Elaboración:LSI Jorge Vera Mosquera.
Luego de observar los resultados en los cuadros y gráficos de detalle y
sumarización, se determina que existe un porcentaje de Docentes
(56,12%) que manifiesta utilizar tipos de aprendizaje en sus procesos
educativos apoyados en las TIC, un 28,57% que manifiesta que no aplica,
y un 15,31% desconoce al respecto, lo cual significa que existe una
relativa tendencia al uso de tipos de aprendizaje en los procesos
educativos apoyados en las TIC.
Desconozco Aplico No Aplico
15
55
28
15.31
56.12
28.57
Frecuencia Porcentaje
291
El tipo menos utilizado es el repetitivo (91,84%), seguido de otros
(88,78%), por caso (82,65%), por descubrimiento (80,61%), colaborativo
(79,59%), basado en proyectos (78,57%), visual (77,55%), significativo
(76,53%), receptivo (74,49%), basado en problemas (71,43%),
observación (64,29%) y cooperativo (69,39%).
El más utilizado es observación (35,71%), seguido de cooperativo
(30,61%), basado en problemas (28,57%), receptivo (25,51%),
significativo (23,47%), visual (22,45%), basado en proyectos (21,43%),
colaborativo (20,41%), descubrimiento (19,39%), por caso (17,35%), otros
(11,22%) y repetitivo (8,16%).
Se infiere que los Docentes presentan un comportamiento de deseo de
usar las TIC en apoyo al tipo de aprendizaje a utilizar con los dicentes,
pero no se marca una tendencia mayoritaria a determinada o
determinadas técnicas, observándose por ello que la observación prima
por su mayor porcentaje, al igual que el menos utilizado es el repetitivo lo
que marca que no se desea enseñar a ser simplemente instrumental.
292
Pregunta No. 38: ¿Qué enfoques teóricos considera que se debe utilizar
en los procesos educativos, apoyado en las TIC?
Enfoques teóricos en procesos educativos apoyados en TIC
Enfoque Valoración Frecuencia Porcentaje
Conductismo No 83 84,69%
Sí 15 15,31%
SUMA 98 100,00%
Cognitivismo No 78 79,59%
Sí 20 20,41%
SUMA 98 100,00%
Constructivismo No 53 54,08%
Sí 45 45,92%
SUMA 98 100,00%
Conectivismo No 90 91,84%
Sí 8 8,16%
SUMA 98 100,00%
Sharismo No 96 97,96%
Sí 2 2,04%
SUMA 98 100,00%
Cuadro 99 : Enfoques teóricos en procesos educativos apoyadosen TIC.
Fuente: Docentes de la Universidad de Guayaquil.
Elaborado por:LSI Jorge Vera Mosquera.
293
Gráfico 159: Enfoques teóricos en procesos educativosapoyadosen TIC.
Fuente:Docentes de la Universidad de Guayaquil.
Elaboración:LSI Jorge Vera Mosquera.
Aplicación de enfoques teóricos apoyados en TIC
Valoración Frecuencia Porcentaje
Desconozco 23 23,47%
Aplico 60 61,22%
No Aplico 15 15,31%
SUMA 98 100,00%
Cuadro 100 : Aplicación de enfoques teóricos apoyados en TIC.
Fuente:Docentes de la Universidad de Guayaquil.
Elaborado por:LSIJorge Vera Mosquera.
Gráfico 160: Aplicación de enfoques teóricos apoyados en TIC.
Fuente:Docentes de la Universidad de Guayaquil.
Elaboración:LSI Jorge Vera Mosquera.
0
20
40
60
80
100
120
No Sí No Sí No Sí No Sí No Sí
Conductismo CognitivismoConstructivismoConectivismo Sharismo
Frecuencia
Porcentaje
Desconozco Aplico No Aplico
23
60
15
23.47
61.22
15.31
Frecuencia Porcentaje
294
Luego de observar los resultados en los cuadros y gráficos de detalle y
sumarización, se determina que existe una mayoría (61,22%) que
considera los enfoques teóricos para utilizar en los procesos educativos
apoyado en las TIC, un (15,31%) manifiesta que no lo aplicaría y un
(23,47%) desconoce al respecto, lo que significa que casi un 40% no
considera afirmativamente los enfoques teóricos.
El enfoque menos considerado para utilizar es el Sharismo (97,96%),
seguido del Conectivismo (91,84%), Conductismo (84,69%), Cognitivismo
(79,59%) y el Constructivismo (54,08%).Existe una relativa mayoría de
Docentes (45,92%) que enfoca el Constructivismo para utilizar en los
procesos educativos, seguido del Cognitivismo (20,41%), Conductismo
(15,31%), Conectivismo (8,16%) y el Sharismo (2,04%).
Se infiere que los Docentes presentan una tendencia a utilizar el
Constructivismo, y una marcada consideración de no utilizar el sharismo.
El Cognitivismo y el Conductismo presentan cierta consideración similar, y
el Conectivismo es algo considerado.
295
Pregunta No. 39:¿En cuál-es evaluación-es utiliza como apoyo a las
TIC?
Evaluación con apoyo TIC
Evaluación Valoración Frecuencia Porcentaje
Inicial No 80 81,63%
Sí 18 18,37%
SUMA 98 100,00%
Procesual No 52 53,06%
Sí 46 46,94%
SUMA 98 100,00%
Final No 83 84,69%
Sí 15 15,31%
SUMA 98 100,00%
Cuadro 101 : Evaluación con apoyo TIC.
Fuente: Docentes de la Universidad de Guayaquil.
Elaborado por:LSIJorge Vera Mosquera.
Gráfico 161: Evaluación con apoyo TIC.
Fuente:Docentes de la Universidad de Guayaquil.
Elaboración:LSI Jorge Vera Mosquera.
0
10
20
30
40
50
60
70
80
90
No Sí No Sí No Sí
Inicial Procesual Final
Frecuencia
Porcentaje
296
Aplicación de evaluación con apoyo TIC
Valoración Frecuencia Porcentaje
Desconozco 37 37,76%
Aplico 58 59,18%
No Aplico 3 3,06%
SUMA 98 100,00%
Cuadro No. 117: Aplicación de evaluación con apoyo TIC
Fuente:Docentes de la Universidad de Guayaquil
Elaborado por:LSIJorge Vera Mosquera
Gráfico 162: Aplicación de evaluación con apoyo TIC.
Fuente:Docentes de la Universidad de Guayaquil.
Elaboración:LSI Jorge Vera Mosquera.
Luego de observar los resultados en los cuadros y gráficos de detalle y
sumarización, se determina que existe una mayoría (59,18%) que utiliza
las TIC como apoyo en las evaluaciones, un 3,06% manifiesta que no lo
utiliza y un 37,76% desconoce al respecto, lo que significa que casi un
aproximado de un 40% no utiliza como apoyo a las TIC en las
evaluaciones.En la evaluación que menos se utiliza es la Final (84,69%),
seguida de la Inicial (81,63%) y la Procesual (53,06%).En la evaluación
que más se utiliza es la Procesual (46,94%), seguida de la Inicial
(18,37%) y la Final (15,31%).Se deduce que los Docentes presentan una
tendencia a utilizar las TIC como apoyo en la evaluación Procesual, y en
las restantes a no considerarlo así.
Desconozco Aplico No Aplico
37
58
3
37.76
59.18
3.06
Frecuencia Porcentaje
297
Pregunta No. 40:¿Dispone criterios pedagógicos/andragógicos para
seleccionar recursos TIC a emplear, ya sea de escritorio, red e Internet?
Disposición de criterios pedagógicos/andragógicos para recursos
TIC
Valoración Frecuencia Porcentaje
Sí 49 50,00
No 49 50,00
SUMA 98 100,00
Cuadro 102 : Disposición de criterios pedagógicos/andragógicosrecursos TIC.
Fuente:Docentes de la Universidad de Guayaquil.
Elaborado por:LSIJorge Vera Mosquera.
Gráfico 163: Disposición de criterios pedagógicos/andragógicospara recursosTIC.
Fuente:Docentes de la Universidad de Guayaquil.
Elaboración:LSI Jorge Vera Mosquera.
Luego de observar los resultados en el cuadro y gráfico, se determina que
existe un porcentaje de Docentes (50,00%) que no dispone de criterios
pedagógicos/andragógicos para seleccionar recursos TIC a emplear, ya
sea de escritorio, red e Internet, y un porcentaje similar que manifiesta
que sí dispone, por lo que no se marca ni tendencia ni se puede afirmar
una situación u otra.
Frecuencia Porcentaje
49
50
49
50
Sí No
298
Pregunta No. 41: Indique ¿qué recursos TIC utiliza para crear material
didáctico para los escenarios educativos?
Recursos TIC para crear material didáctico
Recurso Valoración Frecuencia Porcentaje
Procesador de
palabras
No aplico 49 50,00%
Aplico 49 50,00%
SUMA 98 100,00%
Hoja de cálculo No aplico 61 62,24%
Aplico 37 37,76%
SUMA 98 100,00%
Base de datos No aplico 75 76,53%
Aplico 23 23,47%
SUMA 98 100,00%
Presentador No aplico 74 75,51%
Aplico 24 24,49%
SUMA 98 100,00%
Graficador No aplico 74 75,51%
Aplico 24 24,49%
SUMA 98 100,00%
Multimedia No aplico 72 73,47%
Aplico 26 26,53%
SUMA 98 100,00%
Trabajo
colaborativo
No aplico 78 79,59%
Aplico 20 20,41%
SUMA 98 100,00%
Trabajo
cooperativo
No aplico 83 84,69%
Aplico 15 15,31%
SUMA 98 100,00%
299
Red No aplico 83 84,69%
Aplico 15 15,31%
SUMA 98 100,00%
Internet No aplico 56 57,14%
Aplico 42 42,86%
SUMA 98 100,00%
Otros No aplico 79 80,61%
Aplico 19 19,39%
SUMA 98 100,00%
Cuadro 103 : Recursos TIC para crear material didáctico.
Fuente: Docentes de la Universidad de Guayaquil.
Elaborado por:LSI Jorge Vera Mosquera.
Gráfico 164: Recursos TIC para crear material didáctico
Fuente:Docentes de la Universidad de Guayaquil.
Elaboración:LSI Jorge Vera Mosquera.
0
10
20
30
40
50
60
70
80
90
Noaplico
Aplico
Noaplico
Aplico
Noaplico
Aplico
Noaplico
Aplico
Noaplico
Aplico
Noaplico
Aplico
Noaplico
Aplico
Noaplico
Aplico
Noaplico
Aplico
Noaplico
Aplico
Noaplico
Aplico
P.Pal. H.Calc. BD Pres. Graf. Mult. T.Colab.T.Coop. Red Internet Otros
300
Empleo de recursos TIC para crear material didáctico
Valoración Frecuencia Porcentaje
Desconozco 18 18,37%
Aplico 16 16,33%
No Aplico 64 65,31%
SUMA 98 100,00%
Cuadro 104 : Empleo de recursos TIC para crear material didáctico.
Fuente:Docentes de la Universidad de Guayaquil.
Elaborado por:LSIJorge Vera Mosquera.
Gráfico 165: Empleo de recursos TIC para crear material didáctico.
Fuente:Docentes de la Universidad de Guayaquil.
Elaboración:LSI Jorge Vera Mosquera.
Luego de observar los resultados en el cuadro y gráfico, se determina que
existe un porcentaje de Docentes (65,31%) que no utiliza recursos TIC
para crear material didáctico para los escenarios educativos, un
16,33%afirma que utiliza, y un 18,37% desconoce al respecto.
El trabajo cooperativo y en red son los recursos TIC que menos se
utilizan para crear material didáctico para los escenarios educativos
(84,69%), seguido de otros (80,61%), trabajo colaborativo (79,59%), base
de datos (76,53%), presentador y graficador (75,51%), multimedia
(73,47%), hoja de cálculo (62,24%), Internet (57,14%) y procesador de
palabras (50,00%).
Desconozco Aplico No Aplico
18 16
64
18.37 16.33
65.31
Frecuencia Porcentaje
301
El procesador de palabras aparece como el recurso TIC que más se
utiliza para crear material didáctico para los escenarios educativos
(50,00%), seguido del Internet (42,86%), hoja de cálculo (37,76%),
multimedia (26,53%), presentador y graficador (24,49%), base de datos
(23,47%), trabajo colaborativo (20,41%), otros (19,39%), y el trabajo
cooperativo y en red (15,31%).
Se deduce que la mitad de los Docentes utiliza el procesador de palabras
como recurso TIC para crear material didáctico para los escenarios
educativos, seguido del Internet con menos del 50%, notándose que para
el resto de recursos la gran mayoría de Docentes no lo hace.
302
Pregunta No. 42:¿Qué nivel de conocimientos considera disponer
enconocimientos informáticos, conocimientos en redes, conocimientos en
internet, aplicaciones de gestión en red e Internet, uso de equipos en red
e internet, medidas de prevención y seguridad en el uso de equipos
informáticos, integración de programas y equipos en red e Internet,
sistema operativo Windows, sistema operativo Linux, procesamiento de
palabras, hoja de cálculo, base de datos, presentador, graficador,
multimedia, navegadores web, motores de búsqueda, software de
productividad en línea (Office, organizadores gráficos, línea de tiempo,
etc.), uso de herramientas sincrónicas en red e Internet(chat, Video
conferencia, audio conferencia, compartir pantalla del computador, etc.),
gestión de contenidos en línea y gestión de aprendizaje en línea?.
Nivel de conocimientos TIC
Conocimiento Valoración Frecuencia Porcentaje
Conocimientos
informáticos
No aplico 16 16,33%
Básico 31 31,63%
Intermedio 27 27,55%
Avanzado 24 24,49%
SUMA 98 100,00%
Conocimientos en
redes
No aplico 36 36,73%
Básico 26 26,53%
Intermedio 23 23,47%
Avanzado 13 13,27%
SUMA 98 100,00%
Conocimientos en
Internet
No aplico 24 24,49%
Básico 29 29,59%
Intermedio 21 21,43%
Avanzado 24 24,49%
SUMA 98 100,00%
Aplicaciones de No aplico 28 28,57%
303
gestión en red e
Internet
Básico 30 30,61%
Intermedio 18 18,37%
Avanzado 22 22,45%
SUMA 98 100,00%
Uso de equipos
en red e Internet
No aplico 19 19,39%
Básico 36 36,73%
Intermedio 23 23,47%
Avanzado 20 20,41%
SUMA 98 100,00%
Medidas de
prevención y
seguridad en el
uso de equipos
informáticos
No aplico 41 41,84%
Básico 26 26,53%
Intermedio 18 18,37%
Avanzado 13 13,27%
SUMA 98 100,00%
Integración de
programas y
equipos en red e
Internet
No aplico 41 41,84%
Básico 26 26,53%
Intermedio 15 15,31%
Avanzado 16 16,33%
SUMA 98 100,00%
Sistema operativo
(Windows)
No aplico 20 20,41%
Básico 15 15,31%
Intermedio 38 38,78%
Avanzado 25 25,51%
SUMA 98 100,00%
Sistema operativo
(Linux)
No aplico 54 55,10%
Básico 22 22,45%
Intermedio 11 11,22%
Avanzado 11 11,22%
SUMA 98 100,00%
Procesamiento de No aplico 21 21,43%
304
palabras Básico 31 31,63%
Intermedio 22 22,45%
Avanzado 24 24,49%
SUMA 98 100,00%
Hoja de cálculo No aplico 26 26,53%
Básico 27 27,55%
Intermedio 20 20,41%
Avanzado 25 25,51%
SUMA 98 100,00%
Base de datos No aplico 44 44,90%
Básico 18 18,37%
Intermedio 21 21,43%
Avanzado 15 15,31%
SUMA 98 100,00%
Presentador No aplico 24 24,49%
Básico 30 30,61%
Intermedio 26 26,53%
Avanzado 18 18,37%
SUMA 98 100,00%
Graficador No aplico 45 45,92%
Básico 18 18,37%
Intermedio 23 23,47%
Avanzado 12 12,24%
SUMA 98 100,00%
Multimedia No aplico 38 38,78%
Básico 23 23,47%
Intermedio 21 21,43%
Avanzado 16 16,33%
SUMA 98 100,00%
Navegadores web No aplico 20 20,41%
305
Básico 23 23,47%
Intermedio 30 30,61%
Avanzado 25 25,51%
SUMA 98 100,00%
Motores de
búsqueda
No aplico 20 20,41%
Básico 34 34,69%
Intermedio 21 21,43%
Avanzado 23 23,47%
SUMA 98 100,00%
Software de
productividad en
línea (Office,
organizadores
gráficos, línea de
tiempo, etc.)
No aplico 42 42,86%
Básico 16 16,33%
Intermedio 19 19,39%
Avanzado 21 21,43%
SUMA 98 100,00%
Uso de
herramientas
sincrónicas en red
e Internet (chat,
Video
conferencia, audio
conferencia,
compartir pantalla
del computador,
etc.)
No aplico 29 29,59%
Básico 28 28,57%
Intermedio 23 23,47%
Avanzado 18 18,37%
SUMA 98 100,00%
Uso de
herramientas
asincrónicas en
red e Internet
No aplico 30 30,61%
Básico 30 30,61%
Intermedio 21 21,43%
Avanzado 17 17,35%
306
(Email, foro, Wiki,
preguntas y
respuestas, etc.)
SUMA 98 100,00%
Gestión de
contenidos en
línea
No aplico 44 44,90%
Básico 20 20,41%
Intermedio 23 23,47%
Avanzado 11 11,22%
SUMA 98 100,00%
Gestión de
aprendizaje en
línea
No aplico 49 50,00%
Básico 17 17,35%
Intermedio 20 20,41%
Avanzado 12 12,24%
SUMA 98 100,00%
Cuadro 105 : Nivel de conocimientos TIC.
Fuente:Docentes de la Universidad de Guayaquil.
Elaborado por:LSIJorge Vera Mosquera.
Para facilidades gráficas, se toma en cuenta cada conocimiento acorde a
lo siguiente:
Facilidades para interpretación gráfica
Código Conocimiento
[1] Conocimientos Informáticos
[2] Conocimientos en redes
[3] Conocimientos en Internet
[4] Aplicaciones de gestión en red e Internet
[5] Uso de equipos en red e Internet
[6] Medidas de prevención y seguridad en el uso de equipos
informáticos
[7] Integración de programas y equipos en red e Internet
[8] Sistema operativo (Windows)
[9] Sistema operativo (Linux)
307
[10] Procesamiento de palabras
[11] Hoja de cálculo
[12] Base de datos
[13] Presentador
[14] Graficador
[15] Multimedia
[16] Navegadores web
[17] Motores de búsqueda
[18] Software de productividad en línea (Office, organizadores
gráficos, línea de tiempo, etc.)
[19] Uso de herramientas sincrónicas en red e Internet (chat,
Video conferencia, audio conferencia, compartir pantalla del
computador, etc.)
[20] Uso de herramientas asincrónicas en red e Internet (email,
foro, wiki, preguntas y respuestas, etc.)
[21] Gestión de contenidos en línea
[22] Gestión de aprendizaje en línea
Cuadro 106 : Facilidades para interpretación gráfica.
Fuente:Docentes de la Universidad de Guayaquil.
Elaborado por:LSIJorge Vera Mosquera.
A continuación, se tratarán distintas gráficas por nivel de conocimientos,
acorde a las respuestas dadas por los Docentes.
308
Gráfico 166: Conocimientos no aplico.
Fuente:Docentes de la Universidad de Guayaquil.
Elaboración:LSI Jorge Vera Mosquera.
Conocimientos en sistema operativo Linux son los de más alto porcentaje
(55,10%) de no aplicación, seguido de gestión de aprendizaje en línea
(50,00%), graficador (45,92%), gestión de contenidos en línea (44,90%),
base de datos (44,90%), software de productividad en línea (Office,
organizadores gráficos, línea de tiempo, etc.) (42,86%), medidas de
prevención y seguridad en el uso de equipos informáticos (41,84%),
integración de programas y equipos en red e Internet (41,84%),
multimedia (38,78%), conocimientos en redes (36,73%), uso de
herramientas asincrónicas en red e Internet (Email, foro, Wiki, preguntas y
respuestas, etc.) (30,61%), uso de herramientas sincrónicas en red e
Internet (chat, Video conferencia, audio conferencia, compartir pantalla del
computador, etc.) (29,59%), aplicaciones de gestión en red e Internet
(28,57%), hoja de cálculo (26,53%) y presentador (24,49%).
0
10
20
30
40
50
60
[9] [14] [21] [6] [15] [20] [4] [3] [10] [16] [5]
Frecuencia
Porcentaje
309
Gráfico 167: Conocimientos a nivel básico.
Fuente:Docentes de la Universidad de Guayaquil.
Elaboración:LSI Jorge Vera Mosquera.
Conocimientos en el uso de equipos en red e Internet (36,73%) es el más
alto porcentaje a nivel básico, seguido de motores de búsqueda (34,69%),
conocimientos informáticos y procesamiento de palabras (31,63%),
aplicaciones de gestión en red e Internet, presentador y uso de
herramientas asincrónicas en red e Internet (Email, foro, Wiki, preguntas y
respuestas, etc.) (30,61%), conocimientos en Internet (29,59%), uso de
herramientas sincrónicas en red e Internet (chat, Video conferencia, audio
conferencia, compartir pantalla del computador, etc.) (28,57%), hoja de
cálculo (27,55%), conocimientos en redes, medidas de prevención y
seguridad en el uso de equipos informáticos e integración de programas y
equipos en red e Internet (26,53%), multimedia y navegadores web
(23,47%), sistema operativo Linux (22,45%), gestión de contenidos en
línea (20,41%), base de datos y graficador (18,37%), gestión de
aprendizaje en línea (17,35%), software de productividad en línea (Office,
organizadores gráficos, línea de tiempo, etc.) (16,33%) y sistema
operativo Windows (15,31%).
0
5
10
15
20
25
30
35
40
[5] [17] [1] [10] [4] [13][20] [3] [19][11] [2] [6] [7] [15][16] [9] [21][12][14][22][18] [8]
Frecuencia Porcentaje
310
Gráfico 168: Cuadro de Conocimientos a nivel intermedio.
Fuente:Docentes de la Universidad de Guayaquil.
Elaboración:LSI Jorge Vera Mosquera.
Conocimientos de sistema operativo Windows son los de más alto
porcentaje (38,78%) a nivel intermedio, seguido de navegadores web
(30,61%), conocimientos informáticos (27,55%), presentador (26,53%),
conocimientos en redes (23,47%), uso de equipos en red e Internet,
graficador, uso de herramientas sincrónicas en red e Internet(chat, Video
conferencia, audio conferencia, compartir pantalla del computador, etc.) y
gestión de contenidos en línea(23,47%), procesamiento de palabras
(22,45%), conocimientos en Internet, base de datos, multimedia y motores
de búsqueda (21,43%), uso de herramientas asincrónicas en red e
Internet (Email, foro, Wiki, preguntas y respuestas, etc.) (21,43%), hoja de
cálculo y gestión de aprendizaje en línea (20,41%), software de
productividad en línea (Office, organizadores gráficos, línea de tiempo,
etc.) (19,39%), aplicaciones de gestión en red e Internet y medidas de
prevención y seguridad en el uso de equipos informáticos
(18,37%),integración de programas y equipos en red e Internet (15,31%) y
sistema operativo Linux (11,22%).
0
5
10
15
20
25
30
35
40
[8]
[16]
[1]
[13]
[2]
[5]
[14]
[19]
[21]
[10]
[3]
[12]
[15]
[17]
[20]
[11]
[22]
[18]
[4]
[6]
[7]
[9]
Frecuencia Porcentaje
311
Gráfico 169: Cuadro de Conocimientos a nivel avanzado.
Fuente:Docentes de la Universidad de Guayaquil.
Elaboración:LSI Jorge Vera Mosquera.
Conocimientos en sistema operativo Windows, hoja de cálculo y
navegadores web son los de más alto porcentaje (25,51%) a nivel
avanzado, seguido de conocimientos informáticos, en Internet y
procesamiento de palabras (24,49%), motores de búsqueda
(23,47%),aplicaciones de gestión en red e Internet (22,45%), software de
productividad en línea (Office, organizadores gráficos, línea de tiempo,
etc.) (21,43%), uso de equipos en red e Internet (20,41%), presentador y
uso de herramientas sincrónicas en red e Internet (chat, Video
conferencia, audio conferencia, compartir pantalla del computador, etc.)
(18,37%), uso de herramientas asincrónicas en red e Internet (Email, foro,
Wiki, preguntas y respuestas, etc.) (17,35%), integración de programas y
equipos en red e Internet y multimedia (16,33%), base datos (15,31%),
conocimientos en redes y medidas de prevención y seguridad en el uso
de equipos informáticos (13,27%), graficador y gestión de aprendizaje en
línea (12,24%), sistema operativo Linux y gestión de contenidos en línea
(11,22%).
0
5
10
15
20
25
30
[8]
[11]
[16]
[1]
[3]
[10]
[17]
[4]
[18]
[5]
[13]
[19]
[20]
[7]
[15]
[12]
[2]
[6]
[14]
[22]
[9]
[21]
Frecuencia Porcentaje
312
Promedios por nivel de conocimientos
Nivel Promedio
No aplico 32.98%
Básico 25.79%
Intermedio 22.45%
Avanzado 18.78%
TOTAL 100.00%
Cuadro 107 : Promedios por nivel de conocimientos.
Fuente:Docentes de la Universidad de Guayaquil.
Elaborado por:LSIJorge Vera Mosquera.
Gráfico 170: Promedios por nivel de conocimientos.
Fuente:Docentes de la Universidad de Guayaquil.
Elaboración:LSI Jorge Vera Mosquera.
Como se observa, el mayor porcentaje (32,98%) corresponde a no
aplicación de conocimientos, seguido de nivel básico (25,79%), intermedio
(22,45%) y avanzado (18,78%).
Luego de haberse analizado y observado los resultados de cuadros y
gráficos, se infiere que existe un porcentaje de consideración de no
aplicación de conocimientos, cuyo valor ideal sería que marque al menos
una tendencia a cero. El porcentaje restante entre los distintos niveles de
conocimiento marca la necesidad de elevar conocimientos entre ellos y
elevar sus valores a un estado más satisfactorio.
No aplico Básico Intermedio Avanzado
32.98
25.79
22.45
18.78
Promedio
313
Discusión de los resultados
Realizándose un análisis en que se hace una triangulación entre
los resultados de la presente investigación, el marco teórico empleado y la
experiencia del investigador, así como también considerando el valioso
criterio de los Consultores externos, se obtiene lo siguiente:
De la entrevista realizada a la Dra. Jeannette Yerovi de Orta,
Directora del Instituto de Post-Grado y Educación Continua, se disponen
los siguientes datos en base a las preguntas realizadas:
 No. 7 (¿Cómo considera la situación actual del manejo de las TIC a
nivel curricular en la Universidad de Guayaquil?), manifiesta que:
“Al momento no está todavía definida la temática, como tampoco
socializada, algunas Facultades desarrollan lo que creen
conveniente”.
 No. 8 (¿En qué forma considera que se debe presentar la relación
Curriculum – TIC – Aprendizaje y Estrategias metodológicas en una
asignatura?), manifiesta que: “Deben ir entrelazadas con criterio
vertical y horizontal, para una mejor estrategia metodológica“.
 No. 10 (¿En qué forma considera que debe presentarse
coherencia entre aprendizaje esperado y recurso TIC utilizado?),
manifiesta que: “Debe haber coherencia entre los objetivos
andragógicos de aula y el uso del recurso TIC, es decir, debe
haber interacción entre el estudiante y el Docente, con el apoyo de
la herramienta tecnológica”.
 No. 13 (¿En qué forma considera que mejorará la eficiencia y
eficacia de los procesos educativos de la Universidad con el
empleo de las TIC por parte de los Docentes?), manifiesta que
“Siendo las TIC herramientas de apoyo, contribuye
indiscutiblemente en la mejora de todos los procesos educativos”.
314
 No. 14 (¿En qué y cómo considera que debe consistir un Programa
de Educación Continua Docente en el manejo de las TIC para los
Docentes de la Universidad?), manifiesta que: “Acoplado a la
realidad actual y acorde a las necesidades docentes”.
 No. 15 (¿Qué facilidades considera que la Facultad de Filosofía
ofrece a los Docentes de la Universidad en relación a los accesos a
los recursos educativos necesarios para implementar un Programa
de Educación Continua en el Manejo de las TIC?), manifiesta que:
“La Facultad cuenta con los recursos suficientes para ofrecer
sobretodo, al momento que los cuatro (4) laboratorios de
Informática en el Complejo Académico, en el edificio de Post-
Grado, se encuentren listos, y así poder implementarlo”.
 No. 16 (¿Qué grado de factibilidad considera para implementar un
Programa de Educación Continua en el Manejo de las TIC para los
Docentes de la Universidad?), manifiesta que: “Hay el apoyo y la
factibilidad, sobre todo por el deseo de las Autoridades de la
Facultad para implementar este Programa”.
De la entrevista realizada a MSc. Francisco Morán Peña, Director
de Carreras Técnicas Semi-Presencial de la Universidad de Guayaquil, se
disponen los siguientes datos en base a las preguntas realizadas:
 No. 7 (¿Cómo considera la situación actual del manejo de las TIC a
nivel curricular en la Universidad de Guayaquil?), manifiesta que:
“Según las evaluaciones del mandato 14, hay que fortalecer los
indicadores de las TIC en la Universidad de Guayaquil”.
 No. 8 (¿En qué forma considera que se debe presentar la relación
Curriculum – TIC – Aprendizaje y Estrategias metodológicas en una
asignatura?), manifiesta que: “Todos deben interrelacionarse, no
por separado y trabajando integralmente“.
315
 No. 10 (¿En qué forma considera que debe presentarse
coherencia entre aprendizaje esperado y recurso TIC utilizado?),
manifiesta que: “Hasta lo más real en su aplicación, todo debe ser
posible en la forma que estén disponibles las TIC”.
 No. 13 (¿En qué forma considera que mejorará la eficiencia y
eficacia de los procesos educativos de la Universidad con el
empleo de las TIC por parte de los Docentes?), manifiesta que “El
nivel de recursos TIC requiere en ciertos casos, que la Universidad
lo atienda, por lo que al hablar de eficiencia y eficacia, no podría
establecerse un parámetro objetivo de la realidad universitaria”.
 No. 14 (¿En qué y cómo considera que debe consistir un Programa
de Educación Continua Docente en el Manejo de las TIC para los
Docentes de la Universidad?), manifiesta que: “Basarse en las
políticas de la Universidad, en lo relacionado a la aplicación de las
TIC en la Educación, conociendo disposiciones y necesidades de
cada Facultad”.
 No. 15 (¿Qué facilidades considera que la Facultad de Filosofía
ofrece a los Docentes de la Universidad en relación a los accesos a
los recursos educativos necesarios para implementar un Programa
de Educación Continua en el Manejo de las TIC?), manifiesta que:
“La Facultad viene dando Seminarios sobre el uso del Sistema
Académico, como el ingreso de actas por Internet, evaluaciones,
verificación de notas por parte del estudiante, portafolio docente,
etc., trabajándose en el tema para en el futuro dar mejores
facilidades”.
 No. 16 (¿Qué grado de factibilidad considera para implementar un
Programa de Educación Continua en el Manejo de las TIC para los
Docentes de la Universidad?), manifiesta que: “Alto, dar el tiempo,
la planificación, los recursos, y darse la infraestructura del caso,
acorde a las disposiciones superiores”.
316
De la encuesta realizada a los Docentes de la Universidad de
Guayaquil, se observa un promedio de experiencia de 16,55 años, cuyos
grados académicos se presentan con un 56,12% en Tercer Nivel, y con
43,88% en Cuarto Nivel, siendo esto un buen nivel académico de estudios
entre los encuestados.
De los datos obtenidos de la respectiva encuesta a los Maestrantes
en las preguntas:
 No. 3 (¿Considera importante el empleo de las TIC en la
programación de la asignatura?), se obtiene que un 95,65% estima
que sí es importante el empleo de las TIC en la programación de la
asignatura.
 No. 13 (¿En qué grado de importancia considera Ud. al manejo de
las TIC en la gestión docente universitaria?), se obtiene que un
grado alto lo considera un 14,49% y más alto un 75,36%, es decir
un 89,85% estima una alta importancia al empleo de las TIC en la
Gestión Universitaria.
 No. 14 (¿En qué grado considera que es importante apoyarse en
las herramientas informáticas en el Curriculum actual de la
asignatura a su cargo?), se obtiene que un grado alto lo considera
un 8,70% y más alto un 82,61%, es decir un 91,31% estima una
alta importancia al apoyo de las herramientas informáticas en el
Curriculum actual de la asignatura a cargo.
De los datos obtenidos de la respectiva encuesta a los Educadores
en las preguntas:
 No. 28 (¿En qué grado de importancia considera Ud. al manejo de
las TIC en la gestión docente universitaria?), se obtiene que un
grado alto lo considera un 23,47% y más alto un 47,96%, es decir
317
un 71,43% estima una alta importancia al empleo de las TIC en la
Gestión Universitaria.
 No. 30 (¿En qué grado considera que es importante apoyarse en
las herramientas informáticas en el Curriculum actual de la
asignatura a su cargo?), se obtiene que un grado alto lo considera
un 32,65% y más alto un 52,04%, es decir un 84,69% estima una
alta importancia al apoyo de las herramientas informáticas en el
Curriculum actual de la asignatura a cargo.
 No. 34 (¿En qué grado considera sus necesidades de Formación
en TIC?), se obtiene que un grado alto lo considera un 30,62% y
más alto un 59,18%, es decir un 89,80% estima una alta
importancia a sus necesidades de Formación en TIC.
 No. 42 (¿Qué nivel de conocimientos considera disponer en
conocimientos informáticos, conocimientos en redes,
conocimientos en internet, aplicaciones de gestión en red e
Internet, uso de equipos en red e internet, medidas de prevención y
seguridad en el uso de equipos informáticos, integración de
programas y equipos en red e Internet, sistema operativo Windows,
sistema operativo Linux, procesamiento de palabras, hoja de
cálculo, base de datos, presentador, graficador, multimedia,
navegadores web, motores de búsqueda, software de
productividad en línea (Office, organizadores gráficos, línea de
tiempo, etc.), uso de herramientas sincrónicas en red e
Internet(chat, Video conferencia, audio conferencia, compartir
pantalla del computador, etc.), gestión de contenidos en línea y
gestión de aprendizaje en línea?), se obtiene que el mayor
porcentaje (32,98%) corresponde a no aplicación de
conocimientos, seguido de nivel básico (25,79%), intermedio
(22,45%) y avanzado (18,78%), notándose la necesidad de elevar
conocimientos.
318
De la encuesta realizada a los Maestrantes de Educación
Informática a nivel de Post-Grado, se observa un promedio de
experiencia de 8,71 años, cuyos grados académicos se presentan con un
91,30% en Tercer Nivel, y con 8,70% en Cuarto Nivel, reflejando esto una
diferencia de 7,84 a nivel de años experiencia y un 35,18% en Tercer
Nivel como grado académico, notándose por ende, la voluntad de adquirir
el Cuarto Nivel.
De la entrevista realizada a los Consultores Externos, en base a las
preguntas respectivas:
 No. 6 (¿En qué forma considera que se debe presentar la relación
Curriculum – TIC – Aprendizaje y estrategias metodológicas en una
asignatura?). Se concluye:
En el Curriculum se deben incorporar las TIC en el proceso
enseñanza-aprendizaje u orientación-aprendizaje, propiciando e
induciendo al pensamiento computacional, debiendo reflejarse en
el empleo de plataformas educativas, redes sociales y educativas,
herramientas activas TIC, etc., así como en el uso de herramientas
fuera de línea, como son los programas de instalación local.
 No.7 (¿En qué forma considera que se debe presentar la
innovación en el proceso educativo apoyado en el uso de las
TIC?). Se concluye:
La innovación se presenta con el empleo de la variedad de
recursos tecnológicos, para crear actividades innovadores y
constructoras de conocimiento, debiendo existir una visión y acción
constructivista en que se presente el sentido humano por parte del
Docente.
 No. 10 (¿Cómo debe un Docente analizar y evaluar el empleo de
las TIC en el proceso educativo, considerando sus estrategias,
319
procedimientos e instrumentos de evaluación, ambientes de
aprendizaje, etc.?). Se concluye:
El Docente es el único responsable del empleo de las TIC en el
proceso educativo, así como de los resultados y retroalimentación
de los indicadores de logros académicos, por lo que evaluación,
valoración, empleo e inducción de las herramientas digitales en el
enseñante son vitales para y en el momento del proceso de clase
con los estudiantes.
 No. 13 (¿Cómo considera que mejoraría la eficiencia y eficacia de
la Docencia Universitaria con el empleo de las TIC?). Se concluye:
La eficiencia y eficacia en la Docencia Universitaria mejorarán a
medida que el Docente sume esfuerzos, experiencia, práctica y
sentido profesional, debiendo existir en su momento un valor
agregado que estimule la Formación Docente en TIC por parte de
las Autoridades responsables, en quienes recae decisiones a nivel
político-administrativo, presupuestario y académico.
 No. 14 (¿Qué aportes para el mundo de la Educación pueden
recogerse de estándares relacionados con los Docentes en el
manejo de las TIC, como ISTE (EEUU), UNESCO 2008, UNESCO
2011, Proyecto ENLACES (CHILE), EUROPEAN PEDAGOGITAL
ICT, QTS, INSA, la experiencia de Australia, …? ).Se concluye:
La presencia en el mundo de estándares relacionados con la
Docencia en el manejo de las TIC, es el resultado del afán de
mejoras educativas con el apoyo de la tecnología acorde a los
contextos educativos, por lo que una realidad nacional o local debe
valorar y ubicar lo suyo.
 No. 15 (¿Qué opinión particular le merece el último Estándar
UNESCO 2011 para Docentes?). Se concluye:
El Estándar UNESCO 2011 merece una visión prospectiva, en el
cual el Docente debe ser valorado en base a su realidad
situacional.
320
 No. 16 (¿Qué criterios estima Ud. que deben de considerarse para
la implementación de un Programa de Educación Continua en el
Manejo de las TIC para los Docentes de la Universidad de
Guayaquil, como un aporte de la Facultad de Filosofía, Letras y
Ciencias de la Educación?). Se concluye:
Para implementarse un Programa de Educación Continua en el
Manejo de las TIC para Docentes de la Universidad de Guayaquil,
como aporte de la Facultad de Filosofía, Letras y Ciencias de la
Educación, debe existir una política institucional universitaria, en la
que se oriente a toda Facultad incluir en el proceso educativo el
empleo tecnológico, de modo que el proceso de Formación en TIC,
en su apropiación, profesionalización, actualización,
empoderamiento e innovación docente, ameriten un ejercicio de
cátedra con aprobación de mínimos o suficiencia en el caso.
 No. 17 (¿Cómo considera Ud. que podría evaluarse un Programa
de Educación Continua en el Manejo de las TIC para los Docentes
de la Universidad de Guayaquil?). Se concluye:
La evaluación de este Programa de Educación Continua en el
Manejo de las TIC para Docentes de la Universidad de Guayaquil,
debe ser evaluado en su momento con el más alto rigor, por lo que
los Facilitadores del mismo deben evidenciar experticia y solvencia,
teniendo presente que es un proceso permanente que atiende
diversidad de contextos educativos, y sobre manera que los
estudiantes serán los jueces más exigentes en el quehacer
educativo.
Estos datos obtenidos entre entrevistas y encuestas realizadas,
demuestran la necesidad de poner en consideración el Diseño de un
Programa de Educación Continua en el Manejo de las TIC para los
Docentes de la Universidad de Guayaquil, en la Facultad de Filosofía,
Letras y Ciencias de la Educación.
321
La propuesta se cimenta en los siguientes argumentos:
Informática Educativa
La realidad educativa mundial y por ende de la Universidad de
Guayaquil, hace que los contextos educativos del presente siglo sean
atendidos por esta disciplina, con un enfoque constructivista y significativo
en base a escenarios educativos que el Docente debe crear,
sobresaliendo por ende su aplicación en el ambiente universitario.
Esto señala que se redefinan los actos didácticos con estrategias
TIC, por lo que su adaptación al proceso educativo resulta imperante,
considerando los tipos de aprendizajes, estilos de aprender de los
estudiantes, teorías y enfoques de aprendizaje de actualidad.
El modelo TPACK, que reúne tres conocimientos básicos:
Tecnológico, pedagógico y disciplinar, sirve al Docente actual que debe
apuntar a encontrarse en el cruce de estos tres ámbitos, quien a su vez
debe estimar el ambiente personal de aprendizaje tecnológico que utilice
con sus respectivos aprendices.
Esta fusión de la Educación con sus distintas definiciones,
conceptos y prácticas, con la Informática (aplicación de las TIC), hace que
el Programa de Educación Continua en mención deba basarse en la
Informática Educativa.
Programa de Educación Continua y Competencias Digitales
Docentes
La necesidad de atender la gestión docente actual, de un modo
diferente por las necesidades educativas de la presente era, determina
que en la Universidad se necesite generar conciencia en los enseñantes,
322
en cuanto a su desenvolvimiento de aula, así como en los procesos
administrativos con la entidad.
Esto significa: Formación TIC, relacionando Pedagogía,
Andragogía, gestión y cultura informática, así como integrar las TIC al
Curriculum, capacitar en TIC y capacitar vía TIC.
Las necesidades formativas en este nuevo contexto, demandan de
definición de Estándares TIC en los Docentes como respuesta,
destacándose diversos de ellos en el mundo de respetables resultados
(que han sido mencionados previamente en el presente trabajo). De los
mismos se ha considerado en una buena parte a los de la UNESCO, por
su mayor adaptabilidad a la realidad local, atendiendo sobre todo las
mejoras del Estándar 2011.
Este escenario contribuye a que se respalden principios didácticos
y metodológicos en el empleo de las TIC, se considere la dimensión
disciplinar y curricular del Docente, se despierten, actualicen, potencien e
innoven sus competencias digitales en base a los estándares que se
establezcan.
Experiencia personal
En base a los datos que se han obtenido en la investigación, en
que se han contactado Autoridades, Maestrantes y Docentes, la mayoría
sostiene la necesidad de diseñar un Programa de Educación Continua en
el Manejo de las TIC para el Instituto de Post-Grado la Facultad de
Filosofía, Letras y Ciencias de la Educación, orientado al manejo de las
TIC en la gestión docente de la Universidad de Guayaquil, favoreciendo
con ello a los procesos educativos en sus distintos estamentos en que la
entidad lo requiere.
323
Respuestas a las preguntas de la investigación
¿Dispone la Facultad de Filosofía, Letras y Ciencias de la Educación
de un estudio relacionado con el manejo de las TIC en la gestión
docente de la Universidad?
En la entrevista hecha a la Directora de Post-Grado y Educación Continua
y el Director de Carreras Técnicas Semi-Presencial, de la pregunta No. 3,
se extrae que no se dispone de ningún estudio al momento, la segunda
autoridad hace notar que con la evaluación institucional, lo que existen
son los indicadores de gestión TIC, que al momento se los está
manejando.
¿Existen programas de Formación Continua Docente en TIC en la
Facultad de Filosofía, Letras y Ciencias de la Educación?
En la entrevista hecha a la Directora de Post-Grado y Educación Continua
y el Director de Carreras Técnicas Semi-Presencial, de la pregunta No. 4,
se extrae que no existe ninguno actualmente, la segunda autoridad hace
notar que existen seminarios esporádicos.
¿Cuáles son las competencias actuales docentes en el manejo de las
TIC de los Educadores de las Facultades de la Universidad?
En base a la encuesta realizada a los Docentes de la Universidad de
Guayaquil, y enmarcando las competencias en el marco de la UNESCO,
se obtiene de la pregunta No. 42, que existe un porcentaje de
consideración de no aplicación de conocimientos (32.98%), el resto de
Profesores presentan distintos niveles de conocimiento que marcan la
necesidad de elevar saberes a un estado más satisfactorio. Esto se
refleja en lo siguiente:
324
Conocimientos máximos y mínimos por nivel de Docentes.
Nivel Máximo Mínimo
Avanzado Sistema operativo
Windows, hoja de
cálculo y navegadores
web (25.51%)
Contenidos en línea
(11.22%)
Intermedio Sistema operativo
Windows son los de
más alto porcentaje
(38.78%)
Sistema operativo
Linux (11.22%).
Básico Uso de equipos en red
e Internet (36.73%)
Sistema operativo
Windows (15.31%)
Cuadro 108 : Conocimientos máximos y mínimos por nivel de Docentes.
Fuente:Docentes de la Universidad de Guayaquil.
Elaborado por:LSIJorge Vera Mosquera.
Como se observa, el nivel de conocimientos no refleja un estado ideal
para considerar que existe un buen status de nociones básicas de
tecnología (primer enfoque UNESCO), menos aún de profundización de
conocimientos (segundo enfoque UNESCO) y creación de conocimientos
(tercer enfoque UNESCO) que es el que sitúa la innovación y producción
de saberes y obtención de provecho de los mismos, de ahí la relevancia
de crear un Programa de Educación Continua en el Manejo de las TIC
para Docentes de la Universidad de Guayaquil.
¿Cuál es la infraestructura, equipamiento y servicios que provee la
Facultad de Filosofía para facilidad de los Docentes de la
Universidad?
De lo manifestado tanto por la Directora de Post-Grado y Educación
Continua y el Director de Carreras Técnicas Semi-Presencial, se extrae de
la pregunta No. 11 que se dispone de catorce(14) laboratorios, un
Programa a nivel de Maestría, en Pre-grado existe una carrera de
325
Informática, y esto llevó a que el Instituto de Post-Grado presentara un
Programa de Cuarto Nivel de Educación Informática, a su vez se dispone
de acceso a Internet, por lo que se tiene la tecnología necesaria para los
procesos educativos y de apoyo que se requieren.
¿Cómo valora el Personal Docente sus necesidades de Formación en
TIC?
De la encuesta realizada a los Docentes, en la pregunta No. 34, se
encuentra una valoración entre muy alta necesidad (59.18%) y alta
(30.62%), lo que habla de la prioridad del caso en el espíritu docente.
¿Cuáles son las competencias profesionales en TIC del presente
siglo que el Educador de la Universidad debe tener para con la
sociedad ecuatoriana y el mundo globalizado?
De la entrevista realizada a los Expertos, de las preguntas 14 y 15, se
extrae que se dispone de distintos aportes, se considera el último aporte
de la UNESCO que considera tres enfoques: Nociones básicas de
tecnología (alfabetización digital), profundización de conocimientos y
creación de conocimientos, cuyo orden (o ruta) es como se ha
mencionado, combinándose con seis COMPONENTES:
1. Política y Visión.
2. Plan de Estudios (Curriculum) y Evaluación.
3. Pedagogía.
4. Uso de la tecnología (TIC).
5. Organización y administración.
6. Desarrollo Profesional Docente.
326
La combinación de estos ENFOQUES y COMPONENTES forman una
matriz que sirve de marco, en que cada intersección se dispone de un
módulo.
Más detalle al respecto, puede observarse en el Capítulo II en NORMAS
UNESCO SOBRE COMPETENCIAS EN TIC PARA DOCENTES, del
presente trabajo.
¿Existe a nivel de áreas en las Facultades de la Universidad,
Proyectos entre asignaturas, intercambio de experiencias de
aprendizaje y/o conocimientos en comunidad de Docentes por
cualquier medio, relacionados al empleo de las TIC en los procesos
educativos?
Observándose la encuesta realizada a los Docentes, las respuestas
afirmativas de las preguntas No. 19 (55.10%),No. 21 (58.16%), No. 22
(54.08%), No. 23 (56.12%),No. 25 (51.03%), No. 26(43.88%) y No.
27(37.76%), existen indicios al respecto, no pudiendo considerarse que
exista un movimiento pronunciado en que las TIC se les esté utilizando en
un nivel para profundizar conocimientos.
¿Existen en la Facultad de Filosofía, Letras y Ciencias de la
Educación, estrategias de captación y desarrollo en el manejo de las
TIC orientadas al Personal Docente de la Universidad de Guayaquil?
De lo manifestado tanto por la Directora de Post-Grado y Educación
Continua y el Director de Carreras Técnicas Semi-Presencial, de las
preguntas No. 3, 4 y 7, se extrae que no existe nada concreto al respecto.
327
¿En qué forma la creación de un Programa de Educación Continua
en el Manejo de las TIC para Docentes de la Universidad, mejorará el
desempeño profesional en la gestión docente?
De lo manifestado tanto por la Directora de Post-Grado y Educación
Continua y el Director de Carreras Técnicas Semi-Presencial, se extrae de
las preguntas No. 13 y 14, que en base al acoplamiento a las políticas de
la Universidad, disposiciones y necesidades de cada Facultad, se
atenderá la realidad actual y necesidades docentes, lo que mejorará los
procesos educativos con el apoyo de las TIC.
¿Cuál es la visión en torno al uso de las TIC por parte de los
Educadores de las Facultades de la Universidad, en los procesos de
aprendizaje?
En base a la encuesta realizada a los Docentes, se tiene:
Visión en torno al uso de las TIC por parte de los Educadores de las
Facultades de la Universidad, en los procesos de aprendizaje
Pregunta Porcentaje afirmativo Estiman que se presenta o que es
importante
1 80.63% Aprendizaje autónomo
2 86.63% Aprendizaje colaborativo
4 78.57% Empleo de TIC en asignatura
5 91.84% Apoyarse en las herramientas informáticas
en el Curriculum actual de la asignatura
8 77.51% Analizar y evaluar el impacto de las TIC en
el proceso educativo
10 67.35% Facilita el aprendizaje intermedio del
recurso TIC
28 71.43% entre alto y más
alto
Grado de importancia considera Ud. al
manejo de las TIC en la gestión docente
universitaria
Cuadro 109 : Visión en torno al uso de las TIC por parte de los Educadores de las Facultades de la Universidad, en los procesos de apr endizaje
Fuente: Docentes de la Universidad de Guayaquil.
Elaborado por:LSI Jorge Vera Mosquera.
328
Se observa que existe una visión considerable al uso de las TIC en los
procesos de aprendizaje.
¿Se realizan actividades didácticas con TIC por parte de los Docente
en las aulas de clase de las Facultades de la Universidad?
Observándose la encuesta realizada a los Docentes, de la pregunta No. 4
se extrae que el 70.57% manifiesta realizar actividades didácticas con
apoyo en TIC.
¿Los Educadores de la Universidad de Guayaquil utilizan
herramientas Web 2.0 en sus procesos educativos?
Observándose la encuesta realizada a los Docentes, de la pregunta No.
16, se obtiene que el 60.20% manifiesta emplear recursos de redes y
comunicación con los estudiantes de su asignatura y/o con el resto de la
comunidad educativa, de la pregunta No. 36, el 63.27% manifiesta
emplear recursos TIC como estrategia de aprendizaje, y el 67.35%
manifiesta utilizar técnicas activas con apoyo en TIC.
Sin embargo se tiene que al contrastar con el nivel de conocimientos de la
pregunta No. 42, el porcentaje por cada nivel entre básico (32.98%),
intermedio (25.79%) y avanzado (18.78%), no presenta coherencia por lo
manifestado en las preguntas anteriores.
Significa que en cierto modo se utilizan herramientas web 2.0, pero se
necesita fortalecer, mejorar, empoderar e innovar el conocimiento acorde
a cada caso, y sembrar en quienes no aplican (32.98%).
329
¿Cuál es la actitud docente frente a la incorporación de las TIC en la
enseñanza universitaria?
Considerando las respuestas dadas por los Expertos a las preguntas No.
1, 2, 3, 7, 10 y 13, en que se enfatiza la eficiencia y eficacia del proceso
educativo con apoyo de las TIC, y contrastándose con las respuestas
afirmativas de la encuesta hecha a los Docentes en:
Actitud docente ante la incorporación de las TIC.
Preguntas Porcentaje
No. 5 91.84%
No. 6 88.78%
No. 8 77.51%
No. 18 59.18%
No. 19 55.10%
No. 20 75.51%
No. 21 58.16%
Cuadro 110 : Actitud docente ante la incorporación de las TIC.
Fuente:Docentes de la Universidad de Guayaquil.
Elaborado por:LSIJorge Vera Mosquera.
Se obtiene que existe una buena predisposición.
¿Cómo catalizar el cambio del rol docente al uso cotidiano de las TIC
en la gestión docente de los Educadores de la Universidad?
De lo manifestado por los Expertos en las preguntas No. 3, 6 y 7, se
observa la vital importancia de la innovación, de modo tal que una dosis
de constructivismo es necesaria, utilizándose herramientas TIC como
plataformas y redes educativas, sociales, de conocimiento, … ,
fortaleciendo a la vez en el Docente la visión y la práctica humanista que
no puede ser remplazada por la tecnología, más todo lo contrario, la
presencia tecnológica en el quehacer curricular resulta predominante con
330
un ser sensible y permeable de humanismo, por lo que deben crearse
medios de apropiación TIC, debiendo achicarse las brechas digitales
entre Docentes y dicentes.
Si se observa la pregunta No. 5 hecha a los Docentes, tenemos que el
91,84% considera que es importante apoyarse en las herramientas
informáticas en el Curriculum actual de la asignatura a su cargo. En la
pregunta No. 3 realizada a los Maestrantes que coincide con la pregunta
anterior, se observa que el 95,65% de igual manera lo considera así.
Por tanto, el Programa que pretende el presente trabajo, debe considerar
el quehacer educativo, reforzado con la integración de experiencias
docentes y apoyo de los Facilitadores que estén formando parte de esta
Educación Continua.
¿Qué influye en la actitud, formación y uso de las TIC en el
profesorado de la Universidad, para su empleo en la gestión
docente?
Por un lado, el Paradigma Tradicional:
 Un cierto porcentaje, no elevado, entre Maestrantes (pregunta No.
19, 8,70%) y Docentes (pregunta No. 38, 15,31%).
 En la pregunta No. 29 de la encuesta a Docentes, el porcentaje
mayor de opciones corresponde a la opción ALTO con 28,57%,
que considera que se debe conservar la presencia del paradigma
tradicional en el proceso educativo actual de la Universidad.
 Los Expertos consultados para el presente trabajo, reconocen su
presencia (pregunta No. 4).
331
Por otro, la práctica, experiencia, reflexión y aprendizaje con TIC, que
deben tratarse de un modo apropiado. En la encuesta a Docentes se
obtiene los siguientes datos:
Práctica, experiencia, reflexión y aprendizaje con TIC
Pregunta No. Porcentaje
con
respuesta Sí
Manifiesta que
18 59,18% Practica, experimenta y evalúa con
herramientas TIC para incorporarlas a su
quehacer educativo.
19 55,10% Accede, participa y contribuye en
espacios de reflexión de experiencias de
aprendizaje por medios tradicionales, en
red o Internet
21 58,16% Participa en instancias relacionadas con
las TIC y el aprendizaje (Foros,
congresos, seminarios, etc.).
22 54, 08% Utiliza TIC en la evaluación.
23 56,12% Realiza y lleva a cabo Proyectos
Pedagógicos y/o Andragógicos de Aula
con apoyo de las TIC
26 43,88% Existe Intercambio entre Docentes de
experiencias de aprendizaje apoyadas
en TIC
Cuadro 111 : Práctica, experiencia, reflexión y aprendizaje con TIC.
Fuente:Docentes de la Universidad de Guayaquil.
Elaborado por:LSIJorge Vera Mosquera.
Se observa que el porcentaje restante del afirmativo es de consideración.
332
¿Qué nivel de conocimiento disponen los Docentes en el uso de las
TIC y su aplicación pedagógica y/o andragógica?
De lo manifestado por los Docentes en la encuesta correspondientes, se
obtiene en algunas preguntas lo siguiente:
 No. 27, un 37,76% manifiesta que existe algún proyecto de
desarrollo de conocimientos apoyado en TIC.
 No. 40, un 50% manifiesta que dispone de criterios
pedagógicos/andragógicos para seleccionar recursos TIC a
emplear, ya sea de escritorio, red e Internet.
 De la pregunta 42, referente al nivel de conocimientos en
herramientas TIC se obtiene:
Promedios por Nivel de Conocimientos
Nivel Promedio
No aplico 32.98%
Básico 25.79%
Intermedio 22.45%
Avanzado 18.78%
TOTAL 100.00%
Cuadro 112 : Promedio por nivel de conocimientos en Docentes.
Fuente:Docentes de la Universidad de Guayaquil.
Elaborado por:LSIJorge Vera Mosquera.
Se observa que el mayor porcentaje de no aplicación es el más alto, a
nivel básico e intermedio no llegan a un 50%, y el avanzado es un
porcentaje menor al resto.
No se presenta homogeneidad, se infiere la necesidad de equilibrar
conocimientos, despertar, innovar y potenciar.
333
¿Qué estrategias didácticas deben utilizar o utilizan los Docentes
para la integración de las TIC en el Curriculum?
En la entrevista hecha al MSc. Francisco Morán Peña, Director de
Carreras Técnicas Semi-Presencial, de la pregunta No. 8, referente a la
relación Curriculum – TIC – Aprendizaje y Estrategias metodológicas en
una asignatura, responde: “Todos deben interrelacionarse, no por
separado y trabajando integralmente”.
La Dra. Jeannette Yerovi de Orta, Directora del Instituto de Post-Grado y
Educación Continua, en lo relacionado a misma pregunta
responde:“Deben ir entrelazadas con criterio vertical y horizontal, para
una mejor estrategia metodológica”.
De la entrevista realizada a los expertos en lo relacionado a las preguntas
5 y 6, respectivamente:
 ¿Qué criterios pedagógicos y/o andragógicos considera
importantes como base para seleccionar un recurso TIC a emplear
en los procesos educativos universitarios, como parte de las
estrategias didácticas?
 ¿En qué forma considera que se debe presentar la relación
Curriculum – TIC – Aprendizaje y estrategias metodológicas en una
asignatura?
Se obtiene que el aprendizaje de grupo, el autoaprendizaje, la visión
pedagógica y/o andragógica de acuerdo al caso, están acorde a los
escenarios educativos que se presenten, tanto presencial, semi presencial
o virtual, recalcándose el pensamiento computacional y el sistema de
evaluación que se acople al contexto del momento.
334
De la encuesta realizada a los Docentes, se obtiene:
Cómo consideran las estrategias didácticas los Docentes
Pregunta Detalle
No. 40 El 50% estima disponer de criterios
pedagógicos/andragógicos para seleccionar recursos TIC a
emplear.
No. 30 La mayoría considera de gran importancia apoyarse en las
herramientas informáticas en el Curriculum actual de la
asignatura a su cargo
No. 6 El 88,78% manifiesta que Incluye el empleo de las TIC en la
programación de la asignatura
No. 22 El 54,08% manifiesta que utiliza las TIC como medio en la
evaluación de aprendizajes
No. 24 El 51,03% manifiesta que utiliza métodos y técnicas activas
con el apoyo de las TIC
No. 35 El 63,27% manifiesta que utiliza recursos TIC como parte de
su estrategia de aprendizaje para un entorno de trabajo
No. 36 El 67,35% manifiesta que emplea técnicas activas con apoyo
en TIC
No. 37 El 56,12% manifiesta que utiliza tipos de aprendizaje en sus
procesos educativos apoyado en las TIC
No. 38 El 61,22% manifiesta que emplea enfoques teóricos en los
procesos educativos apoyado en las TIC
No. 41 El 16,33% manifiesta que utiliza recursos variados TIC para
crear material didáctico para los escenarios educativos
Cuadro 113 : Cómo consideran las estrategias didácticas los Docentes.
Fuente:Docentes de la Universidad de Guayaquil.
Elaborado por:LSIJorge Vera Mosquera.
335
De la pregunta No. 35, se obtiene que el recurso más empleado es el
correo electrónico (51,02%), seguido del chat (33,67%), foro (25,51%),
proyectos colaborativos y Blog (23,47%), wiki (19,39%), otros (14,29%),
círculos de aprendizaje (12,24%), simulaciones (11,22%), webquest
(7,14%) y caza del tesoro (4,08%).
De la pregunta No. 36, se obtiene que la técnica más empleada es el
mapa conceptual (45,92%), seguido del trabajo de grupo y lluvia de ideas
(39,80%), aprendizaje colaborativo (33,67%), foro (19,39%), cuestionario
(17,35%), mapas mentales (15,31%), ensayos (14,29%), proyectos en
línea y audio digital (12,24%), pizarra en línea (8,16%), y grabar
movimientos en el monitor (6,12%).
De la pregunta No. 37, se obtiene que el tipo de aprendizaje más
empleado es la es observación (35,71%), seguido de cooperativo
(30,61%), basado en problemas (28,57%), receptivo (25,51%),
significativo (23,47%), visual (22,45%), basado en proyectos (21,43%),
colaborativo (20,41%), descubrimiento (19,39%), por caso (17,35%), otros
(11,22%) y repetitivo (8,16%).
De la pregunta No. 38, se obtiene que la mayoría de Docentes (45,92%)
enfoca el Constructivismo para utilizar en los procesos educativos,
seguido del Cognitivismo (20,41%), Conductismo (15,31%), Conectivismo
(8,16%) y el Sharismo (2,04%).
De la pregunta No. 41, se obtiene que el procesador de palabras aparece
como el recurso TIC que más se utiliza para crear material didáctico para
los escenarios educativos (50,00%), seguido del Internet (42,86%), hoja
de cálculo (37,76%), multimedia (26,53%), presentador y graficador
(24,49%), base de datos (23,47%), trabajo colaborativo (20,41%), otros
(19,39%), y el trabajo cooperativo y en red (15,31%).
336
¿El Docente conoce, comprende, respeta y hace respetar las
políticas, normas y procedimientos relacionados a la privacidad,
propiedad intelectual, seguridad de datos y comportamiento
adecuado en el uso de los recursos informáticos, haciendo
comprender a sus estudiantes las implicaciones del caso?
De la encuesta realizada a los Docentes, se obtiene:
Conocimiento docente de uso legal y ético de datos y recursos
informáticos
Pregunta Detalle
No. 12 El 81,63% manifiesta que conoce, respeta y hace respetar
las políticas, normas y procedimientos relacionados a la
privacidad, propiedad intelectual, seguridad de datos y
comportamiento adecuado en el uso de los recursos
informáticos
No. 13 El 75,51% manifiesta que promueve en su
desenvolvimiento educativo el uso ético y legal de los
recursos tecnológicos en sus diferentes formas de uso y
presentación
No. 14 El 60,20% manifiesta que comprende y hace comprender
las implicaciones legales del uso de software y sus tipos
de licencias
Cuadro 114 : Conocimiento docente de uso legal y ético de datos y recursos informáticos.
Fuente:Docentes de la Universidad de Guayaquil.
Elaborado por:LSIJorge Vera Mosquera.
De la encuesta realizada a los Maestrantes, se obtiene:
337
Conocimiento de Maestrantes de uso legal y ético de datos y
recursos informáticos
Pregunta Detalle
No. 4 El 76,81% manifiesta que conoce, respeta y hace respetar
las políticas, normas y procedimientos relacionados a la
privacidad, propiedad intelectual, seguridad de datos y
comportamiento adecuado en el uso de los recursos
informáticos
No. 5 El 85,51% manifiesta que promueve en su
desenvolvimiento educativo el uso ético y legal de los
recursos tecnológicos en sus diferentes formas de uso y
presentación
No. 6 El 76,81% manifiesta que comprende y hace comprender
las implicaciones legales del uso de software y sus tipos
de licencias
Cuadro 115 : Conocimiento de Maestrantes de uso legal y ético de datos y recursos informáticos.
Fuente:Docentes de la Universidad de Guayaquil.
Elaborado por:LSIJorge Vera Mosquera.
Se infiere que el Docente conoce, comprende, respeta y hace respetar las
políticas, normas y procedimientos relacionados a la privacidad,
propiedad intelectual, seguridad de datos y comportamiento adecuado en
el uso de los recursos informáticos, haciendo comprender a sus
estudiantes las implicaciones del caso. De igual modo se presenta en el
caso de los Maestrantes.
¿Cuál es el efecto en el rendimiento académico que consideran los
Docentes con respecto al uso de las TIC en el proceso educativo?
De la encuesta realizada a los Docentes, se obtiene:
338
El rendimiento académico que consideran los Docentes con respecto
al uso de las TIC
Pregunta Detalle
No. 1 El 81,63% manifiesta que el aprendizaje autónomo se
puede presentar con el empleo de las TIC en el proceso
educativo
No. 2 El 86,73% considera que el trabajo colaborativo se puede
presentar con el empleo de las TIC en el proceso
educativo
No. 5 El 91,84%cree que es importante apoyarse en las
herramientas informáticas en el Curriculum actual de la
asignatura a su cargo
No. 8 El 77,51%analiza y evalúa el impacto de las TIC en el
proceso educativo
No. 18 El 59,18%practica, experimenta y evalúa con
herramientas TIC para incorporarlas a su quehacer
educativo
No. 19 El 55,10%accede, participa y contribuye en espacios de
reflexión de experiencias de aprendizaje por medios
tradicionales, en red o Internet
No. 20 El 75,51%utiliza, evalúa y comparte ideas, experiencias y
herramientas TIC para incorporarlas en estrategias de
aprendizaje
No. 21 El 58,16%participa en instancias relacionadas con las TIC
y el aprendizaje? (Foros, congresos, seminarios, etc.
No. 23 El 56,12%realiza y lleva a cabo Proyectos Pedagógicos y/o
Andragógicos de Aula con apoyo de las TIC
No. 26 El 43,88% manifiesta que existe Intercambio entre
Docentes de experiencias de aprendizaje apoyadas en
TIC
Cuadro 116 : El rendimiento académico que consideran los Docentes con respecto aluso de las TIC.
Fuente:Docentes de la Universidad de Guayaquil
Elaborado por:LSIJorge Vera Mosquera
339
De la encuesta realizada a los Maestrantes, se obtiene:
El rendimiento académico que consideran los Docentes con respecto
al uso de las TIC - Maestrantes
Pregunta Detalle
No. 1 El 94,20% manifiesta que el aprendizaje autónomo se
puede presentar con el empleo de las TIC en el proceso
educativo
No. 2 El 98,55% considera que el trabajo colaborativo se puede
presentar con el empleo de las TIC en el proceso
educativo
No. 3 El 95,65% considera importante el empleo de las TIC en la
programación de la asignatura
No. 9 El 88,41% practica, experimenta y evalúa con
herramientas TIC para incorporarlas a su práctica
educativa
No. 10 El 63,77% accede, participa y contribuye en espacios de
reflexión de experiencias de aprendizaje por medios
tradicionales, en red o Internet
No. 11 El 89,86% utiliza, evalúa y comparte ideas, experiencias y
herramientas TIC para incorporarlas en estrategias de
aprendizaje
No. 12 El 59,42% participa en instancias relacionadas con las TIC
y el aprendizaje?(Foros, congresos, seminarios, etc.
No. 14 Los Maestrantes dan una alta consideración al apoyo en
las herramientas informáticas en el Curriculum actual de la
asignatura a cargo
Cuadro 117 : El rendimiento académico que consideran los Docentes con respecto aluso de las TIC -
Maestrantes.
Fuente:Docentes de la Universidad de Guayaquil.
Elaborado por:LSIJorge Vera Mosquera.
340
Como se observa, los Docentes estiman un alto efecto en el rendimiento
académico al emplearse las TIC en el proceso educativo, por ende en el
aprendizaje. De igual modo se presenta el caso en los Maestrantes, cuyo
porcentaje es algo mayor.
Las Primeras Autoridades entrevistadas, a su vez en la pregunta No. 10
(¿En qué forma considera que debe presentarse coherencia entre
aprendizaje esperado y recurso TIC utilizado?) manifiestan que todo debe
ser posible en relación a la disponibilidad TIC, acorde a objetivos
educativos y el diálogo Docente-dicente apoyado en la tecnología.
De las preguntas No. 10 (¿Cómo debe un Docente analizar y evaluar el
empleo de las TIC en el proceso educativo, considerando sus estrategias,
procedimientos e instrumentos de evaluación, ambientes de aprendizaje,
etc. ?) y No. 11 (¿En qué forma considera que debe presentarse
coherencia entre aprendizaje esperado y recurso TIC utilizado?)
realizadas a los Expertos, se extra que existen herramientas de uso
general aplicables a cualquier entorno de aprendizaje, siendo el mismo
Docente el responsable de esta inserción en el proceso educativo, por lo
que la absoluta coherencia entre los aprendizajes esperados y las TIC
empleadas está en función de la apropiación, teniendo en cuenta los
estilos de aprendizaje de los estudiantes.
¿Cuál es la situación actual del manejo de las TIC a nivel curricular
en la Universidad?
De la encuesta realizada a los Docentes, se obtiene:
341
Situación actual del manejo de las TIC a nivel curricular en la
Universidad
Pregunta Detalle
No. 4 El 78,57% manifiesta que realiza actividades didácticas
empleando las TIC en las clases de su asignatura
No. 5 El 91,84% manifiesta que cree que es importante apoyarse en
las herramientas informáticas en el Curriculum actual de la
asignatura a su cargo
No. 6 El 88,78% manifiesta que incluye el empleo de las TIC en la
programación de la asignatura
No. 7 El 77,55% manifiesta que crea procedimientos e instrumentos
de evaluación de aprendizaje en entorno TIC
No. 10 El 67,35% manifiesta que facilita el aprendizaje intermedio del
recurso TIC
No. 22 El 54,08% manifiesta que utiliza las TIC como medio en la
evaluación de aprendizajes
No. 24 El 64,29% manifiesta que utiliza métodos y técnicas activas con
el apoyo de las TIC
No. 25 El 51,03% manifiesta que existen proyectos entre asignaturas
apoyados en TIC
No. 26 El 43,88% manifiesta que existe Intercambio entre Docentes de
experiencias de aprendizaje apoyadas en TIC
Cuadro 118 : Situación actual del manejo de las TIC a nivel curricular en la Universidad.
Fuente: Docentes de la Universidad de Guayaquil
Elaborado por:LSI Jorge Vera Mosquera
Como se observa, existe un alto porcentaje individual de emplear las TIC
en el proceso educativo, sin embargo no existe con notoriedad una
integración Docente-Dicente y entre Docentes, notándose discordancias a
nivel de conocimientos, como se ha tratado en preguntas anteriores.
Las Primeras Autoridades en la pregunta No. 7 (¿Cómo considera la
situación actual del manejo de las TIC a nivel curricular en la Universidad
de Guayaquil?, manifiestan a su vez que la temática no está todavía
342
definida ni socializada, las Facultades desarrollan lo que estiman
conveniente, y que es necesario fortalecer los indicadores TIC, acorde al
mandato 14.
¿La Facultad de Filosofía, Letras y Ciencias de la Educación dispone
de los recursos humanos y tecnológicos para el diseño e
implantación de un Programa de Educación Continua en el Manejo
de las TIC para los Educadores de la Universidad?
De las preguntas hechas a las Primeras Autoridades:
 No. 4(¿Existen algún Programa de Formación Continua Docente
en TIC en la Facultad de Filosofía?).
 No.11 (¿Considera usted que la Facultad de Filosofía dispone de
una infraestructura tecnológica (equipos y programas) adecuada
para desarrollar los procesos educativos apoyándose en las TIC?),
 No. 12 (¿Considera usted que la Facultad de Filosofía permite un
acceso adecuado de equipos, programas, red e Internet, para sus
estudiantes para facilitar los procesos educativos apoyados en las
TIC?).
 No. 14(¿En qué y cómo considera que debe consistir un Programa
de Educación Continua Docente en el Manejo de las TIC para los
Docentes de la Universidad?).
 No. 15(¿Qué facilidades considera que la Facultad de Filosofía
ofrece a los Docentes de la Universidad en relación a los accesos a
los recursos educativos necesarios para implementar un Programa
de Educación Continua en el Manejo de las TIC?).
343
Se obtiene que:
 No se dispone de ningún Programa de Educación Continua
Docente en el Manejo de las TIC en la Facultad de Filosofía, ni a
nivel de Universidad.
 Se dispone de siete (7) laboratorios en la Facultad de Filosofía, que
existen los equipos suficientes, y que en el Complejo Académico se
dispone de tecnología Wi-Fi, en el cual se encuentran cuatro (4)
laboratorios en el edificio de Post-Grado.
 Se permite acceso a equipos, uso de programas e Internet a los
estudiantes.
Por lo que se deduce que a nivel de recursos humanos, se debe organizar
tanto a nivel administrativo, técnico y docente, quién se encargaría de
determinadas funciones necesarias para establecer un Programa de
Educación Continua, de ahí que este vital punto, a modo de sugerencia
consta en la Propuesta del presente Proyecto.
¿En qué y cómo debe consistir el Programa de Educación Continua
en el Manejo de las TIC para los Docentes de la Facultades de la
Universidad?
De la Pregunta No. 14 realizada en la entrevista respectiva a las Primeras
Autoridades referente a la respuesta requerida, se obtiene:
 Dra. Jeannette Yerovi de Orta, Directora del Instituto de Post-Grado y
Educación Continua responde: “Acoplado a la realidad actual y
acorde a las necesidades docentes”.
 MSc. Francisco Morán Peña, Director de Carreras Técnicas Semi-
Presencial responde: “Basarse en las políticas de la Universidad, en lo
344
relacionado a la aplicación de las TIC en la Educación, conociendo
disposiciones y necesidades de cada Facultad”.
Por ende, se deduce que el Programa de la Propuesta del presente
Proyecto, se acople a lo sugerido por la Primeras Autoridades.
¿Qué facilidades ofrece la Facultad de Filosofía a los Docentes de la
Universidad en relación a los accesos de los recursos educativos
necesarios para implementar un Programa de Educación Continua
en el Manejo de las TIC?
De la Pregunta No. 15 realizada en la entrevista respectiva a las Primeras
Autoridades referente a la respuesta requerida, se obtiene:
 Dra. Jeannette Yerovi de Orta, Directora del Instituto de Post-Grado
y Educación Continua responde: “La Facultad cuenta con los
recursos suficientes para ofrecer sobretodo, al momento que los
cuatro (4) laboratorios de Informática en el Complejo Académico,
en el edificio de Post-Grado, se encuentren listos, y así poder
implementarlo”.
 MSc. Francisco Morán Peña, Director de Carreras Técnicas Semi-
Presencial responde: “La Facultad viene dando Seminarios sobre
el uso del Sistema Académico, como el ingreso de actas por
Internet, evaluaciones, verificación de notas por parte del
estudiante, portafolio docente, etc., trabajándose en el tema para
en el futuro dar mejores facilidades”.
Se deduce que la Facultad de Filosofía cuenta con los recursos
necesarios para poder crear, desarrollar y llevar un Programa de
Educación Continua como el presente Proyecto plantea, facilitando
345
accesos a los recursos educativos, como se demostrado con el Sistema
Académico actual, actas, notas, portafolio docente,etc.
¿Cuál será la propuesta apropiada para los Docentes de la
Universidad para diseñar e implementar un Programa de Educación
Continua en el Manejo de las TIC, tomando en cuenta el marco
teórico y la investigación tratados en el presente trabajo?
En base al aporte de los expertos, las respuestas obtenidas de las
Autoridades, los datos de las encuestas realizadas a Maestrantes y
Docentes, así como el analizar estándares y competencias de formación y
capacitación docente en TIC a nivel internacional, se estima que este
Programa debe basarse en su esencia en los Estándares de
Competencias Docentes en TIC de la UNESCO 2011, pero adaptándose
a la realidad situacional de la Universidad, cuya investigación es la que
influye en los niveles y contenidos a incluirse.
Se sugiere el siguiente nombre para este Programa: PECMTIC-DUG,
cuyo significado es: Programa de Educación Continua en el Manejo de las
TIC para los Docentes de la Universidad de Guayaquil.
Este Programa se estima de la siguiente manera:
 Número de niveles: Cuatro (4):
o Inducción – Preparación
o Nivel inicial – Alfabetización tecnológica
o Nivel intermedio – Profundización de conocimientos
o Nivel avanzado – Generación de conocimientos
 Cada nivel posee sus respectivos módulos con sus respectivos
contenidos de conocimientos, cuyos componentes son:
346
o Comprensión del Uso educativo de las TIC en la
Universidad de Guayaquil.
o Currículo y evaluación.
o Pedagogía/Andragogía.
o TIC.
o Organización y administración.
o Formación profesional docente.
Se considera que por ser la primera vez, la modalidad presencial en cada
uno de sus módulos es una alternativa inicial de principio, considerándose
el aprendizaje electrónico en línea como apoyo de estudios a partir del
nivel Inicial.
Al desarrollarse la Propuesta se amplía más el diseño, desarrollo e
implementación del PECMTIC-DUG.
¿Cuál es el grado de factibilidad para implementar un Programa de
Educación Continua en el Manejo de las TIC para los Docentes de la
Universidad?
De la Pregunta No. 16 realizada en la entrevista respectiva a las Primeras
Autoridades referente a la respuesta requerida, se obtiene:
 Dra. Jeannette Yerovi de Orta, Directora del Instituto de Post-Grado
y Educación Continua responde: “Hay el apoyo y la factibilidad,
sobre todo por el deseo de las Autoridades de la Facultad para
implementar este Programa”.
 MSc. Francisco Morán Peña, Director de Carreras Técnicas Semi-
Presencial responde: “Alto, dar el tiempo, la planificación, los
recursos, y darse la infraestructura del caso, acorde a las
disposiciones superiores”.
347
Se deduce que existe el apoyo y la factibilidad del caso, debido al deseo
de las Autoridades de la Facultad de Filosofía, requiriendo para ello el
tiempo, planificación, recursos e infraestructura conforme a las
disposiciones de las Autoridades a nivel superior.
¿Cuál es el grado de importancia actual del manejo de las TIC que se
considera en la gestión docente universitaria?
De la Pregunta No. 3 realizada en la entrevista respectiva a los Expertos
referente a la respuesta requerida, se obtiene que un Docente de la
presente era debe apropiarse de las TIC para relevancia de sus clases y
obtener un mayor interés estudiantil, dada la brecha digital que se
presenta entre Docentes y Dicentes en la mayoría de los casos todavía,
influyendo esto en la vanguardia educativa. Estas herramientas en
muchos casos son gratuitas.
De la Pregunta No. 5 realizada en la entrevista respectiva a las Primeras
Autoridades referente a la respuesta requerida, se obtiene:
 Dra. Jeannette Yerovi de Orta, Directora del Instituto de Post-Grado
y Educación Continua responde: “Lo considero de suma
importancia, dada el desarrollo tecnológico y su uso por parte de
los estudiantes en su vida cotidiana y en el mundo laboral”.
 MSc. Francisco Morán Peña, Director de Carreras Técnicas Semi-
Presencial responde: ”Una Universidad moderna dentro de sus
puntos estratégicos deben estar las TIC, de modo que el Docente
maneje el proceso enseñanza-aprendizaje, orientación-aprendizaje
y la gestión de la Universidad, así como, notas, portafolio docente,
Curriculum, encuestas de satisfacción del Docente,etc.”.
348
En la pregunta No. 28 de la encuesta aplicada a los Docentes, se infiere
que consideran importante al manejo de las TIC en la gestión docente
universitaria (71,43% entre el valor más alto, 47,96% y alto, 23,47%).
En la pregunta No. 13 de la encuesta aplicada a los Docentes, se infiere
que consideran importante al manejo de las TIC en la gestión docente
universitaria (89,85% entre el valor más alto, 75,36% y alto, 14,49%).
Por tanto, se obtiene un alto grado de importancia al manejo de las TIC en
la gestión docente universitaria a todo nivel.
¿Cuáles son las habilidades, conocimientos y usos operativos
docentes en el manejo de las TIC por parte de los Educadores de las
facultades de la Universidad?
De la encuesta realizada a los Docentes, se obtiene:
Habilidades, conocimientos y usos operativos docentes en el manejo
de las TIC
Pregunta Detalle
No. 6 El88,78% manifiesta que incluye el empleo de las TIC en la
programación de la asignatura
No. 7 El 77,55% manifiesta que crea procedimientos e instrumentos
de evaluación de aprendizaje en entorno TIC
No. 15 El 65,31% manifiesta que utiliza software de productividad
para generar productos de fines administrativos
No. 16 El 60,20% manifiesta que emplea recursos de redes y
comunicación con los estudiantes de su asignatura y/o con el
resto de la comunidad educativa
No. 18 El 59,18% manifiesta que practica, experimenta y evalúa con
herramientas TIC para incorporarlas a su quehacer educativo
349
No. 22 El 54,08% manifiesta que utiliza las TIC como medio en la
evaluación de aprendizajes
No. 23 El 56,12% manifiesta que realiza y lleva a cabo Proyectos
Pedagógicos y/o Andragógicos de Aula con apoyo de las TIC
No. 24 El 64,29% manifiesta que utiliza métodos y técnicas activas
con el apoyo de las TIC
No. 35 El 63,27% manifiesta que utiliza al menos un recurso TIC
emplea como parte de su estrategia de aprendizaje para un
entorno de trabajo
No. 36 El 67,35% manifiesta que emplea al menos una técnica activa
con apoyo en TIC
No. 37 El 56,12% manifiesta que emplea al menos un tipo de
aprendizaje en sus procesos educativos apoyado en las TIC
No. 38 El 61,22% manifiesta que aplica al menos un enfoque teórico
en los procesos educativos apoyado en las TIC
No. 39 El 59,18% manifiesta que emplea en al menos una
evaluación las TIC.
No. 40 El 50% manifiesta que dispone criterios
pedagógicos/andragógicos para seleccionar recursos TIC a
emplear, ya sea de escritorio, red e Internet
No. 41 El 16,33% manifiesta que utiliza al menos un recurso TIC
para crear material didáctico para los escenarios educativos
No. 42 En lo relacionado a nivel de conocimientos TIC, se presenta
el mayor porcentaje (32,98%) que corresponde a no
aplicación de conocimientos, seguido de nivel básico
(25,79%), intermedio (22,45%) y avanzado (18,78%)
Cuadro 119 : Habilidades, conocimientos y usos operativos docentes en el manejo de las TIC.
Fuente:Docentes de la Universidad de Guayaquil.
Elaborado por:LSIJorge Vera Mosquera.
Como se observa, se presenta un porcentaje considerable en el manejo
de las TIC, sin embargo existe una baja muy considerable que refleja la
pregunta No. 41, que hace notar la falta de formación TIC para que exista
350
una coherencia real con lo manifestado en las otras preguntas, e inclusive
elevar aquel porcentaje.
351
CAPÍTULO V
CONCLUSIONES Y RECOMENDACIONES
Conclusiones
 Es ineludible la necesidad de formación docente en el uso de las
TIC en los procesos educativos, más aun en la era actual que se
vive, donde su utilidad en el mundo educativo por diversos motivos
sobretodo de gestión docente, demanda su aplicabilidad, por lo que
la Universidad de Guayaquil debe considerar la Educación
Continua en el manejo de las TIC con una política de asesoría
tecnopedagógica y/o tecnoandragógica.
 La mayoría de Docentes requiere preparación en TIC, quienes se
han formado en un grado u otro en forma autodidacta al igual que
los demás, necesitan formarse, fortificarse, empoderarse e
innovarse en el campo pedagógico y/o andragógico en
combinación con la tecnología, de tal modo que la planta de
Educadores tenga una apropiación tecnológica en los procesos
educativos.
 El interés docente de formación en TIC muestra una curva de
interés en crecimiento, lo que denota un convencimiento propio de
su necesidad e influencia en los procesos educativos y su gestión,
de tal modo que se atiende a la carencia de información como a la
desinformación en el empleo de la tecnología en el mundo
educativo.
352
 Se necesita optimizar los recursos tecnológicos en la Universidad,
para un mayor aprovechamiento por parte de la comunidad
educativa universitaria para así poder orientar de mejor forma una
articulación entre procesos educativos y procesos tecnológicos, a
nivel universitario.
 Existe una heterogeneidad en el empleo de las TIC en las distintas
facultades de la Universidad, por diversos motivos como
financiamiento, ubicación, gestión, disponibilidad horaria, etc., lo
que influye en cada caso, repercutiendo en infraestructura y
formación, por tanto en el conocimiento técnico y didáctico en el
manejo de las TIC.
 La disponibilidad de equipos y programas, el uso de Internet y el
empleo de plataformas educativas por parte del Personal Docente,
necesitan ser incrementados para elevar los distintos aspectos de
formación, aplicación y gestión de los procesos educativos, de
modo que pueda incrementarse el nivel de cultura digital docente y
así mejorar los estamentos educativos.
Recomendaciones
 La Facultad de Filosofía, Letras y Ciencias de la Educación debe
responder con un Programa de Formación Continua en el Manejo
de las TIC para los Docentes de la Universidad de Guayaquil, que
atienda y responda de forma adecuada y acorde con el presente
siglo, considerando con una visión pedagógica y/o andragógica el
empleo tecnológico en los procesos educativos, en base a las
necesidades actuales y el estamento legal de la Constitución de la
República del Ecuador y las estrategias actuales educativas de la
Universidad.
353
 Generar una propuesta por parte de las Autoridades de la
Universidad y la Faculta de Filosofía, que contemple el Diseño del
Programa de Educación Continua en mención, de modo que se
cree, actualice e innove los procesos educativos de la Universidad,
considerando en la Facultad de Filosofía su capacidad actual y
futura, a corto, mediano y largo plazo.
 Las Autoridades universitarias deben contemplar la infraestructura
logística de la Universidad, ya que constituye la primera dimensión
a considerarse para la disposición de un Programa de Educación
Continua en el manejo de las TIC para la gestión docente de sus
Educadores, de modo que cualquier miembro del Personal de
Profesores conozca en su momento de este punto de encuentro de
la tecnología con sus labores universitarias.
 Los gerentes educativos deben fortalecer las políticas de
integración de las TIC tanto a nivel universitario como en la
Facultad de Filosofía, con fuentes efectivas y oportunas de
financiación fortalecidas con una actitud institucional que permite
sostener en el tiempo el Programa de Educación Continua que se
cree.
 Este Programa de Educación Continua debe contemplar una
programación curricular que permita desarrollar las competencias
TIC en los Docentes de la Universidad, considerando las
condiciones de heterogeneidad de las distintas facultades, por lo
que el acoplamiento a las distintas situaciones de infraestructura y
formación deben considerarse, para facilidad de los Docentes por
parte de las Autoridades competentes.
354
 La infraestructura tecnológica a nivel de equipos, programas, redes
e Internet debe ir fortaleciéndose en el tiempo, tanto en la misma
Facultad de Filosofía, como en el resto de Facultades de la
Universidad, de modo que un proceso de inducción, apropiación,
mejora e innovación educativa en el Personal Docente Universitario
se beneficie, de tal manera que una modalidad presencial, como
semi-presencial y a distancia cuenten con lo necesario y acorde en
su momento a sus realidades vivenciales, resultando muy
importante considerar más adelante los sistemas de
administración de aprendizaje, para atender a los Docentes que se
encuentren en esta necesidad, siendo esto, una misión
fundamental de la Academia.
355
CAPITULO VI
LA PROPUESTA
Justificación
El uso intensivo de TIC como consecuencia de la globalización
económica, los nuevos comportamientos sociales, empresariales y el
surgir de nuevas demandas laborales frente a las tradicionales, que son
provenientes de recursos naturales y el trabajo físico, hacen que con el
empleo y empoderamiento del conocimiento y la comunicación, estas
nuevas tecnologías ofrezcan mejores resultados a nivel productivo y de
servicio para todos los sectores tanto a nivel gubernamental como
privado, en todos sus estratos.
La Facultad de Filosofía de la Universidad de Guayaquil, sensible
ante estas realidades macros, debe enfocar las necesidades que se
derivan al respecto, desde su papel y por ende su nivel de contribución
en la sociedad ecuatoriana, identificando factores que parten de una
brecha digital existente a nivel de Docentes y estudiantes, direccionado a
la realidad universitaria, cada uno desde sus realidades socio-
económicas, infraestructura y estudios informáticos, proyectos en marcha
como por desarrollar, que se relacionan al respecto en las distintas
Facultades.
En un segundo lugar, habría que considerar el hecho de que el uso
de las TIC, forma parte de las estrategias gubernamentales, por lo que su
empleo desde dictámenes de ley a nivel educativo, por lo tanto incluido en
las estrategias de desarrollo de la Universidad, hace que su visión de
instrumento transversal contribuya potencialmente al desarrollo del país.
356
Como un tercer punto importante, vale considerar que en la nación,
la mayoría de las iniciativas que impulsan el empleo de las TIC, tanto en
el espacio público como en el privado, indiscutiblemente impulsan el
crecimiento nacional, pero las realidades económicas en muchos casos,
hace que se acreciente distancias en un amplio sector de la población,
por lo que es una ardua labor encontrar un equilibrio en ambas
situaciones.
La Universidad de Guayaquil en función de sus recursos ha venido
implementando laboratorios de computadores y equipos en ciertas áreas
administrativas y espacios académicos en sus diferentes Facultades,
donde en algunos casos se encuentran en red e Internet, utilizando
sobretodo redes alámbricas como inalámbricas, tratando de facilitar el
empleo de la red de redes.
El empleo académico de esta infraestructura presenta una alta
frecuencia de usabilidad por parte de aprendices y Docentes, reflejándose
una desproporcionalidad entre el número de personas del estudiantado y
profesorado con el de computadores, reflejándose en la disponibilidad real
de los equipos, aun tomando en cuenta, el no uso del computador en
algunas asignaturas, que en ciertos casos resulta externo a las aulas.
A través del tiempo, la Universidad está incrementando su
tecnología dentro del proceso educativo, a tal punto que en la actualidad
ya se encuentra incorporando el uso de la Internet y el empleo del
mismo aprendizaje electrónico para los miembros de la comunidad
educativa.
Debe tomarse en cuenta, que los Bachilleratos de las unidades
educativas a nivel medio, se encuentran y se encontrarán algunos mejor
preparados que otros en el uso de la tecnología, presentándose con el
357
tiempo un conocimiento tecnológico más horizontal, debiendo
considerarse además que se encuentran con la obligatoriedad por ley, de
incluir el uso de la tecnología en sus procesos educativos.
Por tanto, el uso de las TIC por parte de estudiantes y Docentes es
implícito en toda Facultad universitaria, por lo que todo Educador debe
enriquecer su perfil con competencias digitales, para su empleo en la
gestión educativa.
Se presenta por tanto, la necesidad de implantar una cultura
informática, que atienda las brechas digitales en el tiempo, cubriendo a su
vez las necesidades tecnológicas de aprendizaje como parte del perfil
docente.
La Facultad de Filosofía, Letras y Ciencias de la Educación
sensible ante esta realidad, debe buscar la homogeneidad en el empleo
de las TIC en el Personal Docente, considerando inclusive aquellos
Educadores que en la actualidad se encuentran en el no uso de las
mismas, en el grado que fuere.
Retrasar la preparación docente en el manejo de las TIC,
determinará un alto costo en la calidad educativa de los estudiantes y
en el resultado de los egresados, que no será el anhelado para lo que la
sociedad demanda y se necesita del mundo universitario en la actualidad
y en el futuro.
358
Diagnóstico
El investigador después de haber aplicado los instrumentos de
investigación a la muestra de la población docente de la Universidad de
Guayaquil, y a su vez haber entrevistado a las Autoridades respectivas y
Consultores externos obtiene:
A nivel de Autoridades
En relación al grado de factibilidad de implementación de un
Programa de Educación Continua en el Manejo de las TIC para los
Docentes de la Universidad, manifestaron:
 Dra. Jeannette Yerovi de Orta, Directora del Instituto de Post-Grado
y Educación Continua: “Hay el apoyo y la factibilidad, sobre todo
por el deseo de las Autoridades de la Facultad para implementar
este Programa”.
 MSc. Francisco Morán Peña, Director de Carreras Técnicas Semi-
Presencial de la Universidad de Guayaquil: “Alto, dar el tiempo, la
planificación, los recursos, y darse la infraestructura del caso,
acorde a las disposiciones superiores”.
A nivel docente:
 Un alto grado de importancia al manejo de las TIC en la gestión
docente universitaria, lo que se refleja en el cuadro e imagen a
continuación:
359
Importancia en el manejo de las TIC en la gestión docente
Universitaria
Valoración Frecuencia Porcentaje
Desconozco 2 2,04%
Nulo 3 3,06%
Algo 6 6,12%
Medio 17 17,35%
Alto 23 23,47%
Más alto 47 47,96%
TOTAL 98 100,00%
Cuadro 120 : Importancia en el manejo de las TIC en la gestión docente Universitaria.
Fuente: Docentes de la Universidad de Guayaquil.
Elaborado por:LSIJorge Vera Mosquera.
Gráfico 171: Importancia en el manejo de las TIC en la gestión docente Universitaria.
Fuente:Docentes de la Universidad de Guayaquil.
Elaboración:LSI Jorge Vera Mosquera.
Se obtiene que un grado alto lo considera un 23,47% y más alto un
47,96%, es decir un 71,43% estima una alta importancia al empleo de las
TIC en la Gestión Universitaria.
2.04% 3.06%
6.12%
17.35%
23.47%
47.96%
Importancia del manejo de las TIC en la
Gestión Docente Universitaria
Desconozco
Nulo
Algo
Medio
Alto
Más alto
360
 Un alto grado de importancia en apoyarse en las herramientas
informáticas en el Curriculum actual de la asignatura a cargo, que
se refleja en el cuadro e imagen a continuación.
Grado de importancia de apoyo TIC en Curriculum de asignatura
Valoración Frecuencia Porcentaje
Desconozco 2 2,04%
Nulo 0 0,00%
Algo 2 2,04%
Medio 11 11,23%
Alto 32 32,65%
Más alto 51 52,04%
TOTAL 98 100,00%
Cuadro 121 : Grado de importancia de apoyo TIC en Curriculum asignatura.
Fuente: Docentes de la Universidad de Guayaquil.
Elaborado por:LSIJorge Vera Mosquera.
Gráfico 172: Grado de importancia de apoyo TIC en Curriculum de asignatura.
Fuente:Docentes de la Universidad de Guayaquil.
Elaboración:LSI Jorge Vera Mosquera.
Se obtiene que un grado alto lo considera un 32,65% y más alto un
52,04%, es decir un 84,69% estima una alta importancia al apoyo de las
herramientas informáticas en el Curriculum actual de la asignatura a
cargo.
2.04%0.00% 2.04%
11.23%
32.65%52.04%
Grado de importancia de apoyo TIC en
curriculum de asignatura
Desconozco
Nulo
Algo
Medio
Alto
Más alto
361
 El nivel de conocimientos TIC que no se aplican es el más alto en
relación a los niveles: Básico, intermedio y avanzado, que se refleja
en el cuadro e imagen a continuación.
Promedios por nivel de conocimientos
Nivel Promedio
No aplico 32.98%
Básico 25.79%
Intermedio 22.45%
Avanzado 18.78%
TOTAL 100.00%
Cuadro 122 : Promedios por nivel de conocimientos.
Fuente:Docentes de la Universidad de Guayaquil.
Elaborado por:LSIJorge Vera Mosquera.
Gráfico 173: Promedios por nivel de conocimientos.
Fuente:Docentes de la Universidad de Guayaquil.
Elaboración:LSI Jorge Vera Mosquera.
El mayor porcentaje (32,98%) corresponde a no aplicación de
conocimientos, seguido de nivel básico (25,79%), intermedio (22,45%) y
avanzado (18,78%).
32.98%
25.79%
22.45%
18.78%
Promedios por nivel de conocimientos
No aplico
Básico
Intermedio
Avanzado
362
 Un alto grado de necesidades de Formación en TIC que estiman
los Docentes.
Necesidades de Formación en TIC
Valoración Frecuencia Porcentaje
Desconozco 2 2,04%
Nulo 1 1,02%
Algo 2 2,04%
Medio 5 5,10%
Alto 30 30,62%
Más alto 58 59,18%
TOTAL 98 100,00%
Cuadro 123 : Necesidades de Formación en TIC.
Fuente:Docentes de la Universidad de Guayaquil.
Elaborado por:LSIJorge Vera Mosquera.
Gráfico 174: Necesidades de Formación en TIC.
Fuente:Docentes de la Universidad de Guayaquil.
Elaboración:LSI Jorge Vera Mosquera.
Se obtiene que un grado alto lo considera un 30,62% y más alto un
59,18%, es decir un 89,80% estima una alta importancia a sus
necesidades de Formación en TIC.
2.04% 1.02%
2.04%
5.10%
30.62%
59.18%
Necesidades de formación en TIC
Desconozco
Nulo
Algo
Medio
Alto
Más alto
363
De la entrevista realizada a los Consultores Externos, se puede extraer
que el Docente se encuentra ante:
 La necesidad de articular de un modo integral la relación
Curriculum – TIC – Aprendizaje, propiciando e induciendo el
pensamiento computacional.
 La innovación docente se presenta al momento que se de paso al
uso de diversos recursos tecnológicos, de tal manera que en base
a una visión constructivista (sin perder el sentido humano), se
crean actividades innovadores y constructoras de conocimiento.
 La eficiencia y eficacia docentes mejoran con el esfuerzo cotidiano,
la experiencia práctica y sentido profesional partiendo de una
debida apropiación TIC, siendo necesario un estímulo a los
Educadores por parte de las Autoridades, del modo que más
estimen conveniente, ante esta Formación Docente en TIC.
 Las competencias digitales docentes deben presentarse en base a
una realidad local y producto de las mismas exigencias ante la
sociedad que la Universidad debe atender, por tanto así como en
estándares internacional de Formación Docente TIC, un Programa
de Educación Continua en el manejo tecnológico para Docentes
debe contemplarlo.
.
Con estos resultados obtenidos de las entrevistas y encuestas
respectivas desarrolladas en la presente investigación, se determina que
es necesario el diseño de un Programa de Educación Continua en el
Manejo de las TIC para los Docentes de la Universidad de Guayaquil, a lo
que el Instituto de Post-Grado de la Facultad de Filosofía, Letras y
Ciencias de la Educación, asiste con una solución para todas las carreras
universitarias actuales y futuras de esta entidad, no solo con un sentido
de particularidad docente, sino en el cómo debe aplicarse las TIC en
todos los aspectos de su gestión educativa.
364
Fundamentación teórica de la Propuesta
En la Sociedad del Conocimiento que el mundo vive actualmente,
el desarrollo de las TIC impone un cambio y ritmo vertiginosos,
requiriéndose ante esto, que la Educación sea más dinámica y variada en
todos sus niveles.
Esta realidad demanda un Docente con un nuevo rol en el siglo 21,
cuyas competencias conduzcan al estudiante al aprender a aprender,
suscitando aprendizajes que no desconozcan la dialéctica entre la
enseñanza y el aprendizaje, renovando, innovando y empoderando sus
creencias pedagógicas, andragógicas y didácticas para aplicarlas en su
gestión.
La Educación Permanente es una respuesta ante esta situación,
suscitándose así nuevos enfoques a tratar en el mundo universitario, que
no es bajo ningún concepto una Educación recurrente, reciclaje, o
perfeccionamiento profesional.
El Educador de hoy necesita de una cultura informática que le
permita estar y comprender el escenario de vida de sus estudiantes e
igualmente el de sí mismo, para disponer de las herramientas que le
permitan acoplarse a las constantes transformaciones del mundo laboral
y del conocimiento.
Por ende, se demanda una Universidad creativa y profundizada en
la profesionalización docente, para asumir y enfrentar, en base al manejo
de las TIC, la realidad de la sociedad actual.
Estas razones, conllevan a considerar algunas fundamentaciones.
365
Fundamentación filosófica
El materialismo dialéctico planteado porFriedrich Engels y Karl
Marx, enfocando el comportamiento de la realidad dialécticamente en
base a la materia, explica la realidad por sí misma, dándose la
comprobación con la práctica científica, y esto es lo que lleva a producir
el conocimiento.
Éste último, por tanto, se justifica con la práctica concreta y la
utilidad social en el tiempo, en la que la relación teoría-práctica es la
dialéctica de la praxis. Así, el proceso educativo requiere de una
preparación pedagógica y/o andragógica que recorre un camino
dialéctico para desarrollar el conocimiento.
En base a esto, el estudiante debe recibir una enseñanza
problémica, donde el Docente crea y actúa como guía en este tipo de
situaciones, para que las actividades generadas creen nuevos
conocimientos, permitan comprender la realidad de un modo más
objetivo, involucrando así la investigación y las soluciones que se
necesitan.
La era actual conocida como la del Conocimiento o la de la
Información, hace que ésta sea vital a nivel económico y cultural,
creándose así la Economía del Conocimiento que es la contraparte
económica en la cual su explotación es el principal producto.
Ante este nuevo bien de consumo, se determina como factor clave
de competitividad, la calidad y nivel de TIC que se disponga, creándose
nuevos condicionantes de mercado, en este ya presente escenario
tecnológico, en el que el hombre acústico y tipográfico pasa a ser un
hombre electrónico.
366
Fundamentación pedagógica
La visión pedagógica en el quehacer educativo del Docente es un
hecho ineludible, en el cual su realidad le conduce a una no aplicación
absoluta de paradigmas tradicionales, sino que necesita integrar
concienzuda y coherentemente nuevas estrategias globales en el proceso
enseñanza-aprendizaje.
El Aprendizaje Significativo de Ausubel toma connotación, dado
que los requerimientos de organización del aula y clase, así como el uso
de herramientas digitales de proceso de información (mapas
conceptuales, mentales, etc.), la estructura de texto de contenidos, así
como las tareas y actividades que el educando debe realizar, hacen que
con la presencia de las TIC, los métodos y estrategias de aprendizaje
determinen un producto pedagógico conceptual, constructivista,
personalizado e individualizado, diferente al que con la ausencia de
tecnología lo es.
La metodología debe beneficiar la autonomía, el trabajo individual y
de cooperación, así como el pensamiento crítico y la resolución de
problemas, identificando a la Pedagogía individualizada, aun teniendo en
cuenta la construcción colectiva, manifestándose en una base
pedagógica-didáctica ecléctica, es decir integrada.
La evaluación toma un espacio muy particular, dado a que en un
ambiente virtual de aprendizaje, el Docente debe disponer de una visión
holística del educando en cara a los demás y a sí mismo, en lo debe
identificar los alcances y logros individuales, aun en el caso del trabajo
colectivo.
367
Se considera entonces una evaluación continua, en la que debe
haber la retroalimentación estudiantil, mediante instrumentos digitales
como foros, creación de ensayos, debates, diálogos por medio del chat,
elaboración de wikis, participaciones en clases virtuales-presenciales, etc.
La información en el proceso también es evaluativo, por lo que
encuestas, consultas, participaciones, registro de evaluación, perfil de
aprendizaje y de desempeño, también forman parte de este espacio,
siendo la veracidad y la privacidad, necesarias para orientar al
participante en su mejoramiento individual.
El recurso educativo a nivel de TIC se lo estima multi-sensorial,
considerándose su uso en tres tipos: Informativo, para la comunicación y
para el aprendizaje experiencial.
El rol del Docente se redefine a ser un mentor, guía, diseñador,
entrenador, facilitador, un estratega para conectar al estudiante con su
aprendizaje, usando las TIC para aquello, debiendo ser emprendedor e
innovador en todo sentido, creando escenarios para que el dicente
aprenda, y no divague con la información o se pierda en una red, por lo
que su rol pedagógico es vital no solo a nivel disciplinar, metodológico y
técnico, sino también en el escenario virtual que cree.
A su vez, debe desarrollar la humanización y afectividad en el
proceso educativo, estimulando la participación, la investigación crítica, la
autonomía y la creatividad, impulsando la reflexión para compartir la
experiencia y el aprendizaje. Esto hace que el aprendizaje constructivista
tome presencia.
368
Por tanto, el Docente posibilita en estas escenas las competencias
básicas relacionadas al aprendizaje en los dicentes: Aprender a conocer,
aprender a hacer, aprender a ser, aprender a aprender y aprender a
convivir.
Fundamentación andragógica
Considerar que en la época actual ya no existe edad para aprender
después de la adolescencia, no es nada ajeno a la realidad, en este
campo es donde se presenta la Andragogía, en la que el proceso
enseñanza-aprendizaje se identifica como orientación-aprendizaje. No se
trata de escolarizar o tratar adultos ante necesidades económicas y
laborales de la sociedad.
El Docente se convierte en un facilitador de aprendizajes para
orientar, ayudar y cooperar con el participante-estudiante en sus metas de
aprendizaje, con una relación horizontal entre iguales, de un modo
proactivo, recíproco y compartido, siendo el interés fundamental el adulto
como un autogestor responsable de lo que aprende.
Paulo Freire plantea una Formación Andragógica Integradora
(Anexo 11) en el que condiciona lo siguiente:
 Confrontación de experiencias (punto de vista de Educador y
educado).
 Racionalidad (nivel de juicio personal).
 Capacidad de abstracción (conciencia lógica y dialéctica) e
 Integración y aplicabilidad (integra a su vida y a su medio lo
aprendido).
369
El empleo andragógico de las TIC se puede presentar en:
 Simulación de situaciones.
 Resolución de problemas.
 Aprendizaje a distancia.
 Aprendizaje presencia.
 Asesoramiento.
 Redes educativas.
 Investigación.
 Intercambio de ideas y/o conocimientos.
Fundamentación tecnológica
Educar en el uso tecnológico es crear instancias para construir
conocimientos y desarrollar saberes con el empleo de la tecnología, en
busca de personas competitivas en las distintas áreas del desarrollo
humano.
La metacognición se activa en la persona con el empleo de las TIC
en el diario vivir, que sin ser estrictamente una ciencia, sin embargo
ayudan a resolver problemas y satisfacer necesidades, dado que el
método tecnológico es en esencia constructivo.
El aspecto técnico se relaciona con habilidades en su aplicación
en procesos a situaciones previstas, lo que determina una formación
especializada al respecto.
La triada Educación, ciencia y técnica, presenta un dinamismo en
alto crecimiento, que sale de un plano instruccional y de formación a uno
que integra Educación y Tecnología, que se encuentra replanteando las
bases filosóficas educativas, conociéndose esto como Tecnología
370
Educativa, que es quien contempla la mediación pedagógica y/o
andragógica desde una visión crítica e históricamente socio-cultural del
proceso educativo para cualquier contexto convencional o virtual de
aprendizaje.
Esto crea una relación implícita de “Tecnología Apropiada” acorde
a las distintas situaciones y usuarios que se encuentren en un escenario
educativo, considerando el trabajo situacional, holístico e interdisciplinario,
de modo que responda a las propuestas educativas para su apropiación.
Como se observa, la concepción de que la tecnología es
sencillamente instrumental, queda muy lejos, mas bien determina
espacios estratégicos para la Educación mediada y considera la
mediación pedagógica y/o andragógica con el uso de las TIC.
Misión y visión de la propuesta
Misión
Apoyar, actualizar, mejorar e innovar las competencias digitales de
los Docentes de la Universidad de Guayaquil, en las áreas educativas
pertinentes acorde a una Educación del siglo XXI, con un Programa
continuo de proyección de avanzada, competitividad, innovación, calidad
y beneficio social a la sociedad ecuatoriana.
Visión
Posicionar de forma permanente en la Universidad de Guayaquil,
una oferta integral de Educación Continua que atienda las necesidades de
formación, actualización, mejora e innovación en el Personal Docente
universitario, cubriendo necesidades específicas educativas en el mundo
digital de la era actual, contribuyendo al incremento de la competitividad
profesional y estratégica de la Institución.
371
Objetivos
General
 Diseñar un Programa de Educación Continua en el Manejo de las TIC
para el Instituto de Post-Grado de la Facultad de Filosofía, Letras y
Ciencias de la Educación de la Universidad de Guayaquil, para
mejorar la gestión docente universitaria, con una visión holística
educativa.
Específicos
En relación a los docentes de la Universidad de Guayaquil:
 Definir los módulos curriculares necesarios para la formación,
capacitación y actualización docente, para una aplicación
adecuada y significativa de las TIC a los procesos de aprendizaje
en las carreras de la Universidad, integrando holísticamente el
manejo de las TIC y sus componentes educativos necesarios.
 Determinar la tecnología necesaria, en base a los recursos
actuales y futuros de la entidad, que permita cumplir los objetivos
propuestos del Programa de Educación Continua en el Manejo de
las TIC para el Instituto de Post-Grado de la Facultad de Filosofía.
 Proponer una formación, capacitación y actualización, de un modo
gradual y pertinente, ligado a los nuevos desarrollos curriculares y
enfoques didácticos innovadores, estimulando la elaboración,
publicación, difusión e intercambio de experiencias curriculares
que sirvan de ayuda y referencia al profesorado para mejorar el
accionar educativo.
372
 Diseñar sistemáticamente un Programa de Educación Continua en
el Manejo de las TIC para el Instituto de Post-Grado de la Facultad
de Filosofía, para mejorar, actualizar e innovar, de un modo
sostenible y sustentable la gestión docente de la Universidad,
mediante un proceso presencial, como primera instancia.
Factibilidad de la propuesta
Administrativa
El Proyecto cuenta con el suficiente apoyo de las Autoridades de la
Facultad de Filosofía, Letras y Ciencias de la Educación, que se demostró
en la investigación para la presente Propuesta.
Vale considerar también el porcentaje considerable de Docentes
predispuestos al cambio que se plantea con este Proyecto, que es de
mutuo beneficio profesional entre Universidad, Facultad y Docentes.
Financiera
Está dada por la disponibilidad acorde a las disposiciones de la
Universidad y la Ley Orgánica de Educación Superior de la Nación, para
que con el tiempo la necesidad de incorporar programas, equipos y
Personal Docente necesarios para la Facultad de Filosofía, cumplan con
los requerimientos legales mencionados anteriormente.
Al momento de plantearse la presente Propuesta, a nivel de
equipos y programas la entidad se encuentra lista para operar el
Programa de Educación Continua en el Manejo de las TIC para los
Docentes de la Universidad de Guayaquil.
373
A nivel docente, la Facultad puede manejar sus disposiciones
reglamentarias, ya sea por contrato o en el caso de ser posible, valerse
de partidas ya asignadas con Docentes ya asignados, y que se
encuentren calificados para el Proyecto.
Legal
El marco legal involucra:
 La Declaración Mundial sobre la Educación Superior en el siglo XXI
(París, 1998), (Anexo 1) en su artículo 12, trata sobre el potencial y
los desafíos de la Tecnología.
 La Conferencia Mundial sobre la Educación Superior y la
investigación para el cambio social y el desarrollo (2009), (Anexo
2).Se refiere a la dinámica a emplear para alcanzar la EPT
(Educación Para Todos) para crear un cambio social y de
desarrollo en la Educación Superior, estableciendo puntos que
sirvan de lineamientos para la Formación Docente.
 La Ley Orgánica de Educación Superior de la República del
Ecuador (R.O. 298). (Anexo 3), que resalta como fines a la
producción científica y la promoción de la transferencia e
innovación tecnológica, junto al fomento y ejecución de programas
de investigación científica, tecnológica y pedagógica, y en base a
Principios del Sistema y Funciones, regir integralmente a las
instituciones y demás componentes del sistema educativo, de
modo que su funcionamiento garantice el derecho a la Educación
de cualquier ciudadano, con todas las exigencias del caso, y entre
ellas está la docencia con sus aditamentos necesarios para su
ejercicio, basándose en el Principio de Pertinencia.
 El Plan Estratégico de Desarrollo Institucional 2008-2015 de la
Universidad de Guayaquil, en su eje ACADÉMICO Y DOCENCIA
374
que establece mejorar el nivel académico y formación profesional
de estudiantes y Docente, como a su vez dentro de sus Acciones
Estratégicas (Anexo 4),dos de las mismas hacen hincapié en la
investigación sobre las necesidades de nuestra sociedad y el
Mejoramiento Integral de la Calidad Educativa, que la Universidad
se encuentra decidida a fortalecer, mantener y liderar.
Técnica
La Facultad de Filosofía, Letras y Ciencias de la Educación, cuenta
al momento con los recursos técnicos necesarios para la aplicación e
implementación de la presente Propuesta, los mismos que se detallan a
continuación:
 Acceso a Internet
 Intranet
 Laboratorios de Informática de la Facultad de Filosofía
 Licencias de Software legales en Microsoft Windows como de
Software Libre.
 Servidores y estaciones de trabajo adecuadas.
 Sitio Web propio.
De recursos humanos
La investigación de la Propuesta está dirigida a los Docentes de la
Universidad de Guayaquil, para quienes la Facultad de Filosofía, Letras y
Ciencias de la Educación, pretende crear, facilitar, innovar y empoderar
su gestión docente en base al manejo de las TIC, creando para ello un
Programa de Educación Continua al respecto, acorde a lo que demanda
una Educación del siglo 21.
375
En un marco regulatorio se considera:
Al Consejo Universitario, por el dictamen de las disposiciones de
fondo que ha requerido el caso.
Primeras Autoridades de Post-Grado de la Facultad de Filosofía,
para liderar pertinentemente el Programa de Educación Continua en
mención.
Primeras Autoridades de las Facultades, para prestar la
información y facilidades del caso a los Docentes de la Universidad.
A nivel de infraestructura técnica informática, se necesita de la
facilidad de equipos, programas y redes. La Facultad de Filosofía cuenta
actualmente con el personal necesario.
En un plano educativo y formativo, los facilitadores deben estar
acordes al siguiente perfil:
 Ser una persona proactiva, animada, motivadora, potenciadora
e innovadora en el manejo de las TIC.
 No necesita ser especializado en TIC, pero interesado en el
uso e innovación de las mismas, cuya capacitación vaya
acorde a lo que se necesite en el Programa de Educación
Continua propuesto.
 Potenciador de la actividad de los Docentes en formación.
376
 Proveedor y facilitador de recursos tecnológicos a los
enseñantes que se encuentren en proceso.
 Líder o poseedor de un cierto liderazgo en el uso y aplicación
TIC en Educación con una visión de ir más allá.
 Permeable a las teorías y las prácticas actuales e innovadoras
de aprendizaje con el empleo de las TIC.
Este personal debe tener un enfoque totalizador que integre
disciplinas, asumiendo una actitud y acción indagadora, orientando en
luces en lo relacionado a las teorías, con un análisis de la acción
educativa, reconstruyendo y cuestionando las experiencias cotidianas.
Política
La Universidad, basándose en el marco de la Ley Orgánica de
Educación Superior (R.O. 298), como a su vez en su Plan Estratégico de
Desarrollo Institucional, puede crear políticas que se articulen con las de
las distintas Facultades con respecto a la implementación de las TIC en el
quehacer educativo universitario, que permitan atender los distintos
aspectos como lo son el desarrollo curricular, infraestructura
administrativa del caso, equipamiento, evaluación, trabajo colaborativo
entre pares, facultades e inter Universidades en su momento,
oportunidades de investigación y desarrollo, etc., de modo que se apueste
a una Educación Continua en el Manejo de las TIC por parte de los
Docentes.
No debe estar ausente la plena conciencia de la complejidad del
trabajo docente, y fijar la responsabilidad únicamente en los Profesores y
tomar la asunción de que el cambio es individualmente para ellos, aunque
377
tenga su protagonismo en la creación de los escenarios de aprendizaje.
Pues, para cumplirse esta encomiable tarea, debe sustentarse en
políticas sustentables y sostenibles en el tiempo que permitan un
desarrollo profesional contemporáneo acorde con la realidad.
La Facultad de Filosofía, Letras y Ciencias de la Educación debe
considerar una obra a priori, ante esta necesidad imperiosa, el crear un
Programa de Educación Continua en el Manejo de las TIC para los
Docentes de la Universidad de Guayaquil (PECMTIC-DUG), de modo que
se prepara para un entorno de cambio permanente a nivel universitario
que se avecina en breve tiempo en la Universidad, ofertando una
respuesta en base a su experiencia educativa en el medio, debiendo
contemplar en su estructura organizacional el espacio y el lugar
necesarios, para atender este nuevo reto.
Este PECMTIC-DUG constituye un mecanismo estratégico de
orientación y pertinencia a la integración de las TIC al quehacer
educativo, considerando que se transforma el entorno de la Educación en
la Universidad, propiciado por un esfuerzo conjunto de estudiantes,
Docentes, personal administrativo y la comunidad educativa.
El fin primordial es capacitar a los Docentes competentemente en
los distintos escenarios que se vea involucrado ante los retos educativos
actuales y venideros, y sobretodo obtener estudiantes capacitados para
aprender a aprender.
Una organización que debe contemplar este PECMTIC-DUG, a
nivel de sugerencia es la siguiente:
378
Gráfico 175: Organización PECMTIC-DUG.
Tomadode:Creación LSI Jorge Vera Mosquera.
Por:LSI Jorge Vera Mosquera.
En la que:
Universidad de Guayaquil, es la instancia gubernamental
universitaria por medio del Consejo Ejecutivo, que en base a sus
facultades legales y administrativas, viabiliza el respaldo y puesta en
marcha del Programa en mención.
Facultad de Filosofía, Letras y Ciencias de la Educación, es quien
respalda la ejecución del presente proyecto, consolidando y fortaleciendo
lo necesario a nivel político, administrativo y de procedimientos.
Instituto de Post-Grado de la Facultad de Filosofía, Letras y
Ciencias de la Educación, es la organización encargada de ejecutar la
obra, implementando, administrando, brindando los espacios de
capacitación, llevando a cabo la cobertura necesaria, asesorando
pedagógica y andragógicamente los procesos de formación y
cualificación docente. Por ende, es el único responsable de la
administración académica del Programa.
379
Comité Académico, es conformado por gestores académicos y
administrativos, como personal que pueda brindar apoyo pedagógico,
andragógico o logístico si fuera necesario, estableciendo directrices,
orientaciones, creando la agenda y contenidos necesarios del caso, de
modo que encuentre las soluciones pertinentes derivadas del camino a
recorrer.
Gestor Académico, es quien crea, organiza, fortalece e innova el
Curriculum en los procesos de capacitación, sobre todo llevando el
acompañamiento en el desarrollo del Programa.
Gestor Administrativo, se encarga de difundir y llevar al éxito el
Programa, preocupándose del aspecto docente-administrativo.
Unidad de Infraestructura Tecnológica, está compuesto por el
personal del equipos, programas y redes de la Facultad de Filosofía, cuyo
aporte es notorio y fundamental en el momento de desarrollar el proyecto.
Su coordinación con los demás Gestores es básica en los escenarios
educativos que se crean.
Docente Facilitador, es aquel Educador que ha sido escogido por
los Gestor-es Académico-s y Administrativo-s, para hacer realidad el
Programa cubriendo el perfil para el caso, que ha sido previamente
tratado en el presente trabajo.
Docente Participante, es el personal Educador de la Universidad,
cuya convocatoria es llevada a cabo en la forma que las autoridades
correspondientes estimen convenientes.
380
Como se observa, el espíritu organizativo planteado es de carácter
interdisciplinario, de modo que lleve a cabo un seguimiento, considerando
los Docentes necesarios para llevar adelante el Programa, como también
la aplicación del mismo de acuerdo a lo que se especifique en su
contenido, de manera que su revisión, renovación y mejora en el tiempo
se garanticen acorde a las necesidades y realidades del momento.
La presente Propuesta al pasar por las factibilidades: Financiera,
administrativa, legal, técnica, recursos humanos y política, puede ser
considerada factible, por consiguiente su desarrollo e implementación a
disposición de la Facultad, Letras y Ciencias de la Educación.
Ubicación sectorial y física
El Instituto de Post-Grado y Educación Continua se encuentra
ubicado en la Facultad de Filosofía, Letras y Ciencias de la Educación de
la Universidad de Guayaquil, ubicada en la ciudadela Salvador Allende de
la parroquia Tarqui, del cantón Guayaquil.
Gráfico 176: Ubicación de la Universidad de Guayaquil.
Tomadode:https://maps.google.com/maps?hl=en&ll=-2.181353,-
79.897428&spn=0.010871,0.021136&t=h&om=1&z=16.
Por:LSI Jorge Vera Mosquera.
381
Descripción de la propuesta
La necesidad de una Educación continua en el manejo de las TIC
para los Docentes de la Universidad de Guayaquil, enfatiza comprender el
amplio universo de la Educación permanente, en la que su visión está
orientada a los cambios de la existencia de la humanidad, que son tan
grandes y rápidos que exigen desarrollar capacidades de adaptación y
orientación.
En medio de esto destaca la capacidad del ser humano para
aprender, por lo que los avances tecnológicos con su voracidad de
desarrollo, constituyen un desafío constante que debe enfrentarse y
resolver, dado que cualquier sociedad en el planeta gira en torno a la
tecnología, por ende educandos y Educadores.
De la Investigación del Proyecto y sus resultados, se obtiene que:
 Existen tanto la brecha digital como la pedagógica y/o andragógica.
 El método de enseñanza predominante es el tradicional expositivo.
 La participación del estudiante no es mayoritariamente activa.
 Se observa un porcentaje considerable de carencia de empleo de
TIC en el proceso educativo.
 Está ausente una visión adecuada del empoderamiento de las TIC
en los ambientes educativos, lo que dificulta el conocimiento como
a su vez la práctica de las nuevas tendencias educativas, cuya
identidad con los estudiantes de ahora es real y de aplicación
contemporánea.
 Al existir tanto una brecha digital como pedagógica y/o
andragógica, pueden ser tratadas con una preparación apropiada
y oportuna a los Docentes que no pertenecen a los nativos digitales
y/o que han venido teniendo limitaciones por distintas situaciones,
382
como también el considerando de aquellos estudiantes que por
condicionamientos ajenos a ellos, necesitan ser atendidos en sus
competencias digitales de base.
 Al tratarse el manejo de las TIC de un modo transversal en los
distintos Curriculums de las Facultades de la Universidad, se
contribuye al desarrollo de estudiantes y Docentes de un modo
actualizado y adecuado ante las exigencias de la sociedad
ecuatoriana y del mundo.
 Ante la inminente necesidad de interconectar en el tiempo los
distintos estamentos educativos de la Universidad, se necesita
tener preparados a Docentes y dicentes para aprovechar en su
momento la disponibilidad tecnológica para el mejoramiento de la
Educación que se imparte.
 La necesidad de Docentes calificados en el manejo de las TIC para
su apropiación en los escenarios educativos es innegablemente
imperativo.
Por tanto, se necesita promover el uso de las TIC para resolver
poco a poco los problemas que se derivan de los puntos mencionados
anteriormente, pero que a su vez se contemple el desarrollo de las TIC en
los distintos escenarios educativos de la Universidad, mediante su uso en
los ambientes de aprendizaje que se creen.
Este camino se inicia con la creación, implementación, desarrollo y
puesta en marcha de una Educación Continua en el manejo de las TIC
para los Docentes de la Universidad, debido a que el factor docente es la
clave de la transformación educativa, ya que puede equiparse o
disponerse de una excelente infraestructura tecnológica y reformar los
Curriculums, pero indiscutiblemente es necesario capacitar al Docente
para el uso de las TIC en su gestión educativa.
383
El marco legal que rodea la implementación de las TIC en los
procesos educativos de la Universidad, se enmarca en:
 El Plan Estratégico de Desarrollo Institucional actual del Consejo
Universitario 2008-2015,
 La Ley Orgánica de Educación Superior (R.O. 298), y
 Declaración y Conferencia Mundial de Educación Superior de 1998
y 2009, respectivamente.
En la actualidad existen estándares de Formación en TIC para
Docentes como: Marco de competencias TIC para Docentes de la
UNESCO, ISTE de EEUU, QTS del Reino Unido, EUROPEAN
PEDAGOGICAL ICT, INSA de Colombia, Estándares de AUSTRALIA, red
ENLACES de Chile, y otros que van desarrollándose acorde a
circunstancias varias de contexto, que son implementados, mejorados e
innovados constantemente.
Los Consultores Externos consultados para el presente trabajo
concuerdan que el estándar UNESCO 2.0 (2011) es el más apropiado de
tener en consideración para implementar el Programa de Educación
Continua en el Manejo de las TIC para los Docentes de la Universidad de
Guayaquil, por su adaptabilidad al contexto de la Universidad y
experiencia a nivel mundial.
Debe tenerse presente que las labores de un Docente no se limitan
a preparar clases, lo que hace en el aula, elaborar pruebas, …; sino que
también incorpora la creación y administración de ambientes de
aprendizaje en que el estudiante se desenvuelva autónomamente, para lo
cual debe prepararse sobremanera en el empleo de estas herramientas
que permitan elevar su productividad educativa.
384
El rol de la Educación Permanente en los actuales tiempos es
indiscutible en los profesionales de la Educación Superior, debido a que
en un modo constante permite la actualización de competencias,
desarrollar habilidades y destrezas que demanda la nueva Era del
Conocimiento, flexibiliza contenidos curriculares, métodos, técnicas,
permitiendo innovar acorde a las necesidades que se presentan.
La socialización de este Programa de Educación Continua en la
Manejo de las TIC para Docentes de la Universidad de Guayaquil, debe
enmarcarse en los parámetros que para tal efecto la misma entidad tiene
establecido para estos casos, teniendo en consideración mecanismos que
faciliten el tratamiento de la sensibilización del tema y la transformación
en el camino hacia una inclusión que pasa por la personal y profesional
en el Docente, de tal modo que sus competencias se creen, desarrollen,
experimenten, mejoren e innoven.
385
Programa de Educación Continua en el Manejo de las TIC para los
Docentes de la Universidad de Guayaquil en el Instituto de Post-
Grado de la Facultad de Filosofía, Letras y Ciencias de la Educación.
Presentación
El presente trabajo tiene como finalidad elaborar una propuesta de
un Programa de Educación Continua en el Manejo de las TIC para los
Docentes de la Universidad de Guayaquil.
El acelerado ritmo de la evolución tecnológica cultural y mundial,
requiere de una asimilación apropiada del uso de la tecnología en la
cotidianidad y por ende en la Educación, lo que conlleva a que se tenga
que implementar programas de capacitación en el manejo de las TIC para
que un centro educativo se convierta constantemente en el empleo
tecnológico y a su vez contribuya a sus fines educativos en el mundo de
sus educandos.
Se llevó a cabo un estudio de una muestra de población y situación
actual en la Facultad de Filosofía, Letras y Ciencias de la Educación y en
la Universidad de Guayaquil, evidenciándose la factibilidad de la presente
propuesta, habiéndose redactado el presente trabajo en la forma de
proyecto de investigación.
Necesidades educativas
Con este plan de estudios se busca atender:
 El conocimiento del marco político, normativo y legal del empleo de
las TIC en la Educación, y su potencial en los beneficios que la
sociedad demandan y requieren en la actualidad.
386
 Atender el empleo de las TIC a nivel docente universitario,
induciendo, preparando y potenciando su conocimiento y
aplicación.
 Los fundamentos teóricos y prácticos del manejo de las TIC en la
gestión docente universitaria.
 La integración de las TIC en un modo eficaz y pertinente, dentro
del contexto de desempeño y práctica docente.
 El análisis y resolución de problemas relacionados a la gestión
docente con la incorporación de las TIC.
 Planificar, ejecutar y evaluar las actividades relacionadas con el
proceso enseñanza-aprendizaje u orientación-aprendizaje, con el
empleo de las TIC.
 Empoderar el empleo de las TIC en el ambiente educativo, para
facilitar contenidos y conocimientos, en base a las nuevas
tendencias educativas de la Era del Conocimiento.
 La participación en la creación, implementación, desarrollo y
evaluación de proyectos educativos a nivel de Facultad,
Universidad y sociedad en general.
 La capacidad investigativa docente para contribuir y producir
tecnológicamente en el contexto educativo y las profesiones
específicas.
 Direccionar el uso transversal de las TIC en los Curriculums de las
Facultades de la Universidad.
 Aminorar y marcar una tendencia a la baja en las brechas digitales
entre Docentes y educandos, tanto a nivel
pedagógico/andragógico, así como el empleo didáctico y
metodológico de las TIC en el ambiente educativo.
387
Objetivo General
 Capacitar a los Docentes de la Universidad de Guayaquil en el
manejo personal y profesional de las TIC, para mejorar, actualizar
e innovar de un modo continuo, la gestión docente universitaria
acorde a las necesidades educativas del presente siglo, con una
visión educativa humana, integradora e innovadora.
Objetivos Específicos
 Despertar una actitud positiva docente en el uso de las TIC en
base a las oportunidades y retos para que se relacionen con los
diversos contextos educativos de la era actual, para facilitar la
adquisición de competencias digitales.
 Generar las competencias adecuadas en el Docente que aporten al
conocimiento y desarrollo de las destrezas adecuadas, para el
empleo de las TIC en el proceso de aprendizaje del educando y en
el escenario curricular, con un criterio formativo innovador.
 Mejorar las prácticas pedagógicas y/o andragógicas del Docente
mediante el empleo de las TIC en su quehacer educativo en base a
las competencias personales y profesionales adecuadas, que se
fundamenten en los enfoques educativos del presente siglo, para
lograr un cambio cultural estratégico en la Educación universitaria.
 Inducir al Docente a conocer los programas de aplicación y
educativos, así como los equipos necesarios del caso, para que
conviva con las herramientas tecnológicas haciendo uso de las
mismas en su desempeño profesional acorde a sus necesidades
de contexto educativo.
388
Perfil de ingreso
El Docente en la Universidad de Guayaquil debe:
 Estar acreditado en el ejercicio docente
 Realizar actividades educativas en cualquier Facultad
Perfil de egresado
Al concluir el presente programa el Docente deberá:
 Explicar los fundamentos teóricos y prácticos que sustentan sus
hechos en la práctica docente con el empleo de las TIC.
 Planificar, ejecutar y evaluar su proceso enseñanza-aprendizaje u
orientación-aprendizaje mediante el uso de las TIC.
 Evolucionar en hábitos de estudios que fortalezcan su manejo de
las TIC, favoreciendo su Educación permanente en las mismas.
 Comprender e interpretar los objetivos de las políticas educativas
en la Facultad, Universidad, estatales e internacionales,
articulándolas en sus prácticas docentes, así como contribuir a la
creación, aplicación, revisión y mejoras de las mismas.
 Disponer de conocimientos sólidos en base a los estándares de
competencias del PECMTIC-DUG, así como en las asignaturas a
cargo, los procedimientos de evaluación y la integración TIC en el
Curriculum, sabiendo manejar de forma flexible su organización.
 Manejar los momentos de uso de la tecnología en el proceso
enseñanza-aprendizaje u orientación-aprendizaje, de modo
apropiado, con los conocimientos requeridos del caso.
 Disponer de conocimientos robustos del funcionamiento de equipos
y programas, así como también de aplicaciones de productividad,
internet, comunicaciones y gestión.
389
 Administrar las actividades de aula mediante el empleo de las TIC,
organizando el trabajo de modo individual y de grupo según las
necesidades a atender, con un criterio equitativo.
 Generar en los estudiantes la creación, implementación, desarrollo
y monitoreo de soluciones a problemas, utilizando recursos en TIC
a nivel de programas locales, en red y manejo de proyectos cuando
las situaciones lo requieran.
 Crear ambientes de aprendizaje en TIC, cuyas actividades se
centren en el estudiante, administrando flexiblemente y el trabajo
en grupo colaborativo y/o cooperativo.
 Estructurar contextos de aprendizaje que creen situaciones que
permitan aplicar competencias cognitivas de los estudiantes,
ayudando a su adquisición, desarrollo y potenciación.
 Diseñar y/o trabajar en proyectos colaborativos con otros
Docentes u organizaciones, para beneficio mutuo, haciendo uso de
redes para disponer de información y conocimiento compartido
para su desarrollo profesional, e incentivar, acompañar y colaborar
de igual modo a sus estudiantes, direccionando un aprendizaje
permanente y reflexivo.
 Saber cómo aprende el estudiante de hoy, entendiendo desarrollo
de vida y dificultades de aprendizaje, encontrando soluciones para
el beneficio del aprendiz.
 Ejercer liderazgo con demás colaboradores de profesión, creando
e implementando la visión institucional, basándose en la innovación
y Educación continua en TIC.
Estrategias
Se propone como estrategias de intervención centradas en el
Docente, las siguientes:
390
 Acción comunicativa-comprensiva, partiendo del diálogo y
conversación entre personas se crea una comunicación que facilita
el entendimiento que resulta básico y necesario en todo proceso
educativo.
 Solución de problemas, planteándose conceptualmente un
problema considerando una metodología heurística por parte del
Facilitador.
 Elaborar proyectos, en que el Docente contribuye individualmente
para un resultado grupal, o determina un resultado deseado final si
el proyecto tuviera que ser personal.
 Lluvia de ideas, como reflejo de ideas y/o temas propuestos por
Docentes y Facilitadores, de modo que la recopilación contribuye a
solucionar un problema.
 Estudio de casos, como conjunto de hechos que generan
problemas, que requieren una o más soluciones.
 Uso de la multimedia, por la diversidad y disponibilidad de medios
que al emplearse como recursos, su empleo resulta atrayente y
contribuye tanto para Docentes y Facilitadores.
 El error didáctico, para encontrar un sentido constructivo
entendiéndoselo como un fin que sirve dentro del proceso
enseñanza-aprendizaje u orientación-aprendizaje.
 Habilidades de aplicación, para convertir la comprensión en
aplicación, entrando la visión algorítmica y/o heurística.
 Entrenamiento sistemático, para la adquisición de habilidades y
destrezas por parte de los Docentes.
 Talleres, como espacio para desarrollar habilidades y destrezas,
en base a espacios, tiempos y recursos previamente determinados.
391
Estructura del marco de competencias del Programa de Educación
Continua en el Manejo de las TIC para los Docentes de la Universidad
de Guayaquil (PECMTIC-DUG).
El programa se ha configurado del siguiente modo:
 Número de niveles: Cuatro (4):
o Inducción – Preparación
o Nivel inicial – Alfabetización tecnológica
o Nivel intermedio – Profundización de conocimientos
o Nivel avanzado – Generación de conocimientos
 Cada nivel posee sus respectivos módulos con sus respectivos
contenidos de conocimientos, cuyos componentes son:
o Comprensión del Uso educativo de las TIC en la
Universidad de Guayaquil.
o Currículo y evaluación.
o Pedagogía/Andragogía.
o TIC.
o Organización y administración.
o Formación profesional docente.
Se ha estimado, debido a que es por primera vez, la modalidad
presencial en cada uno de sus módulos, considerándose el aprendizaje
electrónico en línea como apoyo de estudios, como a su vez de
entrenamiento, formación y vivencia, a partir del segundo nivel. Este
escenario contribuirá mucho para el desarrollo de foros, ensayos, debates
y demás estrategias didácticas que se necesiten registrar, revisar y
evaluar, por parte de los Facilitadores.
Es de valorar con el paso del tiempo, y como fruto de la
experiencia, las modalidades semi-presencial y virtual en función de las
392
condiciones educativas de escenario que se requieren para las mismas,
para posteriores desarrollos del PECMTIC-DUG.
Se puede visualizar el programa con sus respectivos niveles y el
enfoque de los mismos, bajo una estructura modular, en el cuadro a
continuación:
Enfoques por nivel del Programa PECMTIC-DUG
NIVEL ENFOQUE DIDÁCTICO
Inducción y
Preparación
Compartir conocimientos y experiencias,
incentivando la participación docente en el
Programa PECMTIC-DUG, apoyando al enseñante
en su actitud hacia las TIC, sembrando una
estimulante apropiación orientada a una
profesionalización no solo individual sino dirigida al
servicio educativo en la Universidad, buscando una
focalización inicial adecuada.
Nivel Inicial Referido a la preparación docente para comprender
el uso de las TIC en la Educación, en un sentido
alfabetizador para adquirir competencias básicas
digitales en Curriculum, Pedagogía/Andragogía y en
escenarios de contexto educativo y beneficio
profesional.
Nivel Intermedio Busca incrementar la capacidad de los Educadores
para contribuir a la sociedad en la solución de
problemas, aplicando soluciones en situaciones
reales de la vida laboral y cotidiana.
Nivel Avanzado Con una visión más compleja, sus repercusiones se
relacionan con cambios en el Curriculum y demás
componentes que se involucran en el sistema
educativo, debido a que se va más allá del simple
conocimiento de asignaturas, integra además
393
habilidades y destrezas indispensables en la era
actual, que tiene que ver con resolver problemas,
trabajo de grupos, expresión creativa y pensamiento
crítico. El enseñante traspasa el espacio de aula
física y/o virtual, pasando a cooperar en el desarrollo
de programas en la Universidad, por lo que el
objetivo curricular pasa a ser la habilidad, que a su
vez se constituye en nuevo método de evaluación,
creándose así nuevos planes de formación, siendo
entonces el rol docente, el modelamiento abierto de
procesos en los que el estudiante aplica estas
habilidades y destrezas, debiendo ayudarle en su
adquisición.
Cuadro 124 : Enfoques por nivel del Programa PECMTIC-DUG.
Fuente: Adaptación de KOZMA, R. (2011) y UNESCO(2011) por parte del investigador.
Elaborado por:LSI Jorge Vera Mosquera.
El Docente tomará los módulos por nivel, lo que significa que para
pasar al siguiente nivel, se deberán haber aprobado todos los módulos del
nivel anterior.
A continuación se exponen dos imágenes, en cuyo orden indican:
1. los módulos del PECMTIC-DUG en una matriz organizada
por NIVEL y COMPONENTE, asignándose un código
numérico de dos dígitos para identificación del módulo,
donde el primer dígito identifica el COMPONENTE y el
segundo al NIVEL.
2. El número de horas que emplea cada uno de los módulos
del PECMTIC-DUG.
394
Gráfico 177: Códigos por módulos del Programa PECMTIC-DUG.
Tomadode:https://www.dropbox.com/s/y5cu5d26i8ga45j/PROGRAMA%20CODIFICADO.png.
Por:LSI Jorge Vera Mosquera.
395
Gráfico 178: Códigos por módulos del Programa PECMTIC-DUG. – Carga horaria.
Tomado
de:https://www.dropbox.com/s/gxqlrw0tk887w17/PROGRAMA%20NUMERO%20DE%20HORAS.png.
Por:LSI Jorge Vera Mosquera.
396
Descripción de módulos
Inducción y Preparación – Gestión educativa universitaria apoyada
en TIC
CÓDIGO 11
NIVEL INDUCCIÓN Y PREPARACIÓN
COMPONENTE Marco regulador en la Universidad
de Guayaquil
MÓDULO Gestión educativa universitaria
apoyada en TIC
OBJETIVOS CURRICULARES
 Fomentar el conocimiento
del marco regulatorio del
PECMTIC-DUG, para
beneficio personal y
profesional del Docente
 Facilitar al Educador la
información que permita
conocer el PECMTIC-DUG
por medios físicos y digitales
INTENCIONES EDUCATIVAS
 Crear una visión del sentido
permanente de formación
docente en la actualidad,
identificándose el papel de
las TIC en las prácticas
educativas de la presente
era.
 Reconocer los elementos
que constituyen el
PECMTIC-DUG con las
perspectivas del marco legal
y contextos educativos
actuales en la Universidad
de Guayaquil
NÚMERO DE ASISTENTES
20 (recomendado)
LUGAR
Laboratorio de Informática
ESTRATEGIAS DE
INTERVENCIÓN
Acción comunicativa-comprensiva,
uso de multimedia, análisis
RECURSOS
TECNOLÓGICOS: Computador (de
preferencia individual), red interna,
Internet, contenidos digitalizados y
397
individual y grupal de información,
trabajo colaborativo para obtener
productos de aprendizaje, plenaria
para generar conclusiones
diapositivas del módulo, software y
proyector.
MATERIALES: Pizarra,
marcadores, borrador, hojas en
blanco y lápices.
HUMANOS: Facilitador, Facilitador
Asistente y Participantes.
DURACIÓN
2 horas
FACILITADOR Y FACILITADOR
ASISTENTE
Asignados por el Instituto de Post-
Grado
MODALIDAD
Presencial
REQUISITOS PREVIOS
Docente acreditado por la
Universidad de Guayaquil
BLOQUES TEMÁTICOS
CONTENIDOS TIEMPO
Enfoque de la reforma educativa 1 hora
¿Qué es el PECMTIC-DUG? 1 hora
Cuadro 125 : Módulo Gestión educativa universitaria apoyada en TIC.
Fuente:Criterio del investigador.
Elaborado por:LSI Jorge Vera Mosquera.
DETALLE DE CONTENIDOS
1. Enfoque de la reforma educativa
1.1. Tendencias globales
1.2. El ámbito del trabajo
1.3. Transición educativa
1.4. Competencias y sistema educativo
1.5. Una reforma educativa profunda
1.5.1. Planes de estudio e incorporación de las TIC
1.5.2. Formación Docente en el Manejo de las TIC
398
1.5.3. Formación Continua en TIC de Docentes, estudiantes y
profesionales
1.6. La LOES y la Educación aplicando tecnología
2. ¿Qué es el PECMTIC-DUG?
2.1Cómo se define el Programa
2.2 Misión
2.3Visión
2.4Objetivos
2.5Marco Legal
2.5.1 Internacional
2.5.2 Nacional
2.5.3 Universidad de Guayaquil
2.6Proceso de formación
2.7Marco de competencias
2.8Organización modular
2.9Perfil docente a obtener
399
Inducción y Preparación – Preparación curricular docente apoyada
en TIC
CÓDIGO 21
NIVEL INDUCCIÓN Y PREPARACIÓN
COMPONENTE Currículum y evaluación
MÓDULO Preparación curricular docente
apoyada en TIC
ESTRATEGIA DIDÁCTICA Seminario Taller
OBJETIVOS CURRICULARES
 Promover la reflexión sobre el
concepto y aplicación TIC en el
Curriculum y evaluación
INTENCIONES EDUCATIVAS
 Despertar con argumentos
propios el sentido de
creatividad e innovación en
torno a la realidad situacional
del Docente, el cómo emplear
las TIC en el Curriculum
NÚMERO DE ASISTENTES
20 (recomendado)
LUGAR
Laboratorio de Informática
ESTRATEGIAS DE INTERVENCIÓN
Lluvia de ideas, uso de multimedia,
estudio de casos, trabajo colaborativo
para obtener productos de
aprendizaje, plenaria para generar
conclusiones
RECURSOS
TECNOLÓGICOS: Computador (de
preferencia individual), red interna,
Internet, contenidos digitalizados y
diapositivas del módulo, software y
proyector.
MATERIALES: Pizarra, marcadores,
borrador, hojas en blanco y lápices.
HUMANOS: Facilitador, Facilitador
Asistente y Participantes.
DURACIÓN
2 horas
FACILITADOR Y FACILITADOR
ASISTENTE
Asignados por el Instituto de Post-
Grado
400
MODALIDAD
Presencial
REQUISITOS PREVIOS
Docente acreditado por la Universidad
de Guayaquil
BLOQUES TEMÁTICOS
CONTENIDOS TIEMPO
Papel del Docente al integrar las TIC
en la Educación
2 horas
Cuadro 126 : Módulo Preparación curricular docente apoyada en TIC.
Fuente:Criterio del investigador.
Elaborado por:LSI Jorge Vera Mosquera.
DETALLE DE CONTENIDOS
1. Papel del Docente al integrar las TIC en la Educación
1.1. Nuevo paradigma cultural
1.1.1. Paradigmas en el tiempo
1.1.2. La actualidad requiere
1.2. Cambios de escenarios
1.2.1. Desafíos al integrar las TIC
1.3. Nuevo rol del Docente y del Estudiante
1.4. Cambios metodológicos
1.5. Implicaciones institucionales
1.6. Paradigmas actuales
1.7. Integración TIC curricular
1.7.1. Qué es y qué no es
1.7.2. Niveles de integración
1.7.3. Competencias docentes
1.7.4. TIC como eje transversal
1.7.5. Usos didácticos
1.7.6. Modelos pedagógicos/andragógicos
1.7.7. Necesidad de formación específica
1.7.8. Integrando las TIC en el Curriculum
1.7.9. Herramientas tecnológicas y tendencias
1.8. Evaluación con TIC
401
Inducción y Preparación – Necesidad de criterios
pedagógicos/andragógicos en el empleo de las TIC
CÓDIGO 31
NIVEL INDUCCIÓN Y PREPARACIÓN
COMPONENTE Pedagogía/Andragogía
MÓDULO Necesidad de criterios
pedagógicos/andragógicos en el
empleo de las TIC
ESTRATEGIA DIDÁCTICA Seminario Taller
OBJETIVOS CURRICULARES
 Argumentar a la práctica
docente la mediación
pedagógica/andragógica
con el empleo de las TIC en
un proceso educativo
INTENCIONES EDUCATIVAS
 Generar inquietudes e
interrogantes docentes a
responderse a nivel
pedagógico/andragógico con
el empleo de las TIC en un
proceso educativo
NÚMERO DE ASISTENTES
20 (recomendado)
LUGAR
Laboratorio de Informática
ESTRATEGIAS DE
INTERVENCIÓN
Acción comunicativa-comprensiva,
uso de multimedia, estudio de
casos, trabajo colaborativo para
obtener productos de aprendizaje,
plenaria para generar
conclusiones
RECURSOS
TECNOLÓGICOS: Computador (de
preferencia individual), red interna,
Internet, contenidos digitalizados y
diapositivas del módulo, software y
proyector.
MATERIALES: Pizarra,
marcadores, borrador, hojas en
blanco y lápices.
HUMANOS: Facilitador, Facilitador
Asistente y Participantes.
402
DURACIÓN
9 horas
FACILITADOR Y FACILITADOR
ASISTENTE
Asignados por el Instituto de Post-
Grado
MODALIDAD
Presencial
REQUISITOS PREVIOS
Docente acreditado por la
Universidad de Guayaquil
BLOQUES TEMÁTICOS
CONTENIDOS TIEMPO
Evolución de las TIC 1 hora
Didáctica Informática 2 horas
Uso pedagógico/andragógico de
las TIC
2 horas
Estrategias metodológicas 2 horas
Entorno virtual de aprendizaje 2 horas
Cuadro 127 : Módulo Necesidad de criterios pedagógicos/andragógicos en elempleo de las TIC.
Fuente:Criterio del investigador.
Elaborado por:LSI Jorge Vera Mosquera.
DETALLE DE CONTENIDOS
1. Evolución de las TIC
1.1. Inicios
1.2. Actualidad e influencia en la era actual
2. Didáctica Informática
2.1. Estrategias de aprendizaje
2.2. Posibilidades didácticas
3. Uso pedagógico/andragógico de las TIC
3.1. Fundamentos pedagógicos/andragógicos para la Aplicación de las
TIC en Educación
3.2. El hecho educativo
3.3. El modelo tradicional educativo
403
3.4. Modelo pedagógico/andragógico
3.5. Modelo educativo apoyado en TIC
3.6. Métodos y técnicas
3.7. Pedagogía informacional
4. Estrategias metodológicas
4.1. Tradicionales
4.2. Apoyadas en TIC
4.3. Estrategia virtual
5. Entorno Virtual de aprendizaje
5.1. Concepto
5.2. Como instrumento de mediación
5.3. Entornos virtuales
5.4. Aula virtual
5.5. Clasificación de herramientas
404
Inducción y Preparación – Herramientas básicas TIC
CÓDIGO 41
NIVEL INDUCCIÓN Y PREPARACIÓN
COMPONENTE Manejo de las TIC
MÓDULO Herramientas básicas TIC
ESTRATEGIA DIDÁCTICA Seminario Taller
OBJETIVOS CURRICULARES
 Iniciar en el desarrollo de
competencias y destrezas
en el uso docente de las
TIC, como herramientas a
emplear cotidianamente en
el proceso educativo
 Valorar el empleo docente
de las TIC para la
construcción y generación
de conocimientos y
contenidos
INTENCIONES EDUCATIVAS
 Concienciar en el manejo
docente de las TIC en la
gestión educativa
 Visualizar la adaptación al
Curriculum de las
necesidades de entorno, en
base al apoyo de las TIC
NÚMERO DE ASISTENTES
20 (recomendado)
LUGAR
Laboratorio de Informática
ESTRATEGIAS DE
INTERVENCIÓN
Acción comunicativa-comprensiva,
uso de multimedia, habilidades de
aplicación, entrenamiento
sistemático, talleres, solución de
problemas, trabajo colaborativo
para obtener productos de
aprendizaje
RECURSOS
TECNOLÓGICOS: Computador (de
preferencia individual), red interna,
Internet, contenidos digitalizados y
diapositivas del módulo, software y
proyector.
MATERIALES: Pizarra,
marcadores, borrador, hojas en
blanco y lápices.
HUMANOS: Facilitador, Facilitador
Asistente y Participantes.
405
DURACIÓN
70 horas
FACILITADOR Y FACILITADOR
ASISTENTE
Asignados por el Instituto de Post-
Grado
MODALIDAD
Presencial
REQUISITOS PREVIOS
Docente acreditado por la
Universidad de Guayaquil
BLOQUES TEMÁTICOS
CONTENIDOS TIEMPO
Conociendo el computador 4 horas
Sistema Operativo 10 horas
Office Básico 44 horas
Inicios en Internet 10 horas
Seguridad en la información 2 horas
Cuadro 128 : Módulo Herramientas básicas TIC.
Fuente:Criterio del investigador.
Elaborado por:LSI Jorge Vera Mosquera.
DETALLE DE CONTENIDOS
1. Conociendo el computador
1.1. Concepto y características
1.2. Hardware y Software
1.2.1. Elementos
1.2.1.1. Dispositivos y tipos
1.2.2. Funcionamiento
1.2.2.1. Ciclo de procesamiento de datos
1.2.3. Características de un computador y evaluación
1.3. Tipos de computadores
1.4. Encendiendo el equipo
1.5. Ergonomía
2. Sistema Operativo
2.1. Concepto, características e importancia
406
2.2. Versiones
2.3. Secuencia de trabajo al encender un computador
2.4. Modo visual de trabajo
2.4.1. Windows
2.4.2. Linux
2.5. Control y personalización
2.6. Tipos de usuario
2.6.1. Derechos y atributos
2.7. Gestión de archivos
2.7.1. Archivos
2.7.1.1. Concepto, características e importancia
2.7.1.2. Organización de información
2.7.2. Uso del teclado y mouse
2.7.2.1. Estructura
2.7.3. Uso de menús
2.7.4. Edición de archivos con explorador
2.7.5. Identificación de programa que necesita un archivo
2.7.6. Búsqueda de archivos
2.7.7. Compresión de archivos
2.7.8. Transportación de archivos en dispositivos externos
2.8. Instalación y desinstalación de programas
2.9. Manejo de dispositivos comunes
2.10. Virus y antivirus
2.10.1. Programas
2.10.2. Mantenimiento preventivo y correctivo de virus
2.11. Instalación y reconocimiento de dispositivos externos
comunes
2.11.1. Celulares
2.11.2. USB
2.11.3. Impresoras
2.12. Salir
407
2.12.1. De sesión
2.12.2. Bloquear
2.12.3. Reiniciar
2.12.4. Hibernar
2.12.5. Apagar el computador
3. Office Básico
3.1. Iniciando
3.1.1. La Ofimática
3.1.1.1. Concepto, características e importancia
3.1.1.2. Uso en la Educación
3.1.2. Componentes
3.1.3. Versiones por Sistema Operativo
3.1.3.1. Tipos de instalación local
3.1.3.1.1. De pago
3.1.3.1.2. Software libre
3.1.4. Presencia en Internet
3.2. Procesador de palabras Básico
3.2.1. Primeros pasos
3.2.1.1. En qué consiste y cómo funciona
3.2.1.2. Iniciando el Programa
3.2.1.3. Elementos de entorno
3.2.1.4. Uso de menús y herramientas
3.2.1.5. Manejo de un documento
3.2.1.6. Trabajo simultáneo de documentos
3.2.1.7. Administración de documentos
3.2.1.8. Protección de documentos
3.2.1.9. Salir
3.2.2. Edición de texto
3.2.2.1. Inserción, borrar, modificar y seleccionar caracteres
3.2.2.2. Desplazamiento dentro del documento
3.2.2.3. Búsqueda y/o reemplazo
408
3.2.2.4. Copiar, pegar y deshacer
3.2.3. Formato del documento y caracteres
3.2.3.1. Uso de plantillas
3.2.3.2. Formato del carácter
3.2.3.3. Formato de párrafo
3.2.3.4. Diseño de página
3.2.4. Impresión de documentos
3.2.4.1. Total
3.2.4.2. Por páginas
3.2.4.3. Selección de impresora
3.2.4.4. Visualización previa
3.2.5. Aplicaciones prácticas
3.3. Hoja electrónica Básica
3.3.1. Primeros pasos
3.3.1.1. En qué consiste y cómo funciona
3.3.1.2. Iniciando el Programa
3.3.1.3. Elementos de entorno
3.3.1.4. Uso de menús y herramientas
3.3.1.5. Edición en celdas
3.3.1.6. Desplazamiento en la hoja electrónica
3.3.1.7. Salir
3.3.2. Administración de documentos
3.3.2.1. Edición de libros
3.3.2.2. Edición de hojas
3.3.2.3. Protección de libros
3.3.3. Formatos de hoja
3.3.3.1. Uso de plantillas
3.3.3.2. Formato libre
3.3.3.3. Formato de caracteres
3.3.3.4. Formato de celda
3.3.3.4.1. Ubicación
409
3.3.3.4.2. Por fila
3.3.3.4.3. Por columna
3.3.3.4.4. Por posición
3.3.3.4.5. Protección
3.3.4. Operaciones de edición de datos a nivel de hoja
3.3.4.1. Copiar
3.3.4.2. Mover
3.3.4.3. Manejo de series
3.3.4.4. Inserción, borrado de filas, columnas y celdas
3.3.4.5. Operaciones matemáticas básicas
3.3.4.5.1. Formulación
3.3.4.5.1.1. Celdas absolutas y relativas
3.3.4.5.1.2. Edición en una hoja
3.3.5. Impresión de hoja
3.3.5.1. Total
3.3.5.2. Por rango
3.3.5.3. Selección de impresora
3.3.5.4. Visualización previa
3.3.6. Aplicaciones prácticas
3.4. Presentador de diapositivas Básico
3.4.1. Primeros pasos
3.4.1.1. En qué consiste y cómo funciona
3.4.1.2. Elementos de entorno
3.4.1.3. Uso de menús y herramientas
3.4.1.4. Manejo de una diapositiva
3.4.1.5. Creación de presentaciones
3.4.1.5.1. En blanco
3.4.1.5.2. Por plantilla
3.4.1.6. Encabezado y fondos
3.4.1.7. Salir
3.4.2. Uso de texto, autoformas e imagen
410
3.4.3. Smart Art, Tablas y gráficos
3.4.4. Cómo preparar una presentación
3.4.5. Aplicaciones prácticas
3.5. Base de datos
3.5.1. Primeros pasos
3.5.1.1. En qué consiste y cómo funciona
3.5.1.2. Iniciando el Programa
3.5.1.3. Elementos de entorno
3.5.1.4. Uso de menús y herramientas
3.5.1.5. Salir
3.5.2. Diseño de base de datos
3.5.2.1. Creación
3.5.2.1.1. Auto
3.5.2.1.2. Manual
3.5.2.2. Diseño intuitivo
3.5.3. Tablas
3.5.3.1. Estructura
3.5.3.2. Pestaña
3.5.3.3. Creación
3.5.3.4. Campos
3.5.3.4.1. Creación
3.5.3.4.2. Tipos y propiedades
3.5.3.5. Descripción
3.5.3.6. Modificar estructura
3.5.4. Datos y registros
3.5.4.1. Ingreso
3.5.4.2. Edición
3.5.5. Desplazamiento entre tuplas
3.5.6. Relación entre tablas
3.5.7. Importación, exportación y vinculación de datos
3.5.8. Ortografía
411
3.5.9. Trabajar con tablas
3.5.10. Importación/exportación de datos
3.5.11. Filtros
3.5.11.1. Buscar
3.5.11.2. Ordenar
3.5.11.3. Filtrar
3.5.12. Consultas
3.5.12.1. ¿En qué consiste?
3.5.12.2. Pestaña
3.5.12.3. Creación
3.5.12.3.1. Auto
3.5.12.3.2. Manual
3.5.12.3.2.1. Vista diseño
3.5.12.4. Encabezados de columnas
3.5.12.5. Tipos
3.5.12.5.1. Simples
3.5.12.5.2. Múltiples
3.5.12.6. Manejo de campos
3.5.12.7. Cálculos
3.5.12.8. expresiones
3.5.12.9. Criterios de búsqueda
3.5.12.10. Uso de parámetros
3.5.12.11. Ejecución
3.5.12.12. Edición
3.5.13. Aplicaciones prácticas
3.6. Correo electrónico
3.6.1. Primeros pasos
3.6.1.1. En qué consiste y cómo funciona
3.6.1.2. Iniciando el Programa
3.6.1.3. Elementos en pantalla
3.6.1.4. Uso de menús y herramientas
412
3.6.1.5. Uso de carpetas
3.6.1.6. Panel de navegación
3.6.1.7. Configuración de cuentas
3.6.1.8. Salir
3.6.2. Administración de correos electrónicos
3.6.2.1. Enviar y recibir
3.6.2.1.1. Carpetas
3.6.2.1.2. Emails eliminados
3.6.3. Archivos adjuntos
3.6.4. Ortografía
3.6.5. Panel de lectura
3.6.6. Panel de exploración
3.6.7. Bandeja de entrada
3.6.8. Uso de calendario y citas
3.6.9. Gestiones
3.6.9.1. Tareas
3.6.9.2. Contactos
3.6.9.3. Notas
4. Inicios en Internet
4.1. Concepto, características e importancia en la Educación
4.2. Configuración y reconocimiento de conexión a Internet
4.3. Navegadores Web
4.3.1. Instalación, actualización y desinstalación
4.3.2. Elementos de un navegador
4.3.3. Servicios de Internet en un navegador
4.3.4. Partes de una página web
4.3.5. Diferencia entre sitio y página
4.3.6. Uso del menú de un navegador
4.3.7. Búsqueda de información en Internet
4.3.8. Sitios no seguros
4.3.9. Correo electrónico
413
4.3.9.1. Local
4.3.9.2. Vía Web
4.3.9.3. Uso
4.3.10. Suscripciones
4.3.10.1. Sitios
4.3.10.2. Modalidades de uso
4.3.11. Manejo de Imágenes
4.3.12. Compras por Internet
4.4. Computación en la nube
4.5. Registro en plataforma educativa en línea de apoyo
4.5.1. Bondades
4.5.2. Soporte a módulos del PECMTIC-DUG
4.5.3. Foros de apoyo en el PECMTIC-DUG
5. Seguridad en la información
5.1. Riesgos y prevención del uso de la información en un computador
e Internet
5.2. Confidencialidad
5.2.1. Contraseñas
5.2.1.1. Uso
5.2.1.2. Consejos para crear
5.2.1.3. Software de creación
5.2.2. Creación de copias de seguridad
5.2.2.1. En equipo
5.2.2.2. Dispositivos externos
5.2.2.3. Internet
5.3. Software
5.3.1. Comprensión de implicación de instalar software ilegal
5.3.2. Importancia de actualizar antivirus instalado
5.3.3. Uso de firewall
5.3.4. Uso de spyware
5.3.5. Aplicaciones para prevenir amenazas , aplicación práctica
414
Inducción y Preparación – Planificación docente con apoyo TIC
CÓDIGO 51
NIVEL INDUCCIÓN Y PREPARACIÓN
COMPONENTE Organización y administración
MÓDULO Planificación docente con apoyo
TIC
ESTRATEGIA DIDÁCTICA Seminario Taller
OBJETIVOS CURRICULARES
 Fomentar la integración de
las TIC en la planificación
educativa docente,
focalizando el contexto y
realidad situacional
INTENCIONES EDUCATIVAS
 Sensibilizar el inicio de una
cultura en el empleo de las
TIC en la planificación de la
gestión docente, para
articular su utilidad en
beneficio del proceso
educativo
NÚMERO DE ASISTENTES
20 (recomendado)
LUGAR
Laboratorio de Informática
ESTRATEGIAS DE
INTERVENCIÓN
Taller, lluvia de ideas, uso de
multimedia, trabajo colaborativo
para obtener productos de
aprendizaje, estudio de casos
RECURSOS
TECNOLÓGICOS: Computador (de
preferencia individual), red interna,
Internet, contenidos digitalizados y
diapositivas del módulo, software y
proyector.
MATERIALES: Pizarra,
marcadores, borrador, hojas en
blanco y lápices.
HUMANOS: Facilitador, Facilitador
Asistente y Participantes.
415
DURACIÓN
2 horas
FACILITADOR Y FACILITADOR
ASISTENTE
Asignados por el Instituto de Post-
Grado
MODALIDAD
Presencial
REQUISITOS PREVIOS
Docente acreditado por la
Universidad de Guayaquil
BLOQUES TEMÁTICOS
CONTENIDOS TIEMPO
Conocimientos TIC de Docentes y
estudiantes
1 hora
Modelo TPACK 1 hora
Cuadro 129 : Módulo Planificación docente con apoyo TIC.
Fuente:Criterio del investigador.
Elaborado por:LSI Jorge Vera Mosquera.
DETALLE DE CONTENIDOS
1. Conocimientos TIC de Docentes y estudiantes
1.1. Identificación y expectativas
1.1.1. Influencia de contexto
1.1.2. Búsqueda de estandarización
1.2. Propiciar entorno TIC de aprendizaje
1.2.1. Proceso educativo centrado en el estudiante
1.3. Capacitación del Docente en apoyo al educando en el uso de la
tecnología.
1.4. Entornos tradicionales y nuevos
1.4.1. Incorporación de nuevas estrategias
1.4.2. Modelos estratégicos para incorporar las TIC
1.4.3. Modelo 1 a 1
1.4.3.1. Concepto
1.4.3.2. Trabajo en el aula
1.4.3.2.1. Modos de trabajo
416
2. Modelo TPACK
2.1. Concepto, características e importancia
2.2. Implementación
2.2.1. Objetivos de aprendizaje
2.2.2. Definir experiencias
2.2.3. Secuenciar actividades
2.2.4. Definir estrategias de evaluación
2.2.5. Seleccionar tecnologías para desarrollar las actividades
417
Inducción y Preparación – Docente siglo 21
CÓDIGO 61
NIVEL INDUCCIÓN Y PREPARACIÓN
COMPONENTE Formación Profesional Docente
MÓDULO Docente siglo 21
ESTRATEGIA DIDÁCTICA Seminario Taller
OBJETIVOS CURRICULARES
 Fomentar en el Docente el
análisis de los fundamentos
del empleo de las TIC en
Educación, para su
comprensión, apropiación y
emprendimiento de
experiencias desde un
punto crítico
INTENCIONES EDUCATIVAS
 Comprender el potencial de
desarrollo de competencias
docentes y de educandos en
el desempeño profesional
que la sociedad actual y
futura demanda
NÚMERO DE ASISTENTES
20 (recomendado)
LUGAR
Laboratorio de Informática
ESTRATEGIAS DE
INTERVENCIÓN
Acción comunicativa-comprensiva,
lluvia de ideas, uso de multimedia,
taller, trabajo colaborativo para
obtener productos de aprendizaje,
plenaria para generar
conclusiones
RECURSOS
TECNOLÓGICOS: Computador (de
preferencia individual), red interna,
Internet, contenidos digitalizados y
diapositivas del módulo, software y
proyector.
MATERIALES: Pizarra,
marcadores, borrador, hojas en
blanco y lápices.
HUMANOS: Facilitador, Facilitador
Asistente y Participantes.
418
DURACIÓN
4 horas
FACILITADOR Y FACILITADOR
ASISTENTE
Asignados por el Instituto de Post-
Grado
MODALIDAD
Presencial
REQUISITOS PREVIOS
Docente acreditado por la
Universidad de Guayaquil
BLOQUES TEMÁTICOS
CONTENIDOS TIEMPO
Educación actual 1 hora
Tecnología Educativa 2 horas
Perfil actual 1 hora
Cuadro 130 : Módulo Docente siglo 21.
Fuente:Criterio del investigador.
Elaborado por:LSI Jorge Vera Mosquera.
DETALLE DE CONTENIDOS
1. Educación actual
1.1. Sociedad del Conocimiento
1.2. Aporte de la UNESCO
1.3. Ser emprendedores
1.4. Edgar Morín y los siete saberes
1.5. Didáctica, práctica y transformación
2. Tecnología Educativa
2.1. Prácticas actuales
2.2. Calidad educativa y tecnología
2.3. La Internet
2.3.1. Concepto, características y servicios
2.3.2. Impacto en la Educación
2.3.3. Servicios y herramientas para uso docente
2.3.3.1. Sitios educativos
2.3.3.2. Herramientas en línea
419
2.3.3.2.1. Administración de contenidos
2.3.3.2.2. Administración de aprendizaje
2.3.3.2.3. Otras herramientas en línea educativas
2.3.3.3. Redes sociales
2.4. Software de producción
2.5. Software para elaborar material didáctico
2.6. Cultural digital educativa
2.6.1. Herramientas locales y en línea para emplear en aula
2.6.2. Proyectos educativos
3. Perfil actual
3.1. Docencia y Docente
3.2. Capacidades y competencias frente a la formación profesional
3.3. Desempeño docente
3.4. Dimensiones del desarrollo profesional
3.5. Alfabetización digital docente y mejora profesional
420
Nivel Inicial – Conocimiento sobre políticas
CÓDIGO 12
NIVEL INICIAL
COMPONENTE Marco regulador en la Universidad
de Guayaquil
MÓDULO Conocimiento sobre políticas
OBJETIVOS CURRICULARES
 Establecer vínculos directos
entre la política educativa
de la Universidad y las
prácticas de aula.
COMPETENCIAS DOCENTES
 Comprender las políticas
educativas de la Universidad
y especificar cómo las
prácticas de aula las
atienden
NÚMERO DE ASISTENTES
20 (recomendado)
LUGAR
Laboratorio de Informática
ESTRATEGIAS DE
INTERVENCIÓN
Acción comunicativa-comprensiva,
uso de multimedia, análisis
individual y grupal de información,
trabajo colaborativo para obtener
productos de aprendizaje, plenaria
para generar conclusiones
RECURSOS
TECNOLÓGICOS: Computador (de
preferencia individual), red interna,
Internet, contenidos digitalizados y
diapositivas del módulo, software y
proyector.
MATERIALES: Pizarra,
marcadores, borrador, hojas en
blanco y lápices.
HUMANOS: Facilitador, Facilitador
Asistente y Participantes.
DURACIÓN
2 horas
FACILITADOR Y FACILITADOR
ASISTENTE
Asignados por el Instituto de Post-
Grado
421
MODALIDAD
Presencial
REQUISITOS PREVIOS
Haber aprobado el nivel de
Inducción y Preparación
BLOQUES TEMÁTICOS
CONTENIDOS TIEMPO
Estatuto Orgánico de la
Universidad de Guayaquil
0,5 hora
Articulación política y aula 1,5 hora
Cuadro 131 : Módulo Conocimiento sobre políticas.
Fuente:Criterio del investigador.
Elaborado por:LSI Jorge Vera Mosquera.
DETALLE DE CONTENIDOS
1. Estatuto Orgánico de la Universidad de Guayaquil
1.1. Misión
1.2. Visión
1.3. Fines
1.4. Tipología
1.5. Políticas y estrategias
2. Articulación política y aula
2.1. Principios orientadores desde el marco político nacional y
universitario
2.2. Líneas estratégicas sugeridas
2.2.1. Incorporación de TIC en contenidos curriculares
2.2.2. Producción de contenidos
2.2.3. Producción de programas
2.2.4. Uso educativo de las TIC
2.2.5. Formación Profesional Docente
2.2.6. Uso de redes
2.2.7. Gestión educativa docente
2.2.8. Sistemas de información en la Universidad
2.2.9. Articulación Universidad y sociedad
422
Nivel Inicial – Conocimientos básicos
CÓDIGO 22
NIVEL INICIAL
COMPONENTE Currículo y evaluación
MÓDULO Conocimientos básicos
OBJETIVOS CURRICULARES
 Comprender las habilidades
y competencias básicas en
TIC necesarias para incluir
en el Curriculum
 Disponer el tiempo
suficiente en las unidades
curriculares o núcleos
temáticos en la asignatura a
cargo como en aquellas que
se relacionen, para
incorporar el recurso TIC
pertinente y la herramienta
de productividad del caso
COMPETENCIAS DOCENTES
 Conocer los estándares del
plan de estudios de sus
asignaturas y los
procedimientos de evaluación
para su planificación
 Integrar el uso de las TIC por
los estudiantes en los
estándares del plan de
estudios para su aplicación y
beneficio educativos
NÚMERO DE ASISTENTES
20 (recomendado)
LUGAR
Laboratorio de Informática
ESTRATEGIAS DE
INTERVENCIÓN
Lluvia de ideas, uso de multimedia,
estudio de casos, trabajo
colaborativo para obtener productos
de aprendizaje, plenaria para
generar conclusiones
RECURSOS
TECNOLÓGICOS: Computador (de
preferencia individual), red interna,
Internet, contenidos digitalizados y
diapositivas del módulo, software y
proyector.
MATERIALES: Pizarra, marcadores,
borrador, hojas en blanco y lápices.
HUMANOS: Facilitador, Facilitador
Asistente y Participantes.
423
DURACIÓN
4 horas
FACILITADOR Y FACILITADOR
ASISTENTE
Asignados por el Instituto de Post-
Grado
MODALIDAD
Presencial
REQUISITOS PREVIOS
Haber aprobado el nivel de Inducción
y Preparación
BLOQUES TEMÁTICOS
CONTENIDOS TIEMPO
Habilidad y competencia TIC 0,5 horas
Herramientas TIC 1 hora
Marco de aplicación, aprendizajes y
competencias
1 hora
Plan de estudios y TIC 1,5 horas
Cuadro 132 : Módulo Conocimientos básicos.
Fuente:Criterio del investigador.
Elaborado por:LSI Jorge Vera Mosquera.
DETALLE DE CONTENIDOS
1. Habilidad y competencia TIC
1.1. Conceptos
1.2. Diferencias
1.3. En el siglo 21
2. Herramientas TIC
2.1. Concepto, características y tipos
2.2. Cómo relacionar TIC, Curriculum y herramienta
3. Marco de aplicación, aprendizajes y competencias
3.1. Ámbitos referenciales
3.2. Estilos de aprendizaje
3.3. Medición de aprendizajes
3.4. Medición de competencias
424
4. Plan de estudios y TIC
4.1. Asignatura y contenidos
4.2. Contenido en base a TIC
4.3. Evaluar conocimiento en base a TIC
425
Nivel Inicial – Integración de la tecnología
CÓDIGO 32
NIVEL INICIAL
COMPONENTE Pedagogía/Andragogía
MÓDULO Integración de la tecnología
OBJETIVOS CURRICULARES
 Integrar las TIC como parte
de las actividades de apoyo
al proceso enseñanza-
aprendizaje u orientación-
aprendizaje en el aula, tanto
a nivel individual como de
grupo
COMPETENCIAS DOCENTES
 Saber dónde, cuándo y
cómo utilizar la tecnología
digital (TIC) en actividades
efectuadas en el aula
NÚMERO DE ASISTENTES
20 (recomendado)
LUGAR
Laboratorio de Informática
ESTRATEGIAS DE
INTERVENCIÓN
Acción comunicativa-comprensiva,
uso de multimedia, estudio de
casos, trabajo colaborativo para
obtener productos de aprendizaje,
plenaria para generar
conclusiones
RECURSOS
TECNOLÓGICOS: Computador (de
preferencia individual), red interna,
Internet, contenidos digitalizados y
diapositivas del módulo, software y
proyector.
MATERIALES: Pizarra,
marcadores, borrador, hojas en
blanco y lápices.
HUMANOS: Facilitador, Facilitador
Asistente y Participantes.
DURACIÓN
10 horas
FACILITADOR Y FACILITADOR
ASISTENTE
Asignados por el Instituto de Post-
Grado
426
MODALIDAD
Presencial
REQUISITOS PREVIOS
Haber aprobado el nivel de
Inducción y Preparación
BLOQUES TEMÁTICOS
CONTENIDOS TIEMPO
Perspectivas educativas 2 horas
Modos de integración en la clase
con equipos y programas
4 horas
Modelos de integración y
planificación
4 horas
Cuadro 133 : Módulo Integración de la tecnología.
Fuente:Criterio del investigador.
Elaborado por:LSI Jorge Vera Mosquera.
DETALLE DE CONTENIDOS
1. Perspectivas educativas
1.1. Influencia de la tecnología
1.2. Qué es y qué no la integración de las TIC
1.3. Cuándo existe integración TIC
1.4. Barreras para la integración TIC
1.5. Cambios de paradigmas
1.6. Metodologías y estrategias didácticas
2. Modos de integración en la clase con equipos y programas
2.1. Modelo TPACK
2.2. Actividades, proyectos y tareas a nivel individual y de grupo
3. Modelos de integración y planificación
3.1. MITICA
427
Nivel Inicial – Herramientas básicas
CÓDIGO 42
NIVEL INICIAL
COMPONENTE Manejo de las TIC
MÓDULO Herramientas básicas de apoyo
OBJETIVOS CURRICULARES
 Usar computadores y
programas de productividad,
entrenamiento, práctica,
tutoriales y contenidos, y
uso de redes con fines de
gestión docente
COMPETENCIAS DOCENTES
 Conocer y aplicar el
funcionamiento básico de
equipos, dispositivos y
programas, software de
productividad, internet,
comunicaciones y
aplicaciones de gestión para
el desempeño docente
NÚMERO DE ASISTENTES
20 (recomendado)
LUGAR
Laboratorio de Informática
ESTRATEGIAS DE
INTERVENCIÓN
Acción comunicativa-comprensiva,
uso de multimedia, habilidades de
aplicación, entrenamiento
sistemático, talleres, solución de
problemas, trabajo colaborativo
para obtener productos de
aprendizaje
RECURSOS
TECNOLÓGICOS: Computador (de
preferencia individual), red interna,
Internet, contenidos digitalizados y
diapositivas del módulo, software y
proyector.
MATERIALES: Pizarra,
marcadores, borrador, hojas en
blanco y lápices.
HUMANOS: Facilitador, Facilitador
Asistente y Participantes.
DURACIÓN
110 horas
FACILITADOR Y FACILITADOR
ASISTENTE
Asignados por el Instituto de Post-
Grado
428
MODALIDAD
Presencial
REQUISITOS PREVIOS
Haber aprobado el nivel de
Inducción y Preparación
BLOQUES TEMÁTICOS
CONTENIDOS TIEMPO
Conocimientos básicos en redes 2 horas
Máquina virtual 2 horas
Office Intermedio 80 horas
Editor gráfico 10 horas
Editor de video 10 horas
Editor de audio 6 horas
Publicación Web 10 horas
Cuadro 134 : Módulo Herramientas básicas de apoyo.
Fuente:Criterio del investigador.
Elaborado por:LSI Jorge Vera Mosquera.
DETALLE DE CONTENIDOS
1. Conocimientos básicos en redes
1.1. Qué es una red informática
1.2. Cómo funciona una red
1.3. Tipos de redes
1.4. Topología
1.4.1. Concepto
1.4.2. Tipos
1.5. Ambiente cliente/servidor
1.6. Internet, protocolos y servicios
1.7. Laboratorio informático educativo
2. Máquina virtual
2.1. Concepto, características e importancia
2.2. Instalación
2.2.1. Versiones
429
2.2.1.1. De pago
2.2.1.2. Gratuitas
2.3. Aplicación con VirtualBox
2.3.1. Instalando un Sistema Operativo
2.3.2. Instalando un software
2.3.3. Mostrar acceso a Internet
3. Office Intermedio
3.1. Procesador de palabras
3.1.1. Personalizar las opciones de Word
3.1.2. Ortografía y gramática
3.1.3. Contador de palabras
3.1.4. Configuración del documento y de página
3.1.4.1. Editar plantillas de documentos
3.1.4.2. Gestión de estilos
3.1.4.3. Encabezados y pies de páginas
3.1.4.4. Gestión de tablas de contenido
3.1.4.5. Notas de pie de página
3.1.4.6. Gestión de índices
3.1.4.7. Manejo de referencias cruzadas y de citas
3.1.4.8. Manejo de comentarios
3.1.4.9. Saltos y secciones del documento
3.1.4.10. Numeración de páginas
3.1.5. Manejo de listas, tablas y gráficos
3.1.6. Viñetas y numeración
3.1.7. Aplicaciones prácticas
3.2. Hoja electrónica
3.2.1. Uso de plantillas
3.2.2. Filtro de datos
3.2.3. Validación de datos
3.2.4. Generación de gráficos
3.2.5. Funciones
430
3.2.5.1. Tipos
3.2.6. Base de datos
3.2.6.1. Creación
3.2.6.2. Manipulación
3.2.6.3. Funciones
3.2.7. Importación/exportación de datos
3.2.8. Tablas dinámicas y análisis de datos
3.2.9. Formularios
3.2.9.1. Diseño
3.2.9.2. Creación
3.2.9.3. Controles
3.2.10. Aplicaciones prácticas
3.3. Presentador
3.3.1. Grabado automático de la presentación
3.3.2. Estructurando la presentación
3.3.2.1. Patrón de diapositivas
3.3.2.2. Patrón de notas
3.3.2.3. Personalizando colores
3.3.3. Manejo de objetos
3.3.4. Manejo de multimedia
3.3.5. Uso de enlaces y botones
3.3.6. Uso de SmartArt
3.3.7. Animación y transiciones
3.3.8. Temporización de presentación
3.3.9. Diseño de presentación portátil
3.3.10. Convertir a video la presentación
3.3.11. Exportar/importar la presentación
3.3.12. La presentación en Internet
3.3.13. Imprimir presentación
3.3.14. Aplicaciones prácticas
3.4. Base de datos
431
3.4.1. Formularios
3.4.1.1. ¿En qué consiste?
3.4.1.2. Pestaña
3.4.1.3. Creación
3.4.1.3.1. Auto
3.4.1.3.2. Manual
3.4.1.4. Edición de datos
3.4.1.5. Desplazamiento
3.4.1.6. Vista diseño
3.4.1.7. Temas
3.4.1.8. Tipos
3.4.1.9. Controles
3.4.1.10. Sub-Formularios
3.4.1.11. Trabajar con controles
3.4.2. Informes
3.4.2.1. ¿En qué consiste?
3.4.2.2. Pestaña
3.4.2.3. Creación
3.4.2.3.1. Auto
3.4.2.3.2. Manual
3.4.2.4. Tipos
3.4.2.5. Subinformes
3.4.2.6. Controles
3.4.2.7. Agrupar y ordenar
3.4.2.8. Vista preliminar
3.4.2.9. Impresión
3.4.3. Consultas
3.4.3.1. Por tipo
3.4.4. Manejo de filtros y condiciones
3.4.5. Controles de formulario e informe
3.4.5.1. Tipos
432
3.4.6. Macros
3.4.6.1. Introducción
3.4.6.2. Creación
3.4.6.3. Flujo de programa
3.4.6.4. Acciones y tipos
3.4.7. Importar/exportar datos
3.4.8. Aplicaciones prácticas
4. Editor gráfico
4.1. Concepto, características e importancia
4.2. Software libre y de pago
4.2.1. Gimp
4.2.1.1. La imagen digital
4.2.1.2. Formatos de imágenes
4.2.1.3. Buscando imágenes
4.2.1.4. Herramientas
4.2.1.4.1. De selección
4.2.1.4.2. Transformación
4.2.1.4.3. De pintar
4.2.1.4.4. Texto
4.2.1.4.5. Ajustes
4.2.1.5. Capas y texto
4.2.1.6. Máscaras y selecciones
4.2.1.7. Colores
4.2.1.8. Filtros
4.2.1.9. Script-Fu
4.2.1.10. Rutas y complementos
4.2.2. Aplicación práctica
5. Editor de video
5.1. Concepto, características e importancia
5.2. Software de pago y libre
5.3. Windows Movie Maker
433
5.3.1. Organizando el material en la computadora
5.3.1.1. Carpetas
5.3.1.2. Importación de archivos
5.3.2. Captura de video
5.3.3. Creando el proyecto
5.3.4. Zonas de trabajo
5.3.4.1. Manejo
5.3.5. Efectos
5.3.6. Línea de tiempo
5.3.7. Transiciones
5.3.8. Rótulos
5.3.9. Color
5.3.10. Sonido
5.3.11. Grabación de video
5.3.12. Aplicación práctica
5.4. Camtasia
5.4.1. Planificación inicial
5.4.2. Elementos de la pantalla
5.4.3. Cómo capturar video
5.4.4. Trabajando con el editor
5.4.5. Línea de tiempo
5.4.6. Foco y zoom
5.4.7. Animación
5.4.8. Producción y publicación
5.4.8.1. Detalles
5.4.9. Aplicación práctica
6. Editor de Audio
6.1. Concepto, características e importancia
6.2. Software de pago y libre
6.3. Audacity
6.3.1. ¿Qué se puede hacer?
434
6.3.2. ¿Cómo trabaja?
6.3.3. Grabando
6.3.4. Importar/exportar archivos
6.3.5. Edición
6.3.6. Efectos
6.3.7. Calidad de sonido
6.3.8. Complementos
6.4. Aplicaciones prácticas
7. Publicación Web
7.1. Qué es
7.2. Para publicar un sitio web se necesita
7.2.1. Requisitos
7.2.2. Sitios para publicar Web
7.2.2.1. Gratuitos
7.2.2.2. De pago
7.2.3. Aplicaciones FTP
7.2.3.1. Locales
7.2.3.2. En línea
7.3. Estructura Web
7.3.1. Sitio, página y elementos
7.3.2. Sitio Web para asignatura
7.3.2.1. Dominio y subdominio
7.3.2.2. Conocimientos y herramientas web complementarios
7.3.2.2.1. Contadores
7.3.2.2.2. Formularios
7.3.2.2.3. Restricciones
7.3.2.2.4. Bases en HTML
7.3.2.2.5. Plug-Ins
7.3.2.2.6. Herramientas auxiliares web en línea
7.3.2.3. Aplicación práctica
435
Nivel Inicial – Aula tradicional
CÓDIGO 52
NIVEL INICIAL
COMPONENTE Organización y administración
MÓDULO Aula tradicional
OBJETIVOS CURRICULARES
 Organizar los recursos
tecnológicos disponibles en
el aula y/o laboratorio en
función de su espacio
COMPETENCIAS DOCENTES
 Utilizar las TIC en clase con
todos los estudiantes,
organizándolos en
pequeños grupos y de
manera individual,
garantizando el acceso
equitativo al uso de las TIC
para beneficio educativo de
los mismos
NÚMERO DE ASISTENTES
20 (recomendado)
LUGAR
Laboratorio de Informática
ESTRATEGIAS DE
INTERVENCIÓN
Taller, lluvia de ideas, uso de
multimedia, trabajo colaborativo
para obtener productos de
aprendizaje, estudio de casos
RECURSOS
TECNOLÓGICOS: Computador (de
preferencia individual), red interna,
Internet, contenidos digitalizados y
diapositivas del módulo, software y
proyector.
MATERIALES: Pizarra,
marcadores, borrador, hojas en
blanco y lápices.
HUMANOS: Facilitador, Facilitador
Asistente y Participantes.
436
DURACIÓN
3 horas
FACILITADOR Y FACILITADOR
ASISTENTE
Asignados por el Instituto de Post-
Grado
MODALIDAD
Presencial
REQUISITOS PREVIOS
Haber aprobado el nivel de
Inducción y Preparación
BLOQUES TEMÁTICOS
CONTENIDOS TIEMPO
El aula tradicional 0,5 hora
Modelo constructivista 0,5 hora
Dificultades para implementar las
TIC
2 horas
Cuadro 135 : Módulo Organización y administración.
Fuente:Criterio del investigador.
Elaborado por:LSI Jorge Vera Mosquera.
DETALLE DE CONTENIDOS
1. El aula tradicional
1.1. Características
1.2. Modelo de transmisión
2. Modelo constructivista
2.1. Características
2.2. Revisión de teorías
3. Dificultades para implementar las TIC
3.1. Puntos referenciales de dificultad
3.2. El aprendizaje informal
3.2.1. Conectivismo
3.2.2. Ambiente personal de aprendizaje
3.2.2.1. Ambiente de aprendizaje social
3.2.3. Sistemas administradores de aprendizaje
437
3.3. Actividades que necesitan de las TIC
3.4. La escuela digital
3.5. El ambiente de aprendizaje
3.5.1. Características
3.5.2. La participación estudiantil
3.5.2.1. Aporte individual
3.5.2.2. Aprendizaje colaborativo y cooperativo
3.5.3. Rol del Docente
3.5.3.1. Nueva definición
3.5.3.2. TIC como aliado
3.5.4. Organización del aula
3.5.4.1. No perder el sentido pedagógico/andragógico
3.5.4.2. Espacial
3.5.4.2.1. Tradicional
3.5.4.2.2. Activa
3.5.4.3. Interactiva
3.5.4.4. Integrar la práctica tradicional con la digital
3.5.4.5. Objetivos transversales
3.5.4.6. Potenciar al estudiante del siglo 21
3.5.4.7. Enseñando a navegar en Internet
3.5.5. Evaluación
438
Nivel Inicial – Alfabetización digital
CÓDIGO 62
NIVEL INICIAL
COMPONENTE Formación profesional docente
MÓDULO Alfabetización digital
OBJETIVOS CURRICULARES
 Fomentar el desarrollo de la
alfabetización digital y la
utilización de las TIC para el
mejoramiento profesional
COMPETENCIAS DOCENTES
 Hacer uso de las TIC para la
adquisición de
conocimientos
complementarios sobre sus
asignaturas, que contribuya
a su desarrollo profesional
NÚMERO DE ASISTENTES
20 (recomendado)
LUGAR
Laboratorio de Informática
ESTRATEGIAS DE
INTERVENCIÓN
Acción comunicativa-comprensiva,
lluvia de ideas, uso de multimedia,
taller, trabajo colaborativo para
obtener productos de aprendizaje,
plenaria para generar
conclusiones
RECURSOS
TECNOLÓGICOS: Computador (de
preferencia individual), red interna,
Internet, contenidos digitalizados y
diapositivas del módulo, software y
proyector.
MATERIALES: Pizarra,
marcadores, borrador, hojas en
blanco y lápices.
HUMANOS: Facilitador, Facilitador
Asistente y Participantes.
DURACIÓN
2 horas
FACILITADOR Y FACILITADOR
ASISTENTE
Asignados por el Instituto de Post-
Grado
439
MODALIDAD
Presencial
REQUISITOS PREVIOS
Haber aprobado el nivel de
Inducción y Preparación
BLOQUES TEMÁTICOS
CONTENIDOS TIEMPO
¿Qué es la Alfabetización Digital? 2 horas
Cuadro 136 : Módulo Alfabetización digital.
Fuente:Criterio del investigador.
Elaborado por:LSI Jorge Vera Mosquera.
DETALLE DE CONTENIDOS
1. ¿Qué es la Alfabetización Digital?
1.1. Concepto, características e importancia
1.2. Razones pedagógicas y andragógicas
1.3. Brecha digital
1.4. La alfabetización múltiple
1.5. Necesidad en el proceso enseñanza-aprendizaje
1.5.1. Razones
1.5.2. Contexto educativo y gestión del Docente
1.5.3. Apropiación crítica en el Curriculum
1.6. Competencias docentes en el manejo de las TIC
1.7. Niveles
1.8. Aplicaciones de programas y equipos
1.8.1. A nivel local
1.8.2. A nivel de red
440
Nivel Intermedio – Conocimiento de las políticas
CÓDIGO 13
NIVEL INTERMEDIO
COMPONENTE Marco regulador en la Universidad
de Guayaquil
MÓDULO Conocimiento de las políticas
OBJETIVOS CURRICULARES
 Entender políticas para
planificar implementando
políticas de la Universidad
con enfoque nacional y
orientado a problemas de
alta prioridad
COMPETENCIAS DOCENTES
 Conocer con profundidad las
políticas educativas de la
Universidad con enfoque
nacional y las prioridades
sociales, para atender y
orientar acciones de aula
 Definir, modificar y aplicar
prácticas pedagógicas y/o
andragógicas que respalden
dichas políticas para el
beneficio de los educandos
NÚMERO DE ASISTENTES
20 (recomendado)
LUGAR
Laboratorio de Informática
ESTRATEGIAS DE
INTERVENCIÓN
Acción comunicativa-comprensiva,
uso de multimedia, trabajo
colaborativo para obtener
productos de aprendizaje, elaborar
proyectos
RECURSOS
TECNOLÓGICOS: Computador (de
preferencia individual), red interna,
Internet, contenidos digitalizados y
diapositivas del módulo, software y
proyector.
MATERIALES: Pizarra,
marcadores, borrador, hojas en
blanco y lápices.
HUMANOS: Facilitador, Facilitador
Asistente y Participantes.
441
DURACIÓN
4 horas
FACILITADOR Y FACILITADOR
ASISTENTE
Asignados por el Instituto de Post-
Grado
MODALIDAD
Presencial
REQUISITOS PREVIOS
Haber aprobado el nivel Inicial
BLOQUES TEMÁTICOS
CONTENIDOS TIEMPO
Actualidad nacional y problemas
sociales
1 hora
Prácticas educativas que
contribuyan a la solución
3 horas
Cuadro 137 : Módulo Conocimiento de las políticas.
Fuente:Criterio del investigador.
Elaborado por:LSI Jorge Vera Mosquera.
DETALLE DE CONTENIDOS
1. Actualidad nacional y problemas sociales
1.1. Diagnóstico
1.2. La Universidad ante la problemática
1.2.1. Proyectos, programas de atención
2. Prácticas educativas que contribuyan a la solución
2.1. Diseño de unidades curriculares y/o núcleos temáticos
2.2. Proyectos educativos
442
Nivel Intermedio – Aplicación del Conocimiento
CÓDIGO 23
NIVEL INTERMEDIO
COMPONENTE Currículo y evaluación
MÓDULO Aplicación del Conocimiento
OBJETIVOS CURRICULARES
 Aplicar cambios en el
currículum enfatizando la
profundidad del contenido para
incrementar la fortaleza de
conocimientos
 Evaluar centrándose en la
evaluación de lo comprendido
en problemas de la realidad,
para solucionar problemas
complejos
 Integrar la evaluación
permanentemente en las
actividades regulares del
proceso educativo para
fortalecer los conocimientos
COMPETENCIAS DOCENTES
 Conocer con profundidad su
asignatura y aplicarla de
manera flexible en diversas
situaciones
 Plantear problemas complejos
para medir el grado de
comprensión de los estudiantes
NÚMERO DE ASISTENTES
20 (recomendado)
LUGAR
Laboratorio de Informática
ESTRATEGIAS DE INTERVENCIÓN
Lluvia de ideas, uso de multimedia,
estudio de casos, trabajo colaborativo
para obtener productos de
aprendizaje, plenaria para generar
conclusiones
RECURSOS
TECNOLÓGICOS: Computador (de
preferencia individual), red interna,
Internet, contenidos digitalizados y
diapositivas del módulo, software y
proyector.
MATERIALES: Pizarra, marcadores,
borrador, hojas en blanco y lápices.
HUMANOS: Facilitador, Facilitador
Asistente y Participantes.
443
DURACIÓN
5 horas
FACILITADOR Y FACILITADOR
ASISTENTE
Asignados por el Instituto de Post-
Grado
MODALIDAD
Presencial
REQUISITOS PREVIOS
Haber aprobado el nivel Inicial
BLOQUES TEMÁTICOS
CONTENIDOS TIEMPO
La Sociedad del Conocimiento 1 hora
Curriculum Bi-Modal 1 hora
Informática Educativa en las áreas
del conocimiento
3 horas
Cuadro 138 : Módulo Aplicación delConocimiento.
Fuente:Criterio del investigador.
Elaborado por:LSI Jorge Vera Mosquera.
DETALLE DE CONTENIDOS
1. La Sociedad del Conocimiento
1.1. Concepto, características, importancia
1.2. Las TIC y el conocimiento
1.2.1. Gestión
1.2.2. Y la Educación
1.2.2.1. Nuevos planteamientos educativos
2. Curriculum Bi-Modal
2.1. Aporte Pere Marqués
2.1.1. Saber hacer
2.1.2. Memorizar
2.1.3. Principios
2.1.4. Nueva cultura
2.1.5. La Educación integral
3. Informática Educativa en las áreas del conocimiento
3.1. Saberes según la UNESCO
444
3.2. Intervención de la Informática Educativa
3.2.1. Integrando TIC al Curriculum
3.2.1.1. Experimentando con TIC
3.2.1.2. Teorías educativas al aplicar TIC
3.2.1.3. La tecnología como apoyo en el proceso de
aprendizaje
3.2.1.3.1. Espacios de apoyo
3.2.1.3.1.1. Herramientas
3.2.1.3.1.2. Contenidos curriculares y complejidad de
problemas
3.2.1.3.1.3. La evaluación
445
Nivel Intermedio – Resolución de problemas complejos
CÓDIGO 33
NIVEL INTERMEDIO
COMPONENTE Pedagogía/Andragogía
MÓDULO Resolución de problemas complejos
OBJETIVOS CURRICULARES
 Comprender el aprendizaje
colaborativo y el aprendizaje
basado en problemas y
proyectos, donde el
estudiante examine a fondo
un tema, utilizando sus
conocimientos para
responder a los
requerimientos del caso
COMPETENCIAS DOCENTES
 Estructurar tareas, guiar la
comprensión y apoyar los
proyectos colaborativos de los
estudiantes para solucionar
problemas de requerimiento
de grupo
 Ayudar a los estudiantes a
generar, implementar y
monitorear, propuestas de
proyectos y sus soluciones
para resolver problemas
planteados de grupo
NÚMERO DE ASISTENTES
20 (recomendado)
LUGAR
Laboratorio de Informática
ESTRATEGIAS DE
INTERVENCIÓN
Acción comunicativa-comprensiva,
uso de multimedia, estudio de
casos, trabajo colaborativo para
obtener productos de aprendizaje,
plenaria para generar conclusiones
RECURSOS
TECNOLÓGICOS: Computador (de
preferencia individual), red interna,
Internet, contenidos digitalizados y
diapositivas del módulo, software y
proyector.
MATERIALES: Pizarra, marcadores,
borrador, hojas en blanco y lápices.
HUMANOS: Facilitador, Facilitador
Asistente y Participantes.
446
DURACIÓN
4 horas
FACILITADOR Y FACILITADOR
ASISTENTE
Asignados por el Instituto de Post-
Grado
MODALIDAD
Presencial
REQUISITOS PREVIOS
Haber aprobado el nivel Inicial
BLOQUES TEMÁTICOS
CONTENIDOS TIEMPO
Las TIC como apoyo al proceso
cognitivo
1 hora
Manejo de la información por parte
del educando
1 hora
Estrategias didácticas y cambios
en la metodología
2 horas
Cuadro 139 : Módulo Resolución de problemas complejos.
Fuente:Criterio del investigador.
Elaborado por:LSI Jorge Vera Mosquera.
DETALLE DE CONTENIDOS
1. Las TIC como apoyo al proceso cognitivo
1.1. El proceso cognitivo en el aprendizaje
1.2. Aporte del constructivismo
1.3. Herramientas de representación del conocimiento
1.3.1. Software local y en línea
1.4. La Infopedagogía
2. Manejo de la información por parte del educando
2.1.1. Pensar
2.1.2. Almacenar
2.1.3. Organizar
2.1.4. Transformar para obtener un producto
3. Estrategias didácticas y cambios en la metodología
447
3.1.1. Organización
3.1.1.1. Aprendizaje
3.1.1.1.1. Colaborativo
3.1.1.1.2. Cooperativo
3.1.1.1.3. Resolución de Problemas
3.1.1.1.4. En proyectos
3.1.1.2. Plataformas tecnológicas
448
Nivel Intermedio – Herramientas complejas
CÓDIGO 43
NIVEL INTERMEDIO
COMPONENTE Manejo de las TIC
MÓDULO Herramientas complejas
OBJETIVOS CURRICULARES
 Utilizar herramientas TIC no
lineales y específicas de un
área académica, para su
aplicación en la solución de
problemas
COMPETENCIAS DOCENTES
 Conocer varias aplicaciones y
herramientas y utilizarlas con
flexibilidad en diferentes
situaciones basadas en
problemas y proyectos
 Utilizar redes de recursos para
ayudar a los estudiantes a
colaborar y acceder a la
información y comunicarse con
expertos externos para analizar
y resolver problemas
 Utilizar las TIC para crear y
supervisar proyectos de clase,
individuales o grupales, de los
estudiantes
NÚMERO DE ASISTENTES
20 (recomendado)
LUGAR
Laboratorio de Informática
ESTRATEGIAS DE INTERVENCIÓN
Acción comunicativa-comprensiva,
uso de multimedia, habilidades de
aplicación, entrenamiento
sistemático, talleres, solución de
problemas, trabajo colaborativo para
obtener productos de aprendizaje
RECURSOS
TECNOLÓGICOS: Computador (de
preferencia individual), red interna,
Internet, contenidos digitalizados y
diapositivas del módulo, software y
proyector.
MATERIALES: Pizarra, marcadores,
borrador, hojas en blanco y lápices.
HUMANOS: Facilitador, Facilitador
Asistente y Participantes.
449
DURACIÓN
100 horas
FACILITADOR Y FACILITADOR
ASISTENTE
Asignados por el Instituto de Post-
Grado
MODALIDAD
Presencial
REQUISITOS PREVIOS
Haber aprobado el nivel Inicial
BLOQUES TEMÁTICOS
CONTENIDOS TIEMPO
Office Avanzado 40 horas
Docente 2.0 55 horas
Herramientas por Área académica 5 horas
Cuadro 140 : Herramientas complejas.
Fuente:Criterio del investigador.
Elaborado por:LSI Jorge Vera Mosquera.
DETALLE DE CONTENIDOS
1. Office Avanzado
1.1. Procesador de palabras
1.1.1. Uso avanzado de columnas
1.1.2. Sinónimos
1.1.3. Diccionario
1.1.4. Autocorrección
1.1.5. Manejar formularios
1.1.6. Manejar correspondencia
1.1.7. Inserción y manipulación de gráficos
1.1.8. Edición de rótulos
1.1.9. WordArt
1.1.10. SmartArt
1.1.11. Hipervínculos
1.1.12. Importación y exportación de documentos
1.1.13. Formatos posibles de lectura y grabación
1.1.14. Compartir documentos
1.1.15. Añadir objetos
450
1.1.16. Gráfico de datos
1.1.17. Gestión de la vista del documento
1.1.18. Aplicando expresiones matemáticas
1.1.19. Aplicaciones prácticas
1.2. Hoja electrónica
1.2.1. Funciones avanzadas
1.2.1.1. Uso
1.2.1.2. Funciones anidadas
1.2.1.3. Validaciones simples y complejas
1.2.1.3.1. Formatos condicionales
1.2.1.3.2. Criterios personalizados
1.2.2. Personalizar gráficos y formularios
1.2.3. Trabajar con múltiples hojas
1.2.4. Trabajar con múltiples libros
1.2.5. Macros
1.2.5.1. Concepto y utilidad
1.2.5.2. Elementales
1.2.6. Hoja electrónica en la Web
1.2.7. Aplicaciones prácticas
2. Docente 2.0
2.1. Herramientas Google
2.1.1. Concepto, características e importancia
2.1.2. Procesador de palabras
2.1.3. Hoja electrónica
2.1.4. Presentador
2.1.5. Correo electrónico
2.1.6. Agenda, calendario
2.1.7. Formularios
2.1.8. Dibujos
2.1.9. Blog
2.1.10. Reader
451
2.1.11. YouTube
2.1.12. Imágenes
2.1.13. Otras aplicaciones a conectar
2.1.14. Sitios similares
2.1.14.1. A modo global
2.1.14.2. A modo parcial
2.1.15. Compartir en línea
2.1.16. Aplicación práctica
2.2. Office App
2.2.1. Word
2.2.2. Excel
2.2.3. Powerpoint
2.2.4. Outlook
2.2.5. Compartir en línea
2.2.6. Aplicación práctica
2.3. Blogs
2.3.1. Concepto, características e importancia
2.3.2. Modo de trabajo
2.3.2.1. Front end
2.3.2.2. Back end
2.3.3. Blogfesor
2.3.4. Sitios en Internet referenciales
2.3.4.1. http://wordpress.com
2.3.4.2. http://blogger.com
2.3.5. Aplicación práctica
2.4. Marcadores sociales
2.4.1. Concepto, características e importancia
2.4.2. Modo de trabajo
2.4.3. Sitios en Internet referenciales
2.4.3.1. http://delicious.com
2.4.3.2. http://digg.com/
452
2.4.3.3. http://storify.com/
2.4.4. Aplicación práctica
2.5. Foros
2.5.1. Concepto, características e importancia
2.5.2. Modo de trabajo
2.5.3. Sitios en Internet referenciales
2.5.3.1. http://foroactivo.com
2.5.3.2. http://creatuforo.com
2.5.4. Aplicación práctica
2.6. Wiki
2.6.1. Concepto, características e importancia
2.6.2. Modo de trabajo
2.6.3. Sitios en Internet referenciales
2.6.3.1. http://wikispaces.com
2.6.3.2. http://wikia.com
2.6.4. Aplicación práctica
2.7. Webquest
2.7.1. Concepto, características e importancia
2.7.2. Modo de trabajo
2.7.3. Sitios en Internet referenciales
2.7.3.1. http://webquest.com
2.7.3.2. http://zunal.com
2.7.4. Aplicación práctica
2.8. Presentadores
2.8.1. Concepto, características e importancia
2.8.2. Modo de trabajo
2.8.3. Sitios en Internet referenciales
2.8.3.1. http://slideshare.net
2.8.3.2. http://sliderocket.com
2.8.3.3. http://slideboom.com
2.8.3.4. http://prezi.com
453
2.8.4. Aplicación práctica
2.9. Encuestas
2.9.1. Concepto, características e importancia
2.9.2. Modo de trabajo
2.9.3. Sitios en Internet referenciales
2.9.3.1. Google Drive
2.9.3.2. http://encuestafacil.com
2.9.3.3. http://tusencuestas.com
2.9.4. Aplicación práctica
2.10. Intercambios de archivos en línea
2.10.1. Concepto, características e importancia
2.10.2. Modo de trabajo
2.10.3. Sitios en Internet referenciales
2.10.3.1. http://dropbox.com
2.10.3.2. http://4shared.com
2.10.3.3. http://mediafire.com
2.10.4. Aplicación práctica
2.11. Diseño de Imagen
2.11.1. Concepto, características e importancia
2.11.2. Modo de trabajo
2.11.3. Sitios en Internet referenciales
2.11.3.1. http://pixrl.com
2.11.3.2. http://lunapic.com
2.11.3.3. http://splashup.com
2.11.4. Aplicación práctica
2.12. Álbum digitales
2.12.1. Concepto, características e importancia
2.12.2. Modo de trabajo
2.12.3. Sitios en Internet referenciales
2.12.3.1. http://mialbum.es
2.12.3.2. http://flickr.com
454
2.12.4. Aplicación práctica
2.13. Murales
2.13.1. Concepto, características e importancia
2.13.2. Modo de trabajo
2.13.3. Sitios en Internet referenciales
2.13.3.1. http://glogster.com
2.13.3.2. http://beta.mural.ly
2.13.4. Aplicación práctica
2.14. Reuniones On line
2.14.1. Concepto, características e importancia
2.14.2. Modo de trabajo
2.14.2.1. Sitios en Internet referenciales
2.14.2.1.1. http://skype.com
2.14.2.1.2. http://meetin.gs
2.14.2.1.3. http://meetingburner.com
2.14.2.2. Aplicación práctica
2.15. Pantalla compartida
2.15.1. Concepto, características e importancia
2.15.2. Modo de trabajo
2.15.2.1. Sitios en Internet/Software referenciales
2.15.2.1.1. https://join.me/
2.15.2.1.2. http://www.skype.com
2.15.2.1.3. Multiviewer
2.15.3. Aplicación práctica
2.16. Pizarra en línea
2.16.1. Sitios en Internet referenciales
2.16.1.1. http://scriblink.com
2.16.1.2. http://awwapp.com
2.16.2. Aplicación práctica
2.17. Líneas de tiempo
2.17.1. Sitios en Internet referenciales
455
2.17.1.1. http://timetoast.com
2.17.1.2. http://dipity.com
2.17.2. Aplicación práctica
2.18. Descubrimiento de plagio
2.18.1. Concepto, características e importancia
2.18.2. Modo de trabajo
2.18.3. Sitios en Internet referenciales
2.18.3.1. http://scanmyessay.com
2.18.3.2. http://plagiarism-detect.com
2.18.3.3. http://duplichecker.com
2.18.3.4. http://plagium.com
2.18.4. Aplicación práctica
2.19. Lifestream
2.19.1. Concepto, características e importancia
2.19.2. Modo de trabajo
2.19.3. Sitios en Internet referenciales
2.19.3.1. http://friendfeed.com
2.19.3.2. http://flavors.me
2.19.4. Aplicación práctica
2.20. Redes sociales
2.20.1. Más usadas
2.20.1.1. Cómo usar en Educación
2.20.1.1.1. http://facebook.com
2.20.1.1.2. http://twitter.com
2.20.1.1.3. Aplicación práctica
2.20.2. Otras
2.20.2.1. http://ning.com
2.20.2.2. http://edmodo.com
2.20.2.3. http://twiducate.com
2.20.2.4. Aplicación práctica
2.21. Herramientas de referencia para apoyo académico
456
2.21.1. Manuales, tutoriales
2.21.1.1. Sitios en Internet referenciales
2.21.1.1.1. http://illasaron.com
2.21.1.1.2. http://tutorial-lab.com
2.21.1.1.3. http://aulaclic.es
2.21.2. Diccionarios
2.21.2.1. Sitios en Internet referenciales
2.21.2.2. http://rae.es
2.21.2.3. http://diccionarios.com
2.21.3. Enciclopedias
2.21.3.1. Sitios en Internet referenciales
2.21.3.1.1. http://wikipedia.org
2.21.3.1.2. http://britannica.es
2.21.4. Bibliotecas
2.21.4.1. Sitios en Internet referenciales
2.21.4.1.1. http://bdl.org/es
2.21.4.1.2. http://bibliotecas.csic.es
2.21.4.1.3. http://bibliotecadigitalhispanica.bne.es
2.21.5. Bases de datos de conocimiento
2.21.5.1. Sitios en Internet referenciales
2.21.5.1.1. http://rima.org
2.21.5.1.2. http://bdcol.org
2.21.5.1.3. http://bibliotecasdelecuador.com
2.22. Animación y comics
2.22.1. Concepto, características e importancia
2.22.2. Modo de trabajo
2.22.3. Sitios en Internet referenciales
2.22.3.1. http://www.pixton.com
2.22.3.2. http://www.goanimate.com
2.22.4. Aplicación práctica
2.23. Audio
457
2.23.1. Concepto, características e importancia
2.23.2. Modo de trabajo
2.23.3. Sitios en Internet referenciales
2.23.3.1. http://filelab.com
2.23.3.2. http://audioexpert.com
2.23.4. Software
2.23.4.1. Audacity
2.23.4.2. Free Audio Editor
2.23.5. Aplicación práctica
2.24. Mundos virtuales
2.24.1. Concepto, características e importancia
2.24.2. Modo de trabajo
2.24.2.1. Second Life
2.24.2.2. Posibilidades educativas
2.24.3. Sitios en Internet referenciales
2.24.3.1. Xbox Microsoft
2.24.3.2. Sloodle
2.24.4. Aplicación práctica
2.25. Antivirus en línea
2.25.1. Sitios en Internet referenciales
2.25.1.1. http://www.eset-la.com/online-scanner
2.25.1.2. http://www.zonavirus.com/antivirus-on-line/
2.25.2. Aplicación práctica
2.26. Publicaciones
2.26.1. Concepto, características e importancia
2.26.2. Sitios en Internet referenciales
2.26.2.1. http://calameo.com
2.26.2.2. http://scribd.com
2.26.2.3. http://tikatok.com
2.26.3. Aplicación práctica
2.27. Mapas conceptuales
458
2.27.1. Sitios en Internet referenciales
2.27.1.1. http://bubbl.us
2.27.1.2. http://popplet.com
2.27.2. Aplicación práctica
2.28. Mapas mentales
2.28.1. Sitios en Internet referenciales
2.28.1.1. http://mindmeister.com
2.28.1.2. http://mindomo.com
2.28.2. Aplicación práctica
2.29. Convertidores de formatos de archivos
2.29.1. Sitios en Internet referenciales
2.29.1.1. http://audio.online-convert.com
2.29.1.2. http://www.online-convert.com/es
2.29.2. Aplicación práctica
2.30. Mapas API (Google Maps)
2.30.1. Características
2.30.2. Como actividad didáctica
2.30.3. ¿Cómo utilizarlo?
2.30.4. Aplicación práctica
2.31. P2P
2.31.1. Concepto, características e importancia
2.31.1.1. Software
2.31.1.1.1. Ares Galaxy
2.31.1.1.2. Emule
2.31.1.1.3. UTorrent
2.31.1.2. Aplicación práctica
2.32. Boletines
2.32.1. Concepto, características e importancia
2.32.2. Sitios en Internet referenciales
2.32.2.1. http://tinyletter.com/
2.32.2.2. http://tackk.com/
459
2.32.3. Aplicación práctica
3. Herramientas por Área académica
3.1. Estudio y análisis
3.1.1. Configuración de casos
3.2. Herramientas a emplear
3.3. Desarrollo y aplicación
3.3.1. Configurar cómo aplicar
460
Nivel Intermedio – Grupos colaborativos
CÓDIGO 53
NIVEL INTERMEDIO
COMPONENTE Organización y administración
MÓDULO Grupos colaborativos
OBJETIVOS CURRICULARES
 Facilitar el trabajo
colaborativo considerando
las estructuras de clase,
duración de horas-clase y la
demanda de tiempo
extracurricular de trabajos
de grupo para el desarrollo
de conocimientos
COMPETENCIAS DOCENTES
 Generar ambientes de
aprendizaje flexibles en las
aulas, integrando actividades
centradas en el estudiante,
aplicando con flexibilidad las
TIC con el fin de respaldar la
colaboración
NÚMERO DE ASISTENTES
20 (recomendado)
LUGAR
Laboratorio de Informática
ESTRATEGIAS DE
INTERVENCIÓN
Taller, lluvia de ideas, uso de
multimedia, trabajo colaborativo
para obtener productos de
aprendizaje, estudio de casos
RECURSOS
TECNOLÓGICOS: Computador (de
preferencia individual), red interna,
Internet, contenidos digitalizados y
diapositivas del módulo, software y
proyector.
MATERIALES: Pizarra,
marcadores, borrador, hojas en
blanco y lápices.
HUMANOS: Facilitador, Facilitador
Asistente y Participantes.
DURACIÓN
3 horas
FACILITADOR Y FACILITADOR
ASISTENTE
Asignados por el Instituto de Post-
Grado
461
MODALIDAD
Presencial
REQUISITOS PREVIOS
Haber aprobado el nivel Inicial
BLOQUES TEMÁTICOS
CONTENIDOS TIEMPO
Aprendizaje colaborativo y
aprendizaje cooperativo
1 hora
Aplicaciones 2 horas
Cuadro 141 : Módulo Grupos colaborativos.
Fuente:Criterio del investigador.
Elaborado por:LSI Jorge Vera Mosquera.
DETALLE DE CONTENIDOS
1. Aprendizaje colaborativo y aprendizaje cooperativo
1.1. Teorías educativas
1.2. Entendiendo
1.3. Diferencias
1.4. Elementos
1.5. Responsabilidades del Docente
1.6. Responsabilidades del estudiante
1.7. En la Educación a distancia
1.7.1. Preámbulo
1.7.2. Factores a considerar
1.8. Preparación
2. Aplicaciones
2.1. Actividades motivantes
2.2. Rol del Docente
2.3. Clasificación
2.3.1. Por tipo
2.3.2. Básicas
2.3.2.1. Comunicación
2.3.2.2. Conferencia
462
2.3.2.3. Gestión
2.3.2.4. Entornos integrados
2.4. Evaluación
2.4.1. Criterios
2.4.2. Herramientas
463
Nivel Intermedio – Gestionar y guiar
CÓDIGO 63
NIVEL INTERMEDIO
COMPONENTE Formación Profesional Docente
MÓDULO Gestionar y guiar
OBJETIVOS CURRICULARES
 Fundamentar y potenciar la
utilización docente de las
TIC para encaminar a los
aprendices en la solución de
problemas complejos y la
gestión de entornos de
aprendizaje dinámicos
COMPETENCIAS DOCENTES
 Crear proyectos complejos,
colaborar con otros
Docentes y hacer uso de
redes para acceder a
información, a colegas y
expertos externos, con el fin
de respaldar su propia
formación profesional
NÚMERO DE ASISTENTES
20 (recomendado)
LUGAR
Laboratorio de Informática
ESTRATEGIAS DE
INTERVENCIÓN
Acción comunicativa-comprensiva,
lluvia de ideas, uso de multimedia,
taller, trabajo colaborativo para
obtener productos de aprendizaje,
plenaria para generar
conclusiones
RECURSOS
TECNOLÓGICOS: Computador (de
preferencia individual), red interna,
Internet, contenidos digitalizados y
diapositivas del módulo, software y
proyector.
MATERIALES: Pizarra,
marcadores, borrador, hojas en
blanco y lápices.
HUMANOS: Facilitador, Facilitador
Asistente y Participantes.
DURACIÓN
10 horas
FACILITADOR Y FACILITADOR
ASISTENTE
Asignados por el Instituto de Post-
Grado
464
MODALIDAD
Presencial
REQUISITOS PREVIOS
Haber aprobado el nivel Inicial
BLOQUES TEMÁTICOS
CONTENIDOS TIEMPO
Proyecto educativo 0,5 hora
Aprendizaje colaborativo 0,5 hora
Planificación del Proyecto 9 horas
Cuadro 142 : Módulo Formación ProfesionalDocente.
Fuente:Criterio del investigador.
Elaborado por:LSI Jorge Vera Mosquera.
DETALLE DE CONTENIDOS
1. Proyecto educativo
1.1. Concepto, características e importancia
1.2. Teoría de proyectos
1.3. Modelos
1.4. Innovación educativa
2. Aprendizaje colaborativo
2.1. Necesidad de uso en proyectos educativos
2.2. Revisión teórica
3. Planificación del Proyecto
3.1. Dirección del Proyecto
3.2. Herramientas TIC a emplear en Proyectos
3.2.1. Plataformas de trabajo colaborativo
3.2.2. Herramientas 2.0
3.2.3. Software de apoyo local y en red
3.2.3.1. Libre
3.2.3.2. De pago
3.3. Desarrollo de un Proyecto aplicativo
465
Nivel Avanzado – Innovación de las políticas
CÓDIGO 14
NIVEL AVANZADO
COMPONENTE Marco regulador en la Universidad de
Guayaquil
MÓDULO Innovación de las políticas
OBJETIVOS CURRICULARES
 Participar activamente en la
evolución de las políticas
relacionadas a las reformas
educativas
COMPETENCIAS DOCENTES
 Comprender a fondo los objetivos
de las políticas educativas
nacionales para generar
soluciones de tal magnitud
 Contribuir con planteamientos
educativos claros al debate sobre
políticas de reforma educativa
para ser partícipe pertinente en
su mejora
 Participar en la concepción,
aplicación y revisión de los
programas destinados a aplicar
esas políticas para tener una
acción activa en los mismos
NÚMERO DE ASISTENTES
20 (recomendado)
LUGAR
Laboratorio de Informática
ESTRATEGIAS DE INTERVENCIÓN
Acción comunicativa-comprensiva, uso
de multimedia, trabajo colaborativo
para obtener productos de aprendizaje,
elaborar proyectos
RECURSOS
TECNOLÓGICOS: Computador (de
preferencia individual), red interna,
Internet, contenidos digitalizados y
diapositivas del módulo, software y
proyector.
MATERIALES: Pizarra, marcadores,
borrador, hojas en blanco y lápices.
HUMANOS: Facilitador, Facilitador
Asistente y Participantes.
466
DURACIÓN
4 horas
FACILITADOR Y FACILITADOR
ASISTENTE
Asignados por el Instituto de Post-Grado
MODALIDAD
Presencial
REQUISITOS PREVIOS
Haber aprobado el nivel Intermedio
BLOQUES TEMÁTICOS
CONTENIDOS TIEMPO
Objetivos de las políticas educativas
nacionales
1 hora
Reconocimiento de problemáticas 3 horas
Cuadro 143 : Módulo Innovación de las políticas.
Fuente:Criterio del investigador.
Elaborado por:LSI Jorge Vera Mosquera.
DETALLE DE CONTENIDOS
1. Objetivos de las políticas educativas nacionales
1.1. Ámbito y alcance
1.2. Contribución de las reformas educativas nacionales y de la
Universidad
1.2.1. Perspectivas y cambios significativos
2. Reconocimiento de problemáticas
2.1. Comportamientos de contexto y reconocimiento de problemas
2.2. Enfoque crítico
2.3. Necesidad de soluciones
2.3.1. Propuestas
467
Nivel Avanzado – Competencias de la Sociedad del Conocimiento
CÓDIGO 24
NIVEL AVANZADO
COMPONENTE Currículo y evaluación
MÓDULO Competencias de la Sociedad del
Conocimiento
OBJETIVOS CURRICULARES
 Abordar el currículum más
allá del conocimiento,
incluyendo explícitamente
las competencias de la
Sociedad del Conocimiento,
haciendo que el estudiante
sea capaz de determinar
sus objetivos de
aprendizaje, planes de
trabajo y la evaluación de su
propio desempeño en las
tareas generadas
COMPETENCIAS DOCENTES
 Conocer los procesos
cognitivos complejos de
aprendizaje de los
estudiantes para comprender
cómo se presentan
 Saber cómo aprenden los
estudiantes para entender el
comportamiento de su
aprendizaje
 Entender las dificultades con
que éstos tropiezan para
alcanzar sus competencias
adecuadas en la era actual
 Respaldar esos procesos
complejos con que se
encuentra el estudiante,
acompañando y colaborando
con su evolución, para que
alcance sus metas y
objetivos
NÚMERO DE ASISTENTES
20 (recomendado)
LUGAR
Laboratorio de Informática
468
ESTRATEGIAS DE
INTERVENCIÓN
Lluvia de ideas, uso de
multimedia, estudio de casos,
trabajo colaborativo para obtener
productos de aprendizaje, plenaria
para generar conclusiones
RECURSOS
TECNOLÓGICOS: Computador (de
preferencia individual), red interna,
Internet, contenidos digitalizados y
diapositivas del módulo, software y
proyector.
MATERIALES: Pizarra,
marcadores, borrador, hojas en
blanco y lápices.
HUMANOS: Facilitador, Facilitador
Asistente y Participantes.
DURACIÓN
5 horas
FACILITADOR Y FACILITADOR
ASISTENTE
Asignados por el Instituto de Post-
Grado
MODALIDAD
Presencial
REQUISITOS PREVIOS
Haber aprobado el nivel Intermedio
BLOQUES TEMÁTICOS
CONTENIDOS TIEMPO
Sociedades del Conocimiento 1 hora
Sociedad del Conocimiento y el
aprendizaje 2.0
2 horas
El estudiante universitario en la
Sociedad del Conocimiento
2 hora
Cuadro 144 :Módulo Competencias de la Sociedad del Conocimiento.
Fuente:Criterio del investigador.
Elaborado por:LSI Jorge Vera Mosquera.
DETALLE DE CONTENIDOS
1. Sociedades del Conocimiento
1.1. Sociedad de información a Sociedad de Conocimiento
1.2. Sociedad en red
469
1.3. Sociedad de aprendizaje
1.4. Educación permanente y Educación Superior
1.5. La investigación
1.6. Del acceso a la participación
1.7. Dimensión ética
2. Sociedad del Conocimiento y el aprendizaje 2.0
2.1. La economía global y la Educación
2.1.1. El cambio
2.1.2. Demanda de conocimientos
2.1.3. Nuevo entorno
2.1.3.1. Conocimiento y aprendizaje
2.1.3.2. Mundo del educando
2.1.3.2.1. Mundo de la Educación
2.1.3.2.1.1. Individual
2.1.3.2.1.2. Corporativo
2.1.3.2.1.3. Ambiente personal de aprendizaje y
ambiente de trabajo
2.1.3.3. Nuevos caminos y nuevas profesiones
2.1.3.4. Curriculums actuales y futuros
2.1.3.5. Redes académicas avanzadas e investigación
2.1.4. Actitud crítica docente ante las TIC
3. El estudiante universitario en la Sociedad del Conocimiento
3.1. Vida cotidiana
3.2. El trabajo y las TIC
3.3. Nuevo rol
3.4. Desafíos actuales
3.5. Aprender a aprender
3.6. La influencia de la cultura de los medios
3.7. Procesos cognitivos
3.8. Dificultades de aprendizaje
3.9. Competencias
470
3.10. Pensamiento computacional
3.11. Pensamiento crítico
471
Nivel Avanzado – Autogestión
CÓDIGO 34
NIVEL AVANZADO
COMPONENTE Pedagogía/Andragogía
MÓDULO Autogestión
OBJETIVOS CURRICULARES
 Orientar el camino del
estudiante en su trabajo en
comunidades de aprendizaje,
creación de productos, en
base a conocimientos,
habilidades y competencias
propias o por adquirir, para
beneficio individual y
colectivo
COMPETENCIAS DOCENTES
 Modelar procesos de
aprendizaje, estructurando
situaciones en las que los
estudiantes apliquen sus
competencias cognitivas y
ayudando a los estudiantes a
adquirirlas, para beneficio
propio y colectivo
NÚMERO DE ASISTENTES
20 (recomendado)
LUGAR
Laboratorio de Informática
ESTRATEGIAS DE
INTERVENCIÓN
Acción comunicativa-comprensiva,
uso de multimedia, estudio de
casos, trabajo colaborativo para
obtener productos de aprendizaje,
plenaria para generar conclusiones
RECURSOS
TECNOLÓGICOS: Computador (de
preferencia individual), red interna,
Internet, contenidos digitalizados y
diapositivas del módulo, software y
proyector.
MATERIALES: Pizarra, marcadores,
borrador, hojas en blanco y lápices.
HUMANOS: Facilitador, Facilitador
Asistente y Participantes.
DURACIÓN
4 horas
FACILITADOR Y FACILITADOR
ASISTENTE
Asignados por el Instituto de Post-
Grado
472
MODALIDAD
Presencial
REQUISITOS PREVIOS
Haber aprobado el nivel Intermedio
BLOQUES TEMÁTICOS
CONTENIDOS TIEMPO
Potencialidad de herramientas TIC
de aprendizaje
2 horas
Pertenecer a una comunidad
educativa y educarse
2 horas
Cuadro 145 : Módulo Autogestión.
Fuente:Criterio del investigador.
Elaborado por:LSI Jorge Vera Mosquera.
DETALLE DE CONTENIDOS
1. Potencialidad de herramientas TIC de aprendizaje
1.1. Didáctica apoyada en TIC
1.2. Ambiente personal de aprendizaje
1.3. Fines del trabajo en grupo
1.3.1. Distintas finalidades de trabajo
1.3.2. Acceso a información
1.3.3. Interacción, hipermedia y multimedia
1.3.4. Nuevas formas de mediación
1.4. Beneficios mayores del ambiente personal de aprendizaje
1.5. Experiencias que promueven el aprendizaje
1.6. Aulas de aprendizaje
1.7. Bibliotecas digitales
1.8. Redes de aprendizaje
1.9. Comunidades de aprendizaje
1.10. Uso de las redes sociales en el aprendizaje
1.11. Implementación de cursos en plataformas educativas
473
2. Pertenecer a una comunidad educativa y educarse
2.1. Concepto, características
2.2. Paradigma educativo innovador: Comunidad de aprendizaje
2.3. Espacios y comunidades virtuales
2.4. Web 2.0, Web 3.0 y redes sociales
2.5. Modelo educativo en red
2.6. Evolución de la tecnología e innovación educativa
2.7. Taxonomía de la tecnología colaborativa
474
Nivel Avanzado – Herramientas ubicuas
CÓDIGO 44
NIVEL AVANZADO
COMPONENTE Manejo de las TIC
MÓDULO Herramientas ubicuas
OBJETIVOS CURRICULARES
 Aplicar la tecnología
generalizada discerniendo
en su uso para producir
conocimiento y aprendiendo
en modo colaborativo y
continuo, a nivel de red,
recurso y contexto digital
COMPETENCIAS DOCENTES
 Diseñar comunidades de
conocimiento basadas en las
TIC, y utilizando estas
tecnologías para apoyar el
desarrollo de las habilidades
de los estudiantes en materia
de creación de conocimientos
y su aprendizaje permanente
y reflexivo
NÚMERO DE ASISTENTES
20 (recomendado)
LUGAR
Laboratorio de Informática
ESTRATEGIAS DE
INTERVENCIÓN
Acción comunicativa-comprensiva,
uso de multimedia, habilidades de
aplicación, entrenamiento
sistemático, talleres, solución de
problemas, trabajo colaborativo
para obtener productos de
aprendizaje
RECURSOS
TECNOLÓGICOS: Computador (de
preferencia individual), red interna,
Internet, contenidos digitalizados y
diapositivas del módulo, software y
proyector.
MATERIALES: Pizarra,
marcadores, borrador, hojas en
blanco y lápices.
HUMANOS: Facilitador, Facilitador
Asistente y Participantes.
475
DURACIÓN
80 horas
FACILITADOR Y FACILITADOR
ASISTENTE
Asignados por el Instituto de Post-
Grado
MODALIDAD
Presencial
REQUISITOS PREVIOS
Haber aprobado el nivel Intermedio
BLOQUES TEMÁTICOS
CONTENIDOS TIEMPO
La ubicuidad 2 horas
Tecnologías y metodologías del
aprendizaje electrónico
12 horas
Administradores de aprendizaje y
sistemas de gestión de contenidos
de aprendizaje
40 horas
Inteligencia competitiva y Web 3.0 1 hora
Desarrollo de Proyecto 25 horas
Cuadro 146 : Módulo Herramientas ubicuas.
Fuente:Criterio del investigador.
Elaborado por:LSI Jorge Vera Mosquera.
DETALLE DE CONTENIDOS
1. La ubicuidad
1.1. Concepto, características e importancia
1.2. uLearning (Aprendizaje Ubicuo)
1.3. Computación en la nube
1.3.1. Uso docente
1.3.2. Aplicaciones para el Docente
1.3.2.1. Gestión
1.3.2.1.1. http://class.io/es/
1.3.2.1.2. Sky Drive
1.3.2.1.3. Google Drive
476
1.3.2.2. Comunicación
1.3.2.3. Evaluación
1.3.3. Webapps
1.3.3.1. http://www.eduapps.es/
1.3.3.2. Google Apps para la Educación
1.4. El aprendizaje electrónico (E-learning)
2. Tecnologías y metodologías del aprendizaje electrónico
2.1. Hardware y aplicaciones
2.1.1. Netbooks, PC, Laptops
2.1.1.1. Características y propiedades
2.1.1.1.1. Aplicaciones y sitios en Internet referenciales
2.1.1.1.1.1. https://pinterest.com/
2.1.1.1.1.2. http://paper.li/
2.1.1.1.1.3. http://www.screenr.com/
2.1.1.1.1.4. https://edshelf.com/
2.1.1.1.1.5. http://www.knovio.com/
2.1.2. Celulares,Smarhphones, Tablets, Ipads
2.1.2.1. Características y propiedades
2.1.2.2. Política 1 a 1
2.1.2.3. Aplicaciones y sitios en Internet referenciales
2.1.2.3.1. Teacher Kit
2.1.2.3.2. GeoGoogle
2.1.2.3.3. http://www.classcharts.com/
2.1.2.3.4. http://socrative.com/
2.1.2.3.5. http://classwith.us/
2.1.2.3.6. http://42class.com
2.1.2.3.7. http://www.knowmia.com/
2.1.2.3.8. http://www.stickynotesapp.com/
2.1.2.3.9. http://www.isbx.com/facetalk/
2.1.2.3.10. http://www.vcasmo.com/
2.1.2.3.11. http://www.google.com/mobile/skymap/
477
2.1.2.3.12.
2.1.3. Infraestructura de Internet
2.1.4. Aplicaciones más accesorios
2.2. Herramientas 2.0
2.2.1. Aprendizaje colaborativo
2.2.1.1. Blog
2.2.1.2. Wiki
2.2.1.3. Redes sociales
2.2.1.4. Comunidades
2.2.1.5. Herramientas de colaboración
2.2.1.5.1. Sitios
2.2.1.6. Difusión y publicación en red
2.2.1.6.1. RSS
2.2.1.6.2. Portafolios
2.2.1.6.3. Comunidades de aprendizaje
2.2.1.6.3.1. Niveles
2.2.1.7. Herramientas académicas varias en la nube
2.2.1.7.1. Genéricas
2.2.1.7.2. Por área
2.3. Entornos de aprendizaje
2.3.1. Personales
2.3.2. De conocimiento
2.3.2.1. Armando redes
2.3.2.1.1. https://ifttt.com/
2.3.2.1.2. https://zapier.com
2.3.2.1.3. http://www.foxweave.com/
2.3.2.1.4. http://wappwolf.com
2.3.3. Escritorios virtuales/marcadores
2.3.3.1. http://www.symbaloo.com/
2.3.3.2. http://www.netvibes.com/
2.3.3.3. http://www.tizmos.com/
478
2.3.3.4. http://www.skloog.com/
2.3.3.5. http://www.addthis.com/
2.4. Modalidades del aprendizaje electrónico
2.4.1. EaD (Educación a Distancia)
2.4.1.1. Plataformas
2.4.2. M-Learning (Móvil)
2.4.2.1. Sistemas operativos móviles
2.4.2.2. Aplicaciones y sitios referenciales
2.4.2.2.1. http://proyectoguappis.blogspot.com.es/
2.4.2.2.2. https://ko-su.com/
2.4.2.2.3. https://www.dropbox.com/
2.4.2.2.4. https://evernote.com/
2.4.3. B-Learning(Semi-presencial)
2.4.4. I-Learning
2.5. Objetos de aprendizaje
2.5.1. Concepto, características e importancia
2.5.2. Sitios en Internet referenciales
2.5.2.1. http://laclo.org/
2.5.2.2. http://aprendeenlinea.udea.edu.co/ova/
2.5.2.3. http://www.universia.net/
2.5.2.4. http://digitum.um.es/xmlui/
2.5.2.5. http://www.aproa.cl/
2.6. Cursos masivos abiertos (MOOC-Massive Open Online Courses)
2.6.1. Origen
2.6.2. Concepto, características e importancia
2.6.3. Sitios en Internet referenciales
2.6.3.1. http://openmooc.org/
2.6.3.2. https://unedcoma.es/
2.6.3.3. https://www.difundi.com/es
2.6.3.4. https://www.coursera.org/
2.6.3.5. http://lore.com/
479
2.6.3.6. https://www.canvas.net/
2.6.3.7. https://www.edx.org/
3. Administradores de aprendizaje y sistemas de gestión de
contenidos de aprendizaje
3.1. Tecnologías y metodologías E-learning
3.2. Sitios
3.2.1. Concepto, características e importancia
3.2.2. Gratuitos y de pago
3.2.2.1. Más conocidos
3.2.3. Aprendiendo un administrador de aprendizaje
3.2.3.1. Moodle
3.2.3.1.1. Características, importancia y utilidad
3.2.3.1.2. Estructura de Moodle
3.2.3.1.3. Para administrador
3.2.3.1.3.1. Obteniendo el software
3.2.3.1.3.2. Instalación
3.2.3.1.3.2.1. Local
3.2.3.1.3.2.2. En línea
3.2.3.1.3.3. Gestión
3.2.3.1.3.3.1. Usuarios
3.2.3.1.3.3.1.1. Por rol
3.2.3.1.3.3.2. Cursos
3.2.3.1.3.3.3. Evaluación
3.2.3.1.3.3.4. Elementos 2.0
3.2.3.1.3.4. Lectura de cabecera y pie de página,
columnas izquierda, derecha y central
3.2.3.1.3.5. Modo edición
3.2.3.1.3.6. Matricular estudiantes
3.2.3.1.3.7. Evaluaciones de curso
3.2.3.1.3.8. Revisar participación de estudiantes
3.2.3.1.3.9. Otros bloques
480
3.2.3.1.3.9.1. Actividad reciente
3.2.3.1.3.9.2. Calendario
3.2.3.1.3.9.3. Novedades
3.2.3.1.3.9.4. Bloque HTML
3.2.3.1.3.10. Ubicación, idioma, extensiones y ajustes
3.2.3.1.3.11. Seguridad y respaldo
3.2.3.1.3.11.1. Cursos
3.2.3.1.3.11.2. Plataforma
3.2.3.1.3.12. Apariencia
3.2.3.1.4. Para Docente
3.2.3.1.4.1. Ambiente de aprendizaje
3.2.3.1.4.1.1. Acceso y salida
3.2.3.1.4.1.2. Roles
3.2.3.1.4.1.3. Navegación
3.2.3.1.4.1.4. Edición
3.2.3.1.4.1.5. Bloques
3.2.3.1.4.2. Cómo configurar planificación curricular
3.2.3.1.4.3. Configurar cursos en Moodle
3.2.3.1.4.4. Matrícula de estudiantes
3.2.3.1.4.5. Herramientas propias de Moodle para
cursos
3.2.3.1.4.6. Editar contenidos
3.2.3.1.4.7. Módulos
3.2.3.1.4.7.1. De comunicación
3.2.3.1.4.7.2. Actividades
3.2.3.1.4.8. Gestión del curso
3.2.3.1.4.9. Seguridad y respaldo del curso
3.2.3.1.4.10. Proyecto de curso
3.2.4. El futuro
4. Inteligencia competitiva y Web 3.0
4.1. El papel de la Web 2.0
481
4.2. El proceso de la inteligencia competitiva
4.3. Red social pensante
4.3.1. El papel de la Universidad
5. Desarrollo de Proyecto
5.1. Análisis y Estudio
5.2. Desarrollo e implementación
482
Nivel Avanzado – Organizaciones de aprendizaje
CÓDIGO 54
NIVEL AVANZADO
COMPONENTE Organización y administración
MÓDULO Organizaciones de aprendizaje
OBJETIVOS CURRICULARES
 Orientar y crear
organizaciones de
aprendizaje, en las que los
participantes contribuyen en
los procesos de
aprendizajes,
involucrándose con un
sentido de beneficio
colectivo
COMPETENCIAS DOCENTES
 Desempeñar un papel de
liderazgo en la formación de
sus colegas, así como en la
elaboración e
implementación de la visión
de su institución educativa
como comunidad basada en
innovación y aprendizaje
permanente enriquecidos
por las TIC, para el
aprendizaje permanente y
reflexivo de todos
NÚMERO DE ASISTENTES
20 (recomendado)
LUGAR
Laboratorio de Informática
ESTRATEGIAS DE
INTERVENCIÓN
Taller, lluvia de ideas, uso de
multimedia, trabajo colaborativo
para obtener productos de
aprendizaje, estudio de casos
RECURSOS
TECNOLÓGICOS: Computador (de
preferencia individual), red interna,
Internet, contenidos digitalizados y
diapositivas del módulo, software y
proyector.
MATERIALES: Pizarra,
marcadores, borrador, hojas en
blanco y lápices.
HUMANOS: Facilitador, Facilitador
Asistente y Participantes.
483
DURACIÓN
4 horas
FACILITADOR Y FACILITADOR
ASISTENTE
Asignados por el Instituto de Post-
Grado
MODALIDAD
Presencial
REQUISITOS PREVIOS
Haber aprobado el nivel Intermedio
BLOQUES TEMÁTICOS
CONTENIDOS TIEMPO
Conceptualización 1 hora
Herramientas TIC 3 horas
Cuadro 147 : Módulo Organizaciones de aprendizaje.
Fuente:Criterio del investigador.
Elaborado por:LSI Jorge Vera Mosquera.
DETALLE DE CONTENIDOS
1. Conceptualización
1.1. Concepto, características
1.2. Disciplinas
1.3. Principios
1.4. Barreras
1.5. Conocimiento tácito y explícito, individual y colectivo
1.5.1. Cómo transmitir
1.6. La Universidad con capacidad de aprendizaje
1.6.1. Modelos
1.7. Teorías de aprendizaje que se relacionan
1.8. El liderazgo
1.9. Necesidad de una cultura
2. Herramientas TIC
2.1. Tutor y estudiantes
2.2. Curso, organización, comunidad y redes virtuales e integración
2.2.1. Diferencias
484
2.2.2. Relación
2.2.3. Futuro
2.2.4. Escalas de crecimiento
2.3. Aplicaciones de comunicación
2.3.1. Local
2.3.2. Red e Internet
2.4. Aplicaciones para compartir recursos
2.4.1. Local
2.4.2. Red e Internet
2.5. Aplicaciones de organización y gestión
2.5.1. Agenda, calendario
2.5.2. Aplicaciones y dispositivos
2.5.2.1. Celulares, tablets
2.6. Aplicaciones de construcción de conocimiento
2.6.1. Wiki
2.6.2. Blogs
2.6.3. Herramientas de oficina en línea
2.6.4. Portafolios en línea
2.6.5. Grupos virtuales
2.6.6. Talleres en línea
2.6.7. Administración de aprendizaje
2.6.7.1. Software Libre
2.6.7.1.1. Los más usados
2.6.7.1.2. Herramientas en línea
2.6.7.1.2.1. Complementos a nivel local
2.6.7.1.2.2. Complementos a nivel de red
2.6.7.1.3. Junto a redes sociales
2.6.8. Sitios en Internet de múltiples usos en el aprendizaje
485
Nivel Avanzado – Docente como modelo de aprendiz
CÓDIGO 64
NIVEL AVANZADO
COMPONENTE Formación Profesional Docente
MÓDULO Docente como modelo de aprendiz
OBJETIVOS CURRICULARES
 Tomar el papel de aprendiz
experto y de productor de
conocimiento, dedicado
permanentemente al
experimento e innovación
pedagógica/andragógica,
para crear nuevos
conocimientos en el proceso
enseñanza-aprendizaje u
orientación-aprendizaje
COMPETENCIAS DOCENTES
 Mostrar la voluntad para
experimentar, aprender
continuamente y utilizar las
TIC con el fin de crear
comunidades profesionales
del conocimiento
NÚMERO DE ASISTENTES
20 (recomendado)
LUGAR
Laboratorio de Informática
ESTRATEGIAS DE
INTERVENCIÓN
Acción comunicativa-comprensiva,
lluvia de ideas, uso de multimedia,
taller, trabajo colaborativo para
obtener productos de aprendizaje,
plenaria para generar conclusiones
RECURSOS
TECNOLÓGICOS: Computador (de
preferencia individual), red interna,
Internet, contenidos digitalizados y
diapositivas del módulo, software y
proyector.
MATERIALES: Pizarra, marcadores,
borrador, hojas en blanco y lápices.
HUMANOS: Facilitador, Facilitador
Asistente y Participantes.
DURACIÓN
2 horas
FACILITADOR Y FACILITADOR
ASISTENTE
Asignados por el Instituto de Post-
Grado
486
MODALIDAD
Presencial
REQUISITOS PREVIOS
Haber aprobado el nivel Intermedio
BLOQUES TEMÁTICOS
CONTENIDOS TIEMPO
¿Qué es aprender? 0,5 hora
Docente como aprendiz
permanente
0,5 hora
Estrategias de enseñanza y
aprendizaje
1 hora
Cuadro 148 : Módulo Docente como modelo de aprendiz.
Fuente:Criterio del investigador.
Elaborado por:LSI Jorge Vera Mosquera.
DETALLE DE CONTENIDOS
1. ¿Qué es aprender?
1.1. Cultura del aprendizaje
1.2. Aprender a aprender, aprender enseñando, el autoaprendizaje
1.3. Condiciones de aprendizaje
1.4. Modelos de aprendizaje
1.4.1. De transmisión
1.4.2. Behaviorista
1.4.3. Constructivista
1.5. Aprendizaje individual continuo
1.6. Docente metacognitiva
2. Docente como aprendiz permanente
2.1. Características
2.2. Áreas y asignaturas docentes relacionadas a su gestión
2.2.1. Visión filosófica
2.3. La investigación docente en el Curriculum
2.4. Dicotomía docente/aprendiz no existe
2.5. Coordinación docente
2.5.1. Con estudiantes
487
2.5.2. Con otros Docentes en entidad
2.5.3. Con otros Docentes de otras entidades
2.5.4. Con otros Docentes de otros países
3. Estrategias de enseñanza y aprendizaje
3.1.1. Ambientes personales de aprendizaje
3.1.2. Estrategias metodológicas didácticas y TIC
488
Conclusiones
Una vez terminada la Propuesta como resultante de la
investigación llevada a cabo, se concluye lo siguiente:
 Las etapas formativas sugeridas en el Programa de Educación
Continua, deben ser fortalecidas por las prácticas propias de los
Docentes participantes, para que esa experiencia enriquezca junto
con el aporte de los Docentes facilitadores, al mejoramiento
continuo.
 La formación docente en el uso de las TIC en el Programa, a modo
de sugerencia, debe empezar con modalidad presencial. En ciertos
casos, dadas las circunstancias, una modalidad mixta mediante el
uso de una plataforma tecnológica de apoyo, como Moodle por
ejemplo.
 El marco y el contenido curricular del Programa deben estar en el
contexto que permita obtener información de los Docentes-
participantes y sus estudiantes, para crear escenarios de
aprendizaje lo más reales posibles.
 El empleo de las TIC deben ser embebido en el Curriculum, como
un fin educativo y propósito para aprender.
 La cultura profesional docente debe cambiar, y en este cambio lo
relevante es el manejo TIC para superar conocimientos y alcanzar
objetivos institucionales de nivel, por lo que una estrategia de
cambio está en la innovación.
489
 Debe despertarse una actitud proactiva en el Docente, de tal modo
que la innovación florezca individualmente, teniendo de base un
criterio de compartir experiencias, reflejándose esto en la calidad
del estudiantado.
 El desarrollo de las competencias de los dicentes, será mejor
identificado, fortalecido, mejorado y desarrollado, evaluando
primero el estilo de aprendizaje, antes de proceder a crearse los
escenarios educativos, creando esto una coherente optimización
educativa.
 El estilo pedagógico y/o andragógico docente vale considerarlo con
las evaluaciones del caso, porque ayudará a mejorar el beneficio
educativo y el empleo TIC, y así se contribuye a mejorar la calidad
del servicio universitario.
 La información para los Docentes debe ser tratada con un criterio
andragógico, que sirva para orientar, facilitar y despertar la
innovación, de modo que con el tiempo se creen redes de
intercambio docente, se impulse la transferencia y por ende la
transformación.
 Debe tenerse plena conciencia que barreras materiales (acceso
tecnológico a equipos y redes, falta de soporte, ausencia de apoyo
financiero, etc.) e inmateriales( falta de desarrollo de competencias
digitales, falta evidencia en la mejora de aprendizajes con el
empleo de las TIC, necesidad de capacitación metodológica con
TIC, etc. ) se irán desvaneciendo con el transcurrir del tiempo a
medida que se enfoque las oportunidades de integración TIC,
valorando la reflexión en su uso y su implicación curricular.
490
 Resulta muy interesante, considerar los estímulos adecuados para
los Docentes, sobre todo aquellos de reconocimiento académico
que reflejen sus competencias en TIC en el área docente.
Beneficiarios
El beneficiario primario es la Universidad, ya que su planta docente
tendrá la oportunidad de adquirir competencias en el manejo de las TIC
acordes a las exigencias educativas y profesionales del presente siglo.
Esto, estará reflejado en una mejor calidad educativa universitaria, cuyos
beneficiarios mayores serán los estudiantes de las distintas Facultades,
que son los futuros profesionales del país, que necesitan acreditarse
sobre manera en el aprender a aprender.
Impacto
El impacto social será notorio en la productividad académica y
profesional en su momento de los dicentes de la Universidad, en base a
Docentes competentes en el uso de las TIC cuya obra ha sido iniciada,
mejorada, fortalecida e innovada con el Programa en Formación Continua
mencionado.
491
REFERENCIAS BIBLIOGRÁFICAS
ADELL, J. & CASTAÑEDA, L. (2010). Los Entornos Personales de
Aprendizaje (PLEs): una nueva manera de entender el aprendizaje.
Recuperado el 20 de Diciembre de 2012, de DIGITUM - Biblioteca
Universitaria - Depósito Digital Institucional de la Universidad de
Murcia:
http://digitum.um.es/xmlui/bitstream/10201/17247/1/Adell%26Casta
%C3%B1eda_2010.pdf (Pág. 104)
ADELL, J. & CASTAÑEDA, L. (2011). El desarrollo profesional de los
docentes en la era Internet: entornos personales de aprendizaje
(PLE). Recuperado el 20 de Diciembre de 2012, de Slideshare:
http://www.slideshare.net/citafgsr/jordi-adell-y-linda-castaeda-el-
desarrollo-profesional-de-los-docentes-en-la-era-internet-entornos-
personales-de-aprendizaje-ple (Pág. 105)
ADELL, J. (2010). El diseño de actividades didácticas con TIC - JEDI
2010 Bilbao. Diapositiva 14. Recuperado el 18 de Diciembre de
2012, de Slideshare: http://www.slideshare.net/epdrntr/jordi-adell-
el-diseo-de-actividades-didcticas-con-tic-jedi2010-bilbao (Pág. 103)
AVIRAM, R. (2002). ¿Conseguirá la educación domesticar a las TIC?
Ponencia presentada en el II Congreso Europeo de Tecnologías de
la Información en la Educación y la Ciudadanía: Una Visión Crítica.
Barcelona. (Pág. 148)
AXIOLOGIC. (2011). www.Axiologic.org. Recuperado el 12 de Diciembre
de 2012, de http://www.axiologic.org/axiologia.html (Pág. 34)
492
BISQUERRA, R. (1989). Métodos de Investigación Educativa. Barcelona,
España: Ceac. (Pág. 195)
CABERO, J. (2001). La Matemática y las Tecnologías de Información y la
Comunicación. Una aproximación teórica. Página 6. Recuperado el
16 de Diciembre de 2012, de Universidad de los Andes Venezuela:
http://servidor-opsu.tach.ula.ve/7jornadas_i_h/paginas/doc/JIHE-
2011-PT170.pdf (Pág. 122)
CAMPOS, Y. (2006). Innovación de estrategias didácticas y Educación
informática. Diapositiva 15. Recuperado el 18 de Diciembre de
2012, de Slideshare:
http://www.slideshare.net/yolacamposc/093innovacion-estrategias-
informatica-v07 (Pág. 144)
CAMPOS, Y. (2009). Innovación de estrategias didácticas y educación
informática. Recuperado el 20 de Noviembre de 2012, de
Slideshare.net:
http://www.slideshare.net/yolacamposc/093innovacion-estrategias-
informatica-v07 (Pág. 46)
CASTELLS, M. (1997). CONACYT - Globalidad, Ciencia y Periodismo. (J.
O. Picardo, Ed.) Recuperado el 27 de Febrero de 2012, de
www.conacyt.gob.sv/globalidad.ppt (Pág. 16)
CATALDI, Z. (2000). Metodología de diseño, desarrollo y evaluación de
software educativo - Tesis de Magister en Informática(versión
resumida) Facultad de Informática UNLP. Recuperado el 17 de
Diciembre de 2012, de Facultad de Ingeniería - Universidad de
Buenos Aires: http://laboratorios.fi.uba.ar/lsi/cataldi-
tesisdemagistereninformatica.pdf (Páfs. 134, 136, 138)
493
COLLINS, A. (1998). El potencial de las tecnologías de la información
para la educación, pp. 29-51. Carmen Vizcarro y José León,
Nuevas tecnologías para el aprendizaje, Psicología Pirámide.
Madrid, España. (Pág. 173)
COUROS, A. (2009). Open & Networked Teaching moodle canada '09
alex couros. Recuperado el 20 de Diciembre de 2012, de
Slideshare: http://www.slideshare.net/courosa/knock-down-the-
walls-toward-a-model-of-open-teaching (Pág. 108)
COURUS,A. (2008). open.connected.social couros:cnie 2008.Recuperado
el 20 de Diciembre de 2012, de Slideshare:
http://www.slideshare.net/courosa/cnie-presentation-379583 (Pág.
108)
DEL MORAL, M. y RODRÍGUEZ, R. (2010). Experiencias docentes y TIC.
Oviedo, España: Octaedro. (Pág. 171)
DÍAZ, D. (1999). La didáctica universitaria: referencia imprescindible para
una enseñanza de calidad. Recuperado el 20 de Diciembre de
2012, de Revista Electrónica Interuniversitaria de formación de
profesorado, 2(1).:
http://ww.aufop.com/aufop/uploaded_files/articulos/1224326868.pdf
(Pág. 112)
DÍAZ, P. (2004). Las TIC como apoyo en el proceso
enseñanza/aprendizaje. Recuperado el 18 de Diciembre de 2012,
de Universidad Complutense de Madrid:
http://www.ucm.es/campusvirtual/jornadas/ponencias/PDiaz.ppt
(Pág. 149)
494
DOWNES, S. (2007). The Recognition Factor. Recuperado el 20 de
Diciembre de 2012, de stephen web Stephen Downes:
http://www.downes.ca/presentation/133 (Pág. 93)
EDUTEKA. (2008). Un modelo para integrar las TIC al currículo escolar.
Recuperado el 19 de Diciembre de 2012, de EDUTEKA:
http://www.eduteka.org/tema_mes.php3 (Pág. 152)
ERTMER, P. & NEWBY, T. (1993). Behaviorism, cognitivism,
constructivism: Comparing critical features from an instructional
design perspective. Performance Improvement Quarterly, 6 (4), pp.
50-72. Recuperado el 20 de Diciembre de 2012, de WILEY On line
Library: http://onlinelibrary.wiley.com/doi/10.1111/piq.1993.6.issue-
4/issuetoc (Pág. 111)
ESTEVE, F. (2011). La competencia digital de los estudiantes
universitarios: Definición conceptual y análisis de cinco
instrumentos para su evaluación. Diapositiva 13. Recuperado el 30
de Enero de 2012, de Slideshare.net:
http://www.slideshare.net/francescesteve/la-competencia-digital-de-
los-estudiantes-universitarios-definicin-conceptual-y-anlisis-de-
cinco-instrumentos-para-su-evaluacin (Pág. 170)
FERNÁNDEZ PÉREZ. (1995). Las tareas de la Profesión de Enseñar.
Siglo veintiuno Editores. (Pág. 135)
FERNÁNDEZ, N. (2011). SOFTWARE ERP: ¿Cómo elegir e implementar
el mejor para su empresa? Recuperado el 28 de Diciembre de
2012, de Scribd: http://es.scribd.com/doc/59758082/FERNANDEZ-
495
RIPOLL-Nestor-D-2011-Software-ERP-Como-elegir-e-implementar-
el-mejor-para-su-empresa (Pág. 187)
FGPU. (2008). ESTÁNDARES DE COMPETENCIAS EN TIC PARA
DOCENTES. Obtenido de Fundación Gabriel Piedrahita Uribe
(FGPU), UNESCO:
http://www.eduteka.org/pdfdir/UNESCOEstandaresDocentes.pdf
(Pág. 165)
GAGNÉ, R. (1970). The conditions of Learning. New York: Holt Rinehart &
Winston. (Pág. 135)
GALLEGOS, G. (2007). Visión General de la Informática Educativa.
Diapositivas 6 a 14. Recuperado el 18 de Diciembre de 2012, de
http://www.slideshare.net/guillermo/informtica-educativa (Pág. 139)
GALVIS, Á. (2006). Desarrollo profesional docente con apoyo de
información y comunicación. Marco Conceptual versión 1.0.
Metacursos, estudio realizado para el Ministero de Educación
Nacional, Alianza por la Educación MEN-Microsoft. Bogotá,
Colombia. (Pág. 162)
GALVIS, Á. (2008). La PIOLA y el desarrollo profesional docente con
apoyo de tecnologías de información y comunicación - TIC. Bogotá:
RVT con autorización de Metacursos. (Pág. 151)
GARDNER, H. (1993). questia trusted On Line Research. Recuperado el
18 de Diciembre de 2012, de Multiple Intelligences: Theory in
practice: http://www.questia.com/PM.qst?a=o&d=96971317 Pág.
138)
496
GISBERT, M. & ESTEVE, F. (2011). Digital learners: la competencia
digital de los estudiantes universitarios. Recuperado el 29 de
Diciembre de 2012, de La Cuestión Universitaria - Boletín
Electrónico de la Cátedra UNESCO de Gestión y Política
Universitaria:
http://www.lacuestionuniversitaria.upm.es/web/articulo.php?id_artic
ulo=83 (Pág. 169)
GOMES, A. (2007). Modelos Educativos en la Sociedad del
Conocimiento. Recuperado el 19 de Diciembre de 2012, de Portal e
Tutores: http://www.etutors-portal.net/portal-contents-es-
es/pedagogy-es-
es/Modelos_Educativos_Sociedad_Conocimiento.pdf (Pág. 156)
GÓMEZ, M. (2006). Introducción a la Metodología de la Investigación
Científica (5ta. ed.). Córdoba, Argentina: Editorial Brujas. (Pág.
194)
GRASHA, T. (1996). Teaching with Style. San Bernadino, CA, USA:
Anthony Grasha en 1996. (Pág. 66)
HERNÁNDEZ, A. (2008). Experiencias de aprendizaje en la era digital:
Algunas orientaciones para su diseño. Recuperado el 20 de
Diciembre de 2012, de Monografias.com:
http://www.monografias.com/trabajos62/experiencias-aprendizaje-
era-digital/experiencias-aprendizaje-era-digital2.shtml (Pág. 104)
HERNÁNDEZ, R. , FERNÁNDEZ, C. & BAPTISTA, P. (2003). Metodología
de la Investigación (3ra. ed.). Mc Graw Hill Interamericana. (Pág.
195)
497
HONEY, P. & MUNFORD, A. (1986). The Manual of Learning Styles.
Maidenhead, Berkshire, United Kingdom: Peter Honey Associates.
(Pág. 65)
ITAA. (2007). INFORMATION TECHNOLOGY ASSOCIATION OF
AMERICA - TIC.Recuperado el 19 de Diciembre de 2012, de
Espacio Común del Sistema de Institutos Tecnológicos de México:
http://miespaciocomun.com/pmwiki.php?n=Main.TIC (Pág. 155)
JOHNSON, D. (1992). “Cooperative learning increasing”. Washinton D.C.,
College Faculty, ERIC Digest.Recuperado el 20 de Diciembre de
2012, de OID UCLA Office of Intruccional Development:
http://www.oid.ucla.edu/units/tatp/old/lounge/pedagogy/downloads/
cooperative-eric.pdf (Pág. 98)
KOZMA, R. (2011). ICT, Education Transformation, and Economic and
Social Development.Obtenido de Robert Kozma 27 04 2011 pptx:
http://ebookbrowse.com/robert-kozma-27-04-2011-pptx-
d147425271 (Pág. 393)
LARA, J. , CAMACHO, M., MURILLO, E. y SALAZAR, M. (2007). Modelos
Pedagógicos en la Educación a Distancia apoyados en TIC, pág.
32. Recuperado el 20 de Diciembre de 2012, de Revista Acción
Educativa No. 7, Universidad de Sinaloa:
http://face.uasnet.mx/revistacise7_1_.pdf.pdf (Pág. 172)
LEÓN, F. (2011). 8 grandes ideas. Recuperado el 17 de Diciembre de
2012, de Gobierno de Canarias un solo pueblo - Consejería de
Educación, Universidades y Sostenibilidad:
498
http://www2.gobiernodecanarias.org/educacion/clicescuela20/blog/
blog/2011/11/25/8-grandes-ideas/ (Pág. 133)
LERMA, H. (2011). En Metodología de la investigación. Propuesta,
anteproyecto y proyecto (Cuarta ed., pág. 72). Bogotá: ECOE
Ediciones. (Pág. 189, 190)
LIBEDINSKY, M. (1995). La utilización del correo electrónico en la
escuela, en Litwin. En Tecnología educativa: políticas, historias,
propuestas (págs. 275-288). Buenos Aires: Paidós. (Pág. 138)
LICONA, A. (2011). Ponencia Mesa 1: Formación docente para el uso de
las TIC. Apuntes de Pedagogía y Didáctica para el ejercicio de la
actividad docente en el Aula Virtual. Mallorca, España. (Pág. 22)
LÓPEZ, M. (2007). La formación del profesorado universitario en
tecnologías de la información y comunicación. Recuperado el 19 de
Diciembre de 2012, de Universidad de Caldas Lumina Spargo -
Revista Vector:
http://vector.ucaldas.edu.co/downloads/Vector2_5.pdf (Pág.161)
LU, P. (2011). Parvy Lu. Recuperado el 18 de Diciembre de 2012, de
Software Educativo: http://parvy.blogspot.com/ (Pág. 142)
LUNDVALL, B. (2002). “The University in the Learning Economy”. Druid
Working Papers, 2002, núm. 6. Recuperado el 20 de Diciembre de
2012, de DRUID: http://www.druid.dk/wp/pdf_files/02-06.pdf (Pág.
98)
499
MAGER, R. (1967). Formulación operativa de objetivos didácticos. Madrid:
Marova. (Pág. 135)
MAJÓ, J. (2003). Nuevas tecnologías y educación. Recuperado el 19 de
Diciembre de 2012, de UOC Universitat Oberta de Catalunya:
http://www.uoc.edu/web/esp/articles/joan_majo.html (Pág. 150)
MAO, I. (2008). Sharism: A Mind Revolution.Recuperado el 20 de
Diciembre de 2012, de Joi Ito FREESOULS captured and released:
http://freesouls.cc/essays/07-isaac-mao-sharism.html (Pág. 99)
MARQUÉS, P. (2011). La Enseñanza. Buenas Prácticas. La Motivación.
Recuperado el 5 de Diciembre de 2012, de
http://www.peremarques.net/actodid.htm (Pág. 50, 51)
MARQUÉS, P. (2011). Los Medios Didácticos. Recuperado el 17 de
Diciembre de 2012, de Tecnología Educativa - Web Pere Marqués:
http://peremarques.pangea.org/medios.htm (Pág. 129)
MARTÍN, J., BELTRÁN, J y PÉREZ, L. (2003). Impacto de las TIC en
Educación: Funciones y limitaciones. Recuperado el 19 de
Diciembre de 2012, de Tecnología Educativa: Web Pere Marqués:
http://www.peremarques.net/siyedu.htm (Pág. 150)
MCCARTHY, B. (1987). The 4MAT system : teaching to learning styles
with right/left mode techniques.Barrington,IL: Excel. (Pág. 65)
MISHRA & KOEHLER. (2006). Mishra & Koehler 2006. Recuperado el 17
de Diciembre de 2012, de WizIQ education.online:
500
http://www.wiziq.com/tutorial/71615-Mishra-amp-Koehler-2006
(Pág. 125)
MISHRA & KOEHLER. (2008). Mishra & Koehler 2008. Recuperado el 17
de Diciembre de 2012, de WizIQ education.online:
http://www.wiziq.com/tutorial/71616-Mishra-amp-Koehler-2008
(Pág. 125)
MORÍN, E. (1999). Los 7 saberes necesarios para la educación del futuro.
(1ra. ed.). (UNESCO, Ed.) París., Francia: Santillana. (Pág. 45)
MUÑOZ, E. y MORENO, J. (2009). La actitud 2.0 en la Docencia
Universitaria ante los nuevos planes de estudio del EEES.
Obtenido de Grupo de Tecnología Educativa - Universidad de
Sevilla:
http://tecnologiaedu.us.es/tecnoedu/images/stories/curso_actitud_2
_0.pdf (Pág. 143)
NOVAK, J. & BOWIN, D. (1988). Aprendiendo a aprender. Barcelona:
Ediciones Martínez Roca. (Pág. 137)
OCHOA DEL RIO, J. (2009). eumed.net. Obtenido de Aproximación al
enfoque por competencia desde la perspectiva epistemológica, en
Contribuciones a las Ciencias Sociales:
http://www.eumed.net/rev/cccss/06/jaor.htm (Pág. 169)
O'REILLY, T. (2006). Qué es Web 2.0. Patrones del diseño y modelos del
negocio para la siguiente generación del software. Recuperado el
18 de Diciembre de 2012, de Telefonica:
http://sociedadinformacion.fundacion.telefonica.com/DYC/SHI/secci
501
on=1188&idioma=es_ES&id=2009100116300061&activo=4.do?ele
m=2146 (Pág. 143)
ORTIZ, F. (2004). Diccionario de Metodología de la Investigación
Científica. México, México: LIMUSA. (Pág. 197)
OSPINA, A. (2008). Modelo Educativo Básico. Recuperado el 18 de
Diciembre de 2012, de 300 líderes: http://300-
lideres.blogspot.com/2008/11/modelo-educativo-bsico.html (Pág.
198)
PERKINS, D. (1985). The Fingertip Effect: How Information-Processing
Technology Shapes Thinking. En Educational Researcher (págs.
Vol. 14, No. 7 (Aug. - Sep., 1985), pp. 11-17). Washington:
American Educational Research Association. (Pág. 138)
PERKINS, D. (1995). David Perkins. Recuperado el 17 de Diciembre de
2012, de Project Zero Harvard Graduate School of Education:
http://pzweb.harvard.edu/pis/DP.htm (Pág. 137)
POMPEYA, V. (2008). “Blended Learning”. La importancia de la utilización
de diferentes medios en el proceso educativo. Recuperado el 14 de
Diciembre de 2012, de Post-Grado Facultad de Informática -
Universidad Nacional de La Plata:
http://postgrado.info.unlp.edu.ar/Carreras/Magisters/Tecnologia_Inf
ormatica_Aplicada_en_Educacion/Tesis/Eliana_Lopez.pdf (Pág.
71)
502
PONT, B. (2000). La integración de las TICs en el proceso educativo: Una
visión internacional. Paper presentado en Seminario Internacional
de la Red Enlaces. Santiago, Chile. (Pág. 39)
RIVEROS, V., MENDOZA, M. y CASTRO, R. (2011). La Matemática y las
Tecnologías de la Información y Comunicación. Una aproximación
teórica. Página 7. Recuperado el 16 de Diciembre de 2012, de
Universidad de los Andes Venezuela: http://servidor-
opsu.tach.ula.ve/7jornadas_i_h/paginas/doc/JIHE-2011-PT170.pdf
(Pág. 122)
RODRÍGUEZ, E. (2009). Importancia de las TIC en el proceso enseñanza-
aprendizaje. Recuperado el 18 de Diciembre de 2012, de
eumed.net: http://www.eumed.net/rev/ced/09/emrc2.htm (Pág.149)
RODRÍGUEZ, E. (2010). Kit básico para un Profesor 2.0. Recuperado el
18 de Diciembre de 2012, de iberestudios Internacional:
http://noticias.iberestudios.com/kit-basico-para-un-profesor-2-0/
(Pág. 143, 172)
RODRÍGUEZ, I. (2004). La Matemática y las Tecnologías de la
Información y Comunicación. Una aproximación teórica. Página 8.
Recuperado el 16 de Diciembre de 2012, de Universidad de los
Andes Venezuela: http://servidor-
opsu.tach.ula.ve/7jornadas_i_h/paginas/doc/JIHE-2011-PT170.pdf
(Pág. 122)
SALKIND, N. (1999). Métodos de Investigación. México, México: Prentice
Hall. (Pág. 197)
503
SAN MARTÍN, A. (2009). Convergencia tecnológica: la producción de
pedagogías high tech. Página 144. Recuperado el 10 de Diciembre
de 2012, de Revista Electrónica Teoría de la Educación.Educación
y Cultura en la Sociedad de la Información.:
http://campus.usal.es/~teoriaeducacion/rev_numero_10_01/MONO
GRAFICO_CONVERGENCIA_TECNOLOGICA.pdf (Pág.40)
SCHUNK, D. (1991). Self-efficacy and academic motivation. Educational
Psychologist, 26,(3 & 4), 201-231. Estados Unidos. (Pág. 111)
SEELY, J. (2008). Minds of FIRE, Open Education, The Long tail, the
Learning 2.0.Recuperado el 20 de Diciembre de 2012, de John
Seely Brown: http://www.johnseelybrown.com/mindsonfire.pdf (Pág.
98)
SHUELL, T. (1990). Phases of meaningful learning. Review of Educational
Research, 60. Effective School Practices, Summer 1993, 531-547.
(Pág. 80)
SIEMENS, G. (2004). Connectivism: A Learning Theory for the Digital
Age. Recuperado el 20 de 12 de 2012, de elearnspace:
http://www.elearnspace.org/Articles/connectivism.htm (Pág. 93)
STERNBERG, R. (1997). Robert Sternberg: los perfiles de estilos y la
inteligencia. Recuperado el 16 de Diciembre de 2012, de Centros
de Comunidad de Aprendizaje:
http://www.cca.org.mx/profesores/cursos/cep21-
tec/modulo_2/modelo_robert_sternberg.htm (Pág. 66)
504
TORO, P., OCHOA, P., VILLEGAS, G. & ZEA, C. (2004). Primer
Congreso Internacional de Educación Mediada con Tecnologías -
Competencias deseables de un docente universitario en el uso de
las tecnologías de información y comunicación (TIC). Recuperado
el 19 de Diciembre de 2012, de Universidad del Norte:
http://www.uninorte.edu.co/divisiones/iese/lumen/ediciones/5/articul
os/competencias.pdf (Pág. 163)
TÜNNERMANN, C. (1998). EL rol del Docente en la Educación Superior
del siglo XXI. Recuperado el 19 de Diciembre de 2012, de
Universidad Nicaragüense de Ciencia y Tecnología:
http://www.ucyt.edu.ni/Download/EL_ROL_DEL_DOCENTE_EN_L
A_E_S_DEL_SIGLO_XXI.pdf (Pág. 159)
TÜNNERMANN, C. (2000). Universidad y sociedad: balance histórico y
perspectivas desde Latinoamérica (1ra. ed.). Caracas, Venezuela:
IMPRIMATUR. (Pág. 17)
UBIETO, M. & UBIETO, A. (2011). Competencias en TIC y Plataformas
educativas en la Universidad. Página 2. Recuperado el 15 de
Diciembre de 2012, de Educación Mediática & Competencia Digital
- La Cultura de la Participación:
http://www.educacionmediatica.es/comunicaciones/Eje%201/M%C
2%AA%20Isabel%20Ubieto%20Artur%20-
%20Antonio%20Paulo%20Ubieto%20Artur.pdf (Pág. 170)
UNESCO. (2008). OEI, Eduteka. (Eduteka, Editor) Recuperado el 15 de
Diciembre de 2012, de Estándares de competencias en TIC para
Docentes: http://www.oei.es/tic/UNESCOEstandaresDocentes.pdf
(Pág. 17)
505
UNESCO. (2008). UNESCO's ICT Competency Standards for
Teachers.Recuperado el 19 de Diciembre de 2012, de UNESCO -
Communication and Information: http://cst.unesco-
ci.org/sites/projects/cst/The%20Standards%20SP/Forms/AllItems.a
spx (Pág. 165, 170)
UNESCO. (2011). ICT COMPETENCY FRAMEWORK FOR
TEACHERS.Recuperado el 20 de Diciembre de 2012, de
UNESCO:
http://unesdoc.unesco.org/images/0021/002134/213475e.pdf (Pág.
166)
UNIVERSIDAD DE GUAYAQUIL. (2011). Universidad de Guayaqul.
Recuperado el 27 de Febrero de 2012, de
http://www.ug.edu.ec/infopublica/paginas/planestrategico/objetivos.
aspx (Pág. 14, 179)
UPEL. (2006). FEDUPEL. (Pág. 187)
VALLEJO, C. (2013). Gobierno de España, Ministerio de Educación,
Cultura y Deporte, Observatorio Tecnológico. Obtenido de
http://recursostic.educacion.es/observatorio/web/es/cajon-de-
sastre/38-cajon-de-sastre/1092-monografico-introduccion-de-las-
tecnologias-en-la-educacion?start=1 (Pág. 126)
VALVERDE, J. & GARRIDO, M. (1999). El impacto de las Tecnologías de
la Información y la Comunicación en los roles docentes
universitarios. Recuperado el 19 de Diciembre de 2012, de
Asociación Universitaria de Formación del Profesorado:
506
http://aufop.com/aufop/uploaded_files/articulos/1224337118.pdf
(Pág. 157)
VELASCO, M. (2011). Tecnología Curricular. Recuperado el 18 de
Diciembre de 2012, de mirovelasco:
http://mirovelasco.blogia.com/2011/021101-tecnologia-
curricular.php (Pág. 147)
VIDAL DÍAZ DE RADA. (2001). Diseño y elaboración de cuestionarios
para la investigación comercial. Madrid, España: ESIC. (Pág. 195)
ZAPATA, Ó. (2005). La aventura del pensamiento crítico - Herramientas
para elaborar tesis e investigaciones socio-educativas. México,
México: Pax México. (Pág. 195)
507
BIBLIOGRAFÍA GENERAL
ALTBACH, Philip, REISBERG, Liz y RUMBLEY, Laura (2009). Trends in
Global Higher Education: Tracking and Academic Revolution.
UNESCO.París – Francia.
BALASUBRAMANIAN, K., CLARKE-OKAH, Willie, DANIEL, John,
FERREIRA, Frances, KANWAR, Asha, KWAN, Angela, LESPERANCE,
John, MALLET, Joshua, UMAR, Abdurrahman y WEST, Paul.(2009). ICTs
for Higher Education.United Nations Educational, Scientific and Cultural
Organization. UNESCO. París – Francia.
BARBERO, Jesús (2009). Universidad de Salamanca, Revista Electrónica
Teoría de la Educación. Educación y Cultura en la Sociedad de la
Información. Cuando la tecnología deja de ser una ayuda didáctica para
convertirse en mediación cultural. Vol. 10. Nº 1, Marzo 2009.
CABERO, Julio (2011), Nuevas tecnologías aplicadas a la Educación. Mc.
Graw Hill. España. ISBN 8448156110.
DELORS, Jacques y otros (1996). Informe a la UNESCO de la Comisión
Internacional sobre la educación para el siglo XXI, presidida por Jacques
Delors. La educación encierra un tesoro. Editorial Santillana.
DIRECCIÓN DE DESARROLLO ACADÉMICO DE LA UNIVERSIDAD
DEL VALLE DE MÉXICO (2009). Modelo Andragógico, Fundamentos.
1ra. Edición. México D.F. ISBN 978-607-95039-3-2.
GALVIS, Álvaro (2008). La PIOLA y el desarrollo profesional docente con
apoyo de Tecnologías de Información y Comunicación-TIC, Metacursos,
Bogotá.
508
GARITA, Luis (2008). La Didáctica Universitaria en el Contexto de la
Andragogía: Aprender a aprender en la educación de personas adultas.
TEC Empresarial Vol. 2 Ed. 2.
GOBIERNO DE LA REPÚBLICA DEL ECUADOR (2010). Ley Orgánica de
Educación Superior, Registro Oficial No. 298, 12 de octubre del 2010.
Quito – Ecuador.
LUGO, María y VALENCIA, Kelly (2011). El modelo 1 a 1: un compromiso
por la calidad y la igualdad educativas. La gestión de las TIC en la
escuela secundaria: nuevos formatos institucionales. Ministerio de
Educación de La Nación. Buenos Aires - Argentina.
MORÍN, Edgar (1999). Los siete saberes necesarios para la educación
del futuro. Editorial Santillana. París – Francia.
RODRÍGUEZ, Rosa (2010), Universidad de Salamanca, Revista
Electrónica Teoría de la Educación. Educación y Cultura en la Sociedad
de la Información. El impacto de las TIC en la transformación de la
enseñanza universitaria: repensar los modelos de enseñanza y
aprendizaje. Vol. 11. Nº 1.
TÜNNERMANN, Carlos (2001). Universidad y sociedad: Balance histórico
y perspectivas desde América Latina, 1ra. Edición, Editorial Hispamer,
Managua - Nicaragua.
UNESCO (1998). Conferencia Mundial sobre la Educación Superior. La
educación superior en el siglo XXI. Tomo I, Informe Final. 5-9 de octubre.
UNESCO. París – Francia.
509
UNESCO (2005). Informe mundial de la UNESCO. Hacia las Sociedades
del Conocimiento. Ediciones UNESCO.
UNESCO (2009). Conferencia Mundial sobre la Educación Superior -
2009: La nueva dinámica de la educación superior y la investigación para
el cambio social y el desarrollo. Comunicado. 5-8 de julio. UNESCO. París
– Francia.
UNESCO, ALLEN, Nancy, ANDERSON, Jonathan, DAVIS, Niki,
MURANOV, Alexey y UVAROV, Alexander (2004). Las Tecnologías de la
Información y la Comunicación en la Formación Docente. Guía de
Planificación. UNESCO. Edición en español Ediciones TRILCE.
Montevideo – Uruguay.
UNESCO AND MICROSOFT (2011).UNESCO ICT COMPETENCY
FRAMEWORK FOR TEACHERS.UNESCO.United Nations Educational,
Scientific and Cultural Organization. París – Francia.
510
LINKOGRAFÍA GENERAL
Consultada al 27 de junio del 2013
ADELL, Jordi (2010). El diseño de actividades didácticas con TIC,
JEDI2010, Bilbao. http://www.slideshare.net/epdrntr/jordi-adell-el-
diseo-de-actividades-didcticas-con-tic-jedi2010-bilbao
AGUILERA, Jorge (2010).Sharismo, la esencia de la Web
2.0.http://comunicacioninternayclima.blogspot.com/2010/01/sharismo-
la-esencia-de-la-web-20.html
AGUSTÍN, José (2009). La Gestión Docente Hoy, Perfil.
http://www.slideshare.net/intecsocial/jos-agustn-de-miguel-intec-
ucateci
ÁLVAREZ, David (2010). Organizando los PLE.http://e-
aprendizaje.es/2010/03/05/organizando-los-ple/
ÁLVAREZ, David (2012). PLE: Gestión del Conocimiento y
Colaboración en Red.http://www.slideshare.net/balhisay/ple-gestin-del-
conocimiento-y-colaboracin-en-red?from=ss_embed
AVALOS, Marco (2011). Conectivismo y educación(comparación con
teorías educativas).http://es.scribd.com/doc/48666768/Conectivismo-y-
educacion
BÁEZ, Leticia (2008).
Aprendizaje/Interaccion.http://lettbaso132.blogspot.com/2008_09_07_a
rchive.html
511
BAUTISTA, Rocío (2008). Desarrollo de competencias a través de la
educación a distancia, “Estándares UNESCO de Competencias en TIC
para
Docentes”.http://www.temachtiani.com/onteanqui2/.../competenciasEn
TIC.pps
CALZADILLA, María (2008). Modelo teórico metodológico para la
incorporación de las tecnologías de información y comunicación en la
formación docente de pregrado a
distancia.http://www.scielo.org.ve/scielo.php?pid=S1316-
00872008000300011&script=sci_arttext
CAMPOS, Yolanda (2007). Enfoque humanista integrador de la
Educación Informática. Un modelo de aplicación en el
aula.http://www.camposc.net/0repositorio/presentaciones/.
07someceCamposYolanda.pdf
CAMPOS, Yolanda(2011). Competencias matemáticas e informáticas
para la vida en la educación básica. Un enfoque humanista integral.
http://www.somece.org.mx/Simposio2011/Memoria/Modelos_2_files/C
amposCamposYolanda.doc
CAMPOS, Yolanda (2009). Innovación de estrategias didácticas y
Educación
Informática.http://www.slideshare.net/yolacamposc/093innovacion-
estrategias-informatica-v07
CASTAÑEDA, Linda (2009). Las universidades apostando por las TIC:
Modelos y paradojas de cambio institucional.
http://edutec.rediris.es/Revelec2/revelec28/edutec28_universidades_a
postando_tic.html
512
CENTRO ARAGONÉS DE TECNOLOGÍAS PARA LA EDUCACIÓN
(2008). Trabajo colaborativo y aprendizaje cooperativo.
http://www.catedu.es/competencias/Materiales/01%20Trabajo%20cola
borativo.pdf
CENTRO INTERNACIONAL DE TECNOLOGÍAS AVANZADAS-CITA
(2011). Jordi Adell y Linda Castañeda: El desarrollo profesional de los
Docentes en la era de Internet, entornos personales de aprendizaje
(PLE).http://www.slideshare.net/citafgsr/jordi-adell-y-linda-castaeda-el-
desarrollo-profesional-de-los-docentes-en-la-era-internet-entornos-
personales-de-aprendizaje-ple
CEVALLOS, Jorge (2012). Las orientaciones de la formación de los
profesores de la educación superior para el siglo xxi en México" en
Atlante. Cuadernos de Educación y Desarrollo.
http://atlante.eumed.net/las-orientaciones-de-la-formacion-de-los-
profesores-de-la-educacion-superior-para-el-siglo-xxi-en-mexico/.
CHURCHES, Andrew (2009). Taxonomía de Bloom para la era
digital.http://www.eduteka.org/TaxonomiaBloomDigital.php
COLEGIO DE POST-GRADUADOS, Financiera Rural (2009). Las
bases del aprendizaje. Jesús
Flores.http://www.smt.colpos.mx/16/mp._las_bases_del_aprendizaje._j
esus_flores.doc
COUROS, Alec (2008). CNIE
Presentation.http://www.slideshare.net/courosa/cnie-presentation-
379583
513
COUROS, Alec (2009).Knock Down the Walls: Toward a Model of
Open Teaching.http://www.slideshare.net/courosa/knock-down-the-
walls-toward-a-model-of-open-teaching
COUROS, Alec (2010). Rethinking Teaching & Learning in a
Networked Reality. http://www.slideshare.net/courosa/rethinking-
teaching-learning-in-a-networked-reality
DOWNES, Stephen (2009). Connectivist Dynamics in Communities.
http://halfanhour.blogspot.com/2009/02/connectivist-dynamics-in-
communities.html
EDUTEKA(2008). Un modelo para integrar las TIC al Currículo
Escolar. http://www.eduteka.org/modulos.php?catx=8&idSubX=251
EDUTEKA (2009). Estándares para Estudiantes, Docentes y
Directivos. http://www.eduteka.org/modulos/11/346
FIGUEROA, Willy (2010). Preguntas al diseñar un Proceso Educativo.
http://willyfigueroa.wordpress.com/2010/08/21/preguntas-al-disenar-
un-proceso-educativo/
FIGUEROA, Willy (2011). Aprender de TIC y aprender con TIC.
http://willyfigueroa.wordpress.com/tag/pedagogia/
GALLARDO, Eliana, MARQUÉS, Luís, GISBERT, Mercé (2011).
Propuesta de Competencias TIC en el marco del Programa Nacional
de Formación y Capacitación Docente (PRONAFCAP) (Perú), Revista
Iberoamericana de Educación, 25 de Mayo, ISSN: 1681-5653.
http://www.rieoei.org/deloslectores/3617Gallardo.pdf
514
GALLEGOS, Guillermo (2007), Visión General de la Informática
Educativa.http://www.slideshare.net/guillermo/informtica-educativa
GARCÍA, Ana (2008). La evaluación del trabajo colaborativo con las
herramientas 2.0: Una propuesta de aplicación universitaria.
http://www.mentalidadweb.com/wp-
content/uploads/2008/07/annagarciasans_comunicacion_evaluacion_ti
c.pdf
GONZÁLEZ, Mónica (2011). Mapa Conceptual Estrategias de
Aprendizaje.http://mgonzalezperez30.blogspot.com/2011/06/mapa-
conceptual-estrategias-de.html
GOBIERNO FEDERAL DE MÉXICO (2011). Curso básico de
Formación Continua para Docentes en Servicio 2011. Relevancia de
la profesión docente en la escuela del nuevo milenio.
http://es.scribd.com/doc/59189904/Curso-Basico-de-Formacion-
Continua-para-Maestros-en-Servicio-2011
GOBIERNO NACIONAL DELA REPÚBLICA DEL ECUADOR (2010).
Ley Orgánica de Educación Superior, Registro Oficial No. 298.
http://www.senplades.gov.ec/web/18607/ley-educacion-superior
GÓMEZ, Aida (2007), Modelos Educativos en la Sociedad del
Conocimiento. http://www.etutors-portal.net/portal-contents-es-
es/pedagogy-es-es/Modelos_Educativos_Sociedad_Conocimiento.pdf
HAJDU, Bianka (2009), Sharismo.
http://www.biankahajdu.com/2009/12/05/sharismo/
515
HARO, Juan (2008), Aplicaciones 2.0.
http://jjdeharo.blogspot.com/2010/02/herramientas-para-una-
educacion-20.html
HERNÁNDEZ, Ana (2008). Experiencias de aprendizaje en la era
digital: Algunas orientaciones para su
diseño.http://www.monografias.com/trabajos62/experiencias-
aprendizaje-era-digital/experiencias-aprendizaje-era-
digital2.shtml#xorient
JONCALVES, Nolberto, ALONSO, José (2009). Una aproximación de
la innovación educativa desde la formación tecnológica del docente,
Revista Ciencias de la Educación No. 34, Julio-Diciembre, Facultad de
Ciencias de la Educación, Universidad de Carabobo, Valencia,
Venezuela. http://servicio.bc.uc.edu.ve/educacion/revista/n34/art11.pdf
JUNTA DE ANDALUCÍA (2008). Las TIC en la práctica docente:
Desarrollo e integración curricular. Gestión de centros TIC-
DIG.http://www.juntadeandalucia.es/averroes/cepcastilleja/planactuaci
on/linea_tic_pac_0809/index.html
KOSAK, Débora (2009). Las TIC y la Formación Docente.
http://www.ramiropol.com.ar/wp-content/uploads/2009/09/2009-Kozak-
1-copia.pdf
KOZMA, Robert (2011). ICT, Education Transformation, and
Economic and Social Development. http://ebookbrowse.com/robert-
kozma-27-04-2011-pptx-d147425271
516
LEÓN, Francisco (2011), 8 grandes
ideas.http://www2.gobiernodecanarias.org/educacion/clicescuela20/blo
g/blog/2011/11/25/8-grandes-ideas/
LICONA, Ana (2011). Apuntes de Pedagogía y Didáctica para el
ejercicio de la actividad docente en el Aula Virtual.
http://gte2.uib.es/edutec/sites/default/files/congresos/edutec11/Ponenci
as/Mesa%201-
def/Apuntes%20de%20pedagog%C3%ADa%20y%20did%C3%A1ctica
%20para%20el%20ejercicio%20de%20la%20actividad%20docente%2
0en%20el%20aula%20virtual.pdf.
LARA, Tíscar (2009). Competencias digitales en un entorno de
conocimiento abierto.http://www.slideshare.net/tiscar/competencias-
digitales-y-conocimiento-abierto
LIZCANO. Rafael, RODRÍGUEZ, Alexander y PARRA, Wilmer (2006).
Ponencia sobre software de apoyo al diagnóstico y clasificación de
estudiantes por estilo de aprendizaje para soportar actividades de un
proceso formativo en un ambiente virtual de aprendizaje, Universidad
Industrial de Santander.http://ebookbrowse.com/articles-108461-
archivo-pdf-d31741123
MAESTROS Y DIÁLOGOS(2006). El modelo de David
Kolb.http://maestrosycontextos.blogdiario.com/1156093080/
MARQUÉS, Pere (2008). La escuela del 2015, las competencias tic
del docente.
http://uab.academia.edu/PereMarques/Papers/323748/Las_competenc
ias_TIC_del_docente
517
MARQUÉS, Pere (2011). La enseñanza. Buenas prácticas. La
motivación.http://peremarques.pangea.org/actodid.htm
MARQUÉS, Pere (2011).Los medios didácticos.
http://peremarques.pangea.org/medios.htm
MARQUÉS, Pere (2012). ¿Qué es un curriculum bimodal? (versión
3.0). http://peremarques.blogspot.com/2011/09/que-es-el-curriculum-
bimodal-i.html
MINISTERIO DE EDUCACIÓN DEL GOBIERNO DE CHILE, CENTRO
DE EDUCACIÓN Y TECNOLOGÍA-ENLACES (2010). Actualización de
competencias y estándares tic en la profesión docente, Mayo.
http://es.scribd.com/doc/39080799/Competencias-y-estandares-TIC-
en-la-profesion-docente
MINISTERIO DE EDUCACIÓN NACIONAL DE LA REPÚBLICA DE
COLOMBIA, PROGRAMA NACIONAL DE INNOVACIÓN EDUCATIVA
CON USO DE TIC, PROGRAMA ESTRATÉGICO PARA LA
COMPETITIVIDAD (2008). Ruta de apropiación de TIC en el
Desarrollo Profesional Docente.
http://competenciasdigitales1.wikispaces.com/file/view/Ruta+apropiaci
%C3%B3n+de+TIC+en+el+desarrollo+profesional+docente+para+edu
caci%C3%B3n+superior+MEN.pdf
MINISTERIO DE EDUCACIÓN NACIONAL DE LA REPÚBLICA DE
COLOMBIA, PROGRAMA NACIONAL DE USO DE MEDIOS Y
NUEVAS TECNOLOGÍAS, RUTA DE DESARROLLO PROFESIONAL
DOCENTE PARA EL USO DE NUEVAS TECNOLOGÍAS (2008).
Apropiación de TIC en el Desarrollo Profesional Docente, Versión 2.0.
518
http://www.iered.org/cmapserver/servlet/SBReadResourceServlet?rid=
1H1GMHSFS-1RHS5MF-1LQ
MUÑOZ, Elisa y MORENO, José (2009). La actitud 2.0 en la docencia
universitaria ante los nuevos planes de estudio del
EEES.http://tecnologiaedu.us.es/tecnoedu/images/stories/curso_actitu
d_2_0.pdf
NAVAJO, Pablo (2010). Nuevas formas de aprender: El Conectivismo.
http://www.iniciativasocial.net/?p=288#sdfootnote3sym
OLMOS, Maritza, TORO, Ruth (2011). Las TIC en la Formación
Docente, una perspectiva global.
http://www.publicaciones.urbe.edu/index.php/REDHECS/article/view/7
33/2323
PALMA, Juan (2011). Artículo. La Alfabetización Informativa
Tecnológica: Estrategia fundamental para la educación del siglo
XXI.http://eprints.rclis.org/17385/1/rd22-jmpp-11.pdf.
PASCUAL, José (2008). Introducción al uso de software
educativo.http://www.slideshare.net/Sisifo08/software-educativo-
introduccin-presentation
PÉREZ, María, AGUADED, José, FANDOS, Manuel (2009). Una
política acertada y la formación permanente del profesorado, claves en
el impulso de los centros tic de Andalucía (España), Revista
Electrónica de Tecnología Educativa No. 29 Julio, ISSN: 1135-9250.
http://edutec.rediris.es/Revelec2/revelec29/articulos_n29_pdf/1Edutec-
E_Amor-Aguaded-Fandos_n29.pdf
519
PAZOS, Fernando (2012). Organizaciones de aprendizaje,
Universidad Yacambú, Vicerrectorado de Investigación y Postgrado,
Instituto de Investigación y Postgrado.
http://www.slideshare.net/fpazosd/organizaciones-de-aprendizaje-
14610840
PINTOS, Painé y KABUSH, Andrés (2008).El uso de las TIC en el
proceso enseñanza/aprendizaje.
http://www.slideshare.net/painni/introduccin-a-las-tics-presentation
QUINTANA, Emilio (2010).Cognición, creatividad y sharismo.
http://www.nodosele.com/blog/2010/10/02/cognicion-creatividad-y-
sharismo/
QUINTANA, Juan (2009), Teorías del Aprendizaje – 1ra parte.
http://www.slideshare.net/saberes/teorias-aprendizaje-i
QUINTANA, Juan (2009), Teorías del Aprendizaje – 2da parte.
http://www.slideshare.net/blueistar/teorias-aprendizaje-b
LÓPEZ, Marcelo (2007), La formación del profesorado universitario en
tecnologías de la información y
comunicación.http://vector.ucaldas.edu.co/downloads/Vector2_5.pdf
RIVEROS, Víctor, MENDOZA, María y REXNE Castro (2011).La
Matemática y las Tecnologías de la Información y la Comunicación.
Una aproximación teórica. http://servidor-
opsu.tach.ula.ve/7jornadas_i_h/paginas/doc/JIHE-2011-PT170.pdf
520
RODRÍGUEZ, Enrique (2011). Red-Educación: Pedagogía 2.0.
http://blog.wiseri.com/es/espanol-red-educacion-pedagogia-2-0/
RODRÍGUEZ, Eva (2010). Kit para un Profesor 2.0.
http://noticias.iberestudios.com/kit-basico-para-un-profesor-2-0/
ROMERO, Rosalía (2009). Utilización de las TIC en la Educación
Universitaria.
http://www.pucmm.edu.do/RSTA/Academico/TE/Documents/ticeducaci
onuniv.pdf
RUBIO, Enrique (2009), Aprender a Ser y Estar (eCompetencias), en
la Sociedad y Economía del Conocimiento: Aprendizaje
2.0.http://www.slideshare.net/erubio/presentacion-aprender-a-ser-2
SÁNCHEZ, Antonio, BOIX Josep, JURADO, Pedro (2009). La
sociedad del conocimiento y las tics: una inmejorable oportunidad para
el cambio docente, Pixel-Bit Revista de Medios y Educación No. 34,
Enero 2009. http://www.sav.us.es/pixelbit/pixelbit/articulos/n34/13.pdf
SCHUSCHNY, Andrés (2008).Sharismo (Compartismo): Una
revolución de la
mente.http://humanismoyconectividad.wordpress.com/2008/12/09/shar
ismo/
SIMOSA, Lenny (2010). Ensayo sobre las Teorías
Educativas.http://lennysimosa1.blogspot.com/2010/12/ensayo-sobre-
las-teorias-educativas.html
SPADONI, Gabriela (2010). Incidentes críticos para potenciar la
utilización de las TIC.
521
http://eduticsantafe.blogspot.com/2010/01/incidentes-criticos-para-
potenciar-la.html
SPADONI, Gabriela (2011). Formación Docente sobre TIC y
Educación:
Especialización.http://eduticsantafe.blogspot.com/2011/01/formacion-
docente-sobre-tic-y-educacion.html
THODE, Marina (2011). El aprendizaje en el cerebro
humano.http://www.cursodirecto.com/blog/aprendizaje-cerebro-
humano
TOBÓN, Martha, ARBELÁEZ, Martha, FALCÓN, María, BEDOYA,
José (2010). La formación docente al incorporar las tic en los
procesos de enseñanza y aprendizaje, una propuesta para la
Universidad Tecnológica de Pereira, Colombia, ISBN: 978-958-722-
066-7. http://www.slideshare.net/misabell/el-docente-y-las-tic-
4476500
TREJO, Renán (2010). Teorías del Aprendizaje y su Relación con las
TICs. http://www.slideshare.net/willcho/teorias-del-aprendizaje-
aplicadas-a-las-tics
UNIVERSIDAD DE LAS PALMAS DE GRAN CANARIA (2010). Plan
de Formación Continua del Personal Docente e Investigador, Vice-
Rectorado de Profesorado de la ULPGC.
http://teguise.gestion.ulpgc.es/hege/almacen/download/7083/7083267/
plan_de_formacion_del_pdi.pdf
522
UNESCO (1998). Declaración Mundial sobre la Educación Superior en
el siglo xxi: Visión y acción.
http://www.unesco.org/education/educprog/wche/declaration_spa.htm
UNESCO (2005). Formación Docente y las Tecnologías de la
Información y Comunicación, Experiencias de formación docente
utilizando Tecnologías de Información y Comunicación, estudios
realizados en Bolivia, Chile, Colombia, Ecuador, México, Panamá,
Paraguay y Perú. ISBN:956-8302-40-9.
http://unesdoc.unesco.org/images/0014/001410/141010s.pdf
VALLEJO, César (2013), MONOGRÁFICO: Introducción de las
tecnologías en la educación – TPACK.
http://recursostic.educacion.es/observatorio/web/es/cajon-de-
sastre/38-cajon-de-sastre/1092-monografico-introduccion-de-las-
tecnologias-en-la-educacion?start=1
VELASCO, Miro (2011). Tecnología
Curricular.http://mirovelasco.blogia.com/2011/021101-tecnologia-
curricular.php
VIÑAS, Meritxell (2011). Mapa Conceptual: Recursos TIC para
desarrollar las inteligencias múltiples de Howard
Gardner.http://www.totemguard.com/aulatotem/2011/10/mapa-
conceptual-recursos-tic-para-desarrollar-las-inteligencias-multiples-de-
howard-gardner/
ZEA, Claudia, ATUESTA, María, VILLEGAS, Gustavo, TORO, Patricia,
NICHOLLS, Beatriz y FORONDA, Natalia (2005), Hacia un Modelo de
Formación Continuada de Docentes de Educación Superior en el uso
523
pedagógico de las Tecnologías de la Información y Comunicación.
http://bdigital.eafit.edu.co/Journal/HRU100/Cuaderno35.pdf
524
ANEXOS
Anexo 1
Declaración Mundial sobre la Educación Superior en el Siglo XXI: Visión y Acción
(9 de octubre de 1998). UNESCO.Artículo 12. El potencial y los desafíos de la
tecnología.
Los rápidos progresos de las nuevas Tecnologías de la Información y la Comunicación
seguirán modificando la forma de elaboración, adquisición y transmisión de los
conocimientos. También es importante señalar que las nuevas tecnologías brindan
posibilidades de renovar el contenido de los cursos y los métodos pedagógicos, y de
ampliar el acceso a la educación superior. No hay que olvidar, sin embargo, que la nueva
tecnología de la información no hace que los docentes dejen de ser indispensables, sino
que modifica su papel en relación con el proceso de aprendizaje, y que el diálogo
permanente que transforma la información en conocimiento y comprensión pasa a ser
fundamental. Los establecimientos de educación superior han de dar el ejemplo en
materia de aprovechamiento de las ventajas y el potencial de las nuevas Tecnologías de
la Información y la Comunicación, velando por la calidad y manteniendo niveles elevados
en las prácticas y los resultados de la educación, con un espíritu de apertura, equidad y
cooperación internacional, por los siguientes medios:
a) Constituir redes, realizar transferencias tecnológicas, formar recursos humanos,
elaborar material didáctico e intercambiar las experiencias de aplicación de estas
tecnologías a la enseñanza, la formación y la investigación, permitiendo así a
todos el acceso al saber.
b) Crear nuevos entornos pedagógicos, que van desde los servicios de educación a
distancia hasta los establecimientos y sistemas "virtuales" de enseñanza
superior, capaces de salvar las distancias y establecer sistemas de educación de
alta calidad, favoreciendo así el progreso social y económico y la
democratización así como otras prioridades sociales importantes; empero, han
de asegurarse de que el funcionamiento de estos complejos educativos virtuales,
creados a partir de redes regionales continentales o globales, tenga lugar en un
contexto respetuoso de las identidades culturales y sociales.
c) Aprovechar plenamente las Tecnologías de la Información y la Comunicación
con fines educativos, esforzándose al mismo tiempo por corregir las graves
desigualdades existentes entre los países, así como en el interior de éstos en lo
que respecta al acceso a las nuevas Tecnologías de la Información y la
Comunicación y a la producción de los correspondientes recursos.
525
d) Adaptar estas nuevas tecnologías a las necesidades nacionales y locales,
velando por que los sistemas técnicos, educativos, institucionales y de gestión
las apoyen.
e) Facilitar, gracias a la cooperación internacional, la determinación de los objetivos
e intereses de todos los países, especialmente de los países en desarrollo, el
acceso equitativo a las infraestructuras en este campo y su fortalecimiento y la
difusión de estas tecnologías en toda la sociedad.
f) Seguir de cerca la evolución de la sociedad del conocimiento a fin de garantizar
el mantenimiento de un nivel alto de calidad y de reglas de acceso equitativas.
g) Teniendo en cuentas las nuevas posibilidades abiertas por el uso de las
Tecnologías de la Información y la Comunicación, es importante observar que
ante todo son los establecimientos de educación superior los que utilizan esas
tecnologías para modernizar su trabajo en lugar de que éstas transformen a
establecimientos reales en entidades virtuales.
526
Anexo 2
Fragmento del Comunicado del 8 de julio del 2009, de la Conferencia Mundial
sobre la Educación Superior: La nueva dinámica de la Educación Superior y la
investigación para el cambio social y el desarrollo
ACCESO, EQUIDAD Y CALIDAD
……
11. Nuestra capacidad para alcanzar los objetivos de la EPT dependerá de nuestra
capacidad para enfrentarnos con la escasez mundial de docentes. La educación
superior debe ampliar la formación de docentes, tanto inicial como en el empleo,
con planes y programas de estudios que den a los docentes la capacidad de
dotar a sus alumnos de los conocimientos y las competencias que necesitan en
el siglo XXI. Este objetivo exigirá nuevos enfoques, como por ejemplo el uso del
aprendizaje abierto y a distancia y de las tecnologías de la información y la
comunicación (TIC).
12. La formación de expertos en planificación educativa y la realización de
investigaciones pedagógicas con el fin de mejorar las estrategias didácticas
contribuyen también a la consecución de los objetivos de la EPT.
13. El aprendizaje abierto y a distancia y el uso de las TIC ofrecen oportunidades de
ampliar el acceso a la educación de calidad, en particular cuando los recursos
educativos abiertos son compartidos fácilmente entre varios países y
establecimientos de enseñanza superior.
14. La aplicación de las TIC a la enseñanza y el aprendizaje encierra un gran
potencial de aumento del acceso, la calidad y los buenos resultados. Para lograr
que la aplicación de las TIC aporte un valor añadido, los establecimientos y los
gobiernos deberían colaborar a fin de combinar sus experiencias, elaborar
políticas y fortalecer infraestructuras, en particular en materia de ancho de
banda.
15. Los establecimientos de educación superior deben invertir en la capacitación del
personal docente y administrativo para desempeñar nuevas funciones en
sistemas de enseñanza y aprendizaje que se transforman.
16. Es esencial para todas las sociedades que se haga más hincapié en los ámbitos
de las ciencias, la tecnología, la ingeniería y las matemáticas, así como en las
ciencias sociales y humanas.
17. Los resultados de la investigación científica deberían difundirse más
ampliamente mediante las TIC y el acceso gratuito a la documentación científica.
18. La formación que ofrecen los establecimientos de enseñanza superior debería
atender las necesidades sociales y anticiparse al mismo tiempo a ellas. Esto
527
comprende la promoción de la investigación con miras a elaborar y aplicar
nuevas tecnologías y a garantizar la prestación de capacitación técnica y
profesional, la educación empresarial y los programas de aprendizaje a lo largo
de toda la vida.
…..
21. Los criterios de calidad deben reflejar los objetivos globales de la educación
superior, en particular la meta de cultivar en los alumnos el pensamiento crítico e
independiente y la capacidad de aprender a lo largo de toda la vida. Dichos
criterios deberían estimular la innovación y la diversidad. Para garantizar la
calidad en la enseñanza superior es preciso reconocer la importancia de atraer y
retener a un personal docente y de investigación calificado, talentoso y
comprometido con su labor.
…….
23. La sociedad del conocimiento exige una diferenciación cada vez mayor de
funciones dentro de los sistemas y establecimientos de educación superior, con
polos y redes de excelencia investigadora, innovaciones en materia de
enseñanza y aprendizaje, y nuevas estrategias al servicio de la comunidad.
INTERNACIONALIZACIÓN, REGIONALIZACIÓN Y MUNDIALIZACIÓN
……
27. Las iniciativas conjuntas de investigación y los intercambios de alumnos y
personal docente promueven la cooperación internacional. Los estímulos para
lograr una movilidad académica más amplia y equilibrada deberían incorporarse
a los mecanismos que garantizan una auténtica colaboración multilateral y
multicultural.
28. Las iniciativas conjuntas deberían contribuir a la creación de capacidades
nacionales en todos los países participantes, con lo que se garantizaría la
multiplicación de fuentes de investigación homólogas de alta calidad y la
generación de conocimientos, a escala regional y mundial.
29. Para que la mundialización de la educación superior nos beneficie a todos, es
indispensable garantizar la equidad en materia de acceso y de resultados,
promover la calidad y respetar la diversidad cultural y la soberanía nacional.
30. La mundialización ha puesto de relieve la necesidad de establecer sistemas
nacionales de acreditación de estudios y de garantía de calidad, y de promover
la creación de redes entre ellos.
…….
528
EL APRENDIZAJE Y LA INVESTIGACIÓN E INNOVACIÓN
35. Habida cuenta de la necesidad que muchos países experimentan de disponer de
más financiación para la investigación y el desarrollo, los establecimientos
deberían buscar nuevas formas de aumentar la investigación y la innovación
mediante iniciativas conjuntas de múltiples copartícipes entre el sector público y
el privado, que abarquen a las pequeñas y medianas empresas.
36. Resulta cada vez más difícil mantener un buen equilibrio entre la investigación
básica y la aplicada, debido a los altos niveles de inversión que necesita la
investigación básica y al reto que representa el vincular el conocimiento de
ámbito mundial con los problemas locales. Los sistemas de investigación
deberían organizarse de manera más flexible con miras a promover la ciencia y
la interdisciplinariedad, al servicio de la sociedad.
37. En aras de la calidad y la integridad de la educación superior, es importante que
el personal docente disponga de oportunidades para realizar investigaciones y
obtener becas. La libertad de enseñanza es un valor fundamental que es preciso
proteger en el contexto internacional actual de inestabilidad y evolución
constante.
38. Los establecimientos de enseñanza superior deberían buscar esferas de
investigación y docencia capaces de abordar los asuntos que atañen al bienestar
de la población y crear bases sólidas para la ciencia y la tecnología pertinentes
en el plano local.
39. Los sistemas de conocimiento indígenas pueden ampliar nuestra comprensión
de los nuevos problemas; la educación superior debería establecer asociaciones
de mutuo beneficio con las comunidades y las sociedades civiles, con miras a
facilitar el intercambio y la transmisión de los conocimientos adecuados.
40. Ante la creciente escasez de recursos, se insta a las partes interesadas a que
estudien e intensifiquen el uso de los recursos e instrumentos de las bibliotecas
electrónicas, con miras a apoyar la enseñanza, el aprendizaje y la investigación.
…….
…….
LLAMAMIENTO A LA ACCIÓN: LOS ESTADOS MIEMBROS
51. Los Estados Miembros, en colaboración con todas las partes interesadas,
deberían elaborar políticas y estrategias en el plano de los sistemas y de los
establecimientos con el fin de:
a) mantener y, si fuera posible, aumentar la inversión en el sector de la
educación superior para apoyar en todo momento la calidad y la equidad y
529
fomentar la diversificación, tanto en la prestación de servicios de enseñanza
superior como en los medios de financiarla;
b) garantizar las inversiones adecuadas en la educación superior y la
investigación, en sintonía con las necesidades y expectativas crecientes de
la sociedad;
c) establecer y fortalecer, con la participación de todos los interesados, los
sistemas de garantía de calidad y los marcos normativos apropiados;
d) ampliar la formación de docentes, tanto inicial como en el empleo, con
programas que les capaciten para hacer de sus estudiantes ciudadanos
responsables;
e) alentar el acceso, la participación y los buenos resultados académicos de las
mujeres en la enseñanza superior;
f) garantizar la igualdad de acceso a los grupos insuficientemente
representados, tales como los obreros, los pobres, las minorías, las
personas con capacidades diferentes, los migrantes, los refugiados y otros
grupos de población vulnerables;
g) crear mecanismos que permitan contrarrestar las repercusiones negativas
del éxodo de competencias y, al mismo tiempo, estimulen la movilidad de los
docentes, los estudiantes y el personal de educación;
h) apoyar el aumento de la cooperación regional en materia de enseñanza
superior con miras a la creación y el fortalecimiento de ámbitos regionales de
educación superior e investigación;
i) dotar de autonomía a los Países Menos Adelantados y a los Pequeños
Estados Insulares en Desarrollo para que puedan aprovechar las
oportunidades que ofrece la mundialización, y fomentar la colaboración entre
ellos;
j) tratar de alcanzar los objetivos de equidad, calidad y éxito académico
mediante la creación de vías de acceso más flexibles y una mejor
convalidación del aprendizaje previo y la experiencia laboral;
k) aumentar el atractivo de las carreras académicas, garantizando el respeto de
los derechos y las condiciones de trabajo adecuadas del personal docente,
según lo estipulado en la Recomendación de 1997 relativa a la condición del
personal docente de la enseñanza superior;
l) lograr la participación activa de los estudiantes en la vida académica,
garantizándoles la libertad de expresión y el derecho a organizarse, y
facilitándoles los servicios adecuados;
530
m) luchar contra las “fábricas de diplomas” mediante iniciativas multifacéticas en
la esfera nacional e internacional;
n) crear sistemas de investigación flexibles y organizados, que promuevan la
excelencia científica y la interdisciplinariedad y sean útiles para la sociedad;
o) apoyar una mayor integración de las TIC y fomentar el aprendizaje abierto y
a distancia, con miras a satisfacer el aumento de la demanda de educación
superior.
531
Anexo 3
Fragmentos del Registro Oficial No. 298 de la República del Ecuador. Ley
Orgánica de Educación Superior, del CAPÍTULO I.
Art. 8.- Serán Fines de la Educación Superior.- La educación superior tendrá los
siguientes fines:
Aportar al desarrollo del pensamiento universal, al despliegue de la producción científica
y a la promoción de las transferencias e innovaciones tecnológicas;
a) Aportar al desarrollo del pensamiento universal, al despliegue de la producción
científica y a la promoción de las transferencias e innovaciones tecnológicas;
b) …..
c) …..
d) …..
e) …..
f) Fomentar y ejecutar programas de investigación de carácter científico, tecnológico y
pedagógico que coadyuven al mejoramiento y protección del ambiente y promuevan
el desarrollo sustentable nacional;
Dentro de los Principios de Educación Superior se tiene:
Art. 12.- Principios del Sistema.- El Sistema de Educación Superior se regirá por los
principios de autonomía responsable, cogobierno, igualdad de oportunidades, calidad,
pertinencia, integralidad y autodeterminación para la producción del pensamiento y
conocimiento en el marco del diálogo de saberes, pensamiento universal y producción
científica tecnológica global.
Estos principios rigen de manera integral a las instituciones, actores, procesos, normas,
recursos, y demás componentes del sistema, en los términos que establece esta Ley.
Art. 13.- Funciones del Sistema de Educación Superior.- Son funciones del Sistema de
Educación Superior:
a) Garantizar el derecho a la educación superior mediante la docencia, la investigación
y su vinculación con la sociedad, y asegurar crecientes niveles de calidad,
excelencia académica y pertinencia;
b) Promover la creación, desarrollo, transmisión y difusión de la ciencia, la técnica, la
tecnología y la cultura;
c) Formar académicos, científicos y profesionales responsables, éticos y solidarios,
comprometidos con la sociedad, debidamente preparados para que sean capaces
532
de generar y aplicar sus conocimientos y métodos científicos, así como la creación y
promoción cultural y artística;
d) Fortalecer el ejercicio y desarrollo de la docencia y la investigación científica en
todos los niveles y modalidades del sistema;
e) …..
h) Incrementar y diversificar las oportunidades de actualización y perfeccionamiento
profesional para los actores del sistema;
i) …..
ñ) Brindar niveles óptimos de calidad en la formación y en la investigación.
En relación al Principio de Pertinencia se tiene:
Art. 107.- Principio de pertinencia.- El principio de pertinencia consiste en que la
educación superior responda a las expectativas y necesidades de la sociedad, a la
planificación nacional, y al régimen de desarrollo, a la prospectiva de desarrollo científico,
humanístico y tecnológico mundial, y a la diversidad cultural. Para ello, las instituciones
de educación superior articularán su oferta docente, de investigación y actividades de
vinculación con la sociedad, a la demanda académica, a las necesidades de desarrollo
local, regional y nacional, a la innovación y diversificación de profesiones y grados
académicos, a las tendencias del mercado ocupacional local, regional y nacional, a las
tendencias demográficas locales, provinciales y regionales; a la vinculación con la
estructura productiva actual y potencial de la provincia y la región, y a las políticas
nacionales de ciencia y tecnología”.
En relación a la Tipología de Instituciones y Régimen Académico, se tiene:
Art. 124.- Formación en valores y derechos.- Es responsabilidad de las instituciones del
Sistema de Educación Superior proporcionar a quienes egresen de cualesquiera de las
carreras o programas, el conocimiento efectivo de sus deberes y derechos ciudadanos y
de la realidad socioeconómica, cultural y ecológica del país; el dominio de un idioma
extranjero y el manejo efectivo de herramientas informáticas.
Con respecto al Personal Académico, se observa:
Art. 156.- Capacitación y perfeccionamiento permanente de los profesores o profesoras e
investigadores o investigadoras.- En el Reglamento de Carrera y Escalafón del Profesor
e Investigador del Sistema de Educación Superior se garantizará para las universidades
públicas su capacitación y perfeccionamiento permanentes. En los presupuestos de las
instituciones del sistema de educación superior constarán de manera obligatoria partidas
tbespeciales destinadas a financiar planes de becas o ayudas económicas para
especialización o capacitación y año sabático.
533
Anexo 4
Fragmento del Plan Estratégico de Desarrollo Institucional 2008-2015, eje
ACADÉMICO Y DOCENCIA, de la Universidad de Guayaquil.
Acción 5 Diseñar, estandarizar y gestionar los
procesos de investigación de necesidades
de la sociedad sobre docencia,
investigación y extensión, en articulación
con las líneas estratégicas del Estado.
Acción 7 Programa de Mejoramiento Integral de la
Calidad Educativa:
a) Determinar en lo filosófico,
axiológico y pedagógico, el
proceso de mejoramiento
continuo de la calidad educativa.
b) Implantar un programa
permanente para administrar,
estimular, fortalecer y evaluar las
competencias laborales y
pedagógicas de los docentes.
534
Anexo 5
Fragmentos del EL ROL DEL DOCENTE EN LA EDUCACION SUPERIOR DEL SIGLO
21. Por Carlos Tûnnermann Berheim. Páginas 10 y 11.
http://www.ucyt.edu.ni/Download/EL_ROL_DEL_DOCENTE_EN_LA_E_S_DEL_SIGLO_
XXI.pdf
Capacidad de resolución de problemas.
Capacidad de adaptación a nuevas situaciones.
Capacidad de seleccionar información relevante de los ámbitos del trabajo, la cultura y el
ejercicio de la ciudadanía, que le permita tomar decisiones fundamentadas.
Capacidad de seguir aprendiendo en contextos de cambio tecnológico y sociocultural
acelerado y expansión permanente del conocimiento.
Capacidad para buscar espacios intermedios de conexión entre los contenidos de las
diversas disciplinas, de tal manera de emprender proyectos en cuyo desarrollo se
apliquen conocimientos o procedimientos propios de diversas materias.
….
Estos nuevos paradigmas educativos y pedagógicos, se fundamentan en los aportes de
la psicología y de la ciencia cognitiva sobre cómo aprende el ser humano, y nos
conducen a reconocer que el estudiante no sólo debe adquirir información sino también
debe aprender estrategias cognitivas, es decir, procedimientos para adquirir, recuperar y
usar información.
La pregunta, entonces es, qué hacer en la práctica docente para generar condiciones
para un efectivo aprendizaje de los alumnos. Afirma Ausubel que “existe una relación
íntimamente entre saber cómo aprende un educando y saber qué hacer para ayudarlo a
aprender mejor”. En definitiva, el aprendizaje es un proceso activo y de construcción de
conocimientos que lleva a cabo en su interior (estructura cognitiva) el sujeto que
aprende.
El constructivismo sociocultural, precisamente, sitúa la actividad mental del educando en
la base de la apropiación del conocimiento. Un conocimiento nos lo apropiamos cuando
lo interiorizamos y lo incorporamos a nuestra estructura mental. El docente deviene en
un mediador del encuentro del alumno con el conocimiento. “Educar, nos dice Paulo
Freire, no es transferir conocimiento sino crear las condiciones para su construcción”. Y
535
Jean Piaget insiste en decirnos que “el sujeto educando no copia, transforma”. Pero, no
olvidemos que el proceso de enseñanza-aprendizaje es una unidad pedagógica
compartida y creativa.
“Aprender a aprender” supone una capacidad de aprendizaje adquirida al cabo de un
período ineludible de aprendizaje con docentes. La Universidad ya no gradúa, sino que
inicia a sus egresados en el proceso permanente de aprendizaje. “En última instancia,
dice Phillip Coombs, un título profesional no es más que una certificación de que quien lo
ostenta ha aprendido a aprender”.
Estos nuevos paradigmas educativos y pedagógicos, se fundamentan en los aportes de
la psicología y de la ciencia cognitiva sobre cómo aprende el ser humano, y nos
conducen a reconocer que el estudiante no sólo debe adquirir información sino también
debe aprender estrategias cognitivas, es decir, procedimientos para adquirir, recuperar y
usar información.
La pregunta, entonces es, qué hacer en la práctica docente para generar condiciones
para un efectivo aprendizaje de los alumnos. Afirma Ausubel que “existe una relación
íntimamente entre saber cómo aprende un educando y saber qué hacer para ayudarlo a
aprender mejor”. En definitiva, el aprendizaje es un proceso activo y de construcción de
conocimientos que lleva a cabo en su interior (estructura cognitiva) el sujeto que
aprende.
El constructivismo sociocultural, precisamente, sitúa la actividad mental del educando en
la base de la apropiación del conocimiento. Un conocimiento nos lo apropiamos cuando
lo interiorizamos y lo incorporamos a nuestra estructura mental. El docente deviene en
un mediador del encuentro del alumno con el conocimiento. “Educar, nos dice Paulo
Freire, no es transferir conocimiento sino crear las condiciones para su construcción”. Y
Jean Piaget insiste en decirnos que “el sujeto educando no copia, transforma”. Pero, no
olvidemos que el proceso de enseñanza-aprendizaje es una unidad pedagógica
compartida y creativa.
“Aprender a aprender” supone una capacidad de aprendizaje adquirida al cabo de un
período ineludible de aprendizaje con docentes. La Universidad ya no gradúa, sino que
inicia a sus egresados en el proceso permanente de aprendizaje. “En última instancia,
dice Phillip Coombs, un título profesional no es más que una certificación de que quien lo
ostenta ha aprendido a aprender”.
Estos nuevos paradigmas educativos y pedagógicos, se fundamentan en los aportes de
la psicología y de la ciencia cognitiva sobre cómo aprende el ser humano, y nos
536
conducen a reconocer que el estudiante no sólo debe adquirir información sino también
debe aprender estrategias cognitivas, es decir, procedimientos para adquirir, recuperar y
usar información. Estos paradigmas educativos deben plasmarse en un Modelo
Educativo.
537
Anexo 6
Tomado y adaptado de Apuntes de Pedagogía y Didáctica para el ejercicio de la
actividad docente en el Aula Virtual, por Ana Licona(2011), Congreso Internacional
EDUTEC 2011.
http://gte2.uib.es/edutec/sites/default/files/congresos/edutec11/Ponencias/Mesa%201-
def/Apuntes%20de%20pedagog%C3%ADa%20y%20did%C3%A1ctica%20para%20el%
20ejercicio%20de%20la%20actividad%20docente%20en%20el%20aula%20virtual.pdf.
Elementos Educativos del Aula Digital: Análisis del concepto a partir del
fundamento Pedagógico, mesa: Formación Docente para el uso de las TIC
Elemento educativo Análisis del Constructo a partir del Fundamento
Pedagógico
Alumno Ya no como alumnos, sino como participantes de
procesos e-learning, Luque (2008) basándose en el
modelo pedagógico constructivista enfatiza que desde
esta concepción hay dos puntos que debemos de
tomar en cuenta al hablar estudiante (alumno o
participante), el primero que él es un constructor
mental activo de significados y de sentido
relacionando conocimientos previos con nuevos
conocimientos. En segundo lugar, este estudiante
requiere ayuda externa para construir este
conocimiento. Por otra parte basándonos en los
postulados de García Hoz (1988), máximo exponente
de la educación personalizada, la atención al alumno
virtual debe centrarse desde una concepción
antropológica, convirtiéndose el participante virtual, en
“la persona que fundamenta y centra la educación
virtual”
Aula En términos Generales Oñate expone que en un
ambiente virtual de aprendizaje se desarrollan una
serie de funciones como lo son informar, comunicar,
interactuar, apoyar educar. Otro autor, Scagnioli
(2000) citando a Horton, define el aula virtual, (llamada
538
también aula digital) como el medio en la WWW en el
cual los docentes y alumnos se encuentran para
realizar actividades que conducen al aprendizaje. Para
complementar esta definición, se cita a Bravo, C.
(2010) quien explica que es en el aula digital donde
convergen en diferentes momentos profesores y
estudiantes, se emplea una variedad de medios y
sobresale la interacción entre profesores y estudiantes
la que, en ocasiones, puede ser más elevada y más
eficiente que en la actividad presencial. Sin embargo,
en esta definición incluyo el soporte teórico aportado
por el modelo pedagógico conductista que explica que
uno de los elementos más importantes durante el
proceso educativo son las condiciones ambientales
para estimular y reforzar al alumno afirmación que
lleva a considerar la importancia de las condiciones
ambientales del aula digital ya que es en su marco
ambiental-virtual donde docente debe determinar
cuáles refuerzos son los más efectivos para cada uno
de los estudiantes virtuales en particular
Transversalidad Cardona Ossa (2002) explica que aprender es por
naturaleza un fenómeno social; interacción que tiene
generalmente como resultado la adquisición de un
nuevo conocimiento, por lo que aprender es un
proceso dialéctico en el que un individuo contrasta su
punto de vista personal con el de otro hasta llegar a un
acuerdo. Durante este proceso, y siendo que los
diálogos asíncronos o no, se establecen en un AVA,
es requerido al actor educativo una serie vivencias y
actitudes afectivas y valorativas que transversalizan el
proceso formativo, prácticas debidas a la inexistencia
de la interacción física producida por la comunicación
mediada por TIC. Los gestos producidos por la
corporeidad física humana, son suprimidos en la
experiencia comunicativa mediada por tecnologías de
la información y la comunicación, quedando muchas
539
veces y como elemento único el lenguaje verbal, (a
veces en sistemas multimedia) con lo cual es
imprescindible que todos los actores educativos de los
AVAs, tengan además del componente altamente
afectivo, la práctica constante y continua de una serie
de valores como: Participación, responsabilidad,
credibilidad, confianza en la comunidad que se forma
en el aula digital, así como el valor de la autonomía,
de modo que en el modelo pedagógico empleado trate
de ofrecer estrategias educativas que impliquen para
el participante y docente, prácticas éticas y prácticas
desarrolladoras de inteligencia emocional y afectiva.
(Cardona Carmona, H.E, 2008)
Contenido La pedagogía como ciencia, arte y técnica de la
educación, contempla en el abanico de sus ciencias
pedagógicas, a la Didáctica como la ciencia que
estudia el proceso pedagógico (proceso de enseñanza
aprendizaje), ciencia que se construye desde la teoría
y la práctica y que está dirigida a lograr el estado
deseable de desarrollo del proceso pedagógico, por lo
que su principal objeto de estudio es el proceso
pedagógico, es decir el proceso enseñanza y
aprendizaje (Bravo, C. 2010). Siguiendo a este autor,
entendemos que con el aparecimiento del Aula Digital
surge en la Pedagogía, concretamente en la Didáctica,
el estudio del proceso de aprendizaje bajo la
organización de un sistema de medios digitales,
agrupados en el aula digital. Esta agrupación de
medios digitales tiene que contemplar la accesibilidad
a los conocimientos y contenidos así como el nivel de
interactividad que permiten, con lo cual, en el modelo
pedagógico que se diseña deben integrarse recursos
electrónicos pertinentes que soporten el contenido y
cuyo carácter principal debe ser la accesibilidad, no
sólo técnica al aula digital, si no a la accesibilidad de
los contenidos. La teoría de los aprendizajes
540
significativos de Ausubel cobran aquí gran importancia
ya que es en el aula digital donde este andamiaje se
ve representado por la organización del aula, la
utilización de herramientas que visualizan el proceso
de la información (mapas conceptuales, mentales,
etc.) y el conocimiento por parte del alumno de las
competencias y objetivos a lograr, además de la
estructuración del texto digital de acuerdo a las
actividades y tareas que el alumno debe realizar para
alcanzar esos objetivos, la variedad de medios
empleados, los enlaces a sitios legítimos, confiables y
académicos y muy especialmente el empleo de
diferentes métodos y estrategias de aprendizaje que
den lugar al desarrollo de actividades y tareas
pedagógicas de índole conceptual, constructivistas,
personalizadas e individualizadas.
Metodología Domínguez E. en su propuesta de Modelo Educativo
para la Universidad del Norte de Colombia, propone
que en un modelo pedagógico integrado deben
implementarse estrategias de aprendizaje en las que
se que favorezcan la autonomía, el trabajo
colaborativo e individual, el pensamiento crítico,
resolver problemas. Analizado lo expuesto, se
encuentra que esta propuesta está relacionada con los
postulados de la pedagogía individualizada, al
afirmarse que si bien toda estrategia metodológica del
aula virtual debe tomar en cuenta elementos de
construcción colectiva del conocimiento, diálogo de
saberes, reflexión-acción- reflexión, discusión y
consenso, valorando especialmente los aportes y
construcción de conocimiento de los estudiantes,
TODA ACTIVIDAD DEBE PARTIR de un estudio
individualizado por parte del participante, para luego
implicarse en el consenso de conocimientos y saberes
a partir del desarrollo de trabajos, actividades y tareas
de índole colaborativo. Salinas (2008) por su parte
541
explica que si el método es el conjunto de momentos,
técnicas y procedimientos; la técnica, se entiende
como la utilización de los recursos didácticos para
hacer efectivo el aprendizaje y la estrategia didáctica
son procedimientos eficientes dirigidos a lograr
experiencias de aprendizaje significativos, entonces
para los ambientes virtuales de aprendizaje son estos
últimos a los que mayor atención se presta,
definiéndolas como aquellas acciones centradas en el
alumnos y mediante las cuales él adquiere un
aprendizaje efectivo, contextualizado, social,
individualizado, activo, constructivo, con lo cual
podemos afirmar que este amplio concepto
metodológico de estrategia de aprendizaje, tiene una
base pedagógica-didáctica ecléctica es decir
integradora al tener rasgos de una pedagogía
conceptual, conductista, histórico cultural,
comunicativa, crítica
Procesos de Evaluación Para la Pedagogía existe una fase del proceso
educativo que permite determinar la efectividad de un
modelo educativo. Estamos hablando del proceso de
evaluación, entendida como un proceso de duración
determinada que trata de valorar de manera
sistemática y objetiva, la pertinencia, el rendimiento y
el éxito de los programas o proyectos concluidos
(Villar, G. 2008)
En los AVAs, es de subrayar que es la fase del PEA
más compleja que existe, pues necesita de parte del
docente, la creación de protocolos de evaluación no
solo de los aprendizajes alcanzados sino de todo el
diseño y estructura de las experiencias, la actitud y
motivación de los estudiantes de cara a los materiales
propuestos, la eficiencia de la metodología empleada,
el aula digital como espacio de aprendizaje, el docente
en su rol de guía y también claro está, de los
conocimientos alcanzados por el alumno (Domínguez,
E. 2000).
542
Scagnioli (2000) establece que esta evaluación
holística debe estar en relación al progreso del
participante de cara al colectivo y a sí mismo, pero
también a sus logros INDIVIDUALES, aunque se
trabaje de forma colaborativa. Esta fase del proceso
educativo es quizá la más compleja de aplicar, ya que
aún hoy en día, aún en las aulas digitales se echa
mano de modelos tradicionales de evaluación
mediante pruebas objetivas a fin de comprobar el logro
y alcance de los objetivos de la clase así como el nivel
de éxito en cada caso. Sin embargo, es de considerar
que está en manos del docente y de la institución
educativa virtual, proponer al alumno procesos de
evaluación continua en las que mediante la
permanente actividad académica, el estudiante sea
capaz de recibir “retroalimentación” constante acerca
de sus actividades y trabajos individuales y grupales
como por ejemplo: proyectos de trabajo, foros, de
debates, diálogos a través de chat, participaciones en
clases virtuales-presenciales, elaboración de ensayos
e investigaciones y propuestas, controles de lectura,
etc. (Badia & Barbera, 2005) así como de la exactitud
de las respuestas obtenidas en valoraciones previas a
evaluaciones escritas de carácter final y que se
realizan mediante pruebas tipo test electrónicos de
evaluación de conocimientos. De acuerdo con Bravo
C. siendo que la evaluación es responsable de medir
los PEA, los instrumentos empleados en un aula digital
podrían ser: Foros, Glosarios, Cuestionarios, Trabajos,
etc. pero también explica Bravo, y le sigue Villar, la
evaluación es recoger información de TODO el
proceso, por lo que entre los instrumentos que se
utilizan en el aula digital están: Consulta, encuesta
corta, Informes asistencia, participación, perfil
actitudinal y desempeño durante el curso. Por último la
evaluación debe estar revestida de la seriedad y
privacidad necesarias por lo que el abordaje debe ser
543
personalizado a fin de orientar al participante en la
mejora individual de su formación en el marco de su
colectivo y pares.
Recursos Educativos Uno de los temas mayormente trabajados desde la
perspectiva pedagógica es el uso de las TICs en el
aula, aún en el aula digital. Moreira y otros (2008),
identifican que pedagógicamente hablando en el aula
digital deben existir 3 tipos de recursos, los que a
partir de los argumentos de Bravo, C. (2000) pueden
considerarse multisensoriales y que por lo tanto
facilitan la asimilación consciente de los aprendizajes
“a. Recursos de tipo informativo destinados a
facilitar el acceso al conocimiento al alumnado
mediante documentos de lectura, a modo de apuntes,
para el estudio o reelaboración de los contenidos de la
asignatura, presentaciones multimedia, esquemas,
gráficos o mapas conceptuales, videoclips o
animaciones, biblioteca digital, etc. Esta dimensión
informativa se refiere, en consecuencia, a la
exposición o presentación del saber que tiene que ser
adquirido.
b. Recursos para la comunicación tales como foros
de debate, tablones de noticias, mensajería interna.
Estos recursos permiten que exista un importante flujo
comunicativo entre los alumnos y entre éstos y su
profesor. De este modo, el docente puede
desempeñar acciones de tutorización bien individual o
grupal, de seguimiento y evaluación continuada.
Asimismo, estos recursos facilitan una mayor
interacción y cohesión social entre los estudiantes de
la clase.
c. Recursos para el aprendizaje experiencial en
donde se le presentan a los alumnos actividades o
tareas que tienen que realizar a través del aula virtual.
Esta dimensión se refiere a que se crean situaciones
de aprendizaje donde el alumno tiene que aprender a
544
través de una experiencia o acción: por ejemplo,
redactar un documento o informe, buscar información
para construir una base de datos, planificar y ejecutar
un proyecto, resolver un problema, analizar un caso,
construir un videoclip, etc.”
Docente Citando a Coscollola M. D. & Fuentes M .A (2010) se
afirma que el docente en calidad de Tutor Virtual, debe
actuar como agente y como creador de las situaciones
y condiciones para que el alumnado aprenda y no se
limite a almacenar datos estériles e inconexos, por lo
que sumado a lo expresado por esta autora ante la
figura del profesor virtual ante las TIC es de asumir
que a hoy, el Docente ya no es el protagonista de los
procesos educativos, pero su rol pedagógico es
considerado como vertebral en su función no solo en
la especialidad disciplinar, en el quehacer
metodológico y en la destreza tecnológica sino
también en desarrollar la humanización y
afectividad del proceso educativo en el aula digital
condición que debe durar durante todo el proceso
formativo. Se concibe que el docente que ejerce en
los AVAs, tiene como autoridad virtual, la
responsabilidad de promocionar la participación
consciente del alumnado, la promoción y dinamización
de las libertades, la creatividad y autonomía, la
investigación crítica además de convertirse en un
propulsor de las reflexiones, preguntas y repreguntas
bajo las cuales y compartir con el colectivo sus
experiencias, aprendizajes y estimular mediante retos
planificados y evaluados, su capacidad de
aprendizaje. Deber ser el autor de que cada alumno
cree su propio paradigma, se apropie y sea dueño de
sus saberes para luego compartirlos con otros y así
crecer en el colectivo de participantes junto a quienes
tiene la oportunidad de reconstruir el conocimiento.
545
Anexo 7
Fragmento Tomado de Constructivismo y Educación Virtual, por Pablo Montalvo
(2011), Página 10.
http://es.scribd.com/doc/55063425/Constructivismo-y-Educacion-Virtual
546
547
Anexo 8
Fragmento Tomado de Constructivismo y Educación Virtual, por Pablo Montalvo
(2011), Página 11.
http://es.scribd.com/doc/55063425/Constructivismo-y-Educacion-Virtual
548
Anexo 9
Fragmento de PROFESORES CREADORES DE MEDIOS (NTICs) por la Dra. Rosalía
Romero Tena (2006), Revista digital PIXEL BIT.
http://www.sav.us.es/pixelbit/pixelbit/articulos/n27/n27art/art2707.htm
549
Anexo 10
Fragmento del libro Modelo Andragógico, Fundamentos. Página 63.
Etapas de la adultez según Erikson y Levinson
(Clasificación por edades)
Etapas Erikson Levinson
Juventud 18-20 hasta los 25-30 25-35 hasta los 40
Adultez o Media Adulta 25-30 hasta los 60 40 hasta los 60-65
Vejez A partir de los 60 A partir de los 60-65
550
Anexo 11
Fragmento de Hacia una visión andragógica integradora, desde la filosofía de
Paulo Freire, por la Dra. Anastacia Rivas Olivo.
http://letras-
uruguay.espaciolatino.com/aaa/rivas_olivo_anastacia/hacia_una_vision_andragogica.ht
m
551
Anexo 12
Fragmento de La tecnología educativa apropiada y crítica, por Beatriz Fainholc.
http://contexto-educativo.com.ar/2002/3/nota-05.htm
1. Pedagogía práctica de la ética comunicativa, reconstructiva y crítica, de respeto
a la diversidad, multiculturalista para la convivencia solidaria.
2. Apropiación de recursos tecnológicos a escala humana propiciando equidad,
participación igualitaria y autodominio personal y colectivo.
3. Resignificación de la incertidumbre para superar fragmentaciones diversas y
ampliando la reflexión y la lucidez junto a otras formas de pensamiento teórico-
práctico.
4. Desmitificación epistemológica en la navegación interactiva e interconectiva para
fortalecer la lectura crítica y la comprensión, en apuestas hermenéuticas.
5. Construcción de la "telemática-global" por mediaciones/negociaciones
significativas y valiosas para el desarrollo socio-cognitivo en la práctica cotidiana.
6. Desarrollo de la moral autónoma y la autorregulación racional y madura en
contextos educativos metatécnicos.
552
Anexo 13
Fragmento de ¿Qué es la Axiología?, por AXIOLOGIC.
http://www.axiologic.org/axiologia.html
553
Anexo 14
Fragmento de La incorporación de tecnologías digitales en educación. Modelos de
identificación de buenas prácticas, elaborado por la consultora Magdalena Claro,
en coordinación con Guillermo Sunkel y Daniela Trucco, de la División de
Desarrollo Social de la Comisión Económica para América Latina y el Caribe
(CEPAL), en el marco del proyecto financiado por la Unión Europea, @LIS2,
Alianza para la Sociedad de la Información 2, “Diálogo político inclusivo e
intercambio de experiencias”, Componente: Educación (CEC/08/003).Copyright ©
Naciones Unidas, julio de 2010.
http://www.eclac.org/publicaciones/xml/8/40278/tics-educacion-buenas-practicas.pdf.
Mejores y/o nuevos aprendizajes
Se refiere a prácticas con TIC que demuestran ser efectivas ya sea en la enseñanza de
asignaturas tradicionales (e.g. matemáticas, ciencias, lenguaje), o en el desarrollo de
nuevas habilidades y competencias relacionadas con la emergencia de Internet y las
demandas de la sociedad del conocimiento, llamadas comúnmente competencias siglo
XXI. Si bien aún está en discusión cuáles son exactamente estas competencias, hay
consenso en que en el plano cognitivo se trata de habilidades de orden superior (i.e.
análisis crítico, evaluación, razonamiento, reflexión) que trascienden a las disciplinas
tradicionales y que facilitan la resolución de problemas, la creación de conocimientos y el
aprendizaje a lo largo de la vida (Anderson, 2008; Empírica, 2007; Rychen & Salganik,
2003).
Cambio o innovación pedagógica
Aquí se busca que las TIC apoyen cambios en las prácticas pedagógicas tradicionales.
Desde esta perspectiva una buena práctica de uso de TIC es aquella que no sólo
reemplaza prácticas previas sino que contribuye de manera fundamental para un cambio
que entrega valor agregado al proceso pedagógico (Kozma, 2003). Comúnmente se
espera que el cambio se dé desde un proceso de enseñanza- aprendizaje tradicional
centrado en el profesor, hacia un proceso más constructivista centrado en el estudiante.
Esto implica un cambio en el rol del profesor y del estudiante, donde el primero adopta el
papel de facilitador del aprendizaje y el segundo el papel de sujeto activo del
aprendizaje. Se espera además que la integración de las TIC favorezca un cambio en las
metodologías, actividades y evaluaciones del proceso de enseñanza-aprendizaje, desde
el trabajo individual y basado en la memorización, hacia un trabajo colaborativo y basado
en la elaboración personal del conocimiento.
554
Anexo 15
Fragmento de, Revista Electrónica Teoría de la Educación. Educación y Cultura en
la Sociedad de la Información. Vol. 10. Nº 1. Marzo 2009. Universidad D Salamanca
(2009). Págs. 142-145.
En este estado los profesores utilizan la tecnología como medio para modificar y
transformar los espacios educativos tradicionales en nuevos y diferentes ambientes de
aprendizaje para los estudiantes. Una vez que permitimos que se aclare el conflicto entre
nuestras creencias epistemológicas, nuestras creencias pedagógicas y el uso que le
damos a la Tecnología, es posible que se aprecien las posibilidades que ellos permiten
para nuestros estudiantes. Una integración significativa de las TIC que supere este nivel
umbral supone el cambio de las convicciones del profesorado y es, inevitablemente un
proceso complejo que exige mucho tiempo (Niederhauser & Stoddard, 2001).
En definitiva se plantea la integración curricular tecnoconstructivista como el nivel al que
debemos llegar cuando adoptamos las TI con fines educativos. Lo interesante de esta
propuesta se encuentra en saber que hemos logrado ser un tecnoconstructivista, es un
juicio subjetivo, pues la forma en que podemos utilizar y dar sentido a la Tecnología
evolucionan constantemente hacia nuevos campos; recursos web 2.0, correo electrónico,
trabajo colaborativo, viajes virtuales, blogs, presentaciones multimedia, RSS, etc., nos
recuerdan que disponemos de herramientas que aún no acaban de mostrarnos el
verdadero potencial que podemos alcanzar en las mediaciones comunicacionales entre
individuos.
4.- TRANSICIÓN ENTRE NIVELES.
El enfoque de etapas o escalafones que gobierna los modelos de adopción tecnológica,
nos sugiere que existen momentos de tránsito entre los niveles; momentos en que un
docente manifiesta evolución tanto en sus acciones como en sus procesos mentales
consiguiendo una transición. ¿Qué factores resultan críticos en la transición entre un
nivel y otro? ¿Cómo ocurre el recorrido desde la intrusión hacia la integración curricular?.
4.1. Actitud.
En un estudio internacional sobre las TIC y el cambio organizativo en las escuelas
realizado por la OECD (Pont, 2000) se seleccionaron 94 buenas prácticas en 23 países
del mundo elegidos por sus innovaciones y si inversión en TIC. El estudio sostiene que
los ritmos de adopción de las TIC en las escuelas siguen los ritmos tradicionales de
difusión de innovaciones (innovation-decision process), afectados principalmente por las
características personales de los innovadores (Venezky, Davis, & OECD/CERI, 2002). El
modelo de Rogers ha sido experimentado en muchas ocasiones, y en la mayoría de ellas
555
los sujetos reconocen haber pasado por las etapas del proceso de decisión-innovación.
Aunque determinar los procesos mentales intrapersonales no sea un asunto trivial, “the
evidence is most clear-cut for the knowledge and decision stages and somewhat less so
for the persuasion stage. Only rather poor data are available on the distinctiveness of the
implementation and confirmation stages” (Rogers, 1995).
……
4.2. Apropiación.
La fase que hemos denominado como implementación corresponde a una fase de
experimentación, las representaciones mentales no se dan con el individuo aislado sino
que emanan con el individuo actuando con el instrumento tecnológico, poniendo en
marcha o implementando las TIC en el aula. Esto implica que su sistema de
pensamiento comienza a percibir que la tecnología le permite nuevos patrones de acción
educativa, de nuevos espacios, con sus consecuencias en la productividad de la clase, al
modificar su rol de poseedor del contenido de la asignatura a un facilitador de la
construcción del conocimiento con el estudiante. Esta conciencia de las necesidades
formativas de la sociedad se genera únicamente cuando el docente permite que las
tecnologías operen en contextos formativos. Cuando el ordenador se introduce en el aula
es que somos capaces de percibir que las tecnologías no son neutras, tienen falencias y
virtudes, por ello vamos probando nuevas estrategias y métodos que nos conducen
hacia la invisibilidad del ordenador (Gros Salvat, 2000), los sistemas tecnológicos que
utilizamos ya no son el fin sino que nos esforzamos en lograr el acoplamiento de estos
productos con los objetivos educativos. De acuerdo con Begoña Gros “lo que se trata es
de apropiarse de la herramienta, de utilizarla de manera más conveniente desde el punto
de vista educativo.” (Gros Salvat, 2000). En este sentido se considera que la apropiación
constituye un segundo factor de tránsito entre la fase de implementación y la integración
curricular.
……….
556
Anexo 16
Fragmento de, Revista Electrónica Teoría de la Educación. Educación y Cultura en
la Sociedad de la Información. Vol. 10. Nº 1. Marzo 2009. Universidad D Salamanca
(2009). Págs. 142-143.
……..
El estudio sostiene que los ritmos de adopción de las TIC en las escuelas siguen los
ritmos tradicionales de difusión de innovaciones (innovation-decision process), afectados
principalmente por las características personales de los innovadores (Venezky, Davis, &
OECD/CERI, 2002). El modelo de Rogers ha sido experimentado en muchas ocasiones,
y en la mayoría de ellas los sujetos reconocen haber pasado por las etapas del proceso
de decisión-innovación.
Aunque determinar los procesos mentales intrapersonales no sea un asunto trivial, “the
evidence is most clear-cut for the knowledge and decision stages and somewhat less so
for the persuasion stage. Only rather poor data are available on the distinctiveness of the
implementation and confirmation stages” (Rogers, 1995).
De acuerdo con Rogers luego de enterarse que existe una innovación (conocimiento), el
docente pasa por una fase en que reúne información suficiente para formarse una actitud
hacia el objeto de innovación (persuasión). Luego en base a sus creencias, evalúa las
características de la innovación y su posible afiliación en ella (decisión). Posterior a estas
actividades mentales el docente pasa a una fase de acción directa con la innovación
(implementación); el profesor pasa de un adoptante pasivo a uno activo y se implica con
la innovación hasta el punto en que puede reinventar la innovación datándola de un
matiz personal en la forma en que se implementa.
557
Anexo 17
Fragmento de, Revista Electrónica Teoría de la Educación. Educación y Cultura en
la Sociedad de la Información. Vol. 10. Nº 1. Marzo 2009. Universidad D Salamanca
(2009). Pág. 143.
Otros diversos estudios confirma la tesis de Roger de que las actitudes de los docentes
juegan un papel decisivo en la integración de las TI (Albirini, 2006; Kitchen, Butt,
Mackenzie, & Finch, 2006; C. P Lim, 2007; Sugar, Crawley, & Fine, 2004). Sin embargo,
estos planteamientos resultan insuficientes, pues, como señalan algunos autores
(Hennessy, Ruthven, & Brindley, 2005; Scrimshaw, 2004) puede ocurrir que la
introducción de las nuevas tecnologías en la enseñanza dependa, sobre todo, de
determinadas percepciones y creencias que tienen los profesionales, ya sea de tipo
epistemológico o metodológico, sobre las nuevas tecnologías.
La visión de que las creencias pedagógicas provocan resistencia al cambio provocando
que persistan las prácticas instruccionales didácticas (C. P. Lim & Chan, 2007;
Niederhauser & Stoddard, 2001) nos remite a considerar tres aspectos en concreto para
el análisis de los factores que afectan la efectiva integración curricular de las TIC. Por un
lado el factor personal que avalúa la afiliación en prácticas mediadas por la Tecnología,
un factor contextual o social que ejerce presión sobre las decisiones que tomamos y un
factor de control sobre lo que creemos ser capaces hacer o de saber utilizar y nos
provoca una percepción de que llevar a cabo una conducta sea fácil o dificultoso.
En este sentido, la Teoría del Comportamiento Planificado (Ajzen, 1985, 1991; Ajzen &
Madden, 1986) (TPB de la voz inglesa Theory of Planned Behavior) emerge como una
formulación teórica atractiva, ya que por un lado aporta resultados favorables respecto
de otros modelos teóricos en el ámbito de la comprensión de la conducta de adopción de
las TIC por parte de los profesores (Lim, Gan, & Chan, 2002; Reyes González, 2007) y,
por otra parte –como se explica más adelante–, cada uno de los constructos integra
elementos fundamentales para la comprensión de los determinantes de las conductas
asociadas con el uso de la Tecnología por las personas.
558
Anexo 18
Fragmento de, Revista Electrónica Teoría de la Educación. Educación y Cultura en
la Sociedad de la Información. Vol. 10. Nº 1. Marzo 2009. Universidad D Salamanca
(2009). Pág. 144-145
……
Es nuestro interés emplear el modelo de la Teoría del Comportamiento Planificado como
un marco conceptual para desarrollar un estudio que examine las variadas influencias
que permiten a un docente pasar de la fase de intrusión hacia la implementación. Por
otra parte, el modelo de Fishbein y Ajzen ha sido utilizado para estudiar los factores que
permiten a los docentes adoptar las tecnologías en los procesos educativos (Cox,
Preston, & Cox, 1999a, 1999b; Chen & Chen, 2006; Sugar et al., 2004), y esta variedad
de estudios que lo emplean nos permite realizar comparaciones, contrastar y/o
corroborar resultados.
De entre todos los constructos propuestos por TPB, los resultados nos indican que tanto
la el componente normativo como el de control muestran un efecto menor en la
motivación de los docentes a implementar las nuevas tecnologías. Sólo la actitud hacia
la conducta predijo de mejor manera la intención de los docentes a implementar
sistemas informacionales en sus prácticas académicas (Sugar et al., 2004). Por lo que
podemos plantear la siguiente hipótesis: un docente debe formarse una actitud positiva
hacia las nuevas tecnologías para lograr vencer la barrera que le impide adoptar
estrategias educativas mediadas por las tecnologías. Así, la actitud se convierte en un
factor psicológico transitivo entre la intrusión y la implementación de las TIC en el aula.
559
4.2. Apropiación.
La fase que hemos denominado como implementación corresponde a una fase de
experimentación, las representaciones mentales no se dan con el individuo aislado sino
que emanan con el individuo actuando con el instrumento tecnológico, poniendo en
marcha o implementando las TIC en el aula. Esto implica que su sistema de
pensamiento comienza a percibir que la tecnología le permite nuevos patrones de acción
educativa, de nuevos espacios, con sus consecuencias en la productividad de la clase, al
modificar su rol de poseedor del contenido de la asignatura a un facilitador de la
construcción del conocimiento con el estudiante.
….
560
Anexo 19
Fragmento de, Revista Electrónica Teoría de la Educación. Educación y Cultura en
la Sociedad de la Información. Vol. 10. Nº 1. Marzo 2009. Universidad D Salamanca
(2009). Pág. 145.
…..
Esta conciencia de las necesidades formativas de la sociedad se genera únicamente
cuando el Docente permite que las tecnologías operen en contextos formativos. Cuando
el ordenador se introduce en el aula es que somos capaces de percibir que las
tecnologías no son neutras, tienen falencias y virtudes, por ello vamos probando nuevas
estrategias y métodos que nos conducen hacia la invisibilidad del ordenador (Gros
Salvat, 2000), los sistemas tecnológicos que utilizamos ya no son el fin sino que nos
esforzamos en lograr el acoplamiento de estos productos con los objetivos educativos.
De acuerdo con Begoña Gros “lo que se trata es de apropiarse de la herramienta, de
utilizarla de manera más conveniente desde el punto de vista educativo.” (Gros Salvat,
2000). En este sentido se considera que la apropiación constituye un segundo factor de
tránsito entre la fase de implementación y la integración curricular.
El concepto de apropiación que manejamos es muy similar al propuesto por los
investigadores del proyecto ACOT (Dwyer et al., 1990), sin embargo nuestro enfoque
aborda el proceso de adopción tecnológica por parte de los Docentes desde una
perspectiva dinámica, ya que junto con la actitud hacia la implementación de las TIC en
el aula (o simplemente actitud) la apropiación es un factor de tránsito para dos etapas de
acción como son la implementación de las TIC y la integración curricular
tecnoconstructivista (figura 2).
561
Anexo 20
Fragmento de LOS CUATRO PILARES DE LA EDUCACIÓN.
http://es.scribd.com/doc/5783765/Los-cuatro-pilares-de-la-educacion
562
Anexo 21
Fragmento de Enfoque humanista integrador de la Educación Informativa. Un
modelo de aplicación en el aula, por Yolanda Campos (2007). Diapositiva 14.
http://www.camposc.net/0repositorio/presentaciones/. 07someceCamposYolanda.pdf
563
Anexo 22
Fragmento de Innovación de estrategias didácticas y educación informática, por
Yolanda Campos(2009). Diapositiva 10.
http://www.slideshare.net/yolacamposc/093innovacion-estrategias-informatica-v07
564
Anexo 23
Fragmento de Enfoque humanista integrador de la Educación informática. Un
modelo de aplicación en el aula, por Yolanda Campos (2007). Diapositiva 16.
http://www.camposc.net/0repositorio/presentaciones/. 07someceCamposYolanda.pdf
565
Anexo 24
Fragmento tomado de LA ENSEÑANZA. BUENAS PRÁCTICAS. LA MOTIVACIÓN
por el Dr. Pere Marqués Graells.
http://peremarques.pangea.org/actodid.htm
 Considerar las características de los estudiantes: estilos cognitivos y de
aprendizaje.
 Considerar las motivaciones e intereses de los estudiantes. Procurar amenidad.
del aula.
 Organizar en el aula: el espacio, los materiales didácticos, el tiempo...
 Proporcionar la información necesaria cuando sea preciso: web, asesores...
 Utilizar metodologías activas en las que se aprenda haciendo.
 Considerar un adecuado tratamiento de los errores que sea punto de partida de
nuevos aprendizajes.
 Prever que los estudiantes puedan controlar sus aprendizajes.
 Considerar actividades de aprendizaje colaborativo, pero tener presente que el
aprendizaje es individual.
 Realizar una evaluación final de los aprendizajes.
566
Anexo 25
Fragmento tomado de LA ENSEÑANZA. BUENAS PRÁCTICAS. LA MOTIVACIÓN
por el Dr. Pere Marqués Graells.
http://peremarques.pangea.org/actodid.htm
……
Los objetivos educativos que pretenden conseguir el profesor y los estudiantes, y los
contenidos que se tratarán. Éstos pueden ser de tres tipos:
 Herramientas esenciales para el aprendizaje: lectura, escritura, expresión oral,
operaciones básicas de cálculo, solución de problemas, acceso a la información
y búsqueda "inteligente", metacognición y técnicas de aprendizaje, técnicas de
trabajo individual y en grupo...
 Contenidos básicos de aprendizaje, conocimientos teóricos y prácticos,
exponentes de la cultura contemporánea y necesarios para desarrollar
plenamente las propias capacidades, vivir y trabajar con dignidad, participar en la
sociedad y mejorar la calidad de vida.
 Valores y actitudes: actitud de escucha y diálogo, atención continuada y
esfuerzo, reflexión y toma de decisiones responsable, participación y actuación
social, colaboración y solidaridad, autocrítica y autoestima, capacidad creativa
ante la incertidumbre, adaptación al cambio y disposición al aprendizaje
continuo.
567
Anexo 26
Fragmento de Modelo de David Kolb, aprendizaje basado en experiencias. Por
Centros Comunitarios de Aprendizaje, Tecnológico de Monterrey Foundation,
Universidad Virtual del Sistema Tecnológico de Monterrey.
http://www.cca.org.mx/profesores/cursos/cep21-tec/modulo_2/modelo_kolb.htm
Características
del alumno
convergente
Características
del alumno
divergente
Características
del alumno
asimilador
Características
del alumno
acomodador
Pragmático Sociable Poco sociable Sociable
Racional Sintetiza bien Sintetiza bien Organizado
Analítico Genera ideas Genera modelos Acepta retos
Organizado Soñador Reflexivo Impulsivo
Buen discriminador
Valora la
comprensión
Pensador
abstracto
Busca objetivos
Orientado a la tarea
Orientado a las
personas
Orientado a la
reflexión
Orientado a la
acción
Disfruta aspectos
técnicos
Espontáneo Disfruta la teoría
Dependiente de los
demás
Gusta de la
experimentación
Disfruta el
descubrimiento
Disfruta hacer
teoría
Poca habilidad
analítica
Es poco empático Empático Poco empático Empático
Hermético Abierto Hermético Abierto
Poco imaginativo Muy imaginativo Disfruta el diseño Asistemático
Buen líder Emocional Planificador Espontáneo
Insensible Flexible Poco sensible Flexible
Deductivo Intuitivo Investigador Comprometido
568
Anexo 27
Cuadro sobre organizadores gráficos y software y sitios web, elaborado por Jorge
Francisco Vera Mosquera.
Organizador
Gráfico
Programa y/o sitios web
Mapas
Conceptuales
Inspiration, Cmap Tools, FreeMind
http://www.gliffy.com
https://bubbl.us/
https://cacoo.com/
http://creately.com/
http://www.spiderscribe.net/
Mapas Mentales Cmap Tools, Inspiration, ConceptDraw, SmartDraw
http://www.aulaweb.com/digidocmap/
http://www.mindomo.com/
http://www.mindmeister.com/
http://www.gliffy.com
Telaraña Cmap Tools, Inspiration, SmartDraw,
http://cmap.ihmc.us/conceptmap.html
http://www.text2mindmap.com/
http://www.mindomo.com/
http://www.mindmeister.com/
http://bubbl.us/
Mapa de Ideas Cmap Tools, Inspiration, Axon, Free Mind, Visual Mind, SmartDraw
http://www.comapping.com/
http://www.mindjet.com/
http://www.text2mindmap.com/
http://popplet.com/
http://nelements.org/
http://mind42.com
http://bubbl.us/
Diagrama Causa-
Efecto
Cmap Tools, SmartDraw, OpenOffice Draw, Powerpoint
http://cmap.ihmc.us/conceptmap.html,
http://interactives.mped.org/view_interactive.aspx?id=127&title
Línea de tiempo SmartDraw, TimeLine Maker, Cronos
http://xtimeline.com/,http://www.dipity.com/,
http://www.timetoast.com/
569
Diagrama de
Flujo
SmartDraw, DFD, Microsoft Office Visio, EDraw Flowchart,
Powerpoint
http://www.gliffy.com/
http://www.flowchart.com/
http://www.drawanywhere.com/
http://www.lucidchart.com/
570
Anexo 28
Tomado y adaptado de INSTRUMENTOS DE MEDICIÓN DE ESTILOS DE
APRENDIZAJE, por José García Cué, en la Revista Estilos de Aprendizaje, nº4, Vol.
4 octubre de 2009
Sitios en Internet de instrumentos de evaluación
Student Learning Styles Questionnaire http://longleaf.net/learningstyle.html
Grasha A. y Riechmann S. (1974). Institute
for Research and Teaching in Higher
Education, Cincinnati University, Ohio, U.S.
LIFO http://www.bcon-lifo.com
Atkins, S. y Katcher, A. (1976).
International, Inc., Van Nuys, California,
U.S
Myers-Briggs Type Indicator (MBTI) http://www.discoveryourpersonality.com/M
BTI.html
Myers, I, y Briggs, K. (1976
Learning Style Inventory (LSI) http://www.learningfromexperience.com/
Kolb, D. (1976, 1985, 1999). Western
Reserve University Cleveland, Ohio and
Experience Based Learning Systems Inc.
Learning Style Inventory and Productivity
Environmental
Preference Survey
http://www.learningstyles.net/
Dunn, R.; Dunn, K. Price, G. (1977, 1978).
St. John's University (NY) and the National
Association of Secondary School Principals
(NASSP)
Your Style of Learning and Thinking.
(SOLAT)
http://www.ststesting.com/
Torrance, E.P.; Reynolds, C.R.; Riegel, T.R
y Ball, O.E. (1977)
NEO-Personality Inventory (NEO-PI) y
NEO Five-Factor Inventory
(NEO-FFI).
http://www3.parinc.com/products/product.a
spx?Productid=NEO-PIR_SPAN
Costa, P.; y McRae R.(1978)
Gregorc Style Delineator (GSD) http://www.gregorc.com/
Gregorc, A. (1979, 1999). Connecticut-
based research, US.
571
Learning Context Questionnaire (LCQ) http://www.indstate.edu/cirt/facdev/pedago
gies/styles/invent.html
Griffith, J. y Chapman, D. (1982). Davidson
College. Davidson, North Carolina
The Motivational Style Profile (MSP) and
related assessment tools
http://www.reversaltheory.org
Apter, M. (1982). Georgetown University,
Washington D.C., U.S.A.
Perceptual Learning-Style Preference
Questionnaire PLSPQ
http://lookingahead.heinle.com/filing/l-
styles.htm
Reid, J. (1984). University of Wyoming,
4MAT System http://www.aboutlearning.com/
McCarty, B. (1987). Wauconda, Illinois,
U.S.
572
Anexo 29
Fragmento de Estrategias docentes para un aprendizaje significativo: una
interpretación constructivista, página 46, por Diaz F. y A. Barriga (2002), Mc Graw
Hill.
http://es.scribd.com/faustinofums813/d/51250484/4-CUADRO-2-6-Condiciones-
para-el-logro-del-aprendizaje-significativo
573
Anexo 30
Tomado y adaptado de Tomado y adaptado de INSTRUMENTOS DE MEDICIÓN DE
ESTILOS DE APRENDIZAJE, diapositiva 36, por David Álvarez, 15 de enero del
2012.
http://www.slideshare.net/balhisay/ple-gestin-del-conocimiento-y-colaboracin-en-
red?from=ss_embed
Rol del Educador ante APA de los estudiantes
Rol Actividad Tácticas y herramientas
Enfocar Llamar la atención sobre las ideas y
conceptos importantes.
Twitter, Facebook, blogs.
Intermediar Organización de lecturas y recursos para
trabajar los conceptos fundamentales.
Diseño de aprendizaje,
tutorías, ajuste de las
actividades para reflejar el
flujo del curso.
Acompañar Ayudar a los estudiantes a confiar en la
construcción de sentido social a través
de redes.
Comentarios en los artículos
del alumnado, ayuda con la
formación de redes
sociales,...
Agregar Mostrar/descubrir patrones en los
debates y en la información
Alertas de Google, Lectores
RSS, herramientas de
visualización de datos (Many
eyes).
Filtrar Ayudar a los estudiantes en el
pensamiento crítico acerca de la
información/conversaciones en las redes.
Lectores de RSS, discusión
sobre la autenticidad y
veracidad de la información,
errores conceptuales.
Ejemplificar
modelos
Mostrar información útil y patrones de
interacción.
Herramientas y actividades
que permitan visibilizar
modelos y prácticas
apropiadas de relación en
red.
Estar presente Mantener una presencia continua
durante el curso, especialmente durante
las pausas de actividad natural.
Boletines periódicos con
información, actividad en
foros, mensajes de vídeo,
podcasts, sesiones con
herramientas síncronas.
574
Anexo 31
Tomado de SISTEMA DE ACTUALIZACIÓN E INNOVACIÓN DOCENTE, Universidad
de Oriente, Vicerectorado Académico, Centro de Tecnología Educativa, Módulo III,
Las Estrategias Instruccionales y la Formación del Docente Universitario, por MSc.
Zulay Ortiz Atay (2004), Fondo Editorial, 19 de enero 2009. Páginas 29.-30.
…..
Diversas estrategias de enseñanza pueden incluirse antes (pre-instrucccionales),
durante (co-instruccionales) o después (post-instruccionales) de un contenido curricular
específico, ya sea en un texto o en la dinámica del trabajo docente. En ese sentido
podemos hacer una clasificación de las estrategias de enseñanza, basándonos en su
momento de uso y presentación.
Las estrategias pre-instruccionales por lo general preparan y alertan al estudiante en
relación a qué y cómo va a aprender (activación de conocimientos y experiencias previas
pertinentes), y le permiten ubicarse en el contexto adecuado del aprendizaje. Algunas de
las estrategias preinstruccionales típicas son: los objetivos y el organizador previo.
Las estrategias co-instruccionales apoyan los contenidos curriculares durante el
proceso mismo de enseñanza o de la lectura del texto de enseñanza. Cubren funciones
como las siguientes: detección de la información principal; conceptualización de
contenidos; delimitación de la organización, estructura e interrelaciones entre dichos
contenidos, y mantenimiento de la atención y motivación. Aquí pueden incluirse
estrategias como: ilustraciones, redes semánticas, mapas conceptuales y analogías,
entre otras.
A su vez, las estrategias post-instruccionales se presentan después del contenido
que se ha de aprender, y permiten al alumno formar una visión sintetizada, integradora e
incluso crítica del material. En otros casos le permite valorar su propio aprendizaje.
Algunas de las estrategias post-instruccionales más conocidas son: post-preguntas
intercaladas, resúmenes finales, redes semánticas y mapas conceptuales.
….
575
Anexo 32
Tomado de LAS TECNOLOGÍAS DE LA INFORMACIÓN Y LA COMUNICACIÓN EN
EL PROCESO DE INSTRUCCIÓN DE LA MATEMÁTICA, páginas 4 y 5, por Víctor S.
Riveros, V. María Inés Mendoza y Rexne Castro, en QUORUM ACADEMICO Vol. 8
No. 15, enero-junio 2011, Universidad del Zulia. ISSN 1690-7582.
http://servidor-opsu.tach.ula.ve/7jornadas_i_h/paginas/doc/JIHE -2011-PT170.pdf
 Cualquier tipo de medio, desde el más complejo al más elemental es simplemente
un recurso didáctico, que deberá ser movilizado cuando el alcance, los objetivos,
los contenidos, las características de los alumnos, en definitiva, el proceso
comunicativo en el cual esté inmerso, lo justifique.
 El Docente con sus creencias y actitudes hacia los medios en general, determinará
las posibilidades que pueda desarrollar en el contexto educativo.
 Todo medio no funciona en el vacío sino en un contexto complejo (psicológico,
físico, organizativo, didáctico) de tal forma que se verá determinado por el
contexto.
 El alumno no es un procesador pasivo de información, por el contrario es un
receptor activo y consciente de la información mediada que le es presentada, de
manera que con sus actitudes y habilidades determinará la posible influencia
cognitiva, afectiva o psicomotora del medio.
576
Anexo 33
Tomado y adaptado de LAS TECNOLOGÍAS DE LA INFORMACIÓN Y LA
COMUNICACIÓN EN EL PROCESO DE INSTRUCCIÓN DE LA MATEMÁTICA,
páginas 5 y 6, por Víctor S. Riveros, V. María Inés Mendoza y Rexne Castro, en
QUORUM ACADÉMICO Vol. 8 No. 15, enero-junio 2011, Universidad del Zulia. ISSN
1690-7582.
http://servidor-opsu.tach.ula.ve/7jornadas_i_h/paginas/doc/JIHE -2011-PT170.pdf
Actualización profesional Actitudes
 Conocimiento de las posibilidades
de utilización de los recursos en
soporte TIC en la docencia y para
la organización y gestión de las
instituciones formativas.
 Conocimiento de las ventajas e
inconvenientes de los entornos
virtuales de aprendizaje frente a
los sistemas de aprendizaje
presencial con apoyo TIC.
 Acceso a las fuentes de
información y recursos en soporte
TIC (revistas, portales
especializados, Webs temáticas,
foros) dedicadas a las labores del
docente.
 Conocimiento de las
repercusiones de las TIC en el
campo de conocimiento que se
imparte.
 Acceso a las fuentes de
información y recursos en soporte
TIC sobre las asignaturas que
imparte.
 Utilización de los programas
informáticos relevantes y
 Actitud abierta y crítica ante la
sociedad actual (era Internet,
Sociedad de la Información) y las
TIC (contenidos, entretenimiento)
 Estar predispuesto al aprendizaje
continuo y a la actualización
permanente.
 Actitud abierta a la investigación
en el aula para aprovechar al
máximo las posibilidades
didácticas de los apoyos que
proporcionan las TIC.
 Actuar con prudencia en el uso de
las TIC (indagar la procedencia de
mensajes, evitar el acceso a
información conflictiva y/o ilegal,
preservar los archivos críticos).
577
específicos de las asignaturas que
imparte.
 Acceso a algunas de las múltiples
fuentes de formación e
información general que
proporciona la Internet
(bibliotecas, cursos, materiales
formativos, prensa).
Competencias técnicas(instrumentales) Metodología docente
 Conocimientos básicos de los
sistemas informáticos y de las
redes.
 Gestión del equipo informático. El
docente debe ser autónomo en el
uso de su equipo: manejo del
sistema operativo Windows y de
los programas que utiliza
habitualmente, gestión de archivos
y carpetas en las unidades de
almacenamiento, conexión de
periféricos, gestión de copias de
seguridad y antivirus, instalación y
desinstalación de programas,
utilización de recursos
compartidos en red,
mantenimiento básico del equipo.
 Utilizar las ayudas que
proporcionan los manuales y los
mismos programas.
 Procesador de textos: uso de las
funciones básicas, correctores
ortográficos.
 Imagen digital: creación, captura y
tratamiento. Uso del escáner, de la
cámara y el vídeo digital.
 Navegación en la Internet:
 Integración de recursos TIC (como
instrumento, como recurso
didáctico y como contenido de
aprendizaje) en los planes
docentes y programas formativos.
 Evaluación objetiva de recursos
educativos en soporte TIC.
 Selección de recursos TIC y
diseño de intervenciones
formativas en el contexto;
organización de las clases.
 Aplicación en el aula de nuevas
estrategias didácticas que
aprovechen los recursos TIC: uso
de las funcionalidades de la
pizarra digital en el aula,
realización de trabajos de
autoaprendizaje a partir de
búsquedas en la Internet y
presentación de los mismos en el
aula con apoyos audiovisuales o
digitales, realización de trabajos
grupales en las aulas multiuso e
informáticas, realización de
proyectos colaborativos en soporte
TIC a partir de las fuentes
informativas de la Internet y con la
578
utilización de los buscadores y
captura de todo tipo de datos,
búsqueda y selección crítica de
información.
 Uso del correo electrónico y de los
foros telemáticos (chats,
videoconferencias).
 Conocimientos básicos de los
lenguajes hipermedial
(estructuración hipermedial de la
información) y audiovisual.
 Elaboración de páginas web y
presentaciones multimedia.
 Hojas de cálculo: uso de las
funciones elementales y de los
gráficos estadísticos sencillos.
 Bases de datos: Consulta y uso
básico de un gestor de bases de
datos (creación de bases de
datos, mantenimiento, consultas,
informes).
 Gestión de los sistemas
tecnológicos aplicados a la
educación: audiovisuales
convencionales (retroproyector,
vídeo, televisión), pizarra digital,
sistemas de videoconferencia.
 Uso de lenguajes de autor y
entornos específicos para la
elaboración de materiales
didácticos.
ayuda de los canales
comunicativos telemáticos,
utilización de las WebQuest y
otros recursos del ciberespacio,
aprovechamiento didáctico de los
recursos que proporcionan los
“mass media”.
 Elaboración de apuntes,
presentaciones y materiales
didácticos multimedia de apoyo
para los alumnos.
 Uso eficiente de las tutorías
virtuales y de otras ayudas
tecnológicas para la tutoría y la
orientación: identificación de las
características de los alumnos,
seguimiento de sus actividades,
informes.
 Uso de ayudas TIC para la
evaluación de los alumnos y de la
propia acción formativa.
 Uso de las funcionalidades que
proporcionan las intranet y las web
de centro.
 Confección de la web docente con
una selección de recursos de
utilidad para los alumnos.
579
Anexo 34
Tomado de Metodología de diseño, desarrollo y evaluación de software educativo,
Tesis de Magíster en Informática. (Versión resumida), Facultad de Informática.
UNLP, de Ing. Zulma Cataldi, ISBN 960-34-0204-2, 2000, página 11.
http://laboratorios.fi.uba.ar/lsi/cataldi-tesisdemagistereninformatica.pdf
Libedinsky (1995) en el marco pedagógico de la utilización de tecnologías en el ámbito
educativo, dice que uno de los principios clave que puede operar es el de las
cogniciones repartidas. "Cuando se examina la conducta humana en la resolución de
problemas de la vida real y en entornos laborales, la gente parece pensar en asociación
con otros y con la ayuda de herramientas provistas por la cultura, las cogniciones
parecerían no ser independientes de las herramientas con las que se resuelve un
problema. Las cogniciones parecerían distribuirse físicamente con nuestros útiles y
herramientas, entre ellas la computadora, socialmente con quienes compartimos las
tareas intelectuales y simbólicamente desde las palabras, gráficos y mapas
conceptuales, entre otros, como medios de intercambio entre la gente. Los recursos
físicos y sociales, participan en la cognición no sólo como fuente sino como vehículo del
pensamiento". (Libedinsky, 1995).
580
Anexo 35
Tomado de Software Educativo, por el Centro de Informática de la Pontificia
Universidad Católica de Chile (2000).
http://www.docstoc.com/docs/19502615/Clasificaci%C3%B3n-de-Software-
Educativo
Por tipo de aplicación
Software libre de contenido (genérico):
Son aplicaciones generales. Ej:
Procesador de palabras, hoja de cálculo,
base de datos, etc.
Software específico: Aplicaciones para
temas específicos del Curriculum. Ej:
Simulaciones de un laboratorio, práctica
para aprender un idioma, aprendiendo a
calcular,etc.
Por rol educacional
Tutor: Pretende proveer un profesor
sustituto. Ej: Tutoriales y aplicación de
ejercicios.
Herramienta: Cuando el computador
realiza labores tediosas permitiendo al
usuario concentrarse en conceptos
esenciales. Ej: Aplicaciones para cálculos
matemáticos, análisis estadístico, etc.
Aprendiz: El computador provee ambiente
para que el estudiante le enseñe con sus
ideas y soluciones a un problema. Ej:
Lenguaje Logo y sus modelamientos.
Otra visión es:
 Motivación(juegos de aventura).
 Proveyendo nuevo
estímulo(programas que simulan
un mundo real).
 Activando la respuesta del
aprendiz (programas que desafían
al estudiante).
 Dando información (tutoriales,
ejercitación, manejo de
información.
 Promoviendo la aplicación
(programas de ejercitación).
 Secuenciando el aprendizaje
(tutoriales).
 Proveyendo un recurso
(Micromundos, Logo).
581
Por teoría educacional
Instruccional: Se trata que el aprendiz
sea experto en el contenido.
Revelador: Enfatiza el aprendizaje por
descubrimiento y el desarrollo de la
intuición.
Descubridor: Liberador: Es desarrollar la comprensión
a través de una activa construcción del
conocimiento.
Por tipo de actividad que promueve
Ejercitación: Reforzar hechos o
conocimientos que han sido analizados en
clase o en laboratorio. Su modalidad es
pregunta y respuesta.
Tutorial: Presenta información que se
plasma en un diálogo entre aprendiz y
computador. Hace que la información
presentada motive y estimule al estudiante
en algo relacionado.
Simulación: Son modelos de eventos y
procesos de la realidad, proveyendo un
ambiente fluido, creativo y manipulativo.
Juego educativo: Similar a la simulación,
la diferencia está en un nuevo
componente: La acción del competidor,
sea virtual o no.
Material de referencia multimedial:
Usualmente el mostrado en enciclopedias
interactivas. La finalidad es proporcionar
material de referencia e incluye video,
texto, imagen, sonido, etc.
Edutainment: Es integrar Educación y
entretenimiento. Son programas
interactivos por excelencia, proporciona
color, música efectos visuales y de sonido,
etc.
Historias y cuentos: Presentan una
historia o cuento multimedial con valor
educativo.
Editores: No dan respuesta al usuario,
proporcionan un marco de trabajo para
crear o experimentar en un espacio gráfico
o similar.
Hiperhistoria: Utiliza una metáfora de
navegación especial, transfiriéndose a una
narrativa interactiva.
582
Anexo 36
Tomado y adaptado de La PIOLA y el Desarrollo Profesional Docente con apoyo de
Tecnologías de Información y Comunicación - TIC. Páginas 6 a 46.
Elaborado por Jorge Francisco Vera Mosquera.
Herramientas relacionadas en PIOLA
P-
Productividad
Comunicación basado en texto(expresión escrita, autoría, referencias
y citas), mejorar comunicación escrita(Procesadores de texto y
utilidades relacionadas-WORD, WRITER), aprender a digitar(TACA
TACA,TUXTYPE), manejar citas y referencias
bibliográficas(APA,ACM,ENDNOTE), procesamiento de datos, apoyo
al cálculo y análisis numérico(EXCEL,CALC), administración de bases
de datos(ACCESS,BASE), Análisis estadístico de datos(SPSS,SAS),
expresión gráfica, procesamiento gráfico(PAINT,
FIREWORKS,PHOTOSHOP), presentaciones
multimedia(POWERPOINT, IMPRESS), procesamiento de datos
multimedia(LAS VEGAS MOVIE STUDIO, CAMTASIA STUDIO),
elaborar portafolios digitales(EPORTFOLIO, PAPER BUILDER),
compartir en red la producción(para diseño web:DREAMWEAVER,
FRONTPAGE, publicación web: WORDPRESS.COM,
BLOGGER.COM).
I- Interacción Con otras personas.
Asincrónico: Correo electrónico (YAHOO, HOTMAIL, GOOGLE),
Blogs (WORDPRESS, BLOGGER), Wiki (WIKISPACES, MEDIAWIKI,
GOOGLE DOCS), Foros (en egroups de Internet como GOOGLE
GROUPS, YAHOO GROUPS, en plataformas educativas como
MOODLE, DOKEOS).
Sincrónico: Mensajería instantánea (MSN, YAHOO, AIM),
Videoconferencia (SKYPE, MSN).
O- Objeto de
estudio
Es el poder apropiarse del conocimiento por parte del estudiante:
Cultural, científico o tecnológico.
Apoyo al aprendizaje por conjetura y exploración
(PHYSICS.ORG,TEEMS, MOLO), manipular digitalmente objetos
matemáticos(NLVM, MATHSNET), exploración en la
red(WEBQUEST.ORG, metodología webquest como en
583
EDUTEKA.ORG), exploración digital del planeta(GOOGLE EARTH,
WORLD WIND), proyectos colaborativos(KIDLINK,WORLD LINKS,
ENLACES de Chile)
L- Labores
educativas
Es el apoyo a las labores educativas.
Crear mapas conceptuales(CMAP TOOLS, BUBBL.US), mapas
causa-efecto(SEEING REASON), construcción y exploración de
modelos matemáticos(MODELLUS), simulaciones y
juegos(AGENTSHEETS, MATLAB)
A- Ampliar el
acervo cultural,
científico y
tecnológico
Es el mantenerse actualizado en lo que interesa en un modo directo.
Empleando las herramientas necesarias por medio de Internet y otras
redes de cooperación, investigación e innovación.
Motores de búsqueda y navegación por etiquetas digitales(GOOGLE,
YAHOO, FLICKR, SLIDEHSARE), enciclopedias digitales(MSN
ENCARTA, WIKIPEDIA, ENCICLONET, MEDLINE, NSDL, EET,
APOD, WEBOPEDIA), información por demanda(Listas de interés-
suscribirse a blogs, publicaciones, canales RSS-BLOGLINES,
FEEDREADER), diccionarios, traductores y tesauros(RAE,
WORDREFERENCE.COM, BABEL FISH TRANSLATION, VISUAL
TESAURUS), portales educativos(PCA, PEC, EDUC.AR, EDUTEKA),
recorridos digitales por museos y colecciones(NASA, MUSEO DEL
ORO, MUSEO DEL PRADO, NATIONAL GEOGRAPHIC)
584
Anexo 37
Cuadro tomado y adaptado de La formación del profesorado universitario en
tecnologías de la información y comunicación, por Marcelo López (2007), página
47.
http://vector.ucaldas.edu.co/downloads/Vector2_5.pdf
“Desarrollo profesional docente con apoyo de tecnologías de información y
comunicación”, Fuente: Álvaro Galvis Panqueva, Alianza por la educación MEN-
Microsoft, 2006.
Dimensiones Herramientas
Mejorar la productividad individual  Comunicación escrita.
 Cálculo y análisis de datos numéricos.
 Administración de bases de datos.
 Procesamiento gráfico.
 Procesamiento de video y sonido.
 Presentaciones.
Interacción con otros  Correo electrónico.
 Chats.
 Diarios digitales (blogs).
 Foros.
Exploración de objetos de estudio  Simuladores.
 Cursos virtuales.
 Lecciones interactivas.
Creación de nuevos objetos de estudio  Construcción de mapas conceptuales.
 Construcción de mapas de causa-
efecto.
 Construcción de modelos
matemáticos.
 Construcción de simulaciones.
 Creación de casos y portafolios
digitales.
Ampliar y preservar acervo cultural  Fuentes digitales de información
(motores de búsqueda,enciclopedias,
diccionarios,listas de interés, portales
educativos, recorridos virtuales).
585
Anexo 38
Cuadro tomado y adaptado de La formación del profesorado universitario en
tecnologías de la información y comunicación, por Marcelo López (2007), página
47.
http://vector.ucaldas.edu.co/downloads/Vector2_5.pdf
Dimensiones Herramientas
Acompañamiento Tutorial  Sistemas Help Desk.
 Sistemas CRM para Educación
Superior.
Gestión del Ejercicio docente  Sistema ERP Institucional.
 Software para la gestión de
proyectos y planes.
 Software gestión de mapas
conceptuales.
 Software groupware.
 Acceso a Bases de Datos
especializadas.
 Acceso a CRA.
Gestión de conocimiento  Sistemas de gestión documental.
 Software de Mapas de
conocimiento.
 Sistemas de vigilancia en ciencia y
Tecnología.
 Sistemas de gestión tecnológica.
 Sistemas expertos.
 Inteligencia artificial.
586
Anexo 39
Cuadro tomado de Competencias deseables de un docente universitario en el uso
de las tecnologías de información y comunicación (TIC), por Patricia Toro, Patricia
Ochoa, Gustavo Villegas y Claudia Zea (2005), página 6.
http://bdigital.eafit.edu.co/Journal/HRU100/Cuaderno35.pdf
ISTE CMI Marqués
Los Criterios Nacionales
propuestos
por ISTE para la Tecnología
Educativa para Docentes
(NETS), se centran en la
formación
del docente antes de su
ejercicio profesional. Define
los conceptos
fundamentales,
el conocimiento, las
destrezas
y actitudes en el uso de TIC.
Los criterios están
agrupados
en seis categorías básicas:
I. Tecnología, operaciones y
conceptos.
II. Planeando y diseñando
ambientes y experiencias
de aprendizaje.
III. Enseñando, aprendiendo
y
el currículo
IV. Valoración y Evaluación
V. Productividad y Practica
Profesional.
VI. Recursos Sociales,
Éticos,
Legales y Humanos.
Las competencias básicas
frente al manejo de la
información,
han sido agrupados
en tres categorías
que son:
I. Competencia en el Manejo
de Información
II. Aprendizaje Independiente
III. Responsabilidad Social
El investigador Pere
Marqués
ha definido las competencias
básicas en TIC’s
que debe poseer un docente.
Estas competencias
didáctico-digitales para los
formadores se reúnen en
cuatro dimensiones:
I. Competencias técnicas
(instrumentales)
II. Actualización profesional
III. Metodología docente
IV. Actitudes
587
Anexo 40
Cuadros tomados de Competencias deseables de un docente universitario en el
uso de las tecnologías de información y comunicación (TIC), por Patricia Toro,
Patricia Ochoa, Gustavo Villegas y Claudia Zea (2005), páginas 8 a 12.
http://bdigital.eafit.edu.co/Journal/HRU100/Cuaderno35.pdf
I - Categoría Alfabetización Tecnológica
Conceptos
(Saber – Saber)
Procedimientos
(Saber – Hacer)
Actitudes
(Saber – Ser y
convivir juntos)
Competencias
Básicas
Conoce los
componentes
básicos de los
sistemas
informáticos
y sus principales
funciones.
Conoce la
terminología
básica de los
sistemas
operativos.
Conoce los
diferentes
componentes de
los computadores y
sus periféricos.
Organiza
adecuadamente
la información
mediante archivos y
carpetas.
Domina la
utilización
de los elementos
genéricos de los
diferentes
programas.
Guarda y recupera
la información en
el computador y en
diferentes soportes
externos.
Muestra interés por
actualizar los
conocimientos
básicos alrededor
de las TIC.
Asume una postura
preactiva hacia los
problemas técnicos
cotidianos
asociados a
estas tecnologías.
588
II. Categoría Desarrollo productivo
Conceptos
(Saber – Saber)
Procedimientos
(Saber – Hacer)
Actitudes
(Saber – Ser y
convivir juntos)
Competencias
Básicas
Conoce los
elementos
básicos para
navegar
por Internet,
almacenar,
recuperar, clasificar
e
imprimir
información.
Conoce el ambiente
de
trabajo del
procesador
de textos, la hoja de
cálculo y de algún
software
de base de datos.
Conoce los
elementos
básicos de los
mapas
conceptuales
digitales.
Conoce los editores
básicos para la
creación
de páginas Web.
Utiliza motores para
búsqueda de
información
en Web. Utiliza las
distintas
herramientas del
procesador de texto, la
base de datos, la hoja
de
cálculo y las utilidades
de
impresión y gráficos.
Envía
y recibe mensajes de
correo
electrónico, organiza
la libreta de direcciones
y envía mensajes con
archivos adjuntos.
Utiliza
las funciones básicas
de
un editor gráfico.
Contrasta la
validez
y actualidad
de la información
localizada. Valora
las ventajas y los
inconvenientes
de los diferentes
soportes
electrónicos/
digitales.
Demuestra
conocimientos
frente
a los problemas
de equidad,
éticos y humanos
relacionados con
el uso de la
informática
y la tecnología.
Demuestra
un sentido crítico
frente a los
cibermedios
de comunicación.
Competencias
Deseables
Conoce las
principales
funciones de los
editores de textos,
Utiliza los sistemas de
gestión de las bases de
datos, que le permitan
almacenar y acceder a
589
graficadores y hojas
de
presentación al que
se
le adicionan
recursos
multimediales.
Conoce
las diferentes
técnicas
para generar
reportes y
cruzar información
en
las bases de datos.
los
datos de forma rápida y
estructurada. Realiza
textos
y presentaciones que
incluyen recursos
multimediales
e hipertextuales
entre diferentes
documentos. Construye
mapas conceptuales
multimediales,
adicionándoles
recursos y
generando mapas
colaborativos
con otros docentes
y
estudiantes.Construye
una página Web
personal
y/o académica.
590
III. Categoría Integración TIC en ambientes de aprendizaje
Conceptos
(Saber – Saber)
Procedimientos
(Saber – Hacer)
Actitudes
(Saber – Ser y
convivir juntos)
Competencias
Básicas
Conoce las
múltiples
fuentes de
formación
que proporciona
Internet
(biblioteca – cursos
– materiales).
Conoce diferentes
recursos
informáticos
asociados
con las asignaturas
que
imparte
(aplicaciones,
simuladores y
software).
Conoce el acceso a
bibliotecas
digitales y a bases
de datos
especializadas.
Utiliza, explora y
evalúa material
informático
aplicaciones,
simuladores
y software educativo
que apoya el
proceso educativo.
Identifica los
recursos para
mantenerse
al día en
aplicaciones
informáticas y
tecnológicas.
Diseña y desarrolla
actividades
de aprendizaje que
integren la
informática y la
tecnología para
las estrategias de
grupos de
alumnos y para
diversas poblaciones
de estudiantes.
Promueve en
los alumnos el
uso de las TIC,
como fuente de
información y
como medio de
expresión.
Muestra actitudes
favorables
para el aprendizaje
continuo y
la actualización
permanente.
Posee actitudes
favorables al trabajo
en equipo
y a compartir
información digital
con otros.
Competencias
Deseables
Conoce las
estrategias
de integración de
los
recursos TIC en la
planificación
Aplica los principios
educativos
y las investigaciones
actuales al
uso pedagógico de
las TIC.
591
y desarrollo de
asignaturas.
Identifica y localiza
recursos
tecnológicos y
evalúa
su precisión e
idoneidad
Planea el manejo de
recursos
tecnológicos dentro
del contexto
de las actividades de
aprendizaje.
Utiliza búsqueda de
información digital,
en bases
de datos
especializadas.Elabo
ra
talleres,
presentaciones y
materiales
didácticos
multimedia de
apoyo para los
estudiantes
Usa diversas ayudas
que aportan
las TIC para el
seguimiento y
la evaluación de los
estudiantes
Diseña y mantiene
un sitio Web
docente, con una
selección de
los recursos útiles
para los estudiantes.
Usa la tecnología
para
obtener y analizar
datos, interpretar
resultados y
comunicar
592
hallazgos con el fin
de mejorar
las prácticas
educativas y el
aprendizaje de los
estudiantes.
Comparte recursos
digitales
con pares
académicos.
Competencias
Avanzadas
Conoce diferentes
programas
de autor para la
generación de
materiales
electrónicos
Usa programas de
autor
para elaborar
materiales
educativos con
actividades
interactivas virtuales.
Diseña y construye
materiales
informáticos
(aplicaciones,
simuladores y
software)
593
IV. Categoría Educación On Line
Conceptos (Saber -
Saber)
Procedimientos
(Saber - Hacer)
Actitudes (Saber
Ser - y convivir
juntos)
Competencias
básicas
Conoce las diversas
posibilidades
y funcionalidades
de los entornos
virtuales de
aprendizaje.
Conoce las
diferentes
estrategias de tutoría
en ambientes
virtuales.
Identifica las
potencialidades,
requerimientos,
y características de
un
sistema de
educación
On line.
Participa en
proyectos de
trabajo colaborativo
(listas
de discusión,
debates
temáticos, cursos de
formación
On line).Utiliza las
tecnologías
informáticas
para acceder a la
información
que incremente
la productividad
personal
y profesional.
Realiza
un uso eficiente de
las
tutorías virtuales
(Identifica
las características de
los alumnos, hace
seguimiento
de las actividades,
retroalimenta
informes,
etc.).Utiliza
plataformas o
campus virtuales
Mantiene una
actitud abierta
y crítica ante la
sociedad de la
información.
Es Abierto a la
investigación en
el aula para
aprovechar
al máximo
las posibilidades
didácticas de
los apoyos que
proporcionan las
TIC. Muestra
actitudes
positivas
hacia usos de las
TIC que apoyan
el aprendizaje
continuo y
colaborativo.
Competencias
deseables
Conoce los
elementos
asociados con la
Orienta e interactúa
con
diseñadores de
Mantiene actitudes
abiertas y
criticas ante la
594
creación, orientación
y
síntesis de foros
virtuales.
Conoce las diversas
políticas de derechos
de autor para
manejo y
difusión de
materiales
electrónicos
materiales
multimediales.
Participa
y está en capacidad
de organizar
actividades
educativas por
audioconferencia,
teleconferencia,
audiográfica y
videoconferencia.
Usa programas
de autor para
elaborar
materiales
educativos
con actividades
interactivas
virtuales. Evalúa
y selecciona nuevas
fuentes de
información
e innovaciones
tecnológicas
con fundamento
en su adecuación
para
tareas específicas.
Utiliza
las diversas políticas
de
derechos de autor
para
materiales
electrónicos
sociedad actual
(era de Internet,
sociedad de la
información) y las
TIC (contenidos,
entretenimiento).
Es Abierto a la
investigación en
el aula para
aprovechar
al máximo
las posibilidades
didácticas de los
apoyos que
proporcionan
las TIC.
Muestra disposición
al aprendizaje
continuo y a
la actualización
permanente en la
virtualidad. Tiene
actitudes positivas
hacia los usos
de las TIC para el
trabajo colaborativo
y la productividad.
Respeta las
diversas políticas
de derechos de
autor en materiales
electrónicos
Competencias
avanzadas
Conoce las
diferentes
estrategias
Organiza sesiones
virtuales
y bimodales
595
didácticas y
técnicas para la
generación
de contenidos en
ambientes virtuales
aprovechando
plenamente el
potencial de las TIC
(desarrollo
de contenidos,
actividades
de aprendizaje,
seguimiento y
evaluación).
596
Anexo 41
Cuadro tomado de ESTÁNDARES Y COMPETENCIAS TIC PARA LA FORMACIÓN
INICIAL DE PROFESORES, Revista de Estudios y Experiencias en Educación, núm.
12, 2007, pp. 93-106 de la Universidad Católica de la Santísima Concepción, Chile,
por Marcelo Careaga y Angélica Avendaño. Página 96.
http://redalyc.uaemex.mx/redalyc/pdf/2431/243117030005.pdf
Estándares internacionales TIC para la formación docente
Objetivo Enfoque Dimensiones
ISTE Dotar al docente de
referencias para la
creación
de ambientes más
interactivos de
aprendizaje.
Integrador de
aquellas
destrezas técnicas
y
pedagógicas,
organizados en
un itinerario que
incluye una
formación escolar y
finaliza
con una formación
a lo largo
de la vida.
Las áreas que
considera este
estándar incluyen:
- Manejo
Tecnológico
Operativo (básico
y de
Productividad).
- Diseño de
Ambientes de
Aprendizaje.
- Vinculación TIC
con el Currículo.
- Evaluación de
Recursos y
Aprendizajes.
- Mejoramiento
Profesional.
- Ética y Valores.
INTEL Pretende ayudar a que los
docentes tengan
referencias y orientaciones
para integrar de manera
efectiva, el uso de TIC en
los programas de estudios
y el proceso de
aprendizaje
Se sustenta en un
conjunto
de módulos de
formación,
que conllevan
niveles y tipo
de aprendizajes
que integran
el uso de TIC y el
Las áreas que
considera este
estándar incluyen:
- Manejo
Tecnológico
Operativo (básico
y de
productividad).
- Diseño de
597
con estudiantes. desarrollo
curricular, mediante
un
proceso
permanente de
elaboración por
parte del
docente.
Ambientes de
Aprendizaje.
- Vinculación TIC
con el Currículo.
- Evaluación de
uso y
Aprendizajes.
- Mejoramiento
Profesional.
- Ética y Valores.
QTS Establecido como parte de
un currículo nacional para
la FID en el Reino Unido,
se
centra en la articulación
con áreas curriculares
como el Inglés,
matemáticas,
ciencias y aprendizaje
propio de las TIC.
Se organizan en
torno a tres
ejes temáticos que
implican
conocer, enseñar y
reflexionar sobre la
práctica
profesional.
Las áreas que
considera este
estándar incluyen:
- Manejo
Tecnológico
Operativo (básico
y de
Productividad).
- Diseño de
Ambientes de
Aprendizaje.
- Vinculación TIC
con el Currículo.
- Evaluación de
uso y
Aprendizajes.
- Mejoramiento
Profesional.
EUROPEAN
PEDAGOGITAL
ICT
Busca acreditar
pedagógicamente, el nivel
de los docentes y el uso
de
las TIC, con miras a
contribuir una mejora en
las prácticas docentes.
Integra una
perspectiva
operativa y una
pedagógica,
para lo cual se
basa en el
desarrollo y
adaptación de
Las áreas que
considera este
estándar incluyen:
- Manejo
Tecnológico
Operativo (básico
y de
Productividad).
598
propuestas
contextualizadas
en el aula. Su
modalidad de
trabajo está
organizada en
módulos
obligatorios y
opcionales de
carácter
virtual.
- Vinculación TIC
con Currículo.
- Evaluación de
uso y
Aprendizajes.
- Mejoramiento
Profesional.
INSA Mejora la formación
continua de docentes
desde
la propia práctica docente,
facilitando la orientación
para propuestas de
innovación con TIC.
Articula objetivos
curriculares con
aquellos
operativos, en torno
a
desempeños más
centrados
en lo cognitivo y su
concreción en
actividades
con alumnos.
Las áreas que
considera este
estándar incluyen:
- Manejo
Tecnológico
Operativo (básico
y de
Productividad).
- Diseño de
Ambientes de
Aprendizaje.
- Vinculación TIC
con el Currículo.
- Evaluación de
uso y
Aprendizajes.
- Mejoramiento
Profesional.
- Ética y Valores.
AUSTRALIA Estándar que busca
establecer qué tipo de
destrezas y habilidades
debe poseer un docente,
al ingresar al sistema
educativo.
Considera
categorías
operativas y
pedagógicas,
desglosadas
mediante
habilidades de uso
Las áreas que
considera este
estándar incluyen:
- Manejo
Tecnológico
Operativo (básico
y de
599
y de toma
de decisiones en un
contexto
formador.
Productividad)
- Diseño de
Ambientes de
Aprendizaje
- Vinculación TIC
con el Currículo
- Evaluación de
uso y
Aprendizajes
- Mejoramiento
Profesional
- Ética y Valores
600
Anexo 42
Fragmento de ESTÁNDARES UNESCO DE COMPETENCIA
EN TIC PARA DOCENTES, por Eduteka.
http://www.eduteka.org/EstandaresDocentesUnesco.php
601
Anexo 43
Fragmento resumido de Desarrollo de competencias a través de la educación a
distancia, “Estándares UNESCO de Competencias en TIC para Docentes”, por
Rocío Bautista.
http://www.temachtiani.com/onteanqui2/.../competenciasEnTIC.pps
Matriz Componente/Enfoque de los Estándares UNESCO de Competencias en TIC
para Docentes
Componente/Enfoque Nociones
básicas de TIC
Profundización del
Conocimiento
Generación de
Conocimiento
Política y Visión Nociones
básicas de TIC
Profundización del
conocimiento
Innovación en
materia de políticas
Plan de estudios
(Curriculum) y evaluación
Conocimientos
básicos
Aplicación del
conocimiento
Habilidades
indispensables para
el Siglo XXI
Pedagogía Integrar las TIC Solución de
problemas
complejos
Autogestión
TIC Herramientas
básicas
Herramientas
complejas
Tecnología
generalizada
Organización y
administración
Aula de clase
estándar
Grupos
colaborativos
Organizaciones de
aprendizaje
Formación profesional de
docente
Alfabetismo en
TIC
Gestión y Guía El docente como
modelo de educando
602
Anexo 44
Tomado de EXPERIENCIAS DOCENTES Y TIC, Universidad de Oviedo por María
Esther Del Moral Pérez y Raquel Rodríguez González (2010), Editorial Octaedro,
Primera Edición, mayo. Página 20.
El perfil apropiado del estudiante viene caracterizado por los siguientes elementos:
Aprendiz activo, autónomo, estratégico, reflexivo, cooperativo, responsable. Sin duda,
esto exige un gran cambio de mentalidad en la cultura dominante del alumnado
universitario y que requiere también de una atención especial. En el caso de los
profesores, un requisito básico para el logro de algunos de los objetivos del proceso de
convergencia es la profesionalización del Profesor universitario. Esta afirmación se
traduce en la exigencia de una formación pedagógica institucionalizada y sistemática,
cuya finalidad sea la de facilitar el aprendizaje de sus nuevas competencias docentes
(De la Cruz, 2000, 2003; Fernández, 2003).
603
Anexo 45
Entrevista con Dra. Jeannette Yerovi de Orta, Directora del Instituto de Post-Grado
y Educación Continua de la Facultad de Filosofía, Letras y Ciencias de la
Educación.
Guayaquil, 1 de abril de 2012.
UNIVERSIDAD DE GUAYAQUIL
FACULTAD DE FILOSOFÍA, LETRAS Y CIENCIAS DE LA EDUCACIÓN
INSTITUTO DE POSTGRADO Y EDUCACIÓN CONTINUA
MAESTRÍA EN EDUCACIÓN INFORMÁTICA
PRIMERAS AUTORIDADES DE LA FACULTAD DE FILOSOFÍA, LETRAS Y
CIENCIAS DE LA EDUCACIÓN – ENTREVISTA
Antes de iniciar con esta entrevista, le agradezco por su tiempo y participación
en esta investigación. Quien se dirige a usted es maestrante de Educación Informática
de la Facultad de Filosofía de la Universidad de Guayaquil, cuyo tema de tesis es:
MANEJO DE LAS TIC EN LA GESTIÓN DOCENTE DE LA UNIVERSIDAD DE
GUAYAQUIL. PROPUESTA: DISEÑO DE UN PROGRAMA DE EDUCACIÓN
CONTINUA EN EL MANEJO DE LAS TIC PARA EL INSTITUTO DE POST-GRADO DE
LA FACULTAD DE FILOSOFÍA, LETRAS Y CIENCIAS DE LA EDUCACIÓN.
Sus respuestas serán sumamente valiosas para la presente investigación, siendo
su información muy importante ya que contribuirá relevantemente con lo que se
investiga, agradeciéndole de antemano su colaboración.
Lcdo. S. I. Jorge Vera Mosquera
DATOS REFERENCIALES
Cargo actual
Años de experiencia
docente
Último grado académico
604
Preguntas
1. ¿Cómo considera el rol de las TIC en la Educación?
Considero que es una herramienta de este siglo cuyo rol es de suma importancia,
ya que todo se hace con la tecnología actualmente.
2. ¿Cómo juzga el impacto de las TIC en la Sociedad actual?
Es de gran impacto en nuestro medio, como una prueba se puede mencionar los
exámenes del Senescyt a nivel universitario, que actualmente se realicen para el
ingreso, y podemos decirlo a nivel de toda actividad en la sociedad.
3. ¿Existe algún estudio relacionado con el manejo de las TIC en la gestión
docente de la Universidad?
En la actualidad no, pero debe de existir.
4. ¿Existen algún Programa de Formación Continua Docente en TIC en la
Facultad de Filosofía?
No existe actualmente, de ahí los objetivos de la tesis que actualmente se está
desarrollando.
5. ¿Qué grado de importancia considera Ud. al manejo de las TIC en la gestión
docente universitaria?
Lo considero de suma importancia, dada el desarrollo tecnológico y su uso por parte
de los estudiantes en su vida cotidiana y en el mundo laboral.
6. ¿Considera Ud. que el paradigma tradicional de enseñanza se presenta
actualmente en la Universidad?. Argumente.
Sí hay en ciertos Docentes, pero los jóvenes están empoderados con el Paradigma
Constructivista.
7. ¿Cómo considera la situación actual del manejo de las TIC a nivel curricular
en la Universidad de Guayaquil?
Al momento no está todavía definida la temática, como tampoco socializada,
algunas Facultades desarrollan lo que creen conveniente.
8. ¿En qué forma considera que se debe presentar la relación Curriculum – TIC –
Aprendizaje y Estrategias metodológicas en una asignatura?
Deben ir entrelazadas con criterio vertical y horizontal, para una mejor estrategia
metodológica.
9. ¿El Software, en qué forma lo considera útil en el proceso educativo en una
asignatura?.¿En qué momento?
Cada Docente maneja lo que considera conveniente, sobretodo en Informática,
debiéndose a un objetivo andragógico su uso, como apoyo didáctico, en base a una
metodología adecuada que considere el escenario creado por el Educador.
605
10. ¿En qué forma considera que debe presentarse coherencia entre aprendizaje
esperado y recurso TIC utilizado?
Debe haber coherencia entre los objetivos andragógicos de aula y el uso del recurso
TIC, es decir, debe haber interacción entre el estudiante y el Docente, con el apoyo
de la herramienta tecnológica.
11. ¿Considera usted que la Facultad de Filosofía dispone de una infraestructura
tecnológica (equipos y programas) adecuada para desarrollar los procesos
educativos apoyándose en las TIC?. En caso afirmativo, describa brevemente
sus razones.
Se dispone en la actualidad de catorce (14) laboratorios y un Programa a nivel de
Maestría, en la que hay siete (7) paralelos. En Pre-grado existe una carrera de
Informática, y esto llevó a que el Instituto de Post-Grado presentara un Programa
de Cuarto Nivel de Educación Informática para los egresados de Informática de la
provincia y otros lugares del país.
12. ¿Considera usted que la Facultad de Filosofía permite un acceso adecuado de
equipos, programas, red e Internet, para sus estudiantes para facilitar los
procesos educativos apoyados en las TIC?. Argumente.
Actualmente existen los equipos suficientes, en los que hay Internet en los mismos
laboratorios, pero en el Complejo Académico, donde está funcionando actualmente
el Instituto de Post-Grado, existe en todo el edificio Wi-Fi, y además cuenta con un
servicio automatizado para gestión administrativa académica.
13. ¿En qué forma considera que mejorará la eficiencia y eficacia de los procesos
educativos de la Universidad con el empleo de las TIC por parte de los
Docentes?
Siendo las TIC herramientas de apoyo, contribuye indiscutiblemente en la mejora de
todos los procesos educativos.
14. ¿En qué y cómo considera que debe consistir un Programa de Educación
Continua Docente en el Manejo de las TIC para los Docentes de la
Universidad?
Acoplado a la realidad actual y acorde a las necesidades docentes.
15. ¿Qué facilidades considera que la Facultad de Filosofía ofrece a los Docentes
de la Universidad en relación a los accesos a los recursos educativos
necesarios para implementar un Programa de Educación Continua en el
Manejo de las TIC?
La Facultad cuenta con los recursos suficientes para ofrecer sobretodo, al momento
que los cuatro (4) laboratorios de Informática en el Complejo Académico, en el
edificio de Post-Grado, se encuentren listos, y así poder implementarlo.
606
16. ¿Qué grado de factibilidad considera para implementar un Programa de
Educación Continua en el Manejo de las TIC para los Docentes de la
Universidad?
Hay el apoyo y la factibilidad, sobre todo por el deseo de las Autoridades de la
Facultad para implementar este Programa.
Muchas gracias por su colaboración
607
Anexo 46
Entrevista con MSc. Francisco Morán Peña, Director de Carreras Técnicas Semi-
Presencial de la Universidad de Guayaquil.
Guayaquil, 1 de abril de 2012.
UNIVERSIDAD DE GUAYAQUIL
FACULTAD DE FILOSOFÍA, LETRAS Y CIENCIAS DE LA EDUCACIÓN
INSTITUTO DE POSTGRADO Y EDUCACIÓN CONTINUA
MAESTRÍA EN EDUCACIÓN INFORMÁTICA
PRIMERAS AUTORIDADES DE LA FACULTAD DE FILOSOFÍA, LETRAS Y
CIENCIAS DE LA EDUCACIÓN – ENTREVISTA
Antes de iniciar con esta entrevista, le agradezco por su tiempo y participación
en esta investigación. Quien se dirige a usted es maestrante de Educación Informática
de la Facultad de Filosofía de la Universidad de Guayaquil, cuyo tema de tesis es:
MANEJO DE LAS TIC EN LA GESTIÓN DOCENTE DE LA UNIVERSIDAD DE
GUAYAQUIL. PROPUESTA: DISEÑO DE UN PROGRAMA DE EDUCACIÓN
CONTINUA EN EL MANEJO DE LAS TIC PARA EL INSTITUTO DE POST-GRADO DE
LA FACULTAD DE FILOSOFÍA, LETRAS Y CIENCIAS DE LA EDUCACIÓN.
Sus respuestas serán sumamente valiosas para la presente investigación, siendo
su información muy importante ya que contribuirá relevantemente con lo que se
investiga, agradeciéndole de antemano su colaboración.
Lcdo. S. I. Jorge Vera Mosquera
DATOS REFERENCIALES
Cargo actual
Años de experiencia
docente
Último grado académico
608
Preguntas
1. ¿Cómo considera el rol de las TIC en la Educación?
El proceso de las TIC a nivel mundial permite que al educando se lo forme con
nuevas tendencias, que lo induce a una formación personalizada, y mas no
estandarizada, potenciando así al estudiante, siendo el Docente su guía del
conocimiento.
2. ¿Cómo juzga el impacto de las TIC en la Sociedad actual?
Tener un cálculo es complicado, pero observando y comparando, los jóvenes y los
niños manejan nuevos recursos y conocimientos, sin la necesidad de un Docente o
Profesor Guía, dado que la Infocomunicación está a la mano de todos.
3. ¿Existe algún estudio relacionado con el manejo de las TIC en la gestión
docente de la Universidad?
De la Universidad de Guayaquil, en forma general no conozco, pero con la
evaluación institucional, existen indicadores de Gestión TIC, como: Número de
computadores, Sistema Académico, ancho de banda, etc., que se los está
manejando en actualidad.
4. ¿Existen algún Programa de Formación Continua Docente en TIC en la
Facultad de Filosofía?
No conozco, existen Seminarios esporádicos.
5. ¿Qué grado de importancia considera Ud. al manejo de las TIC en la gestión
docente universitaria?
Una Universidad moderna dentro de sus puntos estratégicos deben estar las TIC,
de modo que el Docente maneje el proceso enseñanza-aprendizaje, orientación-
aprendizaje y la gestión de la Universidad, así como, notas, portafolio docente,
Curriculum, encuestas de satisfacción del Docente,etc.
6. ¿Considera Ud. que el paradigma tradicional de enseñanza se presenta
actualmente en la Universidad?. Argumente.
Dentro de los modelos pedagógicos es complicado seguir un modelo, decir que
somos constructivistas, no lo implica necesariamente. En la realidad uno combina
los modelos porque se los relacionan unos con otros. No es puro un modelo
determinado.
7. ¿Cómo considera la situación actual del manejo de las TIC a nivel curricular
en la Universidad de Guayaquil?
Según las evaluaciones del mandato 14, hay que fortalecer los indicadores de las
TIC en la Universidad de Guayaquil.
609
8. ¿En qué forma considera que se debe presentar la relación Curriculum – TIC –
Aprendizaje y Estrategias metodológicas en una asignatura?
Todos deben interrelacionarse, no por separado y trabajando integralmente.
9. ¿El Software, en qué forma lo considera útil en el proceso educativo en una
asignatura?.¿En qué momento?
Es indispensable para mejorar el aprendizaje y facilitar la enseñanza. Hoy en día, el
Consejo de Educación Superior considera que una asignatura es en base a
créditos, y este es de 16 horas autónomas y 16 horas presenciales. Muchas veces
se pueden justificar las presenciales, pero en el caso de las autónomas el proceso
es más complicado, y es ahí donde intervienen las TIC.
10. ¿En qué forma considera que debe presentarse coherencia entre aprendizaje
esperado y recurso TIC utilizado?
Hasta lo más real en su aplicación, todo debe ser posible en la forma que estén
disponibles las TIC.
11. ¿Considera usted que la Facultad de Filosofía dispone de una infraestructura
tecnológica (equipos y programas) adecuada para desarrollar los procesos
educativos apoyándose en las TIC?. En caso afirmativo, describa brevemente
sus razones.
Sí tiene la tecnología necesaria para los procesos educativos, pero debido a la
cantidad de estudiantes, carreras y modalidades, el proceso de formación en la
utilización de este tipo de herramientas va creciendo poco a poco. Así se tiene el
Sistema Académico de la Facultad, el Sistema de Evaluación Docente, sistema de
aulas virtuales, video-llamadas, departamento de video-conferencia, web mail,
repositorio digital, sitio web de la Facultad, etc.
12. ¿Considera usted que la Facultad de Filosofía permite un acceso adecuado de
equipos, programas, red e Internet, para sus estudiantes para facilitar los
procesos educativos apoyados en las TIC?. Argumente.
Consideramos que la Facultad cumple con sus labores docentes, pero se debe
fortalecer todo lo relacionado con la tecnología, debido a que éstas cambian y se
mejoran cada día.
13. ¿En qué forma considera que mejorará la eficiencia y eficacia de los procesos
educativos de la Universidad con el empleo de las TIC por parte de los
Docentes?
El nivel de recursos TIC requiere en ciertos casos, que la Universidad lo atienda, por
lo que al hablar de eficiencia y eficacia, no podría establecerse un parámetro
objetivo de la realidad universitaria.
610
14. ¿En qué y cómo considera que debe consistir un Programa de Educación
Continua Docente en el manejo de las TIC para los Docentes de la
Universidad?
Basarse en las políticas de la Universidad, en lo relacionado a la aplicación de las
TIC en la Educación, conociendo disposiciones y necesidades de cada Facultad.
15. ¿Qué facilidades considera que la Facultad de Filosofía ofrece a los Docentes
de la Universidad en relación a los accesos a los recursos educativos
necesarios para implementar un Programa de Educación Continua en el
Manejo de las TIC?
La Facultad viene dando Seminarios sobre el uso del Sistema Académico, como el
ingreso de actas por Internet, evaluaciones, verificación de notas por parte del
estudiante, portafolio docente, etc., trabajándose en el tema para en el futuro dar
mejores facilidades.
16. ¿Qué grado de factibilidad considera para implementar un Programa de
Educación Continua en el Manejo de las TIC para los Docentes de la
Universidad?
Alto, dar el tiempo, la planificación, los recursos, y darse la infraestructura del caso,
acorde a las disposiciones superiores.
Muchas gracias por su colaboración
611
Anexo 47
Entrevista con MSc. Francisco Silva Vera, Docente de la Carrera Mercadotecnia y
Publicidad de la Facultad de Filosofía, Letras y Ciencias de la Educación.
Guayaquil, 1 de abril de 2012.
UNIVERSIDAD DE GUAYAQUIL
FACULTAD DE FILOSOFÍA, LETRAS Y CIENCIAS DE LA EDUCACIÓN
INSTITUTO DE POSTGRADO Y EDUCACIÓN CONTINUA
MAESTRÍA EN EDUCACIÓN INFORMÁTICA
EXPERTOS – ENTREVISTA
Antes de iniciar con esta entrevista, le agradezco por su tiempo y participación
en esta investigación. Quien se dirige a usted es maestrante de Educación Informática
de la Facultad de Filosofía de la Universidad de Guayaquil, cuyo tema de tesis es:
MANEJO DE LAS TIC EN LA GESTIÓN DOCENTE DE LA UNIVERSIDAD DE
GUAYAQUIL. PROPUESTA: DISEÑO DE UN PROGRAMA DE EDUCACIÓN
CONTINUA EN EL MANEJO DE LAS TIC PARA EL INSTITUTO DE POST-GRADO DE
LA FACULTAD DE FILOSOFÍA, LETRAS Y CIENCIAS DE LA EDUCACIÓN.
Sus respuestas serán sumamente valiosas para la presente investigación, siendo
su información muy importante ya que contribuirá relevantemente con lo que se
investiga, agradeciéndole de antemano su colaboración.
Lcdo. S. I. Jorge Vera Mosquera
DATOS REFERENCIALES
Cargo actual
Años de experiencia
docente
Último grado académico
612
Preguntas
1. ¿Cómo considera el rol de las TIC en la Educación?
Las considero muy importante ya que actualmente, vivimos en un mundo en donde
los canales por los cuales fluye la comunicación han cambiado, producto de la
propagación del uso del Internet y de los medios tecnológicos para acceder a ellas.
Los estudiantes de esta época se comunican a través de diversas redes sociales, y
es aquí en donde deben entrar las TIC, estableciendo una red social exclusiva para
el estudio, en donde Estudiantes y Profesores compartan conocimiento.
2. ¿Cómo juzga el impacto de las TIC en la Sociedad actual?
Un impacto importante, debido a que ya nos encontramos con estudiantes que han
estado manejando las tecnologías, y especialmente el Internet desde temprana
edad (estudiantes digitales) y debemos reconocer que uno de los medios que está
cogiendo fuerza son precisamente el empleo de las TIC (teléfonos inteligentes,
Tablets, netbook, redes sociales…).
3. ¿Qué grado de importancia considera Ud. al manejo de las TIC en la gestión
docente universitaria?
Sumamente importante, desde poder comunicarse con los alumnos, ingreso de
notas, saber alguna información. La importancia radica en que, dado que la
Universidad necesita ahorrar recursos producto de la gratuidad, con las TIC se
podrían ahorrar grandes costos con respecto a tiempo empleado en los diferentes
procesos, papelería, cuentas telefónicas, entre otros.
4. ¿Considera Ud. que el paradigma tradicional de enseñanza se presenta
actualmente en la Universidad?. Argumente.
Existe algunos docentes que no se rigen por el paradigma por competencias, y
están todavía en el paradigma conductista, es decir una comunicación vertical, y
unidireccional. Opino que el cambio debe de ser desde las altas autoridades, dando
seminarios para posicionar en la mente el nuevo paradigma por competencias a los
Docentes.
5. ¿Qué criterios pedagógicos y/o andragógicos considera importantes como
base para seleccionar un recurso TIC a emplear en los procesos educativos
universitarios, como parte de las estrategias didácticas?
El primer criterio que se me viene a la mente es tener en cuenta el perfil de la
carrera, seguido de la malla curricular, para poder adecuar o encontrar el recurso
apropiado que más se ajuste a los requerimientos.
El siguiente criterio es el de seleccionar los materiales y recursos actualizados que
van a ser accedidos a través de las TIC.
613
El siguiente criterio es que las TIC sean parte de una metodología para el
aprendizaje efectivo, y no creer que las TIC sea la estrategia para el aprendizaje
efectivo.
El siguiente criterio seria la usabilidad, es decir que sea fácil de usar, especialmente
para la gente adulta, tal como lo ha hecho el servidor de correos Hotmail, cuyo
cambio a Outlook tuvo como una de sus principales características la facilidad de
uso.
El último criterio que se me viene a la mente es que la TIC seleccionada debe
ayudar al docente a desarrollar el aprendizaje de los estudiantes manera rápida, ya
que el tiempo del docente es importante, y no se debe de perder tiempo en el uso
de una TIC.
6. ¿En qué forma considera que se debe presentar la relación Curriculum – TIC –
Aprendizaje y estrategias metodológicas en una asignatura?
Debe haber una integración total, desde el tener a acceso a la lista de estudiantes,
poder, enviar trabajos autónomos, evaluar a los estudiantes, tener en cuenta
indicadores de aprendizajes tanto en general de la asignatura y particular de cada
estudiante.
7. ¿En qué forma considera que se debe presentar la innovación en el proceso
educativo apoyado en el uso de las TIC?
La innovación debe estar plasmada en la usabilidad, accesibilidad de indicadores,
ayuda para el docente, para el desarrollo del aprendizaje.
8. ¿El Software, en qué momento lo considera útil en el proceso educativo en
una asignatura?
En el momento en que facilita el desarrollo del aprendizaje de los estudiantes, y sea
lo más eficiente posible, de tal manera que el docente maximice su tiempo.
9. ¿Qué recursos TIC considera relevantes para emplear en las estrategias de
aprendizaje que permitan diseñar un entorno de trabajo (ambiente de
aprendizaje) con los estudiantes?
En primer lugar tener a mano todo tipo de información del estudiante, y de la
asignatura. En segundo lugar que me permita comunicarme con los estudiantes, a
través de foros, preguntas prediseñadas, en tercer lugar un panel de control y de
evaluación.
10. ¿Cómo debe un Docente analizar y evaluar el empleo de las TIC en el proceso
educativo, considerando sus estrategias, procedimientos e instrumentos de
evaluación, ambientes de aprendizaje, etc. ?
 Que sea fácil de usar.
614
 Que ahorre tiempo en la planificación del desarrollo del aprendizaje del
estudiante.
 Que me permita evaluar a los estudiantes.
11. ¿En qué forma considera que debe presentarse coherencia entre aprendizaje
esperado y recurso TIC utilizado?
En el logro de los objetivos que en el caso de las asignaturas serían en lograr
cumplir con los estándares y desempeño del sílabo en el menor tiempo posible.
12. ¿Cuál es la importancia de la relación con otras universidades nacionales e
internacionales, considerando las experiencias educativas basadas en TIC?
Las otras universidades están manejando mejor las TIC, en relación a las
universidades ecuatorianas de lo que he observado y palpado, las universidades
UESS y UTPL y la ESPOL están en la vanguardia del uso de las TIC.
13. ¿Cómo considera que mejoraría la eficiencia y eficacia de la Docencia
Universitaria con el empleo de las TIC?
Tengo entendido que el principal objetivo de la educación es la cantidad, y calidad
de conocimiento que pueda impartirse a los estudiantes, así como la puesta en
práctica de dicho conocimiento. Las TIC, nos ayudarían a ser más eficiente, es decir
que en poco tiempo podríamos darle más información de calidad a los estudiantes,
y nos permitirá la evaluación respectiva, por cuanto considero que el tiempo es un
bien preciado para los maestros, y las TIC nos ayudaría en ser más eficientes, y así
poder tener tiempo para nuestras actividades.
14. ¿Qué aportes para el mundo de la Educación pueden recogerse de
estándares relacionados con los Docentes en el manejo de las TIC, como ISTE
(EEUU), UNESCO 2008, UNESCO 2011, Proyecto ENLACES (CHILE),
EUROPEAN PEDAGOGITAL ICT, QTS, INSA, la experiencia de Australia, …?
Recogiendo el aporte más importante de estos estándares, procesarlos y diseñar un
estándar propio de nuestro medio, con sentido de adaptabilidad.
15. ¿Qué opinión particular le merece el último Estándar UNESCO 2011 para
Docentes?
La actualización de los docentes, con los nuevos paradigmas, las TIC, me parece
muy bueno el de que se adapten patrones de estudios de acuerdo a las diferentes
realidades de los países, por su sentido de adaptabilidad.
615
16. ¿Qué criterios estima Ud. que deben de considerarse para la implementación
de un Programa de Educación Continua en el Manejo de las TIC para los
Docentes de la Universidad de Guayaquil, como un aporte de la Facultad de
Filosofía, Letras y Ciencias de la Educación?
Se debería saber cuáles son los recursos con las cuales se cuenta, la
predisposición del tiempo, y facilitadores. Después se debe crear consciencia
(sociabilizar) de que las TIC son útiles, por un lado, y después se debe establecer
una obligatoriedad para que se forme una cultura entre los docentes de la
importancia de las TIC.
17. ¿Cómo considera Ud. que podría evaluarse un Programa de Educación
Continua en el Manejo de las TIC para los Docentes de la Universidad de
Guayaquil?
Primero realizar una investigación de mercado acerca del conocimiento de los
docentes, actitud de los docentes en manejar este tipo de TIC, razones positivas y
negativas del uso de las TIC… etc.
616
Anexo 48
Entrevista con MSc. Milton Maridueña, Departamento de Vice-Rectorado de la
Universidad de Guayaquil.
Guayaquil, 1 de abril de 2012.
UNIVERSIDAD DE GUAYAQUIL
FACULTAD DE FILOSOFÍA, LETRAS Y CIENCIAS DE LA EDUCACIÓN
INSTITUTO DE POSTGRADO Y EDUCACIÓN CONTINUA
MAESTRÍA EN EDUCACIÓN INFORMÁTICA
EXPERTOS – ENTREVISTA
Antes de iniciar con esta entrevista, le agradezco por su tiempo y participación
en esta investigación. Quien se dirige a usted es maestrante de Educación Informática
de la Facultad de Filosofía de la Universidad de Guayaquil, cuyo tema de tesis es:
MANEJO DE LAS TIC EN LA GESTIÓN DOCENTE DE LA UNIVERSIDAD DE
GUAYAQUIL. PROPUESTA: DISEÑO DE UN PROGRAMA DE EDUCACIÓN
CONTINUA EN EL MANEJO DE LAS TIC PARA EL INSTITUTO DE POST-GRADO DE
LA FACULTAD DE FILOSOFÍA, LETRAS Y CIENCIAS DE LA EDUCACIÓN.
Sus respuestas serán sumamente valiosas para la presente investigación, siendo
su información muy importante ya que contribuirá relevantemente con lo que se
investiga, agradeciéndole de antemano su colaboración.
Lcdo. S. I. Jorge Vera Mosquera
DATOS REFERENCIALES
Cargo actual Profesor principal, Facultad de Ciencias Matemáticas y
Físicas – Universidad de Guayaquil
Años de experiencia
docente
15 años
Último grado académico Magister en Docencia Universitaria e Investigación
Educativa
617
Preguntas
1. ¿Cómo considera el rol de las TIC en la Educación?
Fundamental y necesario en una época de globalización tecnológica.
2. ¿Cómo juzga el impacto de las TIC en la Sociedad actual?
Muy positivo.
3. ¿Qué grado de importancia considera Ud. al manejo de las TIC en la gestión
docente universitaria?
Sumamente importante, pero su actual explotación es paupérrima, entiendo por la
brecha digital inmigrantes tecnológicos (profesores) y nativos digitales (estudiantes).
4. ¿Considera Ud. que el paradigma tradicional de enseñanza se presenta
actualmente en la Universidad?. Argumente.
Claro que sí, un gran porcentaje de nuestros maestros por desconocimiento o
resistencia al cambio se refugian en los métodos e instrumentos clásicos de
enseñanza.
5. ¿Qué criterios pedagógicos y/o andragógicos considera importantes como
base para seleccionar un recurso TIC a emplear en los procesos educativos
universitarios, como parte de las estrategias didácticas?
Aprendizaje interactivo, aprendizaje colaborativo.
6. ¿En qué forma considera que se debe presentar la relación Curriculum – TIC –
Aprendizaje y estrategias metodológicas en una asignatura?
En el currículo de toda asignatura se debe incorporar a las TIC como:
Recurso de enseñanza –aprendizaje.
Soporte/apoyo/refuerzo de aprendizaje.
Forma de organización.
También como método, que propicie y fomente al pensamiento computacional, así
como sistema de evaluación.
7. ¿En qué forma considera que se debe presentar la innovación en el proceso
educativo apoyado en el uso de las TIC?
En todos los aspectos, fundamentalmente en el escenario de acciones
constructivistas que complementan al quehacer docente que dirige el propio
profesorado. La sensibilidad, el afecto fraterno, la palabra de nuestro docente que
llena la autoestima del alumno, un espaldarazo humano no puede reemplazarse por
un recurso tecnológico.
8. ¿El Software, en qué momento lo considera útil en el proceso educativo en
una asignatura?
Actividades de aprendizaje motivante, autónomo y de autoevaluación.
618
9. ¿Qué recursos TIC considera relevantes para emplear en las estrategias de
aprendizaje que permitan diseñar un entorno de trabajo (ambiente de
aprendizaje) con los estudiantes?
Plataformas de gestión de aprendizajes colaborativos y software educativos que
propicien un ambiente lúdico de interacción.
10. ¿Cómo debe un Docente analizar y evaluar el empleo de las TIC en el proceso
educativo, considerando sus estrategias, procedimientos e instrumentos de
evaluación, ambientes de aprendizaje, etc. ?
El docente es el único responsable de pensar y planear la inserción efectiva y
creativa de tics en el proceso de enseñanza y aprendizaje. Y además el encargado
de retroalimentarse de resultados e indicadores de logros del desempeño
académico.
11. ¿En qué forma considera que debe presentarse coherencia entre aprendizaje
esperado y recurso TIC utilizado?
Absoluta coherencia, en el sentido teórico e ideal, pero debemos tener en cuenta
por sobre todo, los estilos de aprendizajes de nuestros alumnos.
12. ¿Cuál es la importancia de la relación con otras universidades nacionales e
internacionales, considerando las experiencias educativas basadas en TIC?
La relación es importante experiencias de benchmarking “aprender de las mejores
prácticas”, pero siempre aterrizarlas a las condiciones del contexto y atributos de la
población objetivo estudiantil.
13. ¿Cómo considera que mejoraría la eficiencia y eficacia de la Docencia
Universitaria con el empleo de las TIC?
La eficiencia, eficacia y efectividad, se la logrará como una suma de esfuerzos en
todos los aristas del proceso educativo, incluyendo las autoridades, presupuesto y
principalmente la urgente “capacitación de diseño de ambientes tecnológicos“tal
como se proyecta la educación del siglo XXI.
14. ¿Qué aportes para el mundo de la Educación pueden recogerse de
estándares relacionados con los Docentes en el manejo de las TIC, como ISTE
(EEUU), UNESCO 2008, UNESCO 2011, Proyecto ENLACES (CHILE),
EUROPEAN PEDAGOGITAL ICT, QTS, INSA, la experiencia de Australia?
Considero que se deben adoptar normalizaciones que más se ajusten al contexto
ecuatoriano.Características del nuevo sistema educativo nacional serán un buen
referente.
619
15. ¿Qué opinión particular le merece el último Estándar UNESCO 2011 para
Docentes?
Mi opinión es prospectiva, de vanguardia, por su adaptabilidad al medio. Los
docentes constituyen un pilar imprescindible en el proceso educativo y no
pueden estancarse en paradigmas caducos, por lo que deben actualizarse y
capacitarse en los nuevos entornos de enseñanza y aprendizaje, en base a
estándares de estudio continuo.
16. ¿Qué criterios estima Ud. que deben de considerarse para la implementación
de un Programa de Educación Continua en el Manejo de las TIC para los
Docentes de la Universidad de Guayaquil, como un aporte de la Facultad de
Filosofía, Letras y Ciencias de la Educación?
Las autoridades académicas de la Universidad de Guayaquil deben dictar una
política urgente de capacitación para docentes en diseño de TIC, programa de
cursos de actualización en uso de TIC, proceso que debe ameritar para el ejercicio
de cátedra su obligatoria aprobación de mínimos o suficiencia.
17. ¿Cómo considera Ud. que podría evaluarse un Programa de Educación
Continua en el Manejo de las TIC para los Docentes de la Universidad de
Guayaquil?
Con el más alto rigor, los instructores de este programa deben evidenciar experticia
y solvencia de este nuevo paradigma educativo.
620
Anexo 49
Entrevista con MSc. John Orellana, Docente de la unidad educativa IPAC. Guayaquil, 1
de abril de 2012.
UNIVERSIDAD DE GUAYAQUIL
FACULTAD DE FILOSOFÍA, LETRAS Y CIENCIAS DE LA EDUCACIÓN
INSTITUTO DE POSTGRADO Y EDUCACIÓN CONTINUA
MAESTRIA EN EDUCACIÓN INFORMÁTICA
EXPERTOS – ENTREVISTA
Antes de iniciar con esta entrevista, le agradezco por su tiempo y participación
en esta investigación. Quien se dirige a usted es maestrante de Educación Informática
de la Facultad de Filosofía de la Universidad de Guayaquil, cuyo tema de tesis es:
MANEJO DE LAS TIC EN LA GESTIÓN DOCENTE DE LA UNIVERSIDAD DE
GUAYAQUIL. PROPUESTA: DISEÑO DE UN PROGRAMA DE EDUCACIÓN
CONTINUA EN EL MANEJO DE LAS TIC PARA EL INSTITUTO DE POST-GRADO DE
LA FACULTAD DE FILOSOFÍA, LETRAS Y CIENCIAS DE LA EDUCACIÓN.
Sus respuestas serán sumamente valiosas para la presente investigación, siendo
su información muy importante ya que contribuirá relevantemente con lo que se
investiga, agradeciéndole de antemano su colaboración.
Lcdo. S. I. Jorge Vera Mosquera
DATOS REFERENCIALES
Cargo actual Docente de la unidad educativa IPAC
Años de experiencia
docente
25 años
Último grado académico Ingeniero en Computación
621
Preguntas
1. ¿Cómo considera el rol de las TIC en la Educación?
Las Tecnologías de la Información y Comunicación, son recursos de apoyo
fundamentales para un docente de cualquier nivel de enseñanza; gracias a las Tics,
el docente interactúa dinámicamente con sus estudiantes, teniendo siempre la
atención y captación de sus alumnos.
2. ¿Cómo juzga el impacto de las TIC en la Sociedad actual?
Cuando las Tics, se implementa en un medio, donde no existe la preparación y
capacitación suficiente el impacto puede ser grande, de tal manera que los
docentes en algunos colegios no conocen ni siquiera las herramientas básicas de
computación, no aceptan la integración de estas maravillosas herramientas
tecnológicas al proceso de enseñanza – aprendizaje.
3. ¿Qué grado de importancia considera Ud. al manejo de las TIC en la gestión
docente universitaria?
Un docente del siglo XXI, en cualquier nivel, debe apoderarse de todas estas
herramientas que en su mayoría de herramientas en línea y gratis, para que cada
día su clase sea más relevante y sus alumnos demuestren mayor interés por su
materia, y que gracias a estos programas la comunidad educativa universitaria de
cualquier país, siempre esté a la vanguardia de la tecnología.
4. ¿Considera Ud. que el paradigma tradicional de enseñanza se presenta
actualmente en la Universidad?. Argumente.
El gobierno de turno, ha realizado muchos cambios en los métodos y técnicas de
enseñanza que los docentes deben utilizar como parte de su labor diaria, entre ellos
está la implementación de herramientas tecnológicas en las diversas instancias de
su clase. Por tanto Docentes de colegios, universidades, y todo nivel deben utilizar
estos programas para que el proceso de enseñanza sea más efectivo, de tal
manera que el perfil de salida de los estudiantes de cualquier universidad sea, tener
profesionales de todas las áreas, capacitados íntegramente con las TIC.
5. ¿Qué criterios pedagógicos y/o andragógicos considera importantes como
base para seleccionar un recurso TIC a emplear en los procesos educativos
universitarios, como parte de las estrategias didácticas?
En la nube actualmente existen programas en línea de todo tipo, para construir
cualquier elemento, yo considero que la herramienta Tics, que escoja como parte
de mi proceso de enseñanza, debe permitir realizar una capacitación virtual, y para
estos existen las plataformas educativas, donde la investigación, el compartir
recursos y actividades nos permita a todos los integrantes de una comunidad
622
educativa auto capacitarnos y descubrir el conocimiento, en base a las experiencias
que obtenemos a través de las TIC.
6. ¿En qué forma considera que se debe presentar la relación Curriculum – TIC –
Aprendizaje y estrategias metodológicas en una asignatura?
Las plataformas educativas, redes sociales, redes educativas, permiten a los
docentes planificar sus periodos de clases, donde en las diversas instancias se
utilizan variadas categorías de Tics, existen herramientas que permiten realizar las
inducción de la clase, otras para el desarrollo de la clase y por su puesto los
programas que retroalimentan o permiten la recuperación cuando un alumno no
entendió la clase, o no asistió a esa clase. La mayoría de estas herramientas
permiten compartir información y experiencias, tales así tenemos los Foros que son
herramientas OFF LINE, los chats que son programas ON LINE, las wikis que son
actividades que permiten construir el conocimiento.
7. ¿En qué forma considera que se debe presentar la innovación en el proceso
educativo apoyado en el uso de las TIC?
La variedad de recursos tecnológicos de buena calidad, permite construir al docente
cada día nuevas actividades innovadoras para que los estudiantes sean los propios
constructores de su conocimiento.
8. ¿El Software, en qué momento lo considera útil en el proceso educativo en
una asignatura?
Durante y fuera de la jornada de clase, durante la jornada permite al docente
interactuar con sus estudiantes, y fuera de la jornada permite a los estudiantes
aprender, compartiendo experiencias previas auto adquiridas con sus compañeros
de clase y con el docente.
9. ¿Qué recursos TIC considera relevantes para emplear en las estrategias de
aprendizaje que permitan diseñar un entorno de trabajo (ambiente de
aprendizaje) con los estudiantes?
 Redes Educativas (Edmodo, Wiggio, Udemy, etc.)
 Redes Sociales (Facebook, twitter, etc.)
 Plataformas educativas (Moodle, Dokeos, Atutor, etc.)
 Sitios en línea, donde el docente puede crear sus propios recursos de
enseñanza.
10. ¿Cómo debe un Docente analizar y evaluar el empleo de las TIC en el proceso
educativo, considerando sus estrategias, procedimientos e instrumentos de
evaluación, ambientes de aprendizaje, etc. ?
Hay herramientas de uso general, aplicables a cualquier entorno de aprendizaje,
tales como las redes educativas, para existen otras aplicables en determinadas
623
áreas y materias, y en momentos específicos de una clase. Por ejemplo
herramientas como www.bubbl.us, que nos permite realizar un mapa mental, mapa
conceptual, un cuadro sinóptico, que es una actividad de desarrollo donde el
docente evalúa el proceso de clase.
11. ¿En qué forma considera que debe presentarse coherencia entre aprendizaje
esperado y recurso TIC utilizado?
El docente alcanzará los objetivos de la clase, cuando utiliza la herramienta
apropiada, y en el momento adecuado de una clase. La herramienta bien utilizada
ayuda a construir un conocimiento sólido, que le servirá para la vida al estudiante.
12. ¿Cuál es la importancia de la relación con otras universidades nacionales e
internacionales, considerando las experiencias educativas basadas en TIC?
Gracias a las Tics, estudiantes, docentes y profesionales de otros países y
universidades, pueden compartir videoconferencias, charlas en línea, de esta
manera creándose la educación virtual basadas en herramientas tecnológicas.
13. ¿Cómo considera que mejoraría la eficiencia y eficacia de la Docencia
Universitaria con el empleo de las TIC?
La comunidad educativa universitaria del Ecuador y de todo el mundo actualmente
utiliza las Tics, como recursos que permiten optimizar los procesos de enseñanza.
Un profesional de la era digital, debe tener un valor agregado para poder
desempeñarse en su profesión, en cualquier entorno que tenga que desempeñarse.
14. ¿Qué aportes para el mundo de la Educación pueden recogerse de
estándares relacionados con los Docentes en el manejo de las TIC, como ISTE
(EEUU), UNESCO 2008, UNESCO 2011, Proyecto ENLACES (CHILE),
EUROPEAN PEDAGOGITAL ICT, QTS, INSA, la experiencia de Australia, …?
SI en todos los países del mundo, las comunidades educativas utilizarían las Tics,
estaremos creando un estándar en educación digital.
Todas estas organizaciones, crean sus propios estándares y parte de ellos,
implementan el uso de las Tics, de esta forma permiten mejorar las situaciones
educativas de cada país.
15. ¿Qué opinión particular le merece el último Estándar UNESCO 2011 para
Docentes?
Presenta aportes y adaptaciones en Latinoamérica,se están creando patrones de
estudio en base a él, es muy útil. Los docentes, todos deben formar parte de
comunidades digitales, las cuales permiten conocer y aplicar estas herramientas
tecnológicas.
624
16. ¿Qué criterios estima Ud. que deben de considerarse para la implementación
de un Programa de Educación Continua en el Manejo de las TIC para los
Docentes de la Universidad de Guayaquil, como un aporte de la Facultad de
Filosofía, Letras y Ciencias de la Educación?
Para que en todas las facultades, se puedan implementar todas estas herramientas,
la Universidad debería incluir como política de la institución que todas las facultades
utilicen plataformas educativas como parte del proceso de enseñanza en todas las
aulas. Todo docente antes de iniciar un periodo de lectivo, debe ser capacitado y
evaluado sobre el uso de determinadas herramientas, tales Moodle, Edmodo;
WordPress.
17. ¿Cómo considera Ud. que podría evaluarse un Programa de Educación
Continua en el Manejo de las TIC para los Docentes de la Universidad de
Guayaquil?
La capacitación en Tics, es un proceso permanente, porque cada día se crean
nuevos programas, con una diversidad de funciones.
Nuestros alumnos, serán nuestros propios jueces que pueden juzgar el trabajo de
cada docente, si el profesor utiliza o no las TIC, como herramientas imprescindibles
del proceso de cada clase.
625
Anexo 50
Cuestionario dirigido a los Maestrantes de Educación Informática de la Facultad de
Filosofía, Letras y Ciencias de la Educación en la Universidad de Guayaquil.
UNIVERSIDAD DE GUAYAQUIL
FACULTAD DE FILOSOFÍA, LETRAS Y CIENCIAS DE LA EDUCACIÓN
INSTITUTO DE POSTGRADO Y EDUCACIÓN CONTINUA
MAESTRÍA EN EDUCACIÓN INFORMÁTICA
MAESTRANTES EN EDUCACIÓN INFORMÁTICA – ENCUESTA
Antes de iniciar con esta encuesta, le agradezco por su tiempo y participación en
esta investigación. Quien se dirige a usted es maestrante de Educación Informática de la
Facultad de Filosofía de la Universidad de Guayaquil, cuyo tema de tesis es: MANEJO
DE LAS TIC EN LA GESTIÓN DOCENTE DE LA UNIVERSIDAD DE GUAYAQUIL.
PROPUESTA: DISEÑO DE UN PROGRAMA DE EDUCACIÓN CONTINUA EN EL
MANEJO DE LAS TIC PARA EL INSTITUTO DE POST-GRADO DE LA FACULTAD DE
FILOSOFÍA, LETRAS Y CIENCIAS DE LA EDUCACIÓN.
La finalidad de esta encuesta de carácter anónima es poder generar un diagnóstico de
situación que permitirá tomar decisiones más acertadas a la hora de crear el mencionado
Programa adaptado a las necesidades de la Universidad.
DATOS REFERENCIALES
Cargo actual
Años de experiencia
docente
Último grado académico
626
Preguntas
Encerrar en un círculo la respuesta de su elección o un visto(√) en caso de desconocer
PREGUNTAS Desconozco Sí / No
01 ¿Considera Ud. que el aprendizaje autónomo se puede
presentar con el empleo de las TIC en el proceso educativo? Sí No
02 ¿Considera Ud. que el trabajo colaborativo se puede presentar
con el empleo de las TIC en el proceso educativo? Sí No
03 ¿Considera importante el empleo de las TIC en la programación
de la asignatura? Sí No
04 ¿Conoce, respeta y hace respetar las políticas, normas y
procedimientos relacionados a la privacidad, propiedad
intelectual, seguridad de datos y comportamiento adecuado
en el uso de los recursos informáticos?
Sí No
05 ¿Promueve en su desenvolvimiento educativo el uso ético y
legal de los recursos tecnológicos en sus diferentes formas de
uso y presentación?
Sí No
06 ¿Comprende y hace comprender las implicaciones legales del
uso de software y sus tipos de licencias? Sí No
07 ¿Utiliza software de productividad para generar productos de
fines administrativos? (informes, actas, notas, etc.). Sí No
08 ¿Dispone de fuentes de información y sitios relevantes
relacionados con las TIC en el quehacer educativo.? Sí No
09 ¿Practica, experimenta y evalúa con herramientas TIC para
incorporarlas a su práctica educativa? Sí No
10 ¿Accede, participa y contribuye en espacios de reflexión de
experiencias de aprendizaje por medios tradicionales, en red o
Internet?
Sí No
11 ¿Utiliza, evalúa y comparte ideas, experiencias y herramientas
TIC para incorporarlas en estrategias de aprendizaje? Sí No
12 ¿Participa en instancias relacionadas con las TIC y el
aprendizaje?.(Foros, congresos, seminarios, etc.). Sí No
627
Encerrar en un círculo la respuesta de su elección o un visto(√) en caso de desconocer
13 PREGUNTAS Desconozco 1= NULO …
5=MAS ALTO
13 ¿En qué grado de importancia considera Ud. al manejo de las
TIC en la Gestión Docente Universitaria? 1 2 3 4 5
14 ¿En qué grado considera que es importante apoyarse en las
herramientas informáticas en el curriculum actual de la
asignatura a su cargo?
1 2 3 4 5
15 ¿Qué grado de importancia considera que se debe dar al
empleo de Software de Gestión de Contenidos y/o de
Aprendizajes en una modalidad semi-presencial y/o a
distancia?
1 2 3 4 5
16 ¿En qué grado considera importante crear procedimientos e
instrumentos de evaluación de aprendizaje en entorno TIC? 1 2 3 4 5
17 ¿En qué grado considera su evolución deconocimientos en la-s
disciplina-s que imparte? 1 2 3 4 5
18. ¿Qué nivel de conocimientos considera disponer?
Dar un visto(√) en caso de no aplicar o en el nivel que se considere.
En No aplico Nivel Básico Nivel Intermedio Nivel Avanzado
Conocimientos
Informáticos
Conocimientos en
redes
Conocimientos en
Internet
Aplicacionesde
gestión en red e
Internet
Uso de equipos en
red e Internet
Medidas de
prevención y
seguridad en el uso
de equipos
informáticos
Integración de
programas y equipos
en red e Internet
628
Sistema operativo
(Windows)
Sistema operativo
(Linux)
Procesamiento de
palabras
Hoja de cálculo
Base de datos
Presentador
Graficador
Multimedia
Navegadores Web
Motores de
búsqueda
Software de
productividad en
línea (Office,
organizadores
gráficos,línea de
tiempo, etc.)
Uso de herramientas
sincrónicasen red e
Internet(chat, Video
conferencia,audio
conferencia,
compartir pantalla
del computador,
etc.)
Uso de herramientas
asincrónicasen red e
Internet (Email,foro,
Wiki,preguntas y
respuestas,etc.)
Gestión de
contenidos en línea
Gestión de
aprendizajeen línea
629
Dar un visto(√) en caso de desconocer o no aplicar.
19. ¿Qué técnicas activas utiliza con apoyo en TIC?
Desconozco No aplico Técnica activa(Un visto(√) por cada elección que considere)
Mapas conceptuales Mapas mentales
Aprendizaje colaborativo Trabajo en grupo
Foro Audio digital
Grabar movimientos del monitor Cuestionario
Lluvia de ideas Pizarra en línea
Ensayos Proyectos en línea
Otros
20. ¿Qué enfoques teóricos considera que se debe utilizar en los procesos educativos apoyado
en las TIC?
Desconozco Enfoque teórico (Un visto(√) por cada elección que considere)
Conductismo Cognitivismo Constructivismo Conectivismo Sharismo
21. ¿En cuál-es evaluación-es utiliza como apoyo a las TIC?
Desconozco Evaluación (Un visto(√) por cada elección que considere)
Inicial Procesual Final
630
Anexo 51
Cuestionario dirigido a los Docentes de la Universidad de Guayaquil.
UNIVERSIDAD DE GUAYAQUIL
FACULTAD DE FILOSOFÍA, LETRAS Y CIENCIAS DE LA EDUCACIÓN
INSTITUTO DE POSTGRADO Y EDUCACIÓN CONTINUA
MAESTRÍA EN EDUCACIÓN INFORMÁTICA
PROFESORES DE LA UNIVERSIDAD – ENCUESTA
Antes de iniciar con esta encuesta, le agradezco por su tiempo y participación en
esta investigación. Quien se dirige a usted es maestrante de Educación Informática de la
Facultad de Filosofía de la Universidad de Guayaquil, cuyo tema de tesis es: MANEJO
DE LAS TIC EN LA GESTIÓN DOCENTE DE LA UNIVERSIDAD DE GUAYAQUIL.
PROPUESTA: DISEÑO DE UN PROGRAMA DE EDUCACIÓN CONTINUA EN EL
MANEJO DE LAS TIC PARA EL INSTITUTO DE POST-GRADO DE LA FACULTAD DE
FILOSOFÍA, LETRAS Y CIENCIAS DE LA EDUCACIÓN.
La finalidad de esta encuesta de carácter anónima es poder generar un diagnóstico de
situación que permitirá tomar decisiones más acertadas a la hora de crear el mencionado
Programa adaptado a las necesidades de la Universidad.
DATOS REFERENCIALES
Cargo actual
Años de experiencia
docente
Último grado académico
631
Preguntas
Encerrar en un círculo la respuesta de su elección o un visto(√) en caso de desconocer
No. PREGUNTAS Desconozco Sí / No
01 ¿Considera Ud. que el aprendizaje autónomo se puede
presentar con el empleo de las TIC en el proceso educativo? Sí No
02 ¿Considera Ud. que el trabajo colaborativo se puede presentar
con el empleo de las TIC en el proceso educativo? Sí No
03 ¿Utiliza software especializado en la asignatura que imparte?
Sí No
04 ¿Realiza actividades didácticasempleando las TIC en las clases
de su asignatura? Sí No
05 ¿Cree que es importante apoyarse en las herramientas
informáticas en el curriculum actual de la asignatura a su
cargo?
Sí No
06 ¿Incluye el empleo de las TIC en la programación de la
asignatura? Sí No
07 ¿Crea procedimientos e instrumentos de evaluación de
aprendizaje en entorno TIC? Sí No
08 ¿Analiza y evalúa el impacto de las TIC en el proceso
educativo? Sí No
09 ¿Crea grupos de estudiantes, escenarios y tareas para utilizar
recursos tecnológicos? Sí No
10 ¿Facilita el aprendizaje intermedio del recurso TIC.?
Sí No
11 ¿Facilita y/o contribuye equitativamente los recursos
informáticos con sus estudiantes considerando las
circunstancias de escenario?
Sí No
12 ¿Conoce, respeta y hace respetar las políticas, normas y
procedimientos relacionados a la privacidad, propiedad
intelectual, seguridad de datos y comportamiento adecuado
en el uso de los recursos informáticos?
Sí No
13 ¿Promueve en su desenvolvimiento educativo el uso ético y
legal de los recursos tecnológicos en sus diferentes formas de Sí No
632
uso y presentación?
14 ¿Comprende y hace comprender las implicaciones legales del
uso de software y sus tipos de licencias? Sí No
15 ¿Utiliza software de productividad para generar productos de
fines administrativos? (informes, actas, notas, etc.). Sí No
16 ¿Emplea recursos de redes y comunicación con los estudiantes
de su asignatura y/o con el resto de la comunidad educativa? Sí No
17 ¿Dispone de fuentes de información y sitios relevantes
relacionados con las TIC en el quehacer educativo? Sí No
18 ¿Practica, experimenta y evalúa con herramientas TIC para
incorporarlas a su quehacer educativo? Sí No
19 ¿Accede, participa y contribuye en espacios de reflexión de
experiencias de aprendizaje por medios tradicionales, en red o
Internet?
Sí No
20 ¿Utiliza, evalúa y comparte ideas, experiencias y herramientas
TIC para incorporarlas en estrategias de aprendizaje? Sí No
21 ¿Participa en instancias relacionadas con las TIC y el
aprendizaje?.(Foros, congresos, seminarios, etc.). Sí No
22 ¿Utiliza las TIC como medio en la evaluación de aprendizajes?
Sí No
23 ¿Realiza y lleva a cabo Proyectos Pedagógicos y/o Andragógicos
de Aula con apoyo de las TIC? Sí No
24 ¿Utiliza métodos y técnicas activas con el apoyo de las TIC?
Sí No
25 ¿Existen proyectos entre asignaturas apoyados en TIC?
Sí No
26 ¿Existe Intercambioentre Docentes de experiencias de aprendizaje
apoyadas en TIC? Sí No
27 ¿Existe algún proyectode desarrollode conocimientos apoyados en
TIC para Docentes? Sí No
633
Encerrar en un círculo la respuesta de su elección o un visto(√) en caso de desconocer
No. PREGUNTAS Desconozco 1= NULO … 5=MAS
ALTO
28 ¿En qué grado de importancia considera Ud. al manejo de las
TIC en la Gestión Docente Universitaria? 1 2 3 4 5
29 ¿En qué grado considera que se debe conservar la presencia
del paradigma tradicional en el proceso educativo actual de la
Universidad?
1 2 3 4 5
30 ¿En qué grado considera que es importante apoyarse en las
herramientas informáticas en el curriculum actual de la
asignatura a su cargo?
1 2 3 4 5
31 ¿Qué grado de importancia considera que se debe dar al
empleo de Software de Gestión de Contenidos y/o de
Aprendizajes en una modalidad semi-presencial y/o a
distancia?
1 2 3 4 5
32 ¿En qué grado considera su evolución deconocimientos en la-s
disciplina-s que imparte? 1 2 3 4 5
33 ¿En qué grado considera la evolución del aprendizaje de sus
estudiantes en la-s disciplina-s que imparte? 1 2 3 4 5
34 ¿En qué grado considera sus necesidades de Formación en TIC?
1 2 3 4 5
Dar un visto(√) en caso de desconocer o no aplicar.
35. ¿Qué recursos TIC emplea como parte de su estrategia de aprendizaje para un entorno de
trabajo?
Desconozco No aplico Recurso TIC(Un visto por cada elección que considere)
Chat Email Foro
Wiki Círculo de aprendizaje Simulaciones
Proyectos Colaborativos Caza del tesoro Webquest
Blog Otros
634
36. ¿Qué técnicas activas utiliza con apoyo en TIC?
Desconozco No aplico Técnica activa(Un visto por cada elección que considere)
Mapas conceptuales Mapas mentales
Aprendizaje colaborativo Trabajo en grupo
Foro Audio digital
Grabar movimientos del monitor Cuestionario
Lluvia de ideas Pizarra en línea
Ensayos Proyectos en línea
Otros
37. ¿Qué tipos de aprendizaje utiliza en sus procesos educativos apoyado en las TIC?
Desconozco No aplico Tipo de aprendizaje (Un visto por cada elección que considere)
Receptivo Por descubrimiento
Repetitivo Significativo
Observación Colaborativo
Cooperativo Por caso
Basado en problemas Basado en proyectos
Visual Otros
38. ¿Qué enfoques teóricos utiliza en sus procesos educativos apoyado en las TIC?
Desconozco Enfoque teórico (Un visto por cada elección que considere)
Conductismo Cognitivismo Constructivismo Conectivismo Sharismo
39. ¿En cuál-es evaluación-es utiliza como apoyo a las TIC?
Desconozco Evaluación (Un visto por cada elección que considere)
Inicial Procesual Final
Encierre en un círculo su elección
40. ¿Disponecriterios pedagógicos/andragógicospara seleccionar recursosTIC a emplear, ya sea
de escritorio,red e Internet?. Detalle brevemente.
Sí No
Dar un visto(√) en caso de desconocer o no aplicar.
635
41. Indique¿qué recursos TIC utiliza para crear material didáctico para losescenarios
educativos?
Desconozco No
aplico
Recurso TIC (Un visto(√) por cada elección que considere)
Todos
Procesador de
palabras
Hoja de cálculo Base de datos
Presentador Graficador Multimedia
Trabajo
colaborativo
Trabajo
cooperativo
Red
Internet Otros
Dar un visto(√) en caso de no aplicar o en el nivel que se considere.
42. ¿Qué nivel de conocimientos considera disponer?
En No aplico Nivel Básico Nivel Intermedio Nivel Avanzado
Conocimientos
Informáticos
Conocimientos en
redes
Conocimientos en
Internet
Aplicacionesde
gestión en red e
Internet
Uso de equipos en
red e Internet
Medidas de
prevención y
seguridad en el uso
de equipos
informáticos
Integración de
programas y equipos
en red e Internet
Sistema operativo
(Windows)
Sistema operativo
(Linux)
Procesamiento de
palabras
Hoja de cálculo
Base de datos
Presentador
electrónico
Software Graficador
636
Multimedia
Navegadores Web
Motores de
búsqueda
Software de
productividad en
línea (Office,
organizadores
gráficos,línea de
tiempo, etc.)
Uso de herramientas
sincrónicasen red e
Internet(chat, Video
conferencia,audio
conferencia,
compartir pantalla
del computador,
etc.)
Uso de herramientas
asincrónicasen red e
Internet (Email,foro,
Wiki,preguntas y
respuestas,etc.)
Gestión de
contenidos en línea
Gestión de
aprendizajeen línea
637
638
639
640
641
642
643
644
645
646
647
648
649
650
651
652

Tesis - Jorge Francisco Vera Mosquera

  • 1.
    UNIVERSIDAD DE GUAYAQUIL FACULTADDE FILOSOFÍA, LETRAS Y CIENCIAS DE LA EDUCACIÓN INSTITUTO DE POSTGRADO Y EDUCACIÓN CONTINUA PROGRAMA DE MAESTRÍA EN EDUCACIÓN INFORMÁTICA MANEJO DE LAS TICEN LA GESTIÓN DOCENTE DE LA UNIVERSIDAD DE GUAYAQUIL. PROPUESTA: DISEÑO DE UN PROGRAMA DE EDUCACIÓN CONTINUA EN EL MANEJO DE LAS TIC PARA EL INSTITUTO DE POST-GRADO DE LA FACULTAD DE FILOSOFÍA, LETRAS Y CIENCIAS DE LA EDUCACIÓN. PROYECTO DE TRABAJO PREVIO A LA OBTENCIÓN DEL GRADO DE MAGÍSTER EN EDUCACIÓN INFORMÁTICA TOMO I AUTOR: VERA MOSQUERA JORGE FRANCISCO, LSI. CONSULTORA ACADÉMICA: HURTARES IZURIETA ELENA, MSc. CONSULTOR TÉCNICO: GALINDO MOSQUERA SANTIAGO, MSc. GUAYAQUIL, JULIO DEL 2013
  • 2.
  • 3.
    ii Certificado de aprobaciónde la Consultora Académica En calidad de Consultora Académica, de la Tesis de Investigación nombrada por la autoridad de la Facultad de Filosofía, Letras y Ciencias de la Educación de la Universidad de Guayaquil. Certifico: Que he revisado y aprobado la Tesis de Investigación, presentada por el Sr. Jorge Francisco Vera Mosquera, con cédula de ciudadanía 0909380800, salvo el mejor criterio del Tribunal que lo presida, previo a la obtención del Grado Académico de Magíster de la Maestría en Educación Informática. TEMA:“MANEJO DE LAS TIC EN LA GESTIÓN DOCENTE DE LA UNIVERSIDAD DE GUAYAQUIL”. PROPUESTA: DISEÑO DE UN PROGRAMA DE EDUCACIÓN CONTINUA EN EL MANEJO DE LAS TIC PARA EL INSTITUTO DE POST-GRADO DE LA FACULTAD DE FILOSOFÍA, LETRAS Y CIENCIAS DE LA EDUCACIÓN. _____________________ Consultora Académica MSc. Elena Hurtares Izurieta Guayaquil, 11 de Julio del 2013
  • 4.
    iii Certificado de aprobacióndel Consultor Técnico En calidad de Consultor Técnico, de la Tesis de Investigación nombrada por la autoridad de la Facultad de Filosofía, Letras y Ciencias de la Educación de la Universidad de Guayaquil. Certifico: Que he revisado y aprobado la Tesis de Investigación, presentada por el Sr. Jorge Francisco Vera Mosquera, con cédula de ciudadanía 0909380800, salvo el mejor criterio del Tribunal que lo presida, previo a la obtención del Grado Académico de Magíster de la Maestría en Educación Informática. TEMA:“MANEJO DE LAS TIC EN LA GESTIÓN DOCENTE DE LA UNIVERSIDAD DE GUAYAQUIL”. PROPUESTA: DISEÑO DE UN PROGRAMA DE EDUCACIÓN CONTINUA EN EL MANEJO DE LAS TIC PARA EL INSTITUTO DE POST-GRADO DE LA FACULTAD DE FILOSOFÍA, LETRAS Y CIENCIAS DE LA EDUCACIÓN. ______________________________ MSc. Santiago Galindo Mosquera Consultor Técnico Guayaquil, 11 de Julio del 2013
  • 5.
    iv Dedicatoria A mi MadreBlanca (+) y a mi Esposa Bélgica, por su amor, fe, comprensión y apoyo en la vida. Al Hno. Luis Lazo Álvarez, Hermano de las EECC de LA SALLE, por su guía, amistad, fraternidad y cristianismo brindados en mi vida. Al Hno. Adolfo Armijos (+), Hermano de las EECC de LA SALLE, por su amistad, guía y ejemplo de entrega en la Obra Educativa. A mi Madrina Leonor de Salazar y a Luis Delgado Rodríguez, por sus ejemplos y palabras de apoyo en la vida. Jorge Francisco Vera Mosquera
  • 6.
    v Agradecimiento A Dios, pordarme la luz en mi vida, y a quien debo todo. A la Facultad de Filosofía, Letras y Ciencias de la Educación de la Universidad de Guayaquil, a través del Departamento de Postgrado y Educación Continua, por el profesionalismo desplegado, a los Maestros en Educación Superior que dieron todo de sí para transmitir el conocimiento necesario para lograr desarrollar mis capacidades y alcanzar la consecución del título de Magister en Educación Informática. A mi esposa Bélgica, por su confianza y fe en mi persona. A la familia Álvarez Falquez por su amistad y fraternidad en esta parte de la vida y de siempre. Jorge Francisco Vera Mosquera
  • 7.
    vi Índice general Carátula................................................................................................................... i Certificadode aprobación de la Consultora Académica ................................ ii Certificado de aprobación del Consultor Técnico .......................................... iii Dedicatoria.............................................................................................................iv Agradecimiento......................................................................................................v Índice general........................................................................................................vi RESUMEN.........................................................................................................xxvi Introducción...........................................................................................................1 CAPÍTULO I...........................................................................................................5 EL PROBLEMA.....................................................................................................5 PLANTEAMIENTO DEL PROBLEMA ...........................................................5 Ubicación del Problema en un contexto ....................................................5 Situación conflicto .........................................................................................6 Causas y consecuencias del Problema ........................................................8 Planteamiento del Problema o Formulación.............................................9 Evaluación del Problema .............................................................................9 Objetivos ..............................................................................................................10 Generales.........................................................................................................10 Específicos.......................................................................................................11 Justificación e importancia ................................................................................11 CAPÍTULO II........................................................................................................16 MARCO TEÓRICO.............................................................................................16 Antecedentes del estudio ..............................................................................16 Fundamentación teórica ................................................................................18 Fundamentación filosófica.............................................................................18 Fundamentación sicológica...........................................................................20 Fundamentación pedagógica........................................................................22
  • 8.
    vii Fundamentación didáctica ............................................................................27 Fundamentaciónandragógica ......................................................................28 Fundamentación tecnológica ........................................................................30 Fundamentación sociológica ........................................................................32 Fundamentación axiológica ..........................................................................34 Pedagogía informacional...............................................................................35 Dimensión disciplinar .....................................................................................37 Dimensión curricular.......................................................................................38 La educación ...................................................................................................41 Tipos de Educación ....................................................................................43 Informática educativa .....................................................................................44 Teoría y práctica .............................................................................................47 La enseñanza..................................................................................................48 El aprendizaje..................................................................................................52 Tipos de aprendizaje ..................................................................................62 Estilos de aprendizaje ................................................................................65 Teorías de aprendizaje .................................................................................69 Conductismo ................................................................................................71 Constructivismo ...........................................................................................73 Cognitivismo.................................................................................................81 Conectivismo................................................................................................92 Paradigma Sharista ....................................................................................99 Ambiente personal de aprendizaje ............................................................102 Teorías de aprendizaje y tic.......................................................................110 El acto didáctico ........................................................................................113 Criterios Pedagógicos del Uso Didáctico de las TIC ...........................122 Modelo TPACK..............................................................................................124 Métodos y técnicas......................................................................................127 Medios didácticos......................................................................................129 Software educativo .......................................................................................134 Docente 2.0....................................................................................................142
  • 9.
    viii El proceso educativo....................................................................................146 Proceso enseñanza-aprendizaje................................................................147 Gestión Docente ...........................................................................................154 TIC...................................................................................................................155 Rol del Docente ante las TIC ..................................................................156 La formación del Docente Universitario en TIC....................................159 Competencias deseables de un Docente en el uso de las TIC .........162 Normas UNESCO sobre Competencias en TIC para Docentes..........164 Competencias digitales del estudiante universitario ..............................168 Nuevo paradigma de Educación Superior................................................171 Modelos pedagógicos de Educación a Distancia (EaD) ........................172 Fundamentación legal..................................................................................176 Preguntas a contestarse (preguntas directrices).....................................179 Variables de la investigación .....................................................................182 Definiciones conceptuales...........................................................................182 CAPÍTULO III ....................................................................................................186 METODOLOGÍA ...............................................................................................186 Diseño de la investigación...........................................................................186 Modalidad de la Investigación.................................................................186 Tipo de Investigación................................................................................188 Población y muestra.....................................................................................188 Instrumentos de la investigación................................................................194 Procedimiento de la investigación..............................................................196 CAPÍTULO IV ....................................................................................................197 ANÁLISIS E INTERPRETACIÓN DE RESULTADOS................................197 Procesamiento de la información...............................................................197 Encuesta dirigida a Maestrantes de Educación Informática de Post-Grado de la Facultad de Filosofía, Letras y Ciencias de la Educación ...............199 Discusión de los resultados ........................................................................313 Respuestas a las preguntas de la investigación .....................................323 CAPÍTULO V .....................................................................................................351
  • 10.
    ix CONCLUSIONES Y RECOMENDACIONES...............................................351 Conclusiones.................................................................................................351 Recomendaciones........................................................................................352 CAPITULO VI....................................................................................................355 LA PROPUESTA ..............................................................................................355 Justificación ...................................................................................................355 Diagnóstico....................................................................................................358 Fundamentación teórica de la Propuesta .................................................364 Fundamentación filosófica .......................................................................365 Fundamentación pedagógica..................................................................366 Fundamentación andragógica.................................................................368 Fundamentación tecnológica ..................................................................369 Misión..........................................................................................................370 Visión...........................................................................................................370 Objetivos ........................................................................................................371 General .......................................................................................................371 Específicos .................................................................................................371 Administrativa ............................................................................................372 Financiera...................................................................................................372 Legal............................................................................................................373 Técnica........................................................................................................374 De recursos humanos ..............................................................................374 Política.........................................................................................................376 Ubicación sectorial y física ..........................................................................380 Descripción de la propuesta........................................................................381 Programa de Educación Continua en el Manejo de las TIC para los Docentes de la Universidad de Guayaquil en el Instituto de Post-Grado de la Facultad de Filosofía, Letras y Ciencias de la Educación. .........385 Objetivos Específicos ...............................................................................387 Perfil de ingreso.........................................................................................388 Perfil de egresado .....................................................................................388
  • 11.
    x Estrategias..................................................................................................389 Estructura del marcode competencias del Programa de Educación Continua en el Manejo de las TIC para los Docentes de la Universidad de Guayaquil (PECMTIC-DUG)..............................................................391 Descripción de módulos...........................................................................396 Conclusiones .................................................................................................488 Beneficiarios..................................................................................................490 Impacto...........................................................................................................490 REFERENCIAS BIBLIOGRÁFICAS..............................................................491 BIBLIOGRAFÍA GENERAL.............................................................................507 LINKOGRAFÍA GENERAL..............................................................................510
  • 12.
    xi Índice de cuadros Cuadro1: Causas y consecuencias del problema..........................................8 Cuadro 2: Referencia a la Ley Orgánica de Educación Superior...............13 Cuadro 3: Verbos asociados en la revisión de la Taxonomía de Bloom...57 Cuadro 4: Instrumentos de diagnóstico de estilos de aprendizaje.............67 Cuadro 5: Principios del Conectivismo por George Siemens. ....................96 Cuadro 6: Principios del Conectivismo por Stephen Downes.....................97 Cuadro 7: Aprendizaje 2.0. ...............................................................................98 Cuadro 8: DPD - significados a considerar. .................................................106 Cuadro 9: DPD - contemplaciones a considerar.........................................107 Cuadro 10: DPD - estrategias. .......................................................................107 Cuadro 11: Un Docente en red. .....................................................................109 Cuadro 12: Estrategias de enseñanza tradicionales aplicadas con TIC. 119 Cuadro 13: Estrategias de enseñanza con apoyo de las TIC..................120 Cuadro 14: Técnicas activas con el empleo de las TIC.............................129 Cuadro 15: Elementos de un medio didáctico.............................................130 Cuadro 16: Tipos de medios. .........................................................................131 Cuadro 17: Kit básico para un Profesor 2. 0................................................144 Cuadro 18: Preguntas fundamentales para crear un Proceso Educativo. .............................................................................................................................146 Cuadro 19: Herramientas para el proceso Enseñanza-Aprendizaje........150 Cuadro 20: Acrónimo de PIOLA. ...................................................................151 Cuadro 21: Marco de competencias TIC para Docentes - UNESCO......166 Cuadro 22: Módulos acorde al Marco de competencias TIC para Docentes - UNESCO .........................................................................................................167 Cuadro 23: Modelos pedagógicos de Educación a Distancia...................176 Cuadro 24: Distributivo de población. ...........................................................189 Cuadro 25: Distributivo de muestra...............................................................191 Cuadro 26: Operacionalización de variables. ..............................................194
  • 13.
    xii Cuadro 27: Cargoactual Maestrantes. .........................................................199 Cuadro 28: Años de experiencia docente de Maestrantes........................200 Cuadro 29: Último grado académico de Maestrantes. ...............................202 Cuadro 30: Aprendizaje autónomo con empleo TIC. .................................203 Cuadro 31: Trabajo colaborativo con empleo de TIC.................................204 Cuadro 32: Importancia empleo TIC en programación de asignatura.....205 Cuadro 33: Conocimiento y respeto en uso de recursos informáticos. ...206 Cuadro 34: Uso ético y legal de recursos tecnológicos. ............................207 Cuadro 35: Comprensión de implicaciones legales de uso de software.208 Cuadro 36: Uso de software de productividad. ...........................................209 Cuadro 37: Fuentes de información y sitios relevantes TIC en quehacer educativo............................................................................................................210 Cuadro 38: Practica, experimenta y evalúa TIC para práctica educativa. .............................................................................................................................211 Cuadro 39: Acceso, participación y contribución en espacios de aprendizaje. .......................................................................................................212 Cuadro 40: Utiliza, evalúa y comparte herramientas TIC en aprendizaje. .............................................................................................................................213 Cuadro 41 : Participación en instancias TIC y aprendizaje.......................214 Cuadro 42 : Grado de importancia al manejo TIC en Gestión Universitaria. .............................................................................................................................215 Cuadro 43 : Grado de importancia de herramientas TIC en asignatura. 216 Cuadro 44 : Grado de importancia en uso de Software de Gestión y/o Contenidos.........................................................................................................217 Cuadro 45 : Grado de importancia de evaluación con TIC. ......................218 Cuadro 46 : Evolución de conocimientos en disciplina que se imparte. .219 Cuadro 47 : Técnicas activas con apoyo TIC. .............................................221 Cuadro 48 : Facilidades para interpretar técnicas de apoyo en gráficos. .............................................................................................................................222 Cuadro 49 : Valoración por técnica activa en Maestrantes.......................225
  • 14.
    xiii Cuadro 50 :Enfoques teóricos en procesos educativos apoyados con TIC. .............................................................................................................................226 Cuadro 51 : Conocimiento y aplicación de enfoques teóricos..................227 Cuadro 52 : Evaluación con apoyo TIC. .......................................................229 Cuadro 53 : Conocimiento y aplicación de evaluación con apoyo TIC. ..230 Cuadro 54 : Nivel de conocimientos en TIC. ...............................................235 Cuadro 55 : Facilidades para interpretación gráfica de nivel de conocimientos. ..................................................................................................236 Cuadro 56 : Promedios por nivel de conocimientos. ..................................241 Cuadro 57 : Cargo de Docentes. ...................................................................242 Cuadro 58 : Años de experiencia docente. ..................................................243 Cuadro 59 : Último grado académico Docentes..........................................244 Cuadro 60 : Aprendizaje autónomo con TIC................................................246 Cuadro 61 : Trabajo colaborativo con empleo TIC. ....................................247 Cuadro 62 : Uso de software especializado en asignatura que se imparte. .............................................................................................................................248 Cuadro 63 : Actividades didácticas empleando TIC en asignatura..........249 Cuadro 64 : Importancia de apoyo TIC en Curriculum de asignatura a cargo...................................................................................................................250 Cuadro 65 : Empleo de TIC en programación de asignatura....................251 Cuadro 66 : Evaluación de aprendizaje en entorno TIC............................252 Cuadro 67 : Análisis y evaluación de impacto TIC en proceso educativo. .............................................................................................................................253 Cuadro 68 : Creación de grupos de estudiantes, escenarios y tareas con tecnología. .........................................................................................................254 Cuadro 69 : Facilita el aprendizaje intermedio del recurso TIC. ...............255 Cuadro 70 : Facilita y/o contribuye equitativamente recursos TIC con estudiantes. .......................................................................................................256 Cuadro 71 : Conoce, respeta y hace respetar el uso de recursos informáticos. ......................................................................................................257 Cuadro 72 : Promueve el uso ético y legal de recursos tecnológicos. ....258
  • 15.
    xiv Cuadro 73 :Comprende y hace comprender el uso legal del software. .259 Cuadro 74 : Uso de software de productividad con fines administrativos. .............................................................................................................................260 Cuadro 75 : Empleo de recursos de redes y comunicaciones en asignatura y comunidad. .................................................................................261 Cuadro 76 : Fuentes de información y sitios relevantes TIC en quehacer educativo............................................................................................................262 Cuadro 77 : Practica, experimenta y evalúa TIC para incorporar en quehacer educativo..........................................................................................263 Cuadro 78 : Accede, participa y contribuye en espacios de aprendizaje. .............................................................................................................................264 Cuadro 79 : Utiliza, evalúa y comparte TIC para incorporar en aprendizaje. .............................................................................................................................265 Cuadro 80 : Participa en instancias TIC y aprendizaje. .............................266 Cuadro 81 : Uso de las TIC como medio de evaluación de aprendizajes. .............................................................................................................................267 Cuadro 82 : Proyectos Pedagógicos y/o andragógicos de aula con apoyo TIC. .....................................................................................................................268 Cuadro 83 : Uso de métodos técnicas activas con apoyo TIC. ................269 Cuadro 84 : Proyectos entre asignaturas apoyados en TIC. ....................270 Cuadro 85 : Experiencias de aprendizaje apoyados en TIC entre Docentes............................................................................................................271 Cuadro 86 : Proyecto de desarrollo de conocimientos apoyados en TIC para Docentes...................................................................................................272 Cuadro 87 : Importancia en el manejo de las TIC en la gestión docente universitaria. ......................................................................................................273 Cuadro 88 : Presencia del paradigma tradicional en el proceso educativo. .............................................................................................................................274 Cuadro 89 : Grado de importancia de apoyo TIC en Curriculum asignatura. .........................................................................................................275 Cuadro 90 : Empleo de Software de Contenidos y/o aprendizaje............276
  • 16.
    xv Cuadro 91 :Evolución de conocimientos en disciplina que se imparte. .277 Cuadro 92 : Evolución del aprendizaje de los estudiantes........................278 Cuadro 93 : Necesidades de Formación en TIC.........................................279 Cuadro 94 : Recursos TIC como estrategias de aprendizaje. ..................281 Cuadro 95 : Técnicas activas con apoyo TIC. .............................................285 Cuadro 96 : Aplicación de técnicas activas con apoyo TIC. .....................286 Cuadro 97 : Tipos de aprendizaje en procesos educativos apoyados en TIC. .....................................................................................................................289 Cuadro 98 : Aplicación tipos de aprendizaje en procesos educativos con TIC. .....................................................................................................................290 Cuadro 99 : Enfoques teóricos en procesos educativos apoyados en TIC. .............................................................................................................................292 Cuadro 100 : Aplicación de enfoques teóricos apoyados en TIC. ...........293 Cuadro 101 : Evaluación con apoyo TIC......................................................295 Cuadro 102 : Disposiciónde criterios pedagógicos/andragógicos recursos TIC. .....................................................................................................................297 Cuadro 103 : Recursos TIC para crear material didáctico. .......................299 Cuadro 104 : Empleo de recursos TIC para crear material didáctico......300 Cuadro 105 : Nivel de conocimientos TIC....................................................306 Cuadro 106 : Facilidades para interpretación gráfica.................................307 Cuadro 107 : Promedios por nivel de conocimientos.................................312 Cuadro 108 : Conocimientos máximos y mínimos por nivel de Docentes. .............................................................................................................................324 Cuadro 109 : Visión en torno al uso de las TIC por parte de los Educadores de las Facultades de la Universidad, en los procesos de aprendizaje ........................................................................................................327 Cuadro 110 : Actitud docente ante la incorporación de las TIC. ..............329 Cuadro 111 : Práctica, experiencia, reflexión y aprendizaje con TIC. .....331 Cuadro 112 : Promedio por nivel de conocimientos en Docentes. ..........332 Cuadro 113 : Cómo consideran las estrategias didácticas los Docentes. .............................................................................................................................334
  • 17.
    xvi Cuadro 114 :Conocimiento docente de uso legal y ético de datos y recursos informáticos.......................................................................................336 Cuadro 115 : Conocimiento de Maestrantes de uso legal y ético de datos y recursos informáticos....................................................................................337 Cuadro 116 : El rendimiento académico que consideran los Docentes con respecto al uso de las TIC. .............................................................................338 Cuadro 117 : El rendimiento académico que consideran los Docentes con respecto al uso de las TIC - Maestrantes.....................................................339 Cuadro 118 : Situación actual del manejo de las TIC a nivel curricular en la Universidad. ..................................................................................................341 Cuadro 119 : Habilidades, conocimientos y usos operativos docentes en el manejo de las TIC. .......................................................................................349 Cuadro 120 : Importancia en el manejo de las TIC en la gestión docente Universitaria.......................................................................................................359 Cuadro 121 : Grado de importancia de apoyo TIC en Curriculum asignatura. .........................................................................................................360 Cuadro 122 : Promedios por nivel de conocimientos.................................361 Cuadro 123 : Necesidades de Formación en TIC.......................................362 Cuadro 124 : Enfoques por nivel del Programa PECMTIC-DUG.............393 Cuadro 125 : Módulo Gestión educativa universitaria apoyada en TIC. .397 Cuadro 126 : Módulo Preparación curricular docente apoyada en TIC. .400 Cuadro 127 : Módulo Necesidad de criterios pedagógicos/andragógicos en el empleo de las TIC. .................................................................................402 Cuadro 128 : Módulo Herramientas básicas TIC. .......................................405 Cuadro 129 : Módulo Planificación docente con apoyo TIC. ....................415 Cuadro 130 : Módulo Docente siglo 21. .......................................................418 Cuadro 131 : Módulo Conocimiento sobre políticas...................................421 Cuadro 132 : Módulo Conocimientos básicos. ............................................423 Cuadro 133 : Módulo Integración de la tecnología. ....................................426 Cuadro 134 : Módulo Herramientas básicas de apoyo..............................428 Cuadro 135 : Módulo Organización y administración.................................436
  • 18.
    xvii Cuadro 136 :Módulo Alfabetización digital..................................................439 Cuadro 137 : Módulo Conocimiento de las políticas. .................................441 Cuadro 138 : Módulo Aplicación del Conocimiento. ...................................443 Cuadro 139 : Módulo Resolución de problemas complejos......................446 Cuadro 140 : Herramientas complejas. ........................................................449 Cuadro 141 : Módulo Grupos colaborativos. ...............................................461 Cuadro 142 : Módulo Formación Profesional Docente. .............................464 Cuadro 143 : Módulo Innovación de las políticas. ......................................466 Cuadro 144 : Módulo Competencias de la Sociedad del Conocimiento. 468 Cuadro 145 : Módulo Autogestión. ................................................................472 Cuadro 146 : Módulo Herramientas ubicuas. ..............................................475 Cuadro 147 : Módulo Organizaciones de aprendizaje. ..............................483 Cuadro 148 : Módulo Docente como modelo de aprendiz. .......................486
  • 19.
    xviii Índice de gráficos Gráfico1: Acción docente sin TIC. ..................................................................50 Gráfico 2: ¿Qué dice la Pedagogía?...............................................................50 Gráfico 3: Acto didáctico. ..................................................................................51 Gráfico 4: Procesos para el aprendizaje. .......................................................53 Gráfico 5: Fases del procesamiento de la información. ...............................55 Gráfico 6: Modelo de cuatro cuadrantes – Kolb. ...........................................55 Gráfico 7: Relación razonamiento y memoria................................................56 Gráfico 8: Taxonomía Revisada de Bloom. ...................................................57 Gráfico 9: Adaptación TIC a la Taxonomía Revisada de Bloom. ...............58 Gráfico 10: La pirámide del aprendizaje.........................................................59 Gráfico 11: Habilidades del pensamiento.......................................................60 Gráfico 12: Estilos de Aprendizaje. .................................................................65 Gráfico 13: Software ideal para estilos de aprendizaje................................68 Gráfico 14: Actividades generales en la herramienta de diagnóstico........69 Gráfico 15: Transmisión de contenidos por parte del Docente...................72 Gráfico 16: Comparación Conductismo y Constructivismo. ........................73 Gráfico 17: Mapa conceptual del Constructivismo........................................74 Gráfico 18: Etapas de la Teoría de Piaget. ....................................................75 Gráfico 19: Subestadios del Desarrollo Cognoscitivo - Modelo de Piaget. ...............................................................................................................................75 Gráfico 20: Ley de Doble Formación y Zona de Desarrollo Próximo. .......76 Gráfico 21: Zona de Desarrollo Próximo. .......................................................77 Gráfico 22: Zona de Desarrollo Próximo y TIC..............................................77 Gráfico 23: Uso tecnológico en el aprendizaje cooperativo o colaborativo. ...............................................................................................................................78 Gráfico 24: Teoría de Ausubel. ........................................................................79 Gráfico 25: Procesos de aprendizaje – Gagné..............................................83 Gráfico 26: Teoría de la Gestalt.......................................................................85
  • 20.
    xix Gráfico 27: Relaciónentre figura y fondo – Gestalt......................................85 Gráfico 28: De la buena forma – Gestalt. .......................................................86 Gráfico 29: Proximidad – Gestalt.....................................................................86 Gráfico 30: De similitud – Gestalt. ...................................................................86 Gráfico 31: De contraste – Gestalt. .................................................................86 Gráfico 32: De dirección común – Gestalt......................................................87 Gráfico 33: De simplicidad – Gestalt...............................................................87 Gráfico 34: De cierre – Gestalt.........................................................................87 Gráfico 35: Condiciones de Aprendizaje por Descubrimiento. ...................88 Gráfico 36: Aprendizaje por Descubrimiento. ................................................89 Gráfico 37: Inteligencias Múltiples...................................................................91 Gráfico 38: Inteligencias Múltiples y TIC. .......................................................92 Gráfico 39: Conectivismo. .................................................................................94 Gráfico 40: Concepción del Conectivismo. ....................................................95 Gráfico 41: Aprendizaje en el siglo XXI. .........................................................99 Gráfico 42: Aplicaciones Web 2.0..................................................................100 Gráfico 43: Inteligencia distribuida en grupo................................................101 Gráfico 44: Competencias digitales en el Conectivismo............................103 Gráfico 45: Orientaciones para el diseño de Experiencias de Aprendizaje. .............................................................................................................................105 Gráfico 46: Docente en red.............................................................................108 Gráfico 47: Docente conectado en red. ........................................................108 Gráfico 48: Red personal de aprendizaje.....................................................109 Gráfico 49: Conductismo, Cognitivismo, Constructivismo y Conectivismo. .............................................................................................................................110 Gráfico 50: Conductismo, Cognitivismo, Constructivismo y Conectivismo - Preguntas Ertmer y Newby.............................................................................111 Gráfico 51: Aprendizaje con TIC....................................................................114 Gráfico 52: Clasificación de los recursos didácticos. .................................115 Gráfico 53: Etapas de la estrategia. ..............................................................116 Gráfico 54: Estrategias de aprendizaje con TIC..........................................117
  • 21.
    xx Gráfico 55: TICcomo estrategia, método y contenido...............................118 Gráfico 56: Modelo de diseño de una unidad didáctica TIC......................121 Gráfico 57: Aprendizaje Significativo entre Educación y nuevas tecnologías. .......................................................................................................123 Gráfico 58 : Modelo TPACK. ..........................................................................124 Gráfico 59: Tecnologías a utilizar según actividades en un Modelo TPACK.- Ejemplo. ............................................................................................126 Gráfico 60: Criterios de observación y evaluación – Modelo TPACK......127 Gráfico 61: Educación 1.0 a Educación 2.0.................................................132 Gráfico 62: Ocho ideas para dinamizar las clases y motivar clases con tecnología. .........................................................................................................133 Gráfico 63: Clasificación del Software Educativo - Guillermo Gallegos..139 Gráfico 64: Aprendizaje basado en Internet. ...............................................140 Gráfico 65: Educación Virtual.........................................................................140 Gráfico 66: Sloodle...........................................................................................141 Gráfico 67: Evolución de la Tecnología. .......................................................141 Gráfico 68: Evolución del Software Educativo.............................................142 Gráfico 69: Actividades, Productos y Recursos 2.0....................................145 Gráfico 70: Componentes del Proceso Docente Educativo. .....................147 Gráfico 71: Modelo Educativo Básico. ..........................................................148 Gráfico 72: Modelo para integrar las TIC en el Proceso Enseñanza- Aprendizaje........................................................................................................152 Gráfico 73: Incidentes críticos al incorporar las TIC en el Proceso Enseñanza-Aprendizaje. .................................................................................153 Gráfico 74: Gradualismo para integrar las TIC............................................155 Gráfico 75: Roles del Profesor. ......................................................................156 Gráfico 76: Modelo Profesor-Diseñador. ......................................................157 Gráfico 77: Modelo Autor-Diseñador.............................................................157 Gráfico 78: Modelo Profesor-Autor................................................................158 Gráfico 79: Modelo Autoría Abierta. ..............................................................158 Gráfico 80: Rol del Docente en el uso e incorporación de TIC.................159
  • 22.
    xxi Gráfico 81: DocenteUniversitario y Formación en TIC..............................160 Gráfico 82: Formación Conexiones...............................................................163 Gráfico 83: Cargo actual Maestrantes ..........................................................199 Gráfico 84: Último grado académico de Maestrantes. ...............................201 Gráfico 85: Último grado académico de Maestrantes. ...............................202 Gráfico 86: Aprendizaje autónomo con empleo TIC...................................203 Gráfico 87: Trabajo colaborativo con empleo de TIC.................................204 Gráfico 88: Importancia empleo TIC en programación de asignatura. ....205 Gráfico 89: Conocimiento y respeto en uso de recursos informáticos. ...206 Gráfico 90: Conocimiento y respeto en uso de recursos informáticos. ...207 Gráfico 91: Comprensión de implicaciones legales de uso de software. 208 Gráfico 92: Uso de software de productividad.............................................209 Gráfico 93: Fuentes de información y sitios relevantes TIC en quehacer educativo............................................................................................................210 Gráfico 94: Practica, experimenta y evalúa TIC para práctica educativa. .............................................................................................................................211 Gráfico 95: Acceso, participación y contribución en espacios de aprendizaje. .......................................................................................................212 Gráfico 96: Utiliza, evalúa y comparte herramientas TIC en aprendizaje. .............................................................................................................................213 Gráfico 97: Participación en instancias TIC y aprendizaje. .......................214 Gráfico 98: Grado de importancia al manejo TIC en Gestión Universitaria. .............................................................................................................................215 Gráfico 99: Grado de importancia de herramientas TIC en asignatura...216 Gráfico 100: Grado de importancia en uso de Software de Gestión y/o Contenidos.........................................................................................................217 Gráfico 101: Grado de importancia de evaluación con TIC. .....................218 Gráfico 102: Evolución de conocimientos en disciplina que se imparte..219 Gráfico 103: Técnicas activas con apoyo TIC. ............................................221 Gráfico 104: Técnicas no utilizadas. .............................................................223 Gráfico 105: Técnicas no utilizadas. .............................................................224
  • 23.
    xxii Gráfico 106: Valoraciónpor técnica activa en Maestrantes......................225 Gráfico 107: Enfoques teóricos en procesos educativos apoyados con TIC. .....................................................................................................................227 Gráfico 108: Enfoques teóricos en procesos educativos apoyados con TIC. .....................................................................................................................228 Gráfico 109: Evaluación con apoyo TIC. ......................................................229 Gráfico 110: Conocimiento y aplicación de evaluación con apoyo TIC. .230 Gráfico 111: Conocimientos no aplico. .........................................................237 Gráfico 112: Conocimientos nivel básico. ....................................................238 Gráfico 113: Conocimientos nivel intermedio. .............................................239 Gráfico 114: Conocimientos nivel avanzado................................................240 Gráfico 115: Promedios por Nivel de Conocimientos.................................241 Gráfico 116: Cargo de Docentes. ..................................................................242 Gráfico 117: Años de experiencia docente. .................................................244 Gráfico 118: Último grado académico Docentes.........................................245 Gráfico 119: Aprendizaje autónomo con TIC...............................................246 Gráfico 120: Trabajo colaborativo con empleo TIC. ...................................247 Gráfico 121: Uso de software especializado en asignatura que se imparte. .............................................................................................................................248 Gráfico 122: Actividades didácticas empleando TIC en asignatura.........249 Gráfico 123: Importancia de apoyo TIC en Curriculum de asignatura a cargo...................................................................................................................250 Gráfico 124: Empleo de TIC en programación de asignatura...................251 Gráfico 125: Empleo de TIC en programación de asignatura...................252 Gráfico 126: Análisis y evaluación de impacto TIC en proceso educativo. .............................................................................................................................253 Gráfico 127: Creación de grupos de estudiantes, escenarios y tareas con tecnología. .........................................................................................................254 Gráfico 128: Creación de grupos de estudiantes, escenarios y tareas con tecnología. .........................................................................................................255
  • 24.
    xxiii Gráfico 129: Facilitay/o contribuye equitativamente recursos TIC con estudiantes. .......................................................................................................256 Gráfico 130: Conoce, respeta y hace respetar el uso de recursos informáticos. ......................................................................................................257 Gráfico 131: Promueve el uso ético y legal de recursos tecnológicos. ...258 Gráfico 132: Comprende y hace comprender el uso legal del software..259 Gráfico 133: Uso de software de productividad con fines administrativos. .............................................................................................................................260 Gráfico 134: Empleo de recursos de redes y comunicaciones en asignatura y comunidad. .................................................................................261 Gráfico 135: Disposiciónde fuentes de información y sitios relevantes TIC en quehacer educativo. ...................................................................................262 Gráfico 136: Practica, experimenta y evalúa con TIC para incorporar en quehacer educativo..........................................................................................263 Gráfico 137: Accede, participa y contribuye en espacios de aprendizaje. .............................................................................................................................264 Gráfico 138: Accede, participa y contribuye en espacios de aprendizaje. .............................................................................................................................265 Gráfico 139: Participa en instancias TIC y aprendizaje. ............................266 Gráfico 140: Uso de las TIC como medio de evaluación de aprendizajes. .............................................................................................................................267 Gráfico 141: Proyectos Pedagógicos y/o andragógicos de aula con apoyo TIC. .....................................................................................................................268 Gráfico 142: Uso de métodos técnicas activas con apoyo TIC. ...............269 Gráfico 143: Uso de métodos técnicas activas con apoyo TIC. ...............270 Gráfico 144: Intercambio de experiencias de aprendizaje apoyados en TIC entre Docentes..................................................................................................271 Gráfico 145: Proyecto de desarrollo de conocimientos apoyados en TIC para Docentes...................................................................................................272 Gráfico 146: Importancia en el manejo de las TIC en la gestión docente universitaria. ......................................................................................................273
  • 25.
    xxiv Gráfico 147: Presenciadel paradigma tradicional en el proceso educativo. .............................................................................................................................274 Gráfico 148: Grado de importancia de apoyo TIC en Curriculum de asignatura. .........................................................................................................275 Gráfico 149: Grado de importancia al empleo de Software de Contenidos y/o aprendizaje..................................................................................................276 Gráfico 150: Evolución de conocimientos en disciplina que se imparte..277 Gráfico 151: Evolución del aprendizaje de los estudiantes. ......................278 Gráfico 152: Necesidades de Formación en TIC. .......................................279 Gráfico 153: Recursos TIC como estrategias de aprendizaje. .................281 Gráfico 154: Aplicación de recursos TIC como estrategia de aprendizaje. .............................................................................................................................282 Gráfico 155: Técnicas activas con apoyo TIC. ............................................285 Gráfico 156: Aplicación de técnicas activas con apoyo TIC......................286 Gráfico 157: Aplicación de técnicas activas con apoyo TIC......................289 Gráfico 158: Aplicación de tipos de aprendizaje en procesos educativos apoyados en TIC. .............................................................................................290 Gráfico 159: Enfoques teóricos en procesos educativos apoyados en TIC. .............................................................................................................................293 Gráfico 160: Aplicación de enfoques teóricos apoyados en TIC. .............293 Gráfico 161: Evaluación con apoyo TIC. ......................................................295 Gráfico 162: Aplicación de evaluación con apoyo TIC...............................296 Gráfico 163: Disposiciónde criterios pedagógicos/andragógicos para recursos TIC......................................................................................................297 Gráfico 164: Recursos TIC para crear material didáctico..........................299 Gráfico 165: Empleo de recursos TIC para crear material didáctico. ......300 Gráfico 166: Conocimientos no aplico. .........................................................308 Gráfico 167: Conocimientos a nivel básico..................................................309 Gráfico 168: Cuadro de Conocimientos a nivel intermedio. ......................310 Gráfico 169: Cuadro de Conocimientos a nivel avanzado. .......................311 Gráfico 170: Promedios por nivel de conocimientos. .................................312
  • 26.
    xxv Gráfico 171: Importanciaen el manejo de las TIC en la gestión docente Universitaria.......................................................................................................359 Gráfico 172: Grado de importancia de apoyo TIC en Curriculum de asignatura. .........................................................................................................360 Gráfico 173: Promedios por nivel de conocimientos. .................................361 Gráfico 174: Necesidades de Formación en TIC. .......................................362 Gráfico 175: Organización PECMTIC-DUG.................................................378 Gráfico 176: Ubicación de la Universidad de Guayaquil............................380 Gráfico 177: Códigos por módulos del Programa PECMTIC-DUG..........394 Gráfico 178: Códigos por módulos del Programa PECMTIC-DUG. – Carga horaria. ...............................................................................................................395
  • 27.
    xxvi UNIVERSIDAD DE GUAYAQUIL FACULTADDE FILOSOFÍA, LETRAS Y CIENCIAS DE LA EDUCACIÓN INSTITUTO DE POSTGRADO Y EDUCACIÓN CONTINUA MAESTRÍA EN EDUCACIÓN INFORMÁTICA MANEJO DE LAS TIC EN LA GESTIÓN DOCENTE DE LA UNIVERSIDAD DE GUAYAQUIL. PROPUESTA: DISEÑO DE UN PROGRAMA DE EDUCACIÓN CONTINUA EN EL MANEJO DE LAS TIC PARA EL INSTITUTO DE POST-GRADO DELA FACULTAD DE FILOSOFÍA, LETRAS Y CIENCIAS DE LA EDUCACIÓN. AUTOR: VERA MOSQUERA JORGE FRANCISCO, LSI. CONSULTORA: HURTARES IZURIETA ELENA, MSc. CONSULTOR: GALINDO MOSQUERA SANTIAGO MSc. FECHA: JULIO 2013 RESUMEN El presente trabajo contribuye a que se reconozca en la Universidad de Guayaquil, la necesidad de concienciar a la Comunidad Académica, respecto a la importancia e impacto del manejo de las Tecnologías de Información y Comunicación en la gestión docente, para identificar la necesidad de diseñar un Programa de Educación Continua en el Manejo de las TIC en el Instituto de Post-Grado de la Facultad de Filosofía, Letras y Ciencias de la Educación, para el Educador actual y futuro, de modo que se adapte a la sociedad del presente siglo, y así flexibilizar y desarrollar vías de integración de las TIC en los procesos educativos. Esto crea y desarrolla un nuevo concepto docente, en su gestión administrativa relacionada con los sistemas de comunicación, información y aprendizaje que la Universidad desarrolla para el devenir educativo innovador constante, es decir, prepararse continuamente para estar acorde con el avance local, nacional y mundial, donde se impone el avance informático y el uso adecuado de las TIC en la Educación. En el marco teórico se considera la relación entre las TIC, Informática y la Educación Continua Docente, profundizando en lo necesario de la Informática Educativa, para abarcar el presente y futuro, para que de acuerdo al nivel de ubicación docente, se lleve a cabo lo necesario, cubrir necesidades aplicativas actuales de enseñanza, aprendizaje, reforzamiento y mejoramiento, que demanda la innovación educativa. La metodología que se aplicará será documental, descriptiva y de campo, analizada en forma crítica. TIC Gestión Docente Educación Continua Post-Grado
  • 28.
    xxvii UNIVERSIDAD DE GUAYAQUIL FACULTADDE FILOSOFÍA, LETRAS Y CIENCIAS DE LA EDUCACIÓN INSTITUTO DE POSTGRADO Y EDUCACIÓN CONTINUA MANAGEMENT OFICT INTEACHINGMANAGEMENT OF THE UNIVERSITY OF GUAYAQUIL. PROPOSAL:DESIGN OF ACONTINUING EDUCATIONPROGRAMINTHE MANAGEMENT OFICT FORPOSTGRADUATEINSTITUTEOF THE FACULTY OF PHILOSOPHY, LETTERS AND EDUCATION SCIENCE. ABSTRACT This work contributes to the recognition at the University of Guayaquil, the need to sensitize the academic community, about the importance and impact of the Management of Information and Communication Technologies in Teaching Management to identify the need to design a Continuous Education Program in the Management of ICT in Post-Graduate Institute of the Faculty of Philosophy, Letters and Science Education for the current and future educator, so it suits the society of this century, adapt and develop ways of integrating ICT in educational processes. This creates and develops a new teaching concept, in their administrative systems related to communication, information and learning that the University develops innovative education to become constant. For instance, get prepared to being continuous progress in line with local, national and global levels, where progress requires computer and appropriate use of ICT in Education. In the theoretical framework is considered the relationship among ICT, Information Technology and Teacher Continuous Education, deepening the educational computing needs, to cover the present and future, so that according to the teaching knowledge level, necessary strategies could be performed, cover current application requirements of teaching, learning, reinforcement and improvement, which requires educational innovation. The methodology to be used is documentary, descriptive field, analyzed critically. ICT Teaching Management Continuous Education Post-Graduate
  • 29.
    1 Introducción En todas susFacultades, la Universidad de Guayaquil, dentro de la medida de sus posibilidades, ha implementado laboratorios de computadoras y equipos en ciertos departamentos administrativos donde, en la mayoría de los casos, se encuentran en red e Internet. El uso académico de estos equipos, debido al alto número de estudiantes, presenta una alta frecuencia de usabilidad por parte del estudiantado para ser empleado en sus estudios, aun bajo la existencia del no manejo del computador en algunas asignaturas, donde el empleo de la tecnología en la mayoría de los casos, es externo a la Universidad, si se llega a presentar el requerimiento. A medida que el tiempo avanza, la Universidad va incrementando su tecnología dentro del proceso educativo, a tal punto que en la actualidad ya se encuentra incorporando el uso de la Internet y el empleo del mismo aprendizaje electrónico para con sus miembros de la comunidad educativa. Es de considerar que los bachilleres actuales, cada vez llegan mejor preparados en el uso de la tecnología, al igual que con el tiempo se irá incrementando un conocimiento tecnológico más horizontal al respecto en todas las unidades educativas a nivel de Educación Básica y Bachillerato, en un grado u otro. Si se considera el mundo profesional que se prepara y se preparará en la Universidad, es de encontrarse con una gran cantidad de estudiantes profesionales, que en su gran mayoría, ya se desenvuelve en TIC y en el mundo informático.
  • 30.
    2 Por tanto, lanecesidad implícita de uso de las TIC por parte de los aprendices de todas las facultades, y por ende los Docentes, enfoca el hecho de tener que concebir una planta de Educadores, donde su perfil se vea enriquecido, con este nuevo ideal de Profesor, donde uno de sus respaldos sea el manejo de las TIC y un grado considerable de conocimientos informáticos. El Personal Docente actual, si bien por diversas circunstancias, unos se han logrado preparar mejor que otros en este campo, no es menos cierto que no se dispone de una horizontalidad en la formación al respecto, indiferente de factores como las profesiones afines o no con la Informática, grado de preparación tecnológica, edad, facilidades de preparación, disponibilidad de horarios para formarse, entre otros. Todo conlleva a la necesidad de cubrir una atención al Docente de la Universidad, sea informático o no, para que éste disponga de un lugar para cubrir sus necesidades profesionales, y la misma Universidad en sí, quien debe iniciar, fortalecer e innovar siempre a sus propios Educadores en el manejo de las TIC, reflejándose aquello en la gestión educativa con sus estudiantes, cuya luz será vista en un futuro inmediato en el desempeño profesional de éstos, cuyos requerimientos tecnológicos, cada vez son más exigentes. El presente trabajo se dispone de los siguientes capítulos: En el capítulo I se disponen el planteamiento de la investigación, el problema, su formulación, causas y consecuencias, así como los objetivos, su justificación e importancia. En el capítulo II se aborda todo lo referente al marco teórico e interdisciplinario relacionado a las TIC, Informática y la Educación
  • 31.
    3 Continua Docente, fundamentacionesteóricas y legal, profundizando en lo necesario de la Informática Educativa, tratando necesidades aplicativas actuales en los procesos educativos, que involucran la alfabetización digital, profundización y generación de conocimiento, planteando de este modo el diseño de un Programa de Educación Continua en el Manejo de las TIC para el Instituto de Post-Grado de la Facultad de Filosofía, Letras y Ciencias de la Educación. También se formulan preguntas directrices de la investigación, se identifican las variables de la misma, y se presentan definiciones conceptuales. En el capítulo III, se trata la metodología empleada en la investigación, que parte de un diseño, un procedimiento, la población y muestra empleada, la operacionalización de variables, las técnicas de recolección de datos, instrumentos usados con las técnicas empleadas para el proceso y análisis de datos, así como los criterios para la elaboración y validación de la propuesta. En el capítulo IV, se presentan los recursos empleados en el capítulo anterior, procediéndose al análisis e interpretación de datos, procesamiento de la información, presentación y discusión de resultados, y las respuestas a las preguntas planteadas en la investigación. En el capítulo V, se deja constancia de las conclusiones y recomendaciones que en el desarrollo del presente trabajo se han llegado a obtener. En el capítulo VI, se presenta la Propuesta planteada en base a la investigación llevada a cabo, su fundamentación teórica, sus objetivos, su factibilidad, ubicación sectorial y física, descripción, conclusiones, beneficiarios e impacto.
  • 32.
    4 Se finaliza conlas referencias, bibliografía y linkografía en general, junto a los anexos empleados.
  • 33.
    5 CAPÍTULO I EL PROBLEMA PLANTEAMIENTODEL PROBLEMA Ubicación del Problema en un contexto La Educación es la clave del crecimiento económico en cualquier lugar del mundo, el crecimiento mundial tecnológico y su influencia en el espacio educativo, han llevado a que el manejo de las TIC y el conocimiento informático sean inevitables. Toda Institución Educativa se encuentra con una premisa innegable dentro de su organización, que es la aplicación tecnológica en sus distintos estamentos, que van desde la misma gestión administrativa, administrativo-Docente, Docente, y de aula, si se trata internamente, y al hablar externamente, en cómo debe estar la entidad conectada con sus pares u otro tipo de organizaciones, donde la relación puede ser desde intercomunicaciones hasta de apoyo, crecimiento y desarrollo de toda la comunidad educativa y sus miembros. Ante esta inminente necesidad, se demandan Educadores que respondan en la era actual, a este vertiginoso ritmo mundial, que estén para resolver situaciones que requieren de respuestas claras, objetivas y asertivas, tanto en el campo educativo como tecnológico, con sus diferentes facetas que atender y sobretodo con la prestación del caso para dar soluciones ipso facto.
  • 34.
    6 Se trata deuna nueva concepción de modelo y gestión de aula En la Facultad de Filosofía de la Universidad de Guayaquil, ubicada en la ciudadela Salvador Allende de la parroquia Tarqui, del cantón Guayaquil, se encuentra ubicado el problema que motiva la presente investigación, para el periodo lectivo 2012-2013. Situación conflicto El desarrollo de la cultura informática en la entidad, en algunos casos marca una disparidad abismal, debido a distintos factores como el económico, técnico, social, … , siendo uno de ellos la brecha generacional entre los educandos y el Personal Docente que se encuentra ante ellos, que con el venir de los últimos años, se presenta y se afirma con el tiempo. Esta realidad demanda que el ámbito educativo esté preparado para atender y educar a estas nuevas juventudes en su medio, en lo que ya es parte de su vida. En otras situaciones la atención y congruencia requerida por parte del Docente, son las adecuadas por el nivel de preparación alcanzado a nivel tecnológico. La Facultad de Filosofía, Letras y Ciencias de la Educación se encuentra en este escenario, por lo que debe brindar y otorgar una Educación Continua en TIC para los Docentes de la Universidad de Guayaquil, hallándose con la dificultad de cómo “combinar” o ubicar, el espacio tanto educativo como tecnológico. La respuesta está en la Informática Educativa a utilizar para el Personal Docente.
  • 35.
    7 En todas lasasignaturas que se dictan en la Universidad, en las distintas carreras, no existe una homogeneidad en el uso de las TIC por parte de los Educadores, habiendo el caso inclusive, del no uso de las mismas. Otro punto importante relacionado con las TIC, es la información, la que debe ser y es una de las preocupaciones fundamentales de un sistema educativo, por lo que su acceso y producción es clave, y constituye el capital de todo educando y Docente para crear profesionales creativos y generadores de información, de ahí la importancia del manejo adecuado de las TIC en base a sólidos conocimientos informáticos en el proceso educativo, en la actualidad y en el futuro. El Docente de la Universidad de Guayaquil tiene que ser innovador, y con capacidad de acoplarse a los escenarios tecnológicos que le toque. Por tanto, la innovación pasa por el tema de la incorporación de las TIC en el currículo y en el proceso de enseñanza-aprendizaje u orientación-aprendizaje, por lo que no es posible hablar de ella si no va de la mano con la innovación de enfoques didácticos y en la transformación de las prácticas educativas de los actores involucrados y si no se contempla el contexto que condiciona el alcance de objetivos, metas y tendencias innovadoras. Finalmente, el desafío del Docente de la Universidad es mayor, por lo que requiere ser enriquecido, fortalecido, estimulado e innovado constantemente para que pueda responder en cualquier instante en lo que ya la sociedad nacional e internacional demanda de los futuros profesionales que la entidad debe aportar a la sociedad.
  • 36.
    8 Causas y consecuenciasdel Problema Se mencionan a continuación: Causas y consecuencias del problema Causa Efecto No hay un sistema de capacitación en TIC en la Universidad. Los Docentes no tienen dominio en el uso de las TIC para mejorar su quehacer educativo. No hay política de asesoría tecnopedagógica ni tecnoandragógica. El uso de TIC en procesos pedagógicos y andragógicos es limitado, con poca repercusión en el proceso de aprendizaje de los estudiantes. Escasa integración de TIC en la gestión educativa de las asignaturas en las distintas carreras de la Universidad. Desaprovechamiento de oportunidades, fortalezas y ventajas que brindan las TIC, para el proceso enseñanza-aprendizaje u orientación-aprendizaje. Desconocimiento de los elementos técnicos y/o didácticos al emplear las TIC. Dificultad para emplear las TIC de una manera adecuada e idónea en los procesos educativos. Limitada articulación de procesos educativos con procesos y productos tecnológicos. Prácticas educativas disminuidas y/o incorrectas al ser mediadas por TIC. Falta de apropiación de TIC por parte de los Docentes. Aumento de rezago tecnológico en el Personal Docente. Desinformación a nivel docente de las TIC y su empleo educativo. Incremento de la brecha digital entre Docentes y estudiantes. Cuadro1:Causas y consecuencias delproblema. Fuente:Facultad de Filosofía, Letras y Ciencias de la Educación. Elaborado por:LSI Jorge Vera Mosquera.
  • 37.
    9 Delimitación del problema Campo:Educativo. Área: Educación Superior. Aspecto: Formación y capacitación. Tema:MANEJO DE LAS TIC EN LA GESTIÓN DOCENTE DE LA UNIVERSIDAD DE GUAYAQUIL. PROPUESTA: DISEÑO DE UNPROGRAMA DE EDUCACIÓN CONTINUA EN EL MANEJO DE LAS TIC PARA EL INSTITUTO DE POST-GRADO DE LA FACULTAD DE FILOSOFÍA, LETRAS Y CIENCIAS DE LA EDUCACIÓN. Planteamiento del Problema o Formulación ¿Qué incidencia tiene el manejo de las TIC en la gestión docente de la Universidad de Guayaquil con el diseño de un Programa de Educación Continua en el manejo de las TIC para el Instituto de Post- Grado de la Facultad de Filosofía para el periodo lectivo 2012-2013? Evaluación del Problema Los aspectos más notorios para evaluar este problema son: Delimitado: Porque en el problema se plantea para la gestión docente, el diseño de un Programa de Educación Continua en el Manejo de las TIC para el Instituto de Post-Grado de la Facultad de Filosofía, Letras y Ciencias de la Educación de la Universidad de Guayaquil, a partir del periodo lectivo 2012– 2013. Concreto: El problema está redactado de manera directa.
  • 38.
    10 Relevante: En el problemase plantea la necesidad implícita de Educación Continua en TIC a nivel docente en la Universidad. Contextual: En el problema se determinan las nuevas políticas de Estado y ubica la presencia de las TIC en los entes educativos... Claro: En el problema se identifican las ideas sobre el manejo adecuado de las TIC por parte de los Docentes y determina un valor histórico en la Universidad. Factible: Tomando de base las nuevas políticas de Estado de incorporación de las TIC en el proceso educativo, así como el camino tecnológico ya emprendido por la Universidad de Guayaquil, se avizora la solución del problema. Objetivos Generales  Establecer las necesidades de formación, capacitación y actualización en el manejo de las TIC e Informática en el Personal Docente mediante una evaluación de eficiencia y ubicación, para mejorar el proceso educativo.  Diseñar un Programa de Educación Continua en el Manejo de las TIC para el Instituto de Post-Grado de la Facultad de Filosofía, Letras y Ciencias de la Educación de la Universidad de Guayaquil, para mejorar la gestión docente universitaria, con una visión holística educativa.
  • 39.
    11 Específicos En relación alos Docentes de la Universidad de Guayaquil:  Diagnosticar el uso de las TIC y conocimientos informáticos necesarios que el Docente debe emplear en su gestión educativa, valorando el estado de saberes tecnológicos y su aplicación en el quehacer educativo.  Identificar las competencias docentes digitales del presente siglo para el Personal Docente, acorde a la sociedad ecuatoriana y el mundo globalizado, que deben cubrirse en la actualidad, con una proyección futurista y de renovación e innovación adecuadas.  Reconocer las necesidades de capacitación docente en el manejo de las TIC, analizando e interpretando los resultados de la Investigación, para así disponer de una realidad educativa explícita. Justificación e importancia El presente trabajo responde a las aspiraciones y demandas a nivel macro, meso y micro que rodean a la Universidad de Guayaquil. Así se pueden citar algunos puntos como guía. 1. En la Declaración Mundial sobre la Educación Superior en el siglo XXI (París, 1998), (ver Anexo 1) en su artículo 12, que trata sobre el potencial y los desafíos de la tecnología, se interpreta lo siguiente: Las TIC y el desarrollo del conocimiento se encuentran muy ligados, por ende el mundo educativo también, por lo que el Docente es indispensable, con la diferencia que ahora modifica su papel en el proceso de aprendizaje.
  • 40.
    12 Por tanto, laUniversidad deberá ser el ejemplo en el aprovechamiento de las TIC, donde la calidad y el nivel alto de su aplicación educativa, deben ir de la mano con un espíritu de apertura, equidad y cooperación internacional. 2. La Segunda Conferencia Mundial sobre Educación Superior, llevada a cabo en París, desde el 5 al 8 de julio del 2009. (ver Anexo 2), de cuyo comunicado se puede deducir: Todos los países participantes están invitados a elaborar políticas y estrategias sistemáticamente en la Educación Superior, puntualizando algunos puntos literales encaminados a la integración TIC en el proceso de aprendizaje. La escasez mundial de Educadores requiere ser atendida ampliando la formación docente a nivel inicial y en empleo, con planes y programas de estudio que los capacite en la dotación a sus estudiantes de conocimientos y competencias para el presente siglo, que exige nuevos enfoques. La necesidad de atender la investigación y el intercambio de Docentes y dicentes a nivel local, nacional, regional y mundial, promoviendo la cooperación y garantizando la colaboración, multiplica las fuentes de investigación y genera conocimiento, dando como resultado un beneficio común acorde a la escala tratada. El papel de todo ente universitario está en crear iniciativas conjuntas, para tratar de equilibrar la investigación básica y aplicada, para ir vinculando el conocimiento global con la localidad.
  • 41.
    13 3. En elRegistro Oficial No. 298 de nuestro país, que se refiere a la Ley Orgánica de Educación Superior, dentro del CAPITULO I se disponen algunos Artículos (ver Anexo 3): Referencia a la Ley Orgánica de Educación Superior En relación a Artículo No. Referencia Fines de la Educación Superior 8 Literales a) y f) Principios del Sistema 12 Contenido en sí. Funciones del Sistema de Educación Superior 13 Literales a), b), c), d), h) y ñ) Principio de Pertinencia 107 Contenido en sí. Formación en valores y derechos 124 Contenido en sí. Capacitación y perfeccionamiento permanente de los Profesores o Profesoras e investigadores o investigadoras 156 Contenido en sí. Cuadro 2:Referencia a la Ley Orgánica de Educación Superior. Fuente: Registro Oficial No. 298, del Gobierno Nacional de la República del Ecuador. Elaborado por: LSI Jorge Vera Mosquera. Se puede resaltar que partiendo como fines a la producción científica y la promoción de la transferencia e innovación tecnológica, junto al fomento y ejecución de programas de investigación científica, tecnológica y pedagógica, en acorde con Principios del Sistema y Funciones de la Educación Superior, rige integralmente a las instituciones y demás componentes del sistema educativo, un funcionamiento que garantiza el derecho a la Educación de cualquier ciudadano con todas las exigencias del caso.
  • 42.
    14 Entre ellas estála docencia con sus aditamentos necesarios para su ejercicio, basándose en el Principio de Pertinencia, donde la Universidad debe responder a las necesidades y demandas de la sociedad ecuatoriana, formando en base a un conocimiento efectivo en valores, deberes y derechos de la ciudadanía de cara a las realidades nacionales, y entre ellas está el dominio de herramientas informáticas. El Personal Académico a su vez, se encuentra garantizado bajo ley, en su capacitación y perfeccionamiento permanente, debiendo constar en los presupuestos institucionales, las partidas del caso. 4. En la UNIVERSIDAD DE GUAYAQUIL, (2011), dentro de su Plan Estratégico de Desarrollo Institucional 2008-2015, en el eje ACADÉMICO Y DOCENCIA, establece: Mejorar el nivel académico y formación profesional de los estudiantes y docentes con criterio pro-activo e innovador, impartiendo conocimientos técnicos, científicos y humanísticos, a fin de contribuir al desarrollo integral, empresarial, económico, social, cultural y tecnológico a nivel local y regional. A su vez, dentro de sus Acciones Estratégicas tenemos dos de las mismas que se relacionan con este tema (ver Anexo 4), que hacen hincapié en la investigación sobre las necesidades de nuestra sociedad y el Mejoramiento Integral de la Calidad Educativa, que la Universidad se encuentra decidida a fortalecer, mantener y liderar. En todo lo citado anteriormente, se enmarca la tendencia mundial y por ende nacional, de integrar las TIC en la Educación, sobre todo a nivel Superior.
  • 43.
    15 El hecho quela Educación se internacionaliza conlleva a cambios en los procesos de enseñanza-aprendizaje, de investigación y gestión docente, implicando cambios en los paradigmas educativos en diversos campos del mundo universitario. Con la creación de un Programa de Educación Continua en el Manejo de las TIC para Docentes de la Universidad de Guayaquil, en el Instituto de Post-Grado de la Facultad de Filosofía, Letras y Ciencias de la Educación, se edifica un aporte para todas las carreras universitarias. Por lo que el presente proyecto se considera pertinente, por pretender propiciar competencias en los Docentes en el manejo de las TIC, para obtener resultados que ayuden a actuar y sugerir cambios que promuevan un aprendizaje de actualidad e innovación en la era actual, para atender la demanda de profesionales que tengan una mentalidad científica, no esquemática, que no produzcan simplemente lo que saben, sino que sean innovadores, transformadores y generadores de conocimiento.
  • 44.
    16 CAPÍTULO II MARCO TEÓRICO Antecedentesdel estudio Realizada la investigación en la Biblioteca y Secretaría de la Facultad de Filosofía, no se han encontrado otros proyectos similares a la presente investigación. Por lo tanto, este trabajo investigativo resulta inédito, innovador y susceptible de ser investigado a profundidad. Nadie puede escapar de este mundo global, y el modo en que nuestro país forme parte, depende de sí mismo, de ahí la importancia vital de la Educación universitaria, donde la Educación del presente siglo, debe enseñar a formar parte de este “nuevo planeta”, en el que tal como (CASTELLS, M., 1997)afirma: No hay otro remedio que navegar en las encrespadas aguas globales… Por eso es esencial, para esa navegación ineludible y potencialmente creadora, contar con una brújula y un ancla. La brújula: La educación, información, conocimiento, tanto a nivel individual como colectivo. El ancla: nuestras identidades. Saber quiénes somos y de dónde venimos para no perdernos a dónde vamos. (Diapositiva 3). Nadie puede poner en discusión el papel de la Educación a nivel mundial, por lo que el rol estratégico de la Universidad tiene un reconocimiento ineludible y demandable, de ahí lo que se desprende de la “Conferencia Mundial sobre la Educación Superior para el Siglo XXI”, que tuvo lugar en París, en octubre de 1998, que es la “transformación más radical de su historia”. (Anexo 1).
  • 45.
    17 Esto conlleva aldesplazamiento de los procesos de enseñanza por los procesos de aprendizaje, haciendo que el centro del proceso sea ahora el estudiante y no el Profesor. Para ampliar este nuevo enfoque, es primordial observar el fragmento del Anexo 5, para ubicar las competencias básicas necesarias para el aprendizaje contemporáneo y estratégico. De la lectura se puede desprender que los nuevos paradigmas de la Educación y la Pedagogía se fundamentan en la Sicología y la ciencia cognitiva de cómo aprende un ser humano, conduciendo a éste en cómo debe aprender con estrategias cognitivas, lo que implica en un Docente cómo lograr un aprendizaje efectivo, cuyas condiciones se presten para desarrollar las competencias que se requieren para estudiantes de la actualidad. El siguiente fragmento de TÜNNERMANN, C. (2000) orienta mejor en este nuevo escenario de la Educación Continua: Es eso y mucho más. Es la integración de todos los recursos docentes de que dispone la sociedad para la formación plena del hombre durante toda su vida. Siendo así, la educación permanente tiene una raíz ontológica y es, como se ha dicho, “una respuesta a la condición humana y a eso que llamamos los signos de los tiempos.(Página 144). En el documento “Normas UNESCO sobre Competencias en TIC para Docentes (NUCTICD)”, UNESCO, (2008) la UNESCO afirmó: Hoy en día, los docentes en ejercicio necesitan estar preparados para ofrecer a sus estudiantes oportunidades de aprendizaje apoyadas en las TIC; para utilizarlas y para saber cómo éstas pueden contribuir al aprendizaje de los estudiantes. Capacidades estas que actualmente forman parte integral del catálogo de competencias profesionales básicas de un docente. (Página 2).
  • 46.
    18 Por ende, elDocente debe crear sobretodo experiencias de aprendizaje que despierten en el estudiante el deseo de ser aprendiz para toda su vida, de ahí la importancia que el Docente Universitario se encuentre a la altura de las exigencias que demanda el uso de las TIC en su gestión docente. Fundamentación teórica Ante este mundo de constante cambio, la Educación Continua es la respuesta pedagógica estratégica, haciendo de la Educación Permanente para toda la vida, el facilitar herramientas para el estudiante para poder acoplarse a las constantes transformaciones del mundo laboral y del conocimiento, que se renuevan incesantemente. Como vemos, la Universidad debe estar siempre creativa y profundizar su profesionalización docente para asumir este cambio y el futuro venidero del país, la región y el planeta, en base al manejo de las TIC. Ante esto, resulta muy importante tomar en cuenta algunas fundamentaciones. Fundamentación filosófica En el desarrollo a plenitud del ser humano, si se busca el espacio que le corresponde a la dimensión tecnológica para atender las necesidades individuales y sociales de una sociedad, es de encontrarse con un pensamiento: El materialismo dialéctico. Resulta de los planteamientos de Friedrich Engels y Karl Marx, como una corriente filosófica en la que la realidad se comporta de modo dialéctico en base a la materia, que explica la realidad por sí misma, donde la práctica científica se comprueba a cada momento, basándose en
  • 47.
    19 el materialismo comoprincipio de la existencia y en la dialéctica como la forma del desarrollo y el método de análisis de la realidad. Por tanto, éste trata de explicar la forma de producir el conocimiento. La epistemología del materialismo dialéctico permite generar el análisis social: El materialismo histórico, que se produce con el análisis de las contradicciones concretas de la práctica, jamás a nivel subjetivo. El conocimiento se justifica con la praxis concreta y utilidad social, a través de la historia, donde la relación teoría-práctica es la dialéctica de la praxis, siendo los valores y los hechos parte de la misma, donde los primeros guían el conocimiento con el sentido común, la ciencia y la ideología, siendo por tanto su único método científico el dialéctico, para tratar los fenómenos y descubrir las leyes de la evolución. Podemos decir que el proceso de enseñanza parte de ciertas leyes que se pueden identificar y en tal sentido se puede conducir, reconociéndose de ese modo a una didáctica especial, en base al materialismo dialéctico, requiriéndose para ello de una preparación pedagógica y/o andragógica según el caso, que demanda un camino dialéctico para desarrollar el conocimiento del caso. El dinamismo de vida en la Era actual del Conocimiento, que se genera en diversos escenarios y contextos, crea que el ser humano de hoy, deba atender diversidad de problemas, por lo que cualquier persona debe recibir una enseñanza problémica, que se basa en el materialismo dialéctico. El desarrollo de la evolución del hombre, pasando de un “hombre acústico” (uso de lenguas habladas), un hombre tipográfico (uso de lengua hablada + escritura) a un “hombre electrónico”(comunicación
  • 48.
    20 basada en ladigitalización), ha llevado al cuestionamiento de que si la Sociedad de la Información acabará con la diversidad lingüística y cultural del hombre. Como se ve, las TIC constituyen el centro de la sociedad actual en cualquier lugar del planeta, por tanto, se vive una nueva era que es digital, donde el Conocimiento se compra y se vende en cifras nunca antes estimadas ni vistas, de ahí que se conozca a la fusión de sociedad y sociedad del Conocimiento como Cibersociedad o Sociedad de la Información, donde la innovación tecnológica es el centro de los cambios sociales, la Internet es la columna vertebral de la globalización, lo que crea una nueva cultura, a la que se denomina cibercultura, donde el capital intelectual es el nuevo activo y la gestión de éste es la actividad fundamental. Fundamentación sicológica El presente trabajo está dirigido a personas adultas, ya que se trata de personas que son profesionales en el campo de la Educación, cuyo grado de responsabilidad es mayor, por lo que el manejo de las TIC tiene un fin preciso en la concepción individual de cada Docente. El conocimiento sicológico es base para entender las acciones del ser humano, por tanto se aplica en la Educación, para determinar los estudios que fijen un desarrollo teórico, debido a que el aprendizaje es absolutamente integral en el hombre. Ante una enseñanza problémica, el Docente debe comprender y conocer los fundamentos sicológicos para acoger a sus estudiantes, partiendo del conocimiento dialéctico en torno a lo que rodea al aprendizaje de un estudiante universitario.
  • 49.
    21 Este aprendiz esun trabajador en formación que maneja un nivel de comunicación con sus compañeros de estudio y de trabajo, donde su carrera elegida es su camino a seguir, por lo que toda actividad pedagógica y/o andragógica debe estar dirigida en función de esto, dado que la concepción estudio para el dicente traspasa las paredes universitarias, en la que su realización, a más de intelectual, se relaciona con su práctica laboral y mayor entendimiento de su función social y superación en el desarrollo de sus competencias para su desempeño. Los términos “Sicología Pedagógica”, “Psicopedagogía” o “Psicología Educacional” han ganado una diversidad de concepciones, conceptos y definiciones, que ha creado un dualismo entre sicólogos y pedagogos, por el deseo de ubicar a la Psicopedagogía en uno de los campos. Sin duda, la Sicología Pedagógica se apoya en conocimientos de Sicología y en su base metodológica, pero su línea no es sicológica, sino pedagógica, porque si no sería Sicología estrictamente dicho. Mientras la Pedagogía se nutre de la Sicología con objetivo educativo, la convivencia de ambos es fructífera, lo que evita el sicologismo o pedagogismo, pues el equilibrio de ambos hará una comprensión más exacta del ser humano en un escenario educativo. Por tanto, esto es base para que un Docente mantenga principios muy generales, pues ambas ciencias tienen sus límites en la relación de una con otra, el campo pedagógico es de base el criterio a aplicar, y la Sicología debe ser un elemento para entender la situación educacional, por lo que el criterio pedagógico es el que debe regir y ser coherente con la comprensión educativa en cualquier contexto.
  • 50.
    22 Fundamentación pedagógica Es objetivomencionar que la Pedagogía es responsable de estudiar el hecho educativo, sin embargo al tratarse sobre la aplicabilidad de los modelos pedagógicos que han sido los instrumentos para modelar una realidad, como los Tradicionales, Conductistas, Conceptuales, Constructivistas, Social, Personalizada, etc.; en el mundo de las TIC, es de encontrarse con una realidad que es, la no aplicación absoluta de determinado modelo. Surge la necesidad de integrar de un modo consistente y coherente estrategias globales que permitan orientar el proceso enseñanza- aprendizaje, que tal como lo señala LICONA, A. (2011) en sus Apuntes de Pedagogía y Didáctica para el ejercicio de la actividad docente en el Aula Virtual, en el Congreso Internacional EDUTEC 2011, referencia a las palabras de Santángelo: “que ponga el acento en la interactividad entre Profesores y estudiantes, entre los estudiantes entre sí, para la construcción de conocimientos significativos orientados hacia aplicaciones concretas y referenciados en conceptualizaciones con grados de creciente especificidad” (página 4). Esto significa que se debe desarrollar una visión pedagógica en el Docente, que permita aplicar lo concerniente, sobre todo teniendo presente que los postulados de los modelos mencionados partieron del aula presencial, lo que implica que se debe analizar, y en lo necesario redefinir dentro del marco de la experiencia docente al aplicar las TIC. Al observarse el Anexo 6, se obtiene que los elementos que intervienen en un modelo pedagógico, considerando la modalidad virtual con la presencial son:
  • 51.
    23 Alumno: No estimadocomo tal, sino que es partícipe del proceso. Tomando de base el modelo constructivista se enfatiza dos puntos en relación al estudiante (o participante):Él es un constructor mental activo de significados que relaciona conocimientos previos con nuevos conocimientos, y a su vez requiere ayuda externa para construir este conocimiento. Aula: Lugar donde convergen Docentes y estudiantes para realizar actividades que encauzan el aprendizaje, empleándose diferentes medios, entre los que sobresale la interacción, valiendo la consideración del modelo conductista dada la importancia de la condiciones ambientales del aula digital, ya que en su marco ambiental-virtual, el Docente debe fijar los refuerzos efectivos del estudiante en particular. Transversalidad: El aprender resultante es dialéctico ya que se contrastan puntos de vista de las personas hasta llegar a un acuerdo. En este procesamiento, en diálogos asincrónicos o no, se presentan actitudes valorativas y afectivas, dada la no interacción física, producto de las comunicaciones TIC, quedando el lenguaje verbal (por el empleo de la multimedia) como un uso acústico, que gracias a los ambientes virtuales de aprendizaje en el modelo pedagógico, Docentes y dicentes, terminan practicando valores éticos y desarrollando la inteligencia emocional y afectiva. Contenido: En la Pedagogía está contemplada la Didáctica, que es quien estudia el proceso pedagógico en sí (enseñanza-aprendizaje). Por lo que con el empleo de las TIC, se estudia el proceso de aprendizaje organizando los medios digitales.
  • 52.
    24 Toma presencia elAprendizaje Significativo de Ausubel, debido a los requerimientos de la organización del aula y clase, como la utilización de herramientas digitales de proceso de información y generación de conocimientos, resultando ser muy especial los métodos y estrategias de aprendizaje que den lugar a un producto pedagógico conceptual, constructivista, personalizado e individualizado. Metodología: Toda actividad en el proceso educativo, debe partir de un estudio individual del participante, para ser parte del consenso de conocimientos y saberes, partiendo de la elaboración de trabajos, actividades y tareas de índole colaborativo. La implementación de estrategias de aprendizaje en las que se beneficia la autonomía, el trabajo individual y de cooperación, así como el pensamiento crítico y la resolución de problemas, identifica a la Pedagogía individualizada, aun teniendo en cuenta la construcción colectiva. Procesos de Evaluación: Es determinar la efectividad del modelo educativo, el mismo que tiene un periodo de duración, para valorar de un modo sistemático y objetivo, lo que haya sido establecido. En los ambientes virtuales de aprendizaje, es lo más complejo para el Docente, debido a lo que debe establecer para evaluar, dado que la visión holística del estudiante debe estar en cara a los demás y a sí mismo, identificando sus logros individuales, aun trabajando colaborativamente, por lo que la evaluación continua es fundamental. Recursos Educativos: Se estiman multisensoriales tres tipos en el uso de la TIC con los estudiantes en el aula:  De tipo informativo, Por facilitar el acceso al conocimiento y exponer el saber a ser alcanzado.
  • 53.
    25  Para lacomunicación, aquellas herramientas que sirven para obtener la fluidez comunicativa entre Docentes y dicentes en el proceso educativo.  Para el aprendizaje experiencial, son aquellas que sirven para presentar a los dicentes actividades a realizar en el escenario virtual, de tal modo que se crean situaciones de aprendizaje donde se aprenderá por medio de la experiencia y/o acción. Docente: El Educador de hoy por ser un guía, un facilitador, en el manejo de las TIC con los estudiantes se convierte en un Tutor Virtual, siendo emprendedor en todo sentido, por lo que debe crear escenarios para que el dicente aprenda, y no divague con la información o se pierda en una red, por lo que su rol pedagógico es vital no solo a nivel disciplinar, metodológico y técnico, sino que en el escenario virtual que cree, debe desarrollar la humanización y afectividad del proceso educativo. Es de observarse que la puesta en marcha de todo esto, está en torno de quién aprende (estudiante) y quién guía el proceso (Docente), asumiendo que la Educación posibilita las competencias básicas del aprendizaje en los dicentes: Aprender a conocer, hacer, ser, aprender y convivir, El aprendizaje constructivista, toma mucha presencia debido a que el Docente media el aprendizaje para que se dé la construcción del conocimiento en el educando, dado que el primero le facilita los instrumentos, convirtiéndose en un estratega para establecer la conexión entre el estudiante y su aprendizaje, pero entendiendo sobremanera qué destrezas necesita desarrollar en el aprendiz.
  • 54.
    26 Esto implica disponerde una Cultura Informática adecuada, lo que lo lleva a adquirir las habilidades del caso, entendiendo la influencia tecnológica social y cultural actual. Una vez adquirida esta cultura, debe entender y aprender el manejo de las TIC y su impacto en la Educación, para inteligenciarlas y aplicarlas en el proceso educativo, entendiendo que la sola presencia tecnológica no crea cambios pedagógicos y que más bien la Informática es un factor de cambio, surgiendo una pedagogía emergente a desarrollar y aplicar, siendo un factor motivante para los estudiantes su empleo en el aprendizaje. Un Educador debe manejar las TIC, para que la tecnología sea invisible y el aprendizaje sea visible. En el Anexo 7, se puede observar lo que se obtiene al usar las TIC con una Pedagogía Constructivista y los requerimientos para obtenerlo. En el Anexo 8, se puede visualizar las herramientas TIC que pueden ser usadas bajo un entorno constructivista. Resulta interesante identificar en el último Anexo, las TIC que se pueden usar bajo este enfoque. Es indudable que no se alcanzaría nada sin que el Tutor sea un buen administrador, como también por parte de los estudiantes, debido sobre todo a la organización del tiempo, dado que la comunicación puede ser sincrónica o asincrónica.
  • 55.
    27 Fundamentación didáctica Las TICconstituyen un recurso didáctico, pues formar en el uso de la tecnología para el Curriculum, es interpretar una formación técnica y didáctica, ya que la concreción curricular del Docente se da en las asignaturas a su cargo. El nuevo Paradigma Pedagógico, visualiza al Docente disponiendo de Modelos de Organización, demandando de él una actitud positiva ante su nuevo rol como tutor, facilitador, estratega y responder ante el reto de adquirir el Conocimiento mediante el uso de las TIC, para sí mismo e impartirlo a sus estudiantes empleando la tecnología, tratando el cómo comunicar para que el dicente aprenda, surgiendo el empleo de instrumentos y estrategias didácticas. La constante novedad tecnológica y su uso, hace que el carácter técnico y didáctico de la formación docente sea fundamentalmente permanente en el tiempo, para un uso adecuado, correcto y mejor aprovechamiento de las posibilidades y aplicaciones didácticas. La elaboración del medio debe considerar dos aspectos: El comunicativo y el aprendizaje. El primero plantea cuáles elementos se deben utilizar en base a sus posibilidades de cara al segundo. El analizar el contexto es primordial ya que al identificar las necesidades concretas, se debe reconocer el terreno donde estará el escenario educativo, por eso se considera los computadores y sus capacidades tecnológicas, conexión en red e Internet, los equipos de los estudiantes en casa, disponibilidad de equipos en aula o no, horarios disponibles, etc.
  • 56.
    28 Si se visualizael Anexo 9, se dispone de un planteamiento didáctico para la creación de un medio, que puede servir de esquema para cualquier Docente en su momento de tener que realizar esta tarea que demanda tiempo y algunos considerandos. Las TIC debe ser vistas como expresión simbólica de gran proporción, en donde la Didáctica se relaciona con la comunicación, en la que ésta es reconocida desde una perspectiva dialéctica, en la que se identifican procesos de transmisión-apropiación de objetos de conocimientos y saberes, y se reconocen la adquisición de competencias para los mismos. La adaptación a las características de los estudiantes mediante aplicaciones educativas empleando las TIC, es lo que permite un aprendizaje autónomo, flexible y de amplias posibilidades para atender la diversidad estudiantil, debido a la actuación de la tecnología como elemento simbólico, y de representación, uso y manipulación de contenidos curriculares. Fundamentación andragógica En la era de la Información que la humanidad vive, se ha notado más que ya no existe una edad para aprender, de ahí que la Andragogía, identificada como un término mayormente aceptado para la Educación de los adultos, haya tomado más campo desde su primera explicación por Knowles en 1968. El proceso enseñanza-aprendizaje se identifica en este campo como el de orientación-aprendizaje. Siendo la Antropología, la ciencia y arte de instruir y educar permanentemente al ser humano, ella comprende el estudio del niño, del adolescente y del adulto. Por tanto ella abarca la Pedagogía (Páidos =
  • 57.
    29 niños y hago= guiar o conducir) y la Andragogía (Andro = Hombre, persona mayor y hago = guiar o conducir). La enseñanza como proceso de acciones educativas, hace que el Docente en el campo andragógico sea un facilitador de aprendizajes para orientar, ayudar y cooperar con el participante-estudiante en sus metas de aprendizaje, con una relación horizontal entre iguales, de un modo proactivo, recíproco y compartido, siendo el interés fundamental el adulto como un autogestor responsable de lo que aprende. Hoy en día, la Educación adulta abarca también jóvenes adolescentes que ya se encuentran en el campo laboral por situaciones de vida y por tanto se encuentran bajo esquemas universitarios. Así mismo, se incluyen jóvenes adultos, adultos en sí mismos y adultos mayores. Por esta razón, las acciones andragógicas son diferentes, pues no se trata de transmitir conocimientos ni imponerlos, más bien es adquirirlos en función del desarrollo socio-económico de la sociedad. Si se deseara disponer de una idea base de las etapas de la adultez, se puede visualizar el Anexo 10. El hecho andragógico se condiciona por los siguientes puntos en relación al adulto: Confrontación de experiencias (punto de vista de Educador y educado), racionalidad (nivel de juicio personal), capacidad de abstracción (conciencia lógica y dialéctica) e integración y aplicabilidad (integra a su vida y a su medio lo aprendido). Esto hace que se encuentre la necesidad de disponer de un modelo base como instrumento para tratar el fenómeno andragógico, así se puede observar uno en el Anexo 11 como Formación Andragógica Integradora.
  • 58.
    30 Este modelo dePaulo Freire se basa en la horizontalidad Docente- Dicente, donde el diálogo permite participar, intercambiar experiencias y el crecimiento de todos por medio del entorno, dado el enfoque sociocultural, donde se da el aprendizaje significativo, la toma de conciencia, la práctica y la transformación educativa. En la práctica el uso andragógico de las TIC se puede presentar en:  Simulación de situaciones.  Resolución de problemas.  Aprendizaje a distancia.  Aprendizaje presencia.  Asesoramiento.  Redes educativas.  Investigación.  Intercambio de ideas y/o conocimientos. Fundamentación tecnológica Educar en el uso de la tecnología es crear instancias para construir conocimientos y desarrollar saberes tecnológicos, formando personas para que sean competitivas en las distintas áreas del desarrollo humano, dando espacios para la comprensión y reflexión de que el mundo está cambiando y evolucionando constantemente, bajo un ritmo muy acelerado. Sin ser estrictamente una ciencia, cuyo fin es ampliar el conocimiento del universo, la tecnología está para resolver problemas y satisfacer necesidades, por lo que el método tecnológico es básicamente constructivo. La tarea de la tecnología es concebir y diseñar instrumentos, cubriendo lo general, lo particular y lo específico del saber implícito.
  • 59.
    31 El aspecto técnicotiene que ver con un cierto grado de habilidades para la aplicación de procesos a situaciones previstas, siendo lo tecnológico lo referente a la formación especializada en determinada área del conocimiento humano. El creciente dinamismo de la triada Educación, ciencia y técnica, que partió de un plano instruccional y formativo a un sistema integrado de Educación y Tecnología, o dicho en otra palabras Tecnología Educativa, creó un replanteamiento en las bases filosóficas de la Educación al concebirse a ésta última como un referente obligado a considerar en estos avances del saber humano, donde la actividad práctica es la base del conocimiento y criterio de veracidad en la adquisición de saberes. Esto viabiliza el concepto de que la Tecnología Educativa se encarga de la mediación pedagógica y/o andragógica desde una visión crítica e históricamente socio-cultural del proceso educativo para cualquier contexto convencional o virtual de aprendizaje, estableciendo una relación implícita de “Tecnología Apropiada” acorde a las distintas situaciones y usuarios que se encuentren en un escenario educativo, considerando el trabajo situacional, holístico e interdisciplinario en su momento, de modo que se responda a las propuestas educativas para su apropiación. Lo que establece distancia muy clara con la idea de que la tecnología es meramente instrumental, como facilitadora de la gestión docente y mejora del rendimiento estudiantil, así como tampoco es una concepción técnica ni mercantil, más todo lo contrario, establece un espacio estratégico para la Educación mediada y revisar la mediación pedagógica y/o andragógica con el uso de las TIC.
  • 60.
    32 El manejo adecuadode las TIC tiene un crédito importantísimo en cualquier sociedad, que es la que demanda de la Educación en si una inversión e intervención estratégicas más significativas, donde la Tecnología Educativa Apropiada debe superar paradigmas, planteamientos y prácticas convencionales y ser crítica, surgiendo un nuevo paradigma que es la Tecnología Educativa Crítica (ver Anexo 12), que es una reflexión de la misma Tecnología Educativa con un propósito innovador y paradigmático sostenido en bases sociológicas educativas de la Educación formal y en procesos sistemáticos educativos apoyados en modelos de enseñanza-aprendizaje derivados de la Sicología. Fundamentación sociológica Las TIC no son cognitivamente transparentes para los estudiantes, dado el uso continuo de las mismas en su vida diaria, por lo que es importante que se los prepare en lo que significan, tomando conciencia de su manejo y la repercusión en sus relaciones personales, con el saber, las ideologías, su desarrollo profesional y sobretodo en su uso responsable. Las editoriales de hoy en día están considerando su inclusión, por lo que el Docente debe estar atento a esta evolución de material didáctico porque contribuye a su innovación en la gestión docente, y por ende en la disposición de éste por cualquier medio tecnológico. La evaluación por parte del Docente se orienta al cambio con el empleo de la Tecnología, debido a la gama de probabilidades de uso que se presentan en el hábito estudiantil, dada la familiaridad que existe, contribuye al gusto del contexto educativo creado, hace inclusive que se amplíe los límites del centro educativo, creando espacios de trabajo comunitario y colaborativo.
  • 61.
    33 En el impactosocial del empleo tecnológico, lo que debe ser evaluado, como parte del cambio en la práctica docente, es obtener mejoras en los aprendizajes dicentes, siendo parte fundamental la actitud del Educador al respecto. El uso de las TIC conlleva a nuevas situaciones y planteamientos, que merecen investigación y análisis, para tomar un camino que beneficie a la sociedad, por lo que es impositivo que el ciudadano esté orientado en la utilización de las mismas, para un mundo más humano, justo y equitativo, en cualquiera de las áreas y profesiones en que se desenvuelva y desarrolle. El carácter global del mercado laboral donde el trabajador necesita acoplarse a sistemas especializados cada vez más, redunda definitivamente en las actividades universitarias, dadas las respuestas a las necesidades de formación que la Universidad debe dar y brindar a su entorno, en base a competencias que potencien la empleabilidad del estudiante universitario. Esta referencia a la Tecnología como una concepción sociológica, identifica la división del trabajo como una característica de la producción económica desde los inicios del mundo laboral, desde la época de los artesanos, la Revolución Industrial, incluida la etapa modernista de ésta, en las que se presentaron múltiples problemas técnicos con sus complejidades de personal y organización, demandándose innovación. Las capacidades, habilidades, destrezas y valores, por ende, competencias del profesional resultante del mundo universitario en la Era del Conocimiento, se relacionan fuertemente con el aprendizaje continuo o en otras palabras: Su aprender a aprender.
  • 62.
    34 La siguiente direcciónen Internet en base a un mapa conceptual, brinda una visión de la Dimensión Social de las TIC: http://maaz.ihmc.us/rid=1GT1JGYXH-11B7YGN-CZZ/null. Como es de concluir, la Educación tecnológica debe tener un lugar primordial tanto en Docentes como en estudiantes, dado que los movimientos económicos requieren de respuestas que satisfagan sus necesidades del mundo laboral, para todos sus contextos de desenvolvimiento cuyos resultados responden cada vez más a competencias cuyo ámbito pasan de locales a nacionales e internacionales, es decir, ubicadas en un escenario global. Fundamentación axiológica Partiendo del hecho que la Axiología es la teoría de los valores, por tanto trata los juicios valorativos del ser humano, identificando y midiendo al valor en sí, trata el cómo piensa una persona en base a una estructura y escala valorativa, que sirven de base para tomar una decisión en relación a las cosas que se encuentre tratando de resolver. AXIOLOGIC, (2011) En su sitio web menciona a Robert S. Hartman como la persona que desarrolló esta ciencia entre 1930 y 1973, y quien la definió así: “La axiología es el sistema formal para identificar y medir los valores. Es la estructura de valores de una persona la que le brinda su personalidad, sus percepciones y decisiones”. Al observar el Anexo 13, se obtendrá la Validación del Perfil de Valores de Hartman, donde se identifican el mundo interior y exterior al ser humano, observando que los valores se dan en la relación de ambos mundos y en función de tres dimensiones: Intrínseca, extrínseca y sistémica.
  • 63.
    35 La Axiología sedivide en dos ramas: La Ética (que trata al valor moral) y la Estética (que trata al valor artístico). Vale recalcar que esta ciencia no sólo trata al valor, sino también al antivalor, por lo que siempre es de encontrarse con dos filosofías: Objetiva y subjetiva, que es donde reside el problema. Las TIC plantean nuevos escenarios y desenvolvimientos de vida, por tanto se presentan nuevas situaciones y nuevos problemas, que son de naturaleza ética en un momento dado, que se han tratado de resolver con reglas y soluciones éticas de carácter general. En el mundo universitario debe estar muy claro, que con el uso de la tecnología está al alcance un cúmulo de conocimientos e información vital para el proceso educativo y la gestión docente, pero al mismo tiempo es de encontrarse con datos manipulados y tergiversados, pudiendo encontrarse con males de distinta índole que puede afectar el proceso mencionado. Debe desarrollarse la responsabilidad ética para afrontar falencias que se pueden presentar hasta en el mundo laboral, de modo que un estudiante desarrolle un juicio crítico adecuado, y no una persona irreflexiva, y más bien perciba y construya una identidad: Personal, familiar, sectorial, regional, nacional y universal. Pedagogía informacional El desarrollo técnico-científico ha determinado la creación del ciberespacio y la Sociedad de la Información, lo que ocasionó tres brechas: Digital, informacional y cognitiva, donde su disminución depende de la Educación y cultura de saber utilizar Internet.
  • 64.
    36 El acceder ala información y generar conocimiento requiere de un nuevo modelo pedagógico en el proceso educativo, que es la Pedagogía Informacional, significando el aprender a aprender con la tecnología para toda la vida. El utilizar adecuadamente la información permitirá evitar sobrecargas cognitivas, como también la intoxicación informativa. En los análisis sociológicos actuales ya se habla de sobre- información e info-estructuras, lo que implica que ya se mencione la “cultura de la información” y las “habilidades informacionales”. Esto demanda de un espacio educativo que determine un aprendizaje de por vida, donde se enseñe a aprender, utilizando adecuadamente la información en el proceso educativo, donde Docentes y dicentes median entre la experiencia humana y la información. La generación, proceso y transmisión de información, influye en el sistema productivo, financiero, político y laboral, donde los “trabajadores del conocimiento” disponen de mejores empleos, dado que el conocimiento es ahora el capital. La Pedagogía Informacional se relaciona con las TIC, bajo un enfoque reflexivo en los métodos y procesos educativos, siendo Internet un potencial educativo por su información y el conocimiento que dispone al alcance. La relación entre teoría pedagógica y sociedad informacional está en que el sistema educativo debe articular Educación y producción en base al desarrollo del Conocimiento que se obtiene de la información.
  • 65.
    37 Para obtener unbuen resultado pedagógico, es importante que a más de una plataforma tecnológica adecuada se cuente con guías didácticas adecuadas coherentes con una concepción sicopedagógica por parte del Tutor, donde la relación Telemática-Educación es vital. Las TIC han sido consideradas como apoyo en el aprendizaje pero con una visión de cambios en los enfoques sicopedagógicos, tal como se puede observar en el Anexo 14. Por tanto, las TIC y la información representan un nuevo escenario educativo que implica una nueva organización, lo que conlleva a tomar con cautela los avances al respecto, repensando lo mencionado anteriormente junto con la Didáctica a emplear. Dimensión disciplinar Se ubica en el contexto que la Pedagogía, la Andragogía, la Didáctica, Sicología, Teorías de aprendizaje y Tecnología se conjugan, creando un sentido de interdisciplinariedad en que el Docente debe desenvolverse en base a un desarrollo personal de conocimientos y experiencias que mediante el manejo de las TIC, debe contrastar:  Diversidad de personas con sus propios intereses, valores, actitudes, habilidades y capacidades propias.  La realidad organizacional y social en que se desenvuelve.  Establecer relaciones en las diferentes maneras que las TIC facilitan: Foros, chats, correo electrónico, mensajería instantánea y medios que pueden ser asincrónicos o sincrónicos.
  • 66.
    38  Desarrollar competenciasTIC.  Dimensionar los escenarios educativos producto de la interrelación que establezca en base a principios educativos pedagógicos, andragógicos, didácticos y sicológicos, previamente estudiados y aprendidos con la gestión docente que debe llevar a cabo. Dimensión curricular Simplemente incluir las TIC no constituye una garantía en procesos de formación, debido a que se debe respaldar en principios didácticos y metodológicos que acrediten y enmarquen su empleo. Se debe formalizar un proceso que incorpore las TIC en los procesos de enseñanza, integrando estrategias educativas de modo que no sea transitorio, accidental o casual. Es claro que el uso de la Tecnología ubica en nuevos paradigmas educativos y novedosos procesos de aprendizaje. Si se observa el Anexo 15 se infiere lo siguiente: La integración curricular tecnoconstructivista es el nivel al que se debe llegar al adoptar las TIC en la Educación, donde hablar de un tecnoconstructivismo cierto pasa a ser subjetivo todavía debido a que la mediación comunicacional tecnológica aun no alcanza a mostrar el verdadero potencial en su empleo. Esto ubica a enfocarse en niveles de transición al respecto, es decir momentos que un Docente vive para llegar al punto deseado: Actitud y apropiación.
  • 67.
    39 Actitud En estudios realizadospor la OECD (Organization for Economic Co-operation and Development) sobre las TIC y el cambio organizacional en entidades educativas PONT, B. (2000), se plantea que la implementación de las TIC siguen los ritmos de la difusión de innovaciones. Observando el Anexo 16, se desprende que la adopción TIC sigue el ritmo tradicional de difusión de las innovaciones, pasando por el proceso decisión-innovación, que nace de una etapa en la que se reúne información suficiente para tomar una actitud hacia la innovación (persuasión), por lo que en base a lo que se cree y evalúa, se toma una decisión al respecto. Pasando luego a una etapa de implementación de la innovación, la que se encamina desde una postura pasiva a una activa, transformándose el matiz personal del Docente que entra en un nuevo escenario para sí mismo, pudiendo llegar inclusive a querer y por qué no a innovar la misma innovación. Si se observa ahora el Anexo 17, puede ocurrir que la introducción de las TIC dependa de las percepciones y/o creencias profesional, epistemológica o metodológica que se tengan sobre ellas. Esto lleva a considerar tres factores:  Personal que avalúa la práctica mediada por TIC.  Contextual o social que ejerce presión sobre las decisiones y  De control sobre lo que se cree ser capaz de hacer o saber.
  • 68.
    40 Así surge laTeoría del Comportamiento Planificado (TPB de la voz inglesa Theory of Planned Behavior) como formulación al respecto. Al observar el Anexo 18, se obtiene que la acción humana se encauza por tres creencias: Conductuales, normativas y de control. Las conductuales determinan una actitud favorable o desfavorable, mientras que las normativas dan una visión subjetiva de las determinaciones del ámbito social en que se encuentra una persona, y las de control originan en el ser humano una idea de tener una conducta fácil o dificultosa (de acuerdo a lo percibido). La combinación de estas creencias es lo que forma la intención conductual, o dicho simplemente la intención. Solamente la actitud conductual determina de mejor forma la intención de un Docente sobre la implementación tecnológica en sus prácticas académicas. Por esta razón, vale hacer énfasis en la hipótesis que se dispone en la Revista Electrónica Teoría de la Educación, Educación y Cultura en la Sociedad de la Información(2009) en su Volumen 10 de marzo, que resalta el siguiente fragmento SAN MARTÍN, A. (2009), Un docente debe formarse una actitud positiva hacia las nuevas tecnologías para lograr vencer la barrera que le impide adoptar estrategias educativas mediadas por las tecnologías. Así, la actitud se convierte en un factor psicológico transitivo entre la intrusión y la implementación de las TIC en el aula.
  • 69.
    41 Referenciando el mismoAnexo 18, se obtiene: Apropiación Es un antes de la implementación, que equivale a experimentación. Mentalmente un Docente va creando sus ideas a medida que utiliza los instrumentos tecnológicos, sobretodo en el aula, lo que lo lleva a concebir nuevas concepciones educativas. Se presenta una concepción de rol docente: De poseedor de contenidos a facilitador de construcción de conocimientos. Si se visualiza el Anexo 19, se deduce lo siguiente: Se toma conciencia cuando el Docente permite que las TIC operen en contextos educativos, pues es allí cuando se percibe que la tecnología no es neutra, lo que hace que se intenten nuevas estrategias y métodos que hacen que el ordenador sea invisible, haciendo que el sistema tecnológico no sea el fin, sino que se acopla al objetivo educativo, siendo la Apropiación un tránsito de implementación a integración curricular tecnoconstructivista. La educación Etimológicamente Educación proviene del latín educere, que significa "guiar, conducir" o educare, "formar, instruir", de lo cual se desprende por un lado un proceso y por otro una interioridad, que es donde se originarán formas de vida, que determinan que una persona esté educada. Educar significa cambiar al ser humano, que no tendría sentido sino se trata de una mejora, es decir se busca la perfección, y es este perfeccionamiento de las capacidades humanas, que va alcanzando los
  • 70.
    42 logros de suser. No debe confundirse Educación con instrucción, ya que ésta es la transmisión de conocimientos, la Educación la contiene a diferencia que en esta última se piensa en la totalidad del hombre. Tradicionalmente la Educación se basaba en enseñar, hoy en día se centra en potenciar al estudiante, es decir se centra en su aprendizaje. En el Informe a la UNESCO de la Comisión Internacional sobre la Educación para el siglo XXI, presidida por JACQUES DELORS, en el año 1996, se plantearon los cuatro pilares de la Educación (ver Anexo 20), en proyección al siglo que la humanidad vive en la actualidad, que son aspectos en los que se apoya el aprender a lo largo de la existencia: Aprender a conocer: Es adquirir los instrumentos de la comprensión del mundo que le rodea, de modo que pueda comprender, conocer y descubrir. Aquí se encuentra inmerso el Aprender a Aprender, y el ejercicio de la memoria, la atención y el pensamiento. Aprender a hacer: Para poder influir en el entorno, para su capacitación en hacer frente a una serie de interacciones y trabajo en equipo, de tal manera que desarrolla su calificación profesional para el mundo laboral. Aprender a convivir: Para participar y cooperar en sociedad, de modo que comprenda al otro y distinga la interdependencia con los demás en sentido común y esté preparado para tratar conflictos, viviendo en paz, con un sentido de pluralismo y comprensión mutua. Aprender a ser: Es recoger elementos de los anteriores como proceso fundamental, desarrollando su propia personalidad y capacitándose en autonomía, juicio crítico y responsabilidad personal.
  • 71.
    43 En todo sistemaeducativo la atención a estos pilares debe ser equivalente, para beneficio global del ser humano y que pueda durar toda la vida. Tipos de Educación Existen tres tipos de Educación: Formal: Se refiere a una estructura sistemática institucionalizada para obtener titulaciones académicas reconocidas. Es legal y administrativamente regulada, referencia a escuelas, universidades, institutos, módulos. No Formal: Son actividades fuera de un ámbito Formal escolar, que no pretende un reconocimiento oficial de su aprendizaje, su organización varía desde una mínima estructura a una altamente estructurada como en la formal, referencias a academias, cursos e instituciones. Informal: Es la que se recibe en los ámbitos sociales, adquiriéndosela durante toda la vida, cuyas consecuencias educativas no necesariamente fueron diseñadas para la Educación. Hoy en día está muy claro que las TIC alcanzaron al mundo educativo, pues desde que se adoptó la palabra y ésta dio paso al lápiz y al papel como instrumentos de enseñanza, aparecieron en escena las escuelas, que es donde surge el Docente. Con la invención de la imprenta se utiliza el papel como soporte de información, modificándose después los patrones culturales, en cómo trabajar, leer, vivir y comunicarse. La Educación por ser un proceso comunicativo permite identificar a la comunicación, en una función educativa, es decir se convergen entre sí, y éstas a su vez con otras disciplinas hacia la humanización de la sociedad actual, que cada vez es más compleja y contradictoria, en la que
  • 72.
    44 la idea racionalistade un progreso lineal y continuo encontró su remplazo en la comunicación en un momento que se busca un sentido al futuro de la humanidad. El concepto transdisciplinario se presenta con más de una articulación en la interacción disciplinaria, donde ahora es ya cada vez más evidente que ninguna disciplina es ajena a la otra, y es innegable la cohesión. La cultura del libro ha dado paso a la cultura digital, lo que hace a la labor educativa una facilitadora de la transformación de información en conocimiento. Indudablemente la Educación cambia, sobretodo porque las nuevas generaciones son nativas digitales, es decir, desde que nacen usan la tecnología y se encuentran involucradas con ella en su vivir, lo que ocasiona que surja una interdisciplina como lo es la Informática Educativa, creándose un campo donde la una se aplica a la otra. Informática educativa Una disciplina resultante de la sinergia entre Informática y Educación, es la Informática Educativa. La Educación al estar en medio del mundo informático, hace que la relación áulica entre el conocimiento, el dicente que aprende y el Docente que crea los escenarios de aprendizaje, se medie por la experiencia histórico-social, el contexto, las actitudes y los valores que intervienen, dándole a cada clase su sentido especial, debido a que se mueve la construcción de un conocimiento significativo en base a un ambiente creado, y es en estos instantes entran en juego los cuatro pilares de la Educación que la UNESCO señaló para el aprendizaje.
  • 73.
    45 MORÍN, E. (1999)expresó que se necesita una Educación que enseñe a las personas a recuperar su vínculo con la humanidad. Según él, la Educación del futuro debe construir un nuevo hombre, un nuevo humanismo y una nueva mentalidad, para lo cual propuso como de vital importancia los siete saberes necesarios para la Educación del futuro: 1. La ceguera del conocimiento: El error y la ilusión. Todo conocimiento tiene implícito un riesgo de error y de ilusión, donde ni siquiera el conocimiento científico se escapa. 2. Los principios de un conocimiento pertinente. Dada la cantidad de información actual, la verdad será posible si se comprende el contexto y la complejidad de los fenómenos emocionales, intelectuales y espirituales del ser humano y la dimensión política, religiosa, económica y cultural de la sociedad, encontrándose la necesidad de volver a las preguntas bases, como: ¿Quiénes somos?, ¿de dónde venimos?, ¿dónde vamos?, … 3. Enseñar la condición humana. Dado que la globalización muestra la condición planetaria de la humanidad, se presenta la obligación de reconocerse la igualdad entre los hombres y a la vez, identificar las diferencias, de modo que la unidad no borre la diversidad, ni viceversa. 4. Enseñar la identidad terrenal. Es generar un sentido de pertenencia al planeta, con una noción de globalización intelectual, afectiva y moral, donde se valore el lugar de vivencia y convivencia de la humanidad, en que el mundo se une por la tecnología y el intercambio económico, pero se presentan los antagonismos políticos, culturales y religiosos, y es ahí donde la Educación debe ayudar a entender a las personas que se comparten los mismos sentimientos y preocupaciones y el mismo destino, viva donde se viva.
  • 74.
    46 5. Afrontar lasincertidumbres. Se necesita aprender a esperar lo inesperado, pues la evolución del hombre ya no es lineal, pues la historia avanza por crisis, desorden, contradicciones,…, que por orden y progreso. 6. Enseñar la comprensión. La comprensión resulta necesaria entre los seres humanos, ya sea a nivel interpersonal, grupal o social, lo que quiere decir que cada cultura debe aprender de otras culturas, y cada uno debe aprender de los demás. 7. La ética del género humano. Cada persona tiene su realidad humana, individual y social, donde su ética atienda a la humanidad, y no una en particular, de ahí que se hable de una antropoética, válida para el ser humano y que trabaje por humanizar la humanidad, lo que se denomina una Educación humanizante. Se pueden desarrollar competencias informáticas desde muy diversos modelos pedagógicos y acciones, que pueden propiciar una formación integral. Surge un enfoque Humanista Integrador de la Educación Informática (ver Anexo 21), en el cual la Educación permite la realización de un ser humano integral, cuyo conocimiento se traduce en un saber ser, conocer, hacer, convivir y convivir (conocer) con el medio. Una ilustración más amplia acorde a los niveles de Educación se dispone en el Anexo 22, según CAMPOS, Y. (2009). Al aprender las competencias informáticas en el contexto de estos ejes, se crean escenarios para que la experiencia dicente tenga mayor significado emocional y cognitivo. A su vez, Educadores, formadores y asesores encontrarán un hilo conductor que brinde un soporte filosófico y educativo a su labor de orientación, en base a una relación pedagógica,
  • 75.
    47 didáctica y auna fundamentación en base al Constructivismo Social (ver Anexo 23). Teoría y práctica En Educación, quien enseña media entre el aprendiz y el mundo, de modo que el dicente es incluido en el mismo en base a las posibilidades que disponga en medio de tantas situaciones, en la que su transformación es la constante, gracias a la mediación docente. Dada la realidad en la que se sustentan los hechos, la teoría es un instrumento que predice algo, que la práctica confirma o refuta. Su integración en el proceso de aprendizaje (adquisición del conocimiento) es el resultante de una acción didáctica al respecto. La Educación teórica alejada de la práctica, ha tenido en Platón a su más antiguo defensor, que sostuvo que las disciplinas más valiosas de la Educación eran aquellas alejadas de lo experimental, observable u opinable. Esta visión fue muy dominante en el espacio educativo, al punto que tuvo un desprecio hacia la tecnología en cierto tiempo del siglo pasado, por su aspecto práctico. Paradójicamente en la obra de Platón, se encuentra la conexión con la técnica, en el Protágoras donde se trata los fines de la Educación. El mito especifica el encargo a Epimeteo y Prometeo del reparto de las facultades, donde éste último se olvida de la especie humana, siendo impulsado a tomar del taller de Hefesto, el fuego y la sabiduría para defenderse y sobrevivir, donde el primero representa la superación de las limitaciones del medio, que adaptándose a las épocas actuales se simboliza a la transformación continua en que se basa la técnica.
  • 76.
    48 Siendo el serhumano capaz de crear y realizar cosas, y de crear éstas para que creen otras, la técnica resulta un producto humano, por lo cual no existe razón para que la tecnología quede fuera de la Educación. La tecnología pasa a ser aplicada en los procesos de producción, cuyos productos tecnológicos son el resultado de la teoría-práctica, siendo resultante también la propia Educación, bajo un criterio muy claro que la tecnología es universal y no necesita contextualización social para aplicarla, donde la eficacia y eficiencia de sus productos están en base a la mejora educativa para su producción. La Era del Conocimiento que se vive actualmente, pasa a tal velocidad ante los seres humanos que apenas es perceptible, por ello resulta muy importante que la orientación teórica sea inseparable de la labor práctica. La enseñanza Forma parte del proceso educativo, donde su fin es organizar la actividad cognoscitiva del estudiante, cumpliendo funciones instructivas, educativas y desarrolladoras. Su propósito está en transmitir información mediante una comunicación directa o mediada auxiliarmente, buscando plasmar en el dicente en forma de conocimiento, habilidades y capacidades, una huella que le permita enfrentarse a situaciones de vida, con actitud creadora, de apropiación y adaptabilidad, presentándose cambios constantes en su actividad cognoscitiva, con el apoyo docente que es quien lo dirige hacia el alcance de sus competencias.
  • 77.
    49 Todo proceso deenseñanza determina un mecanismo de retroalimentación positiva en el futuro, que se manifiesta en el instante que las exigencias del caso se presenten, en la llamada “zona de desarrollo próximo” del estudiante, proveniente del desarrollo, producto de la apropiación del conocimiento adquirido. La enseñanza existe inobjetablemente para el aprendizaje, sin ella no se alcanza lo requerido, y es mediante ella que el aprendizaje resulta estimulante. Estos dos aspectos integrados constituyen el proceso enseñanza-aprendizaje, donde cada uno posee lo suyo, al tiempo que en conjunto orientan a Docente y dicente. La enseñanza es dialéctica, y su progreso se condiciona a las contradicciones internas que van y vienen en el desarrollo del proceso antes de su concreción. El punto de partida de la enseñanza lo constituye el conjunto de sus objetivos, que son quienes determinan los contenidos, métodos, técnicas y actividades a emplearse en la organización del desarrollo del proceso educativo. Las intervenciones educativas realizadas por el Docente para facilitar los aprendizajes, constituyen lo que se denomina el acto didáctico, cuya naturaleza es esencialmente comunicativa, donde prima la relación del estudiante con el conocimiento. Siempre ha habido diversas concepciones sobre cómo llevar a cabo la enseñanza, por tanto del rol del Docente y el empleo de sus recursos educativos, como agentes mediadores en el aprendizaje.
  • 78.
    50 Gráfico 1: Accióndocente sin TIC. Tomadode:http://peremarques.pangea.org/actodid.htm. Por:Dr. Pere Marqués. Como se observa, el proceso educativo se centra en la enseñanza y el Docente, para que el estudiante pueda, sepa y quiera aprender. Tal como lo menciona el Dr. MARQUÉS, P. (2011), la Educación evolucionó, surgiendo del paradigma de la escuela activa, centrándose la enseñanza en la actividad del dicente. Gráfico 2: ¿Qué dice la Pedagogía?. Tomadode:http://peremarques.pangea.org/actodid.htm. Por:Dr. Pere Marqués. Como se observa, el Docente cambia su rol a ser un tutor, un guía, un mediador, un facilitador de aprendizajes, que se basa en los pilares del aprendizaje de aprender a conocer, hacer, ser y convivir, pero siendo emprendedor e innovador, sobre todo ahora ante el avance de la
  • 79.
    51 tecnología y elconocimiento tecnológico activo de sus estudiantes, demandando que cree estrategias didácticas, es decir, una serie de actividades apoyadas en técnicas de enseñanza, que tiene por objeto llevar a cabo la acción didáctica para alcanzar los objetivos del aprendizaje que se hayan planteado. Por ello resulta importante reconocer los elementos del acto didáctico para establecer una estrategia didáctica, mediada por TIC: Gráfico 3: Acto didáctico. Tomadode:http://peremarques.pangea.org/actodid.htm. Por:Dr. Pere Marqués. MARQUÉS, P. (2011), permite observar que existen cuatro elementos: Docente, dicente, contenidos y contexto, donde: Contexto: Se refiere al escenario del proceso educativo, porque éste determina los factores a tomar en cuenta como espacio, tiempo, equipos, disponibilidad tecnológica, … , de modo que se facilite la información y motivación de los estudiantes. Pero la eficacia en el aprendizaje depende en gran medida del modo en que el Docente orienta su estrategia didáctica, que son actividades que permiten la interacción de los dicentes con los contenidos, considerando información, motivación y orientación, pero a su vez debe considerar algunos principios, que se citan en el Anexo 24.
  • 80.
    52 Docente: Es elejecutor de las actividades con los estudiantes en base a una estrategia didáctica establecida para obtener los objetivos educativos en función de los contenidos, que serán el referente para la evaluación de los dicentes al finalizar el proceso educativo. Estudiante: Es quien desea alcanzar el aprendizaje en base a la orientación docente, interactuando con los recursos de formación a su alcance. Contenidos: Están en relación con los objetivos educativos, considerándose de tres tipos, tal como se puede visualizar en el Anexo 25. El aprendizaje Es un proceso en el que participan activamente tanto el Docente como el estudiante, donde éste adquiere o modifica conocimientos, habilidades, destrezas, capacidades o valores, como resultado del estudio, la experiencia, instrucción, razonamiento u observación, por lo que se puede decir que es una actividad resultante de un proceso organizado para ese fin, la enseñanza. Entendiendo al aprendizaje como una conducta de aprender, y como un proceso de obtener y almacenar una información para utilizarla posteriormente, demanda que el cerebro lo procese y lo almacene por medio de los sentidos para ser recordada y utilizada posteriormente cuando se requiera. Por eso se requiere de cuatro procesos esenciales que son: La atención, la memoria, la motivación y la comunicación, que presentan una estrecha interrelación, sobre todo a medida que se avanza en el crecimiento humano en cualquiera de sus dimensiones.
  • 81.
    53 Gráfico 4: Procesospara el aprendizaje. Tomadode:http://www.down21.org/salud/neurobiologia/bases_aprend.htm. Por:Jesús Flores. De esta fuente de información de la última imagen, se obtiene que una secuencia en el aprendizaje es la siguiente: Siempre se parte de la recepción de información, La misma que luego es organizada y relacionada, para finalmente ser trabajada. En recepción de información se identifican a tres tipos de estudiantes: Auditivos, visuales y cinestésicos. Esto implica distintos sistemas de representación o de recibir información mediante canales sensoriales diferentes, que respectivamente a cada tipo de dicente nombrado son: La visión, la audición y la relación de sensaciones y movimientos con el cuerpo humano, es decir la experimentación haciendo cosas. En la organización y relación, se relaciona la actividad de los hemisferios cerebrales del ser humano, donde cada uno tiene su forma de pensamiento asociada. El hemisferio izquierdo o lógico, es quien procesa la información de modo secuencial y lineal, y es quien se ocupa de analizar detalles, piensa en palabras y números.
  • 82.
    54 El hemisferio holísticoo derecho, es quien procesa la información de un modo global, partiendo del todo a sus partes, es intuitivo, piensa en imágenes y sentimientos. Para poder aprender se necesita de ambos, pero la tendencia de usar uno más que otro determina las habilidades cognitivas que se derivan de cada uno. Vale tener presente que el sistema educativo nacional ha hecho que el hemisferio izquierdo prime sobre el derecho, por sus mismas estructuras educativas curriculares, por lo que un Docente debe preocuparse de potenciar el uso de ambos hemisferios. El trabajo de la información consiste en la transformación de ésta en conocimiento, cuyo procesamiento puede ser de varias formas. Tomando como referente el modelo de Kolb (definido a inicios de la década de 1970), quien dice que en ella se identifican dos dimensiones: Percepción y procesamiento, el aprendizaje resulta de la forma cómo el ser humano percibe y luego procesa lo percibido. Se toma como base que para aprender algo se toma la información desde una experiencia concreta (aprendiz activo) o abstracta (dicente teórico, al leer o alguien nos dice algo), la cual se transforma en conocimiento reflexionando y pensando (estudiante reflexivo) o experimentando activamente (aprendiz pragmático) con la información recibida, por lo que un aprendizaje óptimo es el resultado de procesar la información en cuatro fases:
  • 83.
    55 Gráfico 5: Fasesdel procesamiento de la información. Tomadode:http://maestrosycontextos.blogdiario.com/1156093080/. Por:Maestros y Diálogos. En el modelo citado, se encuentran dos extremos: Existen personas que procesan a través de la experimentación activa, mientras que otras por medio de la observación reflexiva. La aproximación de ambas formas de percibir y de ambas formas de procesar, Kolb lo denomina modelo de cuatro cuadrantes para determinar estilos de aprendizaje, cuya ampliación se dispone en el Anexo 26. Gráfico 6: Modelo de cuatro cuadrantes – Kolb. Tomadode:http://www.cca.org.mx/profesores/cursos/cep21-tec/modulo_2/modelo_kolb.htm. Por:Centros Comunitarios de Aprendizaje, Tecnológico de Monterrey Foundation, Universidad Virtualdel Sistema Tecnológico de Monterrey. En 1956, Benjamín Bloom desarrolló su taxonomía de Objetivos Educativos que sigue el proceso del pensamiento, donde propone que el proceso de aprendizaje encaja en el dominio cognitivo, en base a las esferas sicológicas de la personalidad: Cognoscitiva, afectiva y sicomotriz.
  • 84.
    56 1. Cognoscitiva. Relacionadocon el razonamiento y la memoria, en función de las actividades tal como se indica en la gráfica: Gráfico 7:Relación razonamiento y memoria. Tomadode:http://bitacora-de-clase.blogspot.com/2011/03/la-taxonomia-de-bloom.html. Por:Yudith Adilene Casillas. Se deduce que no se puede entender un concepto si primero no se lo recuerda y de manera similar, no se puede aplicar conocimientos y conceptos si no se los entiende. 2. Afectiva. Es la respuesta emocional, que va desde la más simple hasta la más compleja, donde el nivel inferior es donde un aprendiz sólo pone atención a una idea, y en el superior adopta una idea o valor para actuar. Se distinguen cinco formas: Recepción, respuesta, valoración, organización y caracterización por el nuevo valor. 3. Sicomotriz. Es desarrollar capacidades particulares, como en las artes, el deporte, usar equipos, desde percepciones hasta acciones reflejas voluntarias, como musculares que requieran capacidades y habilidades específicas.
  • 85.
    57 En la décadade los noventa, un antiguo estudiante de Bloom, Lorin Anderson y D. Krathwohl, revisan la Taxonomía y se publica en el año 2001, la Taxonomía Revisada de Bloom. Un aspecto importante en esta revisión es el uso de verbos en lugar de sustantivos por categoría y el otro, el cambio de la secuencia de éstas dentro de la taxonomía, destacándose que la creatividad se considera superior a la evaluación del dominio cognitivo. Gráfico 8: Taxonomía Revisada de Bloom. Tomadode:http://bdistancia.ecoesad.org.mx/contenido/numeros/numero6/visionInter_01.html. Por:Terry Anderson y Jon Dron, Universidad Virtualdel Estado de Guanajuato. Verbos asociados en la revisión de la Taxonomía de Bloom Verbo en la revisión Verbos asociados Recordar Reconocer, listar, describir, identificar, recuperar, denominar, localizar, encontrar. Entender Interpretar, resumir, inferir, parafrasear, clasificar, comparar, explicar, ejemplificar Aplicar Implementar, desempeñar, usar, ejecutar. Analizar Comparar, organizar, deconstruir, atribuir, delinear, encontrar, estructurar, integrar. Evaluar Revisar, formular hipótesis, criticar, experimentar, juzgar, probar, detectar, monitorear. Crear Diseñar, construir, planear, producir, idear, trazar, elaborar Cuadro 3:Verbos asociados en la revisión de la Taxonomía de Bloom. Fuente:http://www.eduteka.org/TaxonomiaBloomDigital.php.Adaptado de la fuente mencionada. Elaborado por: LSI Jorge Vera Mosquera.
  • 86.
    58 La adaptación deesta revisión a las TIC es la siguiente: Gráfico 9: Adaptación TIC a la Taxonomía Revisada de Bloom. Tomadode:http://www.eduteka.org/TaxonomiaBloomDigital.php. Por:Andrew Churches. Al observarse la imagen anterior, se nota que la colaboración es fundamental, es una habilidad del presente siglo y se utiliza en todo el proceso de aprendizaje, por lo que para ello se dispone de herramientas digitales como:  Blogs (bitácoras), para recopilar cronológicamente contenidos como FlashBlog, Wordpress, LiveJournal, Blogger, Windows Live Writer  Wikis, para crear contenidos en grupo como Wikispace, MediaWiki, Wikipedia, TikiWiki  Redes sociales, como Ning, Facebook, Twitter.
  • 87.
    59  Plataformas educativas,para disponer de un entorno informático con fines educativos como Moodle, Dokeos, Blackboard.  Software de grupo para gestionar documentos, como en Hotmail, Zoho, Google. Debiendo enseñarse conocimientos y contenidos contextualizados a los estudiantes. Para ello se debe tener presente la retención del aprendizaje en los dicentes según la actividad realizada, para que el suministro de conocimiento sea un gran apoyo en el proceso. Obsérvese la siguiente imagen: Gráfico 10: La pirámide del aprendizaje. Tomadode:http://www.eduteka.org/TaxonomiaBloomDigital.php. Por:Andrew Churches. Se demuestra que resulta mejor explicar, mostrar y hacer, dándose énfasis al hecho de que se aprende haciendo, y tal como define la pirámide ilustrada, el aprendizaje activo es el queda en el estudiante debido a que el nivel cenestésico es el que prima sobre el visual y el auditivo en el ser humano.
  • 88.
    60 Resulta importante recalcarque las habilidades del pensamiento son fundamentales. Obsérvese: Gráfico 11: Habilidades del pensamiento. Tomadode:http://www.eduteka.org/TaxonomiaBloomDigital.php. Por:Andrew Churches. Donde mucho de lo que se enseñe será obsoleto en pocos años, mientras que las habilidades del pensamiento una vez que se adquieren se plasman toda la vida. La Educación en la Era Industrial se enfocó en las habilidades de orden inferior (LOTS, Lower Order Thinking Skills), recordar, comprender,…, en cambio en la presenta época el enfoque se dirige hacia las habilidades de orden superior (HOTS, Higher Order Thinking Skills). Resulta importante también considerar que el ambiente de aprendizaje es muy influyente al momento del proceso educativo, por lo que las influencias tanto físicas como sico-sociales deben de ser consideradas al momento de desarrollar las estrategias de aprendizaje, que son conceptuadas como el conjunto de actividades, técnicas y medios que se planifica de acuerdo a la necesidad, constituyendo junto a los objetivos, contenidos y evaluación, componentes esenciales en el proceso educativo.
  • 89.
    61 Las técnicas deestudio, resultan herramientas importantes para un dicente, porque son actividades específicas que desarrolla al momento de aprender cómo crear esquemas, organizadores gráficos, usar los métodos EPLER(Exploración o pre-lectura, Preguntas, Lectura, Exposición, Revisión y Repetición) o ACCESO(Aproximación al texto, Construcción de contenidos, Estructuración mnémica, Saneamiento de lo estudiado, Optimización de resultados) para la lectura, etc., que pueden usarse de forma mecánica. A diferencia de la estrategia de aprendizaje, éstas constituyen una guía de acciones a seguir, consciente e intencionalmente dirigida a un objetivo por aprender. A ambos tradicionalmente se les ha llamado procedimientos. Siendo la estrategia un uso reflexivo de la técnica, y ésta una aplicación en sí, una estrategia está bien cuando el estudiante reflexiona sobre el propósito de una tarea, planifica y cumple lo planificado (dispone de más herramientas técnicas), termina la tarea, evalúa lo hecho y acumula conocimiento de en qué casos aplicar la estrategia. En la actualidad, y desde un punto constructivista, el aprendiz es quien construye el conocimiento, es él mismo quien debe dominar la técnica, más aún, apoyado en la tecnología, por lo que las TIC pasan a ser un apoyo para el aprendizaje al momento que interactúa con el contenido y con el Docente en su momento, utilizando de un modo combinado las aplicaciones tradicionales de un computador personal(procesador de palabras, hoja de cálculo, presentador, base de datos, graficadores, editor de video, de sonido, …) y las aplicaciones web (infinidad de sitios que facilitan herramientas en línea como Hotmail, Zoho, Google, Youtube, Teachertube, Mindomo, bubble.us, …).
  • 90.
    62 La sensibilización docentepara comprender los tipos de aprendizaje es muy importante en la actualidad, sobretodo porque el crecimiento exponencial del conocimiento implica la necesidad de aprender de un modo continuo tanto a nivel académico como profesional, debido a la globalización de la información y a la incorporación de las TIC a la vida cotidiana. Tipos de aprendizaje Existe en el argot pedagógico los siguientes tipos de aprendizaje, con los que todo Docente debe estar familiarizado: Receptivo: El estudiante recibe el contenido que va a asimilar, por una explicación del Docente, material impreso, audiovisual, mostrado en pantalla de ordenador, etc. Por descubrimiento: El aprendiz debe descubrir el material antes de incorporarlo a su estructura cognitiva. Puede ser guiado por el enseñante. Aprendizaje repetitivo o memorístico: Supone una memorización de datos, hechos o conceptos con poca o ausente interrelación, sin esperar que el estudiante comprenda. Aprendizaje significativo: Se presenta cuando las tareas están interrelacionadas de un modo congruente, siendo el dicente el propio conductor de su conocimiento en relación a los conceptos que debe aprender. Por observación: Por medio de la observación o la imitación el aprendiz adquiere conocimientos.
  • 91.
    63 Colaborativo: Es unsistema de interacción en grupo que permite la influencia recíproca de sus miembros generando una interdependencia, donde cada uno presta su aporte en la construcción del conocimiento. Se apoya en la tecnología. Cooperativo: Es un sistema en que se organiza las actividades de los estudiantes, trabajando en grupo cada uno sus tareas. La diferencia entre Colaborativo y Cooperativo está en que en el primero el estudiante dispone sus interacciones y mantiene el control de sus decisiones, mientras que en el segundo es el Docente quien tiene casi el control total de las interacciones y de los resultados. Método del Caso: Es un aprendizaje cooperativo que parte del aprendizaje significativo, donde el aprendizaje por descubrimiento utiliza la resolución (significativa) de problemas mediante el planteo de un caso. Basado en Problemas: Es una técnica didáctica de aprendizaje significativo, donde el estudiante es el protagonista de su aprendizaje, en que el grupo de dicentes debe encontrar la solución a un problema planteado. Basado en Proyectos: Es aquel en que un grupo de Docentes y estudiantes trabajan en conjunto sobre un problema real, donde existe un diseño instruccional definido, roles establecidos y fundamentos marcados para el diseño del Proyecto. Los tres últimos aprendizajes significan un aprendizaje activo centrado en el estudiante y moderado por el Docente, que al relacionarse con las TIC requiere de software de grupo y de compartición de información que permita superar barreras de tiempo, espacio y hasta el
  • 92.
    64 lenguaje en unmomento dado, pues entran en juego los foros, sitios web, videoconferencia, chat, email, software base de oficina (procesador de palabras, hoja de cálculo, presentador, graficador, base de datos) para permear la lectura y la escritura, software y periféricos multimedia(para manejar texto, voz, video, imagen), conexión a Internet, wiki, … , un ambiente tecnológico bien diseñado para ayudar a los estudiantes a alcanzar con éxito los resultados. Al momento, dentro del campo de la Ingeniería de Software se encuentran desarrollándose estudios y programas que permitan integrar en lo mejor posible en un solo sistema, el contexto de enseñanza- aprendizaje u orientación-aprendizaje, controlar y resolver los problemas que resultan de las interacciones complejas del grupo de trabajo y del desarrollo mismo. Por esta razón es que se disponen avances muy considerables en plataformas educativas como Moodle, Dokeos, Claroline, Blackboard, Sakai Project, AMBAR y otros, donde se están aplicando tecnologías de punta integradas. Entre los programas y sitios en Internet para crear y aplicar organizadores gráficos existen infinidad, se referencian algunos en el Anexo 27. Cuando se aprende algo y cada uno toma su propio método, su forma de aprender, y esto varía según lo que se desea,…, es estar hablando del estilo de aprendizaje, donde cada ser humano posee sus propias tendencias o preferencias, por lo que en la práctica el aprendizaje resulta heterogéneo, denominándose perfil de aprendizaje a la proporción en que cada aprendiz utiliza estilos de aprendizaje diferentes.
  • 93.
    65 Estilos de aprendizaje Siendoel aprendizaje tan amplio que abarca un complejo proceso y etapas diferentes, lleva a que se encuentre todo tipo de propuestas, teorías o modelos. Tomando de referencia al CCA (Centros Comunitarios de Aprendizaje, Tecnológico de Monterrey Foundation, Universidad Virtual del Sistema Tecnológico de Monterrey) cuya dirección en Internet es: www.cca.org.mx, se dispone de lo siguiente: Gráfico 12: Estilos de Aprendizaje. Tomadode:http://www.cca.org.mx/profesores/cursos/cep21- tec/modulo_2/estilos_aprendizaje.htm#zxc. Por:Centros Comunitarios de Aprendizaje, Tecnológico de Monterrey Foundation, Universidad Virtual del Sistema Tecnológico de Monterrey. Como es de observar y deducir, se encuentra un listado de teorías:  Modelo de tipos de personalidad, por Carl Jung, 1923.  Tipos de personalidad de Briggs y Myers, por Katharine Briggs e Isabel Briggs Myers.  Etapas del desarrollo cognitivo, por Jean Piaget. Este enfoque se le conoce como psicología evolutiva o genética.  Modelo de David Kolb, aprendizaje basado en experiencias por: David Kolb, a principios de los años 70. Tratado ya en páginas anteriores del presente trabajo, creó bases para el desarrollo de otros Modelos como son los de 4MAT de MCCARTHY, B. (1987) y HONEY, P. & MUNFORD, A. (1987).
  • 94.
    66  Modelo Grasha-Riechmann,Anthony Grasha y Sheryl Hruska Riechmann, en 1974. Va de la mano con el perfil de enseñanza de un Docente. GRASHA, T. (1996) creando un modelo que relaciona los estilos de enseñanza de los Profesores con los estilos de aprendizaje de los estudiantes.  Teoría de las inteligencias múltiples, Howard Gardner, 1983.  Perfiles de estilos y la inteligencia, teoría triádica, por Robert J. Sternberg, 1985.  Teoría del autogobierno mental, publicada en 1997, por Sternberg y Grigorenko, a partir de la teoría triádica(STERNBERG, R., 1997).  Modelo de Honey y Mumford, Tendencias generales del comportamiento personal, por Peter Honey y Allan Mumford, 1986.  4MAT Sistema (sistema de formato), por: Bernice McCarthy, 1987.  Modelo Dunn y Dunn, por Rita y Kenneth Dunn, 1992. Para este modelo se desarrolló un cuestionario llamado Learning Styles Inventory o LSI (Inventario de estilos de aprendizaje), que permite identificar los elementos importantes de una persona para aprender, y en la actualidad puede ser empleado para adultos.  Modelo VARK, sistemas de representación, por Neil Fleming y Colleen Mills, 1992.Se enfoca en la preferencia sensorial de los estudiantes. Su nombre viene de lo siguiente: V–Visual, A–Aural (Auditivo), R-Read/write (Leer/Escribir), K- Kinesthetic (Quinestésico). Diversos autores han creado instrumentos de diagnóstico de estilos de aprendizaje que con el tiempo han ganado validez, de entre los cuales se describe el siguiente cuadro:
  • 95.
    67 Instrumentos de diagnósticode estilo de aprendizaje Autores Instrumentos David Kolb (1976) Inventario de Estilos de Aprendizaje (Learning Style Inventory) Rita Dunn y Kennet Dunn (1978) Inventario de Estilos de Aprendizaje (Learning Style Inventory) James Keefe, (1979) Perfil de Estilos de Aprendizaje (Learning Style Profile) Juch (1987) Ejercicio de Perfil de Aprendizaje (Learning Profile Exercise) Bernice McCarthy (1987) 4MAT System Richard M. Felder y Linda K. Silverman(1988) Cuestionario Índice de Estilo de Aprendizaje (Index of Learning Styles) Honey y Mumford (1988) Cuestionario de Estilos de Aprendizaje (Learning Styles Questionnaire) Alonso, Gallego y Honey (1992, 1994) Cuestionario Honey-Alonso de Estilos de Aprendizaje (CHAEA) Robert Sternberg (1997) Inventario de Estilos de Pensamiento (Thinking Styles Inventory) Catherine Jester (1999) Encuesta sobre Estilos de Aprendizaje para la Universidad (Learning Style Survey for College) S. Whiteley y K. Whiteley (2003) Inventario de Estilos de Aprendizaje del proyecto Memletics (The Memletics Learning Styles Inventory) Cuadro 4:Instrumentos de diagnóstico de estilos de aprendizaje. Fuente: http://w w w .estilosdeaprendizaje.es/JLGCue.pdf.Adaptado de la fuente mencionada. Elaborado por: LSI Jorge Vera Mosquera. En Internet es posible encontrar sitios que facilitan estos instrumentos, de entre los que se disponen algunos en el Anexo 28.
  • 96.
    68 En la prácticadocente existe una gran dificultad al momento de poner en práctica los conceptos que se relacionan con los estilos de aprendizaje, porque también está relacionado con el mito del estilo de enseñanza del propio enseñante. No es cuestión de acomodar a todos los estudiantes a un solo estilo, o acomodarse a cada uno de ellos, lo que se pretende es que el Docente se esfuerce por entender el estilo de cada uno en base a los diagnósticos que sirvan para identificar los estilos con mayor predominio de modo que pueda adaptar su estilo de enseñanza, en busca de los objetivos que pretende en el aprendizaje. Lo ideal es disponer de un software cuyo esquema enfoque un proceso de formación: Gráfico 13: Software idealpara estilos de aprendizaje. Tomadode:http://ebookbrowse.com/articles-108461-archivo-pdf-d31741123. Universidad Industrial de Santander. Página 7. Por:Rafael Lizcano, Alexander Rodríguez y Wilmer Parra. Cuyo modelo sistemático considere las variables que contemplen estrategias de enseñanza, contenidos e instrumentos y modelos de aprendizaje.
  • 97.
    69 Que sirva tantopara Docentes y dicentes de tal modo que identifique estilos y los capacite y permita un mejor uso de los medios didácticos que en su momento vaya a usar en el proceso educativo, logrando así en su momento un aprendizaje significativo. Gráfico 14: Actividades generales en la herramienta de diagnóstico. Tomadode:http://ebookbrowse.com/articles-108461-archivo-pdf-d31741123. Universidad Industrial de Santander. Página 7. Por:Rafael Lizcano, Alexander Rodríguez y Wilmer Parra. Teorías de aprendizaje No existe unanimidad tácita, ni un marco teórico unificado y coherente, a la hora de establecer una corriente que defina las teorías del aprendizaje, que es un constructo que pretende explicar y predecir cómo aprende un ser humano, que no debe ser confundida con la teoría didáctica que trata sobre las fundamentaciones coherentes de cómo enseñar mejor. Obviamente, forma parte del aprendizaje. En la evolución de las teorías del aprendizaje, se ha dado mucho que tratar, desde la época de Platón y Aristóteles que propusieron el idealismo y el realismo respectivamente. Estos inicios de la Filosofía influyeron mucho hasta el siglo XVI, pasándose al racionalismo moderno de Descartes (1596 – 1650),
  • 98.
    70 Luego surge elempirismo inglés(siglo XVIII), para que a fines del siglo XIX se den los inicios de la Sicología de la Educación, que es de donde surgen los postulados del estructuralismo y funcionalismo, destacando Edward Titchener (1867 – 1927) como el creador del primero, y William James (1842 – 1910) del segundo. En vista de los resultados no convincentes surge el Conductismo, que se centra en la conducta del ser humano observable, rechazando el ocuparse de la conciencia para estudiar el aprendizaje, considerando estímulos de entrada, condiciones externas y respuestas del aprendiz. Este enfoque se impone después de muchos estudios y experiencias en el siglo pasado, resaltando Skinner, Mager y otros. En paralelo surge la teoría Cognitiva, a mediados de la centuria pasada, que busca fundamentación en los procesos humanos y no en la conducta. Desde aquí van surgiendo la Sicología de la Gestalt, luego Gagné con el procesamiento de la información, después Piaget y la teoría psicogenética, Bruner con su teoría del Desarrollo cognitivo, Ausubel con la teoría del aprendizaje significativo, entre otros. La relación de la persona con su medio social, así como el rol de sus emociones, influyen en la elaboración de nuevas teorías e interpretaciones, apreciándose para ello la teoría Sociocultural, de Lev Vigotsky, cuyo aporte es de gran significado y vigencia en algunos escenarios de contexto y desarrollo educativo. A la vez, van naciendo la teoría de las Inteligencias Múltiples de Howard Gardner, y la teoría de Daniel Goleman de la Inteligencia Emocional, que tienen un aporte de gran importancia en los postulados educativos de la actualidad.
  • 99.
    71 Vale mencionar, deigual manera los aportes de Reuven Feuerestein y las teorías de la Modificabilidad Cognitiva y del Aprendizaje Mediado. Una teoría de gran impacto, ha sido el Constructivismo, que se sustenta en la premisa de que cada persona construye su propia perspectiva del mundo por medio de sus propias experiencias y esquemas mentales desarrollados. El conductismo, el cognitivismo y el constructivismo son las tres grandes teorías de aprendizaje utilizadas más a menudo en la creación de ambientes instruccionales, habiendo sido desarrolladas en un momento donde la tecnología no impactaba en el aprendizaje, por lo que ante los limitantes de ellas y ante la inclusión tecnológica y la identificación de conexiones en el aprendizaje es que surge como alternativa el Conectivismo, cuya presencia es propia de la era digital que la humanidad vive. POMPEYA, V. (2008) Cita a Karen Stephenson cuyas palabras son: La experiencia ha sido considerada la mejor maestra del conocimiento. Dado que no podemos experimentar todo, las experiencias de otras personas, y por consiguiente otras personas, se convierten en sustitutos del conocimiento. ‘Yo almaceno mi conocimiento en mis amigos’ es un axioma para recolectar conocimiento a través de la recolección de personas. (Página 37). A continuación, a modo de conocimiento base, se tratarán las teorías y conceptos de mayor generalidad. Conductismo Corriente de la psicología inaugurada por John B. Watson, tiene su fundamento teórico en que a un estímulo le sigue una respuesta, siendo
  • 100.
    72 éste el resultadode la interacción de un organismo con su medio ambiente. En la actualidad, el Conductismo es mucho más amplio y flexible que en sus primeros tiempos, pues los conductistas modernos todavía investigan estímulos, respuestas observables y aprendizaje, pero toman en cuenta el estudio sicológico resultante de la interacción de la persona con su entorno. La Taxonomía de Bloom es aplicable en esta corriente por permitir clasificar objetivos y metas educativas, en función de los niveles que maneja. La Teoría de Bloom partió del Conductismo y del Cognitivismo. En esta corriente el estudiante no aporta nada al proceso, dependiendo de los estímulos que reciba del exterior, como tampoco se toman en cuenta las diferencias individuales de los aprendices. El aprendizaje es observable cuando existe un cambio en el comportamiento del dicente, por lo que es observado, medido y evaluado. Gráfico 15: Transmisión de contenidos por parte del Docente. Tomadode:http://uoctic-grupo6.wikispaces.com/Conductismo. Por:UOC. La primera utilización educativa fue en la enseñanza programada de Skinner, que consistía en una secuencia de preguntas con la sanción del caso ante la respuesta de un estudiante.
  • 101.
    73 Luego se tienea la EAO (Enseñanza Asistida por Ordenador) que eran máquinas para enseñar, cuyas preguntas así mismo eran secuenciales con refuerzos positivos o negativos que eran aplicados ante las respuestas. Constructivismo En este paradigma se asume que nada viene de nada. Es decir que el conocimiento previo da nacimiento a un conocimiento nuevo. El aprendizaje humano es una actividad que el sujeto realiza a través de su experiencia con el entorno. La tarea del Docente se fundamenta en crear situaciones de aprendizaje para que el dicente construya su conocimiento por medio de la actividad, tomándolo como el centro de la dinámica educativa, reconociéndole sus facultades y su papel activo en el proceso. El Docente pasa a ser un facilitador, guiando al aprendiz, estimulando y provocando el pensamiento crítico, el análisis y la síntesis, siendo un co-estudiante a la vez. Vale observar una comparación con el Conductismo. Gráfico 16: Comparación Conductismo y Constructivismo. Tomadode:http://uoctic- grupo6.w ikispaces.com/file/view/constructivismo1.gif/231855948/constructivismo1.gif . Por:UOC.
  • 102.
    74 Un mapa conceptualdel Constructivismo sería útil revisar: Gráfico 17: Mapa conceptualdel Constructivismo. Tomadode:http://uoctic-grupo6.wikispaces.com/Constructivismo. Por:UOC. Como se observa, se destacan: La teoría evolutiva de Piaget, el enfoque socio-cultural de Vygotsky, y el aprendizaje significativo de Ausubel.
  • 103.
    75 Gráfico 18: Etapasde la Teoría de Piaget. Tomadode:http://www.monografias.com/trabajos76/teoria-cognitiva-piaget/image008.jpg.Teoría Cognitiva de Piaget. Por:David Orozco (2009). Tal como se observa en las imágenes tanto anterior como posterior, cada una de estas etapas posee sus propias características. Gráfico 19: Subestadios del Desarrollo Cognoscitivo - Modelo de Piaget. Tomadode:http://www.psicodiagnosis.es/images/piaget1.jpg. Desarrollo Inteligencia (Piaget). Por:Sergi Banús (2012). Vygotsky, se enfocó en dos tópicos, en la interacción desarrollo y aprendizaje, y al vínculo entre Docente y estudiante. Siempre se interesó por el estudio de la memoria, la atención, el razonamiento, la solución de problemas,…; es decir, funciones síquicas superiores en el ser humano,
  • 104.
    76 creó una teoríaen la que la siquis del hombre está determinada por los procesos de apropiación histórico-social de la cultura. Como fundador de la teoría Socio Cultural, afirma que el aprendizaje está condicionado por la sociedad en la que nacemos y nos desarrollamos, siendo un proceso de restructuración subjetiva. La siguiente ilustración muestra la ley de doble formación: Gráfico 20: Ley de Doble Formación y Zona de Desarrollo Próximo. Tomadode:http://educacion.idoneos.com/img.foros/288041.pjpeg.Teoría socio-histórica de Lev Vygotsky (TSH). Por:Graciela Paula (2005). Donde se identifica la Zona de Desarrollo Próximo, que es la distancia entre el nivel real de desarrollo determinado por la capacidad de un aprendiz para resolver un problema y el nivel de desarrollo potencial determinado por medio de la resolución del mismo bajo la guía de un Docente o en colaboración con otro estudiante.
  • 105.
    77 Gráfico 21: Zonade Desarrollo Próximo. Tomadode:http://www.monografias.com/trabajos89/aprensignificativo/image001.gif. Por:Eduardo Tito. Al emplearse la ZDP con las TIC como recursos didácticos, mediante una selección adecuada, se obtiene una intervención educativa eficaz por favorecer la comunicación, la búsqueda y representación del conocimiento. Gráfico 22: Zona de Desarrollo Próximo y TIC. Tomadode:http://2.bp.blogspot.com/-7sBLtF-y- bU/TsQ4nWQUihI/AAAAAAAAB9U/JV3uW5lYsHw/s1600/zdp.jpg.Las TIC y la ZDP. Por:María Cristian.
  • 106.
    78 Esto ubica unuso tecnológico apropiado donde se manifieste un aprendizaje cooperativo o colaborativo. Gráfico 23: Uso tecnológico en el aprendizaje cooperativo o colaborativo. Fuente:Tomado y adaptado de http://www.slideshare.net/blueistar/teorias-aprendizaje-b.Teorías de Aprendizaje, diapositiva 11. Por:Dr. J. Quintana. Las TIC que pueden emplearse son las herramientas propias de Internet, con comunicación a tiempo real y a distancia, empleando software de grupo (para cuestionarios, compartir archivos, wiki, etc.), bitácoras (programas para blogs como Wordpress, Joomla, etc.), plataformas educativas (como Moodle, Dokeos, Author, Claroline, etc.), foros, chat, correo electrónico, como cualquier software de gestión de grupo privado o público. La teoría del Aprendizaje Significativo de David Ausubel, es una teoría sicológica que se ocupa de los procesos que entran en juego en la persona al momento de aprender, pero desde este punto de vista no trata
  • 107.
    79 temas relacionados ala Sicología, sino que pone énfasis en lo que ocurre en un aula para que un estudiante aprenda. Gráfico 24: Teoría de Ausubel. Fuente:Tomado y adaptado de http://cmapspublic3.ihmc.us/rid=1074815188484_1517315659_5215/Ausubel.cmap?rid=1074815188484_1517 315659_5215&partName=htmljpeg. Por:autor anónimo. El ser humano tiende a aprender aquello que le encuentra sentido y/o lógica, es decir donde encuentra un significado. Un aprendizaje diferente ya es mecánico, memorístico, coyuntural en un momento dado, etc.; por lo que un aprendizaje significativo es relacional, es decir que la relación está en el sentido del nuevo conocimiento al relacionarlo con conocimientos previos, situaciones cotidianas, la propia experiencia, etc. Piaget afirma que el aprendizaje está condicionado por el nivel de desarrollo cognitivo de un estudiante, pero a su vez, Vygotsky observa que el aprendizaje es el motor del desarrollo cognitivo. Siempre resulta difícil separar desarrollo cognitivo y aprendizaje. Al plantearse que el aprendizaje del dicente depende de la estructura cognitiva, a ésta debe entenderse como al conjunto de conceptos e ideas que la persona tiene en un determinado campo del conocimiento, así también el cómo la organiza.
  • 108.
    80 Con respecto alaula de clases, Ausubel menciona dos dimensiones a considerar, en que cada una dispone de dos tipos de aprendizaje: Al modo en que se adquiere el conocimiento (por recepción y por descubrimiento) y a la forma en que el conocimiento es incorporado en la estructura cognitiva del aprendiz (por repetición y significativo). La interacción de estas dimensiones es que crea las situaciones de aprendizaje:  Recepción repetitiva.  Recepción significativa.  Descubrimiento repetitivo.  Descubrimiento significativo. Estas situaciones no deben ser pensadas como aisladas, sino como posibilidades que se combinan en el accionar docente y la actividad cognitiva del dicente. SHUELL, T. (1990) postula que en el aprendizaje significativo se presentan tres fases: Inicial, intermedia y final, las mismas que se pueden visualizar en el Anexo 29. En el campo de las TIC, el uso de organizadores para emplearlos en el Aprendizaje Significativo, puede ser representado por los mapas conceptuales, debido a que es una herramientas apropiada por presentar contenidos que respetan el Aprendizaje Significativo, como la diferenciación progresiva (de ideas generales e incluyentes a las particulares) y la reconciliación integradora (conocimientos previos se organizan y adquiere un significado nuevo). Se pueden encontrar en software como: CmapTools, FreeMind, Edraw yotros; y en Internet en sitios como: Gliffy.com, bubble.us, cacoo.com, cmap.ihmc.us/conceptmap.html, etc.
  • 109.
    81 Cognitivismo Es una corrienteque aparece a comienzos de la década de 1960 para sustituir las perspectivas conductistas que habían dirigido hasta entonces la Sicología. Considera que el aprendizaje es un proceso activo en que interviene el aprendiz, produciéndose a través de la experiencia, pero a diferencia del Conductismo, no lo concibe como un simple traslado de la realidad, sino como una representación de la misma, poniendo énfasis en el modo de tales representaciones, en su almacenamiento y recuperación en la memoria(estructura cognitiva), en cómo organiza la información y la reestructura, no reduciéndose al hecho de asimilar sino de una construcción dinámica del conocimiento. El cambio del Conductismo al Cognitivismo fue en un escenario de transición, cuyo enfoque era el Procesamiento de la Información, que es el centro del Cognitivismo, abarcando postulados conductistas y cognitivos con un sentido integrador, así como un carácter interactivo y en la medida de éste toman una determinada dirección. Así surgen teorías como la del Aprendizaje Social de Bandura, o de contexto como el Modelo Taxonómico de Gagné. En el Cognitivismo se identifican tres corrientes: Aprendizaje social, teorías cognitivas y teorías del Procesamiento de la Información. Dentro de las teorías cognitivas se identifican a: Gestáltica, Genética Cognitiva y Genética Dialéctica. Dentro de la Genética Cognitiva se tienen a las teorías de Ausubel, Piaget, Bruner y Gagné.
  • 110.
    82 Los principales enfoquescognitivistas se exponen a continuación: Jean Piaget, con su Teoría Genética, que a partir de principios constructivistas plantea que el conocimiento no se adquiere solamente por interiorización del entorno social, sino que predomina la construcción realizada por parte del sujeto. Bruner, y su teoría del Aprendizaje por Descubrimiento, considera que el aprendizaje supone el procesamiento activo de la información y que cada persona lo realiza a su manera, atendiendo selectivamente la información, la procesa y la organiza de forma particular. El autor considera que más relevante que la información obtenida, es la estructura que se forma a través del proceso de aprendizaje, proponiendo una teoría de la instrucción: Motivación a aprender, estructura del conocimiento a aprender, la estructura o aprendizajes previos del dicente y el refuerzo al aprendizaje. Ausubel, y su teoría del Aprendizaje Significativo, propone una explicación cognoscitiva del proceso de aprendizaje, tomando en cuenta la motivación. Considera que el aprendizaje significa organización e integración en estructura cognoscitiva del estudiante, por lo que un aprendizaje significativo ocurre cuando la nueva información se relaciona con lo existente en la estructura cognoscitiva de quien aprende, para quien es relevante en su conocimiento. Robert Gagné, y su Teoría Sistémica de la Enseñanza, es la aplicación resultante de la teoría general de sistemas (que aparece en la década de 1930) en el campo educativo, describiendo al aprendizaje como un secuencia de procesos o fases, donde cada una requiere que se cumplan ciertas condiciones para que el objetivo de aprender tenga lugar.
  • 111.
    83 Este modelo deGagné es un resultante a medio camino entre el Conductismo, el Cognitivismo y el Procesamiento de la Información. Gráfico 25: Procesos de aprendizaje – Gagné. Fuente:Tomado y adaptado de http://www.dipromepg.efemerides.ec/teoria/t4.htm.Teorías del Aprendizaje de Robert Gagné. Por:efemérides.ec. El primer elemento que se enfatiza es establecer las respuestas que se esperan del estudiante, que se establecen con la formulación de objetivos, para luego pasar al problema del aprendizaje. Un Docente en base a la Teoría de Gagné puede crear sus propios diseños instructivos en función de las necesidades e intereses de los estudiantes, pudiendo trabajar en software instructivo y que permita retroalimentación con información y su reforzamiento. Esta enseñanza es programada al usar las TIC, mediante una programación secuencial, pudiendo usarse contenidos multimediales propias en el computador y/o combinadas con recursos multimedias en Internet, dependiendo en ambos casos de lo que se vaya a utilizar. Por ejemplo: Usar presentador como PowerPoint con recursos multimedia (voz, video, imagen) constituye una motivación, a su vez pueden activarse conocimientos previos y generar los nuevos, valerse de paseos virtuales como usar el Google Maps, etc.
  • 112.
    84 Lo principal esla selección y orden de los contenidos, así como las estrategias de enseñanza, siendo el producto informático de utilidad para el Docente, no de sustitución del enseñante. La Teoría de la forma de Gestalt, es una organización entre el estímulo y la respuesta del Conductismo, ya que los conductistas consideran al ambiente como una serie de estímulos independientes, y los gestalistas consideran los fenómenos percibidos como formas organizadas, no agrupaciones sensoriales. En esta corriente, el hombre percibe la realidad conforme a estructuras y no de manera independiente del contexto, porque en principio se aplicó a la percepción, pero luego se utilizó en el aprendizaje. La frase “el todo es más que la suma de las partes” le es asignada a esta teoría, dado que los objetos y los acontecimientos se perciben como un todo organizado, la organización básica comprende una figura en un fondo, es decir que hace hincapié en cómo el ser humano percibe las figuras, las palabras o representaciones de un mensaje, por tanto cómo se percibe en la mente un objeto. Como el ser humano utiliza la percepción en el aprendizaje, los adeptos a esta corriente manifiestan que el aprendizaje humano es por insight, que significa el paso de la ignorancia al conocimiento, que ocurre con rapidez, de repente, donde la solución de los problemas se presenta al visualizarlos en un todo.
  • 113.
    85 Gráfico 26: Teoríade la Gestalt. Fuente:Tomado de http://cmapserver.unavarra.es/servlet/SBReadResourceServlet?rid=1160673344384_181696222_84805&partN ame=htmljpeg. Teorías del Aprendizaje de Robert Gagné. Por:Universidad Pública de Navarra. Sus principios son:  Relación entre figura y fondo, cualquier campo perceptual puede dividirse en figura contra un fondo, diferenciándose a la primera por tamaño, color, posición, etc. Gráfico 27: Relación entre figura y fondo – Gestalt. Fuente:Tomado de http://www.imageandart.com/tutoriales/morfologia/leyes_gestalt/imagenes/figura_01.jpg. Por:Milko García.  De la buena forma, los elementos en una imagen son organizados en figuras lo más simétricas, regulares y estables que sea posible.
  • 114.
    86 Gráfico 28: Dela buena forma – Gestalt. Fuente:Tomado de http://w ww.guillermoleone.com.ar/6.gif.Leyes de la Gestalt. Por:Guillermo Leone.  Proximidad, los grupos de elementos se perciben asociados por su proximidad entre sí. Gráfico 29: Proximidad – Gestalt. Fuente:Tomado de http://www.imageandart.com/tutoriales/morfologia/leyes_gestalt/imagenes/figura_01.jpg.Las leyes de la Gestalt. Por:Milko García.  De similitud, los elementos que poseen cualidades similares son percibidos como parte de la misma forma. Gráfico 30: De similitud – Gestalt. Fuente:Tomado de http://www.imageandart.com/tutoriales/morfologia/leyes_gestalt/imagenes/figura_01.jpg.Las leyes de la Gestalt. Por:Milko García.  De contraste, la posición relativa de diferentes elementos incide sobre atribución de cualidades en los mismos. Gráfico 31: De contraste – Gestalt. Fuente:Tomado de http://www.imageandart.com/tutoriales/morfologia/leyes_gestalt/imagenes/figura_01.jpg.Las leyes de la Gestalt. Por:Milko García.
  • 115.
    87  De direccióncomún, aquellos elementos que parecen construir un patrón común en una misma dirección se perciben como una figura. Gráfico 32: De dirección común – Gestalt. Fuente:Tomado de http://2.bp.blogspot.com/_FGdFv7AS4_o/STQSfwno_vI/AAAAAAAAAOk/sRfBjCVIzgw/s40 0/TEORIA+DE+LA+GESTALT.jpg.Teoría de la Gestalt. Por:Harold Bonilla.  De simplicidad, la persona organiza sus campos perceptuales con rasgos simples y regulares. Gráfico 33: De simplicidad – Gestalt. Fuente:Tomado de http://www.imageandart.com/tutoriales/morfologia/leyes_gestalt/imagenes/figura_01.jpg.Las leyes de la Gestalt. Por:Milko García.  De cierre, es la tendencia a percibir formas completas. Gráfico 34: De cierre – Gestalt. Fuente:Tomado de http://www.imageandart.com/tutoriales/morfologia/leyes_gestalt/imagenes/figura_01.jpg.Las leyes de la Gestalt. Por:Milko García. Se puede usar esta teoría a nivel de demostración, comparación e investigación, y al reforzar con el uso de las TIC como medio didáctico, se gana objetividad en el proceso educativo.
  • 116.
    88 Un campo dondepuede aplicarse, es en el desarrollo de un software o un sitio web, en el que se deben manejar patrones de diseño, donde uno es el orientado a la funcionalidad y el otro a la usabilidad. Otro espacio es en el Diseño Gráfico, sea para imágenes estáticas o en movimiento, el diseño de videos, presentaciones con diapositivas, interacciones de usuario, etc. La teoría del Aprendizaje por Descubrimiento de Jerome Bruner, también se lo conoce como Aprendizaje Heurístico, se fundamenta en la construcción del conocimiento ubicando al estudiante en situación de aprendizaje problémico, de modo que aprende descubriendo. En la siguiente imagen se visualiza las condicionantes prácticas en esta teoría: Gráfico 35: Condiciones de Aprendizaje por Descubrimiento. Fuente:Tomado de http://cmapspublic.ihmc.us/rid=1146609284203_1636522669_13567/CONDICIONES%20DE%20APRENDIZAJ E%20POR%20DESCUBRIMIENTO.cmap?rid=1146609284203_1636522669_13567&partName=htmljpeg.Ensa yo sobre las Teorías Educativas. Por:Lenny Simosa (2010).
  • 117.
    89 El descubrimiento debeser guiado por el Docente en una exploración motivada por la curiosidad, mediante la entrega de un material adecuado (andamiaje) y el estímulo a los aprendices a descubrir en un modo activo, requiriendo en los mismos un pensamiento inductivo. Este andamiaje busca: Superar los límites de un aprendizaje mecánico, estimular al estudiante para que formule suposiciones a comprobar después sistemáticamente, potenciar estrategias metacognitivas y el aprender a aprender, y estimular la autoestima y la seguridad. Con Vygotsky y Ausubel coincide en la importancia del papel de la actividad y el andamiaje, pero enfatiza la experiencia personal del estudiante para aprender. En la siguiente imagen se visualiza mejor esta teoría. Gráfico 36: Aprendizaje por Descubrimiento. Fuente:Tomado de http://w ww.todomonografias.com/images/2007/05/105794.gif.Aprendizaje por descubrimiento. Por:todomonografias.com.
  • 118.
    90 Con las TIC,se puede utilizar:  Software como Micromundos EX, Alice, FisLab, BlockCAD.  Software de modelado como PyMOL, Stella, ER Visual.  Sitios en Internet de simulación: o http://intercentres.cult.gva.es/iesleonardodavinci/fisica /Animaciones.htm o http://www.virtual-u.org/index.asp  Webquest, para la indagación, investigación y descubrimiento vía web por Internet. Como en: o http://zunal.com/ o http://www.webquest.es/  Plataformas educativas que permiten utilizar herramientas de trabajo en grupo como Moodle, Dokeos, Claroline.  Organizadores gráficos en línea para trabajo colaborativo como Knowledge Master, Dropmind, en Internet como: http://classtools.net,http://www.mind42.com, http://www.mindmeister.com/es,https://bubbl.us/  Utilizar software de grupo en Internet, como en Zoho, Google y hasta las redes sociales, debidamente usadas. o http://www.ase.org.uk/home/ o http://www.iearnlatina.org/ o http://www.nuevaalejandria.com/maestros/clases/ o http://www.epals.com/ La teoría de las Inteligencias Múltiples(1983) de Howard Gardner, tal como se ha tratado anteriormente, no es de concepción única, y es definida como diferentes áreas del cerebro que se encuentran conectadas entre sí pudiendo trabajar en conjunto de un modo semi- autónomo, desarrollándose en distinto grado según el ambiente que presten las condiciones para ello.
  • 119.
    91 Dado que existenmentalidades diferentes, también existen distintos modos de comprender la realidad: Gráfico 37: Inteligencias Múltiples. Fuente:Tomado de http://2.bp.blogspot.com/_W4w O7qpzNEs/TAWiAin4vaI/AAAAAAAAAAc/fqyACf7prjQ/s1600/Inteligencias+M %C3%B9ltiples.jpg. Por:autor anónimo. La tecnología estimula la inteligencia, por lo que al usarla en un proceso educativo en base a un objetivo de aprendizaje, es que se determina la tecnología y su relación con la inteligencia, en base a la facilidad y acceso a la información por diferentes canales (sonido, video, texto, imagen, interactividad) y construyendo individual o colectivamente en un modo participativo o colaborativo de manera virtual o en aula. La siguiente imagen permite observar cómo emplear las TIC.
  • 120.
    92 Gráfico 38: InteligenciasMúltiples y TIC. Fuente:Tomado de http://www.totemguard.com/aulatotem/images/Mapa_Conceptual_How ard_Gardner_recursostic.png.Mapa conceptual: Recursos TIC para desarrollar las inteligencias Múltiples de How ard Gardner. Por:Meritxell Sánchez (2011). Conectivismo El Conectivismo es una teoría de aprendizaje para la era digital que se basa en el análisis de las limitaciones del Conductismo, el Cognitivismo y el Constructivismo, integrando los principios explorados por las teorías del caos, redes neuronales, complejidad y auto- organización.
  • 121.
    93 Entendiendo el aprendizajecomo un proceso que ocurre dentro de diversos ambientes que no están necesariamente bajo el control de una persona, el conocimiento (entendido como aplicable) puede residir fuera del ser humano, por ejemplo dentro de una organización o una base de datos, enfocándose en la conexión especializada a esta información, que permite aumentar el conocimiento actual que se disponga. SIEMENS, G. (2004) y DOWNES, S. (2007), son los principales representantes de esta teoría que pretende explicar cómo las nuevas tecnologías condicionan la forma en que se producen los aprendizajes, concibiendo al aprendizaje como un proceso de formación de redes, presentándose una analogía entre las redes neurales, es decir, la forma en que se conectan nuestras neuronas para la transferencia de información, y las redes informáticas. Siemens se refiere a que una red tiene como mínimo dos elementos: Nodos y conexiones, donde un nodo puede ser conectado a otro, y una conexión es cualquier vínculo entre nodos. Estos últimos no se refieren únicamente a personas sino que pueden ser organizaciones, bibliotecas, bases de datos,…; en fin, cualquier fuente de información, lo que implica que las posibilidades de conexión son innumerables. El aprendizaje por tanto se presenta en la construcción de redes de nodos relevantes, siendo el conocimiento un producto de las interacciones físicas y virtuales. El Conectivismo se sustenta en la relación entre el estudiante y el conocimiento mediado de las TIC.
  • 122.
    94 Gráfico 39: Conectivismo. Fuente:Tomadode http://aplicacionestic2rafaela.files.wordpress.com/2011/08/conectivismo4.jpg.Mapa Conceptual Conectivismo. Por:Vanina Villarroel(2011). Las teorías de aprendizaje se movieron hacia la era digital, derivándose de esto una nueva competencia. El caos es una realidad para cualquier trabajador del conocimiento, que al tratarse con saberes, reconoce la conexión de todo con todo, lo que impacta fuertemente en lo que se aprende y en el cómo, y un indicador de ello es la toma de decisiones al respecto, ya que si las condiciones cambian la decisión ya no es la misma, por lo que se debe desarrollar la habilidad de reconocer y ajustarse a los cambios en un patrón de aprendizaje ya definido en otro. La auto-organización a nivel personal es un micro proceso de construir conocimiento en base a construcciones de conocimiento auto- organizado más grandes, lo que hace que se creen estructuras espontáneas en el momento que se requiera, desarrollándose una capacidad de formar conexiones entre fuentes de información.
  • 123.
    95 Gráfico 40: Concepcióndel Conectivismo. Fuente:Tomado de http://2.bp.blogspot.com/-eXmUDBPAUMc/TX1ebWqFODI/AAAAAAAAABY/lO5B9U- ZLLU/s1600/Conectivismo.jpg. Por:autor anónimo.
  • 124.
    96 Los Principios enque se sustenta el Conectivismo, para George Siemens, son los siguientes: Principios del Conectivismo por George Siemens  El aprendizaje y el conocimiento yace en la diversidad de opiniones.  El aprendizaje es el proceso de conectar nodos o fuentes de información.  No sólo los humanos aprenden, el conocimiento puede residir fuera del ser humano.  La capacidad de aumentar el conocimiento es más importante que lo que ya se sabe.  Es necesario nutrir y mantener las conexiones para facilitar el aprendizaje continuo.  La habilidad para ver las conexiones entre los campos, ideas y conceptos es primordial.  La información actualizada y precisa es la intención de todas las actividades del proceso conectivista.  La toma de decisiones es en sí misma un proceso de aprendizaje. Escoger qué aprender y el significado de la información entrante es visto a través de la lente de una realidad cambiante. Es posible que una respuesta actual a un problema esté errada el día de mañana bajo la nueva información que se recibe. Cuadro 5:Principios del Conectivismo por George Siemens. Fuente: http://es.w ikipedia.org/w iki/Conectivismo.Adaptado de la fuente mencionada. Elaborado por: LSI Jorge Vera Mosquera.
  • 125.
    97 Los Principios enque se sustenta el Conectivismo, para Stephen Downes, son los siguientes: Principios del Conectivismo por Stephen Downes Autonomía, hace referencia a los nodos individuales de las redes autónomas. La persona decide sus metas y objetivos, su software, si se conecta, qué toma en cuenta de lo encontrado, etc. Diversidad, se refiere a que los miembros de la red son diferentes unos de otros. Existen tipos de conexiones, estados diferentes de conexión, distintos lugares físicos en que se encuentra, idioma diferente, software para escoger, tomar distintos recursos, etc. Apertura, es la presencia de una libre comunicación dentro y fuera de la red, existe facilidad de adherirse como de salir de una red, existe comunicación, facilidad para unirse en comunidad, participar en actividades, etc. Interacción/Conexión, es el conocimiento resultante de conectarse como resultado de una dinámica conectivista, ya que el saber no es simplemente distribuido, sino que emerge de una conducta comunicativa de conjunto. Cuadro 6:Principios del Conectivismo por Stephen Dow nes. Fuente: http://halfanhour.blogspot.com/2009/02/connectivist-dynamics-in-communities.html.Adaptado de la fuente mencionada. Elaborado por: LSI Jorge Vera Mosquera. El cómo se obtenga la información es más importante que lo se sabe hoy. Un reto de aprendizaje es activar el conocimiento en el momento y lugar que se necesita, por lo que la habilidad de disponer del mismo cuando es desconocido, se refleja al conectarse con fuentes de información, y más aún cuando los saberes aumentan y evolucionan como en la actualidad.
  • 126.
    98 El Conectivismo tienesu base en la Web 2.0, ya que permite conjugar aprendizaje, Educación, centro de estudio, trabajo y hogar con software fácil de manejar, por lo que se habla de aprendizaje 2.0. Al respecto, (JOHNSON, D., 1992) y (LUNDVALL, B., 2002) describen los modelos aplicantes al respecto así: Aprendizaje 2.0 Modelo Característica Aprender haciendo Son aquellas herramientas que permiten al estudiante y/o Docente la lectura y escritura en Web, con el principio de ensayo-error. Aprender interactuando Es el uso de plataformas de manejo de contenidos, que disponen de hipervínculos, posibilidad de intercambiar ideas, significando comunicación entre pares. Aprender buscando Es lo que se realiza antes de escribir un trabajo, ensayo o ejercicio, buscando fuentes para obtener información. Aprender compartiendo Es la idea de compartir información, conocimiento y experiencia, siendo un proceso que permite el aprendizaje colaborativo, teniendo en claro que tener acceso a información no es aprender, sino que la instancia de compartir objetos de aprendizaje que contribuyen significativamente al proceso educativo. Aprender siendo (SEELY, J., 2008)Destaca que en comunidad se puede aprender a aprender y aprender a ser participantes legítimos. Se toman compromisos con las prácticas y normas de una profesión, creándose comunidades de experiencia práctica como grupo social para un conocimiento especializado, dándose el proceso de aprendizaje por medio de la participación en un grupo de personas con experiencia. Cuadro 7: Aprendizaje 2.0. Fuente: http://www.iniciativ asocial.net/?p=288#sdf ootnote3sy m. Adaptado de la f uente mencionada. Elaborado por: LSI Jorge Vera Mosquera.
  • 127.
    99 Estas innovaciones tecnológicasde la Web 2.0 facilitan la relación Docente-estudiante, fortaleciendo la producción de conocimientos debido a que representan estrategias centradas en los aprendices, que los motiva a aprender de un modo diferente y familiar, sobre todo por las grandes posibilidades que ofrecen las herramientas en red. Gráfico 41: Aprendizaje en el siglo XXI. Fuente:Tomado de http://w ww.iniciativasocial.net/wp-content/uploads/bucio2.jpg.Aprendizaje en el siglo XXI. Por:Pablo Navajo (2010). Paradigma Sharista El blogger (quien utiliza blogs-bitácoras) y emprendedor chino Isaac Mao en el libro FREESOULS(MAO, I., 2008), del empresario y fotógrafo Joi Ito, director de Creative Commons, publica un artículo: Sharism: A Mind Revolution (Sharismo: Una Revolución de la Mente), donde concibe que el sharismo (o compartismo, derivado de la palabra share en inglés),donde hace notar que el Sharismo es el espíritu de la Web 2.0, por el hecho de poder compartir, haciendo del mundo un gran cerebro social, un híbrido de personas y software. Esta teoría es parte de la corriente del Conectivismo.
  • 128.
    100 Se fundamenta enla neurociencia y en el estudio del funcionamiento del cerebro. Como todas las neuronas funcionan bajo el principio de conectar y compartir, el cerebro es abierto, por lo que una red neuronal existe con la finalidad de compartir actividad e información, por lo que este modelo debe servir para inspirar ideas y tomar decisiones sobre redes humanas de colaboración. Surge en medio de las aplicaciones Web 2.0, como resultado del uso de los blogs que plasman y comparten conocimiento en la Internet. Es un socioculturalismo electrónico. Gráfico 42: Aplicaciones Web 2.0. Fuente: http://cmapspublic2.ihmc.us/servlet/SBReadResourceServlet?rid=1199391699483_6817024_9065&part Name=htmltext.Aplicaciones 2.0. Por:Dr. Juan Haro (2008). Hereda ideas de:  Conectivismo en aprendizaje.  Intercreatividad (Berners-Lee).  Inteligencia colectiva (Lévy).  Multitudes Inteligentes (Rheingold).  Sabiduría de las Multitudes (Surowiecki).  Arquitectura de la Participación (O’Reilly).
  • 129.
    101 Se fundamenta enel aprendizaje colaborativo u organizacional, desde las teorías del Knowledge Management (Gestión del Conocimiento) que reconoce a la colaboración como la herramienta más potente entre las disponibles para aprender. Vale resaltar que está en los planes de las iniciativas culturales orientadas al futuro, en el plano mundial. Gráfico 43: Inteligencia distribuida en grupo. Fuente:http://biankahajdu.files.wordpress.com/2009/12/cerebro.jpg?w=500&h=294. Sharismo. Por:Bianka Hajdu (2009). La importancia del trabajo en red y el empleo de redes sociales para comunicarse y cooperar, alimentan el “espíritu sharista” cuya práctica es continua, despertándose la creatividad, salvaguardando los derechos que el mismo público participativo respeta y ante lo contrario estarán los tribunales, que puede que al darse cuenta una persona de la utilidad de su conocimiento compartido puede olvidarse de su derecho de propiedad, que de querer mantenerlo lo puede hacer al momento de compartir. Por lo anterior, igualmente si se desea puede darse el consentimiento propio, re-compartiendo así en ecosistemas en línea con licencias reconocidas por seres humanos y computadores.
  • 130.
    102 Por lo expuesto,puede avizorarse que el flujo de información entre las personas será más flexible y productivo, ampliándose así las redes colaborativas dedicadas a compartir, creándose un nuevo orden social, a lo que el autor denomina: Una Revolución de la Mente. Ambiente personal de aprendizaje En el Conectivismo en si, como parte del marco de aprendizaje es importante disponer de un ambiente personal de aprendizaje para el estudiante (APA, o PLE - Personal Learning Environment), para que genere conexiones que permitan su autoaprendizaje y su aprendizaje colaborativo. Este APA debe facilitar al aprendiz lo siguiente: Buscar, filtrar, organizar, generar contenidos, compartir y poder comunicarse/conversar, es decir disponer de un conjunto de herramientas, servicios y conexiones que emplee para alcanzar metas de un modo autónomo que se relacionan con su alcance de competencias relacionadas con su proceso educativo. El Aprendizaje Permanente de la era actual demanda sobretodo dos competencias básicas fundamentales: Competencias digitales y aprender a aprender. Esto incluye tanto a Docentes como a estudiantes, es decir, un Docente también debe disponer de su APA. Estas competencias digitales pueden visualizarse aquí:
  • 131.
    103 Gráfico 44: Competenciasdigitales en el Conectivismo Fuente:Tomado de http://eaprendizaje.files.wordpress.com/2010/04/competencias- digitales.png.Competencias Digitales y Conocimiento Abierto. Por:Lara Tíscar (2009). ADELL, J. (2010) En su charla sobre “el diseño de actividades didácticas con TIC”, en JEDI 2010, Bilbao, menciona que las competencias digitales se componen al momento de cinco dimensiones: 1. Alfabetización Informacional, donde la información es tratada para: Definir, acceder, gestionar, integrar, evaluar, crear y comunicarla; en base a tres dimensiones en la persona: Cognitiva, técnico y ética-legal. 2. Alfabetización tecnológica, que significa comprender y utilizar las TIC para acceder, crear y compartir en diversidad de formatos. 3. Alfabetizaciones múltiples, que es: a. Usar lenguajes específicos: Textual, numérico, icónico, visual, gráfico, sonoro. b. Interpretar, comunicar, expresar y crear mensajes multimedia.
  • 132.
    104 4. Competencia cognitiva,que significa: a. Habilidades cognitivas de alto nivel: Análisis, síntesis, evaluación, etc. b. Capacidad de resolución de problemas. 5. Ciudadanía digital, que es: a. Actitud crítica y reflexiva ante la información que se recibe. b. Comprender el impacto social y económico de la tecnología. c. Usar la tecnología de forma autónoma y responsable. d. Evaluar información y tecnologías. e. Respetar las leyes. ADELL, J. & CASTAÑEDA, L. (2010) Definen al APA como “el conjunto de herramientas, fuentes de información, conexiones y actividades que cada persona utiliza de forma asidua para aprender” (página 7). Al Desarrollo Profesional Docente (DPD) hay que darle también un enfoque de un proceso de adquisición de información a un proceso de aprendizaje socio-cultural basado en la participación y en la reflexión crítica, que ha sido fortalecido, innovado y en constante crecimiento debido a la presencia de las TIC, siendo una vía básica en esto un APA, que entre sus bondades implica la interacción y comunicación de un Docente con sus pares. El Docente toma un rol, cuyas actividades, tácticas y herramientas se pueden visualizar en el Anexo 30, y a su vez, debe tomar en cuenta ciertas orientaciones, que debido al fenómeno social significativo de la Internet, se han creado una serie de alternativas ilimitadas, por lo que se sugiere considerar lo siguiente, planteado por HERNÁNDEZ, A. (2008):
  • 133.
    105 Orientaciones para eldiseño de Experiencias de Aprendizaje Gráfico 45: Orientaciones para el diseño de Experiencias de Aprendizaje. Fuente:Tomado de http://w ww.monografias.com/trabajos62/experiencias-aprendizaje-era- digital/experiencias-aprendizaje-era-digital2.shtml#xorient. Experiencias de Aprendizaje en la era digital: Algunas orientaciones para su diseño. Por:Ana Hernández de Dolara (2008). Donde las experiencias se centran en el estudiante, quien es el responsable de su propio aprendizaje, teniendo que encontrar, producir y compartir conocimientos, por tanto compone sus propios contenidos en base a las herramientas y recursos que se deben contemplar en la Experiencia de Aprendizaje. De igual modo, el Educador debe a su aprendiz enseñarle a construir su ambiente: Armando su red, guiándolo en este proceso de forma que pueda comunicarse con los demás, descubra y organice la información que se encuentra en la red de redes. ADELL, J. & CASTAÑEDA, L. (2011) Postulan en su exposición del 30 de junio en el Congreso E-DUCA llevado a cabo en CITA de la fundación GSR, Peñaranda-España, que el DPD debe contemplar tres puntos importantes:
  • 134.
    106 1. Cambios enlas ideas sobre enseñanza-aprendizaje. 2. Cambios en las prácticas docentes. 3. Mejora en los resultados de aprendizaje de los estudiantes. Significando en el Docente: DPD – significados a considerar Una Implicación intelectual y emocional propia. Analizar y cuestionar las propias ideas y prácticas. Trabajar en grupo y en el centro educativo en un contexto muy complejo. Concebir que la carrera docente es un marco imposible de ignorar. El Docente ha sido “desprofesionalizado” (uso de libro de texto) y burocratizado (la complejidad del conocimiento actual). Cuadro 8:DPD - significados a considerar. Fuente:http://w w w .slideshare.net/citafgsr/jordi-adell-y-linda-castaeda-el-desarrollo-profesional-de-los- docentes-en-la-era-internet-entornos-personales-de-aprendizaje-ple.Adaptado de la fuente mencionada, diapositivas 11 a 16. Elaborado por: LSI Jorge Vera Mosquera. Debiendo contemplarse: DPD – contemplaciones a considerar Existen dos paradigmas: Cognitivo y Socio-Cultural, que difieren mucho. En el propio concepto del conocimiento: Es un producto estático a un proceso dinámico. En la metáfora del aprendizaje: De conducto sustancial a participación. El conocimiento “reside en”: La cabeza de expertos y Docentes a ser distribuido. La metodología de enseñanza: Expositiva, instruccional a experiencial, participativa.
  • 135.
    107 Contexto de laformación: Curso, presencial o aprendizaje electrónico fuera del aula a cualquier momento o lugar, comunidades de práctica (incluyendo virtuales). ¿Quién enseña?: Expertos externos al centro educativo y al grupo (con entradas externas). Proceso previsto: Ignorancia, adquisición de conocimientos, aplicación práctica y participación legítima periférica, miembro activo de la comunidad, creador del conocimiento. Cuadro 9:DPD - contemplaciones a considerar. Fuente:http://www.slideshare.net/citafgsr/jordi-adell-y-linda-castaeda-el-desarrollo-profesional-de-los- docentes-en-la-era-internet-entornos-personales-de-aprendizaje-ple. Adaptado de la fuente mencionada, diapositivas 17 a 24. Elaborado por:LSI Jorge Vera Mosquera. Por lo que las estrategias efectivas del DPD se deben basar y orientar en: DPD – estrategias Resolución de problemas. Ofrecer oportunidades para que los Docentes trabajen juntos y con expertos. Facilitar la exposición de los Docentes a innovaciones en: Conocimientos, prácticas de la enseñanza y tecnologías de apoyo. Capacitar a los Docentes para probar nuevas estrategias y habilidades. Facilitar la reflexión sobre la propia práctica y la discusión orientada a un propósito. Cuadro 10:DPD - estrategias. Fuente:http://www.slideshare.net/citafgsr/jordi-adell-y-linda-castaeda-el-desarrollo-profesional-de-los- docentes-en-la-era-internet-entornos-personales-de-aprendizaje-ple.Adaptado de la fuente mencionada, diapositivas 17 a 24. Elaborado por:LSI Jorge Vera Mosquera. Aquí resulta importante el uso de un APA docente, que se distancia mucho de un tradicional, que es el que contempla libros, apuntes, enciclopedias, etc., a un Docente en red.
  • 136.
    108 Las fuentes deaprendizaje varían. Así vale notar dos ilustraciones gráficas planteadas por COURUS, A. (2008): Gráfico 46: Docente en red. Fuente:Tomado de http://w ww.slideshare.net/courosa/cnie-presentation- 379583.CNIE Presentation, diapositiva 11. Por:Alec Couros (2008). Hasta un Docente en red: Gráfico 47: Docente conectado en red. Fuente:Tomado dehttp://www.slideshare.net/courosa/rethinking-teaching-learning-in-a-networked- reality.Rethinking Teaching & Learning in a Netw orked Reality, diapositiva 25. Por:Alex Couros (2010). Ante lo que un enseñante, como lo manifiesta (COUROS, A., 2009)en su presentación plenaria en MoodleMoot, Canadá, del 3 de abril:
  • 137.
    109 Un Docente enred Se convierte en aprendiz de nuevo. Debe de aprender el uso de las herramientas tecnológicas. Absorber el medio. Participar en eventos. Encontrar una guía para estar en red. Explorar comunidades en línea. Ser crítico, con mente abierta. Compartir lo aprendido. Cuadro 11:Un Docente en red. Fuente:http://www.slideshare.net/courosa/knock-down-the-walls-toward-a-model-of-open- teaching.Adaptado de la fuente mencionada, diapositiva 37. Elaborado por:LSI Jorge Vera Mosquera. En la siguiente imagen vale notar las distintas posibilidades de una red de aprendizaje personal: Gráfico 48: Red personalde aprendizaje. Fuente:http://edtechpost.w ikispaces.com/file/view /MyPLN.png/256240556/MyPLN.png.PLE Diagrams. Por: Jaime Oyarzo (2011).
  • 138.
    110 Al observar estaimagen se afirma lo que Jordi Adell estima que un PLE debe tener: 1. Herramientas y servicios que la persona elige. 2. Recursos o fuentes de información. 3. Una red personal de aprendizaje. Los Entornos virtuales personales en Internet siempre han existido, desde el momento que se tomó presencia en el ciberespacio, en la forma que sea, el asunto está en qué y cómo se conjuntan estos entornos de información, investigación, relación, colaboración y participación, para obtener un propio APA. Vale recalcar que estos escenarios no son fijos, y que mas bien se encuentran en constante evolución dado que la Web se innova, existiendo ya una proyección de la presencia de la Web 3.0 cuya notoriedad se asentará en poco tiempo. Teorías de aprendizaje y tic Gráfico 49: Conductismo, Cognitivismo, Constructivismo y Conectivismo. Fuente: Tomado y adaptado de http://3.bp.blogspot.com/_4qPTgHl_Pw8/TUXlGkF- VoI/AAAAAAAACLY/NY22E45866A/s1600/20110205_Modelos_pedag%25C3%25B3gicos.jpg. Nuevas tendencias y perspectivas de futuro para la Educación Superior. Por: Paco Tarnera (2011).
  • 139.
    111 Cada práctica educativaha sido y es influenciada en su momento por un modelo, y aquello en una forma u otra influye en la práctica docente, llámesele por costumbre, experiencia, concepción personal, etc. Estas corrientes son: Conductismo, Cognitivismo, Constructivismo y Conectivismo, en que las tres primeras recibieron un enfoque de diseño instruccional en su relación con las TIC, en su tiempo. En la imagen siguiente se nota cómo se relacionan las diferentes teorías del aprendizaje, basadas en las preguntas de ERTMER, P. & NEWBY, T. (1993), utilizando las preguntas SCHUNK, D. (1991) más dos preguntas que ellos crearon para distinguir cada teoría de aprendizaje, presentándose al Cognitivismo como última columna debido a que fue una corriente posterior a las restantes. Gráfico 50: Conductismo, Cognitivismo, Constructivismo y Conectivismo - Preguntas Ertmer y New by. Fuente:Tomado de http://teduca3.wikispaces.com/file/view/ComparacionTeorias.JPG/187311943/ComparacionTeorias.JPG. Por:George Siemens.
  • 140.
    112 Didáctica La palabra didácticaviene del griego didastékene que significa didas- enseñar y tékene- arte, por lo que puede decirse que es el “arte de enseñar”. La acción educativa requiere de una teoría y una práctica, donde la primera la proporciona la Pedagogía o la Andragogía según el caso, y la segunda lo hace la Didáctica, es decir el “cómo hacerlo”. La teoría y la práctica deben estar unidos en el proceso enseñanza-aprendizaje u orientación-aprendizaje de un modo sistemático, concibiendo la actividad de aprender como un trabajo metódico y consciente bajo el direccionamiento del Docente, en su calidad de facilitador, mediador, guía u orientador. En medio de esto se presentan principios didácticos que determinan el quehacer docente, y estos a su vez determinan reglas didácticas de carácter general y específico de acuerdo a la disciplina o asignatura a tratar. La importancia que en la Universidad se produzca y se distribuya el conocimiento, ha creado un reorganización sociocultural que redefine los roles de los profesionales, y entre ellos el del Docente. La respuesta ante lo mencionado es la Didáctica Universitaria, cuyo desarrollo tiene pocas décadas a la fecha, debido a la ausencia de su existencia por la concentración de estudio en las otras didácticas. Podría conceptuársela como lo define DÍAZ, D. (1999) como aquella “Didáctica especial comprometida con lo significativo de los
  • 141.
    113 aprendizajes del futuroprofesional, con su desarrollo personal y con el potencial de su inteligencia en función de las exigencias del contexto socio-político“(página 111). Las personas que llegan regularmente a estudiar en la Universidad son consideradas jóvenes-adultas, por lo que considerar la Educación en adultos es tomar en cuenta a la Andragogía (del griego andros “ser humano, persona mayor” y ago “conducir, guiar”), donde el aprender a aprender significa un aprendizaje andragógico. El protagonismo de este estudiante es totalmente diferente al de etapas anteriores de vida, debido a que tiene necesidades y objetivos personales diferentes y puntuales regularmente, sea para seguir una Educación formal o informal. La tarea docente en este caso es “enseñar a aprender” y la del joven-adulto es “aprender a aprender”. Las estrategias didácticas a emplearse a nivel superior, deben ser metacognitivas, es decir basarse en la metacognición, que es el conocimiento de uno mismo, el “cómo aprendo”, para que siendo consciente de aquello controle y maneje sus propios procesos mentales. La estrategia metacognitiva permite la fusión entre el conocer (cognición) y el aprender (la meta) de un modo consciente, lo que significa que sabe lo que sabe, explica lo aprendido y sobretodo sabe cómo seguir aprendiendo. El acto didáctico El acto didáctico o educativo, define la actuación del Docente para facilitar el aprendizaje de los estudiantes, para lo cual emplea estrategias de enseñanza que deben manifestarse en actividades dirigidas y
  • 142.
    114 adaptadas al aprendiz,empleando los recursos disponibles y los contenidos objetos de estudio. De igual modo, determina el uso de metodologías y medios en función de una organización concreta, facilitando al estudiante la información oportuna, así como la motivación y orientación del caso. Las actividades de enseñanza están unidas a los procesos de aprendizaje, que mediante las indicaciones del enseñante el educando realiza. En este último punto, son los medios didácticos los que facilitan la interacción facilitadora del aprendizaje, así como la información de los aprendices, siendo esto determinado por el escenario de aprendizaje que se halla armado como experiencia para aprender, ya sea en un entorno presencial, semi-presencial, a distancia o virtual. Gráfico 51: Aprendizaje con TIC. Fuente:http://peremarques.pangea.org/actodid.htm.La enseñanza, buenas prácticas, la motivación. Por:Pere Marqués (2011). El recurso didáctico contribuye a proporcionar información al estudiante, técnicas y motivación para su aprendizaje, dependiendo su eficacia del modo en que el Docente guíe su uso en el marco estratégico
  • 143.
    115 didáctico que utilice,siendo el acto de enseñar un acto de comunicación, en el que se comparte conocimientos, experiencias, sentimientos, ideas, valores y creencias propios de la cultura de determinado grupo social, lo que reafirma que la comunicación didáctica es fundamental en un proceso de aprendizaje. En un sentido amplio los recursos didácticos abarcan a los materiales y los medios que se emplean en el proceso educativo, que sirven para una experiencia sensorial en el aprendiz, pudiendo ser didácticos o usarse didácticamente. En la siguiente imagen se puede apreciar una clasificación al respecto. Gráfico 52: Clasificaciónde los recursos didácticos. Fuente:http://peremarques.pangea.org/uabpp/recurdid.JPG.Los medios didácticos. Por:Pere Marqués (2011). La estrategia didáctica es el conjunto de actividades (acciones) que el Docente establece con una intención clara y precisa de alcanzar los objetivos educativos, de modo que los estudiantes transiten en caminos ya instaurados por él, de tal manera que junto a ellos, puedan construir y reconstruir el conocimiento, en función de los contenidos ya implantados.
  • 144.
    116 Gráfico 53: Etapasde la estrategia. Fuente:http://www.rieoei.org/imgexpe/escala02.gif.Aprendizaje/Interacción. Por:Leticia Báez (2008). Puede ser:  Desde la perspectiva del aprendiz, de aprendizaje y  Desde la perspectiva del Docente, de enseñanza. Así, se pueden visualizar estrategias de aprendizaje con el empleo de las TIC, tratando:  Herramientas tecnológicas o estrategias metodológicas para dirigir, controlar y evaluar la forma de aprender: o Aprendizaje autónomo. o Trabajo colaborativo. o Trabajo sincrónico. o Trabajo asincrónico.
  • 145.
    117 Gráfico 54: Estrategiasde aprendizaje con TIC. Fuente:http://1.bp.blogspot.com/-kkM3wUAoWsk/TfglD- giPQI/AAAAAAAAAA0/tObm2JSuMyY/s1600/w638emd_New -Sheet.jpg, Mapa Conceptual Estrategias de Aprendizaje. Por:Mónica González (2011).
  • 146.
    118 Si se enfocaa las estrategias de enseñanza, la siguiente imagen iluminará al respecto: Gráfico 55: TIC como estrategia, método y contenido. Fuente:http://www.scielo.org.ve/img/fbpe/ip/v23n3/art11fig1.gif.Modelo teórico metodológico para la incorporación de las tecnologías de información y comunicación en la formación docente de pregrado a distancia. Por:María Calzadilla (2008). A nivel universitario, el núcleo de toda estrategia didáctica será la motivación y la comprensión del estudiante. Si se trata de estrategias tradicionales aplicadas con TIC, se menciona lo siguiente entre las más generalizadas:
  • 147.
    119 Estrategias de enseñanzatradicionales aplicadas con TIC Estrategia Detalle Objetivos o propósitos de aprendizaje Son enunciados del proceso educativo a llevar a cabo. Podemos crearlo con un Procesador de palabras, un presentador, etc. Organizador previo Información introductoria y contextual. Puente cognitivo entre información nueva y previa. Podemos crearlo con un presentador o software exclusivo para ello. Ilustración Hace referencia a representaciones visuales. Podemos crearlo con software de diseño gráfico, de animación, de video, etc. Analogía Proposición que indica semejanza entre dos cosas. Podemos crearlo con una ilustración de un presentador, software gráfico, programas de voz, o narrado. Preguntas intercaladas Preguntas insertadas en una situación o momento de la enseñanza. Podemos crearlo con software para cuestionarios y/o realizando preguntas en vivo. Pistas tipográficas o discursivas Señalamientos relevantes en un momento de la enseñanza. Podemos crearlo resaltando colores, creando movimientos o usando conectores. Mapas conceptuales y redes semánticas Representación gráfica del conocimiento. Lo podemos hacer con software específico para ello. Cuadro 12:Estrategias de enseñanza tradicionales aplicadas con TIC. Fuente:http://www.slideshare.net/carmary/estrategias-didcticas-con-tic.Adaptado de la fuente mencionada, diapositivas 7 a 13. Elaborado por:LSI Jorge Vera Mosquera.
  • 148.
    120 Si se deseacrear estrategias de enseñanza con apoyo de las TIC: Estrategias de enseñanza con apoyo de las TIC Estrategia Detalle Correo electrónico Para asesoría asincrónica, flexible en tiempo y espacio. Chat Para asesoría sincrónica, con hora acordada y para pequeños grupos. Foro Para asesoría asincrónica, participante se suscribe, lee intervenciones y aporta ideas sobre el tema propuesto. Wiki Como herramienta de trabajo colaborativo, donde los estudiantes son los desarrolladores de sus contenidos en función de los objetivos propuestos. Webquest Actividades de aprendizaje realizadas con recursos preseleccionados en Internet por el Docente, a los cuales accesan los aprendices seleccionando y analizando la información que contiene el objeto buscado en base a los temas fijados en la tarea. La caza del tesoro Es una hoja de trabajo o sitio web donde existen una lista de preguntas que los dicentes van a responder, incluyéndose al final la “gran pregunta” cuya respuesta no está directa en las preguntas anteriores, pero que exige valorar e integrar lo aprendido durante la búsqueda. Blog(bitácora) Sitio web que contiene artículos ordenados por fecha en base a un interés o tópico de intención. Cuadro 13:Estrategias de enseñanza con apoyo de las TIC. Fuente:http://www.slideshare.net/carmary/estrategias-didcticas-con-tic.Adaptado de la fuente mencionada, diapositivas 14 a 22. Elaborado por:LSI Jorge Vera Mosquera.
  • 149.
    121 Al observarse elAnexo 31, se obtiene que en base al uso y momento de presentación, las estrategias pueden incluirse antes (pre- instruccionales), durante (co-instruccionales) o después (post- instruccionales) de un contenido curricular específico. Pre-instruccionales, preparan y alertan al aprendiz en relación al qué y cómo se va a aprender. Lo común es establecer los objetivos y una organización previa. Co-instruccionales, apoyan el contenido curricular durante el proceso de enseñanza. Podemos utilizar mapas mentales, mapas conceptuales, redes semánticas, ilustraciones, etc. Post-instruccionales, se presentan después del contenido que se ha de aprender, permitiendo al dicente formarse una visión integrada, en síntesis e inclusive crítica de lo tratado, como a su vez le sirve para valorar su propio aprendizaje. Puede usarse para esto: Preguntas intercaladas, resúmenes, mapas conceptuales y mentales, redes semánticas, como cualquier organizador gráfico conveniente. La siguiente imagen muestra un modelo de diseño de una unidad didáctica con TIC: Gráfico 56: Modelo de diseño de una unidad didáctica TIC. Fuente:http://www.slideshare.net/Sisifo08/software-educativo-introduccin-presentation.Introducción al uso de software educativo. Por:José Pascual (2008).
  • 150.
    122 Criterios Pedagógicos delUso Didáctico de las TIC CABRERO, J. (2001) Manifiesta cuatro puntos importantes que valen la pena considerar en relación a los recursos audiovisuales, informáticos y telemáticos que maneje el Docente en sus procesos educativos. Ver Anexo 32. RIVEROS, V., MENDOZA, M. y CASTRO, R. (2011) Consideran que las TIC sirven para mejorar el proceso de enseñanza y aprendizaje, que al ser utilizadas implican tres fases:  Pre-activa: Es la preparación para la intervención formativa.  Intervención formativa: Que puede ser en o Formación en línea. o Entornos Virtuales de Aprendizaje (EVA). o Presencial con apoyo en TIC.  Post-activa: Son las actividades complementarias como comentarios en líneas, tutorías virtual, manejo de comentarios, entrega de evaluaciones y calificaciones, etc. La eficacia y eficiencia en el manejo de las TIC necesita una buena formación técnica y didáctica que le proporcione un buen saber hacer pedagógico con TIC. RIVEROS, V., MENDOZA, M. y CASTRO, R. (2011), consideran como competencias didáctico-tecnológicas docentes en este marco, lo que se puede ver en el Anexo 33.
  • 151.
    123 Los mismos autores,a su vez manifiestan que RODRÍGUEZ, I. (2004) propone la interrelación Educación y TIC como eje transversal para el logro de aprendizajes significativos, como se observa en la siguiente imagen: Gráfico 57: Aprendizaje Significativo entre Educación y nuevas tecnologías. Fuente:http://www.ice.deusto.es/RINACE/reice/vol2n1/Iniciarte_archivos/image001.gif .Nuevastecnologías un eje transversalpara ellogro de aprendizajes significativos. Por:Inciarte Rodríguez (2004). Como se ve, se plantea la necesidad de crear políticas de Estado para establecer condiciones desde las estructuras administrativas hasta la Formación Docente, dotar de recursos y crear cultura informática en toda comunidad educativa. Estos lineamientos estratégicos pueden ser adaptados en cualquier contexto educativo, pero denota claramente que la decisión política es vital para llevar adelante el uso de las TIC.
  • 152.
    124 Modelo TPACK El cómoaprender más y mejor con tecnología, el redescubrir la innovación TIC desde una perspectiva pedagógica, la necesidad de desarrollar habilidades críticas y al mismo tiempo dentro de un contexto propio de cada profesión, vislumbra el tener que vincular la interacción Docente-dicente con el conocimiento tecnológico y una Pedagogía más efectiva por parte de los Docentes, a quienes debe facilitárseles la innovación en: Conocimientos, prácticas de enseñanza y tecnología de apoyo. Esto lo compone íntegramente el modelo TPACK (Technological Pedagogical Content Knowledge). Gráfico 58 : Modelo TPACK. Fuente:http://www.tpack.org.TPACK – Conocimiento Tecnológico Pedagógico del Contenido. Por:Matthew Koehler (2011). Que reúne tres conocimientos básicos: Tecnológico, pedagógico y disciplinar, donde el Docente actual debe apuntar a encontrarse en el cruce de estos tres ámbitos. Esta estructura TPACK es hecha en base a la teoría PCK (Pedagogical Content Knowledge) de LeeShulman, quien habla del paradigma perdido en la investigación de la enseñanza.
  • 153.
    125 Esta teoría fueiniciada en 1983 por el autor mencionado en una conferencia dictada en Austin, en la Universidad de Texas, en que propone centrar la atención en el estudio del pensamiento del Docente sobre la enseñanza del contenido en una asignatura, incluyendo posteriormente la tecnología. El catedrático Punya Mishra y el Profesor adjunto Matthew Koehler, ambos de la Universidad de Míchigan, que construyeron el marco TPACK MISHRA & KOEHLER, (2008), MISHRA & KOEHLER, (2006), sostienen que la integración eficaz de la tecnología para enseñar un contenido requiere la comprensión, conocimiento y aplicación de tres componentes: Tecnología, Pedagogía y Contenido. Las tres dimensiones tratadas en el TPACK, no pueden ser tratadas libres de contexto. Las interrelaciones más directas son: Contenido y Pedagogía: Pedagogía Específica para enseñar un contenido. Contenido y Tecnología: Conocimiento tecnológico de ese contenido. Tecnología y Pedagogía: Pedagogía para usar la tecnología. A más de lo mencionado, el centro del TPACK es la necesidad de construir un conocimiento pedagógico en base a la tecnología para enseñar un contenido. Si se trata de identificar a cada dimensión, se tiene: Contenido: Saber qué. Tecnología: Saber con qué. Pedagogía: Saber cómo. Donde la finalidad educativa es para qué.
  • 154.
    126 Para implementarlo VALLEJO,C. (2013) se debe considerar lo que Judi Harris y Mark Hofer del College of William & Mary School of Educationsugieren:  Objetivos de aprendizaje  Definir experiencias  Secuenciar actividades  Definir estrategias de evaluación  Seleccionar tecnologías para desarrollar las actividades Una orientación se dispone en la siguiente imagen: Gráfico 59: Tecnologías a utilizar según actividades en un Modelo TPACK.- Ejemplo. Fuente:http://recursostic.educacion.es/observatorio/web/es/cajon-de-sastre/38-cajon-de-sastre/1092- monografico-introduccion-de-las-tecnologias-en-la-educacion?start=1.MONOGRÁFICO: introducción de las tecnologías en la educación – TPACK. Por:(VALLEJO, C., 2013).
  • 155.
    127 A su vezcrean distintos criterios de observación y evaluación del proceso a modo de orientación para escoger determinada tecnología: Gráfico 60: Criterios de observación y evaluación – Modelo TPACK. Fuente:http://recursostic.educacion.es/observatorio/web/es/cajon-de-sastre/38-cajon-de-sastre/1092- monografico-introduccion-de-las-tecnologias-en-la-educacion?start=1.MONOGRÁFICO: introducción de las tecnologías en la educación – TPACK. Por:(VALLEJO, C., 2013). Métodos y técnicas Ambos son fundamentales al momento de enseñar, y deben estar lo más cerca posible al modo de aprender de los estudiantes.
  • 156.
    128 Un método siempreindicará el camino, y la técnica el cómo recorrerlo. Cada método tiene sus técnicas y procedimientos. Técnica de enseñanza es el recurso didáctico que sirve para concretar un momento de la enseñanza, refiriéndose a la forma en que se usan los recursos didácticos de un modo efectivo en el aprendizaje del educando. Entre estas técnicas con el empleo de las TIC, a modo general tenemos: Técnicas con empleo TIC Técnica Software/Sitio Web Mapas conceptuales http://www.gliffy.com, http://www.wisemapping.com CmapTools, Edraw Mapas mentales http://www.mindomo.com, http://www.mind42.com Microsoft Office Visio, iMindMap Trabajo en grupo Google Docs, Zoho Docs Aprendizaje colaborativo http://www.moodle.org http://www.dokeos.com/ http://www.synergeia.org.ph/ Smart Notebook, NetOpSchool, NetSupport School, RealVNC Foro http://educaforo.com/ http://www.my-forum.org/ Actividades educativas multimedia http://www.educaplay.com/ http://clic.xtec.cat/es/index.htm (zona Clic) JClic, Ardora
  • 157.
    129 Grabar movimientos enel monitor Wink, Camtasia Audio digital http://odeo.com Proyectos http://www.mediawiki.org/ http://www.egroupware.org/ Cuestionarios http://www.quizrevolution.com/ http://www.proprofs.com/quiz-school/ Lluvia de ideas http://bubbl.us, http://mindmeister.com, Nova Mind, Dictation, Curio Pizarra en línea http://www.scriblink.com/, http://vyew.com/ Ensayos ComposeEssay Cuadro 14:Técnicas activas con elempleo de las TIC. Fuente:Sitios de software educativo en Internet. Elaborado por:LSI Jorge Francisco Vera Mosquera. Medios didácticos Partiendo del concepto que un medio es un canal por el cual fluye la comunicación, un medio didáctico es un material que facilita la comunicación Docente-dicente, de modo que favorece al proceso enseñanza-aprendizaje u orientación-aprendizaje. Por ejemplo: Un libro, un programa multimedia para realizar prácticas de un lenguaje de programación. MARQUÉS, P. (2011), considera que al analizar un medio se deben identificar los siguientes elementos:
  • 158.
    130 Elementos de unmedio didáctico Sistema de símbolos (textuales, icónicos, sonoros) que utiliza. En el caso de un vídeo aparecen casi siempre imágenes, voces, música y algunos textos. Contenido material (software), integrado por los elementos semánticos de los contenidos, su estructuración, los elementos didácticos que se utilizan (introducción con los organizadores previos, subrayado, preguntas, ejercicios de aplicación, resúmenes, etc.), la forma de presentación y el estilo..... En definitiva: información y propuestas de actividad. Plataforma tecnológica (hardware) que sirve de soporte y actúa como instrumento de mediación para acceder al material. En el caso de un vídeo el soporte será por ejemplo un cassette y el instrumento para acceder al contenido será el magnetoscopio. Entorno de comunicación con el usuario, que proporciona unos determinados sistemas de mediación en los procesos de enseñanza y aprendizaje (interacción que genera, pragmática que facilita...). Si un medio concreto está inmerso en un entorno de aprendizaje mayor, podrá aumentar su funcionalidad al poder aprovechar algunas de las funcionalidades de dicho entorno. Cuadro 15:Elementos de un medio didáctico. Fuente:http://peremarques.pangea.org/medios.htm.Adaptado de la fuente mencionada. Elaborado por:LSI Jorge Vera Mosquera. El mismo autor, a su vez considera tres tipos de medios:
  • 159.
    131 Grupos de mediosdidácticos Materiales convencionales  Impresos (textos): libros, fotocopias, periódicos, documentos...  Tableros didácticos: pizarra, franelograma,...  Materiales manipulativos: recortables, cartulinas...  Juegos: arquitecturas, juegos de sobremesa...  Materiales de laboratorio... Materiales audiovisuales  Imágenes fijas proyectables (fotos): diapositivas, fotografías...  Materiales sonoros (audio): casetes, discos, programas de radio...  Materiales audiovisuales (vídeo): montajes audiovisuales, películas, vídeos, programas de televisión... Nuevas tecnologías  Programas informáticos (CD u on-line) educativos: videojuegos, lenguajes de autor, actividades de aprendizaje, presentaciones multimedia, enciclopedias, animaciones y simulaciones interactivas... Servicios telemáticos: páginas web, weblogs, tours virtuales, webquest, cazas del tesoro, correo electrónico, chats, foros, unidades didácticas y cursos on-line...  TV y vídeo interactivos. Cuadro 16:Tipos de medios. Fuente:http://peremarques.pangea.org/medios.htm.Adaptado de la fuente mencionada. Elaborado por:LSI Jorge Vera Mosquera.
  • 160.
    132 Metodología y tic Elincorporar las TIC en el aula implica reajustar los métodos de enseñanza a condiciones de aprendizaje centradas en el estudiante, que promuevan su autonomía, su aprender a aprender y ser el creador de su propio conocimiento, para así mismo compartirlo. El aprendizaje cambió. Gráfico 61: Educación 1.0 a Educación 2.0. Fuente:http://blog.wiseri.com/es/espanol-red-educacion-pedagogia-2-0/.Red-Educación: Pedagogía 2.0. Por:Enrique Rodríguez (2011). Hay que dejar de decir que se usan las TIC, y empezar a hablar de buenas prácticas didácticas al emplearlas en el quehacer educativo. Es indiscutible que la tecnología brinda infinidad de medios y recursos, pero es la metodología docente la que debe evolucionar, porque las TIC son herramientas que permiten el trabajo, es decir, son simplemente herramientas.
  • 161.
    133 Vale observar ochoideas para dinamizar las clases y motivar a los estudiantes con el empleo de la tecnología, atendiendo la sugerencia de LEÓN, F. (2011): Gráfico 62: Ocho ideas para dinamizar las clases y motivar clases con tecnología. Fuente:http://www2.gobiernodecanarias.org/educacion/clicescuela20/blog/blog/2011/11/25/8grandes- ideas/. Por:Francisco León. Sin enfocarse en la metodología como un proceso de entregar un contenido, y entendiendo a éste como un conocimiento estructurado, el deber docente está en que el dicente encuentre el sentido y significado, en base a un saber previo que en él se encuentre, siendo por tanto importante diagnosticar estos saberes precedentes, así como intereses, inquietudes, motivaciones y razones que se hallaren en el aprendiz, para que se motive en continuar con lo propuesto por el Docente. Un modelo base para esta situación que vale tener presente, es el TPACK, ya tratado anteriormente, porque un profesor de esta era debe tener el punto central entre lo pedagógico, el contenido y lo tecnológico.
  • 162.
    134 El cambio metodológicodebe adaptarse a un nuevo entorno formativo, en que con la presencia de la tecnología se trata de un nuevo escenario, donde el aprendizaje es el sentido y centrado en el estudiante. Software educativo Son los programas de computadora que se crean como medio didáctico para facilitar los procesos de enseñanza-aprendizaje u orientación-aprendizaje. Su importancia radica en la mediación pedagógica del computador para permitir un acceso al conocimiento. En cuanto a la aparición y evolución del software educativo, CATALDI, Z. (2000) hace notar lo siguiente como primeros pasos: Skinner (1958, 1963) formuló su teoría conductista del condicionamiento operante en los años treinta y, durante los primeros años de su carrera se interesó por la educación elaborando las “máquinas de enseñanza” y los “sistemas de instrucción programada”. El cambio conductual en el "condicionamiento operante" se da a través del refuerzo diferencial por aproximaciones sucesivas hacia la forma de comportamiento deseada, mediante el proceso de moldeamiento para modificar la conducta.(Página 8). Posteriormente con la evolución de la programación en el mundo informático, y en relación a lo anterior. La misma autora se refiere así: Durante los años sesenta aparece una corriente de “programadores” (Deterline, 1969), que empezaron a “programar” de una manera muy fácil, y, que careciendo de formación docente, tomaban un libro de texto, borraban alguna palabra de una frase elegida y la sustituían por una línea horizontal, para que el alumno anotara allí su respuesta. Repetían la frase varias veces por cada cuadro, pero borrando una palabra diferente cada vez. (Página 8).
  • 163.
    135 Es en estaépoca que se comienza a hablar de una buena “programación didáctica”, en base a los objetivos generales del Curriculum, programando secuencias y hacer seguir cuadros, estudiándose el tipo de respuesta más adecuada y la retroalimentación adecuada a la necesidad del caso, para posteriormente pasar a la evaluación y revisión de lo programado en función de las respuestas del dicente. De igual forma la autora hace notar los siguientes puntos relevantes en esta evolución inicial:  En este tiempo los objetivos operacionales y conductuales toman importancia a partir de un trabajo de MAGER, R. (1967) que sirvió para los escritores de enseñanza programada. El objetivo era describir una conducta observable y sus logros.  En las décadas de los sesenta y setenta, una serie de autores se dedican a definir, elaborar y redactar objetivos conductuales, como GAGNÉ, R. (1970), quien da una tipología de los aprendizajes, y para cada uno de ellos reconoce fases, que son las condiciones psicológicas para un aprendizaje eficaz FERNÁNDEZ PÉREZ, (1995). Posteriormente, con el auge de los microcomputadores a finales de la década de los ochenta, el software educativo tomó mayor importancia, tal es el caso del lenguaje LOGO, desarrollado por el MIT (Massachusetts Institute of Technology), de gran uso hasta la actualidad en el mundo educativo, cuyo enfoque es constructivista (teoría de Bruner), en que se parte de la teoría de Piaget, que considera que el conocimiento se presenta con el desarrollo cognitivo que resulta de una interacción sujeto y objeto.
  • 164.
    136 Con la presenciadel Cognitivismo y como señala CATALDI, Z.(2000): El cognitivismo es una teoría de aprendizaje donde la mente es un agente activo en el proceso de aprendizaje, construyendo y adaptando los esquemas mentales o sistemas de conocimiento. Bruner (1991) sostiene que la revolución cognitiva tenía como objetivo principal recuperar la mente, después de la época de la "glaciación conductista" (Hernández, 1998). (Página 10). La idea estaba en indagar sobre los procesos de construcción de los significados y producciones simbólicas, para identificar la realidad de alrededor. Pero, con el avance de la Informática y los computadores, la autora hace notar: Dentro de la teoría cognitiva los psicólogos del procesamiento de la información usan la analogía de la computadora para explicar el aprendizaje humano, con el supuesto básico de que todo aprendizaje consiste en formar asociaciones entre estímulo y respuesta. (Página 10). Considera ante esto a dos autores de esta corriente: Según Gardner (1987) y Rivière (1987): "el paradigma del procesamiento de la información dentro de la psicología educativa, se inserta en la gran tradición racionalista de la filosofía, que otorga cierta preponderancia al sujeto en el acto del conocimiento". (Página 10). CATALDI, Z. (2000) Dentro del Cognitivismo toma en cuenta los siguientes puntos:  Vygotsky, desde su modelo sociocultural da importancia al entorno sociocomunicativo del aprendiz, manifestando que el cambio cognitivo se presenta en la zona de desarrollo próximo(ZDP), es decir la distancia entre el nivel de desarrollo y el nivel posible,
  • 165.
    137 mediante la resoluciónde problemas con la asistencia de un tutor, pudiendo presentarse el aprendizaje repentinamente por un sentido gestáltico. A estas ideas de Vygotsky, Bruner denominó “andamiaje” educativo para brindar apoyo, que al utilizarse el computador como herramienta, permite ampliar el alcance del estudiante como el realizar tareas selectivas cuando lo necesite.  Resaltar el aprendizaje significativo, considerando que se dará cuando la persona perciba al tema como importante para él, destacando la estructura lógica interna que plantea Ausubel, para quien el incorporar un nuevo conocimiento, es para un sistema previo que ya está organizado, y tendrá alguna relación con los nuevos. Así es como surgen los mapas conceptuales de NOVAK, J & BOWIN, D. (1988) para representar relaciones significativas, que actualmente es el fundamento de la red semántica, que es la base del software cognitivista en la Educación. Posteriormente destaca la Teoría Uno de PERKINS, D. (1995), que fue codirector del Proyecto Cero de la Universidad de Harvard, quien afirmó que "la gente aprende más cuando tiene una oportunidad razonable y una motivación para hacerlo". Perkins en su obra “La Escuela Inteligente” señala que cualquier método válido de enseñanza encarna a la Teoría Uno, adaptándose a las necesidades particulares de un estudiante y del momento, siendo compatible con el Conductismo y el Constructivismo, sin enfatizar la autonomía del estudiante para facilitar la comprensión. Perkins señala la relación bilateral entre la Pedagogía de la comprensión y las imágenes mentales, afirmando lo siguiente: “se alimentan unas a otras como si fueran el Yin y el Yan de la comprensión”.
  • 166.
    138 GARDNER, H. (1993)Enuncia la “Teoría de las Inteligencias Múltiples”, sosteniendo que la inteligencia humana tiene dimensiones, a las que inicialmente identificó con siete: Lógico-matemática, lingüística, musical, espacial, cinético-corporal, interpersonal e intrapersonal. Esta última teoría supera a la de Perkins por ampliar las capacidades del ser humano, lo que diversifica los caminos pedagógicos, como el mismo Perkins lo afirmó en 1995. Con respecto a la relación persona-herramienta, PERKINS, D. (1985) menciona que la cognición humana se produce de una manera física, social y simbólicamente repartida. Esto aduce que la persona piensa y recuerda por el intercambio con otros, reforzando a LIBEDINSKY, M. (1995) cuyo manifiesto del marco pedagógico de la utilización de la tecnología en la Educación se lo puede leer en el Anexo 34. Vale también considerar el aprender a aprender, porque la metacognición es el conocimiento del propio estudiante en función de sus propias experiencias y sus propios procesos cognitivos. La evolución de los propios lenguajes de programación desde el lenguaje de máquina y ensamblador, hasta el lenguaje orientado a objetos, ha influido sobremanera en el desarrollo del software educativo. En cuanto a la aparición del software educativo, CATALDI, Z. (2000), comenta: “Por último aparecen los productos propiamente dichos de software educativo, con la difusión de las computadoras en la enseñanza, según tres líneas de trabajo, computadoras como tutores (enseñanza asistida por computadoras o EAC), como aprendices y como herramienta”(página 12).
  • 167.
    139 Los problemas paradesarrollar software educativo todavía subsisten, pues se relacionan con la mediación pedagógica, el crecimiento voraz de la tecnología, la necesidad de una metodología para desarrollar software propiamente educativo y establecer parámetros de evaluación del mismo, etc. Pudiendo decirse que un buen software educativo es aquel que permite alcanzar los objetivos educativos. Existen distintos puntos de vista para clasificar el software educativo. Uno de ellos se lo puede observar en el Anexo 35. GALLEGOS, G. (2007): Presenta otra clasificación: Gráfico 63: Clasificación del Softw are Educativo - Guillermo Gallegos. Fuente:http://www.slideshare.net/guillermo/informtica-educativa, diapositiva 6. Por:Guillermo Gallegos (2007).
  • 168.
    140 Resaltando que latendencia (como es en la actualidad) está en los recursos y aplicaciones educativas en Internet, uso de mundos virtuales, la utilidad del Software Libre, juegos multiusuarios y los juegos serios, en que el aprendizaje basado en Internet presenta el siguiente escenario entre sus posibilidades: Gráfico 64: Aprendizaje basado en Internet. Fuente:http://www.slideshare.net/guillermo/informtica-educativa, diapositiva 9. Por:Guillermo Gallegos (2007). Surgiendo en medio de ello la Educación Virtual o E-Learning (Electronic Learning). Gráfico 65: Educación Virtual. Fuente:http://www.slideshare.net/guillermo/informtica-educativa, diapositiva 11. Por:Guillermo Gallegos (2007).
  • 169.
    141 En que sumodalidad es a distancia o semi-presencial (Blended Learning). Entre las plataformas más utilizadas en esta línea están: Moodle, Dokeos, Claroline, ATutor,…, que vienen del Software Libre. En este sentido es importante destacar una tendencia cuyo desarrollo tiene pocos años, como es el caso del mundo virtual que se encuentra combinado, destacando Moodle en ello con su versión Sloodle. Gráfico 66: Sloodle. Fuente:http://www.slideshare.net/guillermo/informtica-educativa, diapositiva 14. Por:Guillermo Gallegos (2007). Esto se produce gracias a la evolución de la tecnología. Gráfico 67: Evolución de la Tecnología. Fuente:http://desarrollo-comunidades- virtuales.wikispaces.com/file/view/imagenwiki1.JPG/32170367/imagenw iki1.JPG. Por:Nancy Piriz, Susana Trabaldo,Beatriz Aquino, Graciela Lorenzatti, Eduardo Coquet (http://desarrollo- comunidades-virtuales.wikispaces.com). .
  • 170.
    142 LU, P. (2011)En cuanto a la evolución del software educativo, muestra una ilustración bastante interesante de observar: Gráfico 68: Evolución del Softw are Educativo. Fuente:http://3.bp.blogspot.com/-GG-U-I3N1DQ/TeBnut-5- pI/AAAAAAAAAAc/9ahRTSPsFzo/s1600/evolsofteduc111.jpg. Por:Parvy Lu. Porque es lo que está marcando la evolución de los últimos años, encontrándose el Constructivismo Social, una visión del Sharismo, el Cognetivismo y el Cognitivismo, en la forma como ya se ha tratado anteriormente en el presente trabajo. Docente 2.0 Es aquel Docente que emplea herramientas Web 2.0, que son aquellas que permiten comunicación interactiva, favoreciendo el aprendizaje colaborativo. Esto demanda un cambio de mentalidad orientada a motivar e implicar a los estudiantes, de ahí que también se hable de una actitud 2.0, universidad 2.0 y ciencia 2.0.
  • 171.
    143 La Universidad 2.0supone la adopción de la Web 2.0, que hace referencia a parámetros de una web colaborativa, en que la Universidad tiene un sentido más social, permitiendo una participación más abierta. La terminología Web 2.0 se asocia con Tim O'Reilly debido a la referencia hecha en la conferencia O'Reilly Media Web 2.0 en el 2004 O’ REILLY, T. (2006). El término se refería a una segunda generación en la historia de la web, en que su base está en la comunidad de usuarios y una serie de servicios que fomenta la colaboración, el intercambio y la construcción social. La Web 1.0 en cambio trataba de páginas estáticas en las que el usuario visitante no podía intercambiar información, ni colaborar o comentar. MUÑOZ, E. y MORENO, J. (2009) Manifiestan que una actitud 2.0 existe cuando la persona es: tolerante al error, es transparente, es auténtica, colabora, participa, permite que exista colaboración y participación, escucha y tiene en cuenta a todo el mundo sin prejuicios, deposita confianza en las personas, posee empatía, experimenta, es flexible, honesta, cree en la inteligencia colectiva como forma de generar conocimiento, etc. (Página 11). RODRÍGUEZ, E. (2010) en el sitio de iberestudios internacional menciona un Kit básico para un Profesor 2.0 en el que cita algunas herramientas elementales para un Docente que desea incluirse en la Web 2.0:
  • 172.
    144 Kit básico paraun Profesor 2. 0. Mail y chats Para enviar e intercambiar información y contenidos. Ej.: Hotmail,Yahoo, Zoho. Blogs Para exponer ideas y contactar personas con los mismos intereses. Ej.: Wordpress, Blogger, TypePad. Wiki Es crear conocimiento como proceso activo en construcción. Cada usuario deja huella de su aporte. Ej.: Wikipedia, TikiWiki. Redes sociales Para interactuar con otras personas. Ej.: Facebook, Twitter. RSS y agregadores Para estar informado de intereses comunes. El: Google Reader, Netvives, Bloglines. Presentadores Como Powerpoint. Ej: Slideshare, Zoho, e24presenter. Herramientas para compartir documentos Para compartir en línea todo tipo de documentos. Ej: Google Docs, Zoho Docs, Calameo, Scribd Cuadro 17:Kit básico para un Profesor 2. 0. Fuente:http://noticias.iberestudios.com/kit-basico-para-un-profesor-2-0/.Adaptado de la fuente mencionada. Elaborado por: LSI Jorge Vera Mosquera. Más herramientas 2.0 para uso docente se pueden encontrar en el sitio: http://cooltoolsforschools.wikispaces.com/Home. Un Profesor en base a esto puede crear nuevos ambientes de aprendizaje, cuya ilustración se puede visualizar a continuación CAMPOS, Y. (2006):
  • 173.
    145 Gráfico 69: Actividades,Productos y Recursos 2.0. Fuente:http://www.slideshare.net/yolacamposc/093innovacion-estrategias-informatica-v07,Innovación de estrategias didácticas y Educación Informática, diapositiva 15. Por:Yolanda Campos (2009).
  • 174.
    146 El proceso educativo Unaconcepción aproximada de Proceso Educativo, se puede derivar del propuesto por EPDB (Escuelas Populares Don Bosco) (http://www.epdb.info), en que es la “la acción sinérgica de la Comunidad Educativa que gestiona dinámica, corresponsable y pertinentemente elementos curriculares, planificativos y administrativos de acuerdo a una identidad propuesta por un centro educativo”. De aquí se puede deducir que el Proceso Docente Educativo es aquel proceso formativo eficaz y eficiente que da respuesta al encargo social. VELASCO, M. (2011) En su sitio web http://mirovelasco.blogia.com plantea considerar dos aspectos básicos en el Proceso Educativo: 1. Concepción educativa, en que puntualiza: Preguntas fundamentales para crear un Proceso Educativo ¿Para qué? Definir propósito, que está en relación al contexto del centro educativo. ¿Qué enseñar? Involucra directamente al Docente, en función de los conocimientos que tenga del Curriculum y contenidos necesarios, por lo que se habla de una construcción curricular. Un ejemplo de aquello se dispone en la siguiente dirección en Internet: http://www.eduteka.org/ci2/Ayuda.php ¿Cómo? Se trata de la metodología a emplear. ¿Con qué? Está en relación a los recursos y ayudas didácticas que el centro educativo disponga, sin limitarse a aquello, por lo que el recurso tecnológico entra en juego en este instante. ¿Cuándo se cumple? Se refiere a cuándo se cumple el proceso, cuya respuesta está con la evaluación, considerando todas sus variantes, sobre todo durante el proceso. Cuadro 18: Preguntas fundamentales para crear un Proceso Educativo. Fuente:http://willyfigueroa.wor dpress.com/2010/08/21/pr eguntas-al-disenar-un-proceso-educati vo/. Adaptado de la fuente mencionada. Elaborado por: LSI Jorge Vera Mosquera.
  • 175.
    147 2. Tecnología educativa,Está en relación a los procedimientos, técnicas e instrumentos que se utilizan para aplicar una concepción educativa, siendo por tanto una aplicación racional. Siendo la evaluación de vital importancia en el Proceso Educativo, obsérvese el siguiente esquema su papel al cerrar y reiniciar el proceso, que está presente en todo momento. Gráfico 70: Componentes del Proceso Docente Educativo. Fuente:http://biblioteca.ucn.edu.co/repositorio/Diplomados/politecnico/Mod2/imagenes/ComponentesPr oceso.gif. Por:Biblioteca VirtualCatólica del Norte, Cibercolegio UCN y Fundación Universitaria. Proceso enseñanza-aprendizaje OSPINA, A. (2008), en su sitio web http://300-lideres.blogspot.com presenta una concepción actualizada al respecto, identificándolo como un modelo educativo básico, que consta de dos fases: Enseñanza y Aprendizaje, en que el Docente enseña y aprende, y el dicente aprende y enseña, por lo que enseñar y aprender se complementan entre sí. Planteando que en la actualidad hay que enseñar a enseñar y aprender a aprender.
  • 176.
    148 Gráfico 71: ModeloEducativo Básico. Fuente:http://2.bp.blogspot.com/_O6py4-QLGrI/SPVUpqnUgQI/AAAAAAAAAOI/p0EzDqffP_w/s1600- h/MODELO+EDUCATIVO+B%C3%81SICO1.jpg. Por:Alejandro Ospina (2008). Esta concepción hace que tanto Docente y dicente caminen a niveles superiores de competencia, experiencia, habilidad y conocimiento, donde la autonomía educativa surge como un condicionamiento en la presente época, gracias al aprender a aprender, generado por el enseñar a enseñar. La evaluación ayudará a determinar la situación, tomándose la retroalimentación necesaria, y es mutua entre Docente y educando, tomando en cuentas los procesos y los contenidos educativos. Integración de tic en el proceso enseñanza-aprendizaje Las TIC producen cambios que ofrecen un potencial que genera desafíos para transformar el mundo de la Educación. RODRÍGUEZ, E. (2009) en la enciclopedia virtual http://www.eumed.net, menciona que las variantes que se generan en el enseñar y aprender, así como en las estructuras de los centros educativos, conducen a cambios de organización y cultura que AVIRAM, R. (2002) identifica en tres escenarios:
  • 177.
    149  Tecnócrata: Lainstitución educativa realiza pequeños ajustes, como alfabetización digital de los dicentes, para utilizar las TIC como elemento de productividad (aprender sobre TIC), fuente de información y proveedor de material didáctico (aprender de las TIC).  Reformista: Cuando se presentan tres niveles de integración como referencian MARTÍN, J. BELTRÁN, J. y PÉREZ, L. (2003): Los anteriores (aprender sobre TIC y aprender de las TIC) y se introducen en las prácticas docentes nuevos métodos de enseñanza-aprendizaje constructivistas que contemplan las TIC como instrumento cognitivo (aprender con las TIC) y así realizar actividades interdisciplinarias y colaborativas.  Holístico: El centro educativo reestructura sus componentes. Como lo menciona MAJÓ, J. (2003): La escuela y el sistema educativo no solamente tienen que enseñar las nuevas tecnologías, no sólo tienen que seguir enseñando materias a través de las nuevas tecnologías, sino que estas nuevas tecnologías aparte de producir unos cambios en la escuela producen un cambio en el entorno y, como la escuela lo que pretende es preparar a la gente para este entorno, si éste cambia, la actividad de la escuela tiene que cambiar. DÍAZ, P. (2004) en la Primera Jornada del Campos Virtual en la Universidad Carlos III de Madrid, puntualiza que el proceso Enseñanza- Aprendizaje es bidireccional en que intervienen:  Los útiles y materiales de apoyo tradicionales, como libros, enciclopedias, materiales de laboratorios, etc.
  • 178.
    150  Herramientas decomunicación de tipo: o Presencial/remota. o Privada/pública. o Personal/en grupo. o Sincrónico/asincrónica. o Unidireccional/bidireccional. Si se quiere considerar a las herramientas para el proceso enseñanza-aprendizaje, en función de la sincronización y la dirección, el siguiente cuadro facilita al respecto una visión: Herramientas para el proceso Enseñanza-Aprendizaje Sincronización/ Dirección Sincrónica Asincrónica Unidireccional Clase/Seminario en línea Mensajes (correo, SMS...) Tablones de anuncios Repositorios de información... Bidireccional Discusiones online (teleconferencia, vídeoconferencia..)... Lista de preguntas frecuentes (FAQs), Foros.. Cuadro 19:Herramientas para el proceso Enseñanza-Aprendizaje. Fuente: http://w w w .ucm.es/data/cont/media/w w w /pag-10766/PDiaz.ppt.Adaptado de la fuente mencionada, diapositiva 4. Elaborado por: LSI Jorge Vera Mosquera.
  • 179.
    151 Nótese que alcombinar los ejes de sincronización y dirección, se dispone de técnicas que pueden ser empleados en el escenario educativo que el Docente estime. Las razones para entender la integración de las TIC en la docencia, pueden partir de cinco dimensiones que considera GALVIS, Á (2008) en su publicación conocida como la PIOLA, que es un acrónimo que considera cinco dimensiones para comprender la presencia de las TIC en la Educación, que se detalla a continuación: Acrónimo de PIOLA P TIC para mejorar la Productividad individual, simplificando actividades y ampliando nuestra capacidad personal. I TIC para mediatizar la Interacción con otros individuos o con grupos, dialogando sincrónica o asincrónicamente en la red. O TIC para explorar conjeturalmente Objetos de estudio, apoyando indagación, construcción y expresión de conocimiento. L TIC para apoyar Labores educativas, como la preparación de clases y pruebas, y la creación y administración de ambientes de aprendizaje. A TIC para ampliar nuestro Acervo cultural, científico y tecnológico, manteniéndonos actualizados en lo que nos interesa, a partir de consulta a fuentes directas. Cuadro 20:Acrónimo de PIOLA. Fuente: La PIOLA y el Desarrollo Profesional Docente con apoyo de Tecnologías de Información y Comunicación - TIC. Página 4. Elaborado por: LSI Jorge Vera Mosquera. Adaptado de la fuente mencionada, por Álvaro Galvis (2008). Si se desea ampliar al respecto el uso de algunas herramientas a emplear para el proceso enseñanza-aprendizaje, se puede ver el Anexo 36.
  • 180.
    152 Integrar las TICen el proceso Enseñanza-Aprendizaje significa integrarlas al currículo, para lo cual la Fundación Gabriel Piedrahita Uribe EDUTEKA (2008) presenta el siguiente modelo: Gráfico 72: Modelo para integrar las TIC en el Proceso Enseñanza-Aprendizaje. Tomadode:http://www.eduteka.org/imgbd/22/22-27/modelo.gif. Por:EDUTEKA (2008). Este modelo se adapta a cualquier escenario educativo, que desee incorporar las TIC a su Proceso Enseñanza-Aprendizaje. De igual forma vale considerar los incidentes críticos que se podrían presentar para que las TIC alcancen su máximo potencial en el proceso E-A:
  • 181.
    153 Gráfico 73: Incidentescríticos al incorporar las TIC en el Proceso Enseñanza-Aprendizaje. Tomadode:http://cmapspublic3.ihmc.us/rid=1GXFQJ872-1MNYH0S- JH2/Incidentes%20cr%C3%ADticos%20para%20un%20potencial%20de%20las%20TIC.cmap?rid=1GXFQJ87 2-1MNYH0S-JH2&partName=htmljpeg,Incidentes críticos para potenciar la utilización de las TIC. Por:Gabriela Spadoni (2010).
  • 182.
    154 Gestión Docente Puede conceptuárselacomo el proceso que abarca funciones y actividades relacionadas con la Educación, que se deben llevar a cabo con el fin de alcanzar los objetivos educativos planteados por una organización educativa. El involucrar las TIC en la gestión docente significa entrar en un proceso de sensibilización y planificación, para que el centro educativo genere conciencia en los Docentes, direccionar los procesos de información y comunicación en relación a su gestión de desenvolvimiento de aula como con la administración de la entidad. La incorporación de TIC debe verse reflejada en el nuevo escenario del proceso educativo, como herramienta que trata un nuevo diseño del proceso didáctico y metodológico tradicional, en que la acción docente mueve procesos didácticos, metodológicos y técnicos, lo cual significa:  Capacitación docente, donde se relaciona con la Pedagogía, Andragogía, gestión y cultura informática.  Integrar las TIC al Curriculum.  Capacitar en TIC.  Capacitar vía TIC. Por lo que el Docente se redefine en su gestión:
  • 183.
    155 Gráfico 74: Gradualismopara integrar las TIC. Tomado de:http://www.juntadeandalucia.es/averroes/cepcastilleja/planactuacion/linea_tic_pac_0809/index.html. Por:Junta de Andalucía. TIC El significado de sus siglas nos dice mucho: Tecnologías de la Información y Comunicación. La Asociación americana de las tecnologías de la información ITAA (2007), menciona que es: El estudio, el diseño, el desarrollo, el fomento, el mantenimiento y la administración de la información por medio de sistemas informáticos, esto incluye todos los sistemas informáticos, no solamente la computadora, este es sólo un medio más, el más versátil, pero no el único; también los teléfonos celulares, la televisión, la radio, los periódicos digitales, etc. Las TIC tomaron impulso con el avance de la Internet y las comunicaciones, y es lo que llevó a su uso potencial en diferentes escenarios y contextos del convivir humano. Esto contribuyó mucho a que se hable de ellas en la presente era de la Sociedad de la Información (que surge en la última década del siglo XX), es decir que se dispone de datos que en cualquier situación colaboran a atender y hasta poder solucionar una necesidad.
  • 184.
    156 Pero también seconsidera en la actualidad la Sociedad del Conocimiento, debido a que los saberes ya establecidos, actuales o evolucionados, de igual modo se pueden encontrar mediante el uso de los medios tecnológicos. Pero, se marca una diferencia fundamental, el generar e innovar conocimientos, y es aquí la parte primordial que marca a la Universidad. Las TIC se ubican entonces entre dos contextos: La Sociedad de la Información/Conocimiento y el educativo, donde se interrelacionan la Pedagogía, Andragogía, Didáctica y la Tecnología. En medio de esto, nace la Tecnología Educativa (TE), que es una disciplina que combina la problemática del proceso enseñanza-aprendizaje (E/A) con el uso de la Tecnología. Rol del Docente ante las TIC GOMES, A. (2007) presenta el siguiente mapa conceptual que muestra los roles del Docente ante las TIC VALVERDE, J. & GARRIDO, M. (1999). Gráfico 75: Roles del Profesor. Tomadode:http://www.etutors-portal.net/portal-contents-es-es/pedagogy-es- es/Modelos_Educativos_Sociedad_Conocimiento.pdf. Modelos Educativos en la Sociedad del Conocimiento, página 2. Por:Aida Gómez (2007).
  • 185.
    157 Del cual seobtienen modelos en base a los contenidos que maneja: Modelo Profesor-Diseñador Gráfico 76: Modelo Profesor-Diseñador. Tomadode:http://www.etutors-portal.net/portal-contents-es-es/pedagogy-es- es/Modelos_Educativos_Sociedad_Conocimiento.pdf. Modelos Educativos en la Sociedad del Conocimiento, página 6. Por:Aida Gómez (2007). El Profesor, Diseñador y Autor son la misma persona. Modelo Autor-Diseñador Gráfico 77: Modelo Autor-Diseñador. Tomadode:http://www.etutors-portal.net/portal-contents-es-es/pedagogy-es- es/Modelos_Educativos_Sociedad_Conocimiento.pdf. Modelos Educativos en la Sociedad del Conocimiento, página 6. Por:Aida Gómez (2007). El Docente crea y elabora el material, para ser usado por otro Docente u otros Docentes ajenos al diseño y producción. Se asume que es un experto en contenido y domina el diseño didáctico y su implementación digital.
  • 186.
    158 Modelo Profesor-Autor Gráfico 78:Modelo Profesor-Autor. Tomadode:http://www.etutors-portal.net/portal-contents-es-es/pedagogy-es- es/Modelos_Educativos_Sociedad_Conocimiento.pdf.Modelos Educativos en la Sociedad del Conocimiento, página 7. Por:Aida Gómez (2007), El Docente crea sus propios materiales con apoyo externo de un Diseñador. Asegura la idoneidad del recurso y su estilo de enseñanza. Modelo Autoría Abierta Gráfico 79: Modelo Autoría Abierta. Tomadode:http://www.etutors-portal.net/portal-contents-es-es/pedagogy-es- es/Modelos_Educativos_Sociedad_Conocimiento.pdf.Modelos Educativos en la Sociedad del Conocimiento, página 7. Por:Aida Gómez (2007), El Docente implicado directamente en la enseñanza es distinto del Autor y éste también puede ser distinto del Diseñador. Se permite que un equipo investigador genere material para varios usuarios. Este modelo es adecuado para la Educación a distancia con recursos compartidos. Como se ve, es una nueva visión educativa, significando cambios en la gestión docente, por tanto los Educadores deben ser formados en este enfoque de la Educación Permanente. TÜNNERMANN, C. (1998) manifiesta:
  • 187.
    159 El educador parael siglo XXI, escribe el profesor colombiano Álvaro Recio, será un pedagogo-investigador con una honda formación humana y social, de modo que se convierta en agente de cambio de él mismo, de sus alumnos y de la comunidad circundante. (Página 13). La renovación educativa se impone, así como los cambios en la metodología y didáctica docente, se habla una nueva Pedagogía que ahora debe ser más profunda, sobre todo por su relación con el conocimiento, se redefinen los aprendizajes, se presenta un aprendiz activo en todo el proceso educativo, …, por tanto se debe revisar el papel, uso y aplicación de las TIC en la Educación universitaria. Gráfico 80: Rol del Docente en el uso e incorporación de TIC. Tomadode:http://www.iered.org/cmapserver/servlet/SBReadResourceServlet?rid=1H1GMHSFS-1RHS5MF- 1LQ. Apropiación de TIC en el desarrollo profesionaldocente, Ministerio de Educación Nacional de la República de Colombia, Programa Nacional de uso de medios y nuevas tecnologías. Página 10. Por:http://creandomedioseducativos.wordpress.com. La formación del Docente Universitario en TIC En la Era del Conocimiento la Educación tiene un reconocimiento universal, por tanto es el desafío más grande de cualquier sociedad en el planeta, por ser el sustento económico y político el capital intelectual de sus miembros, siendo su materia prima la información, el conocimiento y sus competencias cognitivas.
  • 188.
    160 Bajo este escenario,la Educación Superior vive en medio de referentes públicos y privados, homogeneidad y multiculturalidad, presencialidad y virtualidad, leyes y constituciones, servir a la sociedad y al mundo de mercado, …. En medio de esto, el Docente tiene el reto de formar ciudadanos críticos y conscientes de este marco, para atender las necesidades y contribuir a la solución de los problemas de su sociedad. Esto significa, que la Formación Docente debe partir bajo la plena conciencia de este contexto, porque el aprender y manejar las TIC cobra mayor sentido con una actitud concienciada de esta realidad. Más avante del uso de las TIC en los procesos de aprendizaje, es importante la innovación docente. LÓPEZ, M. (2007) ilustra gráficamente un escenario del Docente Universitario y su formación en TIC: Gráfico 81: Docente Universitario y Formación en TIC. Tomadode:http://vector.ucaldas.edu.co/downloads/Vector2_5.pdf.La formación delprofesorado universitario en tecnologías de la información y comunicación, página 45. Por:Marcelo López (2007).
  • 189.
    161 Se observa queel mundo actual, crea un contexto para Docentes y estudiantes para la observación, reflexión, corroboración de conceptos, compartir experiencias y obtener nuevas ideas y conceptos, sobresaliendo un paradigma constructivista y conversacional. En medio de esta situación, el mismo autor plantea que los modelos de Formación Docente en TIC posibles son basados en: 1. Acreditación tanto del Profesor, como de los programas académicos y de las instituciones. 2. Reflexión y observación de la actividad académica. 3. Enriquecimiento misional de cada institución. 4. Programas de investigación-acción: Incorporación direccionada de TIC, por proyectos de investigación, por producción académica. 5. Tutorías entre los mismos Profesores. Marcelo López hace notar que debido a la diversidad de las TIC en conjunto con sus aplicaciones, la innovación del Docente es de mucha importancia, para lo cual dispone de entre ellas de:  Plataformas virtuales para autoformarse e impartir docencia.  Internet y sus recursos: o De colaboración: Chat, email, foro, wiki, mensajería. o Gestión: Aplicaciones Web, Web 2.0, Web 3.0 (próximamente). o Búsqueda y encuentro de información (Buscadores). o Bases de datos. o Ofimática en línea. o Documentación en línea. o Repositorios de contenidos, imágenes y video en línea. o Simuladores.
  • 190.
    162 o Software libreen línea. o Software propietario en línea. o Herramientas y organizadores gráficos en línea. o Servicios de diseño, desarrollo y hospedaje Web libre y propietario en línea. El autor reconoce la propuesta de GALVIS, Á. (2006) sobre dimensiones y herramientas que pueden disponerse en el Anexo 37. A lo que Marcelo López propone agregarle tres dimensiones, tal como se observa en el Anexo 38. Como se ve, en la Formación Docente universitaria se debe valorar la “cultura informacional” en relación al manejo de las TIC, que induce a más allá de un medio didáctico, a la creación de una cultura organizacional y pedagógica, de comunicación y conocimiento. Competencias deseables de un Docente en el uso de las TIC Las necesidades formativas generadas por los avances de la cultura informática y las tendencias actuales de la Educación, demandan que se definan Estándares TIC en los Docentes, como una respuesta a la necesidad del diseño e implementación de las mismas. TORO, P., OCHOA, P., VILLEGAS, G. & ZEA, C. (2004) en el I Congreso Internacional de Educación Mediada por Tecnologías, realizado del 6 al 8 de octubre en la Universidad del Norte de Barranquilla- Colombia, en una iniciativa fomentada por el Consorcio Iberoamericano de Ciencia y Tecnología (ISTEC), presentan una propuesta al respecto apoyándose en el modelo Conexiones de la Universidad EAFIT de Colombia, los Estándares Internacionales de Tecnología en Educación de
  • 191.
    163 los EEUU(NETS) al2002, Estándares de la instrucción de la información para aprendizaje (TLS) al 2002, como también de un análisis de la propuesta de Pere Marqués, al 2004. Gráfico 82: Formación Conexiones. Tomado de:http://bdigital.eafit.edu.co/Jour nal/HRU100/Cuaderno35.pdf . Hacia un Modelo de Formación Continuada de Docentes de Educación Superior en el uso pedagógico de las Tecnologías de la Información y Comunicación, página 24. Por: Claudia Zea, María del Rosario Atuesta, Gustavo Villegas, Patricia Toro Beatriz Nicholls y Natalia Foronda (2005). Los autores concluyen:  Las propuestas del ISTE y de Pere Marqués, tienen relación al centrarse en el Docente y comparten en primera instancia el desarrollo instrumental, y el manejo de información en Internet hace referencia a las Competencias de manejo de Información (CMI). Ver Anexo 39.  Crear una propuesta en base a los cuatro pilares de la Educación de la UNESCO del saber: Saber, hacer, ser y convivir, agrupando con tres componentes transversales: Conceptual, procedimental y actitudinal, definiendo según el caso las competencias en: Básicas, deseables y avanzadas. Ver Anexo 40.
  • 192.
    164 Existen también otrosestándares internacionales que se pueden disponer en el Anexo 41. Normas UNESCO sobre Competencias en TIC para Docentes UNESCO (2008) propone en su proyecto de las NORMAS UNESCO sobre Competencias en TIC para Docentes (NUCTICD), tres ENFOQUES relacionados a la reforma educativa para el presente siglo, que se relacionan con la capacidad humana y se vincula con una política educativa de desarrollo económico, incrementando las capacidades de la mano de obra: 1. Nociones básicas de tecnología, para comprender las tecnologías, integrando competencias tecnológicas en los planes de estudio. 2. Profundización de los conocimientos, para utilizar los conocimientos y así añadir valor a la sociedad y a la economía, para resolver problemas reales y complejos. 3. Creación de conocimientos, para innovar y producir conocimientos y obtener provecho de los mismos. Creándose por ende una ruta de desarrollo a seguir: Nociones básicas de tecnología > Profundización de conocimientos > Creación de conocimientos. Estas NORMAS no se centran sólo en las competencias TIC, sino que se combinan con seis COMPONENTES: 1. Política y Visión.
  • 193.
    165 2. Plan deEstudios (Curriculum) y Evaluación. 3. Pedagogía. 4. Uso de la tecnología (TIC). 5. Organización y administración. 6. Desarrollo Profesional Docente. La combinación de los ENFOQUES y estos COMPONENTES mencionados forman una matriz que sirve de marco a las NUCTICD, donde en cada intersección se dispone de un módulo (ver Anexo 42), pudiendo observarse qué se busca al coordinarlos. (Ver Anexo 43). Cada uno de estos módulos posee sus competencias específicas con su respectiva programación y métodos acorde a cada enfoque de cambio educativo mencionado anteriormente: Nociones básicas de TIC, Profundización del Conocimiento, Generación de Conocimiento FGPU (2008). UNESCO (2011), publica UNESCO ICT COMPETENCY FRAMEWORK FOR TEACHERS (UNESCO marco de competencias TIC para Docentes), como una actualización a la versión anterior, producto del trabajo conjunto con INTEL, CISCO, ISTE y Microsoft, sobre la base de información y experiencia con expertos y usuarios del mundo. El marco que plantea es el siguiente (considerando como filas a los aspectos de trabajo del Docente y como columnas a enfoques en el mismo marco):
  • 194.
    166 Marco de competenciasTIC para Docentes - UNESCO Aspectos/Enfoques Alfabetización digital Profundizando conocimiento Creación de conocimiento Entendiendo las TIC en la Educación Política de sensibilización. Política de entendimiento. Política de innovación. Curriculum y Evaluación Conocimiento básico. Aplicación de conocimiento. Habilidades para la Sociedad del Conocimiento. Pedagogía Integrar tecnología. Resolver problemas complejos. Autogestión. TIC Herramientas básicas. Herramientas complejas. Herramientas persuasivas. Organización y administración Aula estándar. Grupos de colaboración. Organizaciones de aprendizaje. Aprendizaje Profesional Docente Alfabetización digital. Administrar y guiar. El Docente como modelo de aprendiz. Cuadro 21:Marco de competencias TIC para Docentes - UNESCO Fuente: UNESCO ICT COMPETENCY FRAMEWORK FOR TEACHERS.Adaptado de la fuente mencionada, página 3. Elaborado por: LSI Jorge Vera Mosquera.
  • 195.
    167 Los módulos atratar son de número variante según el caso: Módulos acorde al Marco de competencias TIC para Docentes - UNESCO Aspectos/Enfoques Alfabetización digital Profundizando conocimiento Creación de conocimiento Entendiendo las TIC en la Educación 1 1 1 Curriculum y Evaluación 2 2 2 Pedagogía 3 3 3 TIC 4 4 4 Organización y administración 5 5 5 Aprendizaje Profesional Docente 6 6 6 Cuadro 22:Módulos acorde al Marco de competencias TIC para Docentes - UNESCO Fuente: UNESCO ICT COMPETENCY FRAMEWORK FOR TEACHERS.Adaptado de la fuente mencionada, página 3. Elaborado por: LSI Jorge Vera Mosquera. En cada módulo se dispone de:  Metas curriculares.  Competencias del Docente.  Objetivos (El Docente debe ser capaz de).  Métodos de ejemplo.
  • 196.
    168 Competencias digitales delestudiante universitario El dicente de la Universidad resulta de un proceso educativo de cualquier Facultad universitaria, destinado a desenvolverse en el mundo laboral, cuya clasificación de competencias mayormente aceptada es la siguiente OCHOA DEL RÍO, J. (2009): 1. Básicas, son cognitivas para procesar información que se relacionan con conocimientos fundamentales propios de una formación general, como habilidades de comunicación oral y escrita, realizar cálculos, lecto-escritura, etc. 2. Genéricas, se relacionan con el comportamiento y actitud en diferentes ámbitos como gestión de recursos, trabajo en equipo, gestión de información, resolución de problemas, comprensión sistémica, etc. 3. Específicas, propias de la profesión y que se vinculan directamente con la ocupación. Siendo el aprendiz el único responsable de su aprendizaje, interactuando con la información con una visión crítica, reflexiva y creativa, gestionando así su propio aprendizaje, apoyado en la mediación docente y las fuentes de información que disponga, parte del éxito en este nuevo paradigma educativo está en el interés, la motivación y la constancia de los estudiantes. Esto significa que las estrategias de aprendizaje se basarán en el aprender a aprender.
  • 197.
    169 En cualquiera delas competencias laborales que un aprendiz se encuentre desarrollando, se encontrará con desarrollar competencias digitales que son las claves para el aprendizaje permanente, siendo aquellas que permiten utilizar el computador de un modo adecuado, que pueda manejar y administrar información para sí mismo, como para participar en red e Internet. GISBERT, M. & ESTEVE, F. (2011) opinan que “es la suma de todas estas habilidades, conocimientos y actitudes, en aspectos tecnológicos, informacionales, multimedia y comunicativos, dando lugar a una compleja alfabetización múltiple”. Esta visión crea una nueva panorámica en cuanto a cómo identificar las competencias digitales de un estudiante universitario. Un criterio que vale considerar es el de UBIETO, M. & UBIETO, A. (2011) quienes tomando de base a los estándares UNESCO (2008), las clasifican en:  Básicas: o Utiliza recursos informáticos y de red. o Utiliza aplicaciones de manera productiva. o Aplica herramientas digitales para adquirir información de diversas fuentes. o Interactúa y colabora con sus compañeros usando recursos digitales.  De aplicación: o Comunica información e ideas efectivamente, utilizando variedad de medios y formatos.
  • 198.
    170 o Participa engrupos para desarrollar proyectos, realizar tareas o solucionar problemas. o Resuelve problemas y toma decisiones utilizando TIC. o Genera trabajos originales como medio de expresión personal, o Utiliza modelos y simulaciones para explorar temas complejos.  Éticas: o Selecciona, analiza y utiliza la información de manera ética. o Utiliza la información adquirida por medio TIC de manera legal y responsable. o Valora las TIC como elemento de aprendizaje permanente. o Reconoce las TIC como medio de colaboración y comunicación social. Sin embargo, vale considerar también a ESTEVE, F. (2011), quien hace notar que en la actualidad se deben considerar cuatro alfabetizaciones: 1. Tecnológica. 2. Informacional. 3. Comunicativa. 4. Multimedia. Que deben considerar las siguientes etapas: Adopción, adaptación, apropiación e innovación, cuya propuesta de rúbrica de competencia digital se encuentra en proceso de validación.
  • 199.
    171 Nuevo paradigma deEducación Superior En Europa se ha enmarcado un cambio a nivel universitario, el mismo que exige un desarrollo de un perfil profesional nuevo en el Docente, y un rol diferente en el estudiante. Así, DEL MORAL, M. y RODRÍGUEZ, R. (2010) mencionan lo que consta en el Anexo 44. Todo induce a una gestión de cambio, cuyos desafíos las mismas autoras puntualizan:  Liderazgo institucional: Donde el objetivo es hacer que la institución haga creíble su compromiso de cambio desde los más altos niveles, creando el clima y ambiente propicios. La cultura organizacional es importante en función de las innovaciones que hayan que realizarse, creando los mecanismos necesarios e instancias adecuadas de decisión, girando todo en función de un liderazgo coherente transaccional (garantía que las decisiones a nivel superior sean asumidas por las personas coordinadoras) y transformacional (líderes intermedios son agentes de cambio de la cultura institucional).  Cambio hacia una cultura de cooperación: La cultura predominante en los ambientes universitarios es de corte personalista o individualista, debido a que el propio sistema crea las condiciones como: Automatización curricular, cargas en las agendas, falta de espacios para encuentro y reflexión, …; por lo que la cooperación es fundamental para la innovación y el desarrollo profesional, generando un beneficio común, que debe empezar internamente y traspasar al exterior, dígase local, provincial, nacional y hasta internacional, por el beneficio que ocasiona los intercambios de saberes y experiencias.
  • 200.
    172  Reconocimiento eincentivación de calidad y excelencia docente: El poner en marcha estímulos e incentivos crea razones y motivos para que el Docente desarrolle mejores y mayores esfuerzos para alcanzar los objetivos y metas que la institución ha planteado.  El profesorado y el EEES: Hace referencia al recurso humano de todo ente educativo, siendo un eje vital y determinante. Modelos pedagógicos de Educación a Distancia (EaD) LARA, J., CAMACHO, M., MURILLO, E. y SALAZAR, M. (2007) en la revista Acción Educativa No. 7, de la Universidad de Sinaloa, en su artículo MODELOS PEDAGÓGICOS EN LA EDUCACIÓN A DISTANCIA APOYADOS EN TIC, consideran que aun cuando no se puedan citar modelos puros, debido a que en la práctica se aplican de modo híbrido, en sentido genérico se pueden citar tres: Modelo Convencional: Es usar la Tecnología sin que exista diferencia significativa con las formas conductistas del modo presencial. Es transferir información en línea, videoconferencias sin planificación didáctica, mostrar presentaciones con exceso de información, …. ; se mantiene el sentido de que el Docente transmite información y el estudiante es un receptor de contenidos. El aprendizaje se mantiene memorístico, con escasa interacción social. Modelo de Redes de Conocimiento: Las TIC lleva al ser humano a la adaptación del espacio y tiempo, lo que demanda un uso adecuado e inteligente de ellas, conduciendo a una relación más horizontal, interdisciplinar a más de crear contexto aplicativos informáticos.
  • 201.
    173 La forma deaprender es individual y organizacional, con un enfoque de aprender a aprender, implicando el saber qué y el saber cómo. Pudiendo crearse procesos investigativos en que el Docente lidera con criterio interdisciplinar y comunicativo con sus estudiantes, creando un proceso participativo, que puede hasta trascender más allá del aula, y hasta involucrar colaboraciones externas. Modelo centrado en Oficios o Competencias: Se lo conceptúa en base al modelo de COLLINS, A. (1998) sobre el aprendizaje de oficios para entornos de aprendizaje, en que la estructura laboral es el contexto, como modelado es el trabajo en grupo, eliminándose los aprendices a medida que dominan la tarea. Se toman en cuenta cuatro dimensiones: Contenido, método, secuenciación y Sociología. En cuanto al contenido se cita cuatro tipos de conocimiento:  Conocimiento de un dominio específico  Estrategias heurísticas,  Estrategias de control y  Estrategias de aprendizaje Referente al método:  Modelado  Entrenamiento  Andamiaje  Articulación  Reflexión y  Exploración
  • 202.
    174 En secuenciación:  Complejidadcreciente  Diversidad y  Habilidades globales antes que las locales. Y en Sociología:  Aprendizaje situado  Práctica  Motivación intrínseca y  Utilización de la cooperación Este modelo retoma aspectos de los paradigmas cognitivo y sociocultural con un enfoque constructivista, destacando la flexibilidad para establecer contenidos que se orientan a competencias específicas, con un aprendizaje guiado y cooperativo, por lo que la selección debe ser adecuada, permitiendo la autogeneración por el contexto de red en que se trabaja. Como es de notar, el Docente es un guía o tutor, centrándose en el aprendiz y su aprendizaje, buscándose la realización de tareas que encarrilan el alcance de las competencias planteadas, respondiendo en base a un ambiente comunitario para aprender, por lo que el estudiante aplica estrategias de aprender haciendo, aprendizaje interactivo y se va formando en competencias específicas ya establecidas de alcanzar. A continuación, se visualiza un resumen con determinadas características:
  • 203.
    175 Modelos pedagógicos deEducación a Distancia Características /Modelos Convencional Red Centrado en Oficios o competencias Enfoque epistemológico Procesos asociacionistas Procesos de interacción social e intercambio Constructivismo con base en el racionalismo Materiales y herramientas didácticas Máquinas de enseñar; enseñanza programada Plataformas web, gestión de bases del conocimiento Interfases virtuales Formas de propiciar el aprendizaje Cambios de conducta mediante estímulos reforzadores Planteamiento de proyectos de investigación inter-disciplinarios mediante el trabajo colaborativo Uso de estrategias de aprendizaje, motivación y trabajo cooperativo Modelo de enseñanza Centrado en el Profesor Centrado en los actores y los mecanismos de coordinación social Centrado en el grupos pequeños y el uso de andamiajes Papel del Profesor Administrador de reforzadores que otorga premios y castigos Conducción del proceso enseñanza- aprendizaje mediante la autogestión Profesor guía y Profesor tutor Formas de organización Grupos homogéneos Comunidades de conocimiento Comunidades o ambientes de aprendizaje
  • 204.
    176 Formas de evaluar Tests opruebas estandariza-das Autoevaluación en los contextos de aplicación Tareas específicas predetermina-das Ventajas Facilidad de implementación Potencialidad para el desarrollo de trabajos complejos Problemas cuando las competencias adquiridas dejan de ser vigentes Desventajas Dependencia de los reforzadores Dificultades para la traducción de diferentes lenguajes disciplinarios, largos procesos de deliberación Cuadro 23:Modelos pedagógicos de Educación a Distancia Fuente:REVISTA ACCIÓN EDUCATIVA No. 7, UNIVERSIDAD AUTONOMA DESINALOA, MAYO2007. Página 41 Elaborado por:José Lara, Martín Camacho, Eloy Murillo y Miguel Salazar (2007), Establecer un solo Modelo para aplicar, resulta muy difícil de establecer por las implicaciones prácticas que se presentan en el correr del proceso educativo, por esta razón es que la combinación de ellos lo debe establecer el Docente, en el momento y forma que considere conveniente. Siendo esta situación una razón más por la que la Formación Docente en TIC, es vital en la Educación de hoy, requiriendo experiencia pedagógica, andragógica y tecnológica. Fundamentación legal El marco legal involucra la Ley Orgánica de Educación Superior de la República del Ecuador (R.O. 298), la Declaración Mundial sobre la Educación Superior en el siglo XXI (1998), la Conferencia Mundial sobre la Educación Superior y la investigación para el cambio social y el
  • 205.
    177 desarrollo (2009), hastalo establecido en la Universidad de Guayaquil. Vale tener presente, que si bien la Conferencia Mundial de la UNESCO sobre Educación Superior no tiene una definición normativa sobre los Países Miembros entre los cuales nuestra Nación se encuentra, porque queda en el plano de la recomendación, marca un hito en la Educación por un desarrollo sostenible y erradicador de la pobreza, al punto que la Nueva Agenda Educativa tratará los logros de la II Conferencia. Se puntualiza:  La Declaración Mundial sobre la Educación Superior en el siglo XXI (París, 1998), (Anexo 1) en su artículo 12, trata sobre el potencial y los desafíos de la Tecnología. Hace hincapié que el empleo de las TIC y su relación con la elaboración, adquisición y transmisión de los conocimientos, crea la renovación en la Educación Superior, identificando el papel fundamental de la Docencia Universitaria y estableciendo los medios mediante la creación de redes locales, nacionales e internacionales, entornos pedagógicos, material didáctico, aplicación tecnológica educativa, el fomento de la formación e investigación, Educación a distancia, plataformas virtuales, …, de tal manera que las entidades universitarias modernicen su trabajo.  En la Conferencia Mundial sobre la Educación Superior: La nueva dinámica de la Educación Superior y la investigación para el cambio social y el desarrollo. (Anexo 2). Se refiere a la dinámica a emplear para alcanzar la EPT (Educación Para Todos) para crear un cambio social y de desarrollo en la Educación Superior, estableciendo puntos que sirvan de lineamientos para la Formación Docente que debe ser incrementada dada la escasez actual, reafirmando el empleo de las TIC para los procesos educativos en sus diferentes estamentos de
  • 206.
    178 gestión docente yadministración universitaria, recalcando la investigación y los criterios de calidad que reflejen los objetivos globales de Educación Superior, con iniciativas propias de integración local, regional e internacional. Recalca la elaboración de políticas y estrategias que cada país debe establecer con fines de inversión en la Educación Superior, en que se garantice la inversión y se respalde la investigación, determinando y fortaleciendo la participación, se contrarreste con mecanismos adecuados el éxodo de competencias y su vez estimulando la movilidad de los Docentes, los estudiantes y el personal de Educación y se logre la participación activa estudiantil en el mundo universitario.  En el Registro Oficial No. 298 (ver Anexo 3) de nuestro país, que se refiere a la Ley Orgánica de Educación Superior, se resalta como fines a la producción científica y la promoción de la transferencia e innovación tecnológica, junto al fomento y ejecución de programas de investigación científica, tecnológica y pedagógica, y en base a Principios del Sistema y Funciones, regir integralmente a las instituciones y demás componentes del sistema educativo, de modo que su funcionamiento garantice el derecho a la Educación de cualquier ciudadano, con todas las exigencias del caso, y entre ellas está la docencia con sus aditamentos necesarios para su ejercicio, basándose en el Principio de Pertinencia, donde la Universidad debe responder a las necesidades y demandas de la sociedad ecuatoriana, formando en base a un conocimiento efectivo en valores, deberes y derechos de la ciudadanía de cara a las realidades nacionales, y entre ellas está el dominio de herramientas informáticas. El Personal Académico a su vez, se encuentra garantizado bajo ley, en su capacitación y perfeccionamiento permanente, debiendo constar en los presupuestos institucionales, las partidas del caso.
  • 207.
    179  En laUNIVERSIDAD DE GUAYAQUIL (2011), dentro de su Plan Estratégico de Desarrollo Institucional 2008-2015, en el eje ACADÉMICO Y DOCENCIA, establece: Mejorar el nivel académico y formación profesional de los estudiantes y docentes con criterio pro-activo e innovador, impartiendo conocimientos técnicos, científicos y humanísticos, a fin de contribuir al desarrollo integral, empresarial, económico, social, cultural y tecnológico a nivel local y regional. A su vez, en sus Acciones Estratégicas (ver Anexo 4) se encuentran dos de las mismas que se relacionan con el tema de este trabajo, que hacen hincapié en la investigación sobre las necesidades de nuestra sociedad y el Mejoramiento Integral de la Calidad Educativa, que la Universidad se encuentra decidida a fortalecer, mantener y liderar. Preguntas a contestarse (preguntas directrices) Todas las preguntas se encuentran relacionadas con la Universidad de Guayaquil. Se toma en cuenta a cada una de las variables: 1. ¿Dispone la Facultad de Filosofía, Letras y Ciencias de la Educación de un estudio relacionado con el manejo de las TIC en la gestión docente de la Universidad? 2. ¿Existen programas de Formación Continua Docente en TIC en la Facultad de Filosofía, Letras y Ciencias de la Educación? 3. ¿Cuáles son las competencias actuales docentes en el manejo de las TIC de los Educadores de las Facultades de la Universidad?
  • 208.
    180 4. ¿Cuál esla infraestructura, equipamiento y servicios que provee la Facultad de Filosofía para facilidad de los Docentes de la Universidad? 5. ¿Cómo valora el Personal Docente sus necesidades de Formación en TIC? 6. ¿Cuáles son las competencias profesionales en TIC del presente siglo que el Educador de la Universidad debe tener para con la sociedad ecuatoriana y el mundo globalizado? 7. ¿Existe a nivel de áreas en las Facultades de la Universidad, Proyectos entre asignaturas, intercambio de experiencias de aprendizaje y/o conocimientos en comunidad de Docentes por cualquier medio, relacionados al empleo de las TIC en los procesos educativos? 8. ¿Existen en la Facultad de Filosofía, Letras y Ciencias de la Educación, estrategias de captación y desarrollo en el manejo de las TIC orientadas al Personal Docente de la Universidad de Guayaquil? 9. ¿En qué forma la creación de un Programa de Educación Continua en el Manejo de las TIC para Docentes de la Universidad, mejorará el desempeño profesional en la gestión docente? 10. ¿Cuál es la visión en torno al uso de las TIC por parte de los Educadores de las Facultades de la Universidad, en los procesos de aprendizaje? 11. ¿Se realizan actividades didácticas con TIC por parte de los Docente en las aulas de clase de las Facultades de la Universidad? 12. ¿Los Educadores de la Universidad de Guayaquil utilizan herramientas Web 2.0 en sus procesos educativos? 13. ¿Cuál es la actitud docente frente a la incorporación de las TIC en la enseñanza universitaria? 14. ¿Cómo catalizar el cambio del rol docente al uso cotidiano de las TIC en la gestión docente de los Educadores de la Universidad?
  • 209.
    181 15. ¿Qué influyeen la actitud, formación y uso de las TIC en el profesorado de la Universidad, para su empleo en la gestión docente? 16. ¿Qué nivel de conocimiento disponen los Docentes en el uso de las TIC y su aplicación pedagógica y/o andragógica? 17. ¿Qué estrategias didácticas deben utilizar o utilizan los Docentes para la integración de las TIC en el Curriculum? 18. ¿El Docente conoce, comprende, respeta y hace respetar las políticas, normas y procedimientos relacionados a la privacidad, propiedad intelectual, seguridad de datos y comportamiento adecuado en el uso de los recursos informáticos, haciendo comprender a sus estudiantes las implicaciones del caso? 19. ¿Cuál es el efecto en el rendimiento académico que consideran los Docentes con respecto al uso de las TIC en el proceso educativo? 20. ¿Cuál es la situación actual del manejo de las TIC a nivel curricular en la Universidad? 21. ¿La Facultad de Filosofía, Letras y Ciencias de la Educación dispone de los recursos humanos y tecnológicos para el diseño e implantación de un Programa de Educación Continua en el manejo de las TIC para los Educadores de la Universidad? 22. ¿En qué y cómo debe consistir el Programa de Educación Continua en el Manejo de las TIC para los Docentes de la Facultades de la Universidad? 23. ¿Qué facilidades ofrece la Facultad de Filosofía a los Docentes de la Universidad en relación a los accesos de los recursos educativos necesarios para implementar un Programa de Educación Continua en el Manejo de las TIC? 24. ¿Cuál será la propuesta apropiada para los Docentes de la Universidad para diseñar e implementar un Programa de Educación Continua en el Manejo de las TIC, tomando en cuenta el marco teórico y la investigación tratados en el presente trabajo?
  • 210.
    182 25. ¿Cuál esel grado de factibilidad para implementar un Programa de Educación Continua en el Manejo de las TIC para los Docentes de la Universidad? 26. ¿Cuál es el grado de importancia actual del manejo de las TIC que se considera en la gestión docente universitaria? 27. ¿Cuáles son las habilidades, conocimientos y usos operativos docentes en el manejo de las TIC por parte de los Educadores de las Facultades de la Universidad? Variables de la investigación Variable independiente(X): Manejo de las TIC. Uso de los medios tecnológicos o informáticos en la gestión docente con un sentido educativo. Variable dependiente (Y): Gestión Docente. Conjunto de procesos, toma de decisiones y acciones educativas del Docente en un marco institucional establecido en un centro educativo. Variable Interviniente (Z): Diseño de un Programa de Educación Continua. Conjunto de actividades educativas emprendidas por un centro educativo para aportar en forma permanente y programada espacios de formación, actualización e innovación en conocimientos, capacidades, actitudes y habilidades para un mejor desempeño profesional. Definiciones conceptuales Andragogía: Es la disciplina que se ocupa de la Educación y el aprendizaje del adulto.
  • 211.
    183 Aprendiz: Persona queaprende algún arte u oficio. Axiología: Teoría de los valores. Blog: O bitácora, es un sitio web que se actualiza periódicamente, recopilando textos o artículos de varios actores, apareciendo el más reciente, donde el autor decide si deja publicado o no su contribución. Chat: O charla, se refiere a la comunicación escrita entre dos o más personas en una red. Criterio: Juicio para discernir, clasificar o relacionar una cosa. Currículo: Conjunto de estudios y prácticas destinado a que el estudiante desarrolle plenamente sus posibilidades. Didáctica: Son las diversas técnicas y formas de enseñar, las cuales se adaptan según las necesidades de los alumnos o las circunstancias. Es el arte de enseñar. Docente: Quien se dedica profesionalmente a la enseñanza. EaD: Siglas de Educación a Distancia. Educación: Acción y efecto de educar. FID: Siglas de Formación Inicial Docente. Formación: Acción y efecto de formar o formarse. Fundamentación: Establecimiento o aseguramiento de algo.
  • 212.
    184 Foro: Es untipo de reunión virtual vía web, donde distintas personas conversan sobre un tema en común, siendo su objetivo personal el conocer la opinión sobre un temática concreta. Gestión: Acción y efecto de gestionar. Gestionar: Hacer diligencias conducentes al logro de un deseo cualquiera. Internet: Red informática mundial, descentralizada, formada por la conexión directa entre computadoras u ordenadores mediante un protocolo especial de comunicación. Metodología: Conjunto de procedimientos basados en principios lógicos utilizados para alcanzar un objetivo u objetivos que rigen en una investigación científica o exposición doctrinal. Modelo: Arquetipo o punto de referencia para imitarlo o reproducirlo. Paradigma: modelo o patrón en cualquier disciplina científica u otro contexto epistemológico. Pedagogía: Es la ciencia que tiene como objetivo el estudio a la Educación como fenómeno psicosocial, cultural y específicamente humano, brindándole un conjunto de bases y parámetros para analizar y estructurar la formación y los procesos de enseñanza-aprendizaje que intervienen en ella. Profesor: Persona que ejerce o enseña un arte o una ciencia.
  • 213.
    185 Red: Conjunto deordenadores o de equipos informáticos conectados entre sí que pueden intercambiar información. Taxonomía: Ciencia que trata de los principios, métodos y fines de la clasificación. Se aplica en particular, dentro de la biología, para la ordenación jerarquizada y sistemática, con sus nombres, de los grupos de animales y de vegetales. Teoría: Hipótesis cuyas consecuencias se aplican a toda una ciencia o a parte muy importante de ella. TIC: Es una sigla que significa Tecnologías de la Información y Comunicación. Son un conjunto de tecnologías aplicadas para proveer a las personas de la información y comunicación a través de medios tecnológicos de última generación. UNESCO: Siglas en inglés United Nations Educational, Scientific and Cultural Organization, que significa Organización de las Naciones Unidas para la Educación, la Ciencia y la Cultura. Web: Por éste término se suele conocer a WWW (World Wide Web), creado por el Centro Europeo de Investigación Nuclear como un sistema de intercambio de información y que Internet ha estandarizado. Supone un medio cómodo y elegante, basado en multimedia e hipertexto, para publicar información en la red. Inicial y básicamente se compone del protocolo http y del lenguaje HTML. Wiki: Es un sitio web colaborativo donde puede participar varios usuarios, de modo que pueden crear, modificar y eliminar un contenido, de un modo interactivo, fácil y rápido.
  • 214.
    186 CAPÍTULO III METODOLOGÍA Diseño dela investigación Modalidad de la Investigación El presente trabajo por su naturaleza, se ha enfocado como modalidad de Proyecto Factible, porque ha presentado un enfoque cuali- cuantitativo, en razón del problema y los objetivos a conseguir y además, porque en el proceso se utilizan técnicas cualitativas para la comprensión y descripción de los hechos, orientándolos básicamente al conocimiento de una realidad dinámica y holística, evitando las mediciones y el uso de las técnicas estadísticas. También se ubica en las modalidades bibliográfica y de campo. Proyecto Factible: Es aquel que se puede ejecutar en base a una investigación, elaboración y desarrollo de un modelo viable con el objetivo de solucionar problemas y atender necesidades específicas. En el Manual de Trabajos de Grado de Especialización y Maestría y Tesis Doctorales, UPEL (2006) define al Proyecto Factible como: El Proyecto Factible consiste en la investigación, elaboración y desarrollo de una propuesta de un modelo operativo viable para solucionar problemas, requerimientos o necesidades de organizaciones o grupos sociales; puede referirse a la formulación de políticas, programas, tecnologías, métodos o procesos. (Página 13).
  • 215.
    187 En el manualmencionado anteriormente se encuentran algunos criterios respecto a la investigación de campo. Modalidad de campo: Es aquella que permite obtener información de medios o instrumentos como encuestas, cuestionarios, entrevistas y observaciones, para obtener un análisis de la realidad, de modo que se la interpreta y entiende. En el manual de la UPEL (2006), se expresa: Se entiende por Investigación de Campo, el análisis sistemático de problemas en la realidad, con el propósito bien sea de describirlos, interpretarlos, entender su naturaleza y factores constituyentes, explicar sus causas y efectos, o predecir su ocurrencia, haciendo uso de métodos característicos de cualquiera de los paradigmas o enfoques de investigación conocidos o en desarrollo. (Página 11). El presente trabajo se realizó en la Facultad de Filosofía, Letras y Ciencias de la Educación de la Universidad de Guayaquil, apoyándose en la investigación de campo y bibliográfica documentada, para obtener información teórica. Modalidad bibliográfica: Es explorar lo que se ha escrito sobre un problema o tema determinado. FERNÁNDEZ, N. (2011) Al referirse a la investigación bibliográfica-documental señala: “Este método se basa en la utilización de información contenida en documentos de todo tipo, escritos o grabados, como pueden ser libros, artículos, o partes de ambos, monografías, tesis, publicaciones en internet, etc.” (Página 21). .
  • 216.
    188 Tipo de Investigación Parala presente investigación se han utilizado los siguientes tipos: Descriptiva: Se obtiene información de un proceso para obtener un enfoque de cómo opera y qué particularidades tiene. Explicativa: Por buscar las causas de un fenómeno y por qué ocurre, cuáles son sus variantes influyentes y sus interrelaciones de modo que se obtienen las relaciones causa-efecto. Documental: Porque se apoya en fuentes de tipo documental tanto físicas como digitales. Exploratoria: Averigua lo que está ocurriendo y en base a lo encontrado se plantea una solución. Población y muestra Población: Es un todo absoluto de personas u objetos con características comunes en un espacio determinado o un momento específico. LERMA, H. (2011) opina: “La población es el conjunto de todos los elementos de la misma especie que presentan una característica determinada o que corresponden a una misma definición y a cuyos elementos se le estudiarán sus características y relaciones”. (Página 72). La población de esta investigación estuvo determinada por Autoridades y Coordinadores a nivel de Post-Grado de la Facultad de Filosofía, Letras y Ciencias de la Educación de la Universidad de Guayaquil, los Docentes universitarios de la misma y los Maestrantes de Educación Informática. Se consideró disponer de opiniones de expertos en TIC para tomar en cuenta sus guías en el momento de la Propuesta.
  • 217.
    189 A continuación, eldetalle al respecto se indica en el siguiente cuadro: Distributivo de población No. Estratos Personas 1 Directora de Post- Grado 1 2 Director de Carreras Técnicas Semi- Presencial 1 4 Docentes de la Universidad 3750 5 Consultores Externos 3 6 Maestrantes de Educación Informática 211 3966 Cuadro 24:Distributivo de población. Fuente: Universidad de Guayaquil. Elaborado por: LSI Jorge Vera Mosquera. Fuente: Datos de la Investigación. Elaboración: Jorge Vera Mosquera Por lo tanto la población es de 3926 personas. Muestra: Es una parte del todo que se ha considerado como población. LERMA, H. (2011) considera: “Una muestra es un subconjunto de la población” (Página 73).
  • 218.
    190 Para obtener unamuestra se aplicó la fórmula: n= N/( (N-1)* e2 + 1 )  n  muestra.  N -> universo.  E -> coeficiente de error – es discrecional, el investigador lo determina. Se tomó en cuenta el 100% de las personas para el caso de las primeras Autoridades de Post-Grado de la Facultad de Filosofía y los Consultores Externos, a quienes se les aplicó entrevistas. A nivel de Docentes de la Universidad, se aplicó la fórmula indicada anteriormente, considerando un 10% de margen de error, tomando en cuenta que el universo de Profesores es de 3750, por lo que en base al dato obtenido se obtiene como valor de muestra a 98 Docentes. n= 3750/( ( 3750-1)* 0.102 + 1 ) A nivel de Maestrantes de Educación Informática, de igual modo se aplicó la fórmula indicada anteriormente, considerando un 10% de margen de error, tomando en cuenta que el universo de Maestrantes es de 211, por lo que en base al dato obtenido se obtiene como valor de muestra a 69 Maestrantes. n=170/( ( 211-1)* 0.102 + 1 )
  • 219.
    191 Así obtenemos elsiguiente cuadro: Distributivo de muestra No. Estratos Personas 1 Directora de Post- Grado 1 2 Director de Carreras Técnicas Semi- Presencial 1 4 Docentes de la Universidad 98 5 Consultores Externos 3 6 Maestrantes de Educación Informática 69 172 Cuadro 25:Distributivo de muestra. Fuente: Universidad de Guayaquil. Elaborado por: LSI Jorge Vera Mosquera. Operacionalización de variables VARIABLE DIMENSIÓN INDICADORES Variable independiente: Manejo de las TIC. Pedagógica/ Andragógica Interés/desinterés del empleo de las TIC en el quehacer educativo. Cambiar paradigma tradicional. Uso de TIC en el Curriculum. Empleo de estrategias metodológicas y de aprendizaje en el manejo de las TIC.
  • 220.
    192 Social, Ética y Legal Consideray conoce el rol de las TIC en la Educación y su impacto en la Sociedad actual. Facilita y/o contribuye equitativamente los recursos informáticos con sus estudiantes considerando las circunstancias de escenario. Promueve en su desenvolvimiento educativo el uso ético y legal de los recursos tecnológicos en sus diferentes formas de uso y presentación. Técnica Competencias TIC. Gestión Utiliza software de productividad para generar productos de fines administrativos (informes, actas, notas, etc.). Emplea recursos de redes y comunicación con la comunidad educativa. Desarrollo Profesional Necesidad de Formación en TIC Practica, experimenta y evalúa con herramientas TIC para incorporarlas a su práctica educativa con criterio de actualización e innovación
  • 221.
    193 Accede, participa, evalúay contribuye en espacios de reflexión de experiencias de aprendizaje por medios tradicionales, en red o Internet para incorporar ideas en sus estrategias de aprendizaje. Variable dependiente: Gestión Docente. Aula Evaluación de aprendizajes en función de sus estrategias TIC empleadas. Proyectos y/o actividades Pedagógicas y/o Andragógicas empleando métodos y técnicas activas con el apoyo de las TIC. Enfoques teóricos empleados (Conductismo, Constructivismo, Cognitivismo, Conectivismo, sharismo) Área Proyectos entre asignaturas. Intercambio de experiencias de aprendizaje. Proyectos de conocimientos en comunidad de Docentes. Facultad Infraestructura y disponibilidad de Equipos y Programas relacionados con las TIC en los procesos educativos. Estudio, desarrollo e implementación TIC relacionado a los procesos educativos.
  • 222.
    194 Universidad Grado decumplimiento de los objetivos planteados. Políticas que incentiven el empleo de las TIC. Variable Interviniente: Diseño de un Programa de Educación Continua. Educación Continua Docente en TIC Fundamentos de la necesidad, desarrollo e implementación de Educación Continua TIC para el profesorado universitario. Estándares TIC en la Formación Docente. Educación Continua propuesta. Cuadro 26:Operacionalización de variables. Fuente: Investigador. Elaborado por: LSI Jorge Vera Mosquera. Instrumentos de la investigación Al ser un Proyecto Factible se diseñaron encuestas y entrevistas que se aplicaron a la muestra con los respectivos instrumentos. Instrumento de medición: Es aquella herramienta que sirve para recolectar información en base a una medida pre-establecida. GÓMEZ, M. (2006) lo considera como “aquel que registra datos observables que representan verdaderamente los conceptos o las variables que el investigador tiene en mente” (página 122). Encuesta: Es un estudio para obtener información en base a un cuestionario pre-diseñado para medir un hecho o evento específico. VIDAL DÍAZ DE RADA (2001) al respecto menciona que “Es una
  • 223.
    195 búsqueda sistemática deinformación en la que el investigador pregunta a los investigados sobre los datos que desea obtener” (página 13). Entrevista: Es una comunicación oral o escrita entre dos o más personas, en la cual las respuestas sirven para obtener información actualizada y útil para una investigación. BISQUERRA, R. (1989), la define así: “Es un diálogo intencional orientado hacia unos objetivos”. (Página 88). El objetivo fue ampliar y profundizar, en lo posible, en aspectos que no se pudieron tratar con las encuestas y triangular dicha información con lo obtenido en los cuestionarios. Se realizaron in situ, considerando el entorno cotidiano de las personas y lo que interesa investigar. Se consideró apropiado el muestreo de sujetos tipo HERNÁNDEZ, R., FERNÁNDEZ, C. & BAPTISTA, P. (2003) o de informantes clave(ZAPATA, Ó., 2005), debido a que son: “Aquellos sujetos que cuentan con la información cualitativa o cuantitativa del fenómeno que indagamos.”(Página 71). Por lo que se consideró emplear este instrumento con las Primeras Autoridades del Post-Grado de Filosofía, al igual que con los Consultores Externos. Tanto el instrumento de la encuesta como de la entrevista han contenido características fundamentales o básicas como son la validez y la confiabilidad, que las convirtieron en instrumentos idóneos, es decir que cumplieron con la finalidad para la cual fueron creados.
  • 224.
    196 Validez: Es elnivel en que un instrumento mide una variable que pretende medirse. ORTIZ, F. (2004) al respecto cita: “se refiere al grado en que un instrumento realmente mide la variable que pretende medir”. (Página 159). Confiabilidad: Es el nivel de consistencia de un instrumento de medición. SALKIND, N. (1999) opina que “es una medida práctica de qué tan consistente y estable podría ser un instrumento de medición”. (Página 121). Procedimiento de la investigación Para realizar la presente investigación se siguieron los siguientes pasos: 1. Denuncia del tema ante las autoridades de Post-Grado. 2. Defensa del tema ante un Tribunal. 3. Designación de los Consultores de la Investigación. 4. Desarrollo de los capítulos del Proyecto y la Propuesta. a. Tomo I i. Capítulo I: El Problema. ii. Capítulo II: Marco teórico. iii. Capítulo III: Metodología. iv. Capítulo IV: Análisis e interpretación de resultados. v. Capítulo V: Conclusiones y recomendaciones. vi. Capítulo VI: La Propuesta. 5. Entrega del trabajo concluido. 6. Presentación de los informes por parte de los Consultores Pedagógico y Técnico, con la Aprobación del Trabajo. 7. Defensa del Trabajo de Investigación.
  • 225.
    197 CAPÍTULO IV ANÁLISIS EINTERPRETACIÓN DE RESULTADOS Procesamiento de la información La presente investigación ha utilizado las técnicas de la encuesta y la entrevista, con el objetivo de disponer de información necesaria para su respectivo análisis e interpretación. Las entrevistas fueron aplicadas a las siguientes personas:  Dra. Jeannette Yerovi de Orta, Directora de Post-Grado de la Facultad de Filosofía (Anexo 45).  MSc. Francisco Morán Peña, Director de Carreras Técnicas Semi- Presencial (Anexo 46).  Consultores Externos con experticia en el campo educativo e informático: o MSc. Francisco Roberto Silva Vera, Máster en Investigación de Mercado, Ingeniero en Sistemas – ESPOL, once (11) años de docencia en la carrera de Mercadotecnia y Publicidad de la Facultad de Filosofía, Letras y Ciencias de la Educación de la Universidad de Guayaquil. (Anexo 47). o MSc. Milton Rafael Maridueña Arroyabe, Ingeniero en Computación, ESPOL, Experiencia profesional en el Departamento de Desarrollo de Sistemas, M. I. Municipio de Guayaquil, Coordinación académica-Carrera de Ingeniería en Sistemas Computacionales- Facultad de Ciencias Matemáticas y Físicas y Master en Docencia, Universidad de
  • 226.
    198 o Guayaquil, desarrollandolabores actualmente en el Departamento de Vice-Rectorado (Anexo 48). o MSc. John Raphael Orellana Tapia, Docente de la unidad educativa IPAC, experiencia en las entidades LOGOS, San José La Salle, Facultad de Filosofía, Letras y Ciencias de la Educación en la Universidad de Guayaquil (Anexo 49). Las encuestas se aplicaron a las siguientes personas:  Una muestra de Maestrantes de Educación Informática a nivel de Post-Grado y Educación Continua de la Facultad de Filosofía (Anexo 50 - 69 personas) y  A una muestra de Docentes de la Universidad de Guayaquil (Anexo 51 - 98 personas). Una vez que fueron aplicadas las encuestas, por medio del programa SPSS, se realizó la tabulación de los datos, elaboración de gráficos y cuadros para cada pregunta, con apoyo en Excel para facilidades gráficas en ciertos momentos. Obteniéndose como factor de Cronbach en cada caso lo siguiente: Maestrantes, 0.801 y Docentes, 0.906. La información obtenida ha sido procesada siguiendo los siguientes pasos: Depuración de la información obtenida, codificación de la información, creación de cuadros y gráficos estadísticos, análisis y comentarios, y análisis de criterios obtenidos de entrevistas a expertos.La información que se ha obtenido en cada una de las encuestas proporciona los siguientes resultados:
  • 227.
    199 Encuesta dirigida aMaestrantes de Educación Informática de Post- Grado de la Facultad de Filosofía, Letras y Ciencias de la Educación En cuanto al cargo actual de los Maestrantes de las personas encuestadas. Cargo actual Maestrantes Valoración Frecuencia Porcentaje No definido 2 2,90% Docencia 61 88,41% Asist. Lb. Inf. 1 1,45% Dir. Informática 1 1,45% Consultoría Técnica 1 1,45% Secretaria 1 1,45% Administrativo 2 2,90% TOTAL 69 100,00% Cuadro 27:Cargo actualMaestrantes. Fuente:Maestrantes de Educación Informática de la Universidad de Guayaquil. Elaborado por:LSI Jorge Vera Mosquera. Gráfico 83: Cargo actualMaestrantes Fuente:Maestrantes de Educación Informática de la Universidad de Guayaquil. Elaboración:LSI Jorge Vera Mosquera. 2 61 1 1 1 1 22.90 88.41 1.45 1.45 1.45 1.45 2.90 Frecuencia Porcentaje
  • 228.
    200 Luego de observarlos resultados en el cuadro y gráfico, se determina que la gran mayoría se encuentra relacionada con el desempeño docente (88,41%), y el resto en su generalidad se encuentra en relación con la Informática. En cuanto a los años de experiencia docente de las personas encuestadas: Años de experiencia docente de Maestrantes Años Experiencia Frecuencia Porcentaje Promedio 0 1 1,45% 0,00 1 3 4,35% 0,50 2 2 2,90% 1,00 3 5 7,25% 1,50 4 6 8,70% 2,00 5 6 8,70% 2,50 6 7 10,14% 3,00 7 9 13,04% 3,50 8 9 13,04% 4,00 10 4 5,80% 4,60 11 2 2,90% 5,18 12 3 4,35% 5,75 13 1 1,45% 6,31 14 1 1,45% 6,86 15 4 5,80% 7,40 18 3 4,35% 8,06 19 3 4,35% 8,71 69 100,00% Cuadro 28:Años de experiencia docente de Maestrantes. Fuente:Maestrantes de Educación Informática de la Universidad de Guayaquil. Elaborado por:LSI Jorge Vera Mosquera.
  • 229.
    201 Gráfico 84:Último gradoacadémico de Maestrantes. Fuente:Maestrantes de Educación Informática de la Universidad de Guayaquil. Elaboración:LSI Jorge Vera Mosquera. Luego de observar los resultados en el cuadro y gráfico, se determina que existe un promedio de experiencia de 8,71 años, entre los Maestrantes encuestados, hallándose Profesores desde cero (0) hasta diecinueve(19) años de experiencia, a su vez la frecuencia más alta es de nueve (9) Profesores con siete (7) y ocho (8) años de experiencia respectivamente, y la mínima de cero (0) en frecuencia de uno(1), existiendo frecuencias iguales en trece(13) y catorce(14) años de experiencia, dos (2) en dos(2) y once(11) años de experiencia, tres(3) en uno(1), doce(12), dieciocho(18) y diecinueve(19) años de experiencia, cuatro(4) con diez(10) años de experiencia, cinco(5) con tres(3) años de experiencia, seis(6) con cuatro(4) y cinco(5) años de experiencia, y siete(7) con seis(6) años de experiencia, lo que representa una variedad notable en la muestra. 0 2 4 6 8 10 12 14 16 18 20 1 2 3 4 5 6 7 8 9 10 11 12 13 14 15 16 17 Años Experiencia Frecuencia Porcentaje Promedio
  • 230.
    202 En cuanto alúltimo grado académico de las personas encuestadas: Último grado académico de Maestrantes Valoración Frecuencia Porcentaje 3er Nivel 63 91,30% 4to Nivel 6 8,70% TOTAL 69 100,00% Cuadro 29:Último grado académico de Maestrantes. Fuente:Maestrantes de Educación Informática de la Universidad de Guayaquil. Elaborado por:LSI Jorge Vera Mosquera. Gráfico 85:Último grado académico de Maestrantes. Fuente:Maestrantes de Educación Informática de la Universidad de Guayaquil. Elaboración:LSI Jorge Vera Mosquera. Luego de observar los resultados en el cuadro y gráfico, se determina que existe un alto número de Maestrantes de tercer nivel (91,30%) frente al cuarto nivel (8,70%), lo que habla del pensamiento mayoritario de un nivel docente que aspira llegar al siguiente. 0 10 20 30 40 50 60 70 80 90 100 Frecuencia Porcentaje 3er Nivel 4to Nivel
  • 231.
    203 Pregunta No. 1:¿Considera Ud. que el aprendizaje autónomo se puede presentar con el empleo de las TIC en el proceso educativo? Aprendizaje autónomo con empleo TIC Valoración Frecuencia Porcentaje Desconozco 1 1,45% Sí 65 94,20% No 3 4,35% TOTAL 69 100,00% Cuadro 30:Aprendizaje autónomo con empleo TIC. Fuente:Maestrantes de Educación Informática de la Universidad de Guayaquil. Elaborado por:LSI Jorge Vera Mosquera. Gráfico 86: Aprendizaje autónomo con empleo TIC. Fuente:Maestrantes de Educación Informática de la Universidad de Guayaquil. Elaboración:LSI Jorge Vera Mosquera. Luego de observar los resultados en el cuadro y gráfico, se determina que existe un alto porcentaje de Maestrantes (94,20%) que consideran que el aprendizaje autónomo se puede presentar con el empleo de las TIC en el proceso educativo, mientras que un 4,35%, no lo considera así, y un 1,45% desconoce al respecto. Se infiere que existe una aceptación en los Maestrantes de que el aprendizaje autónomo se puede presentar con el empleo de las TIC en el proceso educativo. Desconozco Sí No 1 65 31.45 94.20 4.35 Frecuencia Porcentaje
  • 232.
    204 Pregunta No. 2:¿Considera Ud. que el trabajo colaborativo se puede presentar con el empleo de las TIC en el proceso educativo? Trabajo colaborativo con empleo de TIC Valoración Frecuencia Porcentaje Desconozco 0 0,00% Sí 68 98,55% No 1 1,45% TOTAL 69 100,00% Cuadro 31:Trabajo colaborativo con empleo de TIC. Fuente:Maestrantes de Educación Informática de la Universidad de Guayaquil. Elaborado por:LSI Jorge Vera Mosquera. Gráfico 87: Trabajo colaborativo con empleo de TIC. Fuente:Maestrantes de Educación Informática de la Universidad de Guayaquil. Elaboración:LSI Jorge Vera Mosquera. Luego de observar los resultados en el cuadro y gráfico, se determina que existe un alto porcentaje de Maestrantes (98,55%) que consideran que el trabajo colaborativo se puede presentar con el empleo de las TIC en el proceso educativo, mientras que un 1,45%, no lo considera así, y nadie desconoce al respecto. Se infiere que los Maestrantes consideran que el trabajo colaborativo se puede presentar con el empleo de las TIC en el proceso educativo. Desconozco Sí No 0 68 10.00 98.55 1.45 Frecuencia Porcentaje
  • 233.
    205 Pregunta No. 3:¿Considera importante el empleo de las TIC en la programación de la asignatura? Importancia empleo TIC en programación de asignatura Valoración Frecuencia Porcentaje Desconozco 0 0,00% Sí 66 95,65% No 3 4,35% TOTAL 69 100,00% Cuadro 32:Importancia empleo TIC en programación de asignatura. Fuente:Maestrantes de Educación Informática de la Universidad de Guayaquil. Elaborado por:LSI Jorge Vera Mosquera. Gráfico 88: Importancia empleo TIC en programación de asignatura. Fuente:Docentes de la Universidad de Guayaquil. Elaboración:LSI Jorge Vera Mosquera. Luego de observar los resultados en el cuadro y gráfico, se determina que existe un alto porcentaje de Maestrantes (95,65%) que manifiestan que es importante el empleo de las TIC en la programación de la asignatura, mientras que un 4,35%, no lo considera así, y nadie desconoce al respecto. Se infiere que los Maestrantes consideran importante el empleo de las TIC en la programación de la asignatura. Desconozco Sí No 0 66 30.00 95.65 4.35 Frecuencia Porcentaje
  • 234.
    206 Pregunta No. 4:¿Conoce, respeta y hace respetar las políticas, normas y procedimientos relacionados a la privacidad, propiedad intelectual, seguridad de datos y comportamiento adecuado en el uso de los recursos informáticos? Conocimiento y respeto en uso de recursos informáticos Valoración Frecuencia Porcentaje Desconozco 4 5,80% Sí 53 76,81% No 12 17,39% TOTAL 69 100,00% Cuadro 33:Conocimiento y respeto en uso de recursos informáticos. Fuente:Maestrantes de Educación Informática de la Universidad de Guayaquil. Elaborado por:LSI Jorge Vera Mosquera. Gráfico 89: Conocimiento y respeto en uso de recursos informáticos. Fuente:Maestrantes de Educación Informática de la Universidad de Guayaquil. Elaboración:LSI Jorge Vera Mosquera. Luego de observar los resultados en el cuadro y gráfico, se determina que existe un alto porcentaje de Maestrantes (76,81%) que conocen, respetan y hacen respetar las políticas, normas y procedimientos relacionados a la privacidad, propiedad intelectual, seguridad de datos y comportamiento adecuado en el uso de los recursos informáticos, mientras que en un 17,39%, no es así, y un 5,80% desconoce al respecto. Se infiere que los Maestrantes están acorde a lo que la mayoría ha manifestado. Desconozco Sí No 4 53 12 5.80 76.81 17.39 Frecuencia Porcentaje
  • 235.
    207 Pregunta No. 5:¿Promueve en su desenvolvimiento educativo el uso ético y legal de los recursos tecnológicos en sus diferentes formas de uso y presentación? Uso ético y legal de recursos tecnológicos Valoración Frecuencia Porcentaje Desconozco 2 2,90% Sí 59 85,51% No 8 11,59% TOTAL 69 100,00% Cuadro 34:Uso ético y legal de recursos tecnológicos. Fuente:Maestrantes de Educación Informática de la Universidad de Guayaquil. Elaborado por:LSI Jorge Vera Mosquera. Gráfico 90: Conocimiento y respeto en uso de recursos informáticos. Fuente:Maestrantes de Educación Informática de la Universidad de Guayaquil. Elaboración:LSI Jorge Vera Mosquera. Luego de observar los resultados en el cuadro y gráfico, se determina que existe un alto porcentaje de Maestrantes (85,51%) que promueven en su desenvolvimiento educativo el uso ético y legal de los recursos tecnológicos en sus diferentes formas de uso y presentación, mientras que un 11,59%, no lo hace, y un 2,90% desconoce al respecto. Se infiere que los Maestrantes están acorde a lo que la mayoría ha manifestado. Desconozco Sí No 2 59 8 2.90 85.51 11.59 Frecuencia Porcentaje
  • 236.
    208 Pregunta No. 6:¿Comprende y hace comprender las implicaciones legales del uso de software y sus tipos de licencias? Comprensión de implicaciones legales de uso de software Valoración Frecuencia Porcentaje Desconozco 2 2,90% Sí 53 76,81% No 14 20,29% TOTAL 69 100,00% Cuadro 35:Comprensión de implicaciones legales de uso de software. Fuente:Maestrantes de Educación Informática de la Universidad de Guayaquil. Elaborado por:LSI Jorge Vera Mosquera. Gráfico 91: Comprensión de implicaciones legales de uso de software. Fuente:Maestrantes de Educación Informática de la Universidad de Guayaquil. Elaboración:LSI Jorge Vera Mosquera. Luego de observar los resultados en el cuadro y gráfico, se determina que existe un alto porcentaje de Maestrantes (76,81%) que comprenden y hacen comprender las implicaciones legales del uso de software y sus tipos de licencias, mientras que un 20,29%, no lo hacen, y un 2,90% desconoce al respecto. Se infiere que los Maestrantes están acorde a lo que la mayoría ha manifestado. Desconozco Sí No 2 53 14 2.90 76.81 20.29 Frecuencia Porcentaje
  • 237.
    209 Pregunta No. 7:¿Utiliza software de productividad para generar productos de fines administrativos? (informes, actas, notas, etc.). Uso de software de productividad Valoración Frecuencia Porcentaje Desconozco 4 5,80% Sí 49 71,01% No 16 23,19% TOTAL 69 100,00% Cuadro 36:Uso de software de productividad. Fuente:Maestrantes de Educación Informática de la Universidad de Guayaquil. Elaborado por:LSI Jorge Vera Mosquera. Gráfico 92: Uso de software de productividad. Fuente:Maestrantes de Educación Informática de la Universidad de Guayaquil. Elaboración:LSI Jorge Vera Mosquera. Luego de observar los resultados en el cuadro y gráfico, se determina que existe un alto porcentaje de Maestrantes (71,01%) que utilizan software de productividad para generar productos de fines administrativos (informes, actas, notas, etc.), mientras que un 23,19%, no lo hacen, y un 5,80% desconoce al respecto. Se infiere que los Maestrantes están acorde a lo que la mayoría ha manifestado. Desconozco Sí No 4 49 16 5.80 71.01 23.19 Frecuencia Porcentaje
  • 238.
    210 Pregunta No. 8:¿Dispone de fuentes de información y sitios relevantes relacionados con las TIC en el quehacer educativo? Fuentes de información y sitios relevantes TIC en quehacer educativo Valoración Frecuencia Porcentaje Desconozco 1 1,45% Sí 54 78,26% No 14 20,29% TOTAL 69 100,00% Cuadro 37:Fuentes de información y sitios relevantes TIC en quehacer educativo. Fuente:Maestrantes de Educación Informática de la Universidad de Guayaquil. Elaborado por:LSI Jorge Vera Mosquera. Gráfico 93: Fuentes de información y sitios relevantes TIC en quehacer educativo. Fuente:Maestrantes de Educación Informática de la Universidad de Guayaquil. Elaboración:LSI Jorge Vera Mosquera. Luego de observar los resultados en el cuadro y gráfico, se determina que existe un alto porcentaje de Maestrantes (78,26%) que disponen de fuentes de información y sitios relevantes relacionados con las TIC en el quehacer educativo, mientras que un 20,29%, no disponen, y un 1,45% desconoce al respecto. Se infiere que los Maestrantes están acorde a lo que la mayoría ha manifestado. Desconozco Sí No 1 54 14 1.45 78.26 20.29 Frecuencia Porcentaje
  • 239.
    211 Pregunta No. 9:¿Practica, experimenta y evalúa con herramientas TIC para incorporarlas a su práctica educativa? Practica, experimenta y evalúa TIC para práctica educativa Valoración Frecuencia Porcentaje Desconozco 0 0,00% Sí 61 88,41% No 8 11,59% TOTAL 69 100,00% Cuadro 38:Practica, experimenta y evalúa TIC para práctica educativa. Fuente:Maestrantes de Educación Informática de la Universidad de Guayaquil. Elaborado por:LSI Jorge Vera Mosquera. Gráfico 94: Practica, experimenta y evalúa TIC para práctica educativa. Fuente:Maestrantes de Educación Informática de la Universidad de Guayaquil. Elaboración:LSI Jorge Vera Mosquera. Luego de observar los resultados en el cuadro y gráfico, se determina que existe un alto porcentaje de Maestrantes (88,41%) que practican, experimentan y evalúan con herramientas TIC para incorporarlas a su práctica educativa, mientras que un 11,59%, no lo hace, y nadie desconoce al respecto. Se infiere que los Maestrantes están acorde a lo que la mayoría ha manifestado. Desconozco Sí No 0 61 8 0.00 88.41 11.59 Frecuencia Porcentaje
  • 240.
    212 Pregunta No. 10:¿Accede, participa y contribuye en espacios de reflexión de experiencias de aprendizaje por medios tradicionales, en red o Internet? Acceso, participación y contribución en espacios de aprendizaje Valoración Frecuencia Porcentaje Desconozco 1 1,45% Sí 44 63,77% No 24 34,78% TOTAL 69 100,00% Cuadro 39:Acceso, participación y contribución en espacios de aprendizaje. Fuente:Maestrantes de Educación Informática de la Universidad de Guayaquil. Elaborado por:LSI Jorge Vera Mosquera. Gráfico 95: Acceso, participación y contribución en espacios de aprendizaje. Fuente:Maestrantes de Educación Informática de la Universidad de Guayaquil. Elaboración:LSI Jorge Vera Mosquera. Luego de observar los resultados en el cuadro y gráfico, se determina que existe un alto porcentaje de Maestrantes (63,77%) que acceden, participan y contribuyen en espacios de reflexión de experiencias de aprendizaje por medios tradicionales, en red o Internet, mientras que un 34,78%, no lo hace, y un 1,45% desconoce al respecto. Se infiere que los Maestrantes están acorde a lo que la mayoría ha manifestado, teniendo presente que un porcentaje considerable no está así. Desconozco Sí No 1 44 24 1.45 63.77 34.78 Frecuencia Porcentaje
  • 241.
    213 Pregunta No. 11:¿Utiliza, evalúa y comparte ideas, experiencias y herramientas TIC para incorporarlas en estrategias de aprendizaje? Utiliza, evalúa y comparte herramientas TIC en aprendizaje Valoración Frecuencia Porcentaje Desconozco 1 1,45% Sí 62 89,86% No 6 8,70% TOTAL 69 100,00% Cuadro 40:Utiliza, evalúa y comparte herramientas TIC en aprendizaje. Fuente:Maestrantes de Educación Informática de la Universidad de Guayaquil. Elaborado por:LSI Jorge Vera Mosquera. Gráfico 96: Utiliza, evalúa y comparte herramientas TIC en aprendizaje. Fuente:Maestrantes de Educación Informática de la Universidad de Guayaquil. Elaboración:LSI Jorge Vera Mosquera. Luego de observar los resultados en el cuadro y gráfico, se determina que existe un alto porcentaje de Maestrantes (89,86%) que utilizan, evalúan y comparten ideas, experiencias y herramientas TIC para incorporarlas en estrategias de aprendizaje, mientras que un 8,70%, no lo hace, y un 1,45% desconoce al respecto. Se infiere que los Maestrantes están acorde a lo que la mayoría ha manifestado. Desconozco Sí No 1 62 6 1.45 89.86 8.70 Frecuencia Porcentaje
  • 242.
    214 Pregunta No. 12:¿Participa en instancias relacionadas con las TIC y el aprendizaje? (Foros, congresos, seminarios, etc.) Participación en instancias TIC y aprendizaje Valoración Frecuencia Porcentaje Desconozco 1 1,45% Sí 41 59,42% No 27 39,13% TOTAL 68 100,00% Cuadro 41 : Participación en instancias TIC y aprendizaje. Fuente:Maestrantes de Educación Informática de la Universidad de Guayaquil. Elaborado por:LSI Jorge Vera Mosquera. Gráfico 97: Participación en instancias TIC y aprendizaje. Fuente:Maestrantes de Educación Informática de la Universidad de Guayaquil. Elaboración:LSI Jorge Vera Mosquera. Luego de observar los resultados en el cuadro y gráfico, se determina que existe un alto porcentaje de Maestrantes (59,42%) que participan en instancias relacionadas con las TIC y el aprendizaje (Foros, congresos, seminarios, etc.), mientras que un 39,13%, no lo hace, y un 1,45% desconoce al respecto. Se infiere que los Maestrantes en su mayoría lo hacen, sin embargo existe un porcentaje considerable que no. Desconozco Sí No 1 41 27 1.45 59.42 39.13 Frecuencia Porcentaje
  • 243.
    215 Pregunta No. 13:¿En qué grado de importancia considera Ud. al manejo de las TIC en la gestión docente universitaria? Grado de importancia al manejo TIC en Gestión Universitaria Valoración Frecuencia Porcentaje Desconozco 1 1,45% Nulo 0 0,00% Algo 1 1,45% Medio 5 7,25% Alto 10 14,49% Más alto 52 75,36% TOTAL 69 100,00% Cuadro 42 : Grado de importancia al manejo TIC en Gestión Universitaria. Fuente:Maestrantes de Educación Informática de la Universidad de Guayaquil. Elaborado por:LSI Jorge Vera Mosquera. Gráfico 98: Grado de importancia al manejo TIC en Gestión Universitaria. Fuente:Maestrantes de Educación Informática de la Universidad de Guayaquil. Elaboración:LSI Jorge Vera Mosquera. Luego de observar los resultados en el cuadro y gráfico, se determina que en los Maestrantes existe la más alta importancia (75,36%) al manejo de las TIC en la gestión docente universitaria, seguido de alta (14,49%), media (7,25%), algo(1,45%), nulo (0,00%) y desconoce (1,45%). Se infiere que los Maestrantes dan una alta importancia al manejo de las TIC en la gestión docente universitaria. 1 0 1 5 10 52 1.45 0.00 1.45 7.25 14.49 75.36 Frecuencia Porcentaje
  • 244.
    216 Pregunta No. 14:¿En qué grado considera que es importante apoyarse en las herramientas informáticas en el Curriculum actual de la asignatura a su cargo? Grado de importancia de herramientas TIC en asignatura Valoración Frecuencia Porcentaje Desconozco 1 1,45% Nulo 0 0,00% Algo 0 0,00% Medio 5 7,25% Alto 6 8,70% Más alto 57 82,61% TOTAL 69 100,00% Cuadro 43:Grado de importancia de herramientas TIC en asignatura. Fuente:Maestrantes de Educación Informática de la Universidad de Guayaquil. Elaborado por:LSI Jorge Vera Mosquera. Gráfico 99: Grado de importancia de herramientas TIC en asignatura. Fuente:Maestrantes de Educación Informática de la Universidad de Guayaquil. Elaboración:LSI Jorge Vera Mosquera. Luego de observar los resultados en el cuadro y gráfico, se determina que en los Maestrantes existe la más alta importancia (82,61%)al apoyo en las herramientas informáticas en el Curriculum actual de la asignatura a cargo, seguido de alta(8,70%), media (7,25%), algo (0,00%), nulo (0,00%) y desconoce (1,45%). Se infiere que los Maestrantes dan una alta consideración al apoyo en las herramientas informáticas en el Curriculum actual de la asignatura a cargo. 1 0 0 5 6 57 1.45 0.00 0.00 7.25 8.70 82.61 Frecuencia Porcentaje
  • 245.
    217 Pregunta No. 15:¿Qué grado de importancia considera que se debe dar al empleo de Software de Gestión de Contenidos y/o de Aprendizajes en una modalidad semi-presencial y/o a distancia? Grado de importancia en uso de Software de Gestión y/o Contenidos Valoración Frecuencia Porcentaje Desconozco 0 0,00% Nulo 0 0,00% Algo 1 1,45% Medio 4 5,80% Alto 13 18,84% Más alto 51 73,91% TOTAL 69 100,00% Cuadro 44 : Grado de importancia en uso de Softw are de Gestión y/o Contenidos. Fuente:Maestrantes de Educación Informática de la Universidad de Guayaquil. Elaborado por:LSI Jorge Vera Mosquera. Gráfico 100: Grado de importancia en uso de Softw are de Gestión y/o Contenidos. Fuente:Maestrantes de Educación Informática de la Universidad de Guayaquil. Elaboración:LSI Jorge Vera Mosquera. Luego de observar los resultados en el cuadro y gráfico, se determina que en los Maestrantes existe la más alta importancia (73,91%) al empleo de Software de Gestión de Contenidos y/o de Aprendizajes en una modalidad semi-presencial y/o a distancia, seguido de alta (18,84%), media (5,80%), algo(1,45%), nulo (0,00%) y desconoce (0,00%). Se infiere que los Maestrantes dan una alta consideración a lo preguntado. 0 0 1 4 13 51 0.00 0.00 1.45 5.80 18.84 73.91 Frecuencia Porcentaje
  • 246.
    218 Pregunta No. 16:¿En qué grado considera importante crear procedimientos e instrumentos de evaluación de aprendizaje en entorno TIC? Grado de importancia de evaluación con TIC Valoración Frecuencia Porcentaje Desconozco 1 1,45% Nulo 0 0,00% Algo 1 1,45% Medio 3 4,35% Alto 12 17,39% Más alto 52 75,36% TOTAL 69 100,00% Cuadro 45 : Grado de importancia de evaluación con TIC. Fuente: Maestrantes de Educación Informática de la Universidad de Guayaquil. Elaborado por:LSI Jorge Vera Mosquera. Gráfico 101: Grado de importancia de evaluación con TIC. Fuente:Maestrantes de Educación Informática de la Universidad de Guayaquil. Elaboración:LSI Jorge Vera Mosquera. Luego de observar los resultados en el cuadro y gráfico, se determina que en los Maestrantes existe la más alta importancia (75,36%) a la creación de procedimientos e instrumentos de evaluación de aprendizaje en entorno TIC, seguido de alta (17,39%), media (4,35%), algo(1,45%), nulo (0,00%) y desconoce (1,45%). Se infiere que los Maestrantes dan una alta consideración a lo preguntado. 1 0 1 3 12 52 1.45 0.00 1.45 4.35 17.39 75.36 Frecuencia Porcentaje
  • 247.
    219 Pregunta No. 17:¿En qué grado considera su evolución de conocimientos en la-s disciplina-s que imparte? Evolución de conocimientos en disciplina que se imparte Valoración Frecuencia Porcentaje Desconozco 3 4,35% Nulo 0 0,00% Algo 1 1,45% Medio 3 4,35% Alto 24 34,78% Más alto 38 55,07% TOTAL 69 100,00% Cuadro 46 : Evolución de conocimientos en disciplina que se imparte. Fuente:Maestrantes de Educación Informática de la Universidad de Guayaquil. Elaborado por:LSI Jorge Vera Mosquera. Gráfico 102: Evolución de conocimientos en disciplina que se imparte. Fuente:Maestrantes de Educación Informática de la Universidad de Guayaquil. Elaboración:LSI Jorge Vera Mosquera. Luego de observar los resultados en el cuadro y gráfico, se determina que en los Maestrantes existe la más alta consideración (55,07%) a la evolución de conocimientos en la-s disciplina-s que imparte, seguido de alta (34,78%), media (4,35%), algo(1,45%), nulo (0,00%) y desconoce (4,35%). Se infiere que los Maestrantes dan una alta estima a lo preguntado. 3 0 1 3 24 38 4.35 0.00 1.45 4.35 34.78 55.07 Frecuencia Porcentaje
  • 248.
    220 Pregunta No. 18:¿Qué técnicas activas utiliza con apoyo en TIC? Técnicas activas con apoyo TIC Técnica Valoración Frecuencia Porcentaje Mapas conceptuales No 29 42,03% Sí 40 57,97% SUMA 69 100,00% Mapas mentales No 48 69,57% Sí 21 30,43% SUMA 69 100,00% Aprendizaje colaborativo No 42 60,87% Sí 27 39,13% SUMA 69 100,00% Trabajo en grupo No 25 36,23% Sí 44 63,77% SUMA 69 100,00% Foro No 43 62,32% Sí 26 37,68% SUMA 69 100,00% Audio digital No 44 63,77% Sí 25 36,23% SUMA 69 100,00% Grabar movimientos en el monitor No 58 84,06% Sí 11 15,94% SUMA 69 100,00% Cuestionario No 47 68,12% Sí 22 31,88% SUMA 69 100,00%
  • 249.
    221 Lluvia de ideas No 3753,62% Sí 32 46,38% SUMA 69 100,00% Pizarra en línea No 58 84,06% Sí 11 15,94% SUMA 69 100,00% Ensayos No 50 72,46% Sí 19 27,54% SUMA 69 100,00% Proyectos en línea No 53 76,81% Sí 16 23,19% SUMA 69 100,00% Otros No 63 91,30% Sí 6 8,70% SUMA 69 100,00% Cuadro 47 : Técnicas activas con apoyo TIC. Fuente:Maestrantes de Educación Informática de la Universidad de Guayaquil. Elaborado por:LSI Jorge Vera Mosquera. Gráfico 103: Técnicas activas con apoyo TIC. Fuente:Maestrantes de Educación Informática de la Universidad de Guayaquil. Elaboración:LSI Jorge Vera Mosquera. Desconozco No Aplico Aplico 8 7 54 11.59 10.14 78.26 Frecuencia Porcentaje
  • 250.
    222 Para facilidades gráficas,se toma en cuenta cada técnica acorde a lo siguiente: Facilidades para interpretar técnicas de apoyo en gráficos [1] Mapas conceptuales [2] Mapas mentales [3] Aprendizaje colaborativo [4] Trabajo en grupo [5] Foro [6] Audio digital [7] Grabar movimientos en el monitor [8] Cuestionario [9] Lluvia de ideas [10] Pizarra en línea [11] Ensayo [12] Proyectos en línea [13] Otros Cuadro 48 : Facilidades para interpretar técnicas de apoyo en gráficos. Fuente:Maestrantes de Educación Informática de la Universidad de Guayaquil. Elaborado por:LSI Jorge Vera Mosquera. En base al cuadro último se tratará a las técnicas utilizadas y a las que no, acorde a un orden descendente de porcentaje de análisis y tratamiento.
  • 251.
    223 Técnicas no utilizadas Gráfico104: Técnicas no utilizadas. Fuente:Maestrantes de Educación Informática de la Universidad de Guayaquil. Elaboración:LSI Jorge Vera Mosquera. La técnica menos utilizada es otros(91,30%), seguida de grabar movimientos en el monitor y pizarra en línea (84,06%), proyecto en línea (76,81%), ensayo (72,46%), mapas mentales (69,57%), cuestionario (78,12%), audio digital (63,77%), foro (72,32%), aprendizaje colaborativo (60,87%), lluvia de ideas (53,62%), mapas conceptuales (42,03%) y trabajo en grupo (36,23%). [13] [7] [10] [12] [11] [2] [8] [6] [5] [3] [9] [1] [4] 63 58 58 53 50 48 47 44 43 42 37 29 25 91.30 84.06 84.06 76.81 72.46 69.57 68.12 63.77 62.32 60.87 53.62 42.03 36.23 Frecuencia Porcentaje
  • 252.
    224 Técnicas utilizadas Gráfico 105:Técnicas no utilizadas. Fuente:Maestrantes de Educación Informática de la Universidad de Guayaquil. Elaboración: LSI Jorge Vera Mosquera. La técnica más utilizada es trabajo en grupo (63,77%), mapas conceptuales (57,97%), lluvia de ideas (56,38%), aprendizaje colaborativo (39,13%), foro (37,68%), audio digital (36,23%), cuestionario (31,88%), mapas mentales (30,43%), ensayo (27,54%), proyectos en línea (23,19%), grabar movimientos en el monitor y pizarra en línea (15,94%), y otros (8,70%). [4] [1] [9] [3] [5] [6] [8] [2] [11] [12] [7] [10] [13] 44 40 32 27 26 25 22 21 19 16 11 11 6 63.77 57.97 46.38 39.13 37.68 36.23 31.88 30.43 27.54 23.19 15.94 15.94 8.70 Frecuencia Porcentaje
  • 253.
    225 Valoración por técnicaactiva en Maestrantes Valoración Frecuencia Porcentaje Desconozco 8 11,59% No Aplico 7 10,14% Aplico 54 78,27% Suma 69 100,00% Cuadro 49 : Valoración por técnica activa en Maestrantes. Fuente: Docentes de la Universidad de Guayaquil. Elaborado por:LSI Jorge Vera Mosquera. Gráfico 106: Valoración por técnica activa en Maestrantes. Fuente:Maestrantes de Educación Informática de la Universidad de Guayaquil. Elaboración:LSI Jorge Vera Mosquera. Luego de observar los resultados en los cuadros y gráficos de detalle y sumarización, se determina que existe un porcentaje de Maestrantes (78,27%) que manifiesta utilizar técnicas activas con apoyo en TIC, 10,14% manifiesta que no aplica, y 11,59% desconoce al respecto, lo que infiere que los Maestrantes en su mayoría emplea técnicas TIC. 8 7 54 69 11.59 10.14 78.27 100 Desconozco No Aplico Aplico Suma Frecuencia Porcentaje
  • 254.
    226 Pregunta No. 19:¿Qué enfoques teóricos considera que se debe utilizar en los procesos educativos apoyados en las TIC? Enfoques teóricos en procesos educativos apoyados con TIC Enfoque Valoración Frecuencia Porcentaje Conductismo No 63 91,30% Sí 6 8,70% SUMA 69 100,00% Cognitivismo No 56 81,16% Sí 13 18,84% SUMA 69 100,00% Constructivismo No 18 26,09% Sí 51 73,91% SUMA 69 100,00% Conectivismo No 59 85,51% Sí 10 14,49% SUMA 69 100,00% Sharismo No 68 98,55% Sí 1 1,45% SUMA 69 100,00% Cuadro 50 : Enfoques teóricos en procesos educativosapoyadoscon TIC. Fuente:Maestrantes de Educación Informática de la Universidad de Guayaquil. Elaborado por:LSI Jorge Vera Mosquera.
  • 255.
    227 Gráfico 107: Enfoquesteóricos en procesos educativosapoyadoscon TIC. Fuente:Maestrantes de Educación Informática de la Universidad de Guayaquil. Elaboración:LSI Jorge Vera Mosquera. Se observa que el de mayor enfoque en sentido afirmativo es el Constructivismo (73,91%), seguido del Cognitivismo (18,84%), Conectivismo (14,49%), Conductismo (8,70%) y el sharismo (1,45%). El de menor enfoque en sentido negativo es el sharismo (98,55%), seguido del Conductismo (91,30%), Conectivismo (85,51%), Cognitivismo (81,16%) y el Constructivismo (26,09%). Conocimiento y aplicación de enfoques teóricos Valoración Frecuencia Porcentaje Desconozco 14 20,29% Aplico 55 79,71% TOTAL 69,00 100,00% Cuadro 51 : Conocimiento y aplicación de enfoques teóricos. Fuente:Maestrantes de Educación Informática de la Universidad de Guayaquil. Elaborado por:LSIJorge Vera Mosquera. 0 20 40 60 80 100 120 No Sí No Sí No Sí No Sí No Sí Conduct. Cognit. Construct. Conect. Sharismo Frecuencia Porcentaje
  • 256.
    228 Gráfico 108: Enfoquesteóricos en procesos educativosapoyadoscon TIC. Fuente:Maestrantes de Educación Informática de la Universidad de Guayaquil. Elaboración:LSI Jorge Vera Mosquera. Luego de observar los resultados en los cuadros y gráficos de detalle y sumarización, se determina que existe un porcentaje de Maestrantes (79,71%) que manifiestan que se deben considerar enfoques teóricos en los procesos educativos apoyado en las TIC, 20,29% manifiesta que desconoce, lo que infiere que los Maestrantes consideran que se deben utilizar enfoques teóricos en los procesos educativos apoyado en las TIC. Frecuencia Porcentaje 14 20.29 55 79.71 Desconozco Aplico
  • 257.
    229 Pregunta No. 20:¿En cuál-es evaluación-es utiliza como apoyo a las TIC? Evaluación con apoyo TIC Evaluación Valoración Frecuencia Porcentaje Inicial No 50 72,46% Sí 19 27,54% SUMA 69 100,00% Procesual No 26 37,68% Sí 43 62,32% SUMA 69 100,00% Final No 47 68,12% Sí 22 31,88% SUMA 69 100,00% Cuadro 52 : Evaluación con apoyo TIC. Fuente:Maestrantes de Educación Informática de la Universidad de Guayaquil. Elaborado por:LSI Jorge Vera Mosquera. Gráfico 109: Evaluación con apoyo TIC. Fuente:Maestrantes de Educación Informática de la Universidad de Guayaquil. Elaboración:LSI Jorge Vera Mosquera. Se observa que el mayor porcentaje de Maestrantes (62,32%) utiliza apoyo TIC en la evaluación procesual, seguida de la final (31,88%) y la inicial (27,54%). En la evaluación no utilizada es en la Inicial (72,46%), seguida de la final (68,12%) y la procesual (37,68%). No Sí No Sí No Sí Inicial Procesual Final 50 19 26 43 47 22 72.46 27.54 37.68 62.32 68.12 31.88 Frecuencia Porcentaje
  • 258.
    230 Conocimiento y aplicaciónde evaluación con apoyo TIC Valoración Frecuencia Porcentaje Desconozco 15 21,74% Aplico 54 78,26% TOTAL 69,00 100,00% Cuadro 53 : Conocimiento y aplicación de evaluación con apoyo TIC. Fuente:Maestrantes de Educación Informática de la Universidad de Guayaquil. Elaborado por:LSI Jorge Vera Mosquera. Gráfico 110: Conocimiento y aplicación de evaluación con apoyo TIC. Fuente:Maestrantes de Educación Informática de la Universidad de Guayaquil. Elaboración:LSI Jorge Vera Mosquera. Luego de observar los resultados en los cuadros y gráficos de detalle y sumarización, se determina que existe un porcentaje de Maestrantes (78,26%) que se apoya en las TIC para las evaluaciones y desconocen (21,74%). Se infiere que los Maestrantes se apoyan en las TIC para las evaluaciones. Frecuencia Porcentaje 15 21.74 54 78.26 Desconozco Aplico
  • 259.
    231 Pregunta No. 21:¿Qué nivel de conocimientos considera disponer? Nivel de conocimientos en TIC Conocimiento Valoración Frecuencia Porcentaje Conocimientos Informáticos No aplico 1 1,45% Básico 8 11,59% Intermedio 34 49,28% Avanzado 26 37,68% SUMA 69 100,00% Conocimientos en redes No aplico 9 13,04% Básico 14 20,29% Intermedio 32 46,38% Avanzado 14 20,29% SUMA 69 100,00% Conocimientos en Internet No aplico 4 5,80% Básico 9 13,04% Intermedio 35 50,72% Avanzado 21 30,43% SUMA 69 100,00% Aplicaciones de gestión en red e Internet No aplico 5 7,25% Básico 19 27,54% Intermedio 29 42,03% Avanzado 16 23,19% SUMA 69 100,00% Uso de equipos en red e Internet No aplico 7 10,14% Básico 15 21,74% Intermedio 26 37,68% Avanzado 21 30,43% SUMA 69 100,00%
  • 260.
    232 Medidas de prevención y seguridaden el uso de equipos informáticos No aplico 6 8,70% Básico 16 23,19% Intermedio 33 47,83% Avanzado 14 20,29% SUMA 69 100,00% Integración de programas y equipos en red e Internet No aplico 7 10,14% Básico 12 17,39% Intermedio 37 53,62% Avanzado 13 18,84% SUMA 69 100,00% Sistema operativo (Windows) No aplico 2 2,90% Básico 10 14,49% Intermedio 27 39,13% Avanzado 30 43,48% SUMA 69 100,00% Sistema operativo (Linux) No aplico 16 23,19% Básico 14 20,29% Intermedio 25 36,23% Avanzado 14 20,29% SUMA 69 100,00% Procesamiento de palabras No aplico 2 2,90% Básico 10 14,49% Intermedio 22 31,88% Avanzado 35 50,72% SUMA 69 100,00%
  • 261.
    233 Hoja de cálculo No aplico2 2,90% Básico 13 18,84% Intermedio 20 28,99% Avanzado 34 49,28% SUMA 69 100,00% Base de datos No aplico 6 8,70% Básico 10 14,49% Intermedio 32 46,38% Avanzado 21 30,43% SUMA 69 100,00% Presentador No aplico 6 8,70% Básico 10 14,49% Intermedio 25 36,23% Avanzado 28 40,58% SUMA 69 100,00% Graficador No aplico 6 8,70% Básico 13 18,84% Intermedio 29 42,03% Avanzado 21 30,43% SUMA 69 100,00% Multimedia No aplico 5 7,25% Básico 12 17,39% Intermedio 27 39,13% Avanzado 25 36,23% SUMA 69 100,00% Navegadores web No aplico 5 7,25% Básico 10 14,49% Intermedio 32 46,38% Avanzado 22 31,88% SUMA 69 100,00%
  • 262.
    234 Motores de búsqueda No aplico7 10,14% Básico 9 13,04% Intermedio 30 43,48% Avanzado 23 33,33% SUMA 69 100,00% Software de productividad en línea (Office, organizadores gráficos, línea de tiempo, etc.) No aplico 4 5,80% Básico 17 24,64% Intermedio 29 42,03% Avanzado 19 27,54% SUMA 69 100,00% Uso de herramientas sincrónicas en red e Internet (chat, Video conferencia, audio conferencia, compartir pantalla del computador, etc.) No aplico 6 8,70% Básico 11 15,94% Intermedio 33 47,83% Avanzado 19 27,54% SUMA 69 100,00%
  • 263.
    235 Uso de herramientas asincrónicas en rede Internet (email, foro, wiki, preguntas y respuestas, etc.) No aplico 7 10,14% Básico 8 11,59% Intermedio 35 50,72% Avanzado 19 27,54% SUMA 69 100,00% Gestión de contenidos en línea No aplico 10 14,49% Básico 15 21,74% Intermedio 30 43,48% Avanzado 14 20,29% SUMA 69 100,00% Gestión de aprendizaje en línea No aplico 9 13,04% Básico 16 23,19% Intermedio 28 40,58% Avanzado 16 23,19% SUMA 69 100,00% Cuadro 54 : Nivel de conocimientos en TIC. Fuente:Maestrantes de Educación Informática de la Universidad de Guayaquil. Elaborado por:LSI Jorge Vera Mosquera.
  • 264.
    236 Para facilidades gráficas,se toma en cuenta cada conocimiento acorde a lo siguiente: Facilidades para interpretación gráfica de nivel de conocimientos Código Conocimiento [1] Conocimientos Informáticos [2] Conocimientos en redes [3] Conocimientos en Internet [4] Aplicaciones de gestión en red e Internet [5] Uso de equipos en red e Internet [6] Medidas de prevención y seguridad en el uso de equipos informáticos [7] Integración de programas y equipos en red e Internet [8] Sistema operativo (Windows) [9] Sistema operativo (Linux) [10] Procesamiento de palabras [11] Hoja de cálculo [12] Base de datos [13] Presentador [14] Graficador [15] Multimedia [16] Navegadores Web [17] Motores de búsqueda [18] Software de productividad en línea (Office, organizadores gráficos, línea de tiempo, etc.) [19] Uso de herramientas sincrónicas en red e Internet (chat, Video conferencia, audio conferencia, compartir pantalla del computador, etc.) [20] Uso de herramientas asincrónicas en red e Internet (Email, foro, Wiki, preguntas y respuestas, etc.) [21] Gestión de contenidos en línea [22] Gestión de aprendizaje en línea Cuadro 55 : Facilidades para interpretación gráfica de nivelde conocimientos. Fuente:Maestrantes de Educación Informática de la Universidad de Guayaquil. Elaborado por:LSI Jorge Vera Mosquera.
  • 265.
    237 Conocimientos no aplico Gráfico111: Conocimientos no aplico. Fuente:Maestrantes de Educación Informática de la Universidad de Guayaquil. Elaboración:LSI Jorge Vera Mosquera. Conocimientos en sistema operativo Linux son los de más alto porcentaje (23,19%) de no aplicación, seguido de gestión de contenidos en línea (14,49%), conocimientos en redes y gestión de aprendizaje en línea (13,04%), uso de equipos en red e Internet, Integración de programas y equipos en red e Internet, motores de búsqueda y uso de herramientas asincrónicas en red e Internet (email, foro, wiki, preguntas y respuestas, etc.) (10,14%), medidas de prevención y seguridad en el uso de equipos informáticos, base de datos, presentador, graficador y uso de herramientas sincrónicas en red e Internet (chat, video conferencia, audio conferencia, compartir pantalla del computador, etc.) (8,70%), aplicaciones de gestión en red e Internet, multimedia y navegadores web (7,25%), software de productividad en línea (Office, organizadores gráficos, línea de tiempo, etc.) y conocimientos en Internet (5,80%), sistema operativo (Windows), procesamiento de palabras y hoja de cálculo (2,90%), y conocimientos informáticos (1,45%). 0 5 10 15 20 25 [1] [2] [3] [4] [5] [6] [7] [8] [9] [10] [11] [12] [13] [14] [15] [16] [17] [18] [19] [20] [21] [22] Frecuencia Porcentaje
  • 266.
    238 Conocimientos nivel básico Gráfico112: Conocimientos nivel básico. Fuente:Maestrantes de Educación Informática de la Universidad de Guayaquil. Elaboración:LSI Jorge Vera Mosquera. Aplicaciones de gestión en red e Internet (27,54%) son los conocimientos de nivel básico de más alto porcentaje, seguido de software de productividad en línea (Office, organizadores gráficos, línea de tiempo, etc.) (24,64%), medidas de prevención y seguridad en el uso de equipos informáticos y gestión de aprendizaje en línea (23,19%), Uso de equipos en red e Internet y gestión de contenidos en línea (21,74%), conocimientos en redes y sistema operativo (Linux) (20,29%), hoja de cálculo y graficador (18,84%), integración de programas y equipos en red e Internet y multimedia (17,39%), uso de herramientas sincrónicas en red e Internet(chat, video conferencia, audio conferencia, compartir pantalla del computador, etc.) (15, 94%), sistema operativo (Windows), procesamiento de palabras, base de datos, presentador y navegadores web (14,49%), conocimientos en Internet y motores de búsqueda (13,04%), conocimientos informáticos y uso de herramientas asincrónicas en red e Internet (email, foro, wiki, preguntas y respuestas, etc.) (11,59%). 0 5 10 15 20 25 30 [4] [18] [6] [22] [5] [21] [2] [9] [11] [14] [7] [15] [19] [8] [10] [12] [13] [16] [3] [17] [1] [20] Frecuencia Porcentaje
  • 267.
    239 Conocimientos nivel intermedio Gráfico113: Conocimientos nivel intermedio. Fuente:Maestrantes de Educación Informática de la Universidad de Guayaquil. Elaboración:LSI Jorge Vera Mosquera. Integración de programas y equipos en red e Internet son los conocimientos de más alto porcentaje a nivel intermedio (53,62%), seguido de conocimientos en Internet y uso de herramientas asincrónicas en red e Internet (email, foro, wiki, preguntas y respuestas, etc.) (50,72%), conocimientos informáticos (49,28%), medidas de prevención y seguridad en el uso de equipos informáticos y uso de herramientas sincrónicas en red e Internet (chat, video conferencia, audio conferencia, compartir pantalla del computador, etc.) (47,83%), conocimientos en redes, bases de datos y navegadores web (46,38%), motores de búsqueda y gestión de contenidos en línea (43,48%), aplicaciones de gestión en red e Internet, graficador y software de productividad en línea (Office, organizadores gráficos, línea de tiempo, etc.) (42,03%), gestión de aprendizaje en línea (40,58%), sistema operativo (Windows) y multimedia (39,13%), uso de equipos en red e Internet (37,68%), sistema operativo (Linux) y presentador (36,23%), procesamiento de palabras (31,88%), y hoja de cálculo (28,99%). 0 10 20 30 40 50 60 [7] [3] [20] [1] [6] [19] [2] [12] [16] [17] [21] [4] [14] [18] [22] [8] [15] [5] [9] [13] [10] [11] Frecuencia Porcentaje
  • 268.
    240 Conocimientos nivel avanzado Gráfico114: Conocimientos nivel avanzado. Fuente:Maestrantes de Educación Informática de la Universidad de Guayaquil. Elaboración:LSI Jorge Vera Mosquera. Los conocimientos en procesamiento de palabras son los de más alto porcentaje a nivel avanzado (50,72%), seguido de hoja de cálculo (49,28%), sistema operativo (Windows) (43,48%), presentador (40,58%), conocimientos informáticos (37,68%), multimedia (36,23%), motores de búsqueda (33,33%), navegadores web (31,88%), conocimientos en Internet, uso de equipos en red e Internet, base de datos y graficador (30,43%), software de productividad en línea (Office, organizadores gráficos, línea de tiempo, etc.), uso de herramientas sincrónicas en red e Internet(chat, video conferencia, audio conferencia, compartir pantalla del computador, etc.) y uso de herramientas asincrónicas en red e Internet (email, foro, wiki, preguntas y respuestas, etc.) (27,54%), aplicaciones de gestión en red e Internet y gestión de aprendizaje en línea (23,19%), conocimientos en redes, medidas de prevención y seguridad en el uso de equipos informáticos, sistema operativo (Linux) y gestión de contenidos en línea (20,29%), e integración de programas y equipos en red e Internet (18,84%). 0 10 20 30 40 50 60 [10] [11] [8] [13] [1] [15] [17] [16] [3] [5] [12] [14] [18] [19] [20] [4] [22] [2] [6] [9] [21] [7] Frecuencia Porcentaje
  • 269.
    241 Promedios por Nivelde Conocimientos Nivel Promedio No aplico 8,70% Básico 17,85% Intermedio 42,82% Avanzado 30,63% TOTAL 100.00% Cuadro 56 : Promedios por nivel de conocimientos. Fuente:Maestrantes de Educación Informática de la Universidad de Guayaquil. Elaborado por:LSI Jorge Vera Mosquera. Gráfico 115: Promedios por Nivel de Conocimientos. Fuente:Maestrantes de Educación Informática de la Universidad de Guayaquil. Elaboración:LSI Jorge Vera Mosquera. Como se observa, el mayor porcentaje (42,82%) corresponde al nivel intermedio de conocimientos, seguido de nivel avanzado (30,63%), básico (17,85%) y no aplico (8,70%). Luego de haberse analizado y observado los resultados de cuadros y gráficos, se infiere que existe un porcentaje de consideración de aplicación de conocimientos, lo que implica que a nivel de Maestrantes se encuentra una inclinación pronunciada hacia el uso de las TIC. 8.70 17.85 42.82 30.63 No aplico Básico Intermedio Avanzado Promedio
  • 270.
    242 Encuesta dirigida aDocentes de la Universidad de Guayaquil En cuanto al cargo de Docentes de las personas encuestadas. Cargo de Docentes Valoración Frecuencia Porcentaje No dispone 0 0% Docencia 98 100% Administrativo 0 0% TOTAL 98 100% Cuadro 57 : Cargo de Docentes. Fuente: Docentes de la Universidad de Guayaquil. Elaborado por:LSI Jorge Vera Mosquera. Gráfico 116: Cargo de Docentes. Fuente:Docentes de la Universidad de Guayaquil. Elaboración:LSI Jorge Vera Mosquera. Luego de observar los resultados en el cuadro y gráfico, se determina que las 98 (100%) personas ocupan el cargo de Docente. En cuanto a los años de experiencia docente de las personas encuestadas: No dispone Docencia Administrativo 0 98 00 100 0 Frecuencia Porcentaje
  • 271.
    243 Años de experienciadocente Años de experiencia Frecuencia Porcentaje Promedio 1 8 8,16% 1,00 2 7 7,14% 1,50 3 3 3,06% 2,00 4 8 8,16% 2,50 5 11 11,22% 3,00 6 6 6,12% 3,50 7 4 4,08% 4,00 8 3 3,06% 4,50 9 2 2,04% 5,00 10 8 8,16% 5,50 11 3 3,06% 6,00 12 6 6,12% 6,50 13 1 1,02% 7,00 14 1 1,02% 7,50 15 2 2,04% 8,00 16 1 1,02% 8,50 17 3 3,06% 9,00 18 3 3,06% 9,50 20 2 2,04% 10,05 21 1 1,02% 10,60 22 2 2,04% 11,14 23 1 1,02% 11,68 25 3 3,06% 12,26 26 2 2,04% 12,83 28 3 3,06% 13,44 30 1 1,02% 14,08 36 1 1,02% 14,89 38 1 1,02% 15,71 40 1 1,02% 16,55 Total 98 100,00% Cuadro 58 : Años de experiencia docente. Fuente: Docentes de la Universidad de Guayaquil. Elaborado por: LSI Jorge Vera Mosquera.
  • 272.
    244 Gráfico 117: Añosde experiencia docente. Fuente:Docentes de la Universidad de Guayaquil. Elaboración:LSI Jorge Vera Mosquera. Luego de observar los resultados en el cuadro y gráfico, se determina que existe un promedio de experiencia de 16,55 años, entre todos los Docentes encuestados, hallándose Profesores desde uno (1) hasta cuarenta(40) años de experiencia, a su vez la frecuencia más alta es de once(11)Profesores con cinco (5) años de experiencia, y la mínima de uno (1) en frecuencia de trece(13), catorce(14), dieciséis (16), veintiuno(21), veintitrés(23), treinta(30), treinta y seis(36), treinta y ocho(38) y cuarenta(40) años de experiencia, lo que representa una variedad notable en la muestra. En cuanto al último grado académico de las personas encuestadas: Último grado académico Docentes Valoración Frecuencia Porcentaje Tercer nivel 55 56,12% Cuarto Nivel 43 43,88% TOTAL 98 100,00% Cuadro 59 : Último grado académico Docentes. Fuente: Docentes de la Universidad de Guayaquil. Elaborado por:LSI Jorge Vera Mosquera. 0 5 10 15 20 25 30 35 40 45 1 2 3 4 5 6 7 8 9 1011121314151617181920212223242526272829 Años de experiencia Frecuencia Porcentaje Promedio
  • 273.
    245 Gráfico 118: Últimogrado académico Docentes. Fuente:Docentes de la Universidad de Guayaquil. Elaboración:LSI Jorge Vera Mosquera. Luego de observar los resultados en el cuadro y gráfico, se determina que existe un buen número en ambos grados académicos de tercer y cuarto nivel, que identifica en los Docentes encuestados un buen nivel académico de estudios. 55 56.12 43 43.88 Frecuencia Porcentaje Tercer nivel Cuarto Nivel
  • 274.
    246 Pregunta No. 1:¿Considera Ud. que el aprendizaje autónomo se puede presentar con el empleo de las TIC en el proceso educativo? Aprendizaje autónomo con TIC Valoración Frecuencia Porcentaje Desconozco 13 13,27% Sí 80 81,63% No 5 5,10% TOTAL 98 100,00% Cuadro 60 : Aprendizaje autónomo con TIC. Fuente: Docentes de la Universidad de Guayaquil. Elaborado por:LSI Jorge Vera Mosquera. Gráfico 119: Aprendizaje autónomo con TIC. Fuente:Docentes de la Universidad de Guayaquil. Elaboración:LSI Jorge Vera Mosquera. Luego de observar los resultados en el cuadro y gráfico, se determina que existe un alto porcentaje de Docentes (81,63%) que consideran que el aprendizaje autónomo se puede presentar con el empleo de las TIC en el proceso educativo, mientras que un 5,10%, no lo considera así, y un 13,27% desconoce al respecto. Se infiere que existe una aceptación de que el aprendizaje autónomo se puede presentar con el empleo de las TIC en el proceso educativo. Desconozco Sí No 13 80 5 13.27 81.63 5.10 Frecuencia Porcentaje
  • 275.
    247 Pregunta No. 2:¿Considera Ud. que el trabajo colaborativo se puede presentar con el empleo de las TIC en el proceso educativo? Trabajo colaborativo con empleo TIC Valoración Frecuencia Porcentaje Desconozco 5 5,11% Sí 85 86,73% No 8 8,16% TOTAL 98 100,00% Cuadro 61 : Trabajo colaborativo con empleo TIC. Fuente: Docentes de la Universidad de Guayaquil. Elaborado por:LSI Jorge Vera Mosquera. Gráfico 120: Trabajo colaborativo con empleo TIC. Fuente: Docentes de la Universidad de Guayaquil. Elaboración:LSI Jorge Vera Mosquera. Luego de observar los resultados en el cuadro y gráfico, se determina que existe un alto porcentaje de Docentes (86,73%) que consideran que el trabajo colaborativo se puede presentar con el empleo de las TIC en el proceso educativo, mientras que un 8,16%, no lo considera así, y un 5,10% desconoce al respecto. Se infiere que existe una aceptación de que el trabajo colaborativo se puede presentar con el empleo de las TIC en el proceso educativo. Desconozco Sí No 5 85 8 5.11 86.63 8.16 Frecuencia Porcentaje
  • 276.
    248 Pregunta No. 3:¿Utiliza software especializado en la asignatura que imparte? Uso de software especializado en asignatura que se imparte Valoración Frecuencia Porcentaje Desconozco 4 4,09% Sí 60 61,22% No 34 34,69% TOTAL 98 100,00% Cuadro 62 : Uso de software especializado en asignatura que se imparte. Fuente: Docentes de la Universidad de Guayaquil. Elaborado por:LSI Jorge Vera Mosquera. Gráfico 121: Uso de software especializado en asignatura que se imparte. Fuente: Docentes de la Universidad de Guayaquil. Elaboración:LSI Jorge Vera Mosquera. Luego de observar los resultados en el cuadro y gráfico, se determina que existe un alto porcentaje de Docentes (61,22%) que utilizan software especializado en la asignatura que imparte, mientras que un 34,69%, no utiliza, y un 4,08% desconoce al respecto. Se infiere que la mayoría utiliza software especializado en la asignatura que imparte, sin embargo existe un porcentaje considerable que no está así. Desconozco Sí No 4 60 34 4.09 61.22 34.69 Frecuencia Porcentaje
  • 277.
    249 Pregunta No. 4:¿Realiza actividades didácticas empleando las TIC en las clases de su asignatura? Actividades didácticas empleando TIC en asignatura Valoración Frecuencia Porcentaje Desconozco 2 2,04% Sí 77 78,57% No 19 19,39% TOTAL 98 100,00% Cuadro 63 : Actividades didácticas empleando TIC en asignatura. Fuente: Docentes de la Universidad de Guayaquil. Elaborado por:LSI Jorge Vera Mosquera. Gráfico 122: Actividades didácticas empleando TIC en asignatura. Fuente:Docentes de la Universidad de Guayaquil. Elaboración:LSI Jorge Vera Mosquera. Luego de observar los resultados en el cuadro y gráfico, se determina que existe un alto porcentaje de Docentes (61,22%) que realizan actividades didácticas empleando las TIC en las clases de su asignatura, mientras que un 19,39%, no las utiliza, y un 2,04% desconoce al respecto. Se infiere que la mayoría realiza actividades didácticas empleando las TIC en las clases de su asignatura. Como se ve, entre quienes desconocen y no las utilizan existe un porcentaje llamativo al respecto. Desconozco Sí No 2 77 19 2.04 78.57 19.39 Frecuencia Porcentaje
  • 278.
    250 Pregunta No. 5:¿Cree que es importante apoyarse en las herramientas informáticas en el Curriculum actual de la asignatura a su cargo? Importancia de apoyo TIC en Curriculum de asignatura a cargo Valoración Frecuencia Porcentaje Desconozco 5 5,10% Sí 90 91,84% No 3 3,06% TOTAL 98 100,00% Cuadro 64 : Importancia de apoyo TIC en Curriculum de asignatura a cargo. Fuente: Docentes de la Universidad de Guayaquil. Elaborado por:LSI Jorge Vera Mosquera. Gráfico 123: Importancia de apoyo TIC en Curriculum de asignatura a cargo. Fuente:Docentes de la Universidad de Guayaquil. Elaboración:LSI Jorge Vera Mosquera. Luego de observar los resultados en el cuadro y gráfico, se determina que existe un alto porcentaje de Docentes(91,84%) que consideran que es importante apoyarse en las herramientas informáticas en el Curriculum actual de la asignatura a su cargo, mientras que un 3,06%, no lo considera así, y un 5,10% desconoce al respecto. Se infiere que existe una aceptación de que es importante apoyarse en las herramientas informáticas en el Curriculum actual de la asignatura a su cargo por parte de los Docentes. Desconozco Sí No 5 90 35.1 91.84 3.06 Frecuencia Porcentaje
  • 279.
    251 Pregunta No. 6:¿Incluyeel empleo de las TIC en la programación de la asignatura? Empleo de TIC en programación de asignatura Valoración Frecuencia Porcentaje Desconozco 1 1,02% Sí 87 88,78% No 10 10,20% TOTAL 98 100,00% Cuadro 65 : Empleo de TIC en programación de asignatura. Fuente: Docentes de la Universidad de Guayaquil. Elaborado por:LSIJorge Vera Mosquera. Gráfico 124: Empleo de TIC en programación de asignatura. Fuente:Docentes de la Universidad de Guayaquil. Elaboración:LSI Jorge Vera Mosquera. Luego de observar los resultados en el cuadro y gráfico, se determina que existe un alto porcentaje de Docentes(88,78%) que Incluye el empleo de las TIC en la programación de la asignatura, mientras que un 10,20%, no lo considera así, y un 1,02% desconoce al respecto. Se infiere que los Docentes incluyen el empleo de las TIC en la programación de la asignatura. Desconozco Sí No 1 87 10 1.02 88.78 10.2 Frecuencia Porcentaje
  • 280.
    252 Pregunta No. 7:¿Creaprocedimientos e instrumentos de evaluación de aprendizaje en entorno TIC? Evaluación de aprendizaje en entorno TIC Valoración Frecuencia Porcentaje Desconozco 3 3,06% Sí 76 77,55% No 19 19,39% TOTAL 98 100,00% Cuadro 66 : Evaluación de aprendizaje en entorno TIC. Fuente: Docentes de la Universidad de Guayaquil. Elaborado por:LSIJorge Vera Mosquera. Gráfico 125: Empleo de TIC en programación de asignatura. Fuente:Docentes de la Universidad de Guayaquil. Elaboración:LSI Jorge Vera Mosquera. Luego de observar los resultados en el cuadro y gráfico, se determina que existe un alto porcentaje de Docentes(77,55%) que crea procedimientos e instrumentos de evaluación de aprendizaje en entorno TIC, mientras que un 19,39%, no crea, y un 3,06% desconoce al respecto. Se infiere que los Docentes crean procedimientos e instrumentos de evaluación de aprendizaje en entorno TIC. Como se ve, entre quienes desconocen y no utilizan existe un porcentaje llamativo. Desconozco Sí No 3 76 19 3.06 77.55 19.39 Frecuencia Porcentaje
  • 281.
    253 Pregunta No. 8:¿Analizay evalúa el impacto de las TIC en el proceso educativo? Análisis y evaluación de impacto TIC en proceso educativo Valoración Frecuencia Porcentaje Desconozco 3 3,06% Sí 74 77,51% No 21 21,43% TOTAL 98 100,00% Cuadro 67 : Análisis y evaluación de impacto TIC en proceso educativo. Fuente: Docentes de la Universidad de Guayaquil. Elaborado por:LSIJorge Vera Mosquera. Gráfico 126: Análisis y evaluación de impacto TIC en proceso educativo. Fuente:Docentes de la Universidad de Guayaquil. Elaboración:LSI Jorge Vera Mosquera. Luego de observar los resultados en el cuadro y gráfico, se determina que existe un alto porcentaje de Docentes(77,51%) que analiza y evalúa el impacto de las TIC en el proceso educativo, mientras que un 21,43%, no lo hace, y un 3,06% desconoce al respecto. Se infiere que los Docentes analizan y evalúan el impacto de las TIC en el proceso educativo.Como se ve, entre quienes desconocen y no utilizan existe un porcentaje llamativo. Desconozco Sí No 3 74 21 3.06 77.51 21.43 Frecuencia Porcentaje
  • 282.
    254 Pregunta No. 9:¿Creagrupos de estudiantes, escenarios y tareas para utilizar recursos tecnológicos? Creación de grupos de estudiantes, escenarios y tareas con tecnología Valoración Frecuencia Porcentaje Desconozco 11 11,22% Sí 70 71,43% No 17 17,35% TOTAL 98 100,00% Cuadro 68 : Creación de grupos de estudiantes, escenarios y tareas con tecnología. Fuente: Docentes de la Universidad de Guayaquil. Elaborado por:LSIJorge Vera Mosquera. Gráfico 127: Creación de grupos de estudiantes, escenarios y tareas con tecnología. Fuente:Docentes de la Universidad de Guayaquil. Elaboración:LSI Jorge Vera Mosquera. Luego de observar los resultados en el cuadro y gráfico, se determina que existe un alto porcentaje de Docentes(71,43%) que crea grupos de estudiantes, escenarios y tareas para utilizar recursos tecnológicos, mientras que un 17,35%, no lo hace, y un 11,22% desconoce al respecto. Se infiere que los Docentes crean grupos de estudiantes, escenarios y tareas para utilizar recursos tecnológicos. Como se ve, entre quienes desconocen y no utilizan existe un porcentaje llamativo. Desconozco Sí No 11 70 17 11.22 71.43 17.35 Frecuencia Porcentaje
  • 283.
    255 Pregunta No. 10:¿Facilitael aprendizaje intermedio del recurso TIC? Facilita el aprendizaje intermedio del recurso TIC Valoración Frecuencia Porcentaje Desconozco 20 20,41% Sí 66 67,35% No 12 12,24% TOTAL 98 100,00% Cuadro 69 : Facilita el aprendizaje intermedio del recurso TIC. Fuente: Docentes de la Universidad de Guayaquil. Elaborado por:LSIJorge Vera Mosquera. Gráfico 128: Creación de grupos de estudiantes, escenarios y tareas con tecnología. Fuente:Docentes de la Universidad de Guayaquil. Elaboración:LSI Jorge Vera Mosquera. Luego de observar los resultados en el cuadro y gráfico, se determina que existe un alto porcentaje de Docentes(67,35%) que facilita el aprendizaje intermedio del recurso TIC, mientras que un 12,24%, no lo hace, y un 20,41% desconoce al respecto. Se infiere que los Docentes facilitan el aprendizaje intermedio del recurso TIC, pero se denota un porcentaje discreto de Profesores que desconocen, que al considerarse con quienes no lo hacen, se estima considerable. Desconozco Sí No 20 66 12 20.41 67.35 12.24 Frecuencia Porcentaje
  • 284.
    256 Pregunta No. 11:¿Facilitay/o contribuye equitativamente los recursos informáticos con sus estudiantes considerando las circunstancias de escenario? Facilita y/o contribuye equitativamente recursos TIC con estudiantes Valoración Frecuencia Porcentaje Desconozco 16 16,33% Sí 63 64,29% No 19 19,38% TOTAL 98 100,00% Cuadro 70 : Facilita y/o contribuye equitativamente recursos TIC con estudiantes. Fuente: Docentes de la Universidad de Guayaquil. Elaborado por:LSIJorge Vera Mosquera. Gráfico 129: Facilita y/o contribuye equitativamente recursos TIC con estudiantes. Fuente:Docentes de la Universidad de Guayaquil. Elaboración:LSI Jorge Vera Mosquera. Luego de observar los resultados en el cuadro y gráfico, se determina que existe un alto porcentaje de Docentes(64,29%) que facilitan y/o contribuyen equitativamente los recursos informáticos con sus estudiantes considerando las circunstancias de escenario, mientras que un 19,38%, no lo hace, y un 16,33% desconoce al respecto. Se infiere que los encuestados cumplen lo preguntado, notándose un porcentaje de consideración en los restantes. Desconozco Sí No 16 63 1916.33 64.29 19.38 Frecuencia Porcentaje
  • 285.
    257 Pregunta No. 12:¿Conoce,respeta y hace respetar las políticas, normas y procedimientos relacionados a la privacidad, propiedad intelectual, seguridad de datos y comportamiento adecuado en el uso de los recursos informáticos? Conoce, respeta y hace respetar el uso de recursos informáticos Valoración Frecuencia Porcentaje Desconozco 6 6,13% Sí 80 81,63% No 12 12,24% TOTAL 98 100,00% Cuadro 71 : Conoce, respeta y hace respetar el uso de recursos informáticos. Fuente: Docentes de la Universidad de Guayaquil. Elaborado por:LSIJorge Vera Mosquera. Gráfico 130: Conoce, respeta y hace respetar el uso de recursos informáticos. Fuente:Docentes de la Universidad de Guayaquil. Elaboración:LSI Jorge Vera Mosquera. Luego de observar los resultados en el cuadro y gráfico, se determina que existe un alto porcentaje de Docentes(81,63%) que conocen, respetan y hacen respetar las políticas, normas y procedimientos relacionados a la privacidad, propiedad intelectual, seguridad de datos y comportamiento adecuado en el uso de los recursos informáticos, mientras que un 12,24%, no lo hace, y un 6,13% desconoce al respecto. Se infiere que los encuestados cumplen lo preguntado. Desconozco Sí No 6 80 12 6.13 81.63 12.24 Frecuencia Porcentaje
  • 286.
    258 Pregunta No. 13:¿Promueveen su desenvolvimiento educativo el uso ético y legal de los recursos tecnológicos en sus diferentes formas de uso y presentación? Promueve el uso ético y legal de recursos tecnológicos Valoración Frecuencia Porcentaje Desconozco 8 8,16% Sí 74 75,51% No 16 16,33% TOTAL 98 100,00% Cuadro 72 : Promueve el uso ético y legal de recursos tecnológicos. Fuente: Docentes de la Universidad de Guayaquil. Elaborado por:LSIJorge Vera Mosquera. Gráfico 131: Promueve el uso ético y legal de recursos tecnológicos. Fuente:Docentes de la Universidad de Guayaquil. Elaboración:LSI Jorge Vera Mosquera. Luego de observar los resultados en el cuadro y gráfico, se determina que existe un alto porcentaje de Docentes(75,51%) que promueven en su desenvolvimiento educativo el uso ético y legal de los recursos tecnológicos en sus diferentes formas de uso y presentación,mientras que un 16,33%, no lo hace, y un 8,16% desconoce al respecto. Se infiere que los encuestados consideran que cumplen lo preguntado, notándose un porcentaje de consideración en los restantes. Desconozco Sí No 8 74 16 8.16 75.51 16.33 Frecuencia Porcentaje
  • 287.
    259 Pregunta No. 14:¿Comprendey hace comprender las implicaciones legales del uso de software y sus tipos de licencias? Comprende y hace comprender el uso legal del software Valoración Frecuencia Porcentaje Desconozco 16 16,33% Sí 59 60,20% No 23 23,47% TOTAL 98 100,00% Cuadro 73 : Comprende y hace comprender el uso legal del software. Fuente: Docentes de la Universidad de Guayaquil. Elaborado por:LSIJorge Vera Mosquera. Gráfico 132: Comprende y hace comprender el uso legal del software. Fuente:Docentes de la Universidad de Guayaquil. Elaboración:LSI Jorge Vera Mosquera. Luego de observar los resultados en el cuadro y gráfico, se determina que existe un alto porcentaje de Docentes(60,20%) que comprenden y hacen comprender las implicaciones legales del uso de software y sus tipos de licencias,mientras que un 23,47%, no lo hace, y un 16,33% desconoce al respecto. Se infiere que los Docentes comprenden y hacen comprender las implicaciones legales del uso de software y sus tipos de licencias, notándose que entre quienes desconocen y no lo hacen, un porcentaje considerable. Desconozco Sí No 16 59 23 16.33 60.20 23.47 Frecuencia Porcentaje
  • 288.
    260 Pregunta No. 15:¿Utilizasoftware de productividad para generar productos de fines administrativos? (informes, actas, notas, etc.) Uso de software de productividad con fines administrativos Valoración Frecuencia Porcentaje Desconozco 10 10,20% Sí 64 65,31% No 24 24,49% TOTAL 98 100,00% Cuadro 74 : Uso de software de productividad con fines administrativos. Fuente: Docentes de la Universidad de Guayaquil Elaborado por:LSIJorge Vera Mosquera Gráfico 133: Uso de software de productividad con fines administrativos. Fuente:Docentes de la Universidad de Guayaquil. Elaboración:LSI Jorge Vera Mosquera. Luego de observar los resultados en el cuadro y gráfico, se determina que existe un alto porcentaje de Docentes(65,31%) que utilizan software de productividad para generar productos de fines administrativos,mientras que un 24,49%, no lo hace, y un 10,20% desconoce al respecto. Se infiere que los Docentes utilizan software de productividad para generar productos de fines administrativos,notándose que entre quienes desconocen y no lo hacen, un porcentaje considerable. Desconozco Sí No 10 64 24 10.20 65.31 24.49 Frecuencia Porcentaje
  • 289.
    261 Pregunta No. 16:¿Emplearecursos de redes y comunicación con los estudiantes de su asignatura y/o con el resto de la comunidad educativa? Empleo de recursos de redes y comunicaciones en asignatura y comunidad Valoración Frecuencia Porcentaje Desconozco 19 19,39% Sí 59 60,20% No 20 20,41% TOTAL 98 100,00% Cuadro 75 : Empleo de recursos de redes y comunicaciones en asignatura y comunidad. Fuente: Docentes de la Universidad de Guayaquil. Elaborado por:LSIJorge Vera Mosquera. Gráfico 134: Empleo de recursos de redes y comunicaciones en asignatura y comunidad. Fuente:Docentes de la Universidad de Guayaquil. Elaboración:LSI Jorge Vera Mosquera. Luego de observar los resultados en el cuadro y gráfico, se determina que existe un alto porcentaje de Docentes(60,20%) que emplean recursos de redes y comunicación con los estudiantes de su asignatura y/o con el resto de la comunidad educativa,mientras que un 20,41%, no lo hace, y un 19,39% desconoce al respecto. Se infiere que los Docentes emplean recursos de redes y comunicación con los estudiantes de su asignatura y/o con el resto de la comunidad educativa, notándose que entre quienes desconocen y no lo hacen, un porcentaje considerable. Desconozco Sí No 19 59 2019.39 60.20 20.41 Frecuencia Porcentaje
  • 290.
    262 Pregunta No. 17:¿Disponede fuentes de información y sitios relevantes relacionados con las TIC en el quehacer educativo? Disposición de fuentes de información y sitios relevantes TIC en quehacer educativo Valoración Frecuencia Porcentaje Desconozco 19 12,24% Sí 59 68,37% No 20 19,39% TOTAL 98 100,00% Cuadro 76 : Fuentes de información y sitios relevantes TIC en quehacer educativo. Fuente: Docentes de la Universidad de Guayaquil. Elaborado por:LSIJorge Vera Mosquera. Gráfico 135: Disposición de fuentes de información y sitios relevantes TIC en quehacer educativo. Fuente:Docentes de la Universidad de Guayaquil. Elaboración:LSI Jorge Vera Mosquera. Luego de observar los resultados en el cuadro y gráfico, se determina que existe un alto porcentaje de Docentes(68,37%) que disponen de fuentes de información y sitios relevantes relacionados con las TIC en el quehacer educativo,mientras que un 19,39%, no lo hace, y un 12,24% desconoce al respecto. Se infiere que los Docentes disponen de fuentes de información y sitios relevantes relacionados con las TIC en el quehacer educativo, notándose que entre quienes desconocen y no lo hacen, un porcentaje considerable. Desconozco Sí No 19 59 20 12.24 68.37 19.39 Frecuencia Porcentaje
  • 291.
    263 Pregunta No. 18:¿Practica,experimenta y evalúa con herramientas TIC para incorporarlas a su quehacer educativo? Practica, experimenta y evalúa con TIC para incorporar en quehacer educativo Valoración Frecuencia Porcentaje Desconozco 10 10,20% Sí 58 59,18% No 30 30,62% TOTAL 98 100,00% Cuadro 77 : Practica, experimenta y evalúa TIC para incorporar en quehacer educativo. Fuente: Docentes de la Universidad de Guayaquil. Elaborado por:LSIJorge Vera Mosquera. Gráfico 136: Practica, experimenta y evalúa con TIC para incorporar en quehacer educativo. Fuente:Docentes de la Universidad de Guayaquil. Elaboración:LSI Jorge Vera Mosquera. Luego de observar los resultados en el cuadro y gráfico, se determina que existe un alto porcentaje de Docentes(59,18%) que practican, experimentan y evalúan con herramientas TIC para incorporarlas a su quehacer educativo,mientras que un 30,62%, no lo hace, y un 10,20% desconoce al respecto. Se infiere que los encuestados consideran que cumplen lo preguntado, notándose un porcentaje de consideración entre quienes desconocen y no lo hacen. Desconozco Sí No 10 58 30 10.20 59.18 30.62 Frecuencia Porcentaje
  • 292.
    264 Pregunta No. 19:¿Accede,participa y contribuye en espacios de reflexión de experiencias de aprendizaje por medios tradicionales, en red o Internet? Accede, participa y contribuye en espacios de aprendizaje Valoración Frecuencia Porcentaje Desconozco 19 19,39% Sí 54 55,10% No 25 25,51% TOTAL 98 100,00% Cuadro 78 : Accede, participa y contribuye en espacios de aprendizaje. Fuente: Docentes de la Universidad de Guayaquil. Elaborado por:LSIJorge Vera Mosquera. Gráfico 137: Accede, participa y contribuye en espacios de aprendizaje. Fuente:Docentes de la Universidad de Guayaquil. Elaboración:LSI Jorge Vera Mosquera. Luego de observar los resultados en el cuadro y gráfico, se determina que existe un alto porcentaje de Docentes(55,10%) que acceden, participan y contribuyen en espacios de reflexión de experiencias de aprendizaje por medios tradicionales, en red o Internet,mientras que un 25,51%, no lo hace, y un 19,39% desconoce al respecto. Se infiere que los encuestados cumplen lo preguntado, notándose un porcentaje de consideración entre quienes desconocen y no lo hacen. Desconozco Sí No 19 54 25 19.39 55.10 25.51 Frecuencia Porcentaje
  • 293.
    265 Pregunta 20: ¿Utiliza,evalúa y comparte ideas, experiencias y herramientas TIC para incorporarlas en estrategias de aprendizaje? Utiliza, evalúa y comparte herramientas TIC para incorporar en aprendizaje Valoración Frecuencia Porcentaje Desconozco 6 6,12% Sí 74 75,51% No 18 18,37% SUMA 98 100,00% Cuadro 79 : Utiliza, evalúa y comparte TIC para incorporar en aprendizaje. Fuente: Docentes de la Universidad de Guayaquil. Elaborado por:LSIJorge Vera Mosquera. Gráfico 138: Accede, participa y contribuye en espacios de aprendizaje. Fuente:Docentes de la Universidad de Guayaquil. Elaboración:LSI Jorge Vera Mosquera. Luego de observar los resultados en el cuadro y gráfico, se determina que existe un alto porcentaje de Docentes (75,51%) que manifiestan utilizar, evaluar y compartir ideas, experiencias y herramientas TIC para incorporarlas en estrategias de aprendizaje, mientras que un 18,37%, no lo hace, y un 6,12% desconoce al respecto. Se infiere que los encuestados cumplen lo preguntado, notándose un porcentaje discreto entre quienes desconocen y no lo hacen. Desconozco Sí No 6 74 18 6.12 75.51 18.37 Frecuencia Porcentaje
  • 294.
    266 Pregunta No. 21:¿Participaen instancias relacionadas con las TIC y el aprendizaje? (Foros, congresos, seminarios, etc.) Participa en instancias TIC y aprendizaje Valoración Frecuencia Porcentaje Desconozco 11 11,22% Sí 57 58,16% No 30 30,62% TOTAL 98 100,00% Cuadro 80 : Participa en instancias TIC y aprendizaje. Fuente: Docentes de la Universidad de Guayaquil. Elaborado por:LSIJorge Vera Mosquera. Gráfico 139: Participa en instancias TIC y aprendizaje. Fuente:Docentes de la Universidad de Guayaquil. Elaboración:LSI Jorge Vera Mosquera. Luego de observar los resultados en el cuadro y gráfico, se determina que existe un alto porcentaje de Docentes(58,16%) que participan en instancias relacionadas con las TIC y el aprendizaje (Foros, congresos, seminarios, etc.,mientras que un 30,62%, no lo hace, y un 11,22% desconoce al respecto. Se infiere que los encuestados cumplen lo preguntado, notándose un porcentaje de consideración entre quienes desconocen y no lo hacen. Desconozco Sí No 11 57 30 11.22 58.16 30.62 Frecuencia Porcentaje
  • 295.
    267 Pregunta No. 22:¿Utilizalas TIC como medio en la evaluación de aprendizajes? Uso de las TIC como medio de evaluación de aprendizajes Valoración Frecuencia Porcentaje Desconozco 15 15,31% Sí 53 54,08% No 30 30,61% TOTAL 98 100,00% Cuadro 81 : Uso de las TIC como medio de evaluación de aprendizajes. Fuente: Docentes de la Universidad de Guayaquil Elaborado por:LSIJorge Vera Mosquera Gráfico 140: Uso de las TIC como medio de evaluación de aprendizajes. Fuente:Docentes de la Universidad de Guayaquil. Elaboración:LSI Jorge Vera Mosquera. Luego de observar los resultados en el cuadro y gráfico, se determina que existe un alto porcentaje de Docentes(54,08%) que utilizan las TIC como medio en la evaluación de aprendizajes,mientras que un 30,61%, no lo hace, y un 15,31% desconoce al respecto. Se infiere que los Docentes utilizan las TIC como medio en la evaluación de aprendizajes,notándose que entre quienes desconocen y no lo hacen, un porcentaje considerable. Desconozco Sí No 15 53 30 15.31 54.08 30.61 Frecuencia Porcentaje
  • 296.
    268 Pregunta No. 23:¿Realizay lleva a cabo Proyectos Pedagógicos y/o Andragógicos de Aula con apoyo de las TIC? Proyectos Pedagógicos y/o andragógicos de aula con apoyo TIC Valoración Frecuencia Porcentaje Desconozco 10 10,20% Sí 55 56,12% No 33 33,68% TOTAL 98 100,00% Cuadro 82 : Proyectos Pedagógicos y/o andragógicos de aula con apoyo TIC. Fuente: Docentes de la Universidad de Guayaquil. Elaborado por:LSIJorge Vera Mosquera. Gráfico 141: Proyectos Pedagógicos y/o andragógicos de aula con apoyo TIC. Fuente:Docentes de la Universidad de Guayaquil. Elaboración:LSI Jorge Vera Mosquera. Luego de observar los resultados en el cuadro y gráfico, se determina que existe un alto porcentaje de Docentes(56,12%) que realizan y llevan a cabo Proyectos Pedagógicos y/o Andragógicos de Aula con apoyo de las TIC,mientras que un 33,68%, no lo hace, y un 10,20% desconoce al respecto. Se infiere que los Docentes realizan y llevan a cabo Proyectos Pedagógicos y/o Andragógicos de Aula con apoyo de las TIC, notándose que entre quienes desconocen y no lo hacen, un porcentaje considerable. Desconozco Sí No 10 55 33 10.20 56.12 33.68 Frecuencia Porcentaje
  • 297.
    269 Pregunta No. 24:¿Utilizamétodos y técnicas activas con el apoyo de las TIC? Uso de métodos técnicas activas con apoyo TIC Valoración Frecuencia Porcentaje Desconozco 19 19,39% Sí 63 64,29% No 16 16,32% TOTAL 98 100,00% Cuadro 83 : Uso de métodos técnicas activas con apoyo TIC. Fuente: Docentes de la Universidad de Guayaquil. Elaborado por:LSIJorge Vera Mosquera. Gráfico 142: Uso de métodos técnicas activas con apoyo TIC. Fuente:Docentes de la Universidad de Guayaquil. Elaboración:LSI Jorge Vera Mosquera. Luego de observar los resultados en el cuadro y gráfico, se determina que existe un alto porcentaje de Docentes(64,29%) que utilizan métodos y técnicas activas con el apoyo de las TIC,mientras que un 16,32%, no lo hace, y un 19,39% desconoce al respecto. Se infiere que los Docentes realizan y llevan a cabo Proyectos Pedagógicos y/o Andragógicos de Aula con apoyo de las TIC, notándose que entre quienes desconocen y no lo hacen, un porcentaje considerable. Desconozco Sí No 19 63 16 19.39 64.29 16.32 Frecuencia Porcentaje
  • 298.
    270 Pregunta No. 25:¿Existenproyectos entre asignaturas apoyados en TIC? Proyectos entre asignaturas apoyados en TIC Valoración Frecuencia Porcentaje Desconozco 12 12,24% Sí 50 51,03% No 36 36,73% TOTAL 98 100,00% Cuadro 84 : Proyectos entre asignaturas apoyados en TIC. Fuente: Docentes de la Universidad de Guayaquil. Elaborado por:LSIJorge Vera Mosquera. Gráfico 143: Uso de métodos técnicas activas con apoyo TIC. Fuente:Docentes de la Universidad de Guayaquil. Elaboración:LSI Jorge Vera Mosquera. Luego de observar los resultados en el cuadro y gráfico, se determina que existe un alto porcentaje de Docentes(51,03%) que existen proyectos entre asignaturas, apoyados en TIC,mientras que un 36,73%, no lo hace, y un 12,24% desconoce al respecto. Se infiere que existen proyectos entre asignaturas apoyados en TIC, notándose que entre quienes desconocen y no lo hacen, un porcentaje considerable, que representan casi un 50%. Desconozco Sí No 12 50 36 12.24 51.03 36.73 Frecuencia Porcentaje
  • 299.
    271 Pregunta No. 26:¿ExisteIntercambio entre Docentes de experiencias de aprendizaje apoyadas en TIC? Intercambio de experiencias de aprendizaje apoyados en TIC entre Docentes Valoración Frecuencia Porcentaje Desconozco 8 8,16% Sí 43 43,88% No 47 47,96% TOTAL 98 100,00% Cuadro 85 : Experiencias de aprendizaje apoyados en TIC entre Docentes. Fuente: Docentes de la Universidad de Guayaquil. Elaborado por:LSIJorge Vera Mosquera. Gráfico 144: Intercambio de experiencias de aprendizaje apoyados en TIC entre Docentes. Fuente:Docentes de la Universidad de Guayaquil. Elaboración:LSI Jorge Vera Mosquera. Luego de observar los resultados en el cuadro y gráfico, se determina que existe un alto porcentaje de Docentes(47,96%) que no disponen de Intercambio entre Docentes de experiencias de aprendizaje apoyadas en TIC,mientras que un 43,88%, sí lo hace, y un 8,16% desconoce al respecto. Se infiere que los Docentes no disponen de Intercambio entre Docentes de experiencias de aprendizaje apoyadas en TIC, notándose que un porcentaje considerable mayor al 50%entre quienes desconocen y no lo hacen. Desconozco Sí No 8 43 47 8.16 43.88 47.96 Frecuencia Porcentaje
  • 300.
    272 Pregunta No. 27:¿Existealgún proyecto de desarrollo de conocimientos apoyados en TIC para Docentes? Proyecto de desarrollo de conocimientos apoyados en TIC para Docentes Valoración Frecuencia Porcentaje Desconozco 28 28,57% Sí 37 37,76% No 33 33,67% TOTAL 98 100,00% Cuadro 86 : Proyecto de desarrollo de conocimientos apoyados en TIC para Docentes. Fuente: Docentes de la Universidad de Guayaquil. Elaborado por:LSIJorge Vera Mosquera. Gráfico 145: Proyecto de desarrollo de conocimientos apoyados en TIC para Docentes. Fuente:Docentes de la Universidad de Guayaquil. Elaboración:LSI Jorge Vera Mosquera. Luego de observar los resultados en el cuadro y gráfico, se determina que existe un mayor porcentaje de Docentes(37,76%) que manifiestan que existe algún proyecto de desarrollo de conocimientos apoyados en TIC para Docentes,mientras que un 33,67%, no lo hace, y un 28,57% desconoce al respecto. Se infiere que entre Docentes existe algún proyecto de desarrollo de conocimientos apoyados en TIC para Docentes, notándose que entre quienes desconocen y no lo hacen, existe un porcentaje considerable superior al 50%. Desconozco Sí No 28 37 33 28.57 37.76 33.67 Frecuencia Porcentaje
  • 301.
    273 Pregunta No. 28:¿Enqué grado de importancia considera Ud. al manejo de las TIC en la gestión docente universitaria? Importancia en el manejo de las TIC en la gestión docente universitaria Valoración Frecuencia Porcentaje Desconozco 2 2,04% Nulo 3 3,06% Algo 6 6,12% Medio 17 17,35% Alto 23 23,47% Más alto 47 47,96% TOTAL 98 100,00% Cuadro 87 : Importancia en el manejo de las TIC en la gestión docente universitaria. Fuente: Docentes de la Universidad de Guayaquil. Elaborado por:LSIJorge Vera Mosquera. Gráfico 146: Importancia en el manejo de las TIC en la gestión docente universitaria. Fuente:Docentes de la Universidad de Guayaquil. Elaboración:LSI Jorge Vera Mosquera. Luego de observar los resultados en el cuadro y gráfico, se determina que el porcentaje más alto de Docentes(47,96%)considera la máxima importancia al manejo de las TIC en la gestión docente universitaria,23,47%, lo considera de alta importancia, 17,35% considera importancia media, 6,12% lo considera algo importante, 3,06% considera de importancia nula, y 2,04% desconoce. Se deduce que los Docentes consideran importante al manejo de las TIC en la gestión docente universitaria. 2 3 6 17 23 47 2.04 3.06 6.12 17.35 23.47 47.96Frecuencia Porcentaje
  • 302.
    274 Pregunta No. 29:¿En qué grado considera que se debe conservar la presencia del paradigma tradicional en el proceso educativo actual de la Universidad? Presencia del paradigma tradicional en el proceso educativo Valoración Frecuencia Porcentaje Desconozco 4 4,08% Nulo 9 9,18% Algo 18 18,37% Medio 21 21,43% Alto 28 28,57% Más alto 18 18,37% TOTAL 98 100,00% Cuadro 88 : Presencia del paradigma tradicionalen el proceso educativo. Fuente: Docentes de la Universidad de Guayaquil. Elaborado por:LSIJorge Vera Mosquera. Gráfico 147: Presencia del paradigma tradicional en el proceso educativo. Fuente:Docentes de la Universidad de Guayaquil. Elaboración:LSI Jorge Vera Mosquera. Luego de observar los resultados en el cuadro y gráfico, se determina que un porcentaje alto de Docentes (28,57%) considera que se debe conservar el paradigma tradicional en el proceso educativo actual de la Universidad, mientras que un 21,43% considera medianamente importante, 18,37% considera algo importante y de más alta importancia, 9,18% considera nulo, y 4,08% desconoce al respecto. Se infiere que no hay mayoría que lo considere así. 4 9 18 21 28 18 4.08 9.18 18.37 21.43 28.57 18.37 Frecuencia Porcentaje
  • 303.
    275 Pregunta No. 30:¿Enqué grado considera que es importante apoyarse en las herramientas informáticas en el Curriculum actual de la asignatura a su cargo? Grado de importancia de apoyo TIC en Curriculum de asignatura Valoración Frecuencia Porcentaje Desconozco 2 2,04% Nulo 0 0,00% Algo 2 2,04% Medio 11 11,23% Alto 32 32,65% Más alto 51 52,04% TOTAL 98 100,00% Cuadro 89 : Grado de importancia de apoyo TIC en Curriculum asignatura. Fuente: Docentes de la Universidad de Guayaquil. Elaborado por:LSIJorge Vera Mosquera. Gráfico 148: Grado de importancia de apoyo TIC en Curriculum de asignatura. Fuente:Docentes de la Universidad de Guayaquil. Elaboración:LSI Jorge Vera Mosquera. Al observar los resultados en el cuadro y gráfico, se determina que el porcentaje más alto de Docentes(52,04%) considera la máxima importancia al apoyarse en las herramientas informáticas en el Curriculum actual de la asignatura a su cargo, un 32,65% alta importancia, un 11,22% media importancia, 2,04% algo importante, nadie considera nulo, y 2,04% desconoce. Se infiere que la mayoría lo considera importante. 2 0 2 11 32 51 2.04 0.00 2.04 11.22 32.65 52.04 Frecuencia Porcentaje
  • 304.
    276 Pregunta No. 31:¿Quégrado de importancia considera que se debe dar al empleo de Software de Gestión de Contenidos y/o de Aprendizajes en una modalidad semi-presencial y/o a distancia? Grado de importancia al empleo de Software de Contenidos y/o aprendizaje Valoración Frecuencia Porcentaje Desconozco 5 5.10% Nulo 0 0.00% Algo 1 1.02% Medio 11 11.22% Alto 25 25.51% Más alto 56 57.14% TOTAL 98 100.00% Cuadro 90 : Empleo de Software de Contenidos y/o aprendizaje. Fuente:Docentes de la Universidad de Guayaquil. Elaborado por:LSIJorge Vera Mosquera. Gráfico 149: Grado de importancia al empleo de Softw are de Contenidos y/o aprendizaje. Fuente:Docentes de la Universidad de Guayaquil. Elaboración:LSI Jorge Vera Mosquera. Al observar los resultados en el cuadro y gráfico, se determina que existe el porcentaje más alto de Docentes(57,14%) que considera la máxima importancia al empleo de Software de Gestión de Contenidos y/o de Aprendizajes en una modalidad semi-presencial y/o a distancia, 25,51% lo considera de alta importancia, 11,22% de media importancia, 1,02% algo importante, nadie lo considera nulo, y un 5,10% desconoce al respecto. Se infiere que los Docentes lo consideran importante. 5 0 1 11 25 56 5.10 0.00 1.02 11.22 25.51 57.14 Frecuencia Porcentaje
  • 305.
    277 Pregunta No. 32:¿Enqué grado considera su evolución de conocimientos en la-s disciplina-s que imparte? Evolución de conocimientos en disciplina que se imparte Valoración Frecuencia Porcentaje Desconozco 2 2,04% Nulo 0 0,00% Algo 4 4,07% Medio 13 13,27% Alto 41 41,84% Más alto 38 38,78% TOTAL 98 100,00% Cuadro 91 : Evolución de conocimientos en disciplina que se imparte. Fuente:Docentes de la Universidad de Guayaquil. Elaborado por:LSIJorge Vera Mosquera. Gráfico 150: Evolución de conocimientos en disciplina que se imparte. Fuente:Docentes de la Universidad de Guayaquil. Elaboración:LSI Jorge Vera Mosquera. Luego de observar los resultados en el cuadro y gráfico, se determina que existe un porcentaje de Docentes(41,84%) que considera una evolución alta de sus conocimientos en la-s disciplina-s que imparte, un 38,78% lo considera más alto, mientras un 13,27% lo considera medio, un 4,07% algo lo considera, nadie lo considera nulo y un 2,04% lo desconoce. Se infiere que los Docentes lo consideran importante. 2 0 4 13 41 38 2.04 0.00 4.07 13.27 41.84 38.78 Frecuencia Porcentaje
  • 306.
    278 Pregunta No. 33:¿Enqué grado considera la evolución del aprendizaje de sus estudiantes en la-s disciplina-s que imparte? Evolución del aprendizaje de los estudiantes Valoración Frecuencia Porcentaje Desconozco 4 4,08% Nulo 0 0,00% Algo 0 0,00% Medio 11 11,22% Alto 50 51,03% Más alto 33 33,67% TOTAL 98 100,00% Cuadro 92 : Evolución del aprendizaje de los estudiantes. Fuente: Docentes de la Universidad de Guayaquil. Elaborado por:LSIJorge Vera Mosquera. Gráfico 151: Evolución del aprendizaje de los estudiantes. Fuente:Docentes de la Universidad de Guayaquil. Elaboración:LSI Jorge Vera Mosquera. Luego de observar los resultados en el cuadro y gráfico, se determina que existe un porcentaje de Docentes(51,03%) que considera una alta evolución del aprendizaje de sus estudiantes en la-s disciplina-s que imparte, 33,67% lo considera más alto, 11,22% lo considera media, nadie lo considera en algo o nulo, y un 4,08% lo desconoce. Se infiere que los Docentes consideran una evolución alta del aprendizaje de sus estudiantes en la-s disciplina-s que imparte. 4 0 0 11 50 33 4.08 0.00 0.00 11.22 51.03 33.67 Frecuencia Porcentaje
  • 307.
    279 Pregunta No. 34:¿Enqué grado considera sus necesidades de Formación en TIC? Necesidades de Formación en TIC Valoración Frecuencia Porcentaje Desconozco 2 2,04% Nulo 1 1,02% Algo 2 2,04% Medio 5 5,10% Alto 30 30,62% Más alto 58 59,18% TOTAL 98 100,00% Cuadro 93 : Necesidades de Formación en TIC. Fuente:Docentes de la Universidad de Guayaquil. Elaborado por:LSIJorge Vera Mosquera. Gráfico 152: Necesidades de Formación en TIC. Fuente:Docentes de la Universidad de Guayaquil. Elaboración:LSI Jorge Vera Mosquera. Luego de observar los resultados en el cuadro y gráfico, se determina que existe un porcentaje de Docentes(59,18%) que considera de muy alta necesidad de Formación en TIC, un 30,62% lo considera alta, un 5,10% lo considera media, un 2,04% lo considera en algo, un 1,02% lo considera nulo, y un 2,04% lo desconoce. Se infiere que los Docentes consideran una alta necesidad de Formación en TIC. 2 1 2 5 30 58 2.04 1.02 2.04 5.10 30.62 59.18 Frecuencia Porcentaje
  • 308.
    280 Pregunta No. 35:¿Qué recursos TIC emplea como parte de su estrategia de aprendizaje para un entorno de trabajo? Recursos TIC como estrategias de aprendizaje Recurso Valoración Frecuencia Porcentaje Chat No 65 66,33% Sí 33 33,67% SUMA 98 100,00% Email No 48 48,98% Sí 50 51,02% SUMA 98 100,00% Foro No 73 74,49% Sí 25 25,51% SUMA 98 100,00% Wiki No 79 80,61% Sí 19 19,39% SUMA 98 100,00% Círculo de aprendizaje No 86 87,76% Sí 12 12,24% SUMA 98 100,00% Simulaciones No 87 88,78% Sí 11 11,22% SUMA 98 100,00% Proyectos colaborativos No 75 76,53% Sí 23 23,47% SUMA 98 100,00% Caza del tesoro No 94 95,92% Sí 4 4,08% SUMA 98 100,00%
  • 309.
    281 Webquest No 91 92,86% Sí7 7,14% SUMA 98 100,00% Blog No 75 76,53% Sí 23 23,47% SUMA 98 100,00% Otros No 84 85,71% Sí 14 14,29% SUMA 98 100,00% Cuadro 94 : Recursos TIC como estrategias de aprendizaje. Fuente:Docentes de la Universidad de Guayaquil. Elaborado por:LSIJorge Vera Mosquera. Gráfico 153: Recursos TIC como estrategias de aprendizaje. Fuente:Docentes de la Universidad de Guayaquil. Elaboración:LSI Jorge Vera Mosquera. 0 10 20 30 40 50 60 70 80 90 100 No Sí No Sí No Sí No Sí No Sí No Sí No Sí No Sí No Sí No Sí No Sí Chat Email Foro Wiki C.Ap. Simul. P.Col. C.Tes. Webq. Blog Otros
  • 310.
    282 Aplicación de recursosTIC como estrategia de aprendizaje Valoración Frecuencia Porcentaje Desconozco 20 20,41% Aplico 62 63,27% No Aplico 16 16,32% SUMA 98 100,00% Cuadro No. 109: Aplicación de recursos TIC como estrategia de aprendizaje Fuente:Docentes de la Universidad de Guayaquil Elaborado por:LSIJorge Vera Mosquera Gráfico 154: Aplicación de recursos TIC como estrategia de aprendizaje. Fuente:Docentes de la Universidad de Guayaquil. Elaboración:LSI Jorge Vera Mosquera. Luego de observar los resultados en los cuadros y gráficos de detalle y sumarización, se determina que existe un porcentaje de Docentes (63,27%) que manifiesta que emplea recursos TIC como parte de su estrategia de aprendizaje para un entorno de trabajo, un 16,33% que manifiesta que no aplica, y un 20,41% desconoce al respecto. El recurso menos utilizado es la casa del tesoro (95,92%), seguido del webquest (92,86%), simulaciones (88,78%), círculo de aprendizaje (87,76%), otros (85,71%), wiki (80,61%), blog y proyectos colaborativos (76,53%), foro (74,99%), chat (66,63%) y el email (48,98%).El más utilizado es el correo electrónico (51,02%), seguido del chat (33,67%), Desconozco Aplico No Aplico 20 62 16 20.41 63.27 16.32 Frecuencia Porcentaje
  • 311.
    283 foro (25,51%), proyectoscolaborativos y Blog (23,47%), wiki (19,39%), otros (14,29%), círculos de aprendizaje (12,24%), simulaciones (11,22%), webquest (7,14%) y caza del tesoro (4,08%). Se deduce que los Docentes en su mayoría consideran que se encuentran empleando recursos TIC como parte de su estrategia de aprendizaje, existiendo un porcentaje considerable entre quienes no aplican y más aún de quienes desconocen.
  • 312.
    284 Pregunta No. 36:¿Qué técnicas activas utiliza con apoyo en TIC? Técnicas activas con apoyo TIC Técnica Valoración Frecuencia Porcentaje Mapas conceptuales No 53 54,08% Sí 45 45,92% SUMA 98 100,00% Mapas mentales No 83 84,69% Sí 15 15,31% SUMA 98 100,00% Aprendizaje colaborativo No 65 66,33% Sí 33 33,67% SUMA 98 100,00% Trabajo en grupo No 59 60,20% Sí 39 39,80% SUMA 98 100,00% Foro No 79 80,61% Sí 19 19,39% SUMA 98 100,00% Audio digital No 86 87,76% Sí 12 12,24% SUMA 98 100,00% Grabar movimientos en el monitor No 92 93,88% Sí 6 6,12% SUMA 98 100,00% Cuestionario No 81 82,65% Sí 17 17,35% SUMA 98 100,00%
  • 313.
    285 Lluvia de ideasNo 59 60,20% Sí 39 39,80% SUMA 98 100,00% Pizarra en línea No 90 91,84% Sí 8 8,16% SUMA 98 100,00% Ensayos No 84 85,71% Sí 14 14,29% SUMA 98 100,00% Proyectos en línea No 86 87,76% Sí 12 12,24% SUMA 98 100,00% Otros No 90 91,84% Sí 8 8,16% SUMA 98 100,00% Cuadro 95 : Técnicas activas con apoyo TIC. Fuente:Docentes de la Universidad de Guayaquil. Elaborado por:LSIJorge Vera Mosquera. Gráfico 155: Técnicas activas con apoyo TIC. Fuente:Docentes de la Universidad de Guayaquil. Elaboración:LSI Jorge Vera Mosquera. 0 10 20 30 40 50 60 70 80 90 100 No Sí No Sí No Sí No Sí No Sí No Sí No Sí No Sí No Sí No Sí No Sí No Sí No Sí M.Con.M.Men.A.Col.T.Grupo Foro A.Dig.Mov.M.Cuest.Lluvia I.Piz. Lin. Ens. Proy.L. Otros
  • 314.
    286 Aplicación de técnicasactivas con apoyo TIC Valoración Frecuencia Porcentaje Desconozco 23 23,47% Aplico 66 67,35% No Aplico 9 9,18% SUMA 98 100,00% Cuadro 96 : Aplicación de técnicas activas con apoyo TIC. Fuente:Docentes de la Universidad de Guayaquil. Elaborado por:LSIJorge Vera Mosquera. Gráfico 156: Aplicación de técnicas activas con apoyo TIC. Fuente:Docentes de la Universidad de Guayaquil. Elaboración:LSI Jorge Vera Mosquera. Luego de observar los resultados en los cuadros y gráficos de detalle y sumarización, se determina que existe un porcentaje de Docentes (67,35%) que manifiesta utilizar técnicas activas con apoyo en TIC, 9,18% manifiesta que no aplica, y 23,47% desconoce al respecto, lo cual es algo significativo en relación a no aplicar. La técnica menos utilizada es grabar movimientos en el monitor (93,88%), seguido de pizarra en línea y otros (91,84%), audio digital y proyectos en línea (87,76%), ensayos (85,71%), mapas mentales (84,69%), Desconozco Aplico No Aplico 23 66 9 23.47 67.35 9.18 Frecuencia Porcentaje
  • 315.
    287 cuestionario (82,65%), foro(80,61%), aprendizaje colaborativo (66,33%), lluvia de ideas y trabajo en grupo (60,20%), y mapas conceptuales (54,08%). El más utilizado es el mapa conceptual (45,92%), seguido del trabajo de grupo y lluvia de ideas (39,80%), aprendizaje colaborativo (33,67%), foro (19,39%), cuestionario (17,35%), mapas mentales (15,31%), ensayos (14,29%), proyectos en línea y audio digital (12,24%), pizarra en línea (8,16%), y grabar movimientos en el monitor (6,12%). Se deduce que los Docentes en su mayoría no se encuentran empleando técnicas activas con apoyo en TIC, a pesar que en su mayoría manifiesta hacerlo, considerándose para ello el empleo del mapa conceptual con un porcentaje menor al 50%, notándose intentos en empleo colectivo como trabajo de Grupo, lluvia de ideas, aprendizaje colaborativo y foro. La técnica menos utilizada es grabar movimientos en el monitor cuyo porcentaje supera el 90%, notándose un alto porcentaje de no uso en técnicas individuales seguido en técnicas de empleo en grupo.
  • 316.
    288 Pregunta No. 37:¿Qué tipos de aprendizaje utiliza en sus procesos educativos, apoyado en las TIC? Tipos de aprendizaje en procesos educativos apoyados en TIC Tipo Valoración Frecuencia Porcentaje Receptivo No 73 74,49% Sí 25 25,51% SUMA 98 100,00% Por descubrimiento No 79 80,61% Sí 19 19,39% SUMA 98 100,00% Repetitivo No 90 91,84% Sí 8 8,16% SUMA 98 100,00% Significativo No 75 76,53% Sí 23 23,47% SUMA 98 100,00% Observación No 63 64,29% Sí 35 35,71% SUMA 98 100,00% Colaborativo No 78 79,59% Sí 20 20,41% SUMA 98 100,00% Cooperativo No 68 69,39% Sí 30 30,61% SUMA 98 100,00% Por Caso No 81 82,65% Sí 17 17,35% SUMA 98 100,00%
  • 317.
    289 Basado en problemas No 7071,43% Sí 28 28,57% SUMA 98 100,00% Basado en proyectos No 77 78,57% Sí 21 21,43% SUMA 98 100,00% Visual No 76 77,55% Sí 22 22,45% SUMA 98 100,00% Otros No 87 88,78% Sí 11 11,22% SUMA 98 100,00% Cuadro 97 : Tipos de aprendizaje en procesos educativos apoyadosen TIC. Fuente: Docentes de la Universidad de Guayaquil. Elaborado por:LSIJorge Vera Mosquera. Gráfico 157: Aplicación de técnicas activas con apoyo TIC. Fuente:Docentes de la Universidad de Guayaquil. Elaboración:LSI Jorge Vera Mosquera. 0 10 20 30 40 50 60 70 80 90 100 No Sí No Sí No Sí No Sí No Sí No Sí No Sí No Sí No Sí No Sí No Sí No Sí Recep.Descub.Repet. Signif. Obs. Colab. Coop.Por CasoB. Prob.B.Proy. Visual Otros
  • 318.
    290 Aplicación de tiposde aprendizaje en procesos educativos apoyados en TIC Valoración Frecuencia Porcentaje Desconozco 15 15,31% Aplico 55 56,12% No Aplico 28 28,57% SUMA 98 100,00% Cuadro 98 : Aplicación tipos de aprendizaje en procesos educativoscon TIC. Fuente:Docentes de la Universidad de Guayaquil. Elaborado por:LSIJorge Vera Mosquera. Gráfico 158: Aplicación de tipos de aprendizaje en procesos educativos apoyadosen TIC. Fuente:Docentes de la Universidad de Guayaquil. Elaboración:LSI Jorge Vera Mosquera. Luego de observar los resultados en los cuadros y gráficos de detalle y sumarización, se determina que existe un porcentaje de Docentes (56,12%) que manifiesta utilizar tipos de aprendizaje en sus procesos educativos apoyados en las TIC, un 28,57% que manifiesta que no aplica, y un 15,31% desconoce al respecto, lo cual significa que existe una relativa tendencia al uso de tipos de aprendizaje en los procesos educativos apoyados en las TIC. Desconozco Aplico No Aplico 15 55 28 15.31 56.12 28.57 Frecuencia Porcentaje
  • 319.
    291 El tipo menosutilizado es el repetitivo (91,84%), seguido de otros (88,78%), por caso (82,65%), por descubrimiento (80,61%), colaborativo (79,59%), basado en proyectos (78,57%), visual (77,55%), significativo (76,53%), receptivo (74,49%), basado en problemas (71,43%), observación (64,29%) y cooperativo (69,39%). El más utilizado es observación (35,71%), seguido de cooperativo (30,61%), basado en problemas (28,57%), receptivo (25,51%), significativo (23,47%), visual (22,45%), basado en proyectos (21,43%), colaborativo (20,41%), descubrimiento (19,39%), por caso (17,35%), otros (11,22%) y repetitivo (8,16%). Se infiere que los Docentes presentan un comportamiento de deseo de usar las TIC en apoyo al tipo de aprendizaje a utilizar con los dicentes, pero no se marca una tendencia mayoritaria a determinada o determinadas técnicas, observándose por ello que la observación prima por su mayor porcentaje, al igual que el menos utilizado es el repetitivo lo que marca que no se desea enseñar a ser simplemente instrumental.
  • 320.
    292 Pregunta No. 38:¿Qué enfoques teóricos considera que se debe utilizar en los procesos educativos, apoyado en las TIC? Enfoques teóricos en procesos educativos apoyados en TIC Enfoque Valoración Frecuencia Porcentaje Conductismo No 83 84,69% Sí 15 15,31% SUMA 98 100,00% Cognitivismo No 78 79,59% Sí 20 20,41% SUMA 98 100,00% Constructivismo No 53 54,08% Sí 45 45,92% SUMA 98 100,00% Conectivismo No 90 91,84% Sí 8 8,16% SUMA 98 100,00% Sharismo No 96 97,96% Sí 2 2,04% SUMA 98 100,00% Cuadro 99 : Enfoques teóricos en procesos educativos apoyadosen TIC. Fuente: Docentes de la Universidad de Guayaquil. Elaborado por:LSI Jorge Vera Mosquera.
  • 321.
    293 Gráfico 159: Enfoquesteóricos en procesos educativosapoyadosen TIC. Fuente:Docentes de la Universidad de Guayaquil. Elaboración:LSI Jorge Vera Mosquera. Aplicación de enfoques teóricos apoyados en TIC Valoración Frecuencia Porcentaje Desconozco 23 23,47% Aplico 60 61,22% No Aplico 15 15,31% SUMA 98 100,00% Cuadro 100 : Aplicación de enfoques teóricos apoyados en TIC. Fuente:Docentes de la Universidad de Guayaquil. Elaborado por:LSIJorge Vera Mosquera. Gráfico 160: Aplicación de enfoques teóricos apoyados en TIC. Fuente:Docentes de la Universidad de Guayaquil. Elaboración:LSI Jorge Vera Mosquera. 0 20 40 60 80 100 120 No Sí No Sí No Sí No Sí No Sí Conductismo CognitivismoConstructivismoConectivismo Sharismo Frecuencia Porcentaje Desconozco Aplico No Aplico 23 60 15 23.47 61.22 15.31 Frecuencia Porcentaje
  • 322.
    294 Luego de observarlos resultados en los cuadros y gráficos de detalle y sumarización, se determina que existe una mayoría (61,22%) que considera los enfoques teóricos para utilizar en los procesos educativos apoyado en las TIC, un (15,31%) manifiesta que no lo aplicaría y un (23,47%) desconoce al respecto, lo que significa que casi un 40% no considera afirmativamente los enfoques teóricos. El enfoque menos considerado para utilizar es el Sharismo (97,96%), seguido del Conectivismo (91,84%), Conductismo (84,69%), Cognitivismo (79,59%) y el Constructivismo (54,08%).Existe una relativa mayoría de Docentes (45,92%) que enfoca el Constructivismo para utilizar en los procesos educativos, seguido del Cognitivismo (20,41%), Conductismo (15,31%), Conectivismo (8,16%) y el Sharismo (2,04%). Se infiere que los Docentes presentan una tendencia a utilizar el Constructivismo, y una marcada consideración de no utilizar el sharismo. El Cognitivismo y el Conductismo presentan cierta consideración similar, y el Conectivismo es algo considerado.
  • 323.
    295 Pregunta No. 39:¿Encuál-es evaluación-es utiliza como apoyo a las TIC? Evaluación con apoyo TIC Evaluación Valoración Frecuencia Porcentaje Inicial No 80 81,63% Sí 18 18,37% SUMA 98 100,00% Procesual No 52 53,06% Sí 46 46,94% SUMA 98 100,00% Final No 83 84,69% Sí 15 15,31% SUMA 98 100,00% Cuadro 101 : Evaluación con apoyo TIC. Fuente: Docentes de la Universidad de Guayaquil. Elaborado por:LSIJorge Vera Mosquera. Gráfico 161: Evaluación con apoyo TIC. Fuente:Docentes de la Universidad de Guayaquil. Elaboración:LSI Jorge Vera Mosquera. 0 10 20 30 40 50 60 70 80 90 No Sí No Sí No Sí Inicial Procesual Final Frecuencia Porcentaje
  • 324.
    296 Aplicación de evaluacióncon apoyo TIC Valoración Frecuencia Porcentaje Desconozco 37 37,76% Aplico 58 59,18% No Aplico 3 3,06% SUMA 98 100,00% Cuadro No. 117: Aplicación de evaluación con apoyo TIC Fuente:Docentes de la Universidad de Guayaquil Elaborado por:LSIJorge Vera Mosquera Gráfico 162: Aplicación de evaluación con apoyo TIC. Fuente:Docentes de la Universidad de Guayaquil. Elaboración:LSI Jorge Vera Mosquera. Luego de observar los resultados en los cuadros y gráficos de detalle y sumarización, se determina que existe una mayoría (59,18%) que utiliza las TIC como apoyo en las evaluaciones, un 3,06% manifiesta que no lo utiliza y un 37,76% desconoce al respecto, lo que significa que casi un aproximado de un 40% no utiliza como apoyo a las TIC en las evaluaciones.En la evaluación que menos se utiliza es la Final (84,69%), seguida de la Inicial (81,63%) y la Procesual (53,06%).En la evaluación que más se utiliza es la Procesual (46,94%), seguida de la Inicial (18,37%) y la Final (15,31%).Se deduce que los Docentes presentan una tendencia a utilizar las TIC como apoyo en la evaluación Procesual, y en las restantes a no considerarlo así. Desconozco Aplico No Aplico 37 58 3 37.76 59.18 3.06 Frecuencia Porcentaje
  • 325.
    297 Pregunta No. 40:¿Disponecriterios pedagógicos/andragógicos para seleccionar recursos TIC a emplear, ya sea de escritorio, red e Internet? Disposición de criterios pedagógicos/andragógicos para recursos TIC Valoración Frecuencia Porcentaje Sí 49 50,00 No 49 50,00 SUMA 98 100,00 Cuadro 102 : Disposición de criterios pedagógicos/andragógicosrecursos TIC. Fuente:Docentes de la Universidad de Guayaquil. Elaborado por:LSIJorge Vera Mosquera. Gráfico 163: Disposición de criterios pedagógicos/andragógicospara recursosTIC. Fuente:Docentes de la Universidad de Guayaquil. Elaboración:LSI Jorge Vera Mosquera. Luego de observar los resultados en el cuadro y gráfico, se determina que existe un porcentaje de Docentes (50,00%) que no dispone de criterios pedagógicos/andragógicos para seleccionar recursos TIC a emplear, ya sea de escritorio, red e Internet, y un porcentaje similar que manifiesta que sí dispone, por lo que no se marca ni tendencia ni se puede afirmar una situación u otra. Frecuencia Porcentaje 49 50 49 50 Sí No
  • 326.
    298 Pregunta No. 41:Indique ¿qué recursos TIC utiliza para crear material didáctico para los escenarios educativos? Recursos TIC para crear material didáctico Recurso Valoración Frecuencia Porcentaje Procesador de palabras No aplico 49 50,00% Aplico 49 50,00% SUMA 98 100,00% Hoja de cálculo No aplico 61 62,24% Aplico 37 37,76% SUMA 98 100,00% Base de datos No aplico 75 76,53% Aplico 23 23,47% SUMA 98 100,00% Presentador No aplico 74 75,51% Aplico 24 24,49% SUMA 98 100,00% Graficador No aplico 74 75,51% Aplico 24 24,49% SUMA 98 100,00% Multimedia No aplico 72 73,47% Aplico 26 26,53% SUMA 98 100,00% Trabajo colaborativo No aplico 78 79,59% Aplico 20 20,41% SUMA 98 100,00% Trabajo cooperativo No aplico 83 84,69% Aplico 15 15,31% SUMA 98 100,00%
  • 327.
    299 Red No aplico83 84,69% Aplico 15 15,31% SUMA 98 100,00% Internet No aplico 56 57,14% Aplico 42 42,86% SUMA 98 100,00% Otros No aplico 79 80,61% Aplico 19 19,39% SUMA 98 100,00% Cuadro 103 : Recursos TIC para crear material didáctico. Fuente: Docentes de la Universidad de Guayaquil. Elaborado por:LSI Jorge Vera Mosquera. Gráfico 164: Recursos TIC para crear material didáctico Fuente:Docentes de la Universidad de Guayaquil. Elaboración:LSI Jorge Vera Mosquera. 0 10 20 30 40 50 60 70 80 90 Noaplico Aplico Noaplico Aplico Noaplico Aplico Noaplico Aplico Noaplico Aplico Noaplico Aplico Noaplico Aplico Noaplico Aplico Noaplico Aplico Noaplico Aplico Noaplico Aplico P.Pal. H.Calc. BD Pres. Graf. Mult. T.Colab.T.Coop. Red Internet Otros
  • 328.
    300 Empleo de recursosTIC para crear material didáctico Valoración Frecuencia Porcentaje Desconozco 18 18,37% Aplico 16 16,33% No Aplico 64 65,31% SUMA 98 100,00% Cuadro 104 : Empleo de recursos TIC para crear material didáctico. Fuente:Docentes de la Universidad de Guayaquil. Elaborado por:LSIJorge Vera Mosquera. Gráfico 165: Empleo de recursos TIC para crear material didáctico. Fuente:Docentes de la Universidad de Guayaquil. Elaboración:LSI Jorge Vera Mosquera. Luego de observar los resultados en el cuadro y gráfico, se determina que existe un porcentaje de Docentes (65,31%) que no utiliza recursos TIC para crear material didáctico para los escenarios educativos, un 16,33%afirma que utiliza, y un 18,37% desconoce al respecto. El trabajo cooperativo y en red son los recursos TIC que menos se utilizan para crear material didáctico para los escenarios educativos (84,69%), seguido de otros (80,61%), trabajo colaborativo (79,59%), base de datos (76,53%), presentador y graficador (75,51%), multimedia (73,47%), hoja de cálculo (62,24%), Internet (57,14%) y procesador de palabras (50,00%). Desconozco Aplico No Aplico 18 16 64 18.37 16.33 65.31 Frecuencia Porcentaje
  • 329.
    301 El procesador depalabras aparece como el recurso TIC que más se utiliza para crear material didáctico para los escenarios educativos (50,00%), seguido del Internet (42,86%), hoja de cálculo (37,76%), multimedia (26,53%), presentador y graficador (24,49%), base de datos (23,47%), trabajo colaborativo (20,41%), otros (19,39%), y el trabajo cooperativo y en red (15,31%). Se deduce que la mitad de los Docentes utiliza el procesador de palabras como recurso TIC para crear material didáctico para los escenarios educativos, seguido del Internet con menos del 50%, notándose que para el resto de recursos la gran mayoría de Docentes no lo hace.
  • 330.
    302 Pregunta No. 42:¿Quénivel de conocimientos considera disponer enconocimientos informáticos, conocimientos en redes, conocimientos en internet, aplicaciones de gestión en red e Internet, uso de equipos en red e internet, medidas de prevención y seguridad en el uso de equipos informáticos, integración de programas y equipos en red e Internet, sistema operativo Windows, sistema operativo Linux, procesamiento de palabras, hoja de cálculo, base de datos, presentador, graficador, multimedia, navegadores web, motores de búsqueda, software de productividad en línea (Office, organizadores gráficos, línea de tiempo, etc.), uso de herramientas sincrónicas en red e Internet(chat, Video conferencia, audio conferencia, compartir pantalla del computador, etc.), gestión de contenidos en línea y gestión de aprendizaje en línea?. Nivel de conocimientos TIC Conocimiento Valoración Frecuencia Porcentaje Conocimientos informáticos No aplico 16 16,33% Básico 31 31,63% Intermedio 27 27,55% Avanzado 24 24,49% SUMA 98 100,00% Conocimientos en redes No aplico 36 36,73% Básico 26 26,53% Intermedio 23 23,47% Avanzado 13 13,27% SUMA 98 100,00% Conocimientos en Internet No aplico 24 24,49% Básico 29 29,59% Intermedio 21 21,43% Avanzado 24 24,49% SUMA 98 100,00% Aplicaciones de No aplico 28 28,57%
  • 331.
    303 gestión en rede Internet Básico 30 30,61% Intermedio 18 18,37% Avanzado 22 22,45% SUMA 98 100,00% Uso de equipos en red e Internet No aplico 19 19,39% Básico 36 36,73% Intermedio 23 23,47% Avanzado 20 20,41% SUMA 98 100,00% Medidas de prevención y seguridad en el uso de equipos informáticos No aplico 41 41,84% Básico 26 26,53% Intermedio 18 18,37% Avanzado 13 13,27% SUMA 98 100,00% Integración de programas y equipos en red e Internet No aplico 41 41,84% Básico 26 26,53% Intermedio 15 15,31% Avanzado 16 16,33% SUMA 98 100,00% Sistema operativo (Windows) No aplico 20 20,41% Básico 15 15,31% Intermedio 38 38,78% Avanzado 25 25,51% SUMA 98 100,00% Sistema operativo (Linux) No aplico 54 55,10% Básico 22 22,45% Intermedio 11 11,22% Avanzado 11 11,22% SUMA 98 100,00% Procesamiento de No aplico 21 21,43%
  • 332.
    304 palabras Básico 3131,63% Intermedio 22 22,45% Avanzado 24 24,49% SUMA 98 100,00% Hoja de cálculo No aplico 26 26,53% Básico 27 27,55% Intermedio 20 20,41% Avanzado 25 25,51% SUMA 98 100,00% Base de datos No aplico 44 44,90% Básico 18 18,37% Intermedio 21 21,43% Avanzado 15 15,31% SUMA 98 100,00% Presentador No aplico 24 24,49% Básico 30 30,61% Intermedio 26 26,53% Avanzado 18 18,37% SUMA 98 100,00% Graficador No aplico 45 45,92% Básico 18 18,37% Intermedio 23 23,47% Avanzado 12 12,24% SUMA 98 100,00% Multimedia No aplico 38 38,78% Básico 23 23,47% Intermedio 21 21,43% Avanzado 16 16,33% SUMA 98 100,00% Navegadores web No aplico 20 20,41%
  • 333.
    305 Básico 23 23,47% Intermedio30 30,61% Avanzado 25 25,51% SUMA 98 100,00% Motores de búsqueda No aplico 20 20,41% Básico 34 34,69% Intermedio 21 21,43% Avanzado 23 23,47% SUMA 98 100,00% Software de productividad en línea (Office, organizadores gráficos, línea de tiempo, etc.) No aplico 42 42,86% Básico 16 16,33% Intermedio 19 19,39% Avanzado 21 21,43% SUMA 98 100,00% Uso de herramientas sincrónicas en red e Internet (chat, Video conferencia, audio conferencia, compartir pantalla del computador, etc.) No aplico 29 29,59% Básico 28 28,57% Intermedio 23 23,47% Avanzado 18 18,37% SUMA 98 100,00% Uso de herramientas asincrónicas en red e Internet No aplico 30 30,61% Básico 30 30,61% Intermedio 21 21,43% Avanzado 17 17,35%
  • 334.
    306 (Email, foro, Wiki, preguntasy respuestas, etc.) SUMA 98 100,00% Gestión de contenidos en línea No aplico 44 44,90% Básico 20 20,41% Intermedio 23 23,47% Avanzado 11 11,22% SUMA 98 100,00% Gestión de aprendizaje en línea No aplico 49 50,00% Básico 17 17,35% Intermedio 20 20,41% Avanzado 12 12,24% SUMA 98 100,00% Cuadro 105 : Nivel de conocimientos TIC. Fuente:Docentes de la Universidad de Guayaquil. Elaborado por:LSIJorge Vera Mosquera. Para facilidades gráficas, se toma en cuenta cada conocimiento acorde a lo siguiente: Facilidades para interpretación gráfica Código Conocimiento [1] Conocimientos Informáticos [2] Conocimientos en redes [3] Conocimientos en Internet [4] Aplicaciones de gestión en red e Internet [5] Uso de equipos en red e Internet [6] Medidas de prevención y seguridad en el uso de equipos informáticos [7] Integración de programas y equipos en red e Internet [8] Sistema operativo (Windows) [9] Sistema operativo (Linux)
  • 335.
    307 [10] Procesamiento depalabras [11] Hoja de cálculo [12] Base de datos [13] Presentador [14] Graficador [15] Multimedia [16] Navegadores web [17] Motores de búsqueda [18] Software de productividad en línea (Office, organizadores gráficos, línea de tiempo, etc.) [19] Uso de herramientas sincrónicas en red e Internet (chat, Video conferencia, audio conferencia, compartir pantalla del computador, etc.) [20] Uso de herramientas asincrónicas en red e Internet (email, foro, wiki, preguntas y respuestas, etc.) [21] Gestión de contenidos en línea [22] Gestión de aprendizaje en línea Cuadro 106 : Facilidades para interpretación gráfica. Fuente:Docentes de la Universidad de Guayaquil. Elaborado por:LSIJorge Vera Mosquera. A continuación, se tratarán distintas gráficas por nivel de conocimientos, acorde a las respuestas dadas por los Docentes.
  • 336.
    308 Gráfico 166: Conocimientosno aplico. Fuente:Docentes de la Universidad de Guayaquil. Elaboración:LSI Jorge Vera Mosquera. Conocimientos en sistema operativo Linux son los de más alto porcentaje (55,10%) de no aplicación, seguido de gestión de aprendizaje en línea (50,00%), graficador (45,92%), gestión de contenidos en línea (44,90%), base de datos (44,90%), software de productividad en línea (Office, organizadores gráficos, línea de tiempo, etc.) (42,86%), medidas de prevención y seguridad en el uso de equipos informáticos (41,84%), integración de programas y equipos en red e Internet (41,84%), multimedia (38,78%), conocimientos en redes (36,73%), uso de herramientas asincrónicas en red e Internet (Email, foro, Wiki, preguntas y respuestas, etc.) (30,61%), uso de herramientas sincrónicas en red e Internet (chat, Video conferencia, audio conferencia, compartir pantalla del computador, etc.) (29,59%), aplicaciones de gestión en red e Internet (28,57%), hoja de cálculo (26,53%) y presentador (24,49%). 0 10 20 30 40 50 60 [9] [14] [21] [6] [15] [20] [4] [3] [10] [16] [5] Frecuencia Porcentaje
  • 337.
    309 Gráfico 167: Conocimientosa nivel básico. Fuente:Docentes de la Universidad de Guayaquil. Elaboración:LSI Jorge Vera Mosquera. Conocimientos en el uso de equipos en red e Internet (36,73%) es el más alto porcentaje a nivel básico, seguido de motores de búsqueda (34,69%), conocimientos informáticos y procesamiento de palabras (31,63%), aplicaciones de gestión en red e Internet, presentador y uso de herramientas asincrónicas en red e Internet (Email, foro, Wiki, preguntas y respuestas, etc.) (30,61%), conocimientos en Internet (29,59%), uso de herramientas sincrónicas en red e Internet (chat, Video conferencia, audio conferencia, compartir pantalla del computador, etc.) (28,57%), hoja de cálculo (27,55%), conocimientos en redes, medidas de prevención y seguridad en el uso de equipos informáticos e integración de programas y equipos en red e Internet (26,53%), multimedia y navegadores web (23,47%), sistema operativo Linux (22,45%), gestión de contenidos en línea (20,41%), base de datos y graficador (18,37%), gestión de aprendizaje en línea (17,35%), software de productividad en línea (Office, organizadores gráficos, línea de tiempo, etc.) (16,33%) y sistema operativo Windows (15,31%). 0 5 10 15 20 25 30 35 40 [5] [17] [1] [10] [4] [13][20] [3] [19][11] [2] [6] [7] [15][16] [9] [21][12][14][22][18] [8] Frecuencia Porcentaje
  • 338.
    310 Gráfico 168: Cuadrode Conocimientos a nivel intermedio. Fuente:Docentes de la Universidad de Guayaquil. Elaboración:LSI Jorge Vera Mosquera. Conocimientos de sistema operativo Windows son los de más alto porcentaje (38,78%) a nivel intermedio, seguido de navegadores web (30,61%), conocimientos informáticos (27,55%), presentador (26,53%), conocimientos en redes (23,47%), uso de equipos en red e Internet, graficador, uso de herramientas sincrónicas en red e Internet(chat, Video conferencia, audio conferencia, compartir pantalla del computador, etc.) y gestión de contenidos en línea(23,47%), procesamiento de palabras (22,45%), conocimientos en Internet, base de datos, multimedia y motores de búsqueda (21,43%), uso de herramientas asincrónicas en red e Internet (Email, foro, Wiki, preguntas y respuestas, etc.) (21,43%), hoja de cálculo y gestión de aprendizaje en línea (20,41%), software de productividad en línea (Office, organizadores gráficos, línea de tiempo, etc.) (19,39%), aplicaciones de gestión en red e Internet y medidas de prevención y seguridad en el uso de equipos informáticos (18,37%),integración de programas y equipos en red e Internet (15,31%) y sistema operativo Linux (11,22%). 0 5 10 15 20 25 30 35 40 [8] [16] [1] [13] [2] [5] [14] [19] [21] [10] [3] [12] [15] [17] [20] [11] [22] [18] [4] [6] [7] [9] Frecuencia Porcentaje
  • 339.
    311 Gráfico 169: Cuadrode Conocimientos a nivel avanzado. Fuente:Docentes de la Universidad de Guayaquil. Elaboración:LSI Jorge Vera Mosquera. Conocimientos en sistema operativo Windows, hoja de cálculo y navegadores web son los de más alto porcentaje (25,51%) a nivel avanzado, seguido de conocimientos informáticos, en Internet y procesamiento de palabras (24,49%), motores de búsqueda (23,47%),aplicaciones de gestión en red e Internet (22,45%), software de productividad en línea (Office, organizadores gráficos, línea de tiempo, etc.) (21,43%), uso de equipos en red e Internet (20,41%), presentador y uso de herramientas sincrónicas en red e Internet (chat, Video conferencia, audio conferencia, compartir pantalla del computador, etc.) (18,37%), uso de herramientas asincrónicas en red e Internet (Email, foro, Wiki, preguntas y respuestas, etc.) (17,35%), integración de programas y equipos en red e Internet y multimedia (16,33%), base datos (15,31%), conocimientos en redes y medidas de prevención y seguridad en el uso de equipos informáticos (13,27%), graficador y gestión de aprendizaje en línea (12,24%), sistema operativo Linux y gestión de contenidos en línea (11,22%). 0 5 10 15 20 25 30 [8] [11] [16] [1] [3] [10] [17] [4] [18] [5] [13] [19] [20] [7] [15] [12] [2] [6] [14] [22] [9] [21] Frecuencia Porcentaje
  • 340.
    312 Promedios por nivelde conocimientos Nivel Promedio No aplico 32.98% Básico 25.79% Intermedio 22.45% Avanzado 18.78% TOTAL 100.00% Cuadro 107 : Promedios por nivel de conocimientos. Fuente:Docentes de la Universidad de Guayaquil. Elaborado por:LSIJorge Vera Mosquera. Gráfico 170: Promedios por nivel de conocimientos. Fuente:Docentes de la Universidad de Guayaquil. Elaboración:LSI Jorge Vera Mosquera. Como se observa, el mayor porcentaje (32,98%) corresponde a no aplicación de conocimientos, seguido de nivel básico (25,79%), intermedio (22,45%) y avanzado (18,78%). Luego de haberse analizado y observado los resultados de cuadros y gráficos, se infiere que existe un porcentaje de consideración de no aplicación de conocimientos, cuyo valor ideal sería que marque al menos una tendencia a cero. El porcentaje restante entre los distintos niveles de conocimiento marca la necesidad de elevar conocimientos entre ellos y elevar sus valores a un estado más satisfactorio. No aplico Básico Intermedio Avanzado 32.98 25.79 22.45 18.78 Promedio
  • 341.
    313 Discusión de losresultados Realizándose un análisis en que se hace una triangulación entre los resultados de la presente investigación, el marco teórico empleado y la experiencia del investigador, así como también considerando el valioso criterio de los Consultores externos, se obtiene lo siguiente: De la entrevista realizada a la Dra. Jeannette Yerovi de Orta, Directora del Instituto de Post-Grado y Educación Continua, se disponen los siguientes datos en base a las preguntas realizadas:  No. 7 (¿Cómo considera la situación actual del manejo de las TIC a nivel curricular en la Universidad de Guayaquil?), manifiesta que: “Al momento no está todavía definida la temática, como tampoco socializada, algunas Facultades desarrollan lo que creen conveniente”.  No. 8 (¿En qué forma considera que se debe presentar la relación Curriculum – TIC – Aprendizaje y Estrategias metodológicas en una asignatura?), manifiesta que: “Deben ir entrelazadas con criterio vertical y horizontal, para una mejor estrategia metodológica“.  No. 10 (¿En qué forma considera que debe presentarse coherencia entre aprendizaje esperado y recurso TIC utilizado?), manifiesta que: “Debe haber coherencia entre los objetivos andragógicos de aula y el uso del recurso TIC, es decir, debe haber interacción entre el estudiante y el Docente, con el apoyo de la herramienta tecnológica”.  No. 13 (¿En qué forma considera que mejorará la eficiencia y eficacia de los procesos educativos de la Universidad con el empleo de las TIC por parte de los Docentes?), manifiesta que “Siendo las TIC herramientas de apoyo, contribuye indiscutiblemente en la mejora de todos los procesos educativos”.
  • 342.
    314  No. 14(¿En qué y cómo considera que debe consistir un Programa de Educación Continua Docente en el manejo de las TIC para los Docentes de la Universidad?), manifiesta que: “Acoplado a la realidad actual y acorde a las necesidades docentes”.  No. 15 (¿Qué facilidades considera que la Facultad de Filosofía ofrece a los Docentes de la Universidad en relación a los accesos a los recursos educativos necesarios para implementar un Programa de Educación Continua en el Manejo de las TIC?), manifiesta que: “La Facultad cuenta con los recursos suficientes para ofrecer sobretodo, al momento que los cuatro (4) laboratorios de Informática en el Complejo Académico, en el edificio de Post- Grado, se encuentren listos, y así poder implementarlo”.  No. 16 (¿Qué grado de factibilidad considera para implementar un Programa de Educación Continua en el Manejo de las TIC para los Docentes de la Universidad?), manifiesta que: “Hay el apoyo y la factibilidad, sobre todo por el deseo de las Autoridades de la Facultad para implementar este Programa”. De la entrevista realizada a MSc. Francisco Morán Peña, Director de Carreras Técnicas Semi-Presencial de la Universidad de Guayaquil, se disponen los siguientes datos en base a las preguntas realizadas:  No. 7 (¿Cómo considera la situación actual del manejo de las TIC a nivel curricular en la Universidad de Guayaquil?), manifiesta que: “Según las evaluaciones del mandato 14, hay que fortalecer los indicadores de las TIC en la Universidad de Guayaquil”.  No. 8 (¿En qué forma considera que se debe presentar la relación Curriculum – TIC – Aprendizaje y Estrategias metodológicas en una asignatura?), manifiesta que: “Todos deben interrelacionarse, no por separado y trabajando integralmente“.
  • 343.
    315  No. 10(¿En qué forma considera que debe presentarse coherencia entre aprendizaje esperado y recurso TIC utilizado?), manifiesta que: “Hasta lo más real en su aplicación, todo debe ser posible en la forma que estén disponibles las TIC”.  No. 13 (¿En qué forma considera que mejorará la eficiencia y eficacia de los procesos educativos de la Universidad con el empleo de las TIC por parte de los Docentes?), manifiesta que “El nivel de recursos TIC requiere en ciertos casos, que la Universidad lo atienda, por lo que al hablar de eficiencia y eficacia, no podría establecerse un parámetro objetivo de la realidad universitaria”.  No. 14 (¿En qué y cómo considera que debe consistir un Programa de Educación Continua Docente en el Manejo de las TIC para los Docentes de la Universidad?), manifiesta que: “Basarse en las políticas de la Universidad, en lo relacionado a la aplicación de las TIC en la Educación, conociendo disposiciones y necesidades de cada Facultad”.  No. 15 (¿Qué facilidades considera que la Facultad de Filosofía ofrece a los Docentes de la Universidad en relación a los accesos a los recursos educativos necesarios para implementar un Programa de Educación Continua en el Manejo de las TIC?), manifiesta que: “La Facultad viene dando Seminarios sobre el uso del Sistema Académico, como el ingreso de actas por Internet, evaluaciones, verificación de notas por parte del estudiante, portafolio docente, etc., trabajándose en el tema para en el futuro dar mejores facilidades”.  No. 16 (¿Qué grado de factibilidad considera para implementar un Programa de Educación Continua en el Manejo de las TIC para los Docentes de la Universidad?), manifiesta que: “Alto, dar el tiempo, la planificación, los recursos, y darse la infraestructura del caso, acorde a las disposiciones superiores”.
  • 344.
    316 De la encuestarealizada a los Docentes de la Universidad de Guayaquil, se observa un promedio de experiencia de 16,55 años, cuyos grados académicos se presentan con un 56,12% en Tercer Nivel, y con 43,88% en Cuarto Nivel, siendo esto un buen nivel académico de estudios entre los encuestados. De los datos obtenidos de la respectiva encuesta a los Maestrantes en las preguntas:  No. 3 (¿Considera importante el empleo de las TIC en la programación de la asignatura?), se obtiene que un 95,65% estima que sí es importante el empleo de las TIC en la programación de la asignatura.  No. 13 (¿En qué grado de importancia considera Ud. al manejo de las TIC en la gestión docente universitaria?), se obtiene que un grado alto lo considera un 14,49% y más alto un 75,36%, es decir un 89,85% estima una alta importancia al empleo de las TIC en la Gestión Universitaria.  No. 14 (¿En qué grado considera que es importante apoyarse en las herramientas informáticas en el Curriculum actual de la asignatura a su cargo?), se obtiene que un grado alto lo considera un 8,70% y más alto un 82,61%, es decir un 91,31% estima una alta importancia al apoyo de las herramientas informáticas en el Curriculum actual de la asignatura a cargo. De los datos obtenidos de la respectiva encuesta a los Educadores en las preguntas:  No. 28 (¿En qué grado de importancia considera Ud. al manejo de las TIC en la gestión docente universitaria?), se obtiene que un grado alto lo considera un 23,47% y más alto un 47,96%, es decir
  • 345.
    317 un 71,43% estimauna alta importancia al empleo de las TIC en la Gestión Universitaria.  No. 30 (¿En qué grado considera que es importante apoyarse en las herramientas informáticas en el Curriculum actual de la asignatura a su cargo?), se obtiene que un grado alto lo considera un 32,65% y más alto un 52,04%, es decir un 84,69% estima una alta importancia al apoyo de las herramientas informáticas en el Curriculum actual de la asignatura a cargo.  No. 34 (¿En qué grado considera sus necesidades de Formación en TIC?), se obtiene que un grado alto lo considera un 30,62% y más alto un 59,18%, es decir un 89,80% estima una alta importancia a sus necesidades de Formación en TIC.  No. 42 (¿Qué nivel de conocimientos considera disponer en conocimientos informáticos, conocimientos en redes, conocimientos en internet, aplicaciones de gestión en red e Internet, uso de equipos en red e internet, medidas de prevención y seguridad en el uso de equipos informáticos, integración de programas y equipos en red e Internet, sistema operativo Windows, sistema operativo Linux, procesamiento de palabras, hoja de cálculo, base de datos, presentador, graficador, multimedia, navegadores web, motores de búsqueda, software de productividad en línea (Office, organizadores gráficos, línea de tiempo, etc.), uso de herramientas sincrónicas en red e Internet(chat, Video conferencia, audio conferencia, compartir pantalla del computador, etc.), gestión de contenidos en línea y gestión de aprendizaje en línea?), se obtiene que el mayor porcentaje (32,98%) corresponde a no aplicación de conocimientos, seguido de nivel básico (25,79%), intermedio (22,45%) y avanzado (18,78%), notándose la necesidad de elevar conocimientos.
  • 346.
    318 De la encuestarealizada a los Maestrantes de Educación Informática a nivel de Post-Grado, se observa un promedio de experiencia de 8,71 años, cuyos grados académicos se presentan con un 91,30% en Tercer Nivel, y con 8,70% en Cuarto Nivel, reflejando esto una diferencia de 7,84 a nivel de años experiencia y un 35,18% en Tercer Nivel como grado académico, notándose por ende, la voluntad de adquirir el Cuarto Nivel. De la entrevista realizada a los Consultores Externos, en base a las preguntas respectivas:  No. 6 (¿En qué forma considera que se debe presentar la relación Curriculum – TIC – Aprendizaje y estrategias metodológicas en una asignatura?). Se concluye: En el Curriculum se deben incorporar las TIC en el proceso enseñanza-aprendizaje u orientación-aprendizaje, propiciando e induciendo al pensamiento computacional, debiendo reflejarse en el empleo de plataformas educativas, redes sociales y educativas, herramientas activas TIC, etc., así como en el uso de herramientas fuera de línea, como son los programas de instalación local.  No.7 (¿En qué forma considera que se debe presentar la innovación en el proceso educativo apoyado en el uso de las TIC?). Se concluye: La innovación se presenta con el empleo de la variedad de recursos tecnológicos, para crear actividades innovadores y constructoras de conocimiento, debiendo existir una visión y acción constructivista en que se presente el sentido humano por parte del Docente.  No. 10 (¿Cómo debe un Docente analizar y evaluar el empleo de las TIC en el proceso educativo, considerando sus estrategias,
  • 347.
    319 procedimientos e instrumentosde evaluación, ambientes de aprendizaje, etc.?). Se concluye: El Docente es el único responsable del empleo de las TIC en el proceso educativo, así como de los resultados y retroalimentación de los indicadores de logros académicos, por lo que evaluación, valoración, empleo e inducción de las herramientas digitales en el enseñante son vitales para y en el momento del proceso de clase con los estudiantes.  No. 13 (¿Cómo considera que mejoraría la eficiencia y eficacia de la Docencia Universitaria con el empleo de las TIC?). Se concluye: La eficiencia y eficacia en la Docencia Universitaria mejorarán a medida que el Docente sume esfuerzos, experiencia, práctica y sentido profesional, debiendo existir en su momento un valor agregado que estimule la Formación Docente en TIC por parte de las Autoridades responsables, en quienes recae decisiones a nivel político-administrativo, presupuestario y académico.  No. 14 (¿Qué aportes para el mundo de la Educación pueden recogerse de estándares relacionados con los Docentes en el manejo de las TIC, como ISTE (EEUU), UNESCO 2008, UNESCO 2011, Proyecto ENLACES (CHILE), EUROPEAN PEDAGOGITAL ICT, QTS, INSA, la experiencia de Australia, …? ).Se concluye: La presencia en el mundo de estándares relacionados con la Docencia en el manejo de las TIC, es el resultado del afán de mejoras educativas con el apoyo de la tecnología acorde a los contextos educativos, por lo que una realidad nacional o local debe valorar y ubicar lo suyo.  No. 15 (¿Qué opinión particular le merece el último Estándar UNESCO 2011 para Docentes?). Se concluye: El Estándar UNESCO 2011 merece una visión prospectiva, en el cual el Docente debe ser valorado en base a su realidad situacional.
  • 348.
    320  No. 16(¿Qué criterios estima Ud. que deben de considerarse para la implementación de un Programa de Educación Continua en el Manejo de las TIC para los Docentes de la Universidad de Guayaquil, como un aporte de la Facultad de Filosofía, Letras y Ciencias de la Educación?). Se concluye: Para implementarse un Programa de Educación Continua en el Manejo de las TIC para Docentes de la Universidad de Guayaquil, como aporte de la Facultad de Filosofía, Letras y Ciencias de la Educación, debe existir una política institucional universitaria, en la que se oriente a toda Facultad incluir en el proceso educativo el empleo tecnológico, de modo que el proceso de Formación en TIC, en su apropiación, profesionalización, actualización, empoderamiento e innovación docente, ameriten un ejercicio de cátedra con aprobación de mínimos o suficiencia en el caso.  No. 17 (¿Cómo considera Ud. que podría evaluarse un Programa de Educación Continua en el Manejo de las TIC para los Docentes de la Universidad de Guayaquil?). Se concluye: La evaluación de este Programa de Educación Continua en el Manejo de las TIC para Docentes de la Universidad de Guayaquil, debe ser evaluado en su momento con el más alto rigor, por lo que los Facilitadores del mismo deben evidenciar experticia y solvencia, teniendo presente que es un proceso permanente que atiende diversidad de contextos educativos, y sobre manera que los estudiantes serán los jueces más exigentes en el quehacer educativo. Estos datos obtenidos entre entrevistas y encuestas realizadas, demuestran la necesidad de poner en consideración el Diseño de un Programa de Educación Continua en el Manejo de las TIC para los Docentes de la Universidad de Guayaquil, en la Facultad de Filosofía, Letras y Ciencias de la Educación.
  • 349.
    321 La propuesta secimenta en los siguientes argumentos: Informática Educativa La realidad educativa mundial y por ende de la Universidad de Guayaquil, hace que los contextos educativos del presente siglo sean atendidos por esta disciplina, con un enfoque constructivista y significativo en base a escenarios educativos que el Docente debe crear, sobresaliendo por ende su aplicación en el ambiente universitario. Esto señala que se redefinan los actos didácticos con estrategias TIC, por lo que su adaptación al proceso educativo resulta imperante, considerando los tipos de aprendizajes, estilos de aprender de los estudiantes, teorías y enfoques de aprendizaje de actualidad. El modelo TPACK, que reúne tres conocimientos básicos: Tecnológico, pedagógico y disciplinar, sirve al Docente actual que debe apuntar a encontrarse en el cruce de estos tres ámbitos, quien a su vez debe estimar el ambiente personal de aprendizaje tecnológico que utilice con sus respectivos aprendices. Esta fusión de la Educación con sus distintas definiciones, conceptos y prácticas, con la Informática (aplicación de las TIC), hace que el Programa de Educación Continua en mención deba basarse en la Informática Educativa. Programa de Educación Continua y Competencias Digitales Docentes La necesidad de atender la gestión docente actual, de un modo diferente por las necesidades educativas de la presente era, determina que en la Universidad se necesite generar conciencia en los enseñantes,
  • 350.
    322 en cuanto asu desenvolvimiento de aula, así como en los procesos administrativos con la entidad. Esto significa: Formación TIC, relacionando Pedagogía, Andragogía, gestión y cultura informática, así como integrar las TIC al Curriculum, capacitar en TIC y capacitar vía TIC. Las necesidades formativas en este nuevo contexto, demandan de definición de Estándares TIC en los Docentes como respuesta, destacándose diversos de ellos en el mundo de respetables resultados (que han sido mencionados previamente en el presente trabajo). De los mismos se ha considerado en una buena parte a los de la UNESCO, por su mayor adaptabilidad a la realidad local, atendiendo sobre todo las mejoras del Estándar 2011. Este escenario contribuye a que se respalden principios didácticos y metodológicos en el empleo de las TIC, se considere la dimensión disciplinar y curricular del Docente, se despierten, actualicen, potencien e innoven sus competencias digitales en base a los estándares que se establezcan. Experiencia personal En base a los datos que se han obtenido en la investigación, en que se han contactado Autoridades, Maestrantes y Docentes, la mayoría sostiene la necesidad de diseñar un Programa de Educación Continua en el Manejo de las TIC para el Instituto de Post-Grado la Facultad de Filosofía, Letras y Ciencias de la Educación, orientado al manejo de las TIC en la gestión docente de la Universidad de Guayaquil, favoreciendo con ello a los procesos educativos en sus distintos estamentos en que la entidad lo requiere.
  • 351.
    323 Respuestas a laspreguntas de la investigación ¿Dispone la Facultad de Filosofía, Letras y Ciencias de la Educación de un estudio relacionado con el manejo de las TIC en la gestión docente de la Universidad? En la entrevista hecha a la Directora de Post-Grado y Educación Continua y el Director de Carreras Técnicas Semi-Presencial, de la pregunta No. 3, se extrae que no se dispone de ningún estudio al momento, la segunda autoridad hace notar que con la evaluación institucional, lo que existen son los indicadores de gestión TIC, que al momento se los está manejando. ¿Existen programas de Formación Continua Docente en TIC en la Facultad de Filosofía, Letras y Ciencias de la Educación? En la entrevista hecha a la Directora de Post-Grado y Educación Continua y el Director de Carreras Técnicas Semi-Presencial, de la pregunta No. 4, se extrae que no existe ninguno actualmente, la segunda autoridad hace notar que existen seminarios esporádicos. ¿Cuáles son las competencias actuales docentes en el manejo de las TIC de los Educadores de las Facultades de la Universidad? En base a la encuesta realizada a los Docentes de la Universidad de Guayaquil, y enmarcando las competencias en el marco de la UNESCO, se obtiene de la pregunta No. 42, que existe un porcentaje de consideración de no aplicación de conocimientos (32.98%), el resto de Profesores presentan distintos niveles de conocimiento que marcan la necesidad de elevar saberes a un estado más satisfactorio. Esto se refleja en lo siguiente:
  • 352.
    324 Conocimientos máximos ymínimos por nivel de Docentes. Nivel Máximo Mínimo Avanzado Sistema operativo Windows, hoja de cálculo y navegadores web (25.51%) Contenidos en línea (11.22%) Intermedio Sistema operativo Windows son los de más alto porcentaje (38.78%) Sistema operativo Linux (11.22%). Básico Uso de equipos en red e Internet (36.73%) Sistema operativo Windows (15.31%) Cuadro 108 : Conocimientos máximos y mínimos por nivel de Docentes. Fuente:Docentes de la Universidad de Guayaquil. Elaborado por:LSIJorge Vera Mosquera. Como se observa, el nivel de conocimientos no refleja un estado ideal para considerar que existe un buen status de nociones básicas de tecnología (primer enfoque UNESCO), menos aún de profundización de conocimientos (segundo enfoque UNESCO) y creación de conocimientos (tercer enfoque UNESCO) que es el que sitúa la innovación y producción de saberes y obtención de provecho de los mismos, de ahí la relevancia de crear un Programa de Educación Continua en el Manejo de las TIC para Docentes de la Universidad de Guayaquil. ¿Cuál es la infraestructura, equipamiento y servicios que provee la Facultad de Filosofía para facilidad de los Docentes de la Universidad? De lo manifestado tanto por la Directora de Post-Grado y Educación Continua y el Director de Carreras Técnicas Semi-Presencial, se extrae de la pregunta No. 11 que se dispone de catorce(14) laboratorios, un Programa a nivel de Maestría, en Pre-grado existe una carrera de
  • 353.
    325 Informática, y estollevó a que el Instituto de Post-Grado presentara un Programa de Cuarto Nivel de Educación Informática, a su vez se dispone de acceso a Internet, por lo que se tiene la tecnología necesaria para los procesos educativos y de apoyo que se requieren. ¿Cómo valora el Personal Docente sus necesidades de Formación en TIC? De la encuesta realizada a los Docentes, en la pregunta No. 34, se encuentra una valoración entre muy alta necesidad (59.18%) y alta (30.62%), lo que habla de la prioridad del caso en el espíritu docente. ¿Cuáles son las competencias profesionales en TIC del presente siglo que el Educador de la Universidad debe tener para con la sociedad ecuatoriana y el mundo globalizado? De la entrevista realizada a los Expertos, de las preguntas 14 y 15, se extrae que se dispone de distintos aportes, se considera el último aporte de la UNESCO que considera tres enfoques: Nociones básicas de tecnología (alfabetización digital), profundización de conocimientos y creación de conocimientos, cuyo orden (o ruta) es como se ha mencionado, combinándose con seis COMPONENTES: 1. Política y Visión. 2. Plan de Estudios (Curriculum) y Evaluación. 3. Pedagogía. 4. Uso de la tecnología (TIC). 5. Organización y administración. 6. Desarrollo Profesional Docente.
  • 354.
    326 La combinación deestos ENFOQUES y COMPONENTES forman una matriz que sirve de marco, en que cada intersección se dispone de un módulo. Más detalle al respecto, puede observarse en el Capítulo II en NORMAS UNESCO SOBRE COMPETENCIAS EN TIC PARA DOCENTES, del presente trabajo. ¿Existe a nivel de áreas en las Facultades de la Universidad, Proyectos entre asignaturas, intercambio de experiencias de aprendizaje y/o conocimientos en comunidad de Docentes por cualquier medio, relacionados al empleo de las TIC en los procesos educativos? Observándose la encuesta realizada a los Docentes, las respuestas afirmativas de las preguntas No. 19 (55.10%),No. 21 (58.16%), No. 22 (54.08%), No. 23 (56.12%),No. 25 (51.03%), No. 26(43.88%) y No. 27(37.76%), existen indicios al respecto, no pudiendo considerarse que exista un movimiento pronunciado en que las TIC se les esté utilizando en un nivel para profundizar conocimientos. ¿Existen en la Facultad de Filosofía, Letras y Ciencias de la Educación, estrategias de captación y desarrollo en el manejo de las TIC orientadas al Personal Docente de la Universidad de Guayaquil? De lo manifestado tanto por la Directora de Post-Grado y Educación Continua y el Director de Carreras Técnicas Semi-Presencial, de las preguntas No. 3, 4 y 7, se extrae que no existe nada concreto al respecto.
  • 355.
    327 ¿En qué formala creación de un Programa de Educación Continua en el Manejo de las TIC para Docentes de la Universidad, mejorará el desempeño profesional en la gestión docente? De lo manifestado tanto por la Directora de Post-Grado y Educación Continua y el Director de Carreras Técnicas Semi-Presencial, se extrae de las preguntas No. 13 y 14, que en base al acoplamiento a las políticas de la Universidad, disposiciones y necesidades de cada Facultad, se atenderá la realidad actual y necesidades docentes, lo que mejorará los procesos educativos con el apoyo de las TIC. ¿Cuál es la visión en torno al uso de las TIC por parte de los Educadores de las Facultades de la Universidad, en los procesos de aprendizaje? En base a la encuesta realizada a los Docentes, se tiene: Visión en torno al uso de las TIC por parte de los Educadores de las Facultades de la Universidad, en los procesos de aprendizaje Pregunta Porcentaje afirmativo Estiman que se presenta o que es importante 1 80.63% Aprendizaje autónomo 2 86.63% Aprendizaje colaborativo 4 78.57% Empleo de TIC en asignatura 5 91.84% Apoyarse en las herramientas informáticas en el Curriculum actual de la asignatura 8 77.51% Analizar y evaluar el impacto de las TIC en el proceso educativo 10 67.35% Facilita el aprendizaje intermedio del recurso TIC 28 71.43% entre alto y más alto Grado de importancia considera Ud. al manejo de las TIC en la gestión docente universitaria Cuadro 109 : Visión en torno al uso de las TIC por parte de los Educadores de las Facultades de la Universidad, en los procesos de apr endizaje Fuente: Docentes de la Universidad de Guayaquil. Elaborado por:LSI Jorge Vera Mosquera.
  • 356.
    328 Se observa queexiste una visión considerable al uso de las TIC en los procesos de aprendizaje. ¿Se realizan actividades didácticas con TIC por parte de los Docente en las aulas de clase de las Facultades de la Universidad? Observándose la encuesta realizada a los Docentes, de la pregunta No. 4 se extrae que el 70.57% manifiesta realizar actividades didácticas con apoyo en TIC. ¿Los Educadores de la Universidad de Guayaquil utilizan herramientas Web 2.0 en sus procesos educativos? Observándose la encuesta realizada a los Docentes, de la pregunta No. 16, se obtiene que el 60.20% manifiesta emplear recursos de redes y comunicación con los estudiantes de su asignatura y/o con el resto de la comunidad educativa, de la pregunta No. 36, el 63.27% manifiesta emplear recursos TIC como estrategia de aprendizaje, y el 67.35% manifiesta utilizar técnicas activas con apoyo en TIC. Sin embargo se tiene que al contrastar con el nivel de conocimientos de la pregunta No. 42, el porcentaje por cada nivel entre básico (32.98%), intermedio (25.79%) y avanzado (18.78%), no presenta coherencia por lo manifestado en las preguntas anteriores. Significa que en cierto modo se utilizan herramientas web 2.0, pero se necesita fortalecer, mejorar, empoderar e innovar el conocimiento acorde a cada caso, y sembrar en quienes no aplican (32.98%).
  • 357.
    329 ¿Cuál es laactitud docente frente a la incorporación de las TIC en la enseñanza universitaria? Considerando las respuestas dadas por los Expertos a las preguntas No. 1, 2, 3, 7, 10 y 13, en que se enfatiza la eficiencia y eficacia del proceso educativo con apoyo de las TIC, y contrastándose con las respuestas afirmativas de la encuesta hecha a los Docentes en: Actitud docente ante la incorporación de las TIC. Preguntas Porcentaje No. 5 91.84% No. 6 88.78% No. 8 77.51% No. 18 59.18% No. 19 55.10% No. 20 75.51% No. 21 58.16% Cuadro 110 : Actitud docente ante la incorporación de las TIC. Fuente:Docentes de la Universidad de Guayaquil. Elaborado por:LSIJorge Vera Mosquera. Se obtiene que existe una buena predisposición. ¿Cómo catalizar el cambio del rol docente al uso cotidiano de las TIC en la gestión docente de los Educadores de la Universidad? De lo manifestado por los Expertos en las preguntas No. 3, 6 y 7, se observa la vital importancia de la innovación, de modo tal que una dosis de constructivismo es necesaria, utilizándose herramientas TIC como plataformas y redes educativas, sociales, de conocimiento, … , fortaleciendo a la vez en el Docente la visión y la práctica humanista que no puede ser remplazada por la tecnología, más todo lo contrario, la presencia tecnológica en el quehacer curricular resulta predominante con
  • 358.
    330 un ser sensibley permeable de humanismo, por lo que deben crearse medios de apropiación TIC, debiendo achicarse las brechas digitales entre Docentes y dicentes. Si se observa la pregunta No. 5 hecha a los Docentes, tenemos que el 91,84% considera que es importante apoyarse en las herramientas informáticas en el Curriculum actual de la asignatura a su cargo. En la pregunta No. 3 realizada a los Maestrantes que coincide con la pregunta anterior, se observa que el 95,65% de igual manera lo considera así. Por tanto, el Programa que pretende el presente trabajo, debe considerar el quehacer educativo, reforzado con la integración de experiencias docentes y apoyo de los Facilitadores que estén formando parte de esta Educación Continua. ¿Qué influye en la actitud, formación y uso de las TIC en el profesorado de la Universidad, para su empleo en la gestión docente? Por un lado, el Paradigma Tradicional:  Un cierto porcentaje, no elevado, entre Maestrantes (pregunta No. 19, 8,70%) y Docentes (pregunta No. 38, 15,31%).  En la pregunta No. 29 de la encuesta a Docentes, el porcentaje mayor de opciones corresponde a la opción ALTO con 28,57%, que considera que se debe conservar la presencia del paradigma tradicional en el proceso educativo actual de la Universidad.  Los Expertos consultados para el presente trabajo, reconocen su presencia (pregunta No. 4).
  • 359.
    331 Por otro, lapráctica, experiencia, reflexión y aprendizaje con TIC, que deben tratarse de un modo apropiado. En la encuesta a Docentes se obtiene los siguientes datos: Práctica, experiencia, reflexión y aprendizaje con TIC Pregunta No. Porcentaje con respuesta Sí Manifiesta que 18 59,18% Practica, experimenta y evalúa con herramientas TIC para incorporarlas a su quehacer educativo. 19 55,10% Accede, participa y contribuye en espacios de reflexión de experiencias de aprendizaje por medios tradicionales, en red o Internet 21 58,16% Participa en instancias relacionadas con las TIC y el aprendizaje (Foros, congresos, seminarios, etc.). 22 54, 08% Utiliza TIC en la evaluación. 23 56,12% Realiza y lleva a cabo Proyectos Pedagógicos y/o Andragógicos de Aula con apoyo de las TIC 26 43,88% Existe Intercambio entre Docentes de experiencias de aprendizaje apoyadas en TIC Cuadro 111 : Práctica, experiencia, reflexión y aprendizaje con TIC. Fuente:Docentes de la Universidad de Guayaquil. Elaborado por:LSIJorge Vera Mosquera. Se observa que el porcentaje restante del afirmativo es de consideración.
  • 360.
    332 ¿Qué nivel deconocimiento disponen los Docentes en el uso de las TIC y su aplicación pedagógica y/o andragógica? De lo manifestado por los Docentes en la encuesta correspondientes, se obtiene en algunas preguntas lo siguiente:  No. 27, un 37,76% manifiesta que existe algún proyecto de desarrollo de conocimientos apoyado en TIC.  No. 40, un 50% manifiesta que dispone de criterios pedagógicos/andragógicos para seleccionar recursos TIC a emplear, ya sea de escritorio, red e Internet.  De la pregunta 42, referente al nivel de conocimientos en herramientas TIC se obtiene: Promedios por Nivel de Conocimientos Nivel Promedio No aplico 32.98% Básico 25.79% Intermedio 22.45% Avanzado 18.78% TOTAL 100.00% Cuadro 112 : Promedio por nivel de conocimientos en Docentes. Fuente:Docentes de la Universidad de Guayaquil. Elaborado por:LSIJorge Vera Mosquera. Se observa que el mayor porcentaje de no aplicación es el más alto, a nivel básico e intermedio no llegan a un 50%, y el avanzado es un porcentaje menor al resto. No se presenta homogeneidad, se infiere la necesidad de equilibrar conocimientos, despertar, innovar y potenciar.
  • 361.
    333 ¿Qué estrategias didácticasdeben utilizar o utilizan los Docentes para la integración de las TIC en el Curriculum? En la entrevista hecha al MSc. Francisco Morán Peña, Director de Carreras Técnicas Semi-Presencial, de la pregunta No. 8, referente a la relación Curriculum – TIC – Aprendizaje y Estrategias metodológicas en una asignatura, responde: “Todos deben interrelacionarse, no por separado y trabajando integralmente”. La Dra. Jeannette Yerovi de Orta, Directora del Instituto de Post-Grado y Educación Continua, en lo relacionado a misma pregunta responde:“Deben ir entrelazadas con criterio vertical y horizontal, para una mejor estrategia metodológica”. De la entrevista realizada a los expertos en lo relacionado a las preguntas 5 y 6, respectivamente:  ¿Qué criterios pedagógicos y/o andragógicos considera importantes como base para seleccionar un recurso TIC a emplear en los procesos educativos universitarios, como parte de las estrategias didácticas?  ¿En qué forma considera que se debe presentar la relación Curriculum – TIC – Aprendizaje y estrategias metodológicas en una asignatura? Se obtiene que el aprendizaje de grupo, el autoaprendizaje, la visión pedagógica y/o andragógica de acuerdo al caso, están acorde a los escenarios educativos que se presenten, tanto presencial, semi presencial o virtual, recalcándose el pensamiento computacional y el sistema de evaluación que se acople al contexto del momento.
  • 362.
    334 De la encuestarealizada a los Docentes, se obtiene: Cómo consideran las estrategias didácticas los Docentes Pregunta Detalle No. 40 El 50% estima disponer de criterios pedagógicos/andragógicos para seleccionar recursos TIC a emplear. No. 30 La mayoría considera de gran importancia apoyarse en las herramientas informáticas en el Curriculum actual de la asignatura a su cargo No. 6 El 88,78% manifiesta que Incluye el empleo de las TIC en la programación de la asignatura No. 22 El 54,08% manifiesta que utiliza las TIC como medio en la evaluación de aprendizajes No. 24 El 51,03% manifiesta que utiliza métodos y técnicas activas con el apoyo de las TIC No. 35 El 63,27% manifiesta que utiliza recursos TIC como parte de su estrategia de aprendizaje para un entorno de trabajo No. 36 El 67,35% manifiesta que emplea técnicas activas con apoyo en TIC No. 37 El 56,12% manifiesta que utiliza tipos de aprendizaje en sus procesos educativos apoyado en las TIC No. 38 El 61,22% manifiesta que emplea enfoques teóricos en los procesos educativos apoyado en las TIC No. 41 El 16,33% manifiesta que utiliza recursos variados TIC para crear material didáctico para los escenarios educativos Cuadro 113 : Cómo consideran las estrategias didácticas los Docentes. Fuente:Docentes de la Universidad de Guayaquil. Elaborado por:LSIJorge Vera Mosquera.
  • 363.
    335 De la preguntaNo. 35, se obtiene que el recurso más empleado es el correo electrónico (51,02%), seguido del chat (33,67%), foro (25,51%), proyectos colaborativos y Blog (23,47%), wiki (19,39%), otros (14,29%), círculos de aprendizaje (12,24%), simulaciones (11,22%), webquest (7,14%) y caza del tesoro (4,08%). De la pregunta No. 36, se obtiene que la técnica más empleada es el mapa conceptual (45,92%), seguido del trabajo de grupo y lluvia de ideas (39,80%), aprendizaje colaborativo (33,67%), foro (19,39%), cuestionario (17,35%), mapas mentales (15,31%), ensayos (14,29%), proyectos en línea y audio digital (12,24%), pizarra en línea (8,16%), y grabar movimientos en el monitor (6,12%). De la pregunta No. 37, se obtiene que el tipo de aprendizaje más empleado es la es observación (35,71%), seguido de cooperativo (30,61%), basado en problemas (28,57%), receptivo (25,51%), significativo (23,47%), visual (22,45%), basado en proyectos (21,43%), colaborativo (20,41%), descubrimiento (19,39%), por caso (17,35%), otros (11,22%) y repetitivo (8,16%). De la pregunta No. 38, se obtiene que la mayoría de Docentes (45,92%) enfoca el Constructivismo para utilizar en los procesos educativos, seguido del Cognitivismo (20,41%), Conductismo (15,31%), Conectivismo (8,16%) y el Sharismo (2,04%). De la pregunta No. 41, se obtiene que el procesador de palabras aparece como el recurso TIC que más se utiliza para crear material didáctico para los escenarios educativos (50,00%), seguido del Internet (42,86%), hoja de cálculo (37,76%), multimedia (26,53%), presentador y graficador (24,49%), base de datos (23,47%), trabajo colaborativo (20,41%), otros (19,39%), y el trabajo cooperativo y en red (15,31%).
  • 364.
    336 ¿El Docente conoce,comprende, respeta y hace respetar las políticas, normas y procedimientos relacionados a la privacidad, propiedad intelectual, seguridad de datos y comportamiento adecuado en el uso de los recursos informáticos, haciendo comprender a sus estudiantes las implicaciones del caso? De la encuesta realizada a los Docentes, se obtiene: Conocimiento docente de uso legal y ético de datos y recursos informáticos Pregunta Detalle No. 12 El 81,63% manifiesta que conoce, respeta y hace respetar las políticas, normas y procedimientos relacionados a la privacidad, propiedad intelectual, seguridad de datos y comportamiento adecuado en el uso de los recursos informáticos No. 13 El 75,51% manifiesta que promueve en su desenvolvimiento educativo el uso ético y legal de los recursos tecnológicos en sus diferentes formas de uso y presentación No. 14 El 60,20% manifiesta que comprende y hace comprender las implicaciones legales del uso de software y sus tipos de licencias Cuadro 114 : Conocimiento docente de uso legal y ético de datos y recursos informáticos. Fuente:Docentes de la Universidad de Guayaquil. Elaborado por:LSIJorge Vera Mosquera. De la encuesta realizada a los Maestrantes, se obtiene:
  • 365.
    337 Conocimiento de Maestrantesde uso legal y ético de datos y recursos informáticos Pregunta Detalle No. 4 El 76,81% manifiesta que conoce, respeta y hace respetar las políticas, normas y procedimientos relacionados a la privacidad, propiedad intelectual, seguridad de datos y comportamiento adecuado en el uso de los recursos informáticos No. 5 El 85,51% manifiesta que promueve en su desenvolvimiento educativo el uso ético y legal de los recursos tecnológicos en sus diferentes formas de uso y presentación No. 6 El 76,81% manifiesta que comprende y hace comprender las implicaciones legales del uso de software y sus tipos de licencias Cuadro 115 : Conocimiento de Maestrantes de uso legal y ético de datos y recursos informáticos. Fuente:Docentes de la Universidad de Guayaquil. Elaborado por:LSIJorge Vera Mosquera. Se infiere que el Docente conoce, comprende, respeta y hace respetar las políticas, normas y procedimientos relacionados a la privacidad, propiedad intelectual, seguridad de datos y comportamiento adecuado en el uso de los recursos informáticos, haciendo comprender a sus estudiantes las implicaciones del caso. De igual modo se presenta en el caso de los Maestrantes. ¿Cuál es el efecto en el rendimiento académico que consideran los Docentes con respecto al uso de las TIC en el proceso educativo? De la encuesta realizada a los Docentes, se obtiene:
  • 366.
    338 El rendimiento académicoque consideran los Docentes con respecto al uso de las TIC Pregunta Detalle No. 1 El 81,63% manifiesta que el aprendizaje autónomo se puede presentar con el empleo de las TIC en el proceso educativo No. 2 El 86,73% considera que el trabajo colaborativo se puede presentar con el empleo de las TIC en el proceso educativo No. 5 El 91,84%cree que es importante apoyarse en las herramientas informáticas en el Curriculum actual de la asignatura a su cargo No. 8 El 77,51%analiza y evalúa el impacto de las TIC en el proceso educativo No. 18 El 59,18%practica, experimenta y evalúa con herramientas TIC para incorporarlas a su quehacer educativo No. 19 El 55,10%accede, participa y contribuye en espacios de reflexión de experiencias de aprendizaje por medios tradicionales, en red o Internet No. 20 El 75,51%utiliza, evalúa y comparte ideas, experiencias y herramientas TIC para incorporarlas en estrategias de aprendizaje No. 21 El 58,16%participa en instancias relacionadas con las TIC y el aprendizaje? (Foros, congresos, seminarios, etc. No. 23 El 56,12%realiza y lleva a cabo Proyectos Pedagógicos y/o Andragógicos de Aula con apoyo de las TIC No. 26 El 43,88% manifiesta que existe Intercambio entre Docentes de experiencias de aprendizaje apoyadas en TIC Cuadro 116 : El rendimiento académico que consideran los Docentes con respecto aluso de las TIC. Fuente:Docentes de la Universidad de Guayaquil Elaborado por:LSIJorge Vera Mosquera
  • 367.
    339 De la encuestarealizada a los Maestrantes, se obtiene: El rendimiento académico que consideran los Docentes con respecto al uso de las TIC - Maestrantes Pregunta Detalle No. 1 El 94,20% manifiesta que el aprendizaje autónomo se puede presentar con el empleo de las TIC en el proceso educativo No. 2 El 98,55% considera que el trabajo colaborativo se puede presentar con el empleo de las TIC en el proceso educativo No. 3 El 95,65% considera importante el empleo de las TIC en la programación de la asignatura No. 9 El 88,41% practica, experimenta y evalúa con herramientas TIC para incorporarlas a su práctica educativa No. 10 El 63,77% accede, participa y contribuye en espacios de reflexión de experiencias de aprendizaje por medios tradicionales, en red o Internet No. 11 El 89,86% utiliza, evalúa y comparte ideas, experiencias y herramientas TIC para incorporarlas en estrategias de aprendizaje No. 12 El 59,42% participa en instancias relacionadas con las TIC y el aprendizaje?(Foros, congresos, seminarios, etc. No. 14 Los Maestrantes dan una alta consideración al apoyo en las herramientas informáticas en el Curriculum actual de la asignatura a cargo Cuadro 117 : El rendimiento académico que consideran los Docentes con respecto aluso de las TIC - Maestrantes. Fuente:Docentes de la Universidad de Guayaquil. Elaborado por:LSIJorge Vera Mosquera.
  • 368.
    340 Como se observa,los Docentes estiman un alto efecto en el rendimiento académico al emplearse las TIC en el proceso educativo, por ende en el aprendizaje. De igual modo se presenta el caso en los Maestrantes, cuyo porcentaje es algo mayor. Las Primeras Autoridades entrevistadas, a su vez en la pregunta No. 10 (¿En qué forma considera que debe presentarse coherencia entre aprendizaje esperado y recurso TIC utilizado?) manifiestan que todo debe ser posible en relación a la disponibilidad TIC, acorde a objetivos educativos y el diálogo Docente-dicente apoyado en la tecnología. De las preguntas No. 10 (¿Cómo debe un Docente analizar y evaluar el empleo de las TIC en el proceso educativo, considerando sus estrategias, procedimientos e instrumentos de evaluación, ambientes de aprendizaje, etc. ?) y No. 11 (¿En qué forma considera que debe presentarse coherencia entre aprendizaje esperado y recurso TIC utilizado?) realizadas a los Expertos, se extra que existen herramientas de uso general aplicables a cualquier entorno de aprendizaje, siendo el mismo Docente el responsable de esta inserción en el proceso educativo, por lo que la absoluta coherencia entre los aprendizajes esperados y las TIC empleadas está en función de la apropiación, teniendo en cuenta los estilos de aprendizaje de los estudiantes. ¿Cuál es la situación actual del manejo de las TIC a nivel curricular en la Universidad? De la encuesta realizada a los Docentes, se obtiene:
  • 369.
    341 Situación actual delmanejo de las TIC a nivel curricular en la Universidad Pregunta Detalle No. 4 El 78,57% manifiesta que realiza actividades didácticas empleando las TIC en las clases de su asignatura No. 5 El 91,84% manifiesta que cree que es importante apoyarse en las herramientas informáticas en el Curriculum actual de la asignatura a su cargo No. 6 El 88,78% manifiesta que incluye el empleo de las TIC en la programación de la asignatura No. 7 El 77,55% manifiesta que crea procedimientos e instrumentos de evaluación de aprendizaje en entorno TIC No. 10 El 67,35% manifiesta que facilita el aprendizaje intermedio del recurso TIC No. 22 El 54,08% manifiesta que utiliza las TIC como medio en la evaluación de aprendizajes No. 24 El 64,29% manifiesta que utiliza métodos y técnicas activas con el apoyo de las TIC No. 25 El 51,03% manifiesta que existen proyectos entre asignaturas apoyados en TIC No. 26 El 43,88% manifiesta que existe Intercambio entre Docentes de experiencias de aprendizaje apoyadas en TIC Cuadro 118 : Situación actual del manejo de las TIC a nivel curricular en la Universidad. Fuente: Docentes de la Universidad de Guayaquil Elaborado por:LSI Jorge Vera Mosquera Como se observa, existe un alto porcentaje individual de emplear las TIC en el proceso educativo, sin embargo no existe con notoriedad una integración Docente-Dicente y entre Docentes, notándose discordancias a nivel de conocimientos, como se ha tratado en preguntas anteriores. Las Primeras Autoridades en la pregunta No. 7 (¿Cómo considera la situación actual del manejo de las TIC a nivel curricular en la Universidad de Guayaquil?, manifiestan a su vez que la temática no está todavía
  • 370.
    342 definida ni socializada,las Facultades desarrollan lo que estiman conveniente, y que es necesario fortalecer los indicadores TIC, acorde al mandato 14. ¿La Facultad de Filosofía, Letras y Ciencias de la Educación dispone de los recursos humanos y tecnológicos para el diseño e implantación de un Programa de Educación Continua en el Manejo de las TIC para los Educadores de la Universidad? De las preguntas hechas a las Primeras Autoridades:  No. 4(¿Existen algún Programa de Formación Continua Docente en TIC en la Facultad de Filosofía?).  No.11 (¿Considera usted que la Facultad de Filosofía dispone de una infraestructura tecnológica (equipos y programas) adecuada para desarrollar los procesos educativos apoyándose en las TIC?),  No. 12 (¿Considera usted que la Facultad de Filosofía permite un acceso adecuado de equipos, programas, red e Internet, para sus estudiantes para facilitar los procesos educativos apoyados en las TIC?).  No. 14(¿En qué y cómo considera que debe consistir un Programa de Educación Continua Docente en el Manejo de las TIC para los Docentes de la Universidad?).  No. 15(¿Qué facilidades considera que la Facultad de Filosofía ofrece a los Docentes de la Universidad en relación a los accesos a los recursos educativos necesarios para implementar un Programa de Educación Continua en el Manejo de las TIC?).
  • 371.
    343 Se obtiene que: No se dispone de ningún Programa de Educación Continua Docente en el Manejo de las TIC en la Facultad de Filosofía, ni a nivel de Universidad.  Se dispone de siete (7) laboratorios en la Facultad de Filosofía, que existen los equipos suficientes, y que en el Complejo Académico se dispone de tecnología Wi-Fi, en el cual se encuentran cuatro (4) laboratorios en el edificio de Post-Grado.  Se permite acceso a equipos, uso de programas e Internet a los estudiantes. Por lo que se deduce que a nivel de recursos humanos, se debe organizar tanto a nivel administrativo, técnico y docente, quién se encargaría de determinadas funciones necesarias para establecer un Programa de Educación Continua, de ahí que este vital punto, a modo de sugerencia consta en la Propuesta del presente Proyecto. ¿En qué y cómo debe consistir el Programa de Educación Continua en el Manejo de las TIC para los Docentes de la Facultades de la Universidad? De la Pregunta No. 14 realizada en la entrevista respectiva a las Primeras Autoridades referente a la respuesta requerida, se obtiene:  Dra. Jeannette Yerovi de Orta, Directora del Instituto de Post-Grado y Educación Continua responde: “Acoplado a la realidad actual y acorde a las necesidades docentes”.  MSc. Francisco Morán Peña, Director de Carreras Técnicas Semi- Presencial responde: “Basarse en las políticas de la Universidad, en lo
  • 372.
    344 relacionado a laaplicación de las TIC en la Educación, conociendo disposiciones y necesidades de cada Facultad”. Por ende, se deduce que el Programa de la Propuesta del presente Proyecto, se acople a lo sugerido por la Primeras Autoridades. ¿Qué facilidades ofrece la Facultad de Filosofía a los Docentes de la Universidad en relación a los accesos de los recursos educativos necesarios para implementar un Programa de Educación Continua en el Manejo de las TIC? De la Pregunta No. 15 realizada en la entrevista respectiva a las Primeras Autoridades referente a la respuesta requerida, se obtiene:  Dra. Jeannette Yerovi de Orta, Directora del Instituto de Post-Grado y Educación Continua responde: “La Facultad cuenta con los recursos suficientes para ofrecer sobretodo, al momento que los cuatro (4) laboratorios de Informática en el Complejo Académico, en el edificio de Post-Grado, se encuentren listos, y así poder implementarlo”.  MSc. Francisco Morán Peña, Director de Carreras Técnicas Semi- Presencial responde: “La Facultad viene dando Seminarios sobre el uso del Sistema Académico, como el ingreso de actas por Internet, evaluaciones, verificación de notas por parte del estudiante, portafolio docente, etc., trabajándose en el tema para en el futuro dar mejores facilidades”. Se deduce que la Facultad de Filosofía cuenta con los recursos necesarios para poder crear, desarrollar y llevar un Programa de Educación Continua como el presente Proyecto plantea, facilitando
  • 373.
    345 accesos a losrecursos educativos, como se demostrado con el Sistema Académico actual, actas, notas, portafolio docente,etc. ¿Cuál será la propuesta apropiada para los Docentes de la Universidad para diseñar e implementar un Programa de Educación Continua en el Manejo de las TIC, tomando en cuenta el marco teórico y la investigación tratados en el presente trabajo? En base al aporte de los expertos, las respuestas obtenidas de las Autoridades, los datos de las encuestas realizadas a Maestrantes y Docentes, así como el analizar estándares y competencias de formación y capacitación docente en TIC a nivel internacional, se estima que este Programa debe basarse en su esencia en los Estándares de Competencias Docentes en TIC de la UNESCO 2011, pero adaptándose a la realidad situacional de la Universidad, cuya investigación es la que influye en los niveles y contenidos a incluirse. Se sugiere el siguiente nombre para este Programa: PECMTIC-DUG, cuyo significado es: Programa de Educación Continua en el Manejo de las TIC para los Docentes de la Universidad de Guayaquil. Este Programa se estima de la siguiente manera:  Número de niveles: Cuatro (4): o Inducción – Preparación o Nivel inicial – Alfabetización tecnológica o Nivel intermedio – Profundización de conocimientos o Nivel avanzado – Generación de conocimientos  Cada nivel posee sus respectivos módulos con sus respectivos contenidos de conocimientos, cuyos componentes son:
  • 374.
    346 o Comprensión delUso educativo de las TIC en la Universidad de Guayaquil. o Currículo y evaluación. o Pedagogía/Andragogía. o TIC. o Organización y administración. o Formación profesional docente. Se considera que por ser la primera vez, la modalidad presencial en cada uno de sus módulos es una alternativa inicial de principio, considerándose el aprendizaje electrónico en línea como apoyo de estudios a partir del nivel Inicial. Al desarrollarse la Propuesta se amplía más el diseño, desarrollo e implementación del PECMTIC-DUG. ¿Cuál es el grado de factibilidad para implementar un Programa de Educación Continua en el Manejo de las TIC para los Docentes de la Universidad? De la Pregunta No. 16 realizada en la entrevista respectiva a las Primeras Autoridades referente a la respuesta requerida, se obtiene:  Dra. Jeannette Yerovi de Orta, Directora del Instituto de Post-Grado y Educación Continua responde: “Hay el apoyo y la factibilidad, sobre todo por el deseo de las Autoridades de la Facultad para implementar este Programa”.  MSc. Francisco Morán Peña, Director de Carreras Técnicas Semi- Presencial responde: “Alto, dar el tiempo, la planificación, los recursos, y darse la infraestructura del caso, acorde a las disposiciones superiores”.
  • 375.
    347 Se deduce queexiste el apoyo y la factibilidad del caso, debido al deseo de las Autoridades de la Facultad de Filosofía, requiriendo para ello el tiempo, planificación, recursos e infraestructura conforme a las disposiciones de las Autoridades a nivel superior. ¿Cuál es el grado de importancia actual del manejo de las TIC que se considera en la gestión docente universitaria? De la Pregunta No. 3 realizada en la entrevista respectiva a los Expertos referente a la respuesta requerida, se obtiene que un Docente de la presente era debe apropiarse de las TIC para relevancia de sus clases y obtener un mayor interés estudiantil, dada la brecha digital que se presenta entre Docentes y Dicentes en la mayoría de los casos todavía, influyendo esto en la vanguardia educativa. Estas herramientas en muchos casos son gratuitas. De la Pregunta No. 5 realizada en la entrevista respectiva a las Primeras Autoridades referente a la respuesta requerida, se obtiene:  Dra. Jeannette Yerovi de Orta, Directora del Instituto de Post-Grado y Educación Continua responde: “Lo considero de suma importancia, dada el desarrollo tecnológico y su uso por parte de los estudiantes en su vida cotidiana y en el mundo laboral”.  MSc. Francisco Morán Peña, Director de Carreras Técnicas Semi- Presencial responde: ”Una Universidad moderna dentro de sus puntos estratégicos deben estar las TIC, de modo que el Docente maneje el proceso enseñanza-aprendizaje, orientación-aprendizaje y la gestión de la Universidad, así como, notas, portafolio docente, Curriculum, encuestas de satisfacción del Docente,etc.”.
  • 376.
    348 En la preguntaNo. 28 de la encuesta aplicada a los Docentes, se infiere que consideran importante al manejo de las TIC en la gestión docente universitaria (71,43% entre el valor más alto, 47,96% y alto, 23,47%). En la pregunta No. 13 de la encuesta aplicada a los Docentes, se infiere que consideran importante al manejo de las TIC en la gestión docente universitaria (89,85% entre el valor más alto, 75,36% y alto, 14,49%). Por tanto, se obtiene un alto grado de importancia al manejo de las TIC en la gestión docente universitaria a todo nivel. ¿Cuáles son las habilidades, conocimientos y usos operativos docentes en el manejo de las TIC por parte de los Educadores de las facultades de la Universidad? De la encuesta realizada a los Docentes, se obtiene: Habilidades, conocimientos y usos operativos docentes en el manejo de las TIC Pregunta Detalle No. 6 El88,78% manifiesta que incluye el empleo de las TIC en la programación de la asignatura No. 7 El 77,55% manifiesta que crea procedimientos e instrumentos de evaluación de aprendizaje en entorno TIC No. 15 El 65,31% manifiesta que utiliza software de productividad para generar productos de fines administrativos No. 16 El 60,20% manifiesta que emplea recursos de redes y comunicación con los estudiantes de su asignatura y/o con el resto de la comunidad educativa No. 18 El 59,18% manifiesta que practica, experimenta y evalúa con herramientas TIC para incorporarlas a su quehacer educativo
  • 377.
    349 No. 22 El54,08% manifiesta que utiliza las TIC como medio en la evaluación de aprendizajes No. 23 El 56,12% manifiesta que realiza y lleva a cabo Proyectos Pedagógicos y/o Andragógicos de Aula con apoyo de las TIC No. 24 El 64,29% manifiesta que utiliza métodos y técnicas activas con el apoyo de las TIC No. 35 El 63,27% manifiesta que utiliza al menos un recurso TIC emplea como parte de su estrategia de aprendizaje para un entorno de trabajo No. 36 El 67,35% manifiesta que emplea al menos una técnica activa con apoyo en TIC No. 37 El 56,12% manifiesta que emplea al menos un tipo de aprendizaje en sus procesos educativos apoyado en las TIC No. 38 El 61,22% manifiesta que aplica al menos un enfoque teórico en los procesos educativos apoyado en las TIC No. 39 El 59,18% manifiesta que emplea en al menos una evaluación las TIC. No. 40 El 50% manifiesta que dispone criterios pedagógicos/andragógicos para seleccionar recursos TIC a emplear, ya sea de escritorio, red e Internet No. 41 El 16,33% manifiesta que utiliza al menos un recurso TIC para crear material didáctico para los escenarios educativos No. 42 En lo relacionado a nivel de conocimientos TIC, se presenta el mayor porcentaje (32,98%) que corresponde a no aplicación de conocimientos, seguido de nivel básico (25,79%), intermedio (22,45%) y avanzado (18,78%) Cuadro 119 : Habilidades, conocimientos y usos operativos docentes en el manejo de las TIC. Fuente:Docentes de la Universidad de Guayaquil. Elaborado por:LSIJorge Vera Mosquera. Como se observa, se presenta un porcentaje considerable en el manejo de las TIC, sin embargo existe una baja muy considerable que refleja la pregunta No. 41, que hace notar la falta de formación TIC para que exista
  • 378.
    350 una coherencia realcon lo manifestado en las otras preguntas, e inclusive elevar aquel porcentaje.
  • 379.
    351 CAPÍTULO V CONCLUSIONES YRECOMENDACIONES Conclusiones  Es ineludible la necesidad de formación docente en el uso de las TIC en los procesos educativos, más aun en la era actual que se vive, donde su utilidad en el mundo educativo por diversos motivos sobretodo de gestión docente, demanda su aplicabilidad, por lo que la Universidad de Guayaquil debe considerar la Educación Continua en el manejo de las TIC con una política de asesoría tecnopedagógica y/o tecnoandragógica.  La mayoría de Docentes requiere preparación en TIC, quienes se han formado en un grado u otro en forma autodidacta al igual que los demás, necesitan formarse, fortificarse, empoderarse e innovarse en el campo pedagógico y/o andragógico en combinación con la tecnología, de tal modo que la planta de Educadores tenga una apropiación tecnológica en los procesos educativos.  El interés docente de formación en TIC muestra una curva de interés en crecimiento, lo que denota un convencimiento propio de su necesidad e influencia en los procesos educativos y su gestión, de tal modo que se atiende a la carencia de información como a la desinformación en el empleo de la tecnología en el mundo educativo.
  • 380.
    352  Se necesitaoptimizar los recursos tecnológicos en la Universidad, para un mayor aprovechamiento por parte de la comunidad educativa universitaria para así poder orientar de mejor forma una articulación entre procesos educativos y procesos tecnológicos, a nivel universitario.  Existe una heterogeneidad en el empleo de las TIC en las distintas facultades de la Universidad, por diversos motivos como financiamiento, ubicación, gestión, disponibilidad horaria, etc., lo que influye en cada caso, repercutiendo en infraestructura y formación, por tanto en el conocimiento técnico y didáctico en el manejo de las TIC.  La disponibilidad de equipos y programas, el uso de Internet y el empleo de plataformas educativas por parte del Personal Docente, necesitan ser incrementados para elevar los distintos aspectos de formación, aplicación y gestión de los procesos educativos, de modo que pueda incrementarse el nivel de cultura digital docente y así mejorar los estamentos educativos. Recomendaciones  La Facultad de Filosofía, Letras y Ciencias de la Educación debe responder con un Programa de Formación Continua en el Manejo de las TIC para los Docentes de la Universidad de Guayaquil, que atienda y responda de forma adecuada y acorde con el presente siglo, considerando con una visión pedagógica y/o andragógica el empleo tecnológico en los procesos educativos, en base a las necesidades actuales y el estamento legal de la Constitución de la República del Ecuador y las estrategias actuales educativas de la Universidad.
  • 381.
    353  Generar unapropuesta por parte de las Autoridades de la Universidad y la Faculta de Filosofía, que contemple el Diseño del Programa de Educación Continua en mención, de modo que se cree, actualice e innove los procesos educativos de la Universidad, considerando en la Facultad de Filosofía su capacidad actual y futura, a corto, mediano y largo plazo.  Las Autoridades universitarias deben contemplar la infraestructura logística de la Universidad, ya que constituye la primera dimensión a considerarse para la disposición de un Programa de Educación Continua en el manejo de las TIC para la gestión docente de sus Educadores, de modo que cualquier miembro del Personal de Profesores conozca en su momento de este punto de encuentro de la tecnología con sus labores universitarias.  Los gerentes educativos deben fortalecer las políticas de integración de las TIC tanto a nivel universitario como en la Facultad de Filosofía, con fuentes efectivas y oportunas de financiación fortalecidas con una actitud institucional que permite sostener en el tiempo el Programa de Educación Continua que se cree.  Este Programa de Educación Continua debe contemplar una programación curricular que permita desarrollar las competencias TIC en los Docentes de la Universidad, considerando las condiciones de heterogeneidad de las distintas facultades, por lo que el acoplamiento a las distintas situaciones de infraestructura y formación deben considerarse, para facilidad de los Docentes por parte de las Autoridades competentes.
  • 382.
    354  La infraestructuratecnológica a nivel de equipos, programas, redes e Internet debe ir fortaleciéndose en el tiempo, tanto en la misma Facultad de Filosofía, como en el resto de Facultades de la Universidad, de modo que un proceso de inducción, apropiación, mejora e innovación educativa en el Personal Docente Universitario se beneficie, de tal manera que una modalidad presencial, como semi-presencial y a distancia cuenten con lo necesario y acorde en su momento a sus realidades vivenciales, resultando muy importante considerar más adelante los sistemas de administración de aprendizaje, para atender a los Docentes que se encuentren en esta necesidad, siendo esto, una misión fundamental de la Academia.
  • 383.
    355 CAPITULO VI LA PROPUESTA Justificación Eluso intensivo de TIC como consecuencia de la globalización económica, los nuevos comportamientos sociales, empresariales y el surgir de nuevas demandas laborales frente a las tradicionales, que son provenientes de recursos naturales y el trabajo físico, hacen que con el empleo y empoderamiento del conocimiento y la comunicación, estas nuevas tecnologías ofrezcan mejores resultados a nivel productivo y de servicio para todos los sectores tanto a nivel gubernamental como privado, en todos sus estratos. La Facultad de Filosofía de la Universidad de Guayaquil, sensible ante estas realidades macros, debe enfocar las necesidades que se derivan al respecto, desde su papel y por ende su nivel de contribución en la sociedad ecuatoriana, identificando factores que parten de una brecha digital existente a nivel de Docentes y estudiantes, direccionado a la realidad universitaria, cada uno desde sus realidades socio- económicas, infraestructura y estudios informáticos, proyectos en marcha como por desarrollar, que se relacionan al respecto en las distintas Facultades. En un segundo lugar, habría que considerar el hecho de que el uso de las TIC, forma parte de las estrategias gubernamentales, por lo que su empleo desde dictámenes de ley a nivel educativo, por lo tanto incluido en las estrategias de desarrollo de la Universidad, hace que su visión de instrumento transversal contribuya potencialmente al desarrollo del país.
  • 384.
    356 Como un tercerpunto importante, vale considerar que en la nación, la mayoría de las iniciativas que impulsan el empleo de las TIC, tanto en el espacio público como en el privado, indiscutiblemente impulsan el crecimiento nacional, pero las realidades económicas en muchos casos, hace que se acreciente distancias en un amplio sector de la población, por lo que es una ardua labor encontrar un equilibrio en ambas situaciones. La Universidad de Guayaquil en función de sus recursos ha venido implementando laboratorios de computadores y equipos en ciertas áreas administrativas y espacios académicos en sus diferentes Facultades, donde en algunos casos se encuentran en red e Internet, utilizando sobretodo redes alámbricas como inalámbricas, tratando de facilitar el empleo de la red de redes. El empleo académico de esta infraestructura presenta una alta frecuencia de usabilidad por parte de aprendices y Docentes, reflejándose una desproporcionalidad entre el número de personas del estudiantado y profesorado con el de computadores, reflejándose en la disponibilidad real de los equipos, aun tomando en cuenta, el no uso del computador en algunas asignaturas, que en ciertos casos resulta externo a las aulas. A través del tiempo, la Universidad está incrementando su tecnología dentro del proceso educativo, a tal punto que en la actualidad ya se encuentra incorporando el uso de la Internet y el empleo del mismo aprendizaje electrónico para los miembros de la comunidad educativa. Debe tomarse en cuenta, que los Bachilleratos de las unidades educativas a nivel medio, se encuentran y se encontrarán algunos mejor preparados que otros en el uso de la tecnología, presentándose con el
  • 385.
    357 tiempo un conocimientotecnológico más horizontal, debiendo considerarse además que se encuentran con la obligatoriedad por ley, de incluir el uso de la tecnología en sus procesos educativos. Por tanto, el uso de las TIC por parte de estudiantes y Docentes es implícito en toda Facultad universitaria, por lo que todo Educador debe enriquecer su perfil con competencias digitales, para su empleo en la gestión educativa. Se presenta por tanto, la necesidad de implantar una cultura informática, que atienda las brechas digitales en el tiempo, cubriendo a su vez las necesidades tecnológicas de aprendizaje como parte del perfil docente. La Facultad de Filosofía, Letras y Ciencias de la Educación sensible ante esta realidad, debe buscar la homogeneidad en el empleo de las TIC en el Personal Docente, considerando inclusive aquellos Educadores que en la actualidad se encuentran en el no uso de las mismas, en el grado que fuere. Retrasar la preparación docente en el manejo de las TIC, determinará un alto costo en la calidad educativa de los estudiantes y en el resultado de los egresados, que no será el anhelado para lo que la sociedad demanda y se necesita del mundo universitario en la actualidad y en el futuro.
  • 386.
    358 Diagnóstico El investigador despuésde haber aplicado los instrumentos de investigación a la muestra de la población docente de la Universidad de Guayaquil, y a su vez haber entrevistado a las Autoridades respectivas y Consultores externos obtiene: A nivel de Autoridades En relación al grado de factibilidad de implementación de un Programa de Educación Continua en el Manejo de las TIC para los Docentes de la Universidad, manifestaron:  Dra. Jeannette Yerovi de Orta, Directora del Instituto de Post-Grado y Educación Continua: “Hay el apoyo y la factibilidad, sobre todo por el deseo de las Autoridades de la Facultad para implementar este Programa”.  MSc. Francisco Morán Peña, Director de Carreras Técnicas Semi- Presencial de la Universidad de Guayaquil: “Alto, dar el tiempo, la planificación, los recursos, y darse la infraestructura del caso, acorde a las disposiciones superiores”. A nivel docente:  Un alto grado de importancia al manejo de las TIC en la gestión docente universitaria, lo que se refleja en el cuadro e imagen a continuación:
  • 387.
    359 Importancia en elmanejo de las TIC en la gestión docente Universitaria Valoración Frecuencia Porcentaje Desconozco 2 2,04% Nulo 3 3,06% Algo 6 6,12% Medio 17 17,35% Alto 23 23,47% Más alto 47 47,96% TOTAL 98 100,00% Cuadro 120 : Importancia en el manejo de las TIC en la gestión docente Universitaria. Fuente: Docentes de la Universidad de Guayaquil. Elaborado por:LSIJorge Vera Mosquera. Gráfico 171: Importancia en el manejo de las TIC en la gestión docente Universitaria. Fuente:Docentes de la Universidad de Guayaquil. Elaboración:LSI Jorge Vera Mosquera. Se obtiene que un grado alto lo considera un 23,47% y más alto un 47,96%, es decir un 71,43% estima una alta importancia al empleo de las TIC en la Gestión Universitaria. 2.04% 3.06% 6.12% 17.35% 23.47% 47.96% Importancia del manejo de las TIC en la Gestión Docente Universitaria Desconozco Nulo Algo Medio Alto Más alto
  • 388.
    360  Un altogrado de importancia en apoyarse en las herramientas informáticas en el Curriculum actual de la asignatura a cargo, que se refleja en el cuadro e imagen a continuación. Grado de importancia de apoyo TIC en Curriculum de asignatura Valoración Frecuencia Porcentaje Desconozco 2 2,04% Nulo 0 0,00% Algo 2 2,04% Medio 11 11,23% Alto 32 32,65% Más alto 51 52,04% TOTAL 98 100,00% Cuadro 121 : Grado de importancia de apoyo TIC en Curriculum asignatura. Fuente: Docentes de la Universidad de Guayaquil. Elaborado por:LSIJorge Vera Mosquera. Gráfico 172: Grado de importancia de apoyo TIC en Curriculum de asignatura. Fuente:Docentes de la Universidad de Guayaquil. Elaboración:LSI Jorge Vera Mosquera. Se obtiene que un grado alto lo considera un 32,65% y más alto un 52,04%, es decir un 84,69% estima una alta importancia al apoyo de las herramientas informáticas en el Curriculum actual de la asignatura a cargo. 2.04%0.00% 2.04% 11.23% 32.65%52.04% Grado de importancia de apoyo TIC en curriculum de asignatura Desconozco Nulo Algo Medio Alto Más alto
  • 389.
    361  El nivelde conocimientos TIC que no se aplican es el más alto en relación a los niveles: Básico, intermedio y avanzado, que se refleja en el cuadro e imagen a continuación. Promedios por nivel de conocimientos Nivel Promedio No aplico 32.98% Básico 25.79% Intermedio 22.45% Avanzado 18.78% TOTAL 100.00% Cuadro 122 : Promedios por nivel de conocimientos. Fuente:Docentes de la Universidad de Guayaquil. Elaborado por:LSIJorge Vera Mosquera. Gráfico 173: Promedios por nivel de conocimientos. Fuente:Docentes de la Universidad de Guayaquil. Elaboración:LSI Jorge Vera Mosquera. El mayor porcentaje (32,98%) corresponde a no aplicación de conocimientos, seguido de nivel básico (25,79%), intermedio (22,45%) y avanzado (18,78%). 32.98% 25.79% 22.45% 18.78% Promedios por nivel de conocimientos No aplico Básico Intermedio Avanzado
  • 390.
    362  Un altogrado de necesidades de Formación en TIC que estiman los Docentes. Necesidades de Formación en TIC Valoración Frecuencia Porcentaje Desconozco 2 2,04% Nulo 1 1,02% Algo 2 2,04% Medio 5 5,10% Alto 30 30,62% Más alto 58 59,18% TOTAL 98 100,00% Cuadro 123 : Necesidades de Formación en TIC. Fuente:Docentes de la Universidad de Guayaquil. Elaborado por:LSIJorge Vera Mosquera. Gráfico 174: Necesidades de Formación en TIC. Fuente:Docentes de la Universidad de Guayaquil. Elaboración:LSI Jorge Vera Mosquera. Se obtiene que un grado alto lo considera un 30,62% y más alto un 59,18%, es decir un 89,80% estima una alta importancia a sus necesidades de Formación en TIC. 2.04% 1.02% 2.04% 5.10% 30.62% 59.18% Necesidades de formación en TIC Desconozco Nulo Algo Medio Alto Más alto
  • 391.
    363 De la entrevistarealizada a los Consultores Externos, se puede extraer que el Docente se encuentra ante:  La necesidad de articular de un modo integral la relación Curriculum – TIC – Aprendizaje, propiciando e induciendo el pensamiento computacional.  La innovación docente se presenta al momento que se de paso al uso de diversos recursos tecnológicos, de tal manera que en base a una visión constructivista (sin perder el sentido humano), se crean actividades innovadores y constructoras de conocimiento.  La eficiencia y eficacia docentes mejoran con el esfuerzo cotidiano, la experiencia práctica y sentido profesional partiendo de una debida apropiación TIC, siendo necesario un estímulo a los Educadores por parte de las Autoridades, del modo que más estimen conveniente, ante esta Formación Docente en TIC.  Las competencias digitales docentes deben presentarse en base a una realidad local y producto de las mismas exigencias ante la sociedad que la Universidad debe atender, por tanto así como en estándares internacional de Formación Docente TIC, un Programa de Educación Continua en el manejo tecnológico para Docentes debe contemplarlo. . Con estos resultados obtenidos de las entrevistas y encuestas respectivas desarrolladas en la presente investigación, se determina que es necesario el diseño de un Programa de Educación Continua en el Manejo de las TIC para los Docentes de la Universidad de Guayaquil, a lo que el Instituto de Post-Grado de la Facultad de Filosofía, Letras y Ciencias de la Educación, asiste con una solución para todas las carreras universitarias actuales y futuras de esta entidad, no solo con un sentido de particularidad docente, sino en el cómo debe aplicarse las TIC en todos los aspectos de su gestión educativa.
  • 392.
    364 Fundamentación teórica dela Propuesta En la Sociedad del Conocimiento que el mundo vive actualmente, el desarrollo de las TIC impone un cambio y ritmo vertiginosos, requiriéndose ante esto, que la Educación sea más dinámica y variada en todos sus niveles. Esta realidad demanda un Docente con un nuevo rol en el siglo 21, cuyas competencias conduzcan al estudiante al aprender a aprender, suscitando aprendizajes que no desconozcan la dialéctica entre la enseñanza y el aprendizaje, renovando, innovando y empoderando sus creencias pedagógicas, andragógicas y didácticas para aplicarlas en su gestión. La Educación Permanente es una respuesta ante esta situación, suscitándose así nuevos enfoques a tratar en el mundo universitario, que no es bajo ningún concepto una Educación recurrente, reciclaje, o perfeccionamiento profesional. El Educador de hoy necesita de una cultura informática que le permita estar y comprender el escenario de vida de sus estudiantes e igualmente el de sí mismo, para disponer de las herramientas que le permitan acoplarse a las constantes transformaciones del mundo laboral y del conocimiento. Por ende, se demanda una Universidad creativa y profundizada en la profesionalización docente, para asumir y enfrentar, en base al manejo de las TIC, la realidad de la sociedad actual. Estas razones, conllevan a considerar algunas fundamentaciones.
  • 393.
    365 Fundamentación filosófica El materialismodialéctico planteado porFriedrich Engels y Karl Marx, enfocando el comportamiento de la realidad dialécticamente en base a la materia, explica la realidad por sí misma, dándose la comprobación con la práctica científica, y esto es lo que lleva a producir el conocimiento. Éste último, por tanto, se justifica con la práctica concreta y la utilidad social en el tiempo, en la que la relación teoría-práctica es la dialéctica de la praxis. Así, el proceso educativo requiere de una preparación pedagógica y/o andragógica que recorre un camino dialéctico para desarrollar el conocimiento. En base a esto, el estudiante debe recibir una enseñanza problémica, donde el Docente crea y actúa como guía en este tipo de situaciones, para que las actividades generadas creen nuevos conocimientos, permitan comprender la realidad de un modo más objetivo, involucrando así la investigación y las soluciones que se necesitan. La era actual conocida como la del Conocimiento o la de la Información, hace que ésta sea vital a nivel económico y cultural, creándose así la Economía del Conocimiento que es la contraparte económica en la cual su explotación es el principal producto. Ante este nuevo bien de consumo, se determina como factor clave de competitividad, la calidad y nivel de TIC que se disponga, creándose nuevos condicionantes de mercado, en este ya presente escenario tecnológico, en el que el hombre acústico y tipográfico pasa a ser un hombre electrónico.
  • 394.
    366 Fundamentación pedagógica La visiónpedagógica en el quehacer educativo del Docente es un hecho ineludible, en el cual su realidad le conduce a una no aplicación absoluta de paradigmas tradicionales, sino que necesita integrar concienzuda y coherentemente nuevas estrategias globales en el proceso enseñanza-aprendizaje. El Aprendizaje Significativo de Ausubel toma connotación, dado que los requerimientos de organización del aula y clase, así como el uso de herramientas digitales de proceso de información (mapas conceptuales, mentales, etc.), la estructura de texto de contenidos, así como las tareas y actividades que el educando debe realizar, hacen que con la presencia de las TIC, los métodos y estrategias de aprendizaje determinen un producto pedagógico conceptual, constructivista, personalizado e individualizado, diferente al que con la ausencia de tecnología lo es. La metodología debe beneficiar la autonomía, el trabajo individual y de cooperación, así como el pensamiento crítico y la resolución de problemas, identificando a la Pedagogía individualizada, aun teniendo en cuenta la construcción colectiva, manifestándose en una base pedagógica-didáctica ecléctica, es decir integrada. La evaluación toma un espacio muy particular, dado a que en un ambiente virtual de aprendizaje, el Docente debe disponer de una visión holística del educando en cara a los demás y a sí mismo, en lo debe identificar los alcances y logros individuales, aun en el caso del trabajo colectivo.
  • 395.
    367 Se considera entoncesuna evaluación continua, en la que debe haber la retroalimentación estudiantil, mediante instrumentos digitales como foros, creación de ensayos, debates, diálogos por medio del chat, elaboración de wikis, participaciones en clases virtuales-presenciales, etc. La información en el proceso también es evaluativo, por lo que encuestas, consultas, participaciones, registro de evaluación, perfil de aprendizaje y de desempeño, también forman parte de este espacio, siendo la veracidad y la privacidad, necesarias para orientar al participante en su mejoramiento individual. El recurso educativo a nivel de TIC se lo estima multi-sensorial, considerándose su uso en tres tipos: Informativo, para la comunicación y para el aprendizaje experiencial. El rol del Docente se redefine a ser un mentor, guía, diseñador, entrenador, facilitador, un estratega para conectar al estudiante con su aprendizaje, usando las TIC para aquello, debiendo ser emprendedor e innovador en todo sentido, creando escenarios para que el dicente aprenda, y no divague con la información o se pierda en una red, por lo que su rol pedagógico es vital no solo a nivel disciplinar, metodológico y técnico, sino también en el escenario virtual que cree. A su vez, debe desarrollar la humanización y afectividad en el proceso educativo, estimulando la participación, la investigación crítica, la autonomía y la creatividad, impulsando la reflexión para compartir la experiencia y el aprendizaje. Esto hace que el aprendizaje constructivista tome presencia.
  • 396.
    368 Por tanto, elDocente posibilita en estas escenas las competencias básicas relacionadas al aprendizaje en los dicentes: Aprender a conocer, aprender a hacer, aprender a ser, aprender a aprender y aprender a convivir. Fundamentación andragógica Considerar que en la época actual ya no existe edad para aprender después de la adolescencia, no es nada ajeno a la realidad, en este campo es donde se presenta la Andragogía, en la que el proceso enseñanza-aprendizaje se identifica como orientación-aprendizaje. No se trata de escolarizar o tratar adultos ante necesidades económicas y laborales de la sociedad. El Docente se convierte en un facilitador de aprendizajes para orientar, ayudar y cooperar con el participante-estudiante en sus metas de aprendizaje, con una relación horizontal entre iguales, de un modo proactivo, recíproco y compartido, siendo el interés fundamental el adulto como un autogestor responsable de lo que aprende. Paulo Freire plantea una Formación Andragógica Integradora (Anexo 11) en el que condiciona lo siguiente:  Confrontación de experiencias (punto de vista de Educador y educado).  Racionalidad (nivel de juicio personal).  Capacidad de abstracción (conciencia lógica y dialéctica) e  Integración y aplicabilidad (integra a su vida y a su medio lo aprendido).
  • 397.
    369 El empleo andragógicode las TIC se puede presentar en:  Simulación de situaciones.  Resolución de problemas.  Aprendizaje a distancia.  Aprendizaje presencia.  Asesoramiento.  Redes educativas.  Investigación.  Intercambio de ideas y/o conocimientos. Fundamentación tecnológica Educar en el uso tecnológico es crear instancias para construir conocimientos y desarrollar saberes con el empleo de la tecnología, en busca de personas competitivas en las distintas áreas del desarrollo humano. La metacognición se activa en la persona con el empleo de las TIC en el diario vivir, que sin ser estrictamente una ciencia, sin embargo ayudan a resolver problemas y satisfacer necesidades, dado que el método tecnológico es en esencia constructivo. El aspecto técnico se relaciona con habilidades en su aplicación en procesos a situaciones previstas, lo que determina una formación especializada al respecto. La triada Educación, ciencia y técnica, presenta un dinamismo en alto crecimiento, que sale de un plano instruccional y de formación a uno que integra Educación y Tecnología, que se encuentra replanteando las bases filosóficas educativas, conociéndose esto como Tecnología
  • 398.
    370 Educativa, que esquien contempla la mediación pedagógica y/o andragógica desde una visión crítica e históricamente socio-cultural del proceso educativo para cualquier contexto convencional o virtual de aprendizaje. Esto crea una relación implícita de “Tecnología Apropiada” acorde a las distintas situaciones y usuarios que se encuentren en un escenario educativo, considerando el trabajo situacional, holístico e interdisciplinario, de modo que responda a las propuestas educativas para su apropiación. Como se observa, la concepción de que la tecnología es sencillamente instrumental, queda muy lejos, mas bien determina espacios estratégicos para la Educación mediada y considera la mediación pedagógica y/o andragógica con el uso de las TIC. Misión y visión de la propuesta Misión Apoyar, actualizar, mejorar e innovar las competencias digitales de los Docentes de la Universidad de Guayaquil, en las áreas educativas pertinentes acorde a una Educación del siglo XXI, con un Programa continuo de proyección de avanzada, competitividad, innovación, calidad y beneficio social a la sociedad ecuatoriana. Visión Posicionar de forma permanente en la Universidad de Guayaquil, una oferta integral de Educación Continua que atienda las necesidades de formación, actualización, mejora e innovación en el Personal Docente universitario, cubriendo necesidades específicas educativas en el mundo digital de la era actual, contribuyendo al incremento de la competitividad profesional y estratégica de la Institución.
  • 399.
    371 Objetivos General  Diseñar unPrograma de Educación Continua en el Manejo de las TIC para el Instituto de Post-Grado de la Facultad de Filosofía, Letras y Ciencias de la Educación de la Universidad de Guayaquil, para mejorar la gestión docente universitaria, con una visión holística educativa. Específicos En relación a los docentes de la Universidad de Guayaquil:  Definir los módulos curriculares necesarios para la formación, capacitación y actualización docente, para una aplicación adecuada y significativa de las TIC a los procesos de aprendizaje en las carreras de la Universidad, integrando holísticamente el manejo de las TIC y sus componentes educativos necesarios.  Determinar la tecnología necesaria, en base a los recursos actuales y futuros de la entidad, que permita cumplir los objetivos propuestos del Programa de Educación Continua en el Manejo de las TIC para el Instituto de Post-Grado de la Facultad de Filosofía.  Proponer una formación, capacitación y actualización, de un modo gradual y pertinente, ligado a los nuevos desarrollos curriculares y enfoques didácticos innovadores, estimulando la elaboración, publicación, difusión e intercambio de experiencias curriculares que sirvan de ayuda y referencia al profesorado para mejorar el accionar educativo.
  • 400.
    372  Diseñar sistemáticamenteun Programa de Educación Continua en el Manejo de las TIC para el Instituto de Post-Grado de la Facultad de Filosofía, para mejorar, actualizar e innovar, de un modo sostenible y sustentable la gestión docente de la Universidad, mediante un proceso presencial, como primera instancia. Factibilidad de la propuesta Administrativa El Proyecto cuenta con el suficiente apoyo de las Autoridades de la Facultad de Filosofía, Letras y Ciencias de la Educación, que se demostró en la investigación para la presente Propuesta. Vale considerar también el porcentaje considerable de Docentes predispuestos al cambio que se plantea con este Proyecto, que es de mutuo beneficio profesional entre Universidad, Facultad y Docentes. Financiera Está dada por la disponibilidad acorde a las disposiciones de la Universidad y la Ley Orgánica de Educación Superior de la Nación, para que con el tiempo la necesidad de incorporar programas, equipos y Personal Docente necesarios para la Facultad de Filosofía, cumplan con los requerimientos legales mencionados anteriormente. Al momento de plantearse la presente Propuesta, a nivel de equipos y programas la entidad se encuentra lista para operar el Programa de Educación Continua en el Manejo de las TIC para los Docentes de la Universidad de Guayaquil.
  • 401.
    373 A nivel docente,la Facultad puede manejar sus disposiciones reglamentarias, ya sea por contrato o en el caso de ser posible, valerse de partidas ya asignadas con Docentes ya asignados, y que se encuentren calificados para el Proyecto. Legal El marco legal involucra:  La Declaración Mundial sobre la Educación Superior en el siglo XXI (París, 1998), (Anexo 1) en su artículo 12, trata sobre el potencial y los desafíos de la Tecnología.  La Conferencia Mundial sobre la Educación Superior y la investigación para el cambio social y el desarrollo (2009), (Anexo 2).Se refiere a la dinámica a emplear para alcanzar la EPT (Educación Para Todos) para crear un cambio social y de desarrollo en la Educación Superior, estableciendo puntos que sirvan de lineamientos para la Formación Docente.  La Ley Orgánica de Educación Superior de la República del Ecuador (R.O. 298). (Anexo 3), que resalta como fines a la producción científica y la promoción de la transferencia e innovación tecnológica, junto al fomento y ejecución de programas de investigación científica, tecnológica y pedagógica, y en base a Principios del Sistema y Funciones, regir integralmente a las instituciones y demás componentes del sistema educativo, de modo que su funcionamiento garantice el derecho a la Educación de cualquier ciudadano, con todas las exigencias del caso, y entre ellas está la docencia con sus aditamentos necesarios para su ejercicio, basándose en el Principio de Pertinencia.  El Plan Estratégico de Desarrollo Institucional 2008-2015 de la Universidad de Guayaquil, en su eje ACADÉMICO Y DOCENCIA
  • 402.
    374 que establece mejorarel nivel académico y formación profesional de estudiantes y Docente, como a su vez dentro de sus Acciones Estratégicas (Anexo 4),dos de las mismas hacen hincapié en la investigación sobre las necesidades de nuestra sociedad y el Mejoramiento Integral de la Calidad Educativa, que la Universidad se encuentra decidida a fortalecer, mantener y liderar. Técnica La Facultad de Filosofía, Letras y Ciencias de la Educación, cuenta al momento con los recursos técnicos necesarios para la aplicación e implementación de la presente Propuesta, los mismos que se detallan a continuación:  Acceso a Internet  Intranet  Laboratorios de Informática de la Facultad de Filosofía  Licencias de Software legales en Microsoft Windows como de Software Libre.  Servidores y estaciones de trabajo adecuadas.  Sitio Web propio. De recursos humanos La investigación de la Propuesta está dirigida a los Docentes de la Universidad de Guayaquil, para quienes la Facultad de Filosofía, Letras y Ciencias de la Educación, pretende crear, facilitar, innovar y empoderar su gestión docente en base al manejo de las TIC, creando para ello un Programa de Educación Continua al respecto, acorde a lo que demanda una Educación del siglo 21.
  • 403.
    375 En un marcoregulatorio se considera: Al Consejo Universitario, por el dictamen de las disposiciones de fondo que ha requerido el caso. Primeras Autoridades de Post-Grado de la Facultad de Filosofía, para liderar pertinentemente el Programa de Educación Continua en mención. Primeras Autoridades de las Facultades, para prestar la información y facilidades del caso a los Docentes de la Universidad. A nivel de infraestructura técnica informática, se necesita de la facilidad de equipos, programas y redes. La Facultad de Filosofía cuenta actualmente con el personal necesario. En un plano educativo y formativo, los facilitadores deben estar acordes al siguiente perfil:  Ser una persona proactiva, animada, motivadora, potenciadora e innovadora en el manejo de las TIC.  No necesita ser especializado en TIC, pero interesado en el uso e innovación de las mismas, cuya capacitación vaya acorde a lo que se necesite en el Programa de Educación Continua propuesto.  Potenciador de la actividad de los Docentes en formación.
  • 404.
    376  Proveedor yfacilitador de recursos tecnológicos a los enseñantes que se encuentren en proceso.  Líder o poseedor de un cierto liderazgo en el uso y aplicación TIC en Educación con una visión de ir más allá.  Permeable a las teorías y las prácticas actuales e innovadoras de aprendizaje con el empleo de las TIC. Este personal debe tener un enfoque totalizador que integre disciplinas, asumiendo una actitud y acción indagadora, orientando en luces en lo relacionado a las teorías, con un análisis de la acción educativa, reconstruyendo y cuestionando las experiencias cotidianas. Política La Universidad, basándose en el marco de la Ley Orgánica de Educación Superior (R.O. 298), como a su vez en su Plan Estratégico de Desarrollo Institucional, puede crear políticas que se articulen con las de las distintas Facultades con respecto a la implementación de las TIC en el quehacer educativo universitario, que permitan atender los distintos aspectos como lo son el desarrollo curricular, infraestructura administrativa del caso, equipamiento, evaluación, trabajo colaborativo entre pares, facultades e inter Universidades en su momento, oportunidades de investigación y desarrollo, etc., de modo que se apueste a una Educación Continua en el Manejo de las TIC por parte de los Docentes. No debe estar ausente la plena conciencia de la complejidad del trabajo docente, y fijar la responsabilidad únicamente en los Profesores y tomar la asunción de que el cambio es individualmente para ellos, aunque
  • 405.
    377 tenga su protagonismoen la creación de los escenarios de aprendizaje. Pues, para cumplirse esta encomiable tarea, debe sustentarse en políticas sustentables y sostenibles en el tiempo que permitan un desarrollo profesional contemporáneo acorde con la realidad. La Facultad de Filosofía, Letras y Ciencias de la Educación debe considerar una obra a priori, ante esta necesidad imperiosa, el crear un Programa de Educación Continua en el Manejo de las TIC para los Docentes de la Universidad de Guayaquil (PECMTIC-DUG), de modo que se prepara para un entorno de cambio permanente a nivel universitario que se avecina en breve tiempo en la Universidad, ofertando una respuesta en base a su experiencia educativa en el medio, debiendo contemplar en su estructura organizacional el espacio y el lugar necesarios, para atender este nuevo reto. Este PECMTIC-DUG constituye un mecanismo estratégico de orientación y pertinencia a la integración de las TIC al quehacer educativo, considerando que se transforma el entorno de la Educación en la Universidad, propiciado por un esfuerzo conjunto de estudiantes, Docentes, personal administrativo y la comunidad educativa. El fin primordial es capacitar a los Docentes competentemente en los distintos escenarios que se vea involucrado ante los retos educativos actuales y venideros, y sobretodo obtener estudiantes capacitados para aprender a aprender. Una organización que debe contemplar este PECMTIC-DUG, a nivel de sugerencia es la siguiente:
  • 406.
    378 Gráfico 175: OrganizaciónPECMTIC-DUG. Tomadode:Creación LSI Jorge Vera Mosquera. Por:LSI Jorge Vera Mosquera. En la que: Universidad de Guayaquil, es la instancia gubernamental universitaria por medio del Consejo Ejecutivo, que en base a sus facultades legales y administrativas, viabiliza el respaldo y puesta en marcha del Programa en mención. Facultad de Filosofía, Letras y Ciencias de la Educación, es quien respalda la ejecución del presente proyecto, consolidando y fortaleciendo lo necesario a nivel político, administrativo y de procedimientos. Instituto de Post-Grado de la Facultad de Filosofía, Letras y Ciencias de la Educación, es la organización encargada de ejecutar la obra, implementando, administrando, brindando los espacios de capacitación, llevando a cabo la cobertura necesaria, asesorando pedagógica y andragógicamente los procesos de formación y cualificación docente. Por ende, es el único responsable de la administración académica del Programa.
  • 407.
    379 Comité Académico, esconformado por gestores académicos y administrativos, como personal que pueda brindar apoyo pedagógico, andragógico o logístico si fuera necesario, estableciendo directrices, orientaciones, creando la agenda y contenidos necesarios del caso, de modo que encuentre las soluciones pertinentes derivadas del camino a recorrer. Gestor Académico, es quien crea, organiza, fortalece e innova el Curriculum en los procesos de capacitación, sobre todo llevando el acompañamiento en el desarrollo del Programa. Gestor Administrativo, se encarga de difundir y llevar al éxito el Programa, preocupándose del aspecto docente-administrativo. Unidad de Infraestructura Tecnológica, está compuesto por el personal del equipos, programas y redes de la Facultad de Filosofía, cuyo aporte es notorio y fundamental en el momento de desarrollar el proyecto. Su coordinación con los demás Gestores es básica en los escenarios educativos que se crean. Docente Facilitador, es aquel Educador que ha sido escogido por los Gestor-es Académico-s y Administrativo-s, para hacer realidad el Programa cubriendo el perfil para el caso, que ha sido previamente tratado en el presente trabajo. Docente Participante, es el personal Educador de la Universidad, cuya convocatoria es llevada a cabo en la forma que las autoridades correspondientes estimen convenientes.
  • 408.
    380 Como se observa,el espíritu organizativo planteado es de carácter interdisciplinario, de modo que lleve a cabo un seguimiento, considerando los Docentes necesarios para llevar adelante el Programa, como también la aplicación del mismo de acuerdo a lo que se especifique en su contenido, de manera que su revisión, renovación y mejora en el tiempo se garanticen acorde a las necesidades y realidades del momento. La presente Propuesta al pasar por las factibilidades: Financiera, administrativa, legal, técnica, recursos humanos y política, puede ser considerada factible, por consiguiente su desarrollo e implementación a disposición de la Facultad, Letras y Ciencias de la Educación. Ubicación sectorial y física El Instituto de Post-Grado y Educación Continua se encuentra ubicado en la Facultad de Filosofía, Letras y Ciencias de la Educación de la Universidad de Guayaquil, ubicada en la ciudadela Salvador Allende de la parroquia Tarqui, del cantón Guayaquil. Gráfico 176: Ubicación de la Universidad de Guayaquil. Tomadode:https://maps.google.com/maps?hl=en&ll=-2.181353,- 79.897428&spn=0.010871,0.021136&t=h&om=1&z=16. Por:LSI Jorge Vera Mosquera.
  • 409.
    381 Descripción de lapropuesta La necesidad de una Educación continua en el manejo de las TIC para los Docentes de la Universidad de Guayaquil, enfatiza comprender el amplio universo de la Educación permanente, en la que su visión está orientada a los cambios de la existencia de la humanidad, que son tan grandes y rápidos que exigen desarrollar capacidades de adaptación y orientación. En medio de esto destaca la capacidad del ser humano para aprender, por lo que los avances tecnológicos con su voracidad de desarrollo, constituyen un desafío constante que debe enfrentarse y resolver, dado que cualquier sociedad en el planeta gira en torno a la tecnología, por ende educandos y Educadores. De la Investigación del Proyecto y sus resultados, se obtiene que:  Existen tanto la brecha digital como la pedagógica y/o andragógica.  El método de enseñanza predominante es el tradicional expositivo.  La participación del estudiante no es mayoritariamente activa.  Se observa un porcentaje considerable de carencia de empleo de TIC en el proceso educativo.  Está ausente una visión adecuada del empoderamiento de las TIC en los ambientes educativos, lo que dificulta el conocimiento como a su vez la práctica de las nuevas tendencias educativas, cuya identidad con los estudiantes de ahora es real y de aplicación contemporánea.  Al existir tanto una brecha digital como pedagógica y/o andragógica, pueden ser tratadas con una preparación apropiada y oportuna a los Docentes que no pertenecen a los nativos digitales y/o que han venido teniendo limitaciones por distintas situaciones,
  • 410.
    382 como también elconsiderando de aquellos estudiantes que por condicionamientos ajenos a ellos, necesitan ser atendidos en sus competencias digitales de base.  Al tratarse el manejo de las TIC de un modo transversal en los distintos Curriculums de las Facultades de la Universidad, se contribuye al desarrollo de estudiantes y Docentes de un modo actualizado y adecuado ante las exigencias de la sociedad ecuatoriana y del mundo.  Ante la inminente necesidad de interconectar en el tiempo los distintos estamentos educativos de la Universidad, se necesita tener preparados a Docentes y dicentes para aprovechar en su momento la disponibilidad tecnológica para el mejoramiento de la Educación que se imparte.  La necesidad de Docentes calificados en el manejo de las TIC para su apropiación en los escenarios educativos es innegablemente imperativo. Por tanto, se necesita promover el uso de las TIC para resolver poco a poco los problemas que se derivan de los puntos mencionados anteriormente, pero que a su vez se contemple el desarrollo de las TIC en los distintos escenarios educativos de la Universidad, mediante su uso en los ambientes de aprendizaje que se creen. Este camino se inicia con la creación, implementación, desarrollo y puesta en marcha de una Educación Continua en el manejo de las TIC para los Docentes de la Universidad, debido a que el factor docente es la clave de la transformación educativa, ya que puede equiparse o disponerse de una excelente infraestructura tecnológica y reformar los Curriculums, pero indiscutiblemente es necesario capacitar al Docente para el uso de las TIC en su gestión educativa.
  • 411.
    383 El marco legalque rodea la implementación de las TIC en los procesos educativos de la Universidad, se enmarca en:  El Plan Estratégico de Desarrollo Institucional actual del Consejo Universitario 2008-2015,  La Ley Orgánica de Educación Superior (R.O. 298), y  Declaración y Conferencia Mundial de Educación Superior de 1998 y 2009, respectivamente. En la actualidad existen estándares de Formación en TIC para Docentes como: Marco de competencias TIC para Docentes de la UNESCO, ISTE de EEUU, QTS del Reino Unido, EUROPEAN PEDAGOGICAL ICT, INSA de Colombia, Estándares de AUSTRALIA, red ENLACES de Chile, y otros que van desarrollándose acorde a circunstancias varias de contexto, que son implementados, mejorados e innovados constantemente. Los Consultores Externos consultados para el presente trabajo concuerdan que el estándar UNESCO 2.0 (2011) es el más apropiado de tener en consideración para implementar el Programa de Educación Continua en el Manejo de las TIC para los Docentes de la Universidad de Guayaquil, por su adaptabilidad al contexto de la Universidad y experiencia a nivel mundial. Debe tenerse presente que las labores de un Docente no se limitan a preparar clases, lo que hace en el aula, elaborar pruebas, …; sino que también incorpora la creación y administración de ambientes de aprendizaje en que el estudiante se desenvuelva autónomamente, para lo cual debe prepararse sobremanera en el empleo de estas herramientas que permitan elevar su productividad educativa.
  • 412.
    384 El rol dela Educación Permanente en los actuales tiempos es indiscutible en los profesionales de la Educación Superior, debido a que en un modo constante permite la actualización de competencias, desarrollar habilidades y destrezas que demanda la nueva Era del Conocimiento, flexibiliza contenidos curriculares, métodos, técnicas, permitiendo innovar acorde a las necesidades que se presentan. La socialización de este Programa de Educación Continua en la Manejo de las TIC para Docentes de la Universidad de Guayaquil, debe enmarcarse en los parámetros que para tal efecto la misma entidad tiene establecido para estos casos, teniendo en consideración mecanismos que faciliten el tratamiento de la sensibilización del tema y la transformación en el camino hacia una inclusión que pasa por la personal y profesional en el Docente, de tal modo que sus competencias se creen, desarrollen, experimenten, mejoren e innoven.
  • 413.
    385 Programa de EducaciónContinua en el Manejo de las TIC para los Docentes de la Universidad de Guayaquil en el Instituto de Post- Grado de la Facultad de Filosofía, Letras y Ciencias de la Educación. Presentación El presente trabajo tiene como finalidad elaborar una propuesta de un Programa de Educación Continua en el Manejo de las TIC para los Docentes de la Universidad de Guayaquil. El acelerado ritmo de la evolución tecnológica cultural y mundial, requiere de una asimilación apropiada del uso de la tecnología en la cotidianidad y por ende en la Educación, lo que conlleva a que se tenga que implementar programas de capacitación en el manejo de las TIC para que un centro educativo se convierta constantemente en el empleo tecnológico y a su vez contribuya a sus fines educativos en el mundo de sus educandos. Se llevó a cabo un estudio de una muestra de población y situación actual en la Facultad de Filosofía, Letras y Ciencias de la Educación y en la Universidad de Guayaquil, evidenciándose la factibilidad de la presente propuesta, habiéndose redactado el presente trabajo en la forma de proyecto de investigación. Necesidades educativas Con este plan de estudios se busca atender:  El conocimiento del marco político, normativo y legal del empleo de las TIC en la Educación, y su potencial en los beneficios que la sociedad demandan y requieren en la actualidad.
  • 414.
    386  Atender elempleo de las TIC a nivel docente universitario, induciendo, preparando y potenciando su conocimiento y aplicación.  Los fundamentos teóricos y prácticos del manejo de las TIC en la gestión docente universitaria.  La integración de las TIC en un modo eficaz y pertinente, dentro del contexto de desempeño y práctica docente.  El análisis y resolución de problemas relacionados a la gestión docente con la incorporación de las TIC.  Planificar, ejecutar y evaluar las actividades relacionadas con el proceso enseñanza-aprendizaje u orientación-aprendizaje, con el empleo de las TIC.  Empoderar el empleo de las TIC en el ambiente educativo, para facilitar contenidos y conocimientos, en base a las nuevas tendencias educativas de la Era del Conocimiento.  La participación en la creación, implementación, desarrollo y evaluación de proyectos educativos a nivel de Facultad, Universidad y sociedad en general.  La capacidad investigativa docente para contribuir y producir tecnológicamente en el contexto educativo y las profesiones específicas.  Direccionar el uso transversal de las TIC en los Curriculums de las Facultades de la Universidad.  Aminorar y marcar una tendencia a la baja en las brechas digitales entre Docentes y educandos, tanto a nivel pedagógico/andragógico, así como el empleo didáctico y metodológico de las TIC en el ambiente educativo.
  • 415.
    387 Objetivo General  Capacitara los Docentes de la Universidad de Guayaquil en el manejo personal y profesional de las TIC, para mejorar, actualizar e innovar de un modo continuo, la gestión docente universitaria acorde a las necesidades educativas del presente siglo, con una visión educativa humana, integradora e innovadora. Objetivos Específicos  Despertar una actitud positiva docente en el uso de las TIC en base a las oportunidades y retos para que se relacionen con los diversos contextos educativos de la era actual, para facilitar la adquisición de competencias digitales.  Generar las competencias adecuadas en el Docente que aporten al conocimiento y desarrollo de las destrezas adecuadas, para el empleo de las TIC en el proceso de aprendizaje del educando y en el escenario curricular, con un criterio formativo innovador.  Mejorar las prácticas pedagógicas y/o andragógicas del Docente mediante el empleo de las TIC en su quehacer educativo en base a las competencias personales y profesionales adecuadas, que se fundamenten en los enfoques educativos del presente siglo, para lograr un cambio cultural estratégico en la Educación universitaria.  Inducir al Docente a conocer los programas de aplicación y educativos, así como los equipos necesarios del caso, para que conviva con las herramientas tecnológicas haciendo uso de las mismas en su desempeño profesional acorde a sus necesidades de contexto educativo.
  • 416.
    388 Perfil de ingreso ElDocente en la Universidad de Guayaquil debe:  Estar acreditado en el ejercicio docente  Realizar actividades educativas en cualquier Facultad Perfil de egresado Al concluir el presente programa el Docente deberá:  Explicar los fundamentos teóricos y prácticos que sustentan sus hechos en la práctica docente con el empleo de las TIC.  Planificar, ejecutar y evaluar su proceso enseñanza-aprendizaje u orientación-aprendizaje mediante el uso de las TIC.  Evolucionar en hábitos de estudios que fortalezcan su manejo de las TIC, favoreciendo su Educación permanente en las mismas.  Comprender e interpretar los objetivos de las políticas educativas en la Facultad, Universidad, estatales e internacionales, articulándolas en sus prácticas docentes, así como contribuir a la creación, aplicación, revisión y mejoras de las mismas.  Disponer de conocimientos sólidos en base a los estándares de competencias del PECMTIC-DUG, así como en las asignaturas a cargo, los procedimientos de evaluación y la integración TIC en el Curriculum, sabiendo manejar de forma flexible su organización.  Manejar los momentos de uso de la tecnología en el proceso enseñanza-aprendizaje u orientación-aprendizaje, de modo apropiado, con los conocimientos requeridos del caso.  Disponer de conocimientos robustos del funcionamiento de equipos y programas, así como también de aplicaciones de productividad, internet, comunicaciones y gestión.
  • 417.
    389  Administrar lasactividades de aula mediante el empleo de las TIC, organizando el trabajo de modo individual y de grupo según las necesidades a atender, con un criterio equitativo.  Generar en los estudiantes la creación, implementación, desarrollo y monitoreo de soluciones a problemas, utilizando recursos en TIC a nivel de programas locales, en red y manejo de proyectos cuando las situaciones lo requieran.  Crear ambientes de aprendizaje en TIC, cuyas actividades se centren en el estudiante, administrando flexiblemente y el trabajo en grupo colaborativo y/o cooperativo.  Estructurar contextos de aprendizaje que creen situaciones que permitan aplicar competencias cognitivas de los estudiantes, ayudando a su adquisición, desarrollo y potenciación.  Diseñar y/o trabajar en proyectos colaborativos con otros Docentes u organizaciones, para beneficio mutuo, haciendo uso de redes para disponer de información y conocimiento compartido para su desarrollo profesional, e incentivar, acompañar y colaborar de igual modo a sus estudiantes, direccionando un aprendizaje permanente y reflexivo.  Saber cómo aprende el estudiante de hoy, entendiendo desarrollo de vida y dificultades de aprendizaje, encontrando soluciones para el beneficio del aprendiz.  Ejercer liderazgo con demás colaboradores de profesión, creando e implementando la visión institucional, basándose en la innovación y Educación continua en TIC. Estrategias Se propone como estrategias de intervención centradas en el Docente, las siguientes:
  • 418.
    390  Acción comunicativa-comprensiva,partiendo del diálogo y conversación entre personas se crea una comunicación que facilita el entendimiento que resulta básico y necesario en todo proceso educativo.  Solución de problemas, planteándose conceptualmente un problema considerando una metodología heurística por parte del Facilitador.  Elaborar proyectos, en que el Docente contribuye individualmente para un resultado grupal, o determina un resultado deseado final si el proyecto tuviera que ser personal.  Lluvia de ideas, como reflejo de ideas y/o temas propuestos por Docentes y Facilitadores, de modo que la recopilación contribuye a solucionar un problema.  Estudio de casos, como conjunto de hechos que generan problemas, que requieren una o más soluciones.  Uso de la multimedia, por la diversidad y disponibilidad de medios que al emplearse como recursos, su empleo resulta atrayente y contribuye tanto para Docentes y Facilitadores.  El error didáctico, para encontrar un sentido constructivo entendiéndoselo como un fin que sirve dentro del proceso enseñanza-aprendizaje u orientación-aprendizaje.  Habilidades de aplicación, para convertir la comprensión en aplicación, entrando la visión algorítmica y/o heurística.  Entrenamiento sistemático, para la adquisición de habilidades y destrezas por parte de los Docentes.  Talleres, como espacio para desarrollar habilidades y destrezas, en base a espacios, tiempos y recursos previamente determinados.
  • 419.
    391 Estructura del marcode competencias del Programa de Educación Continua en el Manejo de las TIC para los Docentes de la Universidad de Guayaquil (PECMTIC-DUG). El programa se ha configurado del siguiente modo:  Número de niveles: Cuatro (4): o Inducción – Preparación o Nivel inicial – Alfabetización tecnológica o Nivel intermedio – Profundización de conocimientos o Nivel avanzado – Generación de conocimientos  Cada nivel posee sus respectivos módulos con sus respectivos contenidos de conocimientos, cuyos componentes son: o Comprensión del Uso educativo de las TIC en la Universidad de Guayaquil. o Currículo y evaluación. o Pedagogía/Andragogía. o TIC. o Organización y administración. o Formación profesional docente. Se ha estimado, debido a que es por primera vez, la modalidad presencial en cada uno de sus módulos, considerándose el aprendizaje electrónico en línea como apoyo de estudios, como a su vez de entrenamiento, formación y vivencia, a partir del segundo nivel. Este escenario contribuirá mucho para el desarrollo de foros, ensayos, debates y demás estrategias didácticas que se necesiten registrar, revisar y evaluar, por parte de los Facilitadores. Es de valorar con el paso del tiempo, y como fruto de la experiencia, las modalidades semi-presencial y virtual en función de las
  • 420.
    392 condiciones educativas deescenario que se requieren para las mismas, para posteriores desarrollos del PECMTIC-DUG. Se puede visualizar el programa con sus respectivos niveles y el enfoque de los mismos, bajo una estructura modular, en el cuadro a continuación: Enfoques por nivel del Programa PECMTIC-DUG NIVEL ENFOQUE DIDÁCTICO Inducción y Preparación Compartir conocimientos y experiencias, incentivando la participación docente en el Programa PECMTIC-DUG, apoyando al enseñante en su actitud hacia las TIC, sembrando una estimulante apropiación orientada a una profesionalización no solo individual sino dirigida al servicio educativo en la Universidad, buscando una focalización inicial adecuada. Nivel Inicial Referido a la preparación docente para comprender el uso de las TIC en la Educación, en un sentido alfabetizador para adquirir competencias básicas digitales en Curriculum, Pedagogía/Andragogía y en escenarios de contexto educativo y beneficio profesional. Nivel Intermedio Busca incrementar la capacidad de los Educadores para contribuir a la sociedad en la solución de problemas, aplicando soluciones en situaciones reales de la vida laboral y cotidiana. Nivel Avanzado Con una visión más compleja, sus repercusiones se relacionan con cambios en el Curriculum y demás componentes que se involucran en el sistema educativo, debido a que se va más allá del simple conocimiento de asignaturas, integra además
  • 421.
    393 habilidades y destrezasindispensables en la era actual, que tiene que ver con resolver problemas, trabajo de grupos, expresión creativa y pensamiento crítico. El enseñante traspasa el espacio de aula física y/o virtual, pasando a cooperar en el desarrollo de programas en la Universidad, por lo que el objetivo curricular pasa a ser la habilidad, que a su vez se constituye en nuevo método de evaluación, creándose así nuevos planes de formación, siendo entonces el rol docente, el modelamiento abierto de procesos en los que el estudiante aplica estas habilidades y destrezas, debiendo ayudarle en su adquisición. Cuadro 124 : Enfoques por nivel del Programa PECMTIC-DUG. Fuente: Adaptación de KOZMA, R. (2011) y UNESCO(2011) por parte del investigador. Elaborado por:LSI Jorge Vera Mosquera. El Docente tomará los módulos por nivel, lo que significa que para pasar al siguiente nivel, se deberán haber aprobado todos los módulos del nivel anterior. A continuación se exponen dos imágenes, en cuyo orden indican: 1. los módulos del PECMTIC-DUG en una matriz organizada por NIVEL y COMPONENTE, asignándose un código numérico de dos dígitos para identificación del módulo, donde el primer dígito identifica el COMPONENTE y el segundo al NIVEL. 2. El número de horas que emplea cada uno de los módulos del PECMTIC-DUG.
  • 422.
    394 Gráfico 177: Códigospor módulos del Programa PECMTIC-DUG. Tomadode:https://www.dropbox.com/s/y5cu5d26i8ga45j/PROGRAMA%20CODIFICADO.png. Por:LSI Jorge Vera Mosquera.
  • 423.
    395 Gráfico 178: Códigospor módulos del Programa PECMTIC-DUG. – Carga horaria. Tomado de:https://www.dropbox.com/s/gxqlrw0tk887w17/PROGRAMA%20NUMERO%20DE%20HORAS.png. Por:LSI Jorge Vera Mosquera.
  • 424.
    396 Descripción de módulos Induccióny Preparación – Gestión educativa universitaria apoyada en TIC CÓDIGO 11 NIVEL INDUCCIÓN Y PREPARACIÓN COMPONENTE Marco regulador en la Universidad de Guayaquil MÓDULO Gestión educativa universitaria apoyada en TIC OBJETIVOS CURRICULARES  Fomentar el conocimiento del marco regulatorio del PECMTIC-DUG, para beneficio personal y profesional del Docente  Facilitar al Educador la información que permita conocer el PECMTIC-DUG por medios físicos y digitales INTENCIONES EDUCATIVAS  Crear una visión del sentido permanente de formación docente en la actualidad, identificándose el papel de las TIC en las prácticas educativas de la presente era.  Reconocer los elementos que constituyen el PECMTIC-DUG con las perspectivas del marco legal y contextos educativos actuales en la Universidad de Guayaquil NÚMERO DE ASISTENTES 20 (recomendado) LUGAR Laboratorio de Informática ESTRATEGIAS DE INTERVENCIÓN Acción comunicativa-comprensiva, uso de multimedia, análisis RECURSOS TECNOLÓGICOS: Computador (de preferencia individual), red interna, Internet, contenidos digitalizados y
  • 425.
    397 individual y grupalde información, trabajo colaborativo para obtener productos de aprendizaje, plenaria para generar conclusiones diapositivas del módulo, software y proyector. MATERIALES: Pizarra, marcadores, borrador, hojas en blanco y lápices. HUMANOS: Facilitador, Facilitador Asistente y Participantes. DURACIÓN 2 horas FACILITADOR Y FACILITADOR ASISTENTE Asignados por el Instituto de Post- Grado MODALIDAD Presencial REQUISITOS PREVIOS Docente acreditado por la Universidad de Guayaquil BLOQUES TEMÁTICOS CONTENIDOS TIEMPO Enfoque de la reforma educativa 1 hora ¿Qué es el PECMTIC-DUG? 1 hora Cuadro 125 : Módulo Gestión educativa universitaria apoyada en TIC. Fuente:Criterio del investigador. Elaborado por:LSI Jorge Vera Mosquera. DETALLE DE CONTENIDOS 1. Enfoque de la reforma educativa 1.1. Tendencias globales 1.2. El ámbito del trabajo 1.3. Transición educativa 1.4. Competencias y sistema educativo 1.5. Una reforma educativa profunda 1.5.1. Planes de estudio e incorporación de las TIC 1.5.2. Formación Docente en el Manejo de las TIC
  • 426.
    398 1.5.3. Formación Continuaen TIC de Docentes, estudiantes y profesionales 1.6. La LOES y la Educación aplicando tecnología 2. ¿Qué es el PECMTIC-DUG? 2.1Cómo se define el Programa 2.2 Misión 2.3Visión 2.4Objetivos 2.5Marco Legal 2.5.1 Internacional 2.5.2 Nacional 2.5.3 Universidad de Guayaquil 2.6Proceso de formación 2.7Marco de competencias 2.8Organización modular 2.9Perfil docente a obtener
  • 427.
    399 Inducción y Preparación– Preparación curricular docente apoyada en TIC CÓDIGO 21 NIVEL INDUCCIÓN Y PREPARACIÓN COMPONENTE Currículum y evaluación MÓDULO Preparación curricular docente apoyada en TIC ESTRATEGIA DIDÁCTICA Seminario Taller OBJETIVOS CURRICULARES  Promover la reflexión sobre el concepto y aplicación TIC en el Curriculum y evaluación INTENCIONES EDUCATIVAS  Despertar con argumentos propios el sentido de creatividad e innovación en torno a la realidad situacional del Docente, el cómo emplear las TIC en el Curriculum NÚMERO DE ASISTENTES 20 (recomendado) LUGAR Laboratorio de Informática ESTRATEGIAS DE INTERVENCIÓN Lluvia de ideas, uso de multimedia, estudio de casos, trabajo colaborativo para obtener productos de aprendizaje, plenaria para generar conclusiones RECURSOS TECNOLÓGICOS: Computador (de preferencia individual), red interna, Internet, contenidos digitalizados y diapositivas del módulo, software y proyector. MATERIALES: Pizarra, marcadores, borrador, hojas en blanco y lápices. HUMANOS: Facilitador, Facilitador Asistente y Participantes. DURACIÓN 2 horas FACILITADOR Y FACILITADOR ASISTENTE Asignados por el Instituto de Post- Grado
  • 428.
    400 MODALIDAD Presencial REQUISITOS PREVIOS Docente acreditadopor la Universidad de Guayaquil BLOQUES TEMÁTICOS CONTENIDOS TIEMPO Papel del Docente al integrar las TIC en la Educación 2 horas Cuadro 126 : Módulo Preparación curricular docente apoyada en TIC. Fuente:Criterio del investigador. Elaborado por:LSI Jorge Vera Mosquera. DETALLE DE CONTENIDOS 1. Papel del Docente al integrar las TIC en la Educación 1.1. Nuevo paradigma cultural 1.1.1. Paradigmas en el tiempo 1.1.2. La actualidad requiere 1.2. Cambios de escenarios 1.2.1. Desafíos al integrar las TIC 1.3. Nuevo rol del Docente y del Estudiante 1.4. Cambios metodológicos 1.5. Implicaciones institucionales 1.6. Paradigmas actuales 1.7. Integración TIC curricular 1.7.1. Qué es y qué no es 1.7.2. Niveles de integración 1.7.3. Competencias docentes 1.7.4. TIC como eje transversal 1.7.5. Usos didácticos 1.7.6. Modelos pedagógicos/andragógicos 1.7.7. Necesidad de formación específica 1.7.8. Integrando las TIC en el Curriculum 1.7.9. Herramientas tecnológicas y tendencias 1.8. Evaluación con TIC
  • 429.
    401 Inducción y Preparación– Necesidad de criterios pedagógicos/andragógicos en el empleo de las TIC CÓDIGO 31 NIVEL INDUCCIÓN Y PREPARACIÓN COMPONENTE Pedagogía/Andragogía MÓDULO Necesidad de criterios pedagógicos/andragógicos en el empleo de las TIC ESTRATEGIA DIDÁCTICA Seminario Taller OBJETIVOS CURRICULARES  Argumentar a la práctica docente la mediación pedagógica/andragógica con el empleo de las TIC en un proceso educativo INTENCIONES EDUCATIVAS  Generar inquietudes e interrogantes docentes a responderse a nivel pedagógico/andragógico con el empleo de las TIC en un proceso educativo NÚMERO DE ASISTENTES 20 (recomendado) LUGAR Laboratorio de Informática ESTRATEGIAS DE INTERVENCIÓN Acción comunicativa-comprensiva, uso de multimedia, estudio de casos, trabajo colaborativo para obtener productos de aprendizaje, plenaria para generar conclusiones RECURSOS TECNOLÓGICOS: Computador (de preferencia individual), red interna, Internet, contenidos digitalizados y diapositivas del módulo, software y proyector. MATERIALES: Pizarra, marcadores, borrador, hojas en blanco y lápices. HUMANOS: Facilitador, Facilitador Asistente y Participantes.
  • 430.
    402 DURACIÓN 9 horas FACILITADOR YFACILITADOR ASISTENTE Asignados por el Instituto de Post- Grado MODALIDAD Presencial REQUISITOS PREVIOS Docente acreditado por la Universidad de Guayaquil BLOQUES TEMÁTICOS CONTENIDOS TIEMPO Evolución de las TIC 1 hora Didáctica Informática 2 horas Uso pedagógico/andragógico de las TIC 2 horas Estrategias metodológicas 2 horas Entorno virtual de aprendizaje 2 horas Cuadro 127 : Módulo Necesidad de criterios pedagógicos/andragógicos en elempleo de las TIC. Fuente:Criterio del investigador. Elaborado por:LSI Jorge Vera Mosquera. DETALLE DE CONTENIDOS 1. Evolución de las TIC 1.1. Inicios 1.2. Actualidad e influencia en la era actual 2. Didáctica Informática 2.1. Estrategias de aprendizaje 2.2. Posibilidades didácticas 3. Uso pedagógico/andragógico de las TIC 3.1. Fundamentos pedagógicos/andragógicos para la Aplicación de las TIC en Educación 3.2. El hecho educativo 3.3. El modelo tradicional educativo
  • 431.
    403 3.4. Modelo pedagógico/andragógico 3.5.Modelo educativo apoyado en TIC 3.6. Métodos y técnicas 3.7. Pedagogía informacional 4. Estrategias metodológicas 4.1. Tradicionales 4.2. Apoyadas en TIC 4.3. Estrategia virtual 5. Entorno Virtual de aprendizaje 5.1. Concepto 5.2. Como instrumento de mediación 5.3. Entornos virtuales 5.4. Aula virtual 5.5. Clasificación de herramientas
  • 432.
    404 Inducción y Preparación– Herramientas básicas TIC CÓDIGO 41 NIVEL INDUCCIÓN Y PREPARACIÓN COMPONENTE Manejo de las TIC MÓDULO Herramientas básicas TIC ESTRATEGIA DIDÁCTICA Seminario Taller OBJETIVOS CURRICULARES  Iniciar en el desarrollo de competencias y destrezas en el uso docente de las TIC, como herramientas a emplear cotidianamente en el proceso educativo  Valorar el empleo docente de las TIC para la construcción y generación de conocimientos y contenidos INTENCIONES EDUCATIVAS  Concienciar en el manejo docente de las TIC en la gestión educativa  Visualizar la adaptación al Curriculum de las necesidades de entorno, en base al apoyo de las TIC NÚMERO DE ASISTENTES 20 (recomendado) LUGAR Laboratorio de Informática ESTRATEGIAS DE INTERVENCIÓN Acción comunicativa-comprensiva, uso de multimedia, habilidades de aplicación, entrenamiento sistemático, talleres, solución de problemas, trabajo colaborativo para obtener productos de aprendizaje RECURSOS TECNOLÓGICOS: Computador (de preferencia individual), red interna, Internet, contenidos digitalizados y diapositivas del módulo, software y proyector. MATERIALES: Pizarra, marcadores, borrador, hojas en blanco y lápices. HUMANOS: Facilitador, Facilitador Asistente y Participantes.
  • 433.
    405 DURACIÓN 70 horas FACILITADOR YFACILITADOR ASISTENTE Asignados por el Instituto de Post- Grado MODALIDAD Presencial REQUISITOS PREVIOS Docente acreditado por la Universidad de Guayaquil BLOQUES TEMÁTICOS CONTENIDOS TIEMPO Conociendo el computador 4 horas Sistema Operativo 10 horas Office Básico 44 horas Inicios en Internet 10 horas Seguridad en la información 2 horas Cuadro 128 : Módulo Herramientas básicas TIC. Fuente:Criterio del investigador. Elaborado por:LSI Jorge Vera Mosquera. DETALLE DE CONTENIDOS 1. Conociendo el computador 1.1. Concepto y características 1.2. Hardware y Software 1.2.1. Elementos 1.2.1.1. Dispositivos y tipos 1.2.2. Funcionamiento 1.2.2.1. Ciclo de procesamiento de datos 1.2.3. Características de un computador y evaluación 1.3. Tipos de computadores 1.4. Encendiendo el equipo 1.5. Ergonomía 2. Sistema Operativo 2.1. Concepto, características e importancia
  • 434.
    406 2.2. Versiones 2.3. Secuenciade trabajo al encender un computador 2.4. Modo visual de trabajo 2.4.1. Windows 2.4.2. Linux 2.5. Control y personalización 2.6. Tipos de usuario 2.6.1. Derechos y atributos 2.7. Gestión de archivos 2.7.1. Archivos 2.7.1.1. Concepto, características e importancia 2.7.1.2. Organización de información 2.7.2. Uso del teclado y mouse 2.7.2.1. Estructura 2.7.3. Uso de menús 2.7.4. Edición de archivos con explorador 2.7.5. Identificación de programa que necesita un archivo 2.7.6. Búsqueda de archivos 2.7.7. Compresión de archivos 2.7.8. Transportación de archivos en dispositivos externos 2.8. Instalación y desinstalación de programas 2.9. Manejo de dispositivos comunes 2.10. Virus y antivirus 2.10.1. Programas 2.10.2. Mantenimiento preventivo y correctivo de virus 2.11. Instalación y reconocimiento de dispositivos externos comunes 2.11.1. Celulares 2.11.2. USB 2.11.3. Impresoras 2.12. Salir
  • 435.
    407 2.12.1. De sesión 2.12.2.Bloquear 2.12.3. Reiniciar 2.12.4. Hibernar 2.12.5. Apagar el computador 3. Office Básico 3.1. Iniciando 3.1.1. La Ofimática 3.1.1.1. Concepto, características e importancia 3.1.1.2. Uso en la Educación 3.1.2. Componentes 3.1.3. Versiones por Sistema Operativo 3.1.3.1. Tipos de instalación local 3.1.3.1.1. De pago 3.1.3.1.2. Software libre 3.1.4. Presencia en Internet 3.2. Procesador de palabras Básico 3.2.1. Primeros pasos 3.2.1.1. En qué consiste y cómo funciona 3.2.1.2. Iniciando el Programa 3.2.1.3. Elementos de entorno 3.2.1.4. Uso de menús y herramientas 3.2.1.5. Manejo de un documento 3.2.1.6. Trabajo simultáneo de documentos 3.2.1.7. Administración de documentos 3.2.1.8. Protección de documentos 3.2.1.9. Salir 3.2.2. Edición de texto 3.2.2.1. Inserción, borrar, modificar y seleccionar caracteres 3.2.2.2. Desplazamiento dentro del documento 3.2.2.3. Búsqueda y/o reemplazo
  • 436.
    408 3.2.2.4. Copiar, pegary deshacer 3.2.3. Formato del documento y caracteres 3.2.3.1. Uso de plantillas 3.2.3.2. Formato del carácter 3.2.3.3. Formato de párrafo 3.2.3.4. Diseño de página 3.2.4. Impresión de documentos 3.2.4.1. Total 3.2.4.2. Por páginas 3.2.4.3. Selección de impresora 3.2.4.4. Visualización previa 3.2.5. Aplicaciones prácticas 3.3. Hoja electrónica Básica 3.3.1. Primeros pasos 3.3.1.1. En qué consiste y cómo funciona 3.3.1.2. Iniciando el Programa 3.3.1.3. Elementos de entorno 3.3.1.4. Uso de menús y herramientas 3.3.1.5. Edición en celdas 3.3.1.6. Desplazamiento en la hoja electrónica 3.3.1.7. Salir 3.3.2. Administración de documentos 3.3.2.1. Edición de libros 3.3.2.2. Edición de hojas 3.3.2.3. Protección de libros 3.3.3. Formatos de hoja 3.3.3.1. Uso de plantillas 3.3.3.2. Formato libre 3.3.3.3. Formato de caracteres 3.3.3.4. Formato de celda 3.3.3.4.1. Ubicación
  • 437.
    409 3.3.3.4.2. Por fila 3.3.3.4.3.Por columna 3.3.3.4.4. Por posición 3.3.3.4.5. Protección 3.3.4. Operaciones de edición de datos a nivel de hoja 3.3.4.1. Copiar 3.3.4.2. Mover 3.3.4.3. Manejo de series 3.3.4.4. Inserción, borrado de filas, columnas y celdas 3.3.4.5. Operaciones matemáticas básicas 3.3.4.5.1. Formulación 3.3.4.5.1.1. Celdas absolutas y relativas 3.3.4.5.1.2. Edición en una hoja 3.3.5. Impresión de hoja 3.3.5.1. Total 3.3.5.2. Por rango 3.3.5.3. Selección de impresora 3.3.5.4. Visualización previa 3.3.6. Aplicaciones prácticas 3.4. Presentador de diapositivas Básico 3.4.1. Primeros pasos 3.4.1.1. En qué consiste y cómo funciona 3.4.1.2. Elementos de entorno 3.4.1.3. Uso de menús y herramientas 3.4.1.4. Manejo de una diapositiva 3.4.1.5. Creación de presentaciones 3.4.1.5.1. En blanco 3.4.1.5.2. Por plantilla 3.4.1.6. Encabezado y fondos 3.4.1.7. Salir 3.4.2. Uso de texto, autoformas e imagen
  • 438.
    410 3.4.3. Smart Art,Tablas y gráficos 3.4.4. Cómo preparar una presentación 3.4.5. Aplicaciones prácticas 3.5. Base de datos 3.5.1. Primeros pasos 3.5.1.1. En qué consiste y cómo funciona 3.5.1.2. Iniciando el Programa 3.5.1.3. Elementos de entorno 3.5.1.4. Uso de menús y herramientas 3.5.1.5. Salir 3.5.2. Diseño de base de datos 3.5.2.1. Creación 3.5.2.1.1. Auto 3.5.2.1.2. Manual 3.5.2.2. Diseño intuitivo 3.5.3. Tablas 3.5.3.1. Estructura 3.5.3.2. Pestaña 3.5.3.3. Creación 3.5.3.4. Campos 3.5.3.4.1. Creación 3.5.3.4.2. Tipos y propiedades 3.5.3.5. Descripción 3.5.3.6. Modificar estructura 3.5.4. Datos y registros 3.5.4.1. Ingreso 3.5.4.2. Edición 3.5.5. Desplazamiento entre tuplas 3.5.6. Relación entre tablas 3.5.7. Importación, exportación y vinculación de datos 3.5.8. Ortografía
  • 439.
    411 3.5.9. Trabajar contablas 3.5.10. Importación/exportación de datos 3.5.11. Filtros 3.5.11.1. Buscar 3.5.11.2. Ordenar 3.5.11.3. Filtrar 3.5.12. Consultas 3.5.12.1. ¿En qué consiste? 3.5.12.2. Pestaña 3.5.12.3. Creación 3.5.12.3.1. Auto 3.5.12.3.2. Manual 3.5.12.3.2.1. Vista diseño 3.5.12.4. Encabezados de columnas 3.5.12.5. Tipos 3.5.12.5.1. Simples 3.5.12.5.2. Múltiples 3.5.12.6. Manejo de campos 3.5.12.7. Cálculos 3.5.12.8. expresiones 3.5.12.9. Criterios de búsqueda 3.5.12.10. Uso de parámetros 3.5.12.11. Ejecución 3.5.12.12. Edición 3.5.13. Aplicaciones prácticas 3.6. Correo electrónico 3.6.1. Primeros pasos 3.6.1.1. En qué consiste y cómo funciona 3.6.1.2. Iniciando el Programa 3.6.1.3. Elementos en pantalla 3.6.1.4. Uso de menús y herramientas
  • 440.
    412 3.6.1.5. Uso decarpetas 3.6.1.6. Panel de navegación 3.6.1.7. Configuración de cuentas 3.6.1.8. Salir 3.6.2. Administración de correos electrónicos 3.6.2.1. Enviar y recibir 3.6.2.1.1. Carpetas 3.6.2.1.2. Emails eliminados 3.6.3. Archivos adjuntos 3.6.4. Ortografía 3.6.5. Panel de lectura 3.6.6. Panel de exploración 3.6.7. Bandeja de entrada 3.6.8. Uso de calendario y citas 3.6.9. Gestiones 3.6.9.1. Tareas 3.6.9.2. Contactos 3.6.9.3. Notas 4. Inicios en Internet 4.1. Concepto, características e importancia en la Educación 4.2. Configuración y reconocimiento de conexión a Internet 4.3. Navegadores Web 4.3.1. Instalación, actualización y desinstalación 4.3.2. Elementos de un navegador 4.3.3. Servicios de Internet en un navegador 4.3.4. Partes de una página web 4.3.5. Diferencia entre sitio y página 4.3.6. Uso del menú de un navegador 4.3.7. Búsqueda de información en Internet 4.3.8. Sitios no seguros 4.3.9. Correo electrónico
  • 441.
    413 4.3.9.1. Local 4.3.9.2. VíaWeb 4.3.9.3. Uso 4.3.10. Suscripciones 4.3.10.1. Sitios 4.3.10.2. Modalidades de uso 4.3.11. Manejo de Imágenes 4.3.12. Compras por Internet 4.4. Computación en la nube 4.5. Registro en plataforma educativa en línea de apoyo 4.5.1. Bondades 4.5.2. Soporte a módulos del PECMTIC-DUG 4.5.3. Foros de apoyo en el PECMTIC-DUG 5. Seguridad en la información 5.1. Riesgos y prevención del uso de la información en un computador e Internet 5.2. Confidencialidad 5.2.1. Contraseñas 5.2.1.1. Uso 5.2.1.2. Consejos para crear 5.2.1.3. Software de creación 5.2.2. Creación de copias de seguridad 5.2.2.1. En equipo 5.2.2.2. Dispositivos externos 5.2.2.3. Internet 5.3. Software 5.3.1. Comprensión de implicación de instalar software ilegal 5.3.2. Importancia de actualizar antivirus instalado 5.3.3. Uso de firewall 5.3.4. Uso de spyware 5.3.5. Aplicaciones para prevenir amenazas , aplicación práctica
  • 442.
    414 Inducción y Preparación– Planificación docente con apoyo TIC CÓDIGO 51 NIVEL INDUCCIÓN Y PREPARACIÓN COMPONENTE Organización y administración MÓDULO Planificación docente con apoyo TIC ESTRATEGIA DIDÁCTICA Seminario Taller OBJETIVOS CURRICULARES  Fomentar la integración de las TIC en la planificación educativa docente, focalizando el contexto y realidad situacional INTENCIONES EDUCATIVAS  Sensibilizar el inicio de una cultura en el empleo de las TIC en la planificación de la gestión docente, para articular su utilidad en beneficio del proceso educativo NÚMERO DE ASISTENTES 20 (recomendado) LUGAR Laboratorio de Informática ESTRATEGIAS DE INTERVENCIÓN Taller, lluvia de ideas, uso de multimedia, trabajo colaborativo para obtener productos de aprendizaje, estudio de casos RECURSOS TECNOLÓGICOS: Computador (de preferencia individual), red interna, Internet, contenidos digitalizados y diapositivas del módulo, software y proyector. MATERIALES: Pizarra, marcadores, borrador, hojas en blanco y lápices. HUMANOS: Facilitador, Facilitador Asistente y Participantes.
  • 443.
    415 DURACIÓN 2 horas FACILITADOR YFACILITADOR ASISTENTE Asignados por el Instituto de Post- Grado MODALIDAD Presencial REQUISITOS PREVIOS Docente acreditado por la Universidad de Guayaquil BLOQUES TEMÁTICOS CONTENIDOS TIEMPO Conocimientos TIC de Docentes y estudiantes 1 hora Modelo TPACK 1 hora Cuadro 129 : Módulo Planificación docente con apoyo TIC. Fuente:Criterio del investigador. Elaborado por:LSI Jorge Vera Mosquera. DETALLE DE CONTENIDOS 1. Conocimientos TIC de Docentes y estudiantes 1.1. Identificación y expectativas 1.1.1. Influencia de contexto 1.1.2. Búsqueda de estandarización 1.2. Propiciar entorno TIC de aprendizaje 1.2.1. Proceso educativo centrado en el estudiante 1.3. Capacitación del Docente en apoyo al educando en el uso de la tecnología. 1.4. Entornos tradicionales y nuevos 1.4.1. Incorporación de nuevas estrategias 1.4.2. Modelos estratégicos para incorporar las TIC 1.4.3. Modelo 1 a 1 1.4.3.1. Concepto 1.4.3.2. Trabajo en el aula 1.4.3.2.1. Modos de trabajo
  • 444.
    416 2. Modelo TPACK 2.1.Concepto, características e importancia 2.2. Implementación 2.2.1. Objetivos de aprendizaje 2.2.2. Definir experiencias 2.2.3. Secuenciar actividades 2.2.4. Definir estrategias de evaluación 2.2.5. Seleccionar tecnologías para desarrollar las actividades
  • 445.
    417 Inducción y Preparación– Docente siglo 21 CÓDIGO 61 NIVEL INDUCCIÓN Y PREPARACIÓN COMPONENTE Formación Profesional Docente MÓDULO Docente siglo 21 ESTRATEGIA DIDÁCTICA Seminario Taller OBJETIVOS CURRICULARES  Fomentar en el Docente el análisis de los fundamentos del empleo de las TIC en Educación, para su comprensión, apropiación y emprendimiento de experiencias desde un punto crítico INTENCIONES EDUCATIVAS  Comprender el potencial de desarrollo de competencias docentes y de educandos en el desempeño profesional que la sociedad actual y futura demanda NÚMERO DE ASISTENTES 20 (recomendado) LUGAR Laboratorio de Informática ESTRATEGIAS DE INTERVENCIÓN Acción comunicativa-comprensiva, lluvia de ideas, uso de multimedia, taller, trabajo colaborativo para obtener productos de aprendizaje, plenaria para generar conclusiones RECURSOS TECNOLÓGICOS: Computador (de preferencia individual), red interna, Internet, contenidos digitalizados y diapositivas del módulo, software y proyector. MATERIALES: Pizarra, marcadores, borrador, hojas en blanco y lápices. HUMANOS: Facilitador, Facilitador Asistente y Participantes.
  • 446.
    418 DURACIÓN 4 horas FACILITADOR YFACILITADOR ASISTENTE Asignados por el Instituto de Post- Grado MODALIDAD Presencial REQUISITOS PREVIOS Docente acreditado por la Universidad de Guayaquil BLOQUES TEMÁTICOS CONTENIDOS TIEMPO Educación actual 1 hora Tecnología Educativa 2 horas Perfil actual 1 hora Cuadro 130 : Módulo Docente siglo 21. Fuente:Criterio del investigador. Elaborado por:LSI Jorge Vera Mosquera. DETALLE DE CONTENIDOS 1. Educación actual 1.1. Sociedad del Conocimiento 1.2. Aporte de la UNESCO 1.3. Ser emprendedores 1.4. Edgar Morín y los siete saberes 1.5. Didáctica, práctica y transformación 2. Tecnología Educativa 2.1. Prácticas actuales 2.2. Calidad educativa y tecnología 2.3. La Internet 2.3.1. Concepto, características y servicios 2.3.2. Impacto en la Educación 2.3.3. Servicios y herramientas para uso docente 2.3.3.1. Sitios educativos 2.3.3.2. Herramientas en línea
  • 447.
    419 2.3.3.2.1. Administración decontenidos 2.3.3.2.2. Administración de aprendizaje 2.3.3.2.3. Otras herramientas en línea educativas 2.3.3.3. Redes sociales 2.4. Software de producción 2.5. Software para elaborar material didáctico 2.6. Cultural digital educativa 2.6.1. Herramientas locales y en línea para emplear en aula 2.6.2. Proyectos educativos 3. Perfil actual 3.1. Docencia y Docente 3.2. Capacidades y competencias frente a la formación profesional 3.3. Desempeño docente 3.4. Dimensiones del desarrollo profesional 3.5. Alfabetización digital docente y mejora profesional
  • 448.
    420 Nivel Inicial –Conocimiento sobre políticas CÓDIGO 12 NIVEL INICIAL COMPONENTE Marco regulador en la Universidad de Guayaquil MÓDULO Conocimiento sobre políticas OBJETIVOS CURRICULARES  Establecer vínculos directos entre la política educativa de la Universidad y las prácticas de aula. COMPETENCIAS DOCENTES  Comprender las políticas educativas de la Universidad y especificar cómo las prácticas de aula las atienden NÚMERO DE ASISTENTES 20 (recomendado) LUGAR Laboratorio de Informática ESTRATEGIAS DE INTERVENCIÓN Acción comunicativa-comprensiva, uso de multimedia, análisis individual y grupal de información, trabajo colaborativo para obtener productos de aprendizaje, plenaria para generar conclusiones RECURSOS TECNOLÓGICOS: Computador (de preferencia individual), red interna, Internet, contenidos digitalizados y diapositivas del módulo, software y proyector. MATERIALES: Pizarra, marcadores, borrador, hojas en blanco y lápices. HUMANOS: Facilitador, Facilitador Asistente y Participantes. DURACIÓN 2 horas FACILITADOR Y FACILITADOR ASISTENTE Asignados por el Instituto de Post- Grado
  • 449.
    421 MODALIDAD Presencial REQUISITOS PREVIOS Haber aprobadoel nivel de Inducción y Preparación BLOQUES TEMÁTICOS CONTENIDOS TIEMPO Estatuto Orgánico de la Universidad de Guayaquil 0,5 hora Articulación política y aula 1,5 hora Cuadro 131 : Módulo Conocimiento sobre políticas. Fuente:Criterio del investigador. Elaborado por:LSI Jorge Vera Mosquera. DETALLE DE CONTENIDOS 1. Estatuto Orgánico de la Universidad de Guayaquil 1.1. Misión 1.2. Visión 1.3. Fines 1.4. Tipología 1.5. Políticas y estrategias 2. Articulación política y aula 2.1. Principios orientadores desde el marco político nacional y universitario 2.2. Líneas estratégicas sugeridas 2.2.1. Incorporación de TIC en contenidos curriculares 2.2.2. Producción de contenidos 2.2.3. Producción de programas 2.2.4. Uso educativo de las TIC 2.2.5. Formación Profesional Docente 2.2.6. Uso de redes 2.2.7. Gestión educativa docente 2.2.8. Sistemas de información en la Universidad 2.2.9. Articulación Universidad y sociedad
  • 450.
    422 Nivel Inicial –Conocimientos básicos CÓDIGO 22 NIVEL INICIAL COMPONENTE Currículo y evaluación MÓDULO Conocimientos básicos OBJETIVOS CURRICULARES  Comprender las habilidades y competencias básicas en TIC necesarias para incluir en el Curriculum  Disponer el tiempo suficiente en las unidades curriculares o núcleos temáticos en la asignatura a cargo como en aquellas que se relacionen, para incorporar el recurso TIC pertinente y la herramienta de productividad del caso COMPETENCIAS DOCENTES  Conocer los estándares del plan de estudios de sus asignaturas y los procedimientos de evaluación para su planificación  Integrar el uso de las TIC por los estudiantes en los estándares del plan de estudios para su aplicación y beneficio educativos NÚMERO DE ASISTENTES 20 (recomendado) LUGAR Laboratorio de Informática ESTRATEGIAS DE INTERVENCIÓN Lluvia de ideas, uso de multimedia, estudio de casos, trabajo colaborativo para obtener productos de aprendizaje, plenaria para generar conclusiones RECURSOS TECNOLÓGICOS: Computador (de preferencia individual), red interna, Internet, contenidos digitalizados y diapositivas del módulo, software y proyector. MATERIALES: Pizarra, marcadores, borrador, hojas en blanco y lápices. HUMANOS: Facilitador, Facilitador Asistente y Participantes.
  • 451.
    423 DURACIÓN 4 horas FACILITADOR YFACILITADOR ASISTENTE Asignados por el Instituto de Post- Grado MODALIDAD Presencial REQUISITOS PREVIOS Haber aprobado el nivel de Inducción y Preparación BLOQUES TEMÁTICOS CONTENIDOS TIEMPO Habilidad y competencia TIC 0,5 horas Herramientas TIC 1 hora Marco de aplicación, aprendizajes y competencias 1 hora Plan de estudios y TIC 1,5 horas Cuadro 132 : Módulo Conocimientos básicos. Fuente:Criterio del investigador. Elaborado por:LSI Jorge Vera Mosquera. DETALLE DE CONTENIDOS 1. Habilidad y competencia TIC 1.1. Conceptos 1.2. Diferencias 1.3. En el siglo 21 2. Herramientas TIC 2.1. Concepto, características y tipos 2.2. Cómo relacionar TIC, Curriculum y herramienta 3. Marco de aplicación, aprendizajes y competencias 3.1. Ámbitos referenciales 3.2. Estilos de aprendizaje 3.3. Medición de aprendizajes 3.4. Medición de competencias
  • 452.
    424 4. Plan deestudios y TIC 4.1. Asignatura y contenidos 4.2. Contenido en base a TIC 4.3. Evaluar conocimiento en base a TIC
  • 453.
    425 Nivel Inicial –Integración de la tecnología CÓDIGO 32 NIVEL INICIAL COMPONENTE Pedagogía/Andragogía MÓDULO Integración de la tecnología OBJETIVOS CURRICULARES  Integrar las TIC como parte de las actividades de apoyo al proceso enseñanza- aprendizaje u orientación- aprendizaje en el aula, tanto a nivel individual como de grupo COMPETENCIAS DOCENTES  Saber dónde, cuándo y cómo utilizar la tecnología digital (TIC) en actividades efectuadas en el aula NÚMERO DE ASISTENTES 20 (recomendado) LUGAR Laboratorio de Informática ESTRATEGIAS DE INTERVENCIÓN Acción comunicativa-comprensiva, uso de multimedia, estudio de casos, trabajo colaborativo para obtener productos de aprendizaje, plenaria para generar conclusiones RECURSOS TECNOLÓGICOS: Computador (de preferencia individual), red interna, Internet, contenidos digitalizados y diapositivas del módulo, software y proyector. MATERIALES: Pizarra, marcadores, borrador, hojas en blanco y lápices. HUMANOS: Facilitador, Facilitador Asistente y Participantes. DURACIÓN 10 horas FACILITADOR Y FACILITADOR ASISTENTE Asignados por el Instituto de Post- Grado
  • 454.
    426 MODALIDAD Presencial REQUISITOS PREVIOS Haber aprobadoel nivel de Inducción y Preparación BLOQUES TEMÁTICOS CONTENIDOS TIEMPO Perspectivas educativas 2 horas Modos de integración en la clase con equipos y programas 4 horas Modelos de integración y planificación 4 horas Cuadro 133 : Módulo Integración de la tecnología. Fuente:Criterio del investigador. Elaborado por:LSI Jorge Vera Mosquera. DETALLE DE CONTENIDOS 1. Perspectivas educativas 1.1. Influencia de la tecnología 1.2. Qué es y qué no la integración de las TIC 1.3. Cuándo existe integración TIC 1.4. Barreras para la integración TIC 1.5. Cambios de paradigmas 1.6. Metodologías y estrategias didácticas 2. Modos de integración en la clase con equipos y programas 2.1. Modelo TPACK 2.2. Actividades, proyectos y tareas a nivel individual y de grupo 3. Modelos de integración y planificación 3.1. MITICA
  • 455.
    427 Nivel Inicial –Herramientas básicas CÓDIGO 42 NIVEL INICIAL COMPONENTE Manejo de las TIC MÓDULO Herramientas básicas de apoyo OBJETIVOS CURRICULARES  Usar computadores y programas de productividad, entrenamiento, práctica, tutoriales y contenidos, y uso de redes con fines de gestión docente COMPETENCIAS DOCENTES  Conocer y aplicar el funcionamiento básico de equipos, dispositivos y programas, software de productividad, internet, comunicaciones y aplicaciones de gestión para el desempeño docente NÚMERO DE ASISTENTES 20 (recomendado) LUGAR Laboratorio de Informática ESTRATEGIAS DE INTERVENCIÓN Acción comunicativa-comprensiva, uso de multimedia, habilidades de aplicación, entrenamiento sistemático, talleres, solución de problemas, trabajo colaborativo para obtener productos de aprendizaje RECURSOS TECNOLÓGICOS: Computador (de preferencia individual), red interna, Internet, contenidos digitalizados y diapositivas del módulo, software y proyector. MATERIALES: Pizarra, marcadores, borrador, hojas en blanco y lápices. HUMANOS: Facilitador, Facilitador Asistente y Participantes. DURACIÓN 110 horas FACILITADOR Y FACILITADOR ASISTENTE Asignados por el Instituto de Post- Grado
  • 456.
    428 MODALIDAD Presencial REQUISITOS PREVIOS Haber aprobadoel nivel de Inducción y Preparación BLOQUES TEMÁTICOS CONTENIDOS TIEMPO Conocimientos básicos en redes 2 horas Máquina virtual 2 horas Office Intermedio 80 horas Editor gráfico 10 horas Editor de video 10 horas Editor de audio 6 horas Publicación Web 10 horas Cuadro 134 : Módulo Herramientas básicas de apoyo. Fuente:Criterio del investigador. Elaborado por:LSI Jorge Vera Mosquera. DETALLE DE CONTENIDOS 1. Conocimientos básicos en redes 1.1. Qué es una red informática 1.2. Cómo funciona una red 1.3. Tipos de redes 1.4. Topología 1.4.1. Concepto 1.4.2. Tipos 1.5. Ambiente cliente/servidor 1.6. Internet, protocolos y servicios 1.7. Laboratorio informático educativo 2. Máquina virtual 2.1. Concepto, características e importancia 2.2. Instalación 2.2.1. Versiones
  • 457.
    429 2.2.1.1. De pago 2.2.1.2.Gratuitas 2.3. Aplicación con VirtualBox 2.3.1. Instalando un Sistema Operativo 2.3.2. Instalando un software 2.3.3. Mostrar acceso a Internet 3. Office Intermedio 3.1. Procesador de palabras 3.1.1. Personalizar las opciones de Word 3.1.2. Ortografía y gramática 3.1.3. Contador de palabras 3.1.4. Configuración del documento y de página 3.1.4.1. Editar plantillas de documentos 3.1.4.2. Gestión de estilos 3.1.4.3. Encabezados y pies de páginas 3.1.4.4. Gestión de tablas de contenido 3.1.4.5. Notas de pie de página 3.1.4.6. Gestión de índices 3.1.4.7. Manejo de referencias cruzadas y de citas 3.1.4.8. Manejo de comentarios 3.1.4.9. Saltos y secciones del documento 3.1.4.10. Numeración de páginas 3.1.5. Manejo de listas, tablas y gráficos 3.1.6. Viñetas y numeración 3.1.7. Aplicaciones prácticas 3.2. Hoja electrónica 3.2.1. Uso de plantillas 3.2.2. Filtro de datos 3.2.3. Validación de datos 3.2.4. Generación de gráficos 3.2.5. Funciones
  • 458.
    430 3.2.5.1. Tipos 3.2.6. Basede datos 3.2.6.1. Creación 3.2.6.2. Manipulación 3.2.6.3. Funciones 3.2.7. Importación/exportación de datos 3.2.8. Tablas dinámicas y análisis de datos 3.2.9. Formularios 3.2.9.1. Diseño 3.2.9.2. Creación 3.2.9.3. Controles 3.2.10. Aplicaciones prácticas 3.3. Presentador 3.3.1. Grabado automático de la presentación 3.3.2. Estructurando la presentación 3.3.2.1. Patrón de diapositivas 3.3.2.2. Patrón de notas 3.3.2.3. Personalizando colores 3.3.3. Manejo de objetos 3.3.4. Manejo de multimedia 3.3.5. Uso de enlaces y botones 3.3.6. Uso de SmartArt 3.3.7. Animación y transiciones 3.3.8. Temporización de presentación 3.3.9. Diseño de presentación portátil 3.3.10. Convertir a video la presentación 3.3.11. Exportar/importar la presentación 3.3.12. La presentación en Internet 3.3.13. Imprimir presentación 3.3.14. Aplicaciones prácticas 3.4. Base de datos
  • 459.
    431 3.4.1. Formularios 3.4.1.1. ¿Enqué consiste? 3.4.1.2. Pestaña 3.4.1.3. Creación 3.4.1.3.1. Auto 3.4.1.3.2. Manual 3.4.1.4. Edición de datos 3.4.1.5. Desplazamiento 3.4.1.6. Vista diseño 3.4.1.7. Temas 3.4.1.8. Tipos 3.4.1.9. Controles 3.4.1.10. Sub-Formularios 3.4.1.11. Trabajar con controles 3.4.2. Informes 3.4.2.1. ¿En qué consiste? 3.4.2.2. Pestaña 3.4.2.3. Creación 3.4.2.3.1. Auto 3.4.2.3.2. Manual 3.4.2.4. Tipos 3.4.2.5. Subinformes 3.4.2.6. Controles 3.4.2.7. Agrupar y ordenar 3.4.2.8. Vista preliminar 3.4.2.9. Impresión 3.4.3. Consultas 3.4.3.1. Por tipo 3.4.4. Manejo de filtros y condiciones 3.4.5. Controles de formulario e informe 3.4.5.1. Tipos
  • 460.
    432 3.4.6. Macros 3.4.6.1. Introducción 3.4.6.2.Creación 3.4.6.3. Flujo de programa 3.4.6.4. Acciones y tipos 3.4.7. Importar/exportar datos 3.4.8. Aplicaciones prácticas 4. Editor gráfico 4.1. Concepto, características e importancia 4.2. Software libre y de pago 4.2.1. Gimp 4.2.1.1. La imagen digital 4.2.1.2. Formatos de imágenes 4.2.1.3. Buscando imágenes 4.2.1.4. Herramientas 4.2.1.4.1. De selección 4.2.1.4.2. Transformación 4.2.1.4.3. De pintar 4.2.1.4.4. Texto 4.2.1.4.5. Ajustes 4.2.1.5. Capas y texto 4.2.1.6. Máscaras y selecciones 4.2.1.7. Colores 4.2.1.8. Filtros 4.2.1.9. Script-Fu 4.2.1.10. Rutas y complementos 4.2.2. Aplicación práctica 5. Editor de video 5.1. Concepto, características e importancia 5.2. Software de pago y libre 5.3. Windows Movie Maker
  • 461.
    433 5.3.1. Organizando elmaterial en la computadora 5.3.1.1. Carpetas 5.3.1.2. Importación de archivos 5.3.2. Captura de video 5.3.3. Creando el proyecto 5.3.4. Zonas de trabajo 5.3.4.1. Manejo 5.3.5. Efectos 5.3.6. Línea de tiempo 5.3.7. Transiciones 5.3.8. Rótulos 5.3.9. Color 5.3.10. Sonido 5.3.11. Grabación de video 5.3.12. Aplicación práctica 5.4. Camtasia 5.4.1. Planificación inicial 5.4.2. Elementos de la pantalla 5.4.3. Cómo capturar video 5.4.4. Trabajando con el editor 5.4.5. Línea de tiempo 5.4.6. Foco y zoom 5.4.7. Animación 5.4.8. Producción y publicación 5.4.8.1. Detalles 5.4.9. Aplicación práctica 6. Editor de Audio 6.1. Concepto, características e importancia 6.2. Software de pago y libre 6.3. Audacity 6.3.1. ¿Qué se puede hacer?
  • 462.
    434 6.3.2. ¿Cómo trabaja? 6.3.3.Grabando 6.3.4. Importar/exportar archivos 6.3.5. Edición 6.3.6. Efectos 6.3.7. Calidad de sonido 6.3.8. Complementos 6.4. Aplicaciones prácticas 7. Publicación Web 7.1. Qué es 7.2. Para publicar un sitio web se necesita 7.2.1. Requisitos 7.2.2. Sitios para publicar Web 7.2.2.1. Gratuitos 7.2.2.2. De pago 7.2.3. Aplicaciones FTP 7.2.3.1. Locales 7.2.3.2. En línea 7.3. Estructura Web 7.3.1. Sitio, página y elementos 7.3.2. Sitio Web para asignatura 7.3.2.1. Dominio y subdominio 7.3.2.2. Conocimientos y herramientas web complementarios 7.3.2.2.1. Contadores 7.3.2.2.2. Formularios 7.3.2.2.3. Restricciones 7.3.2.2.4. Bases en HTML 7.3.2.2.5. Plug-Ins 7.3.2.2.6. Herramientas auxiliares web en línea 7.3.2.3. Aplicación práctica
  • 463.
    435 Nivel Inicial –Aula tradicional CÓDIGO 52 NIVEL INICIAL COMPONENTE Organización y administración MÓDULO Aula tradicional OBJETIVOS CURRICULARES  Organizar los recursos tecnológicos disponibles en el aula y/o laboratorio en función de su espacio COMPETENCIAS DOCENTES  Utilizar las TIC en clase con todos los estudiantes, organizándolos en pequeños grupos y de manera individual, garantizando el acceso equitativo al uso de las TIC para beneficio educativo de los mismos NÚMERO DE ASISTENTES 20 (recomendado) LUGAR Laboratorio de Informática ESTRATEGIAS DE INTERVENCIÓN Taller, lluvia de ideas, uso de multimedia, trabajo colaborativo para obtener productos de aprendizaje, estudio de casos RECURSOS TECNOLÓGICOS: Computador (de preferencia individual), red interna, Internet, contenidos digitalizados y diapositivas del módulo, software y proyector. MATERIALES: Pizarra, marcadores, borrador, hojas en blanco y lápices. HUMANOS: Facilitador, Facilitador Asistente y Participantes.
  • 464.
    436 DURACIÓN 3 horas FACILITADOR YFACILITADOR ASISTENTE Asignados por el Instituto de Post- Grado MODALIDAD Presencial REQUISITOS PREVIOS Haber aprobado el nivel de Inducción y Preparación BLOQUES TEMÁTICOS CONTENIDOS TIEMPO El aula tradicional 0,5 hora Modelo constructivista 0,5 hora Dificultades para implementar las TIC 2 horas Cuadro 135 : Módulo Organización y administración. Fuente:Criterio del investigador. Elaborado por:LSI Jorge Vera Mosquera. DETALLE DE CONTENIDOS 1. El aula tradicional 1.1. Características 1.2. Modelo de transmisión 2. Modelo constructivista 2.1. Características 2.2. Revisión de teorías 3. Dificultades para implementar las TIC 3.1. Puntos referenciales de dificultad 3.2. El aprendizaje informal 3.2.1. Conectivismo 3.2.2. Ambiente personal de aprendizaje 3.2.2.1. Ambiente de aprendizaje social 3.2.3. Sistemas administradores de aprendizaje
  • 465.
    437 3.3. Actividades quenecesitan de las TIC 3.4. La escuela digital 3.5. El ambiente de aprendizaje 3.5.1. Características 3.5.2. La participación estudiantil 3.5.2.1. Aporte individual 3.5.2.2. Aprendizaje colaborativo y cooperativo 3.5.3. Rol del Docente 3.5.3.1. Nueva definición 3.5.3.2. TIC como aliado 3.5.4. Organización del aula 3.5.4.1. No perder el sentido pedagógico/andragógico 3.5.4.2. Espacial 3.5.4.2.1. Tradicional 3.5.4.2.2. Activa 3.5.4.3. Interactiva 3.5.4.4. Integrar la práctica tradicional con la digital 3.5.4.5. Objetivos transversales 3.5.4.6. Potenciar al estudiante del siglo 21 3.5.4.7. Enseñando a navegar en Internet 3.5.5. Evaluación
  • 466.
    438 Nivel Inicial –Alfabetización digital CÓDIGO 62 NIVEL INICIAL COMPONENTE Formación profesional docente MÓDULO Alfabetización digital OBJETIVOS CURRICULARES  Fomentar el desarrollo de la alfabetización digital y la utilización de las TIC para el mejoramiento profesional COMPETENCIAS DOCENTES  Hacer uso de las TIC para la adquisición de conocimientos complementarios sobre sus asignaturas, que contribuya a su desarrollo profesional NÚMERO DE ASISTENTES 20 (recomendado) LUGAR Laboratorio de Informática ESTRATEGIAS DE INTERVENCIÓN Acción comunicativa-comprensiva, lluvia de ideas, uso de multimedia, taller, trabajo colaborativo para obtener productos de aprendizaje, plenaria para generar conclusiones RECURSOS TECNOLÓGICOS: Computador (de preferencia individual), red interna, Internet, contenidos digitalizados y diapositivas del módulo, software y proyector. MATERIALES: Pizarra, marcadores, borrador, hojas en blanco y lápices. HUMANOS: Facilitador, Facilitador Asistente y Participantes. DURACIÓN 2 horas FACILITADOR Y FACILITADOR ASISTENTE Asignados por el Instituto de Post- Grado
  • 467.
    439 MODALIDAD Presencial REQUISITOS PREVIOS Haber aprobadoel nivel de Inducción y Preparación BLOQUES TEMÁTICOS CONTENIDOS TIEMPO ¿Qué es la Alfabetización Digital? 2 horas Cuadro 136 : Módulo Alfabetización digital. Fuente:Criterio del investigador. Elaborado por:LSI Jorge Vera Mosquera. DETALLE DE CONTENIDOS 1. ¿Qué es la Alfabetización Digital? 1.1. Concepto, características e importancia 1.2. Razones pedagógicas y andragógicas 1.3. Brecha digital 1.4. La alfabetización múltiple 1.5. Necesidad en el proceso enseñanza-aprendizaje 1.5.1. Razones 1.5.2. Contexto educativo y gestión del Docente 1.5.3. Apropiación crítica en el Curriculum 1.6. Competencias docentes en el manejo de las TIC 1.7. Niveles 1.8. Aplicaciones de programas y equipos 1.8.1. A nivel local 1.8.2. A nivel de red
  • 468.
    440 Nivel Intermedio –Conocimiento de las políticas CÓDIGO 13 NIVEL INTERMEDIO COMPONENTE Marco regulador en la Universidad de Guayaquil MÓDULO Conocimiento de las políticas OBJETIVOS CURRICULARES  Entender políticas para planificar implementando políticas de la Universidad con enfoque nacional y orientado a problemas de alta prioridad COMPETENCIAS DOCENTES  Conocer con profundidad las políticas educativas de la Universidad con enfoque nacional y las prioridades sociales, para atender y orientar acciones de aula  Definir, modificar y aplicar prácticas pedagógicas y/o andragógicas que respalden dichas políticas para el beneficio de los educandos NÚMERO DE ASISTENTES 20 (recomendado) LUGAR Laboratorio de Informática ESTRATEGIAS DE INTERVENCIÓN Acción comunicativa-comprensiva, uso de multimedia, trabajo colaborativo para obtener productos de aprendizaje, elaborar proyectos RECURSOS TECNOLÓGICOS: Computador (de preferencia individual), red interna, Internet, contenidos digitalizados y diapositivas del módulo, software y proyector. MATERIALES: Pizarra, marcadores, borrador, hojas en blanco y lápices. HUMANOS: Facilitador, Facilitador Asistente y Participantes.
  • 469.
    441 DURACIÓN 4 horas FACILITADOR YFACILITADOR ASISTENTE Asignados por el Instituto de Post- Grado MODALIDAD Presencial REQUISITOS PREVIOS Haber aprobado el nivel Inicial BLOQUES TEMÁTICOS CONTENIDOS TIEMPO Actualidad nacional y problemas sociales 1 hora Prácticas educativas que contribuyan a la solución 3 horas Cuadro 137 : Módulo Conocimiento de las políticas. Fuente:Criterio del investigador. Elaborado por:LSI Jorge Vera Mosquera. DETALLE DE CONTENIDOS 1. Actualidad nacional y problemas sociales 1.1. Diagnóstico 1.2. La Universidad ante la problemática 1.2.1. Proyectos, programas de atención 2. Prácticas educativas que contribuyan a la solución 2.1. Diseño de unidades curriculares y/o núcleos temáticos 2.2. Proyectos educativos
  • 470.
    442 Nivel Intermedio –Aplicación del Conocimiento CÓDIGO 23 NIVEL INTERMEDIO COMPONENTE Currículo y evaluación MÓDULO Aplicación del Conocimiento OBJETIVOS CURRICULARES  Aplicar cambios en el currículum enfatizando la profundidad del contenido para incrementar la fortaleza de conocimientos  Evaluar centrándose en la evaluación de lo comprendido en problemas de la realidad, para solucionar problemas complejos  Integrar la evaluación permanentemente en las actividades regulares del proceso educativo para fortalecer los conocimientos COMPETENCIAS DOCENTES  Conocer con profundidad su asignatura y aplicarla de manera flexible en diversas situaciones  Plantear problemas complejos para medir el grado de comprensión de los estudiantes NÚMERO DE ASISTENTES 20 (recomendado) LUGAR Laboratorio de Informática ESTRATEGIAS DE INTERVENCIÓN Lluvia de ideas, uso de multimedia, estudio de casos, trabajo colaborativo para obtener productos de aprendizaje, plenaria para generar conclusiones RECURSOS TECNOLÓGICOS: Computador (de preferencia individual), red interna, Internet, contenidos digitalizados y diapositivas del módulo, software y proyector. MATERIALES: Pizarra, marcadores, borrador, hojas en blanco y lápices. HUMANOS: Facilitador, Facilitador Asistente y Participantes.
  • 471.
    443 DURACIÓN 5 horas FACILITADOR YFACILITADOR ASISTENTE Asignados por el Instituto de Post- Grado MODALIDAD Presencial REQUISITOS PREVIOS Haber aprobado el nivel Inicial BLOQUES TEMÁTICOS CONTENIDOS TIEMPO La Sociedad del Conocimiento 1 hora Curriculum Bi-Modal 1 hora Informática Educativa en las áreas del conocimiento 3 horas Cuadro 138 : Módulo Aplicación delConocimiento. Fuente:Criterio del investigador. Elaborado por:LSI Jorge Vera Mosquera. DETALLE DE CONTENIDOS 1. La Sociedad del Conocimiento 1.1. Concepto, características, importancia 1.2. Las TIC y el conocimiento 1.2.1. Gestión 1.2.2. Y la Educación 1.2.2.1. Nuevos planteamientos educativos 2. Curriculum Bi-Modal 2.1. Aporte Pere Marqués 2.1.1. Saber hacer 2.1.2. Memorizar 2.1.3. Principios 2.1.4. Nueva cultura 2.1.5. La Educación integral 3. Informática Educativa en las áreas del conocimiento 3.1. Saberes según la UNESCO
  • 472.
    444 3.2. Intervención dela Informática Educativa 3.2.1. Integrando TIC al Curriculum 3.2.1.1. Experimentando con TIC 3.2.1.2. Teorías educativas al aplicar TIC 3.2.1.3. La tecnología como apoyo en el proceso de aprendizaje 3.2.1.3.1. Espacios de apoyo 3.2.1.3.1.1. Herramientas 3.2.1.3.1.2. Contenidos curriculares y complejidad de problemas 3.2.1.3.1.3. La evaluación
  • 473.
    445 Nivel Intermedio –Resolución de problemas complejos CÓDIGO 33 NIVEL INTERMEDIO COMPONENTE Pedagogía/Andragogía MÓDULO Resolución de problemas complejos OBJETIVOS CURRICULARES  Comprender el aprendizaje colaborativo y el aprendizaje basado en problemas y proyectos, donde el estudiante examine a fondo un tema, utilizando sus conocimientos para responder a los requerimientos del caso COMPETENCIAS DOCENTES  Estructurar tareas, guiar la comprensión y apoyar los proyectos colaborativos de los estudiantes para solucionar problemas de requerimiento de grupo  Ayudar a los estudiantes a generar, implementar y monitorear, propuestas de proyectos y sus soluciones para resolver problemas planteados de grupo NÚMERO DE ASISTENTES 20 (recomendado) LUGAR Laboratorio de Informática ESTRATEGIAS DE INTERVENCIÓN Acción comunicativa-comprensiva, uso de multimedia, estudio de casos, trabajo colaborativo para obtener productos de aprendizaje, plenaria para generar conclusiones RECURSOS TECNOLÓGICOS: Computador (de preferencia individual), red interna, Internet, contenidos digitalizados y diapositivas del módulo, software y proyector. MATERIALES: Pizarra, marcadores, borrador, hojas en blanco y lápices. HUMANOS: Facilitador, Facilitador Asistente y Participantes.
  • 474.
    446 DURACIÓN 4 horas FACILITADOR YFACILITADOR ASISTENTE Asignados por el Instituto de Post- Grado MODALIDAD Presencial REQUISITOS PREVIOS Haber aprobado el nivel Inicial BLOQUES TEMÁTICOS CONTENIDOS TIEMPO Las TIC como apoyo al proceso cognitivo 1 hora Manejo de la información por parte del educando 1 hora Estrategias didácticas y cambios en la metodología 2 horas Cuadro 139 : Módulo Resolución de problemas complejos. Fuente:Criterio del investigador. Elaborado por:LSI Jorge Vera Mosquera. DETALLE DE CONTENIDOS 1. Las TIC como apoyo al proceso cognitivo 1.1. El proceso cognitivo en el aprendizaje 1.2. Aporte del constructivismo 1.3. Herramientas de representación del conocimiento 1.3.1. Software local y en línea 1.4. La Infopedagogía 2. Manejo de la información por parte del educando 2.1.1. Pensar 2.1.2. Almacenar 2.1.3. Organizar 2.1.4. Transformar para obtener un producto 3. Estrategias didácticas y cambios en la metodología
  • 475.
    447 3.1.1. Organización 3.1.1.1. Aprendizaje 3.1.1.1.1.Colaborativo 3.1.1.1.2. Cooperativo 3.1.1.1.3. Resolución de Problemas 3.1.1.1.4. En proyectos 3.1.1.2. Plataformas tecnológicas
  • 476.
    448 Nivel Intermedio –Herramientas complejas CÓDIGO 43 NIVEL INTERMEDIO COMPONENTE Manejo de las TIC MÓDULO Herramientas complejas OBJETIVOS CURRICULARES  Utilizar herramientas TIC no lineales y específicas de un área académica, para su aplicación en la solución de problemas COMPETENCIAS DOCENTES  Conocer varias aplicaciones y herramientas y utilizarlas con flexibilidad en diferentes situaciones basadas en problemas y proyectos  Utilizar redes de recursos para ayudar a los estudiantes a colaborar y acceder a la información y comunicarse con expertos externos para analizar y resolver problemas  Utilizar las TIC para crear y supervisar proyectos de clase, individuales o grupales, de los estudiantes NÚMERO DE ASISTENTES 20 (recomendado) LUGAR Laboratorio de Informática ESTRATEGIAS DE INTERVENCIÓN Acción comunicativa-comprensiva, uso de multimedia, habilidades de aplicación, entrenamiento sistemático, talleres, solución de problemas, trabajo colaborativo para obtener productos de aprendizaje RECURSOS TECNOLÓGICOS: Computador (de preferencia individual), red interna, Internet, contenidos digitalizados y diapositivas del módulo, software y proyector. MATERIALES: Pizarra, marcadores, borrador, hojas en blanco y lápices. HUMANOS: Facilitador, Facilitador Asistente y Participantes.
  • 477.
    449 DURACIÓN 100 horas FACILITADOR YFACILITADOR ASISTENTE Asignados por el Instituto de Post- Grado MODALIDAD Presencial REQUISITOS PREVIOS Haber aprobado el nivel Inicial BLOQUES TEMÁTICOS CONTENIDOS TIEMPO Office Avanzado 40 horas Docente 2.0 55 horas Herramientas por Área académica 5 horas Cuadro 140 : Herramientas complejas. Fuente:Criterio del investigador. Elaborado por:LSI Jorge Vera Mosquera. DETALLE DE CONTENIDOS 1. Office Avanzado 1.1. Procesador de palabras 1.1.1. Uso avanzado de columnas 1.1.2. Sinónimos 1.1.3. Diccionario 1.1.4. Autocorrección 1.1.5. Manejar formularios 1.1.6. Manejar correspondencia 1.1.7. Inserción y manipulación de gráficos 1.1.8. Edición de rótulos 1.1.9. WordArt 1.1.10. SmartArt 1.1.11. Hipervínculos 1.1.12. Importación y exportación de documentos 1.1.13. Formatos posibles de lectura y grabación 1.1.14. Compartir documentos 1.1.15. Añadir objetos
  • 478.
    450 1.1.16. Gráfico dedatos 1.1.17. Gestión de la vista del documento 1.1.18. Aplicando expresiones matemáticas 1.1.19. Aplicaciones prácticas 1.2. Hoja electrónica 1.2.1. Funciones avanzadas 1.2.1.1. Uso 1.2.1.2. Funciones anidadas 1.2.1.3. Validaciones simples y complejas 1.2.1.3.1. Formatos condicionales 1.2.1.3.2. Criterios personalizados 1.2.2. Personalizar gráficos y formularios 1.2.3. Trabajar con múltiples hojas 1.2.4. Trabajar con múltiples libros 1.2.5. Macros 1.2.5.1. Concepto y utilidad 1.2.5.2. Elementales 1.2.6. Hoja electrónica en la Web 1.2.7. Aplicaciones prácticas 2. Docente 2.0 2.1. Herramientas Google 2.1.1. Concepto, características e importancia 2.1.2. Procesador de palabras 2.1.3. Hoja electrónica 2.1.4. Presentador 2.1.5. Correo electrónico 2.1.6. Agenda, calendario 2.1.7. Formularios 2.1.8. Dibujos 2.1.9. Blog 2.1.10. Reader
  • 479.
    451 2.1.11. YouTube 2.1.12. Imágenes 2.1.13.Otras aplicaciones a conectar 2.1.14. Sitios similares 2.1.14.1. A modo global 2.1.14.2. A modo parcial 2.1.15. Compartir en línea 2.1.16. Aplicación práctica 2.2. Office App 2.2.1. Word 2.2.2. Excel 2.2.3. Powerpoint 2.2.4. Outlook 2.2.5. Compartir en línea 2.2.6. Aplicación práctica 2.3. Blogs 2.3.1. Concepto, características e importancia 2.3.2. Modo de trabajo 2.3.2.1. Front end 2.3.2.2. Back end 2.3.3. Blogfesor 2.3.4. Sitios en Internet referenciales 2.3.4.1. http://wordpress.com 2.3.4.2. http://blogger.com 2.3.5. Aplicación práctica 2.4. Marcadores sociales 2.4.1. Concepto, características e importancia 2.4.2. Modo de trabajo 2.4.3. Sitios en Internet referenciales 2.4.3.1. http://delicious.com 2.4.3.2. http://digg.com/
  • 480.
    452 2.4.3.3. http://storify.com/ 2.4.4. Aplicaciónpráctica 2.5. Foros 2.5.1. Concepto, características e importancia 2.5.2. Modo de trabajo 2.5.3. Sitios en Internet referenciales 2.5.3.1. http://foroactivo.com 2.5.3.2. http://creatuforo.com 2.5.4. Aplicación práctica 2.6. Wiki 2.6.1. Concepto, características e importancia 2.6.2. Modo de trabajo 2.6.3. Sitios en Internet referenciales 2.6.3.1. http://wikispaces.com 2.6.3.2. http://wikia.com 2.6.4. Aplicación práctica 2.7. Webquest 2.7.1. Concepto, características e importancia 2.7.2. Modo de trabajo 2.7.3. Sitios en Internet referenciales 2.7.3.1. http://webquest.com 2.7.3.2. http://zunal.com 2.7.4. Aplicación práctica 2.8. Presentadores 2.8.1. Concepto, características e importancia 2.8.2. Modo de trabajo 2.8.3. Sitios en Internet referenciales 2.8.3.1. http://slideshare.net 2.8.3.2. http://sliderocket.com 2.8.3.3. http://slideboom.com 2.8.3.4. http://prezi.com
  • 481.
    453 2.8.4. Aplicación práctica 2.9.Encuestas 2.9.1. Concepto, características e importancia 2.9.2. Modo de trabajo 2.9.3. Sitios en Internet referenciales 2.9.3.1. Google Drive 2.9.3.2. http://encuestafacil.com 2.9.3.3. http://tusencuestas.com 2.9.4. Aplicación práctica 2.10. Intercambios de archivos en línea 2.10.1. Concepto, características e importancia 2.10.2. Modo de trabajo 2.10.3. Sitios en Internet referenciales 2.10.3.1. http://dropbox.com 2.10.3.2. http://4shared.com 2.10.3.3. http://mediafire.com 2.10.4. Aplicación práctica 2.11. Diseño de Imagen 2.11.1. Concepto, características e importancia 2.11.2. Modo de trabajo 2.11.3. Sitios en Internet referenciales 2.11.3.1. http://pixrl.com 2.11.3.2. http://lunapic.com 2.11.3.3. http://splashup.com 2.11.4. Aplicación práctica 2.12. Álbum digitales 2.12.1. Concepto, características e importancia 2.12.2. Modo de trabajo 2.12.3. Sitios en Internet referenciales 2.12.3.1. http://mialbum.es 2.12.3.2. http://flickr.com
  • 482.
    454 2.12.4. Aplicación práctica 2.13.Murales 2.13.1. Concepto, características e importancia 2.13.2. Modo de trabajo 2.13.3. Sitios en Internet referenciales 2.13.3.1. http://glogster.com 2.13.3.2. http://beta.mural.ly 2.13.4. Aplicación práctica 2.14. Reuniones On line 2.14.1. Concepto, características e importancia 2.14.2. Modo de trabajo 2.14.2.1. Sitios en Internet referenciales 2.14.2.1.1. http://skype.com 2.14.2.1.2. http://meetin.gs 2.14.2.1.3. http://meetingburner.com 2.14.2.2. Aplicación práctica 2.15. Pantalla compartida 2.15.1. Concepto, características e importancia 2.15.2. Modo de trabajo 2.15.2.1. Sitios en Internet/Software referenciales 2.15.2.1.1. https://join.me/ 2.15.2.1.2. http://www.skype.com 2.15.2.1.3. Multiviewer 2.15.3. Aplicación práctica 2.16. Pizarra en línea 2.16.1. Sitios en Internet referenciales 2.16.1.1. http://scriblink.com 2.16.1.2. http://awwapp.com 2.16.2. Aplicación práctica 2.17. Líneas de tiempo 2.17.1. Sitios en Internet referenciales
  • 483.
    455 2.17.1.1. http://timetoast.com 2.17.1.2. http://dipity.com 2.17.2.Aplicación práctica 2.18. Descubrimiento de plagio 2.18.1. Concepto, características e importancia 2.18.2. Modo de trabajo 2.18.3. Sitios en Internet referenciales 2.18.3.1. http://scanmyessay.com 2.18.3.2. http://plagiarism-detect.com 2.18.3.3. http://duplichecker.com 2.18.3.4. http://plagium.com 2.18.4. Aplicación práctica 2.19. Lifestream 2.19.1. Concepto, características e importancia 2.19.2. Modo de trabajo 2.19.3. Sitios en Internet referenciales 2.19.3.1. http://friendfeed.com 2.19.3.2. http://flavors.me 2.19.4. Aplicación práctica 2.20. Redes sociales 2.20.1. Más usadas 2.20.1.1. Cómo usar en Educación 2.20.1.1.1. http://facebook.com 2.20.1.1.2. http://twitter.com 2.20.1.1.3. Aplicación práctica 2.20.2. Otras 2.20.2.1. http://ning.com 2.20.2.2. http://edmodo.com 2.20.2.3. http://twiducate.com 2.20.2.4. Aplicación práctica 2.21. Herramientas de referencia para apoyo académico
  • 484.
    456 2.21.1. Manuales, tutoriales 2.21.1.1.Sitios en Internet referenciales 2.21.1.1.1. http://illasaron.com 2.21.1.1.2. http://tutorial-lab.com 2.21.1.1.3. http://aulaclic.es 2.21.2. Diccionarios 2.21.2.1. Sitios en Internet referenciales 2.21.2.2. http://rae.es 2.21.2.3. http://diccionarios.com 2.21.3. Enciclopedias 2.21.3.1. Sitios en Internet referenciales 2.21.3.1.1. http://wikipedia.org 2.21.3.1.2. http://britannica.es 2.21.4. Bibliotecas 2.21.4.1. Sitios en Internet referenciales 2.21.4.1.1. http://bdl.org/es 2.21.4.1.2. http://bibliotecas.csic.es 2.21.4.1.3. http://bibliotecadigitalhispanica.bne.es 2.21.5. Bases de datos de conocimiento 2.21.5.1. Sitios en Internet referenciales 2.21.5.1.1. http://rima.org 2.21.5.1.2. http://bdcol.org 2.21.5.1.3. http://bibliotecasdelecuador.com 2.22. Animación y comics 2.22.1. Concepto, características e importancia 2.22.2. Modo de trabajo 2.22.3. Sitios en Internet referenciales 2.22.3.1. http://www.pixton.com 2.22.3.2. http://www.goanimate.com 2.22.4. Aplicación práctica 2.23. Audio
  • 485.
    457 2.23.1. Concepto, característicase importancia 2.23.2. Modo de trabajo 2.23.3. Sitios en Internet referenciales 2.23.3.1. http://filelab.com 2.23.3.2. http://audioexpert.com 2.23.4. Software 2.23.4.1. Audacity 2.23.4.2. Free Audio Editor 2.23.5. Aplicación práctica 2.24. Mundos virtuales 2.24.1. Concepto, características e importancia 2.24.2. Modo de trabajo 2.24.2.1. Second Life 2.24.2.2. Posibilidades educativas 2.24.3. Sitios en Internet referenciales 2.24.3.1. Xbox Microsoft 2.24.3.2. Sloodle 2.24.4. Aplicación práctica 2.25. Antivirus en línea 2.25.1. Sitios en Internet referenciales 2.25.1.1. http://www.eset-la.com/online-scanner 2.25.1.2. http://www.zonavirus.com/antivirus-on-line/ 2.25.2. Aplicación práctica 2.26. Publicaciones 2.26.1. Concepto, características e importancia 2.26.2. Sitios en Internet referenciales 2.26.2.1. http://calameo.com 2.26.2.2. http://scribd.com 2.26.2.3. http://tikatok.com 2.26.3. Aplicación práctica 2.27. Mapas conceptuales
  • 486.
    458 2.27.1. Sitios enInternet referenciales 2.27.1.1. http://bubbl.us 2.27.1.2. http://popplet.com 2.27.2. Aplicación práctica 2.28. Mapas mentales 2.28.1. Sitios en Internet referenciales 2.28.1.1. http://mindmeister.com 2.28.1.2. http://mindomo.com 2.28.2. Aplicación práctica 2.29. Convertidores de formatos de archivos 2.29.1. Sitios en Internet referenciales 2.29.1.1. http://audio.online-convert.com 2.29.1.2. http://www.online-convert.com/es 2.29.2. Aplicación práctica 2.30. Mapas API (Google Maps) 2.30.1. Características 2.30.2. Como actividad didáctica 2.30.3. ¿Cómo utilizarlo? 2.30.4. Aplicación práctica 2.31. P2P 2.31.1. Concepto, características e importancia 2.31.1.1. Software 2.31.1.1.1. Ares Galaxy 2.31.1.1.2. Emule 2.31.1.1.3. UTorrent 2.31.1.2. Aplicación práctica 2.32. Boletines 2.32.1. Concepto, características e importancia 2.32.2. Sitios en Internet referenciales 2.32.2.1. http://tinyletter.com/ 2.32.2.2. http://tackk.com/
  • 487.
    459 2.32.3. Aplicación práctica 3.Herramientas por Área académica 3.1. Estudio y análisis 3.1.1. Configuración de casos 3.2. Herramientas a emplear 3.3. Desarrollo y aplicación 3.3.1. Configurar cómo aplicar
  • 488.
    460 Nivel Intermedio –Grupos colaborativos CÓDIGO 53 NIVEL INTERMEDIO COMPONENTE Organización y administración MÓDULO Grupos colaborativos OBJETIVOS CURRICULARES  Facilitar el trabajo colaborativo considerando las estructuras de clase, duración de horas-clase y la demanda de tiempo extracurricular de trabajos de grupo para el desarrollo de conocimientos COMPETENCIAS DOCENTES  Generar ambientes de aprendizaje flexibles en las aulas, integrando actividades centradas en el estudiante, aplicando con flexibilidad las TIC con el fin de respaldar la colaboración NÚMERO DE ASISTENTES 20 (recomendado) LUGAR Laboratorio de Informática ESTRATEGIAS DE INTERVENCIÓN Taller, lluvia de ideas, uso de multimedia, trabajo colaborativo para obtener productos de aprendizaje, estudio de casos RECURSOS TECNOLÓGICOS: Computador (de preferencia individual), red interna, Internet, contenidos digitalizados y diapositivas del módulo, software y proyector. MATERIALES: Pizarra, marcadores, borrador, hojas en blanco y lápices. HUMANOS: Facilitador, Facilitador Asistente y Participantes. DURACIÓN 3 horas FACILITADOR Y FACILITADOR ASISTENTE Asignados por el Instituto de Post- Grado
  • 489.
    461 MODALIDAD Presencial REQUISITOS PREVIOS Haber aprobadoel nivel Inicial BLOQUES TEMÁTICOS CONTENIDOS TIEMPO Aprendizaje colaborativo y aprendizaje cooperativo 1 hora Aplicaciones 2 horas Cuadro 141 : Módulo Grupos colaborativos. Fuente:Criterio del investigador. Elaborado por:LSI Jorge Vera Mosquera. DETALLE DE CONTENIDOS 1. Aprendizaje colaborativo y aprendizaje cooperativo 1.1. Teorías educativas 1.2. Entendiendo 1.3. Diferencias 1.4. Elementos 1.5. Responsabilidades del Docente 1.6. Responsabilidades del estudiante 1.7. En la Educación a distancia 1.7.1. Preámbulo 1.7.2. Factores a considerar 1.8. Preparación 2. Aplicaciones 2.1. Actividades motivantes 2.2. Rol del Docente 2.3. Clasificación 2.3.1. Por tipo 2.3.2. Básicas 2.3.2.1. Comunicación 2.3.2.2. Conferencia
  • 490.
    462 2.3.2.3. Gestión 2.3.2.4. Entornosintegrados 2.4. Evaluación 2.4.1. Criterios 2.4.2. Herramientas
  • 491.
    463 Nivel Intermedio –Gestionar y guiar CÓDIGO 63 NIVEL INTERMEDIO COMPONENTE Formación Profesional Docente MÓDULO Gestionar y guiar OBJETIVOS CURRICULARES  Fundamentar y potenciar la utilización docente de las TIC para encaminar a los aprendices en la solución de problemas complejos y la gestión de entornos de aprendizaje dinámicos COMPETENCIAS DOCENTES  Crear proyectos complejos, colaborar con otros Docentes y hacer uso de redes para acceder a información, a colegas y expertos externos, con el fin de respaldar su propia formación profesional NÚMERO DE ASISTENTES 20 (recomendado) LUGAR Laboratorio de Informática ESTRATEGIAS DE INTERVENCIÓN Acción comunicativa-comprensiva, lluvia de ideas, uso de multimedia, taller, trabajo colaborativo para obtener productos de aprendizaje, plenaria para generar conclusiones RECURSOS TECNOLÓGICOS: Computador (de preferencia individual), red interna, Internet, contenidos digitalizados y diapositivas del módulo, software y proyector. MATERIALES: Pizarra, marcadores, borrador, hojas en blanco y lápices. HUMANOS: Facilitador, Facilitador Asistente y Participantes. DURACIÓN 10 horas FACILITADOR Y FACILITADOR ASISTENTE Asignados por el Instituto de Post- Grado
  • 492.
    464 MODALIDAD Presencial REQUISITOS PREVIOS Haber aprobadoel nivel Inicial BLOQUES TEMÁTICOS CONTENIDOS TIEMPO Proyecto educativo 0,5 hora Aprendizaje colaborativo 0,5 hora Planificación del Proyecto 9 horas Cuadro 142 : Módulo Formación ProfesionalDocente. Fuente:Criterio del investigador. Elaborado por:LSI Jorge Vera Mosquera. DETALLE DE CONTENIDOS 1. Proyecto educativo 1.1. Concepto, características e importancia 1.2. Teoría de proyectos 1.3. Modelos 1.4. Innovación educativa 2. Aprendizaje colaborativo 2.1. Necesidad de uso en proyectos educativos 2.2. Revisión teórica 3. Planificación del Proyecto 3.1. Dirección del Proyecto 3.2. Herramientas TIC a emplear en Proyectos 3.2.1. Plataformas de trabajo colaborativo 3.2.2. Herramientas 2.0 3.2.3. Software de apoyo local y en red 3.2.3.1. Libre 3.2.3.2. De pago 3.3. Desarrollo de un Proyecto aplicativo
  • 493.
    465 Nivel Avanzado –Innovación de las políticas CÓDIGO 14 NIVEL AVANZADO COMPONENTE Marco regulador en la Universidad de Guayaquil MÓDULO Innovación de las políticas OBJETIVOS CURRICULARES  Participar activamente en la evolución de las políticas relacionadas a las reformas educativas COMPETENCIAS DOCENTES  Comprender a fondo los objetivos de las políticas educativas nacionales para generar soluciones de tal magnitud  Contribuir con planteamientos educativos claros al debate sobre políticas de reforma educativa para ser partícipe pertinente en su mejora  Participar en la concepción, aplicación y revisión de los programas destinados a aplicar esas políticas para tener una acción activa en los mismos NÚMERO DE ASISTENTES 20 (recomendado) LUGAR Laboratorio de Informática ESTRATEGIAS DE INTERVENCIÓN Acción comunicativa-comprensiva, uso de multimedia, trabajo colaborativo para obtener productos de aprendizaje, elaborar proyectos RECURSOS TECNOLÓGICOS: Computador (de preferencia individual), red interna, Internet, contenidos digitalizados y diapositivas del módulo, software y proyector. MATERIALES: Pizarra, marcadores, borrador, hojas en blanco y lápices. HUMANOS: Facilitador, Facilitador Asistente y Participantes.
  • 494.
    466 DURACIÓN 4 horas FACILITADOR YFACILITADOR ASISTENTE Asignados por el Instituto de Post-Grado MODALIDAD Presencial REQUISITOS PREVIOS Haber aprobado el nivel Intermedio BLOQUES TEMÁTICOS CONTENIDOS TIEMPO Objetivos de las políticas educativas nacionales 1 hora Reconocimiento de problemáticas 3 horas Cuadro 143 : Módulo Innovación de las políticas. Fuente:Criterio del investigador. Elaborado por:LSI Jorge Vera Mosquera. DETALLE DE CONTENIDOS 1. Objetivos de las políticas educativas nacionales 1.1. Ámbito y alcance 1.2. Contribución de las reformas educativas nacionales y de la Universidad 1.2.1. Perspectivas y cambios significativos 2. Reconocimiento de problemáticas 2.1. Comportamientos de contexto y reconocimiento de problemas 2.2. Enfoque crítico 2.3. Necesidad de soluciones 2.3.1. Propuestas
  • 495.
    467 Nivel Avanzado –Competencias de la Sociedad del Conocimiento CÓDIGO 24 NIVEL AVANZADO COMPONENTE Currículo y evaluación MÓDULO Competencias de la Sociedad del Conocimiento OBJETIVOS CURRICULARES  Abordar el currículum más allá del conocimiento, incluyendo explícitamente las competencias de la Sociedad del Conocimiento, haciendo que el estudiante sea capaz de determinar sus objetivos de aprendizaje, planes de trabajo y la evaluación de su propio desempeño en las tareas generadas COMPETENCIAS DOCENTES  Conocer los procesos cognitivos complejos de aprendizaje de los estudiantes para comprender cómo se presentan  Saber cómo aprenden los estudiantes para entender el comportamiento de su aprendizaje  Entender las dificultades con que éstos tropiezan para alcanzar sus competencias adecuadas en la era actual  Respaldar esos procesos complejos con que se encuentra el estudiante, acompañando y colaborando con su evolución, para que alcance sus metas y objetivos NÚMERO DE ASISTENTES 20 (recomendado) LUGAR Laboratorio de Informática
  • 496.
    468 ESTRATEGIAS DE INTERVENCIÓN Lluvia deideas, uso de multimedia, estudio de casos, trabajo colaborativo para obtener productos de aprendizaje, plenaria para generar conclusiones RECURSOS TECNOLÓGICOS: Computador (de preferencia individual), red interna, Internet, contenidos digitalizados y diapositivas del módulo, software y proyector. MATERIALES: Pizarra, marcadores, borrador, hojas en blanco y lápices. HUMANOS: Facilitador, Facilitador Asistente y Participantes. DURACIÓN 5 horas FACILITADOR Y FACILITADOR ASISTENTE Asignados por el Instituto de Post- Grado MODALIDAD Presencial REQUISITOS PREVIOS Haber aprobado el nivel Intermedio BLOQUES TEMÁTICOS CONTENIDOS TIEMPO Sociedades del Conocimiento 1 hora Sociedad del Conocimiento y el aprendizaje 2.0 2 horas El estudiante universitario en la Sociedad del Conocimiento 2 hora Cuadro 144 :Módulo Competencias de la Sociedad del Conocimiento. Fuente:Criterio del investigador. Elaborado por:LSI Jorge Vera Mosquera. DETALLE DE CONTENIDOS 1. Sociedades del Conocimiento 1.1. Sociedad de información a Sociedad de Conocimiento 1.2. Sociedad en red
  • 497.
    469 1.3. Sociedad deaprendizaje 1.4. Educación permanente y Educación Superior 1.5. La investigación 1.6. Del acceso a la participación 1.7. Dimensión ética 2. Sociedad del Conocimiento y el aprendizaje 2.0 2.1. La economía global y la Educación 2.1.1. El cambio 2.1.2. Demanda de conocimientos 2.1.3. Nuevo entorno 2.1.3.1. Conocimiento y aprendizaje 2.1.3.2. Mundo del educando 2.1.3.2.1. Mundo de la Educación 2.1.3.2.1.1. Individual 2.1.3.2.1.2. Corporativo 2.1.3.2.1.3. Ambiente personal de aprendizaje y ambiente de trabajo 2.1.3.3. Nuevos caminos y nuevas profesiones 2.1.3.4. Curriculums actuales y futuros 2.1.3.5. Redes académicas avanzadas e investigación 2.1.4. Actitud crítica docente ante las TIC 3. El estudiante universitario en la Sociedad del Conocimiento 3.1. Vida cotidiana 3.2. El trabajo y las TIC 3.3. Nuevo rol 3.4. Desafíos actuales 3.5. Aprender a aprender 3.6. La influencia de la cultura de los medios 3.7. Procesos cognitivos 3.8. Dificultades de aprendizaje 3.9. Competencias
  • 498.
  • 499.
    471 Nivel Avanzado –Autogestión CÓDIGO 34 NIVEL AVANZADO COMPONENTE Pedagogía/Andragogía MÓDULO Autogestión OBJETIVOS CURRICULARES  Orientar el camino del estudiante en su trabajo en comunidades de aprendizaje, creación de productos, en base a conocimientos, habilidades y competencias propias o por adquirir, para beneficio individual y colectivo COMPETENCIAS DOCENTES  Modelar procesos de aprendizaje, estructurando situaciones en las que los estudiantes apliquen sus competencias cognitivas y ayudando a los estudiantes a adquirirlas, para beneficio propio y colectivo NÚMERO DE ASISTENTES 20 (recomendado) LUGAR Laboratorio de Informática ESTRATEGIAS DE INTERVENCIÓN Acción comunicativa-comprensiva, uso de multimedia, estudio de casos, trabajo colaborativo para obtener productos de aprendizaje, plenaria para generar conclusiones RECURSOS TECNOLÓGICOS: Computador (de preferencia individual), red interna, Internet, contenidos digitalizados y diapositivas del módulo, software y proyector. MATERIALES: Pizarra, marcadores, borrador, hojas en blanco y lápices. HUMANOS: Facilitador, Facilitador Asistente y Participantes. DURACIÓN 4 horas FACILITADOR Y FACILITADOR ASISTENTE Asignados por el Instituto de Post- Grado
  • 500.
    472 MODALIDAD Presencial REQUISITOS PREVIOS Haber aprobadoel nivel Intermedio BLOQUES TEMÁTICOS CONTENIDOS TIEMPO Potencialidad de herramientas TIC de aprendizaje 2 horas Pertenecer a una comunidad educativa y educarse 2 horas Cuadro 145 : Módulo Autogestión. Fuente:Criterio del investigador. Elaborado por:LSI Jorge Vera Mosquera. DETALLE DE CONTENIDOS 1. Potencialidad de herramientas TIC de aprendizaje 1.1. Didáctica apoyada en TIC 1.2. Ambiente personal de aprendizaje 1.3. Fines del trabajo en grupo 1.3.1. Distintas finalidades de trabajo 1.3.2. Acceso a información 1.3.3. Interacción, hipermedia y multimedia 1.3.4. Nuevas formas de mediación 1.4. Beneficios mayores del ambiente personal de aprendizaje 1.5. Experiencias que promueven el aprendizaje 1.6. Aulas de aprendizaje 1.7. Bibliotecas digitales 1.8. Redes de aprendizaje 1.9. Comunidades de aprendizaje 1.10. Uso de las redes sociales en el aprendizaje 1.11. Implementación de cursos en plataformas educativas
  • 501.
    473 2. Pertenecer auna comunidad educativa y educarse 2.1. Concepto, características 2.2. Paradigma educativo innovador: Comunidad de aprendizaje 2.3. Espacios y comunidades virtuales 2.4. Web 2.0, Web 3.0 y redes sociales 2.5. Modelo educativo en red 2.6. Evolución de la tecnología e innovación educativa 2.7. Taxonomía de la tecnología colaborativa
  • 502.
    474 Nivel Avanzado –Herramientas ubicuas CÓDIGO 44 NIVEL AVANZADO COMPONENTE Manejo de las TIC MÓDULO Herramientas ubicuas OBJETIVOS CURRICULARES  Aplicar la tecnología generalizada discerniendo en su uso para producir conocimiento y aprendiendo en modo colaborativo y continuo, a nivel de red, recurso y contexto digital COMPETENCIAS DOCENTES  Diseñar comunidades de conocimiento basadas en las TIC, y utilizando estas tecnologías para apoyar el desarrollo de las habilidades de los estudiantes en materia de creación de conocimientos y su aprendizaje permanente y reflexivo NÚMERO DE ASISTENTES 20 (recomendado) LUGAR Laboratorio de Informática ESTRATEGIAS DE INTERVENCIÓN Acción comunicativa-comprensiva, uso de multimedia, habilidades de aplicación, entrenamiento sistemático, talleres, solución de problemas, trabajo colaborativo para obtener productos de aprendizaje RECURSOS TECNOLÓGICOS: Computador (de preferencia individual), red interna, Internet, contenidos digitalizados y diapositivas del módulo, software y proyector. MATERIALES: Pizarra, marcadores, borrador, hojas en blanco y lápices. HUMANOS: Facilitador, Facilitador Asistente y Participantes.
  • 503.
    475 DURACIÓN 80 horas FACILITADOR YFACILITADOR ASISTENTE Asignados por el Instituto de Post- Grado MODALIDAD Presencial REQUISITOS PREVIOS Haber aprobado el nivel Intermedio BLOQUES TEMÁTICOS CONTENIDOS TIEMPO La ubicuidad 2 horas Tecnologías y metodologías del aprendizaje electrónico 12 horas Administradores de aprendizaje y sistemas de gestión de contenidos de aprendizaje 40 horas Inteligencia competitiva y Web 3.0 1 hora Desarrollo de Proyecto 25 horas Cuadro 146 : Módulo Herramientas ubicuas. Fuente:Criterio del investigador. Elaborado por:LSI Jorge Vera Mosquera. DETALLE DE CONTENIDOS 1. La ubicuidad 1.1. Concepto, características e importancia 1.2. uLearning (Aprendizaje Ubicuo) 1.3. Computación en la nube 1.3.1. Uso docente 1.3.2. Aplicaciones para el Docente 1.3.2.1. Gestión 1.3.2.1.1. http://class.io/es/ 1.3.2.1.2. Sky Drive 1.3.2.1.3. Google Drive
  • 504.
    476 1.3.2.2. Comunicación 1.3.2.3. Evaluación 1.3.3.Webapps 1.3.3.1. http://www.eduapps.es/ 1.3.3.2. Google Apps para la Educación 1.4. El aprendizaje electrónico (E-learning) 2. Tecnologías y metodologías del aprendizaje electrónico 2.1. Hardware y aplicaciones 2.1.1. Netbooks, PC, Laptops 2.1.1.1. Características y propiedades 2.1.1.1.1. Aplicaciones y sitios en Internet referenciales 2.1.1.1.1.1. https://pinterest.com/ 2.1.1.1.1.2. http://paper.li/ 2.1.1.1.1.3. http://www.screenr.com/ 2.1.1.1.1.4. https://edshelf.com/ 2.1.1.1.1.5. http://www.knovio.com/ 2.1.2. Celulares,Smarhphones, Tablets, Ipads 2.1.2.1. Características y propiedades 2.1.2.2. Política 1 a 1 2.1.2.3. Aplicaciones y sitios en Internet referenciales 2.1.2.3.1. Teacher Kit 2.1.2.3.2. GeoGoogle 2.1.2.3.3. http://www.classcharts.com/ 2.1.2.3.4. http://socrative.com/ 2.1.2.3.5. http://classwith.us/ 2.1.2.3.6. http://42class.com 2.1.2.3.7. http://www.knowmia.com/ 2.1.2.3.8. http://www.stickynotesapp.com/ 2.1.2.3.9. http://www.isbx.com/facetalk/ 2.1.2.3.10. http://www.vcasmo.com/ 2.1.2.3.11. http://www.google.com/mobile/skymap/
  • 505.
    477 2.1.2.3.12. 2.1.3. Infraestructura deInternet 2.1.4. Aplicaciones más accesorios 2.2. Herramientas 2.0 2.2.1. Aprendizaje colaborativo 2.2.1.1. Blog 2.2.1.2. Wiki 2.2.1.3. Redes sociales 2.2.1.4. Comunidades 2.2.1.5. Herramientas de colaboración 2.2.1.5.1. Sitios 2.2.1.6. Difusión y publicación en red 2.2.1.6.1. RSS 2.2.1.6.2. Portafolios 2.2.1.6.3. Comunidades de aprendizaje 2.2.1.6.3.1. Niveles 2.2.1.7. Herramientas académicas varias en la nube 2.2.1.7.1. Genéricas 2.2.1.7.2. Por área 2.3. Entornos de aprendizaje 2.3.1. Personales 2.3.2. De conocimiento 2.3.2.1. Armando redes 2.3.2.1.1. https://ifttt.com/ 2.3.2.1.2. https://zapier.com 2.3.2.1.3. http://www.foxweave.com/ 2.3.2.1.4. http://wappwolf.com 2.3.3. Escritorios virtuales/marcadores 2.3.3.1. http://www.symbaloo.com/ 2.3.3.2. http://www.netvibes.com/ 2.3.3.3. http://www.tizmos.com/
  • 506.
    478 2.3.3.4. http://www.skloog.com/ 2.3.3.5. http://www.addthis.com/ 2.4.Modalidades del aprendizaje electrónico 2.4.1. EaD (Educación a Distancia) 2.4.1.1. Plataformas 2.4.2. M-Learning (Móvil) 2.4.2.1. Sistemas operativos móviles 2.4.2.2. Aplicaciones y sitios referenciales 2.4.2.2.1. http://proyectoguappis.blogspot.com.es/ 2.4.2.2.2. https://ko-su.com/ 2.4.2.2.3. https://www.dropbox.com/ 2.4.2.2.4. https://evernote.com/ 2.4.3. B-Learning(Semi-presencial) 2.4.4. I-Learning 2.5. Objetos de aprendizaje 2.5.1. Concepto, características e importancia 2.5.2. Sitios en Internet referenciales 2.5.2.1. http://laclo.org/ 2.5.2.2. http://aprendeenlinea.udea.edu.co/ova/ 2.5.2.3. http://www.universia.net/ 2.5.2.4. http://digitum.um.es/xmlui/ 2.5.2.5. http://www.aproa.cl/ 2.6. Cursos masivos abiertos (MOOC-Massive Open Online Courses) 2.6.1. Origen 2.6.2. Concepto, características e importancia 2.6.3. Sitios en Internet referenciales 2.6.3.1. http://openmooc.org/ 2.6.3.2. https://unedcoma.es/ 2.6.3.3. https://www.difundi.com/es 2.6.3.4. https://www.coursera.org/ 2.6.3.5. http://lore.com/
  • 507.
    479 2.6.3.6. https://www.canvas.net/ 2.6.3.7. https://www.edx.org/ 3.Administradores de aprendizaje y sistemas de gestión de contenidos de aprendizaje 3.1. Tecnologías y metodologías E-learning 3.2. Sitios 3.2.1. Concepto, características e importancia 3.2.2. Gratuitos y de pago 3.2.2.1. Más conocidos 3.2.3. Aprendiendo un administrador de aprendizaje 3.2.3.1. Moodle 3.2.3.1.1. Características, importancia y utilidad 3.2.3.1.2. Estructura de Moodle 3.2.3.1.3. Para administrador 3.2.3.1.3.1. Obteniendo el software 3.2.3.1.3.2. Instalación 3.2.3.1.3.2.1. Local 3.2.3.1.3.2.2. En línea 3.2.3.1.3.3. Gestión 3.2.3.1.3.3.1. Usuarios 3.2.3.1.3.3.1.1. Por rol 3.2.3.1.3.3.2. Cursos 3.2.3.1.3.3.3. Evaluación 3.2.3.1.3.3.4. Elementos 2.0 3.2.3.1.3.4. Lectura de cabecera y pie de página, columnas izquierda, derecha y central 3.2.3.1.3.5. Modo edición 3.2.3.1.3.6. Matricular estudiantes 3.2.3.1.3.7. Evaluaciones de curso 3.2.3.1.3.8. Revisar participación de estudiantes 3.2.3.1.3.9. Otros bloques
  • 508.
    480 3.2.3.1.3.9.1. Actividad reciente 3.2.3.1.3.9.2.Calendario 3.2.3.1.3.9.3. Novedades 3.2.3.1.3.9.4. Bloque HTML 3.2.3.1.3.10. Ubicación, idioma, extensiones y ajustes 3.2.3.1.3.11. Seguridad y respaldo 3.2.3.1.3.11.1. Cursos 3.2.3.1.3.11.2. Plataforma 3.2.3.1.3.12. Apariencia 3.2.3.1.4. Para Docente 3.2.3.1.4.1. Ambiente de aprendizaje 3.2.3.1.4.1.1. Acceso y salida 3.2.3.1.4.1.2. Roles 3.2.3.1.4.1.3. Navegación 3.2.3.1.4.1.4. Edición 3.2.3.1.4.1.5. Bloques 3.2.3.1.4.2. Cómo configurar planificación curricular 3.2.3.1.4.3. Configurar cursos en Moodle 3.2.3.1.4.4. Matrícula de estudiantes 3.2.3.1.4.5. Herramientas propias de Moodle para cursos 3.2.3.1.4.6. Editar contenidos 3.2.3.1.4.7. Módulos 3.2.3.1.4.7.1. De comunicación 3.2.3.1.4.7.2. Actividades 3.2.3.1.4.8. Gestión del curso 3.2.3.1.4.9. Seguridad y respaldo del curso 3.2.3.1.4.10. Proyecto de curso 3.2.4. El futuro 4. Inteligencia competitiva y Web 3.0 4.1. El papel de la Web 2.0
  • 509.
    481 4.2. El procesode la inteligencia competitiva 4.3. Red social pensante 4.3.1. El papel de la Universidad 5. Desarrollo de Proyecto 5.1. Análisis y Estudio 5.2. Desarrollo e implementación
  • 510.
    482 Nivel Avanzado –Organizaciones de aprendizaje CÓDIGO 54 NIVEL AVANZADO COMPONENTE Organización y administración MÓDULO Organizaciones de aprendizaje OBJETIVOS CURRICULARES  Orientar y crear organizaciones de aprendizaje, en las que los participantes contribuyen en los procesos de aprendizajes, involucrándose con un sentido de beneficio colectivo COMPETENCIAS DOCENTES  Desempeñar un papel de liderazgo en la formación de sus colegas, así como en la elaboración e implementación de la visión de su institución educativa como comunidad basada en innovación y aprendizaje permanente enriquecidos por las TIC, para el aprendizaje permanente y reflexivo de todos NÚMERO DE ASISTENTES 20 (recomendado) LUGAR Laboratorio de Informática ESTRATEGIAS DE INTERVENCIÓN Taller, lluvia de ideas, uso de multimedia, trabajo colaborativo para obtener productos de aprendizaje, estudio de casos RECURSOS TECNOLÓGICOS: Computador (de preferencia individual), red interna, Internet, contenidos digitalizados y diapositivas del módulo, software y proyector. MATERIALES: Pizarra, marcadores, borrador, hojas en blanco y lápices. HUMANOS: Facilitador, Facilitador Asistente y Participantes.
  • 511.
    483 DURACIÓN 4 horas FACILITADOR YFACILITADOR ASISTENTE Asignados por el Instituto de Post- Grado MODALIDAD Presencial REQUISITOS PREVIOS Haber aprobado el nivel Intermedio BLOQUES TEMÁTICOS CONTENIDOS TIEMPO Conceptualización 1 hora Herramientas TIC 3 horas Cuadro 147 : Módulo Organizaciones de aprendizaje. Fuente:Criterio del investigador. Elaborado por:LSI Jorge Vera Mosquera. DETALLE DE CONTENIDOS 1. Conceptualización 1.1. Concepto, características 1.2. Disciplinas 1.3. Principios 1.4. Barreras 1.5. Conocimiento tácito y explícito, individual y colectivo 1.5.1. Cómo transmitir 1.6. La Universidad con capacidad de aprendizaje 1.6.1. Modelos 1.7. Teorías de aprendizaje que se relacionan 1.8. El liderazgo 1.9. Necesidad de una cultura 2. Herramientas TIC 2.1. Tutor y estudiantes 2.2. Curso, organización, comunidad y redes virtuales e integración 2.2.1. Diferencias
  • 512.
    484 2.2.2. Relación 2.2.3. Futuro 2.2.4.Escalas de crecimiento 2.3. Aplicaciones de comunicación 2.3.1. Local 2.3.2. Red e Internet 2.4. Aplicaciones para compartir recursos 2.4.1. Local 2.4.2. Red e Internet 2.5. Aplicaciones de organización y gestión 2.5.1. Agenda, calendario 2.5.2. Aplicaciones y dispositivos 2.5.2.1. Celulares, tablets 2.6. Aplicaciones de construcción de conocimiento 2.6.1. Wiki 2.6.2. Blogs 2.6.3. Herramientas de oficina en línea 2.6.4. Portafolios en línea 2.6.5. Grupos virtuales 2.6.6. Talleres en línea 2.6.7. Administración de aprendizaje 2.6.7.1. Software Libre 2.6.7.1.1. Los más usados 2.6.7.1.2. Herramientas en línea 2.6.7.1.2.1. Complementos a nivel local 2.6.7.1.2.2. Complementos a nivel de red 2.6.7.1.3. Junto a redes sociales 2.6.8. Sitios en Internet de múltiples usos en el aprendizaje
  • 513.
    485 Nivel Avanzado –Docente como modelo de aprendiz CÓDIGO 64 NIVEL AVANZADO COMPONENTE Formación Profesional Docente MÓDULO Docente como modelo de aprendiz OBJETIVOS CURRICULARES  Tomar el papel de aprendiz experto y de productor de conocimiento, dedicado permanentemente al experimento e innovación pedagógica/andragógica, para crear nuevos conocimientos en el proceso enseñanza-aprendizaje u orientación-aprendizaje COMPETENCIAS DOCENTES  Mostrar la voluntad para experimentar, aprender continuamente y utilizar las TIC con el fin de crear comunidades profesionales del conocimiento NÚMERO DE ASISTENTES 20 (recomendado) LUGAR Laboratorio de Informática ESTRATEGIAS DE INTERVENCIÓN Acción comunicativa-comprensiva, lluvia de ideas, uso de multimedia, taller, trabajo colaborativo para obtener productos de aprendizaje, plenaria para generar conclusiones RECURSOS TECNOLÓGICOS: Computador (de preferencia individual), red interna, Internet, contenidos digitalizados y diapositivas del módulo, software y proyector. MATERIALES: Pizarra, marcadores, borrador, hojas en blanco y lápices. HUMANOS: Facilitador, Facilitador Asistente y Participantes. DURACIÓN 2 horas FACILITADOR Y FACILITADOR ASISTENTE Asignados por el Instituto de Post- Grado
  • 514.
    486 MODALIDAD Presencial REQUISITOS PREVIOS Haber aprobadoel nivel Intermedio BLOQUES TEMÁTICOS CONTENIDOS TIEMPO ¿Qué es aprender? 0,5 hora Docente como aprendiz permanente 0,5 hora Estrategias de enseñanza y aprendizaje 1 hora Cuadro 148 : Módulo Docente como modelo de aprendiz. Fuente:Criterio del investigador. Elaborado por:LSI Jorge Vera Mosquera. DETALLE DE CONTENIDOS 1. ¿Qué es aprender? 1.1. Cultura del aprendizaje 1.2. Aprender a aprender, aprender enseñando, el autoaprendizaje 1.3. Condiciones de aprendizaje 1.4. Modelos de aprendizaje 1.4.1. De transmisión 1.4.2. Behaviorista 1.4.3. Constructivista 1.5. Aprendizaje individual continuo 1.6. Docente metacognitiva 2. Docente como aprendiz permanente 2.1. Características 2.2. Áreas y asignaturas docentes relacionadas a su gestión 2.2.1. Visión filosófica 2.3. La investigación docente en el Curriculum 2.4. Dicotomía docente/aprendiz no existe 2.5. Coordinación docente 2.5.1. Con estudiantes
  • 515.
    487 2.5.2. Con otrosDocentes en entidad 2.5.3. Con otros Docentes de otras entidades 2.5.4. Con otros Docentes de otros países 3. Estrategias de enseñanza y aprendizaje 3.1.1. Ambientes personales de aprendizaje 3.1.2. Estrategias metodológicas didácticas y TIC
  • 516.
    488 Conclusiones Una vez terminadala Propuesta como resultante de la investigación llevada a cabo, se concluye lo siguiente:  Las etapas formativas sugeridas en el Programa de Educación Continua, deben ser fortalecidas por las prácticas propias de los Docentes participantes, para que esa experiencia enriquezca junto con el aporte de los Docentes facilitadores, al mejoramiento continuo.  La formación docente en el uso de las TIC en el Programa, a modo de sugerencia, debe empezar con modalidad presencial. En ciertos casos, dadas las circunstancias, una modalidad mixta mediante el uso de una plataforma tecnológica de apoyo, como Moodle por ejemplo.  El marco y el contenido curricular del Programa deben estar en el contexto que permita obtener información de los Docentes- participantes y sus estudiantes, para crear escenarios de aprendizaje lo más reales posibles.  El empleo de las TIC deben ser embebido en el Curriculum, como un fin educativo y propósito para aprender.  La cultura profesional docente debe cambiar, y en este cambio lo relevante es el manejo TIC para superar conocimientos y alcanzar objetivos institucionales de nivel, por lo que una estrategia de cambio está en la innovación.
  • 517.
    489  Debe despertarseuna actitud proactiva en el Docente, de tal modo que la innovación florezca individualmente, teniendo de base un criterio de compartir experiencias, reflejándose esto en la calidad del estudiantado.  El desarrollo de las competencias de los dicentes, será mejor identificado, fortalecido, mejorado y desarrollado, evaluando primero el estilo de aprendizaje, antes de proceder a crearse los escenarios educativos, creando esto una coherente optimización educativa.  El estilo pedagógico y/o andragógico docente vale considerarlo con las evaluaciones del caso, porque ayudará a mejorar el beneficio educativo y el empleo TIC, y así se contribuye a mejorar la calidad del servicio universitario.  La información para los Docentes debe ser tratada con un criterio andragógico, que sirva para orientar, facilitar y despertar la innovación, de modo que con el tiempo se creen redes de intercambio docente, se impulse la transferencia y por ende la transformación.  Debe tenerse plena conciencia que barreras materiales (acceso tecnológico a equipos y redes, falta de soporte, ausencia de apoyo financiero, etc.) e inmateriales( falta de desarrollo de competencias digitales, falta evidencia en la mejora de aprendizajes con el empleo de las TIC, necesidad de capacitación metodológica con TIC, etc. ) se irán desvaneciendo con el transcurrir del tiempo a medida que se enfoque las oportunidades de integración TIC, valorando la reflexión en su uso y su implicación curricular.
  • 518.
    490  Resulta muyinteresante, considerar los estímulos adecuados para los Docentes, sobre todo aquellos de reconocimiento académico que reflejen sus competencias en TIC en el área docente. Beneficiarios El beneficiario primario es la Universidad, ya que su planta docente tendrá la oportunidad de adquirir competencias en el manejo de las TIC acordes a las exigencias educativas y profesionales del presente siglo. Esto, estará reflejado en una mejor calidad educativa universitaria, cuyos beneficiarios mayores serán los estudiantes de las distintas Facultades, que son los futuros profesionales del país, que necesitan acreditarse sobre manera en el aprender a aprender. Impacto El impacto social será notorio en la productividad académica y profesional en su momento de los dicentes de la Universidad, en base a Docentes competentes en el uso de las TIC cuya obra ha sido iniciada, mejorada, fortalecida e innovada con el Programa en Formación Continua mencionado.
  • 519.
    491 REFERENCIAS BIBLIOGRÁFICAS ADELL, J.& CASTAÑEDA, L. (2010). Los Entornos Personales de Aprendizaje (PLEs): una nueva manera de entender el aprendizaje. Recuperado el 20 de Diciembre de 2012, de DIGITUM - Biblioteca Universitaria - Depósito Digital Institucional de la Universidad de Murcia: http://digitum.um.es/xmlui/bitstream/10201/17247/1/Adell%26Casta %C3%B1eda_2010.pdf (Pág. 104) ADELL, J. & CASTAÑEDA, L. (2011). El desarrollo profesional de los docentes en la era Internet: entornos personales de aprendizaje (PLE). Recuperado el 20 de Diciembre de 2012, de Slideshare: http://www.slideshare.net/citafgsr/jordi-adell-y-linda-castaeda-el- desarrollo-profesional-de-los-docentes-en-la-era-internet-entornos- personales-de-aprendizaje-ple (Pág. 105) ADELL, J. (2010). El diseño de actividades didácticas con TIC - JEDI 2010 Bilbao. Diapositiva 14. Recuperado el 18 de Diciembre de 2012, de Slideshare: http://www.slideshare.net/epdrntr/jordi-adell- el-diseo-de-actividades-didcticas-con-tic-jedi2010-bilbao (Pág. 103) AVIRAM, R. (2002). ¿Conseguirá la educación domesticar a las TIC? Ponencia presentada en el II Congreso Europeo de Tecnologías de la Información en la Educación y la Ciudadanía: Una Visión Crítica. Barcelona. (Pág. 148) AXIOLOGIC. (2011). www.Axiologic.org. Recuperado el 12 de Diciembre de 2012, de http://www.axiologic.org/axiologia.html (Pág. 34)
  • 520.
    492 BISQUERRA, R. (1989).Métodos de Investigación Educativa. Barcelona, España: Ceac. (Pág. 195) CABERO, J. (2001). La Matemática y las Tecnologías de Información y la Comunicación. Una aproximación teórica. Página 6. Recuperado el 16 de Diciembre de 2012, de Universidad de los Andes Venezuela: http://servidor-opsu.tach.ula.ve/7jornadas_i_h/paginas/doc/JIHE- 2011-PT170.pdf (Pág. 122) CAMPOS, Y. (2006). Innovación de estrategias didácticas y Educación informática. Diapositiva 15. Recuperado el 18 de Diciembre de 2012, de Slideshare: http://www.slideshare.net/yolacamposc/093innovacion-estrategias- informatica-v07 (Pág. 144) CAMPOS, Y. (2009). Innovación de estrategias didácticas y educación informática. Recuperado el 20 de Noviembre de 2012, de Slideshare.net: http://www.slideshare.net/yolacamposc/093innovacion-estrategias- informatica-v07 (Pág. 46) CASTELLS, M. (1997). CONACYT - Globalidad, Ciencia y Periodismo. (J. O. Picardo, Ed.) Recuperado el 27 de Febrero de 2012, de www.conacyt.gob.sv/globalidad.ppt (Pág. 16) CATALDI, Z. (2000). Metodología de diseño, desarrollo y evaluación de software educativo - Tesis de Magister en Informática(versión resumida) Facultad de Informática UNLP. Recuperado el 17 de Diciembre de 2012, de Facultad de Ingeniería - Universidad de Buenos Aires: http://laboratorios.fi.uba.ar/lsi/cataldi- tesisdemagistereninformatica.pdf (Páfs. 134, 136, 138)
  • 521.
    493 COLLINS, A. (1998).El potencial de las tecnologías de la información para la educación, pp. 29-51. Carmen Vizcarro y José León, Nuevas tecnologías para el aprendizaje, Psicología Pirámide. Madrid, España. (Pág. 173) COUROS, A. (2009). Open & Networked Teaching moodle canada '09 alex couros. Recuperado el 20 de Diciembre de 2012, de Slideshare: http://www.slideshare.net/courosa/knock-down-the- walls-toward-a-model-of-open-teaching (Pág. 108) COURUS,A. (2008). open.connected.social couros:cnie 2008.Recuperado el 20 de Diciembre de 2012, de Slideshare: http://www.slideshare.net/courosa/cnie-presentation-379583 (Pág. 108) DEL MORAL, M. y RODRÍGUEZ, R. (2010). Experiencias docentes y TIC. Oviedo, España: Octaedro. (Pág. 171) DÍAZ, D. (1999). La didáctica universitaria: referencia imprescindible para una enseñanza de calidad. Recuperado el 20 de Diciembre de 2012, de Revista Electrónica Interuniversitaria de formación de profesorado, 2(1).: http://ww.aufop.com/aufop/uploaded_files/articulos/1224326868.pdf (Pág. 112) DÍAZ, P. (2004). Las TIC como apoyo en el proceso enseñanza/aprendizaje. Recuperado el 18 de Diciembre de 2012, de Universidad Complutense de Madrid: http://www.ucm.es/campusvirtual/jornadas/ponencias/PDiaz.ppt (Pág. 149)
  • 522.
    494 DOWNES, S. (2007).The Recognition Factor. Recuperado el 20 de Diciembre de 2012, de stephen web Stephen Downes: http://www.downes.ca/presentation/133 (Pág. 93) EDUTEKA. (2008). Un modelo para integrar las TIC al currículo escolar. Recuperado el 19 de Diciembre de 2012, de EDUTEKA: http://www.eduteka.org/tema_mes.php3 (Pág. 152) ERTMER, P. & NEWBY, T. (1993). Behaviorism, cognitivism, constructivism: Comparing critical features from an instructional design perspective. Performance Improvement Quarterly, 6 (4), pp. 50-72. Recuperado el 20 de Diciembre de 2012, de WILEY On line Library: http://onlinelibrary.wiley.com/doi/10.1111/piq.1993.6.issue- 4/issuetoc (Pág. 111) ESTEVE, F. (2011). La competencia digital de los estudiantes universitarios: Definición conceptual y análisis de cinco instrumentos para su evaluación. Diapositiva 13. Recuperado el 30 de Enero de 2012, de Slideshare.net: http://www.slideshare.net/francescesteve/la-competencia-digital-de- los-estudiantes-universitarios-definicin-conceptual-y-anlisis-de- cinco-instrumentos-para-su-evaluacin (Pág. 170) FERNÁNDEZ PÉREZ. (1995). Las tareas de la Profesión de Enseñar. Siglo veintiuno Editores. (Pág. 135) FERNÁNDEZ, N. (2011). SOFTWARE ERP: ¿Cómo elegir e implementar el mejor para su empresa? Recuperado el 28 de Diciembre de 2012, de Scribd: http://es.scribd.com/doc/59758082/FERNANDEZ-
  • 523.
    495 RIPOLL-Nestor-D-2011-Software-ERP-Como-elegir-e-implementar- el-mejor-para-su-empresa (Pág. 187) FGPU.(2008). ESTÁNDARES DE COMPETENCIAS EN TIC PARA DOCENTES. Obtenido de Fundación Gabriel Piedrahita Uribe (FGPU), UNESCO: http://www.eduteka.org/pdfdir/UNESCOEstandaresDocentes.pdf (Pág. 165) GAGNÉ, R. (1970). The conditions of Learning. New York: Holt Rinehart & Winston. (Pág. 135) GALLEGOS, G. (2007). Visión General de la Informática Educativa. Diapositivas 6 a 14. Recuperado el 18 de Diciembre de 2012, de http://www.slideshare.net/guillermo/informtica-educativa (Pág. 139) GALVIS, Á. (2006). Desarrollo profesional docente con apoyo de información y comunicación. Marco Conceptual versión 1.0. Metacursos, estudio realizado para el Ministero de Educación Nacional, Alianza por la Educación MEN-Microsoft. Bogotá, Colombia. (Pág. 162) GALVIS, Á. (2008). La PIOLA y el desarrollo profesional docente con apoyo de tecnologías de información y comunicación - TIC. Bogotá: RVT con autorización de Metacursos. (Pág. 151) GARDNER, H. (1993). questia trusted On Line Research. Recuperado el 18 de Diciembre de 2012, de Multiple Intelligences: Theory in practice: http://www.questia.com/PM.qst?a=o&d=96971317 Pág. 138)
  • 524.
    496 GISBERT, M. &ESTEVE, F. (2011). Digital learners: la competencia digital de los estudiantes universitarios. Recuperado el 29 de Diciembre de 2012, de La Cuestión Universitaria - Boletín Electrónico de la Cátedra UNESCO de Gestión y Política Universitaria: http://www.lacuestionuniversitaria.upm.es/web/articulo.php?id_artic ulo=83 (Pág. 169) GOMES, A. (2007). Modelos Educativos en la Sociedad del Conocimiento. Recuperado el 19 de Diciembre de 2012, de Portal e Tutores: http://www.etutors-portal.net/portal-contents-es- es/pedagogy-es- es/Modelos_Educativos_Sociedad_Conocimiento.pdf (Pág. 156) GÓMEZ, M. (2006). Introducción a la Metodología de la Investigación Científica (5ta. ed.). Córdoba, Argentina: Editorial Brujas. (Pág. 194) GRASHA, T. (1996). Teaching with Style. San Bernadino, CA, USA: Anthony Grasha en 1996. (Pág. 66) HERNÁNDEZ, A. (2008). Experiencias de aprendizaje en la era digital: Algunas orientaciones para su diseño. Recuperado el 20 de Diciembre de 2012, de Monografias.com: http://www.monografias.com/trabajos62/experiencias-aprendizaje- era-digital/experiencias-aprendizaje-era-digital2.shtml (Pág. 104) HERNÁNDEZ, R. , FERNÁNDEZ, C. & BAPTISTA, P. (2003). Metodología de la Investigación (3ra. ed.). Mc Graw Hill Interamericana. (Pág. 195)
  • 525.
    497 HONEY, P. &MUNFORD, A. (1986). The Manual of Learning Styles. Maidenhead, Berkshire, United Kingdom: Peter Honey Associates. (Pág. 65) ITAA. (2007). INFORMATION TECHNOLOGY ASSOCIATION OF AMERICA - TIC.Recuperado el 19 de Diciembre de 2012, de Espacio Común del Sistema de Institutos Tecnológicos de México: http://miespaciocomun.com/pmwiki.php?n=Main.TIC (Pág. 155) JOHNSON, D. (1992). “Cooperative learning increasing”. Washinton D.C., College Faculty, ERIC Digest.Recuperado el 20 de Diciembre de 2012, de OID UCLA Office of Intruccional Development: http://www.oid.ucla.edu/units/tatp/old/lounge/pedagogy/downloads/ cooperative-eric.pdf (Pág. 98) KOZMA, R. (2011). ICT, Education Transformation, and Economic and Social Development.Obtenido de Robert Kozma 27 04 2011 pptx: http://ebookbrowse.com/robert-kozma-27-04-2011-pptx- d147425271 (Pág. 393) LARA, J. , CAMACHO, M., MURILLO, E. y SALAZAR, M. (2007). Modelos Pedagógicos en la Educación a Distancia apoyados en TIC, pág. 32. Recuperado el 20 de Diciembre de 2012, de Revista Acción Educativa No. 7, Universidad de Sinaloa: http://face.uasnet.mx/revistacise7_1_.pdf.pdf (Pág. 172) LEÓN, F. (2011). 8 grandes ideas. Recuperado el 17 de Diciembre de 2012, de Gobierno de Canarias un solo pueblo - Consejería de Educación, Universidades y Sostenibilidad:
  • 526.
    498 http://www2.gobiernodecanarias.org/educacion/clicescuela20/blog/ blog/2011/11/25/8-grandes-ideas/ (Pág. 133) LERMA,H. (2011). En Metodología de la investigación. Propuesta, anteproyecto y proyecto (Cuarta ed., pág. 72). Bogotá: ECOE Ediciones. (Pág. 189, 190) LIBEDINSKY, M. (1995). La utilización del correo electrónico en la escuela, en Litwin. En Tecnología educativa: políticas, historias, propuestas (págs. 275-288). Buenos Aires: Paidós. (Pág. 138) LICONA, A. (2011). Ponencia Mesa 1: Formación docente para el uso de las TIC. Apuntes de Pedagogía y Didáctica para el ejercicio de la actividad docente en el Aula Virtual. Mallorca, España. (Pág. 22) LÓPEZ, M. (2007). La formación del profesorado universitario en tecnologías de la información y comunicación. Recuperado el 19 de Diciembre de 2012, de Universidad de Caldas Lumina Spargo - Revista Vector: http://vector.ucaldas.edu.co/downloads/Vector2_5.pdf (Pág.161) LU, P. (2011). Parvy Lu. Recuperado el 18 de Diciembre de 2012, de Software Educativo: http://parvy.blogspot.com/ (Pág. 142) LUNDVALL, B. (2002). “The University in the Learning Economy”. Druid Working Papers, 2002, núm. 6. Recuperado el 20 de Diciembre de 2012, de DRUID: http://www.druid.dk/wp/pdf_files/02-06.pdf (Pág. 98)
  • 527.
    499 MAGER, R. (1967).Formulación operativa de objetivos didácticos. Madrid: Marova. (Pág. 135) MAJÓ, J. (2003). Nuevas tecnologías y educación. Recuperado el 19 de Diciembre de 2012, de UOC Universitat Oberta de Catalunya: http://www.uoc.edu/web/esp/articles/joan_majo.html (Pág. 150) MAO, I. (2008). Sharism: A Mind Revolution.Recuperado el 20 de Diciembre de 2012, de Joi Ito FREESOULS captured and released: http://freesouls.cc/essays/07-isaac-mao-sharism.html (Pág. 99) MARQUÉS, P. (2011). La Enseñanza. Buenas Prácticas. La Motivación. Recuperado el 5 de Diciembre de 2012, de http://www.peremarques.net/actodid.htm (Pág. 50, 51) MARQUÉS, P. (2011). Los Medios Didácticos. Recuperado el 17 de Diciembre de 2012, de Tecnología Educativa - Web Pere Marqués: http://peremarques.pangea.org/medios.htm (Pág. 129) MARTÍN, J., BELTRÁN, J y PÉREZ, L. (2003). Impacto de las TIC en Educación: Funciones y limitaciones. Recuperado el 19 de Diciembre de 2012, de Tecnología Educativa: Web Pere Marqués: http://www.peremarques.net/siyedu.htm (Pág. 150) MCCARTHY, B. (1987). The 4MAT system : teaching to learning styles with right/left mode techniques.Barrington,IL: Excel. (Pág. 65) MISHRA & KOEHLER. (2006). Mishra & Koehler 2006. Recuperado el 17 de Diciembre de 2012, de WizIQ education.online:
  • 528.
    500 http://www.wiziq.com/tutorial/71615-Mishra-amp-Koehler-2006 (Pág. 125) MISHRA &KOEHLER. (2008). Mishra & Koehler 2008. Recuperado el 17 de Diciembre de 2012, de WizIQ education.online: http://www.wiziq.com/tutorial/71616-Mishra-amp-Koehler-2008 (Pág. 125) MORÍN, E. (1999). Los 7 saberes necesarios para la educación del futuro. (1ra. ed.). (UNESCO, Ed.) París., Francia: Santillana. (Pág. 45) MUÑOZ, E. y MORENO, J. (2009). La actitud 2.0 en la Docencia Universitaria ante los nuevos planes de estudio del EEES. Obtenido de Grupo de Tecnología Educativa - Universidad de Sevilla: http://tecnologiaedu.us.es/tecnoedu/images/stories/curso_actitud_2 _0.pdf (Pág. 143) NOVAK, J. & BOWIN, D. (1988). Aprendiendo a aprender. Barcelona: Ediciones Martínez Roca. (Pág. 137) OCHOA DEL RIO, J. (2009). eumed.net. Obtenido de Aproximación al enfoque por competencia desde la perspectiva epistemológica, en Contribuciones a las Ciencias Sociales: http://www.eumed.net/rev/cccss/06/jaor.htm (Pág. 169) O'REILLY, T. (2006). Qué es Web 2.0. Patrones del diseño y modelos del negocio para la siguiente generación del software. Recuperado el 18 de Diciembre de 2012, de Telefonica: http://sociedadinformacion.fundacion.telefonica.com/DYC/SHI/secci
  • 529.
    501 on=1188&idioma=es_ES&id=2009100116300061&activo=4.do?ele m=2146 (Pág. 143) ORTIZ,F. (2004). Diccionario de Metodología de la Investigación Científica. México, México: LIMUSA. (Pág. 197) OSPINA, A. (2008). Modelo Educativo Básico. Recuperado el 18 de Diciembre de 2012, de 300 líderes: http://300- lideres.blogspot.com/2008/11/modelo-educativo-bsico.html (Pág. 198) PERKINS, D. (1985). The Fingertip Effect: How Information-Processing Technology Shapes Thinking. En Educational Researcher (págs. Vol. 14, No. 7 (Aug. - Sep., 1985), pp. 11-17). Washington: American Educational Research Association. (Pág. 138) PERKINS, D. (1995). David Perkins. Recuperado el 17 de Diciembre de 2012, de Project Zero Harvard Graduate School of Education: http://pzweb.harvard.edu/pis/DP.htm (Pág. 137) POMPEYA, V. (2008). “Blended Learning”. La importancia de la utilización de diferentes medios en el proceso educativo. Recuperado el 14 de Diciembre de 2012, de Post-Grado Facultad de Informática - Universidad Nacional de La Plata: http://postgrado.info.unlp.edu.ar/Carreras/Magisters/Tecnologia_Inf ormatica_Aplicada_en_Educacion/Tesis/Eliana_Lopez.pdf (Pág. 71)
  • 530.
    502 PONT, B. (2000).La integración de las TICs en el proceso educativo: Una visión internacional. Paper presentado en Seminario Internacional de la Red Enlaces. Santiago, Chile. (Pág. 39) RIVEROS, V., MENDOZA, M. y CASTRO, R. (2011). La Matemática y las Tecnologías de la Información y Comunicación. Una aproximación teórica. Página 7. Recuperado el 16 de Diciembre de 2012, de Universidad de los Andes Venezuela: http://servidor- opsu.tach.ula.ve/7jornadas_i_h/paginas/doc/JIHE-2011-PT170.pdf (Pág. 122) RODRÍGUEZ, E. (2009). Importancia de las TIC en el proceso enseñanza- aprendizaje. Recuperado el 18 de Diciembre de 2012, de eumed.net: http://www.eumed.net/rev/ced/09/emrc2.htm (Pág.149) RODRÍGUEZ, E. (2010). Kit básico para un Profesor 2.0. Recuperado el 18 de Diciembre de 2012, de iberestudios Internacional: http://noticias.iberestudios.com/kit-basico-para-un-profesor-2-0/ (Pág. 143, 172) RODRÍGUEZ, I. (2004). La Matemática y las Tecnologías de la Información y Comunicación. Una aproximación teórica. Página 8. Recuperado el 16 de Diciembre de 2012, de Universidad de los Andes Venezuela: http://servidor- opsu.tach.ula.ve/7jornadas_i_h/paginas/doc/JIHE-2011-PT170.pdf (Pág. 122) SALKIND, N. (1999). Métodos de Investigación. México, México: Prentice Hall. (Pág. 197)
  • 531.
    503 SAN MARTÍN, A.(2009). Convergencia tecnológica: la producción de pedagogías high tech. Página 144. Recuperado el 10 de Diciembre de 2012, de Revista Electrónica Teoría de la Educación.Educación y Cultura en la Sociedad de la Información.: http://campus.usal.es/~teoriaeducacion/rev_numero_10_01/MONO GRAFICO_CONVERGENCIA_TECNOLOGICA.pdf (Pág.40) SCHUNK, D. (1991). Self-efficacy and academic motivation. Educational Psychologist, 26,(3 & 4), 201-231. Estados Unidos. (Pág. 111) SEELY, J. (2008). Minds of FIRE, Open Education, The Long tail, the Learning 2.0.Recuperado el 20 de Diciembre de 2012, de John Seely Brown: http://www.johnseelybrown.com/mindsonfire.pdf (Pág. 98) SHUELL, T. (1990). Phases of meaningful learning. Review of Educational Research, 60. Effective School Practices, Summer 1993, 531-547. (Pág. 80) SIEMENS, G. (2004). Connectivism: A Learning Theory for the Digital Age. Recuperado el 20 de 12 de 2012, de elearnspace: http://www.elearnspace.org/Articles/connectivism.htm (Pág. 93) STERNBERG, R. (1997). Robert Sternberg: los perfiles de estilos y la inteligencia. Recuperado el 16 de Diciembre de 2012, de Centros de Comunidad de Aprendizaje: http://www.cca.org.mx/profesores/cursos/cep21- tec/modulo_2/modelo_robert_sternberg.htm (Pág. 66)
  • 532.
    504 TORO, P., OCHOA,P., VILLEGAS, G. & ZEA, C. (2004). Primer Congreso Internacional de Educación Mediada con Tecnologías - Competencias deseables de un docente universitario en el uso de las tecnologías de información y comunicación (TIC). Recuperado el 19 de Diciembre de 2012, de Universidad del Norte: http://www.uninorte.edu.co/divisiones/iese/lumen/ediciones/5/articul os/competencias.pdf (Pág. 163) TÜNNERMANN, C. (1998). EL rol del Docente en la Educación Superior del siglo XXI. Recuperado el 19 de Diciembre de 2012, de Universidad Nicaragüense de Ciencia y Tecnología: http://www.ucyt.edu.ni/Download/EL_ROL_DEL_DOCENTE_EN_L A_E_S_DEL_SIGLO_XXI.pdf (Pág. 159) TÜNNERMANN, C. (2000). Universidad y sociedad: balance histórico y perspectivas desde Latinoamérica (1ra. ed.). Caracas, Venezuela: IMPRIMATUR. (Pág. 17) UBIETO, M. & UBIETO, A. (2011). Competencias en TIC y Plataformas educativas en la Universidad. Página 2. Recuperado el 15 de Diciembre de 2012, de Educación Mediática & Competencia Digital - La Cultura de la Participación: http://www.educacionmediatica.es/comunicaciones/Eje%201/M%C 2%AA%20Isabel%20Ubieto%20Artur%20- %20Antonio%20Paulo%20Ubieto%20Artur.pdf (Pág. 170) UNESCO. (2008). OEI, Eduteka. (Eduteka, Editor) Recuperado el 15 de Diciembre de 2012, de Estándares de competencias en TIC para Docentes: http://www.oei.es/tic/UNESCOEstandaresDocentes.pdf (Pág. 17)
  • 533.
    505 UNESCO. (2008). UNESCO'sICT Competency Standards for Teachers.Recuperado el 19 de Diciembre de 2012, de UNESCO - Communication and Information: http://cst.unesco- ci.org/sites/projects/cst/The%20Standards%20SP/Forms/AllItems.a spx (Pág. 165, 170) UNESCO. (2011). ICT COMPETENCY FRAMEWORK FOR TEACHERS.Recuperado el 20 de Diciembre de 2012, de UNESCO: http://unesdoc.unesco.org/images/0021/002134/213475e.pdf (Pág. 166) UNIVERSIDAD DE GUAYAQUIL. (2011). Universidad de Guayaqul. Recuperado el 27 de Febrero de 2012, de http://www.ug.edu.ec/infopublica/paginas/planestrategico/objetivos. aspx (Pág. 14, 179) UPEL. (2006). FEDUPEL. (Pág. 187) VALLEJO, C. (2013). Gobierno de España, Ministerio de Educación, Cultura y Deporte, Observatorio Tecnológico. Obtenido de http://recursostic.educacion.es/observatorio/web/es/cajon-de- sastre/38-cajon-de-sastre/1092-monografico-introduccion-de-las- tecnologias-en-la-educacion?start=1 (Pág. 126) VALVERDE, J. & GARRIDO, M. (1999). El impacto de las Tecnologías de la Información y la Comunicación en los roles docentes universitarios. Recuperado el 19 de Diciembre de 2012, de Asociación Universitaria de Formación del Profesorado:
  • 534.
    506 http://aufop.com/aufop/uploaded_files/articulos/1224337118.pdf (Pág. 157) VELASCO, M.(2011). Tecnología Curricular. Recuperado el 18 de Diciembre de 2012, de mirovelasco: http://mirovelasco.blogia.com/2011/021101-tecnologia- curricular.php (Pág. 147) VIDAL DÍAZ DE RADA. (2001). Diseño y elaboración de cuestionarios para la investigación comercial. Madrid, España: ESIC. (Pág. 195) ZAPATA, Ó. (2005). La aventura del pensamiento crítico - Herramientas para elaborar tesis e investigaciones socio-educativas. México, México: Pax México. (Pág. 195)
  • 535.
    507 BIBLIOGRAFÍA GENERAL ALTBACH, Philip,REISBERG, Liz y RUMBLEY, Laura (2009). Trends in Global Higher Education: Tracking and Academic Revolution. UNESCO.París – Francia. BALASUBRAMANIAN, K., CLARKE-OKAH, Willie, DANIEL, John, FERREIRA, Frances, KANWAR, Asha, KWAN, Angela, LESPERANCE, John, MALLET, Joshua, UMAR, Abdurrahman y WEST, Paul.(2009). ICTs for Higher Education.United Nations Educational, Scientific and Cultural Organization. UNESCO. París – Francia. BARBERO, Jesús (2009). Universidad de Salamanca, Revista Electrónica Teoría de la Educación. Educación y Cultura en la Sociedad de la Información. Cuando la tecnología deja de ser una ayuda didáctica para convertirse en mediación cultural. Vol. 10. Nº 1, Marzo 2009. CABERO, Julio (2011), Nuevas tecnologías aplicadas a la Educación. Mc. Graw Hill. España. ISBN 8448156110. DELORS, Jacques y otros (1996). Informe a la UNESCO de la Comisión Internacional sobre la educación para el siglo XXI, presidida por Jacques Delors. La educación encierra un tesoro. Editorial Santillana. DIRECCIÓN DE DESARROLLO ACADÉMICO DE LA UNIVERSIDAD DEL VALLE DE MÉXICO (2009). Modelo Andragógico, Fundamentos. 1ra. Edición. México D.F. ISBN 978-607-95039-3-2. GALVIS, Álvaro (2008). La PIOLA y el desarrollo profesional docente con apoyo de Tecnologías de Información y Comunicación-TIC, Metacursos, Bogotá.
  • 536.
    508 GARITA, Luis (2008).La Didáctica Universitaria en el Contexto de la Andragogía: Aprender a aprender en la educación de personas adultas. TEC Empresarial Vol. 2 Ed. 2. GOBIERNO DE LA REPÚBLICA DEL ECUADOR (2010). Ley Orgánica de Educación Superior, Registro Oficial No. 298, 12 de octubre del 2010. Quito – Ecuador. LUGO, María y VALENCIA, Kelly (2011). El modelo 1 a 1: un compromiso por la calidad y la igualdad educativas. La gestión de las TIC en la escuela secundaria: nuevos formatos institucionales. Ministerio de Educación de La Nación. Buenos Aires - Argentina. MORÍN, Edgar (1999). Los siete saberes necesarios para la educación del futuro. Editorial Santillana. París – Francia. RODRÍGUEZ, Rosa (2010), Universidad de Salamanca, Revista Electrónica Teoría de la Educación. Educación y Cultura en la Sociedad de la Información. El impacto de las TIC en la transformación de la enseñanza universitaria: repensar los modelos de enseñanza y aprendizaje. Vol. 11. Nº 1. TÜNNERMANN, Carlos (2001). Universidad y sociedad: Balance histórico y perspectivas desde América Latina, 1ra. Edición, Editorial Hispamer, Managua - Nicaragua. UNESCO (1998). Conferencia Mundial sobre la Educación Superior. La educación superior en el siglo XXI. Tomo I, Informe Final. 5-9 de octubre. UNESCO. París – Francia.
  • 537.
    509 UNESCO (2005). Informemundial de la UNESCO. Hacia las Sociedades del Conocimiento. Ediciones UNESCO. UNESCO (2009). Conferencia Mundial sobre la Educación Superior - 2009: La nueva dinámica de la educación superior y la investigación para el cambio social y el desarrollo. Comunicado. 5-8 de julio. UNESCO. París – Francia. UNESCO, ALLEN, Nancy, ANDERSON, Jonathan, DAVIS, Niki, MURANOV, Alexey y UVAROV, Alexander (2004). Las Tecnologías de la Información y la Comunicación en la Formación Docente. Guía de Planificación. UNESCO. Edición en español Ediciones TRILCE. Montevideo – Uruguay. UNESCO AND MICROSOFT (2011).UNESCO ICT COMPETENCY FRAMEWORK FOR TEACHERS.UNESCO.United Nations Educational, Scientific and Cultural Organization. París – Francia.
  • 538.
    510 LINKOGRAFÍA GENERAL Consultada al27 de junio del 2013 ADELL, Jordi (2010). El diseño de actividades didácticas con TIC, JEDI2010, Bilbao. http://www.slideshare.net/epdrntr/jordi-adell-el- diseo-de-actividades-didcticas-con-tic-jedi2010-bilbao AGUILERA, Jorge (2010).Sharismo, la esencia de la Web 2.0.http://comunicacioninternayclima.blogspot.com/2010/01/sharismo- la-esencia-de-la-web-20.html AGUSTÍN, José (2009). La Gestión Docente Hoy, Perfil. http://www.slideshare.net/intecsocial/jos-agustn-de-miguel-intec- ucateci ÁLVAREZ, David (2010). Organizando los PLE.http://e- aprendizaje.es/2010/03/05/organizando-los-ple/ ÁLVAREZ, David (2012). PLE: Gestión del Conocimiento y Colaboración en Red.http://www.slideshare.net/balhisay/ple-gestin-del- conocimiento-y-colaboracin-en-red?from=ss_embed AVALOS, Marco (2011). Conectivismo y educación(comparación con teorías educativas).http://es.scribd.com/doc/48666768/Conectivismo-y- educacion BÁEZ, Leticia (2008). Aprendizaje/Interaccion.http://lettbaso132.blogspot.com/2008_09_07_a rchive.html
  • 539.
    511 BAUTISTA, Rocío (2008).Desarrollo de competencias a través de la educación a distancia, “Estándares UNESCO de Competencias en TIC para Docentes”.http://www.temachtiani.com/onteanqui2/.../competenciasEn TIC.pps CALZADILLA, María (2008). Modelo teórico metodológico para la incorporación de las tecnologías de información y comunicación en la formación docente de pregrado a distancia.http://www.scielo.org.ve/scielo.php?pid=S1316- 00872008000300011&script=sci_arttext CAMPOS, Yolanda (2007). Enfoque humanista integrador de la Educación Informática. Un modelo de aplicación en el aula.http://www.camposc.net/0repositorio/presentaciones/. 07someceCamposYolanda.pdf CAMPOS, Yolanda(2011). Competencias matemáticas e informáticas para la vida en la educación básica. Un enfoque humanista integral. http://www.somece.org.mx/Simposio2011/Memoria/Modelos_2_files/C amposCamposYolanda.doc CAMPOS, Yolanda (2009). Innovación de estrategias didácticas y Educación Informática.http://www.slideshare.net/yolacamposc/093innovacion- estrategias-informatica-v07 CASTAÑEDA, Linda (2009). Las universidades apostando por las TIC: Modelos y paradojas de cambio institucional. http://edutec.rediris.es/Revelec2/revelec28/edutec28_universidades_a postando_tic.html
  • 540.
    512 CENTRO ARAGONÉS DETECNOLOGÍAS PARA LA EDUCACIÓN (2008). Trabajo colaborativo y aprendizaje cooperativo. http://www.catedu.es/competencias/Materiales/01%20Trabajo%20cola borativo.pdf CENTRO INTERNACIONAL DE TECNOLOGÍAS AVANZADAS-CITA (2011). Jordi Adell y Linda Castañeda: El desarrollo profesional de los Docentes en la era de Internet, entornos personales de aprendizaje (PLE).http://www.slideshare.net/citafgsr/jordi-adell-y-linda-castaeda-el- desarrollo-profesional-de-los-docentes-en-la-era-internet-entornos- personales-de-aprendizaje-ple CEVALLOS, Jorge (2012). Las orientaciones de la formación de los profesores de la educación superior para el siglo xxi en México" en Atlante. Cuadernos de Educación y Desarrollo. http://atlante.eumed.net/las-orientaciones-de-la-formacion-de-los- profesores-de-la-educacion-superior-para-el-siglo-xxi-en-mexico/. CHURCHES, Andrew (2009). Taxonomía de Bloom para la era digital.http://www.eduteka.org/TaxonomiaBloomDigital.php COLEGIO DE POST-GRADUADOS, Financiera Rural (2009). Las bases del aprendizaje. Jesús Flores.http://www.smt.colpos.mx/16/mp._las_bases_del_aprendizaje._j esus_flores.doc COUROS, Alec (2008). CNIE Presentation.http://www.slideshare.net/courosa/cnie-presentation- 379583
  • 541.
    513 COUROS, Alec (2009).KnockDown the Walls: Toward a Model of Open Teaching.http://www.slideshare.net/courosa/knock-down-the- walls-toward-a-model-of-open-teaching COUROS, Alec (2010). Rethinking Teaching & Learning in a Networked Reality. http://www.slideshare.net/courosa/rethinking- teaching-learning-in-a-networked-reality DOWNES, Stephen (2009). Connectivist Dynamics in Communities. http://halfanhour.blogspot.com/2009/02/connectivist-dynamics-in- communities.html EDUTEKA(2008). Un modelo para integrar las TIC al Currículo Escolar. http://www.eduteka.org/modulos.php?catx=8&idSubX=251 EDUTEKA (2009). Estándares para Estudiantes, Docentes y Directivos. http://www.eduteka.org/modulos/11/346 FIGUEROA, Willy (2010). Preguntas al diseñar un Proceso Educativo. http://willyfigueroa.wordpress.com/2010/08/21/preguntas-al-disenar- un-proceso-educativo/ FIGUEROA, Willy (2011). Aprender de TIC y aprender con TIC. http://willyfigueroa.wordpress.com/tag/pedagogia/ GALLARDO, Eliana, MARQUÉS, Luís, GISBERT, Mercé (2011). Propuesta de Competencias TIC en el marco del Programa Nacional de Formación y Capacitación Docente (PRONAFCAP) (Perú), Revista Iberoamericana de Educación, 25 de Mayo, ISSN: 1681-5653. http://www.rieoei.org/deloslectores/3617Gallardo.pdf
  • 542.
    514 GALLEGOS, Guillermo (2007),Visión General de la Informática Educativa.http://www.slideshare.net/guillermo/informtica-educativa GARCÍA, Ana (2008). La evaluación del trabajo colaborativo con las herramientas 2.0: Una propuesta de aplicación universitaria. http://www.mentalidadweb.com/wp- content/uploads/2008/07/annagarciasans_comunicacion_evaluacion_ti c.pdf GONZÁLEZ, Mónica (2011). Mapa Conceptual Estrategias de Aprendizaje.http://mgonzalezperez30.blogspot.com/2011/06/mapa- conceptual-estrategias-de.html GOBIERNO FEDERAL DE MÉXICO (2011). Curso básico de Formación Continua para Docentes en Servicio 2011. Relevancia de la profesión docente en la escuela del nuevo milenio. http://es.scribd.com/doc/59189904/Curso-Basico-de-Formacion- Continua-para-Maestros-en-Servicio-2011 GOBIERNO NACIONAL DELA REPÚBLICA DEL ECUADOR (2010). Ley Orgánica de Educación Superior, Registro Oficial No. 298. http://www.senplades.gov.ec/web/18607/ley-educacion-superior GÓMEZ, Aida (2007), Modelos Educativos en la Sociedad del Conocimiento. http://www.etutors-portal.net/portal-contents-es- es/pedagogy-es-es/Modelos_Educativos_Sociedad_Conocimiento.pdf HAJDU, Bianka (2009), Sharismo. http://www.biankahajdu.com/2009/12/05/sharismo/
  • 543.
    515 HARO, Juan (2008),Aplicaciones 2.0. http://jjdeharo.blogspot.com/2010/02/herramientas-para-una- educacion-20.html HERNÁNDEZ, Ana (2008). Experiencias de aprendizaje en la era digital: Algunas orientaciones para su diseño.http://www.monografias.com/trabajos62/experiencias- aprendizaje-era-digital/experiencias-aprendizaje-era- digital2.shtml#xorient JONCALVES, Nolberto, ALONSO, José (2009). Una aproximación de la innovación educativa desde la formación tecnológica del docente, Revista Ciencias de la Educación No. 34, Julio-Diciembre, Facultad de Ciencias de la Educación, Universidad de Carabobo, Valencia, Venezuela. http://servicio.bc.uc.edu.ve/educacion/revista/n34/art11.pdf JUNTA DE ANDALUCÍA (2008). Las TIC en la práctica docente: Desarrollo e integración curricular. Gestión de centros TIC- DIG.http://www.juntadeandalucia.es/averroes/cepcastilleja/planactuaci on/linea_tic_pac_0809/index.html KOSAK, Débora (2009). Las TIC y la Formación Docente. http://www.ramiropol.com.ar/wp-content/uploads/2009/09/2009-Kozak- 1-copia.pdf KOZMA, Robert (2011). ICT, Education Transformation, and Economic and Social Development. http://ebookbrowse.com/robert- kozma-27-04-2011-pptx-d147425271
  • 544.
    516 LEÓN, Francisco (2011),8 grandes ideas.http://www2.gobiernodecanarias.org/educacion/clicescuela20/blo g/blog/2011/11/25/8-grandes-ideas/ LICONA, Ana (2011). Apuntes de Pedagogía y Didáctica para el ejercicio de la actividad docente en el Aula Virtual. http://gte2.uib.es/edutec/sites/default/files/congresos/edutec11/Ponenci as/Mesa%201- def/Apuntes%20de%20pedagog%C3%ADa%20y%20did%C3%A1ctica %20para%20el%20ejercicio%20de%20la%20actividad%20docente%2 0en%20el%20aula%20virtual.pdf. LARA, Tíscar (2009). Competencias digitales en un entorno de conocimiento abierto.http://www.slideshare.net/tiscar/competencias- digitales-y-conocimiento-abierto LIZCANO. Rafael, RODRÍGUEZ, Alexander y PARRA, Wilmer (2006). Ponencia sobre software de apoyo al diagnóstico y clasificación de estudiantes por estilo de aprendizaje para soportar actividades de un proceso formativo en un ambiente virtual de aprendizaje, Universidad Industrial de Santander.http://ebookbrowse.com/articles-108461- archivo-pdf-d31741123 MAESTROS Y DIÁLOGOS(2006). El modelo de David Kolb.http://maestrosycontextos.blogdiario.com/1156093080/ MARQUÉS, Pere (2008). La escuela del 2015, las competencias tic del docente. http://uab.academia.edu/PereMarques/Papers/323748/Las_competenc ias_TIC_del_docente
  • 545.
    517 MARQUÉS, Pere (2011).La enseñanza. Buenas prácticas. La motivación.http://peremarques.pangea.org/actodid.htm MARQUÉS, Pere (2011).Los medios didácticos. http://peremarques.pangea.org/medios.htm MARQUÉS, Pere (2012). ¿Qué es un curriculum bimodal? (versión 3.0). http://peremarques.blogspot.com/2011/09/que-es-el-curriculum- bimodal-i.html MINISTERIO DE EDUCACIÓN DEL GOBIERNO DE CHILE, CENTRO DE EDUCACIÓN Y TECNOLOGÍA-ENLACES (2010). Actualización de competencias y estándares tic en la profesión docente, Mayo. http://es.scribd.com/doc/39080799/Competencias-y-estandares-TIC- en-la-profesion-docente MINISTERIO DE EDUCACIÓN NACIONAL DE LA REPÚBLICA DE COLOMBIA, PROGRAMA NACIONAL DE INNOVACIÓN EDUCATIVA CON USO DE TIC, PROGRAMA ESTRATÉGICO PARA LA COMPETITIVIDAD (2008). Ruta de apropiación de TIC en el Desarrollo Profesional Docente. http://competenciasdigitales1.wikispaces.com/file/view/Ruta+apropiaci %C3%B3n+de+TIC+en+el+desarrollo+profesional+docente+para+edu caci%C3%B3n+superior+MEN.pdf MINISTERIO DE EDUCACIÓN NACIONAL DE LA REPÚBLICA DE COLOMBIA, PROGRAMA NACIONAL DE USO DE MEDIOS Y NUEVAS TECNOLOGÍAS, RUTA DE DESARROLLO PROFESIONAL DOCENTE PARA EL USO DE NUEVAS TECNOLOGÍAS (2008). Apropiación de TIC en el Desarrollo Profesional Docente, Versión 2.0.
  • 546.
    518 http://www.iered.org/cmapserver/servlet/SBReadResourceServlet?rid= 1H1GMHSFS-1RHS5MF-1LQ MUÑOZ, Elisa yMORENO, José (2009). La actitud 2.0 en la docencia universitaria ante los nuevos planes de estudio del EEES.http://tecnologiaedu.us.es/tecnoedu/images/stories/curso_actitu d_2_0.pdf NAVAJO, Pablo (2010). Nuevas formas de aprender: El Conectivismo. http://www.iniciativasocial.net/?p=288#sdfootnote3sym OLMOS, Maritza, TORO, Ruth (2011). Las TIC en la Formación Docente, una perspectiva global. http://www.publicaciones.urbe.edu/index.php/REDHECS/article/view/7 33/2323 PALMA, Juan (2011). Artículo. La Alfabetización Informativa Tecnológica: Estrategia fundamental para la educación del siglo XXI.http://eprints.rclis.org/17385/1/rd22-jmpp-11.pdf. PASCUAL, José (2008). Introducción al uso de software educativo.http://www.slideshare.net/Sisifo08/software-educativo- introduccin-presentation PÉREZ, María, AGUADED, José, FANDOS, Manuel (2009). Una política acertada y la formación permanente del profesorado, claves en el impulso de los centros tic de Andalucía (España), Revista Electrónica de Tecnología Educativa No. 29 Julio, ISSN: 1135-9250. http://edutec.rediris.es/Revelec2/revelec29/articulos_n29_pdf/1Edutec- E_Amor-Aguaded-Fandos_n29.pdf
  • 547.
    519 PAZOS, Fernando (2012).Organizaciones de aprendizaje, Universidad Yacambú, Vicerrectorado de Investigación y Postgrado, Instituto de Investigación y Postgrado. http://www.slideshare.net/fpazosd/organizaciones-de-aprendizaje- 14610840 PINTOS, Painé y KABUSH, Andrés (2008).El uso de las TIC en el proceso enseñanza/aprendizaje. http://www.slideshare.net/painni/introduccin-a-las-tics-presentation QUINTANA, Emilio (2010).Cognición, creatividad y sharismo. http://www.nodosele.com/blog/2010/10/02/cognicion-creatividad-y- sharismo/ QUINTANA, Juan (2009), Teorías del Aprendizaje – 1ra parte. http://www.slideshare.net/saberes/teorias-aprendizaje-i QUINTANA, Juan (2009), Teorías del Aprendizaje – 2da parte. http://www.slideshare.net/blueistar/teorias-aprendizaje-b LÓPEZ, Marcelo (2007), La formación del profesorado universitario en tecnologías de la información y comunicación.http://vector.ucaldas.edu.co/downloads/Vector2_5.pdf RIVEROS, Víctor, MENDOZA, María y REXNE Castro (2011).La Matemática y las Tecnologías de la Información y la Comunicación. Una aproximación teórica. http://servidor- opsu.tach.ula.ve/7jornadas_i_h/paginas/doc/JIHE-2011-PT170.pdf
  • 548.
    520 RODRÍGUEZ, Enrique (2011).Red-Educación: Pedagogía 2.0. http://blog.wiseri.com/es/espanol-red-educacion-pedagogia-2-0/ RODRÍGUEZ, Eva (2010). Kit para un Profesor 2.0. http://noticias.iberestudios.com/kit-basico-para-un-profesor-2-0/ ROMERO, Rosalía (2009). Utilización de las TIC en la Educación Universitaria. http://www.pucmm.edu.do/RSTA/Academico/TE/Documents/ticeducaci onuniv.pdf RUBIO, Enrique (2009), Aprender a Ser y Estar (eCompetencias), en la Sociedad y Economía del Conocimiento: Aprendizaje 2.0.http://www.slideshare.net/erubio/presentacion-aprender-a-ser-2 SÁNCHEZ, Antonio, BOIX Josep, JURADO, Pedro (2009). La sociedad del conocimiento y las tics: una inmejorable oportunidad para el cambio docente, Pixel-Bit Revista de Medios y Educación No. 34, Enero 2009. http://www.sav.us.es/pixelbit/pixelbit/articulos/n34/13.pdf SCHUSCHNY, Andrés (2008).Sharismo (Compartismo): Una revolución de la mente.http://humanismoyconectividad.wordpress.com/2008/12/09/shar ismo/ SIMOSA, Lenny (2010). Ensayo sobre las Teorías Educativas.http://lennysimosa1.blogspot.com/2010/12/ensayo-sobre- las-teorias-educativas.html SPADONI, Gabriela (2010). Incidentes críticos para potenciar la utilización de las TIC.
  • 549.
    521 http://eduticsantafe.blogspot.com/2010/01/incidentes-criticos-para- potenciar-la.html SPADONI, Gabriela (2011).Formación Docente sobre TIC y Educación: Especialización.http://eduticsantafe.blogspot.com/2011/01/formacion- docente-sobre-tic-y-educacion.html THODE, Marina (2011). El aprendizaje en el cerebro humano.http://www.cursodirecto.com/blog/aprendizaje-cerebro- humano TOBÓN, Martha, ARBELÁEZ, Martha, FALCÓN, María, BEDOYA, José (2010). La formación docente al incorporar las tic en los procesos de enseñanza y aprendizaje, una propuesta para la Universidad Tecnológica de Pereira, Colombia, ISBN: 978-958-722- 066-7. http://www.slideshare.net/misabell/el-docente-y-las-tic- 4476500 TREJO, Renán (2010). Teorías del Aprendizaje y su Relación con las TICs. http://www.slideshare.net/willcho/teorias-del-aprendizaje- aplicadas-a-las-tics UNIVERSIDAD DE LAS PALMAS DE GRAN CANARIA (2010). Plan de Formación Continua del Personal Docente e Investigador, Vice- Rectorado de Profesorado de la ULPGC. http://teguise.gestion.ulpgc.es/hege/almacen/download/7083/7083267/ plan_de_formacion_del_pdi.pdf
  • 550.
    522 UNESCO (1998). DeclaraciónMundial sobre la Educación Superior en el siglo xxi: Visión y acción. http://www.unesco.org/education/educprog/wche/declaration_spa.htm UNESCO (2005). Formación Docente y las Tecnologías de la Información y Comunicación, Experiencias de formación docente utilizando Tecnologías de Información y Comunicación, estudios realizados en Bolivia, Chile, Colombia, Ecuador, México, Panamá, Paraguay y Perú. ISBN:956-8302-40-9. http://unesdoc.unesco.org/images/0014/001410/141010s.pdf VALLEJO, César (2013), MONOGRÁFICO: Introducción de las tecnologías en la educación – TPACK. http://recursostic.educacion.es/observatorio/web/es/cajon-de- sastre/38-cajon-de-sastre/1092-monografico-introduccion-de-las- tecnologias-en-la-educacion?start=1 VELASCO, Miro (2011). Tecnología Curricular.http://mirovelasco.blogia.com/2011/021101-tecnologia- curricular.php VIÑAS, Meritxell (2011). Mapa Conceptual: Recursos TIC para desarrollar las inteligencias múltiples de Howard Gardner.http://www.totemguard.com/aulatotem/2011/10/mapa- conceptual-recursos-tic-para-desarrollar-las-inteligencias-multiples-de- howard-gardner/ ZEA, Claudia, ATUESTA, María, VILLEGAS, Gustavo, TORO, Patricia, NICHOLLS, Beatriz y FORONDA, Natalia (2005), Hacia un Modelo de Formación Continuada de Docentes de Educación Superior en el uso
  • 551.
    523 pedagógico de lasTecnologías de la Información y Comunicación. http://bdigital.eafit.edu.co/Journal/HRU100/Cuaderno35.pdf
  • 552.
    524 ANEXOS Anexo 1 Declaración Mundialsobre la Educación Superior en el Siglo XXI: Visión y Acción (9 de octubre de 1998). UNESCO.Artículo 12. El potencial y los desafíos de la tecnología. Los rápidos progresos de las nuevas Tecnologías de la Información y la Comunicación seguirán modificando la forma de elaboración, adquisición y transmisión de los conocimientos. También es importante señalar que las nuevas tecnologías brindan posibilidades de renovar el contenido de los cursos y los métodos pedagógicos, y de ampliar el acceso a la educación superior. No hay que olvidar, sin embargo, que la nueva tecnología de la información no hace que los docentes dejen de ser indispensables, sino que modifica su papel en relación con el proceso de aprendizaje, y que el diálogo permanente que transforma la información en conocimiento y comprensión pasa a ser fundamental. Los establecimientos de educación superior han de dar el ejemplo en materia de aprovechamiento de las ventajas y el potencial de las nuevas Tecnologías de la Información y la Comunicación, velando por la calidad y manteniendo niveles elevados en las prácticas y los resultados de la educación, con un espíritu de apertura, equidad y cooperación internacional, por los siguientes medios: a) Constituir redes, realizar transferencias tecnológicas, formar recursos humanos, elaborar material didáctico e intercambiar las experiencias de aplicación de estas tecnologías a la enseñanza, la formación y la investigación, permitiendo así a todos el acceso al saber. b) Crear nuevos entornos pedagógicos, que van desde los servicios de educación a distancia hasta los establecimientos y sistemas "virtuales" de enseñanza superior, capaces de salvar las distancias y establecer sistemas de educación de alta calidad, favoreciendo así el progreso social y económico y la democratización así como otras prioridades sociales importantes; empero, han de asegurarse de que el funcionamiento de estos complejos educativos virtuales, creados a partir de redes regionales continentales o globales, tenga lugar en un contexto respetuoso de las identidades culturales y sociales. c) Aprovechar plenamente las Tecnologías de la Información y la Comunicación con fines educativos, esforzándose al mismo tiempo por corregir las graves desigualdades existentes entre los países, así como en el interior de éstos en lo que respecta al acceso a las nuevas Tecnologías de la Información y la Comunicación y a la producción de los correspondientes recursos.
  • 553.
    525 d) Adaptar estasnuevas tecnologías a las necesidades nacionales y locales, velando por que los sistemas técnicos, educativos, institucionales y de gestión las apoyen. e) Facilitar, gracias a la cooperación internacional, la determinación de los objetivos e intereses de todos los países, especialmente de los países en desarrollo, el acceso equitativo a las infraestructuras en este campo y su fortalecimiento y la difusión de estas tecnologías en toda la sociedad. f) Seguir de cerca la evolución de la sociedad del conocimiento a fin de garantizar el mantenimiento de un nivel alto de calidad y de reglas de acceso equitativas. g) Teniendo en cuentas las nuevas posibilidades abiertas por el uso de las Tecnologías de la Información y la Comunicación, es importante observar que ante todo son los establecimientos de educación superior los que utilizan esas tecnologías para modernizar su trabajo en lugar de que éstas transformen a establecimientos reales en entidades virtuales.
  • 554.
    526 Anexo 2 Fragmento delComunicado del 8 de julio del 2009, de la Conferencia Mundial sobre la Educación Superior: La nueva dinámica de la Educación Superior y la investigación para el cambio social y el desarrollo ACCESO, EQUIDAD Y CALIDAD …… 11. Nuestra capacidad para alcanzar los objetivos de la EPT dependerá de nuestra capacidad para enfrentarnos con la escasez mundial de docentes. La educación superior debe ampliar la formación de docentes, tanto inicial como en el empleo, con planes y programas de estudios que den a los docentes la capacidad de dotar a sus alumnos de los conocimientos y las competencias que necesitan en el siglo XXI. Este objetivo exigirá nuevos enfoques, como por ejemplo el uso del aprendizaje abierto y a distancia y de las tecnologías de la información y la comunicación (TIC). 12. La formación de expertos en planificación educativa y la realización de investigaciones pedagógicas con el fin de mejorar las estrategias didácticas contribuyen también a la consecución de los objetivos de la EPT. 13. El aprendizaje abierto y a distancia y el uso de las TIC ofrecen oportunidades de ampliar el acceso a la educación de calidad, en particular cuando los recursos educativos abiertos son compartidos fácilmente entre varios países y establecimientos de enseñanza superior. 14. La aplicación de las TIC a la enseñanza y el aprendizaje encierra un gran potencial de aumento del acceso, la calidad y los buenos resultados. Para lograr que la aplicación de las TIC aporte un valor añadido, los establecimientos y los gobiernos deberían colaborar a fin de combinar sus experiencias, elaborar políticas y fortalecer infraestructuras, en particular en materia de ancho de banda. 15. Los establecimientos de educación superior deben invertir en la capacitación del personal docente y administrativo para desempeñar nuevas funciones en sistemas de enseñanza y aprendizaje que se transforman. 16. Es esencial para todas las sociedades que se haga más hincapié en los ámbitos de las ciencias, la tecnología, la ingeniería y las matemáticas, así como en las ciencias sociales y humanas. 17. Los resultados de la investigación científica deberían difundirse más ampliamente mediante las TIC y el acceso gratuito a la documentación científica. 18. La formación que ofrecen los establecimientos de enseñanza superior debería atender las necesidades sociales y anticiparse al mismo tiempo a ellas. Esto
  • 555.
    527 comprende la promociónde la investigación con miras a elaborar y aplicar nuevas tecnologías y a garantizar la prestación de capacitación técnica y profesional, la educación empresarial y los programas de aprendizaje a lo largo de toda la vida. ….. 21. Los criterios de calidad deben reflejar los objetivos globales de la educación superior, en particular la meta de cultivar en los alumnos el pensamiento crítico e independiente y la capacidad de aprender a lo largo de toda la vida. Dichos criterios deberían estimular la innovación y la diversidad. Para garantizar la calidad en la enseñanza superior es preciso reconocer la importancia de atraer y retener a un personal docente y de investigación calificado, talentoso y comprometido con su labor. ……. 23. La sociedad del conocimiento exige una diferenciación cada vez mayor de funciones dentro de los sistemas y establecimientos de educación superior, con polos y redes de excelencia investigadora, innovaciones en materia de enseñanza y aprendizaje, y nuevas estrategias al servicio de la comunidad. INTERNACIONALIZACIÓN, REGIONALIZACIÓN Y MUNDIALIZACIÓN …… 27. Las iniciativas conjuntas de investigación y los intercambios de alumnos y personal docente promueven la cooperación internacional. Los estímulos para lograr una movilidad académica más amplia y equilibrada deberían incorporarse a los mecanismos que garantizan una auténtica colaboración multilateral y multicultural. 28. Las iniciativas conjuntas deberían contribuir a la creación de capacidades nacionales en todos los países participantes, con lo que se garantizaría la multiplicación de fuentes de investigación homólogas de alta calidad y la generación de conocimientos, a escala regional y mundial. 29. Para que la mundialización de la educación superior nos beneficie a todos, es indispensable garantizar la equidad en materia de acceso y de resultados, promover la calidad y respetar la diversidad cultural y la soberanía nacional. 30. La mundialización ha puesto de relieve la necesidad de establecer sistemas nacionales de acreditación de estudios y de garantía de calidad, y de promover la creación de redes entre ellos. …….
  • 556.
    528 EL APRENDIZAJE YLA INVESTIGACIÓN E INNOVACIÓN 35. Habida cuenta de la necesidad que muchos países experimentan de disponer de más financiación para la investigación y el desarrollo, los establecimientos deberían buscar nuevas formas de aumentar la investigación y la innovación mediante iniciativas conjuntas de múltiples copartícipes entre el sector público y el privado, que abarquen a las pequeñas y medianas empresas. 36. Resulta cada vez más difícil mantener un buen equilibrio entre la investigación básica y la aplicada, debido a los altos niveles de inversión que necesita la investigación básica y al reto que representa el vincular el conocimiento de ámbito mundial con los problemas locales. Los sistemas de investigación deberían organizarse de manera más flexible con miras a promover la ciencia y la interdisciplinariedad, al servicio de la sociedad. 37. En aras de la calidad y la integridad de la educación superior, es importante que el personal docente disponga de oportunidades para realizar investigaciones y obtener becas. La libertad de enseñanza es un valor fundamental que es preciso proteger en el contexto internacional actual de inestabilidad y evolución constante. 38. Los establecimientos de enseñanza superior deberían buscar esferas de investigación y docencia capaces de abordar los asuntos que atañen al bienestar de la población y crear bases sólidas para la ciencia y la tecnología pertinentes en el plano local. 39. Los sistemas de conocimiento indígenas pueden ampliar nuestra comprensión de los nuevos problemas; la educación superior debería establecer asociaciones de mutuo beneficio con las comunidades y las sociedades civiles, con miras a facilitar el intercambio y la transmisión de los conocimientos adecuados. 40. Ante la creciente escasez de recursos, se insta a las partes interesadas a que estudien e intensifiquen el uso de los recursos e instrumentos de las bibliotecas electrónicas, con miras a apoyar la enseñanza, el aprendizaje y la investigación. ……. ……. LLAMAMIENTO A LA ACCIÓN: LOS ESTADOS MIEMBROS 51. Los Estados Miembros, en colaboración con todas las partes interesadas, deberían elaborar políticas y estrategias en el plano de los sistemas y de los establecimientos con el fin de: a) mantener y, si fuera posible, aumentar la inversión en el sector de la educación superior para apoyar en todo momento la calidad y la equidad y
  • 557.
    529 fomentar la diversificación,tanto en la prestación de servicios de enseñanza superior como en los medios de financiarla; b) garantizar las inversiones adecuadas en la educación superior y la investigación, en sintonía con las necesidades y expectativas crecientes de la sociedad; c) establecer y fortalecer, con la participación de todos los interesados, los sistemas de garantía de calidad y los marcos normativos apropiados; d) ampliar la formación de docentes, tanto inicial como en el empleo, con programas que les capaciten para hacer de sus estudiantes ciudadanos responsables; e) alentar el acceso, la participación y los buenos resultados académicos de las mujeres en la enseñanza superior; f) garantizar la igualdad de acceso a los grupos insuficientemente representados, tales como los obreros, los pobres, las minorías, las personas con capacidades diferentes, los migrantes, los refugiados y otros grupos de población vulnerables; g) crear mecanismos que permitan contrarrestar las repercusiones negativas del éxodo de competencias y, al mismo tiempo, estimulen la movilidad de los docentes, los estudiantes y el personal de educación; h) apoyar el aumento de la cooperación regional en materia de enseñanza superior con miras a la creación y el fortalecimiento de ámbitos regionales de educación superior e investigación; i) dotar de autonomía a los Países Menos Adelantados y a los Pequeños Estados Insulares en Desarrollo para que puedan aprovechar las oportunidades que ofrece la mundialización, y fomentar la colaboración entre ellos; j) tratar de alcanzar los objetivos de equidad, calidad y éxito académico mediante la creación de vías de acceso más flexibles y una mejor convalidación del aprendizaje previo y la experiencia laboral; k) aumentar el atractivo de las carreras académicas, garantizando el respeto de los derechos y las condiciones de trabajo adecuadas del personal docente, según lo estipulado en la Recomendación de 1997 relativa a la condición del personal docente de la enseñanza superior; l) lograr la participación activa de los estudiantes en la vida académica, garantizándoles la libertad de expresión y el derecho a organizarse, y facilitándoles los servicios adecuados;
  • 558.
    530 m) luchar contralas “fábricas de diplomas” mediante iniciativas multifacéticas en la esfera nacional e internacional; n) crear sistemas de investigación flexibles y organizados, que promuevan la excelencia científica y la interdisciplinariedad y sean útiles para la sociedad; o) apoyar una mayor integración de las TIC y fomentar el aprendizaje abierto y a distancia, con miras a satisfacer el aumento de la demanda de educación superior.
  • 559.
    531 Anexo 3 Fragmentos delRegistro Oficial No. 298 de la República del Ecuador. Ley Orgánica de Educación Superior, del CAPÍTULO I. Art. 8.- Serán Fines de la Educación Superior.- La educación superior tendrá los siguientes fines: Aportar al desarrollo del pensamiento universal, al despliegue de la producción científica y a la promoción de las transferencias e innovaciones tecnológicas; a) Aportar al desarrollo del pensamiento universal, al despliegue de la producción científica y a la promoción de las transferencias e innovaciones tecnológicas; b) ….. c) ….. d) ….. e) ….. f) Fomentar y ejecutar programas de investigación de carácter científico, tecnológico y pedagógico que coadyuven al mejoramiento y protección del ambiente y promuevan el desarrollo sustentable nacional; Dentro de los Principios de Educación Superior se tiene: Art. 12.- Principios del Sistema.- El Sistema de Educación Superior se regirá por los principios de autonomía responsable, cogobierno, igualdad de oportunidades, calidad, pertinencia, integralidad y autodeterminación para la producción del pensamiento y conocimiento en el marco del diálogo de saberes, pensamiento universal y producción científica tecnológica global. Estos principios rigen de manera integral a las instituciones, actores, procesos, normas, recursos, y demás componentes del sistema, en los términos que establece esta Ley. Art. 13.- Funciones del Sistema de Educación Superior.- Son funciones del Sistema de Educación Superior: a) Garantizar el derecho a la educación superior mediante la docencia, la investigación y su vinculación con la sociedad, y asegurar crecientes niveles de calidad, excelencia académica y pertinencia; b) Promover la creación, desarrollo, transmisión y difusión de la ciencia, la técnica, la tecnología y la cultura; c) Formar académicos, científicos y profesionales responsables, éticos y solidarios, comprometidos con la sociedad, debidamente preparados para que sean capaces
  • 560.
    532 de generar yaplicar sus conocimientos y métodos científicos, así como la creación y promoción cultural y artística; d) Fortalecer el ejercicio y desarrollo de la docencia y la investigación científica en todos los niveles y modalidades del sistema; e) ….. h) Incrementar y diversificar las oportunidades de actualización y perfeccionamiento profesional para los actores del sistema; i) ….. ñ) Brindar niveles óptimos de calidad en la formación y en la investigación. En relación al Principio de Pertinencia se tiene: Art. 107.- Principio de pertinencia.- El principio de pertinencia consiste en que la educación superior responda a las expectativas y necesidades de la sociedad, a la planificación nacional, y al régimen de desarrollo, a la prospectiva de desarrollo científico, humanístico y tecnológico mundial, y a la diversidad cultural. Para ello, las instituciones de educación superior articularán su oferta docente, de investigación y actividades de vinculación con la sociedad, a la demanda académica, a las necesidades de desarrollo local, regional y nacional, a la innovación y diversificación de profesiones y grados académicos, a las tendencias del mercado ocupacional local, regional y nacional, a las tendencias demográficas locales, provinciales y regionales; a la vinculación con la estructura productiva actual y potencial de la provincia y la región, y a las políticas nacionales de ciencia y tecnología”. En relación a la Tipología de Instituciones y Régimen Académico, se tiene: Art. 124.- Formación en valores y derechos.- Es responsabilidad de las instituciones del Sistema de Educación Superior proporcionar a quienes egresen de cualesquiera de las carreras o programas, el conocimiento efectivo de sus deberes y derechos ciudadanos y de la realidad socioeconómica, cultural y ecológica del país; el dominio de un idioma extranjero y el manejo efectivo de herramientas informáticas. Con respecto al Personal Académico, se observa: Art. 156.- Capacitación y perfeccionamiento permanente de los profesores o profesoras e investigadores o investigadoras.- En el Reglamento de Carrera y Escalafón del Profesor e Investigador del Sistema de Educación Superior se garantizará para las universidades públicas su capacitación y perfeccionamiento permanentes. En los presupuestos de las instituciones del sistema de educación superior constarán de manera obligatoria partidas tbespeciales destinadas a financiar planes de becas o ayudas económicas para especialización o capacitación y año sabático.
  • 561.
    533 Anexo 4 Fragmento delPlan Estratégico de Desarrollo Institucional 2008-2015, eje ACADÉMICO Y DOCENCIA, de la Universidad de Guayaquil. Acción 5 Diseñar, estandarizar y gestionar los procesos de investigación de necesidades de la sociedad sobre docencia, investigación y extensión, en articulación con las líneas estratégicas del Estado. Acción 7 Programa de Mejoramiento Integral de la Calidad Educativa: a) Determinar en lo filosófico, axiológico y pedagógico, el proceso de mejoramiento continuo de la calidad educativa. b) Implantar un programa permanente para administrar, estimular, fortalecer y evaluar las competencias laborales y pedagógicas de los docentes.
  • 562.
    534 Anexo 5 Fragmentos delEL ROL DEL DOCENTE EN LA EDUCACION SUPERIOR DEL SIGLO 21. Por Carlos Tûnnermann Berheim. Páginas 10 y 11. http://www.ucyt.edu.ni/Download/EL_ROL_DEL_DOCENTE_EN_LA_E_S_DEL_SIGLO_ XXI.pdf Capacidad de resolución de problemas. Capacidad de adaptación a nuevas situaciones. Capacidad de seleccionar información relevante de los ámbitos del trabajo, la cultura y el ejercicio de la ciudadanía, que le permita tomar decisiones fundamentadas. Capacidad de seguir aprendiendo en contextos de cambio tecnológico y sociocultural acelerado y expansión permanente del conocimiento. Capacidad para buscar espacios intermedios de conexión entre los contenidos de las diversas disciplinas, de tal manera de emprender proyectos en cuyo desarrollo se apliquen conocimientos o procedimientos propios de diversas materias. …. Estos nuevos paradigmas educativos y pedagógicos, se fundamentan en los aportes de la psicología y de la ciencia cognitiva sobre cómo aprende el ser humano, y nos conducen a reconocer que el estudiante no sólo debe adquirir información sino también debe aprender estrategias cognitivas, es decir, procedimientos para adquirir, recuperar y usar información. La pregunta, entonces es, qué hacer en la práctica docente para generar condiciones para un efectivo aprendizaje de los alumnos. Afirma Ausubel que “existe una relación íntimamente entre saber cómo aprende un educando y saber qué hacer para ayudarlo a aprender mejor”. En definitiva, el aprendizaje es un proceso activo y de construcción de conocimientos que lleva a cabo en su interior (estructura cognitiva) el sujeto que aprende. El constructivismo sociocultural, precisamente, sitúa la actividad mental del educando en la base de la apropiación del conocimiento. Un conocimiento nos lo apropiamos cuando lo interiorizamos y lo incorporamos a nuestra estructura mental. El docente deviene en un mediador del encuentro del alumno con el conocimiento. “Educar, nos dice Paulo Freire, no es transferir conocimiento sino crear las condiciones para su construcción”. Y
  • 563.
    535 Jean Piaget insisteen decirnos que “el sujeto educando no copia, transforma”. Pero, no olvidemos que el proceso de enseñanza-aprendizaje es una unidad pedagógica compartida y creativa. “Aprender a aprender” supone una capacidad de aprendizaje adquirida al cabo de un período ineludible de aprendizaje con docentes. La Universidad ya no gradúa, sino que inicia a sus egresados en el proceso permanente de aprendizaje. “En última instancia, dice Phillip Coombs, un título profesional no es más que una certificación de que quien lo ostenta ha aprendido a aprender”. Estos nuevos paradigmas educativos y pedagógicos, se fundamentan en los aportes de la psicología y de la ciencia cognitiva sobre cómo aprende el ser humano, y nos conducen a reconocer que el estudiante no sólo debe adquirir información sino también debe aprender estrategias cognitivas, es decir, procedimientos para adquirir, recuperar y usar información. La pregunta, entonces es, qué hacer en la práctica docente para generar condiciones para un efectivo aprendizaje de los alumnos. Afirma Ausubel que “existe una relación íntimamente entre saber cómo aprende un educando y saber qué hacer para ayudarlo a aprender mejor”. En definitiva, el aprendizaje es un proceso activo y de construcción de conocimientos que lleva a cabo en su interior (estructura cognitiva) el sujeto que aprende. El constructivismo sociocultural, precisamente, sitúa la actividad mental del educando en la base de la apropiación del conocimiento. Un conocimiento nos lo apropiamos cuando lo interiorizamos y lo incorporamos a nuestra estructura mental. El docente deviene en un mediador del encuentro del alumno con el conocimiento. “Educar, nos dice Paulo Freire, no es transferir conocimiento sino crear las condiciones para su construcción”. Y Jean Piaget insiste en decirnos que “el sujeto educando no copia, transforma”. Pero, no olvidemos que el proceso de enseñanza-aprendizaje es una unidad pedagógica compartida y creativa. “Aprender a aprender” supone una capacidad de aprendizaje adquirida al cabo de un período ineludible de aprendizaje con docentes. La Universidad ya no gradúa, sino que inicia a sus egresados en el proceso permanente de aprendizaje. “En última instancia, dice Phillip Coombs, un título profesional no es más que una certificación de que quien lo ostenta ha aprendido a aprender”. Estos nuevos paradigmas educativos y pedagógicos, se fundamentan en los aportes de la psicología y de la ciencia cognitiva sobre cómo aprende el ser humano, y nos
  • 564.
    536 conducen a reconocerque el estudiante no sólo debe adquirir información sino también debe aprender estrategias cognitivas, es decir, procedimientos para adquirir, recuperar y usar información. Estos paradigmas educativos deben plasmarse en un Modelo Educativo.
  • 565.
    537 Anexo 6 Tomado yadaptado de Apuntes de Pedagogía y Didáctica para el ejercicio de la actividad docente en el Aula Virtual, por Ana Licona(2011), Congreso Internacional EDUTEC 2011. http://gte2.uib.es/edutec/sites/default/files/congresos/edutec11/Ponencias/Mesa%201- def/Apuntes%20de%20pedagog%C3%ADa%20y%20did%C3%A1ctica%20para%20el% 20ejercicio%20de%20la%20actividad%20docente%20en%20el%20aula%20virtual.pdf. Elementos Educativos del Aula Digital: Análisis del concepto a partir del fundamento Pedagógico, mesa: Formación Docente para el uso de las TIC Elemento educativo Análisis del Constructo a partir del Fundamento Pedagógico Alumno Ya no como alumnos, sino como participantes de procesos e-learning, Luque (2008) basándose en el modelo pedagógico constructivista enfatiza que desde esta concepción hay dos puntos que debemos de tomar en cuenta al hablar estudiante (alumno o participante), el primero que él es un constructor mental activo de significados y de sentido relacionando conocimientos previos con nuevos conocimientos. En segundo lugar, este estudiante requiere ayuda externa para construir este conocimiento. Por otra parte basándonos en los postulados de García Hoz (1988), máximo exponente de la educación personalizada, la atención al alumno virtual debe centrarse desde una concepción antropológica, convirtiéndose el participante virtual, en “la persona que fundamenta y centra la educación virtual” Aula En términos Generales Oñate expone que en un ambiente virtual de aprendizaje se desarrollan una serie de funciones como lo son informar, comunicar, interactuar, apoyar educar. Otro autor, Scagnioli (2000) citando a Horton, define el aula virtual, (llamada
  • 566.
    538 también aula digital)como el medio en la WWW en el cual los docentes y alumnos se encuentran para realizar actividades que conducen al aprendizaje. Para complementar esta definición, se cita a Bravo, C. (2010) quien explica que es en el aula digital donde convergen en diferentes momentos profesores y estudiantes, se emplea una variedad de medios y sobresale la interacción entre profesores y estudiantes la que, en ocasiones, puede ser más elevada y más eficiente que en la actividad presencial. Sin embargo, en esta definición incluyo el soporte teórico aportado por el modelo pedagógico conductista que explica que uno de los elementos más importantes durante el proceso educativo son las condiciones ambientales para estimular y reforzar al alumno afirmación que lleva a considerar la importancia de las condiciones ambientales del aula digital ya que es en su marco ambiental-virtual donde docente debe determinar cuáles refuerzos son los más efectivos para cada uno de los estudiantes virtuales en particular Transversalidad Cardona Ossa (2002) explica que aprender es por naturaleza un fenómeno social; interacción que tiene generalmente como resultado la adquisición de un nuevo conocimiento, por lo que aprender es un proceso dialéctico en el que un individuo contrasta su punto de vista personal con el de otro hasta llegar a un acuerdo. Durante este proceso, y siendo que los diálogos asíncronos o no, se establecen en un AVA, es requerido al actor educativo una serie vivencias y actitudes afectivas y valorativas que transversalizan el proceso formativo, prácticas debidas a la inexistencia de la interacción física producida por la comunicación mediada por TIC. Los gestos producidos por la corporeidad física humana, son suprimidos en la experiencia comunicativa mediada por tecnologías de la información y la comunicación, quedando muchas
  • 567.
    539 veces y comoelemento único el lenguaje verbal, (a veces en sistemas multimedia) con lo cual es imprescindible que todos los actores educativos de los AVAs, tengan además del componente altamente afectivo, la práctica constante y continua de una serie de valores como: Participación, responsabilidad, credibilidad, confianza en la comunidad que se forma en el aula digital, así como el valor de la autonomía, de modo que en el modelo pedagógico empleado trate de ofrecer estrategias educativas que impliquen para el participante y docente, prácticas éticas y prácticas desarrolladoras de inteligencia emocional y afectiva. (Cardona Carmona, H.E, 2008) Contenido La pedagogía como ciencia, arte y técnica de la educación, contempla en el abanico de sus ciencias pedagógicas, a la Didáctica como la ciencia que estudia el proceso pedagógico (proceso de enseñanza aprendizaje), ciencia que se construye desde la teoría y la práctica y que está dirigida a lograr el estado deseable de desarrollo del proceso pedagógico, por lo que su principal objeto de estudio es el proceso pedagógico, es decir el proceso enseñanza y aprendizaje (Bravo, C. 2010). Siguiendo a este autor, entendemos que con el aparecimiento del Aula Digital surge en la Pedagogía, concretamente en la Didáctica, el estudio del proceso de aprendizaje bajo la organización de un sistema de medios digitales, agrupados en el aula digital. Esta agrupación de medios digitales tiene que contemplar la accesibilidad a los conocimientos y contenidos así como el nivel de interactividad que permiten, con lo cual, en el modelo pedagógico que se diseña deben integrarse recursos electrónicos pertinentes que soporten el contenido y cuyo carácter principal debe ser la accesibilidad, no sólo técnica al aula digital, si no a la accesibilidad de los contenidos. La teoría de los aprendizajes
  • 568.
    540 significativos de Ausubelcobran aquí gran importancia ya que es en el aula digital donde este andamiaje se ve representado por la organización del aula, la utilización de herramientas que visualizan el proceso de la información (mapas conceptuales, mentales, etc.) y el conocimiento por parte del alumno de las competencias y objetivos a lograr, además de la estructuración del texto digital de acuerdo a las actividades y tareas que el alumno debe realizar para alcanzar esos objetivos, la variedad de medios empleados, los enlaces a sitios legítimos, confiables y académicos y muy especialmente el empleo de diferentes métodos y estrategias de aprendizaje que den lugar al desarrollo de actividades y tareas pedagógicas de índole conceptual, constructivistas, personalizadas e individualizadas. Metodología Domínguez E. en su propuesta de Modelo Educativo para la Universidad del Norte de Colombia, propone que en un modelo pedagógico integrado deben implementarse estrategias de aprendizaje en las que se que favorezcan la autonomía, el trabajo colaborativo e individual, el pensamiento crítico, resolver problemas. Analizado lo expuesto, se encuentra que esta propuesta está relacionada con los postulados de la pedagogía individualizada, al afirmarse que si bien toda estrategia metodológica del aula virtual debe tomar en cuenta elementos de construcción colectiva del conocimiento, diálogo de saberes, reflexión-acción- reflexión, discusión y consenso, valorando especialmente los aportes y construcción de conocimiento de los estudiantes, TODA ACTIVIDAD DEBE PARTIR de un estudio individualizado por parte del participante, para luego implicarse en el consenso de conocimientos y saberes a partir del desarrollo de trabajos, actividades y tareas de índole colaborativo. Salinas (2008) por su parte
  • 569.
    541 explica que siel método es el conjunto de momentos, técnicas y procedimientos; la técnica, se entiende como la utilización de los recursos didácticos para hacer efectivo el aprendizaje y la estrategia didáctica son procedimientos eficientes dirigidos a lograr experiencias de aprendizaje significativos, entonces para los ambientes virtuales de aprendizaje son estos últimos a los que mayor atención se presta, definiéndolas como aquellas acciones centradas en el alumnos y mediante las cuales él adquiere un aprendizaje efectivo, contextualizado, social, individualizado, activo, constructivo, con lo cual podemos afirmar que este amplio concepto metodológico de estrategia de aprendizaje, tiene una base pedagógica-didáctica ecléctica es decir integradora al tener rasgos de una pedagogía conceptual, conductista, histórico cultural, comunicativa, crítica Procesos de Evaluación Para la Pedagogía existe una fase del proceso educativo que permite determinar la efectividad de un modelo educativo. Estamos hablando del proceso de evaluación, entendida como un proceso de duración determinada que trata de valorar de manera sistemática y objetiva, la pertinencia, el rendimiento y el éxito de los programas o proyectos concluidos (Villar, G. 2008) En los AVAs, es de subrayar que es la fase del PEA más compleja que existe, pues necesita de parte del docente, la creación de protocolos de evaluación no solo de los aprendizajes alcanzados sino de todo el diseño y estructura de las experiencias, la actitud y motivación de los estudiantes de cara a los materiales propuestos, la eficiencia de la metodología empleada, el aula digital como espacio de aprendizaje, el docente en su rol de guía y también claro está, de los conocimientos alcanzados por el alumno (Domínguez, E. 2000).
  • 570.
    542 Scagnioli (2000) estableceque esta evaluación holística debe estar en relación al progreso del participante de cara al colectivo y a sí mismo, pero también a sus logros INDIVIDUALES, aunque se trabaje de forma colaborativa. Esta fase del proceso educativo es quizá la más compleja de aplicar, ya que aún hoy en día, aún en las aulas digitales se echa mano de modelos tradicionales de evaluación mediante pruebas objetivas a fin de comprobar el logro y alcance de los objetivos de la clase así como el nivel de éxito en cada caso. Sin embargo, es de considerar que está en manos del docente y de la institución educativa virtual, proponer al alumno procesos de evaluación continua en las que mediante la permanente actividad académica, el estudiante sea capaz de recibir “retroalimentación” constante acerca de sus actividades y trabajos individuales y grupales como por ejemplo: proyectos de trabajo, foros, de debates, diálogos a través de chat, participaciones en clases virtuales-presenciales, elaboración de ensayos e investigaciones y propuestas, controles de lectura, etc. (Badia & Barbera, 2005) así como de la exactitud de las respuestas obtenidas en valoraciones previas a evaluaciones escritas de carácter final y que se realizan mediante pruebas tipo test electrónicos de evaluación de conocimientos. De acuerdo con Bravo C. siendo que la evaluación es responsable de medir los PEA, los instrumentos empleados en un aula digital podrían ser: Foros, Glosarios, Cuestionarios, Trabajos, etc. pero también explica Bravo, y le sigue Villar, la evaluación es recoger información de TODO el proceso, por lo que entre los instrumentos que se utilizan en el aula digital están: Consulta, encuesta corta, Informes asistencia, participación, perfil actitudinal y desempeño durante el curso. Por último la evaluación debe estar revestida de la seriedad y privacidad necesarias por lo que el abordaje debe ser
  • 571.
    543 personalizado a finde orientar al participante en la mejora individual de su formación en el marco de su colectivo y pares. Recursos Educativos Uno de los temas mayormente trabajados desde la perspectiva pedagógica es el uso de las TICs en el aula, aún en el aula digital. Moreira y otros (2008), identifican que pedagógicamente hablando en el aula digital deben existir 3 tipos de recursos, los que a partir de los argumentos de Bravo, C. (2000) pueden considerarse multisensoriales y que por lo tanto facilitan la asimilación consciente de los aprendizajes “a. Recursos de tipo informativo destinados a facilitar el acceso al conocimiento al alumnado mediante documentos de lectura, a modo de apuntes, para el estudio o reelaboración de los contenidos de la asignatura, presentaciones multimedia, esquemas, gráficos o mapas conceptuales, videoclips o animaciones, biblioteca digital, etc. Esta dimensión informativa se refiere, en consecuencia, a la exposición o presentación del saber que tiene que ser adquirido. b. Recursos para la comunicación tales como foros de debate, tablones de noticias, mensajería interna. Estos recursos permiten que exista un importante flujo comunicativo entre los alumnos y entre éstos y su profesor. De este modo, el docente puede desempeñar acciones de tutorización bien individual o grupal, de seguimiento y evaluación continuada. Asimismo, estos recursos facilitan una mayor interacción y cohesión social entre los estudiantes de la clase. c. Recursos para el aprendizaje experiencial en donde se le presentan a los alumnos actividades o tareas que tienen que realizar a través del aula virtual. Esta dimensión se refiere a que se crean situaciones de aprendizaje donde el alumno tiene que aprender a
  • 572.
    544 través de unaexperiencia o acción: por ejemplo, redactar un documento o informe, buscar información para construir una base de datos, planificar y ejecutar un proyecto, resolver un problema, analizar un caso, construir un videoclip, etc.” Docente Citando a Coscollola M. D. & Fuentes M .A (2010) se afirma que el docente en calidad de Tutor Virtual, debe actuar como agente y como creador de las situaciones y condiciones para que el alumnado aprenda y no se limite a almacenar datos estériles e inconexos, por lo que sumado a lo expresado por esta autora ante la figura del profesor virtual ante las TIC es de asumir que a hoy, el Docente ya no es el protagonista de los procesos educativos, pero su rol pedagógico es considerado como vertebral en su función no solo en la especialidad disciplinar, en el quehacer metodológico y en la destreza tecnológica sino también en desarrollar la humanización y afectividad del proceso educativo en el aula digital condición que debe durar durante todo el proceso formativo. Se concibe que el docente que ejerce en los AVAs, tiene como autoridad virtual, la responsabilidad de promocionar la participación consciente del alumnado, la promoción y dinamización de las libertades, la creatividad y autonomía, la investigación crítica además de convertirse en un propulsor de las reflexiones, preguntas y repreguntas bajo las cuales y compartir con el colectivo sus experiencias, aprendizajes y estimular mediante retos planificados y evaluados, su capacidad de aprendizaje. Deber ser el autor de que cada alumno cree su propio paradigma, se apropie y sea dueño de sus saberes para luego compartirlos con otros y así crecer en el colectivo de participantes junto a quienes tiene la oportunidad de reconstruir el conocimiento.
  • 573.
    545 Anexo 7 Fragmento Tomadode Constructivismo y Educación Virtual, por Pablo Montalvo (2011), Página 10. http://es.scribd.com/doc/55063425/Constructivismo-y-Educacion-Virtual
  • 574.
  • 575.
    547 Anexo 8 Fragmento Tomadode Constructivismo y Educación Virtual, por Pablo Montalvo (2011), Página 11. http://es.scribd.com/doc/55063425/Constructivismo-y-Educacion-Virtual
  • 576.
    548 Anexo 9 Fragmento dePROFESORES CREADORES DE MEDIOS (NTICs) por la Dra. Rosalía Romero Tena (2006), Revista digital PIXEL BIT. http://www.sav.us.es/pixelbit/pixelbit/articulos/n27/n27art/art2707.htm
  • 577.
    549 Anexo 10 Fragmento dellibro Modelo Andragógico, Fundamentos. Página 63. Etapas de la adultez según Erikson y Levinson (Clasificación por edades) Etapas Erikson Levinson Juventud 18-20 hasta los 25-30 25-35 hasta los 40 Adultez o Media Adulta 25-30 hasta los 60 40 hasta los 60-65 Vejez A partir de los 60 A partir de los 60-65
  • 578.
    550 Anexo 11 Fragmento deHacia una visión andragógica integradora, desde la filosofía de Paulo Freire, por la Dra. Anastacia Rivas Olivo. http://letras- uruguay.espaciolatino.com/aaa/rivas_olivo_anastacia/hacia_una_vision_andragogica.ht m
  • 579.
    551 Anexo 12 Fragmento deLa tecnología educativa apropiada y crítica, por Beatriz Fainholc. http://contexto-educativo.com.ar/2002/3/nota-05.htm 1. Pedagogía práctica de la ética comunicativa, reconstructiva y crítica, de respeto a la diversidad, multiculturalista para la convivencia solidaria. 2. Apropiación de recursos tecnológicos a escala humana propiciando equidad, participación igualitaria y autodominio personal y colectivo. 3. Resignificación de la incertidumbre para superar fragmentaciones diversas y ampliando la reflexión y la lucidez junto a otras formas de pensamiento teórico- práctico. 4. Desmitificación epistemológica en la navegación interactiva e interconectiva para fortalecer la lectura crítica y la comprensión, en apuestas hermenéuticas. 5. Construcción de la "telemática-global" por mediaciones/negociaciones significativas y valiosas para el desarrollo socio-cognitivo en la práctica cotidiana. 6. Desarrollo de la moral autónoma y la autorregulación racional y madura en contextos educativos metatécnicos.
  • 580.
    552 Anexo 13 Fragmento de¿Qué es la Axiología?, por AXIOLOGIC. http://www.axiologic.org/axiologia.html
  • 581.
    553 Anexo 14 Fragmento deLa incorporación de tecnologías digitales en educación. Modelos de identificación de buenas prácticas, elaborado por la consultora Magdalena Claro, en coordinación con Guillermo Sunkel y Daniela Trucco, de la División de Desarrollo Social de la Comisión Económica para América Latina y el Caribe (CEPAL), en el marco del proyecto financiado por la Unión Europea, @LIS2, Alianza para la Sociedad de la Información 2, “Diálogo político inclusivo e intercambio de experiencias”, Componente: Educación (CEC/08/003).Copyright © Naciones Unidas, julio de 2010. http://www.eclac.org/publicaciones/xml/8/40278/tics-educacion-buenas-practicas.pdf. Mejores y/o nuevos aprendizajes Se refiere a prácticas con TIC que demuestran ser efectivas ya sea en la enseñanza de asignaturas tradicionales (e.g. matemáticas, ciencias, lenguaje), o en el desarrollo de nuevas habilidades y competencias relacionadas con la emergencia de Internet y las demandas de la sociedad del conocimiento, llamadas comúnmente competencias siglo XXI. Si bien aún está en discusión cuáles son exactamente estas competencias, hay consenso en que en el plano cognitivo se trata de habilidades de orden superior (i.e. análisis crítico, evaluación, razonamiento, reflexión) que trascienden a las disciplinas tradicionales y que facilitan la resolución de problemas, la creación de conocimientos y el aprendizaje a lo largo de la vida (Anderson, 2008; Empírica, 2007; Rychen & Salganik, 2003). Cambio o innovación pedagógica Aquí se busca que las TIC apoyen cambios en las prácticas pedagógicas tradicionales. Desde esta perspectiva una buena práctica de uso de TIC es aquella que no sólo reemplaza prácticas previas sino que contribuye de manera fundamental para un cambio que entrega valor agregado al proceso pedagógico (Kozma, 2003). Comúnmente se espera que el cambio se dé desde un proceso de enseñanza- aprendizaje tradicional centrado en el profesor, hacia un proceso más constructivista centrado en el estudiante. Esto implica un cambio en el rol del profesor y del estudiante, donde el primero adopta el papel de facilitador del aprendizaje y el segundo el papel de sujeto activo del aprendizaje. Se espera además que la integración de las TIC favorezca un cambio en las metodologías, actividades y evaluaciones del proceso de enseñanza-aprendizaje, desde el trabajo individual y basado en la memorización, hacia un trabajo colaborativo y basado en la elaboración personal del conocimiento.
  • 582.
    554 Anexo 15 Fragmento de,Revista Electrónica Teoría de la Educación. Educación y Cultura en la Sociedad de la Información. Vol. 10. Nº 1. Marzo 2009. Universidad D Salamanca (2009). Págs. 142-145. En este estado los profesores utilizan la tecnología como medio para modificar y transformar los espacios educativos tradicionales en nuevos y diferentes ambientes de aprendizaje para los estudiantes. Una vez que permitimos que se aclare el conflicto entre nuestras creencias epistemológicas, nuestras creencias pedagógicas y el uso que le damos a la Tecnología, es posible que se aprecien las posibilidades que ellos permiten para nuestros estudiantes. Una integración significativa de las TIC que supere este nivel umbral supone el cambio de las convicciones del profesorado y es, inevitablemente un proceso complejo que exige mucho tiempo (Niederhauser & Stoddard, 2001). En definitiva se plantea la integración curricular tecnoconstructivista como el nivel al que debemos llegar cuando adoptamos las TI con fines educativos. Lo interesante de esta propuesta se encuentra en saber que hemos logrado ser un tecnoconstructivista, es un juicio subjetivo, pues la forma en que podemos utilizar y dar sentido a la Tecnología evolucionan constantemente hacia nuevos campos; recursos web 2.0, correo electrónico, trabajo colaborativo, viajes virtuales, blogs, presentaciones multimedia, RSS, etc., nos recuerdan que disponemos de herramientas que aún no acaban de mostrarnos el verdadero potencial que podemos alcanzar en las mediaciones comunicacionales entre individuos. 4.- TRANSICIÓN ENTRE NIVELES. El enfoque de etapas o escalafones que gobierna los modelos de adopción tecnológica, nos sugiere que existen momentos de tránsito entre los niveles; momentos en que un docente manifiesta evolución tanto en sus acciones como en sus procesos mentales consiguiendo una transición. ¿Qué factores resultan críticos en la transición entre un nivel y otro? ¿Cómo ocurre el recorrido desde la intrusión hacia la integración curricular?. 4.1. Actitud. En un estudio internacional sobre las TIC y el cambio organizativo en las escuelas realizado por la OECD (Pont, 2000) se seleccionaron 94 buenas prácticas en 23 países del mundo elegidos por sus innovaciones y si inversión en TIC. El estudio sostiene que los ritmos de adopción de las TIC en las escuelas siguen los ritmos tradicionales de difusión de innovaciones (innovation-decision process), afectados principalmente por las características personales de los innovadores (Venezky, Davis, & OECD/CERI, 2002). El modelo de Rogers ha sido experimentado en muchas ocasiones, y en la mayoría de ellas
  • 583.
    555 los sujetos reconocenhaber pasado por las etapas del proceso de decisión-innovación. Aunque determinar los procesos mentales intrapersonales no sea un asunto trivial, “the evidence is most clear-cut for the knowledge and decision stages and somewhat less so for the persuasion stage. Only rather poor data are available on the distinctiveness of the implementation and confirmation stages” (Rogers, 1995). …… 4.2. Apropiación. La fase que hemos denominado como implementación corresponde a una fase de experimentación, las representaciones mentales no se dan con el individuo aislado sino que emanan con el individuo actuando con el instrumento tecnológico, poniendo en marcha o implementando las TIC en el aula. Esto implica que su sistema de pensamiento comienza a percibir que la tecnología le permite nuevos patrones de acción educativa, de nuevos espacios, con sus consecuencias en la productividad de la clase, al modificar su rol de poseedor del contenido de la asignatura a un facilitador de la construcción del conocimiento con el estudiante. Esta conciencia de las necesidades formativas de la sociedad se genera únicamente cuando el docente permite que las tecnologías operen en contextos formativos. Cuando el ordenador se introduce en el aula es que somos capaces de percibir que las tecnologías no son neutras, tienen falencias y virtudes, por ello vamos probando nuevas estrategias y métodos que nos conducen hacia la invisibilidad del ordenador (Gros Salvat, 2000), los sistemas tecnológicos que utilizamos ya no son el fin sino que nos esforzamos en lograr el acoplamiento de estos productos con los objetivos educativos. De acuerdo con Begoña Gros “lo que se trata es de apropiarse de la herramienta, de utilizarla de manera más conveniente desde el punto de vista educativo.” (Gros Salvat, 2000). En este sentido se considera que la apropiación constituye un segundo factor de tránsito entre la fase de implementación y la integración curricular. ……….
  • 584.
    556 Anexo 16 Fragmento de,Revista Electrónica Teoría de la Educación. Educación y Cultura en la Sociedad de la Información. Vol. 10. Nº 1. Marzo 2009. Universidad D Salamanca (2009). Págs. 142-143. …….. El estudio sostiene que los ritmos de adopción de las TIC en las escuelas siguen los ritmos tradicionales de difusión de innovaciones (innovation-decision process), afectados principalmente por las características personales de los innovadores (Venezky, Davis, & OECD/CERI, 2002). El modelo de Rogers ha sido experimentado en muchas ocasiones, y en la mayoría de ellas los sujetos reconocen haber pasado por las etapas del proceso de decisión-innovación. Aunque determinar los procesos mentales intrapersonales no sea un asunto trivial, “the evidence is most clear-cut for the knowledge and decision stages and somewhat less so for the persuasion stage. Only rather poor data are available on the distinctiveness of the implementation and confirmation stages” (Rogers, 1995). De acuerdo con Rogers luego de enterarse que existe una innovación (conocimiento), el docente pasa por una fase en que reúne información suficiente para formarse una actitud hacia el objeto de innovación (persuasión). Luego en base a sus creencias, evalúa las características de la innovación y su posible afiliación en ella (decisión). Posterior a estas actividades mentales el docente pasa a una fase de acción directa con la innovación (implementación); el profesor pasa de un adoptante pasivo a uno activo y se implica con la innovación hasta el punto en que puede reinventar la innovación datándola de un matiz personal en la forma en que se implementa.
  • 585.
    557 Anexo 17 Fragmento de,Revista Electrónica Teoría de la Educación. Educación y Cultura en la Sociedad de la Información. Vol. 10. Nº 1. Marzo 2009. Universidad D Salamanca (2009). Pág. 143. Otros diversos estudios confirma la tesis de Roger de que las actitudes de los docentes juegan un papel decisivo en la integración de las TI (Albirini, 2006; Kitchen, Butt, Mackenzie, & Finch, 2006; C. P Lim, 2007; Sugar, Crawley, & Fine, 2004). Sin embargo, estos planteamientos resultan insuficientes, pues, como señalan algunos autores (Hennessy, Ruthven, & Brindley, 2005; Scrimshaw, 2004) puede ocurrir que la introducción de las nuevas tecnologías en la enseñanza dependa, sobre todo, de determinadas percepciones y creencias que tienen los profesionales, ya sea de tipo epistemológico o metodológico, sobre las nuevas tecnologías. La visión de que las creencias pedagógicas provocan resistencia al cambio provocando que persistan las prácticas instruccionales didácticas (C. P. Lim & Chan, 2007; Niederhauser & Stoddard, 2001) nos remite a considerar tres aspectos en concreto para el análisis de los factores que afectan la efectiva integración curricular de las TIC. Por un lado el factor personal que avalúa la afiliación en prácticas mediadas por la Tecnología, un factor contextual o social que ejerce presión sobre las decisiones que tomamos y un factor de control sobre lo que creemos ser capaces hacer o de saber utilizar y nos provoca una percepción de que llevar a cabo una conducta sea fácil o dificultoso. En este sentido, la Teoría del Comportamiento Planificado (Ajzen, 1985, 1991; Ajzen & Madden, 1986) (TPB de la voz inglesa Theory of Planned Behavior) emerge como una formulación teórica atractiva, ya que por un lado aporta resultados favorables respecto de otros modelos teóricos en el ámbito de la comprensión de la conducta de adopción de las TIC por parte de los profesores (Lim, Gan, & Chan, 2002; Reyes González, 2007) y, por otra parte –como se explica más adelante–, cada uno de los constructos integra elementos fundamentales para la comprensión de los determinantes de las conductas asociadas con el uso de la Tecnología por las personas.
  • 586.
    558 Anexo 18 Fragmento de,Revista Electrónica Teoría de la Educación. Educación y Cultura en la Sociedad de la Información. Vol. 10. Nº 1. Marzo 2009. Universidad D Salamanca (2009). Pág. 144-145 …… Es nuestro interés emplear el modelo de la Teoría del Comportamiento Planificado como un marco conceptual para desarrollar un estudio que examine las variadas influencias que permiten a un docente pasar de la fase de intrusión hacia la implementación. Por otra parte, el modelo de Fishbein y Ajzen ha sido utilizado para estudiar los factores que permiten a los docentes adoptar las tecnologías en los procesos educativos (Cox, Preston, & Cox, 1999a, 1999b; Chen & Chen, 2006; Sugar et al., 2004), y esta variedad de estudios que lo emplean nos permite realizar comparaciones, contrastar y/o corroborar resultados. De entre todos los constructos propuestos por TPB, los resultados nos indican que tanto la el componente normativo como el de control muestran un efecto menor en la motivación de los docentes a implementar las nuevas tecnologías. Sólo la actitud hacia la conducta predijo de mejor manera la intención de los docentes a implementar sistemas informacionales en sus prácticas académicas (Sugar et al., 2004). Por lo que podemos plantear la siguiente hipótesis: un docente debe formarse una actitud positiva hacia las nuevas tecnologías para lograr vencer la barrera que le impide adoptar estrategias educativas mediadas por las tecnologías. Así, la actitud se convierte en un factor psicológico transitivo entre la intrusión y la implementación de las TIC en el aula.
  • 587.
    559 4.2. Apropiación. La faseque hemos denominado como implementación corresponde a una fase de experimentación, las representaciones mentales no se dan con el individuo aislado sino que emanan con el individuo actuando con el instrumento tecnológico, poniendo en marcha o implementando las TIC en el aula. Esto implica que su sistema de pensamiento comienza a percibir que la tecnología le permite nuevos patrones de acción educativa, de nuevos espacios, con sus consecuencias en la productividad de la clase, al modificar su rol de poseedor del contenido de la asignatura a un facilitador de la construcción del conocimiento con el estudiante. ….
  • 588.
    560 Anexo 19 Fragmento de,Revista Electrónica Teoría de la Educación. Educación y Cultura en la Sociedad de la Información. Vol. 10. Nº 1. Marzo 2009. Universidad D Salamanca (2009). Pág. 145. ….. Esta conciencia de las necesidades formativas de la sociedad se genera únicamente cuando el Docente permite que las tecnologías operen en contextos formativos. Cuando el ordenador se introduce en el aula es que somos capaces de percibir que las tecnologías no son neutras, tienen falencias y virtudes, por ello vamos probando nuevas estrategias y métodos que nos conducen hacia la invisibilidad del ordenador (Gros Salvat, 2000), los sistemas tecnológicos que utilizamos ya no son el fin sino que nos esforzamos en lograr el acoplamiento de estos productos con los objetivos educativos. De acuerdo con Begoña Gros “lo que se trata es de apropiarse de la herramienta, de utilizarla de manera más conveniente desde el punto de vista educativo.” (Gros Salvat, 2000). En este sentido se considera que la apropiación constituye un segundo factor de tránsito entre la fase de implementación y la integración curricular. El concepto de apropiación que manejamos es muy similar al propuesto por los investigadores del proyecto ACOT (Dwyer et al., 1990), sin embargo nuestro enfoque aborda el proceso de adopción tecnológica por parte de los Docentes desde una perspectiva dinámica, ya que junto con la actitud hacia la implementación de las TIC en el aula (o simplemente actitud) la apropiación es un factor de tránsito para dos etapas de acción como son la implementación de las TIC y la integración curricular tecnoconstructivista (figura 2).
  • 589.
    561 Anexo 20 Fragmento deLOS CUATRO PILARES DE LA EDUCACIÓN. http://es.scribd.com/doc/5783765/Los-cuatro-pilares-de-la-educacion
  • 590.
    562 Anexo 21 Fragmento deEnfoque humanista integrador de la Educación Informativa. Un modelo de aplicación en el aula, por Yolanda Campos (2007). Diapositiva 14. http://www.camposc.net/0repositorio/presentaciones/. 07someceCamposYolanda.pdf
  • 591.
    563 Anexo 22 Fragmento deInnovación de estrategias didácticas y educación informática, por Yolanda Campos(2009). Diapositiva 10. http://www.slideshare.net/yolacamposc/093innovacion-estrategias-informatica-v07
  • 592.
    564 Anexo 23 Fragmento deEnfoque humanista integrador de la Educación informática. Un modelo de aplicación en el aula, por Yolanda Campos (2007). Diapositiva 16. http://www.camposc.net/0repositorio/presentaciones/. 07someceCamposYolanda.pdf
  • 593.
    565 Anexo 24 Fragmento tomadode LA ENSEÑANZA. BUENAS PRÁCTICAS. LA MOTIVACIÓN por el Dr. Pere Marqués Graells. http://peremarques.pangea.org/actodid.htm  Considerar las características de los estudiantes: estilos cognitivos y de aprendizaje.  Considerar las motivaciones e intereses de los estudiantes. Procurar amenidad. del aula.  Organizar en el aula: el espacio, los materiales didácticos, el tiempo...  Proporcionar la información necesaria cuando sea preciso: web, asesores...  Utilizar metodologías activas en las que se aprenda haciendo.  Considerar un adecuado tratamiento de los errores que sea punto de partida de nuevos aprendizajes.  Prever que los estudiantes puedan controlar sus aprendizajes.  Considerar actividades de aprendizaje colaborativo, pero tener presente que el aprendizaje es individual.  Realizar una evaluación final de los aprendizajes.
  • 594.
    566 Anexo 25 Fragmento tomadode LA ENSEÑANZA. BUENAS PRÁCTICAS. LA MOTIVACIÓN por el Dr. Pere Marqués Graells. http://peremarques.pangea.org/actodid.htm …… Los objetivos educativos que pretenden conseguir el profesor y los estudiantes, y los contenidos que se tratarán. Éstos pueden ser de tres tipos:  Herramientas esenciales para el aprendizaje: lectura, escritura, expresión oral, operaciones básicas de cálculo, solución de problemas, acceso a la información y búsqueda "inteligente", metacognición y técnicas de aprendizaje, técnicas de trabajo individual y en grupo...  Contenidos básicos de aprendizaje, conocimientos teóricos y prácticos, exponentes de la cultura contemporánea y necesarios para desarrollar plenamente las propias capacidades, vivir y trabajar con dignidad, participar en la sociedad y mejorar la calidad de vida.  Valores y actitudes: actitud de escucha y diálogo, atención continuada y esfuerzo, reflexión y toma de decisiones responsable, participación y actuación social, colaboración y solidaridad, autocrítica y autoestima, capacidad creativa ante la incertidumbre, adaptación al cambio y disposición al aprendizaje continuo.
  • 595.
    567 Anexo 26 Fragmento deModelo de David Kolb, aprendizaje basado en experiencias. Por Centros Comunitarios de Aprendizaje, Tecnológico de Monterrey Foundation, Universidad Virtual del Sistema Tecnológico de Monterrey. http://www.cca.org.mx/profesores/cursos/cep21-tec/modulo_2/modelo_kolb.htm Características del alumno convergente Características del alumno divergente Características del alumno asimilador Características del alumno acomodador Pragmático Sociable Poco sociable Sociable Racional Sintetiza bien Sintetiza bien Organizado Analítico Genera ideas Genera modelos Acepta retos Organizado Soñador Reflexivo Impulsivo Buen discriminador Valora la comprensión Pensador abstracto Busca objetivos Orientado a la tarea Orientado a las personas Orientado a la reflexión Orientado a la acción Disfruta aspectos técnicos Espontáneo Disfruta la teoría Dependiente de los demás Gusta de la experimentación Disfruta el descubrimiento Disfruta hacer teoría Poca habilidad analítica Es poco empático Empático Poco empático Empático Hermético Abierto Hermético Abierto Poco imaginativo Muy imaginativo Disfruta el diseño Asistemático Buen líder Emocional Planificador Espontáneo Insensible Flexible Poco sensible Flexible Deductivo Intuitivo Investigador Comprometido
  • 596.
    568 Anexo 27 Cuadro sobreorganizadores gráficos y software y sitios web, elaborado por Jorge Francisco Vera Mosquera. Organizador Gráfico Programa y/o sitios web Mapas Conceptuales Inspiration, Cmap Tools, FreeMind http://www.gliffy.com https://bubbl.us/ https://cacoo.com/ http://creately.com/ http://www.spiderscribe.net/ Mapas Mentales Cmap Tools, Inspiration, ConceptDraw, SmartDraw http://www.aulaweb.com/digidocmap/ http://www.mindomo.com/ http://www.mindmeister.com/ http://www.gliffy.com Telaraña Cmap Tools, Inspiration, SmartDraw, http://cmap.ihmc.us/conceptmap.html http://www.text2mindmap.com/ http://www.mindomo.com/ http://www.mindmeister.com/ http://bubbl.us/ Mapa de Ideas Cmap Tools, Inspiration, Axon, Free Mind, Visual Mind, SmartDraw http://www.comapping.com/ http://www.mindjet.com/ http://www.text2mindmap.com/ http://popplet.com/ http://nelements.org/ http://mind42.com http://bubbl.us/ Diagrama Causa- Efecto Cmap Tools, SmartDraw, OpenOffice Draw, Powerpoint http://cmap.ihmc.us/conceptmap.html, http://interactives.mped.org/view_interactive.aspx?id=127&title Línea de tiempo SmartDraw, TimeLine Maker, Cronos http://xtimeline.com/,http://www.dipity.com/, http://www.timetoast.com/
  • 597.
    569 Diagrama de Flujo SmartDraw, DFD,Microsoft Office Visio, EDraw Flowchart, Powerpoint http://www.gliffy.com/ http://www.flowchart.com/ http://www.drawanywhere.com/ http://www.lucidchart.com/
  • 598.
    570 Anexo 28 Tomado yadaptado de INSTRUMENTOS DE MEDICIÓN DE ESTILOS DE APRENDIZAJE, por José García Cué, en la Revista Estilos de Aprendizaje, nº4, Vol. 4 octubre de 2009 Sitios en Internet de instrumentos de evaluación Student Learning Styles Questionnaire http://longleaf.net/learningstyle.html Grasha A. y Riechmann S. (1974). Institute for Research and Teaching in Higher Education, Cincinnati University, Ohio, U.S. LIFO http://www.bcon-lifo.com Atkins, S. y Katcher, A. (1976). International, Inc., Van Nuys, California, U.S Myers-Briggs Type Indicator (MBTI) http://www.discoveryourpersonality.com/M BTI.html Myers, I, y Briggs, K. (1976 Learning Style Inventory (LSI) http://www.learningfromexperience.com/ Kolb, D. (1976, 1985, 1999). Western Reserve University Cleveland, Ohio and Experience Based Learning Systems Inc. Learning Style Inventory and Productivity Environmental Preference Survey http://www.learningstyles.net/ Dunn, R.; Dunn, K. Price, G. (1977, 1978). St. John's University (NY) and the National Association of Secondary School Principals (NASSP) Your Style of Learning and Thinking. (SOLAT) http://www.ststesting.com/ Torrance, E.P.; Reynolds, C.R.; Riegel, T.R y Ball, O.E. (1977) NEO-Personality Inventory (NEO-PI) y NEO Five-Factor Inventory (NEO-FFI). http://www3.parinc.com/products/product.a spx?Productid=NEO-PIR_SPAN Costa, P.; y McRae R.(1978) Gregorc Style Delineator (GSD) http://www.gregorc.com/ Gregorc, A. (1979, 1999). Connecticut- based research, US.
  • 599.
    571 Learning Context Questionnaire(LCQ) http://www.indstate.edu/cirt/facdev/pedago gies/styles/invent.html Griffith, J. y Chapman, D. (1982). Davidson College. Davidson, North Carolina The Motivational Style Profile (MSP) and related assessment tools http://www.reversaltheory.org Apter, M. (1982). Georgetown University, Washington D.C., U.S.A. Perceptual Learning-Style Preference Questionnaire PLSPQ http://lookingahead.heinle.com/filing/l- styles.htm Reid, J. (1984). University of Wyoming, 4MAT System http://www.aboutlearning.com/ McCarty, B. (1987). Wauconda, Illinois, U.S.
  • 600.
    572 Anexo 29 Fragmento deEstrategias docentes para un aprendizaje significativo: una interpretación constructivista, página 46, por Diaz F. y A. Barriga (2002), Mc Graw Hill. http://es.scribd.com/faustinofums813/d/51250484/4-CUADRO-2-6-Condiciones- para-el-logro-del-aprendizaje-significativo
  • 601.
    573 Anexo 30 Tomado yadaptado de Tomado y adaptado de INSTRUMENTOS DE MEDICIÓN DE ESTILOS DE APRENDIZAJE, diapositiva 36, por David Álvarez, 15 de enero del 2012. http://www.slideshare.net/balhisay/ple-gestin-del-conocimiento-y-colaboracin-en- red?from=ss_embed Rol del Educador ante APA de los estudiantes Rol Actividad Tácticas y herramientas Enfocar Llamar la atención sobre las ideas y conceptos importantes. Twitter, Facebook, blogs. Intermediar Organización de lecturas y recursos para trabajar los conceptos fundamentales. Diseño de aprendizaje, tutorías, ajuste de las actividades para reflejar el flujo del curso. Acompañar Ayudar a los estudiantes a confiar en la construcción de sentido social a través de redes. Comentarios en los artículos del alumnado, ayuda con la formación de redes sociales,... Agregar Mostrar/descubrir patrones en los debates y en la información Alertas de Google, Lectores RSS, herramientas de visualización de datos (Many eyes). Filtrar Ayudar a los estudiantes en el pensamiento crítico acerca de la información/conversaciones en las redes. Lectores de RSS, discusión sobre la autenticidad y veracidad de la información, errores conceptuales. Ejemplificar modelos Mostrar información útil y patrones de interacción. Herramientas y actividades que permitan visibilizar modelos y prácticas apropiadas de relación en red. Estar presente Mantener una presencia continua durante el curso, especialmente durante las pausas de actividad natural. Boletines periódicos con información, actividad en foros, mensajes de vídeo, podcasts, sesiones con herramientas síncronas.
  • 602.
    574 Anexo 31 Tomado deSISTEMA DE ACTUALIZACIÓN E INNOVACIÓN DOCENTE, Universidad de Oriente, Vicerectorado Académico, Centro de Tecnología Educativa, Módulo III, Las Estrategias Instruccionales y la Formación del Docente Universitario, por MSc. Zulay Ortiz Atay (2004), Fondo Editorial, 19 de enero 2009. Páginas 29.-30. ….. Diversas estrategias de enseñanza pueden incluirse antes (pre-instrucccionales), durante (co-instruccionales) o después (post-instruccionales) de un contenido curricular específico, ya sea en un texto o en la dinámica del trabajo docente. En ese sentido podemos hacer una clasificación de las estrategias de enseñanza, basándonos en su momento de uso y presentación. Las estrategias pre-instruccionales por lo general preparan y alertan al estudiante en relación a qué y cómo va a aprender (activación de conocimientos y experiencias previas pertinentes), y le permiten ubicarse en el contexto adecuado del aprendizaje. Algunas de las estrategias preinstruccionales típicas son: los objetivos y el organizador previo. Las estrategias co-instruccionales apoyan los contenidos curriculares durante el proceso mismo de enseñanza o de la lectura del texto de enseñanza. Cubren funciones como las siguientes: detección de la información principal; conceptualización de contenidos; delimitación de la organización, estructura e interrelaciones entre dichos contenidos, y mantenimiento de la atención y motivación. Aquí pueden incluirse estrategias como: ilustraciones, redes semánticas, mapas conceptuales y analogías, entre otras. A su vez, las estrategias post-instruccionales se presentan después del contenido que se ha de aprender, y permiten al alumno formar una visión sintetizada, integradora e incluso crítica del material. En otros casos le permite valorar su propio aprendizaje. Algunas de las estrategias post-instruccionales más conocidas son: post-preguntas intercaladas, resúmenes finales, redes semánticas y mapas conceptuales. ….
  • 603.
    575 Anexo 32 Tomado deLAS TECNOLOGÍAS DE LA INFORMACIÓN Y LA COMUNICACIÓN EN EL PROCESO DE INSTRUCCIÓN DE LA MATEMÁTICA, páginas 4 y 5, por Víctor S. Riveros, V. María Inés Mendoza y Rexne Castro, en QUORUM ACADEMICO Vol. 8 No. 15, enero-junio 2011, Universidad del Zulia. ISSN 1690-7582. http://servidor-opsu.tach.ula.ve/7jornadas_i_h/paginas/doc/JIHE -2011-PT170.pdf  Cualquier tipo de medio, desde el más complejo al más elemental es simplemente un recurso didáctico, que deberá ser movilizado cuando el alcance, los objetivos, los contenidos, las características de los alumnos, en definitiva, el proceso comunicativo en el cual esté inmerso, lo justifique.  El Docente con sus creencias y actitudes hacia los medios en general, determinará las posibilidades que pueda desarrollar en el contexto educativo.  Todo medio no funciona en el vacío sino en un contexto complejo (psicológico, físico, organizativo, didáctico) de tal forma que se verá determinado por el contexto.  El alumno no es un procesador pasivo de información, por el contrario es un receptor activo y consciente de la información mediada que le es presentada, de manera que con sus actitudes y habilidades determinará la posible influencia cognitiva, afectiva o psicomotora del medio.
  • 604.
    576 Anexo 33 Tomado yadaptado de LAS TECNOLOGÍAS DE LA INFORMACIÓN Y LA COMUNICACIÓN EN EL PROCESO DE INSTRUCCIÓN DE LA MATEMÁTICA, páginas 5 y 6, por Víctor S. Riveros, V. María Inés Mendoza y Rexne Castro, en QUORUM ACADÉMICO Vol. 8 No. 15, enero-junio 2011, Universidad del Zulia. ISSN 1690-7582. http://servidor-opsu.tach.ula.ve/7jornadas_i_h/paginas/doc/JIHE -2011-PT170.pdf Actualización profesional Actitudes  Conocimiento de las posibilidades de utilización de los recursos en soporte TIC en la docencia y para la organización y gestión de las instituciones formativas.  Conocimiento de las ventajas e inconvenientes de los entornos virtuales de aprendizaje frente a los sistemas de aprendizaje presencial con apoyo TIC.  Acceso a las fuentes de información y recursos en soporte TIC (revistas, portales especializados, Webs temáticas, foros) dedicadas a las labores del docente.  Conocimiento de las repercusiones de las TIC en el campo de conocimiento que se imparte.  Acceso a las fuentes de información y recursos en soporte TIC sobre las asignaturas que imparte.  Utilización de los programas informáticos relevantes y  Actitud abierta y crítica ante la sociedad actual (era Internet, Sociedad de la Información) y las TIC (contenidos, entretenimiento)  Estar predispuesto al aprendizaje continuo y a la actualización permanente.  Actitud abierta a la investigación en el aula para aprovechar al máximo las posibilidades didácticas de los apoyos que proporcionan las TIC.  Actuar con prudencia en el uso de las TIC (indagar la procedencia de mensajes, evitar el acceso a información conflictiva y/o ilegal, preservar los archivos críticos).
  • 605.
    577 específicos de lasasignaturas que imparte.  Acceso a algunas de las múltiples fuentes de formación e información general que proporciona la Internet (bibliotecas, cursos, materiales formativos, prensa). Competencias técnicas(instrumentales) Metodología docente  Conocimientos básicos de los sistemas informáticos y de las redes.  Gestión del equipo informático. El docente debe ser autónomo en el uso de su equipo: manejo del sistema operativo Windows y de los programas que utiliza habitualmente, gestión de archivos y carpetas en las unidades de almacenamiento, conexión de periféricos, gestión de copias de seguridad y antivirus, instalación y desinstalación de programas, utilización de recursos compartidos en red, mantenimiento básico del equipo.  Utilizar las ayudas que proporcionan los manuales y los mismos programas.  Procesador de textos: uso de las funciones básicas, correctores ortográficos.  Imagen digital: creación, captura y tratamiento. Uso del escáner, de la cámara y el vídeo digital.  Navegación en la Internet:  Integración de recursos TIC (como instrumento, como recurso didáctico y como contenido de aprendizaje) en los planes docentes y programas formativos.  Evaluación objetiva de recursos educativos en soporte TIC.  Selección de recursos TIC y diseño de intervenciones formativas en el contexto; organización de las clases.  Aplicación en el aula de nuevas estrategias didácticas que aprovechen los recursos TIC: uso de las funcionalidades de la pizarra digital en el aula, realización de trabajos de autoaprendizaje a partir de búsquedas en la Internet y presentación de los mismos en el aula con apoyos audiovisuales o digitales, realización de trabajos grupales en las aulas multiuso e informáticas, realización de proyectos colaborativos en soporte TIC a partir de las fuentes informativas de la Internet y con la
  • 606.
    578 utilización de losbuscadores y captura de todo tipo de datos, búsqueda y selección crítica de información.  Uso del correo electrónico y de los foros telemáticos (chats, videoconferencias).  Conocimientos básicos de los lenguajes hipermedial (estructuración hipermedial de la información) y audiovisual.  Elaboración de páginas web y presentaciones multimedia.  Hojas de cálculo: uso de las funciones elementales y de los gráficos estadísticos sencillos.  Bases de datos: Consulta y uso básico de un gestor de bases de datos (creación de bases de datos, mantenimiento, consultas, informes).  Gestión de los sistemas tecnológicos aplicados a la educación: audiovisuales convencionales (retroproyector, vídeo, televisión), pizarra digital, sistemas de videoconferencia.  Uso de lenguajes de autor y entornos específicos para la elaboración de materiales didácticos. ayuda de los canales comunicativos telemáticos, utilización de las WebQuest y otros recursos del ciberespacio, aprovechamiento didáctico de los recursos que proporcionan los “mass media”.  Elaboración de apuntes, presentaciones y materiales didácticos multimedia de apoyo para los alumnos.  Uso eficiente de las tutorías virtuales y de otras ayudas tecnológicas para la tutoría y la orientación: identificación de las características de los alumnos, seguimiento de sus actividades, informes.  Uso de ayudas TIC para la evaluación de los alumnos y de la propia acción formativa.  Uso de las funcionalidades que proporcionan las intranet y las web de centro.  Confección de la web docente con una selección de recursos de utilidad para los alumnos.
  • 607.
    579 Anexo 34 Tomado deMetodología de diseño, desarrollo y evaluación de software educativo, Tesis de Magíster en Informática. (Versión resumida), Facultad de Informática. UNLP, de Ing. Zulma Cataldi, ISBN 960-34-0204-2, 2000, página 11. http://laboratorios.fi.uba.ar/lsi/cataldi-tesisdemagistereninformatica.pdf Libedinsky (1995) en el marco pedagógico de la utilización de tecnologías en el ámbito educativo, dice que uno de los principios clave que puede operar es el de las cogniciones repartidas. "Cuando se examina la conducta humana en la resolución de problemas de la vida real y en entornos laborales, la gente parece pensar en asociación con otros y con la ayuda de herramientas provistas por la cultura, las cogniciones parecerían no ser independientes de las herramientas con las que se resuelve un problema. Las cogniciones parecerían distribuirse físicamente con nuestros útiles y herramientas, entre ellas la computadora, socialmente con quienes compartimos las tareas intelectuales y simbólicamente desde las palabras, gráficos y mapas conceptuales, entre otros, como medios de intercambio entre la gente. Los recursos físicos y sociales, participan en la cognición no sólo como fuente sino como vehículo del pensamiento". (Libedinsky, 1995).
  • 608.
    580 Anexo 35 Tomado deSoftware Educativo, por el Centro de Informática de la Pontificia Universidad Católica de Chile (2000). http://www.docstoc.com/docs/19502615/Clasificaci%C3%B3n-de-Software- Educativo Por tipo de aplicación Software libre de contenido (genérico): Son aplicaciones generales. Ej: Procesador de palabras, hoja de cálculo, base de datos, etc. Software específico: Aplicaciones para temas específicos del Curriculum. Ej: Simulaciones de un laboratorio, práctica para aprender un idioma, aprendiendo a calcular,etc. Por rol educacional Tutor: Pretende proveer un profesor sustituto. Ej: Tutoriales y aplicación de ejercicios. Herramienta: Cuando el computador realiza labores tediosas permitiendo al usuario concentrarse en conceptos esenciales. Ej: Aplicaciones para cálculos matemáticos, análisis estadístico, etc. Aprendiz: El computador provee ambiente para que el estudiante le enseñe con sus ideas y soluciones a un problema. Ej: Lenguaje Logo y sus modelamientos. Otra visión es:  Motivación(juegos de aventura).  Proveyendo nuevo estímulo(programas que simulan un mundo real).  Activando la respuesta del aprendiz (programas que desafían al estudiante).  Dando información (tutoriales, ejercitación, manejo de información.  Promoviendo la aplicación (programas de ejercitación).  Secuenciando el aprendizaje (tutoriales).  Proveyendo un recurso (Micromundos, Logo).
  • 609.
    581 Por teoría educacional Instruccional:Se trata que el aprendiz sea experto en el contenido. Revelador: Enfatiza el aprendizaje por descubrimiento y el desarrollo de la intuición. Descubridor: Liberador: Es desarrollar la comprensión a través de una activa construcción del conocimiento. Por tipo de actividad que promueve Ejercitación: Reforzar hechos o conocimientos que han sido analizados en clase o en laboratorio. Su modalidad es pregunta y respuesta. Tutorial: Presenta información que se plasma en un diálogo entre aprendiz y computador. Hace que la información presentada motive y estimule al estudiante en algo relacionado. Simulación: Son modelos de eventos y procesos de la realidad, proveyendo un ambiente fluido, creativo y manipulativo. Juego educativo: Similar a la simulación, la diferencia está en un nuevo componente: La acción del competidor, sea virtual o no. Material de referencia multimedial: Usualmente el mostrado en enciclopedias interactivas. La finalidad es proporcionar material de referencia e incluye video, texto, imagen, sonido, etc. Edutainment: Es integrar Educación y entretenimiento. Son programas interactivos por excelencia, proporciona color, música efectos visuales y de sonido, etc. Historias y cuentos: Presentan una historia o cuento multimedial con valor educativo. Editores: No dan respuesta al usuario, proporcionan un marco de trabajo para crear o experimentar en un espacio gráfico o similar. Hiperhistoria: Utiliza una metáfora de navegación especial, transfiriéndose a una narrativa interactiva.
  • 610.
    582 Anexo 36 Tomado yadaptado de La PIOLA y el Desarrollo Profesional Docente con apoyo de Tecnologías de Información y Comunicación - TIC. Páginas 6 a 46. Elaborado por Jorge Francisco Vera Mosquera. Herramientas relacionadas en PIOLA P- Productividad Comunicación basado en texto(expresión escrita, autoría, referencias y citas), mejorar comunicación escrita(Procesadores de texto y utilidades relacionadas-WORD, WRITER), aprender a digitar(TACA TACA,TUXTYPE), manejar citas y referencias bibliográficas(APA,ACM,ENDNOTE), procesamiento de datos, apoyo al cálculo y análisis numérico(EXCEL,CALC), administración de bases de datos(ACCESS,BASE), Análisis estadístico de datos(SPSS,SAS), expresión gráfica, procesamiento gráfico(PAINT, FIREWORKS,PHOTOSHOP), presentaciones multimedia(POWERPOINT, IMPRESS), procesamiento de datos multimedia(LAS VEGAS MOVIE STUDIO, CAMTASIA STUDIO), elaborar portafolios digitales(EPORTFOLIO, PAPER BUILDER), compartir en red la producción(para diseño web:DREAMWEAVER, FRONTPAGE, publicación web: WORDPRESS.COM, BLOGGER.COM). I- Interacción Con otras personas. Asincrónico: Correo electrónico (YAHOO, HOTMAIL, GOOGLE), Blogs (WORDPRESS, BLOGGER), Wiki (WIKISPACES, MEDIAWIKI, GOOGLE DOCS), Foros (en egroups de Internet como GOOGLE GROUPS, YAHOO GROUPS, en plataformas educativas como MOODLE, DOKEOS). Sincrónico: Mensajería instantánea (MSN, YAHOO, AIM), Videoconferencia (SKYPE, MSN). O- Objeto de estudio Es el poder apropiarse del conocimiento por parte del estudiante: Cultural, científico o tecnológico. Apoyo al aprendizaje por conjetura y exploración (PHYSICS.ORG,TEEMS, MOLO), manipular digitalmente objetos matemáticos(NLVM, MATHSNET), exploración en la red(WEBQUEST.ORG, metodología webquest como en
  • 611.
    583 EDUTEKA.ORG), exploración digitaldel planeta(GOOGLE EARTH, WORLD WIND), proyectos colaborativos(KIDLINK,WORLD LINKS, ENLACES de Chile) L- Labores educativas Es el apoyo a las labores educativas. Crear mapas conceptuales(CMAP TOOLS, BUBBL.US), mapas causa-efecto(SEEING REASON), construcción y exploración de modelos matemáticos(MODELLUS), simulaciones y juegos(AGENTSHEETS, MATLAB) A- Ampliar el acervo cultural, científico y tecnológico Es el mantenerse actualizado en lo que interesa en un modo directo. Empleando las herramientas necesarias por medio de Internet y otras redes de cooperación, investigación e innovación. Motores de búsqueda y navegación por etiquetas digitales(GOOGLE, YAHOO, FLICKR, SLIDEHSARE), enciclopedias digitales(MSN ENCARTA, WIKIPEDIA, ENCICLONET, MEDLINE, NSDL, EET, APOD, WEBOPEDIA), información por demanda(Listas de interés- suscribirse a blogs, publicaciones, canales RSS-BLOGLINES, FEEDREADER), diccionarios, traductores y tesauros(RAE, WORDREFERENCE.COM, BABEL FISH TRANSLATION, VISUAL TESAURUS), portales educativos(PCA, PEC, EDUC.AR, EDUTEKA), recorridos digitales por museos y colecciones(NASA, MUSEO DEL ORO, MUSEO DEL PRADO, NATIONAL GEOGRAPHIC)
  • 612.
    584 Anexo 37 Cuadro tomadoy adaptado de La formación del profesorado universitario en tecnologías de la información y comunicación, por Marcelo López (2007), página 47. http://vector.ucaldas.edu.co/downloads/Vector2_5.pdf “Desarrollo profesional docente con apoyo de tecnologías de información y comunicación”, Fuente: Álvaro Galvis Panqueva, Alianza por la educación MEN- Microsoft, 2006. Dimensiones Herramientas Mejorar la productividad individual  Comunicación escrita.  Cálculo y análisis de datos numéricos.  Administración de bases de datos.  Procesamiento gráfico.  Procesamiento de video y sonido.  Presentaciones. Interacción con otros  Correo electrónico.  Chats.  Diarios digitales (blogs).  Foros. Exploración de objetos de estudio  Simuladores.  Cursos virtuales.  Lecciones interactivas. Creación de nuevos objetos de estudio  Construcción de mapas conceptuales.  Construcción de mapas de causa- efecto.  Construcción de modelos matemáticos.  Construcción de simulaciones.  Creación de casos y portafolios digitales. Ampliar y preservar acervo cultural  Fuentes digitales de información (motores de búsqueda,enciclopedias, diccionarios,listas de interés, portales educativos, recorridos virtuales).
  • 613.
    585 Anexo 38 Cuadro tomadoy adaptado de La formación del profesorado universitario en tecnologías de la información y comunicación, por Marcelo López (2007), página 47. http://vector.ucaldas.edu.co/downloads/Vector2_5.pdf Dimensiones Herramientas Acompañamiento Tutorial  Sistemas Help Desk.  Sistemas CRM para Educación Superior. Gestión del Ejercicio docente  Sistema ERP Institucional.  Software para la gestión de proyectos y planes.  Software gestión de mapas conceptuales.  Software groupware.  Acceso a Bases de Datos especializadas.  Acceso a CRA. Gestión de conocimiento  Sistemas de gestión documental.  Software de Mapas de conocimiento.  Sistemas de vigilancia en ciencia y Tecnología.  Sistemas de gestión tecnológica.  Sistemas expertos.  Inteligencia artificial.
  • 614.
    586 Anexo 39 Cuadro tomadode Competencias deseables de un docente universitario en el uso de las tecnologías de información y comunicación (TIC), por Patricia Toro, Patricia Ochoa, Gustavo Villegas y Claudia Zea (2005), página 6. http://bdigital.eafit.edu.co/Journal/HRU100/Cuaderno35.pdf ISTE CMI Marqués Los Criterios Nacionales propuestos por ISTE para la Tecnología Educativa para Docentes (NETS), se centran en la formación del docente antes de su ejercicio profesional. Define los conceptos fundamentales, el conocimiento, las destrezas y actitudes en el uso de TIC. Los criterios están agrupados en seis categorías básicas: I. Tecnología, operaciones y conceptos. II. Planeando y diseñando ambientes y experiencias de aprendizaje. III. Enseñando, aprendiendo y el currículo IV. Valoración y Evaluación V. Productividad y Practica Profesional. VI. Recursos Sociales, Éticos, Legales y Humanos. Las competencias básicas frente al manejo de la información, han sido agrupados en tres categorías que son: I. Competencia en el Manejo de Información II. Aprendizaje Independiente III. Responsabilidad Social El investigador Pere Marqués ha definido las competencias básicas en TIC’s que debe poseer un docente. Estas competencias didáctico-digitales para los formadores se reúnen en cuatro dimensiones: I. Competencias técnicas (instrumentales) II. Actualización profesional III. Metodología docente IV. Actitudes
  • 615.
    587 Anexo 40 Cuadros tomadosde Competencias deseables de un docente universitario en el uso de las tecnologías de información y comunicación (TIC), por Patricia Toro, Patricia Ochoa, Gustavo Villegas y Claudia Zea (2005), páginas 8 a 12. http://bdigital.eafit.edu.co/Journal/HRU100/Cuaderno35.pdf I - Categoría Alfabetización Tecnológica Conceptos (Saber – Saber) Procedimientos (Saber – Hacer) Actitudes (Saber – Ser y convivir juntos) Competencias Básicas Conoce los componentes básicos de los sistemas informáticos y sus principales funciones. Conoce la terminología básica de los sistemas operativos. Conoce los diferentes componentes de los computadores y sus periféricos. Organiza adecuadamente la información mediante archivos y carpetas. Domina la utilización de los elementos genéricos de los diferentes programas. Guarda y recupera la información en el computador y en diferentes soportes externos. Muestra interés por actualizar los conocimientos básicos alrededor de las TIC. Asume una postura preactiva hacia los problemas técnicos cotidianos asociados a estas tecnologías.
  • 616.
    588 II. Categoría Desarrolloproductivo Conceptos (Saber – Saber) Procedimientos (Saber – Hacer) Actitudes (Saber – Ser y convivir juntos) Competencias Básicas Conoce los elementos básicos para navegar por Internet, almacenar, recuperar, clasificar e imprimir información. Conoce el ambiente de trabajo del procesador de textos, la hoja de cálculo y de algún software de base de datos. Conoce los elementos básicos de los mapas conceptuales digitales. Conoce los editores básicos para la creación de páginas Web. Utiliza motores para búsqueda de información en Web. Utiliza las distintas herramientas del procesador de texto, la base de datos, la hoja de cálculo y las utilidades de impresión y gráficos. Envía y recibe mensajes de correo electrónico, organiza la libreta de direcciones y envía mensajes con archivos adjuntos. Utiliza las funciones básicas de un editor gráfico. Contrasta la validez y actualidad de la información localizada. Valora las ventajas y los inconvenientes de los diferentes soportes electrónicos/ digitales. Demuestra conocimientos frente a los problemas de equidad, éticos y humanos relacionados con el uso de la informática y la tecnología. Demuestra un sentido crítico frente a los cibermedios de comunicación. Competencias Deseables Conoce las principales funciones de los editores de textos, Utiliza los sistemas de gestión de las bases de datos, que le permitan almacenar y acceder a
  • 617.
    589 graficadores y hojas de presentaciónal que se le adicionan recursos multimediales. Conoce las diferentes técnicas para generar reportes y cruzar información en las bases de datos. los datos de forma rápida y estructurada. Realiza textos y presentaciones que incluyen recursos multimediales e hipertextuales entre diferentes documentos. Construye mapas conceptuales multimediales, adicionándoles recursos y generando mapas colaborativos con otros docentes y estudiantes.Construye una página Web personal y/o académica.
  • 618.
    590 III. Categoría IntegraciónTIC en ambientes de aprendizaje Conceptos (Saber – Saber) Procedimientos (Saber – Hacer) Actitudes (Saber – Ser y convivir juntos) Competencias Básicas Conoce las múltiples fuentes de formación que proporciona Internet (biblioteca – cursos – materiales). Conoce diferentes recursos informáticos asociados con las asignaturas que imparte (aplicaciones, simuladores y software). Conoce el acceso a bibliotecas digitales y a bases de datos especializadas. Utiliza, explora y evalúa material informático aplicaciones, simuladores y software educativo que apoya el proceso educativo. Identifica los recursos para mantenerse al día en aplicaciones informáticas y tecnológicas. Diseña y desarrolla actividades de aprendizaje que integren la informática y la tecnología para las estrategias de grupos de alumnos y para diversas poblaciones de estudiantes. Promueve en los alumnos el uso de las TIC, como fuente de información y como medio de expresión. Muestra actitudes favorables para el aprendizaje continuo y la actualización permanente. Posee actitudes favorables al trabajo en equipo y a compartir información digital con otros. Competencias Deseables Conoce las estrategias de integración de los recursos TIC en la planificación Aplica los principios educativos y las investigaciones actuales al uso pedagógico de las TIC.
  • 619.
    591 y desarrollo de asignaturas. Identificay localiza recursos tecnológicos y evalúa su precisión e idoneidad Planea el manejo de recursos tecnológicos dentro del contexto de las actividades de aprendizaje. Utiliza búsqueda de información digital, en bases de datos especializadas.Elabo ra talleres, presentaciones y materiales didácticos multimedia de apoyo para los estudiantes Usa diversas ayudas que aportan las TIC para el seguimiento y la evaluación de los estudiantes Diseña y mantiene un sitio Web docente, con una selección de los recursos útiles para los estudiantes. Usa la tecnología para obtener y analizar datos, interpretar resultados y comunicar
  • 620.
    592 hallazgos con elfin de mejorar las prácticas educativas y el aprendizaje de los estudiantes. Comparte recursos digitales con pares académicos. Competencias Avanzadas Conoce diferentes programas de autor para la generación de materiales electrónicos Usa programas de autor para elaborar materiales educativos con actividades interactivas virtuales. Diseña y construye materiales informáticos (aplicaciones, simuladores y software)
  • 621.
    593 IV. Categoría EducaciónOn Line Conceptos (Saber - Saber) Procedimientos (Saber - Hacer) Actitudes (Saber Ser - y convivir juntos) Competencias básicas Conoce las diversas posibilidades y funcionalidades de los entornos virtuales de aprendizaje. Conoce las diferentes estrategias de tutoría en ambientes virtuales. Identifica las potencialidades, requerimientos, y características de un sistema de educación On line. Participa en proyectos de trabajo colaborativo (listas de discusión, debates temáticos, cursos de formación On line).Utiliza las tecnologías informáticas para acceder a la información que incremente la productividad personal y profesional. Realiza un uso eficiente de las tutorías virtuales (Identifica las características de los alumnos, hace seguimiento de las actividades, retroalimenta informes, etc.).Utiliza plataformas o campus virtuales Mantiene una actitud abierta y crítica ante la sociedad de la información. Es Abierto a la investigación en el aula para aprovechar al máximo las posibilidades didácticas de los apoyos que proporcionan las TIC. Muestra actitudes positivas hacia usos de las TIC que apoyan el aprendizaje continuo y colaborativo. Competencias deseables Conoce los elementos asociados con la Orienta e interactúa con diseñadores de Mantiene actitudes abiertas y criticas ante la
  • 622.
    594 creación, orientación y síntesis deforos virtuales. Conoce las diversas políticas de derechos de autor para manejo y difusión de materiales electrónicos materiales multimediales. Participa y está en capacidad de organizar actividades educativas por audioconferencia, teleconferencia, audiográfica y videoconferencia. Usa programas de autor para elaborar materiales educativos con actividades interactivas virtuales. Evalúa y selecciona nuevas fuentes de información e innovaciones tecnológicas con fundamento en su adecuación para tareas específicas. Utiliza las diversas políticas de derechos de autor para materiales electrónicos sociedad actual (era de Internet, sociedad de la información) y las TIC (contenidos, entretenimiento). Es Abierto a la investigación en el aula para aprovechar al máximo las posibilidades didácticas de los apoyos que proporcionan las TIC. Muestra disposición al aprendizaje continuo y a la actualización permanente en la virtualidad. Tiene actitudes positivas hacia los usos de las TIC para el trabajo colaborativo y la productividad. Respeta las diversas políticas de derechos de autor en materiales electrónicos Competencias avanzadas Conoce las diferentes estrategias Organiza sesiones virtuales y bimodales
  • 623.
    595 didácticas y técnicas parala generación de contenidos en ambientes virtuales aprovechando plenamente el potencial de las TIC (desarrollo de contenidos, actividades de aprendizaje, seguimiento y evaluación).
  • 624.
    596 Anexo 41 Cuadro tomadode ESTÁNDARES Y COMPETENCIAS TIC PARA LA FORMACIÓN INICIAL DE PROFESORES, Revista de Estudios y Experiencias en Educación, núm. 12, 2007, pp. 93-106 de la Universidad Católica de la Santísima Concepción, Chile, por Marcelo Careaga y Angélica Avendaño. Página 96. http://redalyc.uaemex.mx/redalyc/pdf/2431/243117030005.pdf Estándares internacionales TIC para la formación docente Objetivo Enfoque Dimensiones ISTE Dotar al docente de referencias para la creación de ambientes más interactivos de aprendizaje. Integrador de aquellas destrezas técnicas y pedagógicas, organizados en un itinerario que incluye una formación escolar y finaliza con una formación a lo largo de la vida. Las áreas que considera este estándar incluyen: - Manejo Tecnológico Operativo (básico y de Productividad). - Diseño de Ambientes de Aprendizaje. - Vinculación TIC con el Currículo. - Evaluación de Recursos y Aprendizajes. - Mejoramiento Profesional. - Ética y Valores. INTEL Pretende ayudar a que los docentes tengan referencias y orientaciones para integrar de manera efectiva, el uso de TIC en los programas de estudios y el proceso de aprendizaje Se sustenta en un conjunto de módulos de formación, que conllevan niveles y tipo de aprendizajes que integran el uso de TIC y el Las áreas que considera este estándar incluyen: - Manejo Tecnológico Operativo (básico y de productividad). - Diseño de
  • 625.
    597 con estudiantes. desarrollo curricular,mediante un proceso permanente de elaboración por parte del docente. Ambientes de Aprendizaje. - Vinculación TIC con el Currículo. - Evaluación de uso y Aprendizajes. - Mejoramiento Profesional. - Ética y Valores. QTS Establecido como parte de un currículo nacional para la FID en el Reino Unido, se centra en la articulación con áreas curriculares como el Inglés, matemáticas, ciencias y aprendizaje propio de las TIC. Se organizan en torno a tres ejes temáticos que implican conocer, enseñar y reflexionar sobre la práctica profesional. Las áreas que considera este estándar incluyen: - Manejo Tecnológico Operativo (básico y de Productividad). - Diseño de Ambientes de Aprendizaje. - Vinculación TIC con el Currículo. - Evaluación de uso y Aprendizajes. - Mejoramiento Profesional. EUROPEAN PEDAGOGITAL ICT Busca acreditar pedagógicamente, el nivel de los docentes y el uso de las TIC, con miras a contribuir una mejora en las prácticas docentes. Integra una perspectiva operativa y una pedagógica, para lo cual se basa en el desarrollo y adaptación de Las áreas que considera este estándar incluyen: - Manejo Tecnológico Operativo (básico y de Productividad).
  • 626.
    598 propuestas contextualizadas en el aula.Su modalidad de trabajo está organizada en módulos obligatorios y opcionales de carácter virtual. - Vinculación TIC con Currículo. - Evaluación de uso y Aprendizajes. - Mejoramiento Profesional. INSA Mejora la formación continua de docentes desde la propia práctica docente, facilitando la orientación para propuestas de innovación con TIC. Articula objetivos curriculares con aquellos operativos, en torno a desempeños más centrados en lo cognitivo y su concreción en actividades con alumnos. Las áreas que considera este estándar incluyen: - Manejo Tecnológico Operativo (básico y de Productividad). - Diseño de Ambientes de Aprendizaje. - Vinculación TIC con el Currículo. - Evaluación de uso y Aprendizajes. - Mejoramiento Profesional. - Ética y Valores. AUSTRALIA Estándar que busca establecer qué tipo de destrezas y habilidades debe poseer un docente, al ingresar al sistema educativo. Considera categorías operativas y pedagógicas, desglosadas mediante habilidades de uso Las áreas que considera este estándar incluyen: - Manejo Tecnológico Operativo (básico y de
  • 627.
    599 y de toma dedecisiones en un contexto formador. Productividad) - Diseño de Ambientes de Aprendizaje - Vinculación TIC con el Currículo - Evaluación de uso y Aprendizajes - Mejoramiento Profesional - Ética y Valores
  • 628.
    600 Anexo 42 Fragmento deESTÁNDARES UNESCO DE COMPETENCIA EN TIC PARA DOCENTES, por Eduteka. http://www.eduteka.org/EstandaresDocentesUnesco.php
  • 629.
    601 Anexo 43 Fragmento resumidode Desarrollo de competencias a través de la educación a distancia, “Estándares UNESCO de Competencias en TIC para Docentes”, por Rocío Bautista. http://www.temachtiani.com/onteanqui2/.../competenciasEnTIC.pps Matriz Componente/Enfoque de los Estándares UNESCO de Competencias en TIC para Docentes Componente/Enfoque Nociones básicas de TIC Profundización del Conocimiento Generación de Conocimiento Política y Visión Nociones básicas de TIC Profundización del conocimiento Innovación en materia de políticas Plan de estudios (Curriculum) y evaluación Conocimientos básicos Aplicación del conocimiento Habilidades indispensables para el Siglo XXI Pedagogía Integrar las TIC Solución de problemas complejos Autogestión TIC Herramientas básicas Herramientas complejas Tecnología generalizada Organización y administración Aula de clase estándar Grupos colaborativos Organizaciones de aprendizaje Formación profesional de docente Alfabetismo en TIC Gestión y Guía El docente como modelo de educando
  • 630.
    602 Anexo 44 Tomado deEXPERIENCIAS DOCENTES Y TIC, Universidad de Oviedo por María Esther Del Moral Pérez y Raquel Rodríguez González (2010), Editorial Octaedro, Primera Edición, mayo. Página 20. El perfil apropiado del estudiante viene caracterizado por los siguientes elementos: Aprendiz activo, autónomo, estratégico, reflexivo, cooperativo, responsable. Sin duda, esto exige un gran cambio de mentalidad en la cultura dominante del alumnado universitario y que requiere también de una atención especial. En el caso de los profesores, un requisito básico para el logro de algunos de los objetivos del proceso de convergencia es la profesionalización del Profesor universitario. Esta afirmación se traduce en la exigencia de una formación pedagógica institucionalizada y sistemática, cuya finalidad sea la de facilitar el aprendizaje de sus nuevas competencias docentes (De la Cruz, 2000, 2003; Fernández, 2003).
  • 631.
    603 Anexo 45 Entrevista conDra. Jeannette Yerovi de Orta, Directora del Instituto de Post-Grado y Educación Continua de la Facultad de Filosofía, Letras y Ciencias de la Educación. Guayaquil, 1 de abril de 2012. UNIVERSIDAD DE GUAYAQUIL FACULTAD DE FILOSOFÍA, LETRAS Y CIENCIAS DE LA EDUCACIÓN INSTITUTO DE POSTGRADO Y EDUCACIÓN CONTINUA MAESTRÍA EN EDUCACIÓN INFORMÁTICA PRIMERAS AUTORIDADES DE LA FACULTAD DE FILOSOFÍA, LETRAS Y CIENCIAS DE LA EDUCACIÓN – ENTREVISTA Antes de iniciar con esta entrevista, le agradezco por su tiempo y participación en esta investigación. Quien se dirige a usted es maestrante de Educación Informática de la Facultad de Filosofía de la Universidad de Guayaquil, cuyo tema de tesis es: MANEJO DE LAS TIC EN LA GESTIÓN DOCENTE DE LA UNIVERSIDAD DE GUAYAQUIL. PROPUESTA: DISEÑO DE UN PROGRAMA DE EDUCACIÓN CONTINUA EN EL MANEJO DE LAS TIC PARA EL INSTITUTO DE POST-GRADO DE LA FACULTAD DE FILOSOFÍA, LETRAS Y CIENCIAS DE LA EDUCACIÓN. Sus respuestas serán sumamente valiosas para la presente investigación, siendo su información muy importante ya que contribuirá relevantemente con lo que se investiga, agradeciéndole de antemano su colaboración. Lcdo. S. I. Jorge Vera Mosquera DATOS REFERENCIALES Cargo actual Años de experiencia docente Último grado académico
  • 632.
    604 Preguntas 1. ¿Cómo considerael rol de las TIC en la Educación? Considero que es una herramienta de este siglo cuyo rol es de suma importancia, ya que todo se hace con la tecnología actualmente. 2. ¿Cómo juzga el impacto de las TIC en la Sociedad actual? Es de gran impacto en nuestro medio, como una prueba se puede mencionar los exámenes del Senescyt a nivel universitario, que actualmente se realicen para el ingreso, y podemos decirlo a nivel de toda actividad en la sociedad. 3. ¿Existe algún estudio relacionado con el manejo de las TIC en la gestión docente de la Universidad? En la actualidad no, pero debe de existir. 4. ¿Existen algún Programa de Formación Continua Docente en TIC en la Facultad de Filosofía? No existe actualmente, de ahí los objetivos de la tesis que actualmente se está desarrollando. 5. ¿Qué grado de importancia considera Ud. al manejo de las TIC en la gestión docente universitaria? Lo considero de suma importancia, dada el desarrollo tecnológico y su uso por parte de los estudiantes en su vida cotidiana y en el mundo laboral. 6. ¿Considera Ud. que el paradigma tradicional de enseñanza se presenta actualmente en la Universidad?. Argumente. Sí hay en ciertos Docentes, pero los jóvenes están empoderados con el Paradigma Constructivista. 7. ¿Cómo considera la situación actual del manejo de las TIC a nivel curricular en la Universidad de Guayaquil? Al momento no está todavía definida la temática, como tampoco socializada, algunas Facultades desarrollan lo que creen conveniente. 8. ¿En qué forma considera que se debe presentar la relación Curriculum – TIC – Aprendizaje y Estrategias metodológicas en una asignatura? Deben ir entrelazadas con criterio vertical y horizontal, para una mejor estrategia metodológica. 9. ¿El Software, en qué forma lo considera útil en el proceso educativo en una asignatura?.¿En qué momento? Cada Docente maneja lo que considera conveniente, sobretodo en Informática, debiéndose a un objetivo andragógico su uso, como apoyo didáctico, en base a una metodología adecuada que considere el escenario creado por el Educador.
  • 633.
    605 10. ¿En quéforma considera que debe presentarse coherencia entre aprendizaje esperado y recurso TIC utilizado? Debe haber coherencia entre los objetivos andragógicos de aula y el uso del recurso TIC, es decir, debe haber interacción entre el estudiante y el Docente, con el apoyo de la herramienta tecnológica. 11. ¿Considera usted que la Facultad de Filosofía dispone de una infraestructura tecnológica (equipos y programas) adecuada para desarrollar los procesos educativos apoyándose en las TIC?. En caso afirmativo, describa brevemente sus razones. Se dispone en la actualidad de catorce (14) laboratorios y un Programa a nivel de Maestría, en la que hay siete (7) paralelos. En Pre-grado existe una carrera de Informática, y esto llevó a que el Instituto de Post-Grado presentara un Programa de Cuarto Nivel de Educación Informática para los egresados de Informática de la provincia y otros lugares del país. 12. ¿Considera usted que la Facultad de Filosofía permite un acceso adecuado de equipos, programas, red e Internet, para sus estudiantes para facilitar los procesos educativos apoyados en las TIC?. Argumente. Actualmente existen los equipos suficientes, en los que hay Internet en los mismos laboratorios, pero en el Complejo Académico, donde está funcionando actualmente el Instituto de Post-Grado, existe en todo el edificio Wi-Fi, y además cuenta con un servicio automatizado para gestión administrativa académica. 13. ¿En qué forma considera que mejorará la eficiencia y eficacia de los procesos educativos de la Universidad con el empleo de las TIC por parte de los Docentes? Siendo las TIC herramientas de apoyo, contribuye indiscutiblemente en la mejora de todos los procesos educativos. 14. ¿En qué y cómo considera que debe consistir un Programa de Educación Continua Docente en el Manejo de las TIC para los Docentes de la Universidad? Acoplado a la realidad actual y acorde a las necesidades docentes. 15. ¿Qué facilidades considera que la Facultad de Filosofía ofrece a los Docentes de la Universidad en relación a los accesos a los recursos educativos necesarios para implementar un Programa de Educación Continua en el Manejo de las TIC? La Facultad cuenta con los recursos suficientes para ofrecer sobretodo, al momento que los cuatro (4) laboratorios de Informática en el Complejo Académico, en el edificio de Post-Grado, se encuentren listos, y así poder implementarlo.
  • 634.
    606 16. ¿Qué gradode factibilidad considera para implementar un Programa de Educación Continua en el Manejo de las TIC para los Docentes de la Universidad? Hay el apoyo y la factibilidad, sobre todo por el deseo de las Autoridades de la Facultad para implementar este Programa. Muchas gracias por su colaboración
  • 635.
    607 Anexo 46 Entrevista conMSc. Francisco Morán Peña, Director de Carreras Técnicas Semi- Presencial de la Universidad de Guayaquil. Guayaquil, 1 de abril de 2012. UNIVERSIDAD DE GUAYAQUIL FACULTAD DE FILOSOFÍA, LETRAS Y CIENCIAS DE LA EDUCACIÓN INSTITUTO DE POSTGRADO Y EDUCACIÓN CONTINUA MAESTRÍA EN EDUCACIÓN INFORMÁTICA PRIMERAS AUTORIDADES DE LA FACULTAD DE FILOSOFÍA, LETRAS Y CIENCIAS DE LA EDUCACIÓN – ENTREVISTA Antes de iniciar con esta entrevista, le agradezco por su tiempo y participación en esta investigación. Quien se dirige a usted es maestrante de Educación Informática de la Facultad de Filosofía de la Universidad de Guayaquil, cuyo tema de tesis es: MANEJO DE LAS TIC EN LA GESTIÓN DOCENTE DE LA UNIVERSIDAD DE GUAYAQUIL. PROPUESTA: DISEÑO DE UN PROGRAMA DE EDUCACIÓN CONTINUA EN EL MANEJO DE LAS TIC PARA EL INSTITUTO DE POST-GRADO DE LA FACULTAD DE FILOSOFÍA, LETRAS Y CIENCIAS DE LA EDUCACIÓN. Sus respuestas serán sumamente valiosas para la presente investigación, siendo su información muy importante ya que contribuirá relevantemente con lo que se investiga, agradeciéndole de antemano su colaboración. Lcdo. S. I. Jorge Vera Mosquera DATOS REFERENCIALES Cargo actual Años de experiencia docente Último grado académico
  • 636.
    608 Preguntas 1. ¿Cómo considerael rol de las TIC en la Educación? El proceso de las TIC a nivel mundial permite que al educando se lo forme con nuevas tendencias, que lo induce a una formación personalizada, y mas no estandarizada, potenciando así al estudiante, siendo el Docente su guía del conocimiento. 2. ¿Cómo juzga el impacto de las TIC en la Sociedad actual? Tener un cálculo es complicado, pero observando y comparando, los jóvenes y los niños manejan nuevos recursos y conocimientos, sin la necesidad de un Docente o Profesor Guía, dado que la Infocomunicación está a la mano de todos. 3. ¿Existe algún estudio relacionado con el manejo de las TIC en la gestión docente de la Universidad? De la Universidad de Guayaquil, en forma general no conozco, pero con la evaluación institucional, existen indicadores de Gestión TIC, como: Número de computadores, Sistema Académico, ancho de banda, etc., que se los está manejando en actualidad. 4. ¿Existen algún Programa de Formación Continua Docente en TIC en la Facultad de Filosofía? No conozco, existen Seminarios esporádicos. 5. ¿Qué grado de importancia considera Ud. al manejo de las TIC en la gestión docente universitaria? Una Universidad moderna dentro de sus puntos estratégicos deben estar las TIC, de modo que el Docente maneje el proceso enseñanza-aprendizaje, orientación- aprendizaje y la gestión de la Universidad, así como, notas, portafolio docente, Curriculum, encuestas de satisfacción del Docente,etc. 6. ¿Considera Ud. que el paradigma tradicional de enseñanza se presenta actualmente en la Universidad?. Argumente. Dentro de los modelos pedagógicos es complicado seguir un modelo, decir que somos constructivistas, no lo implica necesariamente. En la realidad uno combina los modelos porque se los relacionan unos con otros. No es puro un modelo determinado. 7. ¿Cómo considera la situación actual del manejo de las TIC a nivel curricular en la Universidad de Guayaquil? Según las evaluaciones del mandato 14, hay que fortalecer los indicadores de las TIC en la Universidad de Guayaquil.
  • 637.
    609 8. ¿En quéforma considera que se debe presentar la relación Curriculum – TIC – Aprendizaje y Estrategias metodológicas en una asignatura? Todos deben interrelacionarse, no por separado y trabajando integralmente. 9. ¿El Software, en qué forma lo considera útil en el proceso educativo en una asignatura?.¿En qué momento? Es indispensable para mejorar el aprendizaje y facilitar la enseñanza. Hoy en día, el Consejo de Educación Superior considera que una asignatura es en base a créditos, y este es de 16 horas autónomas y 16 horas presenciales. Muchas veces se pueden justificar las presenciales, pero en el caso de las autónomas el proceso es más complicado, y es ahí donde intervienen las TIC. 10. ¿En qué forma considera que debe presentarse coherencia entre aprendizaje esperado y recurso TIC utilizado? Hasta lo más real en su aplicación, todo debe ser posible en la forma que estén disponibles las TIC. 11. ¿Considera usted que la Facultad de Filosofía dispone de una infraestructura tecnológica (equipos y programas) adecuada para desarrollar los procesos educativos apoyándose en las TIC?. En caso afirmativo, describa brevemente sus razones. Sí tiene la tecnología necesaria para los procesos educativos, pero debido a la cantidad de estudiantes, carreras y modalidades, el proceso de formación en la utilización de este tipo de herramientas va creciendo poco a poco. Así se tiene el Sistema Académico de la Facultad, el Sistema de Evaluación Docente, sistema de aulas virtuales, video-llamadas, departamento de video-conferencia, web mail, repositorio digital, sitio web de la Facultad, etc. 12. ¿Considera usted que la Facultad de Filosofía permite un acceso adecuado de equipos, programas, red e Internet, para sus estudiantes para facilitar los procesos educativos apoyados en las TIC?. Argumente. Consideramos que la Facultad cumple con sus labores docentes, pero se debe fortalecer todo lo relacionado con la tecnología, debido a que éstas cambian y se mejoran cada día. 13. ¿En qué forma considera que mejorará la eficiencia y eficacia de los procesos educativos de la Universidad con el empleo de las TIC por parte de los Docentes? El nivel de recursos TIC requiere en ciertos casos, que la Universidad lo atienda, por lo que al hablar de eficiencia y eficacia, no podría establecerse un parámetro objetivo de la realidad universitaria.
  • 638.
    610 14. ¿En quéy cómo considera que debe consistir un Programa de Educación Continua Docente en el manejo de las TIC para los Docentes de la Universidad? Basarse en las políticas de la Universidad, en lo relacionado a la aplicación de las TIC en la Educación, conociendo disposiciones y necesidades de cada Facultad. 15. ¿Qué facilidades considera que la Facultad de Filosofía ofrece a los Docentes de la Universidad en relación a los accesos a los recursos educativos necesarios para implementar un Programa de Educación Continua en el Manejo de las TIC? La Facultad viene dando Seminarios sobre el uso del Sistema Académico, como el ingreso de actas por Internet, evaluaciones, verificación de notas por parte del estudiante, portafolio docente, etc., trabajándose en el tema para en el futuro dar mejores facilidades. 16. ¿Qué grado de factibilidad considera para implementar un Programa de Educación Continua en el Manejo de las TIC para los Docentes de la Universidad? Alto, dar el tiempo, la planificación, los recursos, y darse la infraestructura del caso, acorde a las disposiciones superiores. Muchas gracias por su colaboración
  • 639.
    611 Anexo 47 Entrevista conMSc. Francisco Silva Vera, Docente de la Carrera Mercadotecnia y Publicidad de la Facultad de Filosofía, Letras y Ciencias de la Educación. Guayaquil, 1 de abril de 2012. UNIVERSIDAD DE GUAYAQUIL FACULTAD DE FILOSOFÍA, LETRAS Y CIENCIAS DE LA EDUCACIÓN INSTITUTO DE POSTGRADO Y EDUCACIÓN CONTINUA MAESTRÍA EN EDUCACIÓN INFORMÁTICA EXPERTOS – ENTREVISTA Antes de iniciar con esta entrevista, le agradezco por su tiempo y participación en esta investigación. Quien se dirige a usted es maestrante de Educación Informática de la Facultad de Filosofía de la Universidad de Guayaquil, cuyo tema de tesis es: MANEJO DE LAS TIC EN LA GESTIÓN DOCENTE DE LA UNIVERSIDAD DE GUAYAQUIL. PROPUESTA: DISEÑO DE UN PROGRAMA DE EDUCACIÓN CONTINUA EN EL MANEJO DE LAS TIC PARA EL INSTITUTO DE POST-GRADO DE LA FACULTAD DE FILOSOFÍA, LETRAS Y CIENCIAS DE LA EDUCACIÓN. Sus respuestas serán sumamente valiosas para la presente investigación, siendo su información muy importante ya que contribuirá relevantemente con lo que se investiga, agradeciéndole de antemano su colaboración. Lcdo. S. I. Jorge Vera Mosquera DATOS REFERENCIALES Cargo actual Años de experiencia docente Último grado académico
  • 640.
    612 Preguntas 1. ¿Cómo considerael rol de las TIC en la Educación? Las considero muy importante ya que actualmente, vivimos en un mundo en donde los canales por los cuales fluye la comunicación han cambiado, producto de la propagación del uso del Internet y de los medios tecnológicos para acceder a ellas. Los estudiantes de esta época se comunican a través de diversas redes sociales, y es aquí en donde deben entrar las TIC, estableciendo una red social exclusiva para el estudio, en donde Estudiantes y Profesores compartan conocimiento. 2. ¿Cómo juzga el impacto de las TIC en la Sociedad actual? Un impacto importante, debido a que ya nos encontramos con estudiantes que han estado manejando las tecnologías, y especialmente el Internet desde temprana edad (estudiantes digitales) y debemos reconocer que uno de los medios que está cogiendo fuerza son precisamente el empleo de las TIC (teléfonos inteligentes, Tablets, netbook, redes sociales…). 3. ¿Qué grado de importancia considera Ud. al manejo de las TIC en la gestión docente universitaria? Sumamente importante, desde poder comunicarse con los alumnos, ingreso de notas, saber alguna información. La importancia radica en que, dado que la Universidad necesita ahorrar recursos producto de la gratuidad, con las TIC se podrían ahorrar grandes costos con respecto a tiempo empleado en los diferentes procesos, papelería, cuentas telefónicas, entre otros. 4. ¿Considera Ud. que el paradigma tradicional de enseñanza se presenta actualmente en la Universidad?. Argumente. Existe algunos docentes que no se rigen por el paradigma por competencias, y están todavía en el paradigma conductista, es decir una comunicación vertical, y unidireccional. Opino que el cambio debe de ser desde las altas autoridades, dando seminarios para posicionar en la mente el nuevo paradigma por competencias a los Docentes. 5. ¿Qué criterios pedagógicos y/o andragógicos considera importantes como base para seleccionar un recurso TIC a emplear en los procesos educativos universitarios, como parte de las estrategias didácticas? El primer criterio que se me viene a la mente es tener en cuenta el perfil de la carrera, seguido de la malla curricular, para poder adecuar o encontrar el recurso apropiado que más se ajuste a los requerimientos. El siguiente criterio es el de seleccionar los materiales y recursos actualizados que van a ser accedidos a través de las TIC.
  • 641.
    613 El siguiente criterioes que las TIC sean parte de una metodología para el aprendizaje efectivo, y no creer que las TIC sea la estrategia para el aprendizaje efectivo. El siguiente criterio seria la usabilidad, es decir que sea fácil de usar, especialmente para la gente adulta, tal como lo ha hecho el servidor de correos Hotmail, cuyo cambio a Outlook tuvo como una de sus principales características la facilidad de uso. El último criterio que se me viene a la mente es que la TIC seleccionada debe ayudar al docente a desarrollar el aprendizaje de los estudiantes manera rápida, ya que el tiempo del docente es importante, y no se debe de perder tiempo en el uso de una TIC. 6. ¿En qué forma considera que se debe presentar la relación Curriculum – TIC – Aprendizaje y estrategias metodológicas en una asignatura? Debe haber una integración total, desde el tener a acceso a la lista de estudiantes, poder, enviar trabajos autónomos, evaluar a los estudiantes, tener en cuenta indicadores de aprendizajes tanto en general de la asignatura y particular de cada estudiante. 7. ¿En qué forma considera que se debe presentar la innovación en el proceso educativo apoyado en el uso de las TIC? La innovación debe estar plasmada en la usabilidad, accesibilidad de indicadores, ayuda para el docente, para el desarrollo del aprendizaje. 8. ¿El Software, en qué momento lo considera útil en el proceso educativo en una asignatura? En el momento en que facilita el desarrollo del aprendizaje de los estudiantes, y sea lo más eficiente posible, de tal manera que el docente maximice su tiempo. 9. ¿Qué recursos TIC considera relevantes para emplear en las estrategias de aprendizaje que permitan diseñar un entorno de trabajo (ambiente de aprendizaje) con los estudiantes? En primer lugar tener a mano todo tipo de información del estudiante, y de la asignatura. En segundo lugar que me permita comunicarme con los estudiantes, a través de foros, preguntas prediseñadas, en tercer lugar un panel de control y de evaluación. 10. ¿Cómo debe un Docente analizar y evaluar el empleo de las TIC en el proceso educativo, considerando sus estrategias, procedimientos e instrumentos de evaluación, ambientes de aprendizaje, etc. ?  Que sea fácil de usar.
  • 642.
    614  Que ahorretiempo en la planificación del desarrollo del aprendizaje del estudiante.  Que me permita evaluar a los estudiantes. 11. ¿En qué forma considera que debe presentarse coherencia entre aprendizaje esperado y recurso TIC utilizado? En el logro de los objetivos que en el caso de las asignaturas serían en lograr cumplir con los estándares y desempeño del sílabo en el menor tiempo posible. 12. ¿Cuál es la importancia de la relación con otras universidades nacionales e internacionales, considerando las experiencias educativas basadas en TIC? Las otras universidades están manejando mejor las TIC, en relación a las universidades ecuatorianas de lo que he observado y palpado, las universidades UESS y UTPL y la ESPOL están en la vanguardia del uso de las TIC. 13. ¿Cómo considera que mejoraría la eficiencia y eficacia de la Docencia Universitaria con el empleo de las TIC? Tengo entendido que el principal objetivo de la educación es la cantidad, y calidad de conocimiento que pueda impartirse a los estudiantes, así como la puesta en práctica de dicho conocimiento. Las TIC, nos ayudarían a ser más eficiente, es decir que en poco tiempo podríamos darle más información de calidad a los estudiantes, y nos permitirá la evaluación respectiva, por cuanto considero que el tiempo es un bien preciado para los maestros, y las TIC nos ayudaría en ser más eficientes, y así poder tener tiempo para nuestras actividades. 14. ¿Qué aportes para el mundo de la Educación pueden recogerse de estándares relacionados con los Docentes en el manejo de las TIC, como ISTE (EEUU), UNESCO 2008, UNESCO 2011, Proyecto ENLACES (CHILE), EUROPEAN PEDAGOGITAL ICT, QTS, INSA, la experiencia de Australia, …? Recogiendo el aporte más importante de estos estándares, procesarlos y diseñar un estándar propio de nuestro medio, con sentido de adaptabilidad. 15. ¿Qué opinión particular le merece el último Estándar UNESCO 2011 para Docentes? La actualización de los docentes, con los nuevos paradigmas, las TIC, me parece muy bueno el de que se adapten patrones de estudios de acuerdo a las diferentes realidades de los países, por su sentido de adaptabilidad.
  • 643.
    615 16. ¿Qué criteriosestima Ud. que deben de considerarse para la implementación de un Programa de Educación Continua en el Manejo de las TIC para los Docentes de la Universidad de Guayaquil, como un aporte de la Facultad de Filosofía, Letras y Ciencias de la Educación? Se debería saber cuáles son los recursos con las cuales se cuenta, la predisposición del tiempo, y facilitadores. Después se debe crear consciencia (sociabilizar) de que las TIC son útiles, por un lado, y después se debe establecer una obligatoriedad para que se forme una cultura entre los docentes de la importancia de las TIC. 17. ¿Cómo considera Ud. que podría evaluarse un Programa de Educación Continua en el Manejo de las TIC para los Docentes de la Universidad de Guayaquil? Primero realizar una investigación de mercado acerca del conocimiento de los docentes, actitud de los docentes en manejar este tipo de TIC, razones positivas y negativas del uso de las TIC… etc.
  • 644.
    616 Anexo 48 Entrevista conMSc. Milton Maridueña, Departamento de Vice-Rectorado de la Universidad de Guayaquil. Guayaquil, 1 de abril de 2012. UNIVERSIDAD DE GUAYAQUIL FACULTAD DE FILOSOFÍA, LETRAS Y CIENCIAS DE LA EDUCACIÓN INSTITUTO DE POSTGRADO Y EDUCACIÓN CONTINUA MAESTRÍA EN EDUCACIÓN INFORMÁTICA EXPERTOS – ENTREVISTA Antes de iniciar con esta entrevista, le agradezco por su tiempo y participación en esta investigación. Quien se dirige a usted es maestrante de Educación Informática de la Facultad de Filosofía de la Universidad de Guayaquil, cuyo tema de tesis es: MANEJO DE LAS TIC EN LA GESTIÓN DOCENTE DE LA UNIVERSIDAD DE GUAYAQUIL. PROPUESTA: DISEÑO DE UN PROGRAMA DE EDUCACIÓN CONTINUA EN EL MANEJO DE LAS TIC PARA EL INSTITUTO DE POST-GRADO DE LA FACULTAD DE FILOSOFÍA, LETRAS Y CIENCIAS DE LA EDUCACIÓN. Sus respuestas serán sumamente valiosas para la presente investigación, siendo su información muy importante ya que contribuirá relevantemente con lo que se investiga, agradeciéndole de antemano su colaboración. Lcdo. S. I. Jorge Vera Mosquera DATOS REFERENCIALES Cargo actual Profesor principal, Facultad de Ciencias Matemáticas y Físicas – Universidad de Guayaquil Años de experiencia docente 15 años Último grado académico Magister en Docencia Universitaria e Investigación Educativa
  • 645.
    617 Preguntas 1. ¿Cómo considerael rol de las TIC en la Educación? Fundamental y necesario en una época de globalización tecnológica. 2. ¿Cómo juzga el impacto de las TIC en la Sociedad actual? Muy positivo. 3. ¿Qué grado de importancia considera Ud. al manejo de las TIC en la gestión docente universitaria? Sumamente importante, pero su actual explotación es paupérrima, entiendo por la brecha digital inmigrantes tecnológicos (profesores) y nativos digitales (estudiantes). 4. ¿Considera Ud. que el paradigma tradicional de enseñanza se presenta actualmente en la Universidad?. Argumente. Claro que sí, un gran porcentaje de nuestros maestros por desconocimiento o resistencia al cambio se refugian en los métodos e instrumentos clásicos de enseñanza. 5. ¿Qué criterios pedagógicos y/o andragógicos considera importantes como base para seleccionar un recurso TIC a emplear en los procesos educativos universitarios, como parte de las estrategias didácticas? Aprendizaje interactivo, aprendizaje colaborativo. 6. ¿En qué forma considera que se debe presentar la relación Curriculum – TIC – Aprendizaje y estrategias metodológicas en una asignatura? En el currículo de toda asignatura se debe incorporar a las TIC como: Recurso de enseñanza –aprendizaje. Soporte/apoyo/refuerzo de aprendizaje. Forma de organización. También como método, que propicie y fomente al pensamiento computacional, así como sistema de evaluación. 7. ¿En qué forma considera que se debe presentar la innovación en el proceso educativo apoyado en el uso de las TIC? En todos los aspectos, fundamentalmente en el escenario de acciones constructivistas que complementan al quehacer docente que dirige el propio profesorado. La sensibilidad, el afecto fraterno, la palabra de nuestro docente que llena la autoestima del alumno, un espaldarazo humano no puede reemplazarse por un recurso tecnológico. 8. ¿El Software, en qué momento lo considera útil en el proceso educativo en una asignatura? Actividades de aprendizaje motivante, autónomo y de autoevaluación.
  • 646.
    618 9. ¿Qué recursosTIC considera relevantes para emplear en las estrategias de aprendizaje que permitan diseñar un entorno de trabajo (ambiente de aprendizaje) con los estudiantes? Plataformas de gestión de aprendizajes colaborativos y software educativos que propicien un ambiente lúdico de interacción. 10. ¿Cómo debe un Docente analizar y evaluar el empleo de las TIC en el proceso educativo, considerando sus estrategias, procedimientos e instrumentos de evaluación, ambientes de aprendizaje, etc. ? El docente es el único responsable de pensar y planear la inserción efectiva y creativa de tics en el proceso de enseñanza y aprendizaje. Y además el encargado de retroalimentarse de resultados e indicadores de logros del desempeño académico. 11. ¿En qué forma considera que debe presentarse coherencia entre aprendizaje esperado y recurso TIC utilizado? Absoluta coherencia, en el sentido teórico e ideal, pero debemos tener en cuenta por sobre todo, los estilos de aprendizajes de nuestros alumnos. 12. ¿Cuál es la importancia de la relación con otras universidades nacionales e internacionales, considerando las experiencias educativas basadas en TIC? La relación es importante experiencias de benchmarking “aprender de las mejores prácticas”, pero siempre aterrizarlas a las condiciones del contexto y atributos de la población objetivo estudiantil. 13. ¿Cómo considera que mejoraría la eficiencia y eficacia de la Docencia Universitaria con el empleo de las TIC? La eficiencia, eficacia y efectividad, se la logrará como una suma de esfuerzos en todos los aristas del proceso educativo, incluyendo las autoridades, presupuesto y principalmente la urgente “capacitación de diseño de ambientes tecnológicos“tal como se proyecta la educación del siglo XXI. 14. ¿Qué aportes para el mundo de la Educación pueden recogerse de estándares relacionados con los Docentes en el manejo de las TIC, como ISTE (EEUU), UNESCO 2008, UNESCO 2011, Proyecto ENLACES (CHILE), EUROPEAN PEDAGOGITAL ICT, QTS, INSA, la experiencia de Australia? Considero que se deben adoptar normalizaciones que más se ajusten al contexto ecuatoriano.Características del nuevo sistema educativo nacional serán un buen referente.
  • 647.
    619 15. ¿Qué opiniónparticular le merece el último Estándar UNESCO 2011 para Docentes? Mi opinión es prospectiva, de vanguardia, por su adaptabilidad al medio. Los docentes constituyen un pilar imprescindible en el proceso educativo y no pueden estancarse en paradigmas caducos, por lo que deben actualizarse y capacitarse en los nuevos entornos de enseñanza y aprendizaje, en base a estándares de estudio continuo. 16. ¿Qué criterios estima Ud. que deben de considerarse para la implementación de un Programa de Educación Continua en el Manejo de las TIC para los Docentes de la Universidad de Guayaquil, como un aporte de la Facultad de Filosofía, Letras y Ciencias de la Educación? Las autoridades académicas de la Universidad de Guayaquil deben dictar una política urgente de capacitación para docentes en diseño de TIC, programa de cursos de actualización en uso de TIC, proceso que debe ameritar para el ejercicio de cátedra su obligatoria aprobación de mínimos o suficiencia. 17. ¿Cómo considera Ud. que podría evaluarse un Programa de Educación Continua en el Manejo de las TIC para los Docentes de la Universidad de Guayaquil? Con el más alto rigor, los instructores de este programa deben evidenciar experticia y solvencia de este nuevo paradigma educativo.
  • 648.
    620 Anexo 49 Entrevista conMSc. John Orellana, Docente de la unidad educativa IPAC. Guayaquil, 1 de abril de 2012. UNIVERSIDAD DE GUAYAQUIL FACULTAD DE FILOSOFÍA, LETRAS Y CIENCIAS DE LA EDUCACIÓN INSTITUTO DE POSTGRADO Y EDUCACIÓN CONTINUA MAESTRIA EN EDUCACIÓN INFORMÁTICA EXPERTOS – ENTREVISTA Antes de iniciar con esta entrevista, le agradezco por su tiempo y participación en esta investigación. Quien se dirige a usted es maestrante de Educación Informática de la Facultad de Filosofía de la Universidad de Guayaquil, cuyo tema de tesis es: MANEJO DE LAS TIC EN LA GESTIÓN DOCENTE DE LA UNIVERSIDAD DE GUAYAQUIL. PROPUESTA: DISEÑO DE UN PROGRAMA DE EDUCACIÓN CONTINUA EN EL MANEJO DE LAS TIC PARA EL INSTITUTO DE POST-GRADO DE LA FACULTAD DE FILOSOFÍA, LETRAS Y CIENCIAS DE LA EDUCACIÓN. Sus respuestas serán sumamente valiosas para la presente investigación, siendo su información muy importante ya que contribuirá relevantemente con lo que se investiga, agradeciéndole de antemano su colaboración. Lcdo. S. I. Jorge Vera Mosquera DATOS REFERENCIALES Cargo actual Docente de la unidad educativa IPAC Años de experiencia docente 25 años Último grado académico Ingeniero en Computación
  • 649.
    621 Preguntas 1. ¿Cómo considerael rol de las TIC en la Educación? Las Tecnologías de la Información y Comunicación, son recursos de apoyo fundamentales para un docente de cualquier nivel de enseñanza; gracias a las Tics, el docente interactúa dinámicamente con sus estudiantes, teniendo siempre la atención y captación de sus alumnos. 2. ¿Cómo juzga el impacto de las TIC en la Sociedad actual? Cuando las Tics, se implementa en un medio, donde no existe la preparación y capacitación suficiente el impacto puede ser grande, de tal manera que los docentes en algunos colegios no conocen ni siquiera las herramientas básicas de computación, no aceptan la integración de estas maravillosas herramientas tecnológicas al proceso de enseñanza – aprendizaje. 3. ¿Qué grado de importancia considera Ud. al manejo de las TIC en la gestión docente universitaria? Un docente del siglo XXI, en cualquier nivel, debe apoderarse de todas estas herramientas que en su mayoría de herramientas en línea y gratis, para que cada día su clase sea más relevante y sus alumnos demuestren mayor interés por su materia, y que gracias a estos programas la comunidad educativa universitaria de cualquier país, siempre esté a la vanguardia de la tecnología. 4. ¿Considera Ud. que el paradigma tradicional de enseñanza se presenta actualmente en la Universidad?. Argumente. El gobierno de turno, ha realizado muchos cambios en los métodos y técnicas de enseñanza que los docentes deben utilizar como parte de su labor diaria, entre ellos está la implementación de herramientas tecnológicas en las diversas instancias de su clase. Por tanto Docentes de colegios, universidades, y todo nivel deben utilizar estos programas para que el proceso de enseñanza sea más efectivo, de tal manera que el perfil de salida de los estudiantes de cualquier universidad sea, tener profesionales de todas las áreas, capacitados íntegramente con las TIC. 5. ¿Qué criterios pedagógicos y/o andragógicos considera importantes como base para seleccionar un recurso TIC a emplear en los procesos educativos universitarios, como parte de las estrategias didácticas? En la nube actualmente existen programas en línea de todo tipo, para construir cualquier elemento, yo considero que la herramienta Tics, que escoja como parte de mi proceso de enseñanza, debe permitir realizar una capacitación virtual, y para estos existen las plataformas educativas, donde la investigación, el compartir recursos y actividades nos permita a todos los integrantes de una comunidad
  • 650.
    622 educativa auto capacitarnosy descubrir el conocimiento, en base a las experiencias que obtenemos a través de las TIC. 6. ¿En qué forma considera que se debe presentar la relación Curriculum – TIC – Aprendizaje y estrategias metodológicas en una asignatura? Las plataformas educativas, redes sociales, redes educativas, permiten a los docentes planificar sus periodos de clases, donde en las diversas instancias se utilizan variadas categorías de Tics, existen herramientas que permiten realizar las inducción de la clase, otras para el desarrollo de la clase y por su puesto los programas que retroalimentan o permiten la recuperación cuando un alumno no entendió la clase, o no asistió a esa clase. La mayoría de estas herramientas permiten compartir información y experiencias, tales así tenemos los Foros que son herramientas OFF LINE, los chats que son programas ON LINE, las wikis que son actividades que permiten construir el conocimiento. 7. ¿En qué forma considera que se debe presentar la innovación en el proceso educativo apoyado en el uso de las TIC? La variedad de recursos tecnológicos de buena calidad, permite construir al docente cada día nuevas actividades innovadoras para que los estudiantes sean los propios constructores de su conocimiento. 8. ¿El Software, en qué momento lo considera útil en el proceso educativo en una asignatura? Durante y fuera de la jornada de clase, durante la jornada permite al docente interactuar con sus estudiantes, y fuera de la jornada permite a los estudiantes aprender, compartiendo experiencias previas auto adquiridas con sus compañeros de clase y con el docente. 9. ¿Qué recursos TIC considera relevantes para emplear en las estrategias de aprendizaje que permitan diseñar un entorno de trabajo (ambiente de aprendizaje) con los estudiantes?  Redes Educativas (Edmodo, Wiggio, Udemy, etc.)  Redes Sociales (Facebook, twitter, etc.)  Plataformas educativas (Moodle, Dokeos, Atutor, etc.)  Sitios en línea, donde el docente puede crear sus propios recursos de enseñanza. 10. ¿Cómo debe un Docente analizar y evaluar el empleo de las TIC en el proceso educativo, considerando sus estrategias, procedimientos e instrumentos de evaluación, ambientes de aprendizaje, etc. ? Hay herramientas de uso general, aplicables a cualquier entorno de aprendizaje, tales como las redes educativas, para existen otras aplicables en determinadas
  • 651.
    623 áreas y materias,y en momentos específicos de una clase. Por ejemplo herramientas como www.bubbl.us, que nos permite realizar un mapa mental, mapa conceptual, un cuadro sinóptico, que es una actividad de desarrollo donde el docente evalúa el proceso de clase. 11. ¿En qué forma considera que debe presentarse coherencia entre aprendizaje esperado y recurso TIC utilizado? El docente alcanzará los objetivos de la clase, cuando utiliza la herramienta apropiada, y en el momento adecuado de una clase. La herramienta bien utilizada ayuda a construir un conocimiento sólido, que le servirá para la vida al estudiante. 12. ¿Cuál es la importancia de la relación con otras universidades nacionales e internacionales, considerando las experiencias educativas basadas en TIC? Gracias a las Tics, estudiantes, docentes y profesionales de otros países y universidades, pueden compartir videoconferencias, charlas en línea, de esta manera creándose la educación virtual basadas en herramientas tecnológicas. 13. ¿Cómo considera que mejoraría la eficiencia y eficacia de la Docencia Universitaria con el empleo de las TIC? La comunidad educativa universitaria del Ecuador y de todo el mundo actualmente utiliza las Tics, como recursos que permiten optimizar los procesos de enseñanza. Un profesional de la era digital, debe tener un valor agregado para poder desempeñarse en su profesión, en cualquier entorno que tenga que desempeñarse. 14. ¿Qué aportes para el mundo de la Educación pueden recogerse de estándares relacionados con los Docentes en el manejo de las TIC, como ISTE (EEUU), UNESCO 2008, UNESCO 2011, Proyecto ENLACES (CHILE), EUROPEAN PEDAGOGITAL ICT, QTS, INSA, la experiencia de Australia, …? SI en todos los países del mundo, las comunidades educativas utilizarían las Tics, estaremos creando un estándar en educación digital. Todas estas organizaciones, crean sus propios estándares y parte de ellos, implementan el uso de las Tics, de esta forma permiten mejorar las situaciones educativas de cada país. 15. ¿Qué opinión particular le merece el último Estándar UNESCO 2011 para Docentes? Presenta aportes y adaptaciones en Latinoamérica,se están creando patrones de estudio en base a él, es muy útil. Los docentes, todos deben formar parte de comunidades digitales, las cuales permiten conocer y aplicar estas herramientas tecnológicas.
  • 652.
    624 16. ¿Qué criteriosestima Ud. que deben de considerarse para la implementación de un Programa de Educación Continua en el Manejo de las TIC para los Docentes de la Universidad de Guayaquil, como un aporte de la Facultad de Filosofía, Letras y Ciencias de la Educación? Para que en todas las facultades, se puedan implementar todas estas herramientas, la Universidad debería incluir como política de la institución que todas las facultades utilicen plataformas educativas como parte del proceso de enseñanza en todas las aulas. Todo docente antes de iniciar un periodo de lectivo, debe ser capacitado y evaluado sobre el uso de determinadas herramientas, tales Moodle, Edmodo; WordPress. 17. ¿Cómo considera Ud. que podría evaluarse un Programa de Educación Continua en el Manejo de las TIC para los Docentes de la Universidad de Guayaquil? La capacitación en Tics, es un proceso permanente, porque cada día se crean nuevos programas, con una diversidad de funciones. Nuestros alumnos, serán nuestros propios jueces que pueden juzgar el trabajo de cada docente, si el profesor utiliza o no las TIC, como herramientas imprescindibles del proceso de cada clase.
  • 653.
    625 Anexo 50 Cuestionario dirigidoa los Maestrantes de Educación Informática de la Facultad de Filosofía, Letras y Ciencias de la Educación en la Universidad de Guayaquil. UNIVERSIDAD DE GUAYAQUIL FACULTAD DE FILOSOFÍA, LETRAS Y CIENCIAS DE LA EDUCACIÓN INSTITUTO DE POSTGRADO Y EDUCACIÓN CONTINUA MAESTRÍA EN EDUCACIÓN INFORMÁTICA MAESTRANTES EN EDUCACIÓN INFORMÁTICA – ENCUESTA Antes de iniciar con esta encuesta, le agradezco por su tiempo y participación en esta investigación. Quien se dirige a usted es maestrante de Educación Informática de la Facultad de Filosofía de la Universidad de Guayaquil, cuyo tema de tesis es: MANEJO DE LAS TIC EN LA GESTIÓN DOCENTE DE LA UNIVERSIDAD DE GUAYAQUIL. PROPUESTA: DISEÑO DE UN PROGRAMA DE EDUCACIÓN CONTINUA EN EL MANEJO DE LAS TIC PARA EL INSTITUTO DE POST-GRADO DE LA FACULTAD DE FILOSOFÍA, LETRAS Y CIENCIAS DE LA EDUCACIÓN. La finalidad de esta encuesta de carácter anónima es poder generar un diagnóstico de situación que permitirá tomar decisiones más acertadas a la hora de crear el mencionado Programa adaptado a las necesidades de la Universidad. DATOS REFERENCIALES Cargo actual Años de experiencia docente Último grado académico
  • 654.
    626 Preguntas Encerrar en uncírculo la respuesta de su elección o un visto(√) en caso de desconocer PREGUNTAS Desconozco Sí / No 01 ¿Considera Ud. que el aprendizaje autónomo se puede presentar con el empleo de las TIC en el proceso educativo? Sí No 02 ¿Considera Ud. que el trabajo colaborativo se puede presentar con el empleo de las TIC en el proceso educativo? Sí No 03 ¿Considera importante el empleo de las TIC en la programación de la asignatura? Sí No 04 ¿Conoce, respeta y hace respetar las políticas, normas y procedimientos relacionados a la privacidad, propiedad intelectual, seguridad de datos y comportamiento adecuado en el uso de los recursos informáticos? Sí No 05 ¿Promueve en su desenvolvimiento educativo el uso ético y legal de los recursos tecnológicos en sus diferentes formas de uso y presentación? Sí No 06 ¿Comprende y hace comprender las implicaciones legales del uso de software y sus tipos de licencias? Sí No 07 ¿Utiliza software de productividad para generar productos de fines administrativos? (informes, actas, notas, etc.). Sí No 08 ¿Dispone de fuentes de información y sitios relevantes relacionados con las TIC en el quehacer educativo.? Sí No 09 ¿Practica, experimenta y evalúa con herramientas TIC para incorporarlas a su práctica educativa? Sí No 10 ¿Accede, participa y contribuye en espacios de reflexión de experiencias de aprendizaje por medios tradicionales, en red o Internet? Sí No 11 ¿Utiliza, evalúa y comparte ideas, experiencias y herramientas TIC para incorporarlas en estrategias de aprendizaje? Sí No 12 ¿Participa en instancias relacionadas con las TIC y el aprendizaje?.(Foros, congresos, seminarios, etc.). Sí No
  • 655.
    627 Encerrar en uncírculo la respuesta de su elección o un visto(√) en caso de desconocer 13 PREGUNTAS Desconozco 1= NULO … 5=MAS ALTO 13 ¿En qué grado de importancia considera Ud. al manejo de las TIC en la Gestión Docente Universitaria? 1 2 3 4 5 14 ¿En qué grado considera que es importante apoyarse en las herramientas informáticas en el curriculum actual de la asignatura a su cargo? 1 2 3 4 5 15 ¿Qué grado de importancia considera que se debe dar al empleo de Software de Gestión de Contenidos y/o de Aprendizajes en una modalidad semi-presencial y/o a distancia? 1 2 3 4 5 16 ¿En qué grado considera importante crear procedimientos e instrumentos de evaluación de aprendizaje en entorno TIC? 1 2 3 4 5 17 ¿En qué grado considera su evolución deconocimientos en la-s disciplina-s que imparte? 1 2 3 4 5 18. ¿Qué nivel de conocimientos considera disponer? Dar un visto(√) en caso de no aplicar o en el nivel que se considere. En No aplico Nivel Básico Nivel Intermedio Nivel Avanzado Conocimientos Informáticos Conocimientos en redes Conocimientos en Internet Aplicacionesde gestión en red e Internet Uso de equipos en red e Internet Medidas de prevención y seguridad en el uso de equipos informáticos Integración de programas y equipos en red e Internet
  • 656.
    628 Sistema operativo (Windows) Sistema operativo (Linux) Procesamientode palabras Hoja de cálculo Base de datos Presentador Graficador Multimedia Navegadores Web Motores de búsqueda Software de productividad en línea (Office, organizadores gráficos,línea de tiempo, etc.) Uso de herramientas sincrónicasen red e Internet(chat, Video conferencia,audio conferencia, compartir pantalla del computador, etc.) Uso de herramientas asincrónicasen red e Internet (Email,foro, Wiki,preguntas y respuestas,etc.) Gestión de contenidos en línea Gestión de aprendizajeen línea
  • 657.
    629 Dar un visto(√)en caso de desconocer o no aplicar. 19. ¿Qué técnicas activas utiliza con apoyo en TIC? Desconozco No aplico Técnica activa(Un visto(√) por cada elección que considere) Mapas conceptuales Mapas mentales Aprendizaje colaborativo Trabajo en grupo Foro Audio digital Grabar movimientos del monitor Cuestionario Lluvia de ideas Pizarra en línea Ensayos Proyectos en línea Otros 20. ¿Qué enfoques teóricos considera que se debe utilizar en los procesos educativos apoyado en las TIC? Desconozco Enfoque teórico (Un visto(√) por cada elección que considere) Conductismo Cognitivismo Constructivismo Conectivismo Sharismo 21. ¿En cuál-es evaluación-es utiliza como apoyo a las TIC? Desconozco Evaluación (Un visto(√) por cada elección que considere) Inicial Procesual Final
  • 658.
    630 Anexo 51 Cuestionario dirigidoa los Docentes de la Universidad de Guayaquil. UNIVERSIDAD DE GUAYAQUIL FACULTAD DE FILOSOFÍA, LETRAS Y CIENCIAS DE LA EDUCACIÓN INSTITUTO DE POSTGRADO Y EDUCACIÓN CONTINUA MAESTRÍA EN EDUCACIÓN INFORMÁTICA PROFESORES DE LA UNIVERSIDAD – ENCUESTA Antes de iniciar con esta encuesta, le agradezco por su tiempo y participación en esta investigación. Quien se dirige a usted es maestrante de Educación Informática de la Facultad de Filosofía de la Universidad de Guayaquil, cuyo tema de tesis es: MANEJO DE LAS TIC EN LA GESTIÓN DOCENTE DE LA UNIVERSIDAD DE GUAYAQUIL. PROPUESTA: DISEÑO DE UN PROGRAMA DE EDUCACIÓN CONTINUA EN EL MANEJO DE LAS TIC PARA EL INSTITUTO DE POST-GRADO DE LA FACULTAD DE FILOSOFÍA, LETRAS Y CIENCIAS DE LA EDUCACIÓN. La finalidad de esta encuesta de carácter anónima es poder generar un diagnóstico de situación que permitirá tomar decisiones más acertadas a la hora de crear el mencionado Programa adaptado a las necesidades de la Universidad. DATOS REFERENCIALES Cargo actual Años de experiencia docente Último grado académico
  • 659.
    631 Preguntas Encerrar en uncírculo la respuesta de su elección o un visto(√) en caso de desconocer No. PREGUNTAS Desconozco Sí / No 01 ¿Considera Ud. que el aprendizaje autónomo se puede presentar con el empleo de las TIC en el proceso educativo? Sí No 02 ¿Considera Ud. que el trabajo colaborativo se puede presentar con el empleo de las TIC en el proceso educativo? Sí No 03 ¿Utiliza software especializado en la asignatura que imparte? Sí No 04 ¿Realiza actividades didácticasempleando las TIC en las clases de su asignatura? Sí No 05 ¿Cree que es importante apoyarse en las herramientas informáticas en el curriculum actual de la asignatura a su cargo? Sí No 06 ¿Incluye el empleo de las TIC en la programación de la asignatura? Sí No 07 ¿Crea procedimientos e instrumentos de evaluación de aprendizaje en entorno TIC? Sí No 08 ¿Analiza y evalúa el impacto de las TIC en el proceso educativo? Sí No 09 ¿Crea grupos de estudiantes, escenarios y tareas para utilizar recursos tecnológicos? Sí No 10 ¿Facilita el aprendizaje intermedio del recurso TIC.? Sí No 11 ¿Facilita y/o contribuye equitativamente los recursos informáticos con sus estudiantes considerando las circunstancias de escenario? Sí No 12 ¿Conoce, respeta y hace respetar las políticas, normas y procedimientos relacionados a la privacidad, propiedad intelectual, seguridad de datos y comportamiento adecuado en el uso de los recursos informáticos? Sí No 13 ¿Promueve en su desenvolvimiento educativo el uso ético y legal de los recursos tecnológicos en sus diferentes formas de Sí No
  • 660.
    632 uso y presentación? 14¿Comprende y hace comprender las implicaciones legales del uso de software y sus tipos de licencias? Sí No 15 ¿Utiliza software de productividad para generar productos de fines administrativos? (informes, actas, notas, etc.). Sí No 16 ¿Emplea recursos de redes y comunicación con los estudiantes de su asignatura y/o con el resto de la comunidad educativa? Sí No 17 ¿Dispone de fuentes de información y sitios relevantes relacionados con las TIC en el quehacer educativo? Sí No 18 ¿Practica, experimenta y evalúa con herramientas TIC para incorporarlas a su quehacer educativo? Sí No 19 ¿Accede, participa y contribuye en espacios de reflexión de experiencias de aprendizaje por medios tradicionales, en red o Internet? Sí No 20 ¿Utiliza, evalúa y comparte ideas, experiencias y herramientas TIC para incorporarlas en estrategias de aprendizaje? Sí No 21 ¿Participa en instancias relacionadas con las TIC y el aprendizaje?.(Foros, congresos, seminarios, etc.). Sí No 22 ¿Utiliza las TIC como medio en la evaluación de aprendizajes? Sí No 23 ¿Realiza y lleva a cabo Proyectos Pedagógicos y/o Andragógicos de Aula con apoyo de las TIC? Sí No 24 ¿Utiliza métodos y técnicas activas con el apoyo de las TIC? Sí No 25 ¿Existen proyectos entre asignaturas apoyados en TIC? Sí No 26 ¿Existe Intercambioentre Docentes de experiencias de aprendizaje apoyadas en TIC? Sí No 27 ¿Existe algún proyectode desarrollode conocimientos apoyados en TIC para Docentes? Sí No
  • 661.
    633 Encerrar en uncírculo la respuesta de su elección o un visto(√) en caso de desconocer No. PREGUNTAS Desconozco 1= NULO … 5=MAS ALTO 28 ¿En qué grado de importancia considera Ud. al manejo de las TIC en la Gestión Docente Universitaria? 1 2 3 4 5 29 ¿En qué grado considera que se debe conservar la presencia del paradigma tradicional en el proceso educativo actual de la Universidad? 1 2 3 4 5 30 ¿En qué grado considera que es importante apoyarse en las herramientas informáticas en el curriculum actual de la asignatura a su cargo? 1 2 3 4 5 31 ¿Qué grado de importancia considera que se debe dar al empleo de Software de Gestión de Contenidos y/o de Aprendizajes en una modalidad semi-presencial y/o a distancia? 1 2 3 4 5 32 ¿En qué grado considera su evolución deconocimientos en la-s disciplina-s que imparte? 1 2 3 4 5 33 ¿En qué grado considera la evolución del aprendizaje de sus estudiantes en la-s disciplina-s que imparte? 1 2 3 4 5 34 ¿En qué grado considera sus necesidades de Formación en TIC? 1 2 3 4 5 Dar un visto(√) en caso de desconocer o no aplicar. 35. ¿Qué recursos TIC emplea como parte de su estrategia de aprendizaje para un entorno de trabajo? Desconozco No aplico Recurso TIC(Un visto por cada elección que considere) Chat Email Foro Wiki Círculo de aprendizaje Simulaciones Proyectos Colaborativos Caza del tesoro Webquest Blog Otros
  • 662.
    634 36. ¿Qué técnicasactivas utiliza con apoyo en TIC? Desconozco No aplico Técnica activa(Un visto por cada elección que considere) Mapas conceptuales Mapas mentales Aprendizaje colaborativo Trabajo en grupo Foro Audio digital Grabar movimientos del monitor Cuestionario Lluvia de ideas Pizarra en línea Ensayos Proyectos en línea Otros 37. ¿Qué tipos de aprendizaje utiliza en sus procesos educativos apoyado en las TIC? Desconozco No aplico Tipo de aprendizaje (Un visto por cada elección que considere) Receptivo Por descubrimiento Repetitivo Significativo Observación Colaborativo Cooperativo Por caso Basado en problemas Basado en proyectos Visual Otros 38. ¿Qué enfoques teóricos utiliza en sus procesos educativos apoyado en las TIC? Desconozco Enfoque teórico (Un visto por cada elección que considere) Conductismo Cognitivismo Constructivismo Conectivismo Sharismo 39. ¿En cuál-es evaluación-es utiliza como apoyo a las TIC? Desconozco Evaluación (Un visto por cada elección que considere) Inicial Procesual Final Encierre en un círculo su elección 40. ¿Disponecriterios pedagógicos/andragógicospara seleccionar recursosTIC a emplear, ya sea de escritorio,red e Internet?. Detalle brevemente. Sí No Dar un visto(√) en caso de desconocer o no aplicar.
  • 663.
    635 41. Indique¿qué recursosTIC utiliza para crear material didáctico para losescenarios educativos? Desconozco No aplico Recurso TIC (Un visto(√) por cada elección que considere) Todos Procesador de palabras Hoja de cálculo Base de datos Presentador Graficador Multimedia Trabajo colaborativo Trabajo cooperativo Red Internet Otros Dar un visto(√) en caso de no aplicar o en el nivel que se considere. 42. ¿Qué nivel de conocimientos considera disponer? En No aplico Nivel Básico Nivel Intermedio Nivel Avanzado Conocimientos Informáticos Conocimientos en redes Conocimientos en Internet Aplicacionesde gestión en red e Internet Uso de equipos en red e Internet Medidas de prevención y seguridad en el uso de equipos informáticos Integración de programas y equipos en red e Internet Sistema operativo (Windows) Sistema operativo (Linux) Procesamiento de palabras Hoja de cálculo Base de datos Presentador electrónico Software Graficador
  • 664.
    636 Multimedia Navegadores Web Motores de búsqueda Softwarede productividad en línea (Office, organizadores gráficos,línea de tiempo, etc.) Uso de herramientas sincrónicasen red e Internet(chat, Video conferencia,audio conferencia, compartir pantalla del computador, etc.) Uso de herramientas asincrónicasen red e Internet (Email,foro, Wiki,preguntas y respuestas,etc.) Gestión de contenidos en línea Gestión de aprendizajeen línea
  • 665.
  • 666.
  • 667.
  • 668.
  • 669.
  • 670.
  • 671.
  • 672.
  • 673.
  • 674.
  • 675.
  • 676.
  • 677.
  • 678.
  • 679.
  • 680.