Fundación Educacional El Salvador                       Ministerio de Educación - Chile
Liceo Diego de Almeida                                  Universidad Nacional de Córdoba
Depto. de Lenguaje y Comunicación – Filosofía




               Algoritmo de Comprensión y Producción
                       de Textos Explicativos




                               Elizabeth Ciaffaroni Morales
                                           2005
Descripción del Módulo:

-     Nivel: EM3
-     Población beneficiaria: 170 alumnos
-     Lugar: El Salvador – 3° región - Chile
-     Establecimiento: Liceo Diego de Almeida

-     Objetivo general: Otorgar al alumno(a) un proceso organizado para la
      comprensión y producción de textos explicativos, que puedan adaptarse a sus
      ritmos de aprendizaje, retroalimentando su trabajo.

-     Objetivo transversal: Valorar la escritura como un medio de expresión de
      ideas.

      Fomentar la autonomía y responsabilidad de los alumnos y alumnas en la
      realización de adquisición de competencias y habilidades lingüísticas.

-     Metodología:


    El diseño metodológico propuesto responde a la necesidad de otorgar a los
alumnos y alumnas la descripción exacta de la secuencia que deben asimilar para
comprender y producir un texto explicativo. La aplicación del procedimiento
pretende respetar los ritmos de aprendizajes propios de cada alumno y alumna,
permitiéndoles retroalimentar la actividad acudiendo a su profesor, quien
adquiere un rol de facilitador.
    Debemos recordar que: “el lenguaje algorítmico es aquel por medio del cual
se realiza un análisis previo del problema a resolver y encontrar un método que
permita resolverlo. El conjunto de todas las operaciones a realizar, y el orden en
el que deben efectuarse, se denominan algoritmo.”1

      Los principales pasos que hay que seguir son los siguientes:

      - Análisis previo del problema.

      - Primera visión del método de resolución.

      - Descomposición en módulos.

      - Programación estructurada.

   El método se ha dividido en cuatro macro etapas, permitiendo establecer
dónde se provocan las principales dificultades, haciendo énfasis en ellas.

Primera parte: Vocabulario de Contexto. Algoritmo de Comprensión de un Texto
Explicativo.
Segunda parte: Organización de antecedentes del Texto Explicativo
Tercera parte: Consolidación de datos para la Producción de Textos Explicativos.
Pauta de Cotejo de Producción de Textos Explicativos.
Cuarta parte: Producción de Textos Explicativos

       Cada una de las etapas posee su respectiva Hoja de Respuestas y Pauta de
Cotejo para la evaluación de cada instancia.
       Los textos seleccionados para la aplicación del método corresponden a la
temática que actualmente los alumnos y alumnas trabajan en el sub sector de
Historia. Los docentes colaboraron en la selección de textos e incorporarán los
conocimientos adquiridos a través de las guías en sus evaluaciones.



1
    MÉNDEZ, Justo: “Algoritmo” www.monografías.com
PRIMERA PARTE: ALGORITMO DE COMPRENSIÓN DE UN
               TEXTO EXPLICATIVO
                                  0
                                           Registro en forma de listado palabras,
                                           conceptos o ideas que expresen lo que
                                               recuerdo y/o sé sobre el tema.



 1         Leo atentamente el texto completo. Registro los términos desconocidos y
                                 los busco en el diccionario.

                             1.1
                                       ¿Puedo escribir de qué habla
                                        el texto o cuál es el tema
                                                 general?
                   SÍ                                                                 NO

                 Enuncio el tema.                                   Vuelvo al paso 1 y
     1.2                                                            consulto al profesor.

                        SÍ
             ¿Puedo escribir lo más importante que
     1.3       dice acerca de ese tema general?
                                                                      NO

                        SÍ                                          Vuelvo al paso 1 y
                                                                    consulto al profesor.
     1.4      Redacto la respuesta.


                        SÍ
                 ¿Puedo redactar con la
     1.5     información de los puntos 1.2
                y 1.4 un enunciado que
              sintetice la información más                NO
                  importante del texto?

                                                      Vuelvo al paso 1 y
                   SÍ
                                                      consulto al profesor.
     1.6        Redacto la síntesis.


                        SÍ
           ¿Puedo redactar otras cosas importantes que plantea
 1.7             el texto, relacionadas con el tema central?

                                  SÍ                                            NO

             Redacto la síntesis a través de una oración o
              enunciado completo. (Las escribo párrafo a                      Vuelvo al paso 1 y
     1.8     párrafo con expresiones completas, no palabras                   consulto al profesor.
                                sueltas)
                             SÍ

             ¿Puedo redactar informaciones menos importantes o
 1.9            poco relevantes, en relación al tema principal?
                                                                                     NO

                             SÍ                                                   Vuelvo al paso 1 y
                                                                                  consulto al profesor.
               Redacto la respuesta. (Las escribo con
 1.10         expresiones completas, no palabras sueltas)
¿Puedo escribir integrando en un solo
1.11        enunciado o texto lo que expresé en los
                      puntos 1.6 y 1.8?
                                                               NO
              SÍ
                                                        Vuelvo al punto 1.5 y 1.6 y reelaboro mis
                                                           respuestas. Consulto al profesor.

  1.12             Redacto la respuesta.

                              SÍ

              ¿Puedo identificar,
1.13        enumerar y transcribir
                las definiciones                         NO
             presentes en el texto?
              SÍ                              Vuelvo al paso 1 y
                                              consulto al profesor.
1.14         Redacto la respuesta.

               SÍ
1.15             ¿Puedo identificar,
               enumerar y transcribir                 NO
             los ejemplos presentes en        Vuelvo al paso 1 y
                     el texto?                consulto al profesor.

       SÍ
1.16        Redacto la respuesta.

                         SÍ
         ¿Puedo identificar, enumerar y
1.17    transcribir las comparaciones o                     NO
         analogías presentes en el texto?
                                                           Vuelvo al paso 1 y
                    SÍ                                     consulto al profesor.
             Redacto la respuesta.
1.18

                          SÍ
         ¿Puedo identificar, enumerar y
        transcribir las reformulaciones o                NO
1.19     paráfrasis presentes en el texto?

                                                      Vuelvo al paso 1 y
                         SÍ
                                                      consulto al profesor.

               Redacto la respuesta.
 1.20


                   Fin de la Primera parte
                       ¡Felicitaciones!
SEGUNDA PARTE: ORGANIZACIÓN DE ANTECEDENTES
            DEL TEXTO EXPLICATIVO

Fase A: Retroalimentación proceso de Comprensión de Textos Explicativos.


                               2         Redacto el enunciado principal
                                                 de cada texto.


                         2.1          ¿Puedo redactar una pregunta que pueda
                                   responder lo que se ha enunciado en el punto
                                       anterior para cada uno de los textos?

                                    SÍ                                     NO

       2.2 Redacto la pregunta (Sin            respuesta)          Consulto al profesor.
                                          SÍ

 2.3     Releo el 1.6 de cada texto, ¿Puedo redactar
         preguntas que respondan cada una de los
                  enunciados propuestos?
                                                                    NO

               SÍ                                                 ¿Hay alguna idea
2.4                                                   2.5         que no esté clara?
         Redacto las preguntas para
           cada texto. (Sin respuesta)
                                                                                        NO
               SÍ                                            SÍ

                                                  2.6                                  2.7    Releo el punto
       Comparo las preguntas                                Redacto u organizo                2.2 y reformulo
       claves de cada uno de los                            nuevamente la idea                las preguntas.
2.8     textos y elimino las que                            del 1.6 de la primera
       se repiten o se parecen.



Fase B: Ampliación y Organización del proceso de Comprensión de Textos
Explicativos. Fusión de textos.



       ¿Puedo escribir dos preguntas que no
2.9         hayan sido planteadas?
                                                        NO
                    SÍ
                                                             Vuelvo al paso 1 de la primera
2.10    Redacto las preguntas.                                parte y consulto al profesor

                    SÍ

          Ordeno y enumero todas las
        preguntas: las que mantengo del
2.11   paso 2.8 y las del 2.10 (El criterio de
       orden es de la más básica a la más
                   específica).




               Fin de la segunda parte
                   ¡Felicitaciones!
TERCERA PARTE: CONSOLIDACIÓN DE DATOS PARA LA
     PRODUCCIÓN DE TEXTOS EXPLICATIVOS




         Selecciono y escribo 8 a 10 preguntas del
         punto 2.11 del total de textos fichados, que
   3     a mi juicio representan el contenido central
         o idea básica del tema que sea de interés
                    para el lector y para mí.

                  SÍ

  3.1      Respondo cada una de las preguntas            NO
             anteriores, teniendo en cuenta los
         ejercicios anteriores y las fuentes. Utilizo
          mis propias palabras. Debo explicar,
                   describir y comparar.
                                                          Consulto al profesor.
                  SÍ

          Integro las respuestas en un solo texto, aplicando
  3.2     cohesión y coherencia en el formato entregado.

                  SÍ


                    Aplico la Pauta de Cotejo de
        3.3      Producción de Textos Explicativos.
FEES
LDA

 Pauta de Cotejo de Producción de Textos Explicativos.

Instrucciones: Aplique la siguiente Pauta de Cotejo para mejorar el texto
resultante de la segunda parte denominada ORGANIZACIÓN DE
ANTECEDENTES DEL TEXTO EXPLICATIVO.

Paso 1: Lea nuevamente su texto y asegúrese de que los distintos subtemas
tratados no se entremezclan entre sí. Si comprueba algún error de esta
naturaleza, subraye la oración, oraciones o párrafos que a su juicio no estén
ubicados en el lugar correcto y transpórtelos hacia su nueva ubicación.

Paso 2: Conteste según corresponda, marcando con una X en el casillero y corrija
inmediatamente cuando la aplicación sea incorrecta.

    Indicador                        Descripción                     Tipo de aplicación
Ortografía puntual     Uso de puntos y comas                          Correcta    Incorrecta
 Ortografía literal    Uso de mayúsculas.                             Correcta    Incorrecta
                       Uso de V-B, S-C-Z, J, G, H, Y-LL.              Correcta    Incorrecta
                       Uso de acentos.                                Correcta    Incorrecta
    Redacción          La extensión de las oraciones no atenta        Correcta    Incorrecta
                       contra su claridad.
                       El sujeto de la oración se entiende            Correcta    Incorrecta
                       claramente en cada una de las oraciones.
                       Los sujetos “tácitos presentes en el texto,    Correcta    Incorrecta
                       se entienden claramente.
                       Los sujetos y predicados de cada oración       Correcta    Incorrecta
                       concuerdan en número y persona.
                       Los adjetivos utilizados concuerdan en         Correcta    Incorrecta
                       género y número con los sustantivos
                       correspondientes.
                       El uso de oraciones complejas no provoca       Correcta    Incorrecta
                       que la oración principal quede inconclusa.
                       Al referirse al tema principal o secundario    Correcta    Incorrecta
                       no repito las mismas palabras. (1)
                       El texto está redactado en tercera persona.    Correcta    Incorrecta
                       Las personas, tiempos y modos de los           Correcta    Incorrecta
                       verbos escritos en el texto tienen
                       concordancia. (2)

   (1) Si desea reemplazar por sinónimos utilice un diccionario. Si ha utilizado pronombres
       personales o demostrativos, identifique el antecedente de cada uno y corrobore que
       concuerdan en género y/o número. Si ha elidido algún término que se reiteraba
       innecesariamente, asegúrese de que no haya ninguna ambigüedad y que se sobreentienda
       perfectamente dicho término.
   (2) Recuerde que al afirmar una idea, conviene utilizar el modo indicativo y al indicar una
       posibilidad o una sugerencia se utilizará el modo subjuntivo o condicional.

Paso 3: Una vez revisado y corregido su texto según la aplicación de la Pauta de
Cotejo de Producción de Textos Explicativos, páselo en limpio. Este será su
primer borrador.
CUARTA PARTE: PRODUCCIÓN DE TEXTOS
                          EXPLICATIVOS

                                        Selecciono dos o más términos que por su
                                 4      importancia dentro del texto o su significación
                                       abstracta necesiten ser definidos claramente.
                                                SÍ
                    4.1
                                    Escribo las definiciones de esos
                                términos tras consultar el diccionario o los
             SÍ                         textos fuentes utilizados.              NO

                                                                      Necesito buscar nuevas fuentes
       4.2    Reelaboro con mis                             4.3         para ampliar el concepto.
              propias palabras los
                  conceptos.

                        SÍ                                            4.4 Registro los nuevos
         4.5             Introduzco las definiciones
                                                                                 conceptos.
                     seleccionadas en el primer borrador.
                      (Recuerde la definición central de
                     explicación debe estar expresada al
                             comienzo del escrito).

                                 SÍ
                     Selecciono dos o tres oraciones del                         Necesito buscar
        4.6          texto que puedan ofrecer dificultades                     nuevas fuentes para
                        para la comprensión del lector.                        ampliar el concepto.


                          SÍ

         4.7           Escribo nuevamente las oraciones con
 SÍ                     otras palabras, manteniendo el mismo
                                       sentido.
                                                                        NO

4.8     Introduzco las oraciones seleccionadas                          Continúo en el paso 4.8.
             SÍ en el primer borrador.

                  SÍ
        Selecciono algunos elementos de mi primer borrador,
 4.9    de los que se puedan ofrecer ejemplos para el lector,
            ayudando a mejorar la comprensión del texto.

                          SÍ

             4.10         Redacto los ejemplos.

                           SÍ
                       Introduzco los ejemplos en
         4.11          nuevas oraciones, al primer
                                borrador.


                                SÍ
                       Detecto algún concepto del
       4.12         primer borrador que pueda mejorar
                    su comprensión al incorporar una
                              comparación.
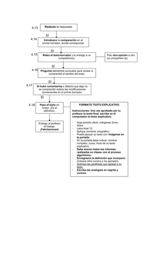
4.13           Redacto la respuesta.


                   SÍ
   4.14        Introduzco la comparación en el
              primer borrador, donde corresponda.


                         SÍ
   4.15       Releo el texto-borrador y lo entrego a un                 Pido otra opinión a otro
                           compañero(a).                                (a) compañero (a).


                SÍ
   4.16 Pregunto elementos puntuales para revisar si
                  SÍ    comprendió el sentido del texto.


                       SÍ
4.17      Si hubo comentarios o detecto que algo no
           se comprendió realiza las modificaciones
              convenientes en el primer borrador.
             SÍ

 4.18       Paso el texto en                      FORMATO TEXTO EXPLICATIVO
             limpio. ¡Es el
               definitivo!.                 Instrucciones: Una vez aprobado por tu
                                            profesor tu texto final, escribe en el
                                            computador tu texto explicativo:

           Entrego al profesor              -   Hoja tamaño oficio, márgenes 2cms.
               el trabajo.                  -   Word.
            ¡Felicitaciones!                -   Letra Arial 12.
                                            -   Aplique corrector ortográfico.
                                            -   Puede apoyar su texto con imágenes en
                                                la portada.
                                            -   En la portada debe indicar: nombre
                                                completo, curso, título de su texto
                                                explicativo.
                                            -   Debe anexar todos los informes
                                                realizados en clases con el proceso
                                                algorítmico.
                                            -   Ennegrezca la definición que incorporó.
                                            -   Coloque letra cursiva a los ejemplos.
                                            -   Subraye las paráfrasis que agregó a su
                                                texto.
                                            -   Escriba las analogías en negrita y
                                                cursiva.
FEES
LDA

                    PRIMERA PARTE: Vocabulario de contexto.

Nombre                                                    Texto Nº ___
Curso                                                     Título
Fecha

Objetivo: Dominar significaciones léxicas contextuales en un discurso escrito.

Ejemplo:
0   "… Se oye la voz del ciego Rosario Calderón recitando '... nací en una vieja mina/ donde
    no hay aves ni flores/ soportando los calores/ y el frío que me   trasmina/ yo mismo
    labré mi ruina/ trabajando sin cesar…”
                                                                                  Página 32
    Acepción: Penetrar o pasar a través de algo               Sinónimo: calar

1



                                                                                Página …….
    Acepción:                                                 Sinónimo:


2



                                                                                Página …….
    Acepción:                                                 Sinónimo:


3



                                                                                Página …….
    Acepción:                                                 Sinónimo:


4



                                                                                Página …….
    Acepción:                                                 Sinónimo:


5



                                                                                Página …….
    Acepción:                                                 Sinónimo:


6



                                                                                Página …….
    Acepción:                                                 Sinónimo:
FEES
LDA


ALGORITMO DE ESCRITURA DE UN TEXTO EXPLICATIVO
             HOJA DE RESPUESTAS

Nombre                                    Texto Nº ___
Curso                                     Título
Fecha

PRIMERA PARTE: Comprensión de un texto explicativo

0


1.2



1.4




1.6-




1.8.-
1.10




1.12




1.14
1.16




1.18




1.20




       ¡Fin de la primera parte, felicitaciones!
SEGUNDA PARTE: Organización de antecedentes del Texto Explicativo.

Nombre
Curso
Fecha

       Texto Nº ___                   Texto Nº ___
       Título                         Título
2




2.2




2.4




2.6




2.10
2.11




                      ¡Fin de la segunda parte, felicitaciones!
TERCERA PARTE: Consolidación de datos para la Producción de Textos
Explicativos
Nombre                           Texto Nº ___
Curso                            Título
Fecha

3




3.1




3.2




                 ¡Fin de la tercera parte, felicitaciones!
TERCERA PARTE:
PRIMER BORRADOR: Producción de Textos Explicativos.

Nombre
Curso
Fecha
CUARTA PARTE: Producción de Textos Explicativos.

Nombre                                    Texto Nº ___
Curso                                     Título
Fecha

4.1




4.2




4.6




4.7
4.10




4.13




       ¡Fin de la cuarta parte, felicitaciones!
Anexo 1.


Autoevaluación alumno (a).

Nombre
Curso                                     Fecha

Criterios de evaluación de un Texto Explicativo                   Rangos
1.- Pertinencia: las causas seleccionadas son adecuadas.       1 2 3 4 5 6 7
2.- Compleción: se da un número suficiente de razones o        1 2 3 4 5 6 7
causas.
3.- Prelación o jerarquización entre las diversas causas por   1 2 3 4 5 6 7
orden de importancia y concreción de las interrelaciones
que presentan.
4.- Precisión en el uso del léxico, utiliza un registro        1 2 3 4 5 6 7
adecuado y conceptos específicos.
5.- El volumen de conocimientos es adecuado al nivel en        1 2 3 4 5 6 7
que realiza la explicación.
6.- Organización del texto: estructuración a partir de la      1 2 3 4 5 6 7
jerarquización de las causas, utiliza conectores
temporales y causales.

Observaciones:




Evaluación docente.

Nombre
Curso                                     Fecha

Criterios de evaluación de un Texto Explicativo                   Rangos
1.- Pertinencia: las causas seleccionadas son adecuadas.       1 2 3 4 5 6 7
2.- Compleción: se da un número suficiente de razones o        1 2 3 4 5 6 7
causas.
3.- Prelación o jerarquización entre las diversas causas por   1 2 3 4 5 6 7
orden de importancia y concreción de las interrelaciones
que presentan.
4.- Precisión en el uso del léxico, utiliza un registro        1 2 3 4 5 6 7
adecuado y conceptos específicos.
5.- El volumen de conocimientos es adecuado al nivel en        1 2 3 4 5 6 7
que realiza la explicación.
6.- Organización del texto: estructuración a partir de la      1 2 3 4 5 6 7
jerarquización de las causas, utiliza conectores
temporales y causales.

Observaciones:
Anexo 2.

FEES
LDA
                              Grecia: legado que perdura
        La civilización griega es una de las más importantes en la historia de la humanidad. Si
bien no lograron crear un país unificado, ya sea por su situación geográfica o por su sentido de la
independencia, desarrollaron una cultura extraordinaria, dejándonos un legado perdurable que
percibimos a diario en el mundo que nos rodea. De hecho, nuestras ideas sobre política,
medicina, historia y arte son en gran parte herencia de los antiguos griegos.

Los efectos de la geografía

        La Grecia antigua comenzó su existencia en la parte sur de la Península de los Balcanes
(Europa). En general era un territorio montañoso, bastante pobre y de una aridez impresionante,
aunque entre los cerros existían valles, lugares que los habitantes escogían para instalarse. Esto,
más las accidentadas costas de las que estaba provisto, hicieron de los griegos buenos
navegantes.
        La vida de estas comunidades debió ser muy difícil, pero no se dejaron vencer por las
desventajas de esta loca geografía y se dedicaron al comercio, a la guerra y en gran parte a la
navegación. Gracias a esta última aprendieron muchas cosas de los navegantes con que
mantenían contactos, pasando a ser un puente entre Oriente y Occidente. En definitiva, Grecia
es la cuna de todas las civilizaciones occidentales posteriores.
        Para poder comprender mejor la historia de este pueblo, tenemos que mencionar varias
regiones geográficas de la Península de los Balcanes, donde se asentaron ciudades que en el
pasado vieron el auge de la civilización griega.
        Una de ellas es Grecia del Norte, donde se encuentran las regiones de Epiro y Tesalia;
Grecia Central, donde están ubicadas Beocia y su capital Tebas, y Ática con la ciudad de Atenas;
el Peloponeso, una península de la zona sur que tenía como región principal Laconia y su capital
Esparta.

Pioneros de la civilización

        Los primeros habitantes de la cuenca del Mar Egeo fueron pueblos que venían del Asia
Menor y que se asentaron en la isla de Creta en el año 3.000 a.C. Este lugar estuvo habitado por
pequeñas comunidades denominadas pelasgos, pero no es mucho lo que se conoce de ellos hasta
hoy. Sin embargo, se cree que estos eran más avanzados que el resto de los pueblos primitivos
que vivían en el continente y se les llamó civilización cretense o minoica, palabra que se rescató
de Minos, el rey mitológico que tuvo la isla de Creta.
        Entre los siglos XIV y XIII a.C. Grecia sufrió la invasión de los aqueos, un pueblo
proveniente de la Europa Central que prácticamente arrasó con la civilización minoica. Si bien
destruyeron todo lo que encontraron a su paso, tiempo después se dieron cuenta de que los
pelasgos eran un pueblo bastante avanzado y adoptaron su civilización superior, fundando aldeas
y ciudades, siendo Micenas la ciudad más importante.
        Es precisamente aquí donde surge la civilización micénica, que debió su riqueza a la
ubicación en la montaña, ya que dominaba el camino más corto entre el golfo de Argólide y el de
Corinto, el que muchos comerciantes usaban, pagando a los micénicos derechos de pasaje.
        Los aqueos se caracterizaron por ser buenos guerreros y muy buenos navegantes. Además,
desarrollaron la agricultura y el pastoreo, al igual que la artesanía.
        La sociedad micénica tenía su base en la familia patriarcal, integradas por personas de
una misma descendencia y gobernada por el varón de mayor edad. La gran mayoría de las
mujeres de esta sociedad eran de otras estirpes, como con frecuencia sucede en los pueblos
invasores, lo que determinó el aspecto sincrético de su cultura.
        La Edad Micénica duró aproximadamente 300 años (1.400 a 1.100 a.C.). Según muchos
poetas, tuvieron reyes poderosos, lo que convirtió a esta época en un período heroico en el que
grandes hombres realizaron numerosas hazañas.
        Hacia el siglo XI a.C. Grecia fue nuevamente invadida. Esta vez fueron los dorios, una
tribu que provenía de las regiones de Macedonia, Tracia y Epiro, y que conquistó prácticamente
toda la península. Sin embargo, se establecieron en la Dóride, Argólida y Laconia. Otros invasores
fueron los jonios, que habitaron Atenas, y los eolios, en la ciudad de Tebas.
        Con la invasión doria finaliza el mundo micénico, y Grecia entra en una fase de
decadencia que se prolonga hasta el año 776 a.C., período que recibió el nombre de Medievo
helénico. Es aquí donde estos tres pueblos invasores se unen, recibiendo el nombre de pueblo
helénico.

Conocimiento griego

Matemáticas griegas
¿Recuerdas que en el colegio te enseñaron el teorema de Pitágoras? Seguramente tu
profesor de matemáticas intentó explicártelo muchas veces antes de que entendieras que en un
triángulo rectángulo, la suma de los cuadrados de los catetos es igual al cuadrado de la

hipotenusa. Pero lo que tal vez no sabías es que Pitágoras era un matemático y filósofo griego,
que luego de viajar por muchos países de Oriente, fundó una escuela en Crotona (Magna Grecia).

Juramento de Hipócrates

      Cuando se reciben, los estudiantes de medicina deben prestar un juramento llamado
Juramento de Hipócrates, que entre otras cosas dice: “Ni aún ante un pedido insistente

proporcionaré a ninguna persona un remedio mortal, ni daré a persona alguna tal consejo...”.
Hipócrates es considerado el padre de la medicina. Su filosofía consistió en una visión puramente
natural de las enfermedades y en el rechazo de las interpretaciones mágicas y religiosas que
predominaban en su época.

El arte que trasciende

        Una de las características más importantes del arte griego fueron sus columnas
arquitectónicas, ya que todos los monumentos de este pueblo están sostenidos o decorados por
ellas. Las había de tres órdenes: dórica, jónica y corintia. La dórica, la más antigua, no tiene
base; su fuste (parte entre la base y el capitel) es macizo y acanalado, y su capitel (parte
superior) es sencillamente un tablero de piedra. La jónica reposa en un asiento llamado basa; el
capitel está adornado con dos volutas o adornos en espiral con forma de cuernos de carnero. La
corintia, posterior a las citadas, tiene un capitel más adornado, que representa un ramillete de
hojas de acanto

Ruinas del Templo de Heras

       Por lo general los templos tenían en su interior una cámara con la imagen de la divinidad
a la que estaban consagrados, y otra donde se depositaban ofrendas y tesoros. En el frontis se
levantaba un pórtico que siempre iba rodeado de columnas.

        En cuanto a la escultura, los griegos se preocupaban mucho del cuerpo humano, que
debía ser sano y bien constituido para ser hermoso. Básicamente, esculpían modelos naturales,
pero muchas veces improvisaban. Pero sin duda su mayor característica era la idealización del
cuerpo y los rostros. Si bien en un principio las figuras eran muy rígidas, con el tiempo los griegos
impusieron el dinamismo, que le daba mayor credibilidad a los cuerpos en movimiento.
        En general, el arte griego era de una belleza inigualable. Pero fue Atenas la ciudad que
rompió con todos los cánones de hermosura. La parte más alta, llamada Acrópolis, que había
servido como refugio en los primeros tiempos, se convirtió en el verdadero centro espiritual de la
ciudad. Su construcción más importante fue el Partenón, templo levantado en honor de la diosa
Atenea. Su construcción, en la que se utilizó mármol blanco, duró 15 años. En su interior había
una gran estatua de Atenea creada por un escultor llamado Fidias. Otro de los edificios
destacados de esta época es el Erecteon, levantado en honor a Erecteo, un héroe legendario de
Atenas.

Teatro al aire libre

        En la ciudad de Atenas se celebraba año a año un festival de teatro en honor a Dionisos,
dios de la alegría o dios del vino. Esta era una gran fiesta a nivel de comunidad. Se dejaba de
trabajar, se paraba el comercio e incluso las cárceles quedaban vacías. Temprano en la mañana
todos se dirigían a él y pasaban todo el día allí, no solo por entretención, sino porque el teatro
tenía una función educativa.
        Por lo general los teatros eran abiertos, y allí la tragedia (obra dramática seria) alcanzó
sus más notables cumbres con tres importantes autores: Esquilo, Sófocles y Eurípides. En la
comedia predominó la figura de Aristófanes.

Los años posteriores

        Como dijimos, la herencia griega pasó a manos de los romanos, quienes se encargaron de
extenderla a las épocas que vinieron. En el siglo V, la parte oriental del Imperio Romano (Imperio
Bizantino) fue una entidad independiente, de cultura, lengua y tradición griegas. Tras la caída de
este imperio en manos de los turcos otomanos en 1453, los sabios de Bizancio contribuyeron al
Renacimiento con el aporte del pensamiento griego clásico y la tradición jurídica romana.
        El 25 de marzo de 1821 se inicia el movimiento independentista en el Peloponeso, la
antigua patria griega, que duró hasta 1829, año en que se reconoce formalmente la
independencia de Grecia.

        Hoy en día la República Helénica, nombre oficial de Grecia, es un país europeo situado al
sur de la península de los Balcanes. Su superficie de 131.957 km2 e incluye numerosas islas en los
mares Jónico y Egeo, limitando con Turquía, Bulgaria, Yugoslavia y Albania.
http://icarito.latercera.cl/icarito/2001/823/pag1.htm (consulta 01-04-05)
http://icarito.latercera.cl/icarito/2001/823/pag2.htm
http://icarito.latercera.cl/icarito/2001/823/pag4.htm
http://icarito.latercera.cl/icarito/2001/823/pag10.htm
                                               Anexo 3.

FEES
LDA

                                     HISTORIA DE GRECIA
Monografía de: Aldo Vásquez
Para Planeta Sedna


Introducción

        Desde el neolítico, la península griega está culturalmente ligada a las islas del Egeo y las
costas occidentales de Asia Menor. Sus numerosos puertos naturales a lo largo de las costas y la
gran cantidad de islas cercanas han contribuido al desarrollo de una civilización marítima
homogénea. Pero su homogeneidad cultural no implicaba la política.
        Los sistemas montañosos y los profundos valles dividieron la península en pequeñas
unidades políticas y económicas, ligeramente mayores en extensión que una ciudad y su territorio
circundante. Para una información más detallada sobre estas ciudades-estado, Atenas; Corinto;
Esparta; Tebas.

Prehistoria

         Las planicies fértiles y lo valles regados por el Tigris y el Eufrates (la media luna fértil)
constituían en la antigüedad la región con el mayor potencial agrícola junto con los del Indo y los
del Nilo.
         Los restos arqueológicos indican que algunos primitivos pueblos del Mediterráneo,
estrechamente ligados a las culturas del norte de África, habitaron las regiones meridionales del
Egeo hasta bien entrado el periodo neolítico, antes del 4000 a. C. Estas pruebas muestran la
evolución cultural desde la edad de piedra hasta la edad del bronce, que en Grecia empezó en el
3000 a. C.
         Las primeras comunidades agrícolas del mundo se desarrollaron ahí: En Jericó se
cultivaron cereales desde el 8000 a. C. Sin embargo, era una tierra que mantenía un delicado y
frágil equilibrio necesitando una defensa constante, tanto de la naturaleza como de los
predadores humanos del desierto por el Oeste y de las montañas a Norte y al Este. A diferencia
de las crecidas regulares y benévolas del Nilo, el flujo de estos ríos gemelos al subir por los
montes Tauro al Este era irregular he imprescindible, con lo cual se producían casi condiciones de
sequía un año y al otro violentas y destructivas inundaciones. Para tener algún tipo de control se
necesitan diques, canales y una organización más compleja. Fue enfrentando estos desafíos como
evolucionaron muchos de los logros más significativos de los inicios de la civilización.
         A principios del III milenio a. C., la denominada civilización del Egeo evolucionó hasta
niveles extremadamente altos. La civilización de la edad del bronce en el Egeo se dividía en dos
culturas, cada una de ellas con sus propias etapas y subdivisiones cronológicas. Una, la
civilización de Creta o minoica, ubicada en el centro de la isla de Creta, a sólo 660 Km al
noroeste de Egipto y directamente relacionada con las rutas marinas hacia los antiguos países del
Oriente Próximo. La otra civilización, la Heládica (micénica, en su periodo más reciente), florecía
al mismo tiempo en la porción continental de Grecia, concretamente en el Peloponeso. Sus
grandes centros estaban en Micenas, Tirinto (cerca del actual Návplion) y Pilos. La cultura y el
comercio cretense dominaron el Mediterráneo hasta después del año 1500 a. C., cuando Micenas
tomó el relevo.
         La cultura griega tiene sus orígenes en la civilización cretense, cuyos principios se
remontan al tercer milenio a. C. los cretenses fueron los primeros en recorrer el Mediterráneo y
llegaron a tener una flota poderosa, comerciaron con otros pueblos ubicados en tierras de los
actuales países de Italia y España, produjeron vino, aceite, artículos de cerámica, etc. Que
vendían al extranjero; la intensidad de su comercio le hizo adquirir la hegemonía en todo el
Mediterráneo Oriental. Esta hegemonía fue marítima por esto se llama talstocracia (gobierno de
mar).

        Este poderío marítimo se extendió desde Roda y Chipre hasta los puertos fenicios de
Biblos y Gadir hacia el 2000 a. C.C.
        Los habitantes de la isla de Creta copiaron de los fenicios su escritura lineal, imitaron de
los arquitectos babilonicos la construcción de sus palacios de Cnosos, Festos, Mallia, Faistos y
Hagia Triada. Estas ciudades fueron erigidas durante la ultima época de Creta también
denominada el apogeo de la civilización de Creta. En esta civilización la mujer jugo un papel muy
importante pues adoraban a una diosa madre, a un dios de la luz y parece que también
veneraban a sus reyes.
Cultivaron los deportes iniciando los grandes juegos que después se llamaron las
olimpiadas en Grecia Continental. Se dedicaron especialmente al box, las carreras y las corridas
de toros, que eran demostraciones de acrobacia donde estaba prohibido matar al toro. Estos
pobladores adoraban a sus dioses en cavernas o pequeñas capillas no tenían el culto a los muertos
pero creían en un más halla semejante al mundo.
        Los habitantes de Creta provenían de la tribu de los Egeos quienes subsistieron en le
continente europeo en Micenas y Tirinto y en el Asia Menor en Troya.
        Troya estaba edificada casi en la entrada del estrecho de los Dardanedos en una colina
que domina la llanura inferior del río Escandro denominada la roca de Pérgamo.
        A finales del III milenio a. C.C. comenzaron una serie de invasiones de tribus del norte
que hablaban una lengua indoeuropea. Existen pruebas de que estos pueblos del norte vivieron en
la cuenca del río Danubio, al sudeste de Europa. De los primeros pueblos invasores, los más
destacados, los aqueos, se habían visto con toda probabilidad obligados a emigrar presionados a
su vez por otros invasores. Los aqueos invadieron el sur de Grecia y se establecieron en el
Peloponeso. Según algunos especialistas, un segundo pueblo, los jónios, se asentó principalmente
en Ática, la zona central del este de Grecia y en las islas Cícladas, donde asimilaron la cultura de
los pueblos heládicos. Los eolios, un tercer pueblo de características poco definidas, se asentaron
en principio en Tesalia.

Grecia antigua

        Los griegos daban el nombre de pelasgos a los primeros habitantes de su país. Estos
labraban la tierra y se les atribuyo la fundación de las más antiguas poblaciones.
A fines del siglo XV se produce una civilización de pueblos más civilizados que hablan un dialecto
indoeuropeo, es decir emparentado con los idiomas que hoy se hablan en Europa. Las
inscripciones egipcias y los poemas homéricos llaman a estos pueblos aqueos y son antecesores de
los Helenos.
        En el último periodo de la edad del bronce en Grecia (1500-1200 a. C.C.), el continente
fue absorbiendo paulatinamente la civilización cretense. Hacia el 1400 a. C.C., los aqueos
conquistaron y controlaron las islas y poco después también dominaron el continente, en especial
la región de Micenas. Debido a las exhaustivas investigaciones de sus ruinas, la ciudad da su
nombre a los antecesores aqueos, aunque también destacaron en importancia otras ciudades-
estado. La guerra de Troya, descrita por Homero en la Iliada, comenzó alrededor del 1200 a. C.C.
y probablemente fue uno de los conflictos bélicos que tuvieron lugar entre los siglos XIII y XII a.
C.C. cuando la civilización micénica estaba en su apogeo. Puede que tuviera relación con la
última y más importante invasión del norte, que ocurrió en aquel tiempo e introdujo la edad del
hierro en Grecia.
        La guerra de Troya fue generada por los pueblos de Asia quienes cometieron actos de
piratería, entonces los griegos formaron una coalición para tomar venganza.

Antecedentes de la guerra de Troya

         París hijo de Príamo rey de Troya robo Elena mujer de Menelao rey de Esparta y hermano
de Agamenón rey de Micenas. Agamenón, para vengar el ultraje hecho a su hermano convoca a
los príncipes griegos y fue elegido jefe de una flota confederada, que destruyo a Troya al cabo de
diez años de sitio.
         Después llegaron otros pueblos del norte que más tarde se llamaron los Helenos y
conquistaron Grecia, luego se dividieron en otros cuatro grupos que son: Aqueos, Eolios, Dorios y
Jonios. Con la invasión de los helenos termina la prehistoria griega y comienza su verdadera
historia de este hecho el pueblo griego es denominado helénico.

         Los dorios abandonaron las montañas del Epiro y descendieron al Peloponeso y a Creta,
utilizando armas de hierro para conquistar y expulsar a los anteriores habitantes de estas
regiones. Los dorios derrocaron a los monarcas aqueos y se asentaron sobre todo en las regiones
meridionales y orientales de la península. Esparta y Corinto se transformaron en las principales
ciudades dóricas. Muchos aqueos buscaron refugio al norte del Peloponeso, zona que más tarde se
llamó Aquea. Otros resistieron duramente a los dorios, y tras ser sometidos, fueron reducidos a
servidumbre y denominados ‘ilotas’. Los que lograron huir se refugiaron en el Peloponeso, se
reunieron con sus parientes en Ática y en la isla de Eubea, pero después emigraron al igual que
los eolios a las costas de Asia Menor.
         En los siglos posteriores al 1200 a. C.C. la progresiva colonización de las costas de Asia
Menor, primero por los refugiados procedentes de zonas ocupadas por los dorios y más tarde por
los mismos dorios, convirtió la región en parte política y cultural de Grecia. Por cada una de las
tres divisiones étnicas griegas se creó una gran confederación. La parte norte de la costa de Asia
Menor y la isla de Lesbos formaban la Confederación Eólica. La Confederación Jónica ocupaba el
distrito medio, llamado Jonia, y las islas de Quíos y Samos. Al sur de las islas de Rodas y Cos se
estableció una Confederación Dórica. Varios siglos después (750-550 a. C.), el rápido aumento de
la población, la escasez de alimentos, el florecimiento de la artesanía y el comercio y otros
factores conllevaron una nueva oleada colonizadora. Se fundaron colonias en lugares tan lejanos
como la costa oriental del mar Negro y Massilia (actual Marsella, Francia), y tuvieron lugar
asentimientos en Sicilia y la parte meridional de la península Itálica. Esta última tenía tal
densidad de población griega que se la conocía como la Magna Grecia.

Período helénico

         Una vez finalizadas las grandes migraciones al Egeo, los griegos desarrollaron una
orgullosa conciencia racial. Se llamaban a sí mismos ‘helenos’, nombre derivado, según Homero,
de una pequeña tribu del sur de Tesalia. El término griegos, empleado por posteriores pueblos
extranjeros, provenía nominalmente de Grecia, nombre en latín de una pequeña tribu helénica
del Epiro con la que los romanos tuvieron contactos. Al margen de la mitología, que era la base
de una compleja religión, los helenos desarrollaron una genealogía que remontaba sus orígenes a
héroes con carácter semidivino.
         A pesar de que los pequeños estados helénicos mantenían su autonomía, seguían un
desarrollo similar en su evolución política. En el periodo pre-helénico los jefes de las tribus
invasoras se proclamaron monarcas de los territorios conquistados. Entre el 800 y el 650 a. C.C.
estas monarquías se fueron sustituyendo por oligarquías de aristócratas, ya que las familias
nobles compraban las tierras y éstas eran la base de todo su poder y riqueza. Cerca del año 650
a. C.C., muchas de estas oligarquías helénicas fueron sustituidas por plebeyos enriquecidos o
aristócratas desafectos, llamados tiranos. La aparición de las tiranías se debió sobre todo a un
factor económico. El descontento popular surgido frente a las aristocracias se había convertido
en un importante factor político a causa del aumento de la esclavitud de los campesinos sin
tierras; la colonización y comercio en los siglos VIII y VII a. C.C. aceleró el desarrollo de una
próspera clase de comerciantes, que supieron aprovecharse del gran descontento para reclamar
el reparto del poder con los aristócratas de las ciudades-estado.



http://www.portalplanetasedna.com.ar/grecia_antigua.htm (consulta 01-04-05)

Texto Explicativo

  • 1.
    Fundación Educacional ElSalvador Ministerio de Educación - Chile Liceo Diego de Almeida Universidad Nacional de Córdoba Depto. de Lenguaje y Comunicación – Filosofía Algoritmo de Comprensión y Producción de Textos Explicativos Elizabeth Ciaffaroni Morales 2005
  • 2.
    Descripción del Módulo: - Nivel: EM3 - Población beneficiaria: 170 alumnos - Lugar: El Salvador – 3° región - Chile - Establecimiento: Liceo Diego de Almeida - Objetivo general: Otorgar al alumno(a) un proceso organizado para la comprensión y producción de textos explicativos, que puedan adaptarse a sus ritmos de aprendizaje, retroalimentando su trabajo. - Objetivo transversal: Valorar la escritura como un medio de expresión de ideas. Fomentar la autonomía y responsabilidad de los alumnos y alumnas en la realización de adquisición de competencias y habilidades lingüísticas. - Metodología: El diseño metodológico propuesto responde a la necesidad de otorgar a los alumnos y alumnas la descripción exacta de la secuencia que deben asimilar para comprender y producir un texto explicativo. La aplicación del procedimiento pretende respetar los ritmos de aprendizajes propios de cada alumno y alumna, permitiéndoles retroalimentar la actividad acudiendo a su profesor, quien adquiere un rol de facilitador. Debemos recordar que: “el lenguaje algorítmico es aquel por medio del cual se realiza un análisis previo del problema a resolver y encontrar un método que permita resolverlo. El conjunto de todas las operaciones a realizar, y el orden en el que deben efectuarse, se denominan algoritmo.”1 Los principales pasos que hay que seguir son los siguientes: - Análisis previo del problema. - Primera visión del método de resolución. - Descomposición en módulos. - Programación estructurada. El método se ha dividido en cuatro macro etapas, permitiendo establecer dónde se provocan las principales dificultades, haciendo énfasis en ellas. Primera parte: Vocabulario de Contexto. Algoritmo de Comprensión de un Texto Explicativo. Segunda parte: Organización de antecedentes del Texto Explicativo Tercera parte: Consolidación de datos para la Producción de Textos Explicativos. Pauta de Cotejo de Producción de Textos Explicativos. Cuarta parte: Producción de Textos Explicativos Cada una de las etapas posee su respectiva Hoja de Respuestas y Pauta de Cotejo para la evaluación de cada instancia. Los textos seleccionados para la aplicación del método corresponden a la temática que actualmente los alumnos y alumnas trabajan en el sub sector de Historia. Los docentes colaboraron en la selección de textos e incorporarán los conocimientos adquiridos a través de las guías en sus evaluaciones. 1 MÉNDEZ, Justo: “Algoritmo” www.monografías.com
  • 3.
    PRIMERA PARTE: ALGORITMODE COMPRENSIÓN DE UN TEXTO EXPLICATIVO 0 Registro en forma de listado palabras, conceptos o ideas que expresen lo que recuerdo y/o sé sobre el tema. 1 Leo atentamente el texto completo. Registro los términos desconocidos y los busco en el diccionario. 1.1 ¿Puedo escribir de qué habla el texto o cuál es el tema general? SÍ NO Enuncio el tema. Vuelvo al paso 1 y 1.2 consulto al profesor. SÍ ¿Puedo escribir lo más importante que 1.3 dice acerca de ese tema general? NO SÍ Vuelvo al paso 1 y consulto al profesor. 1.4 Redacto la respuesta. SÍ ¿Puedo redactar con la 1.5 información de los puntos 1.2 y 1.4 un enunciado que sintetice la información más NO importante del texto? Vuelvo al paso 1 y SÍ consulto al profesor. 1.6 Redacto la síntesis. SÍ ¿Puedo redactar otras cosas importantes que plantea 1.7 el texto, relacionadas con el tema central? SÍ NO Redacto la síntesis a través de una oración o enunciado completo. (Las escribo párrafo a Vuelvo al paso 1 y 1.8 párrafo con expresiones completas, no palabras consulto al profesor. sueltas) SÍ ¿Puedo redactar informaciones menos importantes o 1.9 poco relevantes, en relación al tema principal? NO SÍ Vuelvo al paso 1 y consulto al profesor. Redacto la respuesta. (Las escribo con 1.10 expresiones completas, no palabras sueltas)
  • 4.
    ¿Puedo escribir integrandoen un solo 1.11 enunciado o texto lo que expresé en los puntos 1.6 y 1.8? NO SÍ Vuelvo al punto 1.5 y 1.6 y reelaboro mis respuestas. Consulto al profesor. 1.12 Redacto la respuesta. SÍ ¿Puedo identificar, 1.13 enumerar y transcribir las definiciones NO presentes en el texto? SÍ Vuelvo al paso 1 y consulto al profesor. 1.14 Redacto la respuesta. SÍ 1.15 ¿Puedo identificar, enumerar y transcribir NO los ejemplos presentes en Vuelvo al paso 1 y el texto? consulto al profesor. SÍ 1.16 Redacto la respuesta. SÍ ¿Puedo identificar, enumerar y 1.17 transcribir las comparaciones o NO analogías presentes en el texto? Vuelvo al paso 1 y SÍ consulto al profesor. Redacto la respuesta. 1.18 SÍ ¿Puedo identificar, enumerar y transcribir las reformulaciones o NO 1.19 paráfrasis presentes en el texto? Vuelvo al paso 1 y SÍ consulto al profesor. Redacto la respuesta. 1.20 Fin de la Primera parte ¡Felicitaciones!
  • 5.
    SEGUNDA PARTE: ORGANIZACIÓNDE ANTECEDENTES DEL TEXTO EXPLICATIVO Fase A: Retroalimentación proceso de Comprensión de Textos Explicativos. 2 Redacto el enunciado principal de cada texto. 2.1 ¿Puedo redactar una pregunta que pueda responder lo que se ha enunciado en el punto anterior para cada uno de los textos? SÍ NO 2.2 Redacto la pregunta (Sin respuesta) Consulto al profesor. SÍ 2.3 Releo el 1.6 de cada texto, ¿Puedo redactar preguntas que respondan cada una de los enunciados propuestos? NO SÍ ¿Hay alguna idea 2.4 2.5 que no esté clara? Redacto las preguntas para cada texto. (Sin respuesta) NO SÍ SÍ 2.6 2.7 Releo el punto Comparo las preguntas Redacto u organizo 2.2 y reformulo claves de cada uno de los nuevamente la idea las preguntas. 2.8 textos y elimino las que del 1.6 de la primera se repiten o se parecen. Fase B: Ampliación y Organización del proceso de Comprensión de Textos Explicativos. Fusión de textos. ¿Puedo escribir dos preguntas que no 2.9 hayan sido planteadas? NO SÍ Vuelvo al paso 1 de la primera 2.10 Redacto las preguntas. parte y consulto al profesor SÍ Ordeno y enumero todas las preguntas: las que mantengo del 2.11 paso 2.8 y las del 2.10 (El criterio de orden es de la más básica a la más específica). Fin de la segunda parte ¡Felicitaciones!
  • 6.
    TERCERA PARTE: CONSOLIDACIÓNDE DATOS PARA LA PRODUCCIÓN DE TEXTOS EXPLICATIVOS Selecciono y escribo 8 a 10 preguntas del punto 2.11 del total de textos fichados, que 3 a mi juicio representan el contenido central o idea básica del tema que sea de interés para el lector y para mí. SÍ 3.1 Respondo cada una de las preguntas NO anteriores, teniendo en cuenta los ejercicios anteriores y las fuentes. Utilizo mis propias palabras. Debo explicar, describir y comparar. Consulto al profesor. SÍ Integro las respuestas en un solo texto, aplicando 3.2 cohesión y coherencia en el formato entregado. SÍ Aplico la Pauta de Cotejo de 3.3 Producción de Textos Explicativos.
  • 7.
    FEES LDA Pauta deCotejo de Producción de Textos Explicativos. Instrucciones: Aplique la siguiente Pauta de Cotejo para mejorar el texto resultante de la segunda parte denominada ORGANIZACIÓN DE ANTECEDENTES DEL TEXTO EXPLICATIVO. Paso 1: Lea nuevamente su texto y asegúrese de que los distintos subtemas tratados no se entremezclan entre sí. Si comprueba algún error de esta naturaleza, subraye la oración, oraciones o párrafos que a su juicio no estén ubicados en el lugar correcto y transpórtelos hacia su nueva ubicación. Paso 2: Conteste según corresponda, marcando con una X en el casillero y corrija inmediatamente cuando la aplicación sea incorrecta. Indicador Descripción Tipo de aplicación Ortografía puntual Uso de puntos y comas Correcta Incorrecta Ortografía literal Uso de mayúsculas. Correcta Incorrecta Uso de V-B, S-C-Z, J, G, H, Y-LL. Correcta Incorrecta Uso de acentos. Correcta Incorrecta Redacción La extensión de las oraciones no atenta Correcta Incorrecta contra su claridad. El sujeto de la oración se entiende Correcta Incorrecta claramente en cada una de las oraciones. Los sujetos “tácitos presentes en el texto, Correcta Incorrecta se entienden claramente. Los sujetos y predicados de cada oración Correcta Incorrecta concuerdan en número y persona. Los adjetivos utilizados concuerdan en Correcta Incorrecta género y número con los sustantivos correspondientes. El uso de oraciones complejas no provoca Correcta Incorrecta que la oración principal quede inconclusa. Al referirse al tema principal o secundario Correcta Incorrecta no repito las mismas palabras. (1) El texto está redactado en tercera persona. Correcta Incorrecta Las personas, tiempos y modos de los Correcta Incorrecta verbos escritos en el texto tienen concordancia. (2) (1) Si desea reemplazar por sinónimos utilice un diccionario. Si ha utilizado pronombres personales o demostrativos, identifique el antecedente de cada uno y corrobore que concuerdan en género y/o número. Si ha elidido algún término que se reiteraba innecesariamente, asegúrese de que no haya ninguna ambigüedad y que se sobreentienda perfectamente dicho término. (2) Recuerde que al afirmar una idea, conviene utilizar el modo indicativo y al indicar una posibilidad o una sugerencia se utilizará el modo subjuntivo o condicional. Paso 3: Una vez revisado y corregido su texto según la aplicación de la Pauta de Cotejo de Producción de Textos Explicativos, páselo en limpio. Este será su primer borrador.
  • 8.
    CUARTA PARTE: PRODUCCIÓNDE TEXTOS EXPLICATIVOS Selecciono dos o más términos que por su 4 importancia dentro del texto o su significación abstracta necesiten ser definidos claramente. SÍ 4.1 Escribo las definiciones de esos términos tras consultar el diccionario o los SÍ textos fuentes utilizados. NO Necesito buscar nuevas fuentes 4.2 Reelaboro con mis 4.3 para ampliar el concepto. propias palabras los conceptos. SÍ 4.4 Registro los nuevos 4.5 Introduzco las definiciones conceptos. seleccionadas en el primer borrador. (Recuerde la definición central de explicación debe estar expresada al comienzo del escrito). SÍ Selecciono dos o tres oraciones del Necesito buscar 4.6 texto que puedan ofrecer dificultades nuevas fuentes para para la comprensión del lector. ampliar el concepto. SÍ 4.7 Escribo nuevamente las oraciones con SÍ otras palabras, manteniendo el mismo sentido. NO 4.8 Introduzco las oraciones seleccionadas Continúo en el paso 4.8. SÍ en el primer borrador. SÍ Selecciono algunos elementos de mi primer borrador, 4.9 de los que se puedan ofrecer ejemplos para el lector, ayudando a mejorar la comprensión del texto. SÍ 4.10 Redacto los ejemplos. SÍ Introduzco los ejemplos en 4.11 nuevas oraciones, al primer borrador. SÍ Detecto algún concepto del 4.12 primer borrador que pueda mejorar su comprensión al incorporar una comparación.
  • 9.
    4.13 Redacto la respuesta. SÍ 4.14 Introduzco la comparación en el primer borrador, donde corresponda. SÍ 4.15 Releo el texto-borrador y lo entrego a un Pido otra opinión a otro compañero(a). (a) compañero (a). SÍ 4.16 Pregunto elementos puntuales para revisar si SÍ comprendió el sentido del texto. SÍ 4.17 Si hubo comentarios o detecto que algo no se comprendió realiza las modificaciones convenientes en el primer borrador. SÍ 4.18 Paso el texto en FORMATO TEXTO EXPLICATIVO limpio. ¡Es el definitivo!. Instrucciones: Una vez aprobado por tu profesor tu texto final, escribe en el computador tu texto explicativo: Entrego al profesor - Hoja tamaño oficio, márgenes 2cms. el trabajo. - Word. ¡Felicitaciones! - Letra Arial 12. - Aplique corrector ortográfico. - Puede apoyar su texto con imágenes en la portada. - En la portada debe indicar: nombre completo, curso, título de su texto explicativo. - Debe anexar todos los informes realizados en clases con el proceso algorítmico. - Ennegrezca la definición que incorporó. - Coloque letra cursiva a los ejemplos. - Subraye las paráfrasis que agregó a su texto. - Escriba las analogías en negrita y cursiva.
  • 10.
    FEES LDA PRIMERA PARTE: Vocabulario de contexto. Nombre Texto Nº ___ Curso Título Fecha Objetivo: Dominar significaciones léxicas contextuales en un discurso escrito. Ejemplo: 0 "… Se oye la voz del ciego Rosario Calderón recitando '... nací en una vieja mina/ donde no hay aves ni flores/ soportando los calores/ y el frío que me trasmina/ yo mismo labré mi ruina/ trabajando sin cesar…” Página 32 Acepción: Penetrar o pasar a través de algo Sinónimo: calar 1 Página ……. Acepción: Sinónimo: 2 Página ……. Acepción: Sinónimo: 3 Página ……. Acepción: Sinónimo: 4 Página ……. Acepción: Sinónimo: 5 Página ……. Acepción: Sinónimo: 6 Página ……. Acepción: Sinónimo:
  • 11.
    FEES LDA ALGORITMO DE ESCRITURADE UN TEXTO EXPLICATIVO HOJA DE RESPUESTAS Nombre Texto Nº ___ Curso Título Fecha PRIMERA PARTE: Comprensión de un texto explicativo 0 1.2 1.4 1.6- 1.8.-
  • 12.
  • 13.
    1.16 1.18 1.20 ¡Fin de la primera parte, felicitaciones!
  • 14.
    SEGUNDA PARTE: Organizaciónde antecedentes del Texto Explicativo. Nombre Curso Fecha Texto Nº ___ Texto Nº ___ Título Título 2 2.2 2.4 2.6 2.10
  • 15.
    2.11 ¡Fin de la segunda parte, felicitaciones! TERCERA PARTE: Consolidación de datos para la Producción de Textos Explicativos
  • 16.
    Nombre Texto Nº ___ Curso Título Fecha 3 3.1 3.2 ¡Fin de la tercera parte, felicitaciones! TERCERA PARTE:
  • 17.
    PRIMER BORRADOR: Producciónde Textos Explicativos. Nombre Curso Fecha
  • 18.
    CUARTA PARTE: Producciónde Textos Explicativos. Nombre Texto Nº ___ Curso Título Fecha 4.1 4.2 4.6 4.7
  • 19.
    4.10 4.13 ¡Fin de la cuarta parte, felicitaciones!
  • 20.
    Anexo 1. Autoevaluación alumno(a). Nombre Curso Fecha Criterios de evaluación de un Texto Explicativo Rangos 1.- Pertinencia: las causas seleccionadas son adecuadas. 1 2 3 4 5 6 7 2.- Compleción: se da un número suficiente de razones o 1 2 3 4 5 6 7 causas. 3.- Prelación o jerarquización entre las diversas causas por 1 2 3 4 5 6 7 orden de importancia y concreción de las interrelaciones que presentan. 4.- Precisión en el uso del léxico, utiliza un registro 1 2 3 4 5 6 7 adecuado y conceptos específicos. 5.- El volumen de conocimientos es adecuado al nivel en 1 2 3 4 5 6 7 que realiza la explicación. 6.- Organización del texto: estructuración a partir de la 1 2 3 4 5 6 7 jerarquización de las causas, utiliza conectores temporales y causales. Observaciones: Evaluación docente. Nombre Curso Fecha Criterios de evaluación de un Texto Explicativo Rangos 1.- Pertinencia: las causas seleccionadas son adecuadas. 1 2 3 4 5 6 7 2.- Compleción: se da un número suficiente de razones o 1 2 3 4 5 6 7 causas. 3.- Prelación o jerarquización entre las diversas causas por 1 2 3 4 5 6 7 orden de importancia y concreción de las interrelaciones que presentan. 4.- Precisión en el uso del léxico, utiliza un registro 1 2 3 4 5 6 7 adecuado y conceptos específicos. 5.- El volumen de conocimientos es adecuado al nivel en 1 2 3 4 5 6 7 que realiza la explicación. 6.- Organización del texto: estructuración a partir de la 1 2 3 4 5 6 7 jerarquización de las causas, utiliza conectores temporales y causales. Observaciones:
  • 21.
    Anexo 2. FEES LDA Grecia: legado que perdura La civilización griega es una de las más importantes en la historia de la humanidad. Si bien no lograron crear un país unificado, ya sea por su situación geográfica o por su sentido de la independencia, desarrollaron una cultura extraordinaria, dejándonos un legado perdurable que percibimos a diario en el mundo que nos rodea. De hecho, nuestras ideas sobre política, medicina, historia y arte son en gran parte herencia de los antiguos griegos. Los efectos de la geografía La Grecia antigua comenzó su existencia en la parte sur de la Península de los Balcanes (Europa). En general era un territorio montañoso, bastante pobre y de una aridez impresionante, aunque entre los cerros existían valles, lugares que los habitantes escogían para instalarse. Esto, más las accidentadas costas de las que estaba provisto, hicieron de los griegos buenos navegantes. La vida de estas comunidades debió ser muy difícil, pero no se dejaron vencer por las desventajas de esta loca geografía y se dedicaron al comercio, a la guerra y en gran parte a la navegación. Gracias a esta última aprendieron muchas cosas de los navegantes con que mantenían contactos, pasando a ser un puente entre Oriente y Occidente. En definitiva, Grecia es la cuna de todas las civilizaciones occidentales posteriores. Para poder comprender mejor la historia de este pueblo, tenemos que mencionar varias regiones geográficas de la Península de los Balcanes, donde se asentaron ciudades que en el pasado vieron el auge de la civilización griega. Una de ellas es Grecia del Norte, donde se encuentran las regiones de Epiro y Tesalia; Grecia Central, donde están ubicadas Beocia y su capital Tebas, y Ática con la ciudad de Atenas; el Peloponeso, una península de la zona sur que tenía como región principal Laconia y su capital Esparta. Pioneros de la civilización Los primeros habitantes de la cuenca del Mar Egeo fueron pueblos que venían del Asia Menor y que se asentaron en la isla de Creta en el año 3.000 a.C. Este lugar estuvo habitado por pequeñas comunidades denominadas pelasgos, pero no es mucho lo que se conoce de ellos hasta hoy. Sin embargo, se cree que estos eran más avanzados que el resto de los pueblos primitivos que vivían en el continente y se les llamó civilización cretense o minoica, palabra que se rescató de Minos, el rey mitológico que tuvo la isla de Creta. Entre los siglos XIV y XIII a.C. Grecia sufrió la invasión de los aqueos, un pueblo proveniente de la Europa Central que prácticamente arrasó con la civilización minoica. Si bien destruyeron todo lo que encontraron a su paso, tiempo después se dieron cuenta de que los pelasgos eran un pueblo bastante avanzado y adoptaron su civilización superior, fundando aldeas y ciudades, siendo Micenas la ciudad más importante. Es precisamente aquí donde surge la civilización micénica, que debió su riqueza a la ubicación en la montaña, ya que dominaba el camino más corto entre el golfo de Argólide y el de Corinto, el que muchos comerciantes usaban, pagando a los micénicos derechos de pasaje. Los aqueos se caracterizaron por ser buenos guerreros y muy buenos navegantes. Además, desarrollaron la agricultura y el pastoreo, al igual que la artesanía. La sociedad micénica tenía su base en la familia patriarcal, integradas por personas de una misma descendencia y gobernada por el varón de mayor edad. La gran mayoría de las mujeres de esta sociedad eran de otras estirpes, como con frecuencia sucede en los pueblos invasores, lo que determinó el aspecto sincrético de su cultura. La Edad Micénica duró aproximadamente 300 años (1.400 a 1.100 a.C.). Según muchos poetas, tuvieron reyes poderosos, lo que convirtió a esta época en un período heroico en el que grandes hombres realizaron numerosas hazañas. Hacia el siglo XI a.C. Grecia fue nuevamente invadida. Esta vez fueron los dorios, una tribu que provenía de las regiones de Macedonia, Tracia y Epiro, y que conquistó prácticamente toda la península. Sin embargo, se establecieron en la Dóride, Argólida y Laconia. Otros invasores fueron los jonios, que habitaron Atenas, y los eolios, en la ciudad de Tebas. Con la invasión doria finaliza el mundo micénico, y Grecia entra en una fase de decadencia que se prolonga hasta el año 776 a.C., período que recibió el nombre de Medievo helénico. Es aquí donde estos tres pueblos invasores se unen, recibiendo el nombre de pueblo helénico. Conocimiento griego Matemáticas griegas
  • 22.
    ¿Recuerdas que enel colegio te enseñaron el teorema de Pitágoras? Seguramente tu profesor de matemáticas intentó explicártelo muchas veces antes de que entendieras que en un triángulo rectángulo, la suma de los cuadrados de los catetos es igual al cuadrado de la hipotenusa. Pero lo que tal vez no sabías es que Pitágoras era un matemático y filósofo griego, que luego de viajar por muchos países de Oriente, fundó una escuela en Crotona (Magna Grecia). Juramento de Hipócrates Cuando se reciben, los estudiantes de medicina deben prestar un juramento llamado Juramento de Hipócrates, que entre otras cosas dice: “Ni aún ante un pedido insistente proporcionaré a ninguna persona un remedio mortal, ni daré a persona alguna tal consejo...”. Hipócrates es considerado el padre de la medicina. Su filosofía consistió en una visión puramente natural de las enfermedades y en el rechazo de las interpretaciones mágicas y religiosas que predominaban en su época. El arte que trasciende Una de las características más importantes del arte griego fueron sus columnas arquitectónicas, ya que todos los monumentos de este pueblo están sostenidos o decorados por ellas. Las había de tres órdenes: dórica, jónica y corintia. La dórica, la más antigua, no tiene base; su fuste (parte entre la base y el capitel) es macizo y acanalado, y su capitel (parte superior) es sencillamente un tablero de piedra. La jónica reposa en un asiento llamado basa; el capitel está adornado con dos volutas o adornos en espiral con forma de cuernos de carnero. La corintia, posterior a las citadas, tiene un capitel más adornado, que representa un ramillete de hojas de acanto Ruinas del Templo de Heras Por lo general los templos tenían en su interior una cámara con la imagen de la divinidad a la que estaban consagrados, y otra donde se depositaban ofrendas y tesoros. En el frontis se levantaba un pórtico que siempre iba rodeado de columnas. En cuanto a la escultura, los griegos se preocupaban mucho del cuerpo humano, que debía ser sano y bien constituido para ser hermoso. Básicamente, esculpían modelos naturales, pero muchas veces improvisaban. Pero sin duda su mayor característica era la idealización del cuerpo y los rostros. Si bien en un principio las figuras eran muy rígidas, con el tiempo los griegos impusieron el dinamismo, que le daba mayor credibilidad a los cuerpos en movimiento. En general, el arte griego era de una belleza inigualable. Pero fue Atenas la ciudad que rompió con todos los cánones de hermosura. La parte más alta, llamada Acrópolis, que había servido como refugio en los primeros tiempos, se convirtió en el verdadero centro espiritual de la ciudad. Su construcción más importante fue el Partenón, templo levantado en honor de la diosa Atenea. Su construcción, en la que se utilizó mármol blanco, duró 15 años. En su interior había una gran estatua de Atenea creada por un escultor llamado Fidias. Otro de los edificios destacados de esta época es el Erecteon, levantado en honor a Erecteo, un héroe legendario de Atenas. Teatro al aire libre En la ciudad de Atenas se celebraba año a año un festival de teatro en honor a Dionisos, dios de la alegría o dios del vino. Esta era una gran fiesta a nivel de comunidad. Se dejaba de trabajar, se paraba el comercio e incluso las cárceles quedaban vacías. Temprano en la mañana todos se dirigían a él y pasaban todo el día allí, no solo por entretención, sino porque el teatro tenía una función educativa. Por lo general los teatros eran abiertos, y allí la tragedia (obra dramática seria) alcanzó sus más notables cumbres con tres importantes autores: Esquilo, Sófocles y Eurípides. En la comedia predominó la figura de Aristófanes. Los años posteriores Como dijimos, la herencia griega pasó a manos de los romanos, quienes se encargaron de extenderla a las épocas que vinieron. En el siglo V, la parte oriental del Imperio Romano (Imperio Bizantino) fue una entidad independiente, de cultura, lengua y tradición griegas. Tras la caída de este imperio en manos de los turcos otomanos en 1453, los sabios de Bizancio contribuyeron al Renacimiento con el aporte del pensamiento griego clásico y la tradición jurídica romana. El 25 de marzo de 1821 se inicia el movimiento independentista en el Peloponeso, la antigua patria griega, que duró hasta 1829, año en que se reconoce formalmente la independencia de Grecia. Hoy en día la República Helénica, nombre oficial de Grecia, es un país europeo situado al sur de la península de los Balcanes. Su superficie de 131.957 km2 e incluye numerosas islas en los mares Jónico y Egeo, limitando con Turquía, Bulgaria, Yugoslavia y Albania.
  • 23.
    http://icarito.latercera.cl/icarito/2001/823/pag1.htm (consulta 01-04-05) http://icarito.latercera.cl/icarito/2001/823/pag2.htm http://icarito.latercera.cl/icarito/2001/823/pag4.htm http://icarito.latercera.cl/icarito/2001/823/pag10.htm Anexo 3. FEES LDA HISTORIA DE GRECIA Monografía de: Aldo Vásquez Para Planeta Sedna Introducción Desde el neolítico, la península griega está culturalmente ligada a las islas del Egeo y las costas occidentales de Asia Menor. Sus numerosos puertos naturales a lo largo de las costas y la gran cantidad de islas cercanas han contribuido al desarrollo de una civilización marítima homogénea. Pero su homogeneidad cultural no implicaba la política. Los sistemas montañosos y los profundos valles dividieron la península en pequeñas unidades políticas y económicas, ligeramente mayores en extensión que una ciudad y su territorio circundante. Para una información más detallada sobre estas ciudades-estado, Atenas; Corinto; Esparta; Tebas. Prehistoria Las planicies fértiles y lo valles regados por el Tigris y el Eufrates (la media luna fértil) constituían en la antigüedad la región con el mayor potencial agrícola junto con los del Indo y los del Nilo. Los restos arqueológicos indican que algunos primitivos pueblos del Mediterráneo, estrechamente ligados a las culturas del norte de África, habitaron las regiones meridionales del Egeo hasta bien entrado el periodo neolítico, antes del 4000 a. C. Estas pruebas muestran la evolución cultural desde la edad de piedra hasta la edad del bronce, que en Grecia empezó en el 3000 a. C. Las primeras comunidades agrícolas del mundo se desarrollaron ahí: En Jericó se cultivaron cereales desde el 8000 a. C. Sin embargo, era una tierra que mantenía un delicado y frágil equilibrio necesitando una defensa constante, tanto de la naturaleza como de los predadores humanos del desierto por el Oeste y de las montañas a Norte y al Este. A diferencia de las crecidas regulares y benévolas del Nilo, el flujo de estos ríos gemelos al subir por los montes Tauro al Este era irregular he imprescindible, con lo cual se producían casi condiciones de sequía un año y al otro violentas y destructivas inundaciones. Para tener algún tipo de control se necesitan diques, canales y una organización más compleja. Fue enfrentando estos desafíos como evolucionaron muchos de los logros más significativos de los inicios de la civilización. A principios del III milenio a. C., la denominada civilización del Egeo evolucionó hasta niveles extremadamente altos. La civilización de la edad del bronce en el Egeo se dividía en dos culturas, cada una de ellas con sus propias etapas y subdivisiones cronológicas. Una, la civilización de Creta o minoica, ubicada en el centro de la isla de Creta, a sólo 660 Km al noroeste de Egipto y directamente relacionada con las rutas marinas hacia los antiguos países del Oriente Próximo. La otra civilización, la Heládica (micénica, en su periodo más reciente), florecía al mismo tiempo en la porción continental de Grecia, concretamente en el Peloponeso. Sus grandes centros estaban en Micenas, Tirinto (cerca del actual Návplion) y Pilos. La cultura y el comercio cretense dominaron el Mediterráneo hasta después del año 1500 a. C., cuando Micenas tomó el relevo. La cultura griega tiene sus orígenes en la civilización cretense, cuyos principios se remontan al tercer milenio a. C. los cretenses fueron los primeros en recorrer el Mediterráneo y llegaron a tener una flota poderosa, comerciaron con otros pueblos ubicados en tierras de los actuales países de Italia y España, produjeron vino, aceite, artículos de cerámica, etc. Que vendían al extranjero; la intensidad de su comercio le hizo adquirir la hegemonía en todo el Mediterráneo Oriental. Esta hegemonía fue marítima por esto se llama talstocracia (gobierno de mar). Este poderío marítimo se extendió desde Roda y Chipre hasta los puertos fenicios de Biblos y Gadir hacia el 2000 a. C.C. Los habitantes de la isla de Creta copiaron de los fenicios su escritura lineal, imitaron de los arquitectos babilonicos la construcción de sus palacios de Cnosos, Festos, Mallia, Faistos y Hagia Triada. Estas ciudades fueron erigidas durante la ultima época de Creta también denominada el apogeo de la civilización de Creta. En esta civilización la mujer jugo un papel muy importante pues adoraban a una diosa madre, a un dios de la luz y parece que también veneraban a sus reyes.
  • 24.
    Cultivaron los deportesiniciando los grandes juegos que después se llamaron las olimpiadas en Grecia Continental. Se dedicaron especialmente al box, las carreras y las corridas de toros, que eran demostraciones de acrobacia donde estaba prohibido matar al toro. Estos pobladores adoraban a sus dioses en cavernas o pequeñas capillas no tenían el culto a los muertos pero creían en un más halla semejante al mundo. Los habitantes de Creta provenían de la tribu de los Egeos quienes subsistieron en le continente europeo en Micenas y Tirinto y en el Asia Menor en Troya. Troya estaba edificada casi en la entrada del estrecho de los Dardanedos en una colina que domina la llanura inferior del río Escandro denominada la roca de Pérgamo. A finales del III milenio a. C.C. comenzaron una serie de invasiones de tribus del norte que hablaban una lengua indoeuropea. Existen pruebas de que estos pueblos del norte vivieron en la cuenca del río Danubio, al sudeste de Europa. De los primeros pueblos invasores, los más destacados, los aqueos, se habían visto con toda probabilidad obligados a emigrar presionados a su vez por otros invasores. Los aqueos invadieron el sur de Grecia y se establecieron en el Peloponeso. Según algunos especialistas, un segundo pueblo, los jónios, se asentó principalmente en Ática, la zona central del este de Grecia y en las islas Cícladas, donde asimilaron la cultura de los pueblos heládicos. Los eolios, un tercer pueblo de características poco definidas, se asentaron en principio en Tesalia. Grecia antigua Los griegos daban el nombre de pelasgos a los primeros habitantes de su país. Estos labraban la tierra y se les atribuyo la fundación de las más antiguas poblaciones. A fines del siglo XV se produce una civilización de pueblos más civilizados que hablan un dialecto indoeuropeo, es decir emparentado con los idiomas que hoy se hablan en Europa. Las inscripciones egipcias y los poemas homéricos llaman a estos pueblos aqueos y son antecesores de los Helenos. En el último periodo de la edad del bronce en Grecia (1500-1200 a. C.C.), el continente fue absorbiendo paulatinamente la civilización cretense. Hacia el 1400 a. C.C., los aqueos conquistaron y controlaron las islas y poco después también dominaron el continente, en especial la región de Micenas. Debido a las exhaustivas investigaciones de sus ruinas, la ciudad da su nombre a los antecesores aqueos, aunque también destacaron en importancia otras ciudades- estado. La guerra de Troya, descrita por Homero en la Iliada, comenzó alrededor del 1200 a. C.C. y probablemente fue uno de los conflictos bélicos que tuvieron lugar entre los siglos XIII y XII a. C.C. cuando la civilización micénica estaba en su apogeo. Puede que tuviera relación con la última y más importante invasión del norte, que ocurrió en aquel tiempo e introdujo la edad del hierro en Grecia. La guerra de Troya fue generada por los pueblos de Asia quienes cometieron actos de piratería, entonces los griegos formaron una coalición para tomar venganza. Antecedentes de la guerra de Troya París hijo de Príamo rey de Troya robo Elena mujer de Menelao rey de Esparta y hermano de Agamenón rey de Micenas. Agamenón, para vengar el ultraje hecho a su hermano convoca a los príncipes griegos y fue elegido jefe de una flota confederada, que destruyo a Troya al cabo de diez años de sitio. Después llegaron otros pueblos del norte que más tarde se llamaron los Helenos y conquistaron Grecia, luego se dividieron en otros cuatro grupos que son: Aqueos, Eolios, Dorios y Jonios. Con la invasión de los helenos termina la prehistoria griega y comienza su verdadera historia de este hecho el pueblo griego es denominado helénico. Los dorios abandonaron las montañas del Epiro y descendieron al Peloponeso y a Creta, utilizando armas de hierro para conquistar y expulsar a los anteriores habitantes de estas regiones. Los dorios derrocaron a los monarcas aqueos y se asentaron sobre todo en las regiones meridionales y orientales de la península. Esparta y Corinto se transformaron en las principales ciudades dóricas. Muchos aqueos buscaron refugio al norte del Peloponeso, zona que más tarde se llamó Aquea. Otros resistieron duramente a los dorios, y tras ser sometidos, fueron reducidos a servidumbre y denominados ‘ilotas’. Los que lograron huir se refugiaron en el Peloponeso, se reunieron con sus parientes en Ática y en la isla de Eubea, pero después emigraron al igual que los eolios a las costas de Asia Menor. En los siglos posteriores al 1200 a. C.C. la progresiva colonización de las costas de Asia Menor, primero por los refugiados procedentes de zonas ocupadas por los dorios y más tarde por los mismos dorios, convirtió la región en parte política y cultural de Grecia. Por cada una de las tres divisiones étnicas griegas se creó una gran confederación. La parte norte de la costa de Asia Menor y la isla de Lesbos formaban la Confederación Eólica. La Confederación Jónica ocupaba el distrito medio, llamado Jonia, y las islas de Quíos y Samos. Al sur de las islas de Rodas y Cos se estableció una Confederación Dórica. Varios siglos después (750-550 a. C.), el rápido aumento de la población, la escasez de alimentos, el florecimiento de la artesanía y el comercio y otros factores conllevaron una nueva oleada colonizadora. Se fundaron colonias en lugares tan lejanos
  • 25.
    como la costaoriental del mar Negro y Massilia (actual Marsella, Francia), y tuvieron lugar asentimientos en Sicilia y la parte meridional de la península Itálica. Esta última tenía tal densidad de población griega que se la conocía como la Magna Grecia. Período helénico Una vez finalizadas las grandes migraciones al Egeo, los griegos desarrollaron una orgullosa conciencia racial. Se llamaban a sí mismos ‘helenos’, nombre derivado, según Homero, de una pequeña tribu del sur de Tesalia. El término griegos, empleado por posteriores pueblos extranjeros, provenía nominalmente de Grecia, nombre en latín de una pequeña tribu helénica del Epiro con la que los romanos tuvieron contactos. Al margen de la mitología, que era la base de una compleja religión, los helenos desarrollaron una genealogía que remontaba sus orígenes a héroes con carácter semidivino. A pesar de que los pequeños estados helénicos mantenían su autonomía, seguían un desarrollo similar en su evolución política. En el periodo pre-helénico los jefes de las tribus invasoras se proclamaron monarcas de los territorios conquistados. Entre el 800 y el 650 a. C.C. estas monarquías se fueron sustituyendo por oligarquías de aristócratas, ya que las familias nobles compraban las tierras y éstas eran la base de todo su poder y riqueza. Cerca del año 650 a. C.C., muchas de estas oligarquías helénicas fueron sustituidas por plebeyos enriquecidos o aristócratas desafectos, llamados tiranos. La aparición de las tiranías se debió sobre todo a un factor económico. El descontento popular surgido frente a las aristocracias se había convertido en un importante factor político a causa del aumento de la esclavitud de los campesinos sin tierras; la colonización y comercio en los siglos VIII y VII a. C.C. aceleró el desarrollo de una próspera clase de comerciantes, que supieron aprovecharse del gran descontento para reclamar el reparto del poder con los aristócratas de las ciudades-estado. http://www.portalplanetasedna.com.ar/grecia_antigua.htm (consulta 01-04-05)