República Bolivariana De Venezuela
Ministerio Del Poder Popular Para La Educación Superior
Universidad Politécnica Territorial Andrés Eloy Blanco
Estudiantes:
Hoswald Yanez V -30.266.399
Contaduría Pública.
Barquisimeto – Lara
Seccion: 0405
- Suma, Resta y Valor numérico de Expresiones algebraicas.
Trabajar en álgebra consiste en manejar relaciones numéricas en las que una o más
cantidades son desconocidas. Estas cantidades se llaman variables, incógnitas o
indeterminadas y se representan por letras.
Una expresión algebraica es una combinación de letras y números ligada por los signos
de las operaciones: adición, sustracción, multiplicación, división y potenciación. Las
expresiones algebraicas nos permiten, por ejemplo, hallar áreas y volúmenes:
Longitud de la circunferencia: L= 2  pi r, donde r es el radio de la circunferencia.
Área del cuadrado: S = l2
, donde l es el lado del cuadrado.
Volumen del cubo: V = a3 = a³, donde a es la arista del cubo.
Valor numérico
Suma:
1 Ordenar los polinomios del término de mayor grado al de menor.
2 Agrupar los monomios del mismo grado.
3 Sumar los monomios semejantes.
Ejemplo:
1 Acomodar en columnas a los términos de mayor a menor grado, y sumar.
Así,
2 P(x) + Q(x) = 7x4
+ 6x³ + 4x² + 15x + 5
Resta: La resta de polinomios consiste en sumar al minuendo el opuesto del sustraendo.
Ejemplo:
1 Restar los polinomios P(x) = 2x3
+ 5x - 3, Q(x) = 2x³ - 3x² + 4x.
P(x) − Q(x) = (2x³ + 5x − 3) − (2x³ − 3x² + 4x)
2 Obtenemos el opuesto al sustraendo de Q(x).
P(x) − Q(x) = 2x³ + 5x − 3 − 2x³ + 3x² − 4x
3 Agrupamos.
P(x) − Q(x) = 2x³ − 2x³ + 3x² + 5x − 4x − 3
4 Resultado de la resta.
P(x) − Q(x) = 3x² + x − 3
- Multiplicación y División de Expresiones algebraicas.
Multiplicación:
Multiplicación de un monomio por un polinomio: En la multiplicación de un
monomio por un polinomio se multiplica el monomio por todos y cada uno de los
monomios que forman el polinomio. Recordar que primero debemos multiplicar signos,
posteriormente multiplicar los monomios correspondientes, para lo cual, se debe
multiplicar los coeficientes, y luego, realizar la multiplicación de la parte literal, en donde,
al multiplicar variables iguales los exponentes se sumarán.
3x² · (2x³− 3x²+ 4x − 2)
= (3x² · 2x³) - (3x² · 3x²) + (3x² · 4x) - (3x² · 2)
= 6x5
− 9x4
+ 12x³ − 6x²
Multiplicación de Polinomios: En cada fila se multiplica cada uno de los
monomios del segundo polinomio por todos los monomios del primer polinomio. Se
colocan los monomios semejantes en la misma columna y posteriormente se suman los
monomios semejantes.
Ejemplo:
Multiplicar los siguientes polinomios P(x) = 2x²− 3, Q(x) = 2x³ − 3x² + 4x.
Como la multiplicación de polinomios cumple la propiedad conmutativa, hemos tomado
como polinomio multiplicador el polinomio más sencillo.
División: Abordaremos la explicación con un ejemplo.
Ejemplo:
Resolver la división de los polinomios P(x) = x5
+ 2x3
− x − 8, Q(x) = x2
− 2x + 1.
P(x) : Q(x)
1 A la izquierda situamos el dividendo. Si el polinomio no es
completo dejamos huecos en los lugares que correspondan.
2 A la derecha situamos el divisor dentro de una caja.
3 Dividimos el primer monomio del dividendo entre el primer monomio del divisor.
x5
: x2
= x3
4 Multiplicamos cada término del polinomio divisor por el resultado anterior y lo
restamos del polinomio dividendo:
5 Volvemos a dividir el primer monomio del dividendo entre el primer monomio del
divisor. Y el resultado lo multiplicamos por el divisor y lo restamos al dividendo.
2x4
: x2
= 2 x2
6 Procedemos igual que antes.
5x3
: x2
= 5 x
7 Como en los pasos anteriores, dividimos por , y obtenemos .
Multiplicamos por cada término del divisor y obtenemos:
Procedemos con la resta:
10x − 16 es el resto, porque su grado es menor que el del divisor y por tanto no se puede
continuar dividiendo.
x3
+2x2
+5x+8 es el cociente.
- Productos notables de expresiones algebraicas.
Productos notables es el nombre que reciben multiplicaciones con expresiones
algebraicas cuyo resultado se puede escribir mediante simple inspección, sin verificar la
multiplicación que cumplen ciertas reglas fijas. Su aplicación simplifica y sistematiza la
resolución de muchas multiplicaciones habituales.
- Factorización por productos notables.
Cada producto notable corresponde a una fórmula de factorización.
Ejemplos: la factorización de una diferencia de cuadrados perfectos es un producto de
dos binomios conjugados, y recíprocamente.
Binomio al Cuadrado o Cuadrado de un Binomio
Trinomio Cuadrado Perfecto.
Binomios con un término en común.
Producto de binomios conjugados.
Polinomio al cuadrado.
Binomio al cubo o Cubo de un binomio.
- Simplificación de fracciones algebraicas.
Una fracción algebraica es una expresión fraccionaria en la que numerador y
denominador son polinomios, siendo el denominador no nulo.
Para simplificar fracciones algebraicas, se factorizan numerador y denominador y se
simplifican los factores comunes. La fracción algebraica así obtenida es equivalente a la
de partida.
Si dividimos numerador y denominador por su máximo común divisor se obtiene una
fracción algebraica irreducible.
Simplifica:
Primero factorizamos numerador y denominador:
A continuación simplificamos los factores comunes al numerador y denominador:
- Suma y resta de fracciones algebraicas.
Para sumar y restar procederemos de forma similar que con fracciones de números
enteros, reduciendo primero a común denominador.
Opera:
Reducimos a común denominador ambas fracciones, usando el m.c.m. de los
denominadores que es
Sumamos los numeradores dejando el mismo denominador y simplificamos el
numerador:
- Multiplicación y división de fracciones algebraicas.
Multiplicación: Para multiplicar fracciones algebraicas procederemos igual que con
fracciones, multiplicando los numeradores y los denominadores, aunque antes de
multiplicar debemos simplificar, si se puede.
Opera:
Multiplicamos numeradores y denominadores, pero lo dejamos indicado:
Simplificamos antes de efectuar el producto:
Finalmente, podemos multiplicar, si es preciso:
División: Para dividir fracciones algebraicas procederemos igual que con fracciones,
haciendo el producto cruzado de numeradores y denominadores, aunque antes de
multiplicar debemos simplificar, si se puede.
Opera:
Hacemos el producto cruzado, dejándolo indicado:
Simplificamos:
Finalmente, podemos multiplicar, si es preciso:
- Factorización por el método de Ruffini.
colocamos los coeficientes del dividendo en una fila. En este caso el polinomio es
completo, si no fuera así completaría con ceros, 0.
(3x3
+13x2
-13x+2): (x-1)=
Posteriormente, colocamos el opuesto (le cambiamos el signo) del termino independiente
del divisor.
(3x3
+13x2
-13x+2): (x–1)=
Para empezar, bajamos el primer coeficiente.
Multiplicamos ese coeficiente por el divisor y lo colocamos debajo del siguiente término.
Sumamos los dos coeficientes.
Repetimos el proceso anterior y vamos completando paso a paso la tabla.
Aquí, debemos tener en cuenta que:
 El grado del cociente es una unidad inferior al grado del dividendo.
 El resto es siempre un número.
Así: C(x)=3x2
+16x+3 y R(x)=5
- Radicación. Suma y resta de radicales.
Racionalizar es quitar los radicales del denominador.
Cuando el denominador tiene una sóla raíz sin sumas ni restas: Si tiene una
raíz cuadrada para eliminarla se multiplica por si misma. Ver aparado a del
ejercicio.
Cuando el denominador tiene una suma o una diferencia:
Multiplicamos numerador y denominador por el conjugado del denominador.
Usamos la identidad notable suma por diferencia (a+b)(a-b)= a2
-b2
para quitar
el radical.
Para poder sumar o restar radicales, estos deben ser semejantes, quiere decir que deben
compartir el mismo índice y radicando; también hay que estar familiarizados con la suma
y resta de números con signo para poder realizar estas operaciones.
Ejemplos:
1. 3 + 1 = 4
2. 5 – 2 = 3
3. 6 – 1 + 4 = 9
4. –5 – 3 – 1 = –9
- Multiplicación y división de radicales.
Multiplicación de radicales: Se deben convertir los radicales o raíces a una expresión
con índices iguales antes de multiplicarse entre sí. El procedimiento consiste en calcular
el mínimo común múltiplo de los índices diferentes y convertir los radicales a una
expresión con los índices iguales.
Multiplicación de radicales con distinto índice: como comentaba anteriormente, es
necesario previamente reducirlos a índice común.
División de radicales: con el mismo índice es igual a un único radical del mismo índice
y cuyo radicando se obtiene de dividir los radicandos.
División de radicales con distinto índice
Primero se reducen a índice común y luego se dividen. En primer reducimos a común
índice por lo que tenemos que calcular el mínimo común múltiplo de los índices, que será
el común índice.
- Expresiones conjugadas: El conjugado es cuando cambias el signo que está entre dos
términos, así:
conjugado 3x+1, 3x-1
Sólo se usa en expresiones con dos términos, llamadas "binomios".
Expresión Su conjugado
x2 − 3 x2 + 3
a + b a – b
a - b3 a + b3
Ejercicios Resueltos
Ejercicios de Producto Notables
Suma por diferencia
a)
Raíz cuadrada
b)
c)
Cambiado el orden de los factores
Suma por diferencia
Ejercicios de suma y resta de radicales (simplicacion)
a)√45 − √27 − √20
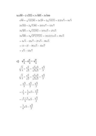
b)√80 − 2 √252 + 3 √405 − 3√500
c) √
1
3
- √
1
2
+ √
3
4
Ejercicios de expresiones conjugadas
a)
2√3 + 3
3
Ejercicios de fracciones algebraicas
b)
BIBLIOGRAFÍA
https://www.superprof.es/apuntes/escolar/matematicas/algebra/polinomio
s/expresiones-algebraicas.html Ejemplos de expresiones algebraicas Marta
1 junio 2019 Superprof material didáctico.
https://www.superprof.es/apuntes/escolar/matematicas/algebra/polinomio
s/suma-de-polinomios.html Operaciones con polinomios: suma, resta,
multiplicación y división Marta 1 junio 2019 Superprof material didáctico.
https://sites.google.com/site/lauracecyte26/unidad/productos-notables-y-
factorizacion PRODUCTOS NOTABLES Y FACTORIZACION Laura Ch. 17 abril
2015
http://maralboran.org/wikipedia/index.php/Fracciones_algebraicas Fracciones algebraicas
I.E.S Mar de Alborán
6 dic 2017.

Trabajo matematica

  • 1.
    República Bolivariana DeVenezuela Ministerio Del Poder Popular Para La Educación Superior Universidad Politécnica Territorial Andrés Eloy Blanco Estudiantes: Hoswald Yanez V -30.266.399 Contaduría Pública. Barquisimeto – Lara Seccion: 0405
  • 2.
    - Suma, Restay Valor numérico de Expresiones algebraicas. Trabajar en álgebra consiste en manejar relaciones numéricas en las que una o más cantidades son desconocidas. Estas cantidades se llaman variables, incógnitas o indeterminadas y se representan por letras. Una expresión algebraica es una combinación de letras y números ligada por los signos de las operaciones: adición, sustracción, multiplicación, división y potenciación. Las expresiones algebraicas nos permiten, por ejemplo, hallar áreas y volúmenes: Longitud de la circunferencia: L= 2 pi r, donde r es el radio de la circunferencia. Área del cuadrado: S = l2 , donde l es el lado del cuadrado. Volumen del cubo: V = a3 = a³, donde a es la arista del cubo. Valor numérico Suma: 1 Ordenar los polinomios del término de mayor grado al de menor. 2 Agrupar los monomios del mismo grado. 3 Sumar los monomios semejantes. Ejemplo: 1 Acomodar en columnas a los términos de mayor a menor grado, y sumar. Así, 2 P(x) + Q(x) = 7x4 + 6x³ + 4x² + 15x + 5 Resta: La resta de polinomios consiste en sumar al minuendo el opuesto del sustraendo.
  • 3.
    Ejemplo: 1 Restar lospolinomios P(x) = 2x3 + 5x - 3, Q(x) = 2x³ - 3x² + 4x. P(x) − Q(x) = (2x³ + 5x − 3) − (2x³ − 3x² + 4x) 2 Obtenemos el opuesto al sustraendo de Q(x). P(x) − Q(x) = 2x³ + 5x − 3 − 2x³ + 3x² − 4x 3 Agrupamos. P(x) − Q(x) = 2x³ − 2x³ + 3x² + 5x − 4x − 3 4 Resultado de la resta. P(x) − Q(x) = 3x² + x − 3 - Multiplicación y División de Expresiones algebraicas. Multiplicación: Multiplicación de un monomio por un polinomio: En la multiplicación de un monomio por un polinomio se multiplica el monomio por todos y cada uno de los monomios que forman el polinomio. Recordar que primero debemos multiplicar signos, posteriormente multiplicar los monomios correspondientes, para lo cual, se debe multiplicar los coeficientes, y luego, realizar la multiplicación de la parte literal, en donde, al multiplicar variables iguales los exponentes se sumarán. 3x² · (2x³− 3x²+ 4x − 2) = (3x² · 2x³) - (3x² · 3x²) + (3x² · 4x) - (3x² · 2) = 6x5 − 9x4 + 12x³ − 6x²
  • 4.
    Multiplicación de Polinomios:En cada fila se multiplica cada uno de los monomios del segundo polinomio por todos los monomios del primer polinomio. Se colocan los monomios semejantes en la misma columna y posteriormente se suman los monomios semejantes. Ejemplo: Multiplicar los siguientes polinomios P(x) = 2x²− 3, Q(x) = 2x³ − 3x² + 4x. Como la multiplicación de polinomios cumple la propiedad conmutativa, hemos tomado como polinomio multiplicador el polinomio más sencillo. División: Abordaremos la explicación con un ejemplo. Ejemplo: Resolver la división de los polinomios P(x) = x5 + 2x3 − x − 8, Q(x) = x2 − 2x + 1. P(x) : Q(x) 1 A la izquierda situamos el dividendo. Si el polinomio no es completo dejamos huecos en los lugares que correspondan.
  • 5.
    2 A laderecha situamos el divisor dentro de una caja. 3 Dividimos el primer monomio del dividendo entre el primer monomio del divisor. x5 : x2 = x3 4 Multiplicamos cada término del polinomio divisor por el resultado anterior y lo restamos del polinomio dividendo: 5 Volvemos a dividir el primer monomio del dividendo entre el primer monomio del divisor. Y el resultado lo multiplicamos por el divisor y lo restamos al dividendo. 2x4 : x2 = 2 x2 6 Procedemos igual que antes.
  • 6.
    5x3 : x2 = 5x 7 Como en los pasos anteriores, dividimos por , y obtenemos . Multiplicamos por cada término del divisor y obtenemos: Procedemos con la resta: 10x − 16 es el resto, porque su grado es menor que el del divisor y por tanto no se puede continuar dividiendo. x3 +2x2 +5x+8 es el cociente. - Productos notables de expresiones algebraicas. Productos notables es el nombre que reciben multiplicaciones con expresiones algebraicas cuyo resultado se puede escribir mediante simple inspección, sin verificar la multiplicación que cumplen ciertas reglas fijas. Su aplicación simplifica y sistematiza la resolución de muchas multiplicaciones habituales.
  • 7.
    - Factorización porproductos notables. Cada producto notable corresponde a una fórmula de factorización. Ejemplos: la factorización de una diferencia de cuadrados perfectos es un producto de dos binomios conjugados, y recíprocamente. Binomio al Cuadrado o Cuadrado de un Binomio Trinomio Cuadrado Perfecto.
  • 8.
    Binomios con untérmino en común. Producto de binomios conjugados. Polinomio al cuadrado.
  • 9.
    Binomio al cuboo Cubo de un binomio. - Simplificación de fracciones algebraicas. Una fracción algebraica es una expresión fraccionaria en la que numerador y denominador son polinomios, siendo el denominador no nulo. Para simplificar fracciones algebraicas, se factorizan numerador y denominador y se simplifican los factores comunes. La fracción algebraica así obtenida es equivalente a la de partida. Si dividimos numerador y denominador por su máximo común divisor se obtiene una fracción algebraica irreducible. Simplifica: Primero factorizamos numerador y denominador:
  • 10.
    A continuación simplificamoslos factores comunes al numerador y denominador: - Suma y resta de fracciones algebraicas. Para sumar y restar procederemos de forma similar que con fracciones de números enteros, reduciendo primero a común denominador. Opera: Reducimos a común denominador ambas fracciones, usando el m.c.m. de los denominadores que es Sumamos los numeradores dejando el mismo denominador y simplificamos el numerador: - Multiplicación y división de fracciones algebraicas. Multiplicación: Para multiplicar fracciones algebraicas procederemos igual que con fracciones, multiplicando los numeradores y los denominadores, aunque antes de multiplicar debemos simplificar, si se puede.
  • 11.
    Opera: Multiplicamos numeradores ydenominadores, pero lo dejamos indicado: Simplificamos antes de efectuar el producto: Finalmente, podemos multiplicar, si es preciso: División: Para dividir fracciones algebraicas procederemos igual que con fracciones, haciendo el producto cruzado de numeradores y denominadores, aunque antes de multiplicar debemos simplificar, si se puede. Opera: Hacemos el producto cruzado, dejándolo indicado: Simplificamos: Finalmente, podemos multiplicar, si es preciso:
  • 12.
    - Factorización porel método de Ruffini. colocamos los coeficientes del dividendo en una fila. En este caso el polinomio es completo, si no fuera así completaría con ceros, 0. (3x3 +13x2 -13x+2): (x-1)= Posteriormente, colocamos el opuesto (le cambiamos el signo) del termino independiente del divisor. (3x3 +13x2 -13x+2): (x–1)= Para empezar, bajamos el primer coeficiente.
  • 13.
    Multiplicamos ese coeficientepor el divisor y lo colocamos debajo del siguiente término. Sumamos los dos coeficientes. Repetimos el proceso anterior y vamos completando paso a paso la tabla.
  • 14.
    Aquí, debemos teneren cuenta que:  El grado del cociente es una unidad inferior al grado del dividendo.  El resto es siempre un número. Así: C(x)=3x2 +16x+3 y R(x)=5 - Radicación. Suma y resta de radicales. Racionalizar es quitar los radicales del denominador.
  • 15.
    Cuando el denominadortiene una sóla raíz sin sumas ni restas: Si tiene una raíz cuadrada para eliminarla se multiplica por si misma. Ver aparado a del ejercicio. Cuando el denominador tiene una suma o una diferencia: Multiplicamos numerador y denominador por el conjugado del denominador. Usamos la identidad notable suma por diferencia (a+b)(a-b)= a2 -b2 para quitar el radical. Para poder sumar o restar radicales, estos deben ser semejantes, quiere decir que deben compartir el mismo índice y radicando; también hay que estar familiarizados con la suma y resta de números con signo para poder realizar estas operaciones. Ejemplos: 1. 3 + 1 = 4 2. 5 – 2 = 3 3. 6 – 1 + 4 = 9 4. –5 – 3 – 1 = –9 - Multiplicación y división de radicales. Multiplicación de radicales: Se deben convertir los radicales o raíces a una expresión con índices iguales antes de multiplicarse entre sí. El procedimiento consiste en calcular el mínimo común múltiplo de los índices diferentes y convertir los radicales a una expresión con los índices iguales. Multiplicación de radicales con distinto índice: como comentaba anteriormente, es necesario previamente reducirlos a índice común. División de radicales: con el mismo índice es igual a un único radical del mismo índice y cuyo radicando se obtiene de dividir los radicandos. División de radicales con distinto índice
  • 16.
    Primero se reducena índice común y luego se dividen. En primer reducimos a común índice por lo que tenemos que calcular el mínimo común múltiplo de los índices, que será el común índice. - Expresiones conjugadas: El conjugado es cuando cambias el signo que está entre dos términos, así: conjugado 3x+1, 3x-1 Sólo se usa en expresiones con dos términos, llamadas "binomios". Expresión Su conjugado x2 − 3 x2 + 3 a + b a – b a - b3 a + b3 Ejercicios Resueltos Ejercicios de Producto Notables Suma por diferencia a)
  • 17.
    Raíz cuadrada b) c) Cambiado elorden de los factores Suma por diferencia Ejercicios de suma y resta de radicales (simplicacion) a)√45 − √27 − √20
  • 18.
    b)√80 − 2√252 + 3 √405 − 3√500 c) √ 1 3 - √ 1 2 + √ 3 4
  • 19.
    Ejercicios de expresionesconjugadas a) 2√3 + 3 3 Ejercicios de fracciones algebraicas b)
  • 20.
    BIBLIOGRAFÍA https://www.superprof.es/apuntes/escolar/matematicas/algebra/polinomio s/expresiones-algebraicas.html Ejemplos deexpresiones algebraicas Marta 1 junio 2019 Superprof material didáctico. https://www.superprof.es/apuntes/escolar/matematicas/algebra/polinomio s/suma-de-polinomios.html Operaciones con polinomios: suma, resta, multiplicación y división Marta 1 junio 2019 Superprof material didáctico. https://sites.google.com/site/lauracecyte26/unidad/productos-notables-y- factorizacion PRODUCTOS NOTABLES Y FACTORIZACION Laura Ch. 17 abril 2015 http://maralboran.org/wikipedia/index.php/Fracciones_algebraicas Fracciones algebraicas I.E.S Mar de Alborán 6 dic 2017.