República Bolivariana de Venezuela
Instituto Universitario Politécnico
“Santiago Mariño”
Escuela Ingenieria Civil
Resumen Análisis de Fourier
Docente:
Lcdo. Domingo Méndez
Alumna:
Hisham Radwan
25.843.213
Materia:
Matemática IV
San Cristóbal, Enero de 2016
Resumen
El análisis de Fourier se considera difícil por el nivel de las matemáticas necesarias
para explicarlo.
La suposición de ondas armónicas continuas que hemos usado en este capítulo, no
es realista, ya que todos los movimientos ondulatorios están limitados tanto espacial
como temporalmente. Es posible, usando el análisis de Fourier y la transformada de
Fourier describir formas de ondas más complejas como las que producen los
instrumentos musicales.
El análisis de Fourier surgió a partir del intento de su autor por hallar la solución a
un problema práctico de conducción del calor en un anillo de hierro. Desde el punto
de vista matemático, se obtiene una función discontinua a partir de la combinación
de funciones continuas. Esta fue la atrevida tesis defendida por Fourier ante la
Academia Francesa, que motivó severas objeciones de los matemáticos más
importantes de su época como Lagrange, Laplace, etc.
A primera vista, parece que el problema de analizar formas de ondas complejas
representa una tarea formidable. Sin embargo, si la forma de la onda es periódica,
se puede representar con una precisión arbitraria mediante la superposición de un
número suficientemente grande de ondas senoidales que forman una serie
armónica.
Toda función f(t) periódica de periodo P, se puede representar en forma de una
suma infinita de funciones armónicas, es decir:
Donde el periodo P=2p/w, y a0, a1, ...ai ... y b1, b2, .... bi .... son los denominados
coeficientes de Fourier.
Para aplicar el teorema de Fourier a una función periódica dada es necesario
determinar los coeficientes ai y bi.
En el programa, hemos transformado la función periódica de periodo P, en otra
función periódica de periodo 2p, mediante un simple cambio de escala en el eje t.
Escribiendo x=w t, tendremos el periodo P de t convertido en el periodo 2p de x, y
la función f(t) convertida en:
Definida en el intervalo que va de -p a +p. La serie se expresa en la forma más
simple
Si la función g(x) tiene simetría, algunos de los coeficientes resultan nulos.
1. Si g(x) es una función par, g(x)=g(-x), los términos bi son nulos
2. Si g(x) es impar g(x)=-g(-x), los coeficientes ai son nulos
Por ejemplo, para el pulso rectangular simétrico de anchura 1, y periodo 2 se
obtienen los siguientes coeficientes.
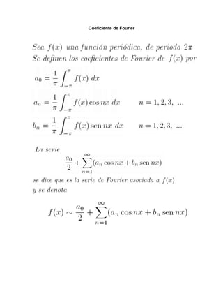
Coeficiente de Fourier
Una serie de Fourier es una serie infinita que converge puntualmente a una función
periódica y continua a trozos (o por partes). Las series de Fourier constituyen la
herramienta matemática básica del análisis de Fourier empleado para analizar
funciones periódicas a través de la descomposición de dicha función en una suma
infinita de funciones sinusoidales mucho más simples (como combinación de senos
y cosenos con frecuencias enteras). El nombre se debe al matemático francés Jean-
Baptiste Joseph Fourier, que desarrolló la teoría cuando estudiaba la ecuación del
calor. Fue el primero que estudió tales series sistemáticamente, y publicó sus
resultados iniciales en 1807 y 1811. Esta área de investigación se llama algunas
veces análisis armónico.
Es una aplicación usada en muchas ramas de la ingeniería, además de ser una
herramienta sumamente útil en la teoría matemática abstracta. Áreas de aplicación
incluyen análisis vibratorio, acústica, óptica, procesamiento de imágenes,señales, y
compresión de datos. En ingeniería, para el caso de los sistemas de
telecomunicaciones, y a través del uso de los componentes espectrales de
frecuencia de una señal dada, se puede optimizar el diseño de un sistema para la
señal portadora del mismo. Refiérase al uso de un analizador de espectros.
El análisis de Fourier se aplica para:
1. Generación de formas de onda de corriente o tensión eléctrica por medio de
la superposición de sinusoides generados por osciladores eléctrónicos de
amplitud variable cuyas frecuencias ya están determinadas.
2. Análisis en el comportamiento armónico de una señal.
3. Reforzamiento de señales.
4. Estudio de la respuesta en el tiempo de una variable circuital eléctrica donde
la señal de entrada no es sinusoidal o cosinusoidal, mediante el uso de
transformadas de Laplace y/o solución en régimen permanente sinusoidal en
el dominio de la frecuencia.
5. La resolución de algunas ecuaciones diferenciales en derivadas parciales
admiten soluciones particulares en forma de series de Fourier fácilmente
computables, y que obtener soluciones prácticas, en la teoría de la
transmisión del calor, la teoría de placas, etc.

Trabajo matematica

  • 1.
    República Bolivariana deVenezuela Instituto Universitario Politécnico “Santiago Mariño” Escuela Ingenieria Civil Resumen Análisis de Fourier Docente: Lcdo. Domingo Méndez Alumna: Hisham Radwan 25.843.213 Materia: Matemática IV San Cristóbal, Enero de 2016
  • 2.
    Resumen El análisis deFourier se considera difícil por el nivel de las matemáticas necesarias para explicarlo. La suposición de ondas armónicas continuas que hemos usado en este capítulo, no es realista, ya que todos los movimientos ondulatorios están limitados tanto espacial como temporalmente. Es posible, usando el análisis de Fourier y la transformada de Fourier describir formas de ondas más complejas como las que producen los instrumentos musicales. El análisis de Fourier surgió a partir del intento de su autor por hallar la solución a un problema práctico de conducción del calor en un anillo de hierro. Desde el punto de vista matemático, se obtiene una función discontinua a partir de la combinación de funciones continuas. Esta fue la atrevida tesis defendida por Fourier ante la Academia Francesa, que motivó severas objeciones de los matemáticos más importantes de su época como Lagrange, Laplace, etc. A primera vista, parece que el problema de analizar formas de ondas complejas representa una tarea formidable. Sin embargo, si la forma de la onda es periódica, se puede representar con una precisión arbitraria mediante la superposición de un número suficientemente grande de ondas senoidales que forman una serie armónica. Toda función f(t) periódica de periodo P, se puede representar en forma de una suma infinita de funciones armónicas, es decir: Donde el periodo P=2p/w, y a0, a1, ...ai ... y b1, b2, .... bi .... son los denominados coeficientes de Fourier.
  • 3.
    Para aplicar elteorema de Fourier a una función periódica dada es necesario determinar los coeficientes ai y bi. En el programa, hemos transformado la función periódica de periodo P, en otra función periódica de periodo 2p, mediante un simple cambio de escala en el eje t. Escribiendo x=w t, tendremos el periodo P de t convertido en el periodo 2p de x, y la función f(t) convertida en: Definida en el intervalo que va de -p a +p. La serie se expresa en la forma más simple
  • 4.
    Si la funcióng(x) tiene simetría, algunos de los coeficientes resultan nulos. 1. Si g(x) es una función par, g(x)=g(-x), los términos bi son nulos 2. Si g(x) es impar g(x)=-g(-x), los coeficientes ai son nulos Por ejemplo, para el pulso rectangular simétrico de anchura 1, y periodo 2 se obtienen los siguientes coeficientes.
  • 5.
  • 7.
    Una serie deFourier es una serie infinita que converge puntualmente a una función periódica y continua a trozos (o por partes). Las series de Fourier constituyen la herramienta matemática básica del análisis de Fourier empleado para analizar funciones periódicas a través de la descomposición de dicha función en una suma infinita de funciones sinusoidales mucho más simples (como combinación de senos y cosenos con frecuencias enteras). El nombre se debe al matemático francés Jean- Baptiste Joseph Fourier, que desarrolló la teoría cuando estudiaba la ecuación del calor. Fue el primero que estudió tales series sistemáticamente, y publicó sus resultados iniciales en 1807 y 1811. Esta área de investigación se llama algunas veces análisis armónico. Es una aplicación usada en muchas ramas de la ingeniería, además de ser una herramienta sumamente útil en la teoría matemática abstracta. Áreas de aplicación incluyen análisis vibratorio, acústica, óptica, procesamiento de imágenes,señales, y compresión de datos. En ingeniería, para el caso de los sistemas de telecomunicaciones, y a través del uso de los componentes espectrales de frecuencia de una señal dada, se puede optimizar el diseño de un sistema para la señal portadora del mismo. Refiérase al uso de un analizador de espectros. El análisis de Fourier se aplica para: 1. Generación de formas de onda de corriente o tensión eléctrica por medio de la superposición de sinusoides generados por osciladores eléctrónicos de amplitud variable cuyas frecuencias ya están determinadas. 2. Análisis en el comportamiento armónico de una señal. 3. Reforzamiento de señales.
  • 8.
    4. Estudio dela respuesta en el tiempo de una variable circuital eléctrica donde la señal de entrada no es sinusoidal o cosinusoidal, mediante el uso de transformadas de Laplace y/o solución en régimen permanente sinusoidal en el dominio de la frecuencia. 5. La resolución de algunas ecuaciones diferenciales en derivadas parciales admiten soluciones particulares en forma de series de Fourier fácilmente computables, y que obtener soluciones prácticas, en la teoría de la transmisión del calor, la teoría de placas, etc.