1.1 Propiedades de pontencias con igual base y exponente natural.
1.2 Propiedades de potencias con igual exponente
1.3 exponente cero y exponente negativo.
• Lugar de Matrícula: Centro Escolar República de Panamá
• Fecha: a partir del 10 de junio de 1: 00 a 4 : 00 de la tarde
• Clases presenciales de lunes a viernes de 12:50 a 5: 30 p.m
• Documentos a presentar:
• Copia de Dui ampliada
• Certificado de 9º grado
• Partida reciente
• Ficha de matrícula
• 2 fotografías grandes
• y 2 pequeñas
• Blanco y negro papel granulado
MODULO 3
TUTORIA 1. 23-25 MARZO
1.7 suma , resta y potencia de raíces n- ésimas.
1.8 Exponente racional
Indicador de logro: Suma y resta raíces semejantes y simplifica la potencia de una raíz escribiendo
los resultados en su mínima expresión.
1.7 suma , resta y potencia de raíces n- ésimas.
Pasos a seguir:
1. Simplificar las raíces a la mínima expresión
2. Sumar o restar raíces semejantes
EJEMPLO1: Efectúa las operaciones:
𝟒
𝟑𝟐 +
𝟒
𝟓𝟏𝟐
SOLUCION :
32 2
16 2
8 2
4 2
2 2
1
512 2
256 2
128 2
64 2
32 2
16 2
8 2
4 2
2 2
1
𝟒
𝟑𝟐 +
𝟒
𝟓𝟏𝟐
𝟒
𝟐𝟒 × 𝟐 +
𝟒
𝟐𝟖 × 𝟐
𝟐
𝟒
𝟐 + 𝟐𝟐 𝟒
𝟐
𝟐
𝟒
𝟐 + 𝟒
𝟒
𝟐
𝟔
𝟒
𝟐
EJERCICIOS A RESOLVER:
•
𝟑
𝟐𝟒 +
𝟑
𝟖𝟏
•
𝟑
𝟓𝟎𝟎 -
𝟑
𝟏𝟎𝟖
Indicador de logro: Suma y resta raíces semejantes y simplifica la potencia de una raíz escribiendo
los resultados en su mínima expresión.
1.7 suma , resta y potencia de raíces n- ésimas.
Pasos a seguir:
1. Simplificar las raíces a la mínima expresión
2. Sumar o restar raíces semejantes
PREGUNTA 1: Efectúa las operaciones:
𝟒
𝟑𝟐 +
𝟒
𝟓𝟏𝟐
SOLUCION :
32 2
16 2
8 2
4 2
2 2
1
512 2
256 2
128 2
64 2
32 2
16 2
8 2
4 2
2 2
1
𝟒
𝟑𝟐 +
𝟒
𝟓𝟏𝟐
𝟒
𝟐𝟒 × 𝟐 +
𝟒
𝟐𝟖 × 𝟐
𝟐
𝟒
𝟐 + 𝟐𝟐 𝟒
𝟐
𝟐
𝟒
𝟐 + 𝟒
𝟒
𝟐
𝟔
𝟒
𝟐
Indicador de logro: Utiliza exponentes racionales para representar raíces n-ésimas de un número y
viceversa
1.8 Exponente racional
REGLA:
𝒏
𝒂𝒎 = 𝒂
𝒎
𝒏
EJEMPLO2: Escriba las siguientes raíces como potencias con exponente fraccionario, simplicar si es
posible :
𝟓
𝟔 𝟑
SOLUCION :
𝟓
𝟔 𝟑 = 63 𝟓
EJEMPLO3: Escriba las siguientes raíces como potencias con exponente fraccionario, simplicar si es
posible : 𝟗𝟓 𝟑
SOLUCION :
9𝟓 𝟑
=
𝟑
9𝟓
1.9 Propiedades de los Exponentes racionales
1.10 Aplica las propiedades de los exponentes racionales
Indicador de logro: Aplica las propiedades de los exponentes, combinando exponentes racionales y
enteros
1.9 Propiedades de los Exponentes racionales
REGLAS:
1. 𝒂𝒎 × 𝒂𝒏 = 𝒂𝒎+𝒏 2.
𝒂𝒎
𝒂𝒏 = 𝒂𝒎−𝒏
3. 𝒂𝒎 𝒏
= 𝒂𝒎×𝒏
4.
𝒏
𝒂𝒎 = 𝒂
𝒎
𝒏
Pasos a seguir:
1. Escribir como raíz
2. Se escriben en una sola raíz
3. Se aplica la propiedad de exponente que corresponda
4. Se simplifica el radical.
EJEMPLO4: Realiza las siguientes operaciones: 𝟏𝟔𝟓 𝟔 × 𝟒𝟓 𝟔
´P1.
𝟔
𝟏𝟔𝟓 ×
= 𝟐𝟑𝟎 𝟔 = 𝟐𝟓
SOLUCION :
1.9 Propiedades de los Exponentes racionales
Pasos a seguir:
1. Escribir como raíz
2. Se escriben en una sola raíz
3. Se aplica la propiedad de exponente que corresponda
4. Se simplifica el radical.
𝟏𝟔𝟓 𝟔 × 𝟒𝟓 𝟔
𝟔
𝟒𝟓
P2.
𝟔
𝟏𝟔𝟓 × 𝟒𝟓
P3.
𝟔
𝟏𝟔 × 𝟒 𝟓
𝟔
𝟔𝟒 𝟓
64 2
32 2
16 2
8 2
4 2
2 2
1
P4.
𝟔
𝟐𝟔 𝟓
𝟔
𝟐𝟑𝟎
EJEMPLO5: Realiza las siguientes operaciones:
´P1. 3𝟓 𝟐 × 3𝟐 𝟑 ÷ 3𝟏 𝟔
𝑃3 . 3𝟑
SOLUCION :
1.10 Aplica las propiedades de los exponentes racionales
Para operar raíces con distinto índice se realizan los pasos siguientes:
1. Cada raíz se escribe como potencia con exponente fraccionario.
2. Se efectúan las operaciones utilizando propiedades de los exponentes.
3. Se simplifica el resultado.
P2. 3
5
2
+
2
3
−
1
6
243 3
81 3
27 3
9 3
3 3
1
243 ×
𝟑
9 ÷
𝟔
3
3𝟓 ×
𝟑
3𝟐 ÷
𝟔
3 5
2
+
2
3
=
15 + 4
6
=
19
6
19
6
−
1
6
=
19 − 1
6
=
18
6
= 3
EJERCICIOS PROPUESTOS A ENTREGAR FECHA
LIMITE: VIERNES 27 DE MARZO.
1. Efectúa las operaciones:
𝟑
𝟐𝟒 +
𝟑
𝟖𝟏
𝟑
𝟓𝟎𝟎 -
𝟑
𝟏𝟎𝟖
2. Escriba la raíz como una potencia fraccionaria y simplificar, si es posible
𝟑
𝟐
3. Escriba las siguientes potencias fraccionarias como raíces de una potencia. 𝟐
𝟓
𝟐
4. Realiza las siguientes operaciones, simplificar su respuesta: 𝟐
𝟕
𝟓 × 𝟐
𝟖
𝟓
5. Realiza las siguientes operaciones, simplificar su respuesta: 𝟖 ×
𝟒
𝟖 ÷
𝟏𝟐
𝟑𝟐
Tutoría 3
1.1 Propiedades de pontencias con igual base y exponente natural.
1.2 Propiedades de potencias con igual exponente
1.3 exponente cero y exponente negativo.
2.1 Definición de la función exponencial
2.2 Funciones exponenciales simétricas
Indicador de logro : Grafica funciones exponenciales utilizando
tablas y localizando puntos en el plano cartesiano.
2.1 Definición de la función exponencial.
Ejemplo 1. Graficar la función f(x) = 2x
Solución:
2.1 Definición de la función exponencial.
Ejemplo 2. Graficar la función f(x) = 2 -x
Solución:
f(x) = 2 -x
f(x) =
𝟏
𝟐
𝒙
2.2 funciones exponenciales simétricas.
Ejemplo 3. Graficar en un mismo plano la función f(x) = 2 –x f(x) = 2 x y f(x) = -
2x
Solución:
Construya las 3 tablas de valores
f(x) = -2x
f(x) = 2-x
f(x) = 2x
2.3 Características de las funciones exponenciales
2.4Desplazamientos horizontales y verticales de la función exponencial
2.5. Gráfica de funciones exponenciales con simetrías y desplazamientos
Indicador de logro : Determina las características de una función exponencial dada (dominio, rango, monotonía y asíntotas).
2. 3 Características de las funciones exponenciales
Ejercicio 4. Determine el intercepto en el eje “y” dominio rango, monotonía y asíntota de la función: f(x) = 2x
intercepto en el eje “y” : ( 0, 1 )
dominio : Reales
rango : ]0, ∞[
Monotonía : creciente
y asíntota de la función: y = 0
2.4 Desplazamientos horizontales y verticales de la función exponencial
Indicador de logro: Grafica funciones exponenciales utilizando desplazamientos horizontales y verticales
Ejercicio 5. A partir de la gráfica f(x) = 2 x grafica la función f(x) = 2 x - 2
2.5. Gráfica de funciones exponenciales con simetrías y desplazamientos.
Indicador de logro: Elabora la gráfica de funciones exponenciales Utilizando simetría y desplazamientos.
Ejercicio 5. A partir de la gráfica f(x) = 2 x grafica la función f(x) = 2 x – 2 -1
TUTORIA 2. 30 DE MARZO -1 DE ABRIL
2.6 Ecuaciones exponenciales
2.7 Ecuaciones exponenciales
Indicador de logro: Resuelve ecuaciones exponenciales utilizando igualdad de potencias con la misma base.
2.6 Ecuaciones exponenciales
Ejemplo 6. Resuelva la ecuación exponencial : 8 -x + 3 = 4 x + 2
Procedimiento:
p1. Igualar bases expresando en forma de potencias.
P2. Aplicar regla de potencias elevado a otra potencia
P3. Resolver la ecuación de la potencia
P4. Comprobar la respuesta
Solución
P1 : 23 − 𝑥+ 3
= 22 𝑥 + 2
8 -x + 3 = 4 x + 2
P3 : -3x + 9 = 2x + 4
-3x – 2x = 4 – 9
-5x = -5
x =
−5
−5
x = 1
P2 : 2 −3 𝑥+ 9 = 2 2 𝑥 + 4
p4: comprobar si x = 1
8 -x + 3 = 4 x + 2
8 -1 + 3 = 4 1 + 2
8 2 = 4 3
64 = 64
2.7 Ecuaciones exponenciales
Procedimiento:
p1. Se efectúa el cambio de variable y = ax
P2. Se resuelve la ecuación py2 + qy + r = 0 del paso anterior.
P3. Sustituir “ y “ en : y = ax
P4. Resolver las ecuaciones resultantes.
P5. Compruebe las respuestas
Solución 9 x - 2(3 x ) + 1 = 0
Y= 3x
P 2 : ( y - 1 ) ( y - 1 )
y - 1 = 0
Y = 1
P1 : 32 𝑥
− 2 3𝑥
+ 1
Indicador de logro: Resuelve ecuaciones exponenciales que se reducen a ecuaciones cuadráticas por medio de un cambio de
variable
Ejemplo 7. Resuelva la ecuación exponencial reduciéndola a una cuadrática.
9 x - 2(3 x ) + 1 = 0
P1 : 3𝑥 2 − 2 3𝑥 + 1
P1 : 𝑦 2 − 2 𝑦 + 1
1 = 3x
30 = 3x
0 = x
p5 : 9 x - 2(3 x ) + 1 = 0
9 0 - 2(3 0 ) + 1 = 0
1 - 2( 1 ) + 1 = 0
1 - 2 + 1 = 0
0 = 0
UNID
AD4
Indicadores de logro Productos Esperados, resolver al llegar a la Actividad 4
Pág
102
2.1 Grafica funciones exponenciales utilizando tablas y
localizando puntos en el plano cartesiano.
Ejercicio 1. Grafica la función exponencial
a) f(x) = 3x
b) f(x) = 3 -x
Pág
103
2.2 Grafica funciones exponenciales utilizando simetrías
respecto de los ejes de coordenadas y el origen.
Ejercicio 2. Grafica la función exponencial en el mismo
plano utilizando las simetrías.
f4 (x) = - 3- x a partir de la función f1 (x) = 3x
Pág
104
2. 3 Determina las características de una función
exponencial dada (dominio, rango, monotonía y asíntotas).
Ejercicio 3. Determine el intercepto en el eje “y” dominio
rango, monotonía y asíntota de la función: f(x) = 3x
Pág
107
2.4 Grafica funciones exponenciales utilizando
desplazamientos horizontales y verticales
Ejercicio 4 A partir de la gráfica f(x) = 3x grafica la
función f(x) = 3 x - 2
Pág
108
2.5 Elabora la gráfica de funciones exponenciales
Utilizando simetría y desplazamientos.
Ejercicio 5. Graficar la función f(x) = 3 x – 2 + 1
utilizando simetrías y desplazamientos.
Pág
109
2.6 Resuelve ecuaciones exponenciales utilizando igualdad
de potencias con la misma base.
Ejercicio 6. Resuelva la ecuación exponencial
3 -x +1 = 9 x + 1
Pág
110
2.7 Resuelve ecuaciones exponenciales que se reducen a
ecuaciones cuadráticas por medio de un cambio de variable.
Ejercicio 7. Resuelva la ecuación exponencial
reduciéndola a una cuadrática.
4 x - 2 x – 12 = 0
1.1 Identifica funciones inyectivas de manera gráfica y algebraica.
1.1 Funciones inyectivas
Imagen : Son los valores para “y”
Pre imagen : Son los valores para “x”
Criterio de la recta horizontal: si toca un solo punto SON INYECTIVAS.
De acuerdo con el criterio ¿cuál de las funciones NO es inyectiva?______________
1.2 Función sobreyectiva
:
Para determinar si una función es sobreyectiva tenemos que determinar el rango.
Si el rango que hemos hallado, es igual al conjunto de llegada, entonces se trata de una función sobreyectiva.
1.2 Identifica funciones sobreyectivas de manera gráfica y algebraica.
Una función es sobreyectiva si cada elemento del conjunto de llegada (contradominio) corresponde por lo menos
a un elemento del conjunto de partida.
Otra definición más simple es la siguiente: una función es sobreyectiva si el rango es igual al conjunto de
llegada o contradominio. Veamos algunos ejemplos
Dominio : reales
Recorrido : reales
Es Sobreyectiva
No es
Sobreyectiva
Sobreyectiva
Sobreyectiva
Dominio= Reales
Rango= [ -1 , ∞[
Dominio= Reales
Rango= ] - ∞, 0 ]
Dominio= [ 0 , ∞[
Rango = [ 0 , ∞[
Sobreyectiva: ¿si?
O ¿No?
Sobreyectiva:
¿si? O ¿No?
1.3 Funciones biyectivas*
1.3 Identifica si una función es biyectiva o restringe su dominio o rango para que lo sea.
Determine la diagonal de un cuadrado de 10 m de lado.
𝒄𝟐
= 𝒂𝟐
+ 𝒃𝟐
10
10
10
𝒄𝟐
= 𝟏𝟎𝟐
+ 𝟏𝟎𝟐
𝒄𝟐
= 100+𝟏𝟎𝟎
𝒄𝟐
= 200
𝑐2= 200
200 2
100 2
50 2
25 5
5 5
1
C = 22 × 2 × 52
C = 2(5) 2
C = 10 2 cada lado del cuadrado
Calcule el lado de un rombo de diagonales 8 cm y 6cm .
4
4
𝒄𝟐 = 𝒂𝟐 + 𝒃𝟐
𝒄𝟐
= 𝟑𝟐
+ 𝟒𝟐
𝒄𝟐
= 9+𝟏𝟔
𝒄𝟐
= 25
𝑐2= 25
C = 5 cada lado del rombo
20 20
2 0
10 10
𝒄𝟐
= 𝒂𝟐
+ 𝒃𝟐
𝒄𝟐
- 𝒂𝟐
= 𝒃𝟐
𝟐𝟎𝟐
- 𝟏𝟎𝟐
= 𝒃𝟐
400- 100 = 𝒃𝟐
300 = 𝒃𝟐
𝑏2= 300
300 2
150 2
75 3
25 5
5 5
1
b = 22 × 3 × 52
b = 2(5) 3
b = 10 3
El lado de un triángulo equilátero mide 20 metros. ¿cuál es el valor de la altura?
Biyectiva Dominio= [ 0 , 10 ]
Rango = [ 0 , 100 ]
Biyectiva
Y= x2
y = 102
Y = 100
Biyectiva : ¿si? O
¿No?
Restricción 1 del
dominio
Restricción 2 del
dominio
Dominio 1:
Rango 1:
Dominio 2:
Rango 2:
Conclusión: Una vez realizadas cualquiera de
las dos restricciones la función se vuelve
biyectiva
1.4 Composición de funciones
1.4 Determina la ecuación de la composición de dos funciones.
𝒇 𝒙 =
𝟏
𝒙
g 𝒙 = 𝒙 + 𝟏
𝑺𝒐𝒍𝒖𝒄𝒊ó𝒏
𝒇 𝒐 𝒈 𝒙 = 𝒇(𝒈 𝒙 )
𝒇 𝒐 𝒈 𝒙 =
𝟏
( )
𝒇 𝒐 𝒈 𝒙 =
𝟏
( 𝒙 + 𝟏 )
𝒙 𝒙
1.4 Composición de funciones
1.4 Determina la ecuación de la composición de dos funciones.
𝒇 𝒙 = 𝒙 + 𝟏 g 𝒙 = 𝟐𝒙
𝒇 𝒐 𝒈 𝒙 = 𝒇(𝒈 𝒙 )
𝒇 𝒐 𝒈 𝒙 = + 𝟏
𝒇 𝒐 𝒈 𝒙 = 𝟐𝒙 + 𝟏
𝒙 𝒙
𝒇 𝒙 = −𝒙 + 𝟐 g 𝒙 = 𝒙 + 𝟓
𝒇 𝒐 𝒈 𝒙 = 𝒇(𝒈 𝒙 )
𝑺𝒐𝒍𝒖𝒄𝒊ó𝒏: b)
𝒇 𝒙 = 𝒙 + 𝟏 g 𝒙 = 𝒙 − 𝟒
𝒇 𝒐 𝒈 𝒙 = 𝒇(𝒈 𝒙 )
𝑺𝒐𝒍𝒖𝒄𝒊ó𝒏: c)
R/ 𝒇 𝒐 𝒈 𝒙 = −𝒙 − 𝟑 R/ 𝒇 𝒐 𝒈 𝒙 = 𝒙 − 𝟑
TUTORIA 4. 13-15 DE ABRIL
1.6 Función inversa
1.6 Determina la ecuación de la función inversa de una función dada.
PREGUNTA 8.
P1. y = ( x – 2)2 + 1
P2. x = ( y – 2)2 + 1
P3. x = ( y – 2)2 + 1 despejar “y”
x – 1 = ( y – 2)2
𝒙 − 𝟏 = ( y – 2)2
𝒙 − 𝟏= y – 2
𝒙 − 𝟏 + 2 = y
f-1 (x )= 𝑥 − 1 + 2
2.1 Definición de logaritmo
AGENDA
SALUDO
ASISTENCIA
REFLEXIÒN
INDICADORES DE LOGRO
REPASO
CONOCIMIENTO PREVIO
DESARROLLO
CIERRE
AGENDA
• 2.1 Expresa igualdades de potencias como igualdades de
logaritmos y viceversa
• 2.2 Calcula el logaritmo de un número expresándolo como
potencia.
• 2.3 Efectúa operaciones de logaritmos utilizando sus
propiedades.
• EJERCICIO 1. LA función f(x) =
𝟏
𝒙
mostrada en la gráfica ¿ es inyectiva?
CONCOCIMIENTO PREVIO
EJERCCIO 2 . Investigue las partes de la forma logarítmica. pág 122
2.1 Definición de logaritmo pág 122
2.1 Definición de logaritmo
2.1 Expresa igualdades de potencias como igualdades de
logaritmos y viceversa
2 = 𝒍𝒐𝒈 𝟐 𝟒 -1 = log
𝟏
𝟏𝟎
𝟏
𝟐
= 𝒍𝒐𝒈𝟐 𝟐
¿Qué es un logaritmo?
Exponente al cual se eleva una base, para obtener un resultado
2.1 Definición de logaritmo
2.1 Expresa igualdades de potencias como igualdades de
logaritmos y viceversa
64 = 𝟐𝟔
𝟒
𝟑 = 𝟑
𝟏
𝟒 𝟏
𝟓
= 𝟓−𝟏
Log 1000 = 3
1000 = 103
2.2 logaritmo de un número
2.2 logaritmo de un número
𝒍𝒐𝒈𝟏
𝟐
1
2
= 𝑥
1
2
=
1
2
𝑥
1
2
𝟏
𝟐
=
1
2
𝑥
𝟏
𝟐
= 𝒙
𝒍𝒐𝒈𝟏
𝟐
1
2
𝒍𝒐𝒈𝟏
𝟐
1
2
1
2
𝒍𝒐𝒈𝟏
𝟐
𝟐
−𝟏
𝟐
𝒍𝒐𝒈𝟏
𝟐
1
2
1
2
=
FORMA 1: Llevarlo a potencia ax = b FORMA 2:
1
2
𝟏
𝟐
=
1
2
𝒙
𝟏
𝟐
2.2 logaritmo de un número
𝒍𝒐𝒈𝟏
𝟐
1
2
= 𝑥
1
2
=
1
2
𝑥
1
2
𝟏
𝟐
=
1
2
𝑥
𝟏
𝟐
= 𝒙
𝒍𝒐𝒈𝟏
𝟐
1
2
𝒍𝒐𝒈𝟏
𝟐
1
2
1
2
𝒍𝒐𝒈𝟏
𝟐
𝟐
−𝟏
𝟐
𝒍𝒐𝒈𝟏
𝟐
1
2
1
2
=
FORMA 1: Llevarlo a potencia ax = b FORMA 2:
1
2
𝟏
𝟐
=
1
2
𝒙
𝟏
𝟐
2.3 propiedades de lo logaritmos. Pág 124
𝒍𝒐𝒈 𝟒( 𝟐 × 𝟖)
2.3 propiedades de lo logaritmos. Pág 124
= 𝒍𝒐𝒈 𝟔 ( 𝟏𝟐 × 𝟏𝟖)
12 2
6 2
3 3
1
18 2
9 3
3 3
1
2.3 propiedades de lo logaritmos. Pág 124
𝒍𝒐𝒈 𝟐 𝟓𝟒𝟐
− 𝒍𝒐𝒈 𝟐 𝟏𝟖𝟑
= 𝒍𝒐𝒈 𝟐
𝟓𝟒
𝟏𝟖𝟑
𝟐
54 2
27 3
9 3
3 3
1
18 2
9 3
3 3
1
= 𝒍𝒐𝒈 𝟐
𝟐×𝟑𝟑
𝟐×𝟑𝟐 𝟑
𝟐
= 𝒍𝒐𝒈 𝟐
𝟐𝟐×𝟑𝟔
𝟐𝟑×𝟑𝟔
= 𝒍𝒐𝒈 𝟐
𝟏
𝟐
= 𝒍𝒐𝒈 𝟐 𝟐−𝟏
= -1
𝒍𝒐𝒈 𝟐 𝟓𝟒𝟐 − 𝒍𝒐𝒈 𝟐 𝟏𝟖𝟑 = -1
2.4 cambio de base de un logaritmo Pág 125
2.4 cambio de base de un logaritmo Pág 125
𝒍𝒐𝒈𝟐
𝟏
𝟐
𝒍𝒐𝒈𝟐 𝟒
𝒍𝒐𝒈𝟒
𝟏
𝟐
=
c = 2
𝒍𝒐𝒈𝟐
𝟏
𝟐
𝟏
𝟐
𝒍𝒐𝒈𝟐 𝟐𝟐
𝒍𝒐𝒈𝟐 𝟐
−𝟏
𝟐
𝒍𝒐𝒈𝟐 𝟐𝟐
−𝟏
𝟐
𝒍𝒐𝒈𝟐 𝟐
𝟐𝒍𝒐𝒈𝟐 𝟐
−𝟏
𝟐
𝟐
𝟏
=
−𝟏
𝟒
2.4 cambio de base de un logaritmo Pág 125
𝒍𝒐𝒈𝟑
𝟏
𝟑
𝟒
𝒍𝒐𝒈𝟑
𝟏
𝟖
𝒍𝒐𝒈𝟏
𝟖
𝟏
𝟑
𝟒
=
c = 3
𝒍𝒐𝒈𝟑
𝟏
𝟒
𝟏
𝟑
𝒍𝒐𝒈𝟑
𝟏
𝟖
𝒍𝒐𝒈𝟑 𝟐
−𝟐
𝟑
𝒍𝒐𝒈𝟑 𝟐−𝟑
−𝟐
𝟑 𝒍𝒐𝒈𝟑 𝟐
−𝟑 𝒍𝒐𝒈𝟑 𝟐
−𝟐
𝟑
−𝟑
𝟏
=
−𝟐
−𝟗
𝒍𝒐𝒈𝟑
𝟏
𝟐𝟐 𝟏
𝟑
𝒍𝒐𝒈𝟑
𝟏
𝟐𝟑
𝒍𝒐𝒈𝟑
𝟏
𝟐
𝟐
𝟑
𝒍𝒐𝒈𝟑
𝟏
𝟐𝟑
=
𝟐
𝟗
2.5 Definición de función logarítmica y gráfica Pág 126
Graficar : 𝒇 𝒙 = 𝒍𝒐𝒈𝟒 x
x 𝒚 = 𝒍𝒐𝒈𝟒 x
𝟏
𝟐
𝟏
𝟒
1
2
4
𝒍𝒐𝒈𝟒
1
4
=
𝒍𝒐𝒈𝟒
1
2
=
𝒍𝒐𝒈𝟒 𝟏 =
𝒍𝒐𝒈𝟒 𝟐 =
𝒍𝒐𝒈𝟒 𝟒 =
-1
-0.5
0
0.5
1
( x , y)
( 0.25 , -1)
( 0.5 , -0.5 )
( 1, 0 )
( 2 , 0.5)
( 4, 1 )
2.5 Definición de función logarítmica y gráfica Pág 126
Graficar : 𝒇 𝒙 = 𝒍𝒐𝒈𝟒 x
x 𝒚 = 𝒍𝒐𝒈𝟒 x
𝟏
𝟐
𝟏
𝟒
1
2
4
𝒍𝒐𝒈𝟒
1
4
=
𝒍𝒐𝒈𝟒
1
2
=
𝒍𝒐𝒈𝟒 𝟏 =
𝒍𝒐𝒈𝟒 𝟐 =
𝒍𝒐𝒈𝟒 𝟒 =
-1
-0.5
0
0.5
1
( x , y)
( 0.25 , -1)
( 0.5 , -0.5 )
( 1, 0 )
( 2 , 0.5)
( 4, 1 )
2.5 Definición de función logarítmica y gráfica Pág 126
Creciente, porque la base 4 > 1
Dominio : [ 0 , ∞ [
Rango = R
EJERCICIO 1 . La forma logarítmica de 5-3 = 1/125 es:
A. −𝟑 = 𝒍𝒐𝒈 𝟏𝟐𝟓
𝟏
𝟓
B. −𝟑 = 𝒍𝒐𝒈 𝟓
𝟏
𝟏𝟐𝟓
C. 𝟓 = 𝒍𝒐𝒈 −𝟑
𝟏
𝟏𝟐𝟓
D. −𝟑𝒍𝒐𝒈 𝟓 =
𝟏
𝟏𝟐𝟓
EJERCICIO 2 . La forma logarítmica de 4-2 = 1/16 es:
EJERCICIO 1 . La forma logarítmica de 5-3 = 1/125 es:
A. −𝟑 = 𝒍𝒐𝒈 𝟏𝟐𝟓
𝟏
𝟓
B. −𝟑 = 𝒍𝒐𝒈 𝟓
𝟏
𝟏𝟐𝟓
C. 𝟓 = 𝒍𝒐𝒈 −𝟑
𝟏
𝟏𝟐𝟓
D. −𝟑𝒍𝒐𝒈 𝟓 = 𝒍𝒐𝒈
𝟏
𝟏𝟐𝟓
BASE
EXPONENTE
Ambos lados con log
2 ) Si Log2 x + Log2 y = 8 , selecciona el proceso en el que “y” se ha despejado
correctamente
2 ) hallar el valor de: Log3 99 - Log3 11 = ,
Log3 99 - Log3 11
Log3
𝟗𝟗
𝟏𝟏
Log3 9
Log3 𝟑𝟐
: 𝒍𝒐𝒈𝒂 𝒂𝒄 = 𝒄
= 2
plan B con cambio de base
Log3 9 =
𝒍𝒐𝒈 𝟗
𝒍𝒐𝒈𝟑
Log3 9 = 2
2 ) Si Log2 x + Log2 y = 8 , selecciona el proceso en el que “y” se ha despejado
correctamente
Log2 x + Log2 y = 8
Log2 x( y) = 8
x( y) = 2 8
y =
𝟐𝟖
𝒙
EJERCICIO 2 . La forma exponencial de log5 25 = 2 es:
A. 5 = 𝟐𝟓𝟐
B. 25 = 𝟓𝟐
C. 25 2 = 𝟓
D. 𝟐𝟓 = 𝟐𝟓
Utilice la propiedad: 𝒍𝒐𝒈𝒂 𝒂𝒄 = 𝒄
Determine por simple inspección el valor
𝒍𝒐𝒈𝟏𝟎𝟏𝟎
Utilice la propiedad: 𝒍𝒐𝒈𝒂 𝒂𝒄 = 𝒄
Determine por simple inspección el valor
𝒍𝒐𝒈𝟐𝟐𝟏𝟎𝟎
𝒍𝒐𝒈𝟐𝟐𝟓
= 𝟓
EJERCICIO5 . Simplifique el logaritmo 𝒍𝒐𝒈𝟗 𝟑 usando el cambio de base , Con base 10 ¿cuál
de las dos es la correcta?
𝑨) 𝒍𝒐𝒈9 3 =
𝒍𝒐𝒈 3
𝒍𝒐𝒈 9
𝑩) 𝒍𝒐𝒈9 3 =
𝒍𝒐𝒈 9
𝒍𝒐𝒈 3
EJERCICIO 6 . Se presenta la función f(x) = x2 + 1 con dominio de [ 0, ∞[ y rango = [1 , ∞[ , y la gráfica de su inversa f-1(x) = 𝒙 − 𝟏
observe la gráfica y escriba su dominio y rango.
Dominio de f-1(x) =____________
Rango de f-1(x) =____________
¿Qué relación existe entre los dominios y rangos de ambas
funciones?
2.8 Ecuaciones logarítmicas pág 129 Pregunta 15
Pregunta 15. Efectúa las siguiente ecuación : log3 ( x + 1 ) + log3 ( x2 - x + 1 ) = 2
P1. propiedades log3 ( x + 1 ) ( x2 - x + 1 ) = 2
P2. Definición de logaritmo ( x + 1 ) ( x2 - x + 1 ) = 32
P3. Resolver producto x3 + 1 = 32
P4. despejar la variabla x3 = 9 - 1
x3 = 8
X =
𝟑
𝟖
X= 2
RECUPERACION DE MODULO 3
Indicador de logro: Aplica las propiedades de los exponentes, combinando exponentes racionales y
enteros
1.9 Propiedades de los Exponentes racionales
REGLAS:
1. 𝒂𝒎
× 𝒂𝒏
= 𝒂𝒎+𝒏
2.
𝒂𝒎
𝒂𝒏 = 𝒂𝒎−𝒏
3. 𝒂𝒎 𝒏 = 𝒂𝒎×𝒏 4.
𝒏
𝒂𝒎 = 𝒂
𝒎
𝒏
Pasos a seguir:
1. Escribir como raíz
2. Se escriben en una sola raíz
3. Se aplica la propiedad de exponente que corresponda
4. Se simplifica el radical.
PREGUNTA 2: Realiza las siguientes operaciones:
´P1. 3𝟓 𝟐 × 3𝟐 𝟑 ÷ 3𝟏 𝟔
𝑃3 . 3𝟑
SOLUCION :
1.10 Aplica las propiedades de los exponentes racionales
Para operar raíces con distinto índice se realizan los pasos siguientes:
1. Cada raíz se escribe como potencia con exponente fraccionario.
2. Se efectúan las operaciones utilizando propiedades de los exponentes.
3. Se simplifica el resultado.
P2. 3
5
2
+
2
3
−
1
6
243 3
81 3
27 3
9 3
3 3
1
243 ×
𝟑
9 ÷
𝟔
3
3𝟓 ×
𝟑
3𝟐 ÷
𝟔
3 5
2
+
2
3
=
15 + 4
6
=
19
6
19
6
−
1
6
=
19 − 1
6
=
18
6
= 3
Indicador de logro : Determina las características de una función exponencial dada (dominio, rango, monotonía y asíntotas).
2. 3 Características de las funciones exponenciales
Ejercicio 4. Determine el intercepto en el eje “y” dominio rango, monotonía y asíntota de la función: f(x) = 2x
intercepto en el eje “y” : ( 0, 1 )
dominio : Reales
rango : ]0, ∞[
Monotonía : creciente
y asíntota de la función: y = 0
2.5. Gráfica de funciones exponenciales con simetrías y desplazamientos.
Indicador de logro: Elabora la gráfica de funciones exponenciales Utilizando simetría y desplazamientos.
PREGUNTA 3. . A partir de la gráfica f(x) = 2 x grafica la función f(x) = 2 x – 2 -
1
2
2
2
- 1
- 1
- 1
Indicador de logro: Resuelve ecuaciones exponenciales utilizando igualdad de potencias con la misma base.
2.6 Ecuaciones exponenciales
PREGUNTA 4. Y PREGUNTA 5 . Resuelva la ecuación exponencial : 8 -x + 3 = 4 x + 2
Procedimiento:
p1. Igualar bases expresando en forma de potencias.
P2. Aplicar regla de potencias elevado a otra potencia
P3. Resolver la ecuación de la potencia
P4. Comprobar la respuesta
Solución
P1 : 23 − 𝑥+ 3
= 22 𝑥 + 2
8 -x + 3 = 4 x + 2
P3 : -3x + 9 = 2x + 4
-3x – 2x = 4 – 9
-5x = -5
x =
−5
−5
x = 1
P2 : 2 −3 𝑥+ 9 = 2 2 𝑥 + 4
p4: comprobar si x = 1
8 -x + 3 = 4 x + 2
8 -1 + 3 = 4 1 + 2
8 2 = 4 3
64 = 64
Criterio de la recta horizontal: si toca un solo punto SON INYECTIVAS.
De acuerdo con el criterio ¿cuál de las funciones NO es inyectiva?______________
PREGUNTA 6. Determine si las funciones son inyectivas en su dominio.
1.4 Composición de funciones
1.4 Determina la ecuación de la composición de dos funciones.
𝒇 𝒙 =
𝟏
𝒙
g 𝒙 = 𝒙 + 𝟏
𝑺𝒐𝒍𝒖𝒄𝒊ó𝒏
𝒇 𝒐 𝒈 𝒙 = 𝒇(𝒈 𝒙 )
𝒇 𝒐 𝒈 𝒙 =
𝟏
( )
𝒇 𝒐 𝒈 𝒙 =
𝟏
( 𝒙 + 𝟏 )
𝒙 𝒙
PREGUNTA 7.
1.4 Composición de funciones
1.4 Determina la ecuación de la composición de dos funciones.
𝒇 𝒙 = 𝒙 + 𝟏 g 𝒙 = 𝟐𝒙
𝒇 𝒐 𝒈 𝒙 = 𝒇(𝒈 𝒙 )
𝒇 𝒐 𝒈 𝒙 = + 𝟏
𝒇 𝒐 𝒈 𝒙 = 𝟐𝒙 + 𝟏
𝒙 𝒙
PREGUNTA 7.
𝒇 𝒙 = −𝒙 + 𝟐 g 𝒙 = 𝒙 + 𝟓
𝒇 𝒐 𝒈 𝒙 = 𝒇(𝒈 𝒙 )
𝑺𝒐𝒍𝒖𝒄𝒊ó𝒏: b)
𝒇 𝒙 = 𝒙 + 𝟏 g 𝒙 = 𝒙 − 𝟒
𝒇 𝒐 𝒈 𝒙 = 𝒇(𝒈 𝒙 )
𝑺𝒐𝒍𝒖𝒄𝒊ó𝒏: c)
R/ 𝒇 𝒐 𝒈 𝒙 = −𝒙 − 𝟑 R/ 𝒇 𝒐 𝒈 𝒙 = 𝒙 − 𝟑
PREGUNTA 7.
1.6 Función inversa
1.6 Determina la ecuación de la función inversa de una función dada.
PREGUNTA 8.
P1. y = ( x – 2)2 + 1
P2. x = ( y – 2)2 + 1
P3. x = ( y – 2)2 + 1 despejar “y”
x – 1 = ( y – 2)2
𝒙 − 𝟏 = ( y – 2)2
𝒙 − 𝟏= y – 2
𝒙 − 𝟏 + 2 = y
f-1 (x )= 𝑥 − 1 + 2
REFUERZO
MODULO 2
PREGUNTA 1 . Para la parábola mostrada, escriba los valores siguientes:
Directriz = __y= 2 _________
Parámetro =___2_______
Foco =__(0, -2 )____________
Ecuación de la gráfica: y = -
𝟏
𝟒𝒑
𝒙𝟐
y =
𝟏
𝟒(𝟐)
𝒙𝟐
y = -
𝟏
𝟖
𝒙𝟐
Pregunta 2. Encuentre Los datos solicitados de la elipse de la figura mostrada
Eje focal = 2( 4) = 8
Eje menor: 2( 3) = 6
Eje mayor: 2(5) = 10
c= 𝟓𝟐 − 𝟑𝟐 = 𝟐𝟓 − 𝟗
Centro: ( - 4 , 2 )
a = 5
b= 3
c = 𝟏𝟔 = 𝟒
F ( -8, 2 )
F ( 0 , 2 )
𝐿𝑅 =
2𝑏2
𝑎
𝐿𝑅 =
2(3)2
5
= 3.6
3) La ecuación que representa a la elipse del ejercicio N° 2 es :
𝒙 − −𝟒 𝟐
𝟓𝟐 +
(𝒚 − 𝟐 ) 𝟐
𝟑𝟐
Centro: ( - 4 , 2 )
a = 5
b = 3
𝒙 + 𝟒 𝟐
𝟐𝟓
+
(𝒚 − 𝟐 ) 𝟐
𝟗
Con base a la imagen responda las preguntas:
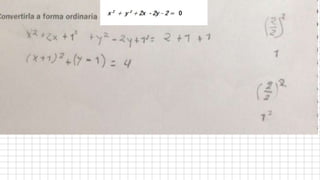
1. ¿cuál es el centro ?__( 3, - 2) _______________
2. ¿radio? : __5 ____________
3. la ecuación ordinaria de la circunferencia
representada en la gráfica es:
( x – 3 )2 + ( y - (- 2) )2 = 5 2
( x – h )2 + ( y - k )2 = r2
( x – 3 )2 + ( y + 2 )2 = 25
5) determina el centro y el radio de la circunferencia :
x 2 + y2 -6x + 8y + 16 = 0
x 2 + y2 -6x + 8 y + 16 = 0
E = 8
D= -6 F = 16
C( -
−𝟔
𝟐
, −
𝟖
𝟐
)
C( 3 , −𝟒 )
R =
𝑫𝟐 + 𝑬𝟐 −𝟒𝑭
𝟐
R =
−𝟔 𝟐 + 𝟖𝟐 −𝟒 𝟏𝟔
𝟐
R =
𝟑𝟔 + 𝟔𝟒 −𝟔𝟒
𝟐
R =
𝟑𝟔
𝟐
R =
𝟔
𝟐
R = 3
Correcta
Y= x 2 + 1
Y= x + 1
F
Y=2
V
𝒀 =-
𝟏
𝟒(𝟐)
𝑿𝟐
𝒀 =-
𝟏
𝟖
𝑿𝟐
𝐿𝑅 =
2𝑏2
𝑎
𝐿𝑅 =
2(3)2
4
𝐿𝑅 = 4.5
Deduce la ecuación de las elipses de cada literal. 2. Dete
F1 (0, -2), F2 (0, 2 ), a = 3
F
F
V V
V
V
𝐿𝑅 =
2𝑏2
𝑎
𝐿𝑅 =
2(4)2
5
𝐿𝑅 = 6.4
𝐿𝑅
𝟑𝟐 × 𝟓
Indicador de logro: Suma y resta raíces semejantes y simplifica la potencia de una raíz escribiendo
los resultados en su mínima expresión.
Pasos a seguir:
1. Simplificar las raíces a la mínima expresión
2. Sumar o restar raíces semejantes
EJEMPLO1: Efectúa las operaciones:
SOLUCION :
80 2
40 2
20 2
10 2
5 5
1
45 3
15 3
5 5
1
𝟖𝟎 + 𝟒𝟓
𝟖𝟎 + 𝟒𝟓
𝟐𝟒 × 𝟓 + 𝟑𝟐 × 𝟓
𝟐𝟐
𝟓 + 𝟑 𝟓
4 𝟓 + 𝟑 𝟓
7 𝟓
2°  UNIDAD  4.pptx
2°  UNIDAD  4.pptx

2° UNIDAD 4.pptx

  • 1.
    1.1 Propiedades depontencias con igual base y exponente natural. 1.2 Propiedades de potencias con igual exponente 1.3 exponente cero y exponente negativo.
  • 2.
    • Lugar deMatrícula: Centro Escolar República de Panamá • Fecha: a partir del 10 de junio de 1: 00 a 4 : 00 de la tarde • Clases presenciales de lunes a viernes de 12:50 a 5: 30 p.m • Documentos a presentar: • Copia de Dui ampliada • Certificado de 9º grado • Partida reciente • Ficha de matrícula • 2 fotografías grandes • y 2 pequeñas • Blanco y negro papel granulado
  • 3.
  • 4.
    1.7 suma ,resta y potencia de raíces n- ésimas. 1.8 Exponente racional
  • 5.
    Indicador de logro:Suma y resta raíces semejantes y simplifica la potencia de una raíz escribiendo los resultados en su mínima expresión. 1.7 suma , resta y potencia de raíces n- ésimas. Pasos a seguir: 1. Simplificar las raíces a la mínima expresión 2. Sumar o restar raíces semejantes EJEMPLO1: Efectúa las operaciones: 𝟒 𝟑𝟐 + 𝟒 𝟓𝟏𝟐 SOLUCION : 32 2 16 2 8 2 4 2 2 2 1 512 2 256 2 128 2 64 2 32 2 16 2 8 2 4 2 2 2 1 𝟒 𝟑𝟐 + 𝟒 𝟓𝟏𝟐 𝟒 𝟐𝟒 × 𝟐 + 𝟒 𝟐𝟖 × 𝟐 𝟐 𝟒 𝟐 + 𝟐𝟐 𝟒 𝟐 𝟐 𝟒 𝟐 + 𝟒 𝟒 𝟐 𝟔 𝟒 𝟐
  • 6.
    EJERCICIOS A RESOLVER: • 𝟑 𝟐𝟒+ 𝟑 𝟖𝟏 • 𝟑 𝟓𝟎𝟎 - 𝟑 𝟏𝟎𝟖
  • 7.
    Indicador de logro:Suma y resta raíces semejantes y simplifica la potencia de una raíz escribiendo los resultados en su mínima expresión. 1.7 suma , resta y potencia de raíces n- ésimas. Pasos a seguir: 1. Simplificar las raíces a la mínima expresión 2. Sumar o restar raíces semejantes PREGUNTA 1: Efectúa las operaciones: 𝟒 𝟑𝟐 + 𝟒 𝟓𝟏𝟐 SOLUCION : 32 2 16 2 8 2 4 2 2 2 1 512 2 256 2 128 2 64 2 32 2 16 2 8 2 4 2 2 2 1 𝟒 𝟑𝟐 + 𝟒 𝟓𝟏𝟐 𝟒 𝟐𝟒 × 𝟐 + 𝟒 𝟐𝟖 × 𝟐 𝟐 𝟒 𝟐 + 𝟐𝟐 𝟒 𝟐 𝟐 𝟒 𝟐 + 𝟒 𝟒 𝟐 𝟔 𝟒 𝟐
  • 8.
    Indicador de logro:Utiliza exponentes racionales para representar raíces n-ésimas de un número y viceversa 1.8 Exponente racional REGLA: 𝒏 𝒂𝒎 = 𝒂 𝒎 𝒏 EJEMPLO2: Escriba las siguientes raíces como potencias con exponente fraccionario, simplicar si es posible : 𝟓 𝟔 𝟑 SOLUCION : 𝟓 𝟔 𝟑 = 63 𝟓 EJEMPLO3: Escriba las siguientes raíces como potencias con exponente fraccionario, simplicar si es posible : 𝟗𝟓 𝟑 SOLUCION : 9𝟓 𝟑 = 𝟑 9𝟓
  • 9.
    1.9 Propiedades delos Exponentes racionales 1.10 Aplica las propiedades de los exponentes racionales
  • 10.
    Indicador de logro:Aplica las propiedades de los exponentes, combinando exponentes racionales y enteros 1.9 Propiedades de los Exponentes racionales REGLAS: 1. 𝒂𝒎 × 𝒂𝒏 = 𝒂𝒎+𝒏 2. 𝒂𝒎 𝒂𝒏 = 𝒂𝒎−𝒏 3. 𝒂𝒎 𝒏 = 𝒂𝒎×𝒏 4. 𝒏 𝒂𝒎 = 𝒂 𝒎 𝒏 Pasos a seguir: 1. Escribir como raíz 2. Se escriben en una sola raíz 3. Se aplica la propiedad de exponente que corresponda 4. Se simplifica el radical.
  • 11.
    EJEMPLO4: Realiza lassiguientes operaciones: 𝟏𝟔𝟓 𝟔 × 𝟒𝟓 𝟔 ´P1. 𝟔 𝟏𝟔𝟓 × = 𝟐𝟑𝟎 𝟔 = 𝟐𝟓 SOLUCION : 1.9 Propiedades de los Exponentes racionales Pasos a seguir: 1. Escribir como raíz 2. Se escriben en una sola raíz 3. Se aplica la propiedad de exponente que corresponda 4. Se simplifica el radical. 𝟏𝟔𝟓 𝟔 × 𝟒𝟓 𝟔 𝟔 𝟒𝟓 P2. 𝟔 𝟏𝟔𝟓 × 𝟒𝟓 P3. 𝟔 𝟏𝟔 × 𝟒 𝟓 𝟔 𝟔𝟒 𝟓 64 2 32 2 16 2 8 2 4 2 2 2 1 P4. 𝟔 𝟐𝟔 𝟓 𝟔 𝟐𝟑𝟎
  • 12.
    EJEMPLO5: Realiza lassiguientes operaciones: ´P1. 3𝟓 𝟐 × 3𝟐 𝟑 ÷ 3𝟏 𝟔 𝑃3 . 3𝟑 SOLUCION : 1.10 Aplica las propiedades de los exponentes racionales Para operar raíces con distinto índice se realizan los pasos siguientes: 1. Cada raíz se escribe como potencia con exponente fraccionario. 2. Se efectúan las operaciones utilizando propiedades de los exponentes. 3. Se simplifica el resultado. P2. 3 5 2 + 2 3 − 1 6 243 3 81 3 27 3 9 3 3 3 1 243 × 𝟑 9 ÷ 𝟔 3 3𝟓 × 𝟑 3𝟐 ÷ 𝟔 3 5 2 + 2 3 = 15 + 4 6 = 19 6 19 6 − 1 6 = 19 − 1 6 = 18 6 = 3
  • 13.
    EJERCICIOS PROPUESTOS AENTREGAR FECHA LIMITE: VIERNES 27 DE MARZO. 1. Efectúa las operaciones: 𝟑 𝟐𝟒 + 𝟑 𝟖𝟏 𝟑 𝟓𝟎𝟎 - 𝟑 𝟏𝟎𝟖 2. Escriba la raíz como una potencia fraccionaria y simplificar, si es posible 𝟑 𝟐 3. Escriba las siguientes potencias fraccionarias como raíces de una potencia. 𝟐 𝟓 𝟐 4. Realiza las siguientes operaciones, simplificar su respuesta: 𝟐 𝟕 𝟓 × 𝟐 𝟖 𝟓 5. Realiza las siguientes operaciones, simplificar su respuesta: 𝟖 × 𝟒 𝟖 ÷ 𝟏𝟐 𝟑𝟐
  • 14.
  • 15.
    1.1 Propiedades depontencias con igual base y exponente natural. 1.2 Propiedades de potencias con igual exponente 1.3 exponente cero y exponente negativo.
  • 16.
    2.1 Definición dela función exponencial 2.2 Funciones exponenciales simétricas
  • 17.
    Indicador de logro: Grafica funciones exponenciales utilizando tablas y localizando puntos en el plano cartesiano. 2.1 Definición de la función exponencial. Ejemplo 1. Graficar la función f(x) = 2x Solución:
  • 18.
    2.1 Definición dela función exponencial. Ejemplo 2. Graficar la función f(x) = 2 -x Solución: f(x) = 2 -x f(x) = 𝟏 𝟐 𝒙
  • 19.
    2.2 funciones exponencialessimétricas. Ejemplo 3. Graficar en un mismo plano la función f(x) = 2 –x f(x) = 2 x y f(x) = - 2x Solución: Construya las 3 tablas de valores
  • 20.
    f(x) = -2x f(x)= 2-x f(x) = 2x
  • 21.
    2.3 Características delas funciones exponenciales 2.4Desplazamientos horizontales y verticales de la función exponencial 2.5. Gráfica de funciones exponenciales con simetrías y desplazamientos
  • 22.
    Indicador de logro: Determina las características de una función exponencial dada (dominio, rango, monotonía y asíntotas). 2. 3 Características de las funciones exponenciales Ejercicio 4. Determine el intercepto en el eje “y” dominio rango, monotonía y asíntota de la función: f(x) = 2x intercepto en el eje “y” : ( 0, 1 ) dominio : Reales rango : ]0, ∞[ Monotonía : creciente y asíntota de la función: y = 0
  • 23.
    2.4 Desplazamientos horizontalesy verticales de la función exponencial Indicador de logro: Grafica funciones exponenciales utilizando desplazamientos horizontales y verticales Ejercicio 5. A partir de la gráfica f(x) = 2 x grafica la función f(x) = 2 x - 2
  • 24.
    2.5. Gráfica defunciones exponenciales con simetrías y desplazamientos. Indicador de logro: Elabora la gráfica de funciones exponenciales Utilizando simetría y desplazamientos. Ejercicio 5. A partir de la gráfica f(x) = 2 x grafica la función f(x) = 2 x – 2 -1
  • 25.
    TUTORIA 2. 30DE MARZO -1 DE ABRIL
  • 26.
    2.6 Ecuaciones exponenciales 2.7Ecuaciones exponenciales
  • 27.
    Indicador de logro:Resuelve ecuaciones exponenciales utilizando igualdad de potencias con la misma base. 2.6 Ecuaciones exponenciales Ejemplo 6. Resuelva la ecuación exponencial : 8 -x + 3 = 4 x + 2 Procedimiento: p1. Igualar bases expresando en forma de potencias. P2. Aplicar regla de potencias elevado a otra potencia P3. Resolver la ecuación de la potencia P4. Comprobar la respuesta Solución P1 : 23 − 𝑥+ 3 = 22 𝑥 + 2 8 -x + 3 = 4 x + 2 P3 : -3x + 9 = 2x + 4 -3x – 2x = 4 – 9 -5x = -5 x = −5 −5 x = 1 P2 : 2 −3 𝑥+ 9 = 2 2 𝑥 + 4 p4: comprobar si x = 1 8 -x + 3 = 4 x + 2 8 -1 + 3 = 4 1 + 2 8 2 = 4 3 64 = 64
  • 28.
    2.7 Ecuaciones exponenciales Procedimiento: p1.Se efectúa el cambio de variable y = ax P2. Se resuelve la ecuación py2 + qy + r = 0 del paso anterior. P3. Sustituir “ y “ en : y = ax P4. Resolver las ecuaciones resultantes. P5. Compruebe las respuestas Solución 9 x - 2(3 x ) + 1 = 0 Y= 3x P 2 : ( y - 1 ) ( y - 1 ) y - 1 = 0 Y = 1 P1 : 32 𝑥 − 2 3𝑥 + 1 Indicador de logro: Resuelve ecuaciones exponenciales que se reducen a ecuaciones cuadráticas por medio de un cambio de variable Ejemplo 7. Resuelva la ecuación exponencial reduciéndola a una cuadrática. 9 x - 2(3 x ) + 1 = 0 P1 : 3𝑥 2 − 2 3𝑥 + 1 P1 : 𝑦 2 − 2 𝑦 + 1 1 = 3x 30 = 3x 0 = x p5 : 9 x - 2(3 x ) + 1 = 0 9 0 - 2(3 0 ) + 1 = 0 1 - 2( 1 ) + 1 = 0 1 - 2 + 1 = 0 0 = 0
  • 29.
    UNID AD4 Indicadores de logroProductos Esperados, resolver al llegar a la Actividad 4 Pág 102 2.1 Grafica funciones exponenciales utilizando tablas y localizando puntos en el plano cartesiano. Ejercicio 1. Grafica la función exponencial a) f(x) = 3x b) f(x) = 3 -x Pág 103 2.2 Grafica funciones exponenciales utilizando simetrías respecto de los ejes de coordenadas y el origen. Ejercicio 2. Grafica la función exponencial en el mismo plano utilizando las simetrías. f4 (x) = - 3- x a partir de la función f1 (x) = 3x Pág 104 2. 3 Determina las características de una función exponencial dada (dominio, rango, monotonía y asíntotas). Ejercicio 3. Determine el intercepto en el eje “y” dominio rango, monotonía y asíntota de la función: f(x) = 3x Pág 107 2.4 Grafica funciones exponenciales utilizando desplazamientos horizontales y verticales Ejercicio 4 A partir de la gráfica f(x) = 3x grafica la función f(x) = 3 x - 2 Pág 108 2.5 Elabora la gráfica de funciones exponenciales Utilizando simetría y desplazamientos. Ejercicio 5. Graficar la función f(x) = 3 x – 2 + 1 utilizando simetrías y desplazamientos. Pág 109 2.6 Resuelve ecuaciones exponenciales utilizando igualdad de potencias con la misma base. Ejercicio 6. Resuelva la ecuación exponencial 3 -x +1 = 9 x + 1 Pág 110 2.7 Resuelve ecuaciones exponenciales que se reducen a ecuaciones cuadráticas por medio de un cambio de variable. Ejercicio 7. Resuelva la ecuación exponencial reduciéndola a una cuadrática. 4 x - 2 x – 12 = 0
  • 31.
    1.1 Identifica funcionesinyectivas de manera gráfica y algebraica. 1.1 Funciones inyectivas Imagen : Son los valores para “y” Pre imagen : Son los valores para “x”
  • 32.
    Criterio de larecta horizontal: si toca un solo punto SON INYECTIVAS. De acuerdo con el criterio ¿cuál de las funciones NO es inyectiva?______________
  • 33.
    1.2 Función sobreyectiva : Paradeterminar si una función es sobreyectiva tenemos que determinar el rango. Si el rango que hemos hallado, es igual al conjunto de llegada, entonces se trata de una función sobreyectiva. 1.2 Identifica funciones sobreyectivas de manera gráfica y algebraica. Una función es sobreyectiva si cada elemento del conjunto de llegada (contradominio) corresponde por lo menos a un elemento del conjunto de partida. Otra definición más simple es la siguiente: una función es sobreyectiva si el rango es igual al conjunto de llegada o contradominio. Veamos algunos ejemplos
  • 34.
    Dominio : reales Recorrido: reales Es Sobreyectiva
  • 35.
  • 36.
    Dominio= Reales Rango= ]- ∞, 0 ] Dominio= [ 0 , ∞[ Rango = [ 0 , ∞[ Sobreyectiva: ¿si? O ¿No? Sobreyectiva: ¿si? O ¿No?
  • 39.
    1.3 Funciones biyectivas* 1.3Identifica si una función es biyectiva o restringe su dominio o rango para que lo sea.
  • 40.
    Determine la diagonalde un cuadrado de 10 m de lado. 𝒄𝟐 = 𝒂𝟐 + 𝒃𝟐 10 10 10 𝒄𝟐 = 𝟏𝟎𝟐 + 𝟏𝟎𝟐 𝒄𝟐 = 100+𝟏𝟎𝟎 𝒄𝟐 = 200 𝑐2= 200 200 2 100 2 50 2 25 5 5 5 1 C = 22 × 2 × 52 C = 2(5) 2 C = 10 2 cada lado del cuadrado
  • 41.
    Calcule el ladode un rombo de diagonales 8 cm y 6cm . 4 4 𝒄𝟐 = 𝒂𝟐 + 𝒃𝟐 𝒄𝟐 = 𝟑𝟐 + 𝟒𝟐 𝒄𝟐 = 9+𝟏𝟔 𝒄𝟐 = 25 𝑐2= 25 C = 5 cada lado del rombo
  • 42.
    20 20 2 0 1010 𝒄𝟐 = 𝒂𝟐 + 𝒃𝟐 𝒄𝟐 - 𝒂𝟐 = 𝒃𝟐 𝟐𝟎𝟐 - 𝟏𝟎𝟐 = 𝒃𝟐 400- 100 = 𝒃𝟐 300 = 𝒃𝟐 𝑏2= 300 300 2 150 2 75 3 25 5 5 5 1 b = 22 × 3 × 52 b = 2(5) 3 b = 10 3 El lado de un triángulo equilátero mide 20 metros. ¿cuál es el valor de la altura?
  • 43.
    Biyectiva Dominio= [0 , 10 ] Rango = [ 0 , 100 ] Biyectiva Y= x2 y = 102 Y = 100
  • 44.
    Biyectiva : ¿si?O ¿No? Restricción 1 del dominio Restricción 2 del dominio Dominio 1: Rango 1: Dominio 2: Rango 2: Conclusión: Una vez realizadas cualquiera de las dos restricciones la función se vuelve biyectiva
  • 45.
    1.4 Composición defunciones 1.4 Determina la ecuación de la composición de dos funciones. 𝒇 𝒙 = 𝟏 𝒙 g 𝒙 = 𝒙 + 𝟏 𝑺𝒐𝒍𝒖𝒄𝒊ó𝒏 𝒇 𝒐 𝒈 𝒙 = 𝒇(𝒈 𝒙 ) 𝒇 𝒐 𝒈 𝒙 = 𝟏 ( ) 𝒇 𝒐 𝒈 𝒙 = 𝟏 ( 𝒙 + 𝟏 ) 𝒙 𝒙
  • 46.
    1.4 Composición defunciones 1.4 Determina la ecuación de la composición de dos funciones. 𝒇 𝒙 = 𝒙 + 𝟏 g 𝒙 = 𝟐𝒙 𝒇 𝒐 𝒈 𝒙 = 𝒇(𝒈 𝒙 ) 𝒇 𝒐 𝒈 𝒙 = + 𝟏 𝒇 𝒐 𝒈 𝒙 = 𝟐𝒙 + 𝟏 𝒙 𝒙
  • 47.
    𝒇 𝒙 =−𝒙 + 𝟐 g 𝒙 = 𝒙 + 𝟓 𝒇 𝒐 𝒈 𝒙 = 𝒇(𝒈 𝒙 ) 𝑺𝒐𝒍𝒖𝒄𝒊ó𝒏: b) 𝒇 𝒙 = 𝒙 + 𝟏 g 𝒙 = 𝒙 − 𝟒 𝒇 𝒐 𝒈 𝒙 = 𝒇(𝒈 𝒙 ) 𝑺𝒐𝒍𝒖𝒄𝒊ó𝒏: c) R/ 𝒇 𝒐 𝒈 𝒙 = −𝒙 − 𝟑 R/ 𝒇 𝒐 𝒈 𝒙 = 𝒙 − 𝟑
  • 48.
  • 49.
    1.6 Función inversa 1.6Determina la ecuación de la función inversa de una función dada. PREGUNTA 8. P1. y = ( x – 2)2 + 1 P2. x = ( y – 2)2 + 1 P3. x = ( y – 2)2 + 1 despejar “y” x – 1 = ( y – 2)2 𝒙 − 𝟏 = ( y – 2)2 𝒙 − 𝟏= y – 2 𝒙 − 𝟏 + 2 = y f-1 (x )= 𝑥 − 1 + 2
  • 50.
  • 51.
  • 52.
  • 53.
    • 2.1 Expresaigualdades de potencias como igualdades de logaritmos y viceversa • 2.2 Calcula el logaritmo de un número expresándolo como potencia. • 2.3 Efectúa operaciones de logaritmos utilizando sus propiedades.
  • 54.
    • EJERCICIO 1.LA función f(x) = 𝟏 𝒙 mostrada en la gráfica ¿ es inyectiva?
  • 55.
    CONCOCIMIENTO PREVIO EJERCCIO 2. Investigue las partes de la forma logarítmica. pág 122
  • 56.
    2.1 Definición delogaritmo pág 122
  • 57.
    2.1 Definición delogaritmo 2.1 Expresa igualdades de potencias como igualdades de logaritmos y viceversa 2 = 𝒍𝒐𝒈 𝟐 𝟒 -1 = log 𝟏 𝟏𝟎 𝟏 𝟐 = 𝒍𝒐𝒈𝟐 𝟐 ¿Qué es un logaritmo? Exponente al cual se eleva una base, para obtener un resultado
  • 58.
    2.1 Definición delogaritmo 2.1 Expresa igualdades de potencias como igualdades de logaritmos y viceversa 64 = 𝟐𝟔 𝟒 𝟑 = 𝟑 𝟏 𝟒 𝟏 𝟓 = 𝟓−𝟏 Log 1000 = 3 1000 = 103
  • 59.
    2.2 logaritmo deun número
  • 60.
    2.2 logaritmo deun número 𝒍𝒐𝒈𝟏 𝟐 1 2 = 𝑥 1 2 = 1 2 𝑥 1 2 𝟏 𝟐 = 1 2 𝑥 𝟏 𝟐 = 𝒙 𝒍𝒐𝒈𝟏 𝟐 1 2 𝒍𝒐𝒈𝟏 𝟐 1 2 1 2 𝒍𝒐𝒈𝟏 𝟐 𝟐 −𝟏 𝟐 𝒍𝒐𝒈𝟏 𝟐 1 2 1 2 = FORMA 1: Llevarlo a potencia ax = b FORMA 2: 1 2 𝟏 𝟐 = 1 2 𝒙 𝟏 𝟐
  • 61.
    2.2 logaritmo deun número 𝒍𝒐𝒈𝟏 𝟐 1 2 = 𝑥 1 2 = 1 2 𝑥 1 2 𝟏 𝟐 = 1 2 𝑥 𝟏 𝟐 = 𝒙 𝒍𝒐𝒈𝟏 𝟐 1 2 𝒍𝒐𝒈𝟏 𝟐 1 2 1 2 𝒍𝒐𝒈𝟏 𝟐 𝟐 −𝟏 𝟐 𝒍𝒐𝒈𝟏 𝟐 1 2 1 2 = FORMA 1: Llevarlo a potencia ax = b FORMA 2: 1 2 𝟏 𝟐 = 1 2 𝒙 𝟏 𝟐
  • 62.
    2.3 propiedades delo logaritmos. Pág 124
  • 63.
    𝒍𝒐𝒈 𝟒( 𝟐× 𝟖) 2.3 propiedades de lo logaritmos. Pág 124 = 𝒍𝒐𝒈 𝟔 ( 𝟏𝟐 × 𝟏𝟖) 12 2 6 2 3 3 1 18 2 9 3 3 3 1
  • 64.
    2.3 propiedades delo logaritmos. Pág 124 𝒍𝒐𝒈 𝟐 𝟓𝟒𝟐 − 𝒍𝒐𝒈 𝟐 𝟏𝟖𝟑 = 𝒍𝒐𝒈 𝟐 𝟓𝟒 𝟏𝟖𝟑 𝟐 54 2 27 3 9 3 3 3 1 18 2 9 3 3 3 1 = 𝒍𝒐𝒈 𝟐 𝟐×𝟑𝟑 𝟐×𝟑𝟐 𝟑 𝟐 = 𝒍𝒐𝒈 𝟐 𝟐𝟐×𝟑𝟔 𝟐𝟑×𝟑𝟔 = 𝒍𝒐𝒈 𝟐 𝟏 𝟐 = 𝒍𝒐𝒈 𝟐 𝟐−𝟏 = -1 𝒍𝒐𝒈 𝟐 𝟓𝟒𝟐 − 𝒍𝒐𝒈 𝟐 𝟏𝟖𝟑 = -1
  • 65.
    2.4 cambio debase de un logaritmo Pág 125
  • 66.
    2.4 cambio debase de un logaritmo Pág 125 𝒍𝒐𝒈𝟐 𝟏 𝟐 𝒍𝒐𝒈𝟐 𝟒 𝒍𝒐𝒈𝟒 𝟏 𝟐 = c = 2 𝒍𝒐𝒈𝟐 𝟏 𝟐 𝟏 𝟐 𝒍𝒐𝒈𝟐 𝟐𝟐 𝒍𝒐𝒈𝟐 𝟐 −𝟏 𝟐 𝒍𝒐𝒈𝟐 𝟐𝟐 −𝟏 𝟐 𝒍𝒐𝒈𝟐 𝟐 𝟐𝒍𝒐𝒈𝟐 𝟐 −𝟏 𝟐 𝟐 𝟏 = −𝟏 𝟒
  • 67.
    2.4 cambio debase de un logaritmo Pág 125 𝒍𝒐𝒈𝟑 𝟏 𝟑 𝟒 𝒍𝒐𝒈𝟑 𝟏 𝟖 𝒍𝒐𝒈𝟏 𝟖 𝟏 𝟑 𝟒 = c = 3 𝒍𝒐𝒈𝟑 𝟏 𝟒 𝟏 𝟑 𝒍𝒐𝒈𝟑 𝟏 𝟖 𝒍𝒐𝒈𝟑 𝟐 −𝟐 𝟑 𝒍𝒐𝒈𝟑 𝟐−𝟑 −𝟐 𝟑 𝒍𝒐𝒈𝟑 𝟐 −𝟑 𝒍𝒐𝒈𝟑 𝟐 −𝟐 𝟑 −𝟑 𝟏 = −𝟐 −𝟗 𝒍𝒐𝒈𝟑 𝟏 𝟐𝟐 𝟏 𝟑 𝒍𝒐𝒈𝟑 𝟏 𝟐𝟑 𝒍𝒐𝒈𝟑 𝟏 𝟐 𝟐 𝟑 𝒍𝒐𝒈𝟑 𝟏 𝟐𝟑 = 𝟐 𝟗
  • 68.
    2.5 Definición defunción logarítmica y gráfica Pág 126
  • 69.
    Graficar : 𝒇𝒙 = 𝒍𝒐𝒈𝟒 x x 𝒚 = 𝒍𝒐𝒈𝟒 x 𝟏 𝟐 𝟏 𝟒 1 2 4 𝒍𝒐𝒈𝟒 1 4 = 𝒍𝒐𝒈𝟒 1 2 = 𝒍𝒐𝒈𝟒 𝟏 = 𝒍𝒐𝒈𝟒 𝟐 = 𝒍𝒐𝒈𝟒 𝟒 = -1 -0.5 0 0.5 1 ( x , y) ( 0.25 , -1) ( 0.5 , -0.5 ) ( 1, 0 ) ( 2 , 0.5) ( 4, 1 ) 2.5 Definición de función logarítmica y gráfica Pág 126
  • 70.
    Graficar : 𝒇𝒙 = 𝒍𝒐𝒈𝟒 x x 𝒚 = 𝒍𝒐𝒈𝟒 x 𝟏 𝟐 𝟏 𝟒 1 2 4 𝒍𝒐𝒈𝟒 1 4 = 𝒍𝒐𝒈𝟒 1 2 = 𝒍𝒐𝒈𝟒 𝟏 = 𝒍𝒐𝒈𝟒 𝟐 = 𝒍𝒐𝒈𝟒 𝟒 = -1 -0.5 0 0.5 1 ( x , y) ( 0.25 , -1) ( 0.5 , -0.5 ) ( 1, 0 ) ( 2 , 0.5) ( 4, 1 ) 2.5 Definición de función logarítmica y gráfica Pág 126 Creciente, porque la base 4 > 1 Dominio : [ 0 , ∞ [ Rango = R
  • 71.
    EJERCICIO 1 .La forma logarítmica de 5-3 = 1/125 es: A. −𝟑 = 𝒍𝒐𝒈 𝟏𝟐𝟓 𝟏 𝟓 B. −𝟑 = 𝒍𝒐𝒈 𝟓 𝟏 𝟏𝟐𝟓 C. 𝟓 = 𝒍𝒐𝒈 −𝟑 𝟏 𝟏𝟐𝟓 D. −𝟑𝒍𝒐𝒈 𝟓 = 𝟏 𝟏𝟐𝟓
  • 72.
    EJERCICIO 2 .La forma logarítmica de 4-2 = 1/16 es:
  • 73.
    EJERCICIO 1 .La forma logarítmica de 5-3 = 1/125 es: A. −𝟑 = 𝒍𝒐𝒈 𝟏𝟐𝟓 𝟏 𝟓 B. −𝟑 = 𝒍𝒐𝒈 𝟓 𝟏 𝟏𝟐𝟓 C. 𝟓 = 𝒍𝒐𝒈 −𝟑 𝟏 𝟏𝟐𝟓 D. −𝟑𝒍𝒐𝒈 𝟓 = 𝒍𝒐𝒈 𝟏 𝟏𝟐𝟓 BASE EXPONENTE Ambos lados con log
  • 74.
    2 ) SiLog2 x + Log2 y = 8 , selecciona el proceso en el que “y” se ha despejado correctamente
  • 75.
    2 ) hallarel valor de: Log3 99 - Log3 11 = , Log3 99 - Log3 11 Log3 𝟗𝟗 𝟏𝟏 Log3 9 Log3 𝟑𝟐 : 𝒍𝒐𝒈𝒂 𝒂𝒄 = 𝒄 = 2 plan B con cambio de base Log3 9 = 𝒍𝒐𝒈 𝟗 𝒍𝒐𝒈𝟑 Log3 9 = 2
  • 76.
    2 ) SiLog2 x + Log2 y = 8 , selecciona el proceso en el que “y” se ha despejado correctamente Log2 x + Log2 y = 8 Log2 x( y) = 8 x( y) = 2 8 y = 𝟐𝟖 𝒙
  • 77.
    EJERCICIO 2 .La forma exponencial de log5 25 = 2 es: A. 5 = 𝟐𝟓𝟐 B. 25 = 𝟓𝟐 C. 25 2 = 𝟓 D. 𝟐𝟓 = 𝟐𝟓
  • 78.
    Utilice la propiedad:𝒍𝒐𝒈𝒂 𝒂𝒄 = 𝒄 Determine por simple inspección el valor 𝒍𝒐𝒈𝟏𝟎𝟏𝟎
  • 79.
    Utilice la propiedad:𝒍𝒐𝒈𝒂 𝒂𝒄 = 𝒄 Determine por simple inspección el valor 𝒍𝒐𝒈𝟐𝟐𝟏𝟎𝟎 𝒍𝒐𝒈𝟐𝟐𝟓 = 𝟓
  • 80.
    EJERCICIO5 . Simplifiqueel logaritmo 𝒍𝒐𝒈𝟗 𝟑 usando el cambio de base , Con base 10 ¿cuál de las dos es la correcta? 𝑨) 𝒍𝒐𝒈9 3 = 𝒍𝒐𝒈 3 𝒍𝒐𝒈 9 𝑩) 𝒍𝒐𝒈9 3 = 𝒍𝒐𝒈 9 𝒍𝒐𝒈 3
  • 81.
    EJERCICIO 6 .Se presenta la función f(x) = x2 + 1 con dominio de [ 0, ∞[ y rango = [1 , ∞[ , y la gráfica de su inversa f-1(x) = 𝒙 − 𝟏 observe la gráfica y escriba su dominio y rango. Dominio de f-1(x) =____________ Rango de f-1(x) =____________ ¿Qué relación existe entre los dominios y rangos de ambas funciones?
  • 83.
    2.8 Ecuaciones logarítmicaspág 129 Pregunta 15 Pregunta 15. Efectúa las siguiente ecuación : log3 ( x + 1 ) + log3 ( x2 - x + 1 ) = 2 P1. propiedades log3 ( x + 1 ) ( x2 - x + 1 ) = 2 P2. Definición de logaritmo ( x + 1 ) ( x2 - x + 1 ) = 32 P3. Resolver producto x3 + 1 = 32 P4. despejar la variabla x3 = 9 - 1 x3 = 8 X = 𝟑 𝟖 X= 2
  • 84.
  • 85.
    Indicador de logro:Aplica las propiedades de los exponentes, combinando exponentes racionales y enteros 1.9 Propiedades de los Exponentes racionales REGLAS: 1. 𝒂𝒎 × 𝒂𝒏 = 𝒂𝒎+𝒏 2. 𝒂𝒎 𝒂𝒏 = 𝒂𝒎−𝒏 3. 𝒂𝒎 𝒏 = 𝒂𝒎×𝒏 4. 𝒏 𝒂𝒎 = 𝒂 𝒎 𝒏 Pasos a seguir: 1. Escribir como raíz 2. Se escriben en una sola raíz 3. Se aplica la propiedad de exponente que corresponda 4. Se simplifica el radical.
  • 86.
    PREGUNTA 2: Realizalas siguientes operaciones: ´P1. 3𝟓 𝟐 × 3𝟐 𝟑 ÷ 3𝟏 𝟔 𝑃3 . 3𝟑 SOLUCION : 1.10 Aplica las propiedades de los exponentes racionales Para operar raíces con distinto índice se realizan los pasos siguientes: 1. Cada raíz se escribe como potencia con exponente fraccionario. 2. Se efectúan las operaciones utilizando propiedades de los exponentes. 3. Se simplifica el resultado. P2. 3 5 2 + 2 3 − 1 6 243 3 81 3 27 3 9 3 3 3 1 243 × 𝟑 9 ÷ 𝟔 3 3𝟓 × 𝟑 3𝟐 ÷ 𝟔 3 5 2 + 2 3 = 15 + 4 6 = 19 6 19 6 − 1 6 = 19 − 1 6 = 18 6 = 3
  • 87.
    Indicador de logro: Determina las características de una función exponencial dada (dominio, rango, monotonía y asíntotas). 2. 3 Características de las funciones exponenciales Ejercicio 4. Determine el intercepto en el eje “y” dominio rango, monotonía y asíntota de la función: f(x) = 2x intercepto en el eje “y” : ( 0, 1 ) dominio : Reales rango : ]0, ∞[ Monotonía : creciente y asíntota de la función: y = 0
  • 88.
    2.5. Gráfica defunciones exponenciales con simetrías y desplazamientos. Indicador de logro: Elabora la gráfica de funciones exponenciales Utilizando simetría y desplazamientos. PREGUNTA 3. . A partir de la gráfica f(x) = 2 x grafica la función f(x) = 2 x – 2 - 1 2 2 2 - 1 - 1 - 1
  • 89.
    Indicador de logro:Resuelve ecuaciones exponenciales utilizando igualdad de potencias con la misma base. 2.6 Ecuaciones exponenciales PREGUNTA 4. Y PREGUNTA 5 . Resuelva la ecuación exponencial : 8 -x + 3 = 4 x + 2 Procedimiento: p1. Igualar bases expresando en forma de potencias. P2. Aplicar regla de potencias elevado a otra potencia P3. Resolver la ecuación de la potencia P4. Comprobar la respuesta Solución P1 : 23 − 𝑥+ 3 = 22 𝑥 + 2 8 -x + 3 = 4 x + 2 P3 : -3x + 9 = 2x + 4 -3x – 2x = 4 – 9 -5x = -5 x = −5 −5 x = 1 P2 : 2 −3 𝑥+ 9 = 2 2 𝑥 + 4 p4: comprobar si x = 1 8 -x + 3 = 4 x + 2 8 -1 + 3 = 4 1 + 2 8 2 = 4 3 64 = 64
  • 90.
    Criterio de larecta horizontal: si toca un solo punto SON INYECTIVAS. De acuerdo con el criterio ¿cuál de las funciones NO es inyectiva?______________ PREGUNTA 6. Determine si las funciones son inyectivas en su dominio.
  • 91.
    1.4 Composición defunciones 1.4 Determina la ecuación de la composición de dos funciones. 𝒇 𝒙 = 𝟏 𝒙 g 𝒙 = 𝒙 + 𝟏 𝑺𝒐𝒍𝒖𝒄𝒊ó𝒏 𝒇 𝒐 𝒈 𝒙 = 𝒇(𝒈 𝒙 ) 𝒇 𝒐 𝒈 𝒙 = 𝟏 ( ) 𝒇 𝒐 𝒈 𝒙 = 𝟏 ( 𝒙 + 𝟏 ) 𝒙 𝒙 PREGUNTA 7.
  • 92.
    1.4 Composición defunciones 1.4 Determina la ecuación de la composición de dos funciones. 𝒇 𝒙 = 𝒙 + 𝟏 g 𝒙 = 𝟐𝒙 𝒇 𝒐 𝒈 𝒙 = 𝒇(𝒈 𝒙 ) 𝒇 𝒐 𝒈 𝒙 = + 𝟏 𝒇 𝒐 𝒈 𝒙 = 𝟐𝒙 + 𝟏 𝒙 𝒙 PREGUNTA 7.
  • 93.
    𝒇 𝒙 =−𝒙 + 𝟐 g 𝒙 = 𝒙 + 𝟓 𝒇 𝒐 𝒈 𝒙 = 𝒇(𝒈 𝒙 ) 𝑺𝒐𝒍𝒖𝒄𝒊ó𝒏: b) 𝒇 𝒙 = 𝒙 + 𝟏 g 𝒙 = 𝒙 − 𝟒 𝒇 𝒐 𝒈 𝒙 = 𝒇(𝒈 𝒙 ) 𝑺𝒐𝒍𝒖𝒄𝒊ó𝒏: c) R/ 𝒇 𝒐 𝒈 𝒙 = −𝒙 − 𝟑 R/ 𝒇 𝒐 𝒈 𝒙 = 𝒙 − 𝟑 PREGUNTA 7.
  • 94.
    1.6 Función inversa 1.6Determina la ecuación de la función inversa de una función dada. PREGUNTA 8. P1. y = ( x – 2)2 + 1 P2. x = ( y – 2)2 + 1 P3. x = ( y – 2)2 + 1 despejar “y” x – 1 = ( y – 2)2 𝒙 − 𝟏 = ( y – 2)2 𝒙 − 𝟏= y – 2 𝒙 − 𝟏 + 2 = y f-1 (x )= 𝑥 − 1 + 2
  • 95.
  • 96.
    PREGUNTA 1 .Para la parábola mostrada, escriba los valores siguientes: Directriz = __y= 2 _________ Parámetro =___2_______ Foco =__(0, -2 )____________ Ecuación de la gráfica: y = - 𝟏 𝟒𝒑 𝒙𝟐 y = 𝟏 𝟒(𝟐) 𝒙𝟐 y = - 𝟏 𝟖 𝒙𝟐
  • 97.
    Pregunta 2. EncuentreLos datos solicitados de la elipse de la figura mostrada Eje focal = 2( 4) = 8 Eje menor: 2( 3) = 6 Eje mayor: 2(5) = 10 c= 𝟓𝟐 − 𝟑𝟐 = 𝟐𝟓 − 𝟗 Centro: ( - 4 , 2 ) a = 5 b= 3 c = 𝟏𝟔 = 𝟒 F ( -8, 2 ) F ( 0 , 2 ) 𝐿𝑅 = 2𝑏2 𝑎 𝐿𝑅 = 2(3)2 5 = 3.6
  • 98.
    3) La ecuaciónque representa a la elipse del ejercicio N° 2 es : 𝒙 − −𝟒 𝟐 𝟓𝟐 + (𝒚 − 𝟐 ) 𝟐 𝟑𝟐 Centro: ( - 4 , 2 ) a = 5 b = 3 𝒙 + 𝟒 𝟐 𝟐𝟓 + (𝒚 − 𝟐 ) 𝟐 𝟗
  • 99.
    Con base ala imagen responda las preguntas: 1. ¿cuál es el centro ?__( 3, - 2) _______________ 2. ¿radio? : __5 ____________ 3. la ecuación ordinaria de la circunferencia representada en la gráfica es: ( x – 3 )2 + ( y - (- 2) )2 = 5 2 ( x – h )2 + ( y - k )2 = r2 ( x – 3 )2 + ( y + 2 )2 = 25
  • 100.
    5) determina elcentro y el radio de la circunferencia : x 2 + y2 -6x + 8y + 16 = 0 x 2 + y2 -6x + 8 y + 16 = 0 E = 8 D= -6 F = 16 C( - −𝟔 𝟐 , − 𝟖 𝟐 ) C( 3 , −𝟒 ) R = 𝑫𝟐 + 𝑬𝟐 −𝟒𝑭 𝟐 R = −𝟔 𝟐 + 𝟖𝟐 −𝟒 𝟏𝟔 𝟐 R = 𝟑𝟔 + 𝟔𝟒 −𝟔𝟒 𝟐 R = 𝟑𝟔 𝟐 R = 𝟔 𝟐 R = 3
  • 101.
    Correcta Y= x 2+ 1 Y= x + 1
  • 102.
  • 113.
  • 115.
    Deduce la ecuaciónde las elipses de cada literal. 2. Dete F1 (0, -2), F2 (0, 2 ), a = 3
  • 117.
    F F V V V V 𝐿𝑅 = 2𝑏2 𝑎 𝐿𝑅= 2(4)2 5 𝐿𝑅 = 6.4 𝐿𝑅
  • 118.
  • 119.
    Indicador de logro:Suma y resta raíces semejantes y simplifica la potencia de una raíz escribiendo los resultados en su mínima expresión. Pasos a seguir: 1. Simplificar las raíces a la mínima expresión 2. Sumar o restar raíces semejantes EJEMPLO1: Efectúa las operaciones: SOLUCION : 80 2 40 2 20 2 10 2 5 5 1 45 3 15 3 5 5 1 𝟖𝟎 + 𝟒𝟓 𝟖𝟎 + 𝟒𝟓 𝟐𝟒 × 𝟓 + 𝟑𝟐 × 𝟓 𝟐𝟐 𝟓 + 𝟑 𝟓 4 𝟓 + 𝟑 𝟓 7 𝟓